Charakteryzowanie psychofizycznych i
społecznych aspektów rozwoju człowieka
„Projekt współfinansowany ze środków Europejskiego Funduszu Społecznego”
MINISTERSTWO EDUKACJI
NARODOWEJ
Iwona Pałgan
Charakteryzowanie psychofizycznych i społecznych
aspektów rozwoju człowieka 346[02].O1.01
Poradnik dla ucznia
Wydawca
Instytut Technologii Eksploatacji – Państwowy Instytut Badawczy
Radom 2007
„Projekt współfinansowany ze środków Europejskiego Funduszu Społecznego”
1
Recenzenci:
dr Maria Bartecka-Straszny
mgr Dorota Kaczor
Opracowanie redakcyjne:
inŜ. Danuta Szczepaniak
Konsultacja:
mgr Hanna Całuń
Poradnik stanowi obudowę dydaktyczną programu jednostki modułowej 346[02].O1.01
„Charakteryzowanie psychofizycznych i społecznych aspektów rozwoju człowieka”,
zawartego w modułowym programie nauczania dla zawodu asystent osoby niepełnosprawnej
Wydawca
Instytut Technologii Eksploatacji – Państwowy Instytut Badawczy, Radom 2007
„Projekt współfinansowany ze środków Europejskiego Funduszu Społecznego”
2
SPIS TREŚCI
1. Wprowadzenie 4
2. Wymagania wstępne 5
3. Cele kształcenia 6
4. Materiał nauczania 7
4.1. Człowiek w środowisku – środowisko a rozwój jednostki 7
4.1.1. Materiał nauczania 7
4.1.2. Pytania sprawdzające 8
4.1.3. Ćwiczenia 9
4.1.4. Sprawdzian postępów 10
4.2. Rozwój organizmu człowieka – procesy fizjologiczne 11
4.2.1. Materiał nauczania 11
4.2.2. Pytania sprawdzające 16
4.2.3. Ćwiczenia 17
4.2.4. Sprawdzian postępów 19
4.3. Okresy rozwoju psychofizycznego człowieka 20
4.3.1. Materiał nauczania 20
4.3.2. Pytania sprawdzające 24
4.3.3. Ćwiczenia 24
4.3.4. Sprawdzian postępów 25
4.4. Podział i charakterystyka procesów psychicznych; procesy poznawcze,
emocjonalne, motywacyjne 26
4.4.1. Materiał nauczania 26
4.4.2. Pytania sprawdzające 34
4.4.3. Ćwiczenia 34
4.4.4. Sprawdzian postępów 35
4.5. Wybrane teorie osobowości 36
4.5.1. Materiał nauczania 36
4.5.2. Pytania sprawdzające 41
4.5.3. Ćwiczenia 41
4.5.4. Sprawdzian postępów 43
4.6. Metody badania osobowości 44
4.6.1. Materiał nauczania 44
4.6.2. Pytania sprawdzające 46
4.6.3. Ćwiczenia 46
4.6.4. Sprawdzian postępów 47
4.7. Czynniki kształtujące osobowość 48
4.7.1. Materiał nauczania 48
4.7.2. Pytania sprawdzające 51
4.7.3. Ćwiczenia 51
4.7.4. Sprawdzian postępów 52
4.8. Podstawy Ŝycia społecznego 53
4.8.1. Materiał nauczania 53
4.8.2. Pytania sprawdzające 57
4.8.3. Ćwiczenia 57
4.8.4. Sprawdzian postępów 58
„Projekt współfinansowany ze środków Europejskiego Funduszu Społecznego”
3
4.9. Funkcje i zadania grupy społecznej. Role społeczne 59
4.9.1. Materiał nauczania 59
4.9.2. Pytania sprawdzające 62
4.9.3. Ćwiczenia 62
4.9.4. Sprawdzian postępów 63
4.10. Teorie społecznego uczenia się 64
4.10.1. Materiał nauczania 64
4.10.2. Pytania sprawdzające 67
4.10.3. Ćwiczenia 67
4.10.4. Sprawdzian postępów 68
5. Sprawdzian osiągnięć 69
6. Literatura 73
„Projekt współfinansowany ze środków Europejskiego Funduszu Społecznego”
4
1. WPROWADZENIE
Poradnik ten będzie ci pomocny w przyswajaniu wiedzy z zakresu psychofizycznych
i społecznych aspektów rozwoju człowieka
W poradniku zamieszczono:
− wymagania wstępne – wykaz umiejętności, jakie powinieneś mieć juŜ ukształtowane,
abyś bez problemów mógł korzystać z poradnika,
− cele kształcenia – wykaz umiejętności, jakie ukształtujesz podczas pracy z poradnikiem,
− materiał nauczania – wiadomości teoretyczne niezbędne do osiągnięcia załoŜonych celów
kształcenia i opanowania umiejętności zawartych w programie jednostki modułowej,
− zestaw pytań, abyś mógł sprawdzić, czy juŜ opanowałeś określone treści,
− ćwiczenia, które pomogą Ci zweryfikować wiadomości teoretyczne oraz ukształtować
umiejętności praktyczne,
− sprawdzian postępów,
− sprawdzian osiągnięć, przykładowy zestaw pytań otwartych. Zaliczenie testu potwierdzi
osiągnięcie celów zawartych w programie jednostki modułowej,
− literaturę uzupełniającą.
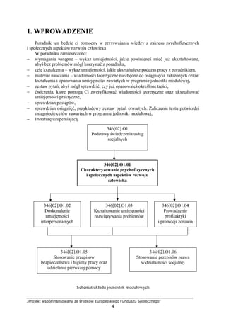
Schemat układu jednostek modułowych
346[02].O1
Podstawy świadczenia usług
socjalnych
346[02].O1.01
Charakteryzowanie psychofizycznych
i społecznych aspektów rozwoju
człowieka
346[02].O1.02
Doskonalenie
umiejętności
interpersonalnych
346[02].O1.03
Kształtowanie umiejętności
rozwiązywania problemów
346[02].O1.05
Stosowanie przepisów
bezpieczeństwa i higieny pracy oraz
udzielanie pierwszej pomocy
346[02].O1.04
Prowadzenie
profilaktyki
i promocji zdrowia
346[02].O1.06
Stosowanie przepisów prawa
w działalności socjalnej
„Projekt współfinansowany ze środków Europejskiego Funduszu Społecznego”
5
2. WYMAGANIA WSTĘPNE
Przystępując do realizacji programu nauczania jednostki modułowej, powinieneś umieć:
− współpracować w grupie,
− sprawnie posługiwać się komputerem,
− korzystać z róŜnorodnych źródeł informacji: biblioteki, Internet,
− posługiwać podstawowymi pojęciami z zakresu anatomii i fizjologii człowieka,
− posługiwać podstawowymi pojęciami z zakresu wiedzy o społeczeństwie.
„Projekt współfinansowany ze środków Europejskiego Funduszu Społecznego”
6
3. CELE KSZTAŁCENIA
W wyniku realizacji programu jednostki modułowej, powinieneś umieć:
− wyjaśnić, na czym polega jedność organizmu człowieka i środowiska,
− scharakteryzować zmiany rozwojowe w poszczególnych okresach Ŝycia człowieka,
− scharakteryzować podstawowe zjawiska fizjologiczne w organizmie człowieka,
− scharakteryzować procesy psychiczne człowieka,
− scharakteryzować procesy poznawcze,
− określić rolę procesów poznawczych w poznawaniu rzeczywistości,
− scharakteryzować procesy emocjonalne i motywacyjne,
− określić wpływ procesów motywacyjnych na aktywność człowieka,
− scharakteryzować podstawowe koncepcje i składniki osobowości,
− wskazać czynniki kształtujące osobowość,
− wykazać wpływ aktywności własnej na rozwój osobowości,
− zastosować wybrane metody poznawania osobowości,
− przedstawić róŜne aspekty pełnienia ról społecznych,
− zanalizować czynniki wpływające na kształtowanie postaw prospołecznych,
− scharakteryzować funkcje i zadania grupy społecznej,
− określić rolę grupy w procesie rehabilitacji osoby niepełnosprawnej,
− określić wpływ warunków środowiskowych na rozwój i zachowanie jednostki.
„Projekt współfinansowany ze środków Europejskiego Funduszu Społecznego”
7
4. MATERIAŁ NAUCZANIA
4.1. Człowiek w środowisku – środowisko a rozwój jednostki
4.1.1. Materiał nauczania
Środowisko to całokształt warunków materialnych i biologicznych istotnych dla Ŝycia
i rozwoju osobników danego gatunku.
W zakresie treści wpływających na człowieka środowisko moŜna podzielić na:
– naturalne – obejmujące zarówno pozaziemskie wpływy na organizmy (promieniowanie),
wraz z wpływami geograficznymi (gleba, klimat) oraz przyrodę Ŝywą (flora, fauna).
– społeczne – osoby i stosunki między nimi zachodzące (sąsiedzi, rodzina, szkoła, praca,
kościół).
– kulturowe – wpływy kultury materialnej (komunikacja, budownictwo) oraz kultury
duchowej przekazywanej przez wychowanie oraz media, ksiąŜki, subkultury.
Wszystkie te czynniki krzyŜują się wzajemnie i działają na człowieka jednocześnie.
Z wpływu tych środowisk i otoczenia człowieka pochodzą poglądy, zasady, nastroje,
postawy. Działanie środowiska moŜe być celowe, zamierzone, świadome lub nieświadome,
niezamierzone i pośrednie [22, s. 229-232].
Środowisko człowieka ulega nieustannym zmianom, częściowo niezaleŜnym od
jednostki, a częściowo pod jej wpływem. W toku Ŝycia człowieka jedni z oddziałujących nań
ludzi umierają inni się rodzą, zawiązują się i rozpadają przyjaźnie i znajomości, człowiek
zmienia terytorium i miejsce pracy. Dla kaŜdej zatem jednostki środowisko ma cechy mniej
lub bardziej trwałe; zaleŜy to zarówno od niej samej jak i od czynników zewnętrznych
[31, s. 294-296].
Niektóre czynniki dziedziczne i środowiskowe współdziałają nierozłącznie, tworząc
jedność jednostki i środowiska [26, s. 67] i oddziaływują jeszcze przed narodzinami, są to
np. czynniki teratogenne – wpływy środowiska, które działają szkodliwie na dziecko
w okresie jego rozwoju prenatalnego (śmierć, zaburzenia czynnościowe, opóźnienie rozwoju,
przedwczesne urodzenie); alkohol, narkotyki, infekcje wirusowe matki, nikotyna. To czy te
czynniki wpłyną na dziecko zaleŜy od uwarunkowań dziedzicznych dziecka, od siły ich
oddziaływania, oraz w którym momencie zadziałają na organizm [26, s. 74-78].
Stosunki między organizmem a środowiskiem są rozpatrywane na róŜnych poziomach:
osobniczym (reakcje i przystosowania morfologiczne, fizjologiczne i psychiczne jednostki
w tym stan zdrowia wynikający z przystosowania do środowiska), populacyjnym (rozród
i przeŜywalność wpływające na liczebność populacji oraz relacje społeczne), biocenotycznym
(stosunki między populacjami róŜnych gatunków), ekosystemowym (związki organizmów
z ich środowiskiem nieoŜywionym). Człowiek jest częścią ekosystemu, walczy o przeŜycie
w środowisku dwoma drogami: przez przystosowanie biologiczne własnego ciała
umoŜliwiające skuteczne istnienie i wydanie potomstwa; przez zachowania kulturowe
w drodze zabezpieczenia organizmu przed niekorzystnymi bodźcami środowiska, lub zmiany
tych warunków na korzystne [40, s. 13]. Człowiek jest wytworem środowiska i bez niego Ŝyć
nie moŜe. Trzeba jednak pamiętać, Ŝe ulega ono ciągłym zmianom, a istota ewolucji tkwi w
tym, Ŝe w miarę zmian warunków środowiska Ŝywe organizmy przystosowują się do niego.
Z chwilą przystosowania do nowego środowiska poprzednie staje się szkodliwe [13, s. 244].
Człowiek jako Ŝywy organizm stanowi jedność z przyrodą. Jego Ŝycie zaleŜy od
warunków panujących w środowisku przyrodniczym. Przyroda dostarcza człowiekowi
miejsca do jego bytowania i odpoczynku, pokarmu i poŜywienia, wielu surowców
naturalnych, z których moŜe korzystać, zasobów przyrody, dzięki którym moŜe istnieć.
„Projekt współfinansowany ze środków Europejskiego Funduszu Społecznego”
8
W miejscach najbardziej zasobnych zakłada swoje osady, miasta, poniewaŜ potrafi
wykorzystać róŜnorodność krajobrazu i dostosować go do swoich potrzeb. Człowiek nauczył
się z tego korzystać, lecz nie zawsze w sposób racjonalny i zgodny z naturą istnienia.
PrzeobraŜa je wedle własnych wyobraŜeń często niszcząc to, co w nim unikatowe,
niepowtarzalne. Buduje osiedla i fabryki, wydobywa kopaliny, poszukuje złóŜ ropy i gazu.
Musi pamiętać jednak, Ŝe zatrucie środowiska zagraŜa naszemu zdrowiu, a nawet Ŝyciu.
Przyroda zaś moŜe istnieć bez człowieka, lecz on sam nie przetrwa ani chwili bez przyrody.
Środowisko społeczne to ogół warunków i wyznaczników zachowania wytworzonych
w rozwoju człowieka w wyniku współŜycia z innymi ludźmi, oraz ludzie ich zachowania
i wytwory, które stanowią zespół czynników wywierających wpływ na rozwój oraz
zachowanie jednostki. Do najsilniej oddziałujących na jednostkę elementów środowiska
społecznego, naleŜą grupy i instytucje społeczne, warunki polityczne, ekonomiczne i prawne,
religijne oraz czynniki struktury społecznej [36, s. 291]. Podstawowe cechy środowiska
społecznego to: gęstość rozmieszczenia ludzi, poziom kultury reprezentowanej przez
otoczenie, zasobność materialna.
Środowisko rodzinne jest pierwszym środowiskiem wychowawczym w Ŝyciu człowieka,
które rzutuje w decydujący sposób na całe jego przyszłe Ŝycie. Rodzina dzięki swej stałości
daje dziecku oparcie i poczucie bezpieczeństwa, a to stanowi waŜny czynnik jego równowagi
emocjonalnej i zdrowia psychicznego [5]. Szkoła jest następną, po środowisku domowym,
społecznością, z którą ono styka się i pierwszą, która zapoznaje go z pracą,
odpowiedzialnością, która wprowadza w rzeczowe stosunki między ludźmi. Zadaniem szkoły
jest przygotowanie dziecka do tego, aby stało się ono człowiekiem dorosłym, zdolnym do
pełnego uczestnictwa w Ŝyciu grupy społecznej. W związku z tym sytuacja dziecka na terenie
szkoły, jego powodzenia i niepowodzenia, jakie napotyka przy podejmowaniu zadań
i realizacji obowiązków szkolnych, jego kontakty rówieśnicze i pozycja w ogólnej
społeczności uczniowskiej wywierają zasadniczy wpływ na proces socjalizacji w aktualnym
okresie rozwoju psychicznego i w duŜym stopniu warunkują jego pomyślny późniejszy start
w świecie dorosłych. Obok domu rodzinnego i szkoły w procesie uspołeczniania dziecka
waŜną rolę odgrywają grupy rówieśnicze. Uczestnictwo w tych grupach, zaspokaja, wiele
psychicznych i społecznych potrzeb dziecka. Ale istnieją sytuacje, w których grupa
rówieśnicza moŜe przekształcić się w grupę przestępczą, bądź teŜ grupa przestępcza zacznie
wywierać negatywny wpływ na jednostkę dotąd niezdemoralizowaną. Atrakcyjność takiej
grupy polega m.in. na tym, Ŝe pozwala odbudować poczucie własnej wartości oraz poczucie
bezpieczeństwa zachwianego przez niepowodzenia szkolne i niewłaściwą atmosferę w domu
[17].
Środowisko kulturowe tworzy ogół wartości, dóbr materialnych i duchowych
udostępnionych i przekazywanych przez pokolenia starsze; ma charakter obiektywny. MoŜe
stać się subiektywne wychowawczo wtedy, gdy bodźce z tego środowiska zostaną przyjęte
przez człowieka i przeŜyte w indywidualnym procesie recepcji. ZaleŜy to od dostępności
treści kulturowych, od głębi indywidualnego procesu percepcji treści kultury.
Podsumowując: człowiek i środowisko stanowią jedność, dlatego teŜ tylko wzajemne
dopasowanie gwarantuje istnienie populacji ludzkich. NaleŜy więc pamiętać, Ŝe zmiany
środowiska zaburzają równowagę ekosystemu, którego częścią są ludzkie populacje
[40, s. 220]. Człowiek przystosowuje się do środowiska trzema metodami: przez biologiczne
zmiany czynności w następstwie tego budowy organizmu, przez społeczną organizację oraz
zachowania kulturowe. Biologiczne przystosowania stanowią o przeŜyciu w całym świecie
oŜywionym. Kultura jest rezultatem biologicznej ewolucji człowieka, jest sposobem
przystosowania do typu środowiska naturalnego na danym poziomie rozwoju technicznego
[41, s. 210–211].
„Projekt współfinansowany ze środków Europejskiego Funduszu Społecznego”
9
4.1.2. Pytania sprawdzające
Odpowiadając na pytania, sprawdzisz, czy jesteś przygotowany do wykonania ćwiczeń.
1. Co rozumiemy pod pojęciem środowiska?
2. Jak dzielimy środowisko w zakresie czynników wpływających na człowieka?
3. Co to są czynniki teratogenne?
4. Na czym polega jedność organizmu człowieka i środowiska?
5. Jaki jest wpływ warunków środowiskowych na rozwój i zachowanie jednostki?
4.1.3. Ćwiczenia
Ćwiczenie 1
Sporządź listę czynników środowiska naturalnego (biologicznego) wpływających
i oddziałujących na człowieka w ciągu Ŝycia oraz ustal ich hierarchię.
Sposób wykonania ćwiczenia
Aby wykonać ćwiczenie, powinieneś:
1) określić czynniki środowiska naturalnego (biologicznego),
2) sporządzić listę czynników wpływających i oddziaływujących na człowieka w ciągu
Ŝycia,
3) ustalić hierarchię czynników oddziaływujących na człowieka,
4) zaprezentować pracę na forum grupy,
5) wziąć udział w dyskusji na temat wpływu środowiska na człowieka.
WyposaŜenie stanowiska pracy:
−−−− przybory do pisania,
−−−− arkusz papieru formatu A4,
−−−− poradnik dla ucznia.
Ćwiczenie 2
Dokończ lub uzupełnij poniŜsze zdania dotyczące wpływu środowiska na człowieka.
Środowisko to całokształt warunków...........................................................................................
Stosunki między organizmem, a środowiskiem są rozpatrywane na róŜnych poziomach:
....................................................................................................................................
Człowiek jako Ŝywy organizm stanowi jedność z przyrodą. Jego Ŝycie zaleŜy bowiem
od...................................................................................................................................................
Kultura jest rezultatem .................................................................., jest sposobem
przystosowania do typu środowiska naturalnego na danym poziomie rozwoju technicznego.
Do najsilniej oddziałujących na jednostkę elementów środowiska społecznego,
naleŜą............................................................................................................................................
Środowisko rodzinne jest ................................środowiskiem wychowawczym w Ŝyciu
człowieka
Sposób wykonania ćwiczenia
Aby wykonać ćwiczenie, powinieneś:
1) dokonać analizy dostępnej literatury dotyczącej wpływu środowiska na człowieka,
2) przeanalizować zdania do uzupełnienia lub dokończenia,
„Projekt współfinansowany ze środków Europejskiego Funduszu Społecznego”
10
3) uzupełnić lub dokończyć zdania odpowiednimi wyraŜeniami,
4) zaprezentować wyniki na forum grupy,
5) wziąć udział w dyskusji na temat wpływu środowiska na człowieka.
WyposaŜenie stanowiska pracy:
−−−− arkusz papieru formatu A4,
−−−− przybory do pisania,
−−−− literatura z rozdziału 6 dotycząca wpływu środowiska na człowieka.
−−−− poradnik dla ucznia.
4.1.4. Sprawdzian postępów
Czy potrafisz: Tak Nie
1) określić jakie elementy środowiska naturalnego wpływają na organizm
człowieka?
 
2) określić jakie elementy środowiska społecznego i kulturowego wpływają
na organizm człowieka?
 
3) określić czy czynniki środowiska mogą oddziaływać na człowieka
jednocześnie?
 
4) wyjaśnić w jaki sposób środowisko człowieka ulega zmianom?  
5) określić skutki działania wszystkich czynników środowiska na człowieka?  
„Projekt współfinansowany ze środków Europejskiego Funduszu Społecznego”
11
4.2. Rozwój organizmu człowieka – procesy fizjologiczne
4.2.1. Materiał nauczania
Rozwój człowieka jest procesem biologicznym, w toku którego pod wpływem czynników
wewnętrznych (endogennych) i zewnętrznych (egzogennych) dokonują się zmiany
w strukturze i funkcjach jego organizmu. Procesy rozwojowe organizmu determinują
i regulują cztery grupy czynników:
1) czynniki endogenne, genetyczne – współdecydują o wszystkich strukturach i funkcjach
organizmu, jego płci, właściwościach fizycznych i psychicznych,
2) czynniki endogenne paragenetyczne, czyli stymulatory rozwoju- to grupa czynników
współdziałających, które względem organizmu płodu są zewnętrzne natomiast endogenne
względem organizmu matki,
3) czynniki egzogenne (modyfikatory) – to elementy środowiska otaczającego organizm,
których róŜnorodność polega na skali natęŜenia, a nieskończona zmienność na ilości
kombinacji między elementami współwystępującymi; dzielą się na:
- biogeograficzne – modyfikatory naturalne, w tym: zasoby mineralne, skład wody
i gleby oraz powietrza, klimat, ukształtowanie terenu, przyroda martwa i Ŝywa, klimat,
- społeczno-kulturowe – modyfikatory kulturowe, w tym: pochodzenie społeczne,
charakter i wielkość środowiska (miasto, miasteczko, wieś), poziom wykształcenia,
wysokość zarobków, tradycje.
4) tryb Ŝycia – to rozkład codziennych zajęć, obciąŜenie wysiłkiem fizycznym i umysłowym,
sen, relaks itp. [41, s. 53-63].
Fizjologia człowieka to nauka zajmująca się procesami Ŝyciowymi organizmu ludzkiego;
nauka o czynnościach i funkcjach organizmów Ŝywych, ich komórek, tkanek i narządów,
o prawach, które tymi funkcjami rządzą.
Układ nerwowy człowieka jest zbudowany z tkanki nerwowej, integruje działalność
organizmu, rejestruje bodźce, przetwarza zawarte w nich informacje oraz steruje
czynnościami organizmu: ruchem mięśni, wydzielaniem hormonów odpowiada takŜe za
procesy psychiczne takie jak myślenie i uczucia [33, s. 114]. Układ nerwowy jest złoŜony
z dwóch głównych części: ośrodkowego układu nerwowego (mózgowie i rdzeń kręgowy)
i obwodowego układu nerwowego jest to tzw. podział topograficzny; wyróŜniamy równieŜ
podział czynnościowy składający się z: układu nerwowego somatycznego (układ piramidowy,
układ pozapiramidowy) i autonomicznego układu nerwowego (część współczulna
(sympatyczny), część przywspółczulna) [4, s. 202].
Charakterystyka ośrodkowego układu nerwowego
Rdzeń kręgowy jest kolumną grubych nerwów, zbudowany jest z istoty białej (włókien
nerwowych) i istoty szarej (komórek). Od rdzenia odchodzi 31 par nerwów rdzeniowych, są
to nerwy czuciowo ruchowe. Rdzeń kręgowy kieruje ruchami mięśni szkieletowych kończyn
i tułowia [33, s. 123-124, 25, s. 472-476].
Mózg znajduje się w czaszce i składa się z dwu półkul oraz pnia. Mózg osłonięty jest
trzema oponami: twardą, miękką pajęczynówką i naczyniówką spełniającymi rolę ochronną
oraz odŜywczą. Z podstawy mózgu wychodzi 12 par nerwów czaszkowych. Półkule
mózgowe pokryte są pofałdowaną korą mózgową, składająca się z ponad 10 miliardów
komórek nerwowych. Dzieli się na korę starą (układ limbiczny), odpowiadającą za stany
emocjonalne i popędy oraz kontrolę podwzgórza i korę nową. W kaŜdej półkuli kora
mózgowa dzieli się na cztery płaty: czołowy, ciemieniowy, skroniowy, potyliczny.
W przedniej części płata ciemieniowego znajdują się ośrodki czuciowe i dochodzą tu impulsy
z receptorów. W tylnej części płata czołowego znajdują się ośrodki ruchowe. Odpowiada za
bardzo precyzyjne ruchy. Prawa półkula mózgu kontroluje lewą stronę ciała, a lewa półkula
„Projekt współfinansowany ze środków Europejskiego Funduszu Społecznego”
12
prawą stronę ciała. W płatach potylicznych zlokalizowane są ośrodki wzrokowe, które
interpretują obrazy. W płatach skroniowych umieszczone są ośrodki słuchowe. W lewej
półkuli na granicy płata ciemieniowego, czołowego i potylicznego jest nadrzędny ośrodek
mowy. MóŜdŜek umieszczony jest pod płatami potylicznymi mózgu, zawiaduje on statyką
ciała i koordynuje bodźce idące z róŜnych części układu nerwowego do mięśni [33, s. 127;
25, s.492-494].
Charakterystyka obwodowego układu nerwowego
Układ somatyczny zawiera neurony czuciowe (wstępujące) i ruchowe (zstępujące).
Przekazują one do mózgu informacje m.in. o tym co widzimy, słyszymy, odczuwamy.
Informacje te płyną do somatycznego układu nerwowego i pozwalają kontrolować ruchy ciała
niezbędne do zachowania równowagi.
Autonomiczny układ nerwowy (AUN) zarządza funkcjami gruczołów i mięśni narządów
wewnętrznych. Kontroluje takie czynności jak praca serca oddychanie, trawienie. AUN
składa się z dwóch podukładów współczulnego (sympatycznego) i przywspółczulnego
(parasympatycznego). Pierwszy z podukładów jest najbardziej aktywny w procesach
zuŜywania energetycznych zasobów organizmu np. ucieczka, drugi zaś w procesach
odnawiania zasobów energetycznych np. przez jedzenie. AUN wiąŜe się ze stanami
emocjonalnymi, jak lęk czy miłość [33, s. 129-131; 25, s. 525-532].
Podstawowym elementem układu nerwowego jest komórka nerwowa z odchodzącymi od
niej wypustkami, zwana neuronem. Składa się on z ciała komórkowego z jądrem oraz
odchodzących od ciała licznych wypustek, które tworzą rozgałęzienia zwane dendrytami.
Jedna z wypustek o wiele dłuŜsza od pozostałych, to neuryt lub akson. Jego długość moŜe
dochodzić do 1 m. Układ nerwowy zbudowany jest z ok. 25 miliardów neuronów. Neurony
kontaktują się ze sobą za pośrednictwem łącz, zwanych synapsami [29, s. 65]. Głównym
zadaniem neuronów jest przyjmowanie, przetwarzanie i przekazywanie informacji w postaci
bodźców elektrycznych lub chemicznych. KaŜda komórka nerwowa otrzymuje informację
przekazaną od innych neuronów, a takŜe od innych wyspecjalizowanych komórek-
receptorów narządów zmysłowych, bądź bezpośrednio ze środowiska zewnętrznego przez
dendryty. Informacje te przekazuje komórka dalej poprzez akson. Osłonka mielinowa aksonu
pełni tu rolę izolatora. Po obu jej stronach zgromadzone są ładunki elektryczne, po
wewnętrznej ładunki ujemne (aniony), po zewnętrznej – dodatnie (kationy) [12, s.194-178].
W wyniku przewodzenia impulsu elektrycznego wzdłuŜ neuronu dochodzi do
tzw. „wyładowania neuronu”. Niektóre neurony ulegają wyładowaniu w czasie krótszym niŜ
1/1000 sekundy. Podczas wyładowania następuje próba przekazania informacji innym
neuronom, mięśniom lub gruczołom. Komórka nerwowa w ciągu sekundy moŜe przesyłać
setki tego rodzaju informacji. KaŜde wyładowanie neuronu oznacza przekazywanie sygnału o
tej samej sile. Do wyładowania neuronu dochodzi częściej, gdy jest on pobudzany przez
większą liczbę innych neuronów. Silniejsze bodźce powodują częstsze (ale nie silniejsze)
wyładowania. Przez okres kilku tysięcznych sekundy po wyładowaniu neuron pozostaje
niewraŜliwy na bodźce, a jego ponowne wyładowanie jest niemoŜliwe. Jest to okres refrakcji,
"odpoczynku", w którym przechodzenie jonów sodu przez błonę komórkową jest niemoŜliwe.
[25, s. 461-470]
Układ krwionośny człowieka jest układem zamkniętym, co oznacza, Ŝe krew krąŜy
w systemie naczyń krwionośnych, a serce jest pompą, która wymusza nieustanny obieg krwi.
Układ ten wraz z układem limfatycznym tworzą układ krąŜenia. Składa się on z serca i
naczyń krwionośnych (tętnic, Ŝył i naczyń włosowatych oraz naczyń i węzłów chłonnych).
KrąŜenie krwi: krew wypływa z serca tętnicami, a wraca do serca Ŝyłami. Im dalej od
serca tym ciśnienie krwi jest mniejsze, a w Ŝyłach nawet bliskie zeru. Ciśnienie wytwarzane
przez pulsowanie serca nie wystarcza do przepchnięcia krwi przez cały krwiobieg z powrotem
do serca, zwłaszcza wtedy, gdy krew płynie w górę. W trakcie przemieszczania się krwi serce
„Projekt współfinansowany ze środków Europejskiego Funduszu Społecznego”
13
wspomaga pulsowanie tętnic. Cofaniu się krwi zapobiegają natomiast znajdujące się w Ŝyłach
zastawki.
Serce to elastyczny worek mięśniowy umiejscowiony w klatce piersiowej, pomiędzy
płucami w przestrzeni zwanej śródpiersiem, połoŜonej poza mostkiem. Większa część serca
znajduje się w lewej połowie klatki piersiowej. Dzieli się ono na część lewą i prawą, z
których kaŜda składa się z przedsionka i komory, oddzielonych od siebie zastawkami
uniemoŜliwiającymi cofanie się krwi przy skurczu komór. Od komór odchodzą tętnice, do
przedsionków wpadają Ŝyły. Serce kurczy się około 70 razy na 1 min.
DuŜy krwiobieg: krew (bogata w tlen) wypływa z lewej komory serca przez zastawkę
aortalną do głównej tętnicy ciała, aorty, rozgałęzia się na tętnice mniejsze, dalej na tętniczki,
a następnie przechodzi przez sieć naczyń włosowatych we wszystkich narządach ciała.
Naczynia włosowate przechodzą w drobne Ŝyłki, które przechodzą w Ŝyły większe i Ŝyłę
główną górną i dolną. Krew powracająca Ŝyłami jest uboga w tlen i przechodzi do prawego
przedsionka serca, po czym przez zastawkę trójdzielną wpływa do prawej komory.
