Bài tập dài môn kĩ thuật chiếu sáng
Yêu cầu: Thiết kế chiếu sáng cho hội trường
Hội trường C2 có a × b × h = 26m × 26m × 7m
Có hai mức chiếu sáng:
- Mức 1: có Eyêu cầu = 500 Lx
- Mức 2: có Eyêu cầu = 200 Lx
Và hệ số phản xạ là: [ ρ1 ρ3 ρ4 ] = [ 731] đặt đèn sát trần

Lời mở đầu
Hội trường C2 là nơi để diễn ra các hoạt động văn hoá, văn nghệ, và
những hội nghị cần thiết bổ ích cho tất cả các toàn thể các cán bộ trong
trường và sinh viên. Vì vậy việc thiết kế chiếu sáng là rất cần thiết để đảm
bảo độ sáng cho hội trường.
Mục đích thiết kế chiếu sáng đưa ra được một phân bố ánh sáng hợp
lý đảm bảo các chỉ tiêu kĩ thuật, đáp ứng được nhu cầu tiện nghi ánh sáng và
thẩm mĩ trong không gian thiết kế.
Nội dung bài toán thiết kế chiếu sáng như sau:
- Thiết kế sơ bộ: qua nghiên cứu các không gian thường gặp, hội chiêu
sáng quốc tế đưa ra một không gian tiêu chuẩn hình hộp để bằng cách tính
toán và thực nghiệm đưa ra bảng tiêu chuẩn, bảng tra.
Thiết kế sơ bộ đưa ra phương pháp chiếu sáng, cấp và số lượng bộ
đèn. Đưa ra tổng quang thông cần cấp và chọn loại bóng đèn đáp ứng nhu
cầu chất lượng cùng với lưới bố trí đèn. Thường bố trí lưới hình chữ nhật với
chiều cao đặt đèn đã ấn định, bước này thường thực hiện nhiều phương án
để so sánh cân nhắc chọn phương án tối ưu để tiếp tục tính toán. Ở đây yếu
tố thẩm mĩ cũng được cân nhắc trong thiết kế chiếu sáng.
- Kiểm tra thiết kế: ở bước này cần phải thực hiện việc tính toán để
tìm được các độ rọi trên trần tường, mặt phẳng làm việc một cách chính xác
hơn. Sau đó dùng các kết quả tính toán được để kiểm tra theo các tiêu chuẩn
đã đặ ra vê yêu cầu,, tiện nghi ánh sáng.

Trình tự thiết kế
I. Thiết kế sơ bộ
1. Khảo sát thực địa, lấy số liệu
Qua việc tìm hiểu về hội trường C2 kích thước hình học là:
a × b × h = 25m × 25m × 7 m
1
2. Chọn độ rọi yêu cầu
- Độ rọi được lấy làm tiêu chuẩn đầu tiên và quan trọng nhất trong
thiết kế chiếu sáng nội thất. Căn cứ theo nội dung và hoạt động của hội
trường C2 thì cớ độ rọi như sau:
- Mức 1: có Eyêu cầu = 500 Lx
- Mức 2: có Eyêu cầu = 200 Lx
- Và thông số bộ phản xạ
+ Hệ số phản xạ của trần ρ1 = 0,7
+ Hệ số phản xạ của tường ρ3 = 0,3
+ Hệ số phản xạ của sàn nhà ρ 4 = 0,1
* Với độ rọi Eyc = 500 Lx
1. Xác định kiểu chiếu sáng và cấp bộ đèn
a) Kiểu chiếu sáng
Kiểu chiếu sáng cần được lựa chọn phù hợp với các hoạt động thường
diễn ra trong phòng. Thường các không gian có hoạt động thông thường:
văn phòng, phòng học, siêu thị thì chọn các phương án kiểu trực tiếp hoặc
bán gián tiếp. Các không gian sinh hoạt, tự dinh,khu vui chơi giải trí,tiếp
khách thường chọn kiểu chiếu sáng hỗn hợp hoặc gián tiếp.
- Kiểu chiếu sáng trực tiếp tăng cường: dùng cho những nơi có chiều
cao tương đối lớn, độ rọi yêu cầu cao hoặc là các chiếu sáng cục bộ. Khi đó
tường và không gian xung quanh sẽ tối.
- Kiểu chiếu sáng trực tiếp rộng và bán trực tiếp thường tạo được
không gian có tiện nghi tốt, cả mặt phẳng làm việc và tường đều được chiếu
sáng theo một tỷ lệ thích hợp. Thường ứng dụng cho chiếu sáng chung, các
hoạt động thông thường.
- Kiểu chiếu sáng gián tiếp và bán gián tiếp: được ứng dụng cho nơi
có độ rọi thấp, tính thẩm mĩ và trang trí cao thường ứng dụng trong tư gia,
không gian giải trí.
Với hội trường C2 là nơi diễn ra các hoạt động văn hoá, văn nghệ, các
cuộc học chính trị cho sinh viên và nhiều các cuộc hội thảo thì chọn kiểu
chiếu sáng trực tiếp rộng và bán gián tiếp.
b) Chọn bộ đèn
Chọn cấp bộ đèn căn cứ vào kiểu chiếu sáng đã lựa chọn đồng thời
quan tâm đến tính thẩm mĩ. Như vậy với hội trường C2 thì ta chọn bộ đèn có
kí hiệu: 0,37G + 0,06 T kí hiệu DOMINO 265
2. Chọn loại đèn
Việc chọn đèn phụ thuộc vào các yếu tố

2
- Căn cứ đầu tiên là phải phù hợp độ rọi yêu cầu với nhiệt độ màu của
đèn theo biểu đồ Kioff
- Chỉ số hoàn màu phải đáp ứng được yêu cầu về chất lượng ánh sáng
cho công việc diễn ra trong phòng
- Tính kinh tế: hiệu suất phát quang
- Thời gian khởi động, hiệu ứng nhấp nháy đặc biệt là cho những ứng
dụng chiếu sáng dự phòng ở những nơi công cộng hoặc chiếu sáng cho
những nơi quan sát chuyển động.
Có một số loại đèn thông dụng
- Đèn huỳnh quang: nhờ vào hiệu suất phát quang cao, chỉ số hoàn
màu đạt tiêu chuẩn, nên đèn được ứng dụng rộng rãi nhất trong chiếu sáng
nội thất.
- Đèn sợi đốt có hiệu suất phát quang thấp, tuổi thọ thấp nhưng chất
lượng ánh sáng cao ( chỉ số hoàn màu cao) được ứng dụng ở những nơi có
độ rọi thấp, hoặc được sử dụng trong chiếu sáng cục bộ, đèn bàn, đèn máy
công cụ, đèn trang trí.
Việc chiếu sáng cho hội trường C2 ta dùng đèn huỳnh quang có
φ® = 5100Lm
3. Chọn chiều cao đặt đèn
- h - là khoảng cách từ bộ đèn đến mặt phẳng làm việc
- h’ - là khoảng cách từ bộ đèn đến trần
h là thông số hình học quan trọng nhất trong các thông số kĩ thuật
quyết định chất lượng thiết kế.
Khi chọn h cần cân nhắc kết cấu công trình, dầm nhà quạt trần
Về nguyên tắc nhà cao, có điều kiện để chọn h lớn thì sẽ đạt được độ
đồng đều ánh sáng và hiệu suất cao vì khi đó sẽ sử dụng được bóng có công
suất lớn, quang thông lớn, thường bóng có hiệu suất cao hơn.
Vì theo kết cấu ngôi nhà thì ta chọn đèn sát trần nghĩa là h’ = 0.
4. Bố trí các bộ đèn và số bộ đèn tối thiểu Nmin
+ ) Bố trí các bộ đèn
- Các bảng tra được lập ra trên cơ sở các bộ đèn bố trí theo tính chất tổ
chức lưới chữ nhật trên trần
- Giá trị m, n, p, q sẽ quyết định đến việc bố trí đồng đều ánh sáng và
tương quan về độ rọi giữa tường và mặt phẳng làm việc.
+ ) Số bộ đèn tối thiểu cho một không gian Nmin
Với một không gian có chiều cao 7 m, kích thước a = 26 m, b = 26 m
thì sau khi chọn h và cấp của bộ đèn có thể xác định được số điểm đặt đèn ít
nhất trên trần để đảm bảo được độ đồng đều ánh sáng trên mặt phẳng làm
việc.

