Continuous
Random Variable
0 1
Continuous Random Variable:
A random variable X is said to be continuous if it takes on infinite number of
values.
The probability function associated with it is said to be PDF = Probability density
function
The function f(x) is a probability density function (pdf) for the continuous random
variable X, defined over the set of real numbers, if
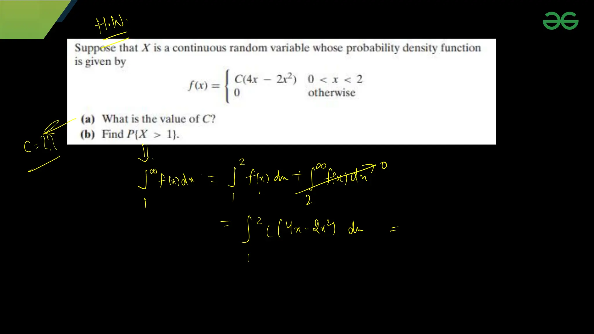
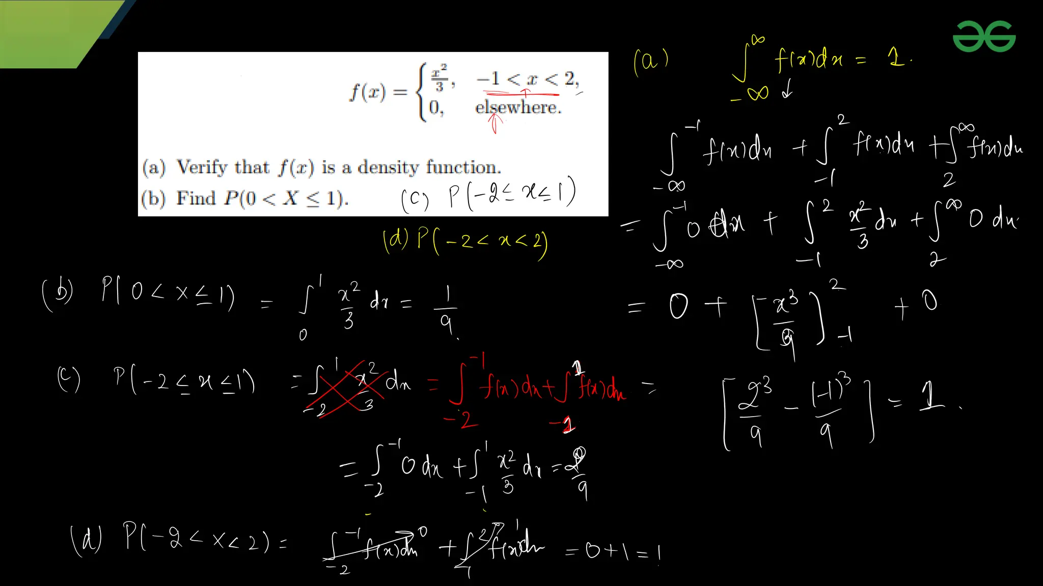
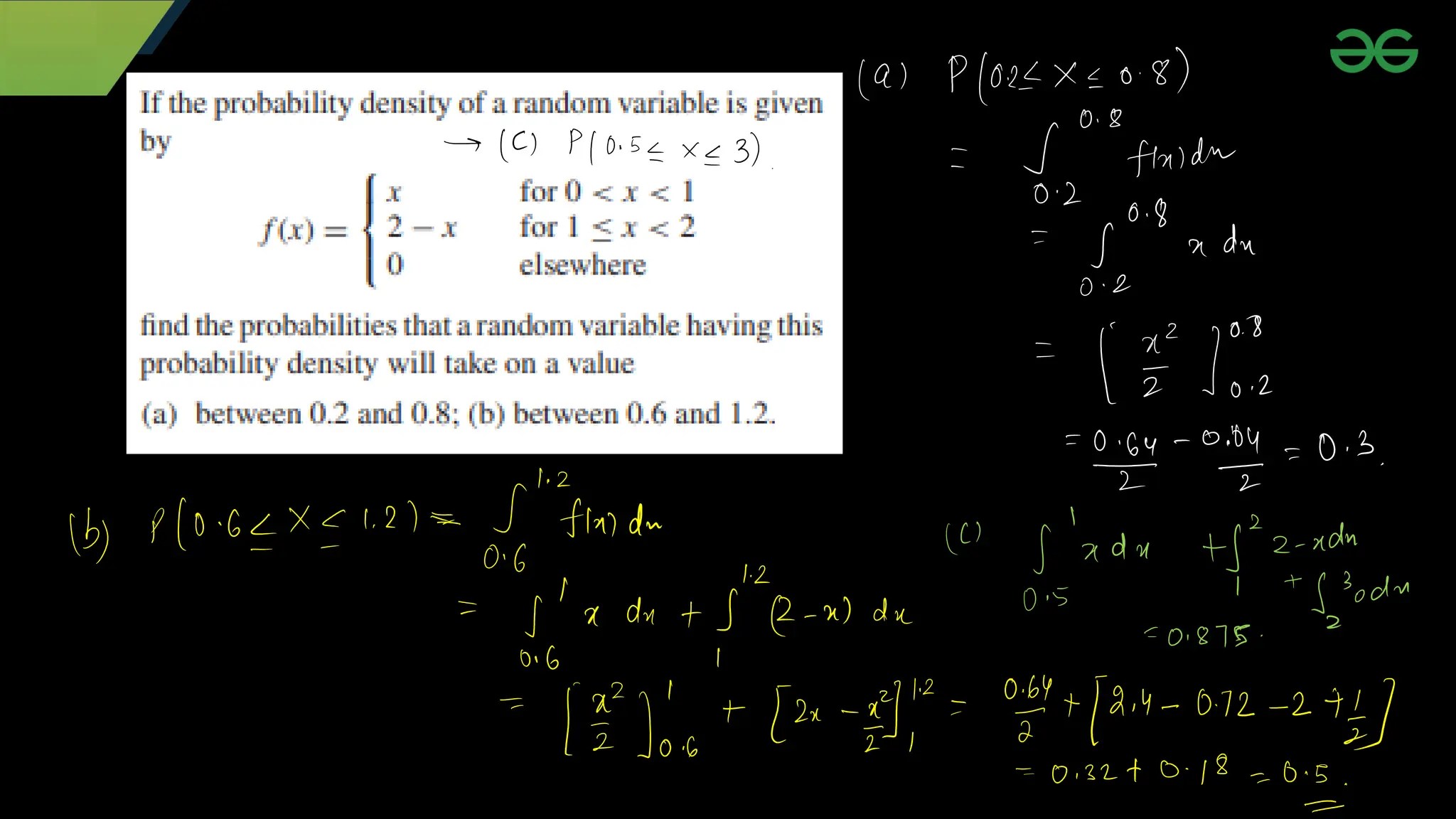
Compute the value of P (1 < X < 2).
Such that
𝑓(𝑥) = ቊ
𝑘𝑥3
, 0 ≤ 𝑥 ≤ 3
0, 𝑜𝑡ℎ𝑒𝑟𝑤𝑖𝑠𝑒
Where, f(x) is a density function
Compute the value of P (2 < X < 5).
Such that
𝑓(𝑥) = ቊ
𝑘𝑥3
, 0 ≤ 𝑥 ≤ 3
0, 𝑜𝑡ℎ𝑒𝑟𝑤𝑖𝑠𝑒
Where, f(x) is a density function
Thank you

continous random variable in probablity and statistics for CSE

  • 1.
  • 4.
    Continuous Random Variable: Arandom variable X is said to be continuous if it takes on infinite number of values. The probability function associated with it is said to be PDF = Probability density function The function f(x) is a probability density function (pdf) for the continuous random variable X, defined over the set of real numbers, if
  • 6.
    Compute the valueof P (1 < X < 2). Such that 𝑓(𝑥) = ቊ 𝑘𝑥3 , 0 ≤ 𝑥 ≤ 3 0, 𝑜𝑡ℎ𝑒𝑟𝑤𝑖𝑠𝑒 Where, f(x) is a density function
  • 7.
    Compute the valueof P (2 < X < 5). Such that 𝑓(𝑥) = ቊ 𝑘𝑥3 , 0 ≤ 𝑥 ≤ 3 0, 𝑜𝑡ℎ𝑒𝑟𝑤𝑖𝑠𝑒 Where, f(x) is a density function
  • 18.