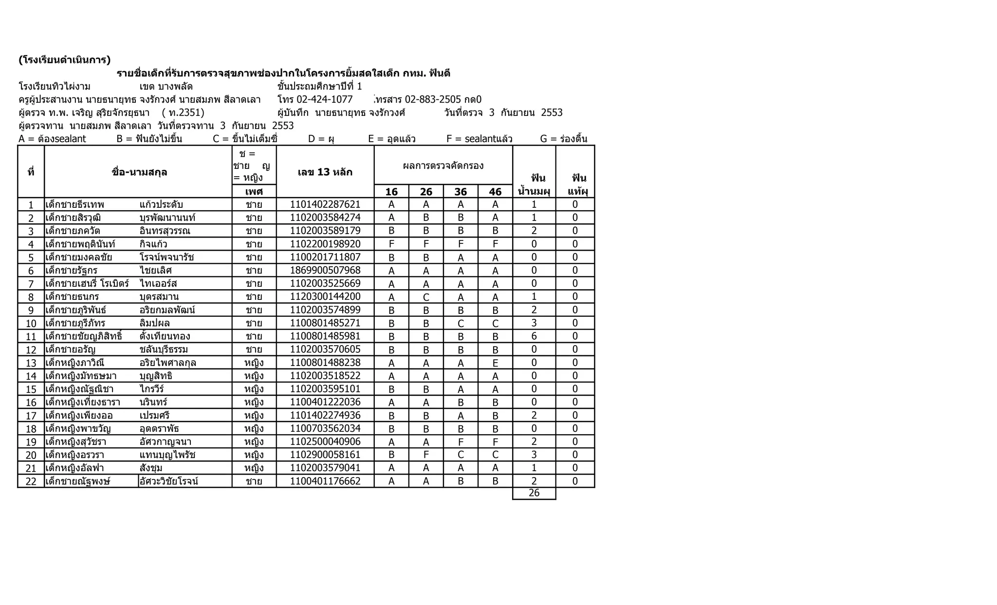
(โรงเรียนดำำเนินกำร)
                         รำยชื่อเด็กที่รับกำรตรวจสุขภำพช่องปำกในโครงกำรยิำมสดใสเด็ก กทม. ฟันดี
โรงเรียนทิวไผ่งาม              เขต บางพลัด                     ชั้นประถมศึกษาปีที่ 1
ครูผู้ประสานงาน นายธนายุทธ จงรักวงศ์ นายสมภพ สีลาดเลา          โทร 02-424-1077       โทรสาร 02-883-2505 กด0
ผู้ตรวจ ท.พ. เจริญ สุริยจักรยุธนา ( ท.2351)                    ผู้บันทึก นายธนายุทธ จงรักวงศ์        วันที่ตรวจ 3 กันยายน 2553
ผู้ตรวจทาน นายสมภพ สีลาดเลา วันที่ตรวจทาน 3 กันยายน 2553
A = ต้องsealant          B = ฟันยังไม่ขึ้น     C = ขึ้นไม่เต็มซี่       D = ผุ       E = อุดแล้ว     F = sealantแล้ว         G = ร่องตื้น
                                                      ช=
                                                   ชาย ญ                                     ผลการตรวจคัดกรอง
   ที่                  ชื่อ-นำมสกุล                                 เลข 13 หลัก
                                                   = หญิง                                                                 ฟัน        ฟัน
                                                       เพศ                              16       26     36      46    นำำำนมผุ      แท้ผุ
    1 เด็กชายธีรเทพ            แก้วประดับ              ชาย          1101402287621        A        A      A       A        1          0
    2   เด็กชายสิรวุฒิ         บุรพัฒนานนท์            ชาย          1102003584274        A        B      B       A        1          0
    3 เด็กชายภควัต             อินทรสุวรรณ             ชาย          1102003589179        B        B      B       B        2          0
    4 เด็กชายพฤตินันท์         กิจแก้ว                 ชาย          1102200198920        F        F      F       F        0          0
    5   เด็กชายมงคลชัย         โรจน์พจนารัช            ชาย          1100201711807        B        B      A       A        0          0
    6 เด็กชายรัฐกร             ไชยเลิศ                 ชาย          1869900507968        A        A      A       A        0          0
    7 เด็กชายเฮนรี่ โรเบิตร์ ไทเออร์ส                  ชาย          1102003525669        A        A      A       A        0          0
    8   เด็กชายธนกร            บุตรสมาน                ชาย          1120300144200        A        C      A       A        1          0
    9 เด็กชายภูริพันธ์         อริยกมลพัฒน์            ชาย          1102003574899        B        B      B       B        2          0
   10 เด็กชายภูรีภัทร          ลิมปผล                  ชาย          1100801485271        B        B      C       C        3          0
   11   เด็กชายชัยญภิสิทธิ์    ตั้งเทียนทอง            ชาย          1100801485981        B        B      B       B        6          0
   12 เด็กชายอรัญ              ชลันบุรีธรรม            ชาย          1102003570605        B        B      B       B        0          0
   13 เด็กหญิงภาวิณี           อริยไพศาลกุล            หญิง         1100801488238        A        A      A       E        0          0
   14   เด็กหญิงมัทธษมา        บุญสิทธิ                หญิง         1102003518522        A        A      A       A        0          0
   15 เด็กหญิงณัฐณิชา          ไกรวีร์                 หญิง         1102003595101        B        B      A       A        0          0
   16 เด็กหญิงเที่ยงธารา       นรินทร์                 หญิง         1100401222036        A        A      B       B        0          0
   17   เด็กหญิงเพียงออ        เปรมศรี                 หญิง         1101402274936        B        B      A       B        2          0
   18 เด็กหญิงพาขวัญ           อุตตราพัธ               หญิง         1100703562034        B        B      B       B        0          0
   19 เด็กหญิงสุวัชรา          อัศวกาญจนา              หญิง         1102500040906        A        A      F       F        2          0
   20   เด็กหญิงอรวรา          แทนบุญไพรัช             หญิง         1102900058161        B        F      C       C        3          0
   21 เด็กหญิงอัลฟา            สังชุม                  หญิง         1102003579041        A        A      A       A        1          0
   22 เด็กชายณัฐพงษ์           อัศวะวิชัยโรจน์         ชาย          1100401176662        A        A      B       B        2          0
                                                                                                                          26
16        26        36        46

