CHEM CHO
THE CHEMISTRY (AND OTHER ALLIED
SCIENCES) QUIZ
PRELIMS
20 Questions
16-20 Star marked.
All the best!
#1
One of the first people Harry, Ron and
Hermoine encounter on their Chocolate Cards is
the wizard Nicolas Flamel. Nicolas Flamel would
be Albus Dumbledore’s best friend and lab
partner, sort of.
According to harrypotterwikia, Flamel and his
wife were aged 665 and 658 respectively, at
their time of deaths. How could this have been
#2 IDENTIFY THE ARCHITECT.
#3
In the olden days of spectroscopy, spectral
lines, on the basis of their observed fine
structure, were classified as “fundamental”,
“principal”, “diffuse” and “sharp”.
This terminology is now obsolete but it survives
in modern chemistry in a different form.
How?
#4
Thiols are sulfur containing organic compounds
known, among other things for their horrible
smells. To give an example, a laboratory
experiment attempting to make thioacetone led to
such a strong and repulsive odour that an entire
city had to be evacuated.
Which mammal, infamous for its odour (obviously),
is known for producing as many as three different
thiol compounds and using it as a defense strategy?
#5 (SORRY, NOT EXACTLY CHEMISTRY
QUESTION)
Identify this voice.
Clue: Think which instrument is being played.
#6
Human blood is red because our blood cells are
made up of Hemoglobin, a protein which contains
iron. These iron molecules bind oxygen and the
light which is reflected off them appears red in
colour.
Other animals like the Octopus or the Tarantula
bleed blue. This is because they have Hemocyanin
instead of Hemoglobin as the oxygen transporting
protein. What metal atom combines with oxygen
molecules to make up Hemocyanin?
#7
In stereochemistry, one comes across the R-S
nomenclature - enantiomers are labelled either
R or S, depending on their “handedness”.
If R stands for Rectus, latin for “Right”, what
does S stand for?
#8
What word, coined by polish biochemist
Kazimierz Funk, has its origins because it was
thought that the nitrogen containing functional
group was a vital constituent in the
macronutrients that prevented beriberi and
other dietary deficiencies?
#9
Winston Churchill labeled this drug a “miraculous”
discovery in 1945. TIME magazine called it “a
benefactor of all humanity”. 60 years later, this has
been directly linked to cancer, diabetes, has been
shown to trigger some eerie hormonal responses
and is been banned in the US, UK and 12 other
countries.
India is the only country still manufacturing this
product and also, not surprisingly, its largest
consumer.
#10 (SORRY AGAIN, NOT
CHEMISTRY)
From Dan Falk’s Science of Shakespeare: A New
Look at the Playwright’s Universe:
Jupiter, so often invoked by characters in so many of
the plays, never actually makes a personal
appearance — until this point in Cymbeline. And of
course Jupiter is not alone in the scene: Just below
him, we see four ghosts moving in a circle…
The four ghosts are supposed to be a
reference/result of the discoveries of which famous
contemporary (of Shakespeare)?
#11
Antoine Lavosier believed that these substances got their
properties because of the presence/absence of Oxygen.
Svante Arrhenius categorized them in terms of the ions they
produce on dissociating in water.
The pair of Thomas Lowry and Johannes Bronsted defined
them in terms of protons.
G N Lewis preferred to think of them in terms of electron pair
movements.
The Russian chemist Mikahil Usanovich further generalized
this theory into its current more accepted form.
What am I talking about?
#12
We’ve all seen geckos climbing up
and down trees/walls with ease, head
up or head down.
The reason they’re able to this is not
because their legs secrete some sticky
fluid but that they’re actually covered
with half a million tiny hairs,
exponentially increasing their surface
area and bringing into play a force
which our according to our textbooks
is supposed to be very weak.
What is this force responsible for
holding geckos from falling?
#13
Eating too many carrots can make you turn
orange. Any teenager who watches Ninja Hattori
or House MD would know that. There’s also a
particular bird which is born white but turns
pink/red as it grows up due to high amounts of
that orange pigment in their food supply.
What bird? What is the pigment called?
