Управління охорони здоров’я
Волинської облдержадміністрації
Обласне територіальне медичне
протитуберкульозне об’єднання
СВОЄЧАСНЕ ВИЯВЛЕННЯ
ТА ТАКТИКА ВЕДЕННЯ ХВОРИХ
НА ТУБЕРКУЛЬОЗ
В ЗАКЛАДАХ ОХОРОНИ ЗДОРОВ’Я
ОБЛАСТІ І-ІІ РІВНЯ
методичні рекомендації для лікарів
та середнього медичного персоналу
Луцьк 2014
2
Заклад-розробник: Обласне територіальне медичне
протитуберкульозне об’єднання
Укладачі:
ЯКОВЕНКО Олег Костянтинович
к.мед.н., генеральний директор обласного територіального медичного протитуберкульозного
об’єднання, головний позаштатний спеціаліст з пульмонології УОЗ облдержадміністрації
ВАЛЕЦЬКИЙ Юрій Миколайович
д.мед.н., завідувач терапевтичного відділення №3, головний позаштатний спеціаліст
з фтизіатрії УОЗ облдержадміністрації
КИРИЛЮК Людмила Йосипівна
завідувач педіатричним відділенням обласного територіального медичного протитуберкульозного
об’єднання, головний позаштатний дитячий фтизіатр УОЗ облдержадміністрації
ДРАЧИНСЬКА Еліна Леонідівна
завідувач диспансерним відділенням обласного територіального
медичного протитуберкульозного об’єднання
КМІТЬ Валерій Дмитрович
завідувач хірургічного відділення обласного територіального
медичного протитуберкульозного об’єднання
МОСТОВА Валентина Олександрівна
завідувач рентгенологічним відділенням обласного територіального
медичного протитуберкульозного об’єднання
МАКАРЕНКО Олена Іванівна
головний лікар обласного центру по профілактиці та боротьбі зі СНІД
Рецензенти:
В.М. Мельник заступник директора з науково-організаційної та науково-методичної
роботи Державної установи «Національний інститут фтизіатрії і
пульмонології ім. Ф.Г. Яновського НАМН України», д.мед.н., професор.
Ю.Г. Кияк завідувач кафедри сімейної медицини факультету після-дипломної
освіти Львівського національного медичного університету ім. Данила
Галицького, д.мед.н., професор.
Своєчасне виявлення та тактика ведення хворих на туберкульоз в закладах охо-
рони здоров’я області І-ІІ рівня (методичні рекомендації для лікарів та середнього
медичного персоналу) // Яковенко О.К., УОЗ Волинської ОДА, Луцьк, 2014 // 52 стор.
Copyright © Олег Яковенко, 2014
3
ЗМІСТ
Перелік умовних позначень, скорочень і термінів. . . . . . . . . . . . . . . . . . . . 4
Епідеміологічна ситуація з ТБ у світі та Україні . . . . . . . . . . . . . . . . . . . . . 6
Виявлення туберкульозу . . . . . . . . . . . . . . . . . . . . . . . . . . . . . . . . . . . . . . . 8
Клінічна картина туберкульозу . . . . . . . . . . . . . . . . . . . . . . . . . . . . . . . . . . 9
Діагностика позалегеневих локалізацій туберкульозу . . . . . . . . . . . . . . . 12
Лікування хворих на туберкульоз . . . . . . . . . . . . . . . . . . . . . . . . . . . . . . . 14
Порядок взаємодії протитуберкульозних лікувальних закладів
та обласного центру по профілактиці та боротьбі зі СНІД . . . . . . . . . . . . 16
Хірургічне лікування туберкульозу . . . . . . . . . . . . . . . . . . . . . . . . . . . . . . 19
Профілактика, виявлення та ведення випадків туберкульозу у дітей. . . . 21
Покази до направлення до фтизіопедіатра . . . . . . . . . . . . . . . . . . . . . . . . 25
Ведення новонароджених із вогнищ туберкульозної інфекції . . . . . . . . . 32
Додаток 1. Скринінгова анкета для виявлення людей,
що потребують обстеження на туберкульоз . . . . . . . . . . . . . 33
Додаток 2. Мікроскопія мазка за Цілем-Нільсеном . . . . . . . . . . . . . . . . . 34
Додаток 3. Перелік обстежень, які застосовують для виявлення ТБ легень
(у неспеціалізованих закладах охорони здоров’я). . . . . . . . . . . . . 35
Додаток 4. 1. Загальний алгоритм діагностики та диференційної
діагностики закладами первинної медико-санітарної
допомоги (маршрут пацієнта) . . . . . . . . . . . . . . . . . . . . . . . . 37
Додаток 5. Покази для діагностичної торакоскопії: . . . . . . . . . . . . . . . . 40
Додаток 6. Покази до проведення діагностичної плевральної пункції: . 41
Додаток 7. Покази до бронхоскопії. . . . . . . . . . . . . . . . . . . . . . . . . . . . . 42
Додаток 8. Категорії населення із підвищеним ризиком
захворювання на туберкульоз. . . . . . . . . . . . . . . . . . . . . . . . 46
Додаток 9. Клініко-діагностичний алгоритм діагностики туберкульозу
в лабораторії ІІІ рівня ОТМПО з використанням
тест-системи GeneXpert MTB/RIF . . . . . . . . . . . . . . . . . . . . . . 47
Додаток 10 Основні напрямки роботи по боротьбі з туберкульозом,
що реалізуються на різних рівнях медичної допомоги
в закладах охорони здоров’я Волинської області . . . . . . . . . 48
Рекомендована література . . . . . . . . . . . . . . . . . . . . . . . . . . . . . . . . . . . . 49
Резюме. . . . . . . . . . . . . . . . . . . . . . . . . . . . . . . . . . . . . . . . . . . . . . . . . . . . 52
4
ПЕРЕЛІК УМОВНИХ ПОЗНАЧЕНЬ, СКОРОЧЕНЬ І ТЕРМІНІВ
АМБП. . . . . . . . . . . . . антимікобактеріальні препарати;
АМБТ . . . . . . . . . . . . . антимікобактеріальна терапія;
BACTEC. . . . . . . . . . . . автоматизована система мікробіологічної діагностики ту-
беркульозу;
ВІЛ. . . . . . . . . . . . . . . вірус імунодефіциту людини;
ВООЗ . . . . . . . . . . . . . Всесвітня організація охорони здоров’я;
ГІНК. . . . . . . . . . . . . . гідразид ізонікотинової кислоти (група синтетичних про-
титуберкульозних препаратів на його основі - ізоніазид,
фтивазид, метазід, тубазид);
г. . . . . . . . . . . . . . . . . грам;
ДОТ . . . . . . . . . . . . . . (DOT - directly observed therapy) - лікування (терапія) під
безпосереднім спостереженням;
ДОТ-кабінети . . . . . . кабінети для лікування (терапії) хворих під безпосеред-
нім спостереженням;
ДОТС . . . . . . . . . . . . . (з англ. DOTS - directly observed treatment, short course) -
лікування під безпосереднім спостереженням, коротким
курсом;
ДОТС-плюс стратегія . стратегія боротьби з неефективно лікованим
і хіміорезистентним туберкульозом, що ґрунтується
на ДОТС-стратегії;
ІФ. . . . . . . . . . . . . . . . інтенсивна фаза;
ЗЛМ . . . . . . . . . . . . . . загально-лікувальна мережа;
ЗП . . . . . . . . . . . . . . . лікар загальної практики;
СЛ/дільничний . . . . . сімейний лікар;
кат. . . . . . . . . . . . . . . категорія;
ККЛ . . . . . . . . . . . . . . кабінети контрольованого лікування;
КЛД . . . . . . . . . . . . . . клініко-лабораторні дослідження;
КСБ . . . . . . . . . . . . . . кислотостійкі бактерії;
ЛПЗ . . . . . . . . . . . . . . лікувально-профілактичні заклади;
ЛТІ . . . . . . . . . . . . . . . латентна туберкульозна інфекція;
МБТ . . . . . . . . . . . . . . мікобактерії туберкульозу;
міс. . . . . . . . . . . . . . . місяць;
5
МЛС-ТБ. . . . . . . . . . . . множинна лікарська стійкість;
МОЗ . . . . . . . . . . . . . . Міністерство охорони здоров’я;
МР ТБ. . . . . . . . . . . . . мультирезистентний туберкульоз (туберкульоз з множин-
ною медикаментозною стійкістю);
МСТБЛЗ . . . . . . . . . . . Міжнародний союз боротьби з туберкульозом та легене-
вими захворюваннями;
НСПЛ . . . . . . . . . . . . . національні стандартні принципи лікування;
ОЛКК . . . . . . . . . . . . . обласна лікувальна контрольна комісія;
ПНМ . . . . . . . . . . . . . . перелік необхідних документів;
ПМД . . . . . . . . . . . . . . первинна медична допомога;
ПФ . . . . . . . . . . . . . . . підтримуюча фаза;
ПТП . . . . . . . . . . . . . . протитуберкульозні препарати;
РМР ТБ. . . . . . . . . . . . ризик мультирезистентного туберкульозу;
РРТБ . . . . . . . . . . . . . туберкульоз із розширеною резистентністю;
СНІД. . . . . . . . . . . . . . синдром набутого імунодефіциту;
ТБ. . . . . . . . . . . . . . . . туберкульоз;
ТМЧ . . . . . . . . . . . . . . тест медикаментозної чутливості;
ФАП . . . . . . . . . . . . . . фельдшерсько-акушерський пункт;
ХП . . . . . . . . . . . . . . . хіміопрофілактика;
ХР ТБ . . . . . . . . . . . . . хіміорезистентний туберкульоз;
ХТ. . . . . . . . . . . . . . . . хіміотерапія;
Аm . . . . . . . . . . . . . . . Амікацин;
Е. . . . . . . . . . . . . . . . . Етамбутол;
Et . . . . . . . . . . . . . . . . Етіонамід;
Н . . . . . . . . . . . . . . . . Ізоніазид;
Кm . . . . . . . . . . . . . . . Канаміцин;
PAS (ПАСК) . . . . . . . . Парааміносаліцилова кислота;
Рt. . . . . . . . . . . . . . . . Протіонамід;
Q . . . . . . . . . . . . . . . . препарати групи фторхінолонів;
R . . . . . . . . . . . . . . . . Рифампіцин;
S. . . . . . . . . . . . . . . . . Стрептоміцин;
Z. . . . . . . . . . . . . . . . . Піразинамід.
6
Епідеміологічна ситуація з туберкульозу
в світі та Україні
Туберкульоз - це інфекційне захворювання, що переда-
ється від хворої людини чи тварини повітряно-крапель-
ним та іншими шляхами, викликається мікобактеріями
туберкульозу (людського, бичачого і африканського шта-
мів; інші штами мікобактерій спричиняють мікобактеріози).
Характеризується утворенням специфічних гранульом в
різних органах і тканинах (специфічне туберкульозне за-
палення) у поєднанні з неспецифічними реакціями та полі-
морфною клінічною картиною, що залежить від форми, ста-
дії, локалізації та поширеності патологічного процесу.
Перебігає з періодичними загостреннями, рецидивами та ре-
місіями, частіше вражає найбідніші, соціально дезадаптовані
групи населення (біженці, мігранти, особи, які перебувають
в установах кримінально-виконавчої системи, особи без по-
стійного місця проживання, алкоголіки, наркомани тощо) та
медичних працівників.
Спричиняє високу тимчасову та стійку втрату працездат-
ності, вимагає тривалого комплексного лікування та реабі-
літації хворих, а також приводить до негативних соціально-
економічних наслідків і при недотриманні стандартів щодо
виявлення та лікування - до передчасної смерті, через що
відноситься до соціально небезпечних захворювань.
На початку 90-х років ХХ століття в багатьох країнах світу, особливо у бідних
країнах, спостерігалося значне погіршення епідемічної ситуації з туберкульозу.
Через те у 1993 році ВООЗ визнала туберкульоз глобальною небезпекою та повідо-
мила, що уряди країн повинні визнати боротьбу з туберкульозом одним з пріорите-
тів і достатньо фінансувати боротьбу з цим захворюванням. У іншому разі тубер-
кульоз може завдати колосальних збитків економікам і населенню нашої планети.
З 1995 р. в Україні зареєстрована епідемія туберкульозу.
Протягом 15-років (з 1990 по 2005) спостерігалось погіршення епідемічної
ситуації, коли рівень захворюваності на туберкульоз та смертності збільшився
понад в 2,5 раза.
7
В Україні за останні роки епідемічна ситуація все ще залишається напруже-
ною, особливо у південних регіонах. Найвищий показник захворюваності на
туберкульоз у Херсонській області (96,2/100 тис.нас.).
Волинь не є виключенням. Область посідає 14 місце в Україні з показником
захворюваності 67,4/100 тис. населення при загальноукраїнському 67,9/100 тис.
населення. Лише в 2013 році відзначено збільшення захворюваності на всі фор-
ми ТБ в області на 30,9% із зростанням захворюваності на активний ТБ органів
дихання на 29,3% в порівнянні з 2012 роком. З них за рахунок зростання малих
форм ТБ — 201 випадок у 2013 році проти 159 випадків у 2012 році, де питома
вага «малих» форм ТБ (вогнищевий ТБ, туберкульозний плеврит, первинний ту-
беркульозний комплекс, туберкулома) до всього ТБ органів дихання склала 24,3%.
Відзначено приріст захворюваності в області на всі бактеріальні форми ТБ на
6,2% у порівнянні з 2012 роком, який корелює з питомою вагою бацилярного ТБ
легень серед вперше виявлених з приростом на 49,4% (даний показник корелює
із зростанням захворюваності на активний ТБ легень та закономірно відповідає
зростанню загальної захворюваності на ТБ).
Невтішною залишається ситуація захворюваності на ТБ дитячого віку в
області. У 2013 році цей показник виріс вдвічі – до 8,1 на 100 тис. дитячого насе-
лення (16 випадків) порівняно з 2012 роком (9 випадків – 4,63 на 100 тис. дитячого
населення). Із 16 дітей, які захворіли на ТБ, 8 дітей – із сімейного тубконтакту (5 із
неблагополучних сімей, 1 дитина із групи 5.4.(Г) народжена від ВІЛ-інфікованих
батьків). Приріст захворюваності на ТБ серед дітей віком до 17 років у 2013 році
склав +75,4%, в т.ч. серед підлітків (в абсолютних числах 8 дітей, 21,2 на 100 тис.)
з динамікою приросту 39,9% (в 2012 році показник 15,3 на 100 тис. підлітків).
Окрім напруженої епідемічної ситуації по туберкульозу в Україні відзнача-
ється щорічне збільшення захворюваності і на Ко-інфекцію – туберкульоз/
ВІЛ (ТБ/ВІЛ). У 2005 році на Волині показник захворюваності на Ко-інфекцію
становив 1,4 випадків на 100 тис.населення, у 2013 році - 5,69 випадків на 100
тис. населення (+55% у порівнянні з 2012 роком).
Епідемія ВІЛ-інфекції в Україні та збільшення кількості ЛЖВ можуть призу-
пинити прогрес на шляху досягнення індикаторів цілі тисячоліття щодо зниження
захворюваності на туберкульоз, оскільки захворюваність на Ко-інфекцію ТБ/ВІЛ
буде стримувати зниження показника захворюваності на туберкульоз.
Щороку в світі діагностується 8-10 млн. випадків захворюван-
ня на туберкульоз. За оціночними даними в усьому світі тре-
тина випадків захворювання не реєструється, тобто реальна
ситуація безсумнівно гірша від статистично зареєстрованої.
8
За прогнозами ВООЗ, з 2011 до 2015 року в світі більше 2 млн. нових випад-
ків туберкульозної інфекції виявляться полірезистентними (стійкими до кіль-
кох протитуберкульозних препаратів). Якщо не взяти під контроль епідемію ВІЛ/
СНІДу, то це теж сприятиме погіршенню ситуації з туберкульозу, оскільки майже
у 15% ВІЛ-інфікованих розвивається туберкульоз і більше 25% з них помирає. До
того ж, до 2050 року близько 40 млн. курців можуть померти від туберкульозу, бо
ризик їх захворіти в 2 рази більший, аніж у некурців. Причому більшість випад-
ків захворювання на туберкульоз буде у країнах Африки, Середземномор’я й Азії.
Водночас ВООЗ в рамках партнерства “Зупинити туберкульоз” та Цілей ти-
сячоліття, до яких приєдналася Україна, ставлять завдання: “До 2015 року скоро-
тити захворюваність і смертність від туберкульозу наполовину порівняно з 1990
роком”. Це означає, що в Україні захворюваність слід знизити до 15,9, а смерт-
ність - до 4,4 на 100 тис. населення. Це дуже складне завдання.
В Україні щорічно на туберкульоз захворює близько 32 тисяч людей та
понад 6 тисяч людей помирає від цієї недуги. Виліковується від тубер-
кульозу в результаті основного курсу хіміотерапії (ОКХТ) (до 12 міс. від по-
чатку лікування) приблизно 60% від захворілих (через 24 (36) міс. - до 75%,
у т.ч. з урахуванням вилікуваних від мультирезистентного туберкульо-
зу). Близько 8% вперше захворілих перериває лікування, 12% - помирає.
Виявлення туберкульозу
Сучасний розвиток медицини передбачає постійне удосконалення заходів
щодо діагностики, лікування та профілактики захворювань з урахуванням вимог
доказової медицини. Система стандартизації медичної допомоги орієнтована на
розробку медико-технологічних документів, які допомагають лікарю ефектив-
но діяти в конкретних клінічних ситуаціях, уникаючи неефективних та помил-
кових втручань.
Таким документом, який регламентує основні моменти виявлення та ведення
випадків туберкульозу є уніфікований клінічний протокол первинної, вторин-
ної (спеціалізованої) та третинної (високоспеціалізованої) медичної допо-
моги (УКПМД) «Туберкульоз», який за своєю формою, структурою та методич-
ним підходам щодо використання вимог доказової медицини створено відповідно
до Наказу МОЗ України №795/75 від 03.11.2009 «Про затвердження Уніфікова-
ної методики з розробки клінічних настанов, медичних стандартів, уніфікованих
клінічних протоколів медичної допомоги, локальних протоколів медичної допо-
моги (клінічних маршрутів пацієнтів) на засадах доказової медицини (частина
9
друга)», який вступив у дію на початку 2013 року (Наказ МОЗ України № 1091 від
21.12.2012 «Уніфікований клінічний протокол первинної, вторинної (спеціалізо-
ваної) та третинної (високоспеціалізованої) медичної допомоги на туберкульоз»).
Відповідно до концепції Національної програми боротьби з туберкульозом в
Україні діагностика туберкульозу (різної локалізації) здійснюється в 2 ета-
пи: виявлення захворювання та встановлення діагнозу.
Виявлення туберкульозу проводиться в лікувальних закладах І-ІІІ рівня охо-
рони здоров’я області, містить у собі вивчення скарг, анамнезу, фізичне обсте-
ження, мікроскопічне дослідження мазків харкотиння на кислотостійкі бакте-
рії (КСБ), а також доступне лікувальному закладу рентгенологічне обстеження.
Скринігове дослідження організованих та неорганізованих груп населення по-
винно проводитись на рівні ЦПМСД (І рівень).
Забір харкотиння повинен здійснюватись після інструктажу хворого ме-
дичним працівником (додаток 2) лише на спеціальних пунктах забору
харкотиння з дотриманням вимог інфекційного контролю. При відсутнос-
ті пункту забору харкотиння в медичному закладі процедура збору хар-
котиння повинна відбуватись в ізольованому місці на вулиці!
Остаточне встановлення (підтвердження) діагнозу туберкульозу проводить-
ся в спеціалізованому обласному протитуберкульозному закладі ІІІ рівня лише
комісією ЦЛКК шляхом більш розширеного обстеження, яке включає мікроско-
пічне дослідження мазка на наявність КСБ, бактеріологічне культуральне дослі-
дження харкотиння, тест на чутливість до протитуберкульозних препаратів І-ІІ
ряду, молекулярно-генетичне дослідження з однієї порції харкотиння (не мен-
ше 5 мл), додаткове рентгенологічне обстеження, ендоскопічне, цитологічне та
морфологічне дослідження тощо.
Клінічна картина туберкульозу
Клінічна картина туберкульозу залежить від локалізації туберкульозного
ураження, характеризується симптомами інтоксикації та симптомами уражен-
ня того чи іншого органу. Для всіх локалізацій туберкульозу характерний інток-
сикаційний синдром - фебрильна або субфебрильна температура тіла, схуднен-
ня, втрата апетиту, підвищена пітливість, слабкість, підвищена втомлюваність.
Найбільш поширеною локалізацією туберкульозу є легені (до 90%). Для неї
характерним є бронхолегеневий синдром - кашель сухий чи з харкотинням, біль
у грудній клітині, пов’язаний з диханням, кровохаркання, легенева кровотеча.
10
Ознаки туберкульозу різних локалізацій та критерії його діагностики наве-
дені в таблицях 1 – 2.
Таблиця 1. Ознаки туберкульозу різної локалізації
Локалізація
туберкульозу
Ознаки туберкульозу
1 2
Туберкульоз
різної локалізації
Інтоксикаційний синдром (фебрильна або субфе-
брильна температура, втрата маси тіла, блідість, слаб-
кість тощо), симптоми, притаманні для органів, які за-
лучені в патологічний процес.
Туберкульоз легень Інтоксикаційний синдром, кашель, виділення хар-
котиння, кровохаркання, біль в грудній клітині, па-
тологічні зміни в легенях на рентгенограмі органів
грудної клітини.
Позалегеневий туберкульоз:
Туберкульоз бронхів,
трахеї та верхніх
дихальних шляхів
Інтоксикаційний синдром, кашель, виділення хар-
котиння, виділення з носа, локальні патологічні змі-
ни слизової оболонки цих органів при бронхоскопії
чи ЛОР огляді.
Туберкульоз гортані Інтоксикаційний синдром, кашель, виділення хар-
котиння, захриплість голосу, локальні патологічні
зміни слизової оболонки гортані при бронхоскопії
чи ЛОР огляді.
Туберкульоз
внутрішньогрудних
лімфатичних вузлів
Інтоксикаційний синдром (від різко вираженого до по-
мірно вираженого), кашель, виділення харкотиння, роз-
ширення тіні коренів легень на рентгенограмі органів
грудної клітини, ураження бронхів при бронхоскопії.
Туберкульозний плеврит Інтоксикаційний синдром (від різко вираженого до по-
мірно вираженого), біль в грудній клітині, задишка, су-
хий кашель, наявність випоту в плевральній порожнині.
Туберкульоз
нервової системи
і мозкових оболонок
Інтоксикаційний синдром (від різко вираженого до по-
мірно вираженого), менінгеальний синдром (від різ-
ко вираженого до помірно вираженого), патологічні
зміни в лікворі, вогнищеві симптоми ураження мозку.
Туберкульоз
кісток та суглобів
Інтоксикаційний синдром, локальний біль в кістках
та суглобах, холодні абсцеси в м’яких тканинах, па-
тологічні зміни в кістках і суглобах при рентгеноло-
гічному дослідженні.
Туберкульоз
сечостатевої системи
Інтоксикаційний синдром, дизуричний синдром, па-
тологічні зміни в аналізі сечі, патологічні зміни при
рентгенологічному обстеженні органів сечової сис-
теми, локальні патологічні зміни слизової оболонки
сечового міхура при цистоскопії.
11
Локалізація
туберкульозу
Ознаки туберкульозу
Туберкульоз
периферичних
лімфатичних вузлів
Інтоксикаційний синдром, збільшення периферич-
них лімфовузлів, нориці над збільшеними перифе-
ричними лімфовузлами.
Туберкульоз
кишок, очеревини
Інтоксикаційний синдром (від різко вираженого до
помірно вираженого), діарейний синдром, збільшен-
ня брижових лімфовузлів при УЗД, синдром кишко-
вої непрохідності.
Туберкульоз шкіри Інтоксикаційний синдром (від різко вираженого до
помірно вираженого), скрофулодерма, вовчак.
Туберкульоз ока Інтоксикаційний синдром (від різко вираженого до
помірно вираженого), передній увеїт, периферичний
увеїт, хореоретиніт.
Туберкульоз вуха Інтоксикаційний синдром , виділення з вуха, знижен-
ня слуху, локальні патологічні зміни при ЛОР – огляді.
Туберкульоз
надниркових залоз
Інтоксикаційний синдром (від різко вираженого до
помірно вираженого), синдром Адисона, патологіч-
ні зміни наднирників при рентген дослідженні і УЗД.
Міліарний туберкульоз Інтоксикаційний синдром (різко виражений), мілі-
арні висипання в легенях при рентген обстеженні.
Таблиця 2. Критерії діагностики туберкульозу
Діагноз туберкульо-
зурізноїлокалізації:
Критерії діагностики туберкульозу
Туберкульоз МБТ+ Ознаки туберкульозу органів або тканин, виявлення МБТ
методом мікроскопії або посіву в матеріалі, отриманому
з уражених органів і тканин.
Туберкульоз ГІСТ + Ознаки туберкульозу органів або тканин, гістологічна вери-
фікація туберкульозу при біопсії уражених органів і тканин.
Туберкульоз МБТ – Ознаки туберкульозу органів або тканин, позитивний ре-
зультат від застосування протитуберкульозної терапії (ре-
гресія патологічних змін в уражених органах і тканинах).
Розрізняють пасивне та активне виявлення туберкульозу.
Пасивне виявлення – звернення пацієнта до медичного закладу з пев-
ними скаргами. Медичним працівникам, в цьому випадку, слід прояви-
ти настороженість на предмет туберкульозу і скерувати пацієнта на не-
обхідне обстеження.
12
Активне виявлення – медичний працівник залучає особу до профілак-
тичного огляду (коли немає явних ознак туберкульозу). У цьому випад-
ку має місце висока вірогідність своєчасного виявлення хвороби та міні-
мальна вірогідність епідеміологічної небезпеки пацієнта для оточуючих.
Працівникам ФАП та ЗЛМ слід використовувати скринінгову анкету для ви-
явлення людей, що потребують обстеження на туберкульоз (додаток 1) та ске-
ровувати показаних пацієнтів на дообстеження.
Правила забору мокротиння та іншого матеріалу для дослідження на КСБ
та МБТ наведені у додатку 2.
Діагностика позалегеневих локалізацій туберкульозу
При позалегеневих локалізаціях туберкульозного процесу збудника тубер-
кульозу вдається виявити дуже рідко. Тому рентгенологічний метод лишаєть-
ся головним при діагностиці деяких позалегеневих локалізацій туберкульозу.
Найчастішою локалізацією туберкульозу, після органів дихання,
є кістки. В 40% кісткового туберкульозу зустрічається туберкульоз хреб-
та. Ця хвороба діагностується в людей різного віку. В дитячому віці най-
частіше ушкоджується шийний відділ хребта, в шкільному віці – грудний
відділ, в дорослих людей – поперековий відділ хребта.