A = ต้องsealant           11         9        10        9

B = ฟันยังไม่ขึำน         10        10         8        8

C = ขึำนไม่เต็มซี่         0         1         2        2

D = ผุ                     0         0         0        0

E = อุดแล้ว                0         0         0        1

F = sealantแล้ว            1         2         2        2

G = ร่องตืำน               0         0         0        0
(โรงเรียนดำำเนินกำร)
                          รำยชื่อเด็กที่รับกำรตรวจสุขภำพช่องปำกในโครงกำรยิำมสดใสเด็ก กทม. ฟันดี
โรงเรียนทิวไผ่งาม               เขตบางพลัด                        ชั้นประถมศึกษาปีที่ 2
ครูผู้ประสานงาน นายธนายุทธ จงรักวงศ์ นายสมภพ สีลาดเลา             โทร 02-424-1077       โทรสาร 02-883-2505 กด0
ผู้ตรวจ ท.พ. เจริญ สุริยจักรยุธนา ( ท.2351)                       ผู้บันทึก นายธนายุทธ จงรักวงศ์       วันที่ตรวจ 3 กันยายน 2553
ผู้ตรวจทาน นายสมภพ สีลาดเลา วันที่ตรวจทาน 3 กันยายน 2553
A = ต้องsealant           B = ฟันยังไม่ขึ้น       C = ขึ้นไม่เต็มซี่       D = ผุ       E = อุดแล้ว     F = sealantแล้ว      G = ร่องตื้น
                                                       ช=
                                                      ชาย ญ                                    ผลการตรวจคัดกรอง
   ที่                   ชื่อ-นำมสกุล                                   เลข 13 หลัก
                                                      = หญิง                                                              ฟัน    ฟัน
                                                          เพศ                              16       26    36      46 นำำำนมผุ แท้ผุ
    1 เด็กชายชนสิษฏ์            เปลี่ยนจันทร์             ชาย          1103703474685        A        A     A       A      2      0
    2   เด็กชายโรรี่ไมเคิล      ทับทิมแดง                 ชาย          1102500038944        A        A     A       A      0      0
    3 เด็กชายอธิภัทร            จิรชัยธำารงศักดิ์         ชาย          1100201681894        A        A     A       A      0      0
    4 เด็กชายปรวรรตน์           ประยูรศิริศักดิ์          ชาย          1102003476323        F        F     F       F      7      0
    5   เด็กชายธีธัช            ศรีทองรุ่ง                ชาย          1100201666241        A        A     F       F      4      0
    6 เด็กชายธนกร               สุธรรมเกษม                ชาย          1101402276319        A        A     B       B      2      0
    7 เด็กชายสิรวิชญ์           อัคนิทัต                  ชาย          1101700329861        A        A     A       A      6      0
    8   เด็กชายภาณุพงศ์         สงคล้าย                   ชาย          1102003431605        A        A     A       A      4      2
    9 เด็กชายจรัสพันธ์          จุฬพันธ์ทอง               ชาย          1101402247190        A        A     F       F      0      0
   10 เด็กชายพีรณัช             ทิวไผ่งาม                 ชาย          1100201665481        A        A     A       A      6      0
   11   เด็กชายวัชรพงษ์         ทองคำาสุจริต              ชาย          1104500040479        A        A     A       A      0      0
   12 เด็กชายภูบดี              ลิมปิผล                   ชาย          1100801447752        A        A     A       A      4      0
   13 เด็กชายกฤตนัย             เพ็ญภาสวรรณ               ชาย          1120300140921        A        A     A       A      0      0
   14   เด็กชายปภาวิน           ประทุมสุวรรณ์             ชาย          1103703466500        A        A     A       A      0      0
   15 เด็กชายเบนจามิน พศวัต     ทองอ่อน                   ชาย          5104900001007        A       D      B       B      2      1
   16 เด็กหญิงภคมน              จึงธีรพานิช               หญิง         1102003488330        A        A     F       A      6      0
   17   เด็กหญิงณภัทร์          จิรธนวัฒนา                หญิง         1100801464509        B        B     B       C      0      0
   18 เด็กหญิงเกศินี             ตรีกัลปพฤกษ์             หญิง         1100801448147        F        F     F       F      3      0
   19 เด็กหญิงลักษิกา           น้อยเปรม                  หญิง         1102003454214        A        A     A       A      2      0
   20   เด็กหญิงดาริน           เจอร์บี้                  หญิง         1102003464201        A        A     A       A      0      0
   21 เด็กหญิงวิชญาพร           อมรพาณิชย์เจริญ           หญิง         1240600196140        F        F     F       F      3      0
   22 เด็กหญิงเมธาวี            วัฒนาศรีโรจน์             หญิง         1102003445479        B        B     B       B      0      0
   23   เด็กรุ่งทิพย์นภา        จันทคุป                   หญิง         1100801468836        B        A     A       A      2      0
   24 เด็กหญิงอริสา             เอกสกุลทรัพย์             หญิง         1104800008864        A        A     A       A      2      0
   25 เด็กหญิงซายุริ            โอจิมะ                    หญิง         5101700109791 ขาดเรียน
   26 เด็กหญิงชลธี              ศรชัยไพศาล                หญิง         1100401158524        A        A     A       A      2      0
27 เด็กหญิงกนกวรรณ   เลขาวิจิตร์   หญิง      1103703494392     A         A         A         A         11   0
                                                                                                       68   3

