Comb ina#rorls


        RrcoP,
                 I f. Uartl' f! fiake-. a mit *pe- v;tA {sry
             enJ trl ousi<-l;6rooyMs l{ so4gs, h.uJ Oarty
              d;tQer,n, mixlales q4 I /ek"-?




    I
        lt) Ir"* ; P       T put { s"r?' o^ c slutf l-J P/"yl'sP!
            lJo'.t i+    /ousrtY /Da**er    &lhat' order      t1.- So49,s
                                                                        .*',h'

                   fikAl JlfC"rvlt-
            So ho3./                       ployl'sts   qn      f   ek-?



              ffil
        A camLiAqfion r! G *.,lcx+bn ot                     ohjoots       goorn
                                                                               c
                                                       '.
        gfioup o0 A obit*s s'1are-ocd+r               tS   tlol inpocfartl,

                                  n!
                     f      = b-,)!'r!
                A-r
I
                         ql
                     = (q-5)l
                            61
        A          e
                ^,C
oA yt q                       S*udeaYs ane/ vo14 *o bo                            on    rk, pnn             Coctf*

                Sc.- & $oup oC I st*t/ettft, hout lrlertT d;rco"ro
(
    _-_
                 Pr--' cturts am.foSSi6to?




                                              {a'cd             h"ac/7 qnt b,e- droqrt
                     Hou,t tDcny diFero-trl'
                      Ccnr 6 Jotx oCtJ                  '-tdg?



           .     Hout      fiarlc/ cn./s      af   e-..l.,^
                                                          -st-!!
                                                                   otY"
                                                                                        " l"A?

               . llod naA/ au.Js oF eneA @                         a.r<-tA " der,k?



               '/n        ivrutmay      t ar/      knds o(- o.ll car/s yla scne'
                     su;+7
                                                         LI.L               t3 !                4t           t?!
                                                                   O
                                                                       (rcA! {! '
                                                                       --r.-:--                 =-;--   o
                                                                                                 sj         g! f!
                      .        .        /          =Q-t)!'L!                                                 -=-

                 t4                  1 3" {
                      -z                                                          f---------l
(f o
';-      L1
           /oss;[|"- Sui]s
                                     13 c*'ds i4
                                     a 3ivea sai*
                                                                                      (
                                                                                  u,Jt7
                                                                                                                     a
t
             h         ku nonT { c-,o.d honlt G(Y' qll ca./s r4'- Seme
                       c.ol-rl

    (-




             Flulriob 6r-*tJA+ B o"
                                                                                               B
                 'tF        pu darrl *' knou llu- Aurnbcr oC t^,rcys g/-
                                                                   A,

                          c-1^ acl''ur.               You
                                                               A22-d   t MpJv
                 . t C you daa* ]o kn',^t *L. a.,rmlar                           o0 uv/t A t           B

                          oout(, Y"u netd fo
                     C-.o'A

                                                ( sa't1iorJ, {iuniors, L( f.pAoncN-s,
                          S*u/oltt- Senclp. hat
                           cAd 3 Pr.llnmezt. Plout otatty <.onniftea's oF ? Joniors
                                   I iuniors (AA 6- cJ'-seti
                           @

                                                               ,h --f+ #,--)                       "ry
                                                                                          r .<-
                                                                                          y_-:,
                     a t            r         --.t-                                       a .(      ?-t
                 f   v'-t      c-   --          tst:)!f   J
                 Sa<Ja(                   ^




                                                                                Ll sfu/ert/s      ca1
                                    czr$n;4+?za oE @!
                     'Ho u ) ficn./ 
                          L'    Ohoje'rl!
                                                                                 'oq7
         (
                      t s Cr                  ',C'r'"C'*''C 'l

                                                                                                            J
U)"t     c(E- dreurirg       4 {-'-.d       hond       l,>^   6 l..K
    {                                                                         "Q
         tl      <-.r/s.     flor1 rttaay hortJs heuz'          7- or.-  qr1cy'

              4 a-/,       glrag 4> l,/o*       a"-^s?   (*,     lo, A,7,
(_-
                                                                            7 Q)




              ZUXW1A /o.] @"-D
              (ko      l3i noni al -f 1,".o-.-r1
                                                ,u/nr.D;"X^
          Expanr! Nolloutitt binon ials
                *Ae'

         7x ny)g                         (ar +l7)r




        lina                     Npaaliort sf QLF + 6yuf
             +t- 4e fr-m ;n +1n,


