David Minh
1. Constrained molecular
dynamics as Gibbs sampling
2. Protein-ligand binding free energies
using multiple rigid receptor structures
3. Bayesian analysis of isothermal
titration calorimetry
The improvement score (%) is defined in the text. In the second and third column
1KK7 for Myosin), C = final (e.g. 1KK8 for Myosin), following Weiss and Levitt.
Rightmost two columns refer to Weiss and Levitt results.
aSpecific cases discussed in the text.
the
ing
thr
0.9
wh
(am
tra
oc
tid
mo
cee
of
P a
ste
Tek, A., Korostelev, A. A., & Flores, S. C. (2016). MMB-GUI: A fast morphing method demonstrates a possible ribosomal tRNA translocation trajectory. Nucleic Acids Research, 44(1), 95–
105. http://doi.org/10.1093/nar/gkv1457
Constrained dynamics can observe transitions
intractable with standard dynamics methods
but they are biased!
Tek, A., Korostelev, A. A., & Flores, S. C. (2016). MMB-GUI: A fast morphing method demonstrates a possible ribosomal tRNA translocation trajectory. Nucleic Acids Research, 44(1), 95–
105. http://doi.org/10.1093/nar/gkv1457
Monte Carlo moves can be constrained
dynamics simulationsGeneralized	Coordinates	Hamiltonian	Monte	Carlo	
Avoids	high	energy	a/empts	
Avoids	hard	degrees	of	freedom	
(GCHMC	+	CCHMC)	leads	to	full	configura?on	space	explora?on
CDHMC samples from the correct probability
distribution for torsion angles
0.0020
0.0025
0.0030
0.0035
⇢(↵)
NO FIXMAN
0.0020
0.0025
0.0030
0.0035
⇢(↵)
CDHMC
-180 -90 0 90 180
↵(degrees)
0.0020
0.0025
0.0030
0.0035
⇢(↵)
MIXED
CDHMC samples from the correct probability
distribution for coupled torsion angles
C5	 PPII	
C7eq	
aL	
C5	 PPII	
C7eq	
aL
CDHMC improves sampling of macrocycle
conformations
The number of
sampled
clusters is greater
David Minh
1. Constrained molecular dynamics as
Gibbs sampling
2. Protein-ligand binding free
energies using multiple rigid
receptor structures
3. Bayesian analysis of isothermal
titration calorimetry
ΔG○ quantifies binding strength
CR
CL
C
free receptor concentration
free ligand concentration
complex concentration
standard state concentration (1 M)
CRL
Kd =
CRCL
CRL
dissociation constant
binding free energy G = 1
ln
✓
Kd
C
◆
RL⌦+R L
G
Kd MmMμMnMpMfM
0-4.1-8.3-12.4-16.6-20.8 kcal/mol
weak
biomolecular
lead compoundsgood drugshighest biological
affinity
biotin:streptavidin
lipitor:HMG-CoA
reductase ATP:kinase
WEAKSTRONG
benzamidine:
bovine trypsin
Millions Thousands
1st stage 2nd stage 3rd stage
<100
Alchemical pathways,
implicit solvent
(BEDAM/YANK)
We are developing a method with intermediate
accuracy between docking and “alchemical”
Accuracy
log(Computational Expense)
Alchemical pathways,
explicit solvent
End-point approximations
(MM/PBSA)
Molecular Docking
Alchemical Grid Dock
(AlGDock)
A binding potential of mean force is a binding free
energy between a flexible ligand and rigid receptor
1kzk,
from
docked pose
BPMFs can be averaged to get rigorous absolute ΔG○
• Rigorous

• Multiple rigid receptor structures

• Recyclable - thorough receptor sampling once, instead of
for every ligand

• Scalable - grid-based receptor-ligand interaction energies
are not dependent on receptor size

• Explains docking as an approximation
Minh, J Chem Phys 2012
G = 1
ln
⌦
e B
↵rR
R
+ G✏
B(rR) = 1
ln
⌦
e
↵rL,✏L
L,I
U(rX) = U(rX) + W(rX )
(rRL) = U(rRL) U(rR) U(rL)
Binding Free Energy
Binding PMF
Effective Potential Energy
Effective Interaction Energy
I. Sample configurations of the receptor
II. Estimate the binding PMF for each ligand
III. Estimate the binding free energy for each ligand
ˆB(rR) = 1
ln
1
N
NX
n=1
e (rRL,n)
Sample mean of exponential average
Only needs to be done once!
Does not need to be
reproduced for every ligand.
Helpful for systems with large 