                                                               16        26        36        46

                                          A = ต้องsealant           20        20        16        17

                                          B = ฟันยังไม่ขึำน          3         2         4         3

                                          C = ขึำนไม่เต็มซี่         0         0         0         1

                                          D = ผุ                     0         1         0         0

                                          E = อุดแล้ว                0         0         0         0

                                          F = sealantแล้ว            3         3         6         5

                                          G = ร่องตืำน               0         0         0         0
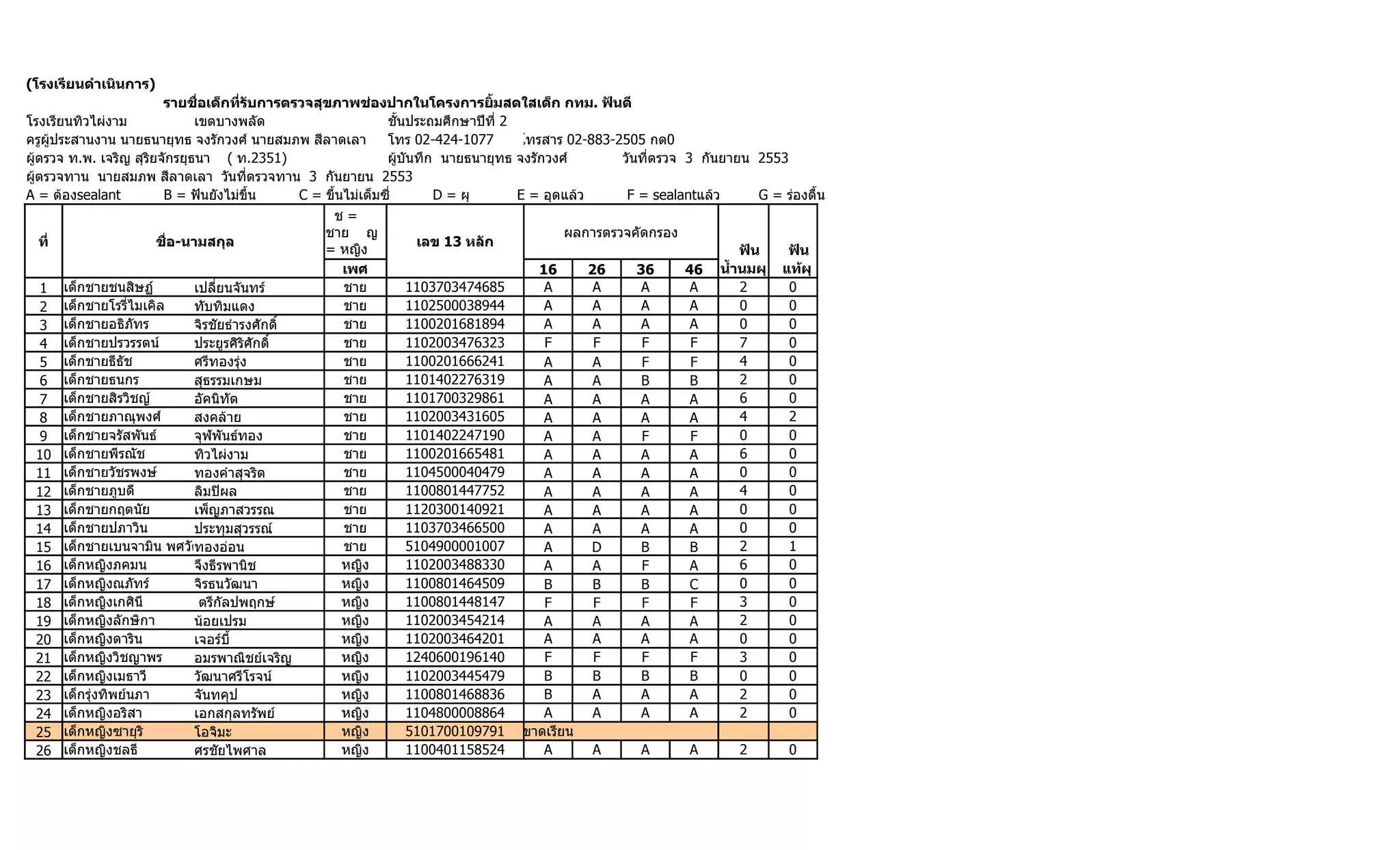
(โรงเรียนดำำเนินกำร)
                        รำยชื่อเด็กที่รับกำรตรวจสุขภำพช่องปำกในโครงกำรยิำมสดใสเด็ก กทม. ฟันดี
โรงเรียนทิวไผ่งาม            เขต บางพลัด                        ชั้นประถมศึกษาปีที่ G. 1
ครูผู้ประสานงาน นายธนายุทธ จงรักวงศ์ นายสมภพ สีลาดเลา โทร 02-424-1077                  โทรสาร 02-883-2505 กด0
ผู้ตรวจ ท.พ. เจริญ สุริยจักรยุธนา ( ท.2351)                     ผู้บันทึก นายธนายุทธ จงรักวงศ์        วันที่ตรวจ 3 กันยายน 2553
ผู้ตรวจทาน นายสมภพ สีลาดเลา วันที่ตรวจทาน 3 กันยายน 2553
A = ต้องsealant           B = ฟันยังไม่ขึ้น       C = ขึ้นไม่เต็มซี่       D = ผุ        E = อุดแล้ว     F = sealantแล้ว        G = ร่องตื้น
                                                     ช=
                                                    ชาย ญ                                     ผลการตรวจคัดกรอง
   ที่                 ชื่อ-นำมสกุล                                   เลข 13 หลัก
                                                    = หญิง                                                                 ฟัน      ฟัน
                                                      เพศ                                 16      26     36      46    นำำำนมผุ    แท้ผุ
    1 เด็กชายกชวงวัตร์           คงรัชตพิสิฐกุล        ชาย           1102500040663         A       A      A       A         4       0
    2   เด็กชายธินนินทร์           รักมั่งคั่งทวี      ชาย           1102003563030         B       B      B       B         0       0
    3 เด็กชายพลเทพ                    กานดา            ชาย           1102003603261         B       B      B       B         0       0
    4 เด็กชายจิรวัฒน์           ปิยะสุวรรณวานิช        ชาย           1102003582344         B       B      A       A         0       0
