To print: set Page Setup to A4
Business Activity Statement
Small Business, Community and Educational
Adviser Education Programme
Completing the Business Activity Statement (BAS)
Course Workbook
Prepared for the GST Start-Up Assistance Office by
TEO Training Pty Limited
P O Box 610 Moonee Ponds Vic 3039, Telephone (03) 9375 7966 Fax (03) 9375 7488
Email: trevor.england@teotraining.com.au
Business Activity Statement Adviser Education Programme
2
IMPORTANT INFORMATION CONCERNING THIS MATERIAL - PLEASE READ
This material is provided under the Commonwealth’s GST Start-Up Assistance
Programme, and is designed to provide general information on the GST, PAYG and on
business skills, practices and processes necessary to operate with the GST, focused on
small and medium enterprises and the community and education sectors. Because
business circumstances can vary greatly, the material is not designed to provide specific
GST, PAYG or business advice for particular circumstances. Also, because aspects of the
GST are complex and detailed, the material is not designed to comprehensively cover all
aspects of the GST and PAYG as they apply to small and medium enterprises and the
community and education sectors. Further, the laws implementing GST, PAYG and
rulings and decisions under those laws, may change.
Before you rely on this material for any important matter for your business, you should:
• Make your own enquiries about whether the material is relevant and still current, and
whether it deals accurately and completely with that particular matter; and
• As appropriate, seek your own professional advice relevant to that particular matter.
This material is provided on the understanding that neither the Commonwealth nor its
personnel, TEO Training Pty Ltd nor its personnel, nor any other organisation or person
involved in developing or delivering the GST Start-Up Assistance Programme, is thereby
engaged in providing professional advice for a particular purpose.
These limitations and warnings also apply to information based on this material presented
at any seminars or workshops provided as part of the GST Start-Up Assistance
Programme.
' Commonwealth of Australia 2000
Business Activity Statement Adviser Education Programme
3
Contents
Page
Introduction 5
BAS and Workbook Road Map 6
Course objectives 7
Government Assistance Initiatives 8
Introduction to GST 9
Australian Business Number 10
Entity 11
Business Activity Statement 13
Goods and Services Tax 14
Input Tax Credits 25
The Tax Fraction 26
Attribution Rules 27
Tax Invoice 29
GST Systems 31
Wine Equalisation Tax 38
Luxury Car Tax 39
Wholesales Sales Tax Credit 40
Overview of PAYG 42
PAYG withholding system 43
Terminology for PAYG withholding 45
Registration for PAYG 47
Small Medium Large withholders 48
Practical issues for employers 50
Taxing of allowances 53
Non-cash benefits and PAYG withholding 54
Contractors and Employees under the New Tax System 55
Voluntary agreements 56
Labour hire arrangements 58
Prescribed Payments and Reportable Payments System 61
No ABN withholding 63
Withholders of amounts not related to employment 65
Investment income 66
Business Activity Statement Adviser Education Programme
4
Annual reports and payment summaries 67
Terminology for PAYG instalments 69
PAYG instalments 72
Calculation of instalment income 74
Quarterly instalments 77
Annual instalments 88
Transitional provisions for the deferral of 1999/2000 instalment tax balances 94
Summary of payments for company and fund instalment payers 100
Calculation of PAYG instalments by partners 101
Beneficiaries of Trusts 103
New Taxpayers 104
Variation Credits 105
Fringe Benefits Tax 106
Running Balance Account 108
Appendix 109
ACKNOWLEDGMENT
TEO Training Pty Limited wishes to acknowledge the assistance received from
The GST Start-Up Assistance Office, and The Australian Taxation Office, in the
preparation of this Course Paper.
Business Activity Statement Adviser Education Programme
5
Introduction
The course is a stand alone course designed to assist small to medium businesses,
community groups and educational bodies with an introduction to the new Business
Activity Statement and Instalment Activity Statement that forms part of the New Tax
System that comes into force on 1 July 2000.
The New Tax System is made up of various parts that will affect every organisation within
Australia. The reporting basis for the New Tax System is the Business Activity
Statement (the BAS) if the entity is registered for GST, or the Instalment Activity
Statement (the IAS) if the entity is not registered for GST.
Included in the BAS is the information required by the ATO for the following,
• Goods and Services Tax
• PAYG Withholding
• PAYG Instalments
• Fringe Benefits Tax
• Wine Equalisation Tax
• Luxury Car Tax
The Instalment Activity Statement requires all of the information detailed above, where it
applies to the taxpayer concerned, except the GST information.
There are two types of Business Activity Statement. The first form is the quarterly BAS
which all entities registered for GST are required to complete quarterly in respect of all
types of tax that they are liable for. This form will be completed by those required to file
a BAS on a three monthly basis, and will also be completed every third month by those
required to file a monthly BAS. The quarterly BAS form has two sides. The front side is
the actual BAS, whilst the reverse side is a calculation sheet from which amounts are
transferred to the BAS itself.
The second form is the monthly BAS. This form will be completed in the first two
months of any quarter by those required to complete a monthly BAS. This form will
request information and payments in respect of all tax types, except PAYG instalments
and FBT, for taxpayers required to complete it.
It should be noted that the ATO will provide a monthly or quarterly pre-printed form. The
form will identify the information that has to be provided when that form is completed.
The following page of this workbook shows all the descriptions on the BAS and
references each one and its Box Number to pages of this workbook.
A course of this nature cannot hope to comprehensively cover all of the various issues that
will confront different entities. Rather, this course aims to raise issues that individual
businesses and other organisations may need, or want, to consider as a consequence of the
introduction of the New Tax System.
Business Activity Statement Adviser Education Programme
6
THE BAS AND WORKBOOK ROAD MAP
Transaction
Type
Box
No.
Page
No.
Transaction
Type
Box
No.
Page
No.
Goods and Services
tax payable
1A 14 Credit for Goods and
Services tax paid
1B 14
Wine equalisation
tax payable
1C 38 Wine equalisation tax
refundable
1D 38
Luxury car tax payable 1E 39 Luxury car tax refundable 1F 39
Credit for Wholesale Sales
tax
1G 40
Add 1A+1C+1E 2A - Add 1B+1D+1F+1G 2B -
Total amounts withheld
from all payments
4 44
Income tax instalment 5A 72 Credit adjustment for
previous income tax
instalments
5B 105
Fringe benefits tax
instalment
6A 106 Variation credit from
previous fringe benefits tax
instalments
6B 106
Deferred company/fund
instalment
7 94
Add 2A+4+5A+6A+7 8A - Add 2B+5B+6B 8B -
8A minus 8B net amount
of your obligations
9 - Positive = payable to ATO
Negative = may be a refund
or offset
- -
Business Activity Statement Adviser Education Programme
7
Course Objective
The objective of this course is to assist the participants prepare their Business Activity
Statement or their Instalment Activity Statement with particular emphasis on:
The GST and the information required to be supplied to the ATO on the Business Activity
Statement or the Installment Activity Statement.
The PAYG withholding system that comes into force on the 1 July 2000.
The PAYG installment regime and how this will affect tax payments by entities.
An introduction to the categories in the new Business Activity Statements and Instalment
Activity Statements that form the reporting and payments basis of the New Tax System, to
the ATO.
Business Activity Statement Adviser Education Programme
8
TAX REFORM
GOVERNMENT ASSISTANCE INITIATIVES
The role of the Australian Taxation Office
The Australian Taxation Office [ATO] has the role of providing guidance and assistance
with technical changes that will arise from the introduction of The New Tax System.
The assistance provided by the ATO includes a range of publications from general
purpose guides, to industry and sector specific publications directed at the specific issues
to be addressed by specific industries and community groups.
The ATO is also providing a wide range of seminars to assist with the introduction and
implementation of the changes.
To obtain details of publications, seminars and other assistance available from the ATO
the following options are available:
Website www.taxreform.ato.gov.au
The business Tax Reform Infoline 13 24 78
A fax from tax 13 28 60
By mail PO Box 9935 in capital cities
The GST Start-Up Assistance Office
To obtain further information visit the GST Start-Up Assistance Office website at
www.gststartup.gov.au or call their enquiry line on 02 6263 4490.
To enquire about, or register for, for the Adviser Education Programme phone 1800 351 754
Business Activity Statement Adviser Education Programme
9
The Introduction of Goods And
Services Tax
This section discusses the basic principles of GST. It introduces GST terms and their
implications in managing the GST process. It also considers the GST portion of the BAS.
Appropriate systems are the key to managing GST in an organisation. Depending on the
size and nature of the entity, some systems will produce only basic accounting data,
whereas others will produce comprehensive management reports.
The introduction of GST provides an opportunity for all entities to review their current
systems. This review should not just focus on accounting for GST, it should also consider
how the information that is required for GST compliance purposes can be captured and
used to assist in the effective management of the entity.
This section of the workbook looks closely at various ’GST terms’ and their GST specific
meanings. While some of the terms may seem difficult to grasp, once you have a clear
understanding of them you will find that many of the mysteries of GST will disappear.
GST is a broad-based tax of 10% on the supply of most goods and services consumed in
Australia. GST started on 1 July 2000. It may affect some transactions entered prior to
that date where performance occurs on or after 1 July 2000.
GST is a very visible tax. When goods and services which are subject to the 10% GST are
purchased, it will be mandatory for the supplier to indicate that the price being paid is
GST inclusive. This is unlike many of the existing taxes, such as wholesale sales tax,
where tax may be included in the price of the goods, but which is not clearly visible to the
purchaser. This is one of the benefits of the introduction of GST. Many existing, hidden,
indirect taxes will be phased out and GST will replace them.
Although GST will replace some existing taxes, the GST charged to an organisation by its
suppliers, in many situations, will be recoverable from the ATO. One of the most
fundamental principles of a GST system is that the tax is not an added cost for a ’GST
registered’ entity.
The key elements of the introduction of GST, as a component of the New Tax System, for
an organisation are:
• The abolition of many indirect taxes; this will reduce business costs.
• Any resulting cost savings must be passed on to customers.
• An organisation may be required to register for GST.
• A registered organisation must include 10% GST in the price of 'taxable supplies'.
• An organisation will find that GST is included in the prices charged to it by its suppliers
for many of the goods and services it purchases.
• A registered organisation will be able to reclaim this GST from the ATO.
Business Activity Statement Adviser Education Programme
10
Australian Business Number
The Australian Business Number (ABN) is critical to the operation of the GST system, as
every entity that is registered for GST will have an ABN and this is the number that must
be quoted on all your tax invoices.
Even where an entity chooses not to register for GST, it may still wish to apply for an
ABN. The ABN registration form includes the option to register for GST.
The Australian Business Number (ABN) will enable organisations in Australia to deal
with the ATO and a range of government departments or agencies using the one number.
As a general rule organisations should register for an ABN even if they do not register for
GST. Where an enterprise fails to obtain an ABN there may be financial consequences.
If the organisation does not have an ABN, or does not provide that number to other
businesses to whom it supplies goods and services, those businesses ordinarily will be
required to deduct withholding tax from payments to that business. There are very limited
exceptions to the rule. This withholding tax is 48.5cents in the dollar.
An organisation will also need to show its ABN on the tax invoices it issues to its GST
registered clients.. If it doesn’t, the document will not constitute a tax invoice (even if so
described) and its registered customers would not be able to claim input tax credits.
The ABN will not replace a tax file number, so tax file information will still be protected
by the existing privacy guidelines.
The ABN will be replacing the Australian Company Number [ACN] over time, and from
1 July it will be allowable to quote the ABN in the place of the ACN
Business Activity Statement Adviser Education Programme
11
Entity
An entity, in legal terms, is a person, a company, a trust, or some other form of
organisation that has a separate legal identity.
Each entity that conducts an enterprise is entitled, and may be required, to register for an
ABN. If one entity conducts a number of enterprises only one ABN is required.
It should be noted that some organisations that may not be entities in a legal sense, for
example partnerships and unincorporated societies, may be entities for GST purposes and
therefore may be required to register for GST
Example 1
Mary Smith operates a plumbing business, which also installs central heating
equipment, as a sole trader. In addition to the plumbing business Mary owns
all of the shares in a company, Heating Pty Ltd, of which she is the ’working’
director. The company undertakes the prefabrication of central heating
equipment that is, by and large, sold to the company/person who installs it.
In a GST context it is very important to appreciate that whereas Mary may be
seen by the world at large to be operating one business, the prefabrication and
installing of central heating equipment, she is in fact operating through two quite
separate legal entities. In this example the first entity is Mary Smith, plumber,
and the second entity is Heating Pty Ltd. Although Mary is for all practical
purposes the sole owner and controller of both entities, and may perceive
herself to be running one business, the fact that there are two separate legal
entities, means that both Mary and the company may be required to register
separately for GST.
Example 2
Redsea High School provides various educational related services.
In addition the benefactors of the school have set up a trust which arranges and
provides outdoor educational pursuits for pupils of the school on a subsidised
basis.
In a GST context it is very important to appreciate that whereas the school and
the trust may be seen by the world at large to be one and the same, the activity
is undertaken by two quite separate legal entities. In this example the first
entity is the school and the second entity is the educational trust. Although the
trustees of the trust may be senior staff of the school and they themselves may
perceive they are running one organisation, the fact that there are two separate
legal entities, means that both the school and the trust may be required to
register separately for GST.
Where people own or control one or more separate legal entities, the GST issues are
potentially more complex and professional assistance or assistance from the ATO, may be
required.
Several related entities may be able to register for GST as one group. They will then be
considered as one enterprise for GST purposes.
Business Activity Statement Adviser Education Programme
12
Typical situations that may fall into this category include:
Self employed shareholders and the companies they own.
Partnerships.
Partnerships and companies they own.
Trustees and the companies they own.
Trustees, and beneficiaries of the trust..
Companies and their subsidiary companies.
In all of the above situations it may be necessary to register more than one entity for GST
purposes. However, if one entity consists of a range of enterprises, only one registration is
required.
Example 1
ABC Pty Ltd currently operates a cafe, a takeaway food delivery service and a
news agency from different premises. Only one entity operates all of these
business enterprises, so only one registration is required, and one ABN will
cover all these activities.
Example 2
KELP Services currently operates a caf , a free food delivery service to elderly
people in their homes and a shop selling new and second hand books to
generate funds for the food delivery service. They all operate from different
premises. Only one entity operates all of these business enterprises, so only
one registration is required, and one ABN will cover all these activities.
Example 3
Drake school currently operates a primary school, a bookshop, and a boarding
establishment at different sites. Only one entity operates all of these business
enterprises, so only one registration is required, and one ABN will cover all
these activities. However the school may choose to register each enterprise
separately.
Business Activity Statement Adviser Education Programme
13
Business Activity Statement (BAS)
Every entity that registers for GST is required to submit a Business Activity Statement
(BAS). Part of the BAS is your GST return.
With the BAS, most entities will make one payment and one statement to the ATO per
quarter. That is, most entities will only be required to lodge four returns and make four
payments per year.
For each tax period the entity will receive from the ATO a single tax form: the BAS.
As from July 1 the BAS will be used to advise the ATO of the GST liability of the entity
as well as being used to advise its other tax liabilities. For most entities this means that
there will only be one form to the ATO and only one payment each quarter. It should be
noted however that these organisations will still be required to file an annual income tax
return, and an annual FBT Return when appropriate.
The exceptions for filing a BAS quarterly will include businesses that are required to remit
GST on a monthly basis, or choose to remit GST on a monthly basis, and for medium-
sized remittees of source deductions from wages paid to employees. (who will still have
to remit PAYG withholding payments monthly).
A BAS will have to be filed when it is due, even if no tax liability exists for that tax
period.
The BAS can be sent to the entity, by the ATO either through the mail as a paper form, or
over the Internet as an electronic form if you have requested this option.
The entity will be required to lodge its BAS with the ATO twenty-one days after the end
of the GST tax period. Note however that there are extensions of time available for the 1st,
2nd
and 3rd
BAS returns for quarterly remittees of GST. These returns may be filed three
weeks, two weeks, and one week after the standard due dates respectively.
The GST tax period will either be one month or three months. This will have been
determined when an application for the ABN was lodged.
The entity will be required to keep adequate records so it can accurately complete the GST
section of the BAS to determine the amount of GST it will have to pay to the ATO or the
amount that may be refunded, depending on its circumstances.
Any refunds of GST may be used to reduce other amounts of tax that may need to be paid
(such as amounts withheld from salaries and wages) on the BAS for that period.
Business Activity Statement Adviser Education Programme
14
Goods and Services Tax
EXTRACT FROM THE BAS
Boxes 1A and 1B plus G1 to G20 on the Business Activity Statement relate to the Goods
and Services Tax transactions for the relevant period, monthly or quarterly.
An Instalment Activity Statement will not have any GST boxes to complete. This is
because an IAS is only available to those taxpayers that are not registered for GST.
A brief overview of these items follows. It is necessary to accurately accumulate the
relevant information in your accounting records in order to establish your liability for GST
in respect of the current reporting period.
Supplies you have made
This section of the BAS determines the GST you have charged your customers [non cash
basis], or collected from your customers [cash basis]. The form takes all supplies made
by the organisation, deducts supplies not subject to GST, and divides the result by 11 to
arrive at the GST collected or charged. The boxes are as follows:
G1 Total sales and income and other supplies, regardless of whether they are subject to
GST. Ensure that you include supplies made prior to 1 July 2000, on which you charged
GST
G2 Exports (GST-free). No GST is payable to the ATO on this figure.
G3 Other GST-free supplies. No GST is payable to the ATO on this figure.
G4 Input taxed sales and income and other supplies (other than exports and GST-free
supplies) on which you have not charged GST.
Add 1B+1D+1F+1G=2B $
Credit for goods and
services tax paid 1B $
Wine equalisation tax
refundable 1D $
Wine equalisation
tax payable 1C $
Luxury car
tax payable 1E $
Luxury car tax
refundable 1F $
Add 1A+1C+1E = 2A $
2A minus 2B
GST net amount 3$
Goods and services
tax payable 1A $
Credit for wholesale
sales tax 1G $
Business Activity Statement Adviser Education Programme
15
G5 Total of G2 + G3 +G4 which is the total of all your GST-free supplies and your input
taxed supplies.
G6 G1 minus G5 provides the total of your taxable supplies for the current reporting
period. It is this figure on which the 10% GST is payable to the ATO, subject to any
adjustments.
G7 Adjustments arising out of previously reported transactions which alter the total
amount on which GST is calculated for the current period.
G8 Add G6 and G7 to provide the final total figure on which GST is payable.
G9 G8 is divided by 11 to provide the actual GST payable on supplies made during the
reporting period.
Transfer the figure in Box G9 to Box 1A on the front of the form
CALCUALATION SHEET
Goods and services tax for the period 01/07/2000 to 30/09/2000
Supplies you have made Acquisitions you have made
GST accounting method Amounts at G1, G10 & G11 are GST-inclusive
G1 $ G10 $
G11 $
G12 $
G13 $
G14 $
G15 $
G16 $
G17 $
G18 $
G2 $
G3 $
G4 $
G5 $
G6 $
G19 $
G20 $
G7 $
G8 $
G9 $
The amount at G9 is your GST
payable, transfer this amount to
1A on the front
Capital acquisitions
Other acquisitions
(see exclusions)
Add G10 + G11
This is the total of your
acquisitions
Acquisitions for making
input taxed sales & income
& other supplies
Acquisitions with no
GST in the price
Total of estimated private use
of acquisitions + non-income
tax deductible acquisitions
Add G13 + G14 + G15
This is the total of your
non-creditable acquisitions
G12 minus G16
This is the total of your
creditable acquisitions
Adjustments
Add G17 + G18
This is the total of your
creditable acquisitions after
adjustments
Divide G19 by Eleven
Total sales & income &
other supplies
Exports
Other GST-free
supplies
Input taxed sales &
income & other
supplies
Add G2 + G3 + G4
This is the total of your GST-free
and input taxed supplies
G1 minus G5
This is the total of your
taxable supplies
Adjustments
Add G6 + G7
This is the total of your taxable
supplies after adjustments
Divide G8 by Eleven
GST-free
supplies
The amount at G20 is your GST credit,
transfer this amount to 1B on the front
Business Activity Statement Adviser Education Programme
16
Acquisitions you have made
The purpose of this section of the form is to identify the GST your customers have
charged you [non-cash basis] or that you have paid to your customers [cash basis] that you
are entitled to claim back from the ATO. This is achieved by taking the total of
acquisitions by the registered person, deducting all acquisitions on which no GST has
been charged, and dividing the result by 11 to obtain the GST that can be claimed
The boxes on the form are as follows:
G10 Capital acquisitions.
G11 All other acquisitions. Ensure that you include supplies on which you have paid GST
prior to 1 July 2000
G12 Add G10 and G11 to provide the total of all acquisitions for the period.
G13 Acquisitions for making input taxed supplies as well as other supplies in respect of
which GST credits are not claimable.
G14 Acquisitions with no GST in the price, therefore no credit available.
G15 Total of estimated private use of acquisitions as well as expenses which are not
deductible for income tax purposes — no credit available.
G16 Add G13+ G14 +G15 to provide the total of your non-creditable acquisitions on
which you may not claim any input tax credits.
G17 G12 minus G16 to provide the total of your creditable acquisitions for the period.
Input tax credits are claimable on this figure subject to any adjustments arising out of
transactions reported in a previous period.
G18 Adjustments to previously reported acquisitions you have made.
G19 Add G17 + G18 This is the total of your creditable acquisitions after adjustments.
G20 Divide G19 by 11 to provide the total GST credit available to you for the current
reporting period.
Transfer the figure in G20 to BAS Box 1B.
Business Activity Statement Adviser Education Programme
17
Goods and Services Tax
The GST is intentionally very broad in its coverage. It is intended to capture all forms of
domestic consumption, so may include a range of things that you may not have thought of.
It is important that you charge GST on all taxable supplies, so you need to have a good
understanding of what we mean by goods and services.
If you don’t charge GST when you should have, you as the supplier will still be required to
pay 1/11th of the price charged to the ATO - so making a mistake can be very expensive!
Enterprises produce the huge range of goods and services that are available to consumers.
Goods can be grown, made, or imported, and can be bought and sold repeatedly.
Services also come in many different forms. Services can involve a plumber fixing a
blocked drain, or the local swimming club teaching the kids to swim. The local Council,
Federal Government, and the local Citizens Advice Bureau all provide services. Some
services we use are costly, some cost nothing, and some organisations provide them in
return for subscriptions and members donations.
Some service organisations are huge, highly structured, and are ’big businesses’ to run.
Other service organisations are less formal, less organised, and small. One thing is
common to all enterprises that provide goods and services. They involve people in
planning, organising, and managing the supply of the huge range of goods and services
that people consume every day.
Goods are the tangible things we consume. Services are things people do for others.
Goods and services have a cost and generally a price.
Overview of GST
GST is a tax on goods and services
What is a GST? The main principles are that it is a tax:
applied to the domestic consumption of goods and services; and
it is paid by the final consumer.
The first key concept here is domestic consumption. That means the GST does apply to
imports, but does not apply to exports.
As well, it is about the consumption of goods and services. So GST is a tax on goods and
services and not on income. Therefore, an intention to make a profit is irrelevant in
deciding whether an organisation must pay GST.
It follows that many organisations that are not currently considered to be carrying on a
business for income tax purposes will nevertheless be included in the GST net. Such
organisations (which the legislation calls entities) include charities, trusts, co-operatives,
sporting and other clubs, statutory bodies and local authorities.
Business Activity Statement Adviser Education Programme
18
Consumers, not enterprises, pay the GST
The next step is to understand that even though the tax is collected at every stage of
production, it is the consumer that actually pays the tax. This can be most readily
shown with a simple example of the manufacture and sale of a dining table. The
GST rate is 10%.
Table 1: GST on a dining table
Purchase Sale
Price
paid
(a)
GST
(b)
Total
(c)
Price
charg
ed
(d)
GST
(e)
Total
(f)
Paid to
ATO
(e-b)
Logger 20 2 22 2
Timber mill 20 2 22 40 4 44 2
Furniture
Manufacturer
40 4 44 80 8 88 4
Retailer 80 8 88 100 10 110 2
Consumer 100 10 110
10
Note: The total tax collected by the ATO is 1/11 ($10) of the selling price to the consumer
($110), or 10% of the price (before GST) paid for the goods.
As you can see, the GST is collected at each stage of the chain of production.
Each person in the chain:
1. charges GST on their sales (column (e)). The BAS calculation sheet describes this as
Supplies you have made .
2. claims back from the ATO, all GST paid on the goods they purchase as inputs to their
sales (column (b)). The BAS calculation sheet describes this as Acquisitions you
have made .
3. when they make their return to the ATO on the BAS, they subtract the GST they have
paid on the acquisitions they have made from the GST collected on the supplies they
have made, to calculate the net amount payable (last column).
Your organisation might be the timber mill in this example, though the same rules apply to
all of the organisations in the chain. For you, the GST consequences are as follows:
1. you purchase some logs from the logger for $22. That includes $2 GST
2. you turn the logs into timber that can be used by a furniture manufacturer, and charge
the manufacturer $44. That includes $4 GST
3. the key points to note are that you must remember to charge and record the GST on
your sales, and to keep a record of the GST you have paid on your inputs (the logs)
4. when you prepare the GST section of the BAS and send it to the ATO you are able to
claim back the GST on your purchases, but must submit the GST collected on your
sales. It is the difference between these ($4 collected from furniture manufacturer less
the $2 paid to the logger) that must be paid to the ATO. That is $2.
Business Activity Statement Adviser Education Programme
19
Almost everything else that you will ever read, see or hear about GST will ultimately
be related to how to calculate the figures for your business in columns (b) and (e). If
you understand what to do to get those figures you have got the GST licked! It is
worth investing the time to get that straight now.
Because most organisations will claim back the GST on their purchases, and collect the
GST on their sales to their customers, you can see that the GST is not a burden on
organisations.
Another way of showing this is that, looking at the example as a whole, you can see that
the total in the last column shows that businesses have paid $10 to the ATO. But when
you look at the bottom row of the table, you can see that the final consumer has actually
paid that $10. The input credit mechanism (that is only available to registered
organisations, not consumers) means that the final GST cost is borne by the consumer, not
the organisation.
Business Activity Statement Adviser Education Programme
20
There are four kinds of supply
1. Taxable Supplies
In the example we have just looked at you charge GST on your sales - this is called a
taxable supply. The BAS calculation sheet arrives at the total of your taxable supplies
at Box G6. However you are also entitled to claim back the GST on your organisation s
inputs - this is called an input tax credit. The total supplies on which you can 1/11th
as an
input tax credit, is shown in Box G17. The example on page X covers the situation that
will apply for the supply of most goods and services.
However, there are two other kinds of supply that you also need to be familiar with - these
are GST-free supplies and input taxed supplies.
2. GST-Free Supplies
GST-free supplies are different from taxable supplies because GST is not charged on
sales. These sales are shown in boxes G2 and G3. However, full credits are still
available for all inputs to those supplies. GST-free supplies include things like health,
education, child care, exports and so on.
To demonstrate the difference between taxable supplies and GST-free supplies, we can
imagine that the retailer in the example above might get an order from overseas for the
dining table. In that case, the table would be exported. The example would then look as
follows.
Table 2: GST on an exported dining table
Purchase Sale
Pri
ce
pai
d
(a)
GST
(b)
Total
(c)
Price
charged
(d)
GST
(e)
Total
(f)
Paid to
ATO
(e-b)
Logger 20 2 22 2
Timber mill 20 2 22 40 4 44 2
Furniture
Manufacturer
40 4 44 80 8 88 4
Retailer 80 8 88 100 0 100 -8
Overseas sale 100 0 100
0
Because the table is exported, and exports are GST-free, the sale is not subject to GST.
However, the retailer is still entitled to input tax credits for the purchases made to produce
the table. In this case, then, the retailer is in credit and gets a refund of $8 from the ATO.
The amount of export sales or income is separately recorded on the BAS calculation
sheet at Box G2.
Business Activity Statement Adviser Education Programme
21
Now, lets demonstrate an example of a retailer who gets an order for stationery from a
residential nursing home which provides services which qualify for GST-free status.
The example would look as follows.
Table 2a: GST on stationery as input to GST-free supplies
Purchase Sale
Price
paid
(a)
GST
(b)
Total
(c)
Price
charged
(d)
GST
(e)
Total
(f)
Paid to
ATO
(e-b)
Logger 20 2 22 2
Timber mill 20 2 22 40 4 44 2
Stationery
Manufacturer
40 4 44 80 8 88 4
Retailer 80 8 88 100 10 110 2
Nursing Home 100 10 110 -10
Total GST
Paid to ATO
0
Because the organisation provides GST-free services the nursing home is entitled to input
tax credits for the purchases made to provide those services.
The next example demonstrates a purchase of computers by a school for use in its teaching
program, which has GST-free supplies.
Table 2b: Computer equipment bought for use in educational courses
Purchase Sale
Price
paid
(a)
GST
(b)
Total
(c)
Price
charged
(d)
GST
(e)
Total
(f)
Paid to
ATO
(e-b)
Equipment
Supplier
400 40 440 40
Educational
body
purchaser
400 40 440 -40
Educational
body s fees
0 0 600 0 600 0
0
Because the educational course is GST-free, the amount charged to attendees is not
subject to GST. However, the school is still entitled to input tax credits for the purchases
made to run the educational course. In this case, then, the school is in credit and gets a
refund of $40 from the ATO.
As you can see, GST-free is an appropriate way of naming these supplies because in net
terms, no GST is collected on these supplies.
All sales or income from GST-free supplies, excluding exports, are totalled and recorded
on the BAS calculation sheet at Box G3.
Most organisations will be substantially involved with making and receiving taxable
and/or GST-free supplies. The critical point to note is that in respect of both of these
kinds of supply, you can claim back input tax credits for the organisation s purchases to
Business Activity Statement Adviser Education Programme
22
make these supplies. The major complication that may arise will be ensuring that you
know which goods and services are GST-free, so that you know when GST does not
have to be charged on your sales.
3. Input Taxed Supplies
Input taxed supplies are the third category. These are different from the other kinds of
supply because you don’t charge GST on your sales. These are deducted in Box G4on the
BAS. It also means that you can’t claim back any input tax credits on your
purchases to make those supplies either. These acquisitions are deducted in Box
G13. This is the trickiest kind of supply because it means you have to worry about when
you charge GST and when you can claim it back too.
The main kinds of input taxed supplies are residential rents and financial services. This
treatment of financial services means you won’t be charged GST on your bank interest.
For residential rents, it means that a landlord does not charge GST on the rent charged,
and is not able to claim input tax credits for anything purchased in respect of the property.
For example, if the landlord paints the walls, buys a new oven, or replaces the carpets
GST will be charged on those items, but it cannot be claimed back. The total of input
taxed supplies is also separately recorded on the BAS calculation sheet at Box G4. The
acquisitions to make those input taxed supplies are separately recorded on the BAS in Box
G13.
4. Supplies by non-registered entity
The fourth category of supply is that made by a non-registered entity - there is no
GST charged on the supply they make. They may not claim back GST included in the
price of items they purchase. When purchases are made from an organisation or person
that is not registered for GST, the total of those purchases are recorded on the BAS in Box
G14.
Recapping the kinds of supply
Remember: There are four kinds of supply. They are:
Taxable supplies
1. charge GST on sales — BAS, Box G6.
2. claim full input tax credits for GST paid on an entity s purchases — BAS Box G17.
GST-free supplies
1. no GST charged on sales —BAS, Boxes G2 and G3.
2. claim full input tax credits for GST paid on an entity s purchases included in BAS Box
G17.
Input taxed supplies
1. no GST charged on sales —BAS, Box G4.
2. no input tax credits for GST paid on an entity s purchases — BAS Box G13.
Business Activity Statement Adviser Education Programme
23
Supplies by non-registered entity
1. As no GST has been charged there is no claim available for input tax credits on these
acquisitions. They are deducted on the BAS in Box G14.
To avoid any confusion make a mental note now that input taxed supplies are not the same
as input tax credits. Input taxed supplies have just been described. Input tax credits are
the credits allowed for GST paid on organisation expenses incurred to make taxable or
GST-free supplies. The distinction is discussed more fully later in this section.
Clearing up a few queries
Now that you have come this far, you might have a number of queries. It is worth while
emphasising a few points now:
• When you acquire things for your organisation for which you are able to claim input
tax credits, you don’t have to wait until you have used those things to claim the credit -
you can do that in your next GST return. Say you buy a year’s stock of stationery for
$1100 (including $100 GST). You can claim that $100 in your next return, even
though you won’t use all the stationery for some time.
• Input tax credits are available for all your inputs, not just "raw materials", and they are
available to service providers in the same way that they are to providers of goods. For
example, if you provide counselling services you can claim the GST paid on your
telephone bills, heating, electricity, room rental and so on.
• Input tax credits can be claimed for all acquisitions you have made (that have a GST
content), including capital acquisitions, in the next GST return. So, unlike income tax,
where you have to depreciate capital items over a period, GST paid on capital items
can be claimed in the next return. For example, if you buy a new building, purchase a
computer for the office, or buy a new truck for work, you can claim back the GST on
these items in your next GST return - even though these items will be used over a
period of time. The amount of capital acquisitions are shown in Box G10 on the BAS
calculation sheet.
1. Wages and salaries paid to employees and superannuation contributions paid on behalf
of employees are not subject to GST. These are outside the scope of GST and don t
appear anywhere on the BAS form, including Box G1 and Box G11.
2. By and large, the examples and the discussion here assumes that the entity making the
supply is registered for GST - most organisations will be required by law to register.
Only registered entities charge GST, and only registered entities can claim input tax
credits. If you are not registered, you don’t charge GST on your sales, but you can’t
claim input tax credits either.
Business Activity Statement Adviser Education Programme
24
What does this all mean for my organisation?
Turning all this new language into what it means for your organisation comes down to a
few key points. A "typical" organisation:
1. Will pay GST on most of their acquisitions
2. Will be entitled to input tax credits on those acquisitions
3. Will need to substantiate claims for input tax credits with valid tax invoices
4. Will charge GST on most of their outputs (with major exceptions - where GST-free or
input taxed supplies are made)
5. Will need to ensure that the GST consequences of every transaction in and out of the
organisation are recorded, substantiated and can be readily retrieved.
The first steps that every organisation needs to take now to prepare for this involves:
1. Identifying all your organisation s inputs
2. Identifying all your organisation s outputs
3. Classifying those inputs and outputs according to their GST treatment (that is, are they
taxable supplies, GST-free or input taxed)
4. Identify any areas of uncertainty, and seek help from the ATO or a professional
adviser if necessary
5. Consider your record keeping systems to see if they are "up to scratch" in being able to
track and record all of these transactions
Business Activity Statement Adviser Education Programme
25
Input Tax Credits
Enterprises can claim back from the ATO the GST that is included in the price of goods
and services they acquire for the purpose of making taxable supplies and GST-free
supplies.
These are called input tax credits.
The BAS calculation sheet describes this at Box G20 as your GST credit. The total
amount in Box G20 is then transferred to Box 1B on the BAS.
It is critical that every registered enterprise is able to keep track of these credits as they are
real dollars. An unclaimed input tax credit is like an unclaimed income tax refund.
Working out how much GST to pay the ATO
If an enterprise is registered for GST and makes taxable supplies or GST-free supplies,
part of the price the enterprise pays for most goods or services it acquires is GST.
This GST portion of taxable supplies received by the enterprise is available as an input tax
credit provided those goods or services were acquired for the purpose of making the
taxable supplies or the GST-free supplies.
The registered enterprise will deduct its input tax credits from the GST it collects from its
customers so that only the resultant net amount of GST gets paid to the ATO.
Example
Oz Cartage (Pty) Ltd transports goods nationwide. It charges customers for the services it
provides. It incurs various operating costs. It has the ATO’s approval to operate on a GST
cash basis.
In a particular tax period, the company:
• Received monies from its customers for services it provided $33,000
• Paid its external suppliers $11,000
• Paid its employees $12,000
The monies it received from its customers, and the amount it paid its external suppliers, both
are GST inclusive.
The company accounts to the ATO for GST as follows:
GST content of receipts from customers (1/11th of $33,000) $3,000 = BAS Box G9
less: GST content of payments to suppliers (1/11th of $11,000) $1,000 = BAS Box G20
Net GST to be paid to ATO $2,000 = BAS Box 1A
In this example, $3,000 is the total GST collected from customers, and $1,000 is the total
input tax credits.
In order to claim GST input tax credits the business must have a valid tax invoice in respect
of the goods or services at the time the input tax credits are claimed in the BAS.
Business Activity Statement Adviser Education Programme
26
The Tax Fraction
The tax fraction can be important:
• In isolating the GST content of a transaction; and
• Identifying the true 'income' and 'expenditure' of the organisation.
Total price includes cost
Because 10% is added to the value of a taxable supply, the GST component of the GST
inclusive price is 1/11th of that price; the rest (10/11ths) is the value before GST.
In relation to that supply, that remaining 10/11ths of the price is the supplier’s real ’income’
as the GST collected must be remitted to the ATO.
Similarly for the acquirer of the supply, that remaining 10/11ths of the price is ordinarily
the true cost of the taxable supply as the GST content is recoverable from the ATO.
