Лекция 14
Глава 5. Турбулентность и
горение
5.1. Уравнения Рейнольдса

1
j (t ) =
T
T

t +T / 2

ò

j ( t )d t

°
ϕ (t ) = ϕ + ϕ

%
ϕ =0

t- T / 2

°
°
°
°
° °
v i v k = (v i + v i )(v k + v k ) = v i ×v k + v i ×v k + v i ×v k + v i ×v k
°
°
° °
v i v k = (v i + v i )(v k + v k ) = v i ×v k + v i ×v k
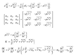
∂v i
∂v i
i =
∂x
∂x i
∂v i
∂v i v j
∂
ρ
+ρ
= i
∂t
∂x j
∂x

 π 11 π 12

 π 21 π 22
 π 31 π 32



 ∂v i ∂v j
i j 
 pδij + µ  j + i − ρ v v ÷÷
∂x

 ∂x


( )


°1 2
 −ρ v
π 13  

° °
π 23  =  − ρ v 2 v 1

π 33  

° °
− ρv 3v1



 ∂v i ∂v j 
ρ v v = µt  j + i ÷
∂x 
 ∂x

° °
− ρ v 1v 2

( )

°
−ρ v2

2

° °
− ρv 3v 2

° ° 
− ρ v 1v 3 

° °
− ρv 2v 3 

°3 2 
−ρ v



( )

i j

(

1 ° 1 ° 1 °2 °2 ° 3 ° 3
K = v v +v v +v v
2

)

°i °i
°i
k
%
∂K
∂  k p
°k π + v k v v  = −π ∂v − τ ∂v
°
k ∂K
i
+v
÷
ik
ik
k +
k  v ρ − v π ik + v ik

∂t
2 ÷
∂x
∂x
∂x k
∂x k


τ ik

°
°
µ  ∂v i ∂v k 
=  k + i ÷
ρ  ∂x
∂x 

°
°
°
°
°
°
 ∂v i ∂v k  ∂v k ν  ∂v i ∂v k
∂v i
τ ik k = ν  k + i ÷ i =  k + i
2  ∂x
∂x  ∂x
∂x
∂x
 ∂x
°k ∂v i 2
°
ν  ∂v
=  i + k ÷ >0
2  ∂x
∂x 

°
°
°
°
 ∂v i ν  ∂v k ∂v i  ∂v k
÷ k +  i + k ÷ i =
2  ∂x
∂x  ∂x
 ∂x
5.2. Модель Прандтля

τ ik

∂v 1
° °
= − ρ v 1v 2 = µt 2
∂x

∂v 1
µt = l 2
∂x 2

∂v 1 ∂v 1
τ = l2
∂x 2 ∂x 2
∂v 1
l =κ 2
∂x

∂2v 1

∂( x

)

2 2

Формула Кармана
5.3. Кε – модель турбулентности
Коэффициент турбулентного переноса

nt = C mK 2 / e
Уравнение энергии турбулентных пульсаций

∂v j
∂ρ K
r
∂  ν t ∂K 
+ div( ρvK ) =
− ρε
ρ
÷ + τ t ,ij
∂t
∂x i  σ k ∂x i 
∂x i
Уравнение диссипации турбулентных пульсаций

∂ρε
r
∂
+ div( ρv ε ) =
∂t
∂x i

 ρ ν t ∂ε  + ε  C τ ∂v j − C ρε 
÷
 σ ∂x ÷ K  1ε t ,ij ∂x
1ε



ε
i 
i

Константы K-ε модели турбулентного переноса
C m = 0.09; C e1 = 1.43;
C e2 = 1.92; s k = 1; s e = 1.3
Основные уравнения
Уравнение неразрывности

¶r
¶ r vi
+
=0
¶t
¶ xi

r

Уравнение диффузии

dC i
¶
r
=
dt
¶x j

æ nt ¶ C i
çr
ç s ¶x
ç d
è
j

ö
÷ Ri
+
÷
÷
ø

Уравнение теплопереноса

ρ

dT
1 ∂  ν t ∂T
=
ρ
dt
c p ∂x i  σ t ∂x i

Уравнение импульсов

 − E +Q −Q
÷
rad
r


d ui
¶
¶p
=
τt ,ij + r gi
dt
¶x j
¶ xi

Уравнение движения продуктов диссоциации

dC r ,i
r
= R r ,i
dt
Уравнение состояния

p = ρ RT ∑

Уравнение энергии турбулентных пульсаций

i

Сi
µi
Коэффициент турбулентного
переноса

∂v j
dK
∂  ν t ∂K 
=
ρ
+ τ t ,ij
− ρε

÷
dt
∂x i  σ k ∂x i 
∂x i

nt = C mK 2 / e

Уравнение диссипации турбулентных пульсаций

ρ

Константы K-e модели
турбулентного переноса

∂v j
dε
∂  ν t ∂ε  ε 
ρ
=
ρ
+  C 1ετ t ,ij
− C 1ε ρε 
÷
dt
∂x i  σ ε ∂x i ÷ K 
∂x i