I
.,X




                                                                                   ,l
Pasc^elsTria,ylo                                                  (a+b)n
!=o                                          I                                                        (a +6;u= 1
                                                                                                      b + b ' t ' =6 ,+ - b
                                        /
,a
t     n. I                            rl
- -1                                                   l                                             (a+b))=a1         +)ab+La
                        l"{
                      I                              3,                                              16rbi = Ge 3ELr3a'9 E
                                                                                                                 |          +
                     I /
                            /
                /
                                            /                              /',                                      t
                                                                                                             =q +Ta'L e a'e+%F
                                                                                                                              rl
           t1              .,          6.''                        q.                            ' t (a
         t /                                                                                            'bf
                           ,/                            /
                                                                         

                                                                             {
                                                                                       '/
                                                                                                    f (a+L)r=a'
       1f                  to                        lo'


                     Pqs-f's Tria4gL c^n Le- ulci+*"aas comL|nch's1s


e                                     u Cu
                                  /

                            ,C o                     , C,
                     r/'r'           av         I
                                                                   ,.
                     2-o
                ,/               r/                                     
                       
                                                                                             I

          d-"              nC,               .,j                                   '        ^'-l/-




          {u./ka+,i 1*o 7A enfry                                                                         irt tt.   tott,   fo<-/ I

             Pascc.l'sTria19lo7
r '



                                                                                                                                      f,
Tho 13non ;a1 Thenre,rrt
                       i

(-


              ( o * bf , nC'.e".bo                    *
                                                          nC;4" 6'
                                                                     * nCroa-r6a
                                                                              +...

                                        + n C n ' d.tn



               Lr/ha{ is 14'- coe,t?roi"ot+ o0 rlp                    cl tt      b.,l
             fn A4t- eXpattsiort o6' (q+b)'u ?

                         .r7   /Z   _    , - lo - 3   / 3
                         LD             L           o
I




                          ,o C=
                                        -_r2"l
                                 i
            U) r i +e. +lv- uYpan| ort            oC (:x *
                                                               ^ff
     brb)r          o , =3 x        L=)y                                      c.--P€,2,ie4g


                                        *6$ q=1,
                                               r                                              no Ll

           Ac{b,Q}rt'
                      o rc,J b)' +loG'jbrf + to Gr)'hyf, SG,)' y)+|(s,l"(Y
            11:")t ay)"
                                                             b
                                                                              t 3a
           ?q7 x" y fG r x q) b)    + lo(a z x 7 )(4 Y "+ / o Gf)@;) r'{GxlQe;t1 Yr
                                                        )
    (_
         -^qr*t                                             +2Lloxy't +32y{
                  * 6toxuYL loroxly" rhox'yt

                                                                                               6
G)ri+c- +tv- e,Kpansiort (./r-l)r
                              oP
    1 -- @rb)t-- J( 4x r ( at  G-            $=




I




                                                  7
1 . A committeeis to consistof two members. therearefour men andfive *o-.n
                                             If                                /,                 ': 3 /.
                                                                             ^
               to serveon the committee,how manydifferentcommittees be formed?Y -
                                                                  can                                  (
     ryailable
     Cf1atr
     * .f
            ro           F) 72                tcl 40               tDls4
     -.,/                                                                                              .7 n
                                                                                                    -
       Howmany
             different
                     3-card
                          hands bedrawn
                              can     froma standard of52 playing
                                                  deck          c
                                                                  ^atZ /<a7
                                                                                             -'/u,
3 . A lunch menuconsistsof 5 different kinds of sandwiches, different kinds of soup,and 5
                                                          2                                                 |
    different drinks. How manychoicesaretherefor orderinga sandwich,a bowl ofsoup,
                                                                                         S D
    anda drink?

                                          $(r)rr;
4. Twelve peopleareenteredin a race.If theni areno ties, in how manywayscanthe first ,
                                                                                       ^f
                                                                                     tx"1
   threeplaces
             comeoutT---'- _
         1288
       rAr              q9                     tctz64o             lDl 36

 5 . Find the numberof distinguishable
                                     permutatPi4the leftersIOWA.                   4l r3 =r
       lAt 12             [B] 16              Vy                   [D] 36
 6. Find the numberof distinguishable
                                    permutations the lettersHONEST.
                                               of
                                                                                    Y
                                                                                   al
                                                                                          =-J "t-o
 7. You own 8 travel books andaretaking 2 of themon vacation.ln how manywayscanyou
    choose travelbooks
          2             fromthe8?                                       ,(t     '1q
                                                                            t"d-          - r0
 8 . How manydifferentwayscanyou arrange scoops a cone?
                                       four   on                                        4'l,a't
                                                                         A4
                                                                                         = a1
 9 . A collegehasnine instructorsqualifiedto teacha specialcomputerlab coursewhich




