.    5
         .                                02-435-6155,081-6802331       ntdental@yahoo.com


             =
              =
                           13
     -

1                 1-1299-01833-14-8                .1               3             4/9/2553
2                 1-1037-03738-58-5                .1               2            29/9/2553
3                 1-1002-01726-98-7                .1               3            26/9/2553
4                 1-1002-01749-54-5                .1               4            20/9/2553
5                 1-1022-00194-91-6                .2               1            29/9/2553
6                 1-1022-01757-29-7                .1               2            25/9/2553
7                 1-1020-03488-17-8                .1               3            25/9/2553
8                 1-1029-00060-83-1                .1               4            26/9/2553
9                 1-1007-03501-86-8                .1               4            26/9/2553
10                1-1007-03543-59-5                .1               4            26/9/2553
11                1-1002-01720-16-4                .1               4            26/9/2553
12                1-1299-01822-17-1                .1               4            26/9/2553
13                1-1048-00009-30-5                .2               1            1/10/2553
14   1-1028-00106-60-1   .2   2   2/10/2553
15   1-1002-01702-04-2   .2   4   2/10/2553
16   1-1037-03692-35-6   .1   2   5/10/2553
17   1-1015-01160-09-2   .2   1   6/10/2553
18   1-1017-00321-68-1   .2   2   7/10/2553
19   1-1037-03559-44-3   .2   2   7/10/2553
20   1-1022-00187-38-3   .2   3   8/10/2553
21   1-1020-03519-55-3   .2   4   9/10/2553
22   1-1020-03579-22-0   .1   1    9/10/2553
23   1-1020-03434-84-1   .2   1    4/10/2553
24   1-1002-01758-88-9   .1   4   13/10/2553
25   1-1020-03439-03-7   .2   4   14/10/2553
26   1-1014-02276-92-1   .2   4   15/10/2553
27   1-1014-02272-58-5   .1   4   22/10/2553
28   1-1004-01211-74-3   .1   1   23/10/2553
29   1-1029-00053-48-7   .2   4   23/10/2553
30   1-1025-00037-37-9   .2   3   23/10/2553
31   1-1031-00800-07-6   .1   2   24/10/2553
32   1-1002-01712-92-7   .2   4   24/10/2553
33   1-1008-01456-53-1   .2   2   24/10/2553
34   1-1037-03787-00-4   .1   2   19/10/2553
35   1-1037-03569-68-6   .2   4   15/10/2553
36   1-1002-01702-98-1   .2   4   27/10/2553
37   1-1037-03743-92-9   .1   1   30/10/2553
38   1-1037-03739-39-5   .1   4   31/10/2553
39   1-1296-00012-01-3   .2   3   31/10/2553
40   1-1002-01665-13-9   .2   4   3/11/2553
.    5
                    .                                                                      02-4233311,02-4233313
     083-6154651.       ...................................


1                                                             1-1040-00058-81-6       .2           2               30/8/2553
2                                                             1-1203-00140-80-8       .2           4               14/9/2553
3                                                             1-1299-01802-45-5       .1           2                8/9/2553
4                                                             1-1029-00046-03-1       .2           3                6/9/2553
5                                                             1-1037-03709-83-6       .1           3               27/8/2553
6                                                             1-1022-00197-64-3       .1           3                6/9/2553
7                                                             1-1020-03461-68-7       .2           4                2/9/2553
8                                                             1-1020-03548-82-1       .1           3                8/9/2553
9                                                             1-1203-00144-43-9       .1           2                6/9/2553
10                                                            1-1039-00159-22-7       .1           4                6/9/2553
11                                                            5-9001-01034-92-2       .1           3               28/11/2553
12                                                            1-1008-01450-26-5       .2           4               28/11/2553
.        5
               .                                                               2       02-801-4661-2
     084-093-7023.   ...................................


1                                                          1-6401-01400-28-7                   .2/2    1   11/10/2553
2                                                          1-1040-00087-91-3                   .1/2    4   11/10/2553
3                                                          1-1004-01197-38-4                   .1/1    4   11/10/2553
4                                                          1-1022-00192-74-3                   .2/8    3   11/10/2553
5                                                          1-1018-01266-73-2                   .2/3    3   13/10/2553
6                                                          1-1018-01294-25-6                   .1/1    4   14/10/2553
7                                                          1-1020-03461-99-7                   .2/1    4   15/10/2553
8                                                          1-1031-00795-37-4                   .2/1    3   16/10/2553
9                                                          1-1020-03503-94-1                   .1/1    3   16/10/2553
10                                                         1-1020-03485-18-7                   .2/4    3   18/10/2553
.   5
              .                                                  0-2424 -1173
     084-4241242   ...................................


1                                                                  .2/10        4
2                                                                   .2/2        4
3                                                                   .1/7        2
4                                                                   .2/2        4
5                                                                   .2/2        4
6                                                                   .1/3        3
7                                                                   .1/3        4
8                                                                   .1/2        2
9                                                                   .1/3        3
10                                                                  .1/1        4
11                                                                  .1/1        3
12                                                                  .2/3        4
13                                                                  .2/2        3
14                                                                  .2/2        2
15                                                                  .1/3        1
16                                                                  .1/1        2
17   .2/2    4
18   .1/1    4
19   .2/2    4
20   .1/3    2
21   .2/2    4
22   .2/10   1
23   .1/3    4
24   .1/1    2
25   .2/10   4
26   .1/1    4
27   .2/10   4
28   .2/10   4
29   .1/2    4
30   .1/1    4
31   .1/3    2
32   .2/2    4
33   .2/10   4
34   .1/2    4
35   .1/3    4
36   .1/1    4
37   .2/10   4
38   .1/2    4
39   .1/3    4
40   .2/10   4
41   .2/3    4
42   .2/2    4
43   .1/1    4
44   .1/3    3
45   .2/10   3
46   .2/2    1
47   .2/10   4
48   .2/3    4
49   .2/10   3
50   .2/10   4
51   .2/3    4
52   .2/2    4
.    5
     .                           02-887-8440        081-4020925   ...................................