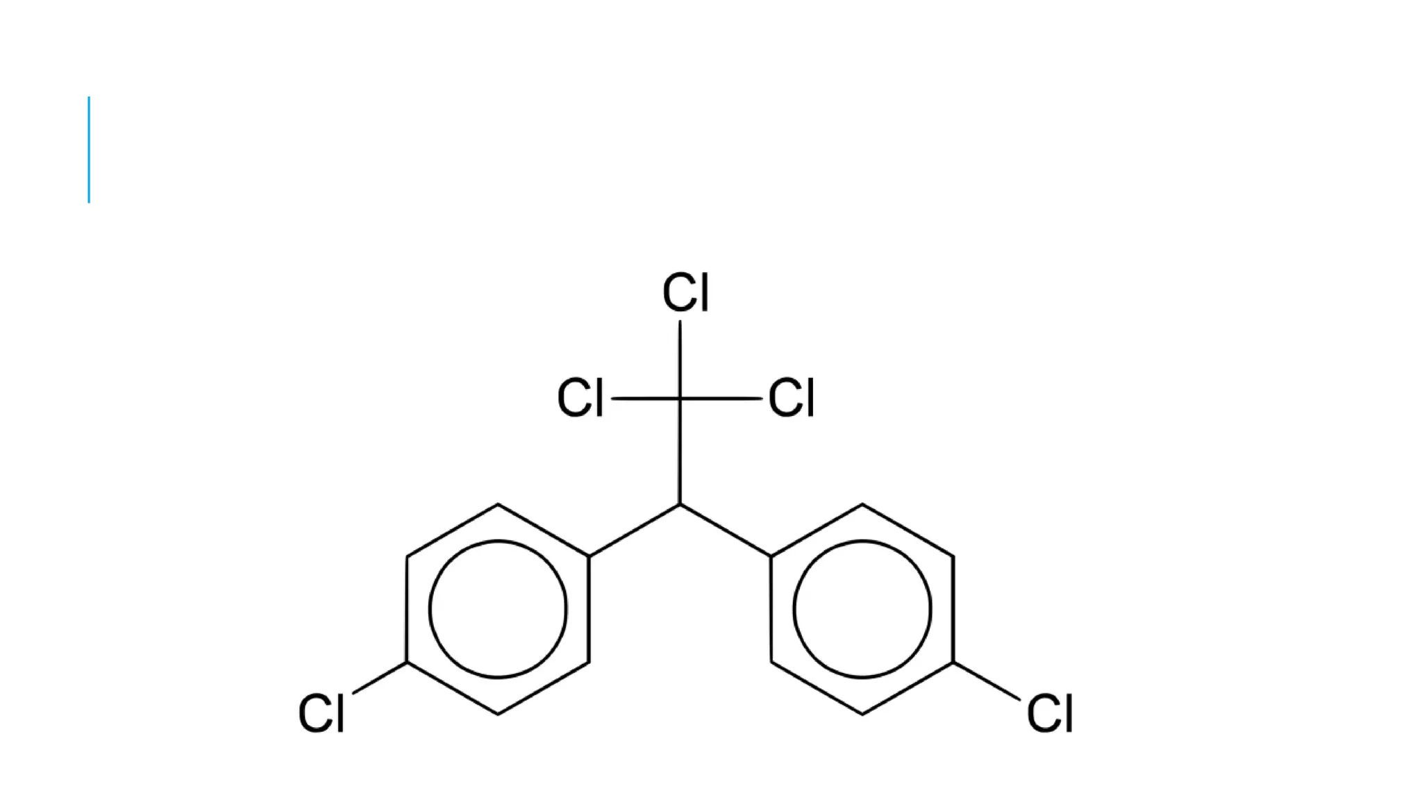
#14 WHAT IS BEING DESCRIBED IN
THIS PICTURE?
#15
It is sometimes incorrectly said that that
Wallace Carothers’s invention’s name is a
combination of the names of the two cities of
London and New York.
Another (incorrect) theory says that it comes
from WWII era slogan by the allies to their
enemy:
“Now you lazy old Nippon”. (Nippon = Japan)
What name?
#16
The leaves and bark of the willow tree have been
mentioned in ancient texts from Assyria, Sumer and
Egypt as a remedy for aches and fever. The great
Greek physician Hippocrates wrote about its
medicinal properties in the fifth century BC. Native
Americans across the Americas relied on it as a
staple of their medical treatments.
What chemical made the willow bark so effective a
painkiller?
#17
Expand the periodic table.
Advise 10 presidents.
Have an element named after you in your lifetime.
Win a Nobel Prize.
Turn a tiny bit of lead into gold.
Marry a brilliant lady and have six kids.
If this were a to-do list, whose completely checked to-do list
would it be?
#18
In New Scientist magazine’s list of 20 greatest
scientists of all time, he is the only other 20th
century figure, apart from Einstein.
He is considered the father of molecular biology and
well known for his work on the protein structure. He
is also the only person to have received two
unshared Nobel Prizes – Chemistry in 1964 and
Peace in 1962.
Most of us will know him from his work on the
nature of chemical bond (hybridization,
electronegativity etc.)
Who?
#19
German Alchemist Hennig Brand was convinced that
with sufficiently complicated chemical reactions, one
could extract gold from the Human body itself. The fact
that a certain substance was gold colored seemed to
give his theory further vindication.
So he put fifty buckets of this ‘gold colored substance’
into a huge vat and boiled it till all the water
evaporated, distilled it down to a paste and heated it at
a phenomenal temperature for several days. Eventually
wisps of smoke revealed tiny fragments that
combusted in air.
What element had Brand discovered this way?
#20
Robert Boyle was supposedly experimenting
with Brand’s invention in his home when he
discovered that half a grain of this substance,
when rubbed with powdered sulfur on a piece of
paper gave rise to a brilliant yellow flame.
What had Robert Boyle thus invented, which
gave rise to a whole industry?
ANSWERS
#1
One of the first people Harry, Ron and
Hermoine encounter on their Chocolate Cards is
the wizard Nicolas Flamel. Nicolas Flamel would
be Albus Dumbledore’s best friend and lab
partner, sort of.
According to harrypotterwikia, Flamel and his
wife were aged 665 and 658 respectively, at
their time of deaths. How could this have been
FLAMEL WOULD HAVE CREATED
THE PHILOSOPHER’S STONE.
The philosopher’s stone is used to make the
elixir of life and among other things can convert
any metal into gold.
Our fest is called Alchemy, remember?
#2 IDENTIFY THE ARCHITECT.
ANSWER: BUCKMINISTER FULLER
#3
In the olden days of spectroscopy, spectral
lines, on the basis of their observed fine
structure, were classified as “sharp", "principal",
"diffuse" and "fundamental“.
This terminology is now obsolete but it survives
in modern chemistry in a different form.
How?
ANSWER: S,P,D AND F BLOCKS.
#4
Thiols are sulfur containing organic compounds
known, among other things for their horrible
smells. To give an example, a laboratory
experiment attempting to make thioacetone led to
such a strong and repulsive odour that an entire
city had to be evacuated.
Which mammal, infamous for its odour (obviously),
is known for producing as many as three different
thiol compounds and using it as a defense strategy?
ANSWER: THE SKUNK
#5
Identify this voice.
Clue: Think which instrument is being played.
ANSWER: RICHARD FEYNMAN
(PLAYING BONGOS)
#6
Human blood is red because our blood cells are
made up of Hemoglobin, a protein which contains
iron. These iron molecules bind oxygen and the
light which is reflected off them appears red in
colour.
