CHAPTER 7:
Coordinate Geometry
7.3 Areas of Polygons
Add mathf4
Prepared by: Mdm Atiqah
What are we going to learn?
Textbook: Page 192
Textbook: Page 192
Textbook: Page 192
)
)(
(
2
1
1
3
1
2
3
2 y
y
y
y
x
x 




Textbook: Page 193
Textbook: Page 193
There are 2 methods that can be used
to determine area of triangle:
Boxmethod
Textbook: Page 193
)
12
( )
40
( )
12
( )
30
( )
6
( )
32
(
Textbook: Page 193
)
32
( )
6
( )
30
( )
12
( )
40
( )
12
(
Textbook: Page 193
Textbook: Page 194
Textbook: Page 194
Textbook: Page 194
Textbook: Page 195
Textbook: Page 195
Textbook: Page 195
Textbook: Page 195
Textbook: Page 196
P Q R S P
Textbook: Page 196
Textbook: Page 196
Textbook: Page 196
Textbook: Page 197
Textbook: Page 197
Textbook: Page 197
Textbook: Page 197
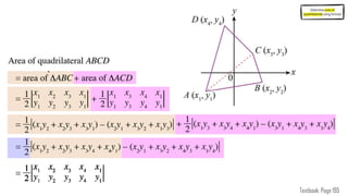
Textbook: Page 198
CONCLUSIONS :
There are 2 methods that can be used
to determine area of triangle:
i) Formula ‘Shoelace algorithm’
ii) Box method
1.
subtraction
addition
CONCLUSIONS :
3.
4.
CONCLUSIONS :
5.
Have we achieved our objectives for today?
Thank you

COORDINATE GEOMETRY (Area of Polygons).pptx