3
 n 
Từ cấp của bộ đèn → 
÷ = 1,5
 hmax 
h = H – 0,85 = 7 – 0,85 = 6,15 (m)
m, n < 1,5. 6,15 = 9,225 (m)
Vì giá trị của m, n còn phụ thuộc vào cả p , q
1
1
→ m( n) ≤ p ( q) ≤ m( n)
3
2
Xét phương a
a
26
=
= 2.8
Số bộ đèn X =
9,225 9,225
Chọn X = 3 bộ
Lấy p = 0,5.m
→ 2m + 0,5.2m = 26
26
→ m=
= 8,67(m)
3
Chọn m = 9 (m) như vậy p = 3,5 (m)
Xét phương b
b
26
=
= 2,8
Số bộ đèn Y =
9,225 9,225
Chọn Y = 3 bộ
Lấy q = 0,5 n
→ 2n + 0,5.2.n = 26
26
→n=
= 8,67(m)
3
Chọn n = 9 (m) như vậy q = 3,5 (m)
Vậy số bộ đèn nhỏ nhất là Nmin = 9 bộ
5. Tính quang thông tổng cần cấp φtt
Quang thông tổng là thông số quan trọng nhất dùng làm cơ sở tính ra
số bộ đèn và lưới phân bố.
- Tính quang thông tổng cần cấp
a.b.δ .Eyc
φtt =
Ksd
Cho δ = 1,3
Tìm Ksd bằng cách tra bảng Ud , Ui
Ksd = Udηd + Uiηi
Lập bảng nội suy

4
K=

ab
26.26
=
= 2,114
h(a + b) 6,15.( 26 + 26)
Tra bảng trang 104 – 105 sách kỹ thuật chiếu sang
K
Ud
Ui

2,114
0,71
0,5

Vậy tại K = 2 ta có
Ksd = 0,37.0,71 + 0,06.0,5 = 0,293
26.26.1,3.500
φtt =
= 1499659( Lm)
0,293
- Số bộ đèn cần đặt
φ
1499659
N = tt =
= 147 bộ
n.φ® 2.5100
Chọn N = 169 bộ
Do kích thước hội trường là hình vuông nên mỗi chiều có tương ứng
là 13 bộ
Lúc đó ta có các khoảng cách m, n, p, q là :
+ ) Theo phương a
q
→ 12m + 2.0,5m = 26
n
Lấy p = 0,5m
26
p
→ m=
= 2(m)
13
m
b=18
Chọn m = 2 (m) như vậy p = 1 (m)
+ ) Theo phương b
n = 2 (m) và q = 1 (m)
II. Kiểm tra thiết kế
1. Kiểm tra các độ rọi
Tính các E1, E3, E4
Cụ thể:
NFη
Ei =
( Fu'' .Ri + Si )
ab.1000δ
Trong đó: N- số bộ đèn
F- quang thông tổng của một bộ đèn

a=24

L­íi ph©n bè ®Ìn

5
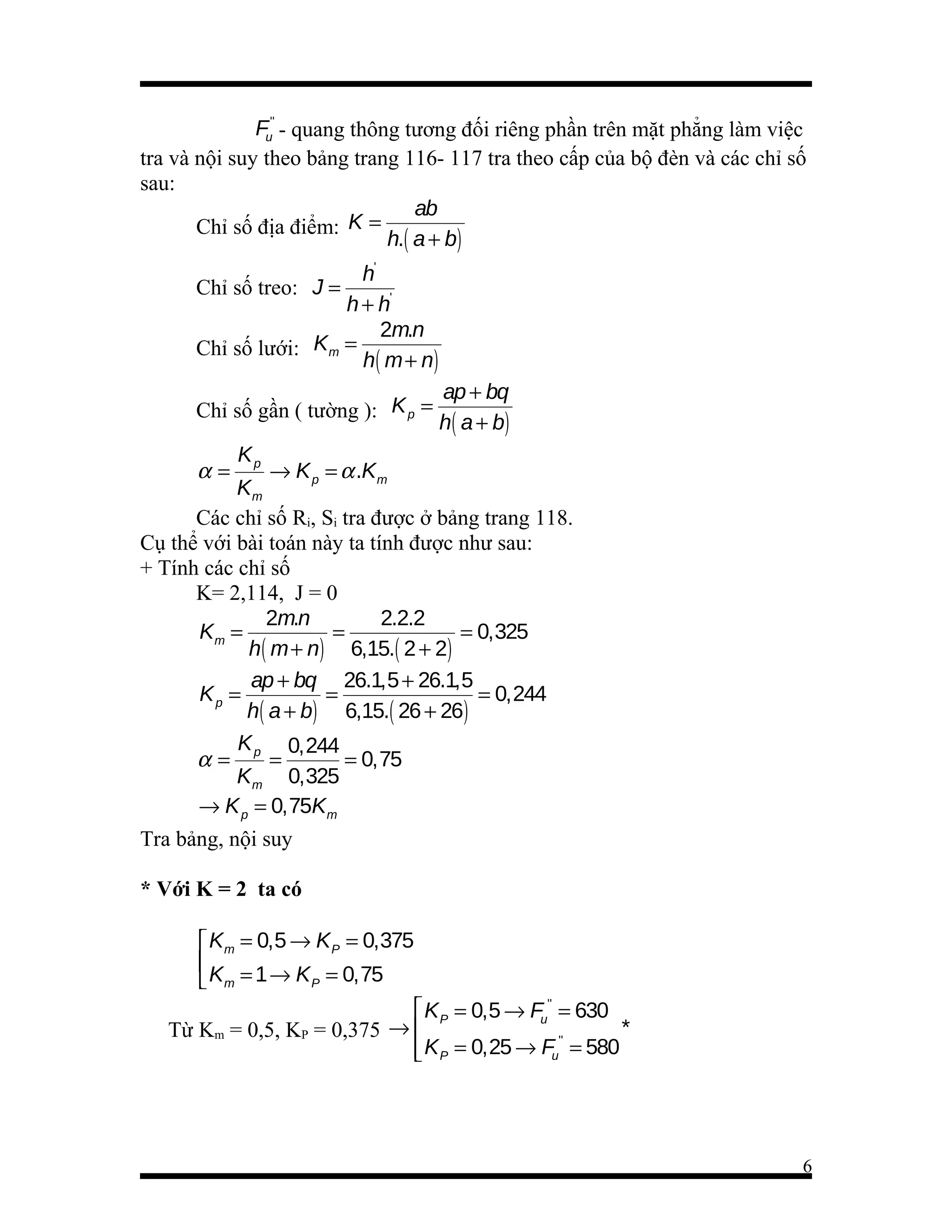
Fu'' - quang thông tương đối riêng phần trên mặt phẳng làm việc
tra và nội suy theo bảng trang 116- 117 tra theo cấp của bộ đèn và các chỉ số
sau:
ab
Chỉ số địa điểm: K =
h.( a + b)
h'
Chỉ số treo: J =
h + h'
2m.n
Chỉ số lưới: Km =
h ( m + n)
Chỉ số gần ( tường ): K p =

α=

ap + bq
h ( a + b)

Kp

→ K p = α .K m
Km
Các chỉ số Ri, Si tra được ở bảng trang 118.
Cụ thể với bài toán này ta tính được như sau:
+ Tính các chỉ số
K= 2,114, J = 0
2m.n
2.2.2
Km =
=
= 0,325
h( m + n) 6,15.( 2 + 2)
ap + bq 26.1,5 + 26.1,5
Kp =
=
= 0,244
h( a + b) 6,15.( 26 + 26)
K
0,244
α= p=
= 0,75
Km 0,325
→ K p = 0,75Km
Tra bảng, nội suy
* Với K = 2 ta có
 Km = 0,5 → K P = 0,375

 Km = 1 → K P = 0,75
 K P = 0,5 → Fu'' = 630
*
Từ Km = 0,5, KP = 0,375 → 
''
 K P = 0,25 → Fu = 580


6
 K P = 1 → Fu'' = 682
**
Từ Km = 1, KP = 0,75 → 
K P = 0,5 → Fu'' = 593


Nội suy cấp Kp
630 − 580
''
( 0,375 − 0,25) = 605
Từ * → Fu = 580 +
0,5 − 0,25
Như vậy với Km = 0,5 thì Fu’’ = 605
682 − 593
''
( 0,75 − 0,5) = 637,5
** → Fu = 593 +
1 − 0,5
Như vậy với Km = 1 thì Fu’’ = 637,5
Ta ngoại suy ra giá trị của Fu’’ ứng với Km = 0,325
Ngoại suy cấp Km
637,5 − 605
→ Fu'' = 605 +
( 0,325 − 0,5) = 593,625
1 − 0,5
Vậy với K = 2 ta có Fu’’ = 593,625
* Với K = 2,5 ta có
 Km = 0,5 → K P = 0,375

 Km = 1 → K P = 0,75
 K P = 0,5 → Fu'' = 689
*
Từ Km = 0,5, KP = 0,375 → 
''
 K P = 0,25 → Fu = 642

