Personal Attributes
 Goals
 Values
 Interests
 Skills
Education History
 High School
 Short Course
 TAFE
 University
 Others
Activities/group
 Sports
 Arts/craft
 Reading
 Writing
 Tv shows
 Family
Employment History
 Paid Work (Part/full
time, casual)
 Family Business
 Other responsibilities
 Role at home
Job Description:
Describe the kind of job you would like to do?
 In the office?
 Outdoor?
 Working with kids?
 Working alone?
 Meeting people?
 Helping?
 Working with your hands
Personal Requirements (Job Guide)
Are these attributes that you already have or
are they ones you can foster and develop?
JOB GUIDE
When a job position is identified you can refer
to the Job Guide job Description:
http://www.jobguide.thegoodguides.com.au/
Secondary School
Year 7 to Year 10
Specialisation and Related Jobs (Job Guide)
Other ideas that share similar roles and responsibility
as the initial position
Education, Experience and Training (Job Guide)
Information on formal training available in the
different states. Relate it to your own training and
experience.
Doer
Thinker
Helper
Creator
Organiser
TAFE
Cert I: basic skills that can help
prepare you for employment in
some industries
Cert II: pre-apprenticeship and entry
level operational knowledge. Help
develop skills from Cert 1, secondary
school or on-the-job training.
College: Year 11 to 12
Students have to sit exams and
certain subjects to receive ENTER
score and requirements to their
preferred uni course
University
Some Universities have direct
entry option mid-year. Always
check with the department or
course you are interested in
studying.
 Bachelors
 Masters
 PhD
VCE
TAFE
Cert IV: Higher-level entry point,
where you’ll expand your knowledge
and prepare for employment in a
skilled industry. Some of our CertIV
require you to complete the Cert III
as a prerequisite
Diploma: A diploma qualification is
regarded in many industries as ideal
for supervisory roles, managing a
team or applying your skills in a
complex technical environment. You
will develop skills analysis, planning,
theoretical knowledge and
management techniques.
Advanced Diploma: You will develop
high-level skills in expertise. Some of
our advanced diplomas feature
guaranteed pathways into further
study at university.
APPLICATION Procedures
 VTAC –VTAC handles most application for entry into higher education.
Some TAFE Full-time certificate IV and higher qualifications are also handled
by VTAC. Please check with the different courses.
 Some courses have direct entry application please refer to their guide.
VCAL
VET
Victorian Skill Shortage List
Victorian Skill Shortage list that Kangan offers:
 Please see Appendix 3
For more comprehensive list:
 http://www.immi.gov.au/skilled/_pdf/updated-sol.pdf
TAFE COURSE Website
TAFE course Directory provides a list of courses available, entry requirements, and course providers.
http://www.tafe.vic.gov.au/tafecourses/
Informal Learning
 Volunteer
 Other responsibilities
 Role at home
 Hobbies
Kangan Guaranteed Pathways to University
http://www.kangan.edu.au/courses/pathways-university/
Helpful Questions
What did you like about your past jobs?
What did you NOT like about your past jobs?
What is your dream/ideal job and why do you like it?
Exception to VCE
Mature aged students might have
other options to applying to university
even if they have not completed their
VCE. Information on mature-aged
entry requirement is readily available
on the different university websites.
Mature aged may be classified as:
 Taken a break for a year or two
before starting tertiary studies
 Returned to postgraduate study
after a break of some years
 Been away from any kind of formal
learning environment since you left
school, which might be 20 years or
more.
Work Education
Entry-level course for people with a mild
intellectual/learning disability who want
to improve their work readiness and learn
specific skills to work in retail,
horticulture, hospitality, cabinet making,
administration or in the automotive
industry.
Extra Requirement: Selection is based on
motivation for work and meeting the
levels of independence required to study
in an adult learning environment.
Transition Education
Entry-level course for people with an
intellectual or learning disability wanting
to learn living skills and consolidate
literacy, numeracy and computer skills.
Students may then move into the Cert I
in Work Education or mainstream
vocational courses with integration
assistance.