With any taxable supply you typically would find:
GST exclusive price $10 [10/11ths]
Plus GST 10% $ 1 [1/11th: The tax fraction]
GST inclusive price $11
Example
John Brown is registered for GST and sells 10 widgits to Ann Jones who also is registered
for GST. The value of the supply is $150.00 and John adds 10% GST [$15] and charges Ann
a price of $165.00.
When John completes the GST portion of the BAS he will disclose the total of his taxable
supplies for the tax period. He will calculate 1/11th [the tax fraction] of the total which
includes the price he charged Ann, so the 1/11th of that price [ie. $15] will be included in the
total GST on supplies made that he reports to the ATO, - in BAS Box G9.
The remaining 10/11ths of the price [$150.00] is the gross income that John receives from
the transaction.
When Ann completes the GST portion of the BAS she will disclose the total amount of her
acquisitions. She will calculate 1/11th [the tax fraction] of the total acquisitions which give
rise to input tax credits including the price she paid John in BAS Box G20. In this way she
will claim back from the ATO the $15 [1/11th of $165.00] GST she was charged by John.
The remaining 10/11ths [$150.00] is the actual acquisition cost of the item to Ann.
Business Activity Statement Adviser Education Programme
27
Attribution Rules
When an entity completes the GST section of the BAS it is required to include:
• The total amount of taxable supplies made by the entity during the period; in BAS Box
G6 and
• The total amount of the taxable supplies it acquired during the period in BAS Box G17
provided those supplies were acquired for the purpose of operating the taxable activity.
There are rules, called attribution rules, that determine the GST return period in which
transactions must be recorded for the purposes of accounting for GST. The rules depend
on whether you use a cash basis or a non -cash basis of accounting for GST. This election
would have been made when the entity applied for an ABN. The rules are as follows:
CASH BASIS:
Include only the GST included in payments actually received or paid during
the GST Return Period.
The entity does not have to account to the ATO for the GST charged to it s customers
until the GST has actually been received in cash.
This means that any taxable supplies made by the entity that include GST, but for which
payment has not been received are excluded from the Total Sales figure that is recorded in
Box G1. These supplies will be included in Box G1 in the GST return period in
which payment is subsequently received.
Where an entity is registered on the cash basis and receives part payment for any taxable
supply that it makes, the supply is included in Box G1 to the extent of the payment
actually received
• Claim relief for the allowable portion of the GST content of payments made in the tax
period.
Where an entity acquires taxable supplies of goods and services, the price of these
acquisitions will include GST. If that entity is registered for GST on the cash basis it
is able to claim as input tax credits 1/11th of the GST inclusive payments it actually
made in the BAS period. Provided a Tax Invoice is held at the time the claim is made.
This means that only the payments actually made for supplies that include GST are
recorded in Box G10 or G11.
For an entity which is GST registered on the cash basis to be able to claim an
input tax credit, it must have:
• Paid the bill; during the period the BAS relates to; and
• Hold the tax invoice that supports the fact that an input tax credit claim is available.
• If the bill is part paid, a partial claim can be made. In this event you include only the
paid amount in Boxes G10, or G11.
Business Activity Statement Adviser Education Programme
28
NON-CASH BASIS
• The non-cash basis of accounting for GST requires an entity to include in Box 1 of the
BAS all taxable supplies which occur in that return period.
The effect is that you have to include all taxable supplies you make in GST period in Box
G1 of the BAS, This will include all taxable supplies that have been made but not yet
paid for.
• The amount of GST an entity is entitled to claim back from the ATO is the GST
content of the consideration for all goods or services acquired during the period,
whether or not paid for in the period.
GST input tax credits can be claimed even if payment has not been made, provided always
that a tax invoice is held. Accordingly all acquisitions in the GST return period are
included in Box G10 and G11, irrespective of whether payment has been made or not.
Business Activity Statement Adviser Education Programme
29
Tax Invoice
Always make sure a Tax Invoice is obtained
If an organisation wants to recover from the ATO any GST it is charged on goods and
services acquired, the general rule is it must hold a tax invoice covering that supply.
A tax invoice is a valuable document
If an organisation is registered for GST and undertakes a transaction related to creditable
acquisitions, then the tax invoice provided by the supplier can be turned into money by
claiming back the GST content from the ATO.
Generally, if an organisation does not hold a tax invoice from the supplier, it cannot claim
GST input tax credits for the goods or services purchased by that organisation.
A tax invoice is not just any invoice
For an invoice to constitute a tax invoice, it must contain certain legally required
information. If it does not meet these requirements then it is not a tax invoice and the
organisation cannot claim back the GST content as input tax credits.
THE TAX INVOICE IS THE CORNERSTONE OF GST
The tax invoice is the single most important source document for the GST. Procedures to
ensure tax invoices are correctly issued, and recorded and filed appropriately are crucial in
a GST environment. The requirements of a ’tax invoice’ are an extension of information
normally appearing on an invoice.
Tax Invoice Checklist
Invoice total including GST
Greater than $50 but less than $1000 Greater than $1000
The ABN number of the supplier The ABN number of the supplier
GST inclusive price GST inclusive price
Clearly shown the words "Tax Invoice" Clearly shown the words "Tax Invoice"
Issue date of the tax invoice Issue date of the tax invoice
Name of the Supplier Name of the Supplier
Brief description of items supplied Brief description and quantity of items
supplied
If the GST is 1/11th of the total price If the GST is 1/11th of the total price
either; indicate total includes GST or, indicate total includes GST or
the amount of the GST the amount of the GST
If the GST is not 1/11
th
of the total If the GST is not 1/11
th
of the total
price (as a result of a mixed price (as a result of a mixed
supply), each supply must be supply), each supply must be
identified, identified,
the amount of GST payable and The amount of GST payable and
the total amount payable The total amount payable
The name and the address of the
receiver or
The ABN number of the receiver
Business Activity Statement Adviser Education Programme
30
For registered entities if the transaction is less than $50, including GST, a tax invoice is
not required. Input tax credits can be claimed provided a suitable receipt is held.
Get the tax invoice issues right and you are well on the way to dealing with GST.
As we have seen for the preparation of the GST portion of the BAS there needs to be
a split between the amount of taxable supplies, GST-free supplies, and input taxed
supplies. In the context of any organisation, this information will have its origin in
the details that need to be shown on the tax invoices issued by the organisation for
both credit and cash transactions. The system in place should allow the aggregate
amount of each such category of supply to be readily generated at the end of each tax
period.
• Details that need to be recorded in your records in respect of each receipt of funds
• Date that the cash was received (and the date of issue of any related invoice)
• In cases where there is no related invoice, relevant details of receipt
• Total amount banked
• Split between each category for GST purposes (where not already so recorded in the
accounts receivable system).
Business Activity Statement Adviser Education Programme
31
GST Systems
With many organisations, a starting point in considering their systems will be to effect a
detailed analysis of their activities, and the transactions they undertake. This analysis will
prompt questions such as the following:
• What are the GST implications of those activities and transactions?
• Do GST implications prompt the need to reconsider how those transactions are entered
into and recorded?
• What additional information needs to be generated by the system to meet GST-related
obligations, and how best might this be done?
• Is the existing system sufficiently robust to allow it to be suitably adapted for GST
purposes, or are more extensive systems called for?
At the end of the day, new (or modified) practices and procedures will need to be put in
place to accommodate GST and, at the same time, the requirements of the new PAYG
system.
In designing a system for the organisation consideration should always be given to
planning the system to meet both business and tax requirements.
To provide the required GST information for insertion in the organisation s BAS,
the system (whether it be manual or computerised) will need the following
documentation:
• Tax invoices received from suppliers
• Tax invoices issued by the entity
• Bank statements/ bank reconciliations/ cashbooks
• Ledgers, and other summarised information
• GST calculation sheets
• Adjustments worksheets
• Guides and industry specific booklets dealing with GST and the PAYG system
Business Activity Statement Adviser Education Programme
32
Source Documents
Source documents are the documented evidence that an entity accumulates when it
processes transactions. This evidence needs to be kept in a form that facilitates easy
retrieval.
Examples of source documents:
Cheque butts Deposit slips
Bank statements Tax invoices
Pay slips Receipts
Purchase orders Credit notes
Expense claim forms Quotations
Why do we keep source documents?
We keep source documents to provide the information needed to produce accurate reports
for use by management. In addition to this function, in a GST context, they provide the
evidence needed to prove that the entity is entitled to a GST refund or, conversely, how
much GST it needs to pay to the ATO.
Controls need to be put in place to ensure the system generates the required
source documents. The ATO has information available on exactly what source
documents need to be retained and for how long.
You will find it useful to:
• Use standard source documentation that suits the organisation
• File all documentation in a logical and ordered way, consistent with the systems used
• Ensure everybody in the organisation understands the need for, and use of the source
documents
A structured reporting system reduces room for error and enables the users to have a
greater level of confidence in the accuracy and usefulness of the information.
A consequence of a good system will be that GST reporting requirements will be easier to
meet. Further:
• The risk of incorrectly claiming back GST on items purchased will be much reduced;
and
• If any of the people who procure goods or services from your organisation are GST
registered, you will be helping them fulfil their documentation needs in respect of their
purchases from you.
Review source documents at time of transaction
When you create or receive any source document, take the time and care to ensure that all
relevant information is correctly recorded
Business Activity Statement Adviser Education Programme
33
The more accurate and detailed the source documents are, the more useful they become,
allowing more information to be held in one place. Where possible, source documents
should be cross-referenced to provide additional detail if required.
Examples of this may be a quote matched to the invoice, or alternatively a cheque number
written on an invoice when paid.
Tax Invoices
As we discussed earlier the tax invoice is the single most important source document in
any GST system. Procedures to ensure tax invoices are collected, issued and stored
appropriately are crucial in a GST environment. The requirements of a tax invoice are an
extension of information held on a normal invoice.
Cheque butts
Most payments that an organisation makes are made through a bank account using
cheques. The cheque butt provides an opportunity for the organisation to record
information about each payment made. The cheque number is also unique and provides a
good tool for cross-referencing the payment against the tax invoice held.
Details that you may wish to write on each cheque butt are:
• Date
• Supplier
• Cheque total
• Any GST content, and whether (any part of) the payment relates to a supply that is
GST-free or input taxed.
Cash Payments
It is desirable that actual cash payments, including petty cash, should be kept to a
minimum. The reason is to ensure that there is a permanent source document that can
easily be referred to. As mentioned, payments by cheque allow the cheque butt to be used
as the source document. An equivalent methodology needs to be put in place if cash
payments must be made to ensure that those outgoings are correctly accounted for.
Drawing a cheque on the business account and banking it as part of normal sales could
achieve this.
If the payment covers an item that costs not more than $50 [including GST] it will not be
necessary to obtain a formal tax invoice from the supplier. However, a suitable
transaction receipt is still required for GST purposes.
For the preparation of the BAS there are certain details that need to be shown. There needs
to be a split between,
Business Activity Statement Adviser Education Programme
34
Capital acquisitions — BAS Box G10
Other acquisitions — BAS Box G11
Acquisitions of input taxed supplies — BAS Box G13
Acquisitions with no GST in the price — BAS Box G14
Private use and non tax deductible acquisitions — BAS Box G15
Deposit book
The bank deposit book is similar to the cheque butt, but instead of analysing payments it
may be used to analyse your receipts. Again this allows a lot of information to be held in
one place that can be used for different purposes.
For the preparation of the BAS there are certain details that need to be shown. There needs
to be a split between,
Taxable Supplies — BAS Box G6
GST-free supplies — BAS Boxes G2 and G3
Input taxed supplies — BAS Box G4
Care needs to be taken to ensure that if the deposit is outside the GST (such as a receipt of
a loan or transfer of funds between accounts) that this is shown separately and not lumped
into any of the three GST categories.
Details that may need to be written on each deposit form.
• Date
• Total amount of the deposit
• Total GST portion of the total amount of the deposit
• The portion of the total amount of the deposit that is attributable to each different type
of supply (taxable; GST-free, input taxed)
Nowadays, many credits to the bank account of an organisation are not by way of deposits
made of cash and cheques received. Often, there will be a significant number of eftpos or
credit card transactions. Care needs to be taken to ensure that these too are recorded
correctly in the systems and GST properly identified and accounted for. One particular
area where GST accounting is all important is that of credit card sales. Here the focus
needs to be on the total consideration (and GST content) of the GST taxable supply made,
not on the amount of the deposit made by the credit card company. This becomes an issue
when the credit card company deducts its fees before the net deposit is credited to the
organisations bank account.
Business Activity Statement Adviser Education Programme
35
Bank Statements
The bank statement provides the link between the inwards and outwards transactions of an
entity. It shows the deposits made, cheques issued and automatic payments made.
The bank statement provides the first opportunity to reconcile your record of the payments
and receipts against what the bank actually credited or debited to your account. This is
particularly important when there are automatic payments and direct credits or other
deposits into the account.
Some entities may find that each major activity undertaken is more easily accounted for when
each activity operates its own bank account. This allows the source documents for each to be
easily identified, collated, analysed and reported on.
Rules of thumb for bank statements:
• Keep them all for at least five years (as with all your records)
• Keep the statements for each bank account separate from those of other bank accounts
maintained
• File in date order
• Complete a bank reconciliation at least monthly.
Cashbook
No matter what system an entity chooses to use, the primary purpose of recording GST
information is to ensure that all the information required for completing the BAS is
available. If an entity has an accounts payable and accounts receivable system then a
typical flowchart showing how all the information is gathered in one place would be as
shown.
Tax Invoices
Received
Tax Invoices
Issued
Creditors
Debtors
Cashbook
Bank Statement
Reports and
information
Business Activity Statement Adviser Education Programme
36
Because the various types of transactions need to be analysed into their GST effect there
need to be effective checks and balances in place.
At the end of any GST tax period, the balance in the GST accounts in the general ledger
[GST received from customers and GST paid to suppliers] should equal your GST refund,
or the total GST payable to the ATO, as disclosed by your workings on your BAS for the
period.
Checks and Balances
Every entity needs checks and balances to ensure everything is recorded accurately and in
the correct period. These are called controls. An essential control is the bank
reconciliation.
The bank reconciliation should be completed at least monthly and before any information
or reports are created. If the cashbook (or computer system) reconciles to the bank
statement then there is accurate information to generate reports on cash movements in the
entity. The cashbook will also give the information required for the BAS if the entity is
registered for GST on a cash basis. If the entity is registered for GST on a non cash basis,
then further information will be required.
Business Activity Statement Adviser Education Programme
37
Assisting Staff To Deal With GST
In modifying or developing systems to record and account for GST the procedures that are
developed and put in place must be user friendly. These procedures must be in a form that
enables staff to follow them without being technical experts in GST.
• In developing the procedures the following actions are necessary:
• The Chart of Accounts needs to be suitably modified to classify the various types of
supply - GST supplies, GST-free supplies, input taxed supplies, by activity where
appropriate
• Implement procedures to ensure that source documents will be coded correctly to
indicate the GST status of all supplies made or received
• Ensuring that invoice documentation issued by the business complies with the "tax
invoice" requirements and facilitates accurate recording
• Reviewing current procedures to ensure that the debtors and creditors records
appropriately capture and classify GST information in an efficient and effective
manner.
• Ensuring cash flow management procedures are adequate to cope with the impact of
GST
• Ensuring that relevant totals can easily be obtained from the system for entering on the
GST return, either from a computerised or a manual recording system
• Ensuring that staff understand and can apply the “attribution rules”
• Reviewing procedures to ensure that records are kept up to date at all times to enable
the completion of the BAS within 21 days of the end of each tax period
• Understand what GST issues fall outside their knowledge and experience and contact
the ATO or professional adviser for assistance
Business Activity Statement Adviser Education Programme
38
Wine Equalisation Tax
Boxes 1C and 1D on the BAS relate to Wine Equalisation Tax.
For most taxpayers these boxes are not relevant.
What is the Wine Equalisation Tax?
This is a tax payable by relatively few taxpayers on the last wholesale sale (sale to a
reseller) of wine in Australia. If untaxed wine is sold directly to a consumer then the tax
will apply to the sale or use of that wine. Most taxpayers will ignore boxes 1C and 1D on
the BAS.
The tax is imposed at the rate of 29% on the wholesale selling price of wine.
Alternative values are used in the calculation if the wine is not sold wholesale.
The Wine Equalisation Tax (WET) is required to be included in the BAS or IAS at Box
1C Wine equalisation tax payable for the relevant tax period.
If a refund is claimable this is shown at Box 1D at the heading Wine equalisation tax
refundable .
Calculation of WET payable
The calculations required to determine the amount of WET payable for a relevant period
are shown in the ATO publication Business Activity Statement Instructions . They
involve separating the dealing with the wine into different categories:
1. Wholesale sale of any goods subject to WET
2. Retail sale of grape wine
3. Retail sale of wine that is not a grape wine
4. Application of the wine to own use connected with retail sale of grape wine
5. Application to own use connected with retail sale of wine that is not a grape wine
6. Wholesale sale of wine to a non-arm s length customer
In cases where the WET has been overpaid it is refundable within 4 years of when the
reason for claiming a credit arises. Credits may arise in a number of ways including:
• Incorrect calculation of the amount payable
• Exporting wine that was subject to WET
• Writing off bad debts that included WET paid by you
• Entitlement to a Commonwealth Rebate on rebateable dealings ($300,000)
Reference; ATO Business Activity Statement Instruction Booklet.
ANTS (Wine Equalisation Tax) Act 1999
Business Activity Statement Adviser Education Programme
39
Luxury Car Tax
A Luxury Car Tax (LCT) at the rate of 25% is payable on the value of a car above the
luxury car tax threshold, but excluding the GST component above the threshold.
Essentially this section in the BAS is to be completed only if the motor vehicles are held
as trading stock.
The definition of a car for tax purposes is subject to change depending on the purpose to
which the car will be put. The eligibility for the LCT takes into account the load and the
number of passengers the car is designed to carry.
A luxury car is a car with a GST-inclusive value that exceeds the luxury car tax threshold
ie. the GST-inclusive car depreciation limit for income tax purposes. This limit was
$55,134 in the 1999-2000 income year but is subject to change.
LCT on importations of luxury cars will be generally paid with customs duty and in these
cases it will not appear on an Activity Statement.
However if you quote your ABN the LCT need not be paid at the point of importation but
on the next BAS subject to the following:
• The business must be registered for GST and therefore obliged to submit a BAS
• The business intends to use the car for one of the following purposes, and for no other
purpose
1. Holding the car for trading stock, other than holding the car for hire or lease
2. Carrying out research and development for the manufacture of the car, or
3. Exporting the car in circumstances where the export is GST-free
The tax is required to be included in the BAS or IAS at Box 1E Luxury car tax payable
for the relevant tax period. If a refund is claimable this is shown at BAS Box 1F at the
heading Luxury car tax refundable .
Increasing adjustments to the LCT (as well as any related GST) may arise in the following
circumstances:
• An increase in the price of the car
• You quoted your ABN at the time of importation or purchase and you now use the car for
a different purpose
• You previously claimed a decreasing adjustment in respect of a bad debt which has since
been recovered
Decreasing adjustments are also possible if the reverse of the above circumstances arise,
as well as in the case of a sale being cancelled after you have paid the relevant LCT.
Reference; ATO Business Activity Statement Instruction Booklet.
ANTS( Luxury Car Tax) Act 1999
Business Activity Statement Adviser Education Programme
40
Wholesale Sales Tax Credit
A once only special credit for wholesale sales tax paid before 1 July 2000 is claimable
by some taxpayers provided that:
1. The taxpayer is registered for GST by 1 July 2000
2. The claim is made once only on a BAS or IAS at Box 1G lodged with the ATO in
respect of any reporting period ending on or before January 7, 2001
3. The stock in respect of which the WST has been paid is trading stock
4. Evidence of the WST paid is available and retained
5. All relevant records of the stock-take at 30 June 2000 are available to validate the
claim for the credit.
The claim is calculated in one of two ways:
1. Physical stock-take with details of the actual WST included in the cost of each item. This
can be obtained by referring to the original invoices, copies of which should be kept with
the stocktaking records. The total WST is then claimed as a special credit.
2. Where it is not possible to identify the WST content of each item on hand at 30 June you
may use the following formula:
Rate of WST applicable to a category of goods multiplied by 50% of the cost of those
goods.
Eligibility of Goods
Items in respect of which the credit is claimable are those purchased or imported and held
for sale or exchange (but not for manufacture).
Items on which you may not claim the WST credit are:
• second-hand goods, unless you imported them for sale or exchange and paid sales tax on
them
• plant and equipment which you have used in your business
• demonstration goods, or
• goods for hire or lease.
Alcoholic beverages
A partial credit is available in respect of certain types of alcoholic beverages. You are
advised to contact the ATO or your financial adviser to discuss your eligibility for the
special WST credit.
Business Activity Statement Adviser Education Programme
41
Subsequent adjustments to Claim for WST credit
The ATO advises that any alteration to the amount claimed as a special WST credit must
be reported by submitting a Revised Activity Statement.
Adjustment may arise in respect of the relevant goods as a result of:
• using the goods for private purposes. Include the market value of the goods at Box 1G on
the Activity Statement.
• receiving discounts or rebates that reduce the price on which the WST was calculated.
• returns received back into stock or returned to your supplier.
Reference: ATO Ruling GSTR 2000/8 issued 19.4.2000
Business Activity Statement Adviser Education Programme
42
Overview of PAYG
The introduction of Pay As You Go (PAYG) combines all of the various methods and
payments of income tax of taxpayers earnings under one system.
Under the PAYG systems all taxpayers currently liable to file income tax returns will still
have those obligations but all of the methods of paying the taxes attributable to their
income during an income year have been combined under the same umbrella.
The PAYG system is broken up into two parts. The PAYG withholding system deals with
the obligations to deduct tax at source. The PAYG instalment system covers income that
was not subject to PAYG withholding.
(Modified from an ATO publication)
Pay As You Go
PAYG Withholding
means paying amounts
you withhold from others
Replaces
PAYE and other
withholding systems. (The
PPS and RPS systems will
be abolished.)
PAYG Instalments
means paying your
own tax
Replaces
provisional tax and
company and
superannuation fund
system
one set of due dates
one form for reporting and payment
Business Activity Statement Adviser Education Programme
43
PAYG Withholding System
What is the new PAYG system?
It is a part of the New Tax System effective from 1 July 2000.
The PAYG withholding system replaces 9 existing systems which require that tax be
withheld by a payer at source and which require certain taxpayers to pay provisional tax in
advance of their final assessed income tax liability.
The withholding systems to be replaced include the current PAYE (Pay As You Earn
deductions from salaries and wages), PPS (Prescribed Payments System applicable to
certain contractors), RPS (Reportable Payments System applicable to industries).
The new PAYG withholding system will integrate all the previous systems. A payer will
be required to withhold tax on certain specified payments, including where applicable,
some non-cash benefits. Penalties will be incurred if the relevant amounts are not withheld
and remitted to the ATO on the due dates.
Payment due dates for all PAYG withholdings will be aligned so that all withholding
amounts deducted by a business will be sent to the ATO at the same time.
Note The new system affects all businesses, whether commercial or not for profit and
charities, as well as some individuals such as self-funded retirees.
Business Activity Statement Adviser Education Programme
44
Presenters Note:
Nine Systems replaced by PAYG withholding:
1. PAYE (Pay As You Earn)
2. PPS (Prescribed Payments System)
3. RPS (Reportable Payments System)
4. Dividend withholding tax
5. Investment income where no TFN provided
6. National resource payments, dividends, interest and royalties paid to non-residents
7. Mining on aboriginal land
8. Repaid farm management deposits
9. Withdrawals from Australian Film Industry Trust Fund Accounts
PAYG WITHHOLDING
Started on July 1 2000
What s new?
Voluntary agreements
Labour hire
No ABN
Nine systems replaced by PAYG withholding
CALCULATION SHEET EXTRACT:
Total of salary wages
and other payments
Amounts withheld
from investment
distributions where
no TFN is quoted
W2
Amounts withheld
from salary wages
and other payments
Amounts withheld
from payment of
invoices where
no ABN is quoted
Amounts withheld from all payments for the period ( dates pre-printed
by ATO)
Add W2 + W3 + W4 and write the amount at 4 on the front
W3W1
W4
Business Activity Statement Adviser Education Programme
45
Terminology for PAYG Withholding
Australian Business Number (ABN) —the number issued to all entities carrying on an
enterprise with effect from 1 July 2000. It is intended that the ABN will replace the ACN
and ARBN.
BAS or Business Activity Statement is used monthly or quarterly by entities which are
registered for GST to report their business tax obligations and entitlements
Commissioner s Instalment Rate (CIR) —a rate of PAYG instalment notified by the
ATO for use when paying instalment of tax
EFT — Electronic Funds Transfer
FBTAA - Fringe Benefits Tax Assessment Act
General Interest Charge (GIC) — an interest charge on late payments of tax calculated
daily on a compounding basis. The daily rate is the weighted average yield for the 13
week Treasury Note yield rate plus 8%, divided by 365. This will be adjusted quarterly.
(TAA sec 8AAD).
Goods and Services Tax (GST)- a 10% tax on most goods and services supplied in
Australia from 1 July 2000
Higher Education Contribution Scheme (HECS) —employees who have attended
tertiary institutions and have an unpaid debt in respect of the relevant fees are required to
have repayments deducted from their remuneration
IAS or Instalment Activity Statement is used by entities or individuals which are not
registered for GST to report their tax obligations and entitlements.
ITAA - Income Tax Assessment Act
Labour Hire Firm — any firm which wholly or partially arranges for individuals to
perform work or services for their clients. If this activity is only incidental to the business
then it does not fit into this definition.
Payment Summary — replaces former Group Certificate and shows total payments made
to the employee, total tax deducted therefrom as well as other information such as
reportable Fringe Benefits, and no ABN withholding.
TAA —Tax Administration Act 1953
TFN —Tax File Number
TFN Declaration — replaces former employment declaration completed by all employees
Business Activity Statement Adviser Education Programme
46
General References:
• Guide to Pay as You Go for business (March 2000)
• Guide to Pay as You Go for individuals (March 2000)
• Transferring from PAYE to PAYG withholding (June 2000)
• PAYG Instalment Activity Statement Instructions
• PAYG Business Activity Statement Instructions
Note: Forms published by the ATO are available on the ATO website at
www.taxreform.ato.gov.au
Business Activity Statement Adviser Education Programme
47
Registration for PAYG
Before a payer can be part of the new PAYG system the payer must be registered for
PAYG withholding.
How does a payer register for the new system?
Currently registered for withholding taxes:
If you are currently registered under one of the existing withholding systems you will
automatically be included in the new PAYG system. Most businesses for example are
already registered as group employers, deducting PAYE from salaries and wages.
Registering for the first time:
If you are not currently withholding any taxes then you need to notify the ATO that you
will be doing so before you make the first PAYG withholding payment.
Payers that are required to withhold tax for the first time would include those paying a
supplier of goods or services that does not provide an ABN (Australian Business Number)
as part of a business transaction
Entities required to withhold tax
Entities required to withhold tax fit into three categories, small, medium or large,
depending on the total annual amounts of tax withheld by them.
Payment to the ATO of the amounts withheld will be due on specified dates and normally
be included on one of the following two statements:
Business Activity Statement — BAS — if registered for GST
Instalment Activity Statement — IAS — if not registered for GST
Registration for PAYG
Currently registered for withholding taxes
Registering for the first time
What s required to withhold tax
BAS - monthly or quarterly only if registered for GST
IAS - monthly or quarterly if not registered for GST
Business Activity Statement Adviser Education Programme
48
Small, Medium and Large withholders
Different rules apply to each size category of PAYG withholders and may be summarised
as follows:
Annual
withholdings
Remittance due Report required to accompany
payment
SMALL
Up to $25,000
Quarterly
On or before the 21st
of the
month following the period end
BAS quarterly if registered for
GST or
IAS quarterly if not registered for
GST
MEDIUM
$25,001
to $1 million
Monthly
On or before the 21st
of the
month following the period end
BAS monthly or quarterly if
registered for GST
IAS monthly or quarterly if not
registered for GST
LARGE
Over $1
million
Weekly:
Deductions made from
Sat — Tues due following Mon
Wed — Fri due following Thurs
ATO approved form for weekly
payments (EFT Code Type 70)
plus
BAS monthly or quarterly
(EFT Code Type 60 for other
liabilities on BAS)
Small withholders for the year 2000-2001:
• You withheld $25,000 or less in total in respect of all types of withholdings for the
financial year ended 30 June 2000
Obligations:
• Must pay PAYG withholdings quarterly
Medium withholders for the year 2000-2001:
• You were a medium withholder for June 2000 and would have been even if PPS and
RPS withholdings had been ignored
• Your withholdings for the financial year ending 30 June 2000 exceeded $25,000
• The ATO determines that you are a medium withholder
Business Activity Statement Adviser Education Programme
49
Obligations:
• Must pay PAYG withholdings monthly
Large withholders for the year 2000-2001:
• Classified as a large remitter for June 2000
• Have PAYE remittances of more than $1 million (alone or as part of a company
group) for the 1999-2000 financial year
• The Commissioner determines that you are a large withholder
Obligations:
• Must pay PAYG withholdings to the ATO weekly
• Must pay electronically — direct payments or Bpay using EFT code (Type 70)
• Can offset a net GST liability against only one withholding liability by lodging a
PAYG Withholding Liability Notification on or before the withholding due date
Note A withholder classified as large as at June 30 (due to obligations under the PPS
and/or RPS systems) may be able to request reclassification to medium, or even small,
post 30 June 2000.
Large withholders from the year 2001-02 onwards:
The $1 million threshold will be calculated taking into account all payments subject to
PAYG withholding, not just withholdings previously classified as PAYE.
The total must include all the PAYG obligations of wholly-owned companies in a group
and of all branches of an entity.
Reference: Large withholders guide to paying PAYG withholding liabilities; Business
Activity Statement instructions
Note:
In calculating the total PAYG withholdings even those amounts withheld from suppliers
who do not quote an ABN must be included.
Change of status — the ATO can vary the status of a withholder on a monthly basis. The
determination will be given before the relevant month to which it will apply.
Classification for PAYG
Small - up to $25,000
Medium - $25,001 to $1,000,000
Large - over $1,000,000
Change of status
Business Activity Statement Adviser Education Programme
50
Practical Issues for Employers
CALCULATION SHEET EXTRACT
Under the PAYG withholding system employers have the following obligations:
1. Obtain a valid “Tax File Number declaration” from all employees. Valid employment
declarations on hand at 30 June 2000 qualify as TFN declarations.
2. Obtain a “Withholding Declaration” from employees who wish to, or need to, have
their normal PAYG withholding amounts varied (this single page form is accompanied
by 24 pages of instructions). The reasons for requiring a variation would include
having a HECS debt or being eligible for certain rebates.
3. Determine amount of tax to be withheld using relevant tax tables effective from 1 July
2000.
4. Variations issued under the PAYE system expire on 30 June 2000. New variations
need to be obtained.
5. Where no TFN is provided by an employee the rate of tax is the top marginal rate,
including the Medicare levy. An employer is required to notify the ATO in the
approved form within 14 days if an employee does not provide a TFN.
6. A transitional requirement is to report to the ATO by 31 October 2000, in the
approved form, all employees who have not provided a TFN to their employer.
7. If the payee is not an Australian resident then foreign resident tax rates apply.
Total of salary wages
and all other payments
Amounts withheld
from salary wages
and other payments
Amounts withheld from all payments for the period (dates pre-printed)
W1 $
W2 $
Business Activity Statement Adviser Education Programme
51
8. Deduct PAYE from salaries and wages, termination payments etc.
9. Remit to the ATO weekly, monthly or quarterly depending on the total annual PAYG
withholding threshold of the employer.
10. If the remittance date coincides with the due date for a BAS or IAS then the
calculations are entered into BAS boxes W1 to W4 and the total due is transferred to
BAS Box 4.
11. Issue Payment Summaries (previously Group Certificates) for each employee by July
14, or when requested by an employee leaving (within 14 days).
12.Provide an annual report (previously the reconciliation statement) to the ATO, by 14
August, summarising all payments made to payees and the amount of tax withheld
(including Nil amounts). An employer can report on the approved form or provide
copies of all Payment Summaries issued, with a summary statement.
PAYER S OBLIGATIONS
Register for PAYG?
Withhold where required
Notify and remit
Annual report to ATO
Issue Payment Summary to payee
NO TFN report to ATO by 31 October
References: TAA sec 16-150; Pay As You Go (PAYG) Withholding Tax Tables
effective for payments made on or after 1 July 2000
Business Activity Statement Adviser Education Programme
52
Categories of PAYG Withholding
Employment related:
1. Salaries and wages paid to employees
2. Remuneration paid to a director of a company
3. Salary paid to an office holder (e.g. member of the Defence Force)
4. Return to work payment to an individual
5. Payment to an individual under a Voluntary Agreement (NEW)
6. Payment under a Labour Hire Arrangement, or one specified by regulations (NEW)
7. Pension or annuity
8. Eligible termination payment
9. Payment for unused leave on retirement or termination of employment
10. Social security or similar payment e.g. old age pension
11. Commonwealth education or training payment
12.Compensation, sickness or accident payment
Investment related:
13. Investment income paid – recipient provides neither TFN nor ABN
14. Investor becoming ‘presently entitled’ to income of a unit trust
ABN:
15. No ABN quoted by recipient of a payment for a supply of goods or services (NEW)
Non-residents:
16. Dividend paid to an overseas person
17. Dividend received for a foreign resident
18. Interest paid to an overseas person
19. Interest payment received for an overseas person
20. Interest derived by a lender in carrying on a business through a permanent
21. establishment overseas
22. Royalty paid to an overseas person
23. Royalty received for an overseas person
Mining:
24. Mining payment (refer ITAA sec 128V)
25. Natural resource payment (at least one recipient is a foreign resident)
Note that only 5, 6, and 15 above are NEW types of withholding.
Business Activity Statement Adviser Education Programme
53
Taxing of Allowances
PAYG withholding applies to certain allowances that are not included in the normal
salaries and wages paid to employees but which are paid for:
• Working conditions eg. danger, height and dirt
• Qualifications or special duties eg. safety officer
• Expenses that are non-deductible for income tax purposes eg. for travel between home
and work
• Work-related expenses that may be income tax deductible eg. travel between work
sites
Allowances excluded from PAYG withholding
Some allowances have been specifically excluded from withholding by the Commissioner
subject to the following:
• The payee is expected to incur the expenses and they may be claimed as a tax
deduction at least equivalent to the amount of the allowance, and
• The amount and nature of the allowance is shown separately in the accounting records
of the payer
Examples of excluded allowances include payment for travel costs based on a cents per
kilometre basis but only up to 5000 kms, laundry allowances for deductible clothing up to
the threshold amount.
ATO Schedules
The ATO has produced schedules of the allowances and their treatment for PAYG
purposes.
References: PAYG Bulletin Number 1
Business Activity Statement Adviser Education Programme
54
Non-Cash Benefits and PAYG
Withholding
What is a non-cash benefit?
A non-cash benefit includes property or services in any form except money. Barter
transactions are a typical example of this.
PAYG withholding is required in respect of all non-cash benefits provided to persons,
other than employees, given in exchange for goods or services where the payment would
have been subject to PAYG withholding had it been made in money. This is to ensure that
the withholding provisions are not by-passed by making payments in the form of non-cash
benefits.
The payer of a non-cash benefit subject to PAYG withholding is required to:
• Establish the market value of the benefit being given to the recipient
• Calculate the relevant tax on that amount
• Remit the tax to the ATO before the benefit is supplied to the recipient
• Provide the recipient with a Payment Summary at the end of the financial year
• Recover the amount of tax paid to the ATO on behalf of the recipient from the
recipient either in cash or by offsetting that amount against any further payments due
to the recipient.
No PAYG withholding is required if the benefit is:
• A fringe benefit
• An exempt benefit under the Fringe Benefits Tax Assessment Act 1986
• The acquisition of a share or right under an employee share scheme
Example:
Sarah has entered into a Voluntary Agreement with a property developer to
landscape the gardens surrounding a new corporate office block. The property
developers offer her one of their second-hand vans as payment for her services. The
company is required to establish the market value of the van and pay over the
relevant withholding tax to the ATO before the vehicle is given to Sarah. Sarah is
then obliged to pay to the company the amount of tax paid on her behalf.
Alternatively if the company owes her more than the market value of the van it can
offset such amounts against what is due to her.
References: ATO Fact Sheet NAT3066; Fringe Benefits Tax Assessment Act 1986;
ITAA 1936 Div 13A of Part 111.s
Business Activity Statement Adviser Education Programme
55
Contractors and Employees under
the New Tax System
When is an individual a contractor and not an employee ?
It is important for a payer to know whether a payee is classified as an employee or a
contractor for tax purposes. If the payee is an employee then the payer will be required to
deduct tax from the salary/wages at time of payment. Alternatively if the payee is a
contractor, tax will only be deducted at time of payment if the PAYEE fails to provide an
ABN. In this event tax will deducted at the rate of 48.5 cents in the dollar.
Who is an employee within the ordinary meaning of that expression?
There are definitions in the legislation and much case law but essentially there must be a
contractual relationship between an employer and an employee requiring the provision of
service on the part of the employee. This is a difficult area of tax law and is by no means
settled.
In essence this area of the law affects the contractor, and not the person using the
contractors services. Any individual holding themselves out as being a contractor should
familiarise themselves with the ATO s publications and rulings in this area. In particular
contractors should be familiar with Draft Ruling TR2000/D2, and the rulings relating to
entities [eg companies] that are interposed between the individual performing the services,
and the person who utilises those services.