1        1-5099-66249-99-4                     .2            1                23/9/2553
2        1-1002-01667-72-7                     .2            4                23/9/2553
3        1-1048-00010-12-5                     .2            4                23/9/2553
4        1-1020-03493-39-2                     .2            2                23/9/2553
5        1-1020-03399-76-1                     .2            2                23/9/2553
6        1-1007-03371-64-6                     .2            2                23/9/2553
7        1-1020-03489-10-7                     .2            3                23/9/2553
8        1-1008-01435-42-8                     .2            4                23/9/2553
9        1-1007-03533-12-3                     .1            3                23/9/2553
10       1-1020-03590-65-7                     .1            2                23/9/2553
11       1-1020-03609-12-9                     .1            4                23/9/2553
12       1-1020-03549-46-1                     .1            4                23/9/2553
13       1-1020-03501-00-0                     .1            4                23/9/2553
14       1-1020-03455-44-0                     .1            4                23/9/2553
15       1-1020-03563-97-8                     .1            2                23/9/2553
16       1-1048-00011-22-9                     .1            2                23/9/2553
17       1-1020-03527-81-5                     .1            2                23/9/2553
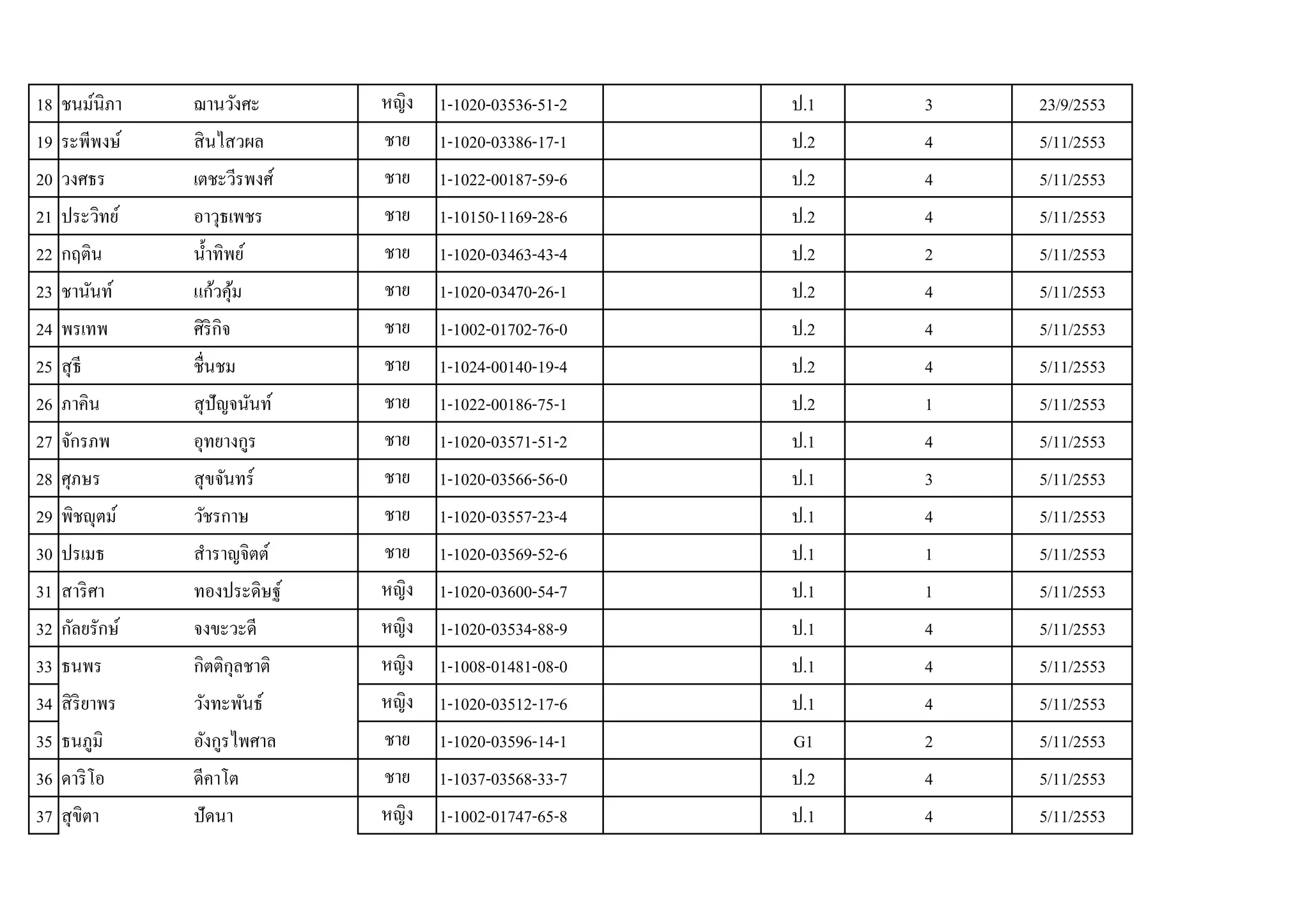
18   1-1020-03536-51-2   .1   3   23/9/2553
19   1-1020-03386-17-1   .2   4   5/11/2553
20   1-1022-00187-59-6   .2   4   5/11/2553
21   1-10150-1169-28-6   .2   4   5/11/2553
22   1-1020-03463-43-4   .2   2   5/11/2553
23   1-1020-03470-26-1   .2   4   5/11/2553
24   1-1002-01702-76-0   .2   4   5/11/2553
25   1-1024-00140-19-4   .2   4   5/11/2553
26   1-1022-00186-75-1   .2   1   5/11/2553
27   1-1020-03571-51-2   .1   4   5/11/2553
28   1-1020-03566-56-0   .1   3   5/11/2553
29   1-1020-03557-23-4   .1   4   5/11/2553
30   1-1020-03569-52-6   .1   1   5/11/2553
31   1-1020-03600-54-7   .1   1   5/11/2553
32   1-1020-03534-88-9   .1   4   5/11/2553
33   1-1008-01481-08-0   .1   4   5/11/2553
34   1-1020-03512-17-6   .1   4   5/11/2553
35   1-1020-03596-14-1   G1   2   5/11/2553
36   1-1037-03568-33-7   .2   4   5/11/2553
37   1-1002-01747-65-8   .1   4   5/11/2553
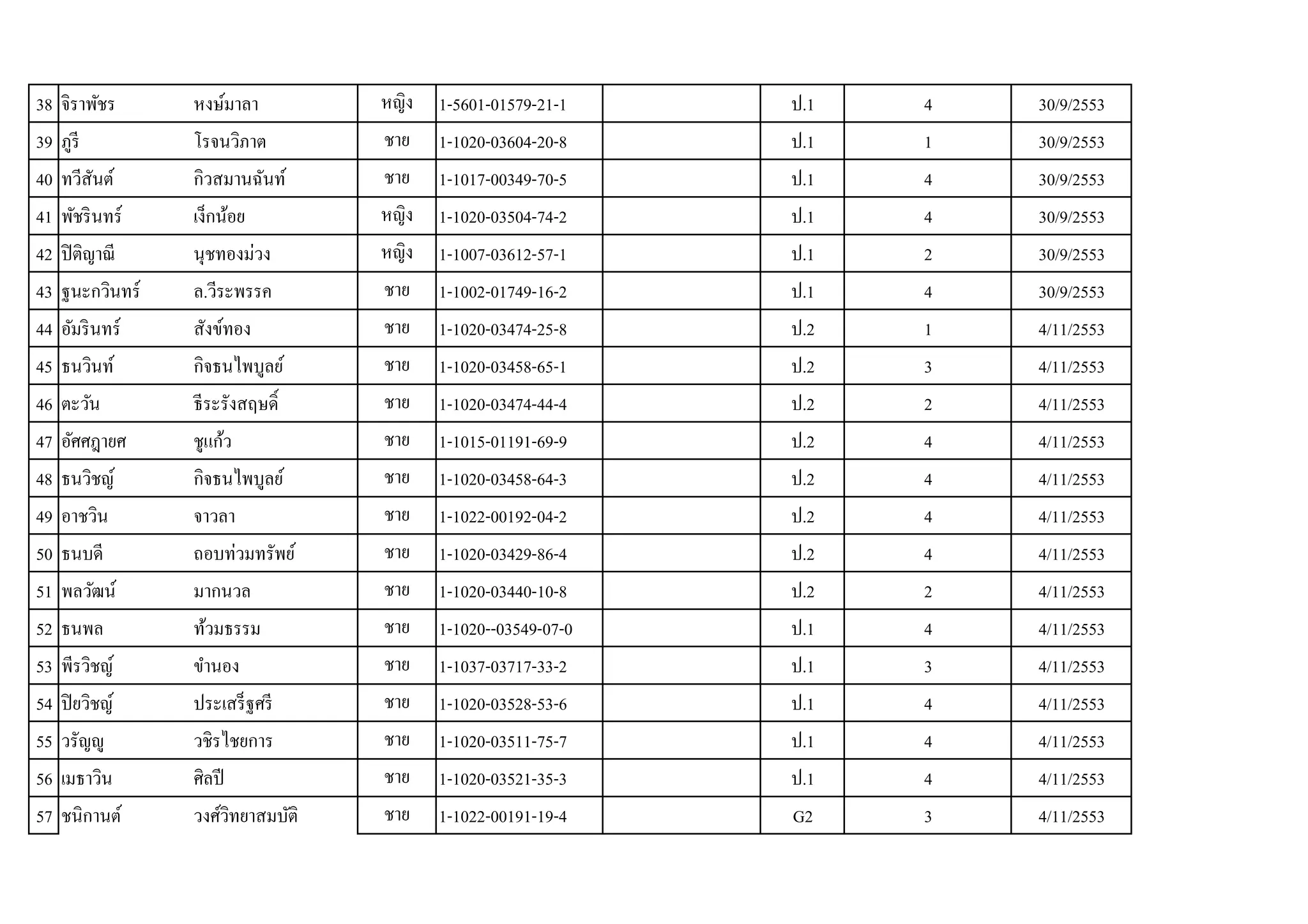
38       1-5601-01579-21-1    .1   4   30/9/2553