C m = 0.09; C e1 = 1.43;
C e2 = 1.92; s k = 1; s e = 1.3
Диффузионная схема горения
Интенсивности реакций

C n H m + n2O2 ® n6CO2 + n4H 2O
æ C 2m C 4 m C 6m ö
e
1
1
1÷
R 1 = - A r min çC 1,
,
,
÷
ç nm nm nmø
÷
è
K
2 2
4 4
6 6

A =4

- эмпирическая константа

Баланс масс

R 2 = R 1n2m m
2 1

R 4 = - R 1n4m m
4 1
R 6 = - R 1n6m m
6 1

Баланс тепла

Q = q1R 1

- брутто-реакция

Magnussen B.F., Hjertager B.H. On
the mathematical modelling of
turbulent combustion with special
emphasis on soot formation and
combustion.// Sixteenth Symp. (Int.)
on Combustion, The Combustion
Institute, Pittsburgh, PA, 1976,
pp.711 – 729.
Схема горения с учетом кинетики химических реакций
Интенсивности реакций

R1 =
+
R2

m rC1 m rC 2
E
ср
ср
exp - a 1
m
m
RT
1
2

(

rm5 rm2
k
k
E
=
A2 exp - a 2
m m
RT
5
2

(

)

)

R2 = r 2

m3
k
E
A 3 exp - a 3
m
RT
3

(

R r+1 = r

m4 +
k
E
Ar 1 exp - ar 1
m
RT
4

R r- 1 =

r m r 1 - n1
k
A T
m1 r1
r

R r+2 = r

m2 +
k
A
m r2
2

R r- 2 =

)

r m r 2 - n2
k
A T
m2 r2
r

( )
E
exp ( RT )
ar 2

Баланс масс

Баланс тепла

r
R = (R 1, R 2, R 3, R 4 , R 5, 0)

Q = q1R 1 + q5R 5

+
R 2 = - R 1n2m - R 2 m
2
2

Qr = qr 1(R r+1 − R r−1) + qr 2(R r+2 − R r−2 )

+
R 3 = 2R 2 m - 2R 2 m
3
3

R 4 = R 1n4m
4
+
R 5 = R 1n5m - 2R 2 m + 2R 2 m
5
5
5

Смирнов
Н.Н.,
Никитин
В.Ф.
Исследования перехода горения в
детонацию в газах.//
Успехи механики. 2005, т.3, N1, с.3-30.