Individuals who wish to operate as independent contractors would be advised to discuss
their individual situation with the ATO or their financial adviser.
Contractor or Employee?
ATO ruling
Control is a significant factor
If an employee — PAYG withholding
If a contractor — ABN required but no withholding
Organisations using the services of contractors, and not operating under a Voluntary
Agreement,[see page 56] will not be obliged to verify the status of people who hold
themselves out to be contractors. They should however ensure that they obtain an ABN if
no tax is deducted..
Business Activity Statement Adviser Education Programme
56
Voluntary Agreements
The PAYG system allows for a new form of contractual arrangement between an
individual (the contract worker) offering their services and businesses requiring those
services.
This option is available under the following circumstances:
• The contract worker (payee) has an ABN, and
• The payments for the services are not subject to any other PAYG withholding eg. a
Labour Hire Arrangement
Payer
If this arrangement suits both parties the business is required to:
• Enter into a formal written contract to be signed by both parties. You may use the
ATO form NAT2772, A Voluntary Agreement for PAYG Withholding .
The original is the payer s copy, the duplicate is the payee s. There is no requirement
to lodge a copy with the ATO.
Or the parties may draw up their own contract ensuring that it contains at least the
following information:
• Commencement date of contract
• Type of service being provided
• Statement that the payments made are subject to a Voluntary Agreement under sec 12-
55 of Schedule 1, Part 2-5 of the TAA
• Payee s and payer s ABN, name, and address
• Rate of withholding
• If the contract worker is engaged more than once it will not be necessary to draw up a
new agreement each time the contract worker performs services for the business. The
Voluntary Agreement remains in force until such time as it is terminated in writing by
either party
• Deduct PAYG withholding at the payee s instalment rate as notified by the ATO
(Commissioner s Instalment Rate), if greater than 20%. If the CIR is less than 20% the
two parties must agree to use the lower rate, failing which the rate will remain at 20%.
Where no CIR has been supplied then the 20% rate applies.
(The rate is applied to the payment net of any GST that may have been charged)
• Pay the withholding tax to the ATO on the next activity statement BAS box W2.
Show gross payments in BAS box W1
• Issue the contractor with a Payment Summary by 14 July each year, or earlier if
requested
• Retain the agreements for the duration of the contract and for 5 years thereafter.
• Give an annual report of all payments withheld to the ATO by 14 August each year
Business Activity Statement Adviser Education Programme
57
The contract worker/payee:
• Will not be required to pay any PAYG instalments on the income earned under the
Voluntary Agreement. They effectively end up in a similar situation to an employee,
the amounts earned under the agreement being returned in their annual income tax
return as well as the credit for the withholdings.
• Must retain copies of Voluntary Agreements while they are in force and for a period of
5 years thereafter
• Must complete an activity statement by the due date, excluding payments received
under a Voluntary Agreement. This is necessary even if it is a Nil statement
• Charge GST on the value of the service only if they are registered for GST and if the
payer is not entitled to a full GST input tax credit
• A GST registered contract worker can claim input tax credits on all inputs used in
supplying the relevant services
GST implications for voluntary agreements:
In most cases the supply of the services under a Voluntary Agreement will not be subject
to GST even if the contract worker is registered for GST. However, if the business is not
acquiring the services for a creditable purpose then it will be required to pay GST on the
services.
Failure by either party to retain a copy of the Voluntary Agreement for the specified
period may result in penalties.
Example:
Tom is registered for GST and provides computer software support to a limited
number of businesses. He enters into two separate Voluntary Agreements as follows:
1. Bird and Associates, a firm of accountants. Tom will not include GST in his
invoices to the firm but he can still claim all relevant GST input tax credits on his
inputs.
2. ABC Bank Ltd., providing financial supplies, all of which are input taxed. Tom
will include GST on his invoices to the bank and he can still claim his input tax
credits.
Reference: PAYG Voluntary Agreements NAT3063-6.2000; TAA sec 12-55
Voluntary Agreements
Written contract
ABN required
GST chargeable?
Not included in instalment income of payee
Business Activity Statement Adviser Education Programme
58
Labour Hire Arrangements
Labour hire arrangements involve 3 parties:
1. Labour Hire Firm
2. Client of the Labour Hire Firm
3. Worker (an individual) who is not an employee of either of the other 2 parties
They involve at least 2 contracts:
1. Between the Labour Hire Firm and the client [numbering not quite right
here]
2. Between the Labour Hire Firm and the worker
A Labour Hire Firm is any firm that wholly or partially arranges for individuals to perform
work or services for their clients. If this activity is only incidental to your business then
you do not fit into this definition. The following examples where withholding tax does not
apply help to illustrate this point:
Example 1: Incidental use of a third party for a client
A solicitor using the services of a barrister for a client will not be required to
withhold tax from payments to the barrister.
Example 2: Contractor using a subcontractor on a project
A contractor using a subcontractor on a project commissioned by a client will not be
required to withhold tax from the payments under the labour hire arrangement rules.
However, there may be an obligation to withhold due to some other circumstance
such as the subcontractor not providing an ABN.
Example 3: Staff recruitment agency
The agency recruits a new CEO for a client. There will be no withholding obligation
on the part of the agency. The client will have a PAYG withholding obligation in
respect of its new employee (and possibly in respect of its payment of commission to
the agency if it fails to supply an ABN).
Business Activity Statement Adviser Education Programme
59
Labour Hire Firm
The PAYG withholding obligations for the parties to such an arrangement are as follows:
1. Labour Hire Firm is obliged to withhold tax from all payments it makes to the worker
and pay these to the ATO
2. The client has no PAYG obligations
3. The worker will receive a Payment Summary from the Labour Hire Firm at the end of
the financial year and return the income in his/her annual income tax return.
Example
ABC Ltd. (the client) contracts with IT Services (the Labour Hire Firm) to supply
contract workers during their peak periods to assist with processing data. Jean Jones
is on the books of IT Services and is sent to work at ABC Ltd. for a month. She will
be paid by IT Services, which is obliged to withhold tax from all payments made to
her. There is no PAYG withholding obligation on the part of ABC Ltd.
Reference: ATO publication NAT 3069.
This payment is
subject to
withholding
Labour Hire Firm
Worker
(individual)
Client
Business Activity Statement Adviser Education Programme
60
Transitional rules for PPS Payees
It is proposed to set rules in place for 2 years from 1 July 2000 enabling some contractors
to retain their classification as contractors rather than becoming employees . Those
trading through an incorporated entity will continue to be taxed at the corporate tax rate
and individuals will still be entitled to business deductions provided that:
• They are currently in the Prescribed Payments System (PPS system)
• They satisfy one of four criteria:
1. Have their own business premises
2. Have 2 or more unrelated clients
3. Have one or more employees that perform at least 20% of the
work
4. Able to satisfy the Commissioner that the entity is not a loss-
making operation and that the tools of the trade are supplied
References: New Business Tax System (Alienation of Personal Services Income) Bill 2000;
NBTS (Alienated Personal Services Income)(Tax Imposition) Bill (No 1) 2000; NBTS
(Alienated Personal Services Income)(Tax Imposition) Bill (No 2) 2000;
Draft tax ruling TR2000/D2
Business Activity Statement Adviser Education Programme
61
Prescribed Payments and Reportable
Payments System
Prescribed Payments System — under this system tax was withheld from certain
prescribed payments for construction and other specified contracts under specified
circumstances.
Reportable Payments System — under this system payers were required to report to the
ATO payments relating to specified transactions in connection with the clothing, fishing,
smash repair and fruit and vegetable industries. Where no TFN was provided by the payee
there was an obligation to withhold tax at 48.5%.
Both of these systems have been abolished with effect from 1 July 2000 and incorporated
into the new PAYG withholding system.
The options for a payer are:
1. The contractor is registered for GST and provides valid tax invoices – no PAYG
withholding tax
2. The contractor is not registered for GST but provides an invoice with a valid ABN –
no PAYG withholding tax
3. The contractor provides an invoice with no ABN – deduct tax at maximum marginal
rate, currently 48.5%
4. Contractor enters into a Voluntary Agreement with your entity - deduct PAYG
withholding at the relevant rate from all payments made to him/her
5. Contractor is employed through a Labour Hire Firm – the hire firm pays the contractor
and is responsible for deducting PAYG withholding.
6. The contractor is treated as an “employee” – deduct PAYG from all payments in
accordance with the relevant tax tables
Payer s obligations
If one of the above options requires PAYG withholding tax to be deducted then the payer
is required to:
• Withhold tax at the relevant rate at the time payment is made
• Pay all amounts withheld to the ATO together with other PAYG withholdings. This
will be weekly, quarterly or monthly depending on the annual threshold of total PAYG
withholdings.
• Provide the supplier/contractor with a Payment Summary on or before 14 July each
year (or earlier if requested).
• Report the totals deducted as PAYG withholding tax annually to the ATO on or before
14 August.
Business Activity Statement Adviser Education Programme
62
Payee
The contractor or recipient of income under the new PAYG system will be affected as
follows:
• If registered for GST then the GST charged to the customer must be paid to the ATO
monthly or quarterly. (No GST charged if transaction is subject to a Voluntary
Agreement and the recipient of the services is not input taxed)
• PAYG instalments will be payable to the ATO by the recipient in respect of all
business or investment income that has not been subject to PAYG withholding.
Note: It is important to comply with other legislation in regards to employee/contractor
relationships, including Work Cover, superannuation and payroll tax.
References: ITAA Sec 221YHAAF to 221YHZ; Sec 220AA to 220AZH
PPS and RPS
Abolished
Payer s obligations as with all PAYG withholding
Business Activity Statement Adviser Education Programme
63
Withholding when no ABN supplied
CALCULATION SHEET EXTRACT
Most individuals and entities operating a business in Australia will quote an ABN on all
invoices issued on or after 1 July 2000 for goods or services supplied to another business.
Where no ABN is quoted the payer is obliged to:
• Withhold an amount from all payments equivalent to the maximum marginal rate,
currently 48.5%. This includes payments made in a form other than cash, in which
case the value of the transaction is the market value of the payment item
• Pay this to the ATO in the next period. The total of no ABNs must be shown on the
BAS or IAS in Box W4
• Issue the supplier with a Payment Summary at the end of each financial year by July
14, or earlier if requested, to enable the payee to claim a credit for the tax withheld
• Pay a penalty to the ATO if no withholding is made, equivalent to the 48.5% which
should have been withheld, or 10 penalty units. These payments are not deductible for
income tax purposes hence the effective penalty is increased
• Keep the payments separate from other payment records because the invoice will not
constitute a valid tax invoice and no GST input tax credits will be available in respect
of such payments
• Complete an annual report summarising all such payments and send it to the ATO by
31 October.
Amounts withheld from
payment of invoices where
no ABN is quoted
Amounts withheld from all payments for the period (dates pre-printed)
W4 $
Business Activity Statement Adviser Education Programme
64
The need to withhold does not apply in the following circumstances:
1. The supply is one of a series and you have the ABN on permanent record.
2. The payer is an individual and the payment is wholly of a private or domestic nature.
3. The payment does not exceed $50.
4. The whole of the payment is exempt income of the payee e.g. the supplier is an ITEC
(income tax exempt charity) or a public hospital.
5. The payer is already obliged to withhold under the no TFN rule.
6. The payer receives a written statement from the payee that the supply is wholly private
or domestic in nature, or relates to a hobby.
7. The supplier provides a copy of a notice from the Commissioner stating that their
activities are not considered to be an enterprise .
8. The supplier of goods or services is a non-resident that does not have a permanent
establishment, agent or branch office in Australia.
9. The supplier is an individual under the age of 18 and the payment totals less than $120
per week (does not include an employee ).
Validity of ABN quoted:
What obligation does a payer have to verify the validity of an ABN appearing on an
invoice?
There is no obligation, provided that under the given circumstances any reasonable person
would be entitled to assume that the ABN was valid. If the number looks incorrect (e.g. it
has more than 11 digits, or 14 if it belongs to a branch of a bigger business, or it has any
letters in it) It should then be verified with the Australian Business Register – phone 13 72
26.
References: Withholding when an ABN is not quoted — ATO Fact Sheet (12/99);
Q & A PAYG Withholding — what to do when your supplier does not quote an ABN; ITAA
1997 subdivision 50A
Withholding when no ABN supplied
Withholding rate 48.5%
Unless specified circumstances exist
Payee s obligations
Penalties for not withholding
Business Activity Statement Adviser Education Programme
65
Withholders of amounts not related
to Employment
Entities required to withhold amounts other than those related to employment are obliged
to:
• Deduct relevant amounts from payments made
• Pay amounts withheld to the ATO in BAS Box W4.
• Report to the ATO in the approved form by October 31 each year the totals of all
amounts withheld during the financial year ended the previous 30 June
• Provide the Payment Summaries and a copy to the relevant payees or other specified
persons by July 14, or when requested by a payee (unless this request is received in the
21 days prior to the financial year end)
References: Guide to PAYG for Business (March 2000)
Business Activity Statement Adviser Education Programme
66
Investment Income
Entities paying investment income
Entities such as banks and other financial institutions that are currently required to
withhold tax on investment income will be included in the PAYG withholding system
from 1 July 2000 and is recorded in BAS Box W3. They will be required to withhold tax
in the following circumstances:
• When paying investment income to a recipient who does not provide either an ABN or
a TFN — amount will be the maximum marginal rate of tax, currently 48.5%
• Income derived by an investor who becomes presently entitled to income from a unit
trust
• Dividend or interest or royalty paid to an overseas person
• Dividend or interest or royalty received by an agent on behalf of an overseas person —
the agent will be required pay the relevant tax to the ATO
• Where interest is earned by an entity as a result of investments in a business which has
a permanent establishment overseas that entity will be required to pay the relevant
amount of tax to the ATO when the interest is derived
Investors in receipt of income
If you currently pay provisional tax on investment income or business income you will
probably be required to pay PAYG instalments under the new system. Your payment will
be calculated at a rate supplied to you by the ATO. This will be the case even if PAYG
withholding has been deducted because you did not supply the payer with your TFN.
Investors with a base assessment instalment income of $1,000 or more are likely to be
issued with an instalment rate.
References: Guide to PAYG for individuals with investment income (3/00)
Business Activity Statement Adviser Education Programme
67
Annual Reports and Payment
Summaries for PAYG withholding
Annual Report
Every entity that makes a payment subject to PAYG withholding during a financial year
will be required to submit an annual report to the Commissioner. It must be given in the
approved form detailing every payee and include specified details. These include the total
of each kind of PAYG withholding in respect of each payee, and the total of reportable
fringe benefits paid to each employee.
The due date for the annual report is:
1. August 14 for payers who withhold amounts for:
• Work or services
• Retirement payments, eligible termination payments and annuities
• Benefit and compensation payments
2. October 31 for payers who withhold amounts for:
• No ABN withholding
• Dividend, interest and royalty payments
• Mining Payments
Payers who fit into both categories will need to submit two annual reports — though for the
sake of convenience the payer will be allowable to submit both reports by 14 August if
preferred
Investment bodies
Note that investment bodies will continue to submit TFN reports (to become ABN reports)
and annual investment income reports, rather than the annual report required by all other
PAYG withholders.
Annual Payment Summary
Payers, certain persons acting as agents for foreign residents, and employers paying
reportable fringe benefits who have paid to the ATO amounts withheld under the PAYG
system during the financial year must give a Payment Summary (and a copy) to each
payee by July 14 each year.
The annual Payment Summary must state the:
• names of the payer and payee
• payee s ABN and/or TFN
• total of the payments made during the year
• total of the amounts withheld from those payments
• financial year covered by the summary
• reportable fringe benefits amount
Business Activity Statement Adviser Education Programme
68
Payment Summaries other than annual summaries
A payee may request in writing a part-year Payment Summary during a year provided that
the request is not made in the period 21 days prior to the financial year end.
Payment Summaries can be obtained from the ATO, or they can be created by you, as
long as they contain the following information:
• your business name and ABN
• name of the supplier, and the address if you have it
• total amount invoiced
• amount withheld from the payment
• date the supplier was paid and you withheld tax
• authorised signature
There are certain circumstances where the payer is not obliged to provide a part-year
Payment Summary e.g. for fringe benefits provided to an employee who is still in the
employment of that employer.
Eligible Termination Payments
A separate Payment Summary is required for each ETP and must be provided within 14
days of the ETP being paid to the former employee.
Reference: TAA sec 16-153; sec 16-155
Business Activity Statement Adviser Education Programme
69
Terminology for PAYG Instalments
Quarterly payer
A quarterly payer of PAYG instalments is any taxpayer that holds an instalment rate from
the Commissioner and has not opted (where possible) to be an annual instalment payer
before the first instalment period.
Annual Payer
An annual payer is:
• an entity that is not registered nor required to be registered for GST, or
• a partner of a partnership not required to be registered for GST, and
• the most recently notified notional tax of the taxpayer is less than $8000.
Note the following:
• An annual instalment payer must notify the Commissioner in the approved form on or
before the day the first instalment payment would be due.
• There are special rules for companies where, if a company is part of an instalment
group, or is a participant of a GST joint venture, it is not able to pay an annual
instalment.
• Most businesses will be quarterly payers, including taxpayers that currently pay
provisional tax on an annual basis e.g. primary producers
Instalment income
The instalment income for a period is the ordinary income derived during the period,
but only to the extent that it is assessable income of the income year that is or
includes that period.
Even when there is no instalment income for a period the taxpayer must still advise the
Commissioner of that position.
The instalment income includes total sales for the period (excluding GST paid to the
ATO). It is important to note that the sales included here are gross of expenses. No
adjustment is made for the payment of the expenses attributable to these sales. The
adjustment is recognised in the instalment rate determined by the Commissioner.
Other income that may be included is interest paid or credited to an account, dividends
received (excluding imputation credits), rental received, commissions received, payments
for services rendered.
A repayment of a farm management deposit is included in the instalment income of an
entity, whereas instalment income is reduced by a farm deposit made during a period.
Business Activity Statement Adviser Education Programme
70
Instalment income excludes:-
• Capital gains where the gains are not part of ordinary income. Some taxpayers such as
specified superannuation funds will be required to include capital gains that are part of
their statutory income in their instalment income.
• Income that is not assessable in the income year. An example of this may be exempt
income.
• Receipts subject to PAYG withholding except those from which withholding has
been deducted due to an ABN or TFN not being quoted as required.
Care needs to be taken where an entity is registered for GST on the non-cash basis but
accounts for income tax on a cash basis. The instalment income for the period will not
include invoices issued but not yet paid by the debtors and will include invoices issued in
a prior period and paid for in the current period.
(We will look at this in more detail later)
Instalment Rate
Having calculated the instalment income, a percentage rate is then applied to that figure
to obtain the amount payable to the ATO as an instalment payment. This rate is the
instalment rate:
• The instalment rate is notified to you by the Commissioner.
• If the Commissioner has not issued an instalment rate for an entity no PAYG
instalment is due.
• The instalment rate is calculated by the Commissioner to two decimal places and is
based on your notional tax and your base assessment instalment income.
• The base assessment instalment income is based on your latest income year
assessment made by the Commissioner.
• When the Commissioner informs an entity of the instalment rate he is also required to
inform the entity of the notional tax.
• Your notional tax is a dollar value of tax determined by the Commissioner in a
multiple step calculation. It is important to note that in this calculation the
Commissioner is able to take into account any likely changes that may reduce the
instalment rate issued.
Calculation of notional tax:
Calculate your adjusted taxable income (i.e. total assessable income less any net capital
gain, deductions claimed and losses carried forward).
Adjust for PAYG withholding income. Your adjusted withholding income is income that
has PAYG withholding deducted at source and any reasonable deductions from this
income.Using these amounts a calculation of adjusted tax is made. The adjusted tax,
after adjusting for the adjusted taxable and withholding income, becomes your notional
tax.
Note: Notional tax is a dollar amount
Instalment rate is a percentage to two decimal places.
Business Activity Statement Adviser Education Programme
71
Varied Rate
If taxpayers decide not to apply the Commissioner s instalment rate they may estimate
their own instalment rate for the period. Once a varied instalment rate has been chosen
taxpayers are unable to use the Commissioner s instalment rate for the rest of the current
income tax year. They are however able to choose a further varied rate for the next
quarterly payment of PAYG instalment. If taxpayers decide to adopt a varied instalment
rate the Commissioner will charge a general interest charge (GIC) where the varied rate is
less than 85% of the lesser of
1. their benchmark instalment rate (calculated by the Commissioner) or
2. the instalment rate issued by the Commissioner.
Where a taxpayer has adopted a varied instalment rate they are required to notify the
Commissioner of the rate in BAS box T3.
Benchmark instalment rate and benchmark tax
These are the instalment rates and tax liability actually assessed for an income tax year.
Whereas the notional rates are those expected for a period, the benchmark instalment
rate and benchmark tax are calculated on the actual amounts assessed for the period.
GDP-adjusted notional tax
This type of instalment payment requires the Commissioner to inform you of the amount
of each instalment based on the current GDP (Gross Domestic Product) adjustment. As
with the instalment rate it is possible to estimate your own benchmark tax for the year but
you again may attract a GIC where there is a variation between the estimation and actual
payments required.
The choice to be a GDP-adjusted notional taxpayer must be made on or before the
instalment is due. You are required to notify the Commissioner in the approved form.
In order to choose the GDP-adjusted notional tax basis of paying PAYG instalments the
following conditions must be met::
• You must not be registered nor required to be registered for GST, and
• You must not be a partner in a partnership registered nor required to be registered for
GST, and
• Your most recent notional tax notified by the Commissioner must be $8000 or more.
This system will probably be of most interest to taxpayers such as self-funded retirees.
Note: Examples of instalment rate calculations may be found in the Appendices.
Business Activity Statement Adviser Education Programme
72
PAYG Instalments
CALCULATION SHEET EXTRACT
From 1 July 2000 most Australian taxpayers will have a new system of paying instalment
tax. (For those with pre-June balance dates they are already in the new PAYG instalment
system.) This will replace the existing company tax instalment payments and provisional
tax payments.
The payment dates for PAYG instalments will be largely uniform regardless of the type or
size of an income tax-paying entity.
The payment of the PAYG instalment will be part of the filing of the Business Activity
Statement (BAS) if the entity is registered for GST. If the entity is not registered for GST,
the PAYG instalment will be part of the Instalment Activity Statement (IAS).
The only exception is the option of paying PAYG tax instalments on an annual basis. This
exception will only apply to a small number of taxpayers.
Otherwise PAYG income tax instalments will be due on a quarterly basis, due and payable
on or before the 21st
of the month following quarter end.
For those with a June balance date the payment dates for instalment tax will be
First Payment 21 October
Second Payment 21 January
Third Payment 21 April
Fourth Payment 21 July
Pay As You Go instalment for the period (dates pre-printed)
Once you have worked out your PAYG instalment using the instructions,
write this amount at 5A on the front
Commissioner /
chosen T2
instalment rate
%
New varied instalment Reason for
rate T3 % variation T4
Instalment T1 $
income
Business Activity Statement Adviser Education Programme
73
The wash-up payment (assessed tax less instalment payments made) will continue to be
due, based on the filing requirements for the income tax returns. So any balance of tax due
in respect of a completed financial year will be payable by the due date indicated on the
taxpayer s assessment.
For tax-paying entities with a balance date other than June, the instalment due dates will
be:
First Payment (for the first three months of the entities financial year)
21st
of the fourth month.
Second Payment (for the second three months of the entities financial year)
21st
of the seventh month.
Third Payment (for the third three months of the entities financial year)
21st
of the tenth month.
Fourth Payment (for the final three months of the entities financial year)
21st
of the month following year-end.
The PAYG instalment payments will be based on the instalment income earned for the
quarter. The instalment income is then multiplied by the instalment rate (supplied by the
ATO unless the taxpayer has estimated their own instalment rate).
It is very important to note that when the instalment income for a period is nil the ATO
must be advised of this.
PAYG Instalment System
Starts 1 July 2000
Tax paid throughout the current year on current year
turnover
Aligns payment dates
Not for solely salary and wage earners
Business Activity Statement Adviser Education Programme
74
Calculation of Instalment Income
The calculation of the instalment income of the entity for the period is an essential part of
the PAYG instalment system. It is on this instalment income that the instalment is based
regardless of what instalment rate you have adopted for the period. (Unless you are paying
on the GDP-adjusted notional tax option)
Where a tax-payer is registered for GST the Total sales and income and other supplies
shown in Box G1 will form the basis of the instalment income.
For those registered for GST on a monthly basis this will be the total of each of the three
months for that quarter. For those registered on a quarterly GST basis it is the information
shown on the current BAS.
Note: Be careful to make any relevant adjustments for the transitional period.
For these taxpayers the instalment income will consist of:-
• Total sales and income and other supplies for the period less any disposal of capital
items that may be included in this amount (unless capital gains form part of your
statutory income). The GST that has been included in the sales, income and other
supplies is to be deducted.
• In addition to the sales income and other supplies in the GST portion of the BAS the
taxpayer must be careful to include other income they may have received for the
period. Examples of this may be interest received or credited to their bank account,
dividends received or applied on their behalf (excluding any imputation credits).
• If there is any other income that is not included in your GST calculations of income
these must be included — the only exceptions are forms of income that are subject to
the PAYG withholding provisions such as wages, salaries or payments under
Voluntary Agreements.
• If PAYG withholding has been deducted from income because an ABN or TFN has
not been quoted this must be included in the entity s instalment income for the period.
• If you are a primary producer any withdrawals from farm management deposits must
be included in your instalment income for the period. (Conversely any deposits made
into a farm management deposit account must be excluded from the instalment
income)
Where taxpayers are not registered for GST they must still ensure that all of the assessable
income for the period has been totalled to arrive at the instalment income. The only
exceptions are where there is a capital gain or income with PAYG withheld at source.
Taxpayers that are not registered for GST may have the option of paying annual PAYG
instalments. This will reduce the number of times this calculation is required.
It is important to note that this is the GROSS income for the period.
No adjustments are allowed to be made for the deductions available.
This is allowed for in the instalment rate issued by the Commissioner.
Business Activity Statement Adviser Education Programme
75
Examples of income to be included in the instalment income
Gross sales _ Interest
Gross rents _ Dividends
Fees for services _ Royalties
Examples for the calculation of instalment income
1. Mrs Martin is a sole trader and has a hairdressing salon. She has an ABN and is registered
for GST. She owns the building next door and receives commercial rent. During a three
month period she has also sold an asset
Sales (including GST) 55,000
Commercial rent (including GST) 3,300
Interest 150
Sale of an asset 5500
Total Receipts 63,950 = BAS Box G1
Less capital item (net of GST) 5,000
Less GST 5,800 = BAS Box G9
Instalment income for quarter 53,150 = BAS Box T1
2. JC Plumbing Services. Details for the three month period 1 July 2000 to 30 September
2000.
Plumbing Services 44,000
Gross income from voluntary agreement 3,000
(20% deducted, $600 at source) ______
Total receipts 47,000 = BAS Box G1
Less Voluntary agreement earnings 3,000
GST 4,000 = BAS Box G9
Instalment income for quarter $40,000 = BAS Box T1
Business Activity Statement Adviser Education Programme
76
Beware
Taxpayers that are registered for GST on the non-cash basis but account for income tax on
the cash basis will need to be extra vigilant when calculating their instalment income for
each period. Care needs to be taken to ensure invoices issued in a prior period but paid
for in the current period are included in the correct quarter for PAYG instalments.
This will involve the recognition of both the payments received during the period and the
invoices issued.
Total invoices issued for period
Add invoices outstanding to
business at period start.
Subtotal
Less invoices outstanding to
business at period end
Net payments received for period
Example:
Joe Bloggs is registered for GST on the non-cash basis but files his income tax return on a
cash basis. In working out his instalment income for the period July to September he only
needs to include the payments he has received for the period rather than the invoices he
has issued.
Total invoiced sales 220,000 = BAS Box G1
Less GST 20,000 = BAS Box G9
200,000
Add debtors 30/6/00 (no GST) 50,000
250,000
Less Debtors 30/9/00* 66,000
Less GST in debtors 4,000 62,000
Instalment Income for quarter 188,000 = BAS Box T1
*Note that debtors will not necessarily all have GST included
Business Activity Statement Adviser Education Programme
77
Quarterly Instalments
Regardless of the size or type of entity all taxpaying entities that have income without
PAYG withholding deducted at source will be required to pay PAYG instalment payments
on a quarterly basis.
The only exception is for a small number of taxpayers that may be able to pay the PAYG
instalments on an annual basis.
The payment of PAYG instalments is based on the instalment income for the entity during
the current period. The instalment income for the quarterly instalment is calculated by the
payer.
The instalment income is then multiplied by a rate to determine the payment due for the
quarter.
Where a taxpayer is registered for GST the instalment income is to be calculated and the
payment made with the filing of the quarterly BAS (due on or before the 21st
of the month
following the end of the quarter).
Where the entity is not registered nor required to be registered for GST the instalment
income and payment is made on the quarterly IAS (due on or before the 21st
of the month
following the end of the quarter).
In both the BAS and IAS the instalment income is shown in BAS Box T1 and the payment
of PAYG instalment is paid in BAS Box 5A.
Payment dates for quarterly PAYG instalment payers
Quarter Period covering Payment due
First
payment
One First 3 months of income
year
On or before the 21st
of
the 4th
month of the
income year
Second
payment
Two Fourth, fifth and sixth
months of the income year
On or before the 21st
of
the 7th
month of the
income year
Third
payment
Three Seventh, eighth and ninth
months of the income year
On or before the 21st
of
the 10th
month of the
income year
Fourth
payment
Four Tenth, eleventh and twelfth
months of the income year
On or before the 21st
of
the 1st
month of the next
income year
Cash-flow implications
The cashflow implications to your entity with the new PAYG instalment system depends
largely on what type of entity you were under the old company/fund instalment or
provisional tax systems.
Business Activity Statement Adviser Education Programme
78
1. Small company instalment payer
If your entity was a small company/fund instalment payer your instalment payments for the year
have been moved forward significantly. A small company or fund instalment payer is one whose
likely tax is $8000 or less.
Small company
instalment payer
30 June balance
date
New PAYG
instalment payment
dates
Year 1 July 2000 to 30
June 2001
Old Instalment dates if
no changes had taken
place
Year 1 July 2000 to 30
June 2001
Net effect
First payment 21 October 2000 15 December 2001 Payment brought
forward by approx
14 months
Second payment 21 January 2001
Third payment 21 April 2001
Fourth payment 21 July 2001
Wash-up Dependent on when
return is due
15 March 2002
Existing rules for small instalment payers
New rules for small quarterly instalment payers
Difference in timing for the first payment of the 2001 year income tax
The special transitional provisions that allow the entity to defer the 15 December 2000 and 15
March 2001 payments and pay the full 100% of the total tax due for the 2000 income tax year over
the next five years. We will look at this in more detail later.
4th
Inst
21 July
30 June 00 30 June 01
21 Oct 21 Jan 21 Apr
1st
Inst 2nd
Inst 3rd Inst
30 June 00 30 June 01
15 Dec 15 Mar
1st
Inst Balance
30 June 00 30 June 01
21 Oct 15 Dec
14 months
Business Activity Statement Adviser Education Programme
79
2. Medium company instalment payer
If your entity was a medium company/fund instalment payer your instalment payments for the year
have been moved forward significantly. The likely tax of a medium company or fund instalment
payer is between $8000 and $300,000.
Medium company
instalment payer
30 June balance
date
New PAYG
instalment payment
dates
Year 1 July 2000 to 30
June 2001
Old Instalment dates if
no changes had taken
place
Year 1 July 2000 to 30
June 2001
Net effect
First payment 21 October 2000 1 June 2001 Payment brought
forward by approx 7
months
Second payment 21 January 2001 1 September 2001
Third payment 21 April 2001 1 December 2001
Fourth payment 21 July 2001 1 March 2002
Wash-up Dependent on when
return is due
1 March 2002
Existing rules for medium instalment payers
New rules for medium instalment payers
Difference in timing for the first payment of the 2001 year income tax
There are special transitional provisions that apply to allow the entity to defer the 1 December 2000
payment to March 2001 and then apply a formula to pay up to 42% of the total tax due for the period
over the next five years. We will look at this in more detail later.
1 June
30 June 00 30 June 01
1 Sep 1 Dec 1 Mar
1st
Inst 2nd
Inst 3rd
Inst Final
4th
Inst
21 July
30 June 00 30 June 01
21 Oct 21 Jan 21 Apr
1st
Inst 2nd
Inst 3rd Inst
1 June
30 June 00 30 June 01
21 Oct
7 months
Business Activity Statement Adviser Education Programme
80
3. Large company instalment payer
A large company or fund instalment payer is one with likely tax of more than
$300,000. If your entity was a large company/fund instalment payer your instalment
payments for the year have been moved forward significantly.
Large company
instalment payer
30 June balance
date
New PAYG instalment
payment dates
Year 1 July 2000 to 30
June 2001
Old Instalment dates
if no changes had
taken place
Year 1 July 2000 to
30 June 2001
Net effect
First payment 21 October 2000 1 March 2001 Payment brought
forward by approx
4 months
Second payment 21 January 2001 1 June 2001
Third payment 21 April 2001 1 September 2001
Fourth payment 21 July 2001 1 December 2001
Wash-up Dependent on when
return is due
1 December 2001
Existing rules for large instalment payers
New rules for large instalment payers
Difference in timing for the first payment of the 2001 year income tax
Special transitional rules may be applied to some of the 2000 year company/fund instalment payments
that were due for payment 1 December 2000. We will discuss these later.
4th
Inst
21 July
30 June 00 30 June 01
21 Oct 21 Jan 21 Apr
1st
Inst 2nd
Inst 3rd Inst
1 June
30 June 00 30 June 01
1 Sep 1 Dec1 Mar
1st
Inst 2nd
Inst 3rd
Inst Final
1 June
30 June 00
21 Oct
4 months
30 June 01
Business Activity Statement Adviser Education Programme
81
4. Quarterly provisional tax payer
If you or your entity was a payer of quarterly provisional tax, payments for the year have been
moved backwards.
Quarterly
provisional payer
30 June balance
date
New PAYG
instalment payment
dates
Year 1 July 2000 to 30
June 2001
Old Provisional dates if
no changes had taken
place
Year 1 July 2000 to 30
June 2001
Net effect
First payment 21 October 2000 1 September 2000 Payment delayed
by approx 6
weeks
Second payment 21 January 2001 1 December 2001
Third payment 21 April 2001 1 March 2001
Fourth payment 21 July 2001 1 June 2001
Wash-up Dependent on when
return is due
Dependent on when
return is due
Old rules for provisional payers
New rules for quarterly payers
Difference in timing for the first payment of the 2001 year income tax
6 week delay
As a result of the delay in the payment of the tax balances, there are no transitional provisions that
apply here.
Final
1 Jun
30 June 00 30 June 01
1 Sep 1 Dec 1 Mar
1st
Inst 2nd
Inst 3rd Inst
4th
Inst
21 July
30 June 00 30 June 01
21 Oct 21 Jan 21 Apr
1st
Inst 2nd
Inst 3rd Inst
1 Sep
30 June 00
21 Oct
30 June 01
Business Activity Statement Adviser Education Programme
82
5. Annual provisional tax payer
If you or your entity was an annual provisional taxpayer for the year your tax payments
have not been moved for the next two years.
Annual
provisional
payer
30 June balance
date
New PAYG
instalment
payment dates
Year 1 July 2000
to 30 June 2001
Old Provisional
dates if no changes
had taken place
Year 1 July 2000 to
30 June 2001
Net effect
Payment
(including prior
year wash-up)
Earliest date for
payment
31 March 2001
Earliest date for
payment
31 March 2001
No change
The 31 March payment date remains for both the 2000/01 and 2001/02 years. For the
2002/03 year onwards a new payment date of the 21 October is created.
Cashflow Effect
Small Company
14 months earlier
Medium Company
7 months earlier
Large Company
4 months earlier
Quarterly provisional payer
6 week delay
Annual Provisional Payer
No change for 2 years
Business Activity Statement Adviser Education Programme
83
Amount of Quarterly Instalment
The amount of each instalment depends on the rate used by the payer. There are four
options available for quarterly instalment payers.
• Using the Commissioner s instalment rate
• Estimating your own instalment rate for the period (varied rate)
- Using the estimated instalment rate from a prior period.
• Paying the GPD-adjusted notional tax amount
• Estimating your benchmark tax for the purposes of GDP-adjusted notional tax.
- Using the estimated benchmark tax from a prior period.
1. Using the following formula:-
Commissioner s instalment rate X Your instalment income for that quarter
Under this approach you use the instalment rate given to you by the Commissioner. The
Commissioner would have informed you of this rate in writing prior to the instalment date
and it will be shown on Box T2 of your quarterly BAS or IAS.
• If you use the instalment rate provided to you by the Commissioner you will not incur
any general interest charge if there is an underpayment of income tax for the period.
• If the Commissioner has not informed you of your instalment rate and it is not printed
in Box T2 you are not required to make a payment of PAYG instalments.