 K P = 1 → Fu'' = 735
**
Từ Km = 1, KP = 0,75 → 
''
 K P = 0,5 → Fu = 653

Nội suy cấp Kp
689 − 642
''
( 0,375 − 0,25) = 665,5
Từ * → Fu = 642 +
0,5 − 0,25
Như vậy với Km = 0,5 thì Fu’’ = 665,5
735 − 653
''
( 0,75 − 0,5) = 694
** → Fu = 653 +
1 − 0,5
Như vậy với Km = 1 thì Fu’’ = 694
Ta ngoại suy ra giá trị của Fu’’ ứng với Km = 0,325
Ngoại suy cấp Km

7
694 − 665,5
( 0,325 − 0,5) = 655,525
1 − 0,5
Vậy với K = 2,5 ta có Fu’’ = 655,525
Như vậy ta tiếp tục dùng phép nội suy để tính ra giá trị Fu’’ tại K=2,114
655,525 − 593,625
→ Fu'' = 593,625 +
( 2,114 − 2) = 607,74
2,5 − 2
→ Fu'' = 665,5 +

nội suy tính được Ri, Si
K

R1

2,5

S1
cấp d
cấp i
-0,065 143
1069

3

-0,065 148

2,114 -0,065 144,14

1070

R3
-1,324

S3
cấp d cấp i
1390 333

0,846

S4
cấp d
cấp i
198
547

-1,578

1648

0,840

208

576

200,88

553,6

1069,23 -1,382

344

R4

1402,2 335,5 0,8443

- Độ rọi trên mặt phẳng hữu ích
NFη d
 R4 Fu'' + S4 
E4d =

1000δ .ab 
169.2.5100.0,37
E4d =
( 0,8443.607,74 + 200,88)
1000.1,3.26.26
E4d = 0,7257.( 0,8443.607,74 + 200,88)
E4d = 518,2 ( Lx )

E4i = 0,67.ηi .( R4 .0 + S i )
4
E4i = 0,67.0,06.553,6

E4i = 22,255( Lx )
E4 = E4d + E4i = 518,2+22,255 = 540,455 (Lx)
- Độ rọi trên tường
E3 = E3d + E3i
E3d = 0,7257.( −1,382.607,74 + 1402,2)
E3d = 408,06( Lx)
E3i = 0,67.0,06. 335,5 = 13,487 (Lx)
E3 = 408,06+13,487 = 421,55 (Lx)

8
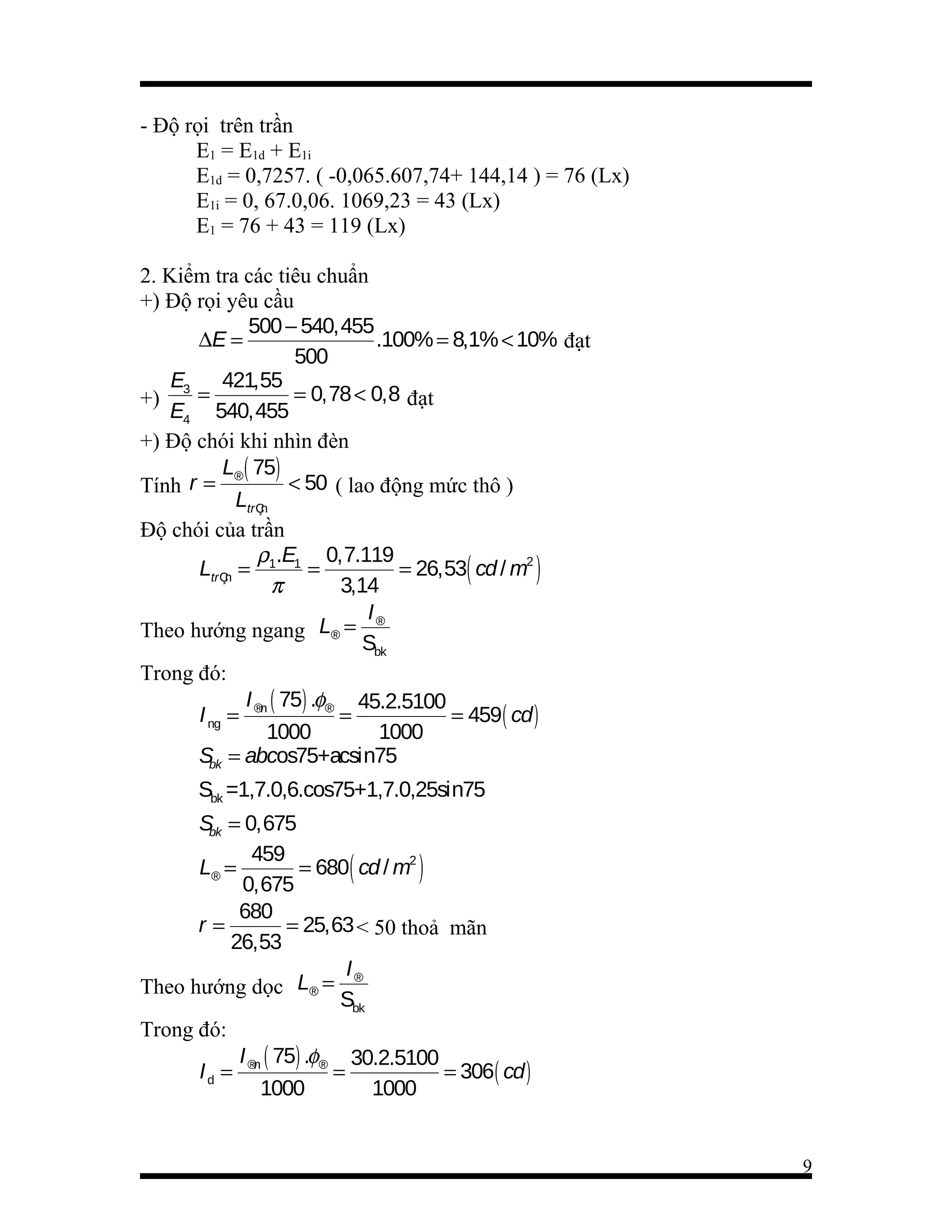
- Độ rọi trên trần
E1 = E1d + E1i
E1d = 0,7257. ( -0,065.607,74+ 144,14 ) = 76 (Lx)
E1i = 0, 67.0,06. 1069,23 = 43 (Lx)
E1 = 76 + 43 = 119 (Lx)
2. Kiểm tra các tiêu chuẩn
+) Độ rọi yêu cầu
500 − 540,455
∆E =
.100% = 8,1% < 10% đạt
500
E3 421,55
=
= 0,78 < 0,8 đạt
+)
E4 540,455
+) Độ chói khi nhìn đèn
L® ( 75)
< 50 ( lao động mức thô )
Tính r =
LtrÇn
Độ chói của trần
ρ .E 0,7.119
LtrÇn = 1 1 =
= 26,53( cd / m2 )
π
3,14
I®
Theo hướng ngang L® =
Sbk
Trong đó:
I ( 75) .φ® 45.2.5100
I ng = ®n
=
= 459( cd )
1000
1000
S = abcos75+acsin75
bk
Sbk =1,7.0,6.cos75+1,7.0,25sin75
S = 0,675
bk
459
L® =
= 680( cd / m2 )
0,675
680
r=
= 25,63 < 50 thoả mãn
26,53
I®
Theo hướng dọc L® =
Sbk
Trong đó:
I ( 75) .φ® 30.2.5100
I d = ®n
=
= 306( cd )
1000
1000

9
S = abcos75+bcsin75
bk
Sbk =1,7.0,6.cos75+0,6.0,25sin75
S = 0,41
bk
306
L® =
= 746,34 ( cd / m2 )
0,41
746,34
r=
= 28,13 < 50 đạt
26,53
Như vậy với số bộ đèn là 169bộ và mỗi bộ 2 bóng thì đảm bảo độ
đồng đều ánh sáng và đủ độ sáng.
+ ) Kiểm tra điều kiện không bị loá mắt bằng cách vẽ các đường cong độ
chói dọc trên biểu đồ của Sollner
Tính các giá trị L tại các góc γ ta được bảng sau:
γ
45
50
60
70
75
80
2
L(cd/m )