Mały krwiobieg: odtlenowana krew wypompowywana jest z prawej komory serca przez
zastawkę tętnicy płucnej (trójdzielną) do tętnicy o tej samej nazwie, która rozgałęzia się
w płucach na sieć naczyń włosowatych oplatających pęcherzyki płucne, tam dochodzi do
wymiany gazowej. Utlenowana krew powraca Ŝyłami płucnymi do lewego przedsionka serca,
a tam przez zastawkę dwudzielną krew wpływa do lewej komory serca.
Główne funkcje układu krąŜenia: transportująca (dostarcza komórkom tlen i pokarm oraz
hormony, zabiera z komórek substancje przemiany materii i dwutlenek węgla), ochronna
(wykrywa i walczy z ciałami obcymi, np: z grzybami, bakteriami, wirusami, pyłami),
termoregulacyjna (utrzymuje stałocieplność 36,6o
C). [12, s. 129-138; 25, s. 357-360; 401-
422.].
Układ oddechowy to zespół narządów umoŜliwiających organizmowi oddychanie.
Integralnym elementem układu jest narząd oddechowy. Układ ten składa się, z jamy nosowo
gardłowej, krtani, tchawicy i płuc. Zadaniem układu oddechowego jest dostarczenie
organizmowi tlenu oraz usuwanie szkodliwego dwutlenku węgla. Polega to na przenoszeniu
wymienionych gazów przez krew oraz tzw. oddychaniu wewnętrznym tj. procesie utleniania
komórkowego. Pobrany w czasie wdechu tlen dociera tylko do płuc, dalszy jego transport
odbywa się juŜ przez krew. Zawierająca oksyhemoglobinę krew tętnicza dociera do naczyń
włosowatych gdzie przekazuje tlen bezpośrednio komórkom. Stamtąd juŜ jako krew Ŝylna
wraca do płuc po nowy zapas tlenu. Proces wentylacji zapewniają ruchy oddechowe klatki
piersiowej.
Początkowym odcinkiem układu oddechowego jest jama nosowa uchodząca do gardła,
a następnie do krtani. Tchawica jest przedłuŜeniem krtani. Jest to sztywna rura zbudowana
z kilkunastu okrągłych chrząstek połączonych więzadłami. O tyłu chrząstki te połączone są
elastyczną błoną odpowiednio modelującą się w zaleŜności od przesuwających się w przełyku
kęsów pokarmu. Tchawica dzieli się na dwa oskrzela, które tworzą drzewo oskrzelowe.
Na końcu rozgałęzień osiągają wymiary mikroskopijnych rurek oblepionych kępkami
pęcherzyków płucnych umoŜliwiających wymianę gazową. Pojemność płuc dorosłej osoby
wynosi około 5-6 l. Układ oddechowy znajduje się w klatce piersiowej. Wymiana gazowa
pomiędzy organizmem a otoczeniem moŜe odbywać się tylko gdy: błona przepuszczalna dla
gazów jest wystarczająco wilgotna, jest odpowiednio wysoka pręŜność tlenu w otoczeniu
i odpowiednio wysoka pręŜność dwutlenku węgla w płynach ustrojowych
Funkcje układu oddechowego: pobranie tlenu z otoczenia, oczyszczenie, ogrzanie,
nawilŜanie wdychanego powietrza, transport powietrza do narządu oddechowego,
dostarczenie tlenu do tkanek oraz dwutlenku węgla z tkanek do narządu oddechowego,
wydalenie produktów końcowych z organizmu przez drogi oddechowe [12, s. 113-126; 25,
s. 251-289].
„Projekt współfinansowany ze środków Europejskiego Funduszu Społecznego”
14
Układ dokrewny (wewnątrzwydzielniczy, endokrynologiczny). Odpowiedzialny jest za
utrzymanie homeostazy organizmu. NajwaŜniejszą częścią tego układu są gruczoły, które,
produkując odpowiednie hormony, zapobiegają zbyt duŜym wahaniom ustroju. Od hormonów
zaleŜy m.in. wzrost i rozwój narządów, rozrost całego ciała, rozwój cech płciowych,
dojrzewanie płciowe, równowaga przemiany materii, aktywność umysłowa i psychiczna.
Gruczoły wydzielania dokrewnego to: szyszynka, przysadka mózgowa, tarczyca,
przytarczyce, grasica, nadnercza, trzustka oraz gruczoły płciowe
Szyszynka – połoŜona jest w śródmózgowiu. Jej hormony w okresie dojrzewania
wpływają na rozwój gruczołów płciowych. Zaś zawarta w niej melatonina – wpływa na
ośrodki snu i czuwania. [25, s. 610-611]
Przysadka mózgowa – leŜy w podstawie mózgu. Wytwarzane przez nią hormony
decydują o wzroście ciała, przemianie tłuszczów i węglowodanów, czynności gruczołów
płciowych, tarczycy, nadnerczy i trzustki, pośrednio wpływa na wzrost kości długich,
wzmaga transport aminokwasów. Produkuje hormon wzrostu (nazywany z ang. Human,
Growth Hormone, GH, lub somatotropiną). Jego niedobór u dzieci powoduje karłowatość, zaś
zbyt duŜe wydzielanie GH powoduje u dzieci gigantyzm, a u dorosłych akromegalię.[25,
s.579-580]
Tarczyca – umiejscowiona jest na krtani i tchawicy. Hormon jej tyroksyna wpływa na
rozwój i wzrost organizmu, decyduje o przemianie materii oraz aktywności układu
nerwowego, ponadto pobudza syntezę białek oraz zmniejsza poziom cholesterolu we krwi.
Przytarczyce – połoŜone są na tylnej powierzchni tarczycy. Hormon ich paratyreoidyna
kontroluje gospodarkę wapniowo-fosforową.
Grasica – połoŜona za mostkiem, jej hormony (tyrozyna i tyreopoetyna) do okresu
dojrzewania wpływają na procesy kostnienia szkieletu oraz na czynności gruczołów
płciowych.
Nadnercza – są umiejscowione na nerkach. Ich rdzeń wydziela hormon (adrenalinę)
przyśpieszający i wzmacniający pracę serca oraz zwęŜający naczynia krwionośne. Kora
nadnerczy wydziela hormony regulujące gospodarkę wodną organizmu, ciepłotę ciała oraz
przemianę węglowodanów.
Trzustka – połoŜona poniŜej Ŝołądka wydziela insulinę zawiadującą przemianą cukru
w organizmie.
Gruczoły płciowe: jądra lub jajniki wydzielają hormony (testosteron, progesteron,
androsteron), decydujące o rozwoju narządów płciowych, czynnościach rozrodczych oraz
róŜnicach w budowie ciała pomiędzy kobietą i męŜczyzną [12, s. 221-240; 25, s. 586-608].
Układ pokarmowy składa się z przewodu pokarmowego, gruczołów trawiennych wątroby
i trzustki. Jego zadaniem jest pobieranie i przetwarzanie pokarmu, na proste przyswajalne
związki chemiczne, które po wchłonięciu przez ustrój stanowią źródło energii i zapewniają,
niezbędne składniki do budowy i regeneracji tkanek; wydalanie nieprzyswajalnych
i szkodliwych resztek pokarmowych. Rozkładanie i przetwarzanie składników nazywa się
trawieniem i jest moŜliwe dzięki obecności odpowiednich soków i enzymów trawiennych,
tj. śliny, soku Ŝołądkowego, Ŝółci, trypsyny oraz soków trawiennych jelita cienkiego.
Przewód pokarmowy składa się z jamy ustnej, gardła przełyku, Ŝołądka, jelita cienkiego i
grubego, kończy się on odbytem.
Jama ustna to początkowy odcinek przewodu pokarmowego. W niej następuje wstępna,
mechaniczna obróbka pokarmu i przygotowanie go do dalszego trawienia. Pokarm jest
rozdrabniany, miaŜdŜony i mieszany ze śliną, która zawiera enzym trawienny amylazę
ślinową. Dorosły człowiek ma 32 zęby, 16 w szczęce i 16 w Ŝuchwie: (4 siekacze, 2 kły,
4 zęby przedtrzonowe, 6 trzonowych). U dzieci występuje 20 zębów mlecznych (brak
trzonowych). W trakcie Ŝucia pokarmu jest on zwilŜany śliną, w której rozpuszczane są
cząsteczki pokarmu, na których obecność wyczulone są rozmieszczone na języku kubki
„Projekt współfinansowany ze środków Europejskiego Funduszu Społecznego”
15
smakowe. Dzięki nim wyczuwamy: konsystencję, temperaturę, smak i to czy dany pokarm
nadaje się do spoŜycia. Po uformowaniu kęsa pokarmowego zostaje on przekazany do dalszej
części przewodu pokarmowego w akcie połykania.
Gardło – wspólny odcinek dróg oddechowych i pokarmowych, stanowiący przedłuŜenie
jamy ustnej i jamy nosowej, przechodzący dalej w przełyk i krtań.
Przełyk – łączy gardło z Ŝołądkiem, stanowi mięśniową rurę długości 30 cm. Czynność
przełyku polega na transporcie pokarmu z gardła do Ŝołądka.
śołądek to narząd przypominający kurczliwy worek, którego zasadniczą rolą jest
trawienie pokarmów, poprzez wymieszanie ich z sokiem Ŝołądkowym. Wielkość Ŝołądka jest
zmienna i zaleŜy od jego wypełnienia, napięcia jego ścian oraz pozycji ciała. Długość
Ŝołądka: 25-30 cm; szerokość Ŝołądka: 12-14 cm; pojemność: 1000-3000 ml.
Dalsze trawienie odbywa się w jelicie cienkim; ciągnie się ono od Ŝołądka aŜ do jelita
grubego. Zajmuje ono okolicę pępkową, podbrzuszną i obie okolice biodrowe a częściowo
i miednicę małą. Jego długość wynosi ok. 7 m, średnica 3-5 cm. Jelito cienkie dzielimy na
dwunastnicę, jelito czcze i kręte.
Jelito grube zaczyna się tzw. kątnicą, z którą łączy się cienki około 8 cm wyrostek
robaczkowy. Kątnica przechodzi w tzw. okręŜnicę zakończoną odbytem. Długość wszystkich
tych odcinków wynosi ok. 1,5 m.
Wątroba połoŜona pod prawym łukiem Ŝebrowym, jest duŜym narządem waŜącym około
1,5 kg. Zadaniem wątroby jest wydzielanie Ŝółci, wytwarzanie glikogenu i mocznika,
odtruwanie organizmu, rozkładanie zuŜytych krwinek czerwonych oraz magazynowanie
białek, tłuszczów i węglowodanów. Zbiornikiem Ŝółci jest pęcherzyk Ŝółciowy [12, s. 76-92;
25, s. 167-220].
Układ szkieletowy
Narząd ruchu odpowiada za utrzymanie postawy i wykonywanie ruchów. Dzielimy go na
dwie części układ szkieletowy (część bierna) składający się z kości i połączeń
międzykostnych, oraz układ złoŜony z mięsni i ich ścięgien. Dzięki tym układom moŜemy:
zmieniać połoŜenie całego ciała, ułoŜenie części ciała względem siebie, na przykład zgiąć
rękę lub nachylić głowę, utrzymać odpowiednią postawę ciała.
Szkielet, inaczej kościec lub układ kostny to wszystkie kości składające się na ciało
człowieka. U osoby dorosłej szkielet składa się z około 206 kości. Średnia waga szkieletu to
10 kg u kobiet i 12 kg u męŜczyzn. Szkielet zawiera około 1,5 kg szpiku kostnego
wytwarzającego czerwone krwinki erytrocyty. Podstawowym materiałem budulcowym
szkieletu człowieka jest tkanka kostna oraz w mniejszym stopniu chrzęstna. Ze względu na
budowę zewnętrzną kości podzielono na kilka grup:
– kości długie, np. kość udowa, ramienna,
– kości płaskie, np. kości czaszki, łopatka,
– kości krótkie, np. kości nadgarstka, stępu,
– kości róŜnokształtne np. kręgi.
Oś całego ciała stanowi kręgosłup składający się z 33 kręgów połączonych stawami
i krąŜkami międzykręgowymi. Jest on osadzony na kościach miednicy. U góry łączy się
z czaszką, w okolicy piersiowej wraz z 12 Ŝebrami i mostkiem tworzy klatkę piersiową.
Stawy to ruchome połączenia kości, np. staw barkowy kolanowy, łokciowy, biodrowy
[12, s. 19-35; 25, s. 50-103].
Układ mięśniowy – mięśnie stanowią przeciętnie 40% masy całego ciała. Występują
m.in. mięsnie szkieletowe, najprostsze mięśnie w ciele człowieka to mięśnie gładkie
odpowiedzialne za ruchy bezwiedne, takie jak rozszerzanie źrenic, skurcze jelit i Ŝołądka.
Mięśnie poprzecznie prąŜkowane umoŜliwiają poruszanie się. Grupa mięśni poprzecznie
prąŜkowanych powoduje rytmiczne ruchy serca pompującego krew.
„Projekt współfinansowany ze środków Europejskiego Funduszu Społecznego”
16
Mięśnie moŜemy podzielić na kilka rodzajów:
1) w zaleŜności od połoŜenia: mięśnie: głowy i szyi, tułowia, kończyn, brzucha, klatki
piersiowej, grzbietu, szyi,
2) pod względem czynności: przywodziciele i odwodziciele – działają antagonistycznie -
podczas ruchu jeden kurczy się bardziej od drugiego. Dzięki temu ruch staje się bardziej
płynny,
3) pod względem budowy: płaskie, okręŜne np. wokół ust, oczu i odbytu, szerokie np.
mięśnie wyścielające ściany brzucha i klatki piersiowej, krótkie np. mięśnie wokół
kręgosłupa, długie np. mięśnie kończyn.
4) pod względem przyczepu: dwugłowe, trójgłowe, czworogłowe [12, s. 53-66; 25, s. 103-150].
Układ moczowo-płciowy składa się z dwóch części: układu moczowego i układu
płciowego. Układ moczowy przebiega wewnątrzotrzewnowo i składa się z nerek, miedniczek
nerkowych, moczowodów, pęcherza moczowego i cewki moczowej. Jego zadaniem jest
usuwanie z organizmu bezuŜytecznych i szkodliwych produktów przemiany materii oraz
utrzymywanie prawidłowego składu chemicznego płynów tkankowych.
Nerki połoŜone są symetrycznie w jamie brzusznej po obu stronach kręgosłupa
lędźwiowego. Głównym zadaniem nerek jest oczyszczanie krwi ze wszystkich substancji
chemicznych. Miedniczki i moczowody odprowadzają mocz do pęcherza moczowego.
Pęcherz moczowy – to umięśniony zbiornik moczu, umiejscowiony w miednicy.
Cewka moczowa – stanowi zakończenie układu moczowego. U kobiet jej długość to 4
cm, u męŜczyzn jest znacznie dłuŜsza. Ilość wydalanego moczu zaleŜy od intensywności
pracy organizmu i ilości wypijanych płynów. Przeciętnie to 1,5-2 l dziennie.
Układ płciowy – dzieli się na narządy płciowe wewnętrzne i zewnętrzne. Jego funkcją
jest zachowanie gatunku.
Układ płciowy męski składa się z jader, najądrzy, nasieniowodów, pęcherzyków
nasiennych, gruczołu krokowego, prącia i moszny. Jądra wytwarzają plemniki oraz hormon
męski – testosteron. Nasieniowody są przewodami długości około 50 cm. Pojedynczy
nasieniowód biegnie od najądrza do połączenia z przewodem wydalającym pęcherzyka
nasiennego. Od tego miejsca bierze początek przewód wytryskowy, który przechodzi przez
gruczoł krokowy i uchodzi do cewki moczowej. Pęcherzyki nasienne stanowią gruczoły
wydzielające gesty płyn, którego składniki pobudzają ruchy plemników.
Gruczoł krokowy wytwarza podczas aktu płciowego wydzielinę podtrzymującą
ruchliwość plemników. Prącie jest końcowym narządem wydalania moczu oraz narządem
spółkowania. Moszna stanowi ochronę jader.
Układ płciowy Ŝeński – składa się z jajników, jajowodów, macicy, pochwy i sromu.
Jajniki wytwarzają komórki płciowe i Ŝeńskie hormony płciowe. Dojrzewanie i wydalanie
z jajników jajeczka to owulacja. Jajowody są przewodami, przez które jajeczko przesuwa się
z jajników do jamy macicy. Pochwa łączy jamę macicy ze sromem. [12, s. 154-170; 25, s.
315-345].
4.2.2. Pytania sprawdzające
Odpowiadając na pytania, sprawdzisz, czy jesteś przygotowany do wykonania ćwiczeń.
1. Z jakich części składa się układ nerwowy?
2. Jak jest zbudowana komórka nerwowa?
3. Jak moŜna scharakteryzować duŜy i mały krwiobieg?
4. Czym jest układ hormonalny?
5. Jakie zadania spełnia układ pokarmowy człowieka?
6. Jakie są zadania nerek?
7. Jak moŜna scharakteryzować układ płciowy?
„Projekt współfinansowany ze środków Europejskiego Funduszu Społecznego”
17
4.2.3. Ćwiczenia
Ćwiczenie 1
Określ mechanizm przekazywania informacji przez neurony.
Sposób wykonania ćwiczenia
Aby wykonać ćwiczenie, powinieneś:
1) dokonać analizy schematu budowy neuronu,
2) zapoznać się z informacjami dotyczącymi przekazywania informacji przez neurony,
3) określić mechanizm przekazywania informacji przez neurony,
4) zapisać wniosku,
5) wziąć udział w dyskusji.
WyposaŜenie stanowiska pracy:
− arkusz papieru A4,
− przybory do pisania,
− schemat budowy neuronu,
− poradnik dla ucznia.
Ćwiczenie 2
Podpisz poszczególne narządy na poniŜszym rysunku.
Rys. do ćwiczenia 2 [6, s. 28.]
Sposób wykonania ćwiczenia
Aby wykonać ćwiczenie, powinieneś:
1) dokonać analizy układu przedstawionego na rysunku,
2) rozpoznać narządy,
3) podpisać poszczególne narządy na rysunku,
4) zaprezentować wyniki pracy.
WyposaŜenie stanowiska pracy:
− kserokopia rysunku,
− przybory do pisania
− poradnik dla ucznia.
„Projekt współfinansowany ze środków Europejskiego Funduszu Społecznego”
18
Ćwiczenie 3
Określ funkcje gruczołów dokrewnych, a następnie uzupełnij tabelę.
Gruczoł Funkcja
Sposób wykonania ćwiczenia
Aby wykonać ćwiczenie, powinieneś:
1) dokonać analizy materiału nauczania dotyczącego funkcji gruczołów dokrewnych,
2) przygotować tabelę według podanego wzoru,
3) uzupełnić tabelę,
4) dokonać analizy wyników ćwiczenia,
5) zapisać wnioski,
6) zaprezentować pracę,
7) wziąć udział w dyskusji.
WyposaŜenie stanowiska pracy:
− arkusz papieru A4,
− linijka, ołówek, gumka,
− wzór tabeli do uzupełnienia,
− poradnik dla ucznia.
Ćwiczenie 4
Scharakteryzuj trzy dowolne układy (z pominięciem układu dokrewnego) i uzupełnij
tabelę.
Układ Budowa Funkcje, zadania PołoŜenie
Sposób wykonania ćwiczenia
Aby wykonać ćwiczenie, powinieneś:
1) przeanalizować fragment materiału nauczania dotyczący budowy, połoŜenia i funkcji
układów,
2) uzupełnić tabelę,
3) zaprezentować wyniki.
4) wziąć udział w dyskusji.
WyposaŜenie stanowiska pracy:
− arkusz papieru A4,
− linijka, ołówek, gumka,
− wzór tabeli,
− poradnik dla ucznia.
„Projekt współfinansowany ze środków Europejskiego Funduszu Społecznego”
19
4.2.4. Sprawdzian postępów
Czy potrafisz: Tak Nie
1) określić funkcje układu oddechowego? □ □
2) wymienić gruczoły wydzielania dokrewnego? □ □
3) wymienić poszczególne elementy układu pokarmowego? □ □
4) określić funkcje układu szkieletowego? □ □
5) wymienić rodzaje mięśni? □ □
6) scharakteryzować elementy budowy układu moczowo-płciowego? □ □
„Projekt współfinansowany ze środków Europejskiego Funduszu Społecznego”
20
4.3. Okresy rozwoju psychofizycznego człowieka
4.3.1. Materiał nauczania
WyróŜnianie poszczególnych etapów rozwoju człowieka ma charakter umowny
i spowodowany jest względami praktycznymi bądź dydaktycznymi. Powszechnie wśród
lekarzy przyjęto następujący podział:
1. Okres prenatalny – od poczęcia czyli zapłodnienia do porodu.
2. Okres postnatalny:
−−−− okres noworodkowy (od porodu do 28 dnia Ŝycia),
−−−− okres niemowlęcy (od 1 do 12 miesiąca Ŝycia),
−−−− okres wczesnego dzieciństwa (poniemowlęcy) (od 1 do 3 r.Ŝ.),
−−−− okres przedszkolny (od 3 do 6-7 r. Ŝ.),
−−−− okres szkolny (od 6-7 do 17 r. Ŝ.),
−−−− okres dojrzewania,
−−−− okres dorosłości i dojrzałości (od 18 do 59 r. Ŝ.),
−−−− starość (od 60 r. Ŝ.),) [23, s. 6-25].
Okres prenatalny trwa od momentu zapłodnienia do chwili urodzenia dziecka, pokrywa
się w czasie z długością ciąŜy – 40 tygodni (280 dni). WyróŜnia się w nim 3 fazy:
−−−− fazę jaja płodowego (0-2 tygodni),
−−−− fazę zarodka (3-8 tygodni), tj. do zakończenia organogenezy, czyli tworzenia się
narządów,
−−−− fazę płodu (od 9 tygodnia do chwili urodzenia się dziecka).
Początkiem rozwoju prenatalnego jest moment połączenia plemnika z komórką jajową
i utworzenia w wyniku tego zygoty, która z chromosomami (23 od matki i 23 od ojca) dzieli
się i przesuwa się wzdłuŜ jajowodu ku macicy, a tam zagnieŜdŜa w jej ściance. W tym
miejscu kończy się faza jajowa. Po przymocowaniu jaja do ściany macicy formuje się
owodnia, zabezpieczająca zarodek przed mechanicznymi uszkodzeniami. Przez nią prowadzi
pępowina, która łączy zarodek z zewnętrzną błoną płodową - kosmówką, która zrasta się
z kosmkami błony śluzowej macicy, formując w ten sposób łoŜysko, przez które substancje
odŜywcze przenikają z krwi matki do krwioobiegu płodu. Zarodek charakteryzuje się duŜą
wraŜliwością na wpływ czynników zewnętrznych. Wtedy następuje formowanie się
większości wad rozwojowych. W fazie zarodkowej: ma miejsce niezmiernie szybki rozwój,
m.in. tworzenie się układów i narządów, w których potem następują jedynie zmiany
wielkości; tworzą się warstwy zarodkowe – materiał, z którego formują się wszystkie narządy
i tkanki – ektoderma (naskórek, włosy, paznokcie, tkanka nerwowa), mezoderma (skóra,
mięśnie, narządy, układ krąŜenia i wydalania) i endoderma (tchawica, grasica, trąbka
Eustachiusza); rozwijają się równieŜ oczy, uszy, usta, nos, głowa, kończyny; budowa serca
jest juŜ wyraźna, w końcu trzeciego tygodnia przejawiają się juŜ skurcze mięśni. Pod koniec
fazy płodowej waga dziecka waha się od 2,9 do 3,5 kg, a długość od 49 do 54 cm. Rozwijają
się narządy wewnętrzne do postaci umoŜliwiającej Ŝycie poza organizmem matki. W trzecim
miesiącu istnieje system nerwowy, obserwuje się juŜ ruchy dziecka, wyraźna jest praca nerek
i serca płodu. W okresie płodowym formuje się juŜ czucie skórne, odczuwanie bodźców
termicznych, smaku, węchu, słuchu, ukształtowany zostaje narząd równowagi [3, s. 52-54].
Okres noworodkowy to pierwszy miesiąc po narodzinach, traktuje się go jako okres
przystosowawczy do Ŝycia dziecka w nowym otoczeniu. Dziecko rodzi się z krzykiem, po
którym powietrze po raz pierwszy wchodzi do płuc i wypełnia sklejone pęcherzyki płucne.
Odtąd zapotrzebowanie organizmu w tlen odbywa się poprzez drogi oddechowe. Około 75%
noworodków zaczyna oddychać w pierwszej minucie Ŝycia. Noworodek przejawia ogólną
„Projekt współfinansowany ze środków Europejskiego Funduszu Społecznego”
21
aktywność ruchową. Ruchy są chaotyczne, nieskoordynowane i występują spontanicznie
w reakcji na bodźce zewnętrzne [30, s. 55-57].
Okres niemowlęcy – niemowlę ma charakterystyczny wygląd: stosunkowo duŜą głowę
i tułów a krótką szyję, jest bardzo wraŜliwe na wpływy zewnętrzne; osiąga spionizowaną
postawę ciała, co pozwala mu opanować lokomocję. W pierwszym okresie niemowlęta
poruszają się „na czworakach”, raczkując. Pod koniec 1 r.Ŝ. zazwyczaj dziecko juŜ staje
i niezbyt pewnie chodzi, uczy się poznawać otoczenie – wykształca w sobie zdolność
emocjonalnego reagowania na osoby bliskie, przede wszystkim na matkę. Wówczas kształtują
się zasadnicze elementy rozwoju uczuciowego, ponadto dziecko rozumie, co do niego się
mówi, a po intonacji głosu i wyrazie twarzy rozmówcy, uczy się poznawać zabarwienie
uczuciowe ludzkiej mowy [03, s. 57-67; 44, s. 285-338].
W wieku poniemowlęcym tempo rozwoju somatycznego jest znacznie wolniejsze,
mniejsze jest zapotrzebowanie na pokarmy, znika podskórna tkanka tłuszczowa, dziecko staje
się znacznie szczuplejsze, ale za to sprawniejsze. Doskonali ono swoją motorykę i mowę
(mowa jest prawie swobodna), staje się bardziej niezaleŜne, samodzielne, poznaje otoczenie.
Charakterystyczną cechą dziecka w tym okresie jest ogromne zapotrzebowanie na ruch.
W tym okresie dziecko powinno juŜ opanować świadome oddawanie moczu i kału. Uzębienie
mleczne ustala się w pełnym zakresie (20 zębów) [30, s. 69-84; 44, s. 343-404].
Okres przedszkolny (3-7 r.Ŝ.), cechuje dalsza stopniowa zmiana sylwetki dziecka, która
pod koniec szóstego roku Ŝycia nabiera cech typowych dla danej płci: u chłopców ulega
rozrostowi pas barkowy, u dziewcząt pas biodrowy, wzrasta takŜe siła mięśniowa i sprawność
motoryczna. Rozwijają się i usprawniają narządy wewnętrzne, których czynności bardziej
zbliŜają się do funkcji organizmu dojrzałego. Pod koniec wieku przedszkolnego rozpoczyna
się zmiana uzębienia mlecznego na stałe. Prawidłowo rozwijające się dziecko we wczesnym
wieku przedszkolnym powinno posiadać zdolność koordynacji ruchów, oraz ustaloną prawo –
lub lewostronną lateralizację (przewaga czynności jednej połowy ciała nad drugą [28, s. 148].
W sferze psychiki zwiększa się aktywność intelektualna, dociekliwość, następuje rozkwit
wyobraźni i zdolności fantazjowania. WydłuŜa się moŜliwość skupiania uwagi. śycie
emocjonalne charakteryzuje się Ŝywą dynamiką, impulsywnością i chwiejnością równowagi.
W ostatniej fazie okresu przedszkolnego zwiększają się przejawy woli i moŜliwości
opanowania reakcji impulsywnych, umiejętności współdziałania w zabawie z rówieśnikami
i podporządkowania się wymaganiom Ŝycia zbiorowego, oraz przestrzeganie norm moralno –
społecznych. [44, s. 416-500]
Okres szkolny (6-7 r.Ŝ. do 18 r.Ŝ), tu róŜnice rozwoju somatycznego, psychicznego
i społecznego u dzieci końcowych roczników tego okresu są bardzo znaczne. WaŜną cechą
tego okresu jest rozwój uzębienia stałego. W wieku szkolnym zauwaŜalny jest intensywny
rozwój psychoruchowy. W tym okresie dziecko osiąga tak zwaną „dojrzałość szkolną”; czyli
taki stopień rozwoju umysłowego, emocjonalnego i fizycznego jaki umoŜliwia mu udział
w Ŝyciu szkolnym i opanowanie treści programowych klasy I [28, s. 55]. Na przeobraŜenia
w osobowości, zwłaszcza w sferze intelektualnej, główny wpływ ma zamiana zabawy
w naukę szkolną. Okres ten charakteryzuje rozwój uczuć wyŜszych i intelektualizacja emocji.
PrzeobraŜenia w rozwoju mowy, zwiększają jej funkcję symboliczną i związek z myśleniem,
które stopniowo przechodzi od konkretno-wyobraŜeniowego do słowno-logicznego.
Doskonali się spostrzegawczość. Treść zabaw intelektualizuje się. Występują róŜnice
zainteresowań w zaleŜności do płci: u chłopców zainteresowanie techniką (np. samochody,
Internet), zaś u dziewczynek modą, lalkami, itp. Umiejętność panowania nad własnym
zachowaniem, powstrzymywanie się od działania pod wpływem emocji, tendencje do
chwalenia się, duŜe poczucie sprawiedliwości, świadomości moralnej i skali stosowanych
ocen. Zwiększa się aktywność i samodzielność myślenia, pojawia się porównywanie,
„Projekt współfinansowany ze środków Europejskiego Funduszu Społecznego”
22
abstrahowanie, uogólnienie. Odczuwana jest potrzeba obcowania z rodzicami, ale ich
autorytet stopniowo się zmniejsza. Zaczynają dominować wzory rówieśników [30, s. 86-142]
Okres dojrzewania płciowego – jego pierwszą cechą jest indywidualny przebieg, zarówno
w sensie czasu występowania jak i nasilenia róŜnych objawów. Wiek metrykalny przestaje
mieć tu znaczenie; trudno jest „na oko” ocenić wiek dziecka; dziewczynka 15-letnia moŜe być
kobietą dojrzałą somatycznie, a więc juŜ nie rośnie i od dawna miesiączkuje, ale moŜe być
takŜe jeszcze dzieckiem, które dopiero zaczyna dojrzewać. W okresie tym cięŜar ciała
zwiększa się wolniej. Proporcje ciała ulegają zmianie. Mija dziecięcość rysów twarzy, która
po okresie dojrzewania osiąga juŜ dorosły wyraz. U chłopców występuje rozrost krtani,
zmiana tonacji głosu (mutacja). Zaczyna się silny rozwój pasa barkowego. Na ciele pojawia
się stopniowo owłosienie. U dziewcząt rozwija się etapami pierś kobieca. Około trzynastego
roku Ŝycia występuje pierwsza miesiączka (wahania w czasie od 9 do 16 roku Ŝycia).