    5   เด็กชายอันดามัน        แจ่มประสิทธิ์สกุล       ชาย           1100401237106         B       B      A       A         0       0
    6                                                                                     ขาด
        เด็กชายพงศ์สถิร               มาแย้ม           ชาย           1659902200799
    7 เด็กชายธนินรัฐ             สิริภัทรวัฒนกุล       ชาย           1102500041511         B       B      B       B         2       0
    8 เด็กชายยศภัทร                 โชติเทวัญ          ชาย           1101700351050         B       B      B       B         6       0
    9 เด็กชายภูริต                    วรพาณี           ชาย           1101700337642         A       A      A       A         2       0
   10 เด็กชายณัฐเศรษฐ์           ชำานาญวินิจฉัย        ชาย           1101402287493         B       B      B       B         0       0
   11 เด็กชายทองไทยแท้          อาภรณ์รัตน ฮัน         ชาย           1103900152818         A       A      A       A         8       0
   12                                                                                     ขาด
        เด็กชายจักรกฤษฏิ์              จันทบ           ชาย           1100401199441
   13 เด็กชายธนบดี                     ภิรมย์          ชาย           1929900924649         B       B      A       A         6       0
   14 เด็กหญิงชนิดาภา                ดอกพุฒ           หญิง           1209601412561         A       A      A       A         2       0
   15   เด็กหญิงปริณดา            เรืองสมบูรณ์        หญิง           1509966350199         B       A      A       A         0       0
   16                                                                                     ขาด
        เด็กหญิงเพชริณี               ตรีบำารุง       หญิง           1102200203648
   17                                                                                     ขาด
        เด็กหญิงเวทิพย์ตา            ถิระสังวร        หญิง           1101402280821
   18 เด็กหญิงเปรียว                วนอุกฤษฎ์         หญิง           2839901061171         F       F      F       F         0       0
   19 เด็กหญิงนัมมทา                เตชะเกษม          หญิง           1102200213198         B       B      B       B         2       0
   20 เด็กหญิงเสาวนี                 ศรียาภัย         หญิง           1104800012322         B       B      A       B         6       0
   21 เด็กหญิงพิชญ์นันท์            สุขนาบูรณ์        หญิง           1659902214005         F       F      F       F         0       0
                                                                                                                           38
16        26        36       46