ВИДІЛЯЮТЬ 4-И ФАЗИ ДАНОГО ПРОЦЕСУ.
В першу фазу формується центральна або крайова каверна з нечіткими не-
рівними контурами та наявністю секвестрів в центрі порожнини, в вигляді «та-
нучого цукру».
В другу фазу відмічається прорив каверни: деструкція відповідного краю
хребця, верхньої чи нижньої замикаючої пластинки, звуження міжхребцевого
диску. Внаслідок вдавлення будь-якої з пластинок хребець частково зплющуєть-
ся, формується клиновидна його деформація.
Третя фаза характеризується контактним руйнуванням сусіднього хреб-
ця, повним руйнуванням хрящового диску і формуванням локального наплив-
ного абсцесу.
Четвертій фазі характерні значні подальші руйнування: майже повне руй-
нування первинно ушкодженого хребця, руйнування тіл сусідніх хребців, що при-
ймають клиновидну форму, різке звуження міжхребцевих щілин, до повної його
відсутності, формування кіфозу на місці ушкодження.
13
Про затихання туберкульозного спондиліту свідчать:
• зменшення тіні напливного абсцесу та збільшення її інтенсивності;
• більш чіткі контури на місцях деструкції хребців з появою склерозування,
окостеніння зв’язок або остеофітів;
• стабільність змін без тенденцій до прогресування;
• розвиток анкілозу суглобових дужок;
• в подальшому – розвиток кісткового анкілозу ушкоджених хребців.
З суглобів найчастіше ушкоджуються кульшові, рідше колінні та ліктеві,
променево-зап’ястні, дрібні суглоби предплюсни та зап’ястя, крижово-здухвин-
ні зчленування.
ТУБЕРКУЛЬОЗ СУГЛОБІВ ПРОТІКАЄ В ТРЬОХ СТАДІЯХ
В преартритичній стадії туберкульозне вогнище знаходиться в губчатому
шарі кістки: відмічається розширення суглобової щілини, ознаки остеопорозу та
витончення коркового шару кістки.
В артритичній стадії руйнується суглобовий кінець кістки: від невеликих
вогнищ деструкцій до повного “розплавлення” епіфізів, руйнується суглобовий
хрящ, процес поширюється на іншу кістку – суглобова щілина звужується і має
нерівні контури.
В постартритичній стадії процес стабілізується: розвиваються остеоскле-
ротичні зміни в місцях деструкції, деформація суглобових поверхонь, розвитком
артрозів та кісткових анкілозів.
Нирки є наступною по частоті локалізацією позалегеневого уражен-
ня. Туберкульозні вогнища утворюються переважно в кортикальних шарах
нирок, а також на межі коркового та мозкового шарів. В результаті розви-
тку туберкульозного процесу змінюються форма і розміри нирок. На огля-
довій рентгенограмі відмічається її зморщення або локальне збільшення
тіні. При вогнищевому ураженні процес обмежується частіше всього од-
ним із полюсів нирки, де контур деформований, втягнутий або вибухає.
Ранньою формою ТБ нирки, яку можна діагностувати, є специфічний па-
піліт – це різноманітні звапнення сосочку форніксу, контури яких нерівні, не чіт-
кі. Тінь, що утворилась нагадує по формі гриб, ріг оленя або полум’я факелу (після
повного зруйнування ниркового сосочка). При інфільтративній формі ниркового
ТБ на піелограмі знаходять звуження чашечки, переважно в зоні її шийки, а та-
кож деструкцію в присосочковій зоні. Внаслідок здавлення шийки порушується
відтік сечі із чашечки, її перефиричні відділи розширюються (тінь барабанної па-
лички), що в подальшому приводить до «відшнуровування» чашечки.
14
При прогресуванні процесу, в перенхімі нирки виникають каверни неправиль-
ної форми, різної величини з нерівними нечіткими контурами, що з’єднуються з
чашечкою чи лоханкою вузькими каналами. В рубцево зморщеній нирці чашечки
колбовидно розширюються, здавлюються і ампутуються. Якщо в процес втягу-
ється сечовід, то він вкорочується, в ньому утворюються звуження та розширен-
ня. Видільна функція ушкодженої нирки значно знижується.
Лікування хворих на туберкульоз
Лікування хворих на ТБ із бактеріовиділенням здійсню-
ється в умовах стаціонару до припинення бактеріовиді-
лення, а без бактеріовиділення – амбулаторно по місцю
проживання, лише під контролем медичного працівни-
ка, відповідно до схеми лікування яку визначає ЛИШЕ
ЛІКАР-ФТИЗІАТР!
Хворі з бактеріовиділенням повинні знаходитись примусо-
во на стаціонарному, контрольованому лікуванні по повного
знебацилення. Хворі на МРТБ повинні знаходитись в боксо-
ваному відділенні обласного закладу, отримуючи стаціонар-
не, контрольоване лікування відповідно до вимог інфекцій-
ного контролю до знебацилення.
Контрольоване амбулаторне лікування відіграє важливу роль у терапії
вперше виявленим хворим після виписки зі стаціонару, санаторію, хворим на хро-
нічні форми туберкульозного процесу, особам, які потребують протирецидивно-
го лікування й хіміопрофілактики.
Лікування хворих в амбулаторних умовах здійснюється за індивідуальною
схемою з урахуванням форми туберкульозу, супутньої соматичної патології (ко-
морбідні стани), соціального статусу та прихільності до хіміотерапії.
Дані про хворого, який готується до виписки на амбулаторний
контрольований етап лікування, передаються за 1 тиждень до випис-
ки по місцю проживання з інформацією про діагноз та схему лікування.
В свою чергу, дільничний (міський, районний) лікар-фтизіатр пови-
нен передати сімейному лікарю ЦПМСД та/або відповідальному медич-
ному працівникові закладу ЦМПСД інформацію про хворого з необхід-
ною кількістю ПТП І-ІІ ряду на місяць для контрольованого лікування.
15
Сучасним та головним принципом амбулаторного лікування є його конт-
рольованість - прийом хворим ліків повинен здійснюватися в присутності медич-
ного працівника (фельдшер, медична сестра) закладу охорони здоровя по місцю
проживання та/або медичної сестри Червого Хреста. Інколи використовуєть-
ся метод інтермітуючої терапії - прийом добової дози хіміопрепаратів - 3, рід-
ше 2 рази на тиждень, зрідка 4 дні підряд із триденною перервою.
На початкових етапах амбулаторного лікування слід призначати що-
денний одноразовий прийом медикаментів. Для контролю за прийомом АМБП
допускається залучення родичів хворого (профільований актив, окрім дітей). У
випадку видачі ПТП додому (що небажано), медична сестра при відвідуванні хво-
рого робить підрахунок кількості препаратів, що залишилися, з метою контролю.
У процедурному кабінеті на кожного хворого заводиться процедурний лист. У
містах (с.м.т.) амбулаторне лікування здійснюється в протитуберкульозних установах,
на медичних пунктах підприємств, навчальних закладів, куди передається необхідна
кількість ПТП. Хворий отримує ПТП із рук медсестри, яка має переконатись, що пацієнт
їх проковтнув та зробити відмітку про це у реєстраційній формі встановленого зразка.
Протирецидивне лікування жителів сільської місцевості проводиться в
закладах ЦМПСД – на ФАПах, амбулаторіях, лікарнях згідно рекомендацій лікаря-
фтизіатра ІІ рівня (ДОТ – кабінет в ЦРЛ, районна протитуберкульозна лікарня) .
Лікування ТБ у ВІЛ-інфікованих здійснюють за тими ж принципами, що і
ВІЛ-негативних осіб, за виключенням суворого протипоказання до застосуван-
ня тіоацетазону. АРТ пацієнтам призначається на підставі даних КЛД із враху-
ванням сформованої прихильності до лікування та самостійного прийому препа-
ратів. Існуюча доказова база підтверджує необхідність підвищення доз ПТП при
лікуванні ВІЛ-інфікованих і ВІЛ-негативних дітей через те, що рівні концентра-
ції препаратів у сироватці крові у дітей нижчі, ніж у дорослих пацієнтів.
У разі отримання хворим на Ко-інфекцію ТБ/ВІЛ АРВ-препаратів 2 лінії (інгі-
бітори протеаз) замість Рифампіцину призначається Рифабутин. Лікування супро-
воджується більш високою частотою побічних ефектів від антимікобактеріальних
препаратів, ніж у ВІЛ-негативних осіб. APT призначається всім ВІЛ-інфікованим,
які хворі на лікарсько-стійкий туберкульоз і які потребують ПТП II ряду, неза-
лежно від кількості CD4, причому розпочинати її треба якомога раніше (в перші
8 тижнів) після початку протитуберкульозного лікування.
У пацієнтів з ВІЛ/ТБ існує ризик до рецидиву ТБ.
Всі ВІЛ-інфіковані пацієнти, які перехворіли на ТБ, спостерігаються у ліка-
ря фтизіатра та у лікаря кабінету «Довіра», КІЗу або центрів СНІД пожиттєво.
16
Хіміопрофілактика ТБ у ЛЖВ: відповідно до уніфіковано-
го протоколу №1091 від 21.12.2012р. хіміопрофілактика
проводиться ізоніазидом у дозі 5 мг/кг щоденно протягом
6 міс. всім ВІЧ-інфікованим, у яких CD4 менше 200кл., а та-
кож усім ВІЧ-інфікованим, що перехворіли на ТБ, не біль-
ше, ніж протягом 2-х років.
Профілактика пневмоцистної пневмонії у хворих на ВІЛ/ТБ
(Ко-інфекція): Відповідно до протоколу №276 від 28.05.2008 р.
пацієнтам з CD4 менше 200кл. або при наявності 3-4 стадії ВІЛ-інфекції
призначають ко-тримоксазол (триметопрім/сульфаметоксазол (ТМП/
СМК) поки рівень CD4 не стабілізується вище 200кл, щонайменше про-
тягом 3міс. Пацієнтам рекомендується прийом 2 таблеток ТМП/СМК
(160мг триметоприму та 800 мг сульфаметоксазолу) один раз на день.
Порядок взаємодії протитуберкульозних
лікувальних закладів та обласного центру
по профілактиці та боротьбі зі СНІД
Надання медичної допомоги хворим на поєднані захворювання – туберкульоз
та ВІЛ-інфекцію здійснюється відповідно до наказу МОЗ України від 28.05.2008
року №276 «Про затвердження клінічного протоколу надання медичної до-
помоги хворим на поєднані захворювання – туберкульоз та ВІЛ-інфекцію»
та «Уніфікований клінічний протокол первинної, вторинної (спеціалізова-
ної) та третинної (високоспеціалізованої) медичної допомоги – Ко-інфекція
туберкульоз/ВІЛ – 2013 рік», який перебуває на стадії затвердження.
Усі ВІЛ-інфіковані пацієнти повинні бути обстежені на наявність, або ризик
розвитку туберкульозу, а усім хворим на туберкульоз повинно бути запропоно-
вано консультування та тестування (ДКТ) на ВІЛ.
Основними причинами такої оцінки є:
• ВІЛ-інфіковані пацієнти відносяться до групи ризику стосовно наявності
або розвитку активного туберкульозу, як однієї з основних причин смерті;
• ВІЛ-інфекція впливає на перебіг туберкульозу та ефективність лікування;
• активний туберкульоз впливає на перебіг ВІЛ-інфекції та ефективність
антиретровірусної терапії (АРТ);
• туберкульоз може бути одним із проявів ІІІ або IV стадії ВІЛ-інфекції, яка
потребує призначення ВААРТ лікування.
17
1. Виявлення хворих на поєднану патологію ВІЛ/ТБ проводиться при
плановому медичному (диспансерному)нагляді ВІЛ-позитивних пацієн-
тів, та ВІЛ-позитивних пацієнтів, які звернулись зі скаргами чи симпто-
мами ТБ в обласний центр СНІД, та/або в кабінети довіри при закладах
охорони здоров’я області ІІ рівня (ЦРЛ) спільно з лікарем-фтизіатром.
! У протитуберкульозний заклад на лікування скеровується лише
хворий з підтвердженим діагнозом Ко-інфекції!
2. Діагностика ВІЛ-інфекції у хворих на туберкульоз здійснюється шля-
хом проведення тестування на ВІЛ в протитуберкульозних закладах об-
ласті та поглибленого клініко лабораторного обстеження, після якого
визначається тактика надання медичної, психологічної та соціальної до-
помоги хворому на Ко-інфекцію ТБ/ВІЛ.
3. В протитуберкульозних закладах області кожному пацієнту з актив-
ним туберкульозом повинно бути проведене ДКТ на ВІЛ. Дана про-
цедура включена до переліку стандартних (рутинних) для кожного за-
кладу, де надається допомога хворим на туберкульоз.
4. Медичні працівники протитуберкульозних закладів області повинні пояс-
нити пацієнту необхідність та важливість проходження тестування для
прийняття відповідних рішень про подальше ефективне лікування,
проте пацієнт має право відмовитися від проходження обстеження на ВІЛ.
5. Первинне обстеження пацієнта на ВІЛ повинно включати:
• передтестове консультування;
• серологічне дослідження крові методом імуноферментного аналізу
та/або швидких тестів для виявлення антитіл на ВІЛ з підтверджен-
ням результату;
• післятестове консультування;
Перед- та післятестове консультування хворих на ТБ з метою вияв-
лення ВІЛ рекомендовано проводити з дотриманням загальних вимог
Порядку добровільного консультування і тестування на ВІЛ-інфекцію
(протоколу), затвердженого наказом МОЗ України від 19.08.05 № 415 та
зареєстрованому в Міністерстві юстиції України 22.11.05 за №1404/11684.
6. У разі встановлення діагнозу ВІЛ-інфекції в протитуберкульозному
закладі викликається лікар-інфекціоніст центру профілактики та бороть-
би зі СНІД, кабінету «Довіри» або КІЗу для постановки на офіційний об-
18
лік та продення додаткових лабораторних обстежень з метою встанов-
лення клінічної стадії ВІЛ-інфекції.
7. При підтвердженні діагнозу туберкульозу у ВІЛ-інфікованих у про-
титуберкульозних закладах, лікар-фтизіатр, який встановив діагноз
туберкульозу, повинен повідомляти обласний центр по профілактиці
та боротьбі зі СНІД з поданням виписки з історії хвороби про випадок
ВІЛ-асоційованого туберкульозу та результати лікування з дотриман-
ням принципу конфіденційності.
8. Відповідальність за повідомлення обласного центру СНІД про ви-
падок ВІЛ-асоційованого туберкульозу покладається на генерально-
го директора протитуберкульозного об’єднання та заступника генераль-
ного директора з лікувальної роботи протитуберкульозного об’єднання,
головних лікарів протитуберкульозних лікарень.
9. У разі отримання позитивного тесту на ВІЛ-інфекцію у хворого на
туберкульоз, який перебуває на стаціонарному лікуванні до проти-
туберкульозного закладу на консультацію запрошується спеціаліст об-
ласного центру СНІДу, який проводить поглиблене клініко-лаборатор-
не обстеження хворого для визначення стадії ВІЛ-інфекції та визначає
необхідність призначення антиретровірусного лікування відповідно до
наказу МОЗ України від 12.07.2010 року №551 «Про затвердження клі-
нічного протоколу антиретровірусної терапії ВІЛ-інфекції у дорослих та
підлітків». При перебуванні на лікуванні хворих на Ко-інфекцію ВІЛ/ТБ
в тублікарнях (с.Хотешів, с.Поворськ, смт.Луків)до хворого викликають
лікаря центру СНІД на консультацію.
10. Подальше ведення хворого на ВІЛ-асоційований туберкульоз здій-
снюється фахівцем обласного центру по профілактиці та боротьбі зі
СНІД спільно з фтизіатром.
11. Відповідальність за організацію протитуберкульозного лікування
у ВІЛ-інфікованих та ведення облікових форм покладається на ра-
йонного фтизіатра відповідно до наказу МОЗ України від 09.06.06 №384
“Про затвердження Протоколу надання медичної допомоги хворим на
туберкульоз”.
12. Лікування ТБ у ВІЛ-інфікованих здійснюється в обласному територі-
ально-медичному протитуберкульозному об’єднанні та туберкульозних
лікарнях за стандартними схемами хіміотерапії спільно зі спеціалістами
обласного центру по профілактиці та боротьбі зі СНІДом, які проводять
поглиблене клініко-лабораторне обстеження хворого для визначення ста-
дії ВІЛ-інфекції та необхідності призначення антиретровірусної терапії.
19
13. В закладах охорони здоров’я первинної ланки проводять тільки підтри-
муючу фазу ХТ за умови забезпечення контрольованості лікування.
14. Лікування хворих на ВІЛ/ТБ проводять в обласному центрі по профі-
лактиці та боротьбі зі СНІДом та в протитуберкульозних закладах усіх
рівнів за стандартними схемами антиретровірусної терапії під нагля-
дом фахівця, який здійснює систематичне спостереження за пацієнта-
ми з поєднаною патологією ВІЛ/ТБ. При одночасному застосуванні про-
титуберкульозної та антиретровірусної терапії лікування туберкульозу
проводять під безпосереднім наглядом медичних працівників за про-
ковтуванням таблетованих лікарських засобів.
15. АРТ після завершення основного курсу хіміотерапії пацієнти на по-
єднані захворювання – туберкульоз та ВІЛ-інфекцію отримують в об-
ласному центрі по профілактиці та боротьбі зі СНІДом.
16. Хворі на поєднану патологію ВІЛ/ТБ (позалегеневі форми) при на-
явності інших опортуністичних інфекцій, які потребують лікування,
можуть проходити лікування (інтенсивну фазу протитуберкульозної хі-
міотерапії) в стаціонарному відділенні для ВІЛ-інфікованих обласної ін-
фекційної лікарні.
Хірургічне лікування туберкульозу
В деяких випадках, для покращення ефективності лікування хворих на ту-
беркульоз та з метою верифікації діагнозу застосовуються хірургічні втручання.
Вони показані в наступних випадках:
• бактеріовиділення, що зберігається після пролонгованої до 90 доз ІФ, не-
зважаючи на адекватно проведену ХТ;
• хіміорезистентні форми ТБ;
• кровохаркання, що виникає періодично з каверни або бронхоектазів піс-
ля вилікування ТБ;
• синдром здавлення медіастинальними лімфатичними вузлами;
• туберкульозна емпієма, що не розсмокталась при ХТ;
• округле утворення в легенях.
Показання до хірургічного втручання при туберкульозі легень наступні:
1) за життєвими показами:
• профузна легенева кровотеча (консультація хірурга);
• напружений клапанний пневмоторакс;
20
2) абсолютні покази:
• МР ТБ/РРТБ при збереженні бактеріовиділення після отримання 180 доз;
• інфільтративний деструктивний ТБ з бактеріовиділенням після отриман-
ня 90 доз за відсутності позитивної динаміки;
• фіброзно-кавернознийТБ–одностороннійчидвосторонній(небільше2-хдолей);
• циротичний ТБ легень з бактеріовиділенням;
• хронічна емпієма плеври, панцирний плеврит;
• рецидивуючий пневмоторакс;
• рецидивуюче кровохаркання;
• синдром здавлення при первинному ТБ;
3) прямі покази:
• великі туберкульоми з розпадом або бактеріовиділенням (понад 3 см);
• некурабельні залишкові зміни в легенях – бронхоектази, зруйнована част-
ка легені, виражений стеноз бронху;
• сановані каверни без бактеріовиділення з епідеміологічних міркувань
(працівники дитячих закладів).
Діагностичні операції (торакотомія, торакоскопія, біопсія) застосову-
ються в наступних випадках:
• дисемінація неясної етіології;
• округла тінь в легені;
• плеврит неясної етіології;
• гіперплазія внутрішньогрудних лімфатичних вузлів неясної етіології.
Типи та об’єми операцій на органах грудної клітини наступні:
• резекційні втручання: сегмент- і бісегментектомія, лоб- і білобектомія,
пульмонектомія;
• торакопластика;
• плевректомія, декортикація легені;
• кавернотомія;
• біопсія легені;
• біопсія внутрішньогрудних лімфатичних вузлів;
• торакоскопічне втручання (покази і протипокази до торакоскопії пода-
ні в додатку 5) .
Протипоказання до хірургічних втручань наступні:
• всі види тяжкої органної недостатності (дихальної, серцевої, ниркової,
печінкової і т.п.);
• інфаркт міокарду і вірусні гепатити;
21
• захворювання крові;
• прогресування ТБ;
• вперше діагностовані форми ТБ на ранніх етапах лікування.
В хірургічному відділенні ОТМПО, за показами, проводиться торакоцентез
(додаток 6).
В показаних випадках проводиться ФБС (додаток 7).
Профілактика, виявлення та ведення
випадків туберкульозу у дітей
До специфічної профілактики туберкульозу серед дитячого
населення відноситься вакцинація і ревакцинація БЦЖ.
Щеплення проводить кваліфікований медичний персонал пологового будин-
ку та/або відділення, відділення догляду за недоношеними, дитячих поліклінік
або закладів ЦПМСД.
Протипоказання до вакцинації БЦЖ:
• Недоношеність (вага тіла менше ніж 2500 г).
• нутрішньоутробна інфекція, гнійно-септичні захворювання, гемолітичне
захворювання новонароджених (середньо тяжка та тяжка форми), важкі
пологові травми нервової системи з неврологічною симптоматикою, гене-
ралізовані шкірні ураження та ін. Щеплення проводять після одужання
дитини та консультації відповідних спеціалістів.
• Гострі захворювання. Щеплення проводять після одужання дитини та кон-
сультації відповідних спеціалістів.
• Первинні (вроджені) імунодефіцити.
• Злоякісні захворювання крові та новоутворення.
• Наявність випадків генералізованої БЦЖ-інфекції у інших дітей в родині.
• При призначенні імунодепресантів та променевої терапії (щеплення про-
водять в показаних випадках не раніше ніж через 12 місяців після закін-
чення лікування при відсутності ознак імунодефіциту (клінічних та лабо-
раторних) і консультації відповідних спеціалістів.
• Діти народженні від ВІЛ-інфікованих матерів (щеплення проводять після
зняття діагнозу ВІЛ-інфікування).
22
Дітям, які не були вакциновані у періоді новонародженості, щеплення про-
водять після виключення протипоказань за висновком відповідних спеціалістів.
Дітям у віці двох місяців і старшим попередньо проводять пробу Манту з 2 ТО і
вакцинують лише туберкулінонегативних. Ревакцинацію проводять у 7-річному
віці у туберкулінонегативних дітей.
Протипоказання до ревакцинації БЦЖ.
• Гострі інфекційні та неінфекційні захворювання, загострення хронічних
захворювань (у тому числі алергійних), Щеплення здійснюють через 1
місяць після одужання або настання ремісії.
• Злоякісні захворювання крові та новоутворення.
• Первинні (вроджені) імунодефіцити.
• Інфікування вірусом імунодефіциту людини.
• У випадку призначених імунодепресантів і променевої терапії щеплення
здійснюють в показаних випадках не раніше, ніж через 12 місяців після
закінчення лікування, при відсутності ознак імунодефіциту (клінічних
і лабораторних) та після консультації з відповідними спеціалістами.
• Неврологічні порушення з вираженою симптоматикою.
• Анемія (рівень гемоглобіну нижче 80 г/л).
• Захворювання на туберкульоз та туберкульоз в анамнезі. Інфікування
мікобактеріями туберкульозу ( в тому числі й у випадках негативної ре-
акції на туберкулін).
• Позитивна чи сумнівна реакція на пробу Манту з 2 ТО.
• Тяжкі поствакцинальні реакції в анамнезі у вигляді анафілактичного
шоку, енцефаліту, агранулоцитозу.
• Ускладненні реакції на попереднє введення вакцини БЦЖ (лімфаденіт, хо-
лодний абсцес, виразки шкіри більше 10 мм, інфільтрат на місці введення
розміром 15 мм, келоїдний рубець, остити, генералізовані БЦЖ-інфекція).
• У випадку контакту з інфекційними хворими в родині, дитячому закладі
та ін. щеплення здійснюють після закінчення терміну карантину чи мак-
симального терміну інкубаційного періоду для даного захворювання.
• Вагітність та лактація.
• ВІЛ-інфекція.
Згідно наказу МОЗ України за № 1091 діти, які не щеплені в пологовому бу-
динку, спостерігаються у фтизіатра за категорією 5.4.(В). Вони підлягають обсте-
женню 1 раз в 6 місяців до проведення вакцинації. Такі діти не повинні відвід-
увати протитуберкульозний заклад!
23
ТУБЕРКУЛІНОВА ДІАГНОСТИКА У ДІТЕЙ
Єдиним методом ранньої діагностики ЛТІ у дітей теперішнього часу за-
лишається шкірний туберкуліновий тест – проба Манту з 2 ТО.
Зважаючи на великий термін використання методу туберкулінової діагнос-
тики, історія якого нараховує більше століття, виникла нагальна необхідність
у вдосконаленні діагностичного методу. Уніфікованим клінічним протоколом
передбачено застосування тесту з АТР (антиген туберкульозний рекомбінант-
ний), який більш специфічний та менш реактогенний у порівнянні із звичай-
ним туберкуліном.
Протипоказання для проведення проби Манту з 2 ТО
• Розповсюджені захворювання шкіри.
• Гострі та хронічні захворювання в період загострення.
• Інфекційні захворювання за виключенням випадків підозри на туберкульоз.
• Алергічні стани, ревматизм в гострій та підгострій фазах, бронхіальна аст-
ма, ідіосинкразія з вираженими шкірними проявами в період загострення.
• Епілепсія.
Не допускається проведення проби Манту дітей із колективів, де триває
карантин з приводу інфекційних захворювань (за виключенням підозри на ту-
беркульоз). Пробу проводять через місяць після зникнення клінічних симптомів
або одразу після зняття карантину.
• Діти і підлітки у ранньому періоді первинної ТБ інфекції (встановлений
«Віраж» за результатами проби Манту чи з позитивною реакцією на про-
бу з АТР) спостерігаються згідно наказу МОЗ України за № 1091 у фтизіа-
тра за кат. 5.4 (А).
• Діти і підлітки, інфіковані МБТ, з гіперергічною чутливістю до туберкулі-
ну за результатами проби Манту чи АТР (17 мм), її наростанням на 6 мм та
більше, із хронічними соматичними захворюваннями спостерігаються згід-
но наказу МОЗ України за № 1091 у фтизіатра за категорією 5, гр.5.4 (Б).
• Діти з перинатальним контактом щодо ВІЛ-інфекції (які знаходяться на
моніторингу – до зняття/встановлення ВІЛ-інфекції) спостерігаються у
фтизіатра за категорією 5, гр.5.4 (Г).
• Діти ВІЛ-інфіковані спостерігаються за категорією 5, гр.5.4 (Д).