Charakterystyczną cechą okresu dorastania jest intensywny rozwój intelektualny. Kształtuje
się myślenie abstrakcyjne, formalne, logiczne, hipotetyczno-dedukcyjne, krystalizuje się
obraz samego siebie oraz poczucie własnej odrębności. Typowymi zachowaniami młodzieŜy
w okresie dorastania są: nasilenie krytycyzmu w stosunku do wszystkiego, a zwłaszcza do
rodziców i dorosłych, odczuwanie potrzeby uwolnienia się spod ich opieki, przekora,
krnąbrność i nieposłuszeństwo. Narastające konflikty z rodzicami, kryzys ich autorytetu
i osłabienie więzi emocjonalnych, podatność na wpływy grupy rówieśniczej, zawieranie
przyjaźni indywidualnych oraz w ramach „paczek” rówieśników. Szukanie kontaktów
heteroseksualnych, tworzenie się „par”. Tendencje do naśladowania zewnętrznych form
„dorosłości”, np. w postaci palenia papierosów. Dominacja na zmianę trzech rodzajów
przeŜyć: stanów obronnych (lęk, niepokój, smutek, nieśmiałość), stanów agresywnych
(gniewu, zazdrości, nienawiści, wrogości) oraz uczuć pozytywnych (czyli radości,
wzruszenia, miłości, podniecenia). W końcowym stadium tego okresu wykształcają się
uczucia wyŜsze – społeczne, moralne, etyczne – predysponujące do angaŜowania się
w programy społeczne, polityczne, religijne, itp. [44, s. 665-775].
Okres dorosłości i dojrzałości to okres stabilizacji, osiągnięcia harmonii. Nie oznacza to
jednak zakończenia rozwoju fizycznego i psychicznego; zwiększa się cięŜar ciała, natomiast
w nieznacznym stopniu wzrost, mózg ulega nadal zmianom, stąd dalszy rozwój i bogacenie
się Ŝycia psychicznego. Dla dorosłych charakterystyczny jest teŜ poziom moralności
konwencjonalnej (perspektywa członka określonej społeczności) i pokonwencjonalnej
(przyjęcie jednostkowego punktu widzenia świata). Na okres ten składają się ponadto
następujące elementy: intymność, budowanie związków, małŜeństwo, budowanie Ŝycia
rodzinnego, wychowanie dzieci, prowadzenie domu, praca zawodowa. Jest to okres
względnej stabilizacji i pełni Ŝycia, 40 r. Ŝ. to tzw. środek Ŝycia. Po jego przekroczeniu
w zaleŜności od uprzednich doświadczeń następuje okres bardziej twórczego Ŝycia lub jego
zawęŜenia. Sytuacją mogącą wpływa na rozwój człowieka jest teŜ tzw. „faza pustego
gniazda”, zwana teŜ „syndromem opuszczonego gniazda” czyli Ŝycie po usamodzielnieniu się
dzieci. Dawniej pojęcie to stosowano głównie do kobiet i ich poczucia straty po
usamodzielnieniu się najmłodszego dziecka. Obecnie wiadomo, Ŝe syndrom ten nie musi
wystąpić, jeśli występuje to takŜe u ojców. Jednym z problemów w małŜeństwie jest
pogodzenie się z odejściem dziecka po wielu latach współzaleŜności, zmiana przyzwyczajeń,
czasem stylu Ŝycia, zagospodarowanie czasu wcześniej przeznaczanego dla dzieci, zwłaszcza
jeśli dzieci mieszkają daleko, brak jest wnuków lub rzadki kontakt z nimi. Zdarzają się
wówczas nieporozumienia między małŜonkami, rozstania, kobiety słabsze emocjonalnie
popadają w depresję. Wiele matek wspomina jednak teŜ o korzyściach płynących z tej
sytuacji jak np. wzrost satysfakcji z małŜeństwa, pewności siebie, większa łagodność,
poczucie stabilizacji. U kobiet w średnim wieku rośnie asertywność, a słabnie uległość,
wzrasta chęć większego udziału w Ŝyciu zawodowym i społecznym. Po opuszczeniu domu
„Projekt współfinansowany ze środków Europejskiego Funduszu Społecznego”
23
przez dziecko występują takŜe przypadki odwrócenia się ról u małŜonków, zwykle
męŜczyzna był aktywniejszy poza domem, a kobiety bardziej zaleŜne uczuciowo, w okresie
porodzicielskim róŜnice te mogą słabnąć, a nawet ulec odwróceniu [29, s. 195-196]. Trudne
chwile związane z odejściem dzieci z domu mogą stać się szansą do pełniejszego rozwoju
emocjonalnego zarówno dzieci, jak i rodziców. Aby tak się stało konieczne jest jednak, Ŝeby
rodzice nie patrzyli na siebie jednowymiarowo, Ŝeby nie ograniczali się tylko do roli rodzica,
ale umieli znajdować satysfakcję równieŜ w Ŝyciu zawodowym, w relacji z męŜem lub Ŝoną,
przyjaciółmi i innymi członkami rodziny.
Starość – początek tego okresu wiąŜe się zwykle z momentem przejścia na emeryturę.
Tempo starzenia się jest inne dla kaŜdego człowieka. W tym okresie rozpoczyna się
i postępuje stopniowa degradacja tkanek i narządów, co ogranicza wydolność organizmu;
następuje ograniczenie moŜliwości intelektualnych i psychicznych, a przebyte choroby
przyspieszają, procesy degradacyjne w organizmie. Procesy te często są wybiórcze i dotyczą
jedynie niektórych waŜnych Ŝyciowo narządów, przy zachowaniu doskonałej wydolności
innych. Proces obumierania komórek mózgowych ma niejednakowe tempo u róŜnych ludzi,
to teŜ u osób starszych w tym samym wieku kora mózgowa moŜe mieć bardzo róŜna
wydolność funkcjonalną. U ludzi starszych wydłuŜa się tzw. czas reakcji. Działania stają się
mniej sprawne do czego przyczynia się równieŜ zmniejszona wydajność fizyczna. Zdolność
uczenia się oraz zdolność zapamiętywania jest na ogół obniŜona - jednak w róŜnym stopniu
u róŜnych ludzi. Olbrzymią rolę odgrywa doświadczenie, wykształcenie, stopień ogólnej
inteligencji. Trzeba tu podkreślić, Ŝe np. intelektualiści, naukowcy, często do późnego wieku
zachowują pełną sprawność umysłową nie wykazując starczego spowolnienia funkcji
umysłowych. Ludzie starsi, przygnębieni swym wiekiem kalendarzowym często popadają
w apatię i pesymizm, wycofują się z działalności i z niechęcią odrzucają wszelkie sugestie
jakichkolwiek ćwiczeń fizycznych czy umysłowych i dąŜeń do rewitalizacji. Zasadnicza
postawa Ŝyciowa jest wynikiem wielu okoliczności – dyspozycji wrodzonych, charakteru,
warunków zewnętrznych, stanu zdrowia, wtedy wytworzyć się moŜe postawa zgorzkniałego
pesymizmu lub przeciwnie, pogodnego optymizmu i zadowolenia z Ŝycia. W wieku starszym
postawa Ŝyciowa „usztywnia się”. Cechy charakteru i jego wady zaostrzają się, stają się
bardziej raŜące. Niekiedy jednak zjawiają się cechy wręcz przeciwne poprzednim
dyspozycjom. Człowiek za młodu oszczędny, na starość staje się przesadnie skąpy, czasem
odwrotnie, moŜe stać się rozrzutny. Tego rodzaju zmiany charakteru czy usposobienia
związane są z rozwojem otępienia, braku krytycyzmu, urojeniami. [29, s. 317-331].
Amerykańska autorka S. Reichard wyróŜnia pięć najczęściej spotykanych
psychologicznych postaw u ludzi starszych:
a) postawa konstruktywna dotyczy człowieka, który przez całe Ŝycie był pogodny,
zadowolony i wesoły i na starość te cechy zachowuje. Jest pozytywnie nastawiony do
Ŝycia, z którego się cieszy, godzi się równieŜ ze śmiercią, która go nie przeraŜa, jest
aktywny, stara się pomagać innym. Z emerytury stara się korzystać szukając rozrywek
i kontaktu z ludźmi,
b) postawa zaleŜna występuje u ludzi, którzy przez całe Ŝycie byli nieufni, słabi, ulegli
i bierni. Starzejąc się poszukują pomocy, oparcia i akceptacji, a nie otrzymując tego, czują
się nieszczęśliwi i pokrzywdzeni,
c) postawa obronna to typ emerytów „opancerzonych”. Nie chcą oni zbliŜenia ani pomocy
od innych, trzymają się sztywno, z daleka nie ujawniając swych uczuć. Starości
nienawidzą i nie chcą rezygnować z pracy i aktywności,
d) postawa wrogości do świata to typ osób starszych, oskarŜający otoczenie i społeczeństwo,
które ponosi winę za wszystkie ich poraŜki i niepowodzenia. Są podejrzliwi, agresywni,
nie ufają nikomu i nie chcą być zaleŜni, a mając wstręt do starości i zaleŜności kurczowo
trzymają się pracy,
„Projekt współfinansowany ze środków Europejskiego Funduszu Społecznego”
24
e) postawa wrogości do siebie – ludzie bierni, bez zainteresowań i bez inicjatywy, skłonni do
depresji. Czują się samotni i niepotrzebni, Ŝycie swoje uwaŜają za nieudane, a o śmierci
myślą jako o wybawieniu z nieszczęśliwego Ŝycia [3].
Negatywne uczucia i nastawienia mogą łatwo się wytwarzać w starości nie tylko z
powodu utraty zdrowia czy urody. W tym okresie dawne ustalone formy Ŝycia stopniowo
rozpadają się na skutek wydarzeń takich, jak utrata współmałŜonka, rodzeństwa czy
przyjaciół, przejście na rentę, czy rozstanie się z dziećmi – te wszystkie nieraz cięŜkie stresy
psychiczne trzeba wytrzymać i układać Ŝycie na nowo w okresie, gdy sił juŜ coraz mniej. Ta
pewność, Ŝe Ŝycie potrwa juŜ niedługo, w swoisty sposób wpływa na psychikę starego
człowieka. Zjawia się poczucie znikomości spraw tego świata, powstają pytania o sens i cel
Ŝycia. Wzrasta zainteresowanie kwestiami religijnymi i filozoficznymi. Do uspokojenia i
uciszenia skutecznie przyczynia się z biegiem lat narastające osłabienie fizyczne oraz
zmniejszenie wydzielania hormonów, zwłaszcza płciowych.
4.3.2. Pytania sprawdzające
Odpowiadając na pytania, sprawdzisz, czy jesteś przygotowany do wykonania ćwiczeń.
1. Jakie są stadia rozwoju prenatalnego?
2. W jaki sposób moŜesz we własnym Ŝyciu spoŜytkować wiedzę dotyczącą poszczególnych
okresów Ŝycia człowieka?
3. Kiedy następuje intensywny rozwój psychoruchowy dziecka?
4. Jakie najwaŜniejsze wydarzenia występują w okresie dojrzewania płciowego?
5. Jakie są typowe zachowania młodzieŜy w okresie dorastania?
6. Jakie znasz pięć najczęściej spotykanych psychologicznych postaw u ludzi starszych
wyróŜnianych przez S. Reichard?
4.3.3. Ćwiczenia
Ćwiczenie 1
Określ czas trwania i cechy charakterystyczne okresów Ŝycia człowieka. Uzupełnij
tabelę.
Okres Ŝycia Czas trwania Cechy charakterystyczne
Sposób wykonania ćwiczenia
Aby wykonać ćwiczenie, powinieneś:
1) dokonać analizy materiału nauczania dotyczącego okresów Ŝycia człowieka,
2) przygotować tabelę według podanego wzoru,
3) uzupełnić tabelę,
4) dokonać analizy wyników ćwiczenia,
5) zapisać wnioski,
6) zaprezentować pracę.
WyposaŜenie stanowiska pracy:
−−−− arkusz papieru A4,
−−−− przybory do pisania,
−−−− linijka, ołówek, gumka,
−−−− wzór tabeli do uzupełnienia.
„Projekt współfinansowany ze środków Europejskiego Funduszu Społecznego”
25
Ćwiczenie 2
Określ znaczenie i konsekwencje uczęszczania dziecka do przedszkola.
Sposób wykonania ćwiczenia
Aby wykonać ćwiczenie, powinieneś:
1) określić jakie znaczenie moŜe mieć fakt uczęszczania dziecka do przedszkola,
2) określić konsekwencje uczęszczania dziecka do przedszkola,
3) zapisać wnioski,
4) przedyskutować wnioski w grupie.
WyposaŜenie stanowiska pracy:
−−−− miesięcznik „Wychowanie w Przedszkolu”,
−−−− poradnik dla ucznia,
−−−− arkusz papieru formatu A4,
−−−− przybory do pisania.
Ćwiczenie 3
Scharakteryzuj zachowanie starszych osób (dziadków, sąsiadów). Porównaj ich
zachowanie z opisem w materiale nauczania, określ podobieństwa i róŜnice.
Sposób wykonania ćwiczenia
Aby wykonać ćwiczenie, powinieneś:
1) przeanalizować fragment materiału nauczania dotyczący osób starszych,
2) scharakteryzować zachowanie osób starszych,
3) określić podobieństwa i róŜnice zachowań z innymi osobami,
4) zapisać wnioski,
5) zaprezentować wyniki.
WyposaŜenie stanowiska pracy:
−−−− arkusz papieru A4,
−−−− przybory do pisania,
−−−− poradnik dla ucznia.
4.3.4. Sprawdzian postępów
Czy potrafisz: Tak Nie
1) wymienić kolejno etapy rozwoju człowieka? □ □
2) określić 3 fazy okresu prenatalnego? □ □
3) scharakteryzować okres niemowlęcy? □ □
4) określić główną cechę okresu poniemowlęcego? □ □
5) dokonać podziału okres dzieciństwa? □ □
6) scharakteryzować typowe zachowania w okresie dojrzewania? □ □
7) wyjaśnić na czym polega syndrom tzw. pustego gniazda □ □
8) określić typowe cechy okresu starości? □ □
„Projekt współfinansowany ze środków Europejskiego Funduszu Społecznego”
26
4.4. Podział i charakterystyka procesów psychicznych; procesy
poznawcze, emocjonalne, motywacyjne
4.4.1.Materiała nauczania
Proces psychiczny to sekwencja zmian zachodzących w przebiegu aktywności
psychicznej człowieka, np. proces spostrzegania, myślenia, decydowania. Podmiot będąc
aktywnym moŜe zdawać sobie sprawę z zachodzenia procesu, np. w spostrzeganiu moŜe mieć
świadomość zachodzących zmian, zmieniania się treści poznawczych, podobnie w myśleniu
i decydowaniu [36, s. 211]. Nie kaŜdy proces psychiczny musi być uświadomiony. Procesy
psychiczne dzielimy na: poznawcze, emocjonalno-pobudzeniowe, wykonawcze.
WraŜenia zmysłowe to elementarne składniki procesu poznawczego; powstają wskutek
działania bodźców na poszczególne narządy zmysłów, są odzwierciedleniem izolowanych
cech przedmiotów np. barwy, dźwięku, zapachu. Mechanizm ten przebiega w sposób
podświadomy. WraŜenia dzieli się w zaleŜności od receptorów, które odbierają bodźce na:
wzrokowe, dotykowe, słuchowe, węchowe, smakowe, ciepła i zimna, organiczne, równowagi,
stawowo-mięśniowe [29, s. 96-104].
Spostrzeganie to proces przetwarzania sensorycznego prostych cech bodźców na
poziomie doświadczania i rozpoznawania konkretnych złoŜonych przedmiotów
w otaczającym środowisku [35, s. 54]. Proces spostrzegania jest złoŜony, aktywny, cykliczny,
ma charakter decyzyjny oraz w duŜej mierze nieświadomy. WaŜną rolę w działaniu człowieka
odgrywa stałość spostrzeŜeń. Polega to na tym, Ŝe mimo zmiany warunków spostrzegania
spostrzegamy jako stałe pewne cechy przedmiotu jak np. barwa, kształt czy wielkość.
SpostrzeŜenia nie zawsze są prawidłowe czasem zdarzają się złudzenia lub halucynacje.
Spostrzeganie jest czynnością zorganizowaną [29, s. 111].
Podział spostrzeŜeń
1. Ze względu na rodzaje narządów zmysłowych: wzrokowe, słuchowe, dotykowe,
wielozmysłowe.
2. Ze względu na rodzaj zjawisk rzeczywistości odzwierciedlanych w spostrzeŜeniu:
spostrzeganie przedmiotów, przestrzeni i stosunków przestrzennych między rzeczami,
czasu, ruchów istot i przedmiotów.
3. Ze względu na poziom organizacji spostrzegania: spostrzeŜenia figuralne i przedmiotowe.
Proces spostrzegania moŜe być: dowolny i mimowolny – do narządów zmysłowych
docierają bodźce z otoczenia bez udziału naszej woli. Gdy spostrzeganie dowolne staje się
samoistną czynnością poznawczą, nazywa się je obserwacją. Obserwowanie kształtuje
spostrzegawczość – zdolność do wyróŜniania w spostrzeganym przedmiocie lub zjawisku
cech drobnych, trudno zauwaŜalnych [29, s. 117-118].
Uwaga to skierowanie świadomości na jakiś przedmiot lub zjawisko świata
zewnętrznego i wewnętrznego.
Funkcje uwagi:
−−−− selektywność (jeŜeli człowiek zwraca ją na jeden przedmiot lub zjawisko to tym samym
odwraca uwagę od innych),
−−−− ukierunkowanie na określony cel i zadanie.
Rodzaje uwagi:
−−−− reaktywna – odgrywa waŜną rolę regulacyjną w zachowaniu reaktywnym, w skład
którego wchodzą nawyki i odruchy,
−−−− kognitywna – wiąŜe się z zachowaniem celowym, skierowanym na wykonanie
określonego zadania,
„Projekt współfinansowany ze środków Europejskiego Funduszu Społecznego”
27
−−−− mimowolna – zostaje wywołana przez pewne właściwości bodźców i sytuacji bez
wysiłku ze strony jednostki,
−−−− dowolna – wymaga świadomego zamiaru i wysiłku woli,
−−−− wtórna – występuje wtedy, gdy po świadomym i zamierzonym skoncentrowaniu uwagi
na zadaniu człowiek zostaje przez nie tak pochłonięty wykonywanymi czynnościami, Ŝe
nie wymagają one z jego strony juŜ Ŝadnego wysiłku [29, s. 120-122].
Cechy uwagi:
−−−− pojemność (zakres) – zaleŜy od własności spostrzeganych przedmiotów oraz właściwości
rozwojowych i indywidualnych;
−−−− natęŜenie (siła, intensywność) – warunkuje koncentrację na określonym przedmiocie,
zadaniu i utrzymanie go w polu uwagi,
−−−− trwałość – koncentracja uwagi przez dłuŜszy czas,
−−−− podzielność – moŜliwość jednoczesnego skupiania się na kilku obiektach,
−−−− przerzutność – szybkie przechodzenie od jednego zajęcia do innego,
−−−− roztargnienie – brak umiejętności utrzymania i skoncentrowania uwagi przez dłuŜszy
czas [29, s. 122-125].
Wyobraźnia to samodzielny proces tworzenia obrazów (wyobraŜeń) na podstawie
minionych spostrzeŜeń. WyobraŜenia są obrazami przedmiotów lub zjawisk, których nie
postrzegamy w danej chwili. Wyobraźnia jest procesem, a wyobraŜenie jego produktem,
rezultatem. Jest ona rozwinięta w niejednakowy sposób u róŜnych ludzi, moŜe być bogata lub
uboga. Znaczenie wyobraźni: pomaga przyswajać wiadomości, tworzyć nowe dzieła, pomaga
planować, rozumieć świat, relaksuje.
Rodzaje wyobraźni:
−−−− mimowolna – wyobraŜenia na jawie, marzenia senne, cechuje ją swobodny bieg
wyobraŜeń,
−−−− dowolna – wytwarzanie wyobraŜeń w sposób świadomy i celowy,
−−−− odtwórcza – obrazy są nieznacznym przekształceniem obrazów percepcyjnych,
−−−− wytwórcza (twórcza) – wytwarza obrazy nowe i oryginalne,
−−−− kierowana – ma miejsce, gdy wyobraŜenia wytwórcze powstają pod wpływem
określonych bodźców i sytuacji prowokujących powstawanie obrazów z danej dziedziny,
np. lektura,
−−−− wyobraźnia artystyczna to umiejętność przekazywania w dowolnej formie artystycznej
swoich wraŜeń i wyobraŜeń. Wyobraźnia artystyczna jest teŜ czasem rozumiana jako
zdolność do „zobaczenia” w swoim umyśle tworzonego dzieła artystycznego zanim
zostanie ono technicznie wykonane [29, s. 129-133].
Pamięć jest jednym z zasadniczych procesów psychicznych, jest to zdolność do
magazynowania napływających informacji. Gromadzi i przechowuje przeszłe doświadczenia
i wykorzystuje je w róŜnych sytuacjach.
3 podstawowe procesy pamięciowe:
−−−− zapamiętywanie – jest procesem gromadzenia wiedzy i umiejętności człowieka,
−−−− przechowywanie – w czasie pamiętania występują dwa istotne procesy: zapominanie (jest
procesem naturalnym, polega na zmniejszeniu się pod wpływem czasu materiału
pamięciowego); zniekształcanie (jest procesem wyłącznie negatywnym i polega na
powstawaniu róŜnorodnych zmian w przechowywanym materiale),
−−−− odtwarzanie – polega na przypominaniu lub rozpoznawaniu [29, s. 133-136].
Kryteria róŜnicujące pamięć:
−−−− przedmiot – obrazowa, słowna, uczuć, epizodyczna, semantyczna,
−−−− rozumienie – mechaniczna, logiczna,
−−−− udział woli – dowolna, mimowolna,
„Projekt współfinansowany ze środków Europejskiego Funduszu Społecznego”
28
−−−− trwałość przechowywania – bezpośrednia, odroczona, ultra krótka, krótkotrwała,
długotrwała,
−−−− rodzaj przypomnień – rozpoznawcza, odtwórcza.
Rodzaje pamięci:
−−−− gatunkowa – zawiera doświadczenia poprzednich pokoleń,
−−−− osobnicza – dotyczy indywidualnych doświadczeń jednostki,
−−−− obrazowa (dzieli się na wzrokową i słuchową) – zapamiętywanie i odtwarzanie bodźców
działających na analizatory,
−−−− słowno-logiczna – zdolność do zapamiętywania i odtwarzania myśli wypowiedzianych
w słowach,
−−−− ruchowa – dotyczy nawyków i sprawności motorycznych,
−−−− uczuciowa – zapamiętywanie i odtwarzanie zdarzeń, które są silnie zabarwione
emocjonalnie, epizodyczna – przechowywanie jednostkowych faktów i zdarzeń, które
wystąpiły w określonym miejscu i czasie,
−−−− semantyczna – jej przedmiotem są uogólnione kategorie, przedmioty i prawa,
−−−− mechaniczna – zapamiętywanie bez zrozumienia,
−−−− logiczna –zapamiętywanie ze zrozumieniem,
−−−− dowolna – nastawienie na zapamiętanie,
−−−− mimowolna – zapamiętywanie bez wysiłku i woli danej osoby,
−−−− bezpośrednia – ujmowanie i utrzymywanie w świadomości wielu bodźców działających
na nas w danej chwili i ich reprodukcja (np. w rozmowie nie tylko słyszymy pojedyncze
słowa, ale tworzymy z nich zdanie i je rozumiemy, nie tracimy wątku),
−−−− odroczona – cechuje ja duŜa trwałość i nieograniczony zakres,
−−−− krótkotrwała – ma ograniczony zakres i czas trwania. Ślady bodźców głównie
obrazowych utrzymują się w niej 20 s., stanowi ona pierwszy etap przetwarzania
informacji,
−−−− długotrwała – jej pojemność i czas trwania są nieograniczone,
−−−− rozpoznawcza – rozpoznawanie zapamiętanego materiału,
−−−− odtwórcza – jej zadaniem jest odtwarzanie zapamiętanych treści. [24, s. 93-94; 38,
s. 8-90; 29, s. 150-154].
Cechy pamięci: trwałość, szybkość, gotowość, dokładność, zakres
Myślenie to aktywny proces poznawczy odzwierciedlający ogólne cechy i stosunki
między róŜnymi elementami rzeczywistości, zmierzający do rozwiązywania określonych
problemów (zadań, zagadnień). Czynność myślenia obejmuje procesy planowania,
przewidywania, oceniania, rozumienia i wnioskowania. Informacje zawarte w wyobraŜeniach,
spostrzeŜeniach i pojęciach są przetwarzane za pomocą operacji umysłowych: analizy,
syntezy, porównywania, abstrahowania, i uogólniania.
Analiza to myślowe rozdzielanie elementów całości. Synteza polega na scalaniu
poszczególnych składowych. Porównywanie jest operacją zestawiania ze sobą róŜnych
elementów z uwagi na ich podobieństwa i róŜnice. Abstrahowanie polega na wyróŜnianiu
jednej właściwości elementu i jednoczesnym pomijaniu innych. Uogólnianie charakteryzuje
się ujmowaniem właściwości, cech wspólnych dla określonej klasy zjawisk i rzeczy z
pominięciem cech jednostkowych. Istotne znaczenie dla rozwoju złoŜonych czynności
umysłowych ma mowa. Dzięki myśleniu, tak jak i pamięci, człowiek posiada zdolność
przystosowania się do zmiennych warunków rzeczywistości, co określamy inteligencją.
Rodzaje myślenia:
1. Sensoryczno-motoryczne (zmysłowo-ruchowe) – typowe myślenie w działaniu połączone
z manipulowaniem przedmiotami dla osiągnięcia celu, dominuje ono u dzieci do 2,5 r. Ŝ.
„Projekt współfinansowany ze środków Europejskiego Funduszu Społecznego”
29
2. Konkretno-wyobraŜeniowe, zaczyna się juŜ w 3 r. Ŝ., chodzi tu o konkretny rodzaj
przedmiotów, na których przebiega myślenie np. dla hydraulika będą to rury, a dla
dziecka zabawki.
3. Słowno-logiczne (symboliczne, pojęciowe, abstrakcyjne) jest oparte na języku, mowie.
W wieku przedszkolnym tylko w postaci zaląŜkowej, a w wieku szkolnym rozwija się
wraz z przyswajaniem nowych pojęć – nauki.
Formy myślenia słowno-logicznego:
1. Pojęcia – treścią pojęć są ogólne właściwości wspólne dla jakiegoś zbioru rzeczy oraz
stosunki pomiędzy elementami rzeczywistości. MoŜna podzielić je na: konkretne -
przedmioty o rozmaitym stopniu ogólności (torba, lampa, koń), abstrakcyjne - którym
nie odpowiadają Ŝadne realnie istniejące przedmioty, lecz ujmujemy ich sens i zakres.
(liczba, sprawiedliwość, piękno, dobro, miłość, wiedza).
2. Sądy są formą myślenia słowno-logicznego, wyróŜniamy sądy: ogólne, szczegółowe,
jednostkowe, twierdzące i przeczące.
3. Wnioskowanie to teŜ forma myślenia słowno-logicznego. Jest to proces
wyprowadzenia jednych sądów z innych zwanych przesłankami.
4. Rozwiązywanie problemów i jego etapy: dostrzeŜenie problemu, analiza sytuacji
problemowej, wytwarzanie pomysłów, weryfikacja pomysłów [29, s. 145-170].
Indywidualne cechy myślenia
Krytycyzm – polega na tym, Ŝe człowiek nie przyjmuje za ostateczne i pewne pierwszego
rozwiązania, lecz rozwaŜa argumenty za i przeciw danej hipotezy oraz sprawdza jej
prawdziwość.
Dyscyplina – systematyczne stosowanie przy rozwiązywaniu zadań ściśle określonych
zasad i metod pracy.
Pochopność – wnioskowanie na podstawie niewystarczających przesłanek, szybko, bez
rozwagi.
Samodzielność – szukanie odpowiedzi bez cudzych sugestii, zauwaŜanie nowych
problemów.
Giętkość – zdolność do przezwycięŜania sztywnych nastawień w sytuacji zadaniowej
i znajdowanie nowych sposobów dostosowanych do zmiennych warunków.
Sztywność – skłonność do trzymania się wciąŜ tych samych sposobów postępowania.
Szybkość – wydajna i ekonomiczna praca [29, s. 194-196].
Mowa i język
Język to społeczny a zarazem naturalny system znaków dźwiękowych i reguł łączenia
tych znaków, wyznaczających sposób posługiwania się nimi. Jego funkcje to:
reprezentatywna polega na przedstawianiu, odnoszeniu się do rzeczywistości pozajęzykowej,
komunikacyjna – słuŜy wymianie informacji, porozumiewaniu się [36, s. 172-174],
ekspresywna – pozwala na wyraŜanie uczuć, impresywna – oddziaływanie za pośrednictwem
mowy na słuchacza, np. wydanie polecenia, regulacyjna – kierowanie czynnościami za
pomocą mowy wewnętrznej [29, s. 200-201].
Emocja – subiektywny stan psychiczny uruchamiający priorytet dla związanego z nią
programu działania. Jej odczuwaniu towarzyszą zwykle zmiany somatyczne, ekspresje
mimiczne i pantomimiczne oraz zachowania [38, s. 222]. Źródłem emocji i uczuć jest
obiektywnie istniejąca rzeczywistość. Jednostka odzwierciedlając ją ustosunkowuje się do
niej, cieszy się, martwi, kocha, smuci, gniewa, cierpi.
Emocje są równieŜ dzielone na pierwotne – niŜsze, które dotyczą zaspokojenia
biologicznych potrzeb organizmu (gniew, lęk, radość, wstręt) i wtórne - wyŜsze, mające
charakter społeczny, dotyczące sfery wartości i wiedzy. Emocje pierwotne to niejako
predyspozycje do odpowiadania w dany sposób na dane rodzaje i jakość interakcji i dlatego
mogą być swego rodzaj automatyzmami, impulsami, zaś emocje wtórne to kształtowana
„Projekt współfinansowany ze środków Europejskiego Funduszu Społecznego”
30
zdolność, często bazująca na posiadanych predyspozycjach, do danego sposobu odpowiadania
na dane rodzaje i jakość interakcji. U nich szczególną wagę ma ocena, rozeznanie,
wartościowanie. Emocje wtórne są formą odpowiedzi na personalnie oraz społecznie waŜne
rodzaje oraz jakość interakcji i dlatego odgrywają waŜną rolę w rozwoju człowieka. Do tej
kategorii zalicza się m.in. uczucia społeczne, estetyczne, religijne, moralne, intelektualne, itp..
[8, s. 45].
Cechy procesów emocjonalnych
KaŜdy proces emocjonalny zawiera trzy cechy: znak emocji, intensywność procesów
emocjonalnych i treść emocji.