A = ต้องsealant            4         5        9        8

B = ฟันยังไม่ขึำน         11        10        6        7

C = ขึำนไม่เต็มซี่         0         0        0        0
D = ผุ                     0         0        0        0
E = อุดแล้ว                0         0        0        0
F = sealantแล้ว            2         2        2        2
G = ร่องตืำน               0         0        0        0
(โรงเรียนดำำเนินกำร)
                         รำยชื่อเด็กที่รับกำรตรวจสุขภำพช่องปำกในโครงกำรยิำมสดใสเด็ก กทม. ฟันดี
โรงเรียนทิวไผ่งาม                เขตบางพลัด                       ชั้นประถมศึกษาปีที่ G.2
ครูผู้ประสานงาน นายธนายุทธ จงรักวงศ์ นายสมภพ สีลาดเลา             โทร 02-424-1077        โทรสาร 02-883-2505 กด0
ผู้ตรวจ ท.พ. เจริญ สุริยจักรยุธนา ( ท.2351)                       ผู้บันทึก นายธนายุทธ จงรักวงศ์        วันที่ตรวจ 3 กันยายน 2553
ผู้ตรวจทาน นายสมภพ สีลาดเลา วันที่ตรวจทาน 3 กันยายน 2553
A = ต้องsealant          B = ฟันยังไม่ขึ้น     C = ขึ้นไม่เต็มซี่          D = ผุ       E = อุดแล้ว     F = sealantแล้ว       G = ร่องตื้น
                                                      ช=
                                                   ชาย ญ                                        ผลการตรวจคัดกรอง
   ที่                  ชื่อ-นำมสกุล                                    เลข 13 หลัก
                                                   = หญิง                                                                  ฟัน     ฟัน
                                                       เพศ                                  16      26     36      46 นำำำนมผุ แท้ผุ
    1 เด็กชายภัคพล               พ่วงแต้ม              ชาย             1101402255591         A       A      A       A      2       0
    2   เด็กชายวินเซนต์          แบคแมน                ชาย             7102000021413         A       A      A       A      0       0
    3 เด็กชายธนทร                ล้อมวงษ์พาณิชย์       ชาย             1120300133607         A       A      A       A      3       0
    4 เด็กชายสุธีวรรธน์          สุขนาบูรณ์            ชาย             1101402256458         F       A      F       F      0       0
    5                            แสงจันทร์                                                 ขาด
        เด็กชายจรรยวรรชณ์                              ชาย             1659902169247
    6 เด็กหญิงสิริวิมล           เพิ่มพูนธนาลาภ        หญิง            1103703506447         A       A      A       A      0       0
    7 เด็กหญิงสาธินี             อัศวนิเวศน์           หญิง            1103900112409         A       A      A       A      0       0
    8 เด็กหญิงพิชญ์ชุนันท์       ศรีสุริยะ             หญิง            1103900134682         A       A      A       F      0       0
    9 เด็กหญิงอิษรา              ฮ้อศิริมานนท์         หญิง            1102003516295         B       B      B       B      0       0
   10 เด็กหญิงญาณิกา             ศรีสุนทร              หญิง            1102800109031         A       A      A       A      0       0
   11 เด็กหญิงชฏาพร              ชูเมือง               หญิง            1101402257772         F       F      F       F      3       0
   12 เด็กหญิงวาเนสซ่าวนิดา เวสเซล                     หญิง            1103000167282         A       A      A       A      1       0
   13 เด็กหญิงรสลิน              ฮิวศ์                 หญิง            1100201691661         A       A      A       A      5       0
                                                                                                                          14




                                                                                         16       26        36       46
                                                              A = ต้องsealant                 9        10        9        8
                                                              B = ฟันยังไม่ขึำน               1         1        1        1
                                                              C = ขึำนไม่เต็มซี่              0         0        0        0
                                                              D = ผุ                          0         0        0        0
                                                              E = อุดแล้ว                     0         0        0        0
                                                              F = sealantแล้ว                 2         1        2        3
G = ร่องตืำน   0   0   0   0
แบบฟอร์มผลกำรตรวจคัดกรองในเด็กชัำน ป.1-ป.2
โรงเรียนบ้าน      ………………………..ตำาบล…………………………….อำาเภอ…………………..…จังหวัด…….……………..
                   ผู้สำารวจ ……………………………………….วันที่สำารวจ……………………….…………..
ลำาดับชั้น     จำานวนเด็กที่ได้รับการตรวจคัดกรอง ฟันแท้ที่มีสิทธิเคลือบหลุมร่องฟัน   ฟันแท้ที่ผุ     ฟันนำ้านมผุ
                  ไม่รวมเด็กที่ไม่มาและลาออก
                                                   #16 #26 #36 #46 รวม #16 #26 #36 #46 รวม
ป.1                             22                   11       9 10       9    39   0 0    0      0 0          26
ป.2                             26                   20 20 16 17              73   0 1    0      0 1          68
G1                              17                    4       5     9    8    26   0 0    0      0 0          38
G2                              12                    9 10          9    8    36   0 0    0      0 0          14
รวม                             77                   44 44 44 42 174               0 1    0      0 1         146