• Діти і підлітки, у яких необхідно уточнити етіологію чутливості до тубер-
куліну (після вакцинна або інфекційна алергія), характер змін у легенях та
інших органах (з метою дифдіагностики) та діти з туберкульозними зміна-
ми невизначеної активності спостерігаються за категорією 5.3.
24
Діти із групи 5.3 проходять комплексне обстеження. Термін спостереження
– 3 місяці. Після чого переводять до 1 – 4 або 5 категорії чи знімають з обліку.
Діти з груп 5.4 (А) і 5.4 (Б) при взятті на облік фтизіатром проходять ре-
тельне клініко - Ro’’ обстеження (РМ з 2 ТО, загальний аналіз крові, загальний
аналіз сечі, біохімічний аналіз крові, контроль функції нирок і печінки). Превен-
тивне лікування проводиться за режимом (3НЕ/3HZ).
Хіміопрофілактика і оздоровлення проводиться в умовах санаторію, спеціалі-
зованих дитячих закладах (садках) або амбулаторно під контролем медпрацівників.
Дільничний фтизіатр повинен передати лікарю ЗП–СЛ або відповідальному
медичному працівникові закладу ПМД необхідні препарати на місяць. Вони за-
безпечують чіткий контроль за прийняттям ПТП.
В період проведення хіміопрофілактики, не рідше 1 раз на місяць, проводи-
ти обстеження (загальний аналіз крові, загальний аналіз сечі, біохімічний ана-
ліз крові). При прийнятті етамбутолу – консультація окуліста 1 раз на місяць. В
подальшому обстеження проводити 1 раз на 6 місяців.
Термін спостереження – 1 рік, при наявності факторів ризику чи контактів
із осередків – 2 роки.
Діти із групи 5.4 (Г) спостерігаються дитячим фтизіатром і обстежують-
ся 1 раз на 6 місяців із проведенням проби Манту. У разі інфікування – превен-
тивне лікування. Термін спостереження – до зняття діагнозу ВІЛ-інфікування.
Діти із групи 5.4 (Д) – ВІЛ-інфіковані діти – обстеження 1 раз на 6 місяців
із проведенням проби Манту. Хіміопрофілактика – ізоніазидом 6 місяців. Термін
спостереження – до досягнення дитиною 18 років.
При виявлені у дітей або підлітків локальної форми туберкульозу, (діагнос-
тує дільничний фтизіатр) необхідно направити їх у облтубдиспансер. В стаціона-
рі такі хворі отримують лікування згідно категорій (1, 2, 3, 4). Проба Манту прово-
диться при встановленні діагнозу, в подальшому 1 раз на 6 місяців та обов’язково
по завершенні лікування.
Лікування дітей проводиться в умовах тубстаціонару.
Допуск в загальноосвітні шкільні і дошкільні заклади – після закінчення осно-
вного курсу лікування. Граничний термін спостереження – 2 роки. Хворі із 4 ка-
тегорією (МРТБ, РМРТБ, ТБ із розширеною резистентністю) – до 18 років.
В перший рік обстеження проводити 1 раз на 6 місяців з ретельним клініко -
Ro’’ обстеженням, РМ з 2 ТО. В подальшому 1 раз на рік.
Протирецидивне лікування у групі 5.1 (Б) – діти, переведені після закін-
чення основного курсу лікування з 1, 2, 3, 4 категорій – 2 рази на рік (по 3 міся-
ці), протягом першого року двома ПТП. В подальшому за показаннями: при зрос-
танні чутливості до туберкуліну за пробою Манту, виникненні факторів ризику.
25
При проведенні протирецидивного лікування обстеження проводити 1 раз на
місяць (загальний аналіз крові, загальний аналіз сечі, біохімічний аналіз крові)
та обов’язковою консультацією окуліста при застосуванні етамбутолу.
Протирецидивне лікування за групою 5.1 (А) – при виникненні факторів
ризику (часті простудні хвороби, загострення хронічних захворювань).
Для профілактики побічних реакцій у процесі лікування застосовуються па-
тогенетичні препарати з урахуванням віку дитини: вітамін В6, гепатопротектори.
Покази до направлення до фтизіопедіатра
(наказ управління охорони здоров’я облдержадміністрації
від 17.02.2014 № 44-од).
За результатами обстеження, з урахуванням факторів ризику щодо захворю-
вання на ТБ, клінічних ознак і результатів туберкулінодіагностики направляють-
ся на консультацію до дитячого фтизіатра такі особи:
• діти, в яких встановлено контакт із хворою на ТБ людиною або твариною
(як тісний сімейний або квартирний контакт, так і випадковий, незалежно
від строків попереднього обстеження на ТБ);
• діти зі встановленим фактом «віражу» за результатами проби Манту;
• діти із гіперергічними реакціями на пробу Манту з 2 ТО;
• діти із наростанням розмірів папули на пробу Манту з 2 ТО на 6 мм біль-
ше, незалежно від розміру реакції й від наявності факторів ризику щодо
захворювання на ТБ;
• діти із поступовим наростанням чутливості до туберкуліну протягом декількох
років, незалежно від наявності факторів ризику щодо захворювання на ТБ;
• діти, інфіковані МБТ із хронічними захворюваннями різних органів і систем;
• діти, інфіковані МБТ при тривалому прийомі (більше місяця) цитостатич-
них, глюкокортикоїдних препаратів, імунодепресантів;
• діти з ВІЛ-інфекцією або з перинатальним контактом щодо ВІЛ-інфекції
– при плановій щорічній диспансеризації з приводу основного процесу;
• діти із симптомами, схожими на ТБ, для проведення диференціальної діа-
гностики ТБ й не туберкульозних захворювань (кашель, що триває понад
2 тижні, наявність інтоксикаційного симптомокомплексу неясного ґенезу,
поліаденія периферичних лімфатичних вузлів (особливо у туберкуліно-
позитивних осіб), втрата маси тіла, підвищення температури тіла, потіння
вночі, кровохаркання, біль в грудній клітці;
• діти, інфіковані МБТ, із соціальних груп ризику.
26
ФАКТОРИ ТА ГРУПИ РИЗИКУ ЩОДО ЗАХВОРЮВАННЯ НА ТУБЕРКУЛЬОЗ У ДІТЕЙ
Фактори ризику, що сприяють розвитку туберкульозного процесу у дітей:
Епідеміологічні (специфічні):
• контакт із хворою на ТБ людиною (тісний сімейний, квартирний, випадковий);
• контакт із хворою на ТБ твариною; вживання продуктів від хворих на ТБ
тварин;
• гостропрогресуючий перебіг ТБ у джерела інфекції;
• наявність у джерела інфекції стійкості МБТ до ПТП.
Медико-біологічні (специфічні):
• ранній період інфікування МБТ ;
• відсутність вакцинації проти ТБ;
• спадковість щодо ТБ (випадки ТБ у кровних родичів)
Медико-біологічні (неспецифічні):
• супутня патологія - хронічні та рецидивуючі захворювання органів дихан-
ня, бронхіальна астма, алергічні дерматити, хронічний гепатит, цукровий
діабет, анемії, психоневрологічна патологія, виразкова хвороба шлунка і
12-палої кишки, колагенози, інфекції сечовивідних шляхів та ін.);
• часті ГРВІ в анамнезі, так звана група часто хворіючих дітей;
• ВІЛ- інфекція;
• імунодефіцитні стани (первинні та вторинні), прийом препаратів з імуно-
депресивною дією.
Віково-статеві (неспецифічні):
• молодший вік (від 0 до 3 років);
• препубертатний і підлітковий вік (від 13 до 17 років);
Соціальні (неспецифічні):
• алкоголізм батьків, наркоманія у батьків; шкідливі звички у дітей;
• перебування батьків у місцях позбавлення волі, безробіття батьків;
• безпритульністьдітейтапідлітків,перебуваннядітейудитячихпритулках,дитя-
чих будинках, соціальних центрах тощо, позбавлення батьків батьківських прав;
• багатодітність; низький рівень матеріального забезпечення родини;
• мігранти, біженці.
Групи ризику щодо захворювання на туберкульоз у дітей:
• Діти і підлітки у ранньому періоді первинної туберкульозної інфекції (ві-
раж туберкулінових реакцій), незалежно від вираженості реакції на пробу
Манту з 2 ТО та від наявності факторів ризику щодо захворювання на ТБ.
27
• Діти і підлітки, інфіковані МБТ: з наростанням туберкулінової чутливості
(збільшення розмірів реакції за результатами проби Манту з 2 ТО на 6 мм
і більше протягом року, незалежно від її розміру й від наявності факторів
ризику щодо захворювання на ТБ.
• Діти і підлітки, інфіковані МБТ: з гіперергічною реакцією на туберкулін,
незалежно від наявності факторів ризику щодо захворювання на ТБ.
• Діти і підлітки з монотонною чутливістю до туберкуліну (монотонно- пози-
тивні проби Манту) в поєднанні з іншими факторами ризику щодо захво-
рювання на ТБ, які раніше не обстежувались у фтизіатра.
• Діти і підлітки з поступовим наростанням чутливості до туберкуліну про-
тягом кількох років, незалежно від наявності факторів ризику щодо за-
хворювання на ТБ.
• Діти, які мають позитивну або сумнівну реакцію проби з АТР
• Діти, які не були щеплені БЦЖ у період новонародженості.
• Діти, які мають контакт із хворою на ТБ людиною або твариною (як тісний
сімейний або квартирний контакт, так і випадковий).
• Інфіковані МБТ із хронічними захворюваннями різних органів і систем при
плановій щорічній диспансеризації з приводу основного процесу або при
неефективності проведених традиційних методів лікування.
• Інфіковані МБТ з первинним та вторинним імунодеіцитом, при тривало-
му прийомі (більше місяця) цитостатичних, глюкокортикоїдних препара-
тів, імунодепресантів.
• ВІЛ-інфіковані та діти з перинатальним контактом щодо ВІЛ-інфекції.
• Діти, інфіковані МБТ, із соціальними факторами ризику.
ОРГАНІЗАЦІЯ ПРЕВЕНТИВНОЇ ХІМІОТЕРАПІЇ У ДІТЕЙ
Превентивна ХТ - метод специфічного лікування ПТП з метою запобіган-
ня інфікування МБТ, розвитку органного ТБ та рецидиву захворювання.
Прийом ПТП забезпечує пригнічення розмноження МБТ і зниження мікробної
популяції, що перешкоджає розвитку захворювання.
Науковими дослідженнями доведено, що діти з груп ризику хворіють на ТБ в
декілька разів частіше, ніж діти, які не належать до груп ризику.
Своєчасне та якісне (під контролем медпрацівника, безперервним курсом та
за схемами, які враховують рівень поширення у регіонах резистентності до окре-
мих ПТП 1 ряду, або базуються на даних ТМЧ встановленого джерела інфекції)
проведення превентивного лікування дає змогу знизити захворюваність у 5 - 7
28
разів. У випадку розвитку захворювання воно має більш легкий перебіг порівня-
но з групою осіб, що не одержували превентивного лікування.
Ефективність профілактичних заходів залежить від поєднання специфічних
та неспецифічних методів профілактики ТБ (імунізація БЦЖ, превентивна ХТ, са-
нітарна профілактика у вогнищах ТБ, проведення комплексу загальнооздоров-
чих заходів, інформаційно-освітня робота, прихильність дітей та батьків до про-
ведення профілактичних заходів).
Мета застосування превентивної хіміотерапії: запобігти розвитку захво-
рювання серед осіб із груп ризику.
Розрізняють первинну і вторинну превентивну ХТ.
Первинна превентивна ХТ застосовується у туберкулінонегативних (за про-
бою Манту чи АТР) осіб із вогнищ туберкульозної інфекції. Завданням такого за-
побіжного прийому ПТП є пригнічення туберкульозної інфекції навіть в інкубацій-
ному періоді, тобто захист не тільки від захворювання, але й від інфікування МБТ.
Вторинна превентивна ХТ застосовується у осіб, інфікованих МБТ, знижує
захворюваність на ТБ і чутливість до туберкуліну (за результатами проби Манту
чи проби з АТР), впливаючи як на пригнічення екзогенної суперінфекції, так і на
запобігання активізації ендогенної інфекції.
Показання для проведення вторинної превентивної ХТ дещо ширші. Вона
проводиться особам, інфікованим МБТ, а також особам, які перенесли в минуло-
му ТБ при наявності у них додаткових факторів ризику.
Показання для проведення превентивної хіміотерапії:
• Діти, інфіковані мікобактеріями ТБ, віком до 6 років з числа контактних осіб.
• Особи, інфіковані водночас мікобактеріями ТБ та вірусом набутого імуно-
дефіциту людини.
• Інші особи, інфіковані мікобактеріями ТБ, з числа контактних осіб за на-
явності медичних показань.
Рішення про наявність медичних показань для проведення хіміопрофілак-
тики особам, інфікованим мікобактеріями ТБ, приймається лікарем-фтизіатром.
ЗАХОДИ ЩОДО ПРОВЕДЕННЯ ПРЕВЕНТИВНОГО ЛІКУВАННЯ:
1. Перед початком превентивного лікування пацієнт проходить ретельне
клініко-рентгенологічне та лабораторне обстеження з метою уточнення діагнозу
та виключення вперше виявленого органного ТБ і залишкових змін.
Обов’язковий комплекс обстеження включає:
• проведення проби Манту з 2ТО з урахуванням її попередніх результатів у
дитини (у разі доступності та за потреби-проби з АТР);
29
• загальне клінічне обстеження, оглядову рентгенографію органів грудної
клітки (за показаннями томографію);
• дітям із вираженою туберкуліновою чутливістю за результатами проби Манту
( позитивною пробою з АТР) показано проведення КТ органів грудної клітки.
• за показаннями проводяться інші дослідження для виключення ПЗТБ. З ме-
тою зменшення променевого навантаження рентгенографічне обстеження
дітей необхідно проводити на рентгенапаратах із цифровою обробкою даних.
2. При виявленні у дитини віража туберкулінових реакцій, гіперергії та
наростання туберкулінової чутливості за результатами проби Манту (позитив-
ної або сумнівної проби з АТР) необхідне обстеження всіх членів родини на ТБ.
3. Схеми ХП (основні), які рекомендовані для застосування у дітей: 3-6H;
3-6HR; 3-6HE; 3-6HZ. Рифампіцин використовується за умови проведення превен-
тивної ХТ в контрольованих умовах. Найбільш поширеною є схема - 6H.
4. Комбінація препаратів та тривалість лікування залежить від результатів
обстеження, проб з алергенами туберкульозними, впливу факторів ризику, віку дити-
ни,наявностісупутньоїпатології,переносимостіпрепаратів,можливостейдотримання
ДОТ,регіональнихданихщодорезистентностіМБТ,тощо.Вдеякихвипадкахувогнищах
ХРТБ(завиняткомМРТБ),особливопринеможливостіроз’єднанняконтакту,можливе
застосування індивідуальних схем (залежно від ТМЧ у контактної особи) з комісійним
(консиліум,ЦЛКК)обґрунтуваннямвмедичнихдокументахдоцільностіїхвикористання.
5. Кількість курсів превентивної ХТ визначається відповідно до впливу фак-
торів ризику, ефективності першого курсу, призначеного за результатами комп-
лексного обстеження, спостереження в динаміці, та результатів моніторингових
обстежень з використанням проби Манту чи проби з АТР не більше 2 разів на рік.
6. Основніпрепарати,якізастосовуютьсядляпроведенняХПтаїхдозування:
• ізоніазид (Н) 5-8 мг/кг на добу (максимально 10 мг/кг), не більше 0,45;
• рифампіцин (R) 8-10 мг мг/кг у добу, не більше 0,45 - 0,6 г;
• етамбутол (Е) 20-25 мг/кг у добу, не більше 1,0 г - 1,2;
• піразинамід (Z) 20-25 мг/кг на добу, не більше 1,5 г;
Для дітей раннього віку зручно використовувати препарати в формі сиропів.
При необхідності включення в схему лікування піразинаміду (НZ) слід вра-
ховувати його гепатотоксичний вплив.
Бажано застосовувати щоденний прийом препаратів. При інтермітуючому мето-
ді прийому протягом місяця слід прийняти не менше 12 доз комбінації препаратів.
7. Обстеженя в процесі превентивного лікування:
• клінічний моніторинг за переносимістю ПТП та станом дитини здійснюєть-
ся не рідше ніж 1 раз на тиждень або після пред’явлення скарг; вимірю-
вання ваги пацієнта - перед початком лікування та після його закінчення;
30
• лабораторне обстеження - 1 раз на місяць: загальний аналіз крові та сечі;
біохімічний аналіз крові для дослідження функції печінки та нирок;
• при прийомі етамбутолу - консультація окуліста 1 раз на місяць.
За клінічними показаннями обстеження проводиться частіше, в т. ч. із засто-
суванням додаткових досліджень.
8. Для профілактики побічних реакцій у процесі лікування застосовуються
патогенетичні препарати з урахуванням віку дитини: вітамін В6, гепатопротектори.
9. У випадку розвитку побічної дії проводиться корекція терапії та ліку-
вання ускладнень. За показаннями - консультація спеціалістів відповідного про-
філю (гастроентеролог, алерголог, окуліст та ін.).
10. Превентивне лікування повинно бути контрольованим (в умовах са-
наторія, в дитячих загальноосвітніх та спеціалізованих навчальних закладах під
контролем лікаря або медичної сестри, амбулаторно - під контролем дитячого фти-
зіатра, якщо є певні гарантії безперервності та завершення призначеного курсу ХП).
11. Основним критерієм ефективності лікування є відсутність випадків
захворювання на ТБ протягом 2 років після закінчення превентивної ХТ (термін
найбільш небезпечний щодо розвитку ТБ).
12. Тактика превентивної ХТ пацієнтам із контакту з хворим на ТБ
(група 5.2 диспансерного спостереження)
Обов’язкові заходи:
• При наявності контакту із хворим на ТБ обов’язковою умовою проведення пре-
вентивної ХТ є ізоляція пацієнта від джерела інфекції для виключення суперін-
фекції,проведеннявсьогокомплексусанітарно-гігієничнихзаходівувогнищіТБ.
• Для виключення локальної форми ТБ в інфікованих осіб проводиться ре-
тельне клініко-рентгенологічне обстеження (при необхідності - КТ орга-
нів грудної клітки та інші обстеження для виключення ПЗТБ).
• Превентивне лікування дітей групи 5.2 диспансерного спостереження (кон-
такти) проводиться незалежно від результатів проби Манту (проби з АТР).
• Повторне проведення туберкулінових проб здійснюється після закінчен-
ня курсу превентивної ХТ, надалі не рідше 1 разу на 6 міс.
• При наявності клінічних показань - дострокове проведення клініко- рент-
генологічного та лабораторного обстеження (за показаннями КТ органів
грудної клітки, проведення туберкулінових проб, інші додаткові дослі-
дження для виключення ПЗТБ).
• У разі зростання туберкулінової чутливості (за пробою Манту чи АТР) про-
водиться повне обстеження, включаючи КТ органів грудної клітки, та до-
слідження для виключення ПЗТБ. При виключенні локальної форми ТБ пре-
вентивна ХТ продовжується ще на 3 місяці;
31
Особливої уваги при проведенні превентивної ХТ потребують діти та підлітки,
які мають додаткові фактори ризику захворювання на ТБ (крім контакту). Трива-
лість лікування залежить від результатів проб в динаміці обстеження і лікуван-
ня та впливу факторів ризику.
У випадку, що викликає сумніви щодо проведення превентивної ХТ в залеж-
ності від співвідношення результатів реакції на пробу Манту та АТР, впливу фак-
торів ризику, питання вирішується в індивідуальному порядку комісійно (конси-
ліум, ЦЛКК) з обґрунтуванням в медичних документах доцільності такого підходу.
За показаннями контрольне клініко-рентгенологічне обстеження може бути про-
ведено незалежно від строку попереднього.
13. Тактика проведення превентивної хіміотерапії при виявленні у па-
цієнта залишкових змін.
• Визначається активність посттуберкульозних змін в умовах спеціалізова-
них протитуберкульозних закладів шляхом проведення ретельного кліні-
ко-рентгенологічного обстеження та проби Манту чи проби з АТР у разі
його доступності.
• Виявлення клініко-рентгенологічних ознак активності туберкульозного
процесу визначає необхідність спостереження й лікування пацієнтів як
хворих на активний ТБ.
• При відсутності клініко-рентгенологічних ознак активності, негативній ре-
акції проби Манту (АТР) та додаткових факторів ризику можна утриматись
від превентивного лікування у пацієнтів із малими ЗЗТБ. У випадку, що ви-
кликає сумніви щодо необхідності превентивної ХТ, питання вирішується в
індивідуальному порядку комісійно (консиліум, ЦЛКК) з урахуванням фак-
торів ризику і обґрунтуванням лікувальної тактики в медичних документах.
Пацієнтам із великими ЗЗТБ при виявленні захворювання доцільно проводи-
ти превентивне лікування.
У подальшому питання щодо превентивного лікування вирішуються індиві-
дуально в залежності від впливу факторів ризику, що зменшують опірність ор-
ганізму, та у разі зростання чутливості до туберкуліну за результатами туберку-
лінових проб.
Диспансерне спостереження продовжується 3 роки при малих залишкових
змінах, до 18 років - при великих залишкових змінах.
14. Превентивна хіміотерапія у ВІЛ-інфікованих дітей.
Найбільш поширена схема ХП у ВІЛ-інфікованих дітей - ізоніазид (10мг/кг) - 6 міс.
Індивідуальні схеми застосовуються в залежності від впливу факторів ри-
зику, схеми антиретровірусної терапії і узгоджуються з дитячим інфекціоністом.
32
Ведення новонароджених
із вогнищ туберкульозної інфекції
Велике значення має запобігання інфікуванню МБТ дітей раннього віку, оскіль-
ки ТБ у них має тенденцію до прогресуючого перебігу, генералізації інфекції з
розвитком менінгіту, міліарного ТБ.
• Якщо майбутня мати хворіє на ТБ, то вона ще до пологів повинна продовжи-
ти лікування, щоб не тільки запобігти загостренню процесу у себе, але й
запобігти вродженому ТБ у дитини. Пологи у таких жінок проходять у спе-
ціалізованих відділеннях, де забезпечується ізоляція хворої від здорових
жінок і від всіх новонароджених.
• Дитина після народження ізолюється від хворої на ТБ матері, після чого,
при відсутності протипоказань, немовляті проводиться щеплення БЦЖ.
• Після щеплення необхідно ізолювати дитину від хворої матері не менш, ніж
на 2 міс. (період формування специфічного імунітету після щеплення БЦЖ),
для чого новонародженого переводять у спеціалізоване відділення або ви-
писують додому до родичів. Перед випискою проводять обстеження май-
бутнього оточення дитини із дезінфекцію всіх приміщень. Матір госпіталі-
зують для лікування (або лікування проводиться в амбулаторних умовах).
• Якщо новонароджена дитина була в тісному контакті з хворою матір’ю до вве-
дення вакцини БЦЖ (наприклад, народження дитини поза пологовим будинком
та ін.), вакцинація проти ТБ не проводиться. Дитині призначається ХП на 2 міс.,
після чого, при негативній реакції на туберкулінову пробу Манту з 2 ТО ППД-Л,
її щеплять вакциною БЦЖ-М. Дитина обстежується за призначенням фтизіатра.
• Якщо ТБ у матері новонародженого встановлений після введення вакцини
БЦЖ, профілактичне лікування дитині проводиться незалежно від терміну ще-
плення. Такі діти перебувають під ретельним спостереженням протитуберку-
льозного диспансеру як найбільш уразлива група ризику захворювання на ТБ.
• У випадку захворювання ТБ батька або іншого родича, який мешкає в од-
ній квартирі з новонародженим, хворий повинен бути госпіталізований або
роз’єднаний з дитиною до виліковування. Якщо до моменту виписки ди-
тини з пологового будинку хворий родич вже госпіталізований у протиту-
беркульозний заклад (ізольований), у квартирі проводиться заключна де-
зінфекція і ХП новонародженій дитині не призначається.
• При неможливості ізоляції дитини ХП починають одразу з моменту контак-
ту та роз’яснюють батькам правила запобігання інфікування дитини МБТ.
33
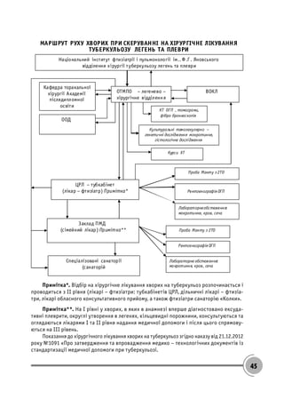
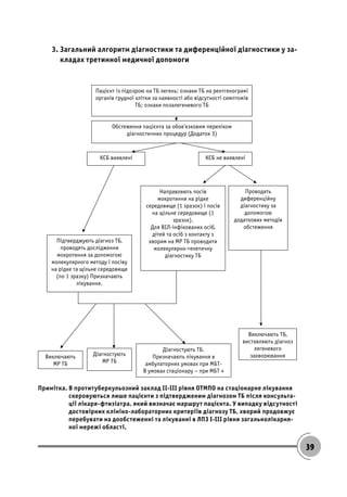
Маршрути пацієнтів на різних рівнях надання медичної допомоги зображе-
ні у додатку 4.
Додаток 1
СКРИНІНГОВА АНКЕТА ДЛЯ ВИЯВЛЕННЯ ЛЮДЕЙ,
ЩО ПОТРЕБУЮТЬ ОБСТЕЖЕННЯ НА ТУБЕРКУЛЬОЗ
Шановний відвідувач, у зв’язку з епідемією туберкульозу в Україні МОЗ вжи-
то заходів для покращання виявлення цього захворювання. Туберкульоз є одним
з найбільш небезпечних захворювань, яке проявляється серйозними симптомами
пізно, коли вже завдано значної шкоди здоров’ю. Тому ми пропонуємо Вам запо-
внити анкету, яка дозволить виявити захворювання на ранніх стадіях, що дасть
змогу більш ефективно його лікувати.
№п/п Запитання Так Ні
1. ЧиєуВаскашельабопокашлюваннябільше2-хтижнів?
2. Чи помітили Ви останнім часом підвищену втомлю-
ваність та слабкість?
3. Чи є у Вас підвищена пітливість, особливо вночі?
4. Чи зменшилась вага Вашого тіла з невизначених
причин?
5. Чи є у Вас протягом останнього часу підвищення тем-
ператури тіла, має значення навіть незначне підви-
щення - до 37 - 37,2°С?
6. Чи є у Вас задишка при незначному фізичному на-
вантаженні?
7. Чи турбує Вас іноді біль в грудній клітині?
8. Чи мали Ви контакт з хворим на туберкульоз протя-
гом останніх 6-ти місяців?
9. Чи маєте Ви хронічне захворювання шлунково- киш-
кового тракту, діабет або інше захворювання, що
призводить до зниження імунітету?