Znak emocji moŜe być dodatni bądź ujemny. Emocje i uczucia dodatnie wywołują osoby,
przedmioty i zjawiska, które przyczyniają się zaspokojenia potrzeb człowieka. Emocje te
występują w sytuacjach, gdy jednostka osiąga zamierzony cel oraz w sytuacjach optymalnej
równowagi między organizmem a środowiskiem. Człowiek zwykle dąŜy do przeŜywania
uczuć pozytywnych, dlatego teŜ ma tendencję do zbliŜania się do bodźców, które wywołują te
emocje. Sytuacje zagroŜenia oraz wszystko co utrudnia lub uniemoŜliwia zaspokojenie
potrzeb jednostki wzbudza emocje i uczucia negatywne. Emocje te nie zawsze powodują
wtedy dezorganizację zachowania jednostki, przeciwnie – mogą ułatwiać mobilizację
organizmu i przeciwdziałać zachowaniom obronnym (np.: gniew prowokuje atak, lęk,
ucieczkę). Ponadto w róŜnych okresach Ŝycia te same przedmioty i zjawiska, a takŜe
zachowania innych ludzi mogą być subiektywnie odczuwane bądź jako pozytywne, bądź jako
negatywne, stają się zatem przyczyną zupełnie odmiennych stanów emocjonalnych.
Intensywność przeŜywania emocji wynika z określonego pobudzenia ośrodkowego
układu nerwowego, czyli aktywacji – od skrajnego podniecenia emocjonalnego, jak np.
wściekłość, panika, ekstaza – do zupełnego braku podniecenia, np. głęboki sen. Wysoki czy
niski poziom aktywacji nie zawsze uzewnętrznia się w zachowaniu. Wzrost podniecenia moŜe
prowadzić do wzmoŜonej ruchliwości, moŜe takŜe wywoływać stan pozornej obojętności
i spokoju.
Treść emocji. W toku nabywania doświadczenia jednostka uczy się róŜnicować emocje
w aspekcie treściowym. Niektóre bodźce łączące się z określonymi potrzebami mogą
wywoływać określone stany emocjonalne. Na przykład bodźce chemiczne związane ze
zmianą stopnia zawartości cukru we krwi powodują emocję głodu. Podobnie wraz
z rozwojem doświadczenia człowiek uczy się uświadamiać sobie i odzwierciedlać procesy
emocjonalne wywołane specyficznie ludzkimi potrzebami, takimi jak potrzeba miłości,
szacunku, władzy, sukcesu.
Procesy emocjonalne są często dzielone na:
−−−− uczucia – stanowią wyŜsze piętro procesów emocjonalnych. Czuje się np. miłość do
kogoś lub czegoś. W ciągu Ŝycia, jednostka uczy się uświadamiać sobie własne procesy
emocjonalne. Nie tylko cierpi, smuci się czy kocha, ale wie o tym. Potrafi nazwać swe
przeŜycia i włączyć je w system informacji o sobie, oraz panować nad swymi emocjami,
−−−− afekty – uczucia powstające najczęściej pod wpływem silnych bodźców zewnętrznych,
zwłaszcza działających nagle, (gniew, złość, rozpacz, radość i strach),
−−−− nastroje – uczucia długotrwałe o małej sile i spokojnym przebiegu (zadowolenie lub
niezadowolenie, wesołość lub smutek, niepokój, tęsknota),
−−−− namiętności – to trwałe skłonności do przeŜywania róŜnych nastrojów i afektów
w związku z określonymi celami dąŜeń człowieka. Namiętności mają duŜą siłę
pobudzającą, ukierunkowują myśli, spostrzeŜenia, pamięć i inne procesy psychiczne,
−−−− sentymenty – odnosi się do trwałych sympatii bądź antypatii np. „nie lubię brukselki” [7].
Procesy emocjonalne wpływają na przebieg procesów poznawczych, nadając im swoiste
zabarwienie. Gdy doznajemy przeŜyć o charakterze pozytywnym, otaczający nas świat
spostrzegamy takŜe w kategoriach pozytywnych. Odwrotnie, gdy jesteśmy smutni lub
„Projekt współfinansowany ze środków Europejskiego Funduszu Społecznego”
31
nieszczęśliwi, cały świat moŜe nam się wydawać ponury i wrogi. PrzeŜywanie silnych emocji
tak pozytywnych jak negatywnych, moŜe wpływać na zwęŜenie pola spostrzegania.
Pochłonięty wielką radością czy teŜ cierpieniem człowiek moŜe nie zauwaŜyć pędzącego
samochodu [29, s. 226-228].
Procesy motywacyjne
Nazwa motywacja pochodzi od słowa movere (poruszać się) [8, s. 222]. Motywacja to
hipotetyczny stan organizmu, pobudzający i ukierunkowujący jego aktywność. Istnieje kilka
biologicznie pierwotnych motywacji: głód, sen [29, s. 235-238]. Proces ten zachodzi, gdy
spełnione są dwa warunki: osiągnięcie celu musi być postrzegane przez człowieka jako
uŜyteczne; prawdopodobieństwo realizacji celu przez jednostkę musi być wyŜsze od zera.
W mechanizmie tym dochodzi do interakcji procesów myślowych, fizjologicznych
i psychologicznych jednostki, które decydują o natęŜeniu motywacji. Wg psychologów
natęŜenie motywacji jest funkcją trzech zmiennych: siły procesu motywacyjnego, jego
wielkości i intensywności. Jeśli człowiek jest świadomy wyniku wykonywanych czynności
wówczas ten wynik będzie nazywany celem. Cele mogą być tutaj dwojakiego rodzaju:
materialne, jak np. płaca, niematerialne, np. satysfakcja. Podstawowy model motywacji
moŜna przedstawić wg następującego schematu:
Rys. 1. Model schematu motywacji [19]
Procesy motywacyjne ukierunkowują zachowanie jednostki na osiągnięcie określonych,
istotnych dla niej stanów rzeczy, kierują wykonywaniem pewnych czynności tak, aby
prowadziły do zamierzonych wyników (zmiana warunków zewnętrznych, zmiana we własnej
osobie, zmiana własnego połoŜenia). Proces motywacyjny składa się z zespołu pojedynczych
motywów. Motywem nazwać zaś moŜna przeŜycie pobudzające człowieka do działania lub
powstrzymujące go, lub przeszkadzające jego wykonaniu.
Proces motywacyjny to: wzbudzanie energii; ukierunkowywanie wysiłku na cel;
selektywność uwagi w stosunku do bodźców – zwiększenie wraŜliwości na bodźce istotne;
zorganizowanie reakcji w zintegrowany wzorzec; kontynuowanie czynności, dopóki warunki,
które ją zapoczątkowały nie ulegną zmianie; pobudzenie emocjonalne – uczucia dodatnie
(w przypadku realizacji zamierzeń) lub ujemne (w przypadku niespełnienia). NatęŜenie
motywacji charakteryzuje się za pomocą trzech powiązanych ze sobą parametrów: siły,
wielkości, intensywności. Siła motywacji wskazuje na większą lub mniejszą zdolność do
wytłaczania motywów konkurencyjnych (np. jeśli pomimo mrozu nie wygasa chęć udania się
na spotkanie, wówczas motyw spotkania jest silny, gdyŜ wyłącza konkurencyjny – niechęć
doświadczenia mrozu). Wielkość motywu wskazuje na rozmiar wyniku, do którego zmierza
działanie lub na liczbę czynności konsumpcyjnych potrzebnych do zaspokojenia motywu.
Rozmiar wyniku to inaczej miara ilościowa (np. im większy motyw aspiracji tym więcej
napisanych publikacji). Czynności konsumpcyjne to takie, których wykonanie redukuje
napięcie motywacyjne np. spoŜycie pokarmu przez głodnego. Określenie „napięcie
motywacyjne” wskazuje na stan pobudzenia organizmu wyraŜający się w chęci
podejmowania tego typu działania. Intensywność motywacji to właściwość, od której zaleŜy
poziom mobilizacji człowieka do działania na rzecz realizacji danego motywu, określa ona
stopień koncentracji i zuŜycia energii na rzecz motywu. Prowadzi do podwyŜszenia zdolności
do wysiłku, zwiększa się, gdy człowiek w trakcie spełniania aktywności natrafia na
przeszkodę.
Źródła motywacji: biologiczne – motywy są wynikiem natury cielesnej człowieka;
psychiczne – aktywność podejmowana w wyniku odczuwanych pragnień, chęci, stanów
„Projekt współfinansowany ze środków Europejskiego Funduszu Społecznego”
32
wewnętrznych przeŜyć emocjonalnych (stresy, frustracje); neotyczne – źródła te wskazują na
człowieka jako na, osobę, która jest sprawcą dysponującym swoją psychofizycznością, dzięki
zdolnościom do podejmowania wolnych wyborów. WiąŜe to motywację z wolnością woli
człowieka.
Rodzaje motywacji: wewnętrzna – aktywizacja następuje, gdy człowiek dąŜy do
zaspokojenia swoich potrzeb, emocji, poznania; zewnętrzna – polega na wzbudzeniu potrzeb
przez stosowanie kar i nagród, informowaniu o moŜliwościach zawartych w róŜnego rodzaju
sytuacjach i manipulowaniu tymi moŜliwościami [23, s. 427-488; 8, s. 221-235].
Aby w pełni zrozumieć wpływ motywacji na aktywność człowieka, warto zapoznać się
z teorią potrzeb A. Maslowa.
A. Maslow postawił hipotezę, Ŝe człowiek w swoim działaniu dąŜy do zaspokojenia zespołu
potrzeb, zaś potrzeby te tworzą logiczną hierarchię, którą moŜna przedstawić następująco
(w kolejności od potrzeb podstawowych do wyŜszych):
1. Potrzeby fizjologiczne (pragnienie, głód, posiłek).
2. Potrzeby bezpieczeństwa.
3. Potrzeby społeczne (przyjaźń, miłość).
4. Potrzeby szacunku.
5. Potrzeby samorealizacji.
A. Maslow podzielił potrzeby na: potrzeby niŜszego rzędu i potrzeby wyŜszego rzędu:
1. Potrzeby niŜszego rzędu – (nazywane teŜ: podstawowymi, naturalnymi, biologicznymi).
Do grupy tych potrzeb, których zaspokojenie jest niezbędne do Ŝycia zalicza się potrzeby
odŜywiania, snu, ciepła, miłości, fizjologii i inne.
2. Potrzeby wyŜszego rzędu – (kulturalne) zalicza się m.in.: potrzebę nauki, rozrywki,
podróŜowania, uczestnictwa w obrzędach religijnych
A. Maslow twierdził, Ŝe muszą być zaspokojone przede wszystkim potrzeby niŜszego
rzędu, aby było moŜliwe zaspokojenie potrzeb wyŜszego rzędu. W przypadku, gdy potrzeba
niŜszego rzędu została juŜ zaspokojona, to przestaje ona stanowić źródło motywacji. Oprócz
wymienionych pięciu potrzeb, Maslow wyróŜnił równieŜ tzw. potrzeby dodatkowe, czyli
takie, które mogą ujawniać się tylko u niektórych ludzi, np. potrzeba wiedzy, czy teŜ potrzeby
estetyczne [25, s. 386]. J. Szczepański uwaŜa potrzeby za „podstawowy fakt ludzkiej
egzystencji”. Autor stwierdza, Ŝe powstają one we wszystkich wymiarach egzystencji
człowieka w kaŜdym okresie jego rozwoju Ich źródłem są procesy Ŝyciowe zachodzące
w ludzkim organizmie (potrzeby społeczne, kulturalne).
Potrzeby biologiczne i psychiczne są mechanizmami wbudowanymi genetycznie w
„system człowiek”. Potrzeby społeczne, gospodarcze, kulturalne powstają na skutek udziału
człowieka w róŜnych systemach zewnętrznych, np. politycznych, kulturalnych. Aby w nich
uczestniczyć człowiek musi posiadać, wytwarzać określone potrzeby posiadania, wiedzy
informacji itp. WyróŜnia on tzw. potrzeby otoczkowe i pozorne.
Potrzebą otoczkową jest np. apetyt na pewne potrawy, lub spoŜywanie ich o określonej
porze. Ich zaspokojenie moŜe przyczynić się do rozwoju potrzeb pozornych np. obŜarstwa.
PoniewaŜ potrzeby pozorne nie posiadają składnika rzeczywistego ich zaspokojenie moŜe
prowadzić, np. do choroby psychicznej lub dezorganizacji systemów zewnętrznych,
w których człowiek funkcjonuje np. wzrostu przestępczości. K. Obuchowski z kolei definiuje
potrzeby jako obiektywne właściwości jednostki ludzkiej, istniejące niezaleŜnie od tego co
człowiek sobie uświadamia i czego chce [42, s. 112-117].
„Projekt współfinansowany ze środków Europejskiego Funduszu Społecznego”
33
Tabela 1. Podstawowe potrzeby i ich przejawy w róŜnych fazach rozwoju człowieka – teoria CH. Buhler
[8, s. 264]
Wiek Tendencja do
zadowolenia
Tendencja do
samoograniczani
a
Tendencja do
twórczej
ekspansji
Tendencja do
wewnętrznego
uporządkowania
Forma
spełnienia
Do 1,5
r.Ŝ
Ufność, miłość,
odkrywanie
odrębności
Koordynacja
i adaptacja ruchów
Spontaniczne
aktywności
Początek integracji
ruchów
Dobrostan
1,5 r.Ŝ –
4 r.Ŝ
Przywiązanie do
rodziców
Uczenie się stylów
Ŝycia.
Posłuszeństwo i
idealne superego.
NiezaleŜności,
początki
wchłaniania
kulturowo
określonych idei
Granie roli
i dziecięca
twórczość
artystyczna
Rozwój superego,
sumienia, początki
kształtowania idei
4– 8 r.Ŝ Okres latentny Akceptacja roli
bycia członkiem
rodziny, uczenie się
określonych
kulturowo idei
Próba określenia
zakresu autonomii
własnych wartości
ideały ego
przejawiane w
wykonywanych
zadaniach
Samoocena
uwzględniająca
ideały ego
i kulturowo
określone idee
Doskonalenie
się
8-12 r.Ŝ Okres latentny Akceptacja roli i
zadań
wyznaczonych
przez szkołę oraz
kulturowo określone
formy edukacji
Gry, sporty
grupowe, umysłowe
aktywności
badawcze
Próba dokonania
obiektywnej
ewaluacji siebie
samego w rolach
społecznych
12-18 r.Ŝ Potrzeby
seksualne,
problem
toŜsamości
płciowej
NiezaleŜność vs.
Dominacji rodziny
Rozwój
osobowości, miłość,
zryw intelektualny
Rewizja i określenie
kierunków własnego
rozwoju
Spełnienie
oderwanie się
od okresu
dzieciństwa
18 – 25
(30) r.Ŝ
Potrzeby
seksualne,
problem
toŜsamości
płciowej
Doraźne
samookreślenie
swojej roli w
społeczeństwie
Próby znalezienia
swojego miejsca
w zawodzie
i miłości
Poszukiwanie
własnej toŜsamości
25 (30)-
45 (50)
r.Ŝ
Kulminacja
jedności
w miłości
seksualnej
Akceptacja rodziny
i roli zawodowej
Realizacja siebie w
zawodzie,
małŜeństwie
i rodzinie
Znajdywanie
własnej toŜsamości
Realizacja
siebie
45(50)-
65(70) r.Ŝ
Pokwitanie
i problemy
zdrowotne
Wyrzeczenie się
samego siebie na
rzecz rodziny,
społeczności, dobra
spraw
Wzmacnianie stanu
posiadania i pozycji
Krytyczna ocena
samego siebie
65 (70-80
(85) r.Ŝ
Zainteresowanie
własnym
zdrowiem
Akceptacja
ograniczeń
Wykańczanie zadań
Ŝyciowych
Autobiograficzna
retrospekcja
Spełnienie
siebie
80 (85)
do
śmierci
Regresja do
dominacji
potrzeby
satysfakcji
Akceptacja
zbliŜającego się
końca Ŝycia
„Projekt współfinansowany ze środków Europejskiego Funduszu Społecznego”
34
4.4.2. Pytania sprawdzające
Odpowiadając na pytania, sprawdzisz, czy jesteś przygotowany do wykonania ćwiczeń.
1. Jaka jest róŜnica między spostrzeŜeniem a wraŜeniem?
2. Jakie jest znaczenie wyobraźni w nauce i pracy?
3. Jakie są charakterystyczne cechy myślenia?
4. Jakie znasz rodzaje pamięci?
5. Co to jest emocja i jakie są cechy procesów emocjonalnych?
6. Jakie są źródła i składniki emocji?
7. Jak jest rola uczuć w Ŝyciu człowieka?
8. Jak moŜna zdefiniować pojęcie motywacji?
9. Jakie czynniki składają się na proces motywacyjny?
10. Czym charakteryzują się rodzaje motywacji?
4.4.3. Ćwiczenia
Ćwiczenie 1
Scharakteryzuj zachowanie osoby, która zwykle działa pod wpływem emocji i często im
ulega. Opisz jakie są jej typowe zachowania i określ co wpływa na powstanie pierwszego
wraŜenia w kontakcie z nowo poznaną osobą.
Sposób wykonania ćwiczenia
Aby wykonać ćwiczenie, powinieneś:
1) scharakteryzować zachowanie osoby działającej pod wpływem emocji,
2) opisać jej typowe zachowania,
3) określić, co wpływa na powstanie pierwszego wraŜenia,
4) zapisać wnioski z pracy w grupie,
5) zaprezentować wyniki pracy grupy.
WyposaŜenie stanowiska pracy:
− arkusz papieru A4,
− przybory do pisania,
− poradnik dla ucznia.
Ćwiczenie 2
Określ swoje najwaŜniejsze potrzeby biologiczne i psychiczne. Wymień je, a następnie
opisz w jaki sposób je zaspokajasz.
Sposób wykonania ćwiczenia
Aby wykonać ćwiczenie, powinieneś:
1) przeanalizować schemat potrzeb wg A. Maslowa,
2) określić swoje najwaŜniejsze potrzeby biologiczne i psychiczne,
3) zapisać swoje potrzeby,
4) opisać sposoby ich zaspokajania,
5) zaprezentować wyniki na forum grupy.
„Projekt współfinansowany ze środków Europejskiego Funduszu Społecznego”
35
WyposaŜenie stanowiska pracy:
−−−− dwie duŜe plansze: pierwsza przedstawia schemat potrzeb wg A. Maslowa, druga zawiera
listę (około 30) potrzeb człowieka w podziale na biologiczne i psychiczne,
−−−− arkusz papieru A4,
−−−− przybory do pisania,
−−−− poradnik dla ucznia.
Ćwiczenie 3
Scharakteryzuj zachowanie człowieka zmotywowanego. Wyjaśnij na jakiej podstawie
określiłeś jego zachowanie jako sterowane procesem motywacyjnym.
Sposób wykonania ćwiczenia
Aby wykonać ćwiczenie, powinieneś:
1) scharakteryzować zachowanie człowieka zmotywowanego,
2) określić na jakiej podstawie identyfikujemy zachowania,
3) zapisać wskaźniki identyfikujące zachowanie człowieka zmotywowanego,
4) zaprezentować pracę na forum grupy.
WyposaŜenie stanowiska pracy:
−−−− poradnik dla ucznia,
−−−− arkusz papieru A4,
−−−− przybory do pisania.
4.4.4. Sprawdzian postępów
Czy potrafisz: Tak Nie
1) określić podstawowe potrzeby człowieka? □ □
2) scharakteryzować proces emocjonalny? □ □
3) określić funkcje uwagi? □ □
4) dokonać podziału wraŜeń w zaleŜności od receptorów? □ □
5) zdefiniować spostrzeŜenia? □ □
6) zdefiniować pojęcie motywacji? □ □
„Projekt współfinansowany ze środków Europejskiego Funduszu Społecznego”
36
4.5. Wybrane teorie osobowości
4.5.1. Materiał nauczania
RóŜnorodne poglądy na konstrukcję osobowości człowieka doprowadziły do powstania
licznych teorii i ich podziałów; najpopularniejsze z nich to:
1. Teorie uwypuklające psychodynamikę: teoria psychoanalityczna freudowska, analityczna
teoria Junga, teoria indywidualna Adlera, teoria psychospołeczna Erika Eriksona.
2. Teorie uwypuklające strukturę osobowości: czynnikowa teoria cech R. Cattella, teoria
cech biologicznych H. Eysencka.
3. Teorie uwypuklające spostrzeganą rzeczywistość: skoncentrowana na osobie teoria Carla
Rogersa, poznawcza teoria konstruktów osobistych G. A. Kellyego.
4. Teorie uczenia się: teoria uczenia się społecznego A. Bandury, teoria warunkowania
sprawczego B. F. Skinnera, teoria bodźca reakcji Dollarda i Millera, teoria W. Mischela.
5. Teoria osobowości Freuda powstała na gruncie filozofii deterministycznej
i pozytywistycznej.
Struktura osobowości:
Id – rodzaj macicy, w której dochodzi do ukształtowania ego i superego. Zawiera w sobie
dziedziczne i wrodzone wyposaŜenie psychiczne z popędami włącznie, działa na zasadzie
impulsów i natychmiastowej gratyfikacji, zaspokojenia potrzeb. Czerpie energię z procesów
fizjologicznych. Id reprezentuje wewnętrzny świat subiektywnych doznań i nie posiada
Ŝadnej wiedzy o rzeczywistości obiektywnej. Zasada przyjemności to zasada redukcji
napięcia, zgodnie z którą działa Id. Redukcja ta zachodzi za pomocą czynności odruchowych
(redukują napięcie natychmiast) i procesu pierwotnego (redukuje złoŜone reakcje
psychiczne).Id jest sferą biologiczną człowieka. Jest nieświadome.
Ego – wytwarza się poniewaŜ zaspokojenie potrzeb organizmu wymaga działań w świecie
rzeczywistym poprzez przekształcanie wyobraŜeń w spostrzeŜenia. Działa za pośrednictwem
procesu wtórnego, sprawuje kontrolę nad funkcjami poznawczymi i intelektualnymi. Ta część
osobowości decyduje o przystąpieniu do działania, które popędy i w jaki sposób zostaną
zaspokojone, oraz o tym które Ŝyczenia zostaną wyparte. Zasadnicza rola Ego to godzenie
wymagań organizmu z warunkami środowiskowymi czyli id i superego. Ego jest
zorganizowaną częścią Id, powstaje po to by ułatwić osiąganie celów Id i nie dopuścić do ich
udaremnienia, a całą swą moc czerpie z Id. Jest w większej części świadome.
Superego – sfera moralna człowieka, stanowi wewnętrzną reprezentację wartości moralnych
i ideałów uznawanych przez daną społeczność, które przekazywane są dziecku przez
rodziców w procesie socjalizacji. Superego dąŜy do doskonałości, kształtuje się pod
wpływem kar i nagród, stosowanych przez rodziców. To, co wychowawcy aprobują
i nagradzają włączane jest w obręb subsystemu Superego – ja idealnego. Sumienie karze
wywołując poczucie winy, ja idealne nagradza powodując poczucie dumy. Główne funkcje
Superego to hamowanie impulsów id, przekonywanie Ego, aby cele realistyczne zastąpiło
moralnymi i dąŜenie do doskonałości. Jest większej części nieświadome [11, s. 52-90].
Teoria indywidualna A. Adlera
A. Adler uwaŜał, Ŝe głównym motorem działania ludzi są motywy społeczne, gdyŜ ludzie
z natury są istotami społecznymi. Podkreślenie roli społecznych wyznaczników zachowania
jest największym wkładem Adlera w teorię psychologiczną. Drugim znacznym wkładem jaki
wniósł Adler do teorii osobowości jest koncepcja twórczej jaźni. Jaźń jest subiektywnym
systemem, który interpretuje doświadczenia organizmu i nadaje im sens. Poszukuje ona
doświadczeń, które pomogłyby w zrealizowaniu specyficznego stylu Ŝycia danej osoby, jeśli
tych doświadczeń nie moŜna znaleźć w świecie zewnętrznym, jaźń spróbuje stworzyć je.
Trzecia cechą psychologii A. Adlera jest nacisk na swoistość i niepowtarzalność osobowości.
„Projekt współfinansowany ze środków Europejskiego Funduszu Społecznego”
37
Według niego kaŜda osoba jest jedyną w swoim rodzaju, konfiguracją cech, motywów,
zainteresowań i wartości, kaŜda czynność wykonywana nosi znamię charakterystycznego dla
niej stylu Ŝycia. Adler uznał świadomość za centrum osobowości. Zmniejszył znaczenie
popędu seksualnego występującego u Freuda, uznając, Ŝe sposób, w jaki dana osoba
zaspokaja swe potrzeby seksualne zaleŜy od stylu Ŝycia, a nie odwrotnie. Teoria osobowości
Adlera da się przedstawić „skrótowo” w postać 6 pojęć:
a) fikcja jako cel – cele to dąŜenia i ideały, które wpływają na aktualne zachowanie, jeśli np.
ktoś wierzy w piekło i niebo, to ta wiara wywierać będzie znaczny wpływ na jego
zachowanie. Ostateczny cel Ŝycia moŜe być fikcją, tj. ideałem, który jest niemoŜliwy do
zrealizowania, ale jest bardzo realnym bodźcem ludzkich dąŜeń i ostatecznym
wyjaśnieniem postępowania człowieka. Adler wierzył, Ŝe kaŜdy normalny człowiek jest
w stanie uwolnić się od tych fikcji w razie konieczności i stawić czoło rzeczywistości,
b) dąŜenie do wyŜszości – przez wyŜszość rozumie Adler, dąŜenie do pełni doskonalej,
„wielki pęd ku górze”. DąŜenie to jest wrodzone stanowi część Ŝycia, powoduje, Ŝe
człowiek przechodzi z jednego stadium rozwoju do drugiego, wyŜszego. To główna
zasada rządząca dynamiką osobowości. KaŜdy człowiek ma swój własny sposób na
dąŜenie do doskonałości,
c) poczucie niŜszości i kompensacja – wg A. Adlera wynikają z poczucia ułomności,
niedoskonałości w jakiejś sferze Ŝycia. A. Adler podkreślał, ze te uczucia są źródłem
poprawy ludzkiego losu. Uczucia niŜszości mogą się nasilać pod wpływem pewnych
okoliczności, np. odrzucenie dziecka, mogą wtedy wystąpić pewne nienormalne objawy
(np. kompensacyjny kompleks wyŜszości), w normalnych warunkach jednak poczucie
niŜszości popycha do działania,
d) zainteresowanie społeczne – A. Adler uwaŜał, ze jest ono wrodzone, nie ujawnia się
jednak samorzutnie, aby przyniosła efekt niezbędne jest jej ukierunkowanie i ćwiczenie.
Dlatego istotna jest tutaj edukacja i procesy wychowawcze człowieka,
e) styl Ŝycia – według A. Adlera wyjaśnia on niepowtarzalność kaŜdej osoby, kaŜdy ma jakiś
styl Ŝycia, nie ma dwóch osób o identycznym stylu Ŝycia. Wiele osób ma taki sam cel
w Ŝyciu, ale istnieją róŜne sposoby na jego osiągnięcie, np. jedna osoba w tym celu
studiuje, inna uprawia sport. Styl Ŝycia decyduje w jaki sposób dana osoba radzi sobie
z trzema „problemami Ŝyciowymi” wieku dojrzałego: relacjami społecznymi, zawodem,
miłością i małŜeństwem. Styl Ŝycia kształtuje się koło 4-5 r.Ŝ. człowieka, a później
doświadczenia są przyswajane i wykorzystywane stosownie do tego stylu Ŝycia. MoŜna
uczyć się nowych sposobów wyraŜania swego stylu Ŝycia, lecz są to tylko konkretne
specyficzne przejawy tego samego stylu Ŝycia,
f) twórcza jaźń – według A. Adlera stanowi ona pierwszą przyczynę wszystkiego co ludzkie.
MoŜna obserwować jej skutki, ale nie moŜna zobaczyć jej samej. Jest to coś co
pośredniczy między bodźcami oddziałującymi na dana osobę, a jej reakcjami na te
bodźce. Główne twierdzenie twórczej jaźni głosi, ze ludzie sami kształtują swą
osobowość na podstawie dziedziczności i doświadczenia. Twórcza jaźń nadaje sens Ŝyciu,
stwarza cel i środki do jego osiągnięcia, jest aktywną zasadą Ŝycia ludzkiego, podobną do
pojęcia duszy [35, s. 621; 33, s. 486; 11, s. 140-149].
U podłoŜa teorii cech leŜy załoŜenie, ze kaŜdego człowieka moŜna scharakteryzować
w kategoriach określonej liczby cech. Osobowość według tych teorii to zbiór cech stałych
i charakterystycznych dla danej jednostki.
Czynnikowa teoria osobowości Raymonda Cattell'a (Teoria cech indywidualnych)
NajwaŜniejszym pojęciem tej teorii jest cecha. Teoria zakłada, Ŝe struktura psychiczna
człowieka jest moŜliwa do opisania i nazwania na podstawie obserwowanego zachowania,
a dokonuje się tego w celu wyjaśnienia regularności lub spójności pewnych działań
podejmowanych przez człowieka.
„Projekt współfinansowany ze środków Europejskiego Funduszu Społecznego”
38
Według R. Cattell`a osobowość jest tym co pozwala przewidzieć, co dana osoba zrobi
w danej sytuacji. Jest ona związana z zewnętrznym i wewnętrznym zachowaniem jednostki,
to złoŜona i zróŜnicowana struktura cech, z motywacją zaleŜną od cech dynamicznych. Cecha
to struktura psychiczna, wnioskowana z obserwowanego zachowania w celu wyjaśnienia
regularności czy spójności zachowania. R. Cattell podzielił cechy na jedyne, wspólne (w tym
powierzchniowe), źródłowe (w tym konstytucjonalne) oraz środowiskowe (stany i role).
Powierzchniowe reprezentują związki jawne, czyli zewnętrzne zmienne, występujące łącznie,
natomiast źródłowe to podstawowe zmienne, współdeterminujące wielorakie przejawy
powierzchniowe. Cechy źródłowe są waŜniejsze od powierzchniowych, stwarzają bowiem
moŜliwość większej oszczędności opisu. Drugi podział cech jakiego dokonał badacz, jest
oparty na kryterium jakim jest sposób ich przejawiania się: cechy dynamiczne (wiąŜą się
z pobudzaniem jednostki do działania zmierzającego do określonego celu), zdolnościowe (są
związane z efektywnością z jaką jednostka działa) i temperamentalne (to szybkość
i wraŜliwość emocjonalna) [11, s. 314-357].
Koncepcja osobowości H.J. Eysencka
Zdefiniował on osobowość jako względnie trwała organizację charakteru, temperamentu,
intelektu i właściwości fizycznych, determinujących specyficzne sposoby przystosowania się
do otoczenia. Uznaje on decydującą rolę uczenia się i czynników środowiskowych, bierze pod
uwagę fakt, Ŝe dana sytuacja róŜnie oddziaływują na róŜnych ludzi. Podkreśla determinująco-
przyczynową rolę czynników biologicznych. Specyfika takiego ujęcia osobowości polega na
tym, Ŝe określa ono łańcuch, w którym substrat biologiczny jest odpowiedzialny za róŜnice
indywidualne w zakresie podstawowych wymiarów osobowości. Według H. J. Eysencka,
genotyp wraz ze środowiskiem decyduje o powstaniu cech fenotypicznych organizmu,
właściwości anatomicznych i fizjologicznych układu nerwowego. Układ nerwowy razem ze
środowiskiem determinuje powstanie podstawowych cech osobowości i zachowania.