Other animals like the Octopus or the Tarantula
bleed blue. This is because they have Hemocyanin
instead of Hemoglobin as the oxygen transporting
protein. What metal atom combines with oxygen
molecules to make up Hemocyanin?
ANSWER: COPPER
#7
In stereochemistry, one comes across the R-S
nomenclature - enantiomers are labelled either
R or S, depending on their “handedness”.
If R stands for Rectus, latin for “Right”, what
does S stand for?
ANSWER: SINISTER
#8
What word, coined by polish biochemist
Kazimierz Funk, has its origins because it was
thought that the nitrogen containing functional
group was a vital constituent in the
macronutrients that prevented beriberi and
other dietary deficiencies?
ANSWER: VITAMINES (FROM VITAL
AMINES)
#9
Winston Churchill labeled this drug a
“miraculous” discovery in 1945. TIME magazine
called it “a benefactor of all humanity”. 60 years
later, this has been directly linked to cancer,
diabetes and has been shown to trigger some
really eerie hormonal responses and has been
banned in the US, UK and about two dozen other
countries.
India is the only country still manufacturing this
product and also, not surprisingly, its largest
consumer.
ANSWER: DDT
#10
From Dan Falk’s Science of Shakespeare: A New Look at
the Playwright’s Universe -
Jupiter, so often invoked by characters in so many of
the plays, never actually makes a personal appearance
— until this point in Cymbeline. And of course Jupiter
is not alone in the scene: Just below him, we see four
ghosts moving in a circle…
The four ghosts are supposed to be a reference/result
of the discoveries of which famous contemporary (of
Shakespeare)?
ANSWER: GALILEO
The four ghosts represent the four moons of
Shakespeare – Io, Europa, Ganymede, Callisto.
They are even today known as Galiean moons.
#11
Antoine Lavosier believed that these substances got their
properties because of the presence/absence of Oxygen.
Svante Arrhenius categorized them in terms of the ions they
produce on dissociating in water.
The pair of Thomas Lowry and Johannes Bronsted defined them
in terms of protons.
G N Lewis preferred to think of them in terms of electron pair
movements.
The Russian chemist Mikahil Usanovich further generalized this
theory into its current more accepted form.
What am I talking about?
ACID-BASE THEORY
#12
We’ve all seen geckos climbing up and
down trees/walls with ease, head up or
head down.
The reason they’re able to this is not
because their legs secrete some sticky
fluid but that they’re actually covered
with half a million tiny hairs,
exponentially increasing their surface
area and bringing into play a force
which our according to our textbooks is
supposed to be very weak.
What is this force responsible for
THE VAN DER WAALS FORCE
(increases with surface area, remember?)
#13
Eating too many carrots can make you turn
orange. Any teenager who watches Ninja Hattori
or House MD would know that. There’s also a
particular bird (image in next slide) which is
born white but turns pink/red as it grows up
due to high amounts of that orange pigment in
their food supply.
What bird? What is the pigment called?
FLAMINGOES
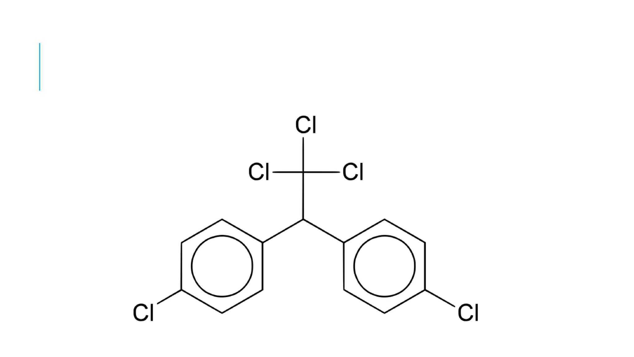
#14 WHAT IS BEING DESCRIBED IN
THIS PICTURE?
#15
It is sometimes incorrectly said that that Wallace
Carothers’s invention’s name is a combination
of the names of the two cities of London and
New York.
Another (incorrect) theory says that it is an
acronym from WWII, a challenging slogan by the
allies to their enemy at that time:
“Now you lazy old Nippon”. (Nippon = Japan)
What name?
ANSWER: NYLON (NEW YORK +
LONDON)
#16
The leaves and bark of the willow tree have been
mentioned in ancient texts from Assyria, Sumer and
Egypt as a remedy for aches and fever. The great
Greek physician Hippocrates wrote about its medicinal
properties in the fifth century BC. Native Americans
across the Americas relied on it as a staple of their
medical treatments.
What chemical made the willow bark so effective?
ANSWER: SALICYLIC ACID
#17
Expand the periodic table.
Advise 10 presidents.
Have an element named after you in your lifetime.
Win a Nobel Prize.
Turn a tiny bit of lead into gold.
Marry a brilliant lady and have six kids.
If this were a to-do list, whose completely checked to-
do list would it be?
GLENN SEABORG
#18
In New Scientist magazine’s list of 20 greatest
scientists of all time, he is the only other 20th century
figure, apart from Einstein.
He is considered the father of molecular biology and
well known for his work on the protein structure. He is
also the only person to have received two unshared
Nobel Prizes – Chemistry in 1964 and Peace in 1962.
Most of us will know him from his work on the nature
of chemical bond (hybridization, electronegativity etc.)
Who?
ANSWER: LINUS PAULING
#19
German Alchemist Hennig Brand was convinced that
with sufficiently complicated chemical reactions, one
could extract gold from the Human body itself. The fact
that a certain substance was gold colored seemed to
give his theory further vindication.
So he put fifty buckets of this ‘gold colored substance’
into a huge vat and boiled it till all the water
evaporated, distilled it down to a paste and heated it at
a phenomenal temperature for several days. Eventually
wisps of smoke revealed tiny fragments that
combusted in air.