Example of Instalment rate (full example in appendix)
1999 Income Tax Return Jo Bloggs trading as Any Business
Income
Interest on investments 500
Residential rent received 10,000
Sales (goods or services) 500,000
-----------
510,500
-----------
Expenses
Rental house deductions 5,000
Purchases 300,000
Overheads 100,000
Wages 60,000
-----------
465,000
-----------
1999 Taxable Income $ 45,500
======
Business Activity Statement Adviser Education Programme
84
Income tax due Tax Due Tax rate
1999 2000
Income tax 12,167 10,030
Medicare levy 683 683
--------- ---------
Total tax payable 12,850 10,713
===== =====
Commissioner s Instalment Rate to be used for 2001 year until 2000 income tax return is filed:
10,713 x 100 = 2.10% = BAS Box T2
510,500 1
Sales 200,000 100,000
Interest 125 125
Rent 2500 2500
Instalment income = BAS Box T1 202,625 102,625 (excluding GST)
X instalment rate = BAS Box T2 X 2.1% X 2.1%
Instalment payment = BAS Box T3 =$4,255 =$2,155
Due 21/10/00 21/01/01
30/6/00 30/9/00 30/12/00
Business Activity Statement Adviser Education Programme
85
2. Estimating your own instalment rate for the period or using an instalment
rate previously estimated.
Your varied instalment rate X Your instalment income for that quarter
• You are required to inform the Commissioner of your estimated instalment rate on or
before the date the PAYG instalment payment is due.
• This is done by inserting the rate you have adopted into Box T3 on your quarterly
BAS or IAS.
• When you adopt a varied instalment rate you need to notify the Commissioner as to
the reason why you have adopted the estimated rate. This is done by inserting a two
digit code in Box T4 of your quarterly BAS or IAS. The codes are as follows
Code Reason
01 Mergers, acquisitions and takeovers
02 Cessation of business activity
03 Expected utilisation of losses of a revenue or capital nature
04 Significant (abnormal) transactions affecting income or expenses
05 Change in trading conditions affecting income or expenses
06 Domestic or foreign financial market changes
07 Change in investment strategies or policies
08 Change in product mix
09 Business expansion or contraction
10 Change in entity structure
11 Internal or external restructuring of business activity
12 Change in any legislation
13 Change in profit margin
• If you have adopted a varied rate during an income year you are unable to return to
using the Commissioner s instalment rate until the first quarter of the following
income year.
• If there is a variation between the PAYG instalments that you were liable to pay under
the benchmark instalment rate (rate based on your assessed tax for the income year)
and the varied rate you adopted you may be liable for a general interest charge.
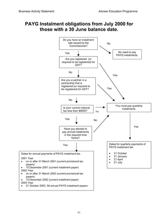
Varying Instalment Rates
Why Consider?
Risks of variation
General Interest Charge
Possible penalties
Cashflow if large washup
Business Activity Statement Adviser Education Programme
86
BEWARE
Even if gross income falls,
a variation of rate may not be appropriate
3. Using the GDP-adjusted notional rate
Under this option the Commissioner informs you every quarter of the PAYG
instalment to make. The amount due is based on the notional tax for the taxpayer
adjusted for the changes in GDP.
A fresh election to use the GDP-adjusted notional tax must be made annually.
The first payment is 25% of the GDP-adjusted notional tax
The second third and fourth payments are 50%, 75% and 100% respectively less the
payments made to date.
The GDP-adjusted notional rate is only available to taxpayers:-
• Who are individuals and
• Whose most recently notified notional tax is $8000 or more and
• Are not registered nor required to be registered for GST, or
• Is an individual who is a partner in a partnership that is not registered nor required to
be registered for GST, and
• Have notified the Commissioner in the approved form of their choice to pay
instalments under the GDP-adjusted rate on or before the first instalment payment date
for the year.
If you become GST registered during an income year you are not able to continue to
use the GDP-adjusted notional tax method and must calculate the PAYG instalment
payment for that quarter and all later instalment quarters.
However if during an income year your most recently notified notional tax drops
below $8000 you are able to continue using the GDP-adjusted notional rate for the
remainder of that income year.
4. Taxpayer s estimation of benchmark tax for GDP-adjusted notional tax.
Individuals are required to notify the Commissioner of their decision to calculate
their own benchmark tax for the purposes of calculating their GDP-adjusted notional
tax. In later quarters unless the individual decides to again vary the estimated
benchmark tax the Commissioner will advise the taxpayer of the due amount and the
taxpayer then has 21 days from the date of the notice to pay the PAYG instalment.
• The taxpayer is able to vary the estimated benchmark tax each quarter.
• If the varied benchmark tax is too low, that is it is less than 85% of the actual
benchmark tax for the income year, the taxpayer will be liable to pay a general interest
charge on the shortfall.
Business Activity Statement Adviser Education Programme
87
Payment of Quarterly PAYG Instalments
The method of paying the quarterly PAYG instalments is dependent on the method by
which you pay other amounts due to the ATO. If your organisation is classified as large
the payment for the PAYG withholding and other payments is required to be paid
electronically.
Medium and small entities have the option of making their payments in electronic form or
manually.
Taxpayer
Type
Method of
Calculation
Instalment
due dates
Individual or company
and registered for GST
1. Instalment Rate
or
2. Varied instalment rate
Quarterly instalments
21 October
21 January
21 April
21 July
Not registered for GST
and non-individual with
notional tax > $8000
As above As above
Not registered for GST
and individual with
notional tax > $8000
1. Instalment rate
or
2. Varied instalment rate
or
3. GSP-adjusted notional
tax
or
Estimation of GDP
adjusted notional tax
As above
Not registered for GST
and either
an individual, or
company,
with notional tax <$8000
1. Instalment rate
(for companies only until
2003 year).
or
2. Notional tax
or
3. Estimated tax
Annual instalment (if
elected)
Due 21/10 after year end
2003 year onwards
For years 2001 and 2002
companies due 15/12
individuals due 31/3
Business Activity Statement Adviser Education Programme
88
Annual Instalments
Annual instalment payers are only required to pay PAYG instalments on an annual basis.
These instalments are paid after the end of the income tax year to which the instalment
payment relates.
In order to qualify to be an annual instalment payer the following criteria must be met:
• You have been issued an instalment rate by the Commissioner and
• You have notified the Commissioner of your choice to be an annual instalment payer
in the approved form on or before the day on which your first quarterly instalment
payment would have been due and you meet all of the following conditions
• You are not registered nor required to be registered for GST
• You are not a partner in a partnership that is registered nor required to be
registered for GST
• Your most recently notified notional tax is less than $8000
• In the case of a company the company is not part of a GST joint venture
• The company is not part of an instalment group. Where a company has majority
control over at least one other company and no other company has a majority
control, these two or more companies become an instalment group.
Once you have met these criteria and so long as you continue to meet the criteria you are
not required to re-elect to be an annual instalment payer on an annual basis.
Must have received an instalment rate
Need to elect to be an annual payer in first quarter
Not registered for GST (nor partnership)
Notional tax less than $8000
Special rules for companies
Payment dates for annual instalment payers
Care must be taken during the transitional period for annual instalment payers. During the
2000/01 and 2001/02 years the distinction between the existing instalment payers and
current non-instalment payers still exist in determining the date of the annual instalment
payment.
Business Activity Statement Adviser Education Programme
89
Payment dates for annual instalment payers that were not an
instalment taxpayer before 1 July 2000.
June balance date
• 30 June 2001 Earliest date for payment of 31 March 2001*
• 30 June 2002 Earliest date for payment of 31 March 2002*
• 30 June 2003 21 October 2003
• 30 June 2004 21 October 2004 (onwards)
*Due on or before a date notified by the Commissioner that is at least 30 days after the
written notification by the Commissioner.
If the notification is earlier that 31 March the payment is due on or before the 31 March.
Cash-flow implications
It is very important to note that for annual instalment payers that were not on the company
instalment regime pre 1 July 2000 there is a gap in instalment payments between 31
March 2002 and 21 October 2003.
Payment dates for annual instalment payers that were an instalment
taxpayer before 1 July 2000.
June Balance Date
30 June 2001 15 December 2001
30 June 2002 15 December 2002
30 June 2003 21 October 2003
30 June 2004 21 October 2004 (onwards)
Where the entity does not have a June balance date the annual instalment is due on or
before the 15th
day of the 6th
month after the end of that income year for the 2000/01 and
2001/02 years.
Instalment payers before 1 July 2000 include the following
(a) a company;
(b) the trustee of a corporate unit trust;
(c) the trustee of a public trading trust;
(d) the trustee of an eligible approved deposit fund;
(e) the trustee of an eligible superannuation fund;
(f) the trustee of a pooled superannuation trust in relation to the current year.
Cash-flow implications
From the 2002/03 years onwards the payment of the annual instalment is brought forward
from the 15th
day of the 6th
month after the end of the income year to on or before the 21st
day of the 4th
month after the end of the income year.
Business Activity Statement Adviser Education Programme
90
Annual instalment taxpayers with substituted accounting periods (SAP)
payment date for 2002/03 years onwards.
From the 2002/03 years onwards the payment of the annual instalment is on or before the
21st
day of the 4th
month after the end of the income year.
The payment dates for taxpayers with a SAP for the 2000/01 and 2001/02 years is
dependent on whether they are existing instalment payers or not. If they are, it is the 15th
day of the 6th
month after the end of the income year. If not, the 31 March during the
income year is the earliest date for payment.
2001 and 2002 years
Provisional payers
31 March
Instalment payers
15 December
2003 year onwards
21 October (after year end)
Amount of Annual Instalment
The amount of each instalment depends on the rate used by the payer. There are three
options available for annual instalment payers:-
• Using the Commissioner s instalment rate
• Paying the notional tax amount informed by the Commissioner
• Paying the benchmark tax estimated by your entity.
1. Using the following formula:-
Commissioner s instalment rate X Your instalment income for the year
• This option is only available from the 2002/03 income year onwards for taxpayers that
are not instalment payers before the introduction of the PAYG instalment regime.
• You are not able to estimate your own instalment rate under the annual instalment
basis.
Business Activity Statement Adviser Education Programme
91
1. Paying the amount notified by the Commissioner. (The notional tax amount)
• For taxpayers that were not instalment taxpayers this is the amount notified by the
Commissioner at least 30 days before the day on which the payment is due. For the
2000/01 and 2001/02 years only.
• For existing instalment taxpayers and all annual instalment payers from 2002/03 years
onwards, this is the most recent notional tax notified by the Commissioner before the
end of the income year
2. Paying the amount you estimate to pay. (Your estimated benchmark tax)
• If you estimate you may incur a general interest charge where there is a difference
between your payment and the assessed income tax for the period.
Commissioner s instalment rate
Pay amount notified by Commissioner
Pay amount you estimate
Note a company can use either option
An individual can only use the last two
Changing from an annual instalment payer to a quarterly instalment payer.
Taxpayers circumstances may change. When the changes mean they no longer fit one or
more of the criteria for annual instalment payments they are required to change to a
quarterly basis for PAYG instalments.
If an annual instalment payer does one of the following the entity is required to become a
quarterly instalment payer:-
• when it s notional tax is $8000 or more,
• the entity chooses to be a quarterly instalment payer,
• becomes registered or required to be registered for GST,
• becomes a partner in a partnership that is registered or required to be registered for
GST,
• a partnership that you are a partner of becomes registered or required to be registered
for GST,
• in the case of a company becomes a participant in a GST joint venture, or
• is a company that becomes part of an instalment group.
Business Activity Statement Adviser Education Programme
92
If any of these occur during the 2000/01 or 2001/02 income years the annual instalment
payer is required to become a quarterly instalment payer at the first quarter of the
following income year.
If any of these occur during the 2002/03 years onwards (except for where the notional tax
is $8000 or more, or the entity chooses to be a quarterly instalment payer) the annual
instalment payer is required to start paying quarterly instalments for the quarter in
which this occurs onwards.
If the quarter in which this occurs is not the first quarter for the year the instalment payer
is not only required to pay the quarterly instalment for that quarter onwards but also an
annual instalment for that income year.
Regardless of which income year it occurs, when an entity s notional tax is $8000 or more
or an entity chooses to pay quarterly instalments the taxpayer stops being an annual
instalment payer at the end of that income year. It is then required to pay quarterly
instalments from the first quarter of the next income year.
Changing from Annual to Quarterly
2001and 2002 years
first quarter in the next income year
2003 onwards
in the quarter it occurs
over $8000 tax
always first quarter next income year
Going from a quarterly instalment to an annual instalment.
Where the entity meets all of the criteria of an annual instalment payer and notifies the
Commissioner of its choice by the first quarterly instalment date for the year the taxpayer
may change from a quarterly instalment to paying annual instalments.
Transitional provisions for the balance of 2000 instalment and provisional tax
due.
There are no special transitional provisions for the deferral of 1999/2000 income year
instalment and provisional taxpayers tax balances for annual instalment payers.
Business Activity Statement Adviser Education Programme
93
PAYG Instalment obligations from July 2000 for
those with a 30 June balance date.
No
Yes
Yes
No
Is your current notional
tax less than $8000?
You must pay quarterly
instalments.
Do you have an instalment
rate issued by the
Commissioner?
Are you registered (or
required to be registered) for
GST?
No need to pay
PAYG instalments.
Have you elected to
pay annual instalments
in the required time
frame?
Yes
Yes
No
Dates for annual payments of PAYG instalment tax.
2001 Year
• on or after 31 March 2001 (current provisional tax
payers)
• 15 December 2001 (current instalment payer)
2002 Year
• on or after 31 March 2002 (current provisional tax
payers)
• 15 December 2002 (current instalment payer)
2003 Year
• 21 October 2003. All annual PAYG instalment payers.
Dates for quarterly payments of
PAYG instalment tax
• 21 October
• 21 January
• 21 April
• 21 July
Yes
Yes
Are you a partner in a
partnership that is
registered (or required to
be registered) for GST?
No
No
Business Activity Statement Adviser Education Programme
94
Transitional Provisions for the
Deferral of 1999/2000 Instalment
Tax Balances
BAS EXTRACT
There are special transitional rules that exist for company and fund instalment payers that
would still have 2000 year tax obligations due to the introduction of the new PAYG
instalment system.
The transitional rules only apply to the following:-
• Taxpayers that have filed their 2000 income tax year returns by the required date,
• Taxpayers that are currently company or fund instalment payers.
The amount of the deferral of 2000 instalment tax is dependent on the size of the
instalment taxpayer .
Amount of assessed tax for
1999-2000 income year
Maximum deferred amount
Less than $8000 100% of the assessed tax
$8000 to $300,000 42% of the assessed tax
More than $300,000 20% of the assessed tax
1. Small company or fund instalment payers
The small company or fund instalment payers also have transitional provisions that allow
the deferral of the assessed income tax for the 2000 income year.
In their case the full payment due on 15 December 2000 is deferred until 15 March 2001.
On the 15 March 2001 the full 100% of assessed income tax for the 2000 income year is
able to be paid in equal instalments over the next 21 quarters.
The first date for the payment of the deferred tax is 21 April 2001.
Deferred company/
Fund instalment 7 $
Business Activity Statement Adviser Education Programme
95
Example of Cashflow effect of transitional provisions
1. A small company has filed it s 2000 Income Tax Return. The Commissioner has issued an
instalment rate of 10%
2. There was a 1999 instalment payment due on 15/12/00 of $4000 plus a wash-up of $1000. Both
of these have been deferred.
3. The instalment income for the September quarter was $10,000.
4. The December quarter also had instalment income of $10,000.
5. On the 21 January the Commissioner issued a new instalment rate of 12.5% based on the 2000
income tax return.
6. The instalment income for the March quarter was $10,000.
The March instalment payments were as follows,
PAYG instalment 1250.00
Deferred payment 238.10 = The first of twenty one payments
1488.10
7. The same applied to the June quarter.
2. Medium company or fund instalment payer
On the 1st
of July 2000 a medium company or fund instalment payer will still have three
payments of 2000 income tax instalments due.
The payment due on 1 September 2000 must still be paid.
• The payment that would have been due on 1 December 2000 will be completely
deferred until 1 March 2001.
• On 1 March 2001 58% of the assessed tax for the 2000 income tax year must be paid.
If less than this has been paid a top-up payment is due on 1 March 2001 to bring tax
paid to 58% of the assessed tax.
The remaining 42% is able to be paid in equal amounts over the next 21 quarters.
The first date for payment of the deferred tax is 21 April 2001.
The deferred tax payments will usually be printed on the BAS or IAS in Box 7.
1250
238
1488
21 July
30 June 00 30 June 01
21 Oct 21 Jan 21 Apr
$1000 $1000 1250
238
1488Payment $4000
deferred to 15/3
Total payment spread over 21
quarters
15/12 15/3
Business Activity Statement Adviser Education Programme
96
3. Large company instalment payer
A large company or fund instalment payer with a June balance date will still have two
payments of instalment tax due for the 2000 income year.
The payment due on the 1 September 2000 must still be paid.
However there is a possible deferral option for the 1 December 2000 payment.
If by 1 December 2000 the entity has paid 80% or more of the assessed tax for the 2000
income year the balance of 20% or less is able to be deferred and paid over the next 10
quarters in equal payments.
If 80% of the assessed tax has not been paid at that date the difference between the amount
paid and the 80% of the assessed tax must be paid on 1 December. The remaining 20%
can then be paid in equal instalments over the next 10 quarters.
If the taxpaying entity has paid more than the 80% as at 1 December it is the remaining
portion of assessed tax unpaid that can be spread over the next 10 quarters.
The first payment date for this deferred tax is the 21 January 2001.
The deferred tax payments will usually be printed on the BAS or IAS in Box 7
Business Activity Statement Adviser Education Programme
97
Large company instalment payer
Assessed tax for 1999-2000 year of more than
$300,000
30 June balance date
1 September 2000
1 December 2000
Yes
No
Has 80% of
the current
tax balance
been paid?
A payment must be made
on 1 December to ensure
that 80% of total income
tax due is paid by that
date.
The remaining
20% (or less) will
be paid over the
next 10 quarters.
Transitional payments to be made.
• 1 December 2000 ( balance of
tax to 80%)
• 21 January 2001 Box 7 BAS (1
of 10 payments)
• 21 April 2001 Box 7 BAS (2 of 10
payments)
• 21 July 2001 Box 7 BAS (3 of 10
payments)
• 21 September 2001 Box 7 BAS
(4 of 10 payments)
The
deferred
quarterly
amounts
should be
preprinted
on the BAS.
If they are
not and you
wish to defer
the
instalment
balance you
must work it
out and pay
it.
25% of likely tax
must be paid.
Business Activity Statement Adviser Education Programme
98
Medium company instalment payers
Assessed tax for 1999-2000 year
of between $8000 and $300,000
30 June balance date
1 September 2000
1 December 2000
Are you a quarterly PAYG instalment payer?
Yes
Yes
No
Has 58% of
the current
tax balance
been paid?
A payment must be made
on 1 March to ensure that
58% of total income tax
due is paid by that date.
The remaining
42% (or less) will
be paid over the
next 21 quarters.
Transitional payments to be made.
• 1 March 2001 ( balance of tax to
58%)
• 21 April 2001 Box 7 BAS (1 of 21
payments)
• 21 July 2001 Box 7 BAS (2 of 21
payments)
• 21 October 2001 Box 7 BAS (3
of 21 payments)
• 21 January 2002 Box 7 BAS (4
of 21 payments)
The deferred
quarterly
amounts
should be
preprinted on
the BAS. If
they are not
and you wish
to defer the
instalment
balance you
must work it
out and pay it.
1 December 2000 defer all
payments to 1 March 2001.No deferral
available.
No
1 March 2001
25% of likely tax
must be paid.
Business Activity Statement Adviser Education Programme
99
Small company instalment payers
Assessed tax for 1999-2000 year $8000 or less
30 June balance date
15 December 2000
Are you a quarterly PAYG instalment payer?
Yes
Yes
100% of the tax
due is able to be
deferred to be paid
over the next 21
quarters.
Transitional payments to be made.
• 21 April 2001 Box 7 BAS (1 of 21
payments)
• 21 July 2001 Box 7 BAS (2 of 21
payments)
• 21 October 2001 Box 7 BAS (3
of 21 payments)
• 21 January 2002 Box 7 BAS (4
of 21 payments)
The
deferred
quarterly
amounts
should be
preprinted
on the BAS.
If they are
not and you
wish to defer
the
instalment
balance you
must work it
out and pay
it.
15 December 2000 defer all
payments to 15 March 2001.
No deferral
available.
No
Business Activity Statement Adviser Education Programme
100
Summary of Payments for Company
and Fund Instalment Payers
Large instalment
payer
Medium instalment
payer
Small instalment
payer
1 September
2000
25% of likely tax is
due for 2000 year
25% of likely tax is
due for 2000 year
21 October
2000
1st
payment of 2001
PAYG instalment
1st
payment of 2001
PAYG instalment
1st
payment of 2001
PAYG instalment
1 December
2000
Payment required to
80% of assessed
2000 tax
No payment due
15 December
2000
No payment due
21 January
2001
2nd
payment of 2001
PAYG instalment
Plus 1st
of 10
payments of
deferred tax
2nd
payment of 2001
PAYG instalment
2nd
payment of 2001
PAYG instalment
1 March
2001
Payment required to
58% of assessed
2000 tax
15 March
2001
No payment due
21 April 2001 3rd
payment of 2001
PAYG instalment
Plus 2nd
of 10
payments of
deferred tax
3rd
payment of 2001
PAYG instalment
Plus 1st
of 21
payments of
deferred tax
3rd
payment of 2001
PAYG instalment
Plus 1st
of 21
payments of
deferred tax
21 July 2001 4th
payment of 2001
PAYG instalment
Plus 3rd
of 10
payments of
deferred tax
4th
payment of 2001
PAYG instalment
Plus 2nd
of 21
payments of
deferred tax
4th
payment of 2001
PAYG instalment
Plus 2nd
of 21
payments of
deferred tax
Business Activity Statement Adviser Education Programme
101
Calculation of PAYG Instalments By
Partners
Partnerships do not pay income tax on the partnership profits. The assessable income is
allocated to the partners and the partners are then responsible for their share of the
partnership income in their own income tax returns.
As a result the liability for the PAYG instalments on the partnership income is passed on
to the partners of the partnership.
Partners will be issued an instalment rate by the Commissioner and are then required to
pay a PAYG instalment based on their share of the income each period. It is important to
note that it is on the share of gross income for the period (excluding GST) that the PAYG
instalment is calculated.
Each partner in a partnership is required to obtain from the partnership the total income for
the quarter (or annually if the partnership is not registered for GST and the partner has
elected to be an annual PAYG instalment payer) in order to calculate the PAYG
instalment to be paid. It is therefore very important that the partnership has this available
to each partner before the payment is due to be made (on or before the 21st
of the month
following the end of each quarter).
The equation that is to be used for the current income year is based on the percentage of
the total partnership income the partner was entitled to in the prior income year.
The calculation required is as follows
Partner s assessable income from
the partnership for last year Partnership s instalment
X income for current period
Partnership s instalment income
for last income year
If the partner did not have income allocated in the previous year or the partnership s
instalment income for that year did not exist the partner s instalment income for the
current year must include an amount that is fair and reasonable taking into consideration
the following:-
• The extent of the partner s interest in the partnership in the current period
• The instalment income of the partnership in the current period
• Any other relevant circumstances.
This means that where a partner has recently joined a partnership or the partnership
incurred a loss in the previous year, that the PAYG instalments are being paid from the
outset.
Business Activity Statement Adviser Education Programme
102
If the partner s share of income from the partnership has changed in the current year the
partner may choose to estimate in the current year by adopting a varied instalment rate.
The partner may then be liable for a general interest charge if the estimation results in less
PAYG payments being made than should have been.
In addition to the partnership income for the period each partner is required to include in
their instalment income any other income earned outside of the partnership such as
royalties other business income, interest and dividends.
Any income earned that had PAYG withholding deducted at source such as wages and
salaries is not required to be included in the partner s instalment income.
Example
Mrs Ashton has a son and they are in partnership. For the first quarter of the 200/2001 income year the
details were as follows
Sales (including GST) 44,000
No other receipts ______
44,000 = BAS Box G1
Less GST 4,000 = BAS Box G9
Partnership instalment income 40,000
Mrs Ashton s share of income from 1999 year was as follows;
1999 Partnership gross income 170,000
Expenses 120,000
Net Profit 50,000
Share for Mrs Ashton 50% $25,000
To calculate Mrs Ashton s share of the partnership s instalment income for the quarter the following is
required:-
Share of partnership income X Instalment income = 25,000 X 40,000 = 6,000
Income partnership 170,000
Partnership Instalment income $40,000
Mrs Ashton
Partnership instalment income 6000
Other instalment income 53150
Instalment income $59150 = BAS Box T1
Son
IAS instalment income $6000 = BAS Box T1
Business Activity Statement Adviser Education Programme
103
Beneficiaries of Trusts
The calculation of instalment income for a beneficiary of a trust is similar to that of a
partner in a partnership. A beneficiary that had income distributed from a trust in the prior
income year is liable to pay PAYG instalments on the trust s income in the current year.
If the beneficiary did not have income allocated in the previous year or the trust s
instalment income for that year did not exist, the taxpayer s instalment income for the
current year must include an amount that is fair and reasonable taking into consideration
the following:-
• The beneficiary s interest in the trust in the current period
• The extent of the beneficiary s interest in the income of the trust for the current period
• The instalment income of the trust in the current period
• Any other relevant circumstances.
The calculation for the beneficiary s share of the trust s instalment income is as follows
Beneficiary s assessable income from
the trust for last year Trust s instalment
X income for current period
Trust s instalment income
for last income year
Beneficiaries paying PAYG instalments are required to include in their instalment income
any other income earned in addition to the income from the trust such as royalties, other
business income, interest and dividends.
Any income earned that had PAYG withholding deducted at source such as wages and
salaries is not required to be included in the beneficiary s instalment income.
Business Activity Statement Adviser Education Programme
104
New Taxpayers
When taxpayers first start in business they will not have an instalment rate issued by the
Commissioner. The Commissioner will not issue an instalment rate until after the first
income tax return is assessed.
As a result new businesses will not be liable for PAYG instalments until an instalment rate
is issued by the Commissioner. This could lead to the situation where the business is
trading for over 12 months before the first PAYG instalments are paid and will have the
full balance of tax from the first year of trading and the current year PAYG instalments to
pay. This will have an adverse effect on the cashflow of the business unless money has
been put aside to cover the taxes unpaid for the period.
New businesses should always ensure that included in their budgeting is an allowance for
the taxes not yet required to be paid.
It is possible, and will be encouraged, for a new business to make voluntary payments of
PAYG instalments before an instalment rate is issued by the Commissioner.
Tax Planning Always required
No PAYG instalments due until instalment rate issued by
Commissioner
Instalment rate unable to be issued until tax return filed
PAYG
instalment
File 2000 ITR2000 year
Tax due
Start in
business
30/6/00 30/6/01
1/12 15/1
Instalment rate
issued
15/2 21/4
PAYG
instalment
Business Activity Statement Adviser Education Programme
105
Variation Credits
BAS EXTRACT
Where a taxpayer has paid one or more PAYG instalments based on the Commissioner s
rate and then decides to make a variation to the rate there may be circumstances where the
taxpayer has overpaid the previous instalments.
Where the estimate made has significantly reduced the expected total of PAYG
instalments, there may be credits available from the prior payments. These cannot negate
the current PAYG instalment liability. However the variation credit is included in Box 5B
in the instalment statement and offset against taxes due.
To claim a credit in the current period either one of the following must exist
• The instalment rate used to calculate the instalment income for this has dropped from
the instalment rate advised by the Commissioner used in previous quarters of the same
year or
• The estimated instalment rate you are using this period is less than the instalment rates
used in the previous quarters of the income year.
There is a four step equation that must be done to ensure that there is a credit available.
This is detailed in the Business Activity Statement Instruction booklet issued by the ATO.
Once you have determined that there is a credit available to be credited to the Running
Balance Account (RBA) you must notify the ATO in the approved form on or before the
date for payment. The approved form in this case is to complete Box 5B on the BAS or
IAS.
Variation credits
May arise on variation of instalment rate
Need to calculate current instalment regardless of credit
Variation offset against all tax liabilities in RBA
Credit adjustment for
previous income 5B $
tax instalments
Business Activity Statement Adviser Education Programme
106
Fringe Benefits Tax
CALCULATION SHEET EXTRACT
The payment of Fringe Benefits Tax (FBT) by employers providing certain benefits to
their employees or to the associates of their employees will be included on the quarterly
BAS or IAS with effect from 1 July 2000.
Employers providing fringe benefits to employees:
• Calculate taxable value of fringe benefits
• Calculate FBT payable thereon for the year
• Pay one quarter of the annual FBT to the ATO using the relevant activity statement
(BAS or IAS) on 21 October, 21 January, 21 April, 21 July. This must be shown on
the BAS or IAS in Box 6A
• Ensure that the grossed up value of all fringe benefits are shown on employees
Payment Summaries for the financial year
Fringe benefits tax is treated as an annual tax but is payable to the ATO in quarterly
instalments where the FBT exceeds $3,000. An income tax deduction is allowed to
employers for the FBT paid to compensate them for the fact that the tax is calculated on a
grossed up value. Taxpayers who are exempt from paying income tax are able to reduce
their taxable amount by a specified amount when calculating their FBT liability.
Fringe benefits
tax instalment F1 $
Fringe benefits tax (annual liability under $3000-instalment not required
Transfer your elected fringe benefits tax instalment to 6A on the front
Estimated total
fringe benefits
tax payable F2 $
Varied fringe benefits
tax instalment
amount F3 $
Reason for
Variation F4
Business Activity Statement Adviser Education Programme
107
Quarterly FBT instalment payer:
• Has an FBT annual liability in excess of $3,000
• FBT instalment will be pre-printed in BAS Box F1
• FBT variations are available but must supply the following:
Dollar value = BAS Box F2
Varied instalment amount = BAS Box F3
Reason for variation = BAS Box F4
Code Reason for variation
01 Benefits ceased/reduced, salary increased
02 Benefits ceased/reduced, no compensation to employees
03 Fewer employees
04 Increase in employee contributions
05 Rebate now claimed
06 Liquidation receiver/manager appointed
07 None of the above
Annual FBT payer:
• Has an annual FBT liability of $3,000 or less
• No instalment due on BAS or IAS
Fringe Benefits Tax
6A = F1 or F3
FBT and GST
Some benefits provided by an employer will have been the subject of a GST input tax
credit. In this case the gross-up rate must be increased from 1.9417 to 2.1292.
There are special rules for employers who make financial supplies to ensure they are not
disadvantaged where only a partial input tax credit would otherwise trigger the higher
gross up rate.
References: Fringe Benefits TAA 1986; Guide to PAYG for Business Fringe Benefits Tax:
A guide for Employers.
Business Activity Statement Adviser Education Programme
108
Running Balance Account
From 1 July 1999 the ATO has been operating Running Balance Accounts (RBAs) which
accumulate all the taxes owing by an entity and the payments and/or credits accruing. It
is possible to have more than one RBA but in establishing the total tax liability of an entity
all its RBAs will be aggregated.
RBAs are intended to improve and simplify the calculation, management and recovery of
tax debts through:
1. The production of regular account statements showing the total of the outstanding tax
debts, including all amounts owing under the PAYG withholding system
2. The application of general interest charge to the outstanding balance, if applicable
Credits accruing to the taxpayer e.g. from GST input tax credits and payments made to the
ATO by the taxpayer will be attributed against the outstanding taxes at the discretion of
the Commissioner. The Commissioner may refund any surplus on an RBA provided that
there are no BAS outstanding.
References: TAA Pt IIB sec 8AAZA-N
Business Activity Statement Adviser Education Programme
109
APPENDIX
1999 Income Tax Return
Jo Bloggs trading as Any Business
Income
Interest on investments 500
Residential rent received 10,000
Sales (goods or services) 500,000
-----------
510,500
-----------
Expenses
Rental house deductions 5,000
Purchases 300,000
Overheads 100,000
Wages 60,000
-----------
465,000
-----------
Taxable Income $45,500
=======
1999 Tax New Tax rate
2001
Income tax 12,167 10,030
Medicare levy 683 683
--------- ---------
Total tax payable 12,850 10,713
====== ======
Commissioner s Instalment Rate:
10,713 x 100 = 2.10%
510,500 1
Business Activity Statement Adviser Education Programme
110
APPENDIX
2000 Income Tax Return
Jo Bloggs trading as Any Business
Income
Interest on investments 500
Residential rent received 15,000
Sales (goods or services) 508,000
-----------
523,500
-----------
Expenses
Rental house deductions 5,000
Purchases 303,000
Overheads 100,000
Wages 60,000
-----------
468,000
-----------
Taxable Income $55,500
=======
2000 Tax New Tax rate
2001
Income tax 16,687 11,590
Medicare levy 832 832
--------- ---------
Total tax payable 17,519 12,422
====== ======
Commissioner s Instalment Rate:
12,422 x 100 = 2.37%
523,500 1
Business Activity Statement Adviser Education Programme
111
APPENDIX
1999 Income Tax Return
A Smith trading as Another Business
Income
Interest on investments 500
Residential rent received 10,000
Sales (goods or services) 500,000
Capital gain on sale of shares 40,000
-----------
550,500
-----------
Expenses
Rental house deductions 5,000
Purchases 300,000
Overheads 100,000
Wages 60,000
-----------
465,000
-----------
Taxable Income $85,500
=======
1999 2000 2001
Income tax 30,067 30,067 27,565
Medicare levy 1,283 1,283 1,283
--------- --------- ---------
Total tax payable 31,350 31,350 28,848
====== ====== =====
Commissioner s Instalment Rate:
1. Calculate notional tax:
Tax and medicare levy on $45,500 (85,500 - 40,000 capital gain)
= $10,713
2. Divide by instalment income $510,500 (550,500 — 40,000 capital gain)
10,713 x 100 = 2.10%
510,500 1
Business Activity Statement Adviser Education Programme
112
APPENDIX
Application of Instalment Rate
TOTAL
for
year
Sales 220,000 110,000 99,000 231,000 660,000
Interest recd 125 125 125 125 500
Rent received
- house 2,500 2,500 2,500 2,500 10,000
GST included (20,000) (10,000) (9,000) (21,000) (60,000)
Total Income 202,625 102,625 92,625 212,625 610,500
====== ====== ====== ======= ======
x 2.10% x 2.10% x 2.10% x 2.10% x 2.10%
= $4,255 = $2,155 = $1,945 = $4,465 =$12,820
Date due Oct 21 Jan 21 April 21 July 21 Total paid
Final Tax Return for 2000/2001
Income per above 610,500
Expenses (say) 490,000
Taxable Income for the year $120,500
=======
Tax thereon 44,015
Medicare levy 1,808
Instalments paid (12,820)
Additional tax payable $33,003
=======
This tax is payable 4 weeks after an assessment is issued
30.6.00
30.9.00
31.12.00
31.3.01
30.6.01
Business Activity Statement Adviser Education Programme
113
APPENDIX
Example One
Vera Pots flower shop is registered for GST. She operates a cash book system for
accounting purposes. She is also using the cashbook for her GST calculation.
The following are a series of payments and receipts for the entity that need to be
entered into the cashbook. For the purposes of our examples we will separate GST
from the total.
All transactions 7.8.00
1. Cheque number 121 power bill $132.00
2. Direct Debit for rent $2200.00
3. Flowers bought for the week ending 31 August Chq 122 $880.00
4. Payment of PAYG for employees Chq 123 $2560.00
5. Payment for stock to a unregistered supplier Chq 124 $165.00
6. Purchase of Ribbons and cellophane Chq 125 $154.00
7. Purchase of a new till Chq 126 $2750.00
8. Repairs to the business car Chq 127 $660.00
9. Personal Expenses Chq 128 $320.00
10.Payment of credit card. Chq 129 $563.00
This consists of Petrol costs $154.00
Entertainment $330.00
Misc Stock items $66.00
Interest $12.00
Fees $1.00
In addition to this Vera has the following deposits for the week (all deposits are a mix of
cash and eftpos transactions.)
1. Cash sales Saturday ( 5.8.00) deposited Monday $4400.00
2. Additional Saturdays sales paid by credit card Total sales $187.00
Net deposit $178 (credit card fees $9)
3. Sales made Monday deposited Tuesday $770.00
4. Tuesday sales $990.00
5. Wednesday sales $1320.00
The amount banked was $190. This was because $920 of the cash received was
not banked because the money was used to pay the following items: wages $900,
tea and milk $10, and cash taken for Vera s personal $220. For the purposes of
ensuring accurate records are kept Vera will write a cheque for these cash payments
and bank the cheque.
6. Thursday sales $2750, cash withdrawals from eftpos by customers $150.
Business Activity Statement Adviser Education Programme
114
Example Two
Peter Pots operates a Caf . Above the caf is a flat that he rents out.
(Assumption no fruit juices or bottled water sold.)