* Với độ rọi Eyc = 200 Lx
1. Bố trí các bộ đèn và số bộ đèn tối thiểu Nmin
 n 
Từ cấp của bộ đèn → 
÷ = 1,5
hmax 

h = H – 0,85 = 7 – 0,85 = 6,15 (m)
m, n < 1,5. 6,15 = 9,225 (m)
Vì giá trị của m, n còn phụ thuộc vào cả p , q
1
1
→ m( n) ≤ p ( q) ≤ m( n)
3
2
Xét phương a
a
26
=
= 2.8
Số bộ đèn X =
9,225 9,225
Chọn X = 3 bộ
Lấy p = 0,5.m
→ 2m + 0,5.2m = 26
26
→ m=
= 8,67(m)
3
Chọn m = 9 (m) như vậy p = 3,5 (m)
10
Xét phương b
Số bộ đèn Y =

b
26
=
= 2,8
9,225 9,225

Chọn Y = 3 bộ
Lấy q = 0,5 n
→ 2n + 0,5.2.n = 26
26
→n=
= 8,67(m)
3
Chọn n = 9 (m) như vậy q = 3,5 (m)
Vậy số bộ đèn nhỏ nhất là Nmin = 9 bộ
2. Tính quang thông tổng cần cấp φtt
Quang thông tổng là thông số quan trọng nhất dùng làm cơ sở tính ra
số bộ đèn và lưới phân bố.
- Tính quang thông tổng cần cấp
a.b.δ .Eyc
φtt =
Ksd
Cho δ = 1,3
Tìm Ksd bằng cách tra bảng Ud , Ui
Ksd = Udηd + Uiηi
Lập bảng nội suy
ab
26.26
K=
=
= 2,114
h(a + b) 6,15.( 26 + 26)
Tra bảng trang 104 – 105 sách kỹ thuật chiếu sang
K
Ud
Ui

2,114
0,71
0,5

Vậy tại K = 2 ta có
Ksd = 0,37.0,71 + 0,06.0,5 = 0,293
26.26.1,3.200
φtt =
= 599863,5( Lm)
0,293
- Số bộ đèn cần đặt
φ
599863,5
N = tt =
= 59 bộ
n.φ®
2.5100

11
Do yêu cầu đối với mức độ chiếu sáng này không cao nên ta chọn số bộ đèn
là 49 bộ. Từ đó nếu độ rọi trên mắt phẳng làm việc chênh lệch nhỏ so với Eyc
mà vẫn đảm bảo các tiêu chuẩn khác thì việc lựa chọn số bộ đèn là hợp lý
Để đảm bảo tính thẩm mỹ và giải quyết kinh tế ta chọn số bộ đèn là 49 bộ
Do kích thước hội trường là hình vuông nên mỗi chiều có tương ứng
là 7 bộ
Lúc đó ta có các khoảng cách m, n, p, q là :
+ ) Theo phương a
q
Chọn m = 4 (m) và p = 1 (m)
+ ) Theo phương b
n
p
Chọn n = 4 (m) và q = 1 (m)
b=18

m

II. Kiểm tra thiết kế
1. Kiểm tra các độ rọi
Tính các E1, E3, E4
Cụ thể:
NFη
Ei =
( Fu'' .Ri + Si )
a=24
ab.1000δ
Trong đó: N- số bộ đèn
L­íi ph©n bè ®Ìn
F- quang thông tổng của một bộ đèn
Fu'' - quang thông tương đối riêng phần trên mặt phẳng làm việc
tra và nội suy theo bảng trang 116- 117 tra theo cấp của bộ đèn và các chỉ số
sau:
ab
Chỉ số địa điểm: K =
h.( a + b)
h'
h + h'
2m.n
Chỉ số lưới: Km =
h ( m + n)
Chỉ số treo: J =

Chỉ số gần ( tường ): K p =

α=

ap + bq
h ( a + b)

Kp

→ K p = α .K m
Km
Các chỉ số Ri, Si tra được ở bảng trang 118.
Cụ thể với bài toán này ta tính được như sau:
+ Tính các chỉ số
12
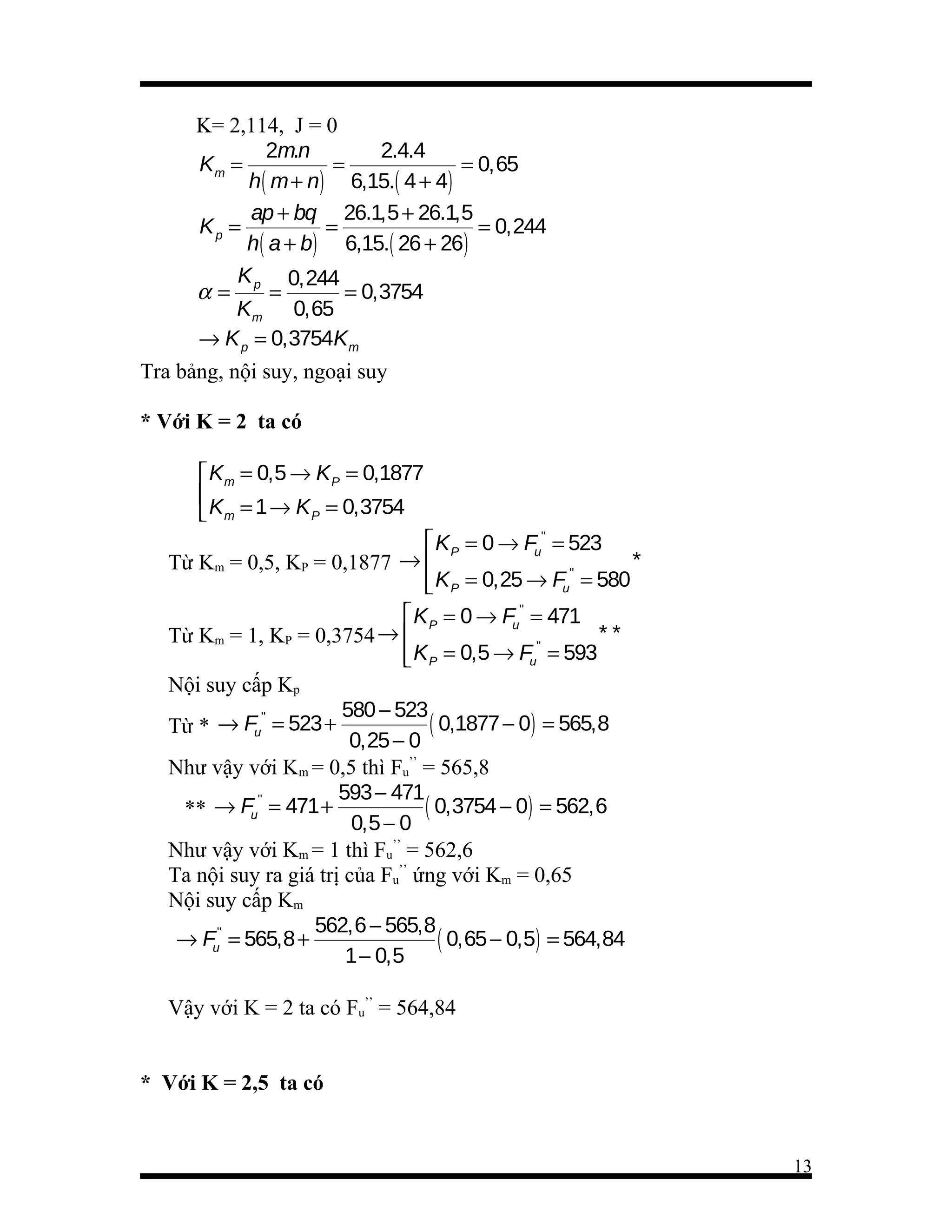
K= 2,114, J = 0
2m.n
2.4.4
Km =
=
= 0,65
h( m + n) 6,15.( 4 + 4)
ap + bq 26.1,5 + 26.1,5
Kp =
=
= 0,244
h( a + b) 6,15.( 26 + 26)
K
0,244
α= p=
= 0,3754
Km 0,65
→ K p = 0,3754Km
Tra bảng, nội suy, ngoại suy
* Với K = 2 ta có
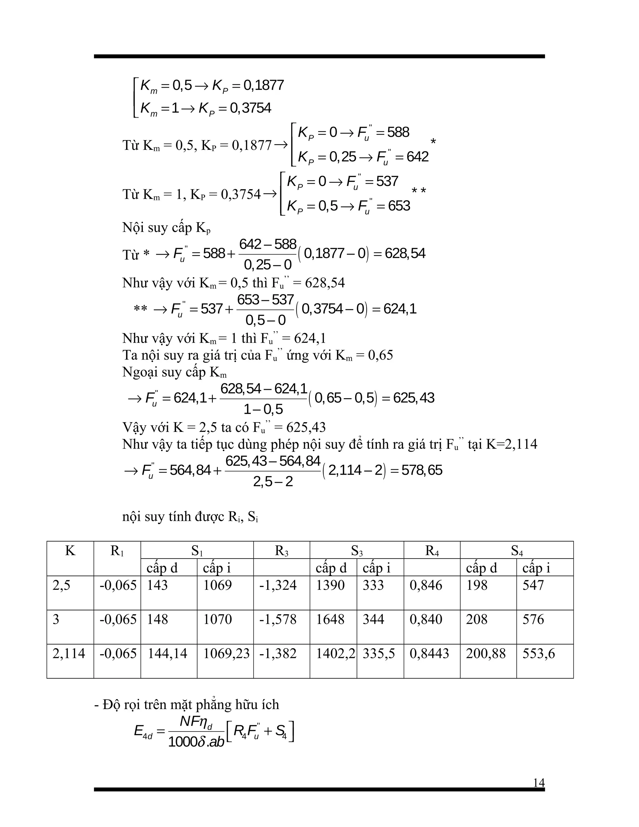
 Km = 0,5 → K P = 0,1877