ร.ร.ทิวไผ่งาม

  • 1.
    (โรงเรียนดำำเนินกำร) รำยชื่อเด็กที่รับกำรตรวจสุขภำพช่องปำกในโครงกำรยิำมสดใสเด็ก กทม. ฟันดี โรงเรียนทิวไผ่งาม เขต บางพลัด ชั้นประถมศึกษาปีที่ 1 ครูผู้ประสานงาน นายธนายุทธ จงรักวงศ์ นายสมภพ สีลาดเลา โทร 02-424-1077 โทรสาร 02-883-2505 กด0 ผู้ตรวจ ท.พ. เจริญ สุริยจักรยุธนา ( ท.2351) ผู้บันทึก นายธนายุทธ จงรักวงศ์ วันที่ตรวจ 3 กันยายน 2553 ผู้ตรวจทาน นายสมภพ สีลาดเลา วันที่ตรวจทาน 3 กันยายน 2553 A = ต้องsealant B = ฟันยังไม่ขึ้น C = ขึ้นไม่เต็มซี่ D = ผุ E = อุดแล้ว F = sealantแล้ว G = ร่องตื้น ช= ชาย ญ ผลการตรวจคัดกรอง ที่ ชื่อ-นำมสกุล เลข 13 หลัก = หญิง ฟัน ฟัน เพศ 16 26 36 46 นำำำนมผุ แท้ผุ 1 เด็กชายธีรเทพ แก้วประดับ ชาย 1101402287621 A A A A 1 0 2 เด็กชายสิรวุฒิ บุรพัฒนานนท์ ชาย 1102003584274 A B B A 1 0 3 เด็กชายภควัต อินทรสุวรรณ ชาย 1102003589179 B B B B 2 0 4 เด็กชายพฤตินันท์ กิจแก้ว ชาย 1102200198920 F F F F 0 0 5 เด็กชายมงคลชัย โรจน์พจนารัช ชาย 1100201711807 B B A A 0 0 6 เด็กชายรัฐกร ไชยเลิศ ชาย 1869900507968 A A A A 0 0 7 เด็กชายเฮนรี่ โรเบิตร์ ไทเออร์ส ชาย 1102003525669 A A A A 0 0 8 เด็กชายธนกร บุตรสมาน ชาย 1120300144200 A C A A 1 0 9 เด็กชายภูริพันธ์ อริยกมลพัฒน์ ชาย 1102003574899 B B B B 2 0 10 เด็กชายภูรีภัทร ลิมปผล ชาย 1100801485271 B B C C 3 0 11 เด็กชายชัยญภิสิทธิ์ ตั้งเทียนทอง ชาย 1100801485981 B B B B 6 0 12 เด็กชายอรัญ ชลันบุรีธรรม ชาย 1102003570605 B B B B 0 0 13 เด็กหญิงภาวิณี อริยไพศาลกุล หญิง 1100801488238 A A A E 0 0 14 เด็กหญิงมัทธษมา บุญสิทธิ หญิง 1102003518522 A A A A 0 0 15 เด็กหญิงณัฐณิชา ไกรวีร์ หญิง 1102003595101 B B A A 0 0 16 เด็กหญิงเที่ยงธารา นรินทร์ หญิง 1100401222036 A A B B 0 0 17 เด็กหญิงเพียงออ เปรมศรี หญิง 1101402274936 B B A B 2 0 18 เด็กหญิงพาขวัญ อุตตราพัธ หญิง 1100703562034 B B B B 0 0 19 เด็กหญิงสุวัชรา อัศวกาญจนา หญิง 1102500040906 A A F F 2 0 20 เด็กหญิงอรวรา แทนบุญไพรัช หญิง 1102900058161 B F C C 3 0 21 เด็กหญิงอัลฟา สังชุม หญิง 1102003579041 A A A A 1 0 22 เด็กชายณัฐพงษ์ อัศวะวิชัยโรจน์ ชาย 1100401176662 A A B B 2 0 26
  • 2.
    16 26 36 46 A = ต้องsealant 11 9 10 9 B = ฟันยังไม่ขึำน 10 10 8 8 C = ขึำนไม่เต็มซี่ 0 1 2 2 D = ผุ 0 0 0 0 E = อุดแล้ว 0 0 0 1 F = sealantแล้ว 1 2 2 2 G = ร่องตืำน 0 0 0 0
  • 3.
    (โรงเรียนดำำเนินกำร) รำยชื่อเด็กที่รับกำรตรวจสุขภำพช่องปำกในโครงกำรยิำมสดใสเด็ก กทม. ฟันดี โรงเรียนทิวไผ่งาม เขตบางพลัด ชั้นประถมศึกษาปีที่ 2 ครูผู้ประสานงาน นายธนายุทธ จงรักวงศ์ นายสมภพ สีลาดเลา โทร 02-424-1077 โทรสาร 02-883-2505 กด0 ผู้ตรวจ ท.พ. เจริญ สุริยจักรยุธนา ( ท.2351) ผู้บันทึก นายธนายุทธ จงรักวงศ์ วันที่ตรวจ 3 กันยายน 2553 ผู้ตรวจทาน นายสมภพ สีลาดเลา วันที่ตรวจทาน 3 กันยายน 2553 A = ต้องsealant B = ฟันยังไม่ขึ้น C = ขึ้นไม่เต็มซี่ D = ผุ E = อุดแล้ว F = sealantแล้ว G = ร่องตื้น ช= ชาย ญ ผลการตรวจคัดกรอง ที่ ชื่อ-นำมสกุล เลข 13 หลัก = หญิง ฟัน ฟัน เพศ 16 26 36 46 นำำำนมผุ แท้ผุ 1 เด็กชายชนสิษฏ์ เปลี่ยนจันทร์ ชาย 1103703474685 A A A A 2 0 2 เด็กชายโรรี่ไมเคิล ทับทิมแดง ชาย 1102500038944 A A A A 0 0 3 เด็กชายอธิภัทร