What element had Brand discovered this way?
ANSWER: PHOSPHOROUS
The yellow coloured substance was urine.
#20
Robert Boyle was supposedly experimenting
with Brand’s invention in his home when he
discovered that half a grain of this substance,
when rubbed with powdered sulfur on a piece of
paper gave rise to a brilliant yellow flame.
What had Robert Boyle thus invented, which
gave rise to a whole industry?
ANSWER: A MATCHSTICK
ELEMENTARY STUFF
Written.
Questions on etymology of element names.
7 elements in all.
5 points for each element. (35 points at stake)
1. The latin name for this element comes from
the fact that the Romans used it to build their
plumbing lines.
2. It is often mistaken that this element is named
after the country when it was actually named
after the bright blue colour seen in its
spectrum.
3. Robert Bunsen and Gustav Kirchoff discovered
this element in 1861 and like the one before,
named it after the red lines in the emission
spectrum, red as this little thing over here
#4, #5, #6, #7
A stone quarry located in the Swedish town of
Ytterby is considered to be the single richest
source of elemental discoveries in the world. As
many as ten elements have been isolated from a
single sample of this mine.
Four of them are named after the town itself.
Name all four.
ANSWERS
1. Lead (Pb – Plumbum)
2. Indium (Indigo)
3. Rubidium (from Latin Rubidus for Red)
4. Yttrium, Ytterbium, Terbium, Erbium
ROUND 2
13 Questions
Infinte Bounce
Infinte Pounce (+10/-5)
A maximum of 130 points at
#1
Shown in the picture is William
Henry Perkin, an English chemist
best known for the accidental
discovery of the dye mauvine (at
the age of 18, btw).
It is said that his substantial beard
may have been a secret weapon in
his success as a chemist.
How?
ANSWER
ANSWER
Apparently, hair follicles kept falling down into
the reaction mixture and helped in
crystallization.
To the left are Gerty and Carl Cori,
American biochemists known for
discovering the mechanism of catalytic
conversion of glycogen.
Below are May-Britt and Edward Moser,
Norwegian pschologists/neuroscientists
who identified grid cells, those nerve cells
in the brain that allow it to sense and
navigate locations.
Together, they make up
two in an elite list of
four. Who are the other
two?
ANSWER
THE CURIES
Marie and Pierre Curie
Irene and Jean Frédéric Joliot-Curie
Only couples to have won Nobel Prizes jointly.
#3
According to the story, this Italian biologist was performing
an experiment involving frogs when his scalpel accidentally
touched an exposed nerve (of a dead frog) and the leg
twitched.
This, he concluded was because of animal electricity, the
life force within the muscles of the frog.
His colleague repeated the experiment and found the same
results but had his doubts about the explanation given. He
believed that the twitching occurred because of a potential
difference, which came into being because different metals
were used (and one accidentally picked up a charge) and
that the movement was just an indicator of electricity.
ANSWER
LUIGI GALVANI; ALLESANDRO
VOLTA
#4
As early as 340 BC, the Greek philosopher Aristotle,
in his book On The Heavens two good arguments
for believing the Earth was round rather than flat.
One was that the North Star appeared lower in the
sky when viewed from South than it did in the
northerly regions.
The other was a more powerful argument. It said
given certain conditions, one could indirectly see
the shape of the Earth.
What was this method?
ANSWER
LUNAR ECLIPSES
Earth’s shadow on the moon was always
circular.
#5
X is a concept proposed by a great French
Engineer in 1824.
Y is a method used to simplify equations of
Boolean algebra, discovered by an American
physicist in 1953.
Both X and Y are named after their respective
inventors and belong to entirely different fields.
However, their Wikipedia pages advise you to not
confuse either with the other.)
ANSWER
X- CARNOT CYCLE Y – KARNAUGH
MAPS
#6
Oh leave the Wise our measures to collate
One thing at least is certain, light has weight
One thing is certain and the rest debate
Light rays, when near the Sun, do not go straight.
This was how a great physicist once summed up his
adventures and presented it at a Royal
Astronomical Society dinner. Who? What was he
talking about?
ANSWER
ARTHUR EDDINGTON
#7
“The New”
“The Lazy”
“The Secretive”
“The Strange”
These are roughly the translations of four
entities in a list of six (so far). Name the other
two.
ANSWER
HELIUM AND RADON
New – Neon
Lazy – Argon
Secretive – Krypton
Strange – Xenon
#8
What is the difference between a Noble gas and an
inert gas?
ANSWER
Noble gases are the ones on the 18th group on
the periodic table.
They don’t react and are elemental in nature.
An inert gas is simply a gas which does not
undergo chemical reactions under a set of given
set of conditions.
E.g. Nitrogen is used as an inert gas in SCUBA
#9
2 Sn2+ → Sn4+ + Sn
This particular type of reaction was first noticed by a
Finnish chemist called John Gadolin in 1788.
Another example would be chlorine gas reacting with
dilute NaOH.
3 Cl2 + 6 OH− → 5 Cl− + ClO3
− + 3 H2O
What exactly is happening in these reactions?
ANSWER
These are called disproportionation reactions.
Elements are being oxidized and reduced
simultaneously to form two different products.
#10
In 1848, this 26 year old from France was working
on a problem concerning with two acids commonly
found in the sediments of fermenting wine. The only
problem was that these two acids were chemically
completely identical!
He finally solved the problem when he studied the
crystals of each acid under his microscope and
noticed they were slightly different. In the process,
he had pioneered a whole new field of chemistry.
What would be the case with those two acids? Who
would the young man be?
ANSWER
The man would be Louis Pasteur.
The two acids are today known as tartaric and
para-tartaric acid. This was the first time chiral
molecules were observed. Pasteur was the first
Stereochemist.
