Embed presentation
Download to read offline





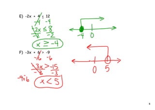
This document provides instructions for solving inequalities and graphing their solutions on a number line. It explains that when solving inequalities, the same steps are followed as with equations, which is to isolate the variable, but the inequality symbol flips if multiplying or dividing by a negative number. It then provides examples of solving six inequalities: 4x > -12, 6x + 1 > -5, 2x - 5 < 3, 7 < x - 8, -2x + 4 < 12, and -3x + 6 > -9.