จิรชัยธำารงศักดิ์ ชาย 1100201681894 A A A A 0 0 4 เด็กชายปรวรรตน์ ประยูรศิริศักดิ์ ชาย 1102003476323 F F F F 7 0 5 เด็กชายธีธัช ศรีทองรุ่ง ชาย 1100201666241 A A F F 4 0 6 เด็กชายธนกร สุธรรมเกษม ชาย 1101402276319 A A B B 2 0 7 เด็กชายสิรวิชญ์ อัคนิทัต ชาย 1101700329861 A A A A 6 0 8 เด็กชายภาณุพงศ์ สงคล้าย ชาย 1102003431605 A A A A 4 2 9 เด็กชายจรัสพันธ์ จุฬพันธ์ทอง ชาย 1101402247190 A A F F 0 0 10 เด็กชายพีรณัช ทิวไผ่งาม ชาย 1100201665481 A A A A 6 0 11 เด็กชายวัชรพงษ์ ทองคำาสุจริต ชาย 1104500040479 A A A A 0 0 12 เด็กชายภูบดี ลิมปิผล ชาย 1100801447752 A A A A 4 0 13 เด็กชายกฤตนัย เพ็ญภาสวรรณ ชาย 1120300140921 A A A A 0 0 14 เด็กชายปภาวิน ประทุมสุวรรณ์ ชาย 1103703466500 A A A A 0 0 15 เด็กชายเบนจามิน พศวัต ทองอ่อน ชาย 5104900001007 A D B B 2 1 16 เด็กหญิงภคมน จึงธีรพานิช หญิง 1102003488330 A A F A 6 0 17 เด็กหญิงณภัทร์ จิรธนวัฒนา หญิง 1100801464509 B B B C 0 0 18 เด็กหญิงเกศินี ตรีกัลปพฤกษ์ หญิง 1100801448147 F F F F 3 0 19 เด็กหญิงลักษิกา น้อยเปรม หญิง 1102003454214 A A A A 2 0 20 เด็กหญิงดาริน เจอร์บี้ หญิง 1102003464201 A A A A 0 0 21 เด็กหญิงวิชญาพร อมรพาณิชย์เจริญ หญิง 1240600196140 F F F F 3 0 22 เด็กหญิงเมธาวี วัฒนาศรีโรจน์ หญิง 1102003445479 B B B B 0 0 23 เด็กรุ่งทิพย์นภา จันทคุป หญิง 1100801468836 B A A A 2 0 24 เด็กหญิงอริสา เอกสกุลทรัพย์ หญิง 1104800008864 A A A A 2 0 25 เด็กหญิงซายุริ โอจิมะ หญิง 5101700109791 ขาดเรียน 26 เด็กหญิงชลธี ศรชัยไพศาล หญิง 1100401158524 A A A A 2 0
  • 4.
    27 เด็กหญิงกนกวรรณ เลขาวิจิตร์ หญิง 1103703494392 A A A A 11 0 68 3 16 26 36 46 A = ต้องsealant 20 20 16 17 B = ฟันยังไม่ขึำน 3 2 4 3 C = ขึำนไม่เต็มซี่ 0 0 0 1 D = ผุ 0 1 0 0 E = อุดแล้ว 0 0 0 0 F = sealantแล้ว 3 3 6 5 G = ร่องตืำน 0 0 0 0
  • 5.
    (โรงเรียนดำำเนินกำร) รำยชื่อเด็กที่รับกำรตรวจสุขภำพช่องปำกในโครงกำรยิำมสดใสเด็ก กทม. ฟันดี โรงเรียนทิวไผ่งาม เขต บางพลัด ชั้นประถมศึกษาปีที่ G. 1 ครูผู้ประสานงาน นายธนายุทธ จงรักวงศ์ นายสมภพ สีลาดเลา โทร 02-424-1077 โทรสาร 02-883-2505 กด0 ผู้ตรวจ ท.พ. เจริญ สุริยจักรยุธนา ( ท.2351) ผู้บันทึก นายธนายุทธ จงรักวงศ์ วันที่ตรวจ 3 กันยายน 2553 ผู้ตรวจทาน นายสมภพ สีลาดเลา วันที่ตรวจทาน 3 กันยายน 2553 A = ต้องsealant B = ฟันยังไม่ขึ้น C = ขึ้นไม่เต็มซี่ D = ผุ E = อุดแล้ว F = sealantแล้ว G = ร่องตื้น ช= ชาย ญ ผลการตรวจคัดกรอง ที่ ชื่อ-นำมสกุล เลข 13 หลัก = หญิง ฟัน ฟัน เพศ 16 26 36 46 นำำำนมผุ แท้ผุ 1 เด็กชายกชวงวัตร์ คงรัชตพิสิฐกุล ชาย 1102500040663 A A A A 4 0 2 เด็กชายธินนินทร์ รักมั่งคั่งทวี ชาย 1102003563030 B B B B 0 0 3 เด็กชายพลเทพ กานดา ชาย 1102003603261 B B B B 0 0 4 เด็กชายจิรวัฒน์ ปิยะสุวรรณวานิช ชาย 1102003582344 B B A A 0 0 5 เด็กชายอันดามัน แจ่มประสิทธิ์สกุล ชาย 1100401237106 B B A A 0 0 6 ขาด เด็กชายพงศ์สถิร มาแย้ม ชาย 1659902200799 7 เด็กชายธนินรัฐ สิริภัทรวัฒนกุล ชาย 1102500041511 B B B B 2 0 8 เด็กชายยศภัทร โชติเทวัญ ชาย 1101700351050 B B B B 6 0 9 เด็กชายภูริต วรพาณี ชาย 1101700337642 A A A A 2 0 10 เด็กชายณัฐเศรษฐ์ ชำานาญวินิจฉัย ชาย 1101402287493 B B B B 0 0 11 