1 0 . Find the numberof distinguishable
                                      permutations the lettersLUCKY.
                                                 of                         €l      -- t tO

11     A four-person
                   committee chosen random
                             is     at    from a groupof l5 p"opt.. uo*                 /lf]
       differentcommittees possible?
                         are                                             -*y
                                                                     t 4b (             lT /

12. From a group of six boys andfour girls, a boy anda girl will be selected atlenda
                                                                           to
    conference. how manypossible
               ln                    wayscanthe selection made? f 6 /+]
                                                                             - ' / d
                                                             be                      _ 4
                                                                     Ir,)(,/
                                                                   tj cs',--,

Intermediate Algebra: 10.2

  • 1.
    Comb ina#rorls RrcoP, I f. Uartl' f! fiake-. a mit *pe- v;tA {sry enJ trl ousi<-l;6rooyMs l{ so4gs, h.uJ Oarty d;tQer,n, mixlales q4 I /ek"-? I lt) Ir"* ; P T put { s"r?' o^ c slutf l-J P/"yl'sP! lJo'.t i+ /ousrtY /Da**er &lhat' order t1.- So49,s .*',h' fikAl JlfC"rvlt- So ho3./ ployl'sts qn f ek-? ffil A camLiAqfion r! G *.,lcx+bn ot ohjoots goorn c '. gfioup o0 A obit*s s'1are-ocd+r tS tlol inpocfartl, n! f = b-,)!'r! A-r I ql = (q-5)l 61 A e ^,C
  • 2.
    oA yt q S*udeaYs ane/ vo14 *o bo on rk, pnn Coctf* Sc.- & $oup oC I st*t/ettft, hout lrlertT d;rco"ro ( _-_ Pr--' cturts am.foSSi6to? {a'cd h"ac/7 qnt b,e- droqrt Hou,t tDcny diFero-trl' Ccnr 6 Jotx oCtJ '-tdg? . Hout fiarlc/ cn./s af e-..l.,^ -st-!! otY" " l"A? . llod naA/ au.Js oF eneA @ a.r<-tA " der,k? '/n ivrutmay t ar/ knds o(- o.ll car/s yla scne' su;+7 LI.L t3 ! 4t t?! O (rcA! {! ' --r.-:-- =-;-- o sj g! f! . . / =Q-t)!'L! -=- t4 1 3" { -z f---------l (f o ';- L1 /oss;[|"- Sui]s 13 c*'ds i4 a 3ivea sai* ( u,Jt7 a
  • 3.
    t h ku nonT { c-,o.d honlt G(Y' qll ca./s r4'- Seme c.ol-rl (- Flulriob 6r-*tJA+ B o" B 'tF pu darrl *' knou llu- Aurnbcr oC t^,rcys g/- A, c-1^ acl''ur. You A22-d t MpJv . t C you daa* ]o kn',^t *L. a.,rmlar o0 uv/t A t B oout(, Y"u netd fo C-.o'A ( sa't1iorJ, {iuniors, L( f.pAoncN-s, S*u/oltt- Senclp. hat cAd 3 Pr.llnmezt. Plout otatty <.onniftea's oF ? Joniors I iuniors (AA 6- cJ'-seti @ ,h --f+ #,--) "ry r .<- y_-:, a t r --.t- a .( ?-t f v'-t c- -- tst:)!f J Sa<Ja( ^ Ll sfu/ert/s ca1 czr$n;4+?za oE @! 'Ho u ) ficn./ L' Ohoje'rl! 'oq7 ( t s Cr ',C'r'"C'*''C 'l J
  • 4.