We will work through his transactions for a short period
Payments made 7.8.00
1. Telephone bill (chq 156) for one month for caf $176.00
2. Purchases from supplier (chq 157) $2021.00
This was made up as follows
Bread $1658.00
Pies $220.00
Veges $143.00
3. Confectionery purchased (chq 158) $77.00
4. Repairs for flat (chq 159) $280.00
5. Tables and Chairs for Caf (chq 160) $1650.00
6. Loan payment on computer (principal only) DD $253.00
7. Purchases of soft-drinks (chq 161) $99.00
8. Payment of wages (chq 162) $690.00
9. Purchase of paper bags (chq 163) $330.00
10.Refund of purchase to customer (chq 164) $11.00
Inwards Cash
1. Saturday sales (5.8.00) deposited Monday $5940.00
2. Sunday sales deposited Monday $4400.00
3. Rent from Flat $180.00
4. Refund from Supplier for spoiled cream buns $286.00
5. Monday sales $920, including containers of milk on-sold $40.00
6. Sale of old chairs from caf $220.00
7. Sales Tuesday $2200 less cash purchases of fruit $55, deposit $2145.00
8. Transfers of funds from the business savings account of $1000.00
Business Activity Statement Adviser Education Programme
115
Simplified GST Accounting Methods
Hans operates a hot bread shop. He has registered for GST on a cash basis. The annual
turnover is approximately $350 000. He has not upgraded his till and is conscious that his
GST-free supplies and taxable supplies made will need to be recorded. What are his
options?
Under the Simplified GST Accounting method there are three options;
Example for Period
Total sales $160,000
Total stock purchases $55,000
Other acquisitions including GST $12,000
1. Business norm method
The ATO business norms for a hot bread shop are GST free sales 50%., GST free
purchases of stock 75%.
GST-free sales GST-free stock purchases
Business norms hot bread
shop
50% 75%
Implications for Hans $160,000*50% $55,000*75%
GST-free supplies $80,000 [sales] $41,250 [purchases]
Taxable supplies $80,000 [sales] $13,750 [purchases]
Taxable supplies made $80,000 Taxable acquisitions made Stock $13,750
Other $12,000
$25,750
2. Snapshot method
For the two weeks 1 June to 14 June Hans kept a detailed account of sales for the
period. The proportion of GST-free sales were 43.65% of total supplies made in that
time.
For the four weeks 1 June to 28 June Hans also kept a close record of all GST-free
purchases. These were 83.5% of all stock acquisitions.
Using the snapshot method
Total supplies made for period (as above $160,000)
GST-free supplies 160,000*43.65% equals $69,840.
Taxable supplies 160,000-69840 equals $90,160.
Total supplies acquired for period, Stock $55,000, Other acquisitions including GST
$12,000
GST-free stock acquisitions $55,000*83.5 equals $45,925
Taxable stock acquisitions $55,000-45,925 equals $9,075
Total taxable acquisitions $9,075 + $12,000 equals $21,075
Business Activity Statement Adviser Education Programme
116
3. Stock purchases method
This is not an option for Hans as he does not resell stock without conversion of some
GST-free supplies to taxable supplies.

Bas workbook

  • 1.
    To print: setPage Setup to A4 Business Activity Statement Small Business, Community and Educational Adviser Education Programme Completing the Business Activity Statement (BAS) Course Workbook Prepared for the GST Start-Up Assistance Office by TEO Training Pty Limited P O Box 610 Moonee Ponds Vic 3039, Telephone (03) 9375 7966 Fax (03) 9375 7488 Email: trevor.england@teotraining.com.au
  • 2.
    Business Activity StatementAdviser Education Programme 2 IMPORTANT INFORMATION CONCERNING THIS MATERIAL - PLEASE READ This material is provided under the Commonwealth’s GST Start-Up Assistance Programme, and is designed to provide general information on the GST, PAYG and on business skills, practices and processes necessary to operate with the GST, focused on small and medium enterprises and the community and education sectors. Because business circumstances can vary greatly, the material is not designed to provide specific GST, PAYG or business advice for particular circumstances. Also, because aspects of the GST are complex and detailed, the material is not designed to comprehensively cover all aspects of the GST and PAYG as they apply to small and medium enterprises and the community and education sectors. Further, the laws implementing GST, PAYG and rulings and decisions under those laws, may change. Before you rely on this material for any important matter for your business, you should: • Make your own enquiries about whether the material is relevant and still current, and whether it deals accurately and completely with that particular matter; and • As appropriate, seek your own professional advice relevant to that particular matter. This material is provided on the understanding that neither the Commonwealth nor its personnel, TEO Training Pty Ltd nor its personnel, nor any other organisation or person involved in developing or delivering the GST Start-Up Assistance Programme, is thereby engaged in providing professional advice for a particular purpose. These limitations and warnings also apply to information based on this material presented at any seminars or workshops provided as part of the GST Start-Up Assistance Programme. ' Commonwealth of Australia 2000
  • 3.
    Business Activity StatementAdviser Education Programme 3 Contents Page Introduction 5 BAS and Workbook Road Map 6 Course objectives 7 Government Assistance Initiatives 8 Introduction to GST 9 Australian Business Number 10 Entity 11 Business Activity Statement 13 Goods and Services Tax 14 Input Tax Credits 25 The Tax Fraction 26 Attribution Rules 27 Tax Invoice 29 GST Systems 31 Wine Equalisation Tax 38 Luxury Car Tax 39 Wholesales Sales Tax Credit 40 Overview of PAYG 42 PAYG withholding system 43 Terminology for PAYG withholding 45 Registration for PAYG 47 Small Medium Large withholders 48 Practical issues for employers 50 Taxing of allowances 53 Non-cash benefits and PAYG withholding 54 Contractors and Employees under the New Tax System 55 Voluntary agreements 56 Labour hire arrangements 58 Prescribed Payments and Reportable Payments System 61 No ABN withholding 63 Withholders of amounts not related to employment 65 Investment income 66
  • 4.
    Business Activity StatementAdviser Education Programme 4 Annual reports and payment summaries 67 Terminology for PAYG instalments 69 PAYG instalments 72 Calculation of instalment income 74 Quarterly instalments 77 Annual instalments 88 Transitional provisions for the deferral of 1999/2000 instalment tax balances 94 Summary of payments for company and fund instalment payers 100 Calculation of PAYG instalments by partners 101 Beneficiaries of Trusts 103 New Taxpayers 104 Variation Credits 105 Fringe Benefits Tax 106 Running Balance Account 108 Appendix 109 ACKNOWLEDGMENT TEO Training Pty Limited wishes to acknowledge the assistance received from The GST Start-Up Assistance Office, and The Australian Taxation Office, in the preparation of this Course Paper.
  • 5.
    Business Activity StatementAdviser Education Programme 5 Introduction The course is a stand alone course designed to assist small to medium businesses, community groups and educational bodies with an introduction to the new Business Activity Statement and Instalment Activity Statement that forms part of the New Tax System that comes into force on 1 July 2000. The New Tax System is made up of various parts that will affect every organisation within Australia. The reporting basis for the New Tax System is the Business Activity Statement (the BAS) if the entity is registered for GST, or the Instalment Activity Statement (the IAS) if the entity is not registered for GST. Included in the BAS is the information required by the ATO for the following, • Goods and Services Tax • PAYG Withholding • PAYG Instalments • Fringe Benefits Tax • Wine Equalisation Tax • Luxury Car Tax The Instalment Activity Statement requires all of the information detailed above, where it applies to the taxpayer concerned, except the GST information. There are two types of Business Activity Statement. The first form is the quarterly BAS which all entities registered for GST are required to complete quarterly in respect of all types of tax that they are liable for. This form will be completed by those required to file a BAS on a three monthly basis, and will also be completed every third month by those required to file a monthly BAS. The quarterly BAS form has two sides. The front side is the actual BAS, whilst the reverse side is a calculation sheet from which amounts are transferred to the BAS itself. The second form is the monthly BAS. This form will be completed in the first two months of any quarter by those required to complete a monthly BAS. This form will request information and payments in respect of all tax types, except PAYG instalments and FBT, for taxpayers required to complete it. It should be noted that the ATO will provide a monthly or quarterly pre-printed form. The form will identify the information that has to be provided when that form is completed. The following page of this workbook shows all the descriptions on the BAS and references each one and its Box Number to pages of this workbook. A course of this nature cannot hope to comprehensively cover all of the various issues that will confront different entities. Rather, this course aims to raise issues that individual businesses and other organisations may need, or want, to consider as a consequence of the introduction of the New Tax System.
  • 6.
    Business Activity StatementAdviser Education Programme 6 THE BAS AND WORKBOOK ROAD MAP Transaction Type Box No. Page No. Transaction Type Box No. Page No. Goods and Services tax payable 1A 14 Credit for Goods and Services tax paid 1B 14 Wine equalisation tax payable 1C 38 Wine equalisation tax refundable 1D 38 Luxury car tax payable 1E 39 Luxury car tax refundable 1F 39 Credit for Wholesale Sales tax 1G 40 Add 1A+1C+1E 2A - Add 1B+1D+1F+1G 2B - Total amounts withheld from all payments 4 44 Income tax instalment 5A 72 Credit adjustment for previous income tax instalments 5B 105 Fringe benefits tax instalment 6A 106 Variation credit from previous fringe benefits tax instalments 6B 106 Deferred company/fund instalment 7 94 Add 2A+4+5A+6A+7 8A - Add 2B+5B+6B 8B - 8A minus 8B net amount of your obligations 9 - Positive = payable to ATO Negative = may be a refund or offset - -
  • 7.
    Business Activity StatementAdviser Education Programme 7 Course Objective The objective of this course is to assist the participants prepare their Business Activity Statement or their Instalment Activity Statement with particular emphasis on: The GST and the information required to be supplied to the ATO on the Business Activity Statement or the Installment Activity Statement. The PAYG withholding system that comes into force on the 1 July 2000. The PAYG installment regime and how this will affect tax payments by entities. An introduction to the categories in the new Business Activity Statements and Instalment Activity Statements that form the reporting and payments basis of the New Tax System, to the ATO.
  • 8.
    Business Activity StatementAdviser Education Programme 8 TAX REFORM GOVERNMENT ASSISTANCE INITIATIVES The role of the Australian Taxation Office The Australian Taxation Office [ATO] has the role of providing guidance and assistance with technical changes that will arise from the introduction of The New Tax System. The assistance provided by the ATO includes a range of publications from general purpose guides, to industry and sector specific publications directed at the specific issues to be addressed by specific industries and community groups. The ATO is also providing a wide range of seminars to assist with the introduction and implementation of the changes. To obtain details of publications, seminars and other assistance available from the ATO the following options are available: Website www.taxreform.ato.gov.au The business Tax Reform Infoline 13 24 78 A fax from tax 13 28 60 By mail PO Box 9935 in capital cities The GST Start-Up Assistance Office To obtain further information visit the GST Start-Up Assistance Office website at www.gststartup.gov.au or call their enquiry line on 02 6263 4490. To enquire about, or register for, for the Adviser Education Programme phone 1800 351 754
  • 9.
    Business Activity StatementAdviser Education Programme 9 The Introduction of Goods And Services Tax This section discusses the basic principles of GST. It introduces GST terms and their implications in managing the GST process. It also considers the GST portion of the BAS. Appropriate systems are the key to managing GST in an organisation. Depending on the size and nature of the entity, some systems will produce only basic accounting data, whereas others will produce comprehensive management reports. The introduction of GST provides an opportunity for all entities to review their current systems. This review should not just focus on accounting for GST, it should also consider how the information that is required for GST compliance purposes can be captured and used to assist in the effective management of the entity. This section of the workbook looks closely at various ’GST terms’ and their GST specific meanings. While some of the terms may seem difficult to grasp, once you have a clear understanding of them you will find that many of the mysteries of GST will disappear. GST is a broad-based tax of 10% on the supply of most goods and services consumed in Australia. GST started on 1 July 2000. It may affect some transactions entered prior to that date where performance occurs on or after 1 July 2000. GST is a very visible tax. When goods and services which are subject to the 10% GST are purchased, it will be mandatory for the supplier to indicate that the price being paid is GST inclusive. This is unlike many of the existing taxes, such as wholesale sales tax, where tax may be included in the price of the goods, but which is not clearly visible to the purchaser. This is one of the benefits of the introduction of GST. Many existing, hidden, indirect taxes will be phased out and GST will replace them. Although GST will replace some existing taxes, the GST charged to an organisation by its suppliers, in many situations, will be recoverable from the ATO. One of the most fundamental principles of a GST system is that the tax is not an added cost for a ’GST registered’ entity. The key elements of the introduction of GST, as a component of the New Tax System, for an organisation are: • The abolition of many indirect taxes; this will reduce business costs. • Any resulting cost savings must be passed on to customers. • An organisation may be required to register for GST. • A registered organisation must include 10% GST in the price of 'taxable supplies'. • An organisation will find that GST is included in the prices charged to it by its suppliers for many of the goods and services it purchases. • A registered organisation will be able to reclaim this GST from the ATO.
  • 10.
    Business Activity StatementAdviser Education Programme 10 Australian Business Number The Australian Business Number (ABN) is critical to the operation of the GST system, as every entity that is registered for GST will have an ABN and this is the number that must be quoted on all your tax invoices. Even where an entity chooses not to register for GST, it may still wish to apply for an ABN. The ABN registration form includes the option to register for GST. The Australian Business Number (ABN) will enable organisations in Australia to deal with the ATO and a range of government departments or agencies using the one number. As a general rule organisations should register for an ABN even if they do not register for GST. Where an enterprise fails to obtain an ABN there may be financial consequences. If the organisation does not have an ABN, or does not provide that number to other businesses to whom it supplies goods and services, those businesses ordinarily will be required to deduct withholding tax from payments to that business. There are very limited exceptions to the rule. This withholding tax is 48.5cents in the dollar. An organisation will also need to show its ABN on the tax invoices it issues to its GST registered clients.. If it doesn’t, the document will not constitute a tax invoice (even if so described) and its registered customers would not be able to claim input tax credits. The ABN will not replace a tax file number, so tax file information will still be protected by the existing privacy guidelines. The ABN will be replacing the Australian Company Number [ACN] over time, and from 1 July it will be allowable to quote the ABN in the place of the ACN
  • 11.
    Business Activity StatementAdviser Education Programme 11 Entity An entity, in legal terms, is a person, a company, a trust, or some other form of organisation that has a separate legal identity. Each entity that conducts an enterprise is entitled, and may be required, to register for an ABN. If one entity conducts a number of enterprises only one ABN is required. It should be noted that some organisations that may not be entities in a legal sense, for example partnerships and unincorporated societies, may be entities for GST purposes and therefore may be required to register for GST Example 1 Mary Smith operates a plumbing business, which also installs central heating equipment, as a sole trader. In addition to the plumbing business Mary owns all of the shares in a company, Heating Pty Ltd, of which she is the ’working’ director. The company undertakes the prefabrication of central heating equipment that is, by and large, sold to the company/person who installs it. In a GST context it is very important to appreciate that whereas Mary may be seen by the world at large to be operating one business, the prefabrication and installing of central heating equipment, she is in fact operating through two quite separate legal entities. In this example the first entity is Mary Smith, plumber, and the second entity is Heating Pty Ltd. Although Mary is for all practical purposes the sole owner and controller of both entities, and may perceive herself to be running one business, the fact that there are two separate legal entities, means that both Mary and the company may be required to register separately for GST. Example 2 Redsea High School provides various educational related services. In addition the benefactors of the school have set up a trust which arranges and provides outdoor educational pursuits for pupils of the school on a subsidised basis. In a GST context it is very important to appreciate that whereas the school and the trust may be seen by the world at large to be one and the same, the activity is undertaken by two quite separate legal entities. In this example the first entity is the school and the second entity is the educational trust. Although the trustees of the trust may be senior staff of the school and they themselves may perceive they are running one organisation, the fact that there are two separate legal entities, means that both the school and the trust may be required to register separately for GST. Where people own or control one or more separate legal entities, the GST issues are potentially more complex and professional assistance or assistance from the ATO, may be required. Several related entities may be able to register for GST as one group. They will then be considered as one enterprise for GST purposes.
  • 12.
    Business Activity StatementAdviser Education Programme 12 Typical situations that may fall into this category include: Self employed shareholders and the companies they own. Partnerships. Partnerships and companies they own. Trustees and the companies they own. Trustees, and beneficiaries of the trust.. Companies and their subsidiary companies. In all of the above situations it may be necessary to register more than one entity for GST purposes. However, if one entity consists of a range of enterprises, only one registration is required. Example 1 ABC Pty Ltd currently operates a cafe, a takeaway food delivery service and a news agency from different premises. Only one entity operates all of these business enterprises, so only one registration is required, and one ABN will cover all these activities. Example 2 KELP Services currently operates a caf , a free food delivery service to elderly people in their homes and a shop selling new and second hand books to generate funds for the food delivery service. They all operate from different premises. Only one entity operates all of these business enterprises, so only one registration is required, and one ABN will cover all these activities. Example 3 Drake school currently operates a primary school, a bookshop, and a boarding establishment at different sites. Only one entity operates all of these business enterprises, so only one registration is required, and one ABN will cover all these activities. However the school may choose to register each enterprise separately.
  • 13.
    Business Activity StatementAdviser Education Programme 13 Business Activity Statement (BAS) Every entity that registers for GST is required to submit a Business Activity Statement (BAS). Part of the BAS is your GST return. With the BAS, most entities will make one payment and one statement to the ATO per quarter. That is, most entities will only be required to lodge four returns and make four payments per year. For each tax period the entity will receive from the ATO a single tax form: the BAS. As from July 1 the BAS will be used to advise the ATO of the GST liability of the entity as well as being used to advise its other tax liabilities. For most entities this means that there will only be one form to the ATO and only one payment each quarter. It should be noted however that these organisations will still be required to file an annual income tax return, and an annual FBT Return when appropriate. The exceptions for filing a BAS quarterly will include businesses that are required to remit GST on a monthly basis, or choose to remit GST on a monthly basis, and for medium- sized remittees of source deductions from wages paid to employees. (who will still have to remit PAYG withholding payments monthly). A BAS will have to be filed when it is due, even if no tax liability exists for that tax period. The BAS can be sent to the entity, by the ATO either through the mail as a paper form, or over the Internet as an electronic form if you have requested this option. The entity will be required to lodge its BAS with the ATO twenty-one days after the end of the GST tax period. Note however that there are extensions of time available for the 1st, 2nd and 3rd BAS returns for quarterly remittees of GST. These returns may be filed three weeks, two weeks, and one week after the standard due dates respectively. The GST tax period will either be one month or three months. This will have been determined when an application for the ABN was lodged. The entity will be required to keep adequate records so it can accurately complete the GST section of the BAS to determine the amount of GST it will have to pay to the ATO or the amount that may be refunded, depending on its circumstances. Any refunds of GST may be used to reduce other amounts of tax that may need to be paid (such as amounts withheld from salaries and wages) on the BAS for that period.
  • 14.
    Business Activity StatementAdviser Education Programme 14 Goods and Services Tax EXTRACT FROM THE BAS Boxes 1A and 1B plus G1 to G20 on the Business Activity Statement relate to the Goods and Services Tax transactions for the relevant period, monthly or quarterly. An Instalment Activity Statement will not have any GST boxes to complete. This is because an IAS is only available to those taxpayers that are not registered for GST. A brief overview of these items follows. It is necessary to accurately accumulate the relevant information in your accounting records in order to establish your liability for GST in respect of the current reporting period. Supplies you have made This section of the BAS determines the GST you have charged your customers [non cash basis], or collected from your customers [cash basis]. The form takes all supplies made by the organisation, deducts supplies not subject to GST, and divides the result by 11 to arrive at the GST collected or charged. The boxes are as follows: G1 Total sales and income and other supplies, regardless of whether they are subject to GST. Ensure that you include supplies made prior to 1 July 2000, on which you charged GST G2 Exports (GST-free). No GST is payable to the ATO on this figure. G3 Other GST-free supplies. No GST is payable to the ATO on this figure. G4 Input taxed sales and income and other supplies (other than exports and GST-free supplies) on which you have not charged GST. Add 1B+1D+1F+1G=2B $ Credit for goods and services tax paid 1B $ Wine equalisation tax refundable 1D $ Wine equalisation tax payable 1C $ Luxury car tax payable 1E $ Luxury car tax refundable 1F $ Add 1A+1C+1E = 2A $ 2A minus 2B GST net amount 3$ Goods and services tax payable 1A $ Credit for wholesale sales tax 1G $
  • 15.
    Business Activity StatementAdviser Education Programme 15 G5 Total of G2 + G3 +G4 which is the total of all your GST-free supplies and your input taxed supplies. G6 G1 minus G5 provides the total of your taxable supplies for the current reporting period. It is this figure on which the 10% GST is payable to the ATO, subject to any adjustments. G7 Adjustments arising out of previously reported transactions which alter the total amount on which GST is calculated for the current period. G8 Add G6 and G7 to provide the final total figure on which GST is payable. G9 G8 is divided by 11 to provide the actual GST payable on supplies made during the reporting period. Transfer the figure in Box G9 to Box 1A on the front of the form CALCUALATION SHEET Goods and services tax for the period 01/07/2000 to 30/09/2000 Supplies you have made Acquisitions you have made GST accounting method Amounts at G1, G10 & G11 are GST-inclusive G1 $ G10 $ G11 $ G12 $ G13 $ G14 $ G15 $ G16 $ G17 $ G18 $ G2 $ G3 $ G4 $ G5 $ G6 $ G19 $ G20 $ G7 $ G8 $ G9 $ The amount at G9 is your GST payable, transfer this amount to 1A on the front Capital acquisitions Other acquisitions (see exclusions) Add G10 + G11 This is the total of your acquisitions Acquisitions for making input taxed sales & income & other supplies Acquisitions with no GST in the price Total of estimated private use of acquisitions + non-income tax deductible acquisitions Add G13 + G14 + G15 This is the total of your non-creditable acquisitions G12 minus G16 This is the total of your creditable acquisitions Adjustments Add G17 + G18 This is the total of your creditable acquisitions after adjustments Divide G19 by Eleven Total sales & income & other supplies Exports Other GST-free supplies Input taxed sales & income & other supplies Add G2 + G3 + G4 This is the total of your GST-free and input taxed supplies G1 minus G5 This is the total of your taxable supplies Adjustments Add G6 + G7 This is the total of your taxable supplies after adjustments Divide G8 by Eleven GST-free supplies The amount at G20 is your GST credit, transfer this amount to 1B on the front
  • 16.
    Business Activity StatementAdviser Education Programme 16 Acquisitions you have made The purpose of this section of the form is to identify the GST your customers have charged you [non-cash basis] or that you have paid to your customers [cash basis] that you are entitled to claim back from the ATO. This is achieved by taking the total of acquisitions by the registered person, deducting all acquisitions on which no GST has been charged, and dividing the result by 11 to obtain the GST that can be claimed The boxes on the form are as follows: G10 Capital acquisitions. G11 All other acquisitions. Ensure that you include supplies on which you have paid GST prior to 1 July 2000 G12 Add G10 and G11 to provide the total of all acquisitions for the period. G13 Acquisitions for making input taxed supplies as well as other supplies in respect of which GST credits are not claimable. G14 Acquisitions with no GST in the price, therefore no credit available. G15 Total of estimated private use of acquisitions as well as expenses which are not deductible for income tax purposes — no credit available. G16 Add G13+ G14 +G15 to provide the total of your non-creditable acquisitions on which you may not claim any input tax credits. G17 G12 minus G16 to provide the total of your creditable acquisitions for the period. Input tax credits are claimable on this figure subject to any adjustments arising out of transactions reported in a previous period. G18 Adjustments to previously reported acquisitions you have made. G19 Add G17 + G18 This is the total of your creditable acquisitions after adjustments. G20 Divide G19 by 11 to provide the total GST credit available to you for the current reporting period. Transfer the figure in G20 to BAS Box 1B.
  • 17.
    Business Activity StatementAdviser Education Programme 17 Goods and Services Tax The GST is intentionally very broad in its coverage. It is intended to capture all forms of domestic consumption, so may include a range of things that you may not have thought of. It is important that you charge GST on all taxable supplies, so you need to have a good understanding of what we mean by goods and services. If you don’t charge GST when you should have, you as the supplier will still be required to pay 1/11th of the price charged to the ATO - so making a mistake can be very expensive! Enterprises produce the huge range of goods and services that are available to consumers. Goods can be grown, made, or imported, and can be bought and sold repeatedly. Services also come in many different forms. Services can involve a plumber fixing a blocked drain, or the local swimming club teaching the kids to swim. The local Council, Federal Government, and the local Citizens Advice Bureau all provide services. Some services we use are costly, some cost nothing, and some organisations provide them in return for subscriptions and members donations. Some service organisations are huge, highly structured, and are ’big businesses’ to run. Other service organisations are less formal, less organised, and small. One thing is common to all enterprises that provide goods and services. They involve people in planning, organising, and managing the supply of the huge range of goods and services that people consume every day. Goods are the tangible things we consume. Services are things people do for others. Goods and services have a cost and generally a price. Overview of GST GST is a tax on goods and services What is a GST? The main principles are that it is a tax: applied to the domestic consumption of goods and services; and it is paid by the final consumer. The first key concept here is domestic consumption. That means the GST does apply to imports, but does not apply to exports. As well, it is about the consumption of goods and services. So GST is a tax on goods and services and not on income. Therefore, an intention to make a profit is irrelevant in deciding whether an organisation must pay GST. It follows that many organisations that are not currently considered to be carrying on a business for income tax purposes will nevertheless be included in the GST net. Such organisations (which the legislation calls entities) include charities, trusts, co-operatives, sporting and other clubs, statutory bodies and local authorities.
  • 18.
    Business Activity StatementAdviser Education Programme 18 Consumers, not enterprises, pay the GST The next step is to understand that even though the tax is collected at every stage of production, it is the consumer that actually pays the tax. This can be most readily shown with a simple example of the manufacture and sale of a dining table. The GST rate is 10%. Table 1: GST on a dining table Purchase Sale Price paid (a) GST (b) Total (c) Price charg ed (d) GST (e) Total (f) Paid to ATO (e-b) Logger 20 2 22 2 Timber mill 20 2 22 40 4 44 2 Furniture Manufacturer 40 4 44 80 8 88 4 Retailer 80 8 88 100 10 110 2 Consumer 100 10 110 10 Note: The total tax collected by the ATO is 1/11 ($10) of the selling price to the consumer ($110), or 10% of the price (before GST) paid for the goods. As you can see, the GST is collected at each stage of the chain of production. Each person in the chain: 1. charges GST on their sales (column (e)). The BAS calculation sheet describes this as Supplies you have made . 2. claims back from the ATO, all GST paid on the goods they purchase as inputs to their sales (column (b)). The BAS calculation sheet describes this as Acquisitions you have made . 3. when they make their return to the ATO on the BAS, they subtract the GST they have paid on the acquisitions they have made from the GST collected on the supplies they have made, to calculate the net amount payable (last column). Your organisation might be the timber mill in this example, though the same rules apply to all of the organisations in the chain. For you, the GST consequences are as follows: 1. you purchase some logs from the logger for $22. That includes $2 GST 2. you turn the logs into timber that can be used by a furniture manufacturer, and charge the manufacturer $44. That includes $4 GST 3. the key points to note are that you must remember to charge and record the GST on your sales, and to keep a record of the GST you have paid on your inputs (the logs) 4. when you prepare the GST section of the BAS and send it to the ATO you are able to claim back the GST on your purchases, but must submit the GST collected on your sales. It is the difference between these ($4 collected from furniture manufacturer less the $2 paid to the logger) that must be paid to the ATO. That is $2.
  • 19.
    Business Activity StatementAdviser Education Programme 19 Almost everything else that you will ever read, see or hear about GST will ultimately be related to how to calculate the figures for your business in columns (b) and (e). If you understand what to do to get those figures you have got the GST licked! It is worth investing the time to get that straight now. Because most organisations will claim back the GST on their purchases, and collect the GST on their sales to their customers, you can see that the GST is not a burden on organisations. Another way of showing this is that, looking at the example as a whole, you can see that the total in the last column shows that businesses have paid $10 to the ATO. But when you look at the bottom row of the table, you can see that the final consumer has actually paid that $10. The input credit mechanism (that is only available to registered organisations, not consumers) means that the final GST cost is borne by the consumer, not the organisation.
  • 20.
    Business Activity StatementAdviser Education Programme 20 There are four kinds of supply 1. Taxable Supplies In the example we have just looked at you charge GST on your sales - this is called a taxable supply. The BAS calculation sheet arrives at the total of your taxable supplies at Box G6. However you are also entitled to claim back the GST on your organisation s inputs - this is called an input tax credit. The total supplies on which you can 1/11th as an input tax credit, is shown in Box G17. The example on page X covers the situation that will apply for the supply of most goods and services. However, there are two other kinds of supply that you also need to be familiar with - these are GST-free supplies and input taxed supplies. 2. GST-Free Supplies GST-free supplies are different from taxable supplies because GST is not charged on sales. These sales are shown in boxes G2 and G3. However, full credits are still available for all inputs to those supplies. GST-free supplies include things like health, education, child care, exports and so on. To demonstrate the difference between taxable supplies and GST-free supplies, we can imagine that the retailer in the example above might get an order from overseas for the dining table. In that case, the table would be exported. The example would then look as follows. Table 2: GST on an exported dining table Purchase Sale Pri ce pai d (a) GST (b) Total (c) Price charged (d) GST (e) Total (f) Paid to ATO (e-b) Logger 20 2 22 2 Timber mill 20 2 22 40 4 44 2 Furniture Manufacturer 40 4 44 80 8 88 4 Retailer 80 8 88 100 0 100 -8 Overseas sale 100 0 100 0 Because the table is exported, and exports are GST-free, the sale is not subject to GST. However, the retailer is still entitled to input tax credits for the purchases made to produce the table. In this case, then, the retailer is in credit and gets a refund of $8 from the ATO. The amount of export sales or income is separately recorded on the BAS calculation sheet at Box G2.
  • 21.
    Business Activity StatementAdviser Education Programme 21 Now, lets demonstrate an example of a retailer who gets an order for stationery from a residential nursing home which provides services which qualify for GST-free status. The example would look as follows. Table 2a: GST on stationery as input to GST-free supplies Purchase Sale Price paid (a) GST (b) Total (c) Price charged (d) GST (e) Total (f) Paid to ATO (e-b) Logger 20 2 22 2 Timber mill 20 2 22 40 4 44 2 Stationery Manufacturer 40 4 44 80 8 88 4 Retailer 80 8 88 100 10 110 2 Nursing Home 100 10 110 -10 Total GST Paid to ATO 0 Because the organisation provides GST-free services the nursing home is entitled to input tax credits for the purchases made to provide those services. The next example demonstrates a purchase of computers by a school for use in its teaching program, which has GST-free supplies. Table 2b: Computer equipment bought for use in educational courses Purchase Sale Price paid (a) GST (b) Total (c) Price charged (d) GST (e) Total (f) Paid to ATO (e-b) Equipment Supplier 400 40 440 40 Educational body purchaser 400 40 440 -40 Educational body s fees 0 0 600 0 600 0 0 Because the educational course is GST-free, the amount charged to attendees is not subject to GST. However, the school is still entitled to input tax credits for the purchases made to run the educational course. In this case, then, the school is in credit and gets a refund of $40 from the ATO. As you can see, GST-free is an appropriate way of naming these supplies because in net terms, no GST is collected on these supplies. All sales or income from GST-free supplies, excluding exports, are totalled and recorded on the BAS calculation sheet at Box G3. Most organisations will be substantially involved with making and receiving taxable and/or GST-free supplies. The critical point to note is that in respect of both of these kinds of supply, you can claim back input tax credits for the organisation s purchases to
  • 22.
    Business Activity StatementAdviser Education Programme 22 make these supplies. The major complication that may arise will be ensuring that you know which goods and services are GST-free, so that you know when GST does not have to be charged on your sales. 3. Input Taxed Supplies Input taxed supplies are the third category. These are different from the other kinds of supply because you don’t charge GST on your sales. These are deducted in Box G4on the BAS. It also means that you can’t claim back any input tax credits on your purchases to make those supplies either. These acquisitions are deducted in Box G13. This is the trickiest kind of supply because it means you have to worry about when you charge GST and when you can claim it back too. The main kinds of input taxed supplies are residential rents and financial services. This treatment of financial services means you won’t be charged GST on your bank interest. For residential rents, it means that a landlord does not charge GST on the rent charged, and is not able to claim input tax credits for anything purchased in respect of the property. For example, if the landlord paints the walls, buys a new oven, or replaces the carpets GST will be charged on those items, but it cannot be claimed back. The total of input taxed supplies is also separately recorded on the BAS calculation sheet at Box G4. The acquisitions to make those input taxed supplies are separately recorded on the BAS in Box G13. 4. Supplies by non-registered entity The fourth category of supply is that made by a non-registered entity - there is no GST charged on the supply they make. They may not claim back GST included in the price of items they purchase. When purchases are made from an organisation or person that is not registered for GST, the total of those purchases are recorded on the BAS in Box G14. Recapping the kinds of supply Remember: There are four kinds of supply. They are: Taxable supplies 1. charge GST on sales — BAS, Box G6. 2. claim full input tax credits for GST paid on an entity s purchases — BAS Box G17. GST-free supplies 1. no GST charged on sales —BAS, Boxes G2 and G3. 2. claim full input tax credits for GST paid on an entity s purchases included in BAS Box G17. Input taxed supplies 1. no GST charged on sales —BAS, Box G4. 2. no input tax credits for GST paid on an entity s purchases — BAS Box G13.
  • 23.
    Business Activity StatementAdviser Education Programme 23 Supplies by non-registered entity 1. As no GST has been charged there is no claim available for input tax credits on these acquisitions. They are deducted on the BAS in Box G14. To avoid any confusion make a mental note now that input taxed supplies are not the same as input tax credits. Input taxed supplies have just been described. Input tax credits are the credits allowed for GST paid on organisation expenses incurred to make taxable or GST-free supplies. The distinction is discussed more fully later in this section. Clearing up a few queries Now that you have come this far, you might have a number of queries. It is worth while emphasising a few points now: • When you acquire things for your organisation for which you are able to claim input tax credits, you don’t have to wait until you have used those things to claim the credit - you can do that in your next GST return. Say you buy a year’s stock of stationery for $1100 (including $100 GST). You can claim that $100 in your next return, even though you won’t use all the stationery for some time. • Input tax credits are available for all your inputs, not just "raw materials", and they are available to service providers in the same way that they are to providers of goods. For example, if you provide counselling services you can claim the GST paid on your telephone bills, heating, electricity, room rental and so on. • Input tax credits can be claimed for all acquisitions you have made (that have a GST content), including capital acquisitions, in the next GST return. So, unlike income tax, where you have to depreciate capital items over a period, GST paid on capital items can be claimed in the next return. For example, if you buy a new building, purchase a computer for the office, or buy a new truck for work, you can claim back the GST on these items in your next GST return - even though these items will be used over a period of time. The amount of capital acquisitions are shown in Box G10 on the BAS calculation sheet. 1. Wages and salaries paid to employees and superannuation contributions paid on behalf of employees are not subject to GST. These are outside the scope of GST and don t appear anywhere on the BAS form, including Box G1 and Box G11. 2. By and large, the examples and the discussion here assumes that the entity making the supply is registered for GST - most organisations will be required by law to register. Only registered entities charge GST, and only registered entities can claim input tax credits. If you are not registered, you don’t charge GST on your sales, but you can’t claim input tax credits either.
  • 24.
    Business Activity StatementAdviser Education Programme 24 What does this all mean for my organisation? Turning all this new language into what it means for your organisation comes down to a few key points. A "typical" organisation: 1. Will pay GST on most of their acquisitions 2. Will be entitled to input tax credits on those acquisitions 3. Will need to substantiate claims for input tax credits with valid tax invoices 4. Will charge GST on most of their outputs (with major exceptions - where GST-free or input taxed supplies are made) 5. Will need to ensure that the GST consequences of every transaction in and out of the organisation are recorded, substantiated and can be readily retrieved. The first steps that every organisation needs to take now to prepare for this involves: 1. Identifying all your organisation s inputs 2. Identifying all your organisation s outputs 3. Classifying those inputs and outputs according to their GST treatment (that is, are they taxable supplies, GST-free or input taxed) 4. Identify any areas of uncertainty, and seek help from the ATO or a professional adviser if necessary 5. Consider your record keeping systems to see if they are "up to scratch" in being able to track and record all of these transactions
  • 25.
    Business Activity StatementAdviser Education Programme 25 Input Tax Credits Enterprises can claim back from the ATO the GST that is included in the price of goods and services they acquire for the purpose of making taxable supplies and GST-free supplies. These are called input tax credits. The BAS calculation sheet describes this at Box G20 as your GST credit. The total amount in Box G20 is then transferred to Box 1B on the BAS. It is critical that every registered enterprise is able to keep track of these credits as they are real dollars. An unclaimed input tax credit is like an unclaimed income tax refund. Working out how much GST to pay the ATO If an enterprise is registered for GST and makes taxable supplies or GST-free supplies, part of the price the enterprise pays for most goods or services it acquires is GST. This GST portion of taxable supplies received by the enterprise is available as an input tax credit provided those goods or services were acquired for the purpose of making the taxable supplies or the GST-free supplies. The registered enterprise will deduct its input tax credits from the GST it collects from its customers so that only the resultant net amount of GST gets paid to the ATO. Example Oz Cartage (Pty) Ltd transports goods nationwide. It charges customers for the services it provides. It incurs various operating costs. It has the ATO’s approval to operate on a GST cash basis. In a particular tax period, the company: • Received monies from its customers for services it provided $33,000 • Paid its external suppliers $11,000 • Paid its employees $12,000 The monies it received from its customers, and the amount it paid its external suppliers, both are GST inclusive. The company accounts to the ATO for GST as follows: GST content of receipts from customers (1/11th of $33,000) $3,000 = BAS Box G9 less: GST content of payments to suppliers (1/11th of $11,000) $1,000 = BAS Box G20 Net GST to be paid to ATO $2,000 = BAS Box 1A In this example, $3,000 is the total GST collected from customers, and $1,000 is the total input tax credits. In order to claim GST input tax credits the business must have a valid tax invoice in respect of the goods or services at the time the input tax credits are claimed in the BAS.