#11
It is the world's most widely
consumed psychoactive drug, but
unlike others, it is legal and
unregulated in nearly all parts of
the world. Part of the reason is
that toxic doses are over 10
grams per day for an adult, which
is about twenty times higher than
what is typically consumed.
Which drug?
ANSWER
CAFFEINE
#12
According to the story, while washing a miner’s
overalls, a washerwoman noticed that sand and
similar dirt fell to the bottom of the washtub
but the copper bearing compounds that had
come to the clothes from the mines, were
caught in the soapsuds and so they came to the
top. She told her story to a client of hers who
she knew was a chemist.
The chemist instantly realized its significance
and thus was born what?
ANSWER
FROTH FLOTATION PROCESS
#13
In 1824, a certain German chemist was trying to synthesize ammonium
cyanate by mixing ammonium chloride with silver cyanate.
AgNCO + NH4Cl → NH4NCO + AgCl
But when he examined the resulting crystals closely, he found something
marvelous. Ammonium cyanate had decomposed to form Ammonia and
cynic acid, which in turn react to form something else.
He wrote to his friend, the famous chemist Berzelius –
"I cannot, so to say, hold my chemical water and must tell you that I can
make ____ without thereby needing to have kidneys, or anyhow, an
animal, be it human or dog.”
What crystals did our chemist discover under his microscope? Why was
this result so significant?
ANSWER
WOHLER SYNTHESIS
The chemist was Friedrich Wohler. He had
synthesized Urea. Urea was found in human
urine and therefore was considered to be an
organic compound, organic here meaning a
compound having the vital life force.
This was the first time Urea was synthesized
using inorganic compounds.
LONG VISUAL CONNECT
There are seven pictures here in all.
All of them connect to a very specific theme.
You can try to guess the theme at any point.
The points you get on getting it right/wrong
are mentioned on the corresponding slide.
+40/-15 (WARNING: THIS IS AN INDIRECT
CLUE)
+35/-15
+30/-10
+20/-10
+25/-5
+15/-5
+10/-0
ANSWER
ELEMENTS IN THE ACTINIDE
SERIES
Americium (Christopher Columbus)
Einsteinium
Uranium, Neptunium, Plutonium
Curium
Nobelium
Thorium
Medelevium
THANK YOU!

Chem cho –the chemistry quiz

  • 1.
    CHEM CHO THE CHEMISTRY(AND OTHER ALLIED SCIENCES) QUIZ
  • 2.
    PRELIMS 20 Questions 16-20 Starmarked. All the best!
  • 3.
    #1 One of thefirst people Harry, Ron and Hermoine encounter on their Chocolate Cards is the wizard Nicolas Flamel. Nicolas Flamel would be Albus Dumbledore’s best friend and lab partner, sort of. According to harrypotterwikia, Flamel and his wife were aged 665 and 658 respectively, at their time of deaths. How could this have been
  • 4.
    #2 IDENTIFY THEARCHITECT.
  • 6.
    #3 In the oldendays of spectroscopy, spectral lines, on the basis of their observed fine structure, were classified as “fundamental”, “principal”, “diffuse” and “sharp”. This terminology is now obsolete but it survives in modern chemistry in a different form. How?
  • 7.
    #4 Thiols are sulfurcontaining organic compounds known, among other things for their horrible smells. To give an example, a laboratory experiment attempting to make thioacetone led to such a strong and repulsive odour that an entire city had to be evacuated. Which mammal, infamous for its odour (obviously), is known for producing as many as three different thiol compounds and using it as a defense strategy?
  • 8.
    #5 (SORRY, NOTEXACTLY CHEMISTRY QUESTION) Identify this voice. Clue: Think which instrument is being played.
  • 9.
    #6 Human blood isred because our blood cells are made up of Hemoglobin, a protein which contains iron. These iron molecules bind oxygen and the light which is reflected off them appears red in colour. Other animals like the Octopus or the Tarantula bleed blue. This is because they have Hemocyanin instead of Hemoglobin as the oxygen transporting protein. What metal atom combines with oxygen molecules to make up Hemocyanin?
  • 10.
    #7 In stereochemistry, onecomes across the R-S nomenclature - enantiomers are labelled either R or S, depending on their “handedness”. If R stands for Rectus, latin for “Right”, what does S stand for?
  • 11.
    #8 What word, coinedby polish biochemist Kazimierz Funk, has its origins because it was thought that the nitrogen containing functional group was a vital constituent in the macronutrients that prevented beriberi and other dietary deficiencies?
  • 12.
    #9 Winston Churchill labeledthis drug a “miraculous” discovery in 1945. TIME magazine called it “a benefactor of all humanity”. 60 years later, this has been directly linked to cancer, diabetes, has been shown to trigger some eerie hormonal responses and is been banned in the US, UK and 12 other countries. India is the only country still manufacturing this product and also, not surprisingly, its largest consumer.
  • 14.
    #10 (SORRY AGAIN,NOT CHEMISTRY) From Dan Falk’s Science of Shakespeare: A New Look at the Playwright’s Universe: Jupiter, so often invoked by characters in so many of the plays, never actually makes a personal appearance — until this point in Cymbeline. And of course Jupiter is not alone in the scene: Just below him, we see four ghosts moving in a circle… The four ghosts are supposed to be a reference/result of the discoveries of which famous contemporary (of Shakespeare)?
  • 15.
    #11 Antoine Lavosier believedthat these substances got their properties because of the presence/absence of Oxygen. Svante Arrhenius categorized them in terms of the ions they produce on dissociating in water. The pair of Thomas Lowry and Johannes Bronsted defined them in terms of protons. G N Lewis preferred to think of them in terms of electron pair movements. The Russian chemist Mikahil Usanovich further generalized this theory into its current more accepted form. What am I talking about?