39       1-1020-03604-20-8    .1   1   30/9/2553
40       1-1017-00349-70-5    .1   4   30/9/2553
41       1-1020-03504-74-2    .1   4   30/9/2553
42       1-1007-03612-57-1    .1   2   30/9/2553
43   .   1-1002-01749-16-2    .1   4   30/9/2553
44       1-1020-03474-25-8    .2   1   4/11/2553
45       1-1020-03458-65-1    .2   3   4/11/2553
46       1-1020-03474-44-4    .2   2   4/11/2553
47       1-1015-01191-69-9    .2   4   4/11/2553
48       1-1020-03458-64-3    .2   4   4/11/2553
49       1-1022-00192-04-2    .2   4   4/11/2553
50       1-1020-03429-86-4    .2   4   4/11/2553
51       1-1020-03440-10-8    .2   2   4/11/2553
52       1-1020--03549-07-0   .1   4   4/11/2553
53       1-1037-03717-33-2    .1   3   4/11/2553
54       1-1020-03528-53-6    .1   4   4/11/2553
55       1-1020-03511-75-7    .1   4   4/11/2553
56       1-1020-03521-35-3    .1   4   4/11/2553
57       1-1022-00191-19-4    G2   3   4/11/2553
58   1-1022-00189-83-1   G2   4   4/11/2553
59   1-1024-00136-77-4   G2   1   4/11/2553
60   5-1020-00076-74-2   G2   1   4/11/2553
61   1-1020-03444-48-1   .2   4   4/11/2553
62   1-1008-01469-93-4   .2   4   4/11/2553
63   1-1020-03424-56-1   .2   4   4/11/2553
64   1-1020-03485-46-2   .1   3   23/9/2553
65   1-1002-01709-54-3   .1   1   23/9/2553
66   1-1020-03552-63-1   .1   4   23/9/2553
67   1-1020-03510-94-7   .1   3   23/9/2553
68   1-4299-00482-53-5   .1   3   23/9/2553
69   1-1020-03459-62-3   .2   1   25/10/2553
70   1-1020-03475-23-8   .2   4   26/10/2553
71   1-1020-03484-21-1   G2   3   4/11/2553
72   1-1020-03496-98-7   G2   4   4/11/2553
73   1-1018-01256-82-6   .2   4   4/11/2553
74   1-7199-00654-22-8   .1   4   4/11/2553
75   1-1020-03523-94-1   .1   4   4/11/2553
76   1-1020-03437-35-1   .2   4   4/11/2553
77   1-1028-00106-27-9   .2   4   4/11/2553
78   1-2499-00685-96-9   .2   4   4/11/2553
79   1-1022-00185-65-8   .2   4   4/11/2553
80   1-1002-01724-27-5   .1   4   4/11/2553
81   1-1041-00022-09-1   .1   3   4/11/2553
82   1-1015-01218-06-6   .1   4   4/11/2553
83   1-1020-03538-82-5   .1   4   4/11/2553
84   1-1037-03701-08-8   .1   4   4/11/2553
85   1-1020-03490-32-6   .2   4   4/11/2553
86   1-1020-03420-21-2   G2   4   4/11/2553
87   1-1020-00201-75-1   G1   4   5/11/2553
88   1-1020-03601-64-1   .1   4   5/11/2553
89   1-1020-03516-42-2   .1   4   5/11/2553
90   1-1020-03575-51-8   .1   4   5/11/2553
91   1-1007-03509-10-9   .1   4   5/11/2553
82   1-1025-00040-78-1   G1   4   5/11/2553
83   1-1008-01499-27-2   G1   2   5/11/2553