10. Чи мали Ви протягом останніх 3-х місяців серйозний
стрес (смерть близької людини, розлучення, втра-
та роботи, тощо)
Відповідь «так» на більше ніж три запитання та відповідь «так» на хоча б
одне з перших 8-ми запитань не означає, що Ви маєте туберкульоз, але означає,
що Вам необхідно обстежитись на туберкульоз негайно, тому що немає жодної
поважної причини для відмови від здоров’я та життя.
34
Додаток 2
МІКРОСКОПІЯ МАЗКА ЗА ЦІЛЕМ-НІЛЬСЕНОМ
Крім мокротиння на КСБ досліджують біопсійний матеріал шляхом його від-
битку на скельці з подальшим забарвленням за Цілем-Нільсеном.
Забір мокротиння для дослідження методом мікроскопії:
• мокротиння збирається у стерильні (бажано одноразові пластикові) кон-
тейнери із широким гирлом та кришкою, що закручується;
• мокротиння збирається на відкритому повітрі або у спеціальному примі-
щенні для збору мокротиння (тільки за умови його оснащення примусовою
вентиляцією з 6-кратним обміном повітря на годину), бажано рано вранці;
• перший аналіз мокротиння пацієнт збирає та здає при відвідуванні ліку-
вального закладу;
• пацієнту видається контейнер додому (для здачі другого аналізу), щоб він
зібрав мокротиння вранці;
• другий аналіз мокротиння, зібраного вранці, пацієнт приносить із дому.
Якісні мазки мокротиння отримують із матеріалу, який доставляється в ла-
бораторію зразу ж після його збирання. Зібраний матеріал до доставки в лабо-
раторію повинен зберігатися в умовах холодильника. Період зберігання та тран-
спортування мокротиння в лабораторію не повинен перевищувати 3-4 дні. Більш
тривале зберігання не рекомендується, оскільки вірогідність отримання вірного
результату значно знижується.
Правила забору іншого ніж мокротиння матеріалу
для дослідження на КСБ та МБТ.
Матеріалом для дослідження можуть бути біологічні рідини, тканини, гній.
Ці матеріали поділяють на 2 групи:
• проби, які взяті в асептичних умовах (біопсійний матеріал під час хірур-
гічних втручань, плевральна рідина, ліквор, синовіальна рідина, асцитична
рідина, кров, кістковий мозок) - біологічні рідини або біопсійний матеріал
поміщають у стерильний контейнер із дотриманням правил асептики. Якщо
в матеріалі можуть утворюватись згустки, у контейнер заздалегідь вносять
стерильний 10% розчин щавелекислого натрію з розрахунку 0,01-0,02 мл
на 1 мл зразка біологічної рідини або розчин гепарину 0,2 мл на 1 мл зраз-
ка. Зібраний матеріал слід направити в лабораторію протягом 1 -6 годин;
• проби, які взяті без дотримання правил асептики (гній, виділення, сеча) -
біологічні матеріали поміщають у стерильний контейнер, який не містить
консервантів. Якщо планується транспортування біопсійного матеріалу або
35
гною, в контейнер слід додати ізотонічний розчин хлориду натрію для попе-
редження висихання зразка, або помістити його в термоконтейнер із льодом,
де буде зберігатись постійна температура 4-15°С. Зібраний матеріал слід
направити до лабораторії протягом 1-6 годин. Перед забором сечі пацієнт
повинен помити статеві органи миючими засобами, а зразок сечі зразу ж по-
містити в холодильник. Збирається 3 зразки сечі вранці із середньої порції.
Сеча не досліджується на КСБ, а лише проводиться посів на ріст МБТ!
Правила приготування відбитку лімфатичного вузла або іншого
біопсійного матеріалу для забарвлення за Цілем-Нільсеном.
Видалений лімфатичний вузол розрізається, зріз (або біопсійний матеріал)
кладуть на скельце та щільно проводять по його поверхні. Дають висохнути при
кімнатній температурі (3-5 хвилин). Загортають у папір та надсилають у лабора-
торію, яка проводить дослідження за Цілем-Нільсеном.
Додаток 3
ПЕРЕЛІК ОБСТЕЖЕНЬ, ЯКІ ЗАСТОСОВУЮТЬ ДЛЯ ВИЯВЛЕННЯ
ТБ ЛЕГЕНЬ (У НЕСПЕЦІАЛІЗОВАНИХ ЗАКЛАДАХ ОХОРОНИ ЗДОРОВ’Я)
Обов’язкові обстеження
Збір скарг і анамнезу
Дворазове дослідження мокротиння методом мікроскопії мазка мокротиння
Оглядова і бокова рентгенографія органів грудної порожнини (якщо ці досліджен-
ня не виконувались в загальній лікарняній мережі)
Томографія уражених частин легень (при наявності показань до її проведення)
Проба Манту
ПЕРЕЛІК ОБСТЕЖЕНЬ, ЯКІ ЗАСТОСОВУЮТЬ ДЛЯ ДІАГНОСТИКИ
ТУБЕРКУЛЬОЗУ ЛЕГЕНЬ З НЕГАТИВНИМ МАЗКОМ МОКРОТИННЯ
Обов’язкові обстеження
Додаткові обстеження
(тільки в протитуберкульозних
установах ІІІ рівня)
Збір скарг і анамнезу КТ органів грудної клітки
Оглядова і бокова рентгенографія органів
грудної порожнини (якщо ці дослідження не
виконувались в загальній лікарняній мережі)
Фібробронхоскопія з забором промив-
них вод для мікроскопічного та культу-
рального цослідження
Томографія уражених частин легень (при
наявності показань до її проведення)
Визначення МБТ та резистентності до R
за допомогою молекулярно-генетичного
тесту у дітей, ВІЛ-інфікованих та осіб, які
мали контакт з хворими на МР ТБ
36
Обов’язкові обстеження
Додаткові обстеження
(тільки в протитуберкульозних
установах ІІІ рівня)
Культуральне дослідження мокротиння на
рідке поживне середовище
Трансторакальна або трансбронхіаль-
на або відкрита пункційна біопсія ле-
гень, біопсія збільшених лімфовузлів
Культуральне дослідження мокротиння на
щільне середовище Левенштейна-Йенсена
Торакоскопія з біопсією плеври/легень
за і забором матеріалу для культураль-
ного дослідження
Проба Манту у разі доступності та за показаннями
- проба з АТР
ПЕРЕЛІК ОБСТЕЖЕНЬ, ЯКІ ЗАСТОСОВУЮТЬ ДЛЯ ОБСТЕЖЕННЯ ХВОРИХ
НА ТУБЕРКУЛЬОЗ ЛЕГЕНЬ З ПОЗИТИВНИМ МАЗКОМ МОКРОТИННЯ
Обов’язкові обстеження
Додаткові обстеження
(тільки в протитуберкульозних
установах ІІІ рівня)
Збір скарг і анамнезу Комп'ютерна томографія органів груд-
ної клітки
Культуральне дослідження мокротиння на
рідке поживне середовище
Молекулярно-генетичні дослідження
Культуральне дослідження мокротиння на
середовищі Левенштейна-Йенсена
ТМЧ молекулярно-генетичними мето-
дами
Прискорений ТМЧ до ПТП І ряду на рідке
поживне середовище
Фібробронхоскопія
ТМЧ до ПТП ІІ ряду на щільне поживне се-
редовище (при виявленні резистентнтнос-
ті до ПТП І ряду)
Оглядова і бокова рентгенографія органів
грудної порожнини (якщо ці досліджен-
ня не виконувались в загальній лікарня-
ній мережі)
Томографія уражених частин легень
37
Додаток 4
1. ЗАГАЛЬНИЙ АЛГОРИТМ ДІАГНОСТИКИ ТА ДИФЕРЕНЦІЙНОЇ
ДІАГНОСТИКИ ЗАКЛАДАМИ ПЕРВИННОЇ МЕДИКО-САНІТАРНОЇ ДОПОМОГИ
(МАРШРУТ ПАЦІЄНТА)
38
2. Загальний алгоритм діагностики та диференційної діагностики
у протитуберкульозних закладах вторинної медичної допомоги,
у т.ч. у тубкабінетах (маршрут пацієнта)
Пацієнт із підозрою на ТБ: ознаки ТБ на рентгенограмі
органів грудної клітини за наявності або відсутності
симптомів ТБ
Обстеження пацієнта за обов'язковим переліком
діагностичних процедур (Додаток 3 )
КСБ виявлені КСБ не виявлені
Діагностують ТБ.
Призначають лікування в амбулаторних
умовах при МБТ-
В умовах стаціонару – при МБТ +
Виключають ТБ, виставляють, за
можливості, діагноз легеневого
захворювання
Підтверджують діагноз ТБ,
призначають лікування.
Направляють мокротиння на
молекулярне дослідження та
посів на рідке середовище (1
зразок) в лабораторію з
мікробіологічної діагностики
ТБ 3 рівня.
Здійснюють посів на щільне
середовище (1 зразок)
Направляють мокротиння
на посів на рідке
середовище (1 зразок) в
лабораторію з
мікробіологічної
діагностики ТБ 3 рівня.
Проводять посів
мокротиння на щільне
середовище (2 зразки).
Для ВІЛ-інфікованих осіб,
дітей або осіб з контакту з
хворим на МР ТБ направити
матеріал на молекулярно-
генетичну діагностику ТБ
Проводять
диференціальну
діагностику з
негоспітальною
пневмонією або
направляють хворого
в заклад
вторинної/третинної
МСД для проведення
додаткових методів
діагностики
Примітка. В протитуберкульозний заклад ІІ-ІІІ рівня ОТМПО на стаціонарне лікування
скеровуються лише пацієнти з підтвердженим діагнозом ТБ після консульта-
ції лікаря-фтизіатра, який визначає маршрут пацієнта. У випадку відсутності
достовірних клініко-лабораторних критеріїв діагнозу ТБ, хворий продовжує
перебувати на дообстеженні та лікуванні в ЛПЗ І-ІІІ рівня загальнолікарня-
ної мережі області.
39
3. Загальний алгоритм діагностики та диференційної діагностики у за-
кладах третинної медичної допомоги
Примітка. В протитуберкульозний заклад ІІ-ІІІ рівня ОТМПО на стаціонарне лікування
скеровуються лише пацієнти з підтвердженим діагнозом ТБ після консульта-
ції лікаря-фтизіатра, який визначає маршрут пацієнта. У випадку відсутності
достовірних клініко-лабораторних критеріїв діагнозу ТБ, хворий продовжує
перебувати на дообстеженні та лікуванні в ЛПЗ І-ІІІ рівня загальнолікарня-
ної мережі області.
40
Додаток 5.
ПОКАЗИ ДЛЯ ДІАГНОСТИЧНОЇ ТОРАКОСКОПІЇ:
• ексудативний плеврит не виясненого ґенезу;
• середній і великий гідроторакс;
• пневмоторакс;
• малий і середній гемоторакс;
• підозра на пошкодження органів межистіння;
• підозра на пошкодження діафрагми;
• дифузні і обмежені захворювання легень;
• пухлини плеври;
• кісти;
• пухлини межистіння;
• захворювання діафрагми.
Покази для лікувальної торакоскопії:
• ушивання і герметизація ран легень;
• видалення периферичних новоутворів легень;
• розкриття підплеврально розташованих гематом;
• ліквідація згорненого гемотораксу;
• ліквідація плевральних шварт і зростів;
• інструментальна санація плевральної порожнини;
• видалення з плевральної порожнини сторонніх тіл;
• герметизації нориць бронхів і санації плевральної порожнини.
Протипокази до торакоскопії:
• важкий загальний стан хворого;
• двобічне ураження легень, яке супроводжується вираженою дихальною
недостатністю;
• функціональна неповноцінність легень і діафрагми на протилежній стороні;
• захворювання серцево-судинної системи в стадії декомпенсації;
• порушення згортуючої системи крові;
• гострі інфекційні захворювання;
• гнійне ураження шкіри;
• менструація;
• порушення функції дихання третього ступеня по обструктивному, рестрик-
тивному і змішаному типам;
• порушення діяльності серцево-судинної системи (колапс, пароксизмаль-
на тахікардія, миготлива аритмія, гостра і хронічна коронарна недостат-
ність третього ступеня);
41
• перші три місяці після перенесеного інфаркту міокарда;
• при пошкодженні грудної клітини при:
- тотальному гемотораксі;
- шоці;
- гемоперікарді;
- пораненні серця;
- поранення аорти;
• повна облітерація плевральної порожнини.
Додаток 6.
ПОКАЗИ ДО ПРОВЕДЕННЯ ДІАГНОСТИЧНОЇ ПЛЕВРАЛЬНОЇ ПУНКЦІЇ:
• підозра на наявність повітря в плевральній порожнині;
• підозра на наявність рідини в плевральній порожнині ( гідроторакс, ексу-
дативний плеврит, гемоторакс, лімфоторакс, емпієма плеври);
• для цитологічного дослідження пунктату при периферично розташовано-
му пухлинному утворі легені;
• для гістологічного дослідження біоптату при проведенні трансторакаль-
ної біопсії під контролем комп’ютерної томографії.
Лікувальна плевральна пункція проводиться з метою:
• видалення повітря або рідини з плевральної порожнини;
• введення лікарських засобів в плевральну порожнину;
• накладення лікувального штучного пневмотораксу.
Ускладнення плевральної пункції:
• ятрогенний пневмоторакс;
• гемоторакс при пошкодженні міжреберної артерії;
• підшкірна емфізема;
• анафілактичні реакції на місцевий анестетик.
Протипоказів до проведення плевральної пункції немає, і остання викону-
ється в усіх сумнівних діагностичних випадках.
42
Додаток 7.
ПОКАЗИ ДО БРОНХОСКОПІЇ
Діагностичні:
1. Підозра на пухлину бронхіального дерева:
• Кровохаркання неясного генезу
• Ro: дані
• Невмотивований довготривалий кашель
• Задуха неадекватна об’єму пошкодження
• Різка зміна кількості харкотиння за короткий проміжок часу.
• Плеврит неясної етіології.
2. Підозра на специфічний ендобронхіт або бронхоплевральну норицю:
• Кашель більше 3-х тижнів
• Виявлення КСП, або росту МБТ, без наявності Ro: супроводу
3. Взяття промивних вод для лабораторного дослідження.
4. Обструкція бронхів.
5. Підозра на стороннє тіло.
6. Виявлення стану бронхіального дерева перед:
• оперативним втручанням
• накладанням штучного пневмотораксу.
7. Моніторинг стану бронхіального дерева в процесі лікування.
Лікувальні:
1. Ендобронхіальне введення лікувальних засобів при:
• Обструктивних процесах
• Неспецифічному запаленні
• Туберкульозі бронхіального дерева
2. Санація бронхіального дерева:
• При гнійних ендобронхітах, бронхоектазах, абсцедуванні
• Після легеневих кровотеч
• При неспроможності кукси бронха
• Після оперативного втручання для запобігання та ліквідації ателек-
тазування
• При обструктивних процесах
• При аспірації шлунковим вмістом
• При бронхо-нодулярних норицях
3. Видалення грануляцій при бронхо-нодулярних норицях
4. Інтубація трахеї в затруднених випадках.
43
ПРОТИПОКАЗИ ДО ПРОВЕДЕННЯ БРОНХОСКОПІЙ
Абсолютні:
1. Коронарна недостатність
2. Гострий інфаркт міокарду, інфаркт перенесений менше ніж 6 міс. тому.
3. Вади серця з декомпенсацією
4. Аневризма дуги аорти
5. Декомпенсоване легеневе серце
6. Гіпертонічна хвороба 2-3 ст.(з підвищенням діастолічного тиску більше
100 мм.рт.ст.)
7. Важкий загальний стан пацієнта, коли уточнення діагнозу вже не може
вплинути на лікувальну тактику
8. Психічні розлади (епілепсія, стан після черепно-мозкової травми, ши-
зофренія)
9. Порушення серцевого ритму вище 3ст.
10. Гострий інсульт
11. ССН 3ст
12. Бронхіальна астма в фазі загосрення, коли міжприступний період ста-
новить менше 3-х тижнів
13. Больовий синдром в черевній порожнині
14. Уремія, шок
15. Стеноз гортані або трахеї 2-3ст.
16. ЛСН не обумовлена непрохідністю трахеобронхіального дерева 3ст
Відносні:
1. ГРЗ
2. ІХС
3. Важкий цукровий діабет
4. Вагітність 2-га половина
5. Хронічний алкоголізм
6. Збільшення щитовидної залози 3ст
7. Період менструального циклу
44
45
Примітка*. Відбір на хірургічне лікування хворих на туберкульоз розпочинається і
проводиться з ІІ рівня (лікарі – фтизіатри: тубкабінетів ЦРЛ, дільничні лікарі – фтизіа-
три, лікарі обласного консультативного прийому, а також фтизіатри санаторію «Колки».
Примітка**. На І рівні у хворих, в яких в анамнезі вперше діагностовано ексуда-
тивні плеврити, округлі утворення в легенях, кільцевидні порожнини, консультуються та
оглядаються лікарями І та ІІ рівня надання медичної допомоги і після цього спрямову-
ються на ІІІ рівень.
Показання до хірургічного лікування хворих на туберкульоз згідно наказу від 21.12.2012
року №1091 «Про затвердження та впровадження медико – технологічних документів із
стандартизації медичної допомоги при туберкульозі.
46
Додаток 8.
КАТЕГОРІЇ НАСЕЛЕННЯ ІЗ ПІДВИЩЕНИМ РИЗИКОМ ЗАХВОРЮВАННЯ НА ТУБЕР-
КУЛЬОЗ ЗГІДНО З НАКАЗОМ МОЗ УКРАЇНИ ВІД 17.05.2008 Р. № 254, ЗАРЕЄ-
СТРОВАНИМ В МІНІСТЕРСТВІ ЮСТИЦІЇ УКРАЇНИ ВІД 12.06. 2008 № 524/15215
«Про затвердження інструкції про періодичність рентгенівських обсте-
жень органів грудної порожнини певних категорій населення»
Соціальні групи ризику Медичні групи ризику
Особи без визначеного місця проживання Хворі на цукровий діабет
Особи, які утримуються або звільнились
з установ пенітенціарної системи
Хворі, які постійно приймають системні
глюкокортикоїди, цитостатики
Особи, які перебувають на обліку в ор-
ганах внутрішніх справ як раніше засу-
джені та піднаглядні.
Затримані та заарештовані особи при
відправленні їх до ізоляторів тимчасо-
вого тримання
Пацієнти з професійними захворювання-
ми легень
ВІЛ-інфекція
Мігранти, біженці, переселенці Хворі з обструктивними захворювання-
ми легень.
Хворі з пневмоніями, що багаторазово по-
вторюються.
Хворі, які перенесли ексудативний плев-
рит протягом року
Особи, які реєструються в державній
службі занятості як такі, що шукають
роботу, і безробітні.
Члени малозабезпечених сімей, які сто-
ять на обліку в управліннях праці та со-
ціального захисту
Особи, які перебувають під наглядом нар-
кологічних закладів.
Особи, які перебувають на обліку в проти-
туберкульозних закладах.
Особи, які контактують з хворими на ТБ
(контакти сімейні, професійні, нозокомі-
альні, пенітенціарні, СІЗО)
Додаток9.Клініко-діагностичнийалгоритмдіагностикитуберкульозувлабораторіїІІІрівняОТМПО
звикористаннямтест-системиGeneXpertMTB/RIF(напівкількіснийметодПЛРзвизначеннямчутливості
доРіфампіцинутавстановленнямризикупоМРТБлікарем-фтизіатром)
Примітка:скеруваннянаобстеженняметодомGeneXpertлишепісляобов’язковоїконсультаціїлікаря-фтизіатра.
48
Додаток 10
ОСНОВНІ НАПРЯМКИ РОБОТИ ПО БОРОТЬБІ З ТУБЕРКУЛЬОЗОМ,
ЩО РЕАЛІЗУЮТЬСЯ НА РІЗНИХ РІВНЯХ МЕДИЧНОЇ ДОПОМОГИ
В ЗАКЛАДАХ ОХОРОНИ ЗДОРОВ’Я ВОЛИНСЬКОЇ ОБЛАСТІ
49
РЕКОМЕНДОВАНА ЛІТЕРАТУРА
1. Фещенко Ю. І. Організація лікування хворих на туберкульоз [Текст]/
Ю. І. Фещенко, В. М. Мельник . - Київ : Здоров’я, 2009. - 488 с.
2. Туберкульоз:організаціядіагностики,лікування,профілактикитаконтро-
люзасмертністю[Текст]/Ю.І.Фещенко[таінш.].-Київ:Здоров’я,2010.-447с.
3. Сучасні наукові дослідження і стратегії у фтизіатрії [Електронний
ресурс] / Ю. І. Фещенко [та інш.] - Режим доступу: URL ftp://ftp1.ifp.kiev.
ua/original/2011/feschenko2011.pdf
4. Організація протитуберкульозної допомоги населенню [Текст] / Ю.
І. Фещенко, В. М. Мельник - Київ : Здоров’я, 2012. - 656 с.
5. Сучасні тенденції вивчення проблем туберкульозу : до дня науки
присвячується [Электронний ресурс] / Ю. І. Фещенко [та інш.] - Режим
доступа: URL http://ifp.pulm/doc/staff/naukday2013.pdf
6. Уніфікований клінічний протокол первинної, вторинної (спеціалі-
зованої) та третинної (високоспеціалізованої) медичної допомоги.
Туберкульоз [Текст] : наказ МОЗ України від 21.12.2012 № 1091 «Про за-
твердження та впровадження медико-технологічних документів зі стан-
дартизації медичної допомоги при туберкульозі» - Київ, 2012. - 171 с.
7. Про затвердження Змін до Стандарту надання медичної допомоги
хворим на хіміорезистентний туберкульоз [Текст] : наказ МОЗ Украї-
ни від 14 лютого 2012 року № 108.- Київ, 2012. - 3 с.
8. Про затвердження Методики розрахунку потреби в протитубер-
кульозних препаратах [Текст] : наказ МОЗ України № 742/19480 від
22.06.2011 р. - Київ, 2011. - 11 с.
9. Про внесення змін до Методики розрахунку потреби в протитуберку-
льозних препаратах [Текст] : наказ МОЗ України № 252 від 10.04.2012 р.
- Київ, 2012. - 15 с.
10. Про затвердження Стандарту інфекційного контролю за туберкульо-
зом в лікувально-профілактичних закладах, місцях довгостроково-
го перебування людей та проживання хворих на туберкульоз [Текст]:
наказ МОЗ України від 18.08.2010 № 684. - Київ, 2010. - 3 с.
11. Про організацію надання медичної допомоги хворим на хіміорезис-
тентний туберкульоз та на заразну форму туберкульозу, щодо яких
судом ухвалено рішення про обов’язкову госпіталізацію [Текст] : на-
каз МОЗ України від 19.11.2009 року № 846. - Київ, 2009. - 3 с.
50
12. Guidelines for surveillance of drug resistance in tuberculosis [Text] /
WHO. - Geneva : WHO, 2009. - 83 p.
13. Multi drug and extensively drug-resistant TB (M/XDR-TB) [Text] : Global
report on surveillance and response / WHO. - Geneva : WHO, 2010. - 71 p.
14. Цілі Розвитку Тисячоліття : Україна [Текст]. - Київ, 2003. - 29 с.
15. Туберкульоз. Адаптована клінічна настанова, заснована на дока-
зах. – 2012
16. Закон України від 05.07.2001 року № 2586-ІІІ «Про протидію захворю-
ванню на туберкульоз»
17. Закон України від 25.07.2012 року «Про затвердження Загальнодер-
жавної цільової соціальної програми протидії захворюванню на ту-
беркульоз на 2012-2016 роки»
18. Наказ МОЗ України від 23.02.2012 року №132 «Про затвердження При-
мірного табеля оснащення лікувально-профілактичних підрозділів
закладів охорони здоров’я, що надають первинну медичну (меди-
ко-санітарну) допомогу»
19. Наказ МОЗ України від 28.03.2012 року №209 «Про затвердження чет-
вертого випуску Державного формуляра лікарських засобів та за-
безпечення його доступності»
20. Наказ МОЗ України від 02.03.2011 року №127 «Про затвердження при-
мірних табелів оснащення медичною технікою та виробами медич-
ного призначення центральної районної (районної) та центральної
міської (міської) лікарень»
21. Наказ МОЗ України від 19.02.2009 року №102/18 «Про затвердження мето-
дичних рекомендацій «Уніфікована методика з розробки клінічних на-
станов, медичних стандартів, уніфікованих клінічних протоколів ме-
дичної допомоги, локальних протоколів медичної допомоги (клінічних
маршрутів пацієнтів) на засадах доказової медицини (частина перша)»
22. Наказ МОЗ України від 03.11.2009 року №795/75 «Про затвердження мето-
дичних рекомендацій «Уніфікована методика з розробки клінічних на-
станов, медичних стандартів, уніфікованих клінічних протоколів ме-
дичної допомоги, локальних протоколів медичної допомоги (клінічних
маршрутів пацієнтів) на засадах доказової медицини (частина друга)»
23. Наказ МОЗ України від 28.05.08 року № 276 «Клінічний протокол на-
дання медичної допомоги хворим на поєднані захворювання - ту-
беркульоз та ВІЛ-інфекцію»
51
24. Наказ МОЗ України від 16.09.2011 року № 595 «Про порядок проведен-
ня профілактичних щеплень в Україні та контроль якості й обігу ме-
дичних імунобіологічних препаратів»
25. Наказ МОЗ України від 19.08.2005 року № 415 «Порядок добровільного
консультування та тестування на ВІЛ-інфекцію (протокол)»
26. Наказ МОЗ України від 21.12.2010 року № 1141 «Про затвердження По-
рядку проведення тестування на ВІЛ-інфекцію та забезпечення якос-
ті досліджень, форм первинної облікової документації щодо тесту-
вання на ВІЛ- інфекцію, інструкцій щодо їх заповнення»
27. МОЗ України від 22.10.2008 року №600 «Стандарт надання медичної
допомоги хворим на хіміорезистентний туберкульоз»
28. Наказ МОЗ України від 09.06.2006 року № 384 «Протокол надання ме-
дичної допомоги хворим на туберкульоз»
29. НаказМОЗУкраїнивід12.07.2011року№551«Прозатвердженняклінічного
протоколуантиретровірусноїтерапіїВІЛ-інфекціїудорослихтапідлітків»
30. Державна служба України з питань протидії ВІЛ-інфекції/СНІДу та інших
соціально небезпечних захворювань. Методичні рекомендації для ме-
дичних працівників щодо надання послуг з консультування та тес-
тування на ВІЛ-інфекцію. 2011 рік
31. МОЗ України. Туберкульоз в Україні (Аналітично-статистичний довід-
ник за 2001-2011 роки).
32. WHO policy on collaborative TB/HIV activities: guidelines for national
programmes and other stakeholders. Geneva, WHO, 2012.