  • 16.
    #12 We’ve all seengeckos climbing up and down trees/walls with ease, head up or head down. The reason they’re able to this is not because their legs secrete some sticky fluid but that they’re actually covered with half a million tiny hairs, exponentially increasing their surface area and bringing into play a force which our according to our textbooks is supposed to be very weak. What is this force responsible for holding geckos from falling?
  • 17.
    #13 Eating too manycarrots can make you turn orange. Any teenager who watches Ninja Hattori or House MD would know that. There’s also a particular bird which is born white but turns pink/red as it grows up due to high amounts of that orange pigment in their food supply. What bird? What is the pigment called?
  • 19.
    #14 WHAT ISBEING DESCRIBED IN THIS PICTURE?
  • 21.
    #15 It is sometimesincorrectly said that that Wallace Carothers’s invention’s name is a combination of the names of the two cities of London and New York. Another (incorrect) theory says that it comes from WWII era slogan by the allies to their enemy: “Now you lazy old Nippon”. (Nippon = Japan) What name?
  • 22.
    #16 The leaves andbark of the willow tree have been mentioned in ancient texts from Assyria, Sumer and Egypt as a remedy for aches and fever. The great Greek physician Hippocrates wrote about its medicinal properties in the fifth century BC. Native Americans across the Americas relied on it as a staple of their medical treatments. What chemical made the willow bark so effective a painkiller?
  • 23.
    #17 Expand the periodictable. Advise 10 presidents. Have an element named after you in your lifetime. Win a Nobel Prize. Turn a tiny bit of lead into gold. Marry a brilliant lady and have six kids. If this were a to-do list, whose completely checked to-do list would it be?
  • 24.
    #18 In New Scientistmagazine’s list of 20 greatest scientists of all time, he is the only other 20th century figure, apart from Einstein. He is considered the father of molecular biology and well known for his work on the protein structure. He is also the only person to have received two unshared Nobel Prizes – Chemistry in 1964 and Peace in 1962. Most of us will know him from his work on the nature of chemical bond (hybridization, electronegativity etc.) Who?
  • 25.
    #19 German Alchemist HennigBrand was convinced that with sufficiently complicated chemical reactions, one could extract gold from the Human body itself. The fact that a certain substance was gold colored seemed to give his theory further vindication. So he put fifty buckets of this ‘gold colored substance’ into a huge vat and boiled it till all the water evaporated, distilled it down to a paste and heated it at a phenomenal temperature for several days. Eventually wisps of smoke revealed tiny fragments that combusted in air. What element had Brand discovered this way?
  • 26.
    #20 Robert Boyle wassupposedly experimenting with Brand’s invention in his home when he discovered that half a grain of this substance, when rubbed with powdered sulfur on a piece of paper gave rise to a brilliant yellow flame. What had Robert Boyle thus invented, which gave rise to a whole industry?
  • 27.
  • 28.
    #1 One of thefirst people Harry, Ron and Hermoine encounter on their Chocolate Cards is the wizard Nicolas Flamel. Nicolas Flamel would be Albus Dumbledore’s best friend and lab partner, sort of. According to harrypotterwikia, Flamel and his wife were aged 665 and 658 respectively, at their time of deaths. How could this have been
  • 29.
    FLAMEL WOULD HAVECREATED THE PHILOSOPHER’S STONE. The philosopher’s stone is used to make the elixir of life and among other things can convert any metal into gold. Our fest is called Alchemy, remember?
  • 30.
    #2 IDENTIFY THEARCHITECT.
  • 32.
  • 33.
    #3 In the oldendays of spectroscopy, spectral lines, on the basis of their observed fine structure, were classified as “sharp", "principal", "diffuse" and "fundamental“. This terminology is now obsolete but it survives in modern chemistry in a different form. How?
  • 34.
  • 35.
    #4 Thiols are sulfurcontaining organic compounds known, among other things for their horrible smells. To give an example, a laboratory experiment attempting to make thioacetone led to such a strong and repulsive odour that an entire city had to be evacuated. Which mammal, infamous for its odour (obviously), is known for producing as many as three different thiol compounds and using it as a defense strategy?
  • 36.
  • 37.
    #5 Identify this voice. Clue:Think which instrument is being played.
  • 38.
  • 39.
    #6 Human blood isred because our blood cells are made up of Hemoglobin, a protein which contains iron. These iron molecules bind oxygen and the light which is reflected off them appears red in colour. Other animals like the Octopus or the Tarantula bleed blue. This is because they have Hemocyanin instead of Hemoglobin as the oxygen transporting protein. What metal atom combines with oxygen molecules to make up Hemocyanin?
  • 40.
  • 41.
    #7 In stereochemistry, onecomes across the R-S nomenclature - enantiomers are labelled either R or S, depending on their “handedness”. If R stands for Rectus, latin for “Right”, what does S stand for?
  • 42.
  • 43.
    #8 What word, coinedby polish biochemist Kazimierz Funk, has its origins because it was thought that the nitrogen containing functional group was a vital constituent in the macronutrients that prevented beriberi and other dietary deficiencies?
  • 44.
  • 45.
    #9 Winston Churchill labeledthis drug a “miraculous” discovery in 1945. TIME magazine called it “a benefactor of all humanity”. 60 years later, this has been directly linked to cancer, diabetes and has been shown to trigger some really eerie hormonal responses and has been banned in the US, UK and about two dozen other countries. India is the only country still manufacturing this product and also, not surprisingly, its largest consumer.
  • 47.
  • 48.
    #10 From Dan Falk’sScience of Shakespeare: A New Look at the Playwright’s Universe - Jupiter, so often invoked by characters in so many of the plays, never actually makes a personal appearance — until this point in Cymbeline. And of course Jupiter is not alone in the scene: Just below him, we see four ghosts moving in a circle… The four ghosts are supposed to be a reference/result of the discoveries of which famous contemporary (of Shakespeare)?