84   1-1015-01237-63-0   G1   3   5/11/2553
85   1-1020-03579-38-6   G1   4   5/11/2553
86   1-1020-03488-76-3   .2   4   5/11/2553
87   1-1020-03414-30-1   .2   4   5/11/2553
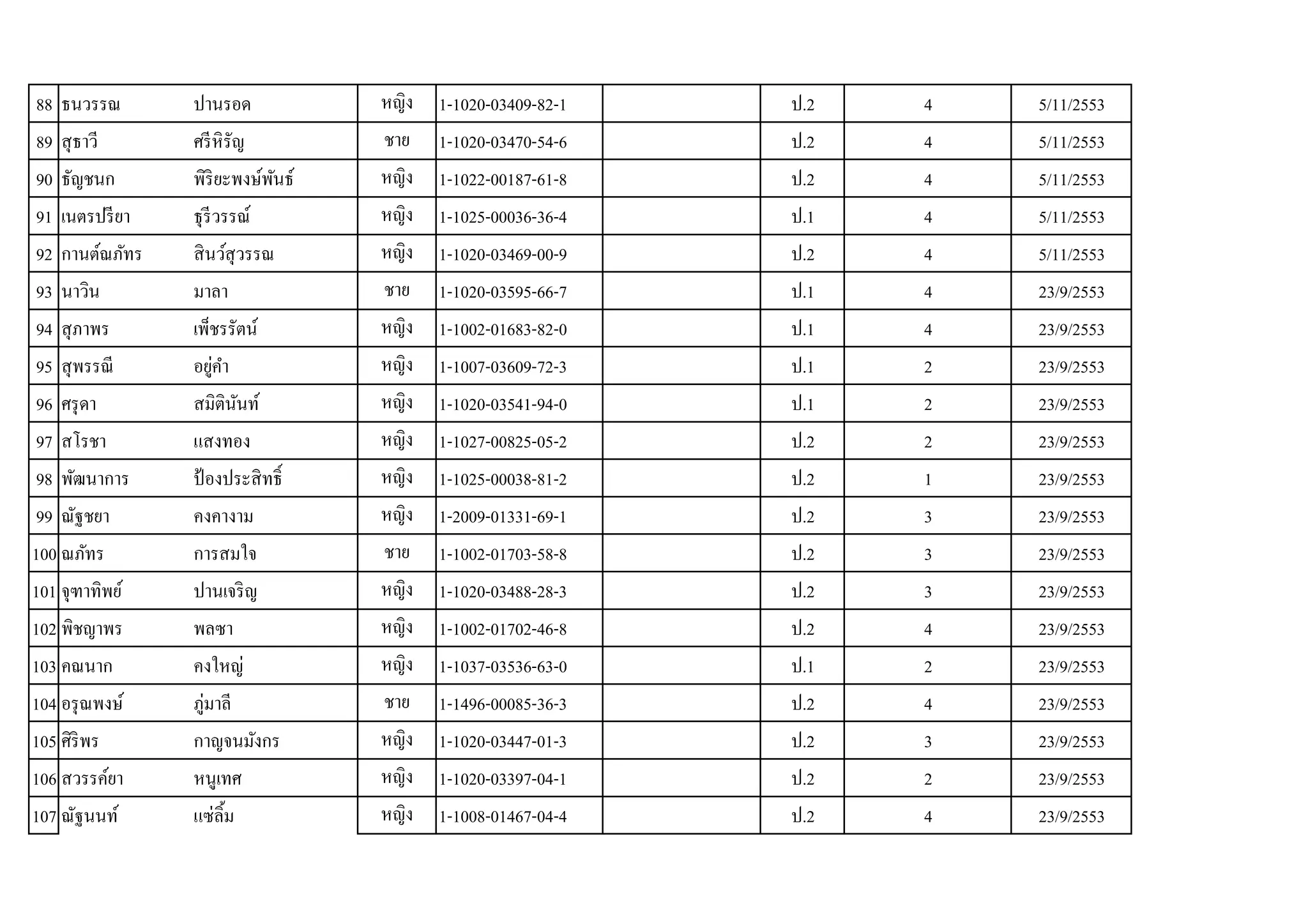
88    1-1020-03409-82-1   .2   4   5/11/2553
89    1-1020-03470-54-6   .2   4   5/11/2553
90    1-1022-00187-61-8   .2   4   5/11/2553
91    1-1025-00036-36-4   .1   4   5/11/2553
92    1-1020-03469-00-9   .2   4   5/11/2553
93    1-1020-03595-66-7   .1   4   23/9/2553
94    1-1002-01683-82-0   .1   4   23/9/2553
95    1-1007-03609-72-3   .1   2   23/9/2553
96    1-1020-03541-94-0   .1   2   23/9/2553
97    1-1027-00825-05-2   .2   2   23/9/2553
98    1-1025-00038-81-2   .2   1   23/9/2553
99    1-2009-01331-69-1   .2   3   23/9/2553
100   1-1002-01703-58-8   .2   3   23/9/2553
101   1-1020-03488-28-3   .2   3   23/9/2553
102   1-1002-01702-46-8   .2   4   23/9/2553
103   1-1037-03536-63-0   .1   2   23/9/2553
104   1-1496-00085-36-3   .2   4   23/9/2553
105   1-1020-03447-01-3   .2   3   23/9/2553
106   1-1020-03397-04-1   .2   2   23/9/2553
107   1-1008-01467-04-4   .2   4   23/9/2553
108       1-1018-01366-55-9   .1   4   23/9/2553
109       1-1299-01815-53-5   .1   4   30/9/2553
110       1-1020-03527-56-4   .1   4   30/9/2553
111       1-9098-02671-00-2   .2   4   30/9/2553
112       1-1020-03478-22-9   .2   4   30/9/2553
113       1-1020-03468-11-8   .2   4   30/9/2553
114   .   1-1002-01661-33-8   .2   4   30/9/2553
115       1-3501-01684-44-0   .2   3   30/9/2553
116       1-1002-01708-18-1   .2   4   30/9/2553
117       5-4117-01047-13-3   .1   4   4/11/2553
118       1-1020-03543-57-8   .1   2   4/11/2553
119       1-1020-03527-64-5   .1   4   4/11/2553
120       1-1020-03572-35-7   .1   1   4/11/2553
121       1-1020-03540-22-6   .1   1   4/11/2553
122       1-1022-00208-64-0   .1   4   4/11/2553
123       1-1020-03472-81-6   .2   4   4/11/2553
124       1-8099-02158-03-1   .2   3   4/11/2553
125       1-1007-03347-90-7   .2   4   4/11/2553
126       1-1020-03427-85-3   .2   4   4/11/2553
127       1-1037-03475-54-1   .2   2   4/11/2553
128   1-1037-03589-52-2   .2   4   4/11/2553
129   1-1020-03368-94-6   .2   1   4/11/2553
130   1-1037-03472-31-3   .2   2   4/11/2553
131   1-1020-03475-43-2   .2   4   4/11/2553
132   1-1015-01181-66-9   .2   2   4/11/2553
133   1-1015-01198-60-0   .2   4   4/11/2553
134   1-1299-01723-71-7   .2   4   4/11/2553
135   1-1008-01450-08-7   .2   1   4/11/2553
136   1-1008-01440-71-5   .2   2   4/11/2553
137   1-1037-03762-57-5   .1   4   4/11/2553