    U)"t c(E- dreurirg 4 {-'-.d hond l,>^ 6 l..K { "Q tl <-.r/s. flor1 rttaay hortJs heuz' 7- or.- qr1cy' 4 a-/, glrag 4> l,/o* a"-^s? (*, lo, A,7, (_- 7 Q) ZUXW1A /o.] @"-D (ko l3i noni al -f 1,".o-.-r1 ,u/nr.D;"X^ Expanr! Nolloutitt binon ials *Ae' 7x ny)g (ar +l7)r lina Npaaliort sf QLF + 6yuf +t- 4e fr-m ;n +1n, I .,X ,l
  • 5.
    Pasc^elsTria,ylo (a+b)n !=o I (a +6;u= 1 b + b ' t ' =6 ,+ - b / ,a t n. I rl - -1 l (a+b))=a1 +)ab+La l"{ I 3, 16rbi = Ge 3ELr3a'9 E | + I / / / / /', t =q +Ta'L e a'e+%F rl t1 ., 6.'' q. ' t (a t / 'bf ,/ / { '/ f (a+L)r=a' 1f to lo' Pqs-f's Tria4gL c^n Le- ulci+*"aas comL|nch's1s e u Cu / ,C o , C, r/'r' av I ,. 2-o ,/ r/ I d-" nC, .,j ' ^'-l/- {u./ka+,i 1*o 7A enfry irt tt. tott, fo<-/ I Pascc.l'sTria19lo7 r ' f,
  • 6.
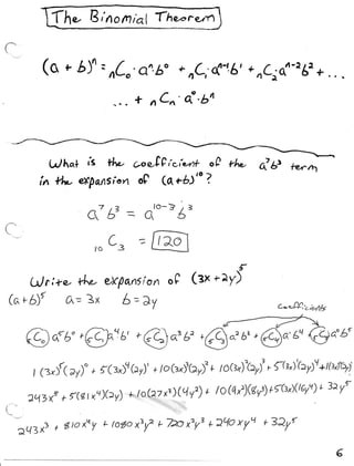
    Tho 13non ;a1Thenre,rrt i (- ( o * bf , nC'.e".bo * nC;4" 6' * nCroa-r6a +... + n C n ' d.tn Lr/ha{ is 14'- coe,t?roi"ot+ o0 rlp cl tt b.,l fn A4t- eXpattsiort o6' (q+b)'u ? .r7 /Z _ , - lo - 3 / 3 LD L o I ,o C= -_r2"l i U) r i +e. +lv- uYpan| ort oC (:x * ^ff brb)r o , =3 x L=)y c.--P€,2,ie4g *6$ q=1, r no Ll Ac{b,Q}rt' o rc,J b)' +loG'jbrf + to Gr)'hyf, SG,)' y)+|(s,l"(Y 11:")t ay)" b t 3a ?q7 x" y fG r x q) b) + lo(a z x 7 )(4 Y "+ / o Gf)@;) r'{GxlQe;t1 Yr ) (_ -^qr*t +2Lloxy't +32y{ * 6toxuYL loroxly" rhox'yt 6
  • 7.
    G)ri+c- +tv- e,Kpansiort(./r-l)r oP 1 -- @rb)t-- J( 4x r ( at G- $= I 7
  • 8.
    1 . Acommitteeis to consistof two members. therearefour men andfive *o-.n If /, ': 3 /. ^ to serveon the committee,how manydifferentcommittees be formed?Y - can ( ryailable Cf1atr * .f ro F) 72 tcl 40 tDls4 -.,/ .7 n - Howmany different 3-card hands bedrawn can froma standard of52 playing deck c ^atZ /<a7 -'/u, 3 . A lunch menuconsistsof 5 different kinds of sandwiches, different kinds of soup,and 5 2 | different drinks. How manychoicesaretherefor orderinga sandwich,a bowl ofsoup, S D anda drink? $(r)rr; 4. Twelve peopleareenteredin a race.If theni areno ties, in how manywayscanthe first , ^f tx"1 threeplaces comeoutT---'- _ 1288 rAr q9 tctz64o lDl 36 5 . Find the numberof distinguishable permutatPi4the leftersIOWA. 4l r3 =r lAt 12 [B] 16 Vy [D] 36 6. Find the numberof distinguishable permutations the lettersHONEST. of Y al =-J "t-o 7. You own 8 travel books andaretaking 2 of themon vacation.ln how manywayscanyou choose travelbooks 2 fromthe8? ,(t '1q t"d- - r0 8 . How manydifferentwayscanyou arrange scoops a cone? four on 4'l,a't A4 = a1 9 . A collegehasnine instructorsqualifiedto teacha specialcomputerlab coursewhich 1 0 . Find the numberof distinguishable permutations the lettersLUCKY. of €l -- t tO 11 A four-person committee chosen random is at from a groupof l5 p"opt.. uo* /lf] differentcommittees possible? are -*y t 4b ( lT / 12. From a group of six boys andfour girls, a boy anda girl will be selected atlenda to conference. how manypossible ln wayscanthe selection made? f 6 /+] - ' / d be _ 4 Ir,)(,/ tj cs',--,