 Km = 1 → K P = 0,3754
 K P = 0 → Fu'' = 523
*
Từ Km = 0,5, KP = 0,1877 → 
''
 K P = 0,25 → Fu = 580

 K P = 0 → Fu'' = 471
**
Từ Km = 1, KP = 0,3754 → 
''
 K P = 0,5 → Fu = 593

Nội suy cấp Kp
580 − 523
''
( 0,1877 − 0) = 565,8
Từ * → Fu = 523 +
0,25 − 0
Như vậy với Km = 0,5 thì Fu’’ = 565,8
593 − 471
''
( 0,3754 − 0) = 562,6
** → Fu = 471 +
0,5 − 0
Như vậy với Km = 1 thì Fu’’ = 562,6
Ta nội suy ra giá trị của Fu’’ ứng với Km = 0,65
Nội suy cấp Km
562,6 − 565,8
→ Fu'' = 565,8 +
( 0,65 − 0,5) = 564,84
1 − 0,5
Vậy với K = 2 ta có Fu’’ = 564,84
* Với K = 2,5 ta có

13
 Km = 0,5 → K P = 0,1877

 Km = 1 → K P = 0,3754
 K P = 0 → Fu'' = 588
*
Từ Km = 0,5, KP = 0,1877 → 
K P = 0,25 → Fu'' = 642


 K P = 0 → Fu'' = 537
**
Từ Km = 1, KP = 0,3754 → 
''
 K P = 0,5 → Fu = 653

Nội suy cấp Kp
642 − 588
''
( 0,1877 − 0) = 628,54
Từ * → Fu = 588 +
0,25 − 0
Như vậy với Km = 0,5 thì Fu’’ = 628,54
653 − 537
''
( 0,3754 − 0) = 624,1
** → Fu = 537 +
0,5 − 0
Như vậy với Km = 1 thì Fu’’ = 624,1
Ta nội suy ra giá trị của Fu’’ ứng với Km = 0,65
Ngoại suy cấp Km
628,54 − 624,1
→ Fu'' = 624,1 +
( 0,65 − 0,5) = 625,43
1 − 0,5
Vậy với K = 2,5 ta có Fu’’ = 625,43
Như vậy ta tiếp tục dùng phép nội suy để tính ra giá trị Fu’’ tại K=2,114
625,43 − 564,84
→ Fu'' = 564,84 +
( 2,114 − 2) = 578,65
2,5 − 2
nội suy tính được Ri, Si
K

R1

2,5

S1
cấp d
cấp i
-0,065 143
1069

3

-0,065 148

2,114 -0,065 144,14

1070

R3
-1,324

S3
cấp d cấp i
1390 333

0,846

S4
cấp d
cấp i
198
547

-1,578

1648

0,840

208

576

200,88

553,6

1069,23 -1,382

344

R4

1402,2 335,5 0,8443

- Độ rọi trên mặt phẳng hữu ích
NFη d
 R4 Fu'' + S4 
E4d =

1000δ .ab 
14
49.2.5100.0,37
( 0,8443.578,65 + 200,88)
1000.1,3.26.26
E4d = 158,57( Lx )
E4d =

E4i = 0,67.ηi .( R4 .0 + S i )
4
E4i = 0,67.0,06.553,6

E4i = 22,255( Lx )
E4 = E4d + E4i = 158,57 + 22,255 = 181 (Lx)
- Độ rọi trên tường
E3 = E3d + E3i
49.2.5100.0,37
E3d =
.( −1,382.583,46 + 1402,2)
1000.1,3.26.26
E3d = 125( Lx)
E3i = 0,67.0,06. 335,5 = 13,487 (Lx)
E3 = 125+13,487 = 138,5 (Lx)
- Độ rọi trên trần
E1 = E1d + E1i
49.2.5100.0,37
E1d =
. ( -0,065.607,74+ 144,14 ) = 24 (Lx)
1000.1,3.26.26
E1i = 0, 67.0,06. 1069,23 = 43 (Lx)
E1 = 24 + 43 = 67 (Lx)
2. Kiểm tra các tiêu chuẩn
+) Độ rọi yêu cầu
200 − 181
∆E =
.100% = 9,5% < 10% đạt
200
E3 138,5
=
= 0,765 < 0,8 đạt
+)
E4
181
+) Độ chói khi nhìn đèn
L® ( 75)
< 50 ( lao động mức thô )
Tính r =
LtrÇn
Độ chói của trần
ρ .E 0,7.67
LtrÇn = 1 1 =
= 15( cd / m2 )
π
3,14

15
Theo hướng ngang L® =

I®
Sbk

Trong đó:

I ®n ( 75) .φ® 45.2.5100
=
= 459( cd )
1000
1000
S = abcos75+acsin75
bk
I ng =

Sbk =1,7.0,6.cos75+1,7.0,25sin75
S = 0.675
bk
459
L® =
= 680 ( cd / m2 )
0,675
680
r=
= 45,33 < 50 thoả mãn
15
I®
Theo hướng dọc L® =
Sbk
Trong đó:
I ( 75) .φ® 30.2.5100
I d = ®n
=
= 306( cd )
1000
1000
S = abcos75+bcsin75
bk
Sbk =1,7.0,6.cos75+0,6.0,25sin75
S = 0,41
bk
306
L® =
= 746,34 ( cd / m2 )
0,41
746,34
r=
= 49,75 < 50 đạt
15
Như vậy với số bộ đèn là 49 bộ và mỗi bộ 2 bóng thì đảm bảo độ
đồng đều ánh sáng và đủ độ sáng.
+ ) Kiểm tra điều kiện không bị loá mắt bằng cách vẽ các đường cong độ
chói dọc trên biểu đồ của Sollner
Tính các giá trị L tại các góc γ ta được bảng sau:
γ
45
50
60
70
75
80
2
L(cd/m )

16
* Lưới phân bố:

Khi Eyc = 200 thì bật các bóng màu đen (trên sơ đồ)
Eyc = 500 thì bật tất cả các bóng