  • 26.
    Business Activity StatementAdviser Education Programme 26 The Tax Fraction The tax fraction can be important: • In isolating the GST content of a transaction; and • Identifying the true 'income' and 'expenditure' of the organisation. Total price includes cost Because 10% is added to the value of a taxable supply, the GST component of the GST inclusive price is 1/11th of that price; the rest (10/11ths) is the value before GST. In relation to that supply, that remaining 10/11ths of the price is the supplier’s real ’income’ as the GST collected must be remitted to the ATO. Similarly for the acquirer of the supply, that remaining 10/11ths of the price is ordinarily the true cost of the taxable supply as the GST content is recoverable from the ATO. With any taxable supply you typically would find: GST exclusive price $10 [10/11ths] Plus GST 10% $ 1 [1/11th: The tax fraction] GST inclusive price $11 Example John Brown is registered for GST and sells 10 widgits to Ann Jones who also is registered for GST. The value of the supply is $150.00 and John adds 10% GST [$15] and charges Ann a price of $165.00. When John completes the GST portion of the BAS he will disclose the total of his taxable supplies for the tax period. He will calculate 1/11th [the tax fraction] of the total which includes the price he charged Ann, so the 1/11th of that price [ie. $15] will be included in the total GST on supplies made that he reports to the ATO, - in BAS Box G9. The remaining 10/11ths of the price [$150.00] is the gross income that John receives from the transaction. When Ann completes the GST portion of the BAS she will disclose the total amount of her acquisitions. She will calculate 1/11th [the tax fraction] of the total acquisitions which give rise to input tax credits including the price she paid John in BAS Box G20. In this way she will claim back from the ATO the $15 [1/11th of $165.00] GST she was charged by John. The remaining 10/11ths [$150.00] is the actual acquisition cost of the item to Ann.
  • 27.
    Business Activity StatementAdviser Education Programme 27 Attribution Rules When an entity completes the GST section of the BAS it is required to include: • The total amount of taxable supplies made by the entity during the period; in BAS Box G6 and • The total amount of the taxable supplies it acquired during the period in BAS Box G17 provided those supplies were acquired for the purpose of operating the taxable activity. There are rules, called attribution rules, that determine the GST return period in which transactions must be recorded for the purposes of accounting for GST. The rules depend on whether you use a cash basis or a non -cash basis of accounting for GST. This election would have been made when the entity applied for an ABN. The rules are as follows: CASH BASIS: Include only the GST included in payments actually received or paid during the GST Return Period. The entity does not have to account to the ATO for the GST charged to it s customers until the GST has actually been received in cash. This means that any taxable supplies made by the entity that include GST, but for which payment has not been received are excluded from the Total Sales figure that is recorded in Box G1. These supplies will be included in Box G1 in the GST return period in which payment is subsequently received. Where an entity is registered on the cash basis and receives part payment for any taxable supply that it makes, the supply is included in Box G1 to the extent of the payment actually received • Claim relief for the allowable portion of the GST content of payments made in the tax period. Where an entity acquires taxable supplies of goods and services, the price of these acquisitions will include GST. If that entity is registered for GST on the cash basis it is able to claim as input tax credits 1/11th of the GST inclusive payments it actually made in the BAS period. Provided a Tax Invoice is held at the time the claim is made. This means that only the payments actually made for supplies that include GST are recorded in Box G10 or G11. For an entity which is GST registered on the cash basis to be able to claim an input tax credit, it must have: • Paid the bill; during the period the BAS relates to; and • Hold the tax invoice that supports the fact that an input tax credit claim is available. • If the bill is part paid, a partial claim can be made. In this event you include only the paid amount in Boxes G10, or G11.
  • 28.
    Business Activity StatementAdviser Education Programme 28 NON-CASH BASIS • The non-cash basis of accounting for GST requires an entity to include in Box 1 of the BAS all taxable supplies which occur in that return period. The effect is that you have to include all taxable supplies you make in GST period in Box G1 of the BAS, This will include all taxable supplies that have been made but not yet paid for. • The amount of GST an entity is entitled to claim back from the ATO is the GST content of the consideration for all goods or services acquired during the period, whether or not paid for in the period. GST input tax credits can be claimed even if payment has not been made, provided always that a tax invoice is held. Accordingly all acquisitions in the GST return period are included in Box G10 and G11, irrespective of whether payment has been made or not.
  • 29.
    Business Activity StatementAdviser Education Programme 29 Tax Invoice Always make sure a Tax Invoice is obtained If an organisation wants to recover from the ATO any GST it is charged on goods and services acquired, the general rule is it must hold a tax invoice covering that supply. A tax invoice is a valuable document If an organisation is registered for GST and undertakes a transaction related to creditable acquisitions, then the tax invoice provided by the supplier can be turned into money by claiming back the GST content from the ATO. Generally, if an organisation does not hold a tax invoice from the supplier, it cannot claim GST input tax credits for the goods or services purchased by that organisation. A tax invoice is not just any invoice For an invoice to constitute a tax invoice, it must contain certain legally required information. If it does not meet these requirements then it is not a tax invoice and the organisation cannot claim back the GST content as input tax credits. THE TAX INVOICE IS THE CORNERSTONE OF GST The tax invoice is the single most important source document for the GST. Procedures to ensure tax invoices are correctly issued, and recorded and filed appropriately are crucial in a GST environment. The requirements of a ’tax invoice’ are an extension of information normally appearing on an invoice. Tax Invoice Checklist Invoice total including GST Greater than $50 but less than $1000 Greater than $1000 The ABN number of the supplier The ABN number of the supplier GST inclusive price GST inclusive price Clearly shown the words "Tax Invoice" Clearly shown the words "Tax Invoice" Issue date of the tax invoice Issue date of the tax invoice Name of the Supplier Name of the Supplier Brief description of items supplied Brief description and quantity of items supplied If the GST is 1/11th of the total price If the GST is 1/11th of the total price either; indicate total includes GST or, indicate total includes GST or the amount of the GST the amount of the GST If the GST is not 1/11 th of the total If the GST is not 1/11 th of the total price (as a result of a mixed price (as a result of a mixed supply), each supply must be supply), each supply must be identified, identified, the amount of GST payable and The amount of GST payable and the total amount payable The total amount payable The name and the address of the receiver or The ABN number of the receiver
  • 30.
    Business Activity StatementAdviser Education Programme 30 For registered entities if the transaction is less than $50, including GST, a tax invoice is not required. Input tax credits can be claimed provided a suitable receipt is held. Get the tax invoice issues right and you are well on the way to dealing with GST. As we have seen for the preparation of the GST portion of the BAS there needs to be a split between the amount of taxable supplies, GST-free supplies, and input taxed supplies. In the context of any organisation, this information will have its origin in the details that need to be shown on the tax invoices issued by the organisation for both credit and cash transactions. The system in place should allow the aggregate amount of each such category of supply to be readily generated at the end of each tax period. • Details that need to be recorded in your records in respect of each receipt of funds • Date that the cash was received (and the date of issue of any related invoice) • In cases where there is no related invoice, relevant details of receipt • Total amount banked • Split between each category for GST purposes (where not already so recorded in the accounts receivable system).
  • 31.
    Business Activity StatementAdviser Education Programme 31 GST Systems With many organisations, a starting point in considering their systems will be to effect a detailed analysis of their activities, and the transactions they undertake. This analysis will prompt questions such as the following: • What are the GST implications of those activities and transactions? • Do GST implications prompt the need to reconsider how those transactions are entered into and recorded? • What additional information needs to be generated by the system to meet GST-related obligations, and how best might this be done? • Is the existing system sufficiently robust to allow it to be suitably adapted for GST purposes, or are more extensive systems called for? At the end of the day, new (or modified) practices and procedures will need to be put in place to accommodate GST and, at the same time, the requirements of the new PAYG system. In designing a system for the organisation consideration should always be given to planning the system to meet both business and tax requirements. To provide the required GST information for insertion in the organisation s BAS, the system (whether it be manual or computerised) will need the following documentation: • Tax invoices received from suppliers • Tax invoices issued by the entity • Bank statements/ bank reconciliations/ cashbooks • Ledgers, and other summarised information • GST calculation sheets • Adjustments worksheets • Guides and industry specific booklets dealing with GST and the PAYG system
  • 32.
    Business Activity StatementAdviser Education Programme 32 Source Documents Source documents are the documented evidence that an entity accumulates when it processes transactions. This evidence needs to be kept in a form that facilitates easy retrieval. Examples of source documents: Cheque butts Deposit slips Bank statements Tax invoices Pay slips Receipts Purchase orders Credit notes Expense claim forms Quotations Why do we keep source documents? We keep source documents to provide the information needed to produce accurate reports for use by management. In addition to this function, in a GST context, they provide the evidence needed to prove that the entity is entitled to a GST refund or, conversely, how much GST it needs to pay to the ATO. Controls need to be put in place to ensure the system generates the required source documents. The ATO has information available on exactly what source documents need to be retained and for how long. You will find it useful to: • Use standard source documentation that suits the organisation • File all documentation in a logical and ordered way, consistent with the systems used • Ensure everybody in the organisation understands the need for, and use of the source documents A structured reporting system reduces room for error and enables the users to have a greater level of confidence in the accuracy and usefulness of the information. A consequence of a good system will be that GST reporting requirements will be easier to meet. Further: • The risk of incorrectly claiming back GST on items purchased will be much reduced; and • If any of the people who procure goods or services from your organisation are GST registered, you will be helping them fulfil their documentation needs in respect of their purchases from you. Review source documents at time of transaction When you create or receive any source document, take the time and care to ensure that all relevant information is correctly recorded
  • 33.
    Business Activity StatementAdviser Education Programme 33 The more accurate and detailed the source documents are, the more useful they become, allowing more information to be held in one place. Where possible, source documents should be cross-referenced to provide additional detail if required. Examples of this may be a quote matched to the invoice, or alternatively a cheque number written on an invoice when paid. Tax Invoices As we discussed earlier the tax invoice is the single most important source document in any GST system. Procedures to ensure tax invoices are collected, issued and stored appropriately are crucial in a GST environment. The requirements of a tax invoice are an extension of information held on a normal invoice. Cheque butts Most payments that an organisation makes are made through a bank account using cheques. The cheque butt provides an opportunity for the organisation to record information about each payment made. The cheque number is also unique and provides a good tool for cross-referencing the payment against the tax invoice held. Details that you may wish to write on each cheque butt are: • Date • Supplier • Cheque total • Any GST content, and whether (any part of) the payment relates to a supply that is GST-free or input taxed. Cash Payments It is desirable that actual cash payments, including petty cash, should be kept to a minimum. The reason is to ensure that there is a permanent source document that can easily be referred to. As mentioned, payments by cheque allow the cheque butt to be used as the source document. An equivalent methodology needs to be put in place if cash payments must be made to ensure that those outgoings are correctly accounted for. Drawing a cheque on the business account and banking it as part of normal sales could achieve this. If the payment covers an item that costs not more than $50 [including GST] it will not be necessary to obtain a formal tax invoice from the supplier. However, a suitable transaction receipt is still required for GST purposes. For the preparation of the BAS there are certain details that need to be shown. There needs to be a split between,
  • 34.
    Business Activity StatementAdviser Education Programme 34 Capital acquisitions — BAS Box G10 Other acquisitions — BAS Box G11 Acquisitions of input taxed supplies — BAS Box G13 Acquisitions with no GST in the price — BAS Box G14 Private use and non tax deductible acquisitions — BAS Box G15 Deposit book The bank deposit book is similar to the cheque butt, but instead of analysing payments it may be used to analyse your receipts. Again this allows a lot of information to be held in one place that can be used for different purposes. For the preparation of the BAS there are certain details that need to be shown. There needs to be a split between, Taxable Supplies — BAS Box G6 GST-free supplies — BAS Boxes G2 and G3 Input taxed supplies — BAS Box G4 Care needs to be taken to ensure that if the deposit is outside the GST (such as a receipt of a loan or transfer of funds between accounts) that this is shown separately and not lumped into any of the three GST categories. Details that may need to be written on each deposit form. • Date • Total amount of the deposit • Total GST portion of the total amount of the deposit • The portion of the total amount of the deposit that is attributable to each different type of supply (taxable; GST-free, input taxed) Nowadays, many credits to the bank account of an organisation are not by way of deposits made of cash and cheques received. Often, there will be a significant number of eftpos or credit card transactions. Care needs to be taken to ensure that these too are recorded correctly in the systems and GST properly identified and accounted for. One particular area where GST accounting is all important is that of credit card sales. Here the focus needs to be on the total consideration (and GST content) of the GST taxable supply made, not on the amount of the deposit made by the credit card company. This becomes an issue when the credit card company deducts its fees before the net deposit is credited to the organisations bank account.
  • 35.
    Business Activity StatementAdviser Education Programme 35 Bank Statements The bank statement provides the link between the inwards and outwards transactions of an entity. It shows the deposits made, cheques issued and automatic payments made. The bank statement provides the first opportunity to reconcile your record of the payments and receipts against what the bank actually credited or debited to your account. This is particularly important when there are automatic payments and direct credits or other deposits into the account. Some entities may find that each major activity undertaken is more easily accounted for when each activity operates its own bank account. This allows the source documents for each to be easily identified, collated, analysed and reported on. Rules of thumb for bank statements: • Keep them all for at least five years (as with all your records) • Keep the statements for each bank account separate from those of other bank accounts maintained • File in date order • Complete a bank reconciliation at least monthly. Cashbook No matter what system an entity chooses to use, the primary purpose of recording GST information is to ensure that all the information required for completing the BAS is available. If an entity has an accounts payable and accounts receivable system then a typical flowchart showing how all the information is gathered in one place would be as shown. Tax Invoices Received Tax Invoices Issued Creditors Debtors Cashbook Bank Statement Reports and information
  • 36.
    Business Activity StatementAdviser Education Programme 36 Because the various types of transactions need to be analysed into their GST effect there need to be effective checks and balances in place. At the end of any GST tax period, the balance in the GST accounts in the general ledger [GST received from customers and GST paid to suppliers] should equal your GST refund, or the total GST payable to the ATO, as disclosed by your workings on your BAS for the period. Checks and Balances Every entity needs checks and balances to ensure everything is recorded accurately and in the correct period. These are called controls. An essential control is the bank reconciliation. The bank reconciliation should be completed at least monthly and before any information or reports are created. If the cashbook (or computer system) reconciles to the bank statement then there is accurate information to generate reports on cash movements in the entity. The cashbook will also give the information required for the BAS if the entity is registered for GST on a cash basis. If the entity is registered for GST on a non cash basis, then further information will be required.
  • 37.
    Business Activity StatementAdviser Education Programme 37 Assisting Staff To Deal With GST In modifying or developing systems to record and account for GST the procedures that are developed and put in place must be user friendly. These procedures must be in a form that enables staff to follow them without being technical experts in GST. • In developing the procedures the following actions are necessary: • The Chart of Accounts needs to be suitably modified to classify the various types of supply - GST supplies, GST-free supplies, input taxed supplies, by activity where appropriate • Implement procedures to ensure that source documents will be coded correctly to indicate the GST status of all supplies made or received • Ensuring that invoice documentation issued by the business complies with the "tax invoice" requirements and facilitates accurate recording • Reviewing current procedures to ensure that the debtors and creditors records appropriately capture and classify GST information in an efficient and effective manner. • Ensuring cash flow management procedures are adequate to cope with the impact of GST • Ensuring that relevant totals can easily be obtained from the system for entering on the GST return, either from a computerised or a manual recording system • Ensuring that staff understand and can apply the “attribution rules” • Reviewing procedures to ensure that records are kept up to date at all times to enable the completion of the BAS within 21 days of the end of each tax period • Understand what GST issues fall outside their knowledge and experience and contact the ATO or professional adviser for assistance
  • 38.
    Business Activity StatementAdviser Education Programme 38 Wine Equalisation Tax Boxes 1C and 1D on the BAS relate to Wine Equalisation Tax. For most taxpayers these boxes are not relevant. What is the Wine Equalisation Tax? This is a tax payable by relatively few taxpayers on the last wholesale sale (sale to a reseller) of wine in Australia. If untaxed wine is sold directly to a consumer then the tax will apply to the sale or use of that wine. Most taxpayers will ignore boxes 1C and 1D on the BAS. The tax is imposed at the rate of 29% on the wholesale selling price of wine. Alternative values are used in the calculation if the wine is not sold wholesale. The Wine Equalisation Tax (WET) is required to be included in the BAS or IAS at Box 1C Wine equalisation tax payable for the relevant tax period. If a refund is claimable this is shown at Box 1D at the heading Wine equalisation tax refundable . Calculation of WET payable The calculations required to determine the amount of WET payable for a relevant period are shown in the ATO publication Business Activity Statement Instructions . They involve separating the dealing with the wine into different categories: 1. Wholesale sale of any goods subject to WET 2. Retail sale of grape wine 3. Retail sale of wine that is not a grape wine 4. Application of the wine to own use connected with retail sale of grape wine 5. Application to own use connected with retail sale of wine that is not a grape wine 6. Wholesale sale of wine to a non-arm s length customer In cases where the WET has been overpaid it is refundable within 4 years of when the reason for claiming a credit arises. Credits may arise in a number of ways including: • Incorrect calculation of the amount payable • Exporting wine that was subject to WET • Writing off bad debts that included WET paid by you • Entitlement to a Commonwealth Rebate on rebateable dealings ($300,000) Reference; ATO Business Activity Statement Instruction Booklet. ANTS (Wine Equalisation Tax) Act 1999
  • 39.
    Business Activity StatementAdviser Education Programme 39 Luxury Car Tax A Luxury Car Tax (LCT) at the rate of 25% is payable on the value of a car above the luxury car tax threshold, but excluding the GST component above the threshold. Essentially this section in the BAS is to be completed only if the motor vehicles are held as trading stock. The definition of a car for tax purposes is subject to change depending on the purpose to which the car will be put. The eligibility for the LCT takes into account the load and the number of passengers the car is designed to carry. A luxury car is a car with a GST-inclusive value that exceeds the luxury car tax threshold ie. the GST-inclusive car depreciation limit for income tax purposes. This limit was $55,134 in the 1999-2000 income year but is subject to change. LCT on importations of luxury cars will be generally paid with customs duty and in these cases it will not appear on an Activity Statement. However if you quote your ABN the LCT need not be paid at the point of importation but on the next BAS subject to the following: • The business must be registered for GST and therefore obliged to submit a BAS • The business intends to use the car for one of the following purposes, and for no other purpose 1. Holding the car for trading stock, other than holding the car for hire or lease 2. Carrying out research and development for the manufacture of the car, or 3. Exporting the car in circumstances where the export is GST-free The tax is required to be included in the BAS or IAS at Box 1E Luxury car tax payable for the relevant tax period. If a refund is claimable this is shown at BAS Box 1F at the heading Luxury car tax refundable . Increasing adjustments to the LCT (as well as any related GST) may arise in the following circumstances: • An increase in the price of the car • You quoted your ABN at the time of importation or purchase and you now use the car for a different purpose • You previously claimed a decreasing adjustment in respect of a bad debt which has since been recovered Decreasing adjustments are also possible if the reverse of the above circumstances arise, as well as in the case of a sale being cancelled after you have paid the relevant LCT. Reference; ATO Business Activity Statement Instruction Booklet. ANTS( Luxury Car Tax) Act 1999
  • 40.
    Business Activity StatementAdviser Education Programme 40 Wholesale Sales Tax Credit A once only special credit for wholesale sales tax paid before 1 July 2000 is claimable by some taxpayers provided that: 1. The taxpayer is registered for GST by 1 July 2000 2. The claim is made once only on a BAS or IAS at Box 1G lodged with the ATO in respect of any reporting period ending on or before January 7, 2001 3. The stock in respect of which the WST has been paid is trading stock 4. Evidence of the WST paid is available and retained 5. All relevant records of the stock-take at 30 June 2000 are available to validate the claim for the credit. The claim is calculated in one of two ways: 1. Physical stock-take with details of the actual WST included in the cost of each item. This can be obtained by referring to the original invoices, copies of which should be kept with the stocktaking records. The total WST is then claimed as a special credit. 2. Where it is not possible to identify the WST content of each item on hand at 30 June you may use the following formula: Rate of WST applicable to a category of goods multiplied by 50% of the cost of those goods. Eligibility of Goods Items in respect of which the credit is claimable are those purchased or imported and held for sale or exchange (but not for manufacture). Items on which you may not claim the WST credit are: • second-hand goods, unless you imported them for sale or exchange and paid sales tax on them • plant and equipment which you have used in your business • demonstration goods, or • goods for hire or lease. Alcoholic beverages A partial credit is available in respect of certain types of alcoholic beverages. You are advised to contact the ATO or your financial adviser to discuss your eligibility for the special WST credit.
  • 41.
    Business Activity StatementAdviser Education Programme 41 Subsequent adjustments to Claim for WST credit The ATO advises that any alteration to the amount claimed as a special WST credit must be reported by submitting a Revised Activity Statement. Adjustment may arise in respect of the relevant goods as a result of: • using the goods for private purposes. Include the market value of the goods at Box 1G on the Activity Statement. • receiving discounts or rebates that reduce the price on which the WST was calculated. • returns received back into stock or returned to your supplier. Reference: ATO Ruling GSTR 2000/8 issued 19.4.2000
  • 42.
    Business Activity StatementAdviser Education Programme 42 Overview of PAYG The introduction of Pay As You Go (PAYG) combines all of the various methods and payments of income tax of taxpayers earnings under one system. Under the PAYG systems all taxpayers currently liable to file income tax returns will still have those obligations but all of the methods of paying the taxes attributable to their income during an income year have been combined under the same umbrella. The PAYG system is broken up into two parts. The PAYG withholding system deals with the obligations to deduct tax at source. The PAYG instalment system covers income that was not subject to PAYG withholding. (Modified from an ATO publication) Pay As You Go PAYG Withholding means paying amounts you withhold from others Replaces PAYE and other withholding systems. (The PPS and RPS systems will be abolished.) PAYG Instalments means paying your own tax Replaces provisional tax and company and superannuation fund system one set of due dates one form for reporting and payment
  • 43.
    Business Activity StatementAdviser Education Programme 43 PAYG Withholding System What is the new PAYG system? It is a part of the New Tax System effective from 1 July 2000. The PAYG withholding system replaces 9 existing systems which require that tax be withheld by a payer at source and which require certain taxpayers to pay provisional tax in advance of their final assessed income tax liability. The withholding systems to be replaced include the current PAYE (Pay As You Earn deductions from salaries and wages), PPS (Prescribed Payments System applicable to certain contractors), RPS (Reportable Payments System applicable to industries). The new PAYG withholding system will integrate all the previous systems. A payer will be required to withhold tax on certain specified payments, including where applicable, some non-cash benefits. Penalties will be incurred if the relevant amounts are not withheld and remitted to the ATO on the due dates. Payment due dates for all PAYG withholdings will be aligned so that all withholding amounts deducted by a business will be sent to the ATO at the same time. Note The new system affects all businesses, whether commercial or not for profit and charities, as well as some individuals such as self-funded retirees.
  • 44.
    Business Activity StatementAdviser Education Programme 44 Presenters Note: Nine Systems replaced by PAYG withholding: 1. PAYE (Pay As You Earn) 2. PPS (Prescribed Payments System) 3. RPS (Reportable Payments System) 4. Dividend withholding tax 5. Investment income where no TFN provided 6. National resource payments, dividends, interest and royalties paid to non-residents 7. Mining on aboriginal land 8. Repaid farm management deposits 9. Withdrawals from Australian Film Industry Trust Fund Accounts PAYG WITHHOLDING Started on July 1 2000 What s new? Voluntary agreements Labour hire No ABN Nine systems replaced by PAYG withholding CALCULATION SHEET EXTRACT: Total of salary wages and other payments Amounts withheld from investment distributions where no TFN is quoted W2 Amounts withheld from salary wages and other payments Amounts withheld from payment of invoices where no ABN is quoted Amounts withheld from all payments for the period ( dates pre-printed by ATO) Add W2 + W3 + W4 and write the amount at 4 on the front W3W1 W4
  • 45.
    Business Activity StatementAdviser Education Programme 45 Terminology for PAYG Withholding Australian Business Number (ABN) —the number issued to all entities carrying on an enterprise with effect from 1 July 2000. It is intended that the ABN will replace the ACN and ARBN. BAS or Business Activity Statement is used monthly or quarterly by entities which are registered for GST to report their business tax obligations and entitlements Commissioner s Instalment Rate (CIR) —a rate of PAYG instalment notified by the ATO for use when paying instalment of tax EFT — Electronic Funds Transfer FBTAA - Fringe Benefits Tax Assessment Act General Interest Charge (GIC) — an interest charge on late payments of tax calculated daily on a compounding basis. The daily rate is the weighted average yield for the 13 week Treasury Note yield rate plus 8%, divided by 365. This will be adjusted quarterly. (TAA sec 8AAD). Goods and Services Tax (GST)- a 10% tax on most goods and services supplied in Australia from 1 July 2000 Higher Education Contribution Scheme (HECS) —employees who have attended tertiary institutions and have an unpaid debt in respect of the relevant fees are required to have repayments deducted from their remuneration IAS or Instalment Activity Statement is used by entities or individuals which are not registered for GST to report their tax obligations and entitlements. ITAA - Income Tax Assessment Act Labour Hire Firm — any firm which wholly or partially arranges for individuals to perform work or services for their clients. If this activity is only incidental to the business then it does not fit into this definition. Payment Summary — replaces former Group Certificate and shows total payments made to the employee, total tax deducted therefrom as well as other information such as reportable Fringe Benefits, and no ABN withholding. TAA —Tax Administration Act 1953 TFN —Tax File Number TFN Declaration — replaces former employment declaration completed by all employees
  • 46.
    Business Activity StatementAdviser Education Programme 46 General References: • Guide to Pay as You Go for business (March 2000) • Guide to Pay as You Go for individuals (March 2000) • Transferring from PAYE to PAYG withholding (June 2000) • PAYG Instalment Activity Statement Instructions • PAYG Business Activity Statement Instructions Note: Forms published by the ATO are available on the ATO website at www.taxreform.ato.gov.au
  • 47.
    Business Activity StatementAdviser Education Programme 47 Registration for PAYG Before a payer can be part of the new PAYG system the payer must be registered for PAYG withholding. How does a payer register for the new system? Currently registered for withholding taxes: If you are currently registered under one of the existing withholding systems you will automatically be included in the new PAYG system. Most businesses for example are already registered as group employers, deducting PAYE from salaries and wages. Registering for the first time: If you are not currently withholding any taxes then you need to notify the ATO that you will be doing so before you make the first PAYG withholding payment. Payers that are required to withhold tax for the first time would include those paying a supplier of goods or services that does not provide an ABN (Australian Business Number) as part of a business transaction Entities required to withhold tax Entities required to withhold tax fit into three categories, small, medium or large, depending on the total annual amounts of tax withheld by them. Payment to the ATO of the amounts withheld will be due on specified dates and normally be included on one of the following two statements: Business Activity Statement — BAS — if registered for GST Instalment Activity Statement — IAS — if not registered for GST Registration for PAYG Currently registered for withholding taxes Registering for the first time What s required to withhold tax BAS - monthly or quarterly only if registered for GST IAS - monthly or quarterly if not registered for GST
  • 48.
    Business Activity StatementAdviser Education Programme 48 Small, Medium and Large withholders Different rules apply to each size category of PAYG withholders and may be summarised as follows: Annual withholdings Remittance due Report required to accompany payment SMALL Up to $25,000 Quarterly On or before the 21st of the month following the period end BAS quarterly if registered for GST or IAS quarterly if not registered for GST MEDIUM $25,001 to $1 million Monthly On or before the 21st of the month following the period end BAS monthly or quarterly if registered for GST IAS monthly or quarterly if not registered for GST LARGE Over $1 million Weekly: Deductions made from Sat — Tues due following Mon Wed — Fri due following Thurs ATO approved form for weekly payments (EFT Code Type 70) plus BAS monthly or quarterly (EFT Code Type 60 for other liabilities on BAS) Small withholders for the year 2000-2001: • You withheld $25,000 or less in total in respect of all types of withholdings for the financial year ended 30 June 2000 Obligations: • Must pay PAYG withholdings quarterly Medium withholders for the year 2000-2001: • You were a medium withholder for June 2000 and would have been even if PPS and RPS withholdings had been ignored • Your withholdings for the financial year ending 30 June 2000 exceeded $25,000 • The ATO determines that you are a medium withholder
  • 49.
    Business Activity StatementAdviser Education Programme 49 Obligations: • Must pay PAYG withholdings monthly Large withholders for the year 2000-2001: • Classified as a large remitter for June 2000 • Have PAYE remittances of more than $1 million (alone or as part of a company group) for the 1999-2000 financial year • The Commissioner determines that you are a large withholder Obligations: • Must pay PAYG withholdings to the ATO weekly • Must pay electronically — direct payments or Bpay using EFT code (Type 70) • Can offset a net GST liability against only one withholding liability by lodging a PAYG Withholding Liability Notification on or before the withholding due date Note A withholder classified as large as at June 30 (due to obligations under the PPS and/or RPS systems) may be able to request reclassification to medium, or even small, post 30 June 2000. Large withholders from the year 2001-02 onwards: The $1 million threshold will be calculated taking into account all payments subject to PAYG withholding, not just withholdings previously classified as PAYE. The total must include all the PAYG obligations of wholly-owned companies in a group and of all branches of an entity. Reference: Large withholders guide to paying PAYG withholding liabilities; Business Activity Statement instructions Note: In calculating the total PAYG withholdings even those amounts withheld from suppliers who do not quote an ABN must be included. Change of status — the ATO can vary the status of a withholder on a monthly basis. The determination will be given before the relevant month to which it will apply. Classification for PAYG Small - up to $25,000 Medium - $25,001 to $1,000,000 Large - over $1,000,000 Change of status
  • 50.
    Business Activity StatementAdviser Education Programme 50 Practical Issues for Employers CALCULATION SHEET EXTRACT Under the PAYG withholding system employers have the following obligations: 1. Obtain a valid “Tax File Number declaration” from all employees. Valid employment declarations on hand at 30 June 2000 qualify as TFN declarations. 2. Obtain a “Withholding Declaration” from employees who wish to, or need to, have their normal PAYG withholding amounts varied (this single page form is accompanied by 24 pages of instructions). The reasons for requiring a variation would include having a HECS debt or being eligible for certain rebates. 3. Determine amount of tax to be withheld using relevant tax tables effective from 1 July 2000. 4. Variations issued under the PAYE system expire on 30 June 2000. New variations need to be obtained. 5. Where no TFN is provided by an employee the rate of tax is the top marginal rate, including the Medicare levy. An employer is required to notify the ATO in the approved form within 14 days if an employee does not provide a TFN. 6. A transitional requirement is to report to the ATO by 31 October 2000, in the approved form, all employees who have not provided a TFN to their employer. 7. If the payee is not an Australian resident then foreign resident tax rates apply. Total of salary wages and all other payments Amounts withheld from salary wages and other payments Amounts withheld from all payments for the period (dates pre-printed) W1 $ W2 $
  • 51.
    Business Activity StatementAdviser Education Programme 51 8. Deduct PAYE from salaries and wages, termination payments etc. 9. Remit to the ATO weekly, monthly or quarterly depending on the total annual PAYG withholding threshold of the employer. 10. If the remittance date coincides with the due date for a BAS or IAS then the calculations are entered into BAS boxes W1 to W4 and the total due is transferred to BAS Box 4. 11. Issue Payment Summaries (previously Group Certificates) for each employee by July 14, or when requested by an employee leaving (within 14 days). 12.Provide an annual report (previously the reconciliation statement) to the ATO, by 14 August, summarising all payments made to payees and the amount of tax withheld (including Nil amounts). An employer can report on the approved form or provide copies of all Payment Summaries issued, with a summary statement. PAYER S OBLIGATIONS Register for PAYG? Withhold where required Notify and remit Annual report to ATO Issue Payment Summary to payee NO TFN report to ATO by 31 October References: TAA sec 16-150; Pay As You Go (PAYG) Withholding Tax Tables effective for payments made on or after 1 July 2000
  • 52.
    Business Activity StatementAdviser Education Programme 52 Categories of PAYG Withholding Employment related: 1. Salaries and wages paid to employees 2. Remuneration paid to a director of a company 3. Salary paid to an office holder (e.g. member of the Defence Force) 4. Return to work payment to an individual 5. Payment to an individual under a Voluntary Agreement (NEW) 6. Payment under a Labour Hire Arrangement, or one specified by regulations (NEW) 7. Pension or annuity 8. Eligible termination payment 9. Payment for unused leave on retirement or termination of employment 10. Social security or similar payment e.g. old age pension 11. Commonwealth education or training payment 12.Compensation, sickness or accident payment Investment related: 13. Investment income paid – recipient provides neither TFN nor ABN 14. Investor becoming ‘presently entitled’ to income of a unit trust ABN: 15. No ABN quoted by recipient of a payment for a supply of goods or services (NEW) Non-residents: 16. Dividend paid to an overseas person 17. Dividend received for a foreign resident 18. Interest paid to an overseas person 19. Interest payment received for an overseas person 20. Interest derived by a lender in carrying on a business through a permanent 21. establishment overseas 22. Royalty paid to an overseas person 23. Royalty received for an overseas person Mining: 24. Mining payment (refer ITAA sec 128V) 25. Natural resource payment (at least one recipient is a foreign resident) Note that only 5, 6, and 15 above are NEW types of withholding.
  • 53.
    Business Activity StatementAdviser Education Programme 53 Taxing of Allowances PAYG withholding applies to certain allowances that are not included in the normal salaries and wages paid to employees but which are paid for: • Working conditions eg. danger, height and dirt • Qualifications or special duties eg. safety officer • Expenses that are non-deductible for income tax purposes eg. for travel between home and work • Work-related expenses that may be income tax deductible eg. travel between work sites Allowances excluded from PAYG withholding Some allowances have been specifically excluded from withholding by the Commissioner subject to the following: • The payee is expected to incur the expenses and they may be claimed as a tax deduction at least equivalent to the amount of the allowance, and • The amount and nature of the allowance is shown separately in the accounting records of the payer Examples of excluded allowances include payment for travel costs based on a cents per kilometre basis but only up to 5000 kms, laundry allowances for deductible clothing up to the threshold amount. ATO Schedules The ATO has produced schedules of the allowances and their treatment for PAYG purposes. References: PAYG Bulletin Number 1
  • 54.
    Business Activity StatementAdviser Education Programme 54 Non-Cash Benefits and PAYG Withholding What is a non-cash benefit? A non-cash benefit includes property or services in any form except money. Barter transactions are a typical example of this. PAYG withholding is required in respect of all non-cash benefits provided to persons, other than employees, given in exchange for goods or services where the payment would have been subject to PAYG withholding had it been made in money. This is to ensure that the withholding provisions are not by-passed by making payments in the form of non-cash benefits. The payer of a non-cash benefit subject to PAYG withholding is required to: • Establish the market value of the benefit being given to the recipient • Calculate the relevant tax on that amount • Remit the tax to the ATO before the benefit is supplied to the recipient • Provide the recipient with a Payment Summary at the end of the financial year • Recover the amount of tax paid to the ATO on behalf of the recipient from the recipient either in cash or by offsetting that amount against any further payments due to the recipient. No PAYG withholding is required if the benefit is: • A fringe benefit • An exempt benefit under the Fringe Benefits Tax Assessment Act 1986 • The acquisition of a share or right under an employee share scheme Example: Sarah has entered into a Voluntary Agreement with a property developer to landscape the gardens surrounding a new corporate office block. The property developers offer her one of their second-hand vans as payment for her services. The company is required to establish the market value of the van and pay over the relevant withholding tax to the ATO before the vehicle is given to Sarah. Sarah is then obliged to pay to the company the amount of tax paid on her behalf. Alternatively if the company owes her more than the market value of the van it can offset such amounts against what is due to her. References: ATO Fact Sheet NAT3066; Fringe Benefits Tax Assessment Act 1986; ITAA 1936 Div 13A of Part 111.s
  • 55.
    Business Activity StatementAdviser Education Programme 55 Contractors and Employees under the New Tax System When is an individual a contractor and not an employee ? It is important for a payer to know whether a payee is classified as an employee or a contractor for tax purposes. If the payee is an employee then the payer will be required to deduct tax from the salary/wages at time of payment. Alternatively if the payee is a contractor, tax will only be deducted at time of payment if the PAYEE fails to provide an ABN. In this event tax will deducted at the rate of 48.5 cents in the dollar. Who is an employee within the ordinary meaning of that expression? There are definitions in the legislation and much case law but essentially there must be a contractual relationship between an employer and an employee requiring the provision of service on the part of the employee. This is a difficult area of tax law and is by no means settled. In essence this area of the law affects the contractor, and not the person using the contractors services. Any individual holding themselves out as being a contractor should familiarise themselves with the ATO s publications and rulings in this area. In particular contractors should be familiar with Draft Ruling TR2000/D2, and the rulings relating to entities [eg companies] that are interposed between the individual performing the services, and the person who utilises those services. Individuals who wish to operate as independent contractors would be advised to discuss their individual situation with the ATO or their financial adviser. Contractor or Employee? ATO ruling Control is a significant factor If an employee — PAYG withholding If a contractor — ABN required but no withholding Organisations using the services of contractors, and not operating under a Voluntary Agreement,[see page 56] will not be obliged to verify the status of people who hold themselves out to be contractors. They should however ensure that they obtain an ABN if no tax is deducted..