138   1-1002-01692-81-1   .2   4   5/11/2553
139   1-1020-03533-48-3   .1   2   5/11/2553
140   1-1034-00064-95-2   .1   4   5/11/2553
141   1-1020-03572-45-4   .1   4   5/11/2553
142   1-1020-03540-84-6   .1   2   5/11/2553
143   1-1020-03534-99-4   .1   4   5/11/2553
144   1-1022-00202-96-0   .1   4   5/11/2553
145   1-1020-03588-63-6   .1   1   5/11/2553
146   1-1020-03458-07-4   .2   1   5/11/2553
147   1-1020-03496-52-9   .2   1   5/11/2553
148   1-1020-03411-33-7   .2   4   5/11/2553
149   1-1601-01808-12-4   .2   3   5/11/2553
150   1-1020-03427-00-4   .2   3   5/11/2553
151   1-1022-00197-10-9   .2   4   5/11/2553
152   1-1020-03410-10-1   .2   4   5/11/2553
153   1-1020-03449-49-1   .2   4   5/11/2553
154   1-1008-01460-98-8   .2   4   9/10/2553
155   1-1037-03771-16-7   .1   4   17/10/2553
156   1-1020-03537-40-3   .1   3   16/10/2553
.      5
     .                            0 2886 4288          089-1369486   .......................


1        1-1002-01681-08-8                      .2/1    4            21/9/22553
2        1-1020-03549-27-4                       1/1    1             24/9/2553
3        1-1025-0004-119-8                      .1/3    4             4/10/2553
4        1-1008-01499-90-6                      .1/3    2            11/10/2553
5        1-1020-03539-89-9                      .1/1    4            14/10/2553
6        1-1002-01682-97-1                      .2/2    2            14/10/2553
7        1-1020-03439-10-0                      .2/2    3            15/10/2553
8        1-1020-03562-66-1                      .1/1    4            22/10/2553
9        1-1020-03465-5-85                      .2/2    4            26/10/2553
10       1-1037-03647-29-6                      .1/6    1            26/10/2553
11       1-1002-01757-80-7                       .1     4            27/10/2553
12       1-1002-01678-12-5                       .2     4            27/10/2553
13       1-1003-703584-95-2                     .2/1    4            29/10/2553
14       1-1025-46482-39-1                      .2/1    3             5/11/2553
15        1-3410-1251-28-1                      .2/1    4             5/11/2553
16       1-1002-01712-68-4                      .1/3    4             5/11/2553
17       1-1002-01699-07-8                      .2/2    1             8/11/2553
18     1-1020-03546-01-1   .1/3   4   11/11/2553
19     1-1020-35508-80-9   .1/1   4   11/11/2553
20   1-1020-03516-56-2     .1/1   4   15/11/2553

ผลการเคลือบหลุมร่องฟันเขต5

  • 1.
