Embed presentation
Download to read offline









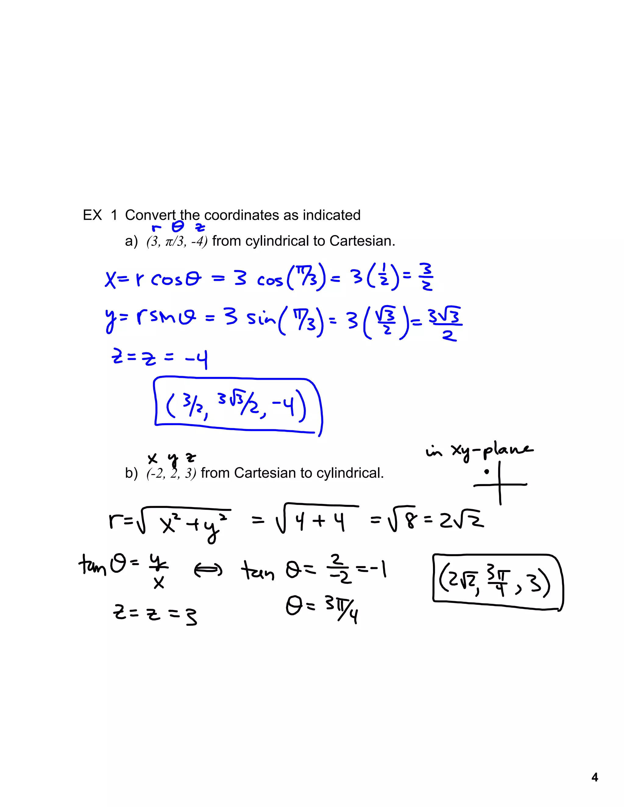
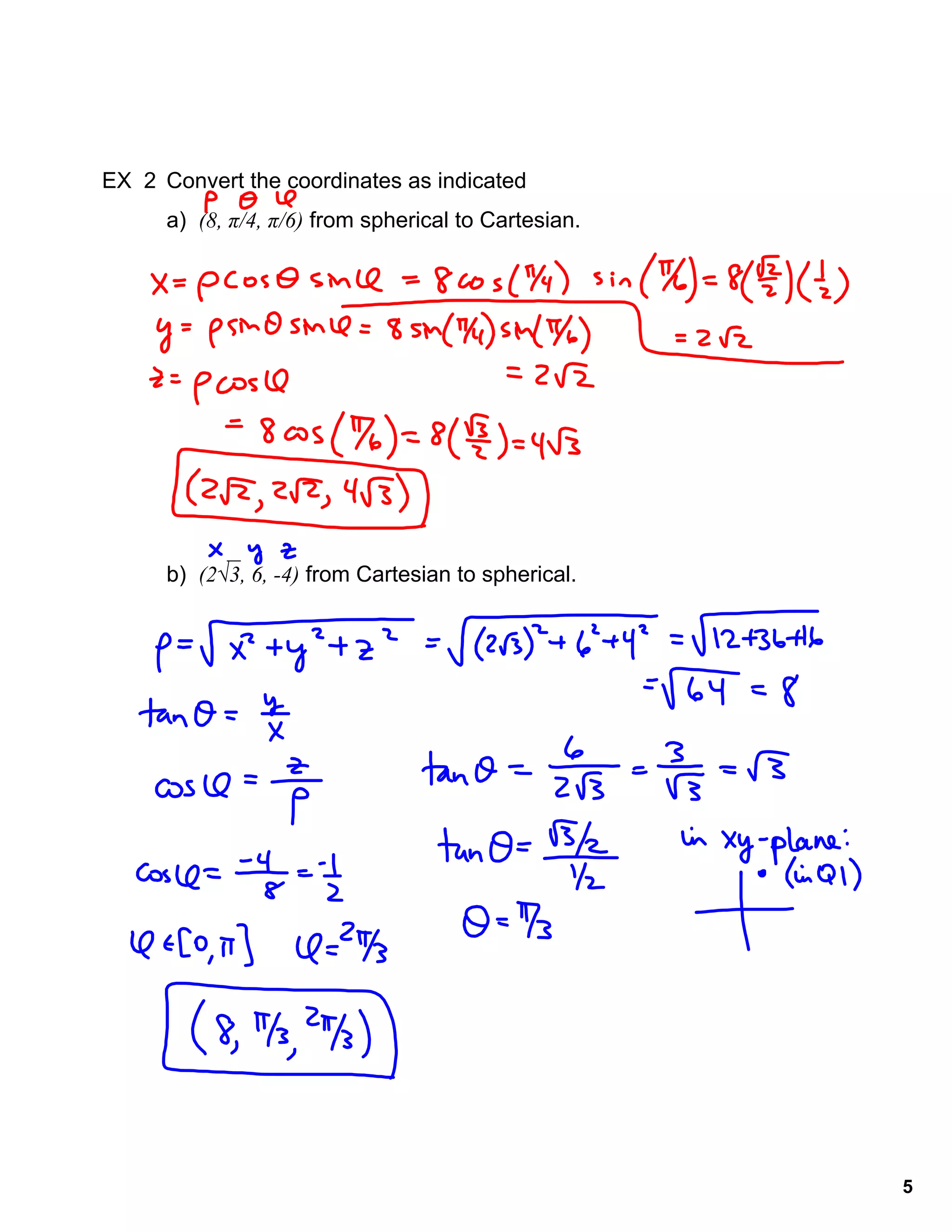
The document discusses three coordinate systems - Cartesian, cylindrical, and spherical coordinates. It provides the equations to convert between the three systems, gives examples of basic surfaces defined in each system, and includes practice problems to convert coordinates between systems and change equations into different coordinate representations.