Czynniki genetyczne wpływają na zachowanie się, ale nie bezpośrednio. Tworząc model
organizacji osobowości H. J. Eysenck rozróŜnia pojęcia typ i cecha. Cecha to zbiór
wzajemnie powiązanych zachowań, które wielokrotnie pojawiają się razem, np. osoba
obdarzona cechą towarzyskości, lubi chodzić na przyjęcia. Typ jest tworem wyŜszego rzędu
obejmującym zbiór skorelowanych ze sobą cech, np. ekstrawertyk jest towarzyski i lubi
ryzyko. RóŜnica między tymi pojęciami polega na tym, Ŝe typ jest bardziej ogólny. Model
osobowości H. J. Eysencka obejmuje trzy podstawowe wymiary typologiczne: ekstrawersję-
introwersję, neurotyzm – stabilność oraz psychotyzm – panowanie nad impulsami
Ekstrawersja–introwersja. Ekstrawertyk jest osobą towarzyską, ma wielu przyjaciół. Jego
działaniami kierują emocje, jest impulsywny. Uwielbia zmiany w swoim Ŝyciu. Jest
zadowolony, gdy cały czas moŜe coś robić, być w ruchu. Niepowodzenia nie załamują go, jest
optymistycznie nastawiony w stosunku do przyszłości. Introwertyk natomiast jest
powściągliwy, ceni własne towarzystwo i spokój. Ma stałe grono przyjaciół, podczas ich
wyboru jest bardzo ostroŜny. W działaniu kieruje się rozsądkiem, lubi uporządkowany tryb
Ŝycia. Jest osobą sumienną, która wywiązuje się z przyjętych zobowiązań. Ten wymiar
osobowości ma w populacji rozkład normalny.
Neurotyzm. Dwa przeciwległe bieguny tego wymiaru to zrównowaŜenie emocjonalne
i neurotyczność. Na określenie tego wymiaru uŜywa się takŜe takich terminów jak:
wraŜliwość emocjonalna, chwiejność emocjonalna lub emocjonalna reaktywność. Jest
nieodłącznie związany jest z lękiem i ogólnym popędem emocjonalnym. Osoby
niezrównowaŜone emocjonalnie są mało odporne na działanie stresu. Wynika to
z wraŜliwości autonomicznego układu nerwowego. Pojawiające się emocje są silne
i długotrwałe. Neurotycy uskarŜają się na nieokreślone dolegliwości somatyczne. Ich nastroje
są bardzo zmienne. Mają skłonności do popadania w stany lękowe i załamania nerwowe.
Miewają depresje i cierpią na bezsenność.
„Projekt współfinansowany ze środków Europejskiego Funduszu Społecznego”
39
Psychotyzm. Krańce tej skali są opisane jako normalność stanów umysłowych (zdrowie
psychiczne) z jednej strony oraz zaburzenia obserwowane u pacjentów psychotycznych
z drugiej. Psychotyzm zdefiniowany jest jako skłonność do psychoz, schizofrenii
i dwubiegunowych zaburzeń afektywnych. Psychopatia jest w połowie skali miedzy normą
a psychotyzmem. PodwyŜszone wyniki w tej skali uzyskują więźniowie, schizofrenicy,
alkoholicy, narkomani oraz dzieci z zachowaniami antyspołecznymi. Osoby, które w badaniu
uzyskały wysokie wyniki, są zimne, bezosobowe, nie potrafią współczuć, nieufne
i nieszczęśliwe. Mają urojenia prześladowcze, niekiedy bawią się kosztem innych osób
i przejawiają zupełny zanik uczuć. [11, s. 362-376].
Struktura osobowości wg Carla Rogera– perspektywa humanistyczno-egzystencjalna
W jego teorii występują dwa konstrukty teoretyczne o podstawowym znaczeniu,
stanowiące podwalinę całej teorii. Są to pojęcia „organizm” i „ja”:
a) organizm – umiejscowienie wszelkiego doświadczenia, które obejmuje wszystko to, co
dzieje się w jego obrębie, w kaŜdym momencie i jest potencjalnie dostępne świadomości,
b) pojęcie „ja”–„Ja” czy obraz „ja” oznacza zorganizowaną spójną postać pojęciową,
składają się ze spostrzeganych własności „ja”, czyli samego siebie oraz ze spostrzeganych
relacji między „ja”, a innymi.
Jeśli doświadczenia jakiejś osoby, tworzące jej „ja” odzwierciedlają wiernie
doświadczenia organizmu, to osobę tą moŜemy określić jako przystosowaną, dojrzałą
i funkcjonującą w sposób pełny. Natomiast niezgodność między „ja” a organizmem prowadzi
do poczucia zagroŜenia i niepokoju. Dynamika osobowości wg C. Rogera – istnieje jedyna
podstawowa tendencja organizmu- jest to dąŜenie do urzeczywistnienia, podtrzymania
i udoskonalenia doświadczającego organizmu. Tendencja rozwojowa moŜe się przejawiać
jedynie wtedy, kiedy jednostka jasno spostrzega wybory stojące przed nią i nadaje im
właściwą formę symboliczną.
Rozwój osobowości: C. Roger koncentruje się na wpływie, jaki wywiera ocenianie jednostki
przez innych ludzi, szczególnie w czasie jej dzieciństwa, na powstawanie rozbieŜności
między doświadczeniami „ja”. Wg C. Rogera rozdźwięk między „ja” a organizmem
powoduje nie tylko przyjęcie postaw obronnych i skłania do zniekształcenia swych
doświadczeń, lecz wpływa takŜe na relacje z innymi ludźmi. Osoby nastawione obronnie
skłonne są odczuwać wrogie uczucia wobec osób, których zachowanie, ich zdaniem, wyraŜa
ich własne wyparte uczucia. Teorie humanistyczno-egzystencjalne kładą nacisk na
doświadczenia własne i bliskich jako coś cennego i stanowiącego ludzkie Ja. Teorie te
podkreślają takŜe rolę świadomości w Ŝyciu codziennym, zakładają, Ŝe trudności Ŝyciowe są
łatwiejsze do pokonania, jeśli potrafimy nadać Ŝyciu jakiś sens. [35, s. 640; 33, s. 501-502].
Poznawcza teoria konstruktów osobistych G. A. Kellyego
Według G. A. Kellyego zachowanie człowieka sterowane jest przez konstrukty osobiste, czyli
specyficzny sposób ujęcia i rozumienia rzeczywistości. Konstrukty tworzą się odnośnie do
osób, zdarzeń, sytuacji i emocji. Ich cechą charakterystyczną jest dwubiegunowość
(gromadzenie wiedzy dotyczącej jakiegoś typu zachowania, które moŜna ukazać na
kontinuum np. wesoły –smutny itp.). Dzięki konstruktom osobistym jednostka ma poczucie
toŜsamości i potrafi przewidywać zdarzenia. Jeśli przewidywania są zgodne
z rzeczywistością, system konstruktów pozostaje w stanie równowagi, jeśli jednak się nie
zgadzają jednostka albo koryguje system konstruktów, albo zmusza rzeczywistość do
podporządkowania się jej wymaganiom co nie zawsze jest moŜliwe. KaŜdy człowiek ma
właściwą tylko jemu zdolność do modyfikowania stworzonej w umyśle koncepcji
rzeczywistości. Gdy człowiek styka się z czymś nowym i nieznanym w toku poznawania tego
kształtuje odpowiednie konstrukty. Nowe sytuacje mogą bowiem wywołać lęk. Konstrukty
osobiste umoŜliwiają jednostce kształtowanie przyszłości. Zrozumieć i przewidzieć
zachowanie człowieka da się tylko wtedy, gdy zna się jego koncepcję przyszłości.
„Projekt współfinansowany ze środków Europejskiego Funduszu Społecznego”
40
Teorie osobowości są próbami opisania w systematyczny i uporządkowany sposób
struktury osobowości. Dobra teoria musi powiązać róŜne elementy charakterystyki jednostek
w całość, która wykazuje trwałe rozpoznawalne cechy, specyficzne dla kaŜdej jednostki,
a jednak pozwalające na porównywanie ludzi między sobą. Istnieje wiele teorii – częściowo
dlatego, Ŝe osobowość jest zdefiniowana tak nieściśle, Ŝe nie wszystkie teorie dotyczą tego
samego przedmiotu, a częściowo dlatego, Ŝe fakty, na których pełna teoria musi się opierać,
nie są jeszcze wystarczająco dobrze znane.
Składniki osobowości to:
1. Temperament.
2. Inteligencja.
3. Zdolności i uzdolnienia.
4. Potrzeby.
5. Zainteresowania.
6. Postawy.
7. Obraz samego siebie i świata.
Temperament: składnik osobowości, zespół najbardziej stałych właściwości
psychicznych przejawiających się w reakcjach emocjonalnych i motoryce. ZaleŜy głównie od
przebiegu procesów pobudzania i hamowania. Grecki filozof i lekarz Hipokrates
zaproponował hipotezę istnienia czterech podstawowych temperamentów. Opisał on zdrowie
jako stan zaleŜny od czterech soków organizmu: krwi, flegmy, Ŝółci czarnej i Ŝółtej. Pół
tysiąca lat później kolejny grecki lekarz Galen powiązał przewagę jednego z soków
w organizmie z określonymi sposobami zachowań i w ten sposób opracował pierwszą
typologię temperamentu:
– sangwinik (z łaciny: sanguis – krew) – cechy charakterystyczne: towarzyski, wylewny,
rozmowny, zgodny, swobodny, Ŝywy, beztroski, przywódczy,
– choleryk (greckie chole – Ŝółć) – cechy charakterystyczne: draŜliwy, niespokojny,
agresywny, pobudliwy, zmienny, impulsywny, optymistyczny, aktywny,
– melancholik (greckie melas chole – czarna Ŝółć) – cechy charakterystyczne: cichy,
nietowarzyski, z rezerwą, pesymistyczny, powaŜny, sztywny, nerwowy, ulegający
nastrojom,
– flegmatyk (greckie phlegma – flegma) – cechy charakterystyczne: bierny, uwaŜny,
myślący, spokojny, opanowany, niezawodny, zrównowaŜony, chłodny [33, s. 491].
Najpełniejszą teorią typologiczną była teoria W.H. Sheldona, który stwierdził, Ŝe typy
budowy ciała są ściśle związane z rozwojem osobowości.
Inteligencja – względnie stałe warunki wewnętrzne człowieka współdeterminujące
efektywność działań wymagających udziału typowo ludzkich procesów poznawczych jak np.
wnioskowanie rozumowanie. [38, s. 152]. Ludzie róŜnią się między sobą poziomem
inteligencji, przyczyną są zarówno zadatki wrodzone jak i czynniki środowiskowe. Wynik
przeciętnej inteligencji wynosi od 90 do 110. Mierzy się ją skalą inteligencji Wechslera.
Tabela 2. Interpretacja ilorazu inteligencji [20]
Nazwa I.I. w skalach Określenie kliniczne
Rozwój bardzo wysoki powyŜej 146
Rozwój wysoki 145-131
Rozwój powyŜej przeciętnej 130-116
Rozwój przeciętny 115-85
Prawidłowy rozwój
umysłowy
Rozwój niŜszy niŜ przeciętny 84-70 Pogranicze normy
Niedorozwój umysłowy lekkiego stopnia 69-55
Niedorozwój umysłowy umiarkowanego stopnia 54-40
LŜejszy niedorozwój
Niedorozwój umysłowy znacznego stopnia 39-25
Niedorozwój umysłowy głębokiego stopnia 24-0
Głębszy niedorozwój
„Projekt współfinansowany ze środków Europejskiego Funduszu Społecznego”
41
Zdolności – takie właściwości psychiczne, które warunkują pomyślne rezultaty działania.
Uzdolnienia – zespół zdolności umoŜliwiający wyjątkowo skuteczne działanie w danej
dziedzinie. WyŜszy stopień uzdolnień to talent.
Potrzeby – T. Kocowski za potrzebę uwaŜa pewien stan psychofizyczny człowieka,
przejawiający się w subiektywnym odczuciu braku oraz w poŜądaniu jakiegoś dobra lub stanu
(warunków, sytuacji) [29, s. 242].
Zainteresowania – to specyficzne nastawienia poznawcze i emocjonalne na przedmioty
i zjawiska rzeczywistości. Im głębsze i bogatsze są zainteresowania jednostki tym bardziej
rozwija się jej osobowość.
Postawa – ukształtowana w procesie zaspokajania potrzeb, w określonych warunkach
społecznych względnie zgodna i trwała organizacja wiedzy, przekonań, uczuć, motywów,
oraz pewnych form działania i reakcji ekspresywnych podmiotu związaną z określonym
przedmiotem lub klasa przedmiotów.
Obraz samego siebie – to całokształt wiedzy, wyobraŜeń, pojęć o własnej osobie, oraz
uczuciowy stosunek do samego siebie związany z samooceną (zaniŜona lub za wysoka).
Samowiedza – wiedza zdobyta w procesie samopoznania. Wiedza ta ma charakter świadomy,
obejmuje trzy składniki: sądy opisowe dotyczące faktów z własnej biografii, sądy
wartościujące, sądy o standardach osobistych (odnoszące się do Ŝyczeń, pragnień).
Obraz świata – na obraz ten składa się orientacja w otoczeniu, jak i oczekiwania odnośnie
do zachowań ludzi. Orientacja w świecie kształtuje się stopniowo i zaleŜy od całokształtu
doświadczeń indywidualnych. W toku rozwoju dokonuje się teŜ stosunek człowieka do świata
i samego siebie [29, s. 393-402].
4.5.2. Pytania sprawdzające
Odpowiadając na pytania, sprawdzisz, czy jesteś przygotowany do wykonania ćwiczeń.
1. Jakie znasz teorie osobowości?
2. Jakie czynniki wyznaczają rozwój osobowości w teorii Z. Freuda?
3. Czym charakteryzuje się teoria A. Adlera?
4. Jakie znasz typy temperamentu?
5. Co to jest samowiedza?
6. Jakie znasz składniki osobowości?
4.5.3. Ćwiczenia
Ćwiczenie 1
Dokończ lub uzupełnij zdania dotyczące teorii osobowości.
Superego to sfera.........................................................................................................................
A. Adler uwaŜał, Ŝe głównym motorem działania ludzi są........................................................
Czynnikowa teoria osobowości Raymonda Cattella nazywana jest inaczej .............................
Według H. J. Eysencka osobowość jest to.................................................................................
W teorii Rogera rozwój osobowości koncentruje się na ...........................................................
Cechą charakterystyczną konstruktów według G. A. Kellyego jest ........................................
Teorie humanistyczno-egzystencjalne kładą nacisk na..............................................................
Składniki osobowości to:............................................................................................................
„Projekt współfinansowany ze środków Europejskiego Funduszu Społecznego”
42
Sposób wykonania ćwiczenia
Aby wykonać ćwiczenie, powinieneś:
1) zapoznać się z materiałem nauczania dotyczącym teorii osobowości,
2) przeanalizować zdania do uzupełnienia lub dokończenia,
3) uzupełnić lub dokończyć zdania,
4) zaprezentować wyniki pracy,
5) przedyskutować w grupie poprawność wykonanego ćwiczenia.
WyposaŜenie stanowiska pracy:
– poradnik dla ucznia,
– arkusz papieru formatu A4,
– przybory do pisania,
– arkusz niedokończonych zdań:
Ćwiczenie 2
Określ główne załoŜenia teorii osobowości, wnioski zapisz w tabeli.
Teoria osobowości Główne załoŜenia
Sposób wykonania ćwiczenia
Aby wykonać ćwiczenie, powinieneś:
1) zapoznać się z informacjami dotyczącymi teorii osobowości,
2) określić główne załoŜenia wybranych teorii osobowości,
3) przygotować tabelę według podanego wzoru,
4) uzupełnić tabelę,
5) zaprezentować wyniki na forum grupy.
WyposaŜenie stanowiska pracy:
– poradnik dla ucznia,
– arkusz papieru formatu A4,
– przybory do pisania,
– wzór tabeli.
Ćwiczenie 3
Określ załoŜenia teorii osobowości Z. Freuda, a następnie uzupełnij tabelę.
Tabela do ćwiczenia 3. [25, s. 610]
Struktura Zasada funkcjonowania Sposób działania
Id – popędy, źródło energii psychicznej, biologiczne
podłoŜe osobowości
Ego – rozwija się z id, zorientowane na rzeczywistość,
ocenianie, wykonanie
Superego – reprezentuje introjekcje standardów moralnych
i wartości wyznawanych przez rodziców
„Projekt współfinansowany ze środków Europejskiego Funduszu Społecznego”
43
Sposób wykonania ćwiczenia
Aby wykonać ćwiczenie, powinieneś:
1) zapoznać się z materiałem nauczania dotyczącym teorii osobowości,
2) określić załoŜenia teorii Z. Freuda,
3) przygotować tabelę według podanego wzoru,
4) uzupełnić tabelę,
5) zaprezentować wyniki.
WyposaŜenie stanowiska pracy:
– plansza przedstawiająca schemat teorii osobowości Z. Freuda,
– poradnik dla ucznia,
– arkusz papieru formatu A4,
– przybory do pisania,
– przybory kreślarskie: linijka, ołówek, gumka,
– wzór tabeli.
Ćwiczenie 4
Na podstawie obserwacji wybranej osoby określ jej typ temperamentu. Czy jest to
moŜliwe po krótkiej obserwacji? Czy udało Ci się dopasować konkretny typ temperamentu,
czy teŜ dana osoba posiadała cechy z róŜnych typów temperamentu?.
Sposób wykonania ćwiczenia
Aby wykonać ćwiczenie, powinieneś:
1) przeprowadzić obserwację dowolnej osoby i zapisać wnioski,
2) przeanalizować wnioski z obserwacji,
3) określić typ temperamentu obserwowanej osoby,
4) zaprezentować wyniki pracy (wybrane lub chętne osoby odczytują swoją pracę),
5) wziąć udział w dyskusji.
WyposaŜenie stanowiska pracy:
– arkusz papieru formatu A4,
– przybory do pisania,
– literatura opisująca róŜne typy temperamentów.
4.5.4. Sprawdzian postępów
Czy potrafisz: Tak Nie
1) wymienić główne teorie osobowości? □ □
2) scharakteryzować strukturę osobowości wg Z. Freuda? □ □
3) scharakteryzować główne załoŜenia psychologii indywidualnej
A. Adlera? □ □
4) określić składniki osobowości? □ □
„Projekt współfinansowany ze środków Europejskiego Funduszu Społecznego”
44
4.6. Metody badania osobowości
4.6.1. Materiał nauczania
Poszczególne metody badania osobowości są oparte na róŜnych teoriach, badają bowiem
róŜne wymiary funkcjonowania psychicznego jednostki. Metody słuŜące do badania
osobowości stanowią zasadniczo dwie podstawowe kategorie: kwestionariusze czy
inwentarze osobowości oraz testy.
Kwestionariusz osobowości to metoda badania, wykorzystująca sam opis w postaci
odpowiedzi osoby badanej na zbiór standardowych pytań, stwierdzeń lub jednowyrazowych
określeń. Dostarcza on wyników ilościowych. W Polsce popularyzatorem inwentarzy
osobowości był m.in. M. Choynowski.
Testy moŜemy podzielić m.in. na obiektywne, projekcyjne, selekcyjne.
Kwestionariusz Osobowości Zawodowej SHL jest jednym z najczęściej uŜywanych
kwestionariuszy osobowości [18].
Testy obiektywne – osoba badana odpowiada na wystandaryzowaną grupę pytań lub
opinii. Niektóre testy mają charakter skali z wymuszonym wyborem. Jeden z najczęściej
uŜywanych psychologicznych testów osobowości to MMPI (Minnesota Multiphasic
Personality Inventory). Autorami testu MMPI są: S. R. Hathaway oraz J. Ch. McKinley.
W Polsce szczególną popularność zyskała adaptacja testu pod nazwą WISKAD-MMPI.
Obecnie powszechnie dostępną w kraju jest kompletna wersja testu MMPI z opracowanymi
normami dla populacji polskiej. Spotkać moŜna trzy formy testu: kartkowa (550 stwierdzeń),
zeszytowa (566 stwierdzeń) oraz magnetofonowa. W praktyce stosuje się teŜ skrócone wersje.
Test zawiera 10 skal klinicznych oraz 4 skale kontrolne. Ponadto stosuje się jeszcze skale
dodatkowe oraz tzw. skale treściowe, pozwalające szczegółowiej interpretować uzyskany
materiał.
Bezpośrednim celem tego badania jest określenie profilu psychologicznego osoby
badanej, który z kolei stanowi podstawę do formułowania osobowościowej diagnozy
psychologicznej. Interpretacja testu dodatkowo moŜe odnosić się do bardziej szczegółowych
kwestii, jak np. tendencje samobójcze, problem identyfikacji z własną płcią, źródło
czynnościowych dolegliwości somatycznych, naduŜywanie alkoholu, tendencje do
stosowania narkotyków jako sposobu radzenia sobie z własnymi problemami, itp. Badanie
trwa zwykle około 2 godzin. Metoda przeznaczona jest dla osób dorosłych. Istnieją róŜne
formy badania:
– badany otrzymuje ankietę ze stwierdzeniami, zaopatrzoną w arkusz odpowiedzi,
– badany otrzymuje zestaw osobnych kartek, które ma posegregować na 3 grupy
(„prawdziwe”, „fałszywe”, „nie potrafię odpowiedzieć”),
– korzystanie z programu komputerowego [33, s. 509-511].
Testy projekcyjne- nie ma precyzyjnie określonych odpowiedzi, przykładem mogą być
np.: testy rysunkowe [34, s. 499; 29, s. 509-516]. przykładem tego typu testów jest Test Plam
Atramentowych Rorschacha. H. Rorschach, konstruując swoją, metodę załoŜył, Ŝe
spostrzegający organizuje świat zewnętrzny tak, by wyrazić i zaspokoić swoje potrzeby,
rozwiązać stany napięcia. Na sposób widzenia i organizowania świata wpływają teŜ
doświadczenia z przeszłości. Skonstruowana przez H. Rorschacha metoda pozwala na ocenę
tak rozumianej osobowości badanego, ze szczególnym uwzględnieniem sposobów
interpretowania róŜnego typu faktów i zdarzeń i włączania ich do własnego zakresu
doświadczeń. MoŜna równieŜ wyciągać wnioski dotyczące funkcjonowania osoby
w sytuacjach kontaktu z określonymi sytuacjami. Za pomocą tego testu uzyskuje się
informacje dotyczące takich sfer badanego jak: inteligencja, kultura, zainteresowania,
introwersja, ekstrawersja, poziom lęku, realizm, ambicja, zdolności do racjonalnego myślenia,
„Projekt współfinansowany ze środków Europejskiego Funduszu Społecznego”
45
do uogólniania, syntezy, rozwiązywania problemów, myślenia abstrakcyjnego,
zainteresowania karierą zawodową. W wyniku badania moŜna takŜe uzyskać informacje, czy
dana osoba cierpi na zaburzenia psychiczne. Badanie wykonuje się zwykle u osób powyŜej
14 roku Ŝycia.
Badanie odbywa się jedynie w obecności psychologa. Badanemu prezentowane jest
kolejno 10 kart, na których przedstawione są rysunki stworzone z plam atramentowych.
Badany proszony jest o opowiedzenie, co na kaŜdym z tych obrazków widzi. Niezwykle
waŜne jest zastrzeŜenie, Ŝe nie ma odgórnie przyjętych prawidłowych odpowiedzi – wszystkie
odpowiedzi udzielane przez osobę badaną są słuszne i prawidłowe, poniewaŜ reprezentują jej
sposób widzenia świata. Ilość odpowiedzi, ich zakres zaleŜy jedynie od pacjenta; nie ma
„dobrej” ilości odpowiedzi. Czas badania nie jest ograniczony i zaleŜy wyłącznie od
badanego [34, s. 502; 33, s. 509-516].
Test Apercepcji Tematycznej Murraya opiera się na załoŜeniu, Ŝe ludzie dokonują
projekcji własnych potrzeb na interpretacje wieloznacznych sytuacji, nawet wtedy jeśli nie są
tych potrzeb świadomi. Potrzeby jednej osoby mogą pozostawać w konflikcie wobec siebie.
Analiza wypowiedzi pacjenta ma na celu zdiagnozowanie poszczególnych potrzeb i ich
natęŜenia u danej osoby. Najistotniejsze jest jednak znalezienie związków między nimi:
w wyniku syntezy danych buduje się obraz osobowości badanego, przedstawiany jako
zorganizowane zespoły potrzeb, które powodują i wyjaśniają zachowanie człowieka. Test
Murraya słuŜy do diagnozy i interpretacji napędów, sił psychicznych, wśród których
wymienia emocje, kompleksy, konflikty, pragnienia. WaŜną rolę w regulowaniu zachowania
pełnią nieświadome tendencje. Zadaniem interpretującego test jest wydobyć określone
informacje ze swobodnych wypowiedzi pacjenta. Autor podkreśla, Ŝe duŜy wpływ na wyniki
testu ma sytuacja Ŝyciowa, w jakiej w danej chwili znajduje się badany, stąd teŜ TAT słuŜy
w zasadzie do diagnozy tego, jak przejawia się osobowość pacjenta w danej sytuacji
Ŝyciowej. Badanie wykonuje się u osób powyŜej 3 roku Ŝycia.
Test Apercepcji Tematycznej stosowany jest w dwóch wersjach: wersja CAT dla małych
dzieci (od 3 do 10 roku Ŝycia) oraz wersja TAT, dla starszych dzieci i dorosłych [34, s. 500;
33, s. 509-516].
Kwestionariusz EPQ-R w obecnej, poprawionej wersji został opublikowany w 1985 roku.
Jego autorami są S.B.G. Eysenck, H.J. Eysenck oraz P. Barrett. Kwestionariusz ten oparty jest
na koncepcji osobowości H.J. Eysencka.
EPQ-R to test typu "papier-ołówek". Składa się z 3 części: arkusza pytań, arkusza
odpowiedzi i czterech kluczy. Arkusz pytań ma instrukcję z informacją, jak odpowiadać na
pytania oraz zawiera 100 pytań. Pytania z róŜnych skal są ze sobą przemieszane. Badanie
kwestionariuszem EPQ-R moŜemy przeprowadzić zarówno indywidualnie jak i grupowo.
Czas badania nie jest ograniczony. PrzewaŜnie średni czas, potrzebny na wypełnienie
kwestionariusza, wynosi około 20-25 minut. Osoby badane po zapoznaniu się z instrukcją,
uzupełnieniu metryczki, wypełniają test, zakreślając kółkiem jedną z dwóch odpowiedzi
"TAK" lub "NIE". Jeśli badany nie moŜe zdecydować się na Ŝadną z podanych, bo na
przykład Ŝadna mu nie odpowiada, musi wybrać tę, która jest najbliŜsza prawdy. Obliczanie
wyników: w EPQ-R uŜywa się punktacji zero-jedynkowej, dlatego teŜ suma punktów nie
moŜe przekroczyć liczby pytań, czyli "n". Kwestionariusz przeznaczony jest do badania osób
dorosłych i młodzieŜy od 16-go roku Ŝycia. Aby odpowiedzieć na pytania wystarczy mieć
wykształcenie podstawowe. Skala N odróŜnia neurotyków od nieneurotyków. Skale N+P
odróŜniają zaburzenia nerwicowe i psychozy. Dzięki testowi moŜemy diagnozować
skłonności do choroby wieńcowej, zawału, nadciśnienia, cukrzycy, chorób nowotworowych.
Wykorzystywany jest teŜ do prognozowania powodzenia w nauce szkolnej i na studiach,
w poradnictwie zawodowym, wyboru i powodzeń w dyscyplinie sportowej, oraz do ustalenia
zmienności nastrojów i w poradnictwie przedmałŜeńskim i rodzinnym. [11, s. 370-373; 16]
„Projekt współfinansowany ze środków Europejskiego Funduszu Społecznego”
46
4.6.2. Pytania sprawdzające
Odpowiadając na pytania, sprawdzisz, czy jesteś przygotowany do wykonania ćwiczeń.
1. Czemu słuŜy badanie osobowości?
2. Na czym polegają testy obiektywne?
3. Co to jest MMPI?
4. Co to są testy projekcyjne?
5. Co to jest test Rorschacha?
6. Co to jest Test Apercepcji Tematycznej?
7. Na czym polega test EPQ-R?
4.6.3. Ćwiczenia
Ćwiczenie 1
Określ metody badania osobowości i obszar jaki badają, a następnie uzupełnij tabelę.
Metoda badania osobowości Badany obszar
Sposób wykonania ćwiczenia
Aby wykonać ćwiczenie, powinieneś:
1) zapoznać się z materiałem nauczania dotyczącym metod badania osobowości,
2) określić metody badania i obszary tych badań
3) uzupełnić tabelę,
4) zaprezentować wyniki,
5) wziąć udział w dyskusji.
WyposaŜenie stanowiska pracy:
−−−− przykładowe testy i kwestionariusze badania osobowości,
−−−− poradnik dla ucznia,
−−−− arkusz papieru formatu A4,
−−−− przybory do pisania,
−−−− wzór tabeli do uzupełnienia.
Ćwiczenie 2
Określ, co oprócz wyników testów psychologicznych powinno stanowić podstawę do
formułowania decyzji na temat osobowości ludzi i oceny ich problemów.
Sposób wykonania ćwiczenia
Aby wykonać ćwiczenie, powinieneś:
1) przeanalizować zakres badań testów psychologicznych,
2) określić róŜne aspekty osobowości człowieka,
3) przygotować odpowiedź z uzasadnieniem,
„Projekt współfinansowany ze środków Europejskiego Funduszu Społecznego”
47
4) zaprezentować wynik,
5) wziąć udział w dyskusji.
WyposaŜenie stanowiska pracy:
−−−− poradnik dla ucznia,
−−−− arkusz papieru formatu A4,
−−−− przybory do pisania,
−−−− literatura dotycząca osobowości człowieka.
4.6.4. Sprawdzian postępów
Czy potrafisz: Tak Nie
1) określić metody badania osobowości? □ □
2) wyjaśnić, na czym polegają testy projekcyjne? □ □
3) podać cechy Testu Apercepcji Tematycznej Murraya? □ □
4) wyjaśnić, na czym polega badanie testem MMPI? □ □
„Projekt współfinansowany ze środków Europejskiego Funduszu Społecznego”
48
4.7. Czynniki kształtujące osobowość
4.7.1. Materiał nauczania
2
Osobowość rozwija się w trakcie Ŝycia jednostki. Nie jest więc ukształtowana z chwilą
narodzin dziecka. Człowiek od urodzenia nawiązuje kontakty ze środowiskiem społecznym,
co wpływa w decydujący sposób na kształtowanie się osobowości. Poznaje świat, rozwija swe
zdolności i zainteresowania, kształtuje potrzeby i postawy – wchodząc ze środowiskiem
w aktywny kontakt. Aktywność ta ma istotny i ukierunkowany wpływ na rozwój osobowości.