  • 56.
    Business Activity StatementAdviser Education Programme 56 Voluntary Agreements The PAYG system allows for a new form of contractual arrangement between an individual (the contract worker) offering their services and businesses requiring those services. This option is available under the following circumstances: • The contract worker (payee) has an ABN, and • The payments for the services are not subject to any other PAYG withholding eg. a Labour Hire Arrangement Payer If this arrangement suits both parties the business is required to: • Enter into a formal written contract to be signed by both parties. You may use the ATO form NAT2772, A Voluntary Agreement for PAYG Withholding . The original is the payer s copy, the duplicate is the payee s. There is no requirement to lodge a copy with the ATO. Or the parties may draw up their own contract ensuring that it contains at least the following information: • Commencement date of contract • Type of service being provided • Statement that the payments made are subject to a Voluntary Agreement under sec 12- 55 of Schedule 1, Part 2-5 of the TAA • Payee s and payer s ABN, name, and address • Rate of withholding • If the contract worker is engaged more than once it will not be necessary to draw up a new agreement each time the contract worker performs services for the business. The Voluntary Agreement remains in force until such time as it is terminated in writing by either party • Deduct PAYG withholding at the payee s instalment rate as notified by the ATO (Commissioner s Instalment Rate), if greater than 20%. If the CIR is less than 20% the two parties must agree to use the lower rate, failing which the rate will remain at 20%. Where no CIR has been supplied then the 20% rate applies. (The rate is applied to the payment net of any GST that may have been charged) • Pay the withholding tax to the ATO on the next activity statement BAS box W2. Show gross payments in BAS box W1 • Issue the contractor with a Payment Summary by 14 July each year, or earlier if requested • Retain the agreements for the duration of the contract and for 5 years thereafter. • Give an annual report of all payments withheld to the ATO by 14 August each year
  • 57.
    Business Activity StatementAdviser Education Programme 57 The contract worker/payee: • Will not be required to pay any PAYG instalments on the income earned under the Voluntary Agreement. They effectively end up in a similar situation to an employee, the amounts earned under the agreement being returned in their annual income tax return as well as the credit for the withholdings. • Must retain copies of Voluntary Agreements while they are in force and for a period of 5 years thereafter • Must complete an activity statement by the due date, excluding payments received under a Voluntary Agreement. This is necessary even if it is a Nil statement • Charge GST on the value of the service only if they are registered for GST and if the payer is not entitled to a full GST input tax credit • A GST registered contract worker can claim input tax credits on all inputs used in supplying the relevant services GST implications for voluntary agreements: In most cases the supply of the services under a Voluntary Agreement will not be subject to GST even if the contract worker is registered for GST. However, if the business is not acquiring the services for a creditable purpose then it will be required to pay GST on the services. Failure by either party to retain a copy of the Voluntary Agreement for the specified period may result in penalties. Example: Tom is registered for GST and provides computer software support to a limited number of businesses. He enters into two separate Voluntary Agreements as follows: 1. Bird and Associates, a firm of accountants. Tom will not include GST in his invoices to the firm but he can still claim all relevant GST input tax credits on his inputs. 2. ABC Bank Ltd., providing financial supplies, all of which are input taxed. Tom will include GST on his invoices to the bank and he can still claim his input tax credits. Reference: PAYG Voluntary Agreements NAT3063-6.2000; TAA sec 12-55 Voluntary Agreements Written contract ABN required GST chargeable? Not included in instalment income of payee
  • 58.
    Business Activity StatementAdviser Education Programme 58 Labour Hire Arrangements Labour hire arrangements involve 3 parties: 1. Labour Hire Firm 2. Client of the Labour Hire Firm 3. Worker (an individual) who is not an employee of either of the other 2 parties They involve at least 2 contracts: 1. Between the Labour Hire Firm and the client [numbering not quite right here] 2. Between the Labour Hire Firm and the worker A Labour Hire Firm is any firm that wholly or partially arranges for individuals to perform work or services for their clients. If this activity is only incidental to your business then you do not fit into this definition. The following examples where withholding tax does not apply help to illustrate this point: Example 1: Incidental use of a third party for a client A solicitor using the services of a barrister for a client will not be required to withhold tax from payments to the barrister. Example 2: Contractor using a subcontractor on a project A contractor using a subcontractor on a project commissioned by a client will not be required to withhold tax from the payments under the labour hire arrangement rules. However, there may be an obligation to withhold due to some other circumstance such as the subcontractor not providing an ABN. Example 3: Staff recruitment agency The agency recruits a new CEO for a client. There will be no withholding obligation on the part of the agency. The client will have a PAYG withholding obligation in respect of its new employee (and possibly in respect of its payment of commission to the agency if it fails to supply an ABN).
  • 59.
    Business Activity StatementAdviser Education Programme 59 Labour Hire Firm The PAYG withholding obligations for the parties to such an arrangement are as follows: 1. Labour Hire Firm is obliged to withhold tax from all payments it makes to the worker and pay these to the ATO 2. The client has no PAYG obligations 3. The worker will receive a Payment Summary from the Labour Hire Firm at the end of the financial year and return the income in his/her annual income tax return. Example ABC Ltd. (the client) contracts with IT Services (the Labour Hire Firm) to supply contract workers during their peak periods to assist with processing data. Jean Jones is on the books of IT Services and is sent to work at ABC Ltd. for a month. She will be paid by IT Services, which is obliged to withhold tax from all payments made to her. There is no PAYG withholding obligation on the part of ABC Ltd. Reference: ATO publication NAT 3069. This payment is subject to withholding Labour Hire Firm Worker (individual) Client
  • 60.
    Business Activity StatementAdviser Education Programme 60 Transitional rules for PPS Payees It is proposed to set rules in place for 2 years from 1 July 2000 enabling some contractors to retain their classification as contractors rather than becoming employees . Those trading through an incorporated entity will continue to be taxed at the corporate tax rate and individuals will still be entitled to business deductions provided that: • They are currently in the Prescribed Payments System (PPS system) • They satisfy one of four criteria: 1. Have their own business premises 2. Have 2 or more unrelated clients 3. Have one or more employees that perform at least 20% of the work 4. Able to satisfy the Commissioner that the entity is not a loss- making operation and that the tools of the trade are supplied References: New Business Tax System (Alienation of Personal Services Income) Bill 2000; NBTS (Alienated Personal Services Income)(Tax Imposition) Bill (No 1) 2000; NBTS (Alienated Personal Services Income)(Tax Imposition) Bill (No 2) 2000; Draft tax ruling TR2000/D2
  • 61.
    Business Activity StatementAdviser Education Programme 61 Prescribed Payments and Reportable Payments System Prescribed Payments System — under this system tax was withheld from certain prescribed payments for construction and other specified contracts under specified circumstances. Reportable Payments System — under this system payers were required to report to the ATO payments relating to specified transactions in connection with the clothing, fishing, smash repair and fruit and vegetable industries. Where no TFN was provided by the payee there was an obligation to withhold tax at 48.5%. Both of these systems have been abolished with effect from 1 July 2000 and incorporated into the new PAYG withholding system. The options for a payer are: 1. The contractor is registered for GST and provides valid tax invoices – no PAYG withholding tax 2. The contractor is not registered for GST but provides an invoice with a valid ABN – no PAYG withholding tax 3. The contractor provides an invoice with no ABN – deduct tax at maximum marginal rate, currently 48.5% 4. Contractor enters into a Voluntary Agreement with your entity - deduct PAYG withholding at the relevant rate from all payments made to him/her 5. Contractor is employed through a Labour Hire Firm – the hire firm pays the contractor and is responsible for deducting PAYG withholding. 6. The contractor is treated as an “employee” – deduct PAYG from all payments in accordance with the relevant tax tables Payer s obligations If one of the above options requires PAYG withholding tax to be deducted then the payer is required to: • Withhold tax at the relevant rate at the time payment is made • Pay all amounts withheld to the ATO together with other PAYG withholdings. This will be weekly, quarterly or monthly depending on the annual threshold of total PAYG withholdings. • Provide the supplier/contractor with a Payment Summary on or before 14 July each year (or earlier if requested). • Report the totals deducted as PAYG withholding tax annually to the ATO on or before 14 August.
  • 62.
    Business Activity StatementAdviser Education Programme 62 Payee The contractor or recipient of income under the new PAYG system will be affected as follows: • If registered for GST then the GST charged to the customer must be paid to the ATO monthly or quarterly. (No GST charged if transaction is subject to a Voluntary Agreement and the recipient of the services is not input taxed) • PAYG instalments will be payable to the ATO by the recipient in respect of all business or investment income that has not been subject to PAYG withholding. Note: It is important to comply with other legislation in regards to employee/contractor relationships, including Work Cover, superannuation and payroll tax. References: ITAA Sec 221YHAAF to 221YHZ; Sec 220AA to 220AZH PPS and RPS Abolished Payer s obligations as with all PAYG withholding
  • 63.
    Business Activity StatementAdviser Education Programme 63 Withholding when no ABN supplied CALCULATION SHEET EXTRACT Most individuals and entities operating a business in Australia will quote an ABN on all invoices issued on or after 1 July 2000 for goods or services supplied to another business. Where no ABN is quoted the payer is obliged to: • Withhold an amount from all payments equivalent to the maximum marginal rate, currently 48.5%. This includes payments made in a form other than cash, in which case the value of the transaction is the market value of the payment item • Pay this to the ATO in the next period. The total of no ABNs must be shown on the BAS or IAS in Box W4 • Issue the supplier with a Payment Summary at the end of each financial year by July 14, or earlier if requested, to enable the payee to claim a credit for the tax withheld • Pay a penalty to the ATO if no withholding is made, equivalent to the 48.5% which should have been withheld, or 10 penalty units. These payments are not deductible for income tax purposes hence the effective penalty is increased • Keep the payments separate from other payment records because the invoice will not constitute a valid tax invoice and no GST input tax credits will be available in respect of such payments • Complete an annual report summarising all such payments and send it to the ATO by 31 October. Amounts withheld from payment of invoices where no ABN is quoted Amounts withheld from all payments for the period (dates pre-printed) W4 $
  • 64.
    Business Activity StatementAdviser Education Programme 64 The need to withhold does not apply in the following circumstances: 1. The supply is one of a series and you have the ABN on permanent record. 2. The payer is an individual and the payment is wholly of a private or domestic nature. 3. The payment does not exceed $50. 4. The whole of the payment is exempt income of the payee e.g. the supplier is an ITEC (income tax exempt charity) or a public hospital. 5. The payer is already obliged to withhold under the no TFN rule. 6. The payer receives a written statement from the payee that the supply is wholly private or domestic in nature, or relates to a hobby. 7. The supplier provides a copy of a notice from the Commissioner stating that their activities are not considered to be an enterprise . 8. The supplier of goods or services is a non-resident that does not have a permanent establishment, agent or branch office in Australia. 9. The supplier is an individual under the age of 18 and the payment totals less than $120 per week (does not include an employee ). Validity of ABN quoted: What obligation does a payer have to verify the validity of an ABN appearing on an invoice? There is no obligation, provided that under the given circumstances any reasonable person would be entitled to assume that the ABN was valid. If the number looks incorrect (e.g. it has more than 11 digits, or 14 if it belongs to a branch of a bigger business, or it has any letters in it) It should then be verified with the Australian Business Register – phone 13 72 26. References: Withholding when an ABN is not quoted — ATO Fact Sheet (12/99); Q & A PAYG Withholding — what to do when your supplier does not quote an ABN; ITAA 1997 subdivision 50A Withholding when no ABN supplied Withholding rate 48.5% Unless specified circumstances exist Payee s obligations Penalties for not withholding
  • 65.
    Business Activity StatementAdviser Education Programme 65 Withholders of amounts not related to Employment Entities required to withhold amounts other than those related to employment are obliged to: • Deduct relevant amounts from payments made • Pay amounts withheld to the ATO in BAS Box W4. • Report to the ATO in the approved form by October 31 each year the totals of all amounts withheld during the financial year ended the previous 30 June • Provide the Payment Summaries and a copy to the relevant payees or other specified persons by July 14, or when requested by a payee (unless this request is received in the 21 days prior to the financial year end) References: Guide to PAYG for Business (March 2000)
  • 66.
    Business Activity StatementAdviser Education Programme 66 Investment Income Entities paying investment income Entities such as banks and other financial institutions that are currently required to withhold tax on investment income will be included in the PAYG withholding system from 1 July 2000 and is recorded in BAS Box W3. They will be required to withhold tax in the following circumstances: • When paying investment income to a recipient who does not provide either an ABN or a TFN — amount will be the maximum marginal rate of tax, currently 48.5% • Income derived by an investor who becomes presently entitled to income from a unit trust • Dividend or interest or royalty paid to an overseas person • Dividend or interest or royalty received by an agent on behalf of an overseas person — the agent will be required pay the relevant tax to the ATO • Where interest is earned by an entity as a result of investments in a business which has a permanent establishment overseas that entity will be required to pay the relevant amount of tax to the ATO when the interest is derived Investors in receipt of income If you currently pay provisional tax on investment income or business income you will probably be required to pay PAYG instalments under the new system. Your payment will be calculated at a rate supplied to you by the ATO. This will be the case even if PAYG withholding has been deducted because you did not supply the payer with your TFN. Investors with a base assessment instalment income of $1,000 or more are likely to be issued with an instalment rate. References: Guide to PAYG for individuals with investment income (3/00)
  • 67.
    Business Activity StatementAdviser Education Programme 67 Annual Reports and Payment Summaries for PAYG withholding Annual Report Every entity that makes a payment subject to PAYG withholding during a financial year will be required to submit an annual report to the Commissioner. It must be given in the approved form detailing every payee and include specified details. These include the total of each kind of PAYG withholding in respect of each payee, and the total of reportable fringe benefits paid to each employee. The due date for the annual report is: 1. August 14 for payers who withhold amounts for: • Work or services • Retirement payments, eligible termination payments and annuities • Benefit and compensation payments 2. October 31 for payers who withhold amounts for: • No ABN withholding • Dividend, interest and royalty payments • Mining Payments Payers who fit into both categories will need to submit two annual reports — though for the sake of convenience the payer will be allowable to submit both reports by 14 August if preferred Investment bodies Note that investment bodies will continue to submit TFN reports (to become ABN reports) and annual investment income reports, rather than the annual report required by all other PAYG withholders. Annual Payment Summary Payers, certain persons acting as agents for foreign residents, and employers paying reportable fringe benefits who have paid to the ATO amounts withheld under the PAYG system during the financial year must give a Payment Summary (and a copy) to each payee by July 14 each year. The annual Payment Summary must state the: • names of the payer and payee • payee s ABN and/or TFN • total of the payments made during the year • total of the amounts withheld from those payments • financial year covered by the summary • reportable fringe benefits amount
  • 68.
    Business Activity StatementAdviser Education Programme 68 Payment Summaries other than annual summaries A payee may request in writing a part-year Payment Summary during a year provided that the request is not made in the period 21 days prior to the financial year end. Payment Summaries can be obtained from the ATO, or they can be created by you, as long as they contain the following information: • your business name and ABN • name of the supplier, and the address if you have it • total amount invoiced • amount withheld from the payment • date the supplier was paid and you withheld tax • authorised signature There are certain circumstances where the payer is not obliged to provide a part-year Payment Summary e.g. for fringe benefits provided to an employee who is still in the employment of that employer. Eligible Termination Payments A separate Payment Summary is required for each ETP and must be provided within 14 days of the ETP being paid to the former employee. Reference: TAA sec 16-153; sec 16-155
  • 69.
    Business Activity StatementAdviser Education Programme 69 Terminology for PAYG Instalments Quarterly payer A quarterly payer of PAYG instalments is any taxpayer that holds an instalment rate from the Commissioner and has not opted (where possible) to be an annual instalment payer before the first instalment period. Annual Payer An annual payer is: • an entity that is not registered nor required to be registered for GST, or • a partner of a partnership not required to be registered for GST, and • the most recently notified notional tax of the taxpayer is less than $8000. Note the following: • An annual instalment payer must notify the Commissioner in the approved form on or before the day the first instalment payment would be due. • There are special rules for companies where, if a company is part of an instalment group, or is a participant of a GST joint venture, it is not able to pay an annual instalment. • Most businesses will be quarterly payers, including taxpayers that currently pay provisional tax on an annual basis e.g. primary producers Instalment income The instalment income for a period is the ordinary income derived during the period, but only to the extent that it is assessable income of the income year that is or includes that period. Even when there is no instalment income for a period the taxpayer must still advise the Commissioner of that position. The instalment income includes total sales for the period (excluding GST paid to the ATO). It is important to note that the sales included here are gross of expenses. No adjustment is made for the payment of the expenses attributable to these sales. The adjustment is recognised in the instalment rate determined by the Commissioner. Other income that may be included is interest paid or credited to an account, dividends received (excluding imputation credits), rental received, commissions received, payments for services rendered. A repayment of a farm management deposit is included in the instalment income of an entity, whereas instalment income is reduced by a farm deposit made during a period.
  • 70.
    Business Activity StatementAdviser Education Programme 70 Instalment income excludes:- • Capital gains where the gains are not part of ordinary income. Some taxpayers such as specified superannuation funds will be required to include capital gains that are part of their statutory income in their instalment income. • Income that is not assessable in the income year. An example of this may be exempt income. • Receipts subject to PAYG withholding except those from which withholding has been deducted due to an ABN or TFN not being quoted as required. Care needs to be taken where an entity is registered for GST on the non-cash basis but accounts for income tax on a cash basis. The instalment income for the period will not include invoices issued but not yet paid by the debtors and will include invoices issued in a prior period and paid for in the current period. (We will look at this in more detail later) Instalment Rate Having calculated the instalment income, a percentage rate is then applied to that figure to obtain the amount payable to the ATO as an instalment payment. This rate is the instalment rate: • The instalment rate is notified to you by the Commissioner. • If the Commissioner has not issued an instalment rate for an entity no PAYG instalment is due. • The instalment rate is calculated by the Commissioner to two decimal places and is based on your notional tax and your base assessment instalment income. • The base assessment instalment income is based on your latest income year assessment made by the Commissioner. • When the Commissioner informs an entity of the instalment rate he is also required to inform the entity of the notional tax. • Your notional tax is a dollar value of tax determined by the Commissioner in a multiple step calculation. It is important to note that in this calculation the Commissioner is able to take into account any likely changes that may reduce the instalment rate issued. Calculation of notional tax: Calculate your adjusted taxable income (i.e. total assessable income less any net capital gain, deductions claimed and losses carried forward). Adjust for PAYG withholding income. Your adjusted withholding income is income that has PAYG withholding deducted at source and any reasonable deductions from this income.Using these amounts a calculation of adjusted tax is made. The adjusted tax, after adjusting for the adjusted taxable and withholding income, becomes your notional tax. Note: Notional tax is a dollar amount Instalment rate is a percentage to two decimal places.
  • 71.
    Business Activity StatementAdviser Education Programme 71 Varied Rate If taxpayers decide not to apply the Commissioner s instalment rate they may estimate their own instalment rate for the period. Once a varied instalment rate has been chosen taxpayers are unable to use the Commissioner s instalment rate for the rest of the current income tax year. They are however able to choose a further varied rate for the next quarterly payment of PAYG instalment. If taxpayers decide to adopt a varied instalment rate the Commissioner will charge a general interest charge (GIC) where the varied rate is less than 85% of the lesser of 1. their benchmark instalment rate (calculated by the Commissioner) or 2. the instalment rate issued by the Commissioner. Where a taxpayer has adopted a varied instalment rate they are required to notify the Commissioner of the rate in BAS box T3. Benchmark instalment rate and benchmark tax These are the instalment rates and tax liability actually assessed for an income tax year. Whereas the notional rates are those expected for a period, the benchmark instalment rate and benchmark tax are calculated on the actual amounts assessed for the period. GDP-adjusted notional tax This type of instalment payment requires the Commissioner to inform you of the amount of each instalment based on the current GDP (Gross Domestic Product) adjustment. As with the instalment rate it is possible to estimate your own benchmark tax for the year but you again may attract a GIC where there is a variation between the estimation and actual payments required. The choice to be a GDP-adjusted notional taxpayer must be made on or before the instalment is due. You are required to notify the Commissioner in the approved form. In order to choose the GDP-adjusted notional tax basis of paying PAYG instalments the following conditions must be met:: • You must not be registered nor required to be registered for GST, and • You must not be a partner in a partnership registered nor required to be registered for GST, and • Your most recent notional tax notified by the Commissioner must be $8000 or more. This system will probably be of most interest to taxpayers such as self-funded retirees. Note: Examples of instalment rate calculations may be found in the Appendices.
  • 72.
    Business Activity StatementAdviser Education Programme 72 PAYG Instalments CALCULATION SHEET EXTRACT From 1 July 2000 most Australian taxpayers will have a new system of paying instalment tax. (For those with pre-June balance dates they are already in the new PAYG instalment system.) This will replace the existing company tax instalment payments and provisional tax payments. The payment dates for PAYG instalments will be largely uniform regardless of the type or size of an income tax-paying entity. The payment of the PAYG instalment will be part of the filing of the Business Activity Statement (BAS) if the entity is registered for GST. If the entity is not registered for GST, the PAYG instalment will be part of the Instalment Activity Statement (IAS). The only exception is the option of paying PAYG tax instalments on an annual basis. This exception will only apply to a small number of taxpayers. Otherwise PAYG income tax instalments will be due on a quarterly basis, due and payable on or before the 21st of the month following quarter end. For those with a June balance date the payment dates for instalment tax will be First Payment 21 October Second Payment 21 January Third Payment 21 April Fourth Payment 21 July Pay As You Go instalment for the period (dates pre-printed) Once you have worked out your PAYG instalment using the instructions, write this amount at 5A on the front Commissioner / chosen T2 instalment rate % New varied instalment Reason for rate T3 % variation T4 Instalment T1 $ income
  • 73.
    Business Activity StatementAdviser Education Programme 73 The wash-up payment (assessed tax less instalment payments made) will continue to be due, based on the filing requirements for the income tax returns. So any balance of tax due in respect of a completed financial year will be payable by the due date indicated on the taxpayer s assessment. For tax-paying entities with a balance date other than June, the instalment due dates will be: First Payment (for the first three months of the entities financial year) 21st of the fourth month. Second Payment (for the second three months of the entities financial year) 21st of the seventh month. Third Payment (for the third three months of the entities financial year) 21st of the tenth month. Fourth Payment (for the final three months of the entities financial year) 21st of the month following year-end. The PAYG instalment payments will be based on the instalment income earned for the quarter. The instalment income is then multiplied by the instalment rate (supplied by the ATO unless the taxpayer has estimated their own instalment rate). It is very important to note that when the instalment income for a period is nil the ATO must be advised of this. PAYG Instalment System Starts 1 July 2000 Tax paid throughout the current year on current year turnover Aligns payment dates Not for solely salary and wage earners
  • 74.
    Business Activity StatementAdviser Education Programme 74 Calculation of Instalment Income The calculation of the instalment income of the entity for the period is an essential part of the PAYG instalment system. It is on this instalment income that the instalment is based regardless of what instalment rate you have adopted for the period. (Unless you are paying on the GDP-adjusted notional tax option) Where a tax-payer is registered for GST the Total sales and income and other supplies shown in Box G1 will form the basis of the instalment income. For those registered for GST on a monthly basis this will be the total of each of the three months for that quarter. For those registered on a quarterly GST basis it is the information shown on the current BAS. Note: Be careful to make any relevant adjustments for the transitional period. For these taxpayers the instalment income will consist of:- • Total sales and income and other supplies for the period less any disposal of capital items that may be included in this amount (unless capital gains form part of your statutory income). The GST that has been included in the sales, income and other supplies is to be deducted. • In addition to the sales income and other supplies in the GST portion of the BAS the taxpayer must be careful to include other income they may have received for the period. Examples of this may be interest received or credited to their bank account, dividends received or applied on their behalf (excluding any imputation credits). • If there is any other income that is not included in your GST calculations of income these must be included — the only exceptions are forms of income that are subject to the PAYG withholding provisions such as wages, salaries or payments under Voluntary Agreements. • If PAYG withholding has been deducted from income because an ABN or TFN has not been quoted this must be included in the entity s instalment income for the period. • If you are a primary producer any withdrawals from farm management deposits must be included in your instalment income for the period. (Conversely any deposits made into a farm management deposit account must be excluded from the instalment income) Where taxpayers are not registered for GST they must still ensure that all of the assessable income for the period has been totalled to arrive at the instalment income. The only exceptions are where there is a capital gain or income with PAYG withheld at source. Taxpayers that are not registered for GST may have the option of paying annual PAYG instalments. This will reduce the number of times this calculation is required. It is important to note that this is the GROSS income for the period. No adjustments are allowed to be made for the deductions available. This is allowed for in the instalment rate issued by the Commissioner.
  • 75.
    Business Activity StatementAdviser Education Programme 75 Examples of income to be included in the instalment income Gross sales _ Interest Gross rents _ Dividends Fees for services _ Royalties Examples for the calculation of instalment income 1. Mrs Martin is a sole trader and has a hairdressing salon. She has an ABN and is registered for GST. She owns the building next door and receives commercial rent. During a three month period she has also sold an asset Sales (including GST) 55,000 Commercial rent (including GST) 3,300 Interest 150 Sale of an asset 5500 Total Receipts 63,950 = BAS Box G1 Less capital item (net of GST) 5,000 Less GST 5,800 = BAS Box G9 Instalment income for quarter 53,150 = BAS Box T1 2. JC Plumbing Services. Details for the three month period 1 July 2000 to 30 September 2000. Plumbing Services 44,000 Gross income from voluntary agreement 3,000 (20% deducted, $600 at source) ______ Total receipts 47,000 = BAS Box G1 Less Voluntary agreement earnings 3,000 GST 4,000 = BAS Box G9 Instalment income for quarter $40,000 = BAS Box T1
  • 76.
    Business Activity StatementAdviser Education Programme 76 Beware Taxpayers that are registered for GST on the non-cash basis but account for income tax on the cash basis will need to be extra vigilant when calculating their instalment income for each period. Care needs to be taken to ensure invoices issued in a prior period but paid for in the current period are included in the correct quarter for PAYG instalments. This will involve the recognition of both the payments received during the period and the invoices issued. Total invoices issued for period Add invoices outstanding to business at period start. Subtotal Less invoices outstanding to business at period end Net payments received for period Example: Joe Bloggs is registered for GST on the non-cash basis but files his income tax return on a cash basis. In working out his instalment income for the period July to September he only needs to include the payments he has received for the period rather than the invoices he has issued. Total invoiced sales 220,000 = BAS Box G1 Less GST 20,000 = BAS Box G9 200,000 Add debtors 30/6/00 (no GST) 50,000 250,000 Less Debtors 30/9/00* 66,000 Less GST in debtors 4,000 62,000 Instalment Income for quarter 188,000 = BAS Box T1 *Note that debtors will not necessarily all have GST included
  • 77.
    Business Activity StatementAdviser Education Programme 77 Quarterly Instalments Regardless of the size or type of entity all taxpaying entities that have income without PAYG withholding deducted at source will be required to pay PAYG instalment payments on a quarterly basis. The only exception is for a small number of taxpayers that may be able to pay the PAYG instalments on an annual basis. The payment of PAYG instalments is based on the instalment income for the entity during the current period. The instalment income for the quarterly instalment is calculated by the payer. The instalment income is then multiplied by a rate to determine the payment due for the quarter. Where a taxpayer is registered for GST the instalment income is to be calculated and the payment made with the filing of the quarterly BAS (due on or before the 21st of the month following the end of the quarter). Where the entity is not registered nor required to be registered for GST the instalment income and payment is made on the quarterly IAS (due on or before the 21st of the month following the end of the quarter). In both the BAS and IAS the instalment income is shown in BAS Box T1 and the payment of PAYG instalment is paid in BAS Box 5A. Payment dates for quarterly PAYG instalment payers Quarter Period covering Payment due First payment One First 3 months of income year On or before the 21st of the 4th month of the income year Second payment Two Fourth, fifth and sixth months of the income year On or before the 21st of the 7th month of the income year Third payment Three Seventh, eighth and ninth months of the income year On or before the 21st of the 10th month of the income year Fourth payment Four Tenth, eleventh and twelfth months of the income year On or before the 21st of the 1st month of the next income year Cash-flow implications The cashflow implications to your entity with the new PAYG instalment system depends largely on what type of entity you were under the old company/fund instalment or provisional tax systems.
  • 78.
    Business Activity StatementAdviser Education Programme 78 1. Small company instalment payer If your entity was a small company/fund instalment payer your instalment payments for the year have been moved forward significantly. A small company or fund instalment payer is one whose likely tax is $8000 or less. Small company instalment payer 30 June balance date New PAYG instalment payment dates Year 1 July 2000 to 30 June 2001 Old Instalment dates if no changes had taken place Year 1 July 2000 to 30 June 2001 Net effect First payment 21 October 2000 15 December 2001 Payment brought forward by approx 14 months Second payment 21 January 2001 Third payment 21 April 2001 Fourth payment 21 July 2001 Wash-up Dependent on when return is due 15 March 2002 Existing rules for small instalment payers New rules for small quarterly instalment payers Difference in timing for the first payment of the 2001 year income tax The special transitional provisions that allow the entity to defer the 15 December 2000 and 15 March 2001 payments and pay the full 100% of the total tax due for the 2000 income tax year over the next five years. We will look at this in more detail later. 4th Inst 21 July 30 June 00 30 June 01 21 Oct 21 Jan 21 Apr 1st Inst 2nd Inst 3rd Inst 30 June 00 30 June 01 15 Dec 15 Mar 1st Inst Balance 30 June 00 30 June 01 21 Oct 15 Dec 14 months
  • 79.
    Business Activity StatementAdviser Education Programme 79 2. Medium company instalment payer If your entity was a medium company/fund instalment payer your instalment payments for the year have been moved forward significantly. The likely tax of a medium company or fund instalment payer is between $8000 and $300,000. Medium company instalment payer 30 June balance date New PAYG instalment payment dates Year 1 July 2000 to 30 June 2001 Old Instalment dates if no changes had taken place Year 1 July 2000 to 30 June 2001 Net effect First payment 21 October 2000 1 June 2001 Payment brought forward by approx 7 months Second payment 21 January 2001 1 September 2001 Third payment 21 April 2001 1 December 2001 Fourth payment 21 July 2001 1 March 2002 Wash-up Dependent on when return is due 1 March 2002 Existing rules for medium instalment payers New rules for medium instalment payers Difference in timing for the first payment of the 2001 year income tax There are special transitional provisions that apply to allow the entity to defer the 1 December 2000 payment to March 2001 and then apply a formula to pay up to 42% of the total tax due for the period over the next five years. We will look at this in more detail later. 1 June 30 June 00 30 June 01 1 Sep 1 Dec 1 Mar 1st Inst 2nd Inst 3rd Inst Final 4th Inst 21 July 30 June 00 30 June 01 21 Oct 21 Jan 21 Apr 1st Inst 2nd Inst 3rd Inst 1 June 30 June 00 30 June 01 21 Oct 7 months
  • 80.
    Business Activity StatementAdviser Education Programme 80 3. Large company instalment payer A large company or fund instalment payer is one with likely tax of more than $300,000. If your entity was a large company/fund instalment payer your instalment payments for the year have been moved forward significantly. Large company instalment payer 30 June balance date New PAYG instalment payment dates Year 1 July 2000 to 30 June 2001 Old Instalment dates if no changes had taken place Year 1 July 2000 to 30 June 2001 Net effect First payment 21 October 2000 1 March 2001 Payment brought forward by approx 4 months Second payment 21 January 2001 1 June 2001 Third payment 21 April 2001 1 September 2001 Fourth payment 21 July 2001 1 December 2001 Wash-up Dependent on when return is due 1 December 2001 Existing rules for large instalment payers New rules for large instalment payers Difference in timing for the first payment of the 2001 year income tax Special transitional rules may be applied to some of the 2000 year company/fund instalment payments that were due for payment 1 December 2000. We will discuss these later. 4th Inst 21 July 30 June 00 30 June 01 21 Oct 21 Jan 21 Apr 1st Inst 2nd Inst 3rd Inst 1 June 30 June 00 30 June 01 1 Sep 1 Dec1 Mar 1st Inst 2nd Inst 3rd Inst Final 1 June 30 June 00 21 Oct 4 months 30 June 01
  • 81.
    Business Activity StatementAdviser Education Programme 81 4. Quarterly provisional tax payer If you or your entity was a payer of quarterly provisional tax, payments for the year have been moved backwards. Quarterly provisional payer 30 June balance date New PAYG instalment payment dates Year 1 July 2000 to 30 June 2001 Old Provisional dates if no changes had taken place Year 1 July 2000 to 30 June 2001 Net effect First payment 21 October 2000 1 September 2000 Payment delayed by approx 6 weeks Second payment 21 January 2001 1 December 2001 Third payment 21 April 2001 1 March 2001 Fourth payment 21 July 2001 1 June 2001 Wash-up Dependent on when return is due Dependent on when return is due Old rules for provisional payers New rules for quarterly payers Difference in timing for the first payment of the 2001 year income tax 6 week delay As a result of the delay in the payment of the tax balances, there are no transitional provisions that apply here. Final 1 Jun 30 June 00 30 June 01 1 Sep 1 Dec 1 Mar 1st Inst 2nd Inst 3rd Inst 4th Inst 21 July 30 June 00 30 June 01 21 Oct 21 Jan 21 Apr 1st Inst 2nd Inst 3rd Inst 1 Sep 30 June 00 21 Oct 30 June 01
  • 82.
    Business Activity StatementAdviser Education Programme 82 5. Annual provisional tax payer If you or your entity was an annual provisional taxpayer for the year your tax payments have not been moved for the next two years. Annual provisional payer 30 June balance date New PAYG instalment payment dates Year 1 July 2000 to 30 June 2001 Old Provisional dates if no changes had taken place Year 1 July 2000 to 30 June 2001 Net effect Payment (including prior year wash-up) Earliest date for payment 31 March 2001 Earliest date for payment 31 March 2001 No change The 31 March payment date remains for both the 2000/01 and 2001/02 years. For the 2002/03 year onwards a new payment date of the 21 October is created. Cashflow Effect Small Company 14 months earlier Medium Company 7 months earlier Large Company 4 months earlier Quarterly provisional payer 6 week delay Annual Provisional Payer No change for 2 years
  • 83.
    Business Activity StatementAdviser Education Programme 83 Amount of Quarterly Instalment The amount of each instalment depends on the rate used by the payer. There are four options available for quarterly instalment payers. • Using the Commissioner s instalment rate • Estimating your own instalment rate for the period (varied rate) - Using the estimated instalment rate from a prior period. • Paying the GPD-adjusted notional tax amount • Estimating your benchmark tax for the purposes of GDP-adjusted notional tax. - Using the estimated benchmark tax from a prior period. 1. Using the following formula:- Commissioner s instalment rate X Your instalment income for that quarter Under this approach you use the instalment rate given to you by the Commissioner. The Commissioner would have informed you of this rate in writing prior to the instalment date and it will be shown on Box T2 of your quarterly BAS or IAS. • If you use the instalment rate provided to you by the Commissioner you will not incur any general interest charge if there is an underpayment of income tax for the period. • If the Commissioner has not informed you of your instalment rate and it is not printed in Box T2 you are not required to make a payment of PAYG instalments. Example of Instalment rate (full example in appendix) 1999 Income Tax Return Jo Bloggs trading as Any Business Income Interest on investments 500 Residential rent received 10,000 Sales (goods or services) 500,000 ----------- 510,500 ----------- Expenses Rental house deductions 5,000 Purchases 300,000 Overheads 100,000 Wages 60,000 ----------- 465,000 ----------- 1999 Taxable Income $ 45,500 ======
  • 84.
    Business Activity StatementAdviser Education Programme 84 Income tax due Tax Due Tax rate 1999 2000 Income tax 12,167 10,030 Medicare levy 683 683 --------- --------- Total tax payable 12,850 10,713 ===== ===== Commissioner s Instalment Rate to be used for 2001 year until 2000 income tax return is filed: 10,713 x 100 = 2.10% = BAS Box T2 510,500 1 Sales 200,000 100,000 Interest 125 125 Rent 2500 2500 Instalment income = BAS Box T1 202,625 102,625 (excluding GST) X instalment rate = BAS Box T2 X 2.1% X 2.1% Instalment payment = BAS Box T3 =$4,255 =$2,155 Due 21/10/00 21/01/01 30/6/00 30/9/00 30/12/00
  • 85.