Extra requirement: motivation and ability
to study independently in an integrated
adult learning environment are
important
Cert III: Takes a more in-depth look at your study area. A range of Kangan
Institute Cert III courses are apprenticeship or traineeship programs, which
means along with regular study you will also undertake paid on-the-job
training.
Education and TrainingCareer/JobPerson
VCE
The VCE is awarded for the completion
of the secondary education in Victoria.
Graduates of the VCE may apply for
entry into university and TAFE. Kangan
Institute offers a broad range of VCE
subjects which can be studied full-time
or part-time, during the day or evening.
Students completing their VCE will
receive an ATAR score for entry into
university.
VCAL
Victorian Certificate of Applied Learning
is a hands-on option for people wanting
to complete a senior secondary school
certificate. The VCAL has three levels:
foundation, intermediate and senior, so
students can start at the level which
best meets their skills and abilities. We
offer a broad range of full-time VCAL
programs including flexible study
options.
VET
Kangan’s VET in Schools program
allows secondary school students to
combine general VCE units with VET
modules, either delivered at their
school or at one of our Melbourne
campuses. All students who complete
a VET in schools program with us have
access to a guaranteed pathway for
further study at Kangan Institute.
Apprenticeships
Cert III: is the level for apprenticeships. Students who are studying a trade will have to
find an apprenticeship with an employer as the first thing to do. From there they are
then asked to apply with their employer to the course. Apprenticeships usually work in
block schedule. The student is with their employer for 3 weeks and then 1 week at
TAFE. Apprenticeship Field Officers are available to assist them if they are having issues
at work. Student has to be working age. There are many mature aged apprentices.
Website: http://www.aapathways.com.au/Home
NEXT STEP-Kangan
NEXT STEP is a free and friendly youth service for 15 to 19 year olds looking for advice on
pathway options, career planning and referrals to relevant services.
Who is next step for?
 Young people (15-19 year olds)
 Schools
 Careers teachers
 Youth workers
 Parents
Services provided:
 Vocational Education and Training
information
 Pathway planning
 Assistance with training and education
options
 Supported referral to relevant services
Genna Hughes on x5924 or Julie McClimont on x2376.
http://www.kangan.edu.au/departments/centre-for-youth/NEXT-STEP/
Assessing Authorities
 A list of industry assessors for those who have done
their certification, degree or experience from overseas.
 www.immi.gov.au/skilled/_pdf/assessing-
authorities.pdf
Appendix 1: List of possible industries/departments that fall into the 5 different categories:
Doer Thinker Helper Creator Organiser
 Automotive
 Building & Furniture
 Electrical
 Electronics
 Engineering
 Horticulture
 Transport & Logistics
 Warehousing &
Distribution
 Purchasing &
Materials Management
 Forklift Operations
 Laboratory
Technology
 Pathology Collection
 Information
Technology
 Food Technology
 Child Care
 Family Support Worker
 Disability/Youth/child &
Family Workers
 Community Development
 Welfare Studies
 Personal Carer
 Patient Services
 Trainers
 Nursing
 Multimedia
 Fashion
 Millinery
 Beauty
 Hairdressing
 Koori Art & Design
 Professional Writing
 Language Studies
 Management
 Accounting
 Banking and Finance
 Administrative Studies
 Small business
 Operations Management
 Human Resource Operations
 Real Estate
 Customs
 International Trade
 Export
 Quality Management
 Tourism
 Hospitality
 Retail
 Advertising
 Sales and Marketing
 Public Relations
Appendix 2: Worksheets for Deciding and Planning
Likes vs Dislikes / Advantages vs Disadvantages: After identifying a possible course/career you can outline what you like, not like about it and its
advantages and disadvantages.
Likes Dislike Advantage Disadvantage
This Page gives you the opportunity to write down plans and pathways in reference to the course/career you have chosen above. This could be a list of
things you need to do such as checking requirements, talking to departments, getting application, or finding funding. You can then draw that out on a
timeline.