33. WHO policy on collaborative TB/HIV activities: guidelines for national
programmes and other stakeholders (Annexes for webposting and CD-Rom
distribution with the policy guidelines). Geneva, WHO, 2012.
34. WHO. Treatment of Tuberculosis: guidelines for national programmes
(Fourth edition). WHO, 2010.
35. WHO Rapid advice: treatment of tuberculosis in children, 2010
36. WHO. Guidance on couples HIV testing and counselling, including
antiretroviral therapy for treatment and prevention in serodiscordant
couples. Geneva, WHO, 2012.
37. WHO, UNAIDS. Guidance on provider-initiated HIV testing and counselling
in health facilities. WHO, 2007
38. UNAIDS/WHO Policy Statement on HIV Testing. 2004.
52
Резюме.
Методичні рекомендації розроблені для лікарів різних спеціальностей загаль-
носоматичної мережі, лікарів-інтернів, працівників ФАПів з метою сприяння
кращого та своєчасного виявлення туберкульозу різної локалізації у дітей та
дорослих, а також проведенню профілактичних міроприємств та лікування
даної патології, які базуються на засадах доказової медицини та матеріалах
Уніфікованого клінічного протоколу первинної, вторинної (спеціалізованої)
та третинної (високоспеціалізованої) медичної допомоги (УКПМД) «Туберку-
льоз» (наказ МОЗ України від 21.12.2012 № 1091 «Про затвердження та впро-
вадження медико-технологічних документів зі стандартизації медичної до-
помоги при туберкульозі»).
Своєчасне виявлення та тактика ведення хворих на туберкульоз
в закладах охорони здоров’я області І-ІІ рівня. Методичні реко-
мендації для лікарів та середнього медичного персоналу
Яковенко О.К.
Ôîðìàò 60õ84/16. Ïàï³ð îôñåòíèé. Ãàðí³òóðà Officina.
Îôñåòíèé äðóê. Óì. äðóê. àðê.1 1/2.
Òèðàæ 1000 ïðèì. Äðóê ÔÎÏ Íåñòåðîâ Ñ.Á..

Broshura blok 52pg

  • 1.
    Управління охорони здоров’я Волинськоїоблдержадміністрації Обласне територіальне медичне протитуберкульозне об’єднання СВОЄЧАСНЕ ВИЯВЛЕННЯ ТА ТАКТИКА ВЕДЕННЯ ХВОРИХ НА ТУБЕРКУЛЬОЗ В ЗАКЛАДАХ ОХОРОНИ ЗДОРОВ’Я ОБЛАСТІ І-ІІ РІВНЯ методичні рекомендації для лікарів та середнього медичного персоналу Луцьк 2014
  • 2.
    2 Заклад-розробник: Обласне територіальнемедичне протитуберкульозне об’єднання Укладачі: ЯКОВЕНКО Олег Костянтинович к.мед.н., генеральний директор обласного територіального медичного протитуберкульозного об’єднання, головний позаштатний спеціаліст з пульмонології УОЗ облдержадміністрації ВАЛЕЦЬКИЙ Юрій Миколайович д.мед.н., завідувач терапевтичного відділення №3, головний позаштатний спеціаліст з фтизіатрії УОЗ облдержадміністрації КИРИЛЮК Людмила Йосипівна завідувач педіатричним відділенням обласного територіального медичного протитуберкульозного об’єднання, головний позаштатний дитячий фтизіатр УОЗ облдержадміністрації ДРАЧИНСЬКА Еліна Леонідівна завідувач диспансерним відділенням обласного територіального медичного протитуберкульозного об’єднання КМІТЬ Валерій Дмитрович завідувач хірургічного відділення обласного територіального медичного протитуберкульозного об’єднання МОСТОВА Валентина Олександрівна завідувач рентгенологічним відділенням обласного територіального медичного протитуберкульозного об’єднання МАКАРЕНКО Олена Іванівна головний лікар обласного центру по профілактиці та боротьбі зі СНІД Рецензенти: В.М. Мельник заступник директора з науково-організаційної та науково-методичної роботи Державної установи «Національний інститут фтизіатрії і пульмонології ім. Ф.Г. Яновського НАМН України», д.мед.н., професор. Ю.Г. Кияк завідувач кафедри сімейної медицини факультету після-дипломної освіти Львівського національного медичного університету ім. Данила Галицького, д.мед.н., професор. Своєчасне виявлення та тактика ведення хворих на туберкульоз в закладах охо- рони здоров’я області І-ІІ рівня (методичні рекомендації для лікарів та середнього медичного персоналу) // Яковенко О.К., УОЗ Волинської ОДА, Луцьк, 2014 // 52 стор. Copyright © Олег Яковенко, 2014
  • 3.
    3 ЗМІСТ Перелік умовних позначень,скорочень і термінів. . . . . . . . . . . . . . . . . . . . 4 Епідеміологічна ситуація з ТБ у світі та Україні . . . . . . . . . . . . . . . . . . . . . 6 Виявлення туберкульозу . . . . . . . . . . . . . . . . . . . . . . . . . . . . . . . . . . . . . . . 8 Клінічна картина туберкульозу . . . . . . . . . . . . . . . . . . . . . . . . . . . . . . . . . . 9 Діагностика позалегеневих локалізацій туберкульозу . . . . . . . . . . . . . . . 12 Лікування хворих на туберкульоз . . . . . . . . . . . . . . . . . . . . . . . . . . . . . . . 14 Порядок взаємодії протитуберкульозних лікувальних закладів та обласного центру по профілактиці та боротьбі зі СНІД . . . . . . . . . . . . 16 Хірургічне лікування туберкульозу . . . . . . . . . . . . . . . . . . . . . . . . . . . . . . 19 Профілактика, виявлення та ведення випадків туберкульозу у дітей. . . . 21 Покази до направлення до фтизіопедіатра . . . . . . . . . . . . . . . . . . . . . . . . 25 Ведення новонароджених із вогнищ туберкульозної інфекції . . . . . . . . . 32 Додаток 1. Скринінгова анкета для виявлення людей, що потребують обстеження на туберкульоз . . . . . . . . . . . . . 33 Додаток 2. Мікроскопія мазка за Цілем-Нільсеном . . . . . . . . . . . . . . . . . 34 Додаток 3. Перелік обстежень, які застосовують для виявлення ТБ легень (у неспеціалізованих закладах охорони здоров’я). . . . . . . . . . . . . 35 Додаток 4. 1. Загальний алгоритм діагностики та диференційної діагностики закладами первинної медико-санітарної допомоги (маршрут пацієнта) . . . . . . . . . . . . . . . . . . . . . . . . 37 Додаток 5. Покази для діагностичної торакоскопії: . . . . . . . . . . . . . . . . 40 Додаток 6. Покази до проведення діагностичної плевральної пункції: . 41 Додаток 7. Покази до бронхоскопії. . . . . . . . . . . . . . . . . . . . . . . . . . . . . 42 Додаток 8. Категорії населення із підвищеним ризиком захворювання на туберкульоз. . . . . . . . . . . . . . . . . . . . . . . . 46 Додаток 9. Клініко-діагностичний алгоритм діагностики туберкульозу в лабораторії ІІІ рівня ОТМПО з використанням тест-системи GeneXpert MTB/RIF . . . . . . . . . . . . . . . . . . . . . . 47 Додаток 10 Основні напрямки роботи по боротьбі з туберкульозом, що реалізуються на різних рівнях медичної допомоги в закладах охорони здоров’я Волинської області . . . . . . . . . 48 Рекомендована література . . . . . . . . . . . . . . . . . . . . . . . . . . . . . . . . . . . . 49 Резюме. . . . . . . . . . . . . . . . . . . . . . . . . . . . . . . . . . . . . . . . . . . . . . . . . . . . 52
  • 4.
    4 ПЕРЕЛІК УМОВНИХ ПОЗНАЧЕНЬ,СКОРОЧЕНЬ І ТЕРМІНІВ АМБП. . . . . . . . . . . . . антимікобактеріальні препарати; АМБТ . . . . . . . . . . . . . антимікобактеріальна терапія; BACTEC. . . . . . . . . . . . автоматизована система мікробіологічної діагностики ту- беркульозу; ВІЛ. . . . . . . . . . . . . . . вірус імунодефіциту людини; ВООЗ . . . . . . . . . . . . . Всесвітня організація охорони здоров’я; ГІНК. . . . . . . . . . . . . . гідразид ізонікотинової кислоти (група синтетичних про- титуберкульозних препаратів на його основі - ізоніазид, фтивазид, метазід, тубазид); г. . . . . . . . . . . . . . . . . грам; ДОТ . . . . . . . . . . . . . . (DOT - directly observed therapy) - лікування (терапія) під безпосереднім спостереженням; ДОТ-кабінети . . . . . . кабінети для лікування (терапії) хворих під безпосеред- нім спостереженням; ДОТС . . . . . . . . . . . . . (з англ. DOTS - directly observed treatment, short course) - лікування під безпосереднім спостереженням, коротким курсом; ДОТС-плюс стратегія . стратегія боротьби з неефективно лікованим і хіміорезистентним туберкульозом, що ґрунтується на ДОТС-стратегії; ІФ. . . . . . . . . . . . . . . . інтенсивна фаза; ЗЛМ . . . . . . . . . . . . . . загально-лікувальна мережа; ЗП . . . . . . . . . . . . . . . лікар загальної практики; СЛ/дільничний . . . . . сімейний лікар; кат. . . . . . . . . . . . . . . категорія; ККЛ . . . . . . . . . . . . . . кабінети контрольованого лікування; КЛД . . . . . . . . . . . . . . клініко-лабораторні дослідження; КСБ . . . . . . . . . . . . . . кислотостійкі бактерії; ЛПЗ . . . . . . . . . . . . . . лікувально-профілактичні заклади; ЛТІ . . . . . . . . . . . . . . . латентна туберкульозна інфекція; МБТ . . . . . . . . . . . . . . мікобактерії туберкульозу; міс. . . . . . . . . . . . . . . місяць;
  • 5.
    5 МЛС-ТБ. . .. . . . . . . . . множинна лікарська стійкість; МОЗ . . . . . . . . . . . . . . Міністерство охорони здоров’я; МР ТБ. . . . . . . . . . . . . мультирезистентний туберкульоз (туберкульоз з множин- ною медикаментозною стійкістю); МСТБЛЗ . . . . . . . . . . . Міжнародний союз боротьби з туберкульозом та легене- вими захворюваннями; НСПЛ . . . . . . . . . . . . . національні стандартні принципи лікування; ОЛКК . . . . . . . . . . . . . обласна лікувальна контрольна комісія; ПНМ . . . . . . . . . . . . . . перелік необхідних документів; ПМД . . . . . . . . . . . . . . первинна медична допомога; ПФ . . . . . . . . . . . . . . . підтримуюча фаза; ПТП . . . . . . . . . . . . . . протитуберкульозні препарати; РМР ТБ. . . . . . . . . . . . ризик мультирезистентного туберкульозу; РРТБ . . . . . . . . . . . . . туберкульоз із розширеною резистентністю; СНІД. . . . . . . . . . . . . . синдром набутого імунодефіциту; ТБ. . . . . . . . . . . . . . . . туберкульоз; ТМЧ . . . . . . . . . . . . . . тест медикаментозної чутливості; ФАП . . . . . . . . . . . . . . фельдшерсько-акушерський пункт; ХП . . . . . . . . . . . . . . . хіміопрофілактика; ХР ТБ . . . . . . . . . . . . . хіміорезистентний туберкульоз; ХТ. . . . . . . . . . . . . . . . хіміотерапія; Аm . . . . . . . . . . . . . . . Амікацин; Е. . . . . . . . . . . . . . . . . Етамбутол; Et . . . . . . . . . . . . . . . . Етіонамід; Н . . . . . . . . . . . . . . . . Ізоніазид; Кm . . . . . . . . . . . . . . . Канаміцин; PAS (ПАСК) . . . . . . . . Парааміносаліцилова кислота; Рt. . . . . . . . . . . . . . . . Протіонамід; Q . . . . . . . . . . . . . . . . препарати групи фторхінолонів; R . . . . . . . . . . . . . . . . Рифампіцин; S. . . . . . . . . . . . . . . . . Стрептоміцин; Z. . . . . . . . . . . . . . . . . Піразинамід.
  • 6.
    6 Епідеміологічна ситуація зтуберкульозу в світі та Україні Туберкульоз - це інфекційне захворювання, що переда- ється від хворої людини чи тварини повітряно-крапель- ним та іншими шляхами, викликається мікобактеріями туберкульозу (людського, бичачого і африканського шта- мів; інші штами мікобактерій спричиняють мікобактеріози). Характеризується утворенням специфічних гранульом в різних органах і тканинах (специфічне туберкульозне за- палення) у поєднанні з неспецифічними реакціями та полі- морфною клінічною картиною, що залежить від форми, ста- дії, локалізації та поширеності патологічного процесу. Перебігає з періодичними загостреннями, рецидивами та ре- місіями, частіше вражає найбідніші, соціально дезадаптовані групи населення (біженці, мігранти, особи, які перебувають в установах кримінально-виконавчої системи, особи без по- стійного місця проживання, алкоголіки, наркомани тощо) та медичних працівників. Спричиняє високу тимчасову та стійку втрату працездат- ності, вимагає тривалого комплексного лікування та реабі- літації хворих, а також приводить до негативних соціально- економічних наслідків і при недотриманні стандартів щодо виявлення та лікування - до передчасної смерті, через що відноситься до соціально небезпечних захворювань. На початку 90-х років ХХ століття в багатьох країнах світу, особливо у бідних країнах, спостерігалося значне погіршення епідемічної ситуації з туберкульозу. Через те у 1993 році ВООЗ визнала туберкульоз глобальною небезпекою та повідо- мила, що уряди країн повинні визнати боротьбу з туберкульозом одним з пріорите- тів і достатньо фінансувати боротьбу з цим захворюванням. У іншому разі тубер- кульоз може завдати колосальних збитків економікам і населенню нашої планети. З 1995 р. в Україні зареєстрована епідемія туберкульозу. Протягом 15-років (з 1990 по 2005) спостерігалось погіршення епідемічної ситуації, коли рівень захворюваності на туберкульоз та смертності збільшився понад в 2,5 раза.
  • 7.
    7 В Україні заостанні роки епідемічна ситуація все ще залишається напруже- ною, особливо у південних регіонах. Найвищий показник захворюваності на туберкульоз у Херсонській області (96,2/100 тис.нас.). Волинь не є виключенням. Область посідає 14 місце в Україні з показником захворюваності 67,4/100 тис. населення при загальноукраїнському 67,9/100 тис. населення. Лише в 2013 році відзначено збільшення захворюваності на всі фор- ми ТБ в області на 30,9% із зростанням захворюваності на активний ТБ органів дихання на 29,3% в порівнянні з 2012 роком. З них за рахунок зростання малих форм ТБ — 201 випадок у 2013 році проти 159 випадків у 2012 році, де питома вага «малих» форм ТБ (вогнищевий ТБ, туберкульозний плеврит, первинний ту- беркульозний комплекс, туберкулома) до всього ТБ органів дихання склала 24,3%. Відзначено приріст захворюваності в області на всі бактеріальні форми ТБ на 6,2% у порівнянні з 2012 роком, який корелює з питомою вагою бацилярного ТБ легень серед вперше виявлених з приростом на 49,4% (даний показник корелює із зростанням захворюваності на активний ТБ легень та закономірно відповідає зростанню загальної захворюваності на ТБ). Невтішною залишається ситуація захворюваності на ТБ дитячого віку в області. У 2013 році цей показник виріс вдвічі – до 8,1 на 100 тис. дитячого насе- лення (16 випадків) порівняно з 2012 роком (9 випадків – 4,63 на 100 тис. дитячого населення). Із 16 дітей, які захворіли на ТБ, 8 дітей – із сімейного тубконтакту (5 із неблагополучних сімей, 1 дитина із групи 5.4.(Г) народжена від ВІЛ-інфікованих батьків). Приріст захворюваності на ТБ серед дітей віком до 17 років у 2013 році склав +75,4%, в т.ч. серед підлітків (в абсолютних числах 8 дітей, 21,2 на 100 тис.) з динамікою приросту 39,9% (в 2012 році показник 15,3 на 100 тис. підлітків). Окрім напруженої епідемічної ситуації по туберкульозу в Україні відзнача- ється щорічне збільшення захворюваності і на Ко-інфекцію – туберкульоз/ ВІЛ (ТБ/ВІЛ). У 2005 році на Волині показник захворюваності на Ко-інфекцію становив 1,4 випадків на 100 тис.населення, у 2013 році - 5,69 випадків на 100 тис. населення (+55% у порівнянні з 2012 роком). Епідемія ВІЛ-інфекції в Україні та збільшення кількості ЛЖВ можуть призу- пинити прогрес на шляху досягнення індикаторів цілі тисячоліття щодо зниження захворюваності на туберкульоз, оскільки захворюваність на Ко-інфекцію ТБ/ВІЛ буде стримувати зниження показника захворюваності на туберкульоз. Щороку в світі діагностується 8-10 млн. випадків захворюван- ня на туберкульоз. За оціночними даними в усьому світі тре- тина випадків захворювання не реєструється, тобто реальна ситуація безсумнівно гірша від статистично зареєстрованої.
  • 8.
    8 За прогнозами ВООЗ,з 2011 до 2015 року в світі більше 2 млн. нових випад- ків туберкульозної інфекції виявляться полірезистентними (стійкими до кіль- кох протитуберкульозних препаратів). Якщо не взяти під контроль епідемію ВІЛ/ СНІДу, то це теж сприятиме погіршенню ситуації з туберкульозу, оскільки майже у 15% ВІЛ-інфікованих розвивається туберкульоз і більше 25% з них помирає. До того ж, до 2050 року близько 40 млн. курців можуть померти від туберкульозу, бо ризик їх захворіти в 2 рази більший, аніж у некурців. Причому більшість випад- ків захворювання на туберкульоз буде у країнах Африки, Середземномор’я й Азії. Водночас ВООЗ в рамках партнерства “Зупинити туберкульоз” та Цілей ти- сячоліття, до яких приєдналася Україна, ставлять завдання: “До 2015 року скоро- тити захворюваність і смертність від туберкульозу наполовину порівняно з 1990 роком”. Це означає, що в Україні захворюваність слід знизити до 15,9, а смерт- ність - до 4,4 на 100 тис. населення. Це дуже складне завдання. В Україні щорічно на туберкульоз захворює близько 32 тисяч людей та понад 6 тисяч людей помирає від цієї недуги. Виліковується від тубер- кульозу в результаті основного курсу хіміотерапії (ОКХТ) (до 12 міс. від по- чатку лікування) приблизно 60% від захворілих (через 24 (36) міс. - до 75%, у т.ч. з урахуванням вилікуваних від мультирезистентного туберкульо- зу). Близько 8% вперше захворілих перериває лікування, 12% - помирає. Виявлення туберкульозу Сучасний розвиток медицини передбачає постійне удосконалення заходів щодо діагностики, лікування та профілактики захворювань з урахуванням вимог доказової медицини. Система стандартизації медичної допомоги орієнтована на розробку медико-технологічних документів, які допомагають лікарю ефектив- но діяти в конкретних клінічних ситуаціях, уникаючи неефективних та помил- кових втручань. Таким документом, який регламентує основні моменти виявлення та ведення випадків туберкульозу є уніфікований клінічний протокол первинної, вторин- ної (спеціалізованої) та третинної (високоспеціалізованої) медичної допо- моги (УКПМД) «Туберкульоз», який за своєю формою, структурою та методич- ним підходам щодо використання вимог доказової медицини створено відповідно до Наказу МОЗ України №795/75 від 03.11.2009 «Про затвердження Уніфікова- ної методики з розробки клінічних настанов, медичних стандартів, уніфікованих клінічних протоколів медичної допомоги, локальних протоколів медичної допо- моги (клінічних маршрутів пацієнтів) на засадах доказової медицини (частина
  • 9.
    9 друга)», який вступиву дію на початку 2013 року (Наказ МОЗ України № 1091 від 21.12.2012 «Уніфікований клінічний протокол первинної, вторинної (спеціалізо- ваної) та третинної (високоспеціалізованої) медичної допомоги на туберкульоз»). Відповідно до концепції Національної програми боротьби з туберкульозом в Україні діагностика туберкульозу (різної локалізації) здійснюється в 2 ета- пи: виявлення захворювання та встановлення діагнозу. Виявлення туберкульозу проводиться в лікувальних закладах І-ІІІ рівня охо- рони здоров’я області, містить у собі вивчення скарг, анамнезу, фізичне обсте- ження, мікроскопічне дослідження мазків харкотиння на кислотостійкі бакте- рії (КСБ), а також доступне лікувальному закладу рентгенологічне обстеження. Скринігове дослідження організованих та неорганізованих груп населення по- винно проводитись на рівні ЦПМСД (І рівень). Забір харкотиння повинен здійснюватись після інструктажу хворого ме- дичним працівником (додаток 2) лише на спеціальних пунктах забору харкотиння з дотриманням вимог інфекційного контролю. При відсутнос- ті пункту забору харкотиння в медичному закладі процедура збору хар- котиння повинна відбуватись в ізольованому місці на вулиці! Остаточне встановлення (підтвердження) діагнозу туберкульозу проводить- ся в спеціалізованому обласному протитуберкульозному закладі ІІІ рівня лише комісією ЦЛКК шляхом більш розширеного обстеження, яке включає мікроско- пічне дослідження мазка на наявність КСБ, бактеріологічне культуральне дослі- дження харкотиння, тест на чутливість до протитуберкульозних препаратів І-ІІ ряду, молекулярно-генетичне дослідження з однієї порції харкотиння (не мен- ше 5 мл), додаткове рентгенологічне обстеження, ендоскопічне, цитологічне та морфологічне дослідження тощо. Клінічна картина туберкульозу Клінічна картина туберкульозу залежить від локалізації туберкульозного ураження, характеризується симптомами інтоксикації та симптомами уражен- ня того чи іншого органу. Для всіх локалізацій туберкульозу характерний інток- сикаційний синдром - фебрильна або субфебрильна температура тіла, схуднен- ня, втрата апетиту, підвищена пітливість, слабкість, підвищена втомлюваність. Найбільш поширеною локалізацією туберкульозу є легені (до 90%). Для неї характерним є бронхолегеневий синдром - кашель сухий чи з харкотинням, біль у грудній клітині, пов’язаний з диханням, кровохаркання, легенева кровотеча.
  • 10.
    10 Ознаки туберкульозу різнихлокалізацій та критерії його діагностики наве- дені в таблицях 1 – 2. Таблиця 1. Ознаки туберкульозу різної локалізації Локалізація туберкульозу Ознаки туберкульозу 1 2 Туберкульоз різної локалізації Інтоксикаційний синдром (фебрильна або субфе- брильна температура, втрата маси тіла, блідість, слаб- кість тощо), симптоми, притаманні для органів, які за- лучені в патологічний процес. Туберкульоз легень Інтоксикаційний синдром, кашель, виділення хар- котиння, кровохаркання, біль в грудній клітині, па- тологічні зміни в легенях на рентгенограмі органів грудної клітини. Позалегеневий туберкульоз: Туберкульоз бронхів, трахеї та верхніх дихальних шляхів Інтоксикаційний синдром, кашель, виділення хар- котиння, виділення з носа, локальні патологічні змі- ни слизової оболонки цих органів при бронхоскопії чи ЛОР огляді. Туберкульоз гортані Інтоксикаційний синдром, кашель, виділення хар- котиння, захриплість голосу, локальні патологічні зміни слизової оболонки гортані при бронхоскопії чи ЛОР огляді. Туберкульоз внутрішньогрудних лімфатичних вузлів Інтоксикаційний синдром (від різко вираженого до по- мірно вираженого), кашель, виділення харкотиння, роз- ширення тіні коренів легень на рентгенограмі органів грудної клітини, ураження бронхів при бронхоскопії. Туберкульозний плеврит Інтоксикаційний синдром (від різко вираженого до по- мірно вираженого), біль в грудній клітині, задишка, су- хий кашель, наявність випоту в плевральній порожнині. Туберкульоз нервової системи і мозкових оболонок Інтоксикаційний синдром (від різко вираженого до по- мірно вираженого), менінгеальний синдром (від різ- ко вираженого до помірно вираженого), патологічні зміни в лікворі, вогнищеві симптоми ураження мозку. Туберкульоз кісток та суглобів Інтоксикаційний синдром, локальний біль в кістках та суглобах, холодні абсцеси в м’яких тканинах, па- тологічні зміни в кістках і суглобах при рентгеноло- гічному дослідженні. Туберкульоз сечостатевої системи Інтоксикаційний синдром, дизуричний синдром, па- тологічні зміни в аналізі сечі, патологічні зміни при рентгенологічному обстеженні органів сечової сис- теми, локальні патологічні зміни слизової оболонки сечового міхура при цистоскопії.
  • 11.
    11 Локалізація туберкульозу Ознаки туберкульозу Туберкульоз периферичних лімфатичних вузлів Інтоксикаційнийсиндром, збільшення периферич- них лімфовузлів, нориці над збільшеними перифе- ричними лімфовузлами. Туберкульоз кишок, очеревини Інтоксикаційний синдром (від різко вираженого до помірно вираженого), діарейний синдром, збільшен- ня брижових лімфовузлів при УЗД, синдром кишко- вої непрохідності. Туберкульоз шкіри Інтоксикаційний синдром (від різко вираженого до помірно вираженого), скрофулодерма, вовчак. Туберкульоз ока Інтоксикаційний синдром (від різко вираженого до помірно вираженого), передній увеїт, периферичний увеїт, хореоретиніт. Туберкульоз вуха Інтоксикаційний синдром , виділення з вуха, знижен- ня слуху, локальні патологічні зміни при ЛОР – огляді. Туберкульоз надниркових залоз Інтоксикаційний синдром (від різко вираженого до помірно вираженого), синдром Адисона, патологіч- ні зміни наднирників при рентген дослідженні і УЗД. Міліарний туберкульоз Інтоксикаційний синдром (різко виражений), мілі- арні висипання в легенях при рентген обстеженні. Таблиця 2. Критерії діагностики туберкульозу Діагноз туберкульо- зурізноїлокалізації: Критерії діагностики туберкульозу Туберкульоз МБТ+ Ознаки туберкульозу органів або тканин, виявлення МБТ методом мікроскопії або посіву в матеріалі, отриманому з уражених органів і тканин. Туберкульоз ГІСТ + Ознаки туберкульозу органів або тканин, гістологічна вери- фікація туберкульозу при біопсії уражених органів і тканин. Туберкульоз МБТ – Ознаки туберкульозу органів або тканин, позитивний ре- зультат від застосування протитуберкульозної терапії (ре- гресія патологічних змін в уражених органах і тканинах). Розрізняють пасивне та активне виявлення туберкульозу. Пасивне виявлення – звернення пацієнта до медичного закладу з пев- ними скаргами. Медичним працівникам, в цьому випадку, слід прояви- ти настороженість на предмет туберкульозу і скерувати пацієнта на не- обхідне обстеження.