  • 49.
    ANSWER: GALILEO The fourghosts represent the four moons of Shakespeare – Io, Europa, Ganymede, Callisto. They are even today known as Galiean moons.
  • 50.
    #11 Antoine Lavosier believedthat these substances got their properties because of the presence/absence of Oxygen. Svante Arrhenius categorized them in terms of the ions they produce on dissociating in water. The pair of Thomas Lowry and Johannes Bronsted defined them in terms of protons. G N Lewis preferred to think of them in terms of electron pair movements. The Russian chemist Mikahil Usanovich further generalized this theory into its current more accepted form. What am I talking about?
  • 51.
  • 52.
    #12 We’ve all seengeckos climbing up and down trees/walls with ease, head up or head down. The reason they’re able to this is not because their legs secrete some sticky fluid but that they’re actually covered with half a million tiny hairs, exponentially increasing their surface area and bringing into play a force which our according to our textbooks is supposed to be very weak. What is this force responsible for
  • 53.
    THE VAN DERWAALS FORCE (increases with surface area, remember?)
  • 54.
    #13 Eating too manycarrots can make you turn orange. Any teenager who watches Ninja Hattori or House MD would know that. There’s also a particular bird (image in next slide) which is born white but turns pink/red as it grows up due to high amounts of that orange pigment in their food supply. What bird? What is the pigment called?
  • 56.
  • 57.
    #14 WHAT ISBEING DESCRIBED IN THIS PICTURE?
  • 59.
    #15 It is sometimesincorrectly said that that Wallace Carothers’s invention’s name is a combination of the names of the two cities of London and New York. Another (incorrect) theory says that it is an acronym from WWII, a challenging slogan by the allies to their enemy at that time: “Now you lazy old Nippon”. (Nippon = Japan) What name?
  • 60.
    ANSWER: NYLON (NEWYORK + LONDON)
  • 61.
    #16 The leaves andbark of the willow tree have been mentioned in ancient texts from Assyria, Sumer and Egypt as a remedy for aches and fever. The great Greek physician Hippocrates wrote about its medicinal properties in the fifth century BC. Native Americans across the Americas relied on it as a staple of their medical treatments. What chemical made the willow bark so effective?
  • 62.
  • 63.
    #17 Expand the periodictable. Advise 10 presidents. Have an element named after you in your lifetime. Win a Nobel Prize. Turn a tiny bit of lead into gold. Marry a brilliant lady and have six kids. If this were a to-do list, whose completely checked to- do list would it be?
  • 64.
  • 65.
    #18 In New Scientistmagazine’s list of 20 greatest scientists of all time, he is the only other 20th century figure, apart from Einstein. He is considered the father of molecular biology and well known for his work on the protein structure. He is also the only person to have received two unshared Nobel Prizes – Chemistry in 1964 and Peace in 1962. Most of us will know him from his work on the nature of chemical bond (hybridization, electronegativity etc.) Who?
  • 66.
  • 67.
    #19 German Alchemist HennigBrand was convinced that with sufficiently complicated chemical reactions, one could extract gold from the Human body itself. The fact that a certain substance was gold colored seemed to give his theory further vindication. So he put fifty buckets of this ‘gold colored substance’ into a huge vat and boiled it till all the water evaporated, distilled it down to a paste and heated it at a phenomenal temperature for several days. Eventually wisps of smoke revealed tiny fragments that combusted in air. What element had Brand discovered this way?
  • 68.
    ANSWER: PHOSPHOROUS The yellowcoloured substance was urine.
  • 69.
    #20 Robert Boyle wassupposedly experimenting with Brand’s invention in his home when he discovered that half a grain of this substance, when rubbed with powdered sulfur on a piece of paper gave rise to a brilliant yellow flame. What had Robert Boyle thus invented, which gave rise to a whole industry?
  • 70.
  • 71.
    ELEMENTARY STUFF Written. Questions onetymology of element names. 7 elements in all. 5 points for each element. (35 points at stake)
  • 72.
    1. The latinname for this element comes from the fact that the Romans used it to build their plumbing lines. 2. It is often mistaken that this element is named after the country when it was actually named after the bright blue colour seen in its spectrum. 3. Robert Bunsen and Gustav Kirchoff discovered this element in 1861 and like the one before, named it after the red lines in the emission spectrum, red as this little thing over here
  • 73.
    #4, #5, #6,#7 A stone quarry located in the Swedish town of Ytterby is considered to be the single richest source of elemental discoveries in the world. As many as ten elements have been isolated from a single sample of this mine. Four of them are named after the town itself. Name all four.
  • 75.
    ANSWERS 1. Lead (Pb– Plumbum) 2. Indium (Indigo) 3. Rubidium (from Latin Rubidus for Red) 4. Yttrium, Ytterbium, Terbium, Erbium
  • 76.
    ROUND 2 13 Questions InfinteBounce Infinte Pounce (+10/-5) A maximum of 130 points at
  • 77.
    #1 Shown in thepicture is William Henry Perkin, an English chemist best known for the accidental discovery of the dye mauvine (at the age of 18, btw). It is said that his substantial beard may have been a secret weapon in his success as a chemist. How?
  • 78.
  • 79.
    ANSWER Apparently, hair follicleskept falling down into the reaction mixture and helped in crystallization.
  • 80.
    To the leftare Gerty and Carl Cori, American biochemists known for discovering the mechanism of catalytic conversion of glycogen. Below are May-Britt and Edward Moser, Norwegian pschologists/neuroscientists who identified grid cells, those nerve cells in the brain that allow it to sense and navigate locations. Together, they make up two in an elite list of four. Who are the other two?