    . 5 . 02-435-6155,081-6802331 ntdental@yahoo.com = = 13 - 1 1-1299-01833-14-8 .1 3 4/9/2553 2 1-1037-03738-58-5 .1 2 29/9/2553 3 1-1002-01726-98-7 .1 3 26/9/2553 4 1-1002-01749-54-5 .1 4 20/9/2553 5 1-1022-00194-91-6 .2 1 29/9/2553 6 1-1022-01757-29-7 .1 2 25/9/2553 7 1-1020-03488-17-8 .1 3 25/9/2553 8 1-1029-00060-83-1 .1 4 26/9/2553 9 1-1007-03501-86-8 .1 4 26/9/2553 10 1-1007-03543-59-5 .1 4 26/9/2553 11 1-1002-01720-16-4 .1 4 26/9/2553 12 1-1299-01822-17-1 .1 4 26/9/2553 13 1-1048-00009-30-5 .2 1 1/10/2553
  • 2.
    14 1-1028-00106-60-1 .2 2 2/10/2553 15 1-1002-01702-04-2 .2 4 2/10/2553 16 1-1037-03692-35-6 .1 2 5/10/2553 17 1-1015-01160-09-2 .2 1 6/10/2553 18 1-1017-00321-68-1 .2 2 7/10/2553 19 1-1037-03559-44-3 .2 2 7/10/2553 20 1-1022-00187-38-3 .2 3 8/10/2553 21 1-1020-03519-55-3 .2 4 9/10/2553 22 1-1020-03579-22-0 .1 1 9/10/2553 23 1-1020-03434-84-1 .2 1 4/10/2553 24 1-1002-01758-88-9 .1 4 13/10/2553 25 1-1020-03439-03-7 .2 4 14/10/2553 26 1-1014-02276-92-1 .2 4 15/10/2553 27 1-1014-02272-58-5 .1 4 22/10/2553 28 1-1004-01211-74-3 .1 1 23/10/2553 29 1-1029-00053-48-7 .2 4 23/10/2553 30 1-1025-00037-37-9 .2 3 23/10/2553 31 1-1031-00800-07-6 .1 2 24/10/2553 32 1-1002-01712-92-7 .2 4 24/10/2553
  • 3.
    33 1-1008-01456-53-1 .2 2 24/10/2553 34 1-1037-03787-00-4 .1 2 19/10/2553 35 1-1037-03569-68-6 .2 4 15/10/2553 36 1-1002-01702-98-1 .2 4 27/10/2553 37 1-1037-03743-92-9 .1 1 30/10/2553 38 1-1037-03739-39-5 .1 4 31/10/2553 39 1-1296-00012-01-3 .2 3 31/10/2553 40 1-1002-01665-13-9 .2 4 3/11/2553
  • 4.
    . 5 . 02-4233311,02-4233313 083-6154651. ................................... 1 1-1040-00058-81-6 .2 2 30/8/2553 2 1-1203-00140-80-8 .2 4 14/9/2553 3 1-1299-01802-45-5 .1 2 8/9/2553 4 1-1029-00046-03-1 .2 3 6/9/2553 5 1-1037-03709-83-6 .1 3 27/8/2553 6 1-1022-00197-64-3 .1 3 6/9/2553 7 1-1020-03461-68-7 .2 4 2/9/2553 8 1-1020-03548-82-1 .1 3 8/9/2553 9 1-1203-00144-43-9 .1 2 6/9/2553 10 1-1039-00159-22-7 .1 4 6/9/2553 11 5-9001-01034-92-2 .1 3 28/11/2553 12 1-1008-01450-26-5 .2 4 28/11/2553
  • 5.
    . 5 . 2 02-801-4661-2 084-093-7023. ................................... 1 1-6401-01400-28-7 .2/2 1 11/10/2553 2 1-1040-00087-91-3 .1/2 4 11/10/2553 3 1-1004-01197-38-4 .1/1 4 11/10/2553 4 1-1022-00192-74-3 .2/8 3 11/10/2553 5 1-1018-01266-73-2 .2/3 3 13/10/2553 6 1-1018-01294-25-6 .1/1 4 14/10/2553 7 1-1020-03461-99-7 .2/1 4 15/10/2553 8 1-1031-00795-37-4 .2/1 3 16/10/2553 9 1-1020-03503-94-1 .1/1 3 16/10/2553 10 1-1020-03485-18-7 .2/4 3 18/10/2553
  • 6.
    . 5 . 0-2424 -1173 084-4241242 ................................... 1 .2/10 4 2 .2/2 4 3 .1/7 2 4 .2/2 4 5 .2/2 4 6 .1/3 3 7 .1/3 4 8 .1/2 2 9 .1/3 3 10 .1/1 4 11 .1/1 3 12 .2/3 4 13 .2/2 3 14 .2/2 2 15 .1/3 1 16 .1/1 2
  • 7.
    17 .2/2 4 18 .1/1 4 19 .2/2 4 20 .1/3 2 21 .2/2 4 22 .2/10 1 23 .1/3 4 24 .1/1 2 25 .2/10 4 26 .1/1 4 27 .2/10 4 28 .2/10 4 29 .1/2 4 30 .1/1 4 31 .1/3 2 32 .2/2 4 33 .2/10 4 34 .1/2 4 35 .1/3 4 36 .1/1 4
  • 8.
    37 .2/10 4 38 .1/2 4 39 .1/3 4 40 .2/10 4 41 .2/3 4 42 .2/2 4 43 .1/1 4 44 .1/3 3 45 .2/10 3 46 .2/2 1 47 .2/10 4 48 .2/3 4 49 .2/10 3 50 .2/10 4 51 .2/3 4 52 .2/2 4
  • 9.