  • 12.
    12 Активне виявлення –медичний працівник залучає особу до профілак- тичного огляду (коли немає явних ознак туберкульозу). У цьому випад- ку має місце висока вірогідність своєчасного виявлення хвороби та міні- мальна вірогідність епідеміологічної небезпеки пацієнта для оточуючих. Працівникам ФАП та ЗЛМ слід використовувати скринінгову анкету для ви- явлення людей, що потребують обстеження на туберкульоз (додаток 1) та ске- ровувати показаних пацієнтів на дообстеження. Правила забору мокротиння та іншого матеріалу для дослідження на КСБ та МБТ наведені у додатку 2. Діагностика позалегеневих локалізацій туберкульозу При позалегеневих локалізаціях туберкульозного процесу збудника тубер- кульозу вдається виявити дуже рідко. Тому рентгенологічний метод лишаєть- ся головним при діагностиці деяких позалегеневих локалізацій туберкульозу. Найчастішою локалізацією туберкульозу, після органів дихання, є кістки. В 40% кісткового туберкульозу зустрічається туберкульоз хреб- та. Ця хвороба діагностується в людей різного віку. В дитячому віці най- частіше ушкоджується шийний відділ хребта, в шкільному віці – грудний відділ, в дорослих людей – поперековий відділ хребта. ВИДІЛЯЮТЬ 4-И ФАЗИ ДАНОГО ПРОЦЕСУ. В першу фазу формується центральна або крайова каверна з нечіткими не- рівними контурами та наявністю секвестрів в центрі порожнини, в вигляді «та- нучого цукру». В другу фазу відмічається прорив каверни: деструкція відповідного краю хребця, верхньої чи нижньої замикаючої пластинки, звуження міжхребцевого диску. Внаслідок вдавлення будь-якої з пластинок хребець частково зплющуєть- ся, формується клиновидна його деформація. Третя фаза характеризується контактним руйнуванням сусіднього хреб- ця, повним руйнуванням хрящового диску і формуванням локального наплив- ного абсцесу. Четвертій фазі характерні значні подальші руйнування: майже повне руй- нування первинно ушкодженого хребця, руйнування тіл сусідніх хребців, що при- ймають клиновидну форму, різке звуження міжхребцевих щілин, до повної його відсутності, формування кіфозу на місці ушкодження.
  • 13.
    13 Про затихання туберкульозногоспондиліту свідчать: • зменшення тіні напливного абсцесу та збільшення її інтенсивності; • більш чіткі контури на місцях деструкції хребців з появою склерозування, окостеніння зв’язок або остеофітів; • стабільність змін без тенденцій до прогресування; • розвиток анкілозу суглобових дужок; • в подальшому – розвиток кісткового анкілозу ушкоджених хребців. З суглобів найчастіше ушкоджуються кульшові, рідше колінні та ліктеві, променево-зап’ястні, дрібні суглоби предплюсни та зап’ястя, крижово-здухвин- ні зчленування. ТУБЕРКУЛЬОЗ СУГЛОБІВ ПРОТІКАЄ В ТРЬОХ СТАДІЯХ В преартритичній стадії туберкульозне вогнище знаходиться в губчатому шарі кістки: відмічається розширення суглобової щілини, ознаки остеопорозу та витончення коркового шару кістки. В артритичній стадії руйнується суглобовий кінець кістки: від невеликих вогнищ деструкцій до повного “розплавлення” епіфізів, руйнується суглобовий хрящ, процес поширюється на іншу кістку – суглобова щілина звужується і має нерівні контури. В постартритичній стадії процес стабілізується: розвиваються остеоскле- ротичні зміни в місцях деструкції, деформація суглобових поверхонь, розвитком артрозів та кісткових анкілозів. Нирки є наступною по частоті локалізацією позалегеневого уражен- ня. Туберкульозні вогнища утворюються переважно в кортикальних шарах нирок, а також на межі коркового та мозкового шарів. В результаті розви- тку туберкульозного процесу змінюються форма і розміри нирок. На огля- довій рентгенограмі відмічається її зморщення або локальне збільшення тіні. При вогнищевому ураженні процес обмежується частіше всього од- ним із полюсів нирки, де контур деформований, втягнутий або вибухає. Ранньою формою ТБ нирки, яку можна діагностувати, є специфічний па- піліт – це різноманітні звапнення сосочку форніксу, контури яких нерівні, не чіт- кі. Тінь, що утворилась нагадує по формі гриб, ріг оленя або полум’я факелу (після повного зруйнування ниркового сосочка). При інфільтративній формі ниркового ТБ на піелограмі знаходять звуження чашечки, переважно в зоні її шийки, а та- кож деструкцію в присосочковій зоні. Внаслідок здавлення шийки порушується відтік сечі із чашечки, її перефиричні відділи розширюються (тінь барабанної па- лички), що в подальшому приводить до «відшнуровування» чашечки.
  • 14.
    14 При прогресуванні процесу,в перенхімі нирки виникають каверни неправиль- ної форми, різної величини з нерівними нечіткими контурами, що з’єднуються з чашечкою чи лоханкою вузькими каналами. В рубцево зморщеній нирці чашечки колбовидно розширюються, здавлюються і ампутуються. Якщо в процес втягу- ється сечовід, то він вкорочується, в ньому утворюються звуження та розширен- ня. Видільна функція ушкодженої нирки значно знижується. Лікування хворих на туберкульоз Лікування хворих на ТБ із бактеріовиділенням здійсню- ється в умовах стаціонару до припинення бактеріовиді- лення, а без бактеріовиділення – амбулаторно по місцю проживання, лише під контролем медичного працівни- ка, відповідно до схеми лікування яку визначає ЛИШЕ ЛІКАР-ФТИЗІАТР! Хворі з бактеріовиділенням повинні знаходитись примусо- во на стаціонарному, контрольованому лікуванні по повного знебацилення. Хворі на МРТБ повинні знаходитись в боксо- ваному відділенні обласного закладу, отримуючи стаціонар- не, контрольоване лікування відповідно до вимог інфекцій- ного контролю до знебацилення. Контрольоване амбулаторне лікування відіграє важливу роль у терапії вперше виявленим хворим після виписки зі стаціонару, санаторію, хворим на хро- нічні форми туберкульозного процесу, особам, які потребують протирецидивно- го лікування й хіміопрофілактики. Лікування хворих в амбулаторних умовах здійснюється за індивідуальною схемою з урахуванням форми туберкульозу, супутньої соматичної патології (ко- морбідні стани), соціального статусу та прихільності до хіміотерапії. Дані про хворого, який готується до виписки на амбулаторний контрольований етап лікування, передаються за 1 тиждень до випис- ки по місцю проживання з інформацією про діагноз та схему лікування. В свою чергу, дільничний (міський, районний) лікар-фтизіатр пови- нен передати сімейному лікарю ЦПМСД та/або відповідальному медич- ному працівникові закладу ЦМПСД інформацію про хворого з необхід- ною кількістю ПТП І-ІІ ряду на місяць для контрольованого лікування.
  • 15.
    15 Сучасним та головнимпринципом амбулаторного лікування є його конт- рольованість - прийом хворим ліків повинен здійснюватися в присутності медич- ного працівника (фельдшер, медична сестра) закладу охорони здоровя по місцю проживання та/або медичної сестри Червого Хреста. Інколи використовуєть- ся метод інтермітуючої терапії - прийом добової дози хіміопрепаратів - 3, рід- ше 2 рази на тиждень, зрідка 4 дні підряд із триденною перервою. На початкових етапах амбулаторного лікування слід призначати що- денний одноразовий прийом медикаментів. Для контролю за прийомом АМБП допускається залучення родичів хворого (профільований актив, окрім дітей). У випадку видачі ПТП додому (що небажано), медична сестра при відвідуванні хво- рого робить підрахунок кількості препаратів, що залишилися, з метою контролю. У процедурному кабінеті на кожного хворого заводиться процедурний лист. У містах (с.м.т.) амбулаторне лікування здійснюється в протитуберкульозних установах, на медичних пунктах підприємств, навчальних закладів, куди передається необхідна кількість ПТП. Хворий отримує ПТП із рук медсестри, яка має переконатись, що пацієнт їх проковтнув та зробити відмітку про це у реєстраційній формі встановленого зразка. Протирецидивне лікування жителів сільської місцевості проводиться в закладах ЦМПСД – на ФАПах, амбулаторіях, лікарнях згідно рекомендацій лікаря- фтизіатра ІІ рівня (ДОТ – кабінет в ЦРЛ, районна протитуберкульозна лікарня) . Лікування ТБ у ВІЛ-інфікованих здійснюють за тими ж принципами, що і ВІЛ-негативних осіб, за виключенням суворого протипоказання до застосуван- ня тіоацетазону. АРТ пацієнтам призначається на підставі даних КЛД із враху- ванням сформованої прихильності до лікування та самостійного прийому препа- ратів. Існуюча доказова база підтверджує необхідність підвищення доз ПТП при лікуванні ВІЛ-інфікованих і ВІЛ-негативних дітей через те, що рівні концентра- ції препаратів у сироватці крові у дітей нижчі, ніж у дорослих пацієнтів. У разі отримання хворим на Ко-інфекцію ТБ/ВІЛ АРВ-препаратів 2 лінії (інгі- бітори протеаз) замість Рифампіцину призначається Рифабутин. Лікування супро- воджується більш високою частотою побічних ефектів від антимікобактеріальних препаратів, ніж у ВІЛ-негативних осіб. APT призначається всім ВІЛ-інфікованим, які хворі на лікарсько-стійкий туберкульоз і які потребують ПТП II ряду, неза- лежно від кількості CD4, причому розпочинати її треба якомога раніше (в перші 8 тижнів) після початку протитуберкульозного лікування. У пацієнтів з ВІЛ/ТБ існує ризик до рецидиву ТБ. Всі ВІЛ-інфіковані пацієнти, які перехворіли на ТБ, спостерігаються у ліка- ря фтизіатра та у лікаря кабінету «Довіра», КІЗу або центрів СНІД пожиттєво.
  • 16.
    16 Хіміопрофілактика ТБ уЛЖВ: відповідно до уніфіковано- го протоколу №1091 від 21.12.2012р. хіміопрофілактика проводиться ізоніазидом у дозі 5 мг/кг щоденно протягом 6 міс. всім ВІЧ-інфікованим, у яких CD4 менше 200кл., а та- кож усім ВІЧ-інфікованим, що перехворіли на ТБ, не біль- ше, ніж протягом 2-х років. Профілактика пневмоцистної пневмонії у хворих на ВІЛ/ТБ (Ко-інфекція): Відповідно до протоколу №276 від 28.05.2008 р. пацієнтам з CD4 менше 200кл. або при наявності 3-4 стадії ВІЛ-інфекції призначають ко-тримоксазол (триметопрім/сульфаметоксазол (ТМП/ СМК) поки рівень CD4 не стабілізується вище 200кл, щонайменше про- тягом 3міс. Пацієнтам рекомендується прийом 2 таблеток ТМП/СМК (160мг триметоприму та 800 мг сульфаметоксазолу) один раз на день. Порядок взаємодії протитуберкульозних лікувальних закладів та обласного центру по профілактиці та боротьбі зі СНІД Надання медичної допомоги хворим на поєднані захворювання – туберкульоз та ВІЛ-інфекцію здійснюється відповідно до наказу МОЗ України від 28.05.2008 року №276 «Про затвердження клінічного протоколу надання медичної до- помоги хворим на поєднані захворювання – туберкульоз та ВІЛ-інфекцію» та «Уніфікований клінічний протокол первинної, вторинної (спеціалізова- ної) та третинної (високоспеціалізованої) медичної допомоги – Ко-інфекція туберкульоз/ВІЛ – 2013 рік», який перебуває на стадії затвердження. Усі ВІЛ-інфіковані пацієнти повинні бути обстежені на наявність, або ризик розвитку туберкульозу, а усім хворим на туберкульоз повинно бути запропоно- вано консультування та тестування (ДКТ) на ВІЛ. Основними причинами такої оцінки є: • ВІЛ-інфіковані пацієнти відносяться до групи ризику стосовно наявності або розвитку активного туберкульозу, як однієї з основних причин смерті; • ВІЛ-інфекція впливає на перебіг туберкульозу та ефективність лікування; • активний туберкульоз впливає на перебіг ВІЛ-інфекції та ефективність антиретровірусної терапії (АРТ); • туберкульоз може бути одним із проявів ІІІ або IV стадії ВІЛ-інфекції, яка потребує призначення ВААРТ лікування.
  • 17.
    17 1. Виявлення хворихна поєднану патологію ВІЛ/ТБ проводиться при плановому медичному (диспансерному)нагляді ВІЛ-позитивних пацієн- тів, та ВІЛ-позитивних пацієнтів, які звернулись зі скаргами чи симпто- мами ТБ в обласний центр СНІД, та/або в кабінети довіри при закладах охорони здоров’я області ІІ рівня (ЦРЛ) спільно з лікарем-фтизіатром. ! У протитуберкульозний заклад на лікування скеровується лише хворий з підтвердженим діагнозом Ко-інфекції! 2. Діагностика ВІЛ-інфекції у хворих на туберкульоз здійснюється шля- хом проведення тестування на ВІЛ в протитуберкульозних закладах об- ласті та поглибленого клініко лабораторного обстеження, після якого визначається тактика надання медичної, психологічної та соціальної до- помоги хворому на Ко-інфекцію ТБ/ВІЛ. 3. В протитуберкульозних закладах області кожному пацієнту з актив- ним туберкульозом повинно бути проведене ДКТ на ВІЛ. Дана про- цедура включена до переліку стандартних (рутинних) для кожного за- кладу, де надається допомога хворим на туберкульоз. 4. Медичні працівники протитуберкульозних закладів області повинні пояс- нити пацієнту необхідність та важливість проходження тестування для прийняття відповідних рішень про подальше ефективне лікування, проте пацієнт має право відмовитися від проходження обстеження на ВІЛ. 5. Первинне обстеження пацієнта на ВІЛ повинно включати: • передтестове консультування; • серологічне дослідження крові методом імуноферментного аналізу та/або швидких тестів для виявлення антитіл на ВІЛ з підтверджен- ням результату; • післятестове консультування; Перед- та післятестове консультування хворих на ТБ з метою вияв- лення ВІЛ рекомендовано проводити з дотриманням загальних вимог Порядку добровільного консультування і тестування на ВІЛ-інфекцію (протоколу), затвердженого наказом МОЗ України від 19.08.05 № 415 та зареєстрованому в Міністерстві юстиції України 22.11.05 за №1404/11684. 6. У разі встановлення діагнозу ВІЛ-інфекції в протитуберкульозному закладі викликається лікар-інфекціоніст центру профілактики та бороть- би зі СНІД, кабінету «Довіри» або КІЗу для постановки на офіційний об-
  • 18.
    18 лік та проденнядодаткових лабораторних обстежень з метою встанов- лення клінічної стадії ВІЛ-інфекції. 7. При підтвердженні діагнозу туберкульозу у ВІЛ-інфікованих у про- титуберкульозних закладах, лікар-фтизіатр, який встановив діагноз туберкульозу, повинен повідомляти обласний центр по профілактиці та боротьбі зі СНІД з поданням виписки з історії хвороби про випадок ВІЛ-асоційованого туберкульозу та результати лікування з дотриман- ням принципу конфіденційності. 8. Відповідальність за повідомлення обласного центру СНІД про ви- падок ВІЛ-асоційованого туберкульозу покладається на генерально- го директора протитуберкульозного об’єднання та заступника генераль- ного директора з лікувальної роботи протитуберкульозного об’єднання, головних лікарів протитуберкульозних лікарень. 9. У разі отримання позитивного тесту на ВІЛ-інфекцію у хворого на туберкульоз, який перебуває на стаціонарному лікуванні до проти- туберкульозного закладу на консультацію запрошується спеціаліст об- ласного центру СНІДу, який проводить поглиблене клініко-лаборатор- не обстеження хворого для визначення стадії ВІЛ-інфекції та визначає необхідність призначення антиретровірусного лікування відповідно до наказу МОЗ України від 12.07.2010 року №551 «Про затвердження клі- нічного протоколу антиретровірусної терапії ВІЛ-інфекції у дорослих та підлітків». При перебуванні на лікуванні хворих на Ко-інфекцію ВІЛ/ТБ в тублікарнях (с.Хотешів, с.Поворськ, смт.Луків)до хворого викликають лікаря центру СНІД на консультацію. 10. Подальше ведення хворого на ВІЛ-асоційований туберкульоз здій- снюється фахівцем обласного центру по профілактиці та боротьбі зі СНІД спільно з фтизіатром. 11. Відповідальність за організацію протитуберкульозного лікування у ВІЛ-інфікованих та ведення облікових форм покладається на ра- йонного фтизіатра відповідно до наказу МОЗ України від 09.06.06 №384 “Про затвердження Протоколу надання медичної допомоги хворим на туберкульоз”. 12. Лікування ТБ у ВІЛ-інфікованих здійснюється в обласному територі- ально-медичному протитуберкульозному об’єднанні та туберкульозних лікарнях за стандартними схемами хіміотерапії спільно зі спеціалістами обласного центру по профілактиці та боротьбі зі СНІДом, які проводять поглиблене клініко-лабораторне обстеження хворого для визначення ста- дії ВІЛ-інфекції та необхідності призначення антиретровірусної терапії.
  • 19.
    19 13. В закладахохорони здоров’я первинної ланки проводять тільки підтри- муючу фазу ХТ за умови забезпечення контрольованості лікування. 14. Лікування хворих на ВІЛ/ТБ проводять в обласному центрі по профі- лактиці та боротьбі зі СНІДом та в протитуберкульозних закладах усіх рівнів за стандартними схемами антиретровірусної терапії під нагля- дом фахівця, який здійснює систематичне спостереження за пацієнта- ми з поєднаною патологією ВІЛ/ТБ. При одночасному застосуванні про- титуберкульозної та антиретровірусної терапії лікування туберкульозу проводять під безпосереднім наглядом медичних працівників за про- ковтуванням таблетованих лікарських засобів. 15. АРТ після завершення основного курсу хіміотерапії пацієнти на по- єднані захворювання – туберкульоз та ВІЛ-інфекцію отримують в об- ласному центрі по профілактиці та боротьбі зі СНІДом. 16. Хворі на поєднану патологію ВІЛ/ТБ (позалегеневі форми) при на- явності інших опортуністичних інфекцій, які потребують лікування, можуть проходити лікування (інтенсивну фазу протитуберкульозної хі- міотерапії) в стаціонарному відділенні для ВІЛ-інфікованих обласної ін- фекційної лікарні. Хірургічне лікування туберкульозу В деяких випадках, для покращення ефективності лікування хворих на ту- беркульоз та з метою верифікації діагнозу застосовуються хірургічні втручання. Вони показані в наступних випадках: • бактеріовиділення, що зберігається після пролонгованої до 90 доз ІФ, не- зважаючи на адекватно проведену ХТ; • хіміорезистентні форми ТБ; • кровохаркання, що виникає періодично з каверни або бронхоектазів піс- ля вилікування ТБ; • синдром здавлення медіастинальними лімфатичними вузлами; • туберкульозна емпієма, що не розсмокталась при ХТ; • округле утворення в легенях. Показання до хірургічного втручання при туберкульозі легень наступні: 1) за життєвими показами: • профузна легенева кровотеча (консультація хірурга); • напружений клапанний пневмоторакс;
  • 20.
    20 2) абсолютні покази: •МР ТБ/РРТБ при збереженні бактеріовиділення після отримання 180 доз; • інфільтративний деструктивний ТБ з бактеріовиділенням після отриман- ня 90 доз за відсутності позитивної динаміки; • фіброзно-кавернознийТБ–одностороннійчидвосторонній(небільше2-хдолей); • циротичний ТБ легень з бактеріовиділенням; • хронічна емпієма плеври, панцирний плеврит; • рецидивуючий пневмоторакс; • рецидивуюче кровохаркання; • синдром здавлення при первинному ТБ; 3) прямі покази: • великі туберкульоми з розпадом або бактеріовиділенням (понад 3 см); • некурабельні залишкові зміни в легенях – бронхоектази, зруйнована част- ка легені, виражений стеноз бронху; • сановані каверни без бактеріовиділення з епідеміологічних міркувань (працівники дитячих закладів). Діагностичні операції (торакотомія, торакоскопія, біопсія) застосову- ються в наступних випадках: • дисемінація неясної етіології; • округла тінь в легені; • плеврит неясної етіології; • гіперплазія внутрішньогрудних лімфатичних вузлів неясної етіології. Типи та об’єми операцій на органах грудної клітини наступні: • резекційні втручання: сегмент- і бісегментектомія, лоб- і білобектомія, пульмонектомія; • торакопластика; • плевректомія, декортикація легені; • кавернотомія; • біопсія легені; • біопсія внутрішньогрудних лімфатичних вузлів; • торакоскопічне втручання (покази і протипокази до торакоскопії пода- ні в додатку 5) . Протипоказання до хірургічних втручань наступні: • всі види тяжкої органної недостатності (дихальної, серцевої, ниркової, печінкової і т.п.); • інфаркт міокарду і вірусні гепатити;
  • 21.
    21 • захворювання крові; •прогресування ТБ; • вперше діагностовані форми ТБ на ранніх етапах лікування. В хірургічному відділенні ОТМПО, за показами, проводиться торакоцентез (додаток 6). В показаних випадках проводиться ФБС (додаток 7). Профілактика, виявлення та ведення випадків туберкульозу у дітей До специфічної профілактики туберкульозу серед дитячого населення відноситься вакцинація і ревакцинація БЦЖ. Щеплення проводить кваліфікований медичний персонал пологового будин- ку та/або відділення, відділення догляду за недоношеними, дитячих поліклінік або закладів ЦПМСД. Протипоказання до вакцинації БЦЖ: • Недоношеність (вага тіла менше ніж 2500 г). • нутрішньоутробна інфекція, гнійно-септичні захворювання, гемолітичне захворювання новонароджених (середньо тяжка та тяжка форми), важкі пологові травми нервової системи з неврологічною симптоматикою, гене- ралізовані шкірні ураження та ін. Щеплення проводять після одужання дитини та консультації відповідних спеціалістів. • Гострі захворювання. Щеплення проводять після одужання дитини та кон- сультації відповідних спеціалістів. • Первинні (вроджені) імунодефіцити. • Злоякісні захворювання крові та новоутворення. • Наявність випадків генералізованої БЦЖ-інфекції у інших дітей в родині. • При призначенні імунодепресантів та променевої терапії (щеплення про- водять в показаних випадках не раніше ніж через 12 місяців після закін- чення лікування при відсутності ознак імунодефіциту (клінічних та лабо- раторних) і консультації відповідних спеціалістів. • Діти народженні від ВІЛ-інфікованих матерів (щеплення проводять після зняття діагнозу ВІЛ-інфікування).
  • 22.
    22 Дітям, які небули вакциновані у періоді новонародженості, щеплення про- водять після виключення протипоказань за висновком відповідних спеціалістів. Дітям у віці двох місяців і старшим попередньо проводять пробу Манту з 2 ТО і вакцинують лише туберкулінонегативних. Ревакцинацію проводять у 7-річному віці у туберкулінонегативних дітей. Протипоказання до ревакцинації БЦЖ. • Гострі інфекційні та неінфекційні захворювання, загострення хронічних захворювань (у тому числі алергійних), Щеплення здійснюють через 1 місяць після одужання або настання ремісії. • Злоякісні захворювання крові та новоутворення. • Первинні (вроджені) імунодефіцити. • Інфікування вірусом імунодефіциту людини. • У випадку призначених імунодепресантів і променевої терапії щеплення здійснюють в показаних випадках не раніше, ніж через 12 місяців після закінчення лікування, при відсутності ознак імунодефіциту (клінічних і лабораторних) та після консультації з відповідними спеціалістами. • Неврологічні порушення з вираженою симптоматикою. • Анемія (рівень гемоглобіну нижче 80 г/л). • Захворювання на туберкульоз та туберкульоз в анамнезі. Інфікування мікобактеріями туберкульозу ( в тому числі й у випадках негативної ре- акції на туберкулін). • Позитивна чи сумнівна реакція на пробу Манту з 2 ТО. • Тяжкі поствакцинальні реакції в анамнезі у вигляді анафілактичного шоку, енцефаліту, агранулоцитозу. • Ускладненні реакції на попереднє введення вакцини БЦЖ (лімфаденіт, хо- лодний абсцес, виразки шкіри більше 10 мм, інфільтрат на місці введення розміром 15 мм, келоїдний рубець, остити, генералізовані БЦЖ-інфекція). • У випадку контакту з інфекційними хворими в родині, дитячому закладі та ін. щеплення здійснюють після закінчення терміну карантину чи мак- симального терміну інкубаційного періоду для даного захворювання. • Вагітність та лактація. • ВІЛ-інфекція. Згідно наказу МОЗ України за № 1091 діти, які не щеплені в пологовому бу- динку, спостерігаються у фтизіатра за категорією 5.4.(В). Вони підлягають обсте- женню 1 раз в 6 місяців до проведення вакцинації. Такі діти не повинні відвід- увати протитуберкульозний заклад!
  • 23.
    23 ТУБЕРКУЛІНОВА ДІАГНОСТИКА УДІТЕЙ Єдиним методом ранньої діагностики ЛТІ у дітей теперішнього часу за- лишається шкірний туберкуліновий тест – проба Манту з 2 ТО. Зважаючи на великий термін використання методу туберкулінової діагнос- тики, історія якого нараховує більше століття, виникла нагальна необхідність у вдосконаленні діагностичного методу. Уніфікованим клінічним протоколом передбачено застосування тесту з АТР (антиген туберкульозний рекомбінант- ний), який більш специфічний та менш реактогенний у порівнянні із звичай- ним туберкуліном. Протипоказання для проведення проби Манту з 2 ТО • Розповсюджені захворювання шкіри. • Гострі та хронічні захворювання в період загострення. • Інфекційні захворювання за виключенням випадків підозри на туберкульоз. • Алергічні стани, ревматизм в гострій та підгострій фазах, бронхіальна аст- ма, ідіосинкразія з вираженими шкірними проявами в період загострення. • Епілепсія. Не допускається проведення проби Манту дітей із колективів, де триває карантин з приводу інфекційних захворювань (за виключенням підозри на ту- беркульоз). Пробу проводять через місяць після зникнення клінічних симптомів або одразу після зняття карантину. • Діти і підлітки у ранньому періоді первинної ТБ інфекції (встановлений «Віраж» за результатами проби Манту чи з позитивною реакцією на про- бу з АТР) спостерігаються згідно наказу МОЗ України за № 1091 у фтизіа- тра за кат. 5.4 (А). • Діти і підлітки, інфіковані МБТ, з гіперергічною чутливістю до туберкулі- ну за результатами проби Манту чи АТР (17 мм), її наростанням на 6 мм та більше, із хронічними соматичними захворюваннями спостерігаються згід- но наказу МОЗ України за № 1091 у фтизіатра за категорією 5, гр.5.4 (Б). • Діти з перинатальним контактом щодо ВІЛ-інфекції (які знаходяться на моніторингу – до зняття/встановлення ВІЛ-інфекції) спостерігаються у фтизіатра за категорією 5, гр.5.4 (Г). • Діти ВІЛ-інфіковані спостерігаються за категорією 5, гр.5.4 (Д). • Діти і підлітки, у яких необхідно уточнити етіологію чутливості до тубер- куліну (після вакцинна або інфекційна алергія), характер змін у легенях та інших органах (з метою дифдіагностики) та діти з туберкульозними зміна- ми невизначеної активності спостерігаються за категорією 5.3.