  • 81.
  • 82.
    THE CURIES Marie andPierre Curie Irene and Jean Frédéric Joliot-Curie Only couples to have won Nobel Prizes jointly.
  • 83.
    #3 According to thestory, this Italian biologist was performing an experiment involving frogs when his scalpel accidentally touched an exposed nerve (of a dead frog) and the leg twitched. This, he concluded was because of animal electricity, the life force within the muscles of the frog. His colleague repeated the experiment and found the same results but had his doubts about the explanation given. He believed that the twitching occurred because of a potential difference, which came into being because different metals were used (and one accidentally picked up a charge) and that the movement was just an indicator of electricity.
  • 84.
  • 85.
  • 86.
    #4 As early as340 BC, the Greek philosopher Aristotle, in his book On The Heavens two good arguments for believing the Earth was round rather than flat. One was that the North Star appeared lower in the sky when viewed from South than it did in the northerly regions. The other was a more powerful argument. It said given certain conditions, one could indirectly see the shape of the Earth. What was this method?
  • 87.
  • 88.
    LUNAR ECLIPSES Earth’s shadowon the moon was always circular.
  • 89.
    #5 X is aconcept proposed by a great French Engineer in 1824. Y is a method used to simplify equations of Boolean algebra, discovered by an American physicist in 1953. Both X and Y are named after their respective inventors and belong to entirely different fields. However, their Wikipedia pages advise you to not confuse either with the other.)
  • 90.
  • 91.
    X- CARNOT CYCLEY – KARNAUGH MAPS
  • 92.
    #6 Oh leave theWise our measures to collate One thing at least is certain, light has weight One thing is certain and the rest debate Light rays, when near the Sun, do not go straight. This was how a great physicist once summed up his adventures and presented it at a Royal Astronomical Society dinner. Who? What was he talking about?
  • 93.
  • 94.
  • 95.
    #7 “The New” “The Lazy” “TheSecretive” “The Strange” These are roughly the translations of four entities in a list of six (so far). Name the other two.
  • 96.
  • 97.
    HELIUM AND RADON New– Neon Lazy – Argon Secretive – Krypton Strange – Xenon
  • 98.
    #8 What is thedifference between a Noble gas and an inert gas?
  • 99.
  • 100.
    Noble gases arethe ones on the 18th group on the periodic table. They don’t react and are elemental in nature. An inert gas is simply a gas which does not undergo chemical reactions under a set of given set of conditions. E.g. Nitrogen is used as an inert gas in SCUBA
  • 101.
    #9 2 Sn2+ →Sn4+ + Sn This particular type of reaction was first noticed by a Finnish chemist called John Gadolin in 1788. Another example would be chlorine gas reacting with dilute NaOH. 3 Cl2 + 6 OH− → 5 Cl− + ClO3 − + 3 H2O What exactly is happening in these reactions?
  • 102.
  • 103.
    These are calleddisproportionation reactions. Elements are being oxidized and reduced simultaneously to form two different products.
  • 104.
    #10 In 1848, this26 year old from France was working on a problem concerning with two acids commonly found in the sediments of fermenting wine. The only problem was that these two acids were chemically completely identical! He finally solved the problem when he studied the crystals of each acid under his microscope and noticed they were slightly different. In the process, he had pioneered a whole new field of chemistry. What would be the case with those two acids? Who would the young man be?
  • 106.
  • 107.
    The man wouldbe Louis Pasteur. The two acids are today known as tartaric and para-tartaric acid. This was the first time chiral molecules were observed. Pasteur was the first Stereochemist.
  • 108.
    #11 It is theworld's most widely consumed psychoactive drug, but unlike others, it is legal and unregulated in nearly all parts of the world. Part of the reason is that toxic doses are over 10 grams per day for an adult, which is about twenty times higher than what is typically consumed. Which drug?
  • 109.
  • 110.
  • 111.
    #12 According to thestory, while washing a miner’s overalls, a washerwoman noticed that sand and similar dirt fell to the bottom of the washtub but the copper bearing compounds that had come to the clothes from the mines, were caught in the soapsuds and so they came to the top. She told her story to a client of hers who she knew was a chemist. The chemist instantly realized its significance and thus was born what?
  • 112.
  • 113.
  • 114.
    #13 In 1824, acertain German chemist was trying to synthesize ammonium cyanate by mixing ammonium chloride with silver cyanate. AgNCO + NH4Cl → NH4NCO + AgCl But when he examined the resulting crystals closely, he found something marvelous. Ammonium cyanate had decomposed to form Ammonia and cynic acid, which in turn react to form something else. He wrote to his friend, the famous chemist Berzelius – "I cannot, so to say, hold my chemical water and must tell you that I can make ____ without thereby needing to have kidneys, or anyhow, an animal, be it human or dog.” What crystals did our chemist discover under his microscope? Why was this result so significant?
  • 115.
  • 116.
    WOHLER SYNTHESIS The chemistwas Friedrich Wohler. He had synthesized Urea. Urea was found in human urine and therefore was considered to be an organic compound, organic here meaning a compound having the vital life force. This was the first time Urea was synthesized using inorganic compounds.
  • 117.
    LONG VISUAL CONNECT Thereare seven pictures here in all. All of them connect to a very specific theme. You can try to guess the theme at any point. The points you get on getting it right/wrong are mentioned on the corresponding slide.
  • 118.
    +40/-15 (WARNING: THISIS AN INDIRECT CLUE)
  • 119.
  • 120.
  • 121.
  • 122.
  • 123.
  • 124.
  • 125.
  • 126.
    ELEMENTS IN THEACTINIDE SERIES Americium (Christopher Columbus) Einsteinium Uranium, Neptunium, Plutonium Curium Nobelium Thorium Medelevium
  • 127.