Embed presentation
Download to read offline







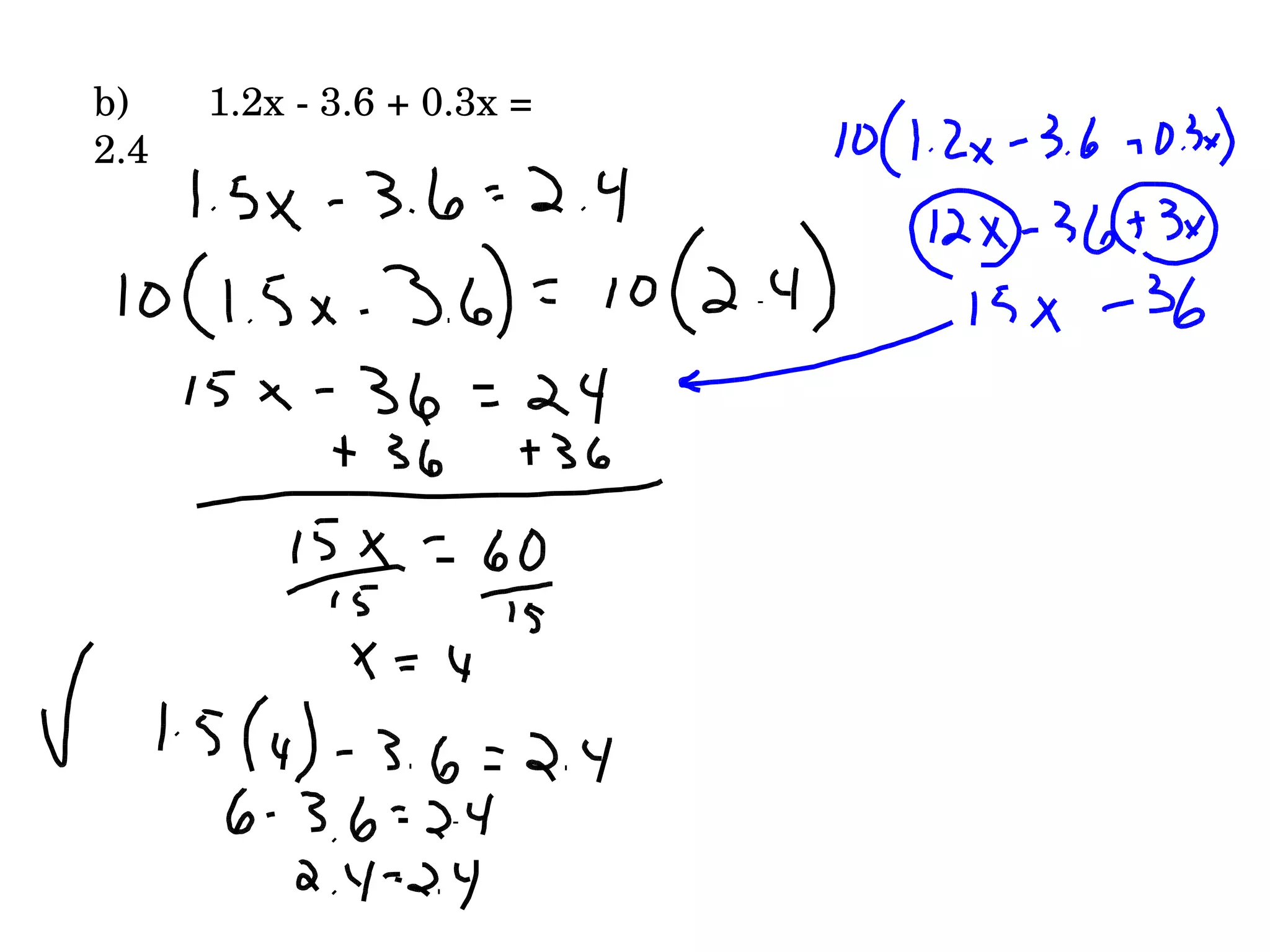
The document provides two math word problems for the reader to solve: (1) m/4 + m/2 = 5/8 and (2) 2/3x - 5/8x = 26. It then provides two additional math word problems for the reader to solve: (a) 0.025x + 22.95 = 23.65 and (b) 1.2x - 3.6 + 0.3x = 2.4. The reader is instructed to check their understanding by solving these problems.