17

C.sang

  • 1.
    Bài tập dàimôn kĩ thuật chiếu sáng Yêu cầu: Thiết kế chiếu sáng cho hội trường Hội trường C2 có a × b × h = 26m × 26m × 7m Có hai mức chiếu sáng: - Mức 1: có Eyêu cầu = 500 Lx - Mức 2: có Eyêu cầu = 200 Lx Và hệ số phản xạ là: [ ρ1 ρ3 ρ4 ] = [ 731] đặt đèn sát trần Lời mở đầu Hội trường C2 là nơi để diễn ra các hoạt động văn hoá, văn nghệ, và những hội nghị cần thiết bổ ích cho tất cả các toàn thể các cán bộ trong trường và sinh viên. Vì vậy việc thiết kế chiếu sáng là rất cần thiết để đảm bảo độ sáng cho hội trường. Mục đích thiết kế chiếu sáng đưa ra được một phân bố ánh sáng hợp lý đảm bảo các chỉ tiêu kĩ thuật, đáp ứng được nhu cầu tiện nghi ánh sáng và thẩm mĩ trong không gian thiết kế. Nội dung bài toán thiết kế chiếu sáng như sau: - Thiết kế sơ bộ: qua nghiên cứu các không gian thường gặp, hội chiêu sáng quốc tế đưa ra một không gian tiêu chuẩn hình hộp để bằng cách tính toán và thực nghiệm đưa ra bảng tiêu chuẩn, bảng tra. Thiết kế sơ bộ đưa ra phương pháp chiếu sáng, cấp và số lượng bộ đèn. Đưa ra tổng quang thông cần cấp và chọn loại bóng đèn đáp ứng nhu cầu chất lượng cùng với lưới bố trí đèn. Thường bố trí lưới hình chữ nhật với chiều cao đặt đèn đã ấn định, bước này thường thực hiện nhiều phương án để so sánh cân nhắc chọn phương án tối ưu để tiếp tục tính toán. Ở đây yếu tố thẩm mĩ cũng được cân nhắc trong thiết kế chiếu sáng. - Kiểm tra thiết kế: ở bước này cần phải thực hiện việc tính toán để tìm được các độ rọi trên trần tường, mặt phẳng làm việc một cách chính xác hơn. Sau đó dùng các kết quả tính toán được để kiểm tra theo các tiêu chuẩn đã đặ ra vê yêu cầu,, tiện nghi ánh sáng. Trình tự thiết kế I. Thiết kế sơ bộ 1. Khảo sát thực địa, lấy số liệu Qua việc tìm hiểu về hội trường C2 kích thước hình học là: a × b × h = 25m × 25m × 7 m 1
  • 2.
    2. Chọn độrọi yêu cầu - Độ rọi được lấy làm tiêu chuẩn đầu tiên và quan trọng nhất trong thiết kế chiếu sáng nội thất. Căn cứ theo nội dung và hoạt động của hội trường C2 thì cớ độ rọi như sau: - Mức 1: có Eyêu cầu = 500 Lx - Mức 2: có Eyêu cầu = 200 Lx - Và thông số bộ phản xạ + Hệ số phản xạ của trần ρ1 = 0,7 + Hệ số phản xạ của tường ρ3 = 0,3 + Hệ số phản xạ của sàn nhà ρ 4 = 0,1 * Với độ rọi Eyc = 500 Lx 1. Xác định kiểu chiếu sáng và cấp bộ đèn a) Kiểu chiếu sáng Kiểu chiếu sáng cần được lựa chọn phù hợp với các hoạt động thường diễn ra trong phòng. Thường các không gian có hoạt động thông thường: văn phòng, phòng học, siêu thị thì chọn các phương án kiểu trực tiếp hoặc bán gián tiếp. Các không gian sinh hoạt, tự dinh,khu vui chơi giải trí,tiếp khách thường chọn kiểu chiếu sáng hỗn hợp hoặc gián tiếp. - Kiểu chiếu sáng trực tiếp tăng cường: dùng cho những nơi có chiều cao tương đối lớn, độ rọi yêu cầu cao hoặc là các chiếu sáng cục bộ. Khi đó tường và không gian xung quanh sẽ tối. - Kiểu chiếu sáng trực tiếp rộng và bán trực tiếp thường tạo được không gian có tiện nghi tốt, cả mặt phẳng làm việc và tường đều được chiếu sáng theo một tỷ lệ thích hợp. Thường ứng dụng cho chiếu sáng chung, các hoạt động thông thường. - Kiểu chiếu sáng gián tiếp và bán gián tiếp: được ứng dụng cho nơi có độ rọi thấp, tính thẩm mĩ và trang trí cao thường ứng dụng trong tư gia, không gian giải trí. Với hội trường C2 là nơi diễn ra các hoạt động văn hoá, văn nghệ, các cuộc học chính trị cho sinh viên và nhiều các cuộc hội thảo thì chọn kiểu chiếu sáng trực tiếp rộng và bán gián tiếp. b) Chọn bộ đèn Chọn cấp bộ đèn căn cứ vào kiểu chiếu sáng đã lựa chọn đồng thời quan tâm đến tính thẩm mĩ. Như vậy với hội trường C2 thì ta chọn bộ đèn có kí hiệu: 0,37G + 0,06 T kí hiệu DOMINO 265 2. Chọn loại đèn Việc chọn đèn phụ thuộc vào các yếu tố 2
  • 3.
    - Căn cứđầu tiên là phải phù hợp độ rọi yêu cầu với nhiệt độ màu của đèn theo biểu đồ Kioff - Chỉ số hoàn màu phải đáp ứng được yêu cầu về chất lượng ánh sáng cho công việc diễn ra trong phòng - Tính kinh tế: hiệu suất phát quang - Thời gian khởi động, hiệu ứng nhấp nháy đặc biệt là cho những ứng dụng chiếu sáng dự phòng ở những nơi công cộng hoặc chiếu sáng cho những nơi quan sát chuyển động. Có một số loại đèn thông dụng - Đèn huỳnh quang: nhờ vào hiệu suất phát quang cao, chỉ số hoàn màu đạt tiêu chuẩn, nên đèn được ứng dụng rộng rãi nhất trong chiếu sáng nội thất. - Đèn sợi đốt có hiệu suất phát quang thấp, tuổi thọ thấp nhưng chất lượng ánh sáng cao ( chỉ số hoàn màu cao) được ứng dụng ở những nơi có độ rọi thấp, hoặc được sử dụng trong chiếu sáng cục bộ, đèn bàn, đèn máy công cụ, đèn trang trí. Việc chiếu sáng cho hội trường C2 ta dùng đèn huỳnh quang có φ® = 5100Lm 3. Chọn chiều cao đặt đèn - h - là khoảng cách từ bộ đèn đến mặt phẳng làm việc - h’ - là khoảng cách từ bộ đèn đến trần h là thông số hình học quan trọng nhất trong các thông số kĩ thuật quyết định chất lượng thiết kế. Khi chọn h cần cân nhắc kết cấu công trình, dầm nhà quạt trần Về nguyên tắc nhà cao, có điều kiện để chọn h lớn thì sẽ đạt được độ đồng đều ánh sáng và hiệu suất cao vì khi đó sẽ sử dụng được bóng có công suất lớn, quang thông lớn, thường bóng có hiệu suất cao hơn. Vì theo kết cấu ngôi nhà thì ta chọn đèn sát trần nghĩa là h’ = 0. 4. Bố trí các bộ đèn và số bộ đèn tối thiểu Nmin + ) Bố trí các bộ đèn - Các bảng tra được lập ra trên cơ sở các bộ đèn bố trí theo tính chất tổ chức lưới chữ nhật trên trần - Giá trị m, n, p, q sẽ quyết định đến việc bố trí đồng đều ánh sáng và tương quan về độ rọi giữa tường và mặt phẳng làm việc. + ) Số bộ đèn tối thiểu cho một không gian Nmin Với một không gian có chiều cao 7 m, kích thước a = 26 m, b = 26 m thì sau khi chọn h và cấp của bộ đèn có thể xác định được số điểm đặt đèn ít nhất trên trần để đảm bảo được độ đồng đều ánh sáng trên mặt phẳng làm việc. 3