  • 24.
    24 Діти із групи5.3 проходять комплексне обстеження. Термін спостереження – 3 місяці. Після чого переводять до 1 – 4 або 5 категорії чи знімають з обліку. Діти з груп 5.4 (А) і 5.4 (Б) при взятті на облік фтизіатром проходять ре- тельне клініко - Ro’’ обстеження (РМ з 2 ТО, загальний аналіз крові, загальний аналіз сечі, біохімічний аналіз крові, контроль функції нирок і печінки). Превен- тивне лікування проводиться за режимом (3НЕ/3HZ). Хіміопрофілактика і оздоровлення проводиться в умовах санаторію, спеціалі- зованих дитячих закладах (садках) або амбулаторно під контролем медпрацівників. Дільничний фтизіатр повинен передати лікарю ЗП–СЛ або відповідальному медичному працівникові закладу ПМД необхідні препарати на місяць. Вони за- безпечують чіткий контроль за прийняттям ПТП. В період проведення хіміопрофілактики, не рідше 1 раз на місяць, проводи- ти обстеження (загальний аналіз крові, загальний аналіз сечі, біохімічний ана- ліз крові). При прийнятті етамбутолу – консультація окуліста 1 раз на місяць. В подальшому обстеження проводити 1 раз на 6 місяців. Термін спостереження – 1 рік, при наявності факторів ризику чи контактів із осередків – 2 роки. Діти із групи 5.4 (Г) спостерігаються дитячим фтизіатром і обстежують- ся 1 раз на 6 місяців із проведенням проби Манту. У разі інфікування – превен- тивне лікування. Термін спостереження – до зняття діагнозу ВІЛ-інфікування. Діти із групи 5.4 (Д) – ВІЛ-інфіковані діти – обстеження 1 раз на 6 місяців із проведенням проби Манту. Хіміопрофілактика – ізоніазидом 6 місяців. Термін спостереження – до досягнення дитиною 18 років. При виявлені у дітей або підлітків локальної форми туберкульозу, (діагнос- тує дільничний фтизіатр) необхідно направити їх у облтубдиспансер. В стаціона- рі такі хворі отримують лікування згідно категорій (1, 2, 3, 4). Проба Манту прово- диться при встановленні діагнозу, в подальшому 1 раз на 6 місяців та обов’язково по завершенні лікування. Лікування дітей проводиться в умовах тубстаціонару. Допуск в загальноосвітні шкільні і дошкільні заклади – після закінчення осно- вного курсу лікування. Граничний термін спостереження – 2 роки. Хворі із 4 ка- тегорією (МРТБ, РМРТБ, ТБ із розширеною резистентністю) – до 18 років. В перший рік обстеження проводити 1 раз на 6 місяців з ретельним клініко - Ro’’ обстеженням, РМ з 2 ТО. В подальшому 1 раз на рік. Протирецидивне лікування у групі 5.1 (Б) – діти, переведені після закін- чення основного курсу лікування з 1, 2, 3, 4 категорій – 2 рази на рік (по 3 міся- ці), протягом першого року двома ПТП. В подальшому за показаннями: при зрос- танні чутливості до туберкуліну за пробою Манту, виникненні факторів ризику.
  • 25.
    25 При проведенні протирецидивноголікування обстеження проводити 1 раз на місяць (загальний аналіз крові, загальний аналіз сечі, біохімічний аналіз крові) та обов’язковою консультацією окуліста при застосуванні етамбутолу. Протирецидивне лікування за групою 5.1 (А) – при виникненні факторів ризику (часті простудні хвороби, загострення хронічних захворювань). Для профілактики побічних реакцій у процесі лікування застосовуються па- тогенетичні препарати з урахуванням віку дитини: вітамін В6, гепатопротектори. Покази до направлення до фтизіопедіатра (наказ управління охорони здоров’я облдержадміністрації від 17.02.2014 № 44-од). За результатами обстеження, з урахуванням факторів ризику щодо захворю- вання на ТБ, клінічних ознак і результатів туберкулінодіагностики направляють- ся на консультацію до дитячого фтизіатра такі особи: • діти, в яких встановлено контакт із хворою на ТБ людиною або твариною (як тісний сімейний або квартирний контакт, так і випадковий, незалежно від строків попереднього обстеження на ТБ); • діти зі встановленим фактом «віражу» за результатами проби Манту; • діти із гіперергічними реакціями на пробу Манту з 2 ТО; • діти із наростанням розмірів папули на пробу Манту з 2 ТО на 6 мм біль- ше, незалежно від розміру реакції й від наявності факторів ризику щодо захворювання на ТБ; • діти із поступовим наростанням чутливості до туберкуліну протягом декількох років, незалежно від наявності факторів ризику щодо захворювання на ТБ; • діти, інфіковані МБТ із хронічними захворюваннями різних органів і систем; • діти, інфіковані МБТ при тривалому прийомі (більше місяця) цитостатич- них, глюкокортикоїдних препаратів, імунодепресантів; • діти з ВІЛ-інфекцією або з перинатальним контактом щодо ВІЛ-інфекції – при плановій щорічній диспансеризації з приводу основного процесу; • діти із симптомами, схожими на ТБ, для проведення диференціальної діа- гностики ТБ й не туберкульозних захворювань (кашель, що триває понад 2 тижні, наявність інтоксикаційного симптомокомплексу неясного ґенезу, поліаденія периферичних лімфатичних вузлів (особливо у туберкуліно- позитивних осіб), втрата маси тіла, підвищення температури тіла, потіння вночі, кровохаркання, біль в грудній клітці; • діти, інфіковані МБТ, із соціальних груп ризику.
  • 26.
    26 ФАКТОРИ ТА ГРУПИРИЗИКУ ЩОДО ЗАХВОРЮВАННЯ НА ТУБЕРКУЛЬОЗ У ДІТЕЙ Фактори ризику, що сприяють розвитку туберкульозного процесу у дітей: Епідеміологічні (специфічні): • контакт із хворою на ТБ людиною (тісний сімейний, квартирний, випадковий); • контакт із хворою на ТБ твариною; вживання продуктів від хворих на ТБ тварин; • гостропрогресуючий перебіг ТБ у джерела інфекції; • наявність у джерела інфекції стійкості МБТ до ПТП. Медико-біологічні (специфічні): • ранній період інфікування МБТ ; • відсутність вакцинації проти ТБ; • спадковість щодо ТБ (випадки ТБ у кровних родичів) Медико-біологічні (неспецифічні): • супутня патологія - хронічні та рецидивуючі захворювання органів дихан- ня, бронхіальна астма, алергічні дерматити, хронічний гепатит, цукровий діабет, анемії, психоневрологічна патологія, виразкова хвороба шлунка і 12-палої кишки, колагенози, інфекції сечовивідних шляхів та ін.); • часті ГРВІ в анамнезі, так звана група часто хворіючих дітей; • ВІЛ- інфекція; • імунодефіцитні стани (первинні та вторинні), прийом препаратів з імуно- депресивною дією. Віково-статеві (неспецифічні): • молодший вік (від 0 до 3 років); • препубертатний і підлітковий вік (від 13 до 17 років); Соціальні (неспецифічні): • алкоголізм батьків, наркоманія у батьків; шкідливі звички у дітей; • перебування батьків у місцях позбавлення волі, безробіття батьків; • безпритульністьдітейтапідлітків,перебуваннядітейудитячихпритулках,дитя- чих будинках, соціальних центрах тощо, позбавлення батьків батьківських прав; • багатодітність; низький рівень матеріального забезпечення родини; • мігранти, біженці. Групи ризику щодо захворювання на туберкульоз у дітей: • Діти і підлітки у ранньому періоді первинної туберкульозної інфекції (ві- раж туберкулінових реакцій), незалежно від вираженості реакції на пробу Манту з 2 ТО та від наявності факторів ризику щодо захворювання на ТБ.
  • 27.
    27 • Діти іпідлітки, інфіковані МБТ: з наростанням туберкулінової чутливості (збільшення розмірів реакції за результатами проби Манту з 2 ТО на 6 мм і більше протягом року, незалежно від її розміру й від наявності факторів ризику щодо захворювання на ТБ. • Діти і підлітки, інфіковані МБТ: з гіперергічною реакцією на туберкулін, незалежно від наявності факторів ризику щодо захворювання на ТБ. • Діти і підлітки з монотонною чутливістю до туберкуліну (монотонно- пози- тивні проби Манту) в поєднанні з іншими факторами ризику щодо захво- рювання на ТБ, які раніше не обстежувались у фтизіатра. • Діти і підлітки з поступовим наростанням чутливості до туберкуліну про- тягом кількох років, незалежно від наявності факторів ризику щодо за- хворювання на ТБ. • Діти, які мають позитивну або сумнівну реакцію проби з АТР • Діти, які не були щеплені БЦЖ у період новонародженості. • Діти, які мають контакт із хворою на ТБ людиною або твариною (як тісний сімейний або квартирний контакт, так і випадковий). • Інфіковані МБТ із хронічними захворюваннями різних органів і систем при плановій щорічній диспансеризації з приводу основного процесу або при неефективності проведених традиційних методів лікування. • Інфіковані МБТ з первинним та вторинним імунодеіцитом, при тривало- му прийомі (більше місяця) цитостатичних, глюкокортикоїдних препара- тів, імунодепресантів. • ВІЛ-інфіковані та діти з перинатальним контактом щодо ВІЛ-інфекції. • Діти, інфіковані МБТ, із соціальними факторами ризику. ОРГАНІЗАЦІЯ ПРЕВЕНТИВНОЇ ХІМІОТЕРАПІЇ У ДІТЕЙ Превентивна ХТ - метод специфічного лікування ПТП з метою запобіган- ня інфікування МБТ, розвитку органного ТБ та рецидиву захворювання. Прийом ПТП забезпечує пригнічення розмноження МБТ і зниження мікробної популяції, що перешкоджає розвитку захворювання. Науковими дослідженнями доведено, що діти з груп ризику хворіють на ТБ в декілька разів частіше, ніж діти, які не належать до груп ризику. Своєчасне та якісне (під контролем медпрацівника, безперервним курсом та за схемами, які враховують рівень поширення у регіонах резистентності до окре- мих ПТП 1 ряду, або базуються на даних ТМЧ встановленого джерела інфекції) проведення превентивного лікування дає змогу знизити захворюваність у 5 - 7
  • 28.
    28 разів. У випадкурозвитку захворювання воно має більш легкий перебіг порівня- но з групою осіб, що не одержували превентивного лікування. Ефективність профілактичних заходів залежить від поєднання специфічних та неспецифічних методів профілактики ТБ (імунізація БЦЖ, превентивна ХТ, са- нітарна профілактика у вогнищах ТБ, проведення комплексу загальнооздоров- чих заходів, інформаційно-освітня робота, прихильність дітей та батьків до про- ведення профілактичних заходів). Мета застосування превентивної хіміотерапії: запобігти розвитку захво- рювання серед осіб із груп ризику. Розрізняють первинну і вторинну превентивну ХТ. Первинна превентивна ХТ застосовується у туберкулінонегативних (за про- бою Манту чи АТР) осіб із вогнищ туберкульозної інфекції. Завданням такого за- побіжного прийому ПТП є пригнічення туберкульозної інфекції навіть в інкубацій- ному періоді, тобто захист не тільки від захворювання, але й від інфікування МБТ. Вторинна превентивна ХТ застосовується у осіб, інфікованих МБТ, знижує захворюваність на ТБ і чутливість до туберкуліну (за результатами проби Манту чи проби з АТР), впливаючи як на пригнічення екзогенної суперінфекції, так і на запобігання активізації ендогенної інфекції. Показання для проведення вторинної превентивної ХТ дещо ширші. Вона проводиться особам, інфікованим МБТ, а також особам, які перенесли в минуло- му ТБ при наявності у них додаткових факторів ризику. Показання для проведення превентивної хіміотерапії: • Діти, інфіковані мікобактеріями ТБ, віком до 6 років з числа контактних осіб. • Особи, інфіковані водночас мікобактеріями ТБ та вірусом набутого імуно- дефіциту людини. • Інші особи, інфіковані мікобактеріями ТБ, з числа контактних осіб за на- явності медичних показань. Рішення про наявність медичних показань для проведення хіміопрофілак- тики особам, інфікованим мікобактеріями ТБ, приймається лікарем-фтизіатром. ЗАХОДИ ЩОДО ПРОВЕДЕННЯ ПРЕВЕНТИВНОГО ЛІКУВАННЯ: 1. Перед початком превентивного лікування пацієнт проходить ретельне клініко-рентгенологічне та лабораторне обстеження з метою уточнення діагнозу та виключення вперше виявленого органного ТБ і залишкових змін. Обов’язковий комплекс обстеження включає: • проведення проби Манту з 2ТО з урахуванням її попередніх результатів у дитини (у разі доступності та за потреби-проби з АТР);
  • 29.
    29 • загальне клінічнеобстеження, оглядову рентгенографію органів грудної клітки (за показаннями томографію); • дітям із вираженою туберкуліновою чутливістю за результатами проби Манту ( позитивною пробою з АТР) показано проведення КТ органів грудної клітки. • за показаннями проводяться інші дослідження для виключення ПЗТБ. З ме- тою зменшення променевого навантаження рентгенографічне обстеження дітей необхідно проводити на рентгенапаратах із цифровою обробкою даних. 2. При виявленні у дитини віража туберкулінових реакцій, гіперергії та наростання туберкулінової чутливості за результатами проби Манту (позитив- ної або сумнівної проби з АТР) необхідне обстеження всіх членів родини на ТБ. 3. Схеми ХП (основні), які рекомендовані для застосування у дітей: 3-6H; 3-6HR; 3-6HE; 3-6HZ. Рифампіцин використовується за умови проведення превен- тивної ХТ в контрольованих умовах. Найбільш поширеною є схема - 6H. 4. Комбінація препаратів та тривалість лікування залежить від результатів обстеження, проб з алергенами туберкульозними, впливу факторів ризику, віку дити- ни,наявностісупутньоїпатології,переносимостіпрепаратів,можливостейдотримання ДОТ,регіональнихданихщодорезистентностіМБТ,тощо.Вдеякихвипадкахувогнищах ХРТБ(завиняткомМРТБ),особливопринеможливостіроз’єднанняконтакту,можливе застосування індивідуальних схем (залежно від ТМЧ у контактної особи) з комісійним (консиліум,ЦЛКК)обґрунтуваннямвмедичнихдокументахдоцільностіїхвикористання. 5. Кількість курсів превентивної ХТ визначається відповідно до впливу фак- торів ризику, ефективності першого курсу, призначеного за результатами комп- лексного обстеження, спостереження в динаміці, та результатів моніторингових обстежень з використанням проби Манту чи проби з АТР не більше 2 разів на рік. 6. Основніпрепарати,якізастосовуютьсядляпроведенняХПтаїхдозування: • ізоніазид (Н) 5-8 мг/кг на добу (максимально 10 мг/кг), не більше 0,45; • рифампіцин (R) 8-10 мг мг/кг у добу, не більше 0,45 - 0,6 г; • етамбутол (Е) 20-25 мг/кг у добу, не більше 1,0 г - 1,2; • піразинамід (Z) 20-25 мг/кг на добу, не більше 1,5 г; Для дітей раннього віку зручно використовувати препарати в формі сиропів. При необхідності включення в схему лікування піразинаміду (НZ) слід вра- ховувати його гепатотоксичний вплив. Бажано застосовувати щоденний прийом препаратів. При інтермітуючому мето- ді прийому протягом місяця слід прийняти не менше 12 доз комбінації препаратів. 7. Обстеженя в процесі превентивного лікування: • клінічний моніторинг за переносимістю ПТП та станом дитини здійснюєть- ся не рідше ніж 1 раз на тиждень або після пред’явлення скарг; вимірю- вання ваги пацієнта - перед початком лікування та після його закінчення;
  • 30.
    30 • лабораторне обстеження- 1 раз на місяць: загальний аналіз крові та сечі; біохімічний аналіз крові для дослідження функції печінки та нирок; • при прийомі етамбутолу - консультація окуліста 1 раз на місяць. За клінічними показаннями обстеження проводиться частіше, в т. ч. із засто- суванням додаткових досліджень. 8. Для профілактики побічних реакцій у процесі лікування застосовуються патогенетичні препарати з урахуванням віку дитини: вітамін В6, гепатопротектори. 9. У випадку розвитку побічної дії проводиться корекція терапії та ліку- вання ускладнень. За показаннями - консультація спеціалістів відповідного про- філю (гастроентеролог, алерголог, окуліст та ін.). 10. Превентивне лікування повинно бути контрольованим (в умовах са- наторія, в дитячих загальноосвітніх та спеціалізованих навчальних закладах під контролем лікаря або медичної сестри, амбулаторно - під контролем дитячого фти- зіатра, якщо є певні гарантії безперервності та завершення призначеного курсу ХП). 11. Основним критерієм ефективності лікування є відсутність випадків захворювання на ТБ протягом 2 років після закінчення превентивної ХТ (термін найбільш небезпечний щодо розвитку ТБ). 12. Тактика превентивної ХТ пацієнтам із контакту з хворим на ТБ (група 5.2 диспансерного спостереження) Обов’язкові заходи: • При наявності контакту із хворим на ТБ обов’язковою умовою проведення пре- вентивної ХТ є ізоляція пацієнта від джерела інфекції для виключення суперін- фекції,проведеннявсьогокомплексусанітарно-гігієничнихзаходівувогнищіТБ. • Для виключення локальної форми ТБ в інфікованих осіб проводиться ре- тельне клініко-рентгенологічне обстеження (при необхідності - КТ орга- нів грудної клітки та інші обстеження для виключення ПЗТБ). • Превентивне лікування дітей групи 5.2 диспансерного спостереження (кон- такти) проводиться незалежно від результатів проби Манту (проби з АТР). • Повторне проведення туберкулінових проб здійснюється після закінчен- ня курсу превентивної ХТ, надалі не рідше 1 разу на 6 міс. • При наявності клінічних показань - дострокове проведення клініко- рент- генологічного та лабораторного обстеження (за показаннями КТ органів грудної клітки, проведення туберкулінових проб, інші додаткові дослі- дження для виключення ПЗТБ). • У разі зростання туберкулінової чутливості (за пробою Манту чи АТР) про- водиться повне обстеження, включаючи КТ органів грудної клітки, та до- слідження для виключення ПЗТБ. При виключенні локальної форми ТБ пре- вентивна ХТ продовжується ще на 3 місяці;
  • 31.
    31 Особливої уваги припроведенні превентивної ХТ потребують діти та підлітки, які мають додаткові фактори ризику захворювання на ТБ (крім контакту). Трива- лість лікування залежить від результатів проб в динаміці обстеження і лікуван- ня та впливу факторів ризику. У випадку, що викликає сумніви щодо проведення превентивної ХТ в залеж- ності від співвідношення результатів реакції на пробу Манту та АТР, впливу фак- торів ризику, питання вирішується в індивідуальному порядку комісійно (конси- ліум, ЦЛКК) з обґрунтуванням в медичних документах доцільності такого підходу. За показаннями контрольне клініко-рентгенологічне обстеження може бути про- ведено незалежно від строку попереднього. 13. Тактика проведення превентивної хіміотерапії при виявленні у па- цієнта залишкових змін. • Визначається активність посттуберкульозних змін в умовах спеціалізова- них протитуберкульозних закладів шляхом проведення ретельного кліні- ко-рентгенологічного обстеження та проби Манту чи проби з АТР у разі його доступності. • Виявлення клініко-рентгенологічних ознак активності туберкульозного процесу визначає необхідність спостереження й лікування пацієнтів як хворих на активний ТБ. • При відсутності клініко-рентгенологічних ознак активності, негативній ре- акції проби Манту (АТР) та додаткових факторів ризику можна утриматись від превентивного лікування у пацієнтів із малими ЗЗТБ. У випадку, що ви- кликає сумніви щодо необхідності превентивної ХТ, питання вирішується в індивідуальному порядку комісійно (консиліум, ЦЛКК) з урахуванням фак- торів ризику і обґрунтуванням лікувальної тактики в медичних документах. Пацієнтам із великими ЗЗТБ при виявленні захворювання доцільно проводи- ти превентивне лікування. У подальшому питання щодо превентивного лікування вирішуються індиві- дуально в залежності від впливу факторів ризику, що зменшують опірність ор- ганізму, та у разі зростання чутливості до туберкуліну за результатами туберку- лінових проб. Диспансерне спостереження продовжується 3 роки при малих залишкових змінах, до 18 років - при великих залишкових змінах. 14. Превентивна хіміотерапія у ВІЛ-інфікованих дітей. Найбільш поширена схема ХП у ВІЛ-інфікованих дітей - ізоніазид (10мг/кг) - 6 міс. Індивідуальні схеми застосовуються в залежності від впливу факторів ри- зику, схеми антиретровірусної терапії і узгоджуються з дитячим інфекціоністом.
  • 32.
    32 Ведення новонароджених із вогнищтуберкульозної інфекції Велике значення має запобігання інфікуванню МБТ дітей раннього віку, оскіль- ки ТБ у них має тенденцію до прогресуючого перебігу, генералізації інфекції з розвитком менінгіту, міліарного ТБ. • Якщо майбутня мати хворіє на ТБ, то вона ще до пологів повинна продовжи- ти лікування, щоб не тільки запобігти загостренню процесу у себе, але й запобігти вродженому ТБ у дитини. Пологи у таких жінок проходять у спе- ціалізованих відділеннях, де забезпечується ізоляція хворої від здорових жінок і від всіх новонароджених. • Дитина після народження ізолюється від хворої на ТБ матері, після чого, при відсутності протипоказань, немовляті проводиться щеплення БЦЖ. • Після щеплення необхідно ізолювати дитину від хворої матері не менш, ніж на 2 міс. (період формування специфічного імунітету після щеплення БЦЖ), для чого новонародженого переводять у спеціалізоване відділення або ви- писують додому до родичів. Перед випискою проводять обстеження май- бутнього оточення дитини із дезінфекцію всіх приміщень. Матір госпіталі- зують для лікування (або лікування проводиться в амбулаторних умовах). • Якщо новонароджена дитина була в тісному контакті з хворою матір’ю до вве- дення вакцини БЦЖ (наприклад, народження дитини поза пологовим будинком та ін.), вакцинація проти ТБ не проводиться. Дитині призначається ХП на 2 міс., після чого, при негативній реакції на туберкулінову пробу Манту з 2 ТО ППД-Л, її щеплять вакциною БЦЖ-М. Дитина обстежується за призначенням фтизіатра. • Якщо ТБ у матері новонародженого встановлений після введення вакцини БЦЖ, профілактичне лікування дитині проводиться незалежно від терміну ще- плення. Такі діти перебувають під ретельним спостереженням протитуберку- льозного диспансеру як найбільш уразлива група ризику захворювання на ТБ. • У випадку захворювання ТБ батька або іншого родича, який мешкає в од- ній квартирі з новонародженим, хворий повинен бути госпіталізований або роз’єднаний з дитиною до виліковування. Якщо до моменту виписки ди- тини з пологового будинку хворий родич вже госпіталізований у протиту- беркульозний заклад (ізольований), у квартирі проводиться заключна де- зінфекція і ХП новонародженій дитині не призначається. • При неможливості ізоляції дитини ХП починають одразу з моменту контак- ту та роз’яснюють батькам правила запобігання інфікування дитини МБТ.
  • 33.
    33 Маршрути пацієнтів нарізних рівнях надання медичної допомоги зображе- ні у додатку 4. Додаток 1 СКРИНІНГОВА АНКЕТА ДЛЯ ВИЯВЛЕННЯ ЛЮДЕЙ, ЩО ПОТРЕБУЮТЬ ОБСТЕЖЕННЯ НА ТУБЕРКУЛЬОЗ Шановний відвідувач, у зв’язку з епідемією туберкульозу в Україні МОЗ вжи- то заходів для покращання виявлення цього захворювання. Туберкульоз є одним з найбільш небезпечних захворювань, яке проявляється серйозними симптомами пізно, коли вже завдано значної шкоди здоров’ю. Тому ми пропонуємо Вам запо- внити анкету, яка дозволить виявити захворювання на ранніх стадіях, що дасть змогу більш ефективно його лікувати. №п/п Запитання Так Ні 1. ЧиєуВаскашельабопокашлюваннябільше2-хтижнів? 2. Чи помітили Ви останнім часом підвищену втомлю- ваність та слабкість? 3. Чи є у Вас підвищена пітливість, особливо вночі? 4. Чи зменшилась вага Вашого тіла з невизначених причин? 5. Чи є у Вас протягом останнього часу підвищення тем- ператури тіла, має значення навіть незначне підви- щення - до 37 - 37,2°С? 6. Чи є у Вас задишка при незначному фізичному на- вантаженні? 7. Чи турбує Вас іноді біль в грудній клітині? 8. Чи мали Ви контакт з хворим на туберкульоз протя- гом останніх 6-ти місяців? 9. Чи маєте Ви хронічне захворювання шлунково- киш- кового тракту, діабет або інше захворювання, що призводить до зниження імунітету? 10. Чи мали Ви протягом останніх 3-х місяців серйозний стрес (смерть близької людини, розлучення, втра- та роботи, тощо) Відповідь «так» на більше ніж три запитання та відповідь «так» на хоча б одне з перших 8-ми запитань не означає, що Ви маєте туберкульоз, але означає, що Вам необхідно обстежитись на туберкульоз негайно, тому що немає жодної поважної причини для відмови від здоров’я та життя.
  • 34.