conformational change
New type of free energy
calculation
AlGDock closely reproduces YANK
c) d)
e) f)
FFT can be used to estimate BPMFs and therefore binding
free energies
Nguyen, T. H., Zhou, H-X, & Minh, D. D. L. currently being revised
2D cross section of interaction energy
Nguyen, T. H., Zhou, H-X, & Minh, D. D. L. currently being revised
FFT-based BPMF estimates reasonably reproduce YANK
and AlGDock
c) d)
e) f)
Reweighting the apo to holo ensemble
Apo Reweighted Apo = Holo
What we would like to do:
Validation of BPMF-based reweighing
• Validation approach

• Run alchemical calculations to get
apo and holo ensembles

• Calculate BPMFs for snapshots from
the apo ensemble

• Compare reweighted apo and holo
ensembles
hOiRL =
⌦
O(rR)e B(rR)
↵
R⌦
e B(rR)
↵
R
Minh, JCP 2012
Reweighting a 1D energy landscape
ATP
AMP
Based on 400 snapshots
Reweighting a correlation matrix
Apo
Holo
Reweighted Apo
Difference Matrices
Holo - Apo Reweighted Apo - Apo
Difference Matrices
Reweighted Apo - Holo
David Minh
1. Constrained molecular dynamics as
Gibbs sampling
2. Protein-ligand binding free energies
using multiple rigid receptor structures
3. Bayesian analysis of isothermal
titration calorimetry
ITC experiment
The only experimental technique that measures both free
energy and enthalpy of binding.
Also allows study competitive binding, binding events in the
presence of changes in the protonation states, and in certain
cases kinetics of binding.
Measures differential power which is integrated to obtain heat.
Standard data analysis procedure is to assume a heat model
and then use nonlinear least square fitting (nonlinear
regression) to fit the heat data to the model to obtain
thermodynamic parameters.
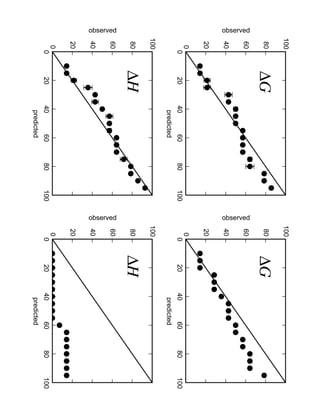
nonlinear regression analysis
Bayesian analysis
Nonlinear regression data analysis
ΔG
ΔH
ΔG
ΔH