Your Next Steps
Timeline
Today
Appendix 1: Victorian Skill Shortage List
14 April 2012
Page 5
The following occupations were assessed in 2011 by the Department of Education, Employment and Workplace Relations specifically for
Victoria (this list should be read together with the list of occupations assessed at the national level) Occupational coverage in the
research program has changed markedly over time. Lack of a rating for an occupation does not necessarily imply 'no shortage,' it may be
that the occupation was not assessed.
ANZSCO Occupation Rating Date Assessed Comment
1. MANAGERS
1332-11 Engineering Manager S April 2011
1341-11 Child Care Centre Manager M November 2011 Shortages are evident across the
metropolitan area.
2. PROFESSIONALS
2335-12 Mechanical Engineer R; M-D April 2011 Employers seeking industry-specific
experience – particularly in the building
services and automotive manufacturing
sectors - experience difficulty recruiting.
3. TECHNICIANS AND TRADES WORKERS
32. Automotive and Engineering Trades Workers
3211-11 Automotive Electrician S December 2011
3212-11 Motor Mechanic (General) S November 2011
3212-12 Diesel Motor Mechanic M November 2011 The shortage of Diesel Motor Mechanics
persists in metropolitan areas, but appears
to have eased in regional Victoria.
3222-11 Sheetmetal Trades Worker S December 2011
3223-11 Metal Fabricator S December 2011
3223-13 Welder (First Class) S December 2011
3232-
11,12,13
Fitters R-D December 2011 Recruitment difficulty of Fitters is evident in
regional areas. Industry research indicates
demand has increased across the
resources sector.
3232-14 Metal Machinist (First Class) S December 2011
3241-11 Panelbeater S November 2011
3243-11 Vehicle Painter S December 2011
14 April 2012
Page 6
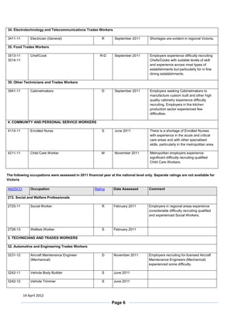
34. Electrotechnology and Telecommunications Trades Workers
3411-11 Electrician (General) R September 2011 Shortages are evident in regional Victoria.
35. Food Trades Workers
3513-11
3514-11
Chef/Cook R-D September 2011 Employers experience difficulty recruiting
Chefs/Cooks with suitable levels of skill
and experience across most types of
establishments but particularly for in fine
dining establishments.
39. Other Technicians and Trades Workers
3941-11 Cabinetmakers D September 2011 Employers seeking Cabinetmakers to
manufacture custom built and other high
quality cabinetry experience difficulty
recruiting. Employers in the kitchen
production sector experienced few
difficulties.
4. COMMUNITY AND PERSONAL SERVICE WORKERS
4114-11 Enrolled Nurse S June 2011 There is a shortage of Enrolled Nurses
with experience in the acute and critical
care areas and with other specialised
skills, particularly in the metropolitan area.
4211-11 Child Care Worker M November 2011 Metropolitan employers experience
significant difficulty recruiting qualified
Child Care Workers.
The following occupations were assessed in 2011 financial year at the national level only. Separate ratings are not available for
Victoria
ANZSCO Occupation Rating Date Assessed Comment
272. Social and Welfare Professionals
2725-11 Social Worker R February 2011 Employers in regional areas experience
considerable difficulty recruiting qualified
and experienced Social Workers.
2726-13 Welfare Worker S February 2011
3. TECHNICIANS AND TRADES WORKERS
32. Automotive and Engineering Trades Workers
3231-12 Aircraft Maintenance Engineer
(Mechanical)
D November 2011 Employers recruiting for licensed Aircraft
Maintenance Engineers (Mechanical)
experienced some difficulty.
3242-11 Vehicle Body Builder S June 2011
3242-12 Vehicle Trimmer S June 2011
14 April 2012
Page 7
35. Food Trades Workers
3511-12 Pastrycook D August 2011 Recruitment difficulty is for Pastrycooks
with specialist skills or experience, such as
European and Asian style pastry, cake
decorating or a combination of bread and
pastry skills.
