Day 24 Dividing Rational Numbers.notebook              October 18, 2012




      AIM: Dividing Rational Numbers


                                   Do Now

            Complete the following problems
            with rational numbers.

          1.)     2
                 13      +(-3       1
                                      )     2.) -1.18 - 9.2
                                    2




                                                                          1
Day 24 Dividing Rational Numbers.notebook   October 18, 2012




                                                               2
Day 24 Dividing Rational Numbers.notebook   October 18, 2012




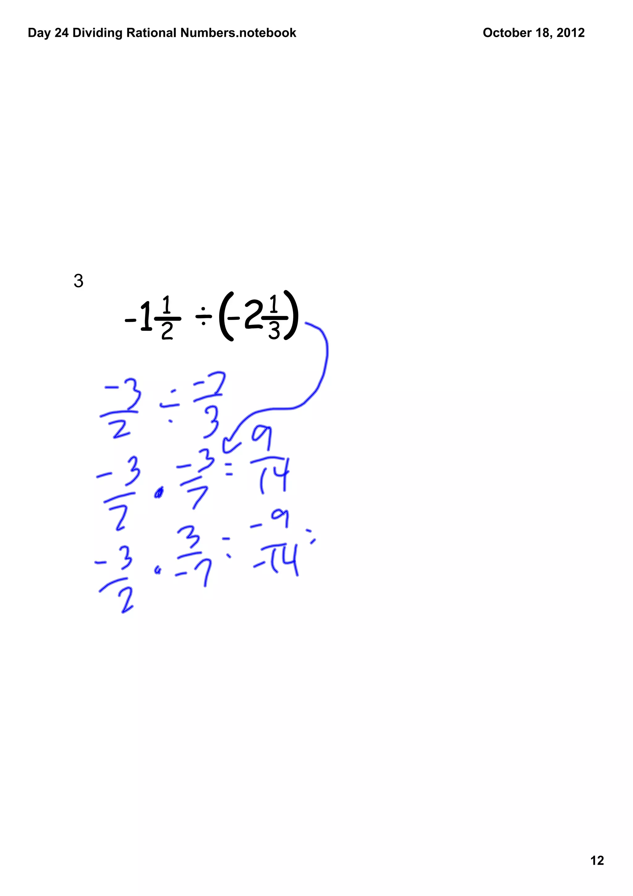
                                                               3
Day 24 Dividing Rational Numbers.notebook   October 18, 2012




                        Anticipatory Set
                                            -10
                                             -2




                                                               4
Day 24 Dividing Rational Numbers.notebook   October 18, 2012




                                                               5
Day 24 Dividing Rational Numbers.notebook   October 18, 2012




                                                               6
Day 24 Dividing Rational Numbers.notebook   October 18, 2012




                                                               7
Day 24 Dividing Rational Numbers.notebook                      October 18, 2012




                      Smart Response Activity

     1.)      -1                            4.)         -2
               4                                         3
               2                                        -4
                5                                        7

       2.)                                   5.)        -54
                                                        -0.6


        3.)    -1   1
                         Ă·(
                          -2        1
                                        )         6.)   -4 Ă· 12
                                                              5
                    2               3




                                                                                  8
Day 24 Dividing Rational Numbers.notebook           October 18, 2012




                Dividing Rationals

                                Grade: «grade»
                               Subject: «subject»
                                 Date: «date»




                                                                       9
Day 24 Dividing Rational Numbers.notebook   October 18, 2012




      1  
                      -1
                       4
                               =
                       2
                        5




                                                               10
Day 24 Dividing Rational Numbers.notebook   October 18, 2012




      2  




                     8.4
                     -12




                                                               11
Day 24 Dividing Rational Numbers.notebook   October 18, 2012




      3  

              -1    1
                    2    Ă·(
                          -2        1
                                    3 )




                                                               12
Day 24 Dividing Rational Numbers.notebook   October 18, 2012




      4             -2
                     3
                    -4 =
                     7




                                                               13
Day 24 Dividing Rational Numbers.notebook   October 18, 2012




      5  



                       -54
                       -0.6




                                                               14
Day 24 Dividing Rational Numbers.notebook   October 18, 2012




      6  
                                   2
                   -4 Ă· 1          5




                                                               15
Day 24 Dividing Rational Numbers.notebook   October 18, 2012




                       Before You Leave
         1.) Last year, Mr. Engle's total income
         was 52,000, while his total expenses
         were $53,800. Use the expression
         below, where I represents total income
         and E represents total expenses, to find
         the average difference between his
         income and expenses each month.

                                 I -E
                                   12




                                                               16
Day 24 Dividing Rational Numbers.notebook    October 18, 2012




                       Before You Leave
       2.) The boiling point of water is affected
       by the changes in elevation. Use the
       expression below, where A represents
       altitude in feet, to find the number of
       degrees Fahrenheit at which the boiling
       point of water changes at 5000 feet.
                                     -2A
                                      1000




                                                                17
Day 24 Dividing Rational Numbers.notebook   October 18, 2012




                               Homework

                       On Core Page 22




                                                               18

Day 24 dividing rational numbers