เด็กชายทองไทยแท้ อาภรณ์รัตน ฮัน ชาย 1103900152818 A A A A 8 0 12 ขาด เด็กชายจักรกฤษฏิ์ จันทบ ชาย 1100401199441 13 เด็กชายธนบดี ภิรมย์ ชาย 1929900924649 B B A A 6 0 14 เด็กหญิงชนิดาภา ดอกพุฒ หญิง 1209601412561 A A A A 2 0 15 เด็กหญิงปริณดา เรืองสมบูรณ์ หญิง 1509966350199 B A A A 0 0 16 ขาด เด็กหญิงเพชริณี ตรีบำารุง หญิง 1102200203648 17 ขาด เด็กหญิงเวทิพย์ตา ถิระสังวร หญิง 1101402280821 18 เด็กหญิงเปรียว วนอุกฤษฎ์ หญิง 2839901061171 F F F F 0 0 19 เด็กหญิงนัมมทา เตชะเกษม หญิง 1102200213198 B B B B 2 0 20 เด็กหญิงเสาวนี ศรียาภัย หญิง 1104800012322 B B A B 6 0 21 เด็กหญิงพิชญ์นันท์ สุขนาบูรณ์ หญิง 1659902214005 F F F F 0 0 38
  • 6.
    16 26 36 46 A = ต้องsealant 4 5 9 8 B = ฟันยังไม่ขึำน 11 10 6 7 C = ขึำนไม่เต็มซี่ 0 0 0 0 D = ผุ 0 0 0 0 E = อุดแล้ว 0 0 0 0 F = sealantแล้ว 2 2 2 2 G = ร่องตืำน 0 0 0 0
  • 7.
    (โรงเรียนดำำเนินกำร) รำยชื่อเด็กที่รับกำรตรวจสุขภำพช่องปำกในโครงกำรยิำมสดใสเด็ก กทม. ฟันดี โรงเรียนทิวไผ่งาม เขตบางพลัด ชั้นประถมศึกษาปีที่ G.2 ครูผู้ประสานงาน นายธนายุทธ จงรักวงศ์ นายสมภพ สีลาดเลา โทร 02-424-1077 โทรสาร 02-883-2505 กด0 ผู้ตรวจ ท.พ. เจริญ สุริยจักรยุธนา ( ท.2351) ผู้บันทึก นายธนายุทธ จงรักวงศ์ วันที่ตรวจ 3 กันยายน 2553 ผู้ตรวจทาน นายสมภพ สีลาดเลา วันที่ตรวจทาน 3 กันยายน 2553 A = ต้องsealant B = ฟันยังไม่ขึ้น C = ขึ้นไม่เต็มซี่ D = ผุ E = อุดแล้ว F = sealantแล้ว G = ร่องตื้น ช= ชาย ญ ผลการตรวจคัดกรอง ที่ ชื่อ-นำมสกุล เลข 13 หลัก = หญิง ฟัน ฟัน เพศ 16 26 36 46 นำำำนมผุ แท้ผุ 1 เด็กชายภัคพล พ่วงแต้ม ชาย 1101402255591 A A A A 2 0 2 เด็กชายวินเซนต์ แบคแมน ชาย 7102000021413 A A A A 0 0 3 เด็กชายธนทร ล้อมวงษ์พาณิชย์ ชาย 1120300133607 A A A A 3 0 4 เด็กชายสุธีวรรธน์ สุขนาบูรณ์ ชาย 1101402256458 F A F F 0 0 5 แสงจันทร์ ขาด เด็กชายจรรยวรรชณ์ ชาย 1659902169247 6 เด็กหญิงสิริวิมล เพิ่มพูนธนาลาภ หญิง 1103703506447 A A A A 0 0 7 เด็กหญิงสาธินี อัศวนิเวศน์ หญิง 1103900112409 A A A A 0 0 8 เด็กหญิงพิชญ์ชุนันท์ ศรีสุริยะ หญิง 1103900134682 A A A F 0 0 9 เด็กหญิงอิษรา ฮ้อศิริมานนท์ หญิง 1102003516295 B B B B 0 0 10 เด็กหญิงญาณิกา ศรีสุนทร หญิง 1102800109031 A A A A 0 0 11 เด็กหญิงชฏาพร ชูเมือง หญิง 1101402257772 F F F F 3 0 12 เด็กหญิงวาเนสซ่าวนิดา เวสเซล หญิง 1103000167282 A A A A 1 0 13 เด็กหญิงรสลิน ฮิวศ์ หญิง 1100201691661 A A A A 5 0 14 16 26 36 46 A = ต้องsealant 9 10 9 8 B = ฟันยังไม่ขึำน 1 1 1 1 C = ขึำนไม่เต็มซี่ 0 0 0 0 D = ผุ 0 0 0 0 E = อุดแล้ว 0 0 0 0 F = sealantแล้ว 2 1 2 3
  • 8.
  • 9.
    แบบฟอร์มผลกำรตรวจคัดกรองในเด็กชัำน ป.1-ป.2 โรงเรียนบ้าน ………………………..ตำาบล…………………………….อำาเภอ…………………..…จังหวัด…….…………….. ผู้สำารวจ ……………………………………….วันที่สำารวจ……………………….………….. ลำาดับชั้น จำานวนเด็กที่ได้รับการตรวจคัดกรอง ฟันแท้ที่มีสิทธิเคลือบหลุมร่องฟัน ฟันแท้ที่ผุ ฟันนำ้านมผุ ไม่รวมเด็กที่ไม่มาและลาออก #16 #26 #36 #46 รวม #16 #26 #36 #46 รวม ป.1 22 11 9 10 9 39 0 0 0 0 0 26 ป.2 26 20 20 16 17 73 0 1 0 0 1 68 G1 17 4 5 9 8 26 0 0 0 0 0 38 G2 12 9 10 9 8 36 0 0 0 0 0 14 รวม 77 44 44 44 42 174 0 1 0 0 1 146