36. Skilled Animal and Horticultural Workers
3622-13 Landscape Gardener S November 2011
Key to ratings
S Shortage
M Shortage in metropolitan areas
R Shortage in regional areas
D Recruitment difficulty
R-D Recruitment difficulty in regional areas
M-D Recruitment difficulty in metropolitan areas
The Australian and New Zealand Standard Classification of Occupations (ANZSCO) is published by the Australian Bureau of
Statistics to provide uniformity in the collection, analysis and dissemination of occupational statistics in Australia and New
Zealand. Details are available on the ABS website.

career talk flowchart

  • 1.
    Personal Attributes  Goals Values  Interests  Skills Education History  High School  Short Course  TAFE  University  Others Activities/group  Sports  Arts/craft  Reading  Writing  Tv shows  Family Employment History  Paid Work (Part/full time, casual)  Family Business  Other responsibilities  Role at home Job Description: Describe the kind of job you would like to do?  In the office?  Outdoor?  Working with kids?  Working alone?  Meeting people?  Helping?  Working with your hands Personal Requirements (Job Guide) Are these attributes that you already have or are they ones you can foster and develop? JOB GUIDE When a job position is identified you can refer to the Job Guide job Description: http://www.jobguide.thegoodguides.com.au/ Secondary School Year 7 to Year 10 Specialisation and Related Jobs (Job Guide) Other ideas that share similar roles and responsibility as the initial position Education, Experience and Training (Job Guide) Information on formal training available in the different states. Relate it to your own training and experience. Doer Thinker Helper Creator Organiser TAFE Cert I: basic skills that can help prepare you for employment in some industries Cert II: pre-apprenticeship and entry level operational knowledge. Help develop skills from Cert 1, secondary school or on-the-job training. College: Year 11 to 12 Students have to sit exams and certain subjects to receive ENTER score and requirements to their preferred uni course University Some Universities have direct entry option mid-year. Always check with the department or course you are interested in studying.  Bachelors  Masters  PhD VCE TAFE Cert IV: Higher-level entry point, where you’ll expand your knowledge and prepare for employment in a skilled industry. Some of our CertIV require you to complete the Cert III as a prerequisite Diploma: A diploma qualification is regarded in many industries as ideal for supervisory roles, managing a team or applying your skills in a complex technical environment. You will develop skills analysis, planning, theoretical knowledge and management techniques. Advanced Diploma: You will develop high-level skills in expertise. Some of our advanced diplomas feature guaranteed pathways into further study at university. APPLICATION Procedures  VTAC –VTAC handles most application for entry into higher education. Some TAFE Full-time certificate IV and higher qualifications are also handled by VTAC. Please check with the different courses.  Some courses have direct entry application please refer to their guide. VCAL VET Victorian Skill Shortage List Victorian Skill Shortage list that Kangan offers:  Please see Appendix 3 For more comprehensive list:  http://www.immi.gov.au/skilled/_pdf/updated-sol.pdf TAFE COURSE Website TAFE course Directory provides a list of courses available, entry requirements, and course providers. http://www.tafe.vic.gov.au/tafecourses/ Informal Learning  Volunteer  Other responsibilities  Role at home  Hobbies Kangan Guaranteed Pathways to University http://www.kangan.edu.au/courses/pathways-university/ Helpful Questions What did you like about your past jobs? What did you NOT like about your past jobs? What is your dream/ideal job and why do you like it? Exception to VCE Mature aged students might have other options to applying to university even if they have not completed their VCE. Information on mature-aged entry requirement is readily available on the different university websites. Mature aged may be classified as:  Taken a break for a year or two before starting tertiary studies  Returned to postgraduate study after a break of some years  Been away from any kind of formal learning environment since you left school, which might be 20 years or more. Work Education Entry-level course for people with a mild intellectual/learning disability who want to improve their work readiness and learn specific skills to work in retail, horticulture, hospitality, cabinet making, administration or in the automotive industry. Extra Requirement: Selection is based on motivation for work and meeting the levels of independence required to