  • 4.
     n  Từcấp của bộ đèn →  ÷ = 1,5  hmax  h = H – 0,85 = 7 – 0,85 = 6,15 (m) m, n < 1,5. 6,15 = 9,225 (m) Vì giá trị của m, n còn phụ thuộc vào cả p , q 1 1 → m( n) ≤ p ( q) ≤ m( n) 3 2 Xét phương a a 26 = = 2.8 Số bộ đèn X = 9,225 9,225 Chọn X = 3 bộ Lấy p = 0,5.m → 2m + 0,5.2m = 26 26 → m= = 8,67(m) 3 Chọn m = 9 (m) như vậy p = 3,5 (m) Xét phương b b 26 = = 2,8 Số bộ đèn Y = 9,225 9,225 Chọn Y = 3 bộ Lấy q = 0,5 n → 2n + 0,5.2.n = 26 26 →n= = 8,67(m) 3 Chọn n = 9 (m) như vậy q = 3,5 (m) Vậy số bộ đèn nhỏ nhất là Nmin = 9 bộ 5. Tính quang thông tổng cần cấp φtt Quang thông tổng là thông số quan trọng nhất dùng làm cơ sở tính ra số bộ đèn và lưới phân bố. - Tính quang thông tổng cần cấp a.b.δ .Eyc φtt = Ksd Cho δ = 1,3 Tìm Ksd bằng cách tra bảng Ud , Ui Ksd = Udηd + Uiηi Lập bảng nội suy 4
  • 5.
    K= ab 26.26 = = 2,114 h(a +b) 6,15.( 26 + 26) Tra bảng trang 104 – 105 sách kỹ thuật chiếu sang K Ud Ui 2,114 0,71 0,5 Vậy tại K = 2 ta có Ksd = 0,37.0,71 + 0,06.0,5 = 0,293 26.26.1,3.500 φtt = = 1499659( Lm) 0,293 - Số bộ đèn cần đặt φ 1499659 N = tt = = 147 bộ n.φ® 2.5100 Chọn N = 169 bộ Do kích thước hội trường là hình vuông nên mỗi chiều có tương ứng là 13 bộ Lúc đó ta có các khoảng cách m, n, p, q là : + ) Theo phương a q → 12m + 2.0,5m = 26 n Lấy p = 0,5m 26 p → m= = 2(m) 13 m b=18 Chọn m = 2 (m) như vậy p = 1 (m) + ) Theo phương b n = 2 (m) và q = 1 (m) II. Kiểm tra thiết kế 1. Kiểm tra các độ rọi Tính các E1, E3, E4 Cụ thể: NFη Ei = ( Fu'' .Ri + Si ) ab.1000δ Trong đó: N- số bộ đèn F- quang thông tổng của một bộ đèn a=24 L­íi ph©n bè ®Ìn 5
  • 6.
    Fu'' - quangthông tương đối riêng phần trên mặt phẳng làm việc tra và nội suy theo bảng trang 116- 117 tra theo cấp của bộ đèn và các chỉ số sau: ab Chỉ số địa điểm: K = h.( a + b) h' Chỉ số treo: J = h + h' 2m.n Chỉ số lưới: Km = h ( m + n) Chỉ số gần ( tường ): K p = α= ap + bq h ( a + b) Kp → K p = α .K m Km Các chỉ số Ri, Si tra được ở bảng trang 118. Cụ thể với bài toán này ta tính được như sau: + Tính các chỉ số K= 2,114, J = 0 2m.n 2.2.2 Km = = = 0,325 h( m + n) 6,15.( 2 + 2) ap + bq 26.1,5 + 26.1,5 Kp = = = 0,244 h( a + b) 6,15.( 26 + 26) K 0,244 α= p= = 0,75 Km 0,325 → K p = 0,75Km Tra bảng, nội suy * Với K = 2 ta có  Km = 0,5 → K P = 0,375   Km = 1 → K P = 0,75  K P = 0,5 → Fu'' = 630 * Từ Km = 0,5, KP = 0,375 →  ''  K P = 0,25 → Fu = 580  6
  • 7.
     K P= 1 → Fu'' = 682 ** Từ Km = 1, KP = 0,75 →  K P = 0,5 → Fu'' = 593   Nội suy cấp Kp 630 − 580 '' ( 0,375 − 0,25) = 605 Từ * → Fu = 580 + 0,5 − 0,25 Như vậy với Km = 0,5 thì Fu’’ = 605 682 − 593 '' ( 0,75 − 0,5) = 637,5 ** → Fu = 593 + 1 − 0,5 Như vậy với Km = 1 thì Fu’’ = 637,5 Ta ngoại suy ra giá trị của Fu’’ ứng với Km = 0,325 Ngoại suy cấp Km 637,5 − 605 → Fu'' = 605 + ( 0,325 − 0,5) = 593,625 1 − 0,5 Vậy với K = 2 ta có Fu’’ = 593,625 * Với K = 2,5 ta có  Km = 0,5 → K P = 0,375   Km = 1 → K P = 0,75  K P = 0,5 → Fu'' = 689 * Từ Km = 0,5, KP = 0,375 →  ''  K P = 0,25 → Fu = 642   K P = 1 → Fu'' = 735 ** Từ Km = 1, KP = 0,75 →  ''  K P = 0,5 → Fu = 653  Nội suy cấp Kp 689 − 642 '' ( 0,375 − 0,25) = 665,5 Từ * → Fu = 642 + 0,5 − 0,25 Như vậy với Km = 0,5 thì Fu’’ = 665,5 735 − 653 '' ( 0,75 − 0,5) = 694 ** → Fu = 653 + 1 − 0,5 Như vậy với Km = 1 thì Fu’’ = 694 Ta ngoại suy ra giá trị của Fu’’ ứng với Km = 0,325 Ngoại suy cấp Km 7
  • 8.
    694 − 665,5 (0,325 − 0,5) = 655,525 1 − 0,5 Vậy với K = 2,5 ta có Fu’’ = 655,525 Như vậy ta tiếp tục dùng phép nội suy để tính ra giá trị Fu’’ tại K=2,114 655,525 − 593,625 → Fu'' = 593,625 + ( 2,114 − 2) = 607,74 2,5 − 2 → Fu'' = 665,5 + nội suy tính được Ri, Si K R1 2,5 S1 cấp d cấp i -0,065 143 1069 3 -0,065 148 2,114 -0,065 144,14 1070 R3 -1,324 S3 cấp d cấp i 1390 333 0,846 S4 cấp d cấp i 198 547 -1,578 1648 0,840 208 576 200,88 553,6 1069,23 -1,382 344 R4 1402,2 335,5 0,8443 - Độ rọi trên mặt phẳng hữu ích NFη d  R4 Fu'' + S4  E4d =  1000δ .ab  169.2.5100.0,37 E4d = ( 0,8443.607,74 + 200,88) 1000.1,3.26.26 E4d = 0,7257.( 0,8443.607,74 + 200,88) E4d = 518,2 ( Lx ) E4i = 0,67.ηi .( R4 .0 + S i ) 4 E4i = 0,67.0,06.553,6 E4i = 22,255( Lx ) E4 = E4d + E4i = 518,2+22,255 = 540,455 (Lx) - Độ rọi trên tường E3 = E3d + E3i E3d = 0,7257.( −1,382.607,74 + 1402,2) E3d = 408,06( Lx) E3i = 0,67.0,06. 335,5 = 13,487 (Lx) E3 = 408,06+13,487 = 421,55 (Lx) 8
  • 9.
    - Độ rọitrên trần E1 = E1d + E1i E1d = 0,7257. ( -0,065.607,74+ 144,14 ) = 76 (Lx) E1i = 0, 67.0,06. 1069,23 = 43 (Lx) E1 = 76 + 43 = 119 (Lx) 2. Kiểm tra các tiêu chuẩn +) Độ rọi yêu cầu 500 − 540,455 ∆E = .100% = 8,1% < 10% đạt 500 E3 421,55 = = 0,78 < 0,8 đạt +) E4 540,455 +) Độ chói khi nhìn đèn L® ( 75) < 50 ( lao động mức thô ) Tính r = LtrÇn Độ chói của trần ρ .E 0,7.119 LtrÇn = 1 1 = = 26,53( cd / m2 ) π 3,14 I® Theo hướng ngang L® = Sbk Trong đó: I ( 75) .φ® 45.2.5100 I ng = ®n = = 459( cd ) 1000 1000 S = abcos75+acsin75 bk Sbk =1,7.0,6.cos75+1,7.0,25sin75 S = 0,675 bk 459 L® = = 680( cd / m2 ) 0,675 680 r= = 25,63 < 50 thoả mãn 26,53 I® Theo hướng dọc L® = Sbk Trong đó: I ( 75) .φ® 30.2.5100 I d = ®n = = 306( cd ) 1000 1000 9
  • 10.
    S = abcos75+bcsin75 bk Sbk=1,7.0,6.cos75+0,6.0,25sin75 S = 0,41 bk 306 L® = = 746,34 ( cd / m2 ) 0,41 746,34 r= = 28,13 < 50 đạt 26,53 Như vậy với số bộ đèn là 169bộ và mỗi bộ 2 bóng thì đảm bảo độ đồng đều ánh sáng và đủ độ sáng. + ) Kiểm tra điều kiện không bị loá mắt bằng cách vẽ các đường cong độ chói dọc trên biểu đồ của Sollner Tính các giá trị L tại các góc γ ta được bảng sau: γ 45 50 60 70 75 80 2 L(cd/m ) * Với độ rọi Eyc = 200 Lx 1. Bố trí các bộ đèn và số bộ đèn tối thiểu Nmin  n  Từ cấp của bộ đèn →  ÷ = 1,5 hmax   h = H – 0,85 = 7 – 0,85 = 6,15 (m) m, n < 1,5. 6,15 = 9,225 (m) Vì giá trị của m, n còn phụ thuộc vào cả p , q 1 1 → m( n) ≤ p ( q) ≤ m( n) 3 2 Xét phương a a 26 = = 2.8 Số bộ đèn X = 9,225 9,225 Chọn X = 3 bộ Lấy p = 0,5.m → 2m + 0,5.2m = 26 26 → m= = 8,67(m) 3 Chọn m = 9 (m) như vậy p = 3,5 (m) 10