Aktywność własna jednostki wypływa z wrodzonej zdolności do czynnego zaspokajania
potrzeb. JuŜ od wczesnego dzieciństwa człowiek reaguje aktywnie na bodźce płynące ze
środowiska. Aktywność człowieka wyznaczona jest zarówno przez biologiczne właściwości
organizmu, jak i przez uwarunkowania społeczne. W zaleŜności od temperamentu i specyfiki
procesów umysłowych jednostka moŜe podejmować działania w określony dla siebie sposób.
Świat otaczający człowieka wyznacza w pewnym sensie zakres jego aktywności. W miarę
dorastania człowiek poszerza swój świat i wzbogaca swoją psychikę. KaŜdy człowiek
modyfikuje oddziałujące nań wpływy zewnętrzne, przyczyniając się tym samym do biegu
zdarzeń. Dorastający człowiek, m.in. w oparciu o własną aktywność, zdobywa coraz nowe
doświadczenia, wchodzi w coraz bardziej róŜnorodne interakcje z róŜnymi ludźmi, podejmuje
złoŜone zadania, pełni coraz bardziej skomplikowane role społeczne, a tym samym
zasadniczo wpływa na kształtowanie własnej osobowości [29, s. 356-357].
Role społeczne – społecznie określone oczekiwania, które ma do spełnienia osoba
zajmująca daną pozycje społeczną. Np. społeczna rola „lekarza” obejmuje zespół zachowań
jakie powinien spełniać kaŜdy lekarz. PoniewaŜ rola ta jest wspólna dla wszystkich lekarzy,
moŜna ogólnie mówić o zachowaniach odpowiadających roli zawodowej lekarza, bez
względu na poszczególne osoby uprawiające ten zawód [9, s. 51]. Kwestie te zostały opisane
szczegółowo w rozdziale 4.9.1.
Środowisko biologiczne i społeczne
Człowiek Ŝyjąc w określonym środowisku biologicznym, zróŜnicowanym geograficznie,
a zatem i klimatycznie, musi przystosować się do Ŝycia w róŜnych warunkach, jednak
przystosowanie to ma pewne granice, bowiem człowiek nie moŜe Ŝyć, np. bez tlenu lub
w zbyt wysokiej temperaturze. Jednak dzięki swej wiedzy nagromadzonej przez pokolenia
ludzie przystosowują się nawet do bardzo niekorzystnych warunków środowiska
biologicznego. Wiedza ta jest zatem elementem środowiska społecznego człowieka. Człowiek
Ŝyje wśród ludzi, od urodzenia wchodzi w skład grupy społecznej – narodu, rodziny. Zaś
kaŜda trwała grupa społeczna posiada tradycje i reguły postępowania, obowiązujące
wszystkich jej członków. Istnieją teŜ reguły obowiązujące jedynie członków określonej,
mniejszej grupy: pracownik – przepisom obowiązującym w jego miejscu pracy, dziecko–
nakazom rodziców. Reguły postępowania przyswajane są w oparciu o róŜnorodne
doświadczenia społeczne i powstają jako wynik wymagań grupy społecznej w stosunku do
jednostki [29, s. 360-361].
Cechy dziedziczne
Dziedziczność to jedna z podstawowych cech organizmów Ŝywych polegająca na
przekazywaniu informacji genetycznej z pokolenia na pokolenie; pozwala ona utrzymywać
podstawowe cechy gatunkowe i tłumaczy podobieństwo rodziców i dzieci; cechy osobnika
uwarunkowane są genetycznie, ale jednocześnie zaleŜą w duŜej mierze od wpływów
środowiska; nie dziedziczy się gotowych cech – morfologicznych, fizjologicznych,
anatomicznych, biochemicznych, fizycznych i psychicznych – powstają one w wyniku
współdziałania genów i środowiska. W XIX i XX wieku istniały w socjologii teorie,
podejmujące poglądy rozwijane przez filozofów juŜ od staroŜytności, stwierdzające, Ŝe
„Projekt współfinansowany ze środków Europejskiego Funduszu Społecznego”
49
róŜnice cech rasowych są podstawowym czynnikiem wyjaśniającym róŜnice w poziomie
rozwoju społecznego i cywilizacyjnego, Ŝe niektóre rasy są „wyŜsze”, tzn. bardziej
uzdolnione i wartościowe. Te teorie głosiły prymat cech i czynników biologicznych jako
zasadniczego wyznacznika procesów społecznych.
W nauce teorie rasowe zostały obalone przez badania empiryczne, wykazujące, Ŝe cechy
rasowe nie wpływają bezpośrednio na cechy psychiczne, to znaczy, Ŝe ludzie róŜnych ras
wychowani w podobnych warunkach rozwijają się tak samo. Jednak pomimo obalenia teorii o
nierówności rasowej konflikty tego typu pozostały. W opinii społecznej, istnieje głębokie
przekonanie, Ŝe genetyka jest podstawą osobowości. Opinie typu „wykapany tata” albo „nie
mogła tego odziedziczyć po nikim z naszej rodziny”, wynikają właśnie z takiego pojmowania
istoty rzeczy. Dziedziczność ma znaczący wpływ na cechy fizyczne, takie jak figura,
podobieństwo, kolor oczu lub włosów, system nerwowy, muskulatura itp. W przypadku
innych cech jest odwrotnie. MoŜna stwierdzić wyraźny wpływ środowiska. Aby więc dobrze
zrozumieć daną osobowość, naleŜy wziąć pod uwagę oba składniki dziedziczności–
genetyczny i uzyskany wskutek wychowania – oraz ich wzajemną interakcję. Dziedziczność,
determinuje zakres moŜliwości cech. Dopiero w tak utworzonych ramach decydującą rolę
odgrywa wpływ środowiska UwaŜa się, Ŝe genetyka jest odpowiedzialna za 60-70% róŜnic
osobowościowych a wychowanie za pozostałych 30-40%. RóŜnice między ludźmi, polegają
przede wszystkim na tym, Ŝe kaŜdy jest inaczej zorientowany, a takŜe przewaŜają u niego
róŜne funkcje psychiczne. Zachowanie konkretnego człowieka w konkretnej sytuacji trudno
jest przewidzieć [35, s. 662-680; 22, s. 67-98; 26, s. 29-31].
Osoby znaczące
Na wybór i sposób pełnienia ról społecznych, a jednocześnie na kształtowanie się
osobowości, wywierają duŜy wpływ tzw. osoby znaczące. Osobami tymi są zazwyczaj ludzie,
z którymi przebywamy przez dłuŜszy czas, którzy są dla nas szczególnie waŜni i często
decydują o naszym postępowaniu, np. rodzice, rodzeństwo, wychowawcy, przyjaciele. MoŜe
być nią równieŜ osoba, z którą nie wchodzimy w bezpośredni kontakt, np. ulubiony aktor czy
piosenkarz. Osoby znaczące często stanowią wzór do naśladowania. W toku rozwoju
jednostka przechodzi stopniowo od naśladownictwa cenionych i atrakcyjnych sposobów
zachowania się innych ludzi do przyswojenia sobie rozmaitych reguł postępowania w sposób
bardziej świadomy i do samodzielnego stosowania ich w róŜnych sytuacjach [29, s. 362].
Przyjmowanie wzorów
Przyswajanie reguł, tworzenie obrazu samego siebie, uświadamianie sobie potrzeb
i sposobów ich zaspokajania (postaw) to proces długotrwały. We wczesnych stadiach Ŝycia
odbywa się on na drodze empatii, naśladowania, modelowania i identyfikacji.
Empatia to wczuwanie się w stany psychiczne innych osób. MoŜe to być zarówno trafne
rozumienie czyichś uczuć, jak i doznawanie reakcji emocjonalnej, wywołanej przez
spostrzeŜenie cudzych emocji.
Naśladowanie to forma gromadzenia doświadczenia; występuje wówczas, gdy jednostka,
obserwując zachowanie osoby znaczącej, naśladuje je. Najczęściej ma to miejsce, gdy
jednostka znajduje się w podobnej sytuacji jak osoba, którą naśladuje. Naśladowanie jest
związane z zewnętrznym przejmowaniem reguł postępowania. Dziecko naśladuje matkę nie
dlatego, iŜ uwaŜa, Ŝe to, co ona robi, jest moralnie słuszne, lecz dlatego, Ŝe jest ona dla niego
pierwszoplanową osobą znaczącą. Im waŜniejszą rolę w Ŝyciu człowieka odgrywają osoby
znaczące tym więcej ich zachowań przejmie on przez naśladownictwo. Nagradzanie
wzmacnia tę tendencję. Naśladowane mogą być nie tylko osoby z najbliŜszego otoczenia.
Naśladowani są bohaterowie filmów, powieści czy teŜ ulubieni aktorzy bądź piosenkarze. Ten
rodzaj naśladownictwa wiąŜe się z chęcią ukształtowania siebie na wzór ideału, ma zatem
wpływ na kształtowanie obrazu JA idealnego.
„Projekt współfinansowany ze środków Europejskiego Funduszu Społecznego”
50
Modelowanie to bardziej złoŜona forma przeniesienia doświadczenia. Jednostka
przejmuje od osoby znaczącej (modelu) nie tylko określone formy zachowania, ale równieŜ
tendencje uczuciowo-motywacyjne, co moŜe sprzyjać kształtowaniu się emocjonalnie
pozytywnego lub teŜ negatywnego stosunku do innych ludzi.
Kształtowanie osobowości moŜe odbywać się takŜe drogą identyfikacji. Identyfikacja
obejmuje tendencję do przejmowania zachowań zewnętrznych i wewnętrznych stanów
emocjonalno-motywacyjnych, ponadto wiąŜe się z chęcią całkowitego upodobnienia się do
osoby, z którą jednostka się utoŜsamia, dzięki czemu zdobywa informacje o rolach
społecznych i sposobach ich pełnienia. Proces ten będzie przebiegał prawidłowo jeśli istnieje
silna wieź między rodzicami a dziećmi. W wieku szkolnym dziecko moŜe identyfikować się
takŜe z nauczycielami i swoimi rówieśnikami, co niekiedy moŜe prowadzić do kształtowania
się osobowości społecznie nieakceptowanej. Dzieje się to wtedy, gdy rówieśnicy, z którymi
identyfikuje się jednostka, kierują się aspołecznymi zasadami zachowania [29, s. 363-366].
Kultura
Kultura to zbiorowy dorobek całej ludzkości, składa się ona z dwóch komponentów:
kultury materialnej (wszystkie dotykalne, konkretne wytwory społeczeństwa) i kultury
niematerialnej (duchowe wytwory społeczeństwa przekazywane z pokolenia na pokolenie),
w skład której wchodzą: wiedza i przekonania, wartości, normy (zwyczaje, obyczaje, prawa,
tabu), znaki i symbole (język i gesty) [10, s. 37-45].
NiezaleŜnie w jakiej epoce człowiek Ŝyje, zawsze jest on współtwórcą kultury. DuŜą rolę
odgrywa to jak hermetyczna jest grupa, w której jednostka funkcjonuje, gdyŜ to wpływa na
przenoszenie się norm i zwyczajów danej kultury z pokolenia na pokolenie. Kiedyś nacisk na
zachowanie zgodne z kulturą i obyczajami był znacznie większy, dziś w wyniku liberalizacji
Ŝycia jest on zdecydowanie mniejszy, dlatego teŜ słabiej wpływa na kształtowanie
osobowości, ale jest bardziej skomplikowany gdyŜ człowiek musi wybierać między róŜnymi
systemami wartości i ma do wyboru znacznie więcej ról społecznych. Sytuacja taka nie
sprzyja prawidłowemu kształtowaniu się osobowości, łatwiej mają te osoby, które
z dzieciństwa wyniosły pozytywne doświadczenia w tym zakresie.
Rola oddziaływań wychowawczych
Środowisko wpływa niewątpliwie w znacznym stopniu na rozwój jednostki. Niektóre
z tych wpływów są kontrolowane, inne zaś przebiegają spontanicznie. Oddziaływania
przypadkowe i spontaniczne moŜna nazwać wychowaniem niezamierzonym; z kolei
oddziaływania zaplanowane i celowe nazywamy wychowaniem zamierzonym. Wychowanie
niezamierzone polega na przyswajaniu sobie przez jednostkę okazjonalnie róŜnych zasad
zachowania i postępowania. Przebywając wśród ludzi i obserwując ich, człowiek przyswaja
sobie wiele róŜnorodnych zachowań, poszerzając tym samym swoje doświadczenia
indywidualne. Kiedy osoba znacząca jaką jest niewątpliwie matka, uczy dziecko, Ŝe nie
wolno kłamać, a w jego obecności sama mija się z prawdą to choć świadomie dąŜy do tego,
aŜeby dziecko wychowywać na prawdomównego człowieka, dostarcza mu swym
zachowaniem innych wzorów postępowania. Dziecko uczy się tego, Ŝe w niektórych
sytuacjach kłamstwo jest wygodne i dlatego dopuszczalne. Z tego typu oddziaływania
wychowawcze (niezamierzonymi) występują powszechnie.
Wychowanie zamierzone to proces celowych i zaplanowanych oddziaływań,
ukierunkowanych na efekt wychowawczy. Rodzice i nauczyciele świadomie dąŜą do tego,
aby wychowanek kierował się w Ŝyciu określonymi zasadami i w sposób przemyślany
dostarczają mu tych wzorów. Wychowanie zamierzone, świadome, zmierza do kształtowania
charakteru człowieka. Jest to zadanie bardzo trudne, poniewaŜ na jednostkę oddziałuje wiele
rodzajów oddziaływań wychowawczych. Czasami oddziaływania te są ze sobą sprzeczne.
W procesie wychowania kształtują się trwałe nastawienia wyŜszego rzędu, składające się na
osobowość. Kształtowanie osobowości jest procesem trudnym i długotrwałym, albowiem
„Projekt współfinansowany ze środków Europejskiego Funduszu Społecznego”
51
istnieją sprzeczności między zamierzonymi i niezamierzonymi oddziaływaniami
wychowawczymi, a takŜe między wychowaniem świadomym i nieświadomym. Trzeba
zawsze pamiętać o tym, Ŝe wychowawca (rodzic, nauczyciel w szkole czy w przedszkolu),
a zwłaszcza wychowawca małego dziecka, ma do spełnienia niesłychanie waŜną rolę. Od
tego, w jaki sposób będzie się zachowywał i jak będzie postępował z dziećmi zaleŜy
w ogromnej mierze proces prawidłowego kształtowania ich osobowości. [29, s. 369-371].
4.7.2. Pytania sprawdzające
Odpowiadając na pytania, sprawdzisz, czy jesteś przygotowany do wykonania ćwiczeń.
1. Jak moŜna zdefiniować pojęcia: empatia, naśladownictwo, modelowanie, identyfikacja?
2. Jakie znasz nieświadome oddziaływania wychowawcze?
3. Jaki wpływ na kształtowanie osobowości ma aktywność własna?
4. W jaki sposób dochodzi do przejmowania wzorów?
5. Jaką rolę w kształtowaniu osobowości odgrywa proces wychowania?
6. Jakie jest znaczenie aktywności własnej podmiotu dla kształtowania osobowości?
4.7.3. Ćwiczenia
Ćwiczenie 1
Określ czynniki jakie ukształtowały Twoją osobowość, które z nich miały na nią
największy wpływ i dlaczego?
Sposób wykonania ćwiczenia
Aby wykonać ćwiczenie, powinieneś:
1) zapoznać się z informacjami dotyczącymi kształtowania osobowości,
2) wypisać czynniki kształtujące osobowość,
3) określić czynniki wpływające na własną osobowość,
4) zapisać wnioski,
5) zaprezentować wyniki.
WyposaŜenie stanowiska pracy:
−−−− poradnik dla ucznia,
−−−− arkusz papieru formatu A4,
−−−− przybory do pisania,
−−−− literatura dotycząca kształtowania osobowości.
Ćwiczenie 2
Określ osoby, które były dla Ciebie „osobami znaczącymi” w poszczególnych okresach
Ŝycia. Jaki wpływ wywarły one na Twoje Ŝycie?
Sposób wykonania ćwiczenia
Aby wykonać ćwiczenie, powinieneś:
1) wyjaśnić pojęcie „osób znaczące”,
2) określić „osoby znaczące” w poszczególnych okresach Ŝycia (1 okres Ŝycia na jednym
arkuszu):
Od 1- 3 r.Ŝ
Okres przedszkolny -
„Projekt współfinansowany ze środków Europejskiego Funduszu Społecznego”
52
Lata szkoły podstawowej -
Okres gimnazjalny -
Okres młodzieńczy -
3) zapisać wnioski,
4) zaprezentować pracę.
WyposaŜenie stanowiska pracy:
– arkusze papieru A4,
– przybory do pisania,
– poradnik dla ucznia.
Ćwiczenie 3,
Określ najwaŜniejsze czynniki kulturowe oraz oddziaływania wychowawcze, które mają
największy wpływ na kształtowanie osobowości. Uzasadnij wybór.
Sposób wykonania ćwiczenia
Aby wykonać ćwiczenie, powinieneś:
1) zapoznać się z informacjami dotyczącymi kształtowania osobowości,
2) określić najwaŜniejsze czynniki kulturowe wpływające na osobowość,
3) określić najwaŜniejsze oddziaływania wychowawcze wpływające na osobowość
4) uzasadnić wybór,
5) zaprezentować wyniki pracy.
WyposaŜenie stanowiska pracy:
−−−− poradnik dla ucznia,
−−−− arkusz papieru formatu A4,
−−−− przybory do pisania.
4.7.4. Sprawdzian postępów
Czy potrafisz: Tak Nie
1) określić czynniki kształtujące osobowość? □ □
2) określić osoby, które moŜna nazwać osobami znaczącymi? □ □
3) określić wpływ osób znaczących na kształtowanie się osobowości? □ □
4) wyjaśnić jak kultura wpływa na formowanie się osobowości? □ □
5) podać przykład wychowania zamierzonego i niezamierzonego? □ □
„Projekt współfinansowany ze środków Europejskiego Funduszu Społecznego”
53
4.8. Podstawy Ŝycia społecznego
4.8.1. Materiał nauczania
śycie społeczne to ogół zjawisk wynikających z wzajemnego oddziaływania jednostek
i zbiorowości przebywających na pewnej, ograniczonej przestrzeni. Odnosi się nie tylko do
świata ludzkiego, ale równieŜ do świata roślinnego i zwierzęcego. śycie społeczne ludzi
opiera się na więzi społecznej. Występuje ono wszędzie tam, gdzie osobniki Ŝywe korzystają
z zasobów danej przestrzeni, zaspokajają swoje potrzeby [37, s. 530].
Składniki (elementy) Ŝycia społecznego:
1. Socjalizacja.
2. Przyrodnicze podstawy Ŝycia społecznego.
3. Ekonomiczne podstawy Ŝycia społecznego.
4. Kulturowe podstawy Ŝycia społecznego.
5. Potrzeby.
6. System wartości.
7. Postawy.
8. Zachowania prospołeczne.
Socjalizacja – proces wpajania człowiekowi umiejętności niezbędnych dla osoby
dorosłej, kształtowania jego osobowości, przekazywania systemu wartości, zwyczajów,
języka, norm i wzorów kulturowych dokonywany przez środowisko społeczne; stawanie się
pełnoprawnym członkiem społeczeństwa [21, s. 121]. W wyniku socjalizacji jednostka uczy
się podstaw interakcji społecznych, poznaje społeczne normy postępowania, wartości,
nabywa umiejętność posługiwania się przedmiotami i kształtuje swoją osobowość, uczy się
odgrywania ról społecznych, porozumiewania z innymi za pomocą symboli i języka.
Socjalizacja to proces trwający przez całe Ŝycie człowieka.
WyróŜnia się trzy mechanizmy socjalizacji:
a) wzmacnianie – wynagradzanie i karanie,
b) naśladowanie – przejmowanie wzorców,
c) przekaz symboliczny – pouczenia słowne i pisemne.
Procesy socjalizacji moŜna podzielić na pierwotne i wtórne. Socjalizacja pierwotna –
zachodzi w grupie pierwotnej, najczęściej w rodzinie. W socjalizacji pierwotnej na jednostkę
mają wpływ osoby znaczące, przewaŜnie rodzice. Charakteryzuje się ona silnym
emocjonalnym oddziaływaniem tych osób na jednostkę. Reguły działania przyswaja ona na
zasadzie naśladownictwa oraz w mniejszym stopniu poprzez werbalny przekaz symboliczny.
Socjalizacja pierwotna kończy się w momencie pojawienia się ogólnych reguł społecznych,
norm i wartości, które jednostka zaczyna dostrzegać w procesie socjalizacji wtórnej
i pojmować, Ŝe reguły, według których działa, nie są regułami tylko jej i bliskich osób,
z którymi się utoŜsamia, ale są one ogólnie przyjęte w społeczeństwie. W tym momencie
rozpoczyna się etap socjalizacji wtórnej, która obejmuje proces podjęcia pracy zawodowej,
kiedy w toku wzrastania jednostki do Ŝycia społecznego wchodzi ona do kolejnych wtórnych
grup społecznych (instytucje religijne, zakłady pracy, partie polityczne, itd.) [32, s.32-37].
Przyrodnicze podstawy Ŝycia społecznego
Wpływ środowiska przyrodniczego na Ŝycie jednostki i społeczeństwa jest bardzo duŜy,
co jest zgodne z teorią posybilizmu geograficznego. Według tej teorii przyroda i jej
specyficzne warunki występujące na określonej przestrzeni niczego nie wyznaczają w sposób
bezwzględny i ostateczny, ale jedynie stwarzają jednostce i zbiorowości odpowiednie szanse
dokonywania róŜnych wyborów i podejmowania działań w zaleŜności od woli i moŜliwości.
Obejmują one czynniki dotyczące samego człowieka jako istoty biologicznej, jego
środowiska geograficznego i struktury ludności.
„Projekt współfinansowany ze środków Europejskiego Funduszu Społecznego”
54
MoŜemy wyróŜnić następujące czynniki:
1. Biologiczne – w Ŝyciu społecznym człowieka najwaŜniejsze są takie cechy jego
organizmu jak: wyprostowana postawa, wzrok skierowany na przód, duŜy mózg i złoŜony
system nerwowy, złoŜony mechanizm głosowy, długa zaleŜność dziecka od rodziców,
popędy i potrzeby, trwałość popędu seksualnego.
2. Geograficzne – te czynniki wyznaczają dynamikę i kierunki rozwoju społeczno –
gospodarczego kraju. Mają bezpośredni wpływ na kształt struktury zawodowej i na róŜne
procesy zachodzące w społeczeństwie: klimat, ukształtowanie terenu, rodzaj gleby
i roślinności, świat zwierzęcy, rzeki, eksploatowane bogactwa naturalne.
3. Demograficzne – czynniki te warunkują odpowiednie zjawiska i procesy społeczne
zachodzące w społeczeństwie, np. kulturowe, gospodarcze, polityczne, gęstość
zaludnienia, płeć, wiek, płodność, przyrost naturalny, przeciętna długość Ŝycia,
zdrowotność.
Ekonomiczne podstawy Ŝycia społecznego
Składają się na nie: sposoby uŜytkowania zasobów środowiska geograficznego, narzędzia
i maszyny, organizacja pracy, forma własności środków produkcji. Na proces produkcji
składa się: praca, podmiot, zespół narzędzi. Znajomość zagadnień ekonomicznych jest
niezbędna do zrozumienia typowych zjawisk i procesów społecznych, jakie zachodzą
w społeczeństwie, czyli procesów demograficznych, kulturowych, militarnych, religijnych.
Kulturowe podstawy Ŝycia społecznego
Kultura stanowi ogół dóbr dających się podzielić na klasy: rzeczy, znaki, zachowania.
Mechanizmy wpływu kultury na Ŝycie społeczne:
1. Socjalizacja i kształtowanie osobowości jednostki.
2. Ustanawianie systemów wartości i kryteriów je określających.
3. Ustalanie wzorców zachowania i postępowania.
4. Konstruowanie modeli (ideałów) zachowań, instytucji i systemów.
Ideał – to taki wzorzec wysoko usytuowany, Ŝe z góry zakładamy, Ŝe go nie osiągniemy–
samo dąŜenie jest juŜ wartością.
Kultura masowa – zespół treści rozpowszechnianych za pośrednictwem środków masowego
komunikowania. Kulturę tą charakteryzuje pośrednia droga przekazywania treści,
koncentracja źródeł przekazu, eksterytorialność oraz bardzo liczna i zróŜnicowana masa
odbiorców. Publiczność kultury masowej nazywamy pośrednią, bo powstaje za
pośrednictwem prasy, radia i telewizji a nie drogą fizycznego kontaktu.
Potrzeby człowieka – potrzeba to stan braku lub inaczej stan niepokoju w jakim znajduje
się człowiek. Powstaje na podłoŜu zaburzenia równowagi między środowiskiem,
a organizmem, wynika najczęściej z braku czegoś, sprawia, ze organizm nie jest w stanie
prawidłowo funkcjonować. Istnieje wiele klasyfikacji potrzeb, do najprostszych naleŜy
podział: potrzeby pierwotne – biologiczne i potrzeby wtórne – psychiczne. Najbardziej
elementarne są potrzeby biologiczne (wody, pokarmu, tlenu, zachowania gatunku). Zwierzęta
zaspokajają te potrzeby instynktownie, człowiek zaś uczy się zaspokajać swoje potrzeby tak
jak wymaga tego od niego społeczeństwo, w przypadku pokarmu na przykład dotyczy to
zarówno doboru poŜywienia jak i sposobu jego spoŜywania. Na pograniczu potrzeb
biologicznych i psychologicznych znajduje się potrzeba bezpieczeństwa. Jest ona zaspokajana
z jednej strony przez unikanie bólu i przykrości fizycznych, a z drugiej przez prawidłowe
kontakty człowieka z grupą. Brak zaspokojenia tej potrzeby moŜe rzutować na całe Ŝycie
człowieka. Zaspokojenie potrzeb psychicznych zapewnia utrzymanie równowagi psychicznej.
Niezaspokojenie potrzeby afiliacji (kontaktu emocjonalnego) moŜe doprowadzić u dzieci do
choroby sierocej, a u dorosłych do nerwic, depresji i wielu innych zaburzeń. Niezmiernie
waŜne dla prawidłowego funkcjonowania w społeczeństwie jest teŜ zaspokojenie potrzeby
akceptacji, zarówno ze strony rodziny jak i otoczenia. Brak w tej dziedzinie moŜe być, np.
„Projekt współfinansowany ze środków Europejskiego Funduszu Społecznego”
55
przyczyną izolacji. Kolejna waŜna potrzebą jest potrzeba uznania i szacunku. Jej zaspokojenie
daje poczucie pewności siebie, a bark zaspokojenia uczucie niŜszości i moŜe prowadzić do
zachowań neurotycznych. Istotne jest takŜe zaspokojenie potrzeb sukcesu, poznawczych,
kulturalnych. Bardzo waŜne jest by została zaspokojona potrzeba sensu Ŝycia, bez tego
bowiem człowiek ma znaczne problemy z prawidłowym funkcjonowaniem, nie wykorzystuje
wszystkich swoich moŜliwości, a świat widzi w czarnych barwach [29, s. 380-386].
Wartości człowieka – zespół cech właściwych danej osobie lub rzeczy, decydujących
o jej zaletach, to, co dla człowieka jest cenne z punktu widzenia zaspokojenia jego potrzeb.
Wartości są jednym z głównych regulatorów postępowania ludzi. Człowiek przypisuje róŜne
wartości przedmiotom, sytuacjom, zjawiskom społecznym, przeŜyciom psychicznym, ocenia
co jest dla niego waŜne. śycie społeczne jest regulowane przez róŜne systemy wartości.
Najczęściej wyróŜnia się następujące systemy wartości: wartości moralne, prawne, religijne,
polityczne, ekonomiczne, estetyczne, naukowe. Wartości moralne, takie jak np. dobro,
sprawiedliwość, miłość, godność, zazwyczaj traktowane są przez ludzi jako wartości
nadrzędne. Uznanie przez człowieka takich, a nie innych wartości ukierunkowuje jego Ŝycie,
poglądy i zachowanie. Wartości rzadko występują w czystej postaci, często pozostają we
wzajemnych związkach i zaleŜnościach. Między wartościami występują równieŜ konflikty,
szczególnie w sytuacjach podejmowania przez człowieka trudnych wyborów. Wszelkie
decyzje lub konflikty międzyludzkie wymagają opowiedzenia się po stronie określonych
wartości. Znając sposób wartościowania preferowany przez człowieka, moŜna przewidzieć
jego styl Ŝycia, postawy wobec róŜnych zjawisk i problemów.
Postawy człowieka
Postawa człowieka wobec pewnego przedmiotu to ogół względnie trwałych przekonań
o naturze i właściwościach tego przedmiotu, dyspozycji do oceniania go i emocjonalnego
reagowania, a takŜe dyspozycji do określonego zachowania się wobec tego przedmiotu.
Postawy człowieka wobec otaczającej rzeczywistości są kształtowane w procesie jego
wychowania, w procesie uczenia się, w drodze wielokrotnych doświadczeń z przedmiotem
postawy albo za pośrednictwem uzyskiwanych od otoczenia informacji. Znaczny wpływ na
kształtowanie postaw człowieka mają osoby znaczące oraz grupy odniesienia. WyróŜniamy
postawy utajone i czynne. Postawy utajone to stan gotowości do działania powstały na
podstawie wcześniejszych doświadczeń w tej dziedzinie. Postawa czynna to konkretne
zachowanie się człowieka w stosunku do osoby lub sytuacji. Postawy mogą ulegać zmianie,
gdy zachodzi sprzeczność między potrzebami jednostki a wymaganiami społeczeństwa.
Postawy mogą być równieŜ przejmowane, zwłaszcza od autorytetów. Postawy ogólne
warunkujące stosunek jednostki do innych ludzi, pracy i samego siebie powiązane w całość
tworzą zespół postaw określany jako charakter [29, s. 393-394].
Swoistym rodzajem postawy jest stereotyp, czyli funkcjonujący w świadomości
społecznej, skrótowy, uproszczony i zabarwiony wartościująco obraz rzeczywistości
odnoszący się do rzeczy, osób, grup społecznych, instytucji (np. stereotyp Niemca, Polaka,
Włocha), zawodowych (np. profesora, aktora, menadŜera), klasowych (np. robotnika,
inteligenta) lub związanych z określoną płcią (np. prawdziwego męŜczyzny) [37, s. 197, 307].
Zachowania prospołeczne – postępowanie mające na celu dobro drugiej osoby.
WyróŜniamy dwa typy zachowań prospołecznych: ofiarność i altruizm, przy czym przez
altruizm rozumiemy działanie mające na celu dobro drugiej osoby, a nie zdobycie
zewnętrznych nagród.