study in an adult learning environment. Transition Education Entry-level course for people with an intellectual or learning disability wanting to learn living skills and consolidate literacy, numeracy and computer skills. Students may then move into the Cert I in Work Education or mainstream vocational courses with integration assistance. Extra requirement: motivation and ability to study independently in an integrated adult learning environment are important Cert III: Takes a more in-depth look at your study area. A range of Kangan Institute Cert III courses are apprenticeship or traineeship programs, which means along with regular study you will also undertake paid on-the-job training. Education and TrainingCareer/JobPerson VCE The VCE is awarded for the completion of the secondary education in Victoria. Graduates of the VCE may apply for entry into university and TAFE. Kangan Institute offers a broad range of VCE subjects which can be studied full-time or part-time, during the day or evening. Students completing their VCE will receive an ATAR score for entry into university. VCAL Victorian Certificate of Applied Learning is a hands-on option for people wanting to complete a senior secondary school certificate. The VCAL has three levels: foundation, intermediate and senior, so students can start at the level which best meets their skills and abilities. We offer a broad range of full-time VCAL programs including flexible study options. VET Kangan’s VET in Schools program allows secondary school students to combine general VCE units with VET modules, either delivered at their school or at one of our Melbourne campuses. All students who complete a VET in schools program with us have access to a guaranteed pathway for further study at Kangan Institute. Apprenticeships Cert III: is the level for apprenticeships. Students who are studying a trade will have to find an apprenticeship with an employer as the first thing to do. From there they are then asked to apply with their employer to the course. Apprenticeships usually work in block schedule. The student is with their employer for 3 weeks and then 1 week at TAFE. Apprenticeship Field Officers are available to assist them if they are having issues at work. Student has to be working age. There are many mature aged apprentices. Website: http://www.aapathways.com.au/Home NEXT STEP-Kangan NEXT STEP is a free and friendly youth service for 15 to 19 year olds looking for advice on pathway options, career planning and referrals to relevant services. Who is next step for?  Young people (15-19 year olds)  Schools  Careers teachers  Youth workers  Parents Services provided:  Vocational Education and Training information  Pathway planning  Assistance with training and education options  Supported referral to relevant services Genna Hughes on x5924 or Julie McClimont on x2376. http://www.kangan.edu.au/departments/centre-for-youth/NEXT-STEP/ Assessing Authorities  A list of industry assessors for those who have done their certification, degree or experience from overseas.  www.immi.gov.au/skilled/_pdf/assessing- authorities.pdf
  • 2.
    Appendix 1: Listof possible industries/departments that fall into the 5 different categories: Doer Thinker Helper Creator Organiser  Automotive  Building & Furniture  Electrical  Electronics  Engineering  Horticulture  Transport & Logistics  Warehousing & Distribution  Purchasing & Materials Management  Forklift Operations  Laboratory Technology  Pathology Collection  Information Technology  Food Technology  Child Care  Family Support Worker  Disability/Youth/child & Family Workers  Community Development  Welfare Studies  Personal Carer  Patient Services  Trainers  Nursing  Multimedia  Fashion  Millinery  Beauty  Hairdressing  Koori Art & Design  Professional Writing  Language Studies  Management  Accounting  Banking and Finance  Administrative Studies  Small business  Operations Management  Human Resource Operations  Real Estate  Customs  International Trade  Export  Quality Management  Tourism  Hospitality  Retail  Advertising  Sales and Marketing  Public Relations
  • 3.
    Appendix 2: Worksheetsfor Deciding and Planning Likes vs Dislikes / Advantages vs Disadvantages: After identifying a possible course/career you can outline what you like, not like about it and its advantages and disadvantages. Likes Dislike Advantage Disadvantage
  • 4.
    This Page givesyou the opportunity to write down plans and pathways in reference to the course/career you have chosen above. This could be a list of things you need to do such as checking requirements, talking to departments, getting application, or finding funding. You can then draw that out on a timeline. Your Next Steps Timeline Today
  • 5.