David Minh Brief Stories 2017 Sept

  • 1.
    David Minh 1. Constrainedmolecular dynamics as Gibbs sampling 2. Protein-ligand binding free energies using multiple rigid receptor structures 3. Bayesian analysis of isothermal titration calorimetry
  • 2.
    The improvement score(%) is defined in the text. In the second and third column 1KK7 for Myosin), C = final (e.g. 1KK8 for Myosin), following Weiss and Levitt. Rightmost two columns refer to Weiss and Levitt results. aSpecific cases discussed in the text. the ing thr 0.9 wh (am tra oc tid mo cee of P a ste Tek, A., Korostelev, A. A., & Flores, S. C. (2016). MMB-GUI: A fast morphing method demonstrates a possible ribosomal tRNA translocation trajectory. Nucleic Acids Research, 44(1), 95– 105. http://doi.org/10.1093/nar/gkv1457 Constrained dynamics can observe transitions intractable with standard dynamics methods but they are biased!
  • 3.
    Tek, A., Korostelev,A. A., & Flores, S. C. (2016). MMB-GUI: A fast morphing method demonstrates a possible ribosomal tRNA translocation trajectory. Nucleic Acids Research, 44(1), 95– 105. http://doi.org/10.1093/nar/gkv1457
  • 4.
    Monte Carlo movescan be constrained dynamics simulationsGeneralized Coordinates Hamiltonian Monte Carlo Avoids high energy a/empts Avoids hard degrees of freedom (GCHMC + CCHMC) leads to full configura?on space explora?on
  • 5.
    CDHMC samples fromthe correct probability distribution for torsion angles 0.0020 0.0025 0.0030 0.0035 ⇢(↵) NO FIXMAN 0.0020 0.0025 0.0030 0.0035 ⇢(↵) CDHMC -180 -90 0 90 180 ↵(degrees) 0.0020 0.0025 0.0030 0.0035 ⇢(↵) MIXED
  • 6.
    CDHMC samples fromthe correct probability distribution for coupled torsion angles C5 PPII C7eq aL C5 PPII C7eq aL
  • 7.
    CDHMC improves samplingof macrocycle conformations
  • 8.
  • 9.
    David Minh 1. Constrainedmolecular dynamics as Gibbs sampling 2. Protein-ligand binding free energies using multiple rigid receptor structures 3. Bayesian analysis of isothermal titration calorimetry
  • 10.
    ΔG○ quantifies bindingstrength CR CL C free receptor concentration free ligand concentration complex concentration standard state concentration (1 M) CRL Kd = CRCL CRL dissociation constant binding free energy G = 1 ln ✓ Kd C ◆ RL⌦+R L G Kd MmMμMnMpMfM 0-4.1-8.3-12.4-16.6-20.8 kcal/mol weak biomolecular lead compoundsgood drugshighest biological affinity biotin:streptavidin lipitor:HMG-CoA reductase ATP:kinase WEAKSTRONG benzamidine: bovine trypsin
  • 11.
    Millions Thousands 1st stage2nd stage 3rd stage <100 Alchemical pathways, implicit solvent (BEDAM/YANK) We are developing a method with intermediate accuracy between docking and “alchemical” Accuracy log(Computational Expense) Alchemical pathways, explicit solvent End-point approximations (MM/PBSA) Molecular Docking Alchemical Grid Dock (AlGDock)
  • 12.
    A binding potentialof mean force is a binding free energy between a flexible ligand and rigid receptor 1kzk, from docked pose
  • 13.
    BPMFs can beaveraged to get rigorous absolute ΔG○ • Rigorous • Multiple rigid receptor structures • Recyclable - thorough receptor sampling once, instead of for every ligand • Scalable - grid-based receptor-ligand interaction energies are not dependent on receptor size • Explains docking as an approximation Minh, J Chem Phys 2012 G = 1 ln ⌦ e B ↵rR R + G✏ B(rR) = 1 ln ⌦ e ↵rL,✏L L,I U(rX) = U(rX) + W(rX ) (rRL) = U(rRL) U(rR) U(rL) Binding Free Energy Binding PMF Effective Potential Energy Effective Interaction Energy
  • 14.
    I. Sample configurationsof the receptor II. Estimate the binding PMF for each ligand III. Estimate the binding free energy for each ligand ˆB(rR) = 1 ln 1 N NX n=1 e (rRL,n) Sample mean of exponential average Only needs to be done once! Does not need to be reproduced for every ligand. Helpful for systems with large 
 conformational change New type of free energy calculation
  • 15.
  • 16.
    FFT can beused to estimate BPMFs and therefore binding free energies Nguyen, T. H., Zhou, H-X, & Minh, D. D. L. currently being revised
  • 17.
    2D cross sectionof interaction energy Nguyen, T. H., Zhou, H-X, & Minh, D. D. L. currently being revised
  • 18.
    FFT-based BPMF estimatesreasonably reproduce YANK and AlGDock c) d) e) f)
  • 19.
    Reweighting the apoto holo ensemble Apo Reweighted Apo = Holo What we would like to do:
  • 20.
    Validation of BPMF-basedreweighing • Validation approach • Run alchemical calculations to get apo and holo ensembles • Calculate BPMFs for snapshots from the apo ensemble • Compare reweighted apo and holo ensembles hOiRL = ⌦ O(rR)e B(rR) ↵ R⌦ e B(rR) ↵ R Minh, JCP 2012
  • 21.
    Reweighting a 1Denergy landscape ATP AMP Based on 400 snapshots
  • 22.
    Reweighting a correlationmatrix Apo Holo Reweighted Apo
  • 23.
    Difference Matrices Holo -Apo Reweighted Apo - Apo
  • 24.
  • 25.
    David Minh 1. Constrainedmolecular dynamics as Gibbs sampling 2. Protein-ligand binding free energies using multiple rigid receptor structures 3. Bayesian analysis of isothermal titration calorimetry
  • 26.
    ITC experiment The onlyexperimental technique that measures both free energy and enthalpy of binding. Also allows study competitive binding, binding events in the presence of changes in the protonation states, and in certain cases kinetics of binding. Measures differential power which is integrated to obtain heat. Standard data analysis procedure is to assume a heat model and then use nonlinear least square fitting (nonlinear regression) to fit the heat data to the model to obtain thermodynamic parameters. nonlinear regression analysis Bayesian analysis
  • 27.
  • 29.