Embed presentation
Download to read offline






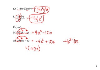
The document is an assignment for Lesson 36 that includes: 1) A warm-up with 5 simplification problems 2) Notes on multiplying and dividing integers 3) 12 example simplification and expansion problems to work through 4) The assignment is due on Tuesday, December 6th.