    Appendix 1: VictorianSkill Shortage List 14 April 2012 Page 5 The following occupations were assessed in 2011 by the Department of Education, Employment and Workplace Relations specifically for Victoria (this list should be read together with the list of occupations assessed at the national level) Occupational coverage in the research program has changed markedly over time. Lack of a rating for an occupation does not necessarily imply 'no shortage,' it may be that the occupation was not assessed. ANZSCO Occupation Rating Date Assessed Comment 1. MANAGERS 1332-11 Engineering Manager S April 2011 1341-11 Child Care Centre Manager M November 2011 Shortages are evident across the metropolitan area. 2. PROFESSIONALS 2335-12 Mechanical Engineer R; M-D April 2011 Employers seeking industry-specific experience – particularly in the building services and automotive manufacturing sectors - experience difficulty recruiting. 3. TECHNICIANS AND TRADES WORKERS 32. Automotive and Engineering Trades Workers 3211-11 Automotive Electrician S December 2011 3212-11 Motor Mechanic (General) S November 2011 3212-12 Diesel Motor Mechanic M November 2011 The shortage of Diesel Motor Mechanics persists in metropolitan areas, but appears to have eased in regional Victoria. 3222-11 Sheetmetal Trades Worker S December 2011 3223-11 Metal Fabricator S December 2011 3223-13 Welder (First Class) S December 2011 3232- 11,12,13 Fitters R-D December 2011 Recruitment difficulty of Fitters is evident in regional areas. Industry research indicates demand has increased across the resources sector. 3232-14 Metal Machinist (First Class) S December 2011 3241-11 Panelbeater S November 2011 3243-11 Vehicle Painter S December 2011
  • 6.
    14 April 2012 Page6 34. Electrotechnology and Telecommunications Trades Workers 3411-11 Electrician (General) R September 2011 Shortages are evident in regional Victoria. 35. Food Trades Workers 3513-11 3514-11 Chef/Cook R-D September 2011 Employers experience difficulty recruiting Chefs/Cooks with suitable levels of skill and experience across most types of establishments but particularly for in fine dining establishments. 39. Other Technicians and Trades Workers 3941-11 Cabinetmakers D September 2011 Employers seeking Cabinetmakers to manufacture custom built and other high quality cabinetry experience difficulty recruiting. Employers in the kitchen production sector experienced few difficulties. 4. COMMUNITY AND PERSONAL SERVICE WORKERS 4114-11 Enrolled Nurse S June 2011 There is a shortage of Enrolled Nurses with experience in the acute and critical care areas and with other specialised skills, particularly in the metropolitan area. 4211-11 Child Care Worker M November 2011 Metropolitan employers experience significant difficulty recruiting qualified Child Care Workers. The following occupations were assessed in 2011 financial year at the national level only. Separate ratings are not available for Victoria ANZSCO Occupation Rating Date Assessed Comment 272. Social and Welfare Professionals 2725-11 Social Worker R February 2011 Employers in regional areas experience considerable difficulty recruiting qualified and experienced Social Workers. 2726-13 Welfare Worker S February 2011 3. TECHNICIANS AND TRADES WORKERS 32. Automotive and Engineering Trades Workers 3231-12 Aircraft Maintenance Engineer (Mechanical) D November 2011 Employers recruiting for licensed Aircraft Maintenance Engineers (Mechanical) experienced some difficulty. 3242-11 Vehicle Body Builder S June 2011 3242-12 Vehicle Trimmer S June 2011
  • 7.
    14 April 2012 Page7 35. Food Trades Workers 3511-12 Pastrycook D August 2011 Recruitment difficulty is for Pastrycooks with specialist skills or experience, such as European and Asian style pastry, cake decorating or a combination of bread and pastry skills. 36. Skilled Animal and Horticultural Workers 3622-13 Landscape Gardener S November 2011 Key to ratings S Shortage M Shortage in metropolitan areas R Shortage in regional areas D Recruitment difficulty R-D Recruitment difficulty in regional areas M-D Recruitment difficulty in metropolitan areas The Australian and New Zealand Standard Classification of Occupations (ANZSCO) is published by the Australian Bureau of Statistics to provide uniformity in the collection, analysis and dissemination of occupational statistics in Australia and New Zealand. Details are available on the ABS website.