Cele działań prospołecznych są następujące:
−−−− dla własnego dobra – korzyści genetyczne i materialne, ludzie czasami pomagają by
zwiększyć szanse na przetrwanie ich genów; pomagając bowiem krewnym lub osobom
obcym mają nadzieję na rewanŜ,
„Projekt współfinansowany ze środków Europejskiego Funduszu Społecznego”
56
−−−− by podwyŜszyć swoją pozycję społeczną i zdobyć aprobatę – pomaganie jest bowiem
cenione w kulturze ludzkiej; osoby wykazujące duŜą potrzebę aprobaty są bardziej
skłonne pomagać w sytuacjach publicznych; najbardziej podstawowa normą dotycząca
pomagania jest norma odpowiedzialności społecznej, zgodnie, z którą powinno się
pomagać tym, którzy są zaleŜni od nasze pomocy. Kiedy dzieci uświadamiają sobie tę
normę, są bardziej skłonne do pomagania w obecności dorosłych licząc na aprobatę z ich
stron; zgodnie ze społecznie przyjętymi rolami płciowymi:, męŜczyźni pomagają więcej,
kiedy sytuacja wymaga heroicznej, bezpośredniej pomocy na rzecz obcego
potrzebującego, zaś kobiety pomagają więcej kiedy sytuacja wymaga opiekuńczych
i wspierających zachowań dla kogoś, z kim są związane,
−−−− by zarządzać wizerunkiem własnej osoby – oprawa i weryfikacja definicji Ja; osoby
o silnych normach religijnych i osobistych pomagają by postępować zgodnie
z wizerunkiem własnej osoby; etykiety jakie inni nam „przyklejają” skłaniają nas do
częstszego pomagania; poniewaŜ ludzie zaliczają pomaganie innym do wartości, stają się
bardziej prospołeczni, kiedy coś sprawi, Ŝe skoncentrują się na tych wartościach,
−−−− by radzić sobie z własnymi nastrojami i emocjami – udzielanie pomocy to nagradzające
doświadczenie, dlatego teŜ moŜe być traktowane jako sposób na uwolnienie się od
nieprzyjemnych emocji; chwilowo zasmucone osoby pomagają więcej widząc w tym
poprawę nastroju, szczęśliwe osoby pomagają gdyŜ mają nadmiernie pozytywne
spojrzenie na sposobność udzielania pomocy [21, s. 435-437].
Źródła zachowań prospołecznych:
−−−− wartości osobiste,
−−−− przekonania religijne,
−−−− przykład rodziców,
−−−− otrzymanie pomocy w przeszłości,
−−−− kryzys wewnętrzny lub zdrowotny [21, s. 435-483].
Tabela 3. Cele działań prospołecznych oraz związanych z nimi czynników [21, s. 476]
Cel Osoba Sytuacja Interakcje
Korzyści
genetyczne
i materialne
− wpojone
przekonanie
dotyczące działań
prospołecznych
− rozszerzenie
pojęcia My
− podobieństwo
ofiary do
pomagającego
− „swojskość” ofiary
dla pomagającego
− osoby, które myślą o działaniach prospołecznych
jako o sposobie na zyskanie czegoś dla siebie, są
bardziej pomocne wtedy gdy mogą uzyskać
rekompensatę za pomoc
− tendencja do pomagania krewnym bardziej niŜ
osobom niespokrewnionym, nasila się gdy pojawia
się zagroŜenie Ŝycia
Pozycja
społeczna
i aprobata
− potrzeba aprobaty
− świadomość
normy pomagania
− modele pomagania
− gęstość
zaludnienia
− to która płeć częściej pomaga zaleŜy od tego, czy
dany rodzaj pomocy bardziej pasuje do kobiecej
czy męskiej roli płciowej
Zarządzanie
wizerunkiem
własnej osoby
− koncepcja Ja
− normy osobiste
− normy religijne
− etykietowani
− autokoncentracja
− decyzja czy udzielić pomocy przyjacielowi czy
obcemu, zaleŜy od wpływu pomagania na
koncepcje Ja pomagającego
− wysoka samoocena moŜe doprowadzić do odmowy
przyjęcia potrzebnej pomocy,
Zarządzanie
własnymi
nastrojami
i emocjami
− smutek
− wiek
− koszty i zyski
z pomagania
− moŜliwość
zmieniania
nastroju przez
pomaganie
− ludzie w smutnym nastroju podchodzą do
pomagania wybiórczo, wybierając moŜliwości,
które obiecują nagrodę, zaś osoby przeŜywające
pozytywne emocje są duŜo mniej wybredni i
decydują się na pomaganie w róŜnorodnych
sytuacjach
„Projekt współfinansowany ze środków Europejskiego Funduszu Społecznego”
57
Do elementów postaw Ŝycia społecznego moŜna zaliczyć takŜe: uczciwość, odwagę
cywilną, słowność, prawdomówność, punktualność, wraŜliwość społeczną, solidaryzm
międzyludzki, konformizm (zmiana zachowania lub opinii danej osoby, spowodowana
rzeczywistym lub wyobraŜonym naciskiem ze strony osoby lub grupy ludzi) nonkonformizm
(dewiacja demonstrowana publicznie w proteście przeciwko obowiązującym normom czy
wartościom), internalizacja (proces psychiczny polegający na „uwewnętrznieniu „kultury”
czyli przekształceniu jej wzorów w elementy osobowości–motywacje, postawy)
[37, s. 280, 286, 395, 415; 1, s. 33].
4.8.2. Pytania sprawdzające
Odpowiadając na pytania, sprawdzisz, czy jesteś przygotowany do wykonania ćwiczeń.
1. Jak moŜna zdefiniować pojęcie Ŝycia społecznego?
2. Jakie znasz podstawy Ŝycia społecznego?
3. Czym charakteryzują się przyrodnicze podstawy Ŝycia społecznego?
4. Jakie czynniki składają się na ekonomiczne podstawy Ŝycia społecznego?
5. Jaką rolę w kształtowaniu Ŝycia społecznego odgrywają potrzeby, a jaką wartości?
6. Jak moŜna zdefiniować pojęcie kultury masowej?
4.8.3. Ćwiczenia
Ćwiczenie 1
Wyjaśnij dlaczego właściwy przebieg procesu socjalizacji jest waŜny w funkcjonowaniu
społecznym.
Sposób wykonania ćwiczenia
Aby wykonać ćwiczenie, powinieneś:
1) scharakteryzować przebieg procesu socjalizacji,
2) określić właściwy przebieg procesu socjalizacji,
3) wyjaśnić wpływ przebiegu procesu socjalizacji na funkcjonowanie społeczne,
4) zaprezentować wyniki pracy podczas dyskusji.
WyposaŜenie stanowiska pracy:
−−−− poradnik dla ucznia,
−−−− arkusz papieru A4,
−−−− przybory do pisania.
Ćwiczenie 2
Określ główne elementy podstaw Ŝycia społecznego i uzupełnij tabelę.
Podstawy Ŝycia społecznego Główne elementy
Socjalizacja
Przyrodnicze podstawy Ŝycia społecznego
Ekonomiczne podstawy Ŝycia społecznego
Kulturowe podstawy Ŝycia społecznego.
Potrzeby
System wartości
Postawy
Zachowania prospołeczne
„Projekt współfinansowany ze środków Europejskiego Funduszu Społecznego”
58
Sposób wykonania ćwiczenia
Aby wykonać ćwiczenie, powinieneś:
1) scharakteryzować elementy podstaw Ŝycia społecznego,
2) określić główne elementy podstaw Ŝycia społecznego,
3) przygotować tabelę według podanego wzoru,
4) uzupełnić tabelę,
5) dokonać analizy wyników,
6) zapisać wnioski,
7) zaprezentować pracę.
WyposaŜenie stanowiska pracy:
−−−− plansze lub slajdy przedstawiające wykaz czynników stanowiących podstawy Ŝycia
społecznego,
−−−− poradnik dla ucznia,
−−−− arkusz papieru A4,
−−−− przybory do pisania,
−−−− wzór tabeli do uzupełnienia.
Ćwiczenie 3
Określ, czy istnieje związek pomiędzy postawami, zachowaniami prospołecznymi oraz
systemem wartości. Uzasadnij odpowiedź.
Sposób wykonania ćwiczenia
Aby wykonać ćwiczenie, powinieneś:
1) zapoznać się materiałami dydaktycznymi dotyczącymi postaw, zachowań prospołecznych
i systemów wartości,
2) określić związek miedzy tymi trzema podstawami Ŝycia społecznego,
3) dokonać analizy wyników,
4) zapisać wnioski,
5) zaprezentować pracę.
WyposaŜenie stanowiska pracy:
−−−− poradnik dla ucznia,
−−−− arkusz papieru A4,
−−−− przybory do pisania.
4.8.4. Sprawdzian postępów
Czy potrafisz: Tak Nie
1) wyjaśnić pojęcie procesu socjalizacji? □ □
2) określić główne postawy prospołeczne? □ □
3) wyjaśnić, w jaki sposób kształtują się postawy? □ □
4) wskazać róŜnice między konformizmem, a nonkonformizmem? □ □
5) wyjaśnić, jaki wpływ na kształtowanie postaw i wartości ma
internalizacja? □ □
„Projekt współfinansowany ze środków Europejskiego Funduszu Społecznego”
59
4.9. Funkcje i zadania grupy społecznej. Role społeczne
4.9.1. Materiał nauczania
Grupa społeczna to zbiór ludzi, między, którymi zaistniała chociaŜ na krótko więź
społeczna [32, s. 87]. A. Giddens definiuje grupę społeczną jako zbiór jednostek, które są ze
sobą w stałym kontakcie. Grupy mogą być kilkuosobowe lub stanowić wielkie organizacje
i społeczeństwa. Bez względu na rozmiar grupy jej wyróŜniającą cechą jest to, Ŝe członkowie
maja poczucie wspólnej toŜsamości [9, s. 722]. Z kolei P. Sztompka za grupę społeczną
uwaŜa, zbiór jednostek, w którym wspólnota pewnych istotnych społecznie cech wyraŜa się
w toŜsamości zbiorowej i towarzyszą temu kontakty, interakcje i stosunki społeczne w jej
obrębie częstsze i bardziej intensywne niŜ z osobami z zewnątrz [37, s. 196; 39].
Powstawanie grup społecznych
Grupy składają się z jednostek między, którymi dochodzi do interakcji; im bliŜej pod
względem geograficznym znajdują się dane osoby, tym większe szanse ich spotkania – czyli
fizyczna styczność, zwiększa prawdopodobieństwo interakcji i wspólnych działań, których
rezultatem jest powstanie grupy społecznej. Drugim czynnikiem jest podobieństwo między
jednostkami; ludzie bowiem wolą wiązać się z jednostkami podobnymi do siebie. Czują się
swobodniej z kimś o podobnych poglądach, wartościach. Istnieje teŜ skłonności do wiązania
się z osobami o podobnej charakterystyce społecznej jak rasa, religia, wiek, pochodzenie itp.
Funkcje i zadania grup społecznych
Grupy społeczne odgrywają ogromną rolę w Ŝyciu społecznym: człowiek przynaleŜąc do
grupy społecznej zaspokaja większość potrzeb Ŝyciowych. W grupie dokonuje się transmisja
kultury, nauka wartości i postaw oraz wzorów zachowań. Grupy to teŜ miejsce socjalizacji
i kontroli społecznej. Dzięki wsparciu grupowemu człowiek moŜe realizować swoje cele,
których nie udałoby mu się dokonać indywidualnie [32, s. 89].
W grupie istnieje komunikacja i łączność, tendencja do zachowania konformizmu,
kulturowo wspólnych wartości, świadomość wspólnych interesów i ich przedkładanie nad
swoje interesy, pewne terytorium, majątek, budynki, ośrodki, skupienia, wspólne symbole,
herby, sztandary, pieczęcie. Grupa wykształciła władzę grupową i instytucje (pewne sposoby
działania, załatwiania spraw) grupowe. Uczestnictwo w grupie wytwarza więź społeczną,
uczy solidarności.
Podstawową grupą jest grupa rodzinna, jej funkcje to: materialno-ekonomiczna
(zaspokajanie materialnych potrzeb rodziny), opiekuńczo-zabezpieczająca (polega na
materialnym i fizycznym zabezpieczeniu członków rodziny w niezbędne do Ŝycia środki),
prokreacyjna, seksualna, kontrolna (przejawia się w sprawowaniu wzajemnej kontroli
członków rodziny), socjalizacyjna (przygotowuje dzieci do samodzielnego pełnienia
podstawowych ról społecznych), rekreacyjno-towarzyska (dom rodzinny jest miejscem
wypoczynku i nawiązywania kontaktów towarzyskich).
Klasyfikacja grup społecznych przedstawia się następująco:
−−−− ze względu na typ więzi społecznych:
a) grupy pierwotne, w których istnieje więź oparta na osobistych kontaktach i postawach
emocjonalnych, z tego teŜ względu mają duŜe znaczenie dla jednostki,
b) grupy wtórne, oparte na więziach formalnych, rzeczowych;
−−−− ze względu na wielkość grupy:
a) grupy małe, (np. rodzina, grupa rówieśników),
b) grupy duŜe, posiadające strukturę zbudowaną z wielu podgrup (np. klasa);
−−−− ze względu na stopień formalizacji:
a) grupy formalne (organizacje), funkcjonujące na podstawie wewnętrznych,
sformalizowanych i oficjalnych instytucjach władzy, kontroli i podziału ról,
„Projekt współfinansowany ze środków Europejskiego Funduszu Społecznego”
60
b) nieformalne, złoŜone zwykle z małej liczby osób, połączonych wspólnotą interesów.
Kolejnymi rodzajami grup są grupy:
1) celowe (np. sportowe, partie polityczne, tzw. akcyjne),
2) wspólnotowe (ze względu na zadania, wspólnota poglądów, wartości),
3) swoje – zbiorowości, do której jednostka naleŜy i która dzieli poczucie toŜsamości,
4) obce – grupa, do której jednostka nie naleŜy i nie jest wobec niej lojalna,
5) odniesienia – grupy, które są dla jednostki waŜne i wpływają na ich działania; pełnią one
3 funkcje:
−−−− normatywną – określenie właściwych zasad postępowania;
−−−− porównawczą – wskazuje wzory do naśladowania;
−−−− audytoryjną – ocena stosowności zachowań jednostki [10, s. 35],
6) ekskluzywne – do której przynaleŜeć mogą osoby spełniające odpowiednie kryteria
przynaleŜności. Często kryterium uwzględnianym przy rekrutacji nowych członków jest
ich pozycja społeczna (zamoŜność),
7) inkluzywne – członkiem tego typu grupy moŜe być kaŜda osoba, nie są tutaj istotne Ŝadne
kryteria klasyfikacyjne.
Całe Ŝycie człowieka jako jednostki społecznej upływa i zaleŜne jest od wielu grup
społecznych. Podstawowe znaczenie w Ŝyciu jednostki ludzkiej odgrywają róŜne małe grupy
społeczne. KaŜdy z nas naleŜał, naleŜy lub będzie naleŜał do wielu małych grup.
NajwaŜniejsza z nich to rodzina. To właśnie rodzina przygotowuje i wprowadza nas do
samodzielnego dorosłego Ŝycia, wywiera decydujący wpływ na nasze kompetencje społeczne.
Ponadto człowiek w ciągu swojej „drogi Ŝycia” jest członkiem tak waŜnych małych grup
społecznych, jak np.: grupa przedszkolna, grupa rówieśników z podwórka, grupa kolegów
z boiska, klasa szkolna, grupa osób posiadających takie same zainteresowania, grupa
członków róŜnych organizacji społecznych, społeczno-kulturalnych, politycznych czy
wreszcie religijnych, a takŜe grupa współpracowników w przedsiębiorstwie. Członkowie grup
wzajemnie postrzegają swoje zachowanie, inicjują i odpowiadają na interakcje, komunikują
się, współpracują a nawet często rywalizują ze sobą, modyfikują zachowanie partnerów, czyli
wywierają na siebie róŜnorodny wpływ.
Interakcje wewnątrzgrupowe pełnią trzy funkcje: pobudzają i utrzymują ogólną
aktywność grupy, stymulują porozumienie i współpracę, co pozwala osiągnąć zamierzone
cele, przyczyniają się do kreowania pozytywnej, cieplej atmosfery społecznej w grupie.
F. Znaniecki decydującą rolę przypisywał wychowawczej funkcji grup społecznych.
Autor traktuje jako działalność społeczną i upatruje istotę w urabianiu jednostki na członka
grupy społecznej. Wychowanie społeczne miało zajmować główne miejsce w całokształcie
wpływów wychowawczych na rozwój i uspołecznienie wychowanków i ograniczać ich
interesy indywidualne na rzecz potrzeb i interesów zbiorowych.
Struktura społeczna grupy jest to układ wzajemnie powiązanych elementów składowych
społeczeństwa np. ról społecznych czy pozycji, między którymi zachodzą mniej lub bardziej
dynamiczne procesy oraz występuje hierarchia. Jest to teŜ układ stosunków społecznych
pomiędzy poszczególnymi osobami, kategoriami społecznymi lub organizacjami. Struktura
socjometryczna zaś to typowy układ wzajemnych sympatii, antypatii lub obojętności, jakie
występują pomiędzy członkami grupy. Powstaje w wyniku oddziaływania ludzi na siebie.
Pozwala na opis grupy z punktu widzenia jej dynamiki. W takiej grupie łatwo o tworzenie się
klik wewnątrz niej [10, s. 67-80; 32, s. 83-101].
Grupa odgrywa takŜe duŜą rolę w procesie rehabilitacji osoby niepełnosprawnej.
We wspólnocie bowiem są słabsze i silniejsze jednostki, te silniejsze potrafią dać wsparcie
słabszym. Ponadto w grupie jednostka zauwaŜa, Ŝe nie jest sama ze swoim problemem i nie
tylko ona jest niepełnosprawna. Jednostki oporne w ćwiczeniach pod wpływem grupy
przełamują się, w grupie powiększa się jej niezaleŜność i autonomia, pozwala na
„Projekt współfinansowany ze środków Europejskiego Funduszu Społecznego”
61
zindywidualizowanie poglądu na świat i działanie w nim. Jednostka będąc z grupą, rozluźnia
silne więzy z rodziną, ale buduje je z rówieśnikami. Tutaj się dowiaduje, Ŝe bierność
w zachowaniu i kontaktach nie jest wzmacniana pozytywnie. Musi się dostosowywać do
zasad panujących w grupie, nie czekając aŜ ktoś mu przyjdzie z pomocą. To spowoduje, Ŝe
nauczy się sama rozwiązywać swoje problemy i nie będzie tkwiło w wyuczonej bezradności.
Grupa moŜe bezpośrednio i pośrednio wpływać na kształtowanie się własnego obrazu
osoby przez uświadomienie celów, działań, wartości, realnego mierzenia sił na zamiary,
samoakceptację, to jest zgodę na to, kim się jest. Sama jednostka zaczyna więc zdawać sobie
sprawę ze swoich moŜliwości psychofizycznych i przy pomocy ludzi z zewnątrz uruchomić
w sobie i rozwinąć te zadatki lub cechy, które nie zostały uszkodzone, wzmacniać
i usprawniać sferę psychiczną lub fizyczną, wkładając w to wysiłek i zastępować fizyczne
i psychiczne deficyty rozwojowe takimi cechami psychicznymi, jak poczucie waŜności,
wartości, pozytywna ocena siebie, własna aktywność i gotowość do przezwycięŜania
trudności. Dzięki grupie jednostka niepełnosprawna rozumie, Ŝe naleŜy zamknąć za sobą
przeszłość i uczyć się Ŝyć dla teraźniejszości i przyszłości. Mieć wpływ na to, co się moŜe
zdarzyć, umieć analizować sytuacje dnia codziennego w celu stwierdzenia źródła
niepowodzenia i naprawiać je w miarę samodzielnie. Poświęcać duŜo czasu i energii próbom
polepszenia swojej sytuacji. Wyszukiwać sobie zadania i zajęcia. Uświadomić sobie, Ŝe nie na
wszystkie choroby są lekarstwa, spróbować się pogodzić ze swoją chorobą. Nie liczyć swoich
kłopotów, ale liczyć swoje sukcesy.
Rola społeczna – to względnie stały i wewnętrznie spójny system zachowań i cech
będących reakcjami na zachowania innych osób i przebiegających według mniej lub bardziej
wyraźnie ustalonego wzoru [32, s. 43].
Role róŜnią się od siebie zakresem oddziaływania, stopniem określenia konkretnych
działań, częstotliwością występowania i znaczeniem w Ŝyciu społecznym. Role jakie
odgrywamy w Ŝyciu związane są nie tylko z działaniami, ale teŜ z uczuciami i postawami
odnoszącymi się do tych działań. Kobieta, która została matką nie tylko odgrywa rolę matki,
ale odczuwa i reaguje w sposób oczekiwany przez innych ludzi. Uczucia i postawy
wzmacniane są w związku z odgrywaną rolą. KaŜda rola związana jest z pewnym stopniem
identyfikacji. Czasem ta identyfikacja jest tymczasowa, co ułatwia zmianę roli w sposób
bezkonfliktowy. Są teŜ role trwałe, z którymi człowiek jest związany całe Ŝycie, np. role
związane z płcią. KaŜda rola wymaga od człowieka określonych zachowań. Zdarza się, Ŝe
pewne role odgrywamy bez świadomości faktu, Ŝe spełniamy jakieś oczekiwania, np. rola
siostry. Realizacja roli zaleŜy od wielu czynników, np. elementów bio i psychogennych
jednostki, które mogą ułatwiać lub utrudniać pełnienie roli, np. zdolności. Człowiek nie jest
tylko aktorem, ale teŜ kreatorem danej roli, ma moŜliwość akcentowania własnej
indywidualności i modyfikacji społecznej rzeczywistości. Współczesne ujęcia roli społecznej
akcentują wielość ról w Ŝyciu zbiorowym, które nie pozostają ze sobą w Ŝadnych związkach
oraz wielość ról pełnionych przez jednego człowieka. Stąd teŜ T. Parsons nazwał jednostkę,
„wiązką ról społecznych” [32, s. 92].
KaŜdy człowiek pełni w społeczeństwie róŜnorodne role społeczne. Rola społeczna to
zachowanie, którego grupa oczekuje od jednostki w wyniku zaakceptowania określonej
pozycji tejŜe jednostki w ramach grupy [39]. Pełnienie danej roli oznacza przyjęcie systemu
określonych reguł postępowania. Innego zachowania oczekuje się od ucznia, innego od
nauczyciela itp. Określona kultura wymaga specyficznego sposobu pełnienia roli. Na
przykład zupełnie inne reguły postępowania obowiązywały młodą dziewczynę sto lat temu,
inne obowiązują dziś. Człowiek niemal od pierwszych chwil swego Ŝycia podlega
róŜnorodnym wpływom społecznym. Rodzice, wychowawcy, rówieśnicy stawiają jednostce
wymagania dotyczące jej sposobu zachowania się. Człowiek uczy się zatem zachowywać się
w taki sposób, który przynosi mu aprobatę grupy społecznej. Unika zaś tych rodzajów
„Projekt współfinansowany ze środków Europejskiego Funduszu Społecznego”
62
zachowania, które są sprzeczne z wymogami grupy. Niektóre role są narzucane jednostce
przez społeczeństwo (przypisane); są to role wywodzące się z róŜnic biologicznych między
ludźmi oraz z róŜnic wieku. Są jednak takŜe role, które człowiek wybiera sobie sam
(osiągane), np. zawód.
NiezaleŜnie od tego, czy jakąś rolę człowiek podejmuje dobrowolnie, czy teŜ jest mu ona
narzucona przez społeczeństwo, musi przy jej pełnieniu przestrzegać wymagań z nią
związanych. Nie zawsze człowiek przyjmuje rolę narzuconą mu przez społeczeństwo.
Czasem dzieje się tak dlatego, Ŝe dana rola jest dla niego za trudna lub kiedy ma jakieś
negatywne doświadczenia związane z jej pełnieniem. Odrzucenie roli wiąŜe się często
z brakiem właściwych wzorów postępowania. W niektórych sytuacjach role te mogą
wchodzić ze sobą w konflikty. PoniewaŜ kaŜda jednostka pełni kilka ról, zdarza się, Ŝe to
czego wymaga od niej jedna z nich, utrudnia lub uniemoŜliwia wywiązanie się z obowiązków
nakładanych przez drugą. Albo, Ŝe niemoŜliwe jest równoczesne zrealizowanie uprawnień
płynących z kaŜdej z zajmowanych pozycji społecznych, wykorzystanie jednej zamyka
bowiem szanse skorzystania z drugiej np. rola społeczna lekarza nie jest w pełni spójna z rolą
np. matki (ze względu na wymiar czasowy pracy). Efekty takiej sytuacji mogą być bardzo
przykre np. rozwód, utrata pracy, depresja itp. Konflikty mogą być minimalizowane poprzez
odpowiedni dobór ról. [10, s. 51-54, 37, s. 118-119].
4.9.2. Pytania sprawdzające
Odpowiadając na pytania, sprawdzisz, czy jesteś przygotowany do wykonania ćwiczeń.
1. Jakie są zadania grup społecznych?
2. Jakie znasz rodzaje grup społecznych?
3. Która z grup społecznych ma dla człowieka największe znaczenie?
4. Jakie negatywne, a jakie pozytywne mogą być oddziaływania grup społecznych?
5. Co to jest struktura społeczna?
6. Jaką rolę odgrywa grupa w rehabilitacji osób niepełnosprawnych?
4.9.3. Ćwiczenia
Ćwiczenie 1
Określ, jakie role pełnisz w społeczeństwie. Podaj wiąŜące się z nimi zobowiązania.
(oczekiwania społeczne).
Sposób wykonania ćwiczenia
Aby wykonać ćwiczenie, powinieneś:
1) zapoznać się z informacjami dotyczącymi ról społecznych,
2) określić role pełnione w społeczeństwie oraz związane z nimi oczekiwania społeczne,
3) dokonać analizy uzyskanych wyników,
4) zapisać wnioski,
5) zaprezentować wyniki.
WyposaŜenie stanowiska pracy:
−−−− poradnik dla ucznia,
−−−− arkusz papieru A4,
−−−− przybory do pisania.
„Projekt współfinansowany ze środków Europejskiego Funduszu Społecznego”
63
Ćwiczenie 2
Określ, do jakich grup społecznych naleŜysz, a następnie uzupełnij przygotowaną tabelę
o przynajmniej 5 rodzajów grup społecznych.
Grupa społeczna Rodzaj przynaleŜności Zadania danej grupy Korzyści płynące
z przynaleŜności
Rodzina
Sposób wykonania ćwiczenia
Aby wykonać ćwiczenie, powinieneś:
1) sklasyfikować grupy społeczne,
2) określić przynaleŜność do grup społecznych,
3) uzupełnić tabelę,
4) dokonać analizy wyników i przedyskutować je w grupie,
5) zapisać wnioski,
6) zaprezentować wynik na forum grupy.
WyposaŜenie stanowiska pracy:
−−−− poradnik dla ucznia,
−−−− arkusz papieru A4,
−−−− przybory do pisania,
−−−− linijka, gumka, ołówek,
−−−− wzór tabeli do uzupełnienia.
4.9.4. Sprawdzian postępów
Czy potrafisz: Tak Nie
1) określić role jakie pełnisz w społeczeństwie? □ □
2) określić korzyści płynące z przynaleŜności do określonych grup
społecznych? □ □
3) scharakteryzować wartość rodziny jako grupy społecznej dla człowieka? □ □
4) określić zadania grup społecznych? □ □
„Projekt współfinansowany ze środków Europejskiego Funduszu Społecznego”
64
4.10. Teorie społecznego uczenia się
4.10.1. Materiał nauczania
Uczenie się to proces prowadzący do modyfikacji zachowania jednostki w wyniku jej
uprzednich doświadczeń [38, s. 98]. Uczenie się moŜna rozpatrywać jako czynność
(pojedynczą, krótkotrwałą) lub jako proces: czynność – wtedy gdy chcemy sobie coś
przyswoić np. wiersz; proces – to układy czynności. Uczenie się moŜe mieć charakter
zamierzony jak i niezamierzony. Efekty uczenia się zaleŜne są między innymi od pamięci,
koncentracji uwagi, motywacji, zainteresowań, zdolności.
Sposoby uczenia się: uczenie się przez rozwiązywanie problemów, pamięciowe, przez
próby i błędy, przez wgląd (zrozumienie), sensoryczne – polega na wytwarzaniu odruchów
warunkowych, przez naśladownictwo, uboczne (mimowolne) – następuje przy okazji
wykonywania jakichś czynności [26, s. 148-180; 29, s. 291-295]. Istnieje wiele teorii
wyjaśniających zjawisko uczenia się. Współcześnie wyodrębnia się dwie ich grupy:
i. teorie koneksjonistyczne, przyjmujące, Ŝe podstawą uczenia się są róŜnego typu
połączenia między bodźcami i reakcjami (np. teorie I.P. Pawłowa, B.F. Skinnera,
L. Thorndike'a),
ii. teorie poznawcze, wyjaśniające uczenie się jako zmianę schematów poznawczych
(np. teorie K. Lewina, E.Ch. Tolmana),
3) teorie społecznego uczenia się (A. Bandura, W. Mischel).
I. Pawłow uwaŜał, Ŝe proces uczenia się zachodzi w wyniku tworzenia skojarzeń znany
później jako warunkowanie klasyczne był. Badając wydzielanie śliny u psów w odpowiedzi
na pojawienie się pokarmu, odkrył, Ŝe, w pewnych sytuacjach psy wydzielają ślinę mimo
braku pokarmu, a była to odpowiedź na bodźce, które psy kojarzyły z pokarmem. PoŜywienie
nazwano bodźcem bezwarunkowym (BBW), zaś wydzielanie śliny reakcją bezwarunkową
(RBW). Podczas badań I. Pawłow dzwonił przed podaniem pokarmu, okazało się, Ŝe sam
dźwięk dzwonka wywołuje wydzielanie śliny. Dzwonek stał się bodźcem warunkowym
(BW), a wydzielanie śliny w odpowiedzi reakcją warunkową (RW). Po wyuczeniu
skojarzenia BW z bodźcem bezwarunkowym (BB) wielokrotne eksponowanie BW pod
nieobecność BB (mięsa) prowadzi do wygaszania RW. Wygaszone reakcje mogą jednak
powracać po upływie pewnego czasu.
Poglądy, Ŝe zachowanie moŜna traktować jako serię wyuczonych skojarzeń między
bodźcami a reakcjami stały się podstawą nowej szkoły zwanej behawioryzmem. W centrum
zainteresowania jest tu rozszerzenie teorii uczenia się na badanie osobowości. Twórca
behawioryzmu J.B. Watson twierdził, iŜ „kaŜdy człowiek, czyli kaŜda zdrowa jednostka jest
po przyjściu na świat zupełnie jednakowa. Doświadczenie jakie po urodzeniu zdobywa,
stanowi to, co jednego czyni drwalem i woziwodą, innego dyplomatą, złodziejem, obrotnym
kupcem lub znanym naukowcem”. Od urodzenia człowiek zdobywa, doświadczenie, uczy się
wielu reakcji. Utrwala zachowania nagradzane, eliminuje te, które są źródłem kar. Stopniowo
powstaje system nawyków. Właśnie złoŜony system nawyków to osobowość.