    . 5 . 02-887-8440 081-4020925 ................................... 1 1-5099-66249-99-4 .2 1 23/9/2553 2 1-1002-01667-72-7 .2 4 23/9/2553 3 1-1048-00010-12-5 .2 4 23/9/2553 4 1-1020-03493-39-2 .2 2 23/9/2553 5 1-1020-03399-76-1 .2 2 23/9/2553 6 1-1007-03371-64-6 .2 2 23/9/2553 7 1-1020-03489-10-7 .2 3 23/9/2553 8 1-1008-01435-42-8 .2 4 23/9/2553 9 1-1007-03533-12-3 .1 3 23/9/2553 10 1-1020-03590-65-7 .1 2 23/9/2553 11 1-1020-03609-12-9 .1 4 23/9/2553 12 1-1020-03549-46-1 .1 4 23/9/2553 13 1-1020-03501-00-0 .1 4 23/9/2553 14 1-1020-03455-44-0 .1 4 23/9/2553 15 1-1020-03563-97-8 .1 2 23/9/2553 16 1-1048-00011-22-9 .1 2 23/9/2553 17 1-1020-03527-81-5 .1 2 23/9/2553
  • 10.
    18 1-1020-03536-51-2 .1 3 23/9/2553 19 1-1020-03386-17-1 .2 4 5/11/2553 20 1-1022-00187-59-6 .2 4 5/11/2553 21 1-10150-1169-28-6 .2 4 5/11/2553 22 1-1020-03463-43-4 .2 2 5/11/2553 23 1-1020-03470-26-1 .2 4 5/11/2553 24 1-1002-01702-76-0 .2 4 5/11/2553 25 1-1024-00140-19-4 .2 4 5/11/2553 26 1-1022-00186-75-1 .2 1 5/11/2553 27 1-1020-03571-51-2 .1 4 5/11/2553 28 1-1020-03566-56-0 .1 3 5/11/2553 29 1-1020-03557-23-4 .1 4 5/11/2553 30 1-1020-03569-52-6 .1 1 5/11/2553 31 1-1020-03600-54-7 .1 1 5/11/2553 32 1-1020-03534-88-9 .1 4 5/11/2553 33 1-1008-01481-08-0 .1 4 5/11/2553 34 1-1020-03512-17-6 .1 4 5/11/2553 35 1-1020-03596-14-1 G1 2 5/11/2553 36 1-1037-03568-33-7 .2 4 5/11/2553 37 1-1002-01747-65-8 .1 4 5/11/2553
  • 11.
    38 1-5601-01579-21-1 .1 4 30/9/2553 39 1-1020-03604-20-8 .1 1 30/9/2553 40 1-1017-00349-70-5 .1 4 30/9/2553 41 1-1020-03504-74-2 .1 4 30/9/2553 42 1-1007-03612-57-1 .1 2 30/9/2553 43 . 1-1002-01749-16-2 .1 4 30/9/2553 44 1-1020-03474-25-8 .2 1 4/11/2553 45 1-1020-03458-65-1 .2 3 4/11/2553 46 1-1020-03474-44-4 .2 2 4/11/2553 47 1-1015-01191-69-9 .2 4 4/11/2553 48 1-1020-03458-64-3 .2 4 4/11/2553 49 1-1022-00192-04-2 .2 4 4/11/2553 50 1-1020-03429-86-4 .2 4 4/11/2553 51 1-1020-03440-10-8 .2 2 4/11/2553 52 1-1020--03549-07-0 .1 4 4/11/2553 53 1-1037-03717-33-2 .1 3 4/11/2553 54 1-1020-03528-53-6 .1 4 4/11/2553 55 1-1020-03511-75-7 .1 4 4/11/2553 56 1-1020-03521-35-3 .1 4 4/11/2553 57 1-1022-00191-19-4 G2 3 4/11/2553
  • 12.
    58 1-1022-00189-83-1 G2 4 4/11/2553 59 1-1024-00136-77-4 G2 1 4/11/2553 60 5-1020-00076-74-2 G2 1 4/11/2553 61 1-1020-03444-48-1 .2 4 4/11/2553 62 1-1008-01469-93-4 .2 4 4/11/2553 63 1-1020-03424-56-1 .2 4 4/11/2553 64 1-1020-03485-46-2 .1 3 23/9/2553 65 1-1002-01709-54-3 .1 1 23/9/2553 66 1-1020-03552-63-1 .1 4 23/9/2553 67 1-1020-03510-94-7 .1 3 23/9/2553 68 1-4299-00482-53-5 .1 3 23/9/2553 69 1-1020-03459-62-3 .2 1 25/10/2553 70 1-1020-03475-23-8 .2 4 26/10/2553 71 1-1020-03484-21-1 G2 3 4/11/2553 72 1-1020-03496-98-7 G2 4 4/11/2553 73 1-1018-01256-82-6 .2 4 4/11/2553 74 1-7199-00654-22-8 .1 4 4/11/2553 75 1-1020-03523-94-1 .1 4 4/11/2553 76 1-1020-03437-35-1 .2 4 4/11/2553 77 1-1028-00106-27-9 .2 4 4/11/2553
  • 13.
    78 1-2499-00685-96-9 .2 4 4/11/2553 79 1-1022-00185-65-8 .2 4 4/11/2553 80 1-1002-01724-27-5 .1 4 4/11/2553 81 1-1041-00022-09-1 .1 3 4/11/2553 82 1-1015-01218-06-6 .1 4 4/11/2553 83 1-1020-03538-82-5 .1 4 4/11/2553 84 1-1037-03701-08-8 .1 4 4/11/2553 85 1-1020-03490-32-6 .2 4 4/11/2553 86 1-1020-03420-21-2 G2 4 4/11/2553 87 1-1020-00201-75-1 G1 4 5/11/2553 88 1-1020-03601-64-1 .1 4 5/11/2553 89 1-1020-03516-42-2 .1 4 5/11/2553 90 1-1020-03575-51-8 .1 4 5/11/2553 91 1-1007-03509-10-9 .1 4 5/11/2553 82 1-1025-00040-78-1 G1 4 5/11/2553 83 1-1008-01499-27-2 G1 2 5/11/2553 84 1-1015-01237-63-0 G1 3 5/11/2553 85 1-1020-03579-38-6 G1 4 5/11/2553 86 1-1020-03488-76-3 .2 4 5/11/2553 87 1-1020-03414-30-1 .2 4 5/11/2553
  • 14.