    Business Activity StatementAdviser Education Programme 85 2. Estimating your own instalment rate for the period or using an instalment rate previously estimated. Your varied instalment rate X Your instalment income for that quarter • You are required to inform the Commissioner of your estimated instalment rate on or before the date the PAYG instalment payment is due. • This is done by inserting the rate you have adopted into Box T3 on your quarterly BAS or IAS. • When you adopt a varied instalment rate you need to notify the Commissioner as to the reason why you have adopted the estimated rate. This is done by inserting a two digit code in Box T4 of your quarterly BAS or IAS. The codes are as follows Code Reason 01 Mergers, acquisitions and takeovers 02 Cessation of business activity 03 Expected utilisation of losses of a revenue or capital nature 04 Significant (abnormal) transactions affecting income or expenses 05 Change in trading conditions affecting income or expenses 06 Domestic or foreign financial market changes 07 Change in investment strategies or policies 08 Change in product mix 09 Business expansion or contraction 10 Change in entity structure 11 Internal or external restructuring of business activity 12 Change in any legislation 13 Change in profit margin • If you have adopted a varied rate during an income year you are unable to return to using the Commissioner s instalment rate until the first quarter of the following income year. • If there is a variation between the PAYG instalments that you were liable to pay under the benchmark instalment rate (rate based on your assessed tax for the income year) and the varied rate you adopted you may be liable for a general interest charge. Varying Instalment Rates Why Consider? Risks of variation General Interest Charge Possible penalties Cashflow if large washup
  • 86.
    Business Activity StatementAdviser Education Programme 86 BEWARE Even if gross income falls, a variation of rate may not be appropriate 3. Using the GDP-adjusted notional rate Under this option the Commissioner informs you every quarter of the PAYG instalment to make. The amount due is based on the notional tax for the taxpayer adjusted for the changes in GDP. A fresh election to use the GDP-adjusted notional tax must be made annually. The first payment is 25% of the GDP-adjusted notional tax The second third and fourth payments are 50%, 75% and 100% respectively less the payments made to date. The GDP-adjusted notional rate is only available to taxpayers:- • Who are individuals and • Whose most recently notified notional tax is $8000 or more and • Are not registered nor required to be registered for GST, or • Is an individual who is a partner in a partnership that is not registered nor required to be registered for GST, and • Have notified the Commissioner in the approved form of their choice to pay instalments under the GDP-adjusted rate on or before the first instalment payment date for the year. If you become GST registered during an income year you are not able to continue to use the GDP-adjusted notional tax method and must calculate the PAYG instalment payment for that quarter and all later instalment quarters. However if during an income year your most recently notified notional tax drops below $8000 you are able to continue using the GDP-adjusted notional rate for the remainder of that income year. 4. Taxpayer s estimation of benchmark tax for GDP-adjusted notional tax. Individuals are required to notify the Commissioner of their decision to calculate their own benchmark tax for the purposes of calculating their GDP-adjusted notional tax. In later quarters unless the individual decides to again vary the estimated benchmark tax the Commissioner will advise the taxpayer of the due amount and the taxpayer then has 21 days from the date of the notice to pay the PAYG instalment. • The taxpayer is able to vary the estimated benchmark tax each quarter. • If the varied benchmark tax is too low, that is it is less than 85% of the actual benchmark tax for the income year, the taxpayer will be liable to pay a general interest charge on the shortfall.
  • 87.
    Business Activity StatementAdviser Education Programme 87 Payment of Quarterly PAYG Instalments The method of paying the quarterly PAYG instalments is dependent on the method by which you pay other amounts due to the ATO. If your organisation is classified as large the payment for the PAYG withholding and other payments is required to be paid electronically. Medium and small entities have the option of making their payments in electronic form or manually. Taxpayer Type Method of Calculation Instalment due dates Individual or company and registered for GST 1. Instalment Rate or 2. Varied instalment rate Quarterly instalments 21 October 21 January 21 April 21 July Not registered for GST and non-individual with notional tax > $8000 As above As above Not registered for GST and individual with notional tax > $8000 1. Instalment rate or 2. Varied instalment rate or 3. GSP-adjusted notional tax or Estimation of GDP adjusted notional tax As above Not registered for GST and either an individual, or company, with notional tax <$8000 1. Instalment rate (for companies only until 2003 year). or 2. Notional tax or 3. Estimated tax Annual instalment (if elected) Due 21/10 after year end 2003 year onwards For years 2001 and 2002 companies due 15/12 individuals due 31/3
  • 88.
    Business Activity StatementAdviser Education Programme 88 Annual Instalments Annual instalment payers are only required to pay PAYG instalments on an annual basis. These instalments are paid after the end of the income tax year to which the instalment payment relates. In order to qualify to be an annual instalment payer the following criteria must be met: • You have been issued an instalment rate by the Commissioner and • You have notified the Commissioner of your choice to be an annual instalment payer in the approved form on or before the day on which your first quarterly instalment payment would have been due and you meet all of the following conditions • You are not registered nor required to be registered for GST • You are not a partner in a partnership that is registered nor required to be registered for GST • Your most recently notified notional tax is less than $8000 • In the case of a company the company is not part of a GST joint venture • The company is not part of an instalment group. Where a company has majority control over at least one other company and no other company has a majority control, these two or more companies become an instalment group. Once you have met these criteria and so long as you continue to meet the criteria you are not required to re-elect to be an annual instalment payer on an annual basis. Must have received an instalment rate Need to elect to be an annual payer in first quarter Not registered for GST (nor partnership) Notional tax less than $8000 Special rules for companies Payment dates for annual instalment payers Care must be taken during the transitional period for annual instalment payers. During the 2000/01 and 2001/02 years the distinction between the existing instalment payers and current non-instalment payers still exist in determining the date of the annual instalment payment.
  • 89.
    Business Activity StatementAdviser Education Programme 89 Payment dates for annual instalment payers that were not an instalment taxpayer before 1 July 2000. June balance date • 30 June 2001 Earliest date for payment of 31 March 2001* • 30 June 2002 Earliest date for payment of 31 March 2002* • 30 June 2003 21 October 2003 • 30 June 2004 21 October 2004 (onwards) *Due on or before a date notified by the Commissioner that is at least 30 days after the written notification by the Commissioner. If the notification is earlier that 31 March the payment is due on or before the 31 March. Cash-flow implications It is very important to note that for annual instalment payers that were not on the company instalment regime pre 1 July 2000 there is a gap in instalment payments between 31 March 2002 and 21 October 2003. Payment dates for annual instalment payers that were an instalment taxpayer before 1 July 2000. June Balance Date 30 June 2001 15 December 2001 30 June 2002 15 December 2002 30 June 2003 21 October 2003 30 June 2004 21 October 2004 (onwards) Where the entity does not have a June balance date the annual instalment is due on or before the 15th day of the 6th month after the end of that income year for the 2000/01 and 2001/02 years. Instalment payers before 1 July 2000 include the following (a) a company; (b) the trustee of a corporate unit trust; (c) the trustee of a public trading trust; (d) the trustee of an eligible approved deposit fund; (e) the trustee of an eligible superannuation fund; (f) the trustee of a pooled superannuation trust in relation to the current year. Cash-flow implications From the 2002/03 years onwards the payment of the annual instalment is brought forward from the 15th day of the 6th month after the end of the income year to on or before the 21st day of the 4th month after the end of the income year.
  • 90.
    Business Activity StatementAdviser Education Programme 90 Annual instalment taxpayers with substituted accounting periods (SAP) payment date for 2002/03 years onwards. From the 2002/03 years onwards the payment of the annual instalment is on or before the 21st day of the 4th month after the end of the income year. The payment dates for taxpayers with a SAP for the 2000/01 and 2001/02 years is dependent on whether they are existing instalment payers or not. If they are, it is the 15th day of the 6th month after the end of the income year. If not, the 31 March during the income year is the earliest date for payment. 2001 and 2002 years Provisional payers 31 March Instalment payers 15 December 2003 year onwards 21 October (after year end) Amount of Annual Instalment The amount of each instalment depends on the rate used by the payer. There are three options available for annual instalment payers:- • Using the Commissioner s instalment rate • Paying the notional tax amount informed by the Commissioner • Paying the benchmark tax estimated by your entity. 1. Using the following formula:- Commissioner s instalment rate X Your instalment income for the year • This option is only available from the 2002/03 income year onwards for taxpayers that are not instalment payers before the introduction of the PAYG instalment regime. • You are not able to estimate your own instalment rate under the annual instalment basis.
  • 91.
    Business Activity StatementAdviser Education Programme 91 1. Paying the amount notified by the Commissioner. (The notional tax amount) • For taxpayers that were not instalment taxpayers this is the amount notified by the Commissioner at least 30 days before the day on which the payment is due. For the 2000/01 and 2001/02 years only. • For existing instalment taxpayers and all annual instalment payers from 2002/03 years onwards, this is the most recent notional tax notified by the Commissioner before the end of the income year 2. Paying the amount you estimate to pay. (Your estimated benchmark tax) • If you estimate you may incur a general interest charge where there is a difference between your payment and the assessed income tax for the period. Commissioner s instalment rate Pay amount notified by Commissioner Pay amount you estimate Note a company can use either option An individual can only use the last two Changing from an annual instalment payer to a quarterly instalment payer. Taxpayers circumstances may change. When the changes mean they no longer fit one or more of the criteria for annual instalment payments they are required to change to a quarterly basis for PAYG instalments. If an annual instalment payer does one of the following the entity is required to become a quarterly instalment payer:- • when it s notional tax is $8000 or more, • the entity chooses to be a quarterly instalment payer, • becomes registered or required to be registered for GST, • becomes a partner in a partnership that is registered or required to be registered for GST, • a partnership that you are a partner of becomes registered or required to be registered for GST, • in the case of a company becomes a participant in a GST joint venture, or • is a company that becomes part of an instalment group.
  • 92.
    Business Activity StatementAdviser Education Programme 92 If any of these occur during the 2000/01 or 2001/02 income years the annual instalment payer is required to become a quarterly instalment payer at the first quarter of the following income year. If any of these occur during the 2002/03 years onwards (except for where the notional tax is $8000 or more, or the entity chooses to be a quarterly instalment payer) the annual instalment payer is required to start paying quarterly instalments for the quarter in which this occurs onwards. If the quarter in which this occurs is not the first quarter for the year the instalment payer is not only required to pay the quarterly instalment for that quarter onwards but also an annual instalment for that income year. Regardless of which income year it occurs, when an entity s notional tax is $8000 or more or an entity chooses to pay quarterly instalments the taxpayer stops being an annual instalment payer at the end of that income year. It is then required to pay quarterly instalments from the first quarter of the next income year. Changing from Annual to Quarterly 2001and 2002 years first quarter in the next income year 2003 onwards in the quarter it occurs over $8000 tax always first quarter next income year Going from a quarterly instalment to an annual instalment. Where the entity meets all of the criteria of an annual instalment payer and notifies the Commissioner of its choice by the first quarterly instalment date for the year the taxpayer may change from a quarterly instalment to paying annual instalments. Transitional provisions for the balance of 2000 instalment and provisional tax due. There are no special transitional provisions for the deferral of 1999/2000 income year instalment and provisional taxpayers tax balances for annual instalment payers.
  • 93.
    Business Activity StatementAdviser Education Programme 93 PAYG Instalment obligations from July 2000 for those with a 30 June balance date. No Yes Yes No Is your current notional tax less than $8000? You must pay quarterly instalments. Do you have an instalment rate issued by the Commissioner? Are you registered (or required to be registered) for GST? No need to pay PAYG instalments. Have you elected to pay annual instalments in the required time frame? Yes Yes No Dates for annual payments of PAYG instalment tax. 2001 Year • on or after 31 March 2001 (current provisional tax payers) • 15 December 2001 (current instalment payer) 2002 Year • on or after 31 March 2002 (current provisional tax payers) • 15 December 2002 (current instalment payer) 2003 Year • 21 October 2003. All annual PAYG instalment payers. Dates for quarterly payments of PAYG instalment tax • 21 October • 21 January • 21 April • 21 July Yes Yes Are you a partner in a partnership that is registered (or required to be registered) for GST? No No
  • 94.
    Business Activity StatementAdviser Education Programme 94 Transitional Provisions for the Deferral of 1999/2000 Instalment Tax Balances BAS EXTRACT There are special transitional rules that exist for company and fund instalment payers that would still have 2000 year tax obligations due to the introduction of the new PAYG instalment system. The transitional rules only apply to the following:- • Taxpayers that have filed their 2000 income tax year returns by the required date, • Taxpayers that are currently company or fund instalment payers. The amount of the deferral of 2000 instalment tax is dependent on the size of the instalment taxpayer . Amount of assessed tax for 1999-2000 income year Maximum deferred amount Less than $8000 100% of the assessed tax $8000 to $300,000 42% of the assessed tax More than $300,000 20% of the assessed tax 1. Small company or fund instalment payers The small company or fund instalment payers also have transitional provisions that allow the deferral of the assessed income tax for the 2000 income year. In their case the full payment due on 15 December 2000 is deferred until 15 March 2001. On the 15 March 2001 the full 100% of assessed income tax for the 2000 income year is able to be paid in equal instalments over the next 21 quarters. The first date for the payment of the deferred tax is 21 April 2001. Deferred company/ Fund instalment 7 $
  • 95.
    Business Activity StatementAdviser Education Programme 95 Example of Cashflow effect of transitional provisions 1. A small company has filed it s 2000 Income Tax Return. The Commissioner has issued an instalment rate of 10% 2. There was a 1999 instalment payment due on 15/12/00 of $4000 plus a wash-up of $1000. Both of these have been deferred. 3. The instalment income for the September quarter was $10,000. 4. The December quarter also had instalment income of $10,000. 5. On the 21 January the Commissioner issued a new instalment rate of 12.5% based on the 2000 income tax return. 6. The instalment income for the March quarter was $10,000. The March instalment payments were as follows, PAYG instalment 1250.00 Deferred payment 238.10 = The first of twenty one payments 1488.10 7. The same applied to the June quarter. 2. Medium company or fund instalment payer On the 1st of July 2000 a medium company or fund instalment payer will still have three payments of 2000 income tax instalments due. The payment due on 1 September 2000 must still be paid. • The payment that would have been due on 1 December 2000 will be completely deferred until 1 March 2001. • On 1 March 2001 58% of the assessed tax for the 2000 income tax year must be paid. If less than this has been paid a top-up payment is due on 1 March 2001 to bring tax paid to 58% of the assessed tax. The remaining 42% is able to be paid in equal amounts over the next 21 quarters. The first date for payment of the deferred tax is 21 April 2001. The deferred tax payments will usually be printed on the BAS or IAS in Box 7. 1250 238 1488 21 July 30 June 00 30 June 01 21 Oct 21 Jan 21 Apr $1000 $1000 1250 238 1488Payment $4000 deferred to 15/3 Total payment spread over 21 quarters 15/12 15/3
  • 96.
    Business Activity StatementAdviser Education Programme 96 3. Large company instalment payer A large company or fund instalment payer with a June balance date will still have two payments of instalment tax due for the 2000 income year. The payment due on the 1 September 2000 must still be paid. However there is a possible deferral option for the 1 December 2000 payment. If by 1 December 2000 the entity has paid 80% or more of the assessed tax for the 2000 income year the balance of 20% or less is able to be deferred and paid over the next 10 quarters in equal payments. If 80% of the assessed tax has not been paid at that date the difference between the amount paid and the 80% of the assessed tax must be paid on 1 December. The remaining 20% can then be paid in equal instalments over the next 10 quarters. If the taxpaying entity has paid more than the 80% as at 1 December it is the remaining portion of assessed tax unpaid that can be spread over the next 10 quarters. The first payment date for this deferred tax is the 21 January 2001. The deferred tax payments will usually be printed on the BAS or IAS in Box 7
  • 97.
    Business Activity StatementAdviser Education Programme 97 Large company instalment payer Assessed tax for 1999-2000 year of more than $300,000 30 June balance date 1 September 2000 1 December 2000 Yes No Has 80% of the current tax balance been paid? A payment must be made on 1 December to ensure that 80% of total income tax due is paid by that date. The remaining 20% (or less) will be paid over the next 10 quarters. Transitional payments to be made. • 1 December 2000 ( balance of tax to 80%) • 21 January 2001 Box 7 BAS (1 of 10 payments) • 21 April 2001 Box 7 BAS (2 of 10 payments) • 21 July 2001 Box 7 BAS (3 of 10 payments) • 21 September 2001 Box 7 BAS (4 of 10 payments) The deferred quarterly amounts should be preprinted on the BAS. If they are not and you wish to defer the instalment balance you must work it out and pay it. 25% of likely tax must be paid.
  • 98.
    Business Activity StatementAdviser Education Programme 98 Medium company instalment payers Assessed tax for 1999-2000 year of between $8000 and $300,000 30 June balance date 1 September 2000 1 December 2000 Are you a quarterly PAYG instalment payer? Yes Yes No Has 58% of the current tax balance been paid? A payment must be made on 1 March to ensure that 58% of total income tax due is paid by that date. The remaining 42% (or less) will be paid over the next 21 quarters. Transitional payments to be made. • 1 March 2001 ( balance of tax to 58%) • 21 April 2001 Box 7 BAS (1 of 21 payments) • 21 July 2001 Box 7 BAS (2 of 21 payments) • 21 October 2001 Box 7 BAS (3 of 21 payments) • 21 January 2002 Box 7 BAS (4 of 21 payments) The deferred quarterly amounts should be preprinted on the BAS. If they are not and you wish to defer the instalment balance you must work it out and pay it. 1 December 2000 defer all payments to 1 March 2001.No deferral available. No 1 March 2001 25% of likely tax must be paid.
  • 99.
    Business Activity StatementAdviser Education Programme 99 Small company instalment payers Assessed tax for 1999-2000 year $8000 or less 30 June balance date 15 December 2000 Are you a quarterly PAYG instalment payer? Yes Yes 100% of the tax due is able to be deferred to be paid over the next 21 quarters. Transitional payments to be made. • 21 April 2001 Box 7 BAS (1 of 21 payments) • 21 July 2001 Box 7 BAS (2 of 21 payments) • 21 October 2001 Box 7 BAS (3 of 21 payments) • 21 January 2002 Box 7 BAS (4 of 21 payments) The deferred quarterly amounts should be preprinted on the BAS. If they are not and you wish to defer the instalment balance you must work it out and pay it. 15 December 2000 defer all payments to 15 March 2001. No deferral available. No
  • 100.
    Business Activity StatementAdviser Education Programme 100 Summary of Payments for Company and Fund Instalment Payers Large instalment payer Medium instalment payer Small instalment payer 1 September 2000 25% of likely tax is due for 2000 year 25% of likely tax is due for 2000 year 21 October 2000 1st payment of 2001 PAYG instalment 1st payment of 2001 PAYG instalment 1st payment of 2001 PAYG instalment 1 December 2000 Payment required to 80% of assessed 2000 tax No payment due 15 December 2000 No payment due 21 January 2001 2nd payment of 2001 PAYG instalment Plus 1st of 10 payments of deferred tax 2nd payment of 2001 PAYG instalment 2nd payment of 2001 PAYG instalment 1 March 2001 Payment required to 58% of assessed 2000 tax 15 March 2001 No payment due 21 April 2001 3rd payment of 2001 PAYG instalment Plus 2nd of 10 payments of deferred tax 3rd payment of 2001 PAYG instalment Plus 1st of 21 payments of deferred tax 3rd payment of 2001 PAYG instalment Plus 1st of 21 payments of deferred tax 21 July 2001 4th payment of 2001 PAYG instalment Plus 3rd of 10 payments of deferred tax 4th payment of 2001 PAYG instalment Plus 2nd of 21 payments of deferred tax 4th payment of 2001 PAYG instalment Plus 2nd of 21 payments of deferred tax
  • 101.
    Business Activity StatementAdviser Education Programme 101 Calculation of PAYG Instalments By Partners Partnerships do not pay income tax on the partnership profits. The assessable income is allocated to the partners and the partners are then responsible for their share of the partnership income in their own income tax returns. As a result the liability for the PAYG instalments on the partnership income is passed on to the partners of the partnership. Partners will be issued an instalment rate by the Commissioner and are then required to pay a PAYG instalment based on their share of the income each period. It is important to note that it is on the share of gross income for the period (excluding GST) that the PAYG instalment is calculated. Each partner in a partnership is required to obtain from the partnership the total income for the quarter (or annually if the partnership is not registered for GST and the partner has elected to be an annual PAYG instalment payer) in order to calculate the PAYG instalment to be paid. It is therefore very important that the partnership has this available to each partner before the payment is due to be made (on or before the 21st of the month following the end of each quarter). The equation that is to be used for the current income year is based on the percentage of the total partnership income the partner was entitled to in the prior income year. The calculation required is as follows Partner s assessable income from the partnership for last year Partnership s instalment X income for current period Partnership s instalment income for last income year If the partner did not have income allocated in the previous year or the partnership s instalment income for that year did not exist the partner s instalment income for the current year must include an amount that is fair and reasonable taking into consideration the following:- • The extent of the partner s interest in the partnership in the current period • The instalment income of the partnership in the current period • Any other relevant circumstances. This means that where a partner has recently joined a partnership or the partnership incurred a loss in the previous year, that the PAYG instalments are being paid from the outset.
  • 102.
    Business Activity StatementAdviser Education Programme 102 If the partner s share of income from the partnership has changed in the current year the partner may choose to estimate in the current year by adopting a varied instalment rate. The partner may then be liable for a general interest charge if the estimation results in less PAYG payments being made than should have been. In addition to the partnership income for the period each partner is required to include in their instalment income any other income earned outside of the partnership such as royalties other business income, interest and dividends. Any income earned that had PAYG withholding deducted at source such as wages and salaries is not required to be included in the partner s instalment income. Example Mrs Ashton has a son and they are in partnership. For the first quarter of the 200/2001 income year the details were as follows Sales (including GST) 44,000 No other receipts ______ 44,000 = BAS Box G1 Less GST 4,000 = BAS Box G9 Partnership instalment income 40,000 Mrs Ashton s share of income from 1999 year was as follows; 1999 Partnership gross income 170,000 Expenses 120,000 Net Profit 50,000 Share for Mrs Ashton 50% $25,000 To calculate Mrs Ashton s share of the partnership s instalment income for the quarter the following is required:- Share of partnership income X Instalment income = 25,000 X 40,000 = 6,000 Income partnership 170,000 Partnership Instalment income $40,000 Mrs Ashton Partnership instalment income 6000 Other instalment income 53150 Instalment income $59150 = BAS Box T1 Son IAS instalment income $6000 = BAS Box T1
  • 103.
    Business Activity StatementAdviser Education Programme 103 Beneficiaries of Trusts The calculation of instalment income for a beneficiary of a trust is similar to that of a partner in a partnership. A beneficiary that had income distributed from a trust in the prior income year is liable to pay PAYG instalments on the trust s income in the current year. If the beneficiary did not have income allocated in the previous year or the trust s instalment income for that year did not exist, the taxpayer s instalment income for the current year must include an amount that is fair and reasonable taking into consideration the following:- • The beneficiary s interest in the trust in the current period • The extent of the beneficiary s interest in the income of the trust for the current period • The instalment income of the trust in the current period • Any other relevant circumstances. The calculation for the beneficiary s share of the trust s instalment income is as follows Beneficiary s assessable income from the trust for last year Trust s instalment X income for current period Trust s instalment income for last income year Beneficiaries paying PAYG instalments are required to include in their instalment income any other income earned in addition to the income from the trust such as royalties, other business income, interest and dividends. Any income earned that had PAYG withholding deducted at source such as wages and salaries is not required to be included in the beneficiary s instalment income.
  • 104.
    Business Activity StatementAdviser Education Programme 104 New Taxpayers When taxpayers first start in business they will not have an instalment rate issued by the Commissioner. The Commissioner will not issue an instalment rate until after the first income tax return is assessed. As a result new businesses will not be liable for PAYG instalments until an instalment rate is issued by the Commissioner. This could lead to the situation where the business is trading for over 12 months before the first PAYG instalments are paid and will have the full balance of tax from the first year of trading and the current year PAYG instalments to pay. This will have an adverse effect on the cashflow of the business unless money has been put aside to cover the taxes unpaid for the period. New businesses should always ensure that included in their budgeting is an allowance for the taxes not yet required to be paid. It is possible, and will be encouraged, for a new business to make voluntary payments of PAYG instalments before an instalment rate is issued by the Commissioner. Tax Planning Always required No PAYG instalments due until instalment rate issued by Commissioner Instalment rate unable to be issued until tax return filed PAYG instalment File 2000 ITR2000 year Tax due Start in business 30/6/00 30/6/01 1/12 15/1 Instalment rate issued 15/2 21/4 PAYG instalment
  • 105.
    Business Activity StatementAdviser Education Programme 105 Variation Credits BAS EXTRACT Where a taxpayer has paid one or more PAYG instalments based on the Commissioner s rate and then decides to make a variation to the rate there may be circumstances where the taxpayer has overpaid the previous instalments. Where the estimate made has significantly reduced the expected total of PAYG instalments, there may be credits available from the prior payments. These cannot negate the current PAYG instalment liability. However the variation credit is included in Box 5B in the instalment statement and offset against taxes due. To claim a credit in the current period either one of the following must exist • The instalment rate used to calculate the instalment income for this has dropped from the instalment rate advised by the Commissioner used in previous quarters of the same year or • The estimated instalment rate you are using this period is less than the instalment rates used in the previous quarters of the income year. There is a four step equation that must be done to ensure that there is a credit available. This is detailed in the Business Activity Statement Instruction booklet issued by the ATO. Once you have determined that there is a credit available to be credited to the Running Balance Account (RBA) you must notify the ATO in the approved form on or before the date for payment. The approved form in this case is to complete Box 5B on the BAS or IAS. Variation credits May arise on variation of instalment rate Need to calculate current instalment regardless of credit Variation offset against all tax liabilities in RBA Credit adjustment for previous income 5B $ tax instalments
  • 106.
    Business Activity StatementAdviser Education Programme 106 Fringe Benefits Tax CALCULATION SHEET EXTRACT The payment of Fringe Benefits Tax (FBT) by employers providing certain benefits to their employees or to the associates of their employees will be included on the quarterly BAS or IAS with effect from 1 July 2000. Employers providing fringe benefits to employees: • Calculate taxable value of fringe benefits • Calculate FBT payable thereon for the year • Pay one quarter of the annual FBT to the ATO using the relevant activity statement (BAS or IAS) on 21 October, 21 January, 21 April, 21 July. This must be shown on the BAS or IAS in Box 6A • Ensure that the grossed up value of all fringe benefits are shown on employees Payment Summaries for the financial year Fringe benefits tax is treated as an annual tax but is payable to the ATO in quarterly instalments where the FBT exceeds $3,000. An income tax deduction is allowed to employers for the FBT paid to compensate them for the fact that the tax is calculated on a grossed up value. Taxpayers who are exempt from paying income tax are able to reduce their taxable amount by a specified amount when calculating their FBT liability. Fringe benefits tax instalment F1 $ Fringe benefits tax (annual liability under $3000-instalment not required Transfer your elected fringe benefits tax instalment to 6A on the front Estimated total fringe benefits tax payable F2 $ Varied fringe benefits tax instalment amount F3 $ Reason for Variation F4
  • 107.
    Business Activity StatementAdviser Education Programme 107 Quarterly FBT instalment payer: • Has an FBT annual liability in excess of $3,000 • FBT instalment will be pre-printed in BAS Box F1 • FBT variations are available but must supply the following: Dollar value = BAS Box F2 Varied instalment amount = BAS Box F3 Reason for variation = BAS Box F4 Code Reason for variation 01 Benefits ceased/reduced, salary increased 02 Benefits ceased/reduced, no compensation to employees 03 Fewer employees 04 Increase in employee contributions 05 Rebate now claimed 06 Liquidation receiver/manager appointed 07 None of the above Annual FBT payer: • Has an annual FBT liability of $3,000 or less • No instalment due on BAS or IAS Fringe Benefits Tax 6A = F1 or F3 FBT and GST Some benefits provided by an employer will have been the subject of a GST input tax credit. In this case the gross-up rate must be increased from 1.9417 to 2.1292. There are special rules for employers who make financial supplies to ensure they are not disadvantaged where only a partial input tax credit would otherwise trigger the higher gross up rate. References: Fringe Benefits TAA 1986; Guide to PAYG for Business Fringe Benefits Tax: A guide for Employers.
  • 108.
    Business Activity StatementAdviser Education Programme 108 Running Balance Account From 1 July 1999 the ATO has been operating Running Balance Accounts (RBAs) which accumulate all the taxes owing by an entity and the payments and/or credits accruing. It is possible to have more than one RBA but in establishing the total tax liability of an entity all its RBAs will be aggregated. RBAs are intended to improve and simplify the calculation, management and recovery of tax debts through: 1. The production of regular account statements showing the total of the outstanding tax debts, including all amounts owing under the PAYG withholding system 2. The application of general interest charge to the outstanding balance, if applicable Credits accruing to the taxpayer e.g. from GST input tax credits and payments made to the ATO by the taxpayer will be attributed against the outstanding taxes at the discretion of the Commissioner. The Commissioner may refund any surplus on an RBA provided that there are no BAS outstanding. References: TAA Pt IIB sec 8AAZA-N
  • 109.
    Business Activity StatementAdviser Education Programme 109 APPENDIX 1999 Income Tax Return Jo Bloggs trading as Any Business Income Interest on investments 500 Residential rent received 10,000 Sales (goods or services) 500,000 ----------- 510,500 ----------- Expenses Rental house deductions 5,000 Purchases 300,000 Overheads 100,000 Wages 60,000 ----------- 465,000 ----------- Taxable Income $45,500 ======= 1999 Tax New Tax rate 2001 Income tax 12,167 10,030 Medicare levy 683 683 --------- --------- Total tax payable 12,850 10,713 ====== ====== Commissioner s Instalment Rate: 10,713 x 100 = 2.10% 510,500 1
  • 110.
    Business Activity StatementAdviser Education Programme 110 APPENDIX 2000 Income Tax Return Jo Bloggs trading as Any Business Income Interest on investments 500 Residential rent received 15,000 Sales (goods or services) 508,000 ----------- 523,500 ----------- Expenses Rental house deductions 5,000 Purchases 303,000 Overheads 100,000 Wages 60,000 ----------- 468,000 ----------- Taxable Income $55,500 ======= 2000 Tax New Tax rate 2001 Income tax 16,687 11,590 Medicare levy 832 832 --------- --------- Total tax payable 17,519 12,422 ====== ====== Commissioner s Instalment Rate: 12,422 x 100 = 2.37% 523,500 1
  • 111.
    Business Activity StatementAdviser Education Programme 111 APPENDIX 1999 Income Tax Return A Smith trading as Another Business Income Interest on investments 500 Residential rent received 10,000 Sales (goods or services) 500,000 Capital gain on sale of shares 40,000 ----------- 550,500 ----------- Expenses Rental house deductions 5,000 Purchases 300,000 Overheads 100,000 Wages 60,000 ----------- 465,000 ----------- Taxable Income $85,500 ======= 1999 2000 2001 Income tax 30,067 30,067 27,565 Medicare levy 1,283 1,283 1,283 --------- --------- --------- Total tax payable 31,350 31,350 28,848 ====== ====== ===== Commissioner s Instalment Rate: 1. Calculate notional tax: Tax and medicare levy on $45,500 (85,500 - 40,000 capital gain) = $10,713 2. Divide by instalment income $510,500 (550,500 — 40,000 capital gain) 10,713 x 100 = 2.10% 510,500 1
  • 112.
    Business Activity StatementAdviser Education Programme 112 APPENDIX Application of Instalment Rate TOTAL for year Sales 220,000 110,000 99,000 231,000 660,000 Interest recd 125 125 125 125 500 Rent received - house 2,500 2,500 2,500 2,500 10,000 GST included (20,000) (10,000) (9,000) (21,000) (60,000) Total Income 202,625 102,625 92,625 212,625 610,500 ====== ====== ====== ======= ====== x 2.10% x 2.10% x 2.10% x 2.10% x 2.10% = $4,255 = $2,155 = $1,945 = $4,465 =$12,820 Date due Oct 21 Jan 21 April 21 July 21 Total paid Final Tax Return for 2000/2001 Income per above 610,500 Expenses (say) 490,000 Taxable Income for the year $120,500 ======= Tax thereon 44,015 Medicare levy 1,808 Instalments paid (12,820) Additional tax payable $33,003 ======= This tax is payable 4 weeks after an assessment is issued 30.6.00 30.9.00 31.12.00 31.3.01 30.6.01
  • 113.
    Business Activity StatementAdviser Education Programme 113 APPENDIX Example One Vera Pots flower shop is registered for GST. She operates a cash book system for accounting purposes. She is also using the cashbook for her GST calculation. The following are a series of payments and receipts for the entity that need to be entered into the cashbook. For the purposes of our examples we will separate GST from the total. All transactions 7.8.00 1. Cheque number 121 power bill $132.00 2. Direct Debit for rent $2200.00 3. Flowers bought for the week ending 31 August Chq 122 $880.00 4. Payment of PAYG for employees Chq 123 $2560.00 5. Payment for stock to a unregistered supplier Chq 124 $165.00 6. Purchase of Ribbons and cellophane Chq 125 $154.00 7. Purchase of a new till Chq 126 $2750.00 8. Repairs to the business car Chq 127 $660.00 9. Personal Expenses Chq 128 $320.00 10.Payment of credit card. Chq 129 $563.00 This consists of Petrol costs $154.00 Entertainment $330.00 Misc Stock items $66.00 Interest $12.00 Fees $1.00 In addition to this Vera has the following deposits for the week (all deposits are a mix of cash and eftpos transactions.) 1. Cash sales Saturday ( 5.8.00) deposited Monday $4400.00 2. Additional Saturdays sales paid by credit card Total sales $187.00 Net deposit $178 (credit card fees $9) 3. Sales made Monday deposited Tuesday $770.00 4. Tuesday sales $990.00 5. Wednesday sales $1320.00 The amount banked was $190. This was because $920 of the cash received was not banked because the money was used to pay the following items: wages $900, tea and milk $10, and cash taken for Vera s personal $220. For the purposes of ensuring accurate records are kept Vera will write a cheque for these cash payments and bank the cheque. 6. Thursday sales $2750, cash withdrawals from eftpos by customers $150.
  • 114.
    Business Activity StatementAdviser Education Programme 114 Example Two Peter Pots operates a Caf . Above the caf is a flat that he rents out. (Assumption no fruit juices or bottled water sold.) We will work through his transactions for a short period Payments made 7.8.00 1. Telephone bill (chq 156) for one month for caf $176.00 2. Purchases from supplier (chq 157) $2021.00 This was made up as follows Bread $1658.00 Pies $220.00 Veges $143.00 3. Confectionery purchased (chq 158) $77.00 4. Repairs for flat (chq 159) $280.00 5. Tables and Chairs for Caf (chq 160) $1650.00 6. Loan payment on computer (principal only) DD $253.00 7. Purchases of soft-drinks (chq 161) $99.00 8. Payment of wages (chq 162) $690.00 9. Purchase of paper bags (chq 163) $330.00 10.Refund of purchase to customer (chq 164) $11.00 Inwards Cash 1. Saturday sales (5.8.00) deposited Monday $5940.00 2. Sunday sales deposited Monday $4400.00 3. Rent from Flat $180.00 4. Refund from Supplier for spoiled cream buns $286.00 5. Monday sales $920, including containers of milk on-sold $40.00 6. Sale of old chairs from caf $220.00 7. Sales Tuesday $2200 less cash purchases of fruit $55, deposit $2145.00 8. Transfers of funds from the business savings account of $1000.00
  • 115.
    Business Activity StatementAdviser Education Programme 115 Simplified GST Accounting Methods Hans operates a hot bread shop. He has registered for GST on a cash basis. The annual turnover is approximately $350 000. He has not upgraded his till and is conscious that his GST-free supplies and taxable supplies made will need to be recorded. What are his options? Under the Simplified GST Accounting method there are three options; Example for Period Total sales $160,000 Total stock purchases $55,000 Other acquisitions including GST $12,000 1. Business norm method The ATO business norms for a hot bread shop are GST free sales 50%., GST free purchases of stock 75%. GST-free sales GST-free stock purchases Business norms hot bread shop 50% 75% Implications for Hans $160,000*50% $55,000*75% GST-free supplies $80,000 [sales] $41,250 [purchases] Taxable supplies $80,000 [sales] $13,750 [purchases] Taxable supplies made $80,000 Taxable acquisitions made Stock $13,750 Other $12,000 $25,750 2. Snapshot method For the two weeks 1 June to 14 June Hans kept a detailed account of sales for the period. The proportion of GST-free sales were 43.65% of total supplies made in that time. For the four weeks 1 June to 28 June Hans also kept a close record of all GST-free purchases. These were 83.5% of all stock acquisitions. Using the snapshot method Total supplies made for period (as above $160,000) GST-free supplies 160,000*43.65% equals $69,840. Taxable supplies 160,000-69840 equals $90,160. Total supplies acquired for period, Stock $55,000, Other acquisitions including GST $12,000 GST-free stock acquisitions $55,000*83.5 equals $45,925 Taxable stock acquisitions $55,000-45,925 equals $9,075 Total taxable acquisitions $9,075 + $12,000 equals $21,075
  • 116.
    Business Activity StatementAdviser Education Programme 116 3. Stock purchases method This is not an option for Hans as he does not resell stock without conversion of some GST-free supplies to taxable supplies.