Z kolei E.L. Thorndike sformułował prawo efektu, w myśl którego skojarzenia między
bodźcem a reakcją ulegają pozytywnemu wzmocnieniu i utrwalają się, jeśli reakcja wywołuje
uczucia przyjemne (stanowi nagrodę). Gdy reakcja wywołuje stan nieprzyjemności (stanowi
karę), skojarzenia ulegają wzmocnieniu negatywnemu i słabną. Zgodnie z prawem efektu,
zachowania przynoszące korzyść osobnikowi będą się powtarzać w podobnych sytuacjach.
B. Skinder twierdził, Ŝe uczenie się jest oparte głównie na tzw. warunkowaniu
instrumentalnym, które polega na wyuczeniu poŜądanych reakcji poprzez ich wzmocnienie
bodźcem biologicznie nieobojętnym. Lansował kontrowersyjną koncepcję modyfikacji
zachowania się młodzieŜy poprzez chirurgiczną ingerencję w funkcjonowanie mózgu.
„Projekt współfinansowany ze środków Europejskiego Funduszu Społecznego”
65
E. Tolman prowadził zaś badania zachowań celowych. Stworzył teorię, wg której celowe
zachowanie jednostki determinują tzw. zmienne niezaleŜne (np. dziedziczność, stan
fizjologiczny, uprzednie ćwiczenia) i zmienne interwencyjne (np. zdolności, cele). Zajmował
się równieŜ badaniem zachowania zwierząt i teorią uczenia się [43, s. 173-180].
Tabela 4. Typy uczenia się [33, s. 327]
Rodzaj uczenia się Co zostaje wyuczone
Warunkowanie klasyczne
(I. Pawłow)
Związki między zdarzeniami, antycypacja, sygnały, oczekiwania,
automatyczne reakcje na nowe bodźce
Warunkowanie sprawcze
(E. L. Thorndike)
Zachowania sprawiające, ze w otoczeniu pojawiają się poŜądane przez
organizm zdarzenia
Przez obserwację Oczekiwania, wiedza i umiejętności
Teorie uczenia się społecznego–pojęcie osobowości jest tutaj traktowane jako te aspekty
zachowania, które zostały nabyte w społecznym kontekście. Głównym teoretykiem jest
A. Bandura. Wiadomo teŜ jednak, Ŝe uczenie się w znacznym stopniu przebiega w kontekście
społecznym, stąd teŜ teoria społecznego uczenia się stworzona przez Alberta Bandurę.
Dowodził on, Ŝe jeśli przyjrzymy się postępowaniu innych zapamiętamy, co robili to
będziemy mogli powtórzyć to zachowanie na własny uŜytek [2, s. 201], np. społeczne uczenie
się ma miejsce wtedy, gdy dzieci obserwują wzory w otaczającym je świecie np. prasie i TV
[2, s. 105]. Ten sposób uczenia się moŜna nazwać modelowaniem lub naśladowaniem.
Zwolennicy teorii społecznego uczenia się sądzą, Ŝe uczenie się następuje, gdy obserwator
świadomie przygląda się jakiemuś zachowaniu (np. zapalaniu zapałki) i następnie umieszcza
efekt obserwacji w pamięci długotrwałej i bez względu na to, jak długo wspomnienie jest
przechowywane w pamięci, obserwator wie, jak zapalić zapałkę, niezaleŜnie, czy zrobi to, czy
nie. To samo da się powiedzieć o wielu prostych czynnościach, jak jedzenie łyŜką
i otwieranie butelki.
Pojecie modelowania odnosi się do procesu uczenia się zachowań poprzez obserwowanie
zachowań innego człowieka – modela, którego istotę stanowi naśladowanie tego, co robią inni
ludzie. Modelowanie powoduje przejęcie zachowań stanowiących symboliczne równowaŜniki
zachowań modela. O ile więc naśladowanie oznacza wierne skopiowanie zachowań, o tyle
modelowanie wyraŜa ten sam nastrój i tę samą jakość zachowania, dostosowane do
okoliczności, w których znajduje się obserwator. Są to często zachowania wzbogacone
o nowe elementy, jakby twórcza modyfikacja zachowań modela. Obserwowanie modela
pobudza obserwatora do szeregu podobnych, aczkolwiek niekoniecznie identycznych
zachowań. Właściwości obserwatora sprzyjające modelowaniu mogą być bardzo róŜne jak
np. szacunek, podziw, zazdrość, uległość, ufność, sympatia dla modela.
A. Bandura wyróŜnił trzy rodzaje skutków (efektów) modelowania:
−−−− modelowanie jest skutkiem zaznajomienia się z nieznanym do tej pory wzorem
zachowania, np. przez obserwację ludzie uczą się sposobu zaŜywania narkotyków,
−−−− wynikiem modelowania moŜe być „rozhamowanie” reakcji, które poprzednio nauczono
się hamować, lub teŜ powstrzymanie się od jakiegoś zachowania,
−−−− łatwiejsze okazywanie pewnych zachowań (efekt facylitacji), czyli jakby zaraŜanie się
zachowaniami innych osób-modeli: obserwator dostosowuje swoje zachowanie do
zachowań innych osób.
Cechy modela ułatwiające obserwatorowi modelowanie to, wg M. Ossowskiej, cztery grupy
najczęściej naśladowanych osób:
−−−− starsi bywają naśladowani przez młodszych,
−−−− wyŜsi w pozycji socjalnej są naśladowani przez stojących niŜej,
−−−− przerastający inteligencją – przez mniej inteligentnych,
−−−− sprawniejsi technicznie – przez mniej sprawnych [14].
„Projekt współfinansowany ze środków Europejskiego Funduszu Społecznego”
66
Istnieją cztery róŜne koncepcje wyjaśniające mechanizm uczenia się przez
naśladownictwo:
1) pierwsza zakłada, Ŝe tendencja do naśladownictwa jest uniwersalną właściwością
człowieka, który imituje zarówno obiekty społeczne, jak i niespołeczne. Pierwsze wynika
z utoŜsamiania się z elementami przyrody czy dziełami sztuki, drugie zaś ma charakter
globalny – podmiot automatycznie i odruchowo naśladuje wszystkie spostrzegane
przejawy ekspresji drugiego człowieka,
2) druga wyjaśnia naśladownictwo zasadami warunkowania instrumentalnego. Gotowość do
przejmowania zachowań modela, jest tłumaczone wzmocnieniami otrzymywanymi za
naśladowanie innych osób jeśli w przeszłości obserwator był wzmacniany za zachowania
i słowa przypominające reakcję i słowa osób znaczących, to uczy się zwracać uwagę na
zachowania otoczenia i jest motywowany do naśladowania nawet wówczas, gdy nie
otrzymuje za to Ŝadnych zewnętrznych nagród [15],
3) w trzeciej koncepcji niektóre zachowania przejęte od modela, są procesem warunkowania
klasycznego, gdzie naśladownictwo występuje wskutek samego skojarzenia między
obserwowanymi reakcjami modela a odpowiadającymi im reakcjami obserwatora,
4) czwarta koncepcja opiera się na załoŜeniu, Ŝe wskutek obserwacji zachowania innych
ludzi dochodzi w umyśle obserwatora do powstania reprezentacji poznawczych tych
zachowań, wraz z ich kontekstem sytuacyjnym. Symbolizacja własnego doświadczenia
wpływa dodatnio na uczenie się przez obserwację, poznawcza reprezentacja sytuacji
modelowania prowadzi do symbolicznego odtwarzania obserwowanego wcześniej
zachowania, a to z kolei – do rzeczywistego odtwarzania zachowania modela.
Zachowania naśladowcze zaleŜą od konsekwencji z jakimi się spotykają reakcje modela,
dla obserwatora stanowią tzw. wzmocnienie zastępcze; jego zachowanie jest modyfikowane
przez rezultat wzmacniania zachowań modela. Spełnia ono dwie podstawowe funkcje:
a) informacyjną, polegającą na dostarczaniu obserwatorowi informacji o tym, gdzie
i w jakich warunkach moŜe spodziewać się nagrody lub kary za dane zachowanie oraz
o emocjach doznawanych przez modela,
b) motywacyjną, wynikającą z funkcji informacyjnej; albowiem informacje zawarte
w obserwowanych wzmocnieniach mają własności, które aktywizują zachowanie
obserwatora, wpływając na szybkość, intensywność oraz trwałość reakcji naśladowczych
[15].
W. Mischel kładł nacisk na konstruowanie przez jednostkę, środowiska, w którym się ona
zachowuje. Przywiązywał duŜą wagę do zrozumienia w jaki sposób zachowanie kształtuje się
pod wpływem interakcji czynników osobowościowych i sytuacyjnych. UwaŜał on, Ŝe to jak
reagujemy na specyficzne oddziaływanie środowiska zaleŜy od zmiennych określonych
w poniŜszej tabeli:
Tabela 5. Zmienne osobowościowe W. Mischela w poznawczo-afektywnym modelu osobowości [43, s. 445]
Zmienna Definicja Przykład
Sposoby
kodowania
Sposób w jaki kategoryzujemy informacje o sobie
samym, innych osobach, zdarzeniach i sytuacjach
Gdy tylko Jaś kogoś pozna,
próbuje ustalić czy jest on bogaty
Oczekiwania i
przekonania
Przekonania o świecie społecznym i przewidywania
prawdopodobnych wyników określonych działań w
konkretnych sytuacjach. Przekonania o moŜliwości
doprowadzenia do tych wyników
Jaś zaprasza Olegów do kina, ale
nigdy nie spodziewa się, Ŝe
powiedzą „tak”
Afekty Uczucia i emocje wraz z reakcjami fizjologicznymi Jas bardzo łatwo się czerwieni
Cele i wartości Wyniki i stany afektywne, które cenimy i których nie
cenimy, cele i projekty Ŝyciowe
Jas chce być przewodniczącym
klasy
Kompetencje i
plany
samoregulacji
Zachowania, które jesteśmy w stanie wykonać i plany
doprowadzenia do poznawczych i behawioralnych
wyników
Jan zna kilka języków obcych
i oczekuje, ze będzie pracował
w dyplomacji
„Projekt współfinansowany ze środków Europejskiego Funduszu Społecznego”
67
W. Mischel podkreślał, ze nasze opinie o osobowości innych ludzi, nie powstają na
podstawie średnich ocen, lecz na podstawie analizowania, w jaki sposób pewne sytuacje
wyzwalają róŜne zachowana [39, s. 444 - 445].
Podsumowując według teorii społecznego uczenia się zachowania społeczne wynikają
z doświadczeń jednostki dotyczących kar i nagród. Doświadczenia te mogą być bezpośrednie
jak np. dziecko zachęcane do uprawiania sportu w dzieciństwie zostaje w Ŝyciu dorosłym
mistrzem świata w jakiejś dyscyplinie sportowej. Uczenie się równieŜ moŜe być pośrednie
gdy ludzie obserwują i naśladują osoby, które są podziwiane i lubiane. Dlatego teŜ teoria
społecznego uczenia się akcentuje czynniki środowiskowe takŜe w powstawaniu zachowań
agresywnych. Z badań wynika bowiem, Ŝe dzieci najskuteczniej i najszybciej uczą się
zachowań agresywnych poprzez naśladownictwo i modelowanie W tej teorii kładzie się
nacisk na niepowtarzalne doświadczenia jednostki w konkretnej rodzinie szkole lub grupie
rówieśniczej [21, s. 36].
4.10.2. Pytania sprawdzające
Odpowiadając na pytania, sprawdzisz, czy jesteś przygotowany do wykonania ćwiczeń.
1. Czym jest uczenie się?
2. Jakie znasz typy uczenia się?
3. Co to jest warunkowanie sprawcze?
4. Jakie znasz koncepcje (cztery) wyjaśniające uczenie się przez naśladownictwo?
5. Czym charakteryzuje się teoria społecznego uczenia się A. Bandury?
4.10.3. Ćwiczenia
Ćwiczenie 1
Określ, jaki wpływ na dzieci i młodzieŜ ma oglądanie TV i gry internetowe, wypisz
w punktach pozytywne i negatywne skutki.
Sposób wykonania ćwiczenia
Aby wykonać ćwiczenie, powinieneś:
1) określić, jaki wpływ na dzieci i młodzieŜ moŜe mieć oglądanie TV i gry internetowe,
2) na osobnych arkuszach wypisać pozytywne i negatywne skutki oglądania TV oraz
korzystania z Internetu,
3) dokonać analizy uzyskanych wyników,
4) zapisać wnioski końcowe,
5) zaprezentować pracę.
WyposaŜenie stanowiska pracy:
−−−− miesięcznik „Wychowawca” 2006 nr 9, 2003, nr 6 i 3, 2002 nr 7-8,
−−−− poradnik dla ucznia,
−−−− arkusze papieru A4,
−−−− przybory do pisania.
Ćwiczenie 2
WskaŜ osoby, jakie obserwujemy, naśladujemy, z jakiego powodu i jakie daje to
rezultaty, a następnie zapisz wnioski w tabeli.
„Projekt współfinansowany ze środków Europejskiego Funduszu Społecznego”
68
Model Powód Cecha, czynność obserwowana Rezultat, wynik
Sposób wykonania ćwiczenia
Aby wykonać ćwiczenie, powinieneś:
1) scharakteryzować teorie uczenia się społecznego,
2) określić sposoby nabywania umiejętności społecznych,
3) przygotować tabelę według podanego wzoru,
4) uzupełnić tabelę,
5) dokonać analizy wyników,
6) zaprezentować pracę na forum grupy.
WyposaŜenie stanowiska pracy:
−−−− poradnik dla ucznia,
−−−− arkusz papieru A4,
−−−− przybory do pisania,
−−−− wzór tabeli do uzupełnienia.
Ćwiczenie 3
Scharakteryzuj mechanizm działający w przypadku, gdy ojciec spędza czas z synem na
obserwowaniu przyrody, oglądaniu filmów przyrodniczych, przeglądaniu lektury o tej
tematyce itp. zajęciach, po czym syn w Ŝyciu dorosłym zostaje ekologiem lub biologiem.
Sposób wykonania ćwiczenia
Aby wykonać ćwiczenie, powinieneś:
1) scharakteryzować teorie uczenia się społecznego,
2) określić sposoby nabywania umiejętności społecznych,
3) opisać zaobserwowany mechanizm,
4) zapisać wnioski,
5) zaprezentować pracę.
WyposaŜenie stanowiska pracy:
−−−− arkusz papieru A4,
−−−− przybory do pisania,
−−−− poradnik dla ucznia.
4.10.4. Sprawdzian postępów
Czy potrafisz: Tak Nie
1) wyjaśnić, jaki wpływ na proces uczenia się ma obserwacja? □ □
2) wyjaśnić kogo najczęściej naśladujemy i dlaczego? □ □
3) wyjaśnić, dlaczego negatywne zachowania są naśladowane częściej? □ □
4) wyjaśnić, dlaczego bohaterowie gier komputerowych i TV stali się
nowymi „wzorami” dla współczesnej młodzieŜy? □ □
„Projekt współfinansowany ze środków Europejskiego Funduszu Społecznego”
69
5. SPRAWDZIAN OSIĄGNIĘĆ
INSTRUKCJA DLA UCZNIA
1. Przeczytaj uwaŜnie instrukcję.
2. Podpisz imieniem i nazwiskiem kartę odpowiedzi.
3. Zapoznaj się z zestawem zdań testowych.
4. Test zawiera 20 zadań. Do kaŜdego zadania dołączone są 4 moŜliwości odpowiedzi.
Tylko jedna jest prawidłowa.
5. Udzielaj odpowiedzi na załączonej karcie odpowiedzi, stawiając w odpowiedniej rubryce
znak X. W przypadku pomyłki naleŜy błędną odpowiedź zaznaczyć kółkiem, a następnie
ponownie zakreślić odpowiedź prawidłową.
6. Pracuj samodzielnie bo tylko wtedy będziesz miał satysfakcję z wykonanego zadania.
7. Jeśli udzielenie odpowiedzi będzie Ci sprawiało trudność, wtedy odłóŜ jego rozwiązanie
na później i wróć do niego gdy zostanie Ci wolny czas.
8. Na rozwiązanie testu masz 45 min.
Powodzenia!
ZESTAW ZADAŃ TESTOWYCH
1. Środowisko to
a) całokształt warunków materialnych i biologicznych istotnych dla Ŝycia i rozwoju
osobników danego gatunku.
b) pozaziemskie wpływy na organizmy.
c) wpływy kultury materialnej i niematerialnej na człowieka.
d) wpływy geograficzne wraz z przyrodą Ŝywą.
2. Dwie główne części układu nerwowego to
a) ośrodkowy układ nerwowy i obwodowy układ nerwowy.
b) mózgowie i rdzeń kręgowy.
c) autonomiczny układ nerwowy i somatyczny układ nerwowy.
d) półkule mózgowe.
3. Układ krwionośny człowieka jest
a) otwarty.
b) zamknięty.
c) półotwarty.
d) dwukierunkowy.
4. Zadanie, którego nie wykonuje układ oddechowy to
a) oczyszczenie, ogrzanie, nawilŜanie wdychanego powietrza.
b) wydalanie tlenu do otoczenia.
c) wydalenie produktów końcowych z organizmu przez drogi oddechowe.
d) wymiana gazowa.
5. Mięśnie stanowią
a) 30 % masy ciała.
b) 35% masy ciała.
c) 40% masy ciała.
d) 50% masy ciała.
„Projekt współfinansowany ze środków Europejskiego Funduszu Społecznego”
70
6. Okres prenatalny trwa
a) od poczęcia do porodu.
b) od porodu do 28 dnia Ŝycia.
c) miesiąc.
d) 1,5 m-ca.
7. Spionizowaną postawę dziecko osiąga w
a) okresie noworodkowym.
b) niemowlęcym.
c) poniemowlęcym.
d) wieku przedszkolnym.
8. WraŜenia dzieli się
a) ze względu na bodźce.
b) w zaleŜności od receptorów.
c) ze względu na impuls nerwowy.
d) ze względu na działanie fal mózgowych.
9. Motywacja to
a) hipotetyczny stan organizmu, pobudzający i ukierunkowujący jego aktywność.
b) niezaspokajanie potrzeb.
c) dąŜenie do redukcji napięcia.
d) wykonywanie czynności, które prowadzą do osiągnięcia celu.
10. Do teorii psychodynamicznych naleŜą
a) teoria czynnikowa.
b) skoncentrowana na sobie teoria C. Rogersa.
c) teoria bodźca, reakcji.
d) teoria Z. Freuda.
11. Sferą moralną człowieka w teorii Z. Freuda jest
a) id.
b) ego.
c) superego.
d) faza latencji.
12. Element, który nie jest składnikiem osobowości to
a) wyobraźnia.
b) inteligencja.
c) potrzeby.
d) obraz siebie i świata.
13. Bodźce oddziaływujące na osobę są przez nią organizowane zaleŜnie od posiadanych
specyficznych potrzeb, motywacji, posiadanych sposobów spostrzegania to załoŜenie
testu
a) MMPI.
b) testu Wechslera.
c) testu Rorschacha.
d) testu Murraya.
„Projekt współfinansowany ze środków Europejskiego Funduszu Społecznego”
71
14. Osobowość kształtuje się
a) z chwilą narodzin dziecka.
b) w wieku szkolnym.
c) w okresie dojrzewania płciowego.
d) w trakcie Ŝycia człowieka.
15. Na ekonomiczne podstawy Ŝycia społecznego nie składają się
a) czynniki demograficzne.
b) organizacja pracy.
c) narzędzia i maszyny.
d) sposoby uŜytkowania zasobów środowiska.
16. Celem działań prospołecznych jest m.in.
a) zdobycie dóbr materialnych.
b) zdobycie aprobaty i pozycji społecznej.
c) zdobycie popularności.
d) uzyskanie nagrody.
17. Struktura społeczna grupy to
a) układ wzajemnie powiązanych elementów składowych społeczeństwa.
b) zespół klik.
c) inaczej organizacja społeczna.
d) układ powiązanych ze sobą więzi społecznych.
18. Podstawowa, pierwotna grupa społeczna to
a) klasa szkolna.
b) organizacja religijna.
c) przyjaciele.
d) rodzina.
19. Podstawowym efektem uczenia się jest
a) zapamiętanie.
b) zdobycie doświadczenia.
c) względnie trwała modyfikacja zachowania.
d) rozwój zainteresowań.
20. Proces uczenia się zachowań poprzez obserwowanie zachowań innego człowieka to
a) wyuczenie.
b) modelowanie.
c) konformizm.
d) internalizacja.
„Projekt współfinansowany ze środków Europejskiego Funduszu Społecznego”
72
KARTA ODPOWIEDZI
Imię i nazwisko…………………………………………………………
Charakteryzowanie psychofizycznych i społecznych aspektów rozwoju
człowieka
Zakreśl poprawną odpowiedź
Nr
pytania
Odpowiedź Punkty
1 a b c d
2 a b c d
3 a b c d
4 a b c d
5 a b c d
6 a b c d
7 a b c d
8 a b c d
9 a b c d
10 a b c d
11 a b c d
12 a b c d
13 a b c d
14 a b c d
15 a b c d
16 a b c d
17 a b c d
18 a b c d
19 a b c d
20 a b c d
Razem:
„Projekt współfinansowany ze środków Europejskiego Funduszu Społecznego”
73
6. LITERATURA
1. Aronson E.: Człowiek istota społeczna. PWN, Warszawa 2005
2. Berryman J.: Psychologia moje hobby. Gdańsk 2005
3. Bochenek A.: Bo nie będziemy wiecznie młodzi. „Wieści Podwarszawskie”, 2003, nr 33
4. Chlebińska J.: Anatomia i fizjologia człowieka. WSiP, Warszawa 1990
5. Chybowska A., Szanejko J.: Przyczyny niedostosowania społecznego młodzieŜy.
"Edukacja i Dialog" (126) 2001, nr 3
6. Dziak A., Odyński B.: Medycyna w plecaku. MAW, Warszawa 1989
7. Ekman P., Davidson R.: Natura emocji. Gdańskie Wydawnictwo Psychologiczne,
Gdańsk 1998
8. Gasiul H.: Teorie emocji i motywacji. WKSW, Warszawa 2007
9. Giddens A.: Socjologia. PWN, Warszawa 2004
10. Goodman K.: Wstęp do socjologii. Zysk i S-ka, Poznań 2001
11. Hall Alvin S., Gardnem L., Campbell J.B.: Teorie osobowości. PWN, Warszawa 2004
12. Hoser P.: Anatomia i fizjologia człowieka. WSiP, Warszawa 1995
13. Horst A.: Ekologia, człowieka. Wiedza Powszechna, Warszawa 1976
14. http://www.eioba.com/a69784/uczenie_sie_spoleczne_teorie - 44k
15. http://www.eioba.com/a69784/uczenie się społeczne teorie
16. http://free.of.pl/p/punkss/charakterystyka.html
17. http://www.psf.org.pl/publication.php?pid=503
18. http://www.shl.com/SHL/pl/Products/Access_Personality/)
19. http://www.soc-org.edu.pl/PL/emp_Pawlowska/res/proces_motywacji.pdf
20. www.zdrowie.med.pl/psychologia/badania/skala.html
21. Kenrick, S. L., Neuberg, R., Cialdini B.: Psychologia społeczna. Gdańskie
Wydawnictwo Psychologiczne, Gdańsk 2002
22. Kunowski S.: Podstawy współczesnej pedagogiki. Wyd. Salezjańskie, Warszawa 1997
23. Laguna M.: Motywacja wewnętrzna i zewnętrzna. "Edukacja i Dialog" nr 1 (74), 1996
24. Matczak A.: Zarys psychologii rozwoju. śak, Warszawa 2003
25. Michalik A., Ramontowski W.: Anatomia i fizjologia człowieka. PZWL, Warszawa 2003
26. Mietzel G.: Wprowadzenie do psychologii. Gdańskie Wydawnictwo Psychologiczne,
Gdańsk, 2001
27. Nowak S.: Propedeutyka pediatrii. PZWL, Warszawa 1980
28. Okoń W.: Nowy Słownik Pedagogiczny. „śak”, Warszawa 1996
29. Przetacznik-Gierowska M., Makieło–JarŜa G.: Podstawy psychologii ogólnej. WSiP,
Warszawa 1989.
30. Przetacznik M., Makieło–JarŜa G.: Psychologia rozwojowa. WSiP, Warszawa. 1977.
31. Przetacznik-Gierowska M., Makieło–JarŜa G.: Psychologia rozwojowa i wychowawcza
wieku dziecięcego. Warszawa 1985
32. Polakowska–Kujawa J. (red.): Socjologia ogólna. Wybrane problemy. SGH, Warszawa
2005
33. Rathus Spencer A.: Psychologia współczesna. Gdańskie Wydawnictwo Psychologiczne,
Gdańsk 2004
34. Strelau J. (red.): Psychologia. Podręcznik akademicki T.I., T.II Gdańskie Wydawnictwo
Psychologiczne, Gdańsk 2003
35. Szewczuk W. (red.): Słownik psychologiczny. Wiedza Powszechna, Warszawa 1979
36. Sztompka P.: Socjologia, analiza społeczeństwa. Znak, Kraków 2003
37. Tomaszewski T. (red.): Psychologia ogólna. Wyd. PWN, Warszawa 1995
38. Turowski J.: Socjologia: małe struktury społeczne. KULTN, Lublin 2001
„Projekt współfinansowany ze środków Europejskiego Funduszu Społecznego”
74
39. Wolański N.: Ekologia człowieka: Podstawy ochrony środowiska i zdrowia człowieka.
T.1., T.2. PWN, Warszawa 2006
40. Wódz K.: Praca socjalna w środowisku zamieszkania. Śląsk, Katowice 1998
41. Zimbardo P.G, Gerring R. J.: Psychologia i Ŝycie. PWN, Warszawa 2006
42. śebrowska M. (red.): Psychologia rozwojowa dzieci i młodzieŜy. PWN, Warszawa
1986.

1

  • 1.
  • 2.
    „Projekt współfinansowany ześrodków Europejskiego Funduszu Społecznego” MINISTERSTWO EDUKACJI NARODOWEJ Iwona Pałgan Charakteryzowanie psychofizycznych i społecznych aspektów rozwoju człowieka 346[02].O1.01 Poradnik dla ucznia Wydawca Instytut Technologii Eksploatacji – Państwowy Instytut Badawczy Radom 2007
  • 3.
    „Projekt współfinansowany ześrodków Europejskiego Funduszu Społecznego” 1 Recenzenci: dr Maria Bartecka-Straszny mgr Dorota Kaczor Opracowanie redakcyjne: inŜ. Danuta Szczepaniak Konsultacja: mgr Hanna Całuń Poradnik stanowi obudowę dydaktyczną programu jednostki modułowej 346[02].O1.01 „Charakteryzowanie psychofizycznych i społecznych aspektów rozwoju człowieka”, zawartego w modułowym programie nauczania dla zawodu asystent osoby niepełnosprawnej Wydawca Instytut Technologii Eksploatacji – Państwowy Instytut Badawczy, Radom 2007
  • 4.
    „Projekt współfinansowany ześrodków Europejskiego Funduszu Społecznego” 2 SPIS TREŚCI 1. Wprowadzenie 4 2. Wymagania wstępne 5 3. Cele kształcenia 6 4. Materiał nauczania 7 4.1. Człowiek w środowisku – środowisko a rozwój jednostki 7 4.1.1. Materiał nauczania 7 4.1.2. Pytania sprawdzające 8 4.1.3. Ćwiczenia 9 4.1.4. Sprawdzian postępów 10 4.2. Rozwój organizmu człowieka – procesy fizjologiczne 11 4.2.1. Materiał nauczania 11 4.2.2. Pytania sprawdzające 16 4.2.3. Ćwiczenia 17 4.2.4. Sprawdzian postępów 19 4.3. Okresy rozwoju psychofizycznego człowieka 20 4.3.1. Materiał nauczania 20 4.3.2. Pytania sprawdzające 24 4.3.3. Ćwiczenia 24 4.3.4. Sprawdzian postępów 25 4.4. Podział i charakterystyka procesów psychicznych; procesy poznawcze, emocjonalne, motywacyjne 26 4.4.1. Materiał nauczania 26 4.4.2. Pytania sprawdzające 34 4.4.3. Ćwiczenia 34 4.4.4. Sprawdzian postępów 35 4.5. Wybrane teorie osobowości 36 4.5.1. Materiał nauczania 36 4.5.2. Pytania sprawdzające 41 4.5.3. Ćwiczenia 41 4.5.4. Sprawdzian postępów 43 4.6. Metody badania osobowości 44 4.6.1. Materiał nauczania 44 4.6.2. Pytania sprawdzające 46 4.6.3. Ćwiczenia 46 4.6.4. Sprawdzian postępów 47 4.7. Czynniki kształtujące osobowość 48 4.7.1. Materiał nauczania 48 4.7.2. Pytania sprawdzające 51 4.7.3. Ćwiczenia 51 4.7.4. Sprawdzian postępów 52 4.8. Podstawy Ŝycia społecznego 53 4.8.1. Materiał nauczania 53 4.8.2. Pytania sprawdzające 57 4.8.3. Ćwiczenia 57 4.8.4. Sprawdzian postępów 58
  • 5.
    „Projekt współfinansowany ześrodków Europejskiego Funduszu Społecznego” 3 4.9. Funkcje i zadania grupy społecznej. Role społeczne 59 4.9.1. Materiał nauczania 59 4.9.2. Pytania sprawdzające 62 4.9.3. Ćwiczenia 62 4.9.4. Sprawdzian postępów 63 4.10. Teorie społecznego uczenia się 64 4.10.1. Materiał nauczania 64 4.10.2. Pytania sprawdzające 67 4.10.3. Ćwiczenia 67 4.10.4. Sprawdzian postępów 68 5. Sprawdzian osiągnięć 69 6. Literatura 73
  • 6.
    „Projekt współfinansowany ześrodków Europejskiego Funduszu Społecznego” 4 1. WPROWADZENIE Poradnik ten będzie ci pomocny w przyswajaniu wiedzy z zakresu psychofizycznych i społecznych aspektów rozwoju człowieka W poradniku zamieszczono: − wymagania wstępne – wykaz umiejętności, jakie powinieneś mieć juŜ ukształtowane, abyś bez problemów mógł korzystać z poradnika, − cele kształcenia – wykaz umiejętności, jakie ukształtujesz podczas pracy z poradnikiem, − materiał nauczania – wiadomości teoretyczne niezbędne do osiągnięcia załoŜonych celów kształcenia i opanowania umiejętności zawartych w programie jednostki modułowej, − zestaw pytań, abyś mógł sprawdzić, czy juŜ opanowałeś określone treści, − ćwiczenia, które pomogą Ci zweryfikować wiadomości teoretyczne oraz ukształtować umiejętności praktyczne, − sprawdzian postępów, − sprawdzian osiągnięć, przykładowy zestaw pytań otwartych. Zaliczenie testu potwierdzi osiągnięcie celów zawartych w programie jednostki modułowej, − literaturę uzupełniającą. Schemat układu jednostek modułowych