    88 1-1020-03409-82-1 .2 4 5/11/2553 89 1-1020-03470-54-6 .2 4 5/11/2553 90 1-1022-00187-61-8 .2 4 5/11/2553 91 1-1025-00036-36-4 .1 4 5/11/2553 92 1-1020-03469-00-9 .2 4 5/11/2553 93 1-1020-03595-66-7 .1 4 23/9/2553 94 1-1002-01683-82-0 .1 4 23/9/2553 95 1-1007-03609-72-3 .1 2 23/9/2553 96 1-1020-03541-94-0 .1 2 23/9/2553 97 1-1027-00825-05-2 .2 2 23/9/2553 98 1-1025-00038-81-2 .2 1 23/9/2553 99 1-2009-01331-69-1 .2 3 23/9/2553 100 1-1002-01703-58-8 .2 3 23/9/2553 101 1-1020-03488-28-3 .2 3 23/9/2553 102 1-1002-01702-46-8 .2 4 23/9/2553 103 1-1037-03536-63-0 .1 2 23/9/2553 104 1-1496-00085-36-3 .2 4 23/9/2553 105 1-1020-03447-01-3 .2 3 23/9/2553 106 1-1020-03397-04-1 .2 2 23/9/2553 107 1-1008-01467-04-4 .2 4 23/9/2553
  • 15.
    108 1-1018-01366-55-9 .1 4 23/9/2553 109 1-1299-01815-53-5 .1 4 30/9/2553 110 1-1020-03527-56-4 .1 4 30/9/2553 111 1-9098-02671-00-2 .2 4 30/9/2553 112 1-1020-03478-22-9 .2 4 30/9/2553 113 1-1020-03468-11-8 .2 4 30/9/2553 114 . 1-1002-01661-33-8 .2 4 30/9/2553 115 1-3501-01684-44-0 .2 3 30/9/2553 116 1-1002-01708-18-1 .2 4 30/9/2553 117 5-4117-01047-13-3 .1 4 4/11/2553 118 1-1020-03543-57-8 .1 2 4/11/2553 119 1-1020-03527-64-5 .1 4 4/11/2553 120 1-1020-03572-35-7 .1 1 4/11/2553 121 1-1020-03540-22-6 .1 1 4/11/2553 122 1-1022-00208-64-0 .1 4 4/11/2553 123 1-1020-03472-81-6 .2 4 4/11/2553 124 1-8099-02158-03-1 .2 3 4/11/2553 125 1-1007-03347-90-7 .2 4 4/11/2553 126 1-1020-03427-85-3 .2 4 4/11/2553 127 1-1037-03475-54-1 .2 2 4/11/2553
  • 16.
    128 1-1037-03589-52-2 .2 4 4/11/2553 129 1-1020-03368-94-6 .2 1 4/11/2553 130 1-1037-03472-31-3 .2 2 4/11/2553 131 1-1020-03475-43-2 .2 4 4/11/2553 132 1-1015-01181-66-9 .2 2 4/11/2553 133 1-1015-01198-60-0 .2 4 4/11/2553 134 1-1299-01723-71-7 .2 4 4/11/2553 135 1-1008-01450-08-7 .2 1 4/11/2553 136 1-1008-01440-71-5 .2 2 4/11/2553 137 1-1037-03762-57-5 .1 4 4/11/2553 138 1-1002-01692-81-1 .2 4 5/11/2553 139 1-1020-03533-48-3 .1 2 5/11/2553 140 1-1034-00064-95-2 .1 4 5/11/2553 141 1-1020-03572-45-4 .1 4 5/11/2553 142 1-1020-03540-84-6 .1 2 5/11/2553 143 1-1020-03534-99-4 .1 4 5/11/2553 144 1-1022-00202-96-0 .1 4 5/11/2553 145 1-1020-03588-63-6 .1 1 5/11/2553 146 1-1020-03458-07-4 .2 1 5/11/2553 147 1-1020-03496-52-9 .2 1 5/11/2553
  • 17.
    148 1-1020-03411-33-7 .2 4 5/11/2553 149 1-1601-01808-12-4 .2 3 5/11/2553 150 1-1020-03427-00-4 .2 3 5/11/2553 151 1-1022-00197-10-9 .2 4 5/11/2553 152 1-1020-03410-10-1 .2 4 5/11/2553 153 1-1020-03449-49-1 .2 4 5/11/2553 154 1-1008-01460-98-8 .2 4 9/10/2553 155 1-1037-03771-16-7 .1 4 17/10/2553 156 1-1020-03537-40-3 .1 3 16/10/2553
  • 18.
    . 5 . 0 2886 4288 089-1369486 ....................... 1 1-1002-01681-08-8 .2/1 4 21/9/22553 2 1-1020-03549-27-4 1/1 1 24/9/2553 3 1-1025-0004-119-8 .1/3 4 4/10/2553 4 1-1008-01499-90-6 .1/3 2 11/10/2553 5 1-1020-03539-89-9 .1/1 4 14/10/2553 6 1-1002-01682-97-1 .2/2 2 14/10/2553 7 1-1020-03439-10-0 .2/2 3 15/10/2553 8 1-1020-03562-66-1 .1/1 4 22/10/2553 9 1-1020-03465-5-85 .2/2 4 26/10/2553 10 1-1037-03647-29-6 .1/6 1 26/10/2553 11 1-1002-01757-80-7 .1 4 27/10/2553 12 1-1002-01678-12-5 .2 4 27/10/2553 13 1-1003-703584-95-2 .2/1 4 29/10/2553 14 1-1025-46482-39-1 .2/1 3 5/11/2553 15 1-3410-1251-28-1 .2/1 4 5/11/2553 16 1-1002-01712-68-4 .1/3 4 5/11/2553 17 1-1002-01699-07-8 .2/2 1 8/11/2553
  • 19.
    18 1-1020-03546-01-1 .1/3 4 11/11/2553 19 1-1020-35508-80-9 .1/1 4 11/11/2553 20 1-1020-03516-56-2 .1/1 4 15/11/2553