физика горения14

  • 1.
    Лекция 14 Глава 5.Турбулентность и горение 5.1. Уравнения Рейнольдса 1 j (t ) = T T t +T / 2 ò j ( t )d t ° ϕ (t ) = ϕ + ϕ % ϕ =0 t- T / 2 ° ° ° ° ° ° v i v k = (v i + v i )(v k + v k ) = v i ×v k + v i ×v k + v i ×v k + v i ×v k ° ° ° ° v i v k = (v i + v i )(v k + v k ) = v i ×v k + v i ×v k ∂v i ∂v i i = ∂x ∂x i
  • 2.
    ∂v i ∂v iv j ∂ ρ +ρ = i ∂t ∂x j ∂x  π 11 π 12   π 21 π 22  π 31 π 32    ∂v i ∂v j i j   pδij + µ  j + i − ρ v v ÷÷ ∂x   ∂x  ( )  °1 2  −ρ v π 13    ° ° π 23  =  − ρ v 2 v 1  π 33    ° ° − ρv 3v1    ∂v i ∂v j  ρ v v = µt  j + i ÷ ∂x   ∂x ° ° − ρ v 1v 2 ( ) ° −ρ v2 2 ° ° − ρv 3v 2 ° °  − ρ v 1v 3   ° ° − ρv 2v 3   °3 2  −ρ v   ( ) i j ( 1 ° 1 ° 1 °2 °2 ° 3 ° 3 K = v v +v v +v v 2 ) °i °i °i k % ∂K ∂  k p °k π + v k v v  = −π ∂v − τ ∂v ° k ∂K i +v ÷ ik ik k + k  v ρ − v π ik + v ik  ∂t 2 ÷ ∂x ∂x ∂x k ∂x k  
  • 3.
    τ ik ° ° µ ∂v i ∂v k  =  k + i ÷ ρ  ∂x ∂x  ° ° ° ° ° °  ∂v i ∂v k  ∂v k ν  ∂v i ∂v k ∂v i τ ik k = ν  k + i ÷ i =  k + i 2  ∂x ∂x  ∂x ∂x ∂x  ∂x °k ∂v i 2 ° ν  ∂v =  i + k ÷ >0 2  ∂x ∂x  ° ° ° °  ∂v i ν  ∂v k ∂v i  ∂v k ÷ k +  i + k ÷ i = 2  ∂x ∂x  ∂x  ∂x
  • 4.
    5.2. Модель Прандтля τik ∂v 1 ° ° = − ρ v 1v 2 = µt 2 ∂x ∂v 1 µt = l 2 ∂x 2 ∂v 1 ∂v 1 τ = l2 ∂x 2 ∂x 2 ∂v 1 l =κ 2 ∂x ∂2v 1 ∂( x ) 2 2 Формула Кармана
  • 5.
    5.3. Кε –модель турбулентности Коэффициент турбулентного переноса nt = C mK 2 / e Уравнение энергии турбулентных пульсаций ∂v j ∂ρ K r ∂  ν t ∂K  + div( ρvK ) = − ρε ρ ÷ + τ t ,ij ∂t ∂x i  σ k ∂x i  ∂x i Уравнение диссипации турбулентных пульсаций ∂ρε r ∂ + div( ρv ε ) = ∂t ∂x i  ρ ν t ∂ε  + ε  C τ ∂v j − C ρε  ÷  σ ∂x ÷ K  1ε t ,ij ∂x 1ε    ε i  i Константы K-ε модели турбулентного переноса C m = 0.09; C e1 = 1.43; C e2 = 1.92; s k = 1; s e = 1.3
  • 6.
    Основные уравнения Уравнение неразрывности ¶r ¶r vi + =0 ¶t ¶ xi r Уравнение диффузии dC i ¶ r = dt ¶x j æ nt ¶ C i çr ç s ¶x ç d è j ö ÷ Ri + ÷ ÷ ø Уравнение теплопереноса ρ dT 1 ∂  ν t ∂T = ρ dt c p ∂x i  σ t ∂x i Уравнение импульсов  − E +Q −Q ÷ rad r  d ui ¶ ¶p = τt ,ij + r gi dt ¶x j ¶ xi Уравнение движения продуктов диссоциации dC r ,i r = R r ,i dt Уравнение состояния p = ρ RT ∑ Уравнение энергии турбулентных пульсаций i Сi µi Коэффициент турбулентного переноса ∂v j dK ∂  ν t ∂K  = ρ + τ t ,ij − ρε  ÷ dt ∂x i  σ k ∂x i  ∂x i nt = C mK 2 / e Уравнение диссипации турбулентных пульсаций ρ Константы K-e модели турбулентного переноса ∂v j dε ∂  ν t ∂ε  ε  ρ = ρ +  C 1ετ t ,ij − C 1ε ρε  ÷ dt ∂x i  σ ε ∂x i ÷ K  ∂x i    C m = 0.09; C e1 = 1.43; C e2 = 1.92; s k = 1; s e = 1.3
  • 7.
    Диффузионная схема горения Интенсивностиреакций C n H m + n2O2 ® n6CO2 + n4H 2O æ C 2m C 4 m C 6m ö e 1 1 1÷ R 1 = - A r min çC 1, , , ÷ ç nm nm nmø ÷ è K 2 2 4 4 6 6 A =4 - эмпирическая константа Баланс масс R 2 = R 1n2m m 2 1 R 4 = - R 1n4m m 4 1 R 6 = - R 1n6m m 6 1 Баланс тепла Q = q1R 1 - брутто-реакция Magnussen B.F., Hjertager B.H. On the mathematical modelling of turbulent combustion with special emphasis on soot formation and combustion.// Sixteenth Symp. (Int.) on Combustion, The Combustion Institute, Pittsburgh, PA, 1976, pp.711 – 729.
  • 8.
    Схема горения сучетом кинетики химических реакций Интенсивности реакций R1 = + R2 m rC1 m rC 2 E ср ср exp - a 1 m m RT 1 2 ( rm5 rm2 k k E = A2 exp - a 2 m m RT 5 2 ( ) ) R2 = r 2 m3 k E A 3 exp - a 3 m RT 3 ( R r+1 = r m4 + k E Ar 1 exp - ar 1 m RT 4 R r- 1 = r m r 1 - n1 k A T m1 r1 r R r+2 = r m2 + k A m r2 2 R r- 2 = ) r m r 2 - n2 k A T m2 r2 r ( ) E exp ( RT ) ar 2 Баланс масс Баланс тепла r R = (R 1, R 2, R 3, R 4 , R 5, 0) Q = q1R 1 + q5R 5 + R 2 = - R 1n2m - R 2 m 2 2 Qr = qr 1(R r+1 − R r−1) + qr 2(R r+2 − R r−2 ) + R 3 = 2R 2 m - 2R 2 m 3 3 R 4 = R 1n4m 4 + R 5 = R 1n5m - 2R 2 m + 2R 2 m 5 5 5 Смирнов Н.Н., Никитин В.Ф. Исследования перехода горения в детонацию в газах.// Успехи механики. 2005, т.3, N1, с.3-30.