  • 11.
    Xét phương b Sốbộ đèn Y = b 26 = = 2,8 9,225 9,225 Chọn Y = 3 bộ Lấy q = 0,5 n → 2n + 0,5.2.n = 26 26 →n= = 8,67(m) 3 Chọn n = 9 (m) như vậy q = 3,5 (m) Vậy số bộ đèn nhỏ nhất là Nmin = 9 bộ 2. Tính quang thông tổng cần cấp φtt Quang thông tổng là thông số quan trọng nhất dùng làm cơ sở tính ra số bộ đèn và lưới phân bố. - Tính quang thông tổng cần cấp a.b.δ .Eyc φtt = Ksd Cho δ = 1,3 Tìm Ksd bằng cách tra bảng Ud , Ui Ksd = Udηd + Uiηi Lập bảng nội suy ab 26.26 K= = = 2,114 h(a + b) 6,15.( 26 + 26) Tra bảng trang 104 – 105 sách kỹ thuật chiếu sang K Ud Ui 2,114 0,71 0,5 Vậy tại K = 2 ta có Ksd = 0,37.0,71 + 0,06.0,5 = 0,293 26.26.1,3.200 φtt = = 599863,5( Lm) 0,293 - Số bộ đèn cần đặt φ 599863,5 N = tt = = 59 bộ n.φ® 2.5100 11
  • 12.
    Do yêu cầuđối với mức độ chiếu sáng này không cao nên ta chọn số bộ đèn là 49 bộ. Từ đó nếu độ rọi trên mắt phẳng làm việc chênh lệch nhỏ so với Eyc mà vẫn đảm bảo các tiêu chuẩn khác thì việc lựa chọn số bộ đèn là hợp lý Để đảm bảo tính thẩm mỹ và giải quyết kinh tế ta chọn số bộ đèn là 49 bộ Do kích thước hội trường là hình vuông nên mỗi chiều có tương ứng là 7 bộ Lúc đó ta có các khoảng cách m, n, p, q là : + ) Theo phương a q Chọn m = 4 (m) và p = 1 (m) + ) Theo phương b n p Chọn n = 4 (m) và q = 1 (m) b=18 m II. Kiểm tra thiết kế 1. Kiểm tra các độ rọi Tính các E1, E3, E4 Cụ thể: NFη Ei = ( Fu'' .Ri + Si ) a=24 ab.1000δ Trong đó: N- số bộ đèn L­íi ph©n bè ®Ìn F- quang thông tổng của một bộ đèn Fu'' - quang thông tương đối riêng phần trên mặt phẳng làm việc tra và nội suy theo bảng trang 116- 117 tra theo cấp của bộ đèn và các chỉ số sau: ab Chỉ số địa điểm: K = h.( a + b) h' h + h' 2m.n Chỉ số lưới: Km = h ( m + n) Chỉ số treo: J = Chỉ số gần ( tường ): K p = α= ap + bq h ( a + b) Kp → K p = α .K m Km Các chỉ số Ri, Si tra được ở bảng trang 118. Cụ thể với bài toán này ta tính được như sau: + Tính các chỉ số 12
  • 13.
    K= 2,114, J= 0 2m.n 2.4.4 Km = = = 0,65 h( m + n) 6,15.( 4 + 4) ap + bq 26.1,5 + 26.1,5 Kp = = = 0,244 h( a + b) 6,15.( 26 + 26) K 0,244 α= p= = 0,3754 Km 0,65 → K p = 0,3754Km Tra bảng, nội suy, ngoại suy * Với K = 2 ta có  Km = 0,5 → K P = 0,1877   Km = 1 → K P = 0,3754  K P = 0 → Fu'' = 523 * Từ Km = 0,5, KP = 0,1877 →  ''  K P = 0,25 → Fu = 580   K P = 0 → Fu'' = 471 ** Từ Km = 1, KP = 0,3754 →  ''  K P = 0,5 → Fu = 593  Nội suy cấp Kp 580 − 523 '' ( 0,1877 − 0) = 565,8 Từ * → Fu = 523 + 0,25 − 0 Như vậy với Km = 0,5 thì Fu’’ = 565,8 593 − 471 '' ( 0,3754 − 0) = 562,6 ** → Fu = 471 + 0,5 − 0 Như vậy với Km = 1 thì Fu’’ = 562,6 Ta nội suy ra giá trị của Fu’’ ứng với Km = 0,65 Nội suy cấp Km 562,6 − 565,8 → Fu'' = 565,8 + ( 0,65 − 0,5) = 564,84 1 − 0,5 Vậy với K = 2 ta có Fu’’ = 564,84 * Với K = 2,5 ta có 13
  • 14.
     Km =0,5 → K P = 0,1877   Km = 1 → K P = 0,3754  K P = 0 → Fu'' = 588 * Từ Km = 0,5, KP = 0,1877 →  K P = 0,25 → Fu'' = 642    K P = 0 → Fu'' = 537 ** Từ Km = 1, KP = 0,3754 →  ''  K P = 0,5 → Fu = 653  Nội suy cấp Kp 642 − 588 '' ( 0,1877 − 0) = 628,54 Từ * → Fu = 588 + 0,25 − 0 Như vậy với Km = 0,5 thì Fu’’ = 628,54 653 − 537 '' ( 0,3754 − 0) = 624,1 ** → Fu = 537 + 0,5 − 0 Như vậy với Km = 1 thì Fu’’ = 624,1 Ta nội suy ra giá trị của Fu’’ ứng với Km = 0,65 Ngoại suy cấp Km 628,54 − 624,1 → Fu'' = 624,1 + ( 0,65 − 0,5) = 625,43 1 − 0,5 Vậy với K = 2,5 ta có Fu’’ = 625,43 Như vậy ta tiếp tục dùng phép nội suy để tính ra giá trị Fu’’ tại K=2,114 625,43 − 564,84 → Fu'' = 564,84 + ( 2,114 − 2) = 578,65 2,5 − 2 nội suy tính được Ri, Si K R1 2,5 S1 cấp d cấp i -0,065 143 1069 3 -0,065 148 2,114 -0,065 144,14 1070 R3 -1,324 S3 cấp d cấp i 1390 333 0,846 S4 cấp d cấp i 198 547 -1,578 1648 0,840 208 576 200,88 553,6 1069,23 -1,382 344 R4 1402,2 335,5 0,8443 - Độ rọi trên mặt phẳng hữu ích NFη d  R4 Fu'' + S4  E4d =  1000δ .ab  14
  • 15.
    49.2.5100.0,37 ( 0,8443.578,65 +200,88) 1000.1,3.26.26 E4d = 158,57( Lx ) E4d = E4i = 0,67.ηi .( R4 .0 + S i ) 4 E4i = 0,67.0,06.553,6 E4i = 22,255( Lx ) E4 = E4d + E4i = 158,57 + 22,255 = 181 (Lx) - Độ rọi trên tường E3 = E3d + E3i 49.2.5100.0,37 E3d = .( −1,382.583,46 + 1402,2) 1000.1,3.26.26 E3d = 125( Lx) E3i = 0,67.0,06. 335,5 = 13,487 (Lx) E3 = 125+13,487 = 138,5 (Lx) - Độ rọi trên trần E1 = E1d + E1i 49.2.5100.0,37 E1d = . ( -0,065.607,74+ 144,14 ) = 24 (Lx) 1000.1,3.26.26 E1i = 0, 67.0,06. 1069,23 = 43 (Lx) E1 = 24 + 43 = 67 (Lx) 2. Kiểm tra các tiêu chuẩn +) Độ rọi yêu cầu 200 − 181 ∆E = .100% = 9,5% < 10% đạt 200 E3 138,5 = = 0,765 < 0,8 đạt +) E4 181 +) Độ chói khi nhìn đèn L® ( 75) < 50 ( lao động mức thô ) Tính r = LtrÇn Độ chói của trần ρ .E 0,7.67 LtrÇn = 1 1 = = 15( cd / m2 ) π 3,14 15
  • 16.
    Theo hướng ngangL® = I® Sbk Trong đó: I ®n ( 75) .φ® 45.2.5100 = = 459( cd ) 1000 1000 S = abcos75+acsin75 bk I ng = Sbk =1,7.0,6.cos75+1,7.0,25sin75 S = 0.675 bk 459 L® = = 680 ( cd / m2 ) 0,675 680 r= = 45,33 < 50 thoả mãn 15 I® Theo hướng dọc L® = Sbk Trong đó: I ( 75) .φ® 30.2.5100 I d = ®n = = 306( cd ) 1000 1000 S = abcos75+bcsin75 bk Sbk =1,7.0,6.cos75+0,6.0,25sin75 S = 0,41 bk 306 L® = = 746,34 ( cd / m2 ) 0,41 746,34 r= = 49,75 < 50 đạt 15 Như vậy với số bộ đèn là 49 bộ và mỗi bộ 2 bóng thì đảm bảo độ đồng đều ánh sáng và đủ độ sáng. + ) Kiểm tra điều kiện không bị loá mắt bằng cách vẽ các đường cong độ chói dọc trên biểu đồ của Sollner Tính các giá trị L tại các góc γ ta được bảng sau: γ 45 50 60 70 75 80 2 L(cd/m ) 16
  • 17.
    * Lưới phânbố: Khi Eyc = 200 thì bật các bóng màu đen (trên sơ đồ) Eyc = 500 thì bật tất cả các bóng 17