    34 Додаток 2 МІКРОСКОПІЯ МАЗКАЗА ЦІЛЕМ-НІЛЬСЕНОМ Крім мокротиння на КСБ досліджують біопсійний матеріал шляхом його від- битку на скельці з подальшим забарвленням за Цілем-Нільсеном. Забір мокротиння для дослідження методом мікроскопії: • мокротиння збирається у стерильні (бажано одноразові пластикові) кон- тейнери із широким гирлом та кришкою, що закручується; • мокротиння збирається на відкритому повітрі або у спеціальному примі- щенні для збору мокротиння (тільки за умови його оснащення примусовою вентиляцією з 6-кратним обміном повітря на годину), бажано рано вранці; • перший аналіз мокротиння пацієнт збирає та здає при відвідуванні ліку- вального закладу; • пацієнту видається контейнер додому (для здачі другого аналізу), щоб він зібрав мокротиння вранці; • другий аналіз мокротиння, зібраного вранці, пацієнт приносить із дому. Якісні мазки мокротиння отримують із матеріалу, який доставляється в ла- бораторію зразу ж після його збирання. Зібраний матеріал до доставки в лабо- раторію повинен зберігатися в умовах холодильника. Період зберігання та тран- спортування мокротиння в лабораторію не повинен перевищувати 3-4 дні. Більш тривале зберігання не рекомендується, оскільки вірогідність отримання вірного результату значно знижується. Правила забору іншого ніж мокротиння матеріалу для дослідження на КСБ та МБТ. Матеріалом для дослідження можуть бути біологічні рідини, тканини, гній. Ці матеріали поділяють на 2 групи: • проби, які взяті в асептичних умовах (біопсійний матеріал під час хірур- гічних втручань, плевральна рідина, ліквор, синовіальна рідина, асцитична рідина, кров, кістковий мозок) - біологічні рідини або біопсійний матеріал поміщають у стерильний контейнер із дотриманням правил асептики. Якщо в матеріалі можуть утворюватись згустки, у контейнер заздалегідь вносять стерильний 10% розчин щавелекислого натрію з розрахунку 0,01-0,02 мл на 1 мл зразка біологічної рідини або розчин гепарину 0,2 мл на 1 мл зраз- ка. Зібраний матеріал слід направити в лабораторію протягом 1 -6 годин; • проби, які взяті без дотримання правил асептики (гній, виділення, сеча) - біологічні матеріали поміщають у стерильний контейнер, який не містить консервантів. Якщо планується транспортування біопсійного матеріалу або
  • 35.
    35 гною, в контейнерслід додати ізотонічний розчин хлориду натрію для попе- редження висихання зразка, або помістити його в термоконтейнер із льодом, де буде зберігатись постійна температура 4-15°С. Зібраний матеріал слід направити до лабораторії протягом 1-6 годин. Перед забором сечі пацієнт повинен помити статеві органи миючими засобами, а зразок сечі зразу ж по- містити в холодильник. Збирається 3 зразки сечі вранці із середньої порції. Сеча не досліджується на КСБ, а лише проводиться посів на ріст МБТ! Правила приготування відбитку лімфатичного вузла або іншого біопсійного матеріалу для забарвлення за Цілем-Нільсеном. Видалений лімфатичний вузол розрізається, зріз (або біопсійний матеріал) кладуть на скельце та щільно проводять по його поверхні. Дають висохнути при кімнатній температурі (3-5 хвилин). Загортають у папір та надсилають у лабора- торію, яка проводить дослідження за Цілем-Нільсеном. Додаток 3 ПЕРЕЛІК ОБСТЕЖЕНЬ, ЯКІ ЗАСТОСОВУЮТЬ ДЛЯ ВИЯВЛЕННЯ ТБ ЛЕГЕНЬ (У НЕСПЕЦІАЛІЗОВАНИХ ЗАКЛАДАХ ОХОРОНИ ЗДОРОВ’Я) Обов’язкові обстеження Збір скарг і анамнезу Дворазове дослідження мокротиння методом мікроскопії мазка мокротиння Оглядова і бокова рентгенографія органів грудної порожнини (якщо ці досліджен- ня не виконувались в загальній лікарняній мережі) Томографія уражених частин легень (при наявності показань до її проведення) Проба Манту ПЕРЕЛІК ОБСТЕЖЕНЬ, ЯКІ ЗАСТОСОВУЮТЬ ДЛЯ ДІАГНОСТИКИ ТУБЕРКУЛЬОЗУ ЛЕГЕНЬ З НЕГАТИВНИМ МАЗКОМ МОКРОТИННЯ Обов’язкові обстеження Додаткові обстеження (тільки в протитуберкульозних установах ІІІ рівня) Збір скарг і анамнезу КТ органів грудної клітки Оглядова і бокова рентгенографія органів грудної порожнини (якщо ці дослідження не виконувались в загальній лікарняній мережі) Фібробронхоскопія з забором промив- них вод для мікроскопічного та культу- рального цослідження Томографія уражених частин легень (при наявності показань до її проведення) Визначення МБТ та резистентності до R за допомогою молекулярно-генетичного тесту у дітей, ВІЛ-інфікованих та осіб, які мали контакт з хворими на МР ТБ
  • 36.
    36 Обов’язкові обстеження Додаткові обстеження (тількив протитуберкульозних установах ІІІ рівня) Культуральне дослідження мокротиння на рідке поживне середовище Трансторакальна або трансбронхіаль- на або відкрита пункційна біопсія ле- гень, біопсія збільшених лімфовузлів Культуральне дослідження мокротиння на щільне середовище Левенштейна-Йенсена Торакоскопія з біопсією плеври/легень за і забором матеріалу для культураль- ного дослідження Проба Манту у разі доступності та за показаннями - проба з АТР ПЕРЕЛІК ОБСТЕЖЕНЬ, ЯКІ ЗАСТОСОВУЮТЬ ДЛЯ ОБСТЕЖЕННЯ ХВОРИХ НА ТУБЕРКУЛЬОЗ ЛЕГЕНЬ З ПОЗИТИВНИМ МАЗКОМ МОКРОТИННЯ Обов’язкові обстеження Додаткові обстеження (тільки в протитуберкульозних установах ІІІ рівня) Збір скарг і анамнезу Комп'ютерна томографія органів груд- ної клітки Культуральне дослідження мокротиння на рідке поживне середовище Молекулярно-генетичні дослідження Культуральне дослідження мокротиння на середовищі Левенштейна-Йенсена ТМЧ молекулярно-генетичними мето- дами Прискорений ТМЧ до ПТП І ряду на рідке поживне середовище Фібробронхоскопія ТМЧ до ПТП ІІ ряду на щільне поживне се- редовище (при виявленні резистентнтнос- ті до ПТП І ряду) Оглядова і бокова рентгенографія органів грудної порожнини (якщо ці досліджен- ня не виконувались в загальній лікарня- ній мережі) Томографія уражених частин легень
  • 37.
    37 Додаток 4 1. ЗАГАЛЬНИЙАЛГОРИТМ ДІАГНОСТИКИ ТА ДИФЕРЕНЦІЙНОЇ ДІАГНОСТИКИ ЗАКЛАДАМИ ПЕРВИННОЇ МЕДИКО-САНІТАРНОЇ ДОПОМОГИ (МАРШРУТ ПАЦІЄНТА)
  • 38.
    38 2. Загальний алгоритмдіагностики та диференційної діагностики у протитуберкульозних закладах вторинної медичної допомоги, у т.ч. у тубкабінетах (маршрут пацієнта) Пацієнт із підозрою на ТБ: ознаки ТБ на рентгенограмі органів грудної клітини за наявності або відсутності симптомів ТБ Обстеження пацієнта за обов'язковим переліком діагностичних процедур (Додаток 3 ) КСБ виявлені КСБ не виявлені Діагностують ТБ. Призначають лікування в амбулаторних умовах при МБТ- В умовах стаціонару – при МБТ + Виключають ТБ, виставляють, за можливості, діагноз легеневого захворювання Підтверджують діагноз ТБ, призначають лікування. Направляють мокротиння на молекулярне дослідження та посів на рідке середовище (1 зразок) в лабораторію з мікробіологічної діагностики ТБ 3 рівня. Здійснюють посів на щільне середовище (1 зразок) Направляють мокротиння на посів на рідке середовище (1 зразок) в лабораторію з мікробіологічної діагностики ТБ 3 рівня. Проводять посів мокротиння на щільне середовище (2 зразки). Для ВІЛ-інфікованих осіб, дітей або осіб з контакту з хворим на МР ТБ направити матеріал на молекулярно- генетичну діагностику ТБ Проводять диференціальну діагностику з негоспітальною пневмонією або направляють хворого в заклад вторинної/третинної МСД для проведення додаткових методів діагностики Примітка. В протитуберкульозний заклад ІІ-ІІІ рівня ОТМПО на стаціонарне лікування скеровуються лише пацієнти з підтвердженим діагнозом ТБ після консульта- ції лікаря-фтизіатра, який визначає маршрут пацієнта. У випадку відсутності достовірних клініко-лабораторних критеріїв діагнозу ТБ, хворий продовжує перебувати на дообстеженні та лікуванні в ЛПЗ І-ІІІ рівня загальнолікарня- ної мережі області.
  • 39.
    39 3. Загальний алгоритмдіагностики та диференційної діагностики у за- кладах третинної медичної допомоги Примітка. В протитуберкульозний заклад ІІ-ІІІ рівня ОТМПО на стаціонарне лікування скеровуються лише пацієнти з підтвердженим діагнозом ТБ після консульта- ції лікаря-фтизіатра, який визначає маршрут пацієнта. У випадку відсутності достовірних клініко-лабораторних критеріїв діагнозу ТБ, хворий продовжує перебувати на дообстеженні та лікуванні в ЛПЗ І-ІІІ рівня загальнолікарня- ної мережі області.
  • 40.
    40 Додаток 5. ПОКАЗИ ДЛЯДІАГНОСТИЧНОЇ ТОРАКОСКОПІЇ: • ексудативний плеврит не виясненого ґенезу; • середній і великий гідроторакс; • пневмоторакс; • малий і середній гемоторакс; • підозра на пошкодження органів межистіння; • підозра на пошкодження діафрагми; • дифузні і обмежені захворювання легень; • пухлини плеври; • кісти; • пухлини межистіння; • захворювання діафрагми. Покази для лікувальної торакоскопії: • ушивання і герметизація ран легень; • видалення периферичних новоутворів легень; • розкриття підплеврально розташованих гематом; • ліквідація згорненого гемотораксу; • ліквідація плевральних шварт і зростів; • інструментальна санація плевральної порожнини; • видалення з плевральної порожнини сторонніх тіл; • герметизації нориць бронхів і санації плевральної порожнини. Протипокази до торакоскопії: • важкий загальний стан хворого; • двобічне ураження легень, яке супроводжується вираженою дихальною недостатністю; • функціональна неповноцінність легень і діафрагми на протилежній стороні; • захворювання серцево-судинної системи в стадії декомпенсації; • порушення згортуючої системи крові; • гострі інфекційні захворювання; • гнійне ураження шкіри; • менструація; • порушення функції дихання третього ступеня по обструктивному, рестрик- тивному і змішаному типам; • порушення діяльності серцево-судинної системи (колапс, пароксизмаль- на тахікардія, миготлива аритмія, гостра і хронічна коронарна недостат- ність третього ступеня);
  • 41.
    41 • перші тримісяці після перенесеного інфаркту міокарда; • при пошкодженні грудної клітини при: - тотальному гемотораксі; - шоці; - гемоперікарді; - пораненні серця; - поранення аорти; • повна облітерація плевральної порожнини. Додаток 6. ПОКАЗИ ДО ПРОВЕДЕННЯ ДІАГНОСТИЧНОЇ ПЛЕВРАЛЬНОЇ ПУНКЦІЇ: • підозра на наявність повітря в плевральній порожнині; • підозра на наявність рідини в плевральній порожнині ( гідроторакс, ексу- дативний плеврит, гемоторакс, лімфоторакс, емпієма плеври); • для цитологічного дослідження пунктату при периферично розташовано- му пухлинному утворі легені; • для гістологічного дослідження біоптату при проведенні трансторакаль- ної біопсії під контролем комп’ютерної томографії. Лікувальна плевральна пункція проводиться з метою: • видалення повітря або рідини з плевральної порожнини; • введення лікарських засобів в плевральну порожнину; • накладення лікувального штучного пневмотораксу. Ускладнення плевральної пункції: • ятрогенний пневмоторакс; • гемоторакс при пошкодженні міжреберної артерії; • підшкірна емфізема; • анафілактичні реакції на місцевий анестетик. Протипоказів до проведення плевральної пункції немає, і остання викону- ється в усіх сумнівних діагностичних випадках.
  • 42.
    42 Додаток 7. ПОКАЗИ ДОБРОНХОСКОПІЇ Діагностичні: 1. Підозра на пухлину бронхіального дерева: • Кровохаркання неясного генезу • Ro: дані • Невмотивований довготривалий кашель • Задуха неадекватна об’єму пошкодження • Різка зміна кількості харкотиння за короткий проміжок часу. • Плеврит неясної етіології. 2. Підозра на специфічний ендобронхіт або бронхоплевральну норицю: • Кашель більше 3-х тижнів • Виявлення КСП, або росту МБТ, без наявності Ro: супроводу 3. Взяття промивних вод для лабораторного дослідження. 4. Обструкція бронхів. 5. Підозра на стороннє тіло. 6. Виявлення стану бронхіального дерева перед: • оперативним втручанням • накладанням штучного пневмотораксу. 7. Моніторинг стану бронхіального дерева в процесі лікування. Лікувальні: 1. Ендобронхіальне введення лікувальних засобів при: • Обструктивних процесах • Неспецифічному запаленні • Туберкульозі бронхіального дерева 2. Санація бронхіального дерева: • При гнійних ендобронхітах, бронхоектазах, абсцедуванні • Після легеневих кровотеч • При неспроможності кукси бронха • Після оперативного втручання для запобігання та ліквідації ателек- тазування • При обструктивних процесах • При аспірації шлунковим вмістом • При бронхо-нодулярних норицях 3. Видалення грануляцій при бронхо-нодулярних норицях 4. Інтубація трахеї в затруднених випадках.
  • 43.
    43 ПРОТИПОКАЗИ ДО ПРОВЕДЕННЯБРОНХОСКОПІЙ Абсолютні: 1. Коронарна недостатність 2. Гострий інфаркт міокарду, інфаркт перенесений менше ніж 6 міс. тому. 3. Вади серця з декомпенсацією 4. Аневризма дуги аорти 5. Декомпенсоване легеневе серце 6. Гіпертонічна хвороба 2-3 ст.(з підвищенням діастолічного тиску більше 100 мм.рт.ст.) 7. Важкий загальний стан пацієнта, коли уточнення діагнозу вже не може вплинути на лікувальну тактику 8. Психічні розлади (епілепсія, стан після черепно-мозкової травми, ши- зофренія) 9. Порушення серцевого ритму вище 3ст. 10. Гострий інсульт 11. ССН 3ст 12. Бронхіальна астма в фазі загосрення, коли міжприступний період ста- новить менше 3-х тижнів 13. Больовий синдром в черевній порожнині 14. Уремія, шок 15. Стеноз гортані або трахеї 2-3ст. 16. ЛСН не обумовлена непрохідністю трахеобронхіального дерева 3ст Відносні: 1. ГРЗ 2. ІХС 3. Важкий цукровий діабет 4. Вагітність 2-га половина 5. Хронічний алкоголізм 6. Збільшення щитовидної залози 3ст 7. Період менструального циклу
  • 44.
  • 45.
    45 Примітка*. Відбір нахірургічне лікування хворих на туберкульоз розпочинається і проводиться з ІІ рівня (лікарі – фтизіатри: тубкабінетів ЦРЛ, дільничні лікарі – фтизіа- три, лікарі обласного консультативного прийому, а також фтизіатри санаторію «Колки». Примітка**. На І рівні у хворих, в яких в анамнезі вперше діагностовано ексуда- тивні плеврити, округлі утворення в легенях, кільцевидні порожнини, консультуються та оглядаються лікарями І та ІІ рівня надання медичної допомоги і після цього спрямову- ються на ІІІ рівень. Показання до хірургічного лікування хворих на туберкульоз згідно наказу від 21.12.2012 року №1091 «Про затвердження та впровадження медико – технологічних документів із стандартизації медичної допомоги при туберкульозі.
  • 46.
    46 Додаток 8. КАТЕГОРІЇ НАСЕЛЕННЯІЗ ПІДВИЩЕНИМ РИЗИКОМ ЗАХВОРЮВАННЯ НА ТУБЕР- КУЛЬОЗ ЗГІДНО З НАКАЗОМ МОЗ УКРАЇНИ ВІД 17.05.2008 Р. № 254, ЗАРЕЄ- СТРОВАНИМ В МІНІСТЕРСТВІ ЮСТИЦІЇ УКРАЇНИ ВІД 12.06. 2008 № 524/15215 «Про затвердження інструкції про періодичність рентгенівських обсте- жень органів грудної порожнини певних категорій населення» Соціальні групи ризику Медичні групи ризику Особи без визначеного місця проживання Хворі на цукровий діабет Особи, які утримуються або звільнились з установ пенітенціарної системи Хворі, які постійно приймають системні глюкокортикоїди, цитостатики Особи, які перебувають на обліку в ор- ганах внутрішніх справ як раніше засу- джені та піднаглядні. Затримані та заарештовані особи при відправленні їх до ізоляторів тимчасо- вого тримання Пацієнти з професійними захворювання- ми легень ВІЛ-інфекція Мігранти, біженці, переселенці Хворі з обструктивними захворювання- ми легень. Хворі з пневмоніями, що багаторазово по- вторюються. Хворі, які перенесли ексудативний плев- рит протягом року Особи, які реєструються в державній службі занятості як такі, що шукають роботу, і безробітні. Члени малозабезпечених сімей, які сто- ять на обліку в управліннях праці та со- ціального захисту Особи, які перебувають під наглядом нар- кологічних закладів. Особи, які перебувають на обліку в проти- туберкульозних закладах. Особи, які контактують з хворими на ТБ (контакти сімейні, професійні, нозокомі- альні, пенітенціарні, СІЗО)
  • 47.
  • 48.
    48 Додаток 10 ОСНОВНІ НАПРЯМКИРОБОТИ ПО БОРОТЬБІ З ТУБЕРКУЛЬОЗОМ, ЩО РЕАЛІЗУЮТЬСЯ НА РІЗНИХ РІВНЯХ МЕДИЧНОЇ ДОПОМОГИ В ЗАКЛАДАХ ОХОРОНИ ЗДОРОВ’Я ВОЛИНСЬКОЇ ОБЛАСТІ
  • 49.
    49 РЕКОМЕНДОВАНА ЛІТЕРАТУРА 1. ФещенкоЮ. І. Організація лікування хворих на туберкульоз [Текст]/ Ю. І. Фещенко, В. М. Мельник . - Київ : Здоров’я, 2009. - 488 с. 2. Туберкульоз:організаціядіагностики,лікування,профілактикитаконтро- люзасмертністю[Текст]/Ю.І.Фещенко[таінш.].-Київ:Здоров’я,2010.-447с. 3. Сучасні наукові дослідження і стратегії у фтизіатрії [Електронний ресурс] / Ю. І. Фещенко [та інш.] - Режим доступу: URL ftp://ftp1.ifp.kiev. ua/original/2011/feschenko2011.pdf 4. Організація протитуберкульозної допомоги населенню [Текст] / Ю. І. Фещенко, В. М. Мельник - Київ : Здоров’я, 2012. - 656 с. 5. Сучасні тенденції вивчення проблем туберкульозу : до дня науки присвячується [Электронний ресурс] / Ю. І. Фещенко [та інш.] - Режим доступа: URL http://ifp.pulm/doc/staff/naukday2013.pdf 6. Уніфікований клінічний протокол первинної, вторинної (спеціалі- зованої) та третинної (високоспеціалізованої) медичної допомоги. Туберкульоз [Текст] : наказ МОЗ України від 21.12.2012 № 1091 «Про за- твердження та впровадження медико-технологічних документів зі стан- дартизації медичної допомоги при туберкульозі» - Київ, 2012. - 171 с. 7. Про затвердження Змін до Стандарту надання медичної допомоги хворим на хіміорезистентний туберкульоз [Текст] : наказ МОЗ Украї- ни від 14 лютого 2012 року № 108.- Київ, 2012. - 3 с. 8. Про затвердження Методики розрахунку потреби в протитубер- кульозних препаратах [Текст] : наказ МОЗ України № 742/19480 від 22.06.2011 р. - Київ, 2011. - 11 с. 9. Про внесення змін до Методики розрахунку потреби в протитуберку- льозних препаратах [Текст] : наказ МОЗ України № 252 від 10.04.2012 р. - Київ, 2012. - 15 с. 10. Про затвердження Стандарту інфекційного контролю за туберкульо- зом в лікувально-профілактичних закладах, місцях довгостроково- го перебування людей та проживання хворих на туберкульоз [Текст]: наказ МОЗ України від 18.08.2010 № 684. - Київ, 2010. - 3 с. 11. Про організацію надання медичної допомоги хворим на хіміорезис- тентний туберкульоз та на заразну форму туберкульозу, щодо яких судом ухвалено рішення про обов’язкову госпіталізацію [Текст] : на- каз МОЗ України від 19.11.2009 року № 846. - Київ, 2009. - 3 с.
  • 50.
    50 12. Guidelines forsurveillance of drug resistance in tuberculosis [Text] / WHO. - Geneva : WHO, 2009. - 83 p. 13. Multi drug and extensively drug-resistant TB (M/XDR-TB) [Text] : Global report on surveillance and response / WHO. - Geneva : WHO, 2010. - 71 p. 14. Цілі Розвитку Тисячоліття : Україна [Текст]. - Київ, 2003. - 29 с. 15. Туберкульоз. Адаптована клінічна настанова, заснована на дока- зах. – 2012 16. Закон України від 05.07.2001 року № 2586-ІІІ «Про протидію захворю- ванню на туберкульоз» 17. Закон України від 25.07.2012 року «Про затвердження Загальнодер- жавної цільової соціальної програми протидії захворюванню на ту- беркульоз на 2012-2016 роки» 18. Наказ МОЗ України від 23.02.2012 року №132 «Про затвердження При- мірного табеля оснащення лікувально-профілактичних підрозділів закладів охорони здоров’я, що надають первинну медичну (меди- ко-санітарну) допомогу» 19. Наказ МОЗ України від 28.03.2012 року №209 «Про затвердження чет- вертого випуску Державного формуляра лікарських засобів та за- безпечення його доступності» 20. Наказ МОЗ України від 02.03.2011 року №127 «Про затвердження при- мірних табелів оснащення медичною технікою та виробами медич- ного призначення центральної районної (районної) та центральної міської (міської) лікарень» 21. Наказ МОЗ України від 19.02.2009 року №102/18 «Про затвердження мето- дичних рекомендацій «Уніфікована методика з розробки клінічних на- станов, медичних стандартів, уніфікованих клінічних протоколів ме- дичної допомоги, локальних протоколів медичної допомоги (клінічних маршрутів пацієнтів) на засадах доказової медицини (частина перша)» 22. Наказ МОЗ України від 03.11.2009 року №795/75 «Про затвердження мето- дичних рекомендацій «Уніфікована методика з розробки клінічних на- станов, медичних стандартів, уніфікованих клінічних протоколів ме- дичної допомоги, локальних протоколів медичної допомоги (клінічних маршрутів пацієнтів) на засадах доказової медицини (частина друга)» 23. Наказ МОЗ України від 28.05.08 року № 276 «Клінічний протокол на- дання медичної допомоги хворим на поєднані захворювання - ту- беркульоз та ВІЛ-інфекцію»
  • 51.
    51 24. Наказ МОЗУкраїни від 16.09.2011 року № 595 «Про порядок проведен- ня профілактичних щеплень в Україні та контроль якості й обігу ме- дичних імунобіологічних препаратів» 25. Наказ МОЗ України від 19.08.2005 року № 415 «Порядок добровільного консультування та тестування на ВІЛ-інфекцію (протокол)» 26. Наказ МОЗ України від 21.12.2010 року № 1141 «Про затвердження По- рядку проведення тестування на ВІЛ-інфекцію та забезпечення якос- ті досліджень, форм первинної облікової документації щодо тесту- вання на ВІЛ- інфекцію, інструкцій щодо їх заповнення» 27. МОЗ України від 22.10.2008 року №600 «Стандарт надання медичної допомоги хворим на хіміорезистентний туберкульоз» 28. Наказ МОЗ України від 09.06.2006 року № 384 «Протокол надання ме- дичної допомоги хворим на туберкульоз» 29. НаказМОЗУкраїнивід12.07.2011року№551«Прозатвердженняклінічного протоколуантиретровірусноїтерапіїВІЛ-інфекціїудорослихтапідлітків» 30. Державна служба України з питань протидії ВІЛ-інфекції/СНІДу та інших соціально небезпечних захворювань. Методичні рекомендації для ме- дичних працівників щодо надання послуг з консультування та тес- тування на ВІЛ-інфекцію. 2011 рік 31. МОЗ України. Туберкульоз в Україні (Аналітично-статистичний довід- ник за 2001-2011 роки). 32. WHO policy on collaborative TB/HIV activities: guidelines for national programmes and other stakeholders. Geneva, WHO, 2012. 33. WHO policy on collaborative TB/HIV activities: guidelines for national programmes and other stakeholders (Annexes for webposting and CD-Rom distribution with the policy guidelines). Geneva, WHO, 2012. 34. WHO. Treatment of Tuberculosis: guidelines for national programmes (Fourth edition). WHO, 2010. 35. WHO Rapid advice: treatment of tuberculosis in children, 2010 36. WHO. Guidance on couples HIV testing and counselling, including antiretroviral therapy for treatment and prevention in serodiscordant couples. Geneva, WHO, 2012. 37. WHO, UNAIDS. Guidance on provider-initiated HIV testing and counselling in health facilities. WHO, 2007 38. UNAIDS/WHO Policy Statement on HIV Testing. 2004.
  • 52.
    52 Резюме. Методичні рекомендації розробленідля лікарів різних спеціальностей загаль- носоматичної мережі, лікарів-інтернів, працівників ФАПів з метою сприяння кращого та своєчасного виявлення туберкульозу різної локалізації у дітей та дорослих, а також проведенню профілактичних міроприємств та лікування даної патології, які базуються на засадах доказової медицини та матеріалах Уніфікованого клінічного протоколу первинної, вторинної (спеціалізованої) та третинної (високоспеціалізованої) медичної допомоги (УКПМД) «Туберку- льоз» (наказ МОЗ України від 21.12.2012 № 1091 «Про затвердження та впро- вадження медико-технологічних документів зі стандартизації медичної до- помоги при туберкульозі»). Своєчасне виявлення та тактика ведення хворих на туберкульоз в закладах охорони здоров’я області І-ІІ рівня. Методичні реко- мендації для лікарів та середнього медичного персоналу Яковенко О.К. Ôîðìàò 60õ84/16. Ïàï³ð îôñåòíèé. Ãàðí³òóðà Officina. Îôñåòíèé äðóê. Óì. äðóê. àðê.1 1/2. Òèðàæ 1000 ïðèì. Äðóê ÔÎÏ Íåñòåðîâ Ñ.Á..