Embed presentation
Downloaded 76 times






































































































































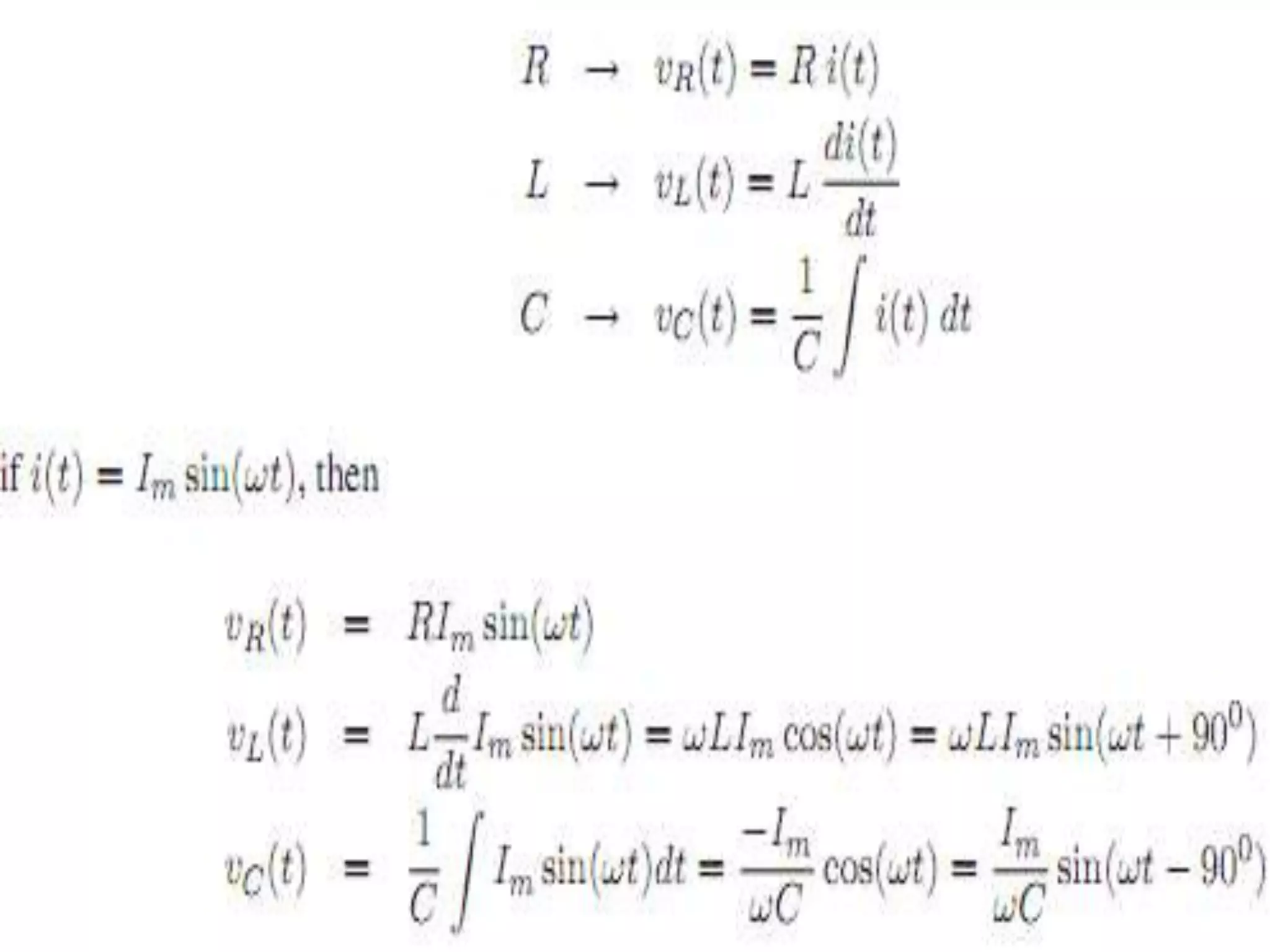
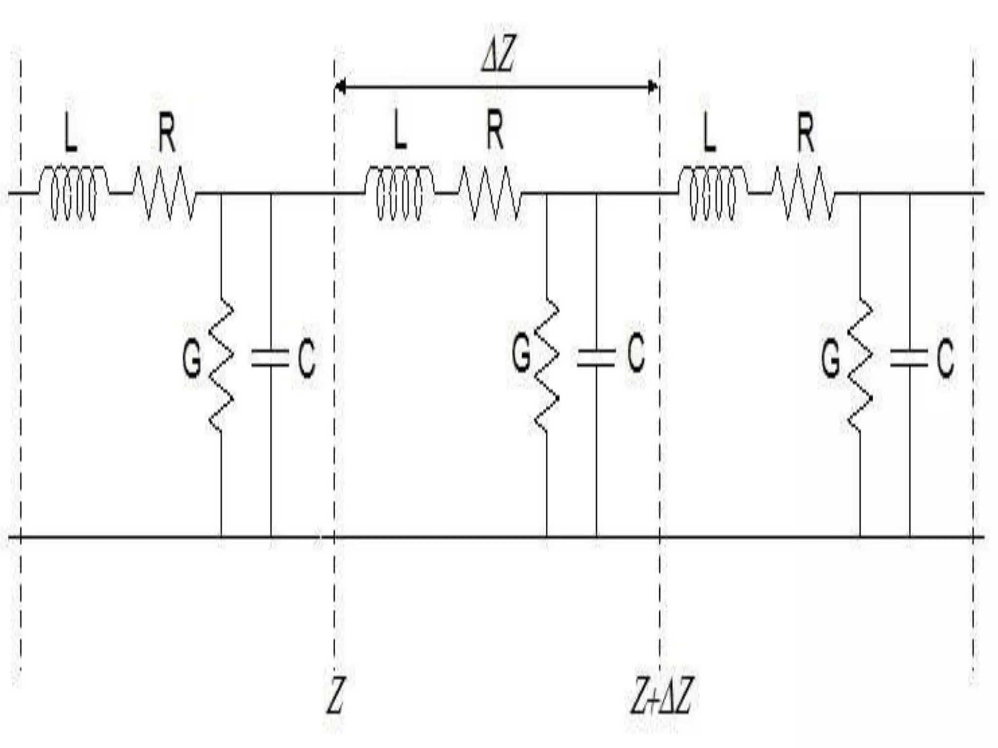
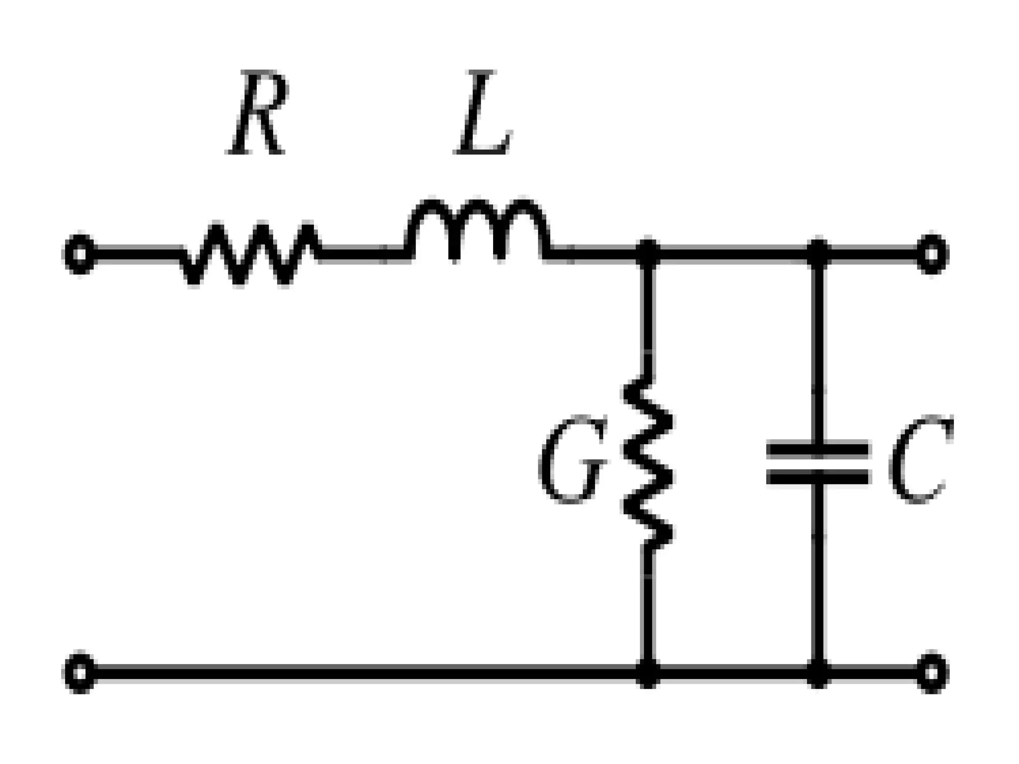
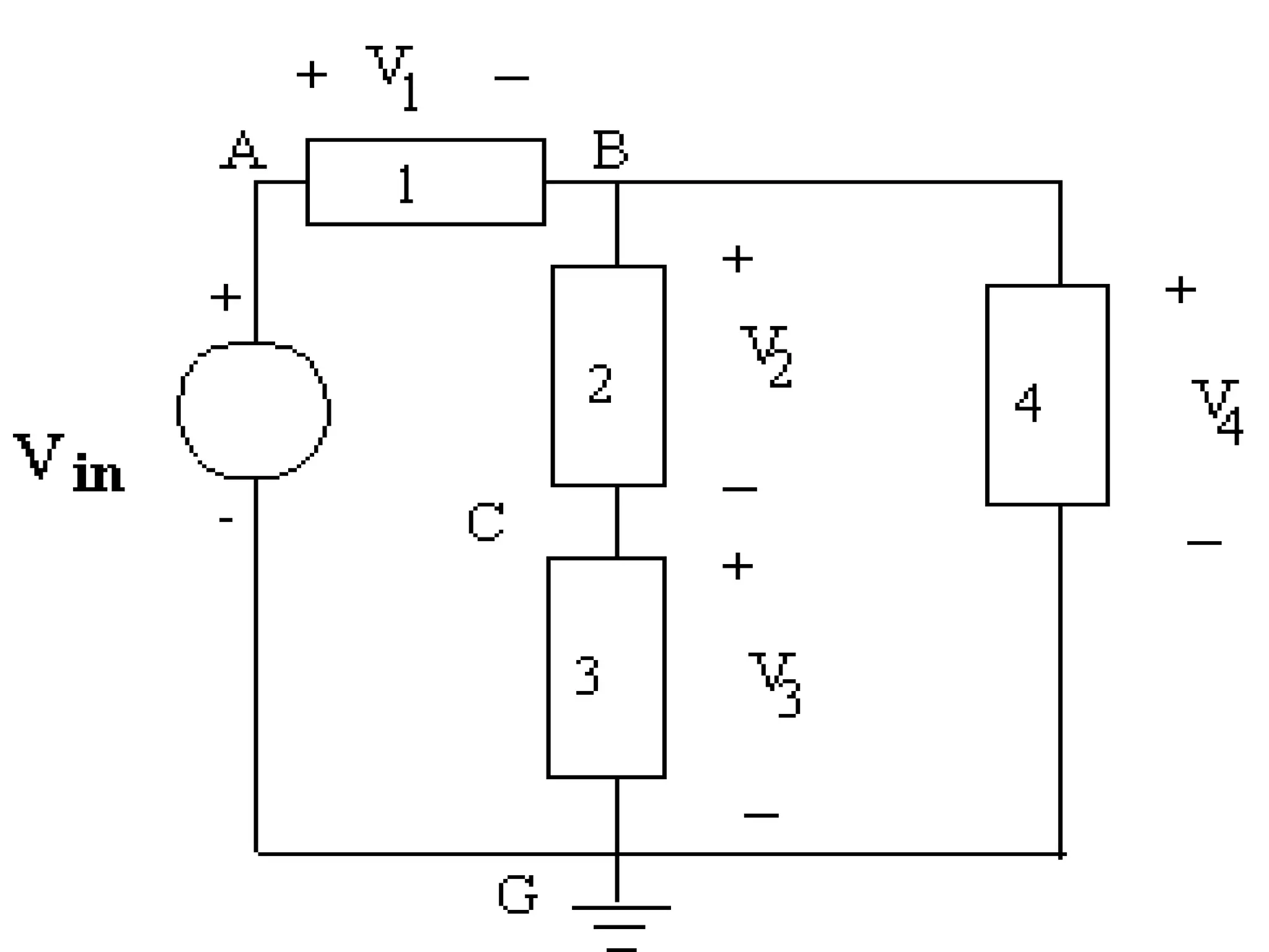
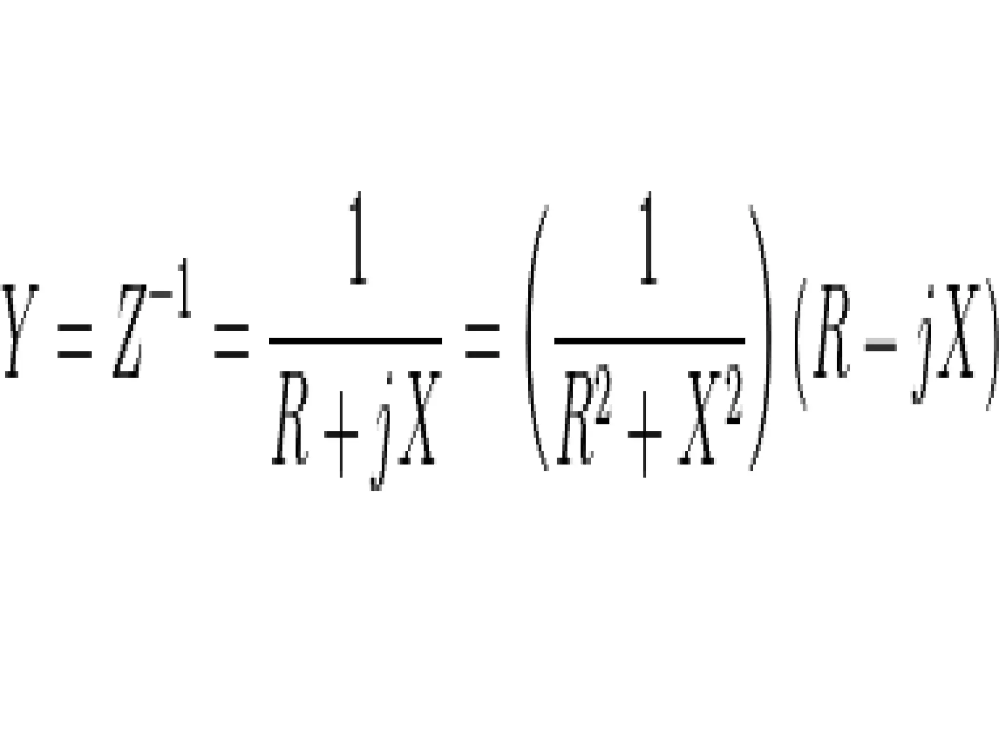
This document introduces key concepts in electrical circuits including complex and polar forms of representation, phase representation of real and imaginary terms, the 'J' and 'a' operators, the relation between voltage and current in resistors, inductors and capacitors, equivalent circuits, network elements, types of sources, Kirchhoff's laws, nodal analysis and mesh analysis, the relation between impedance and admittance, practical and ideal sources, source transformation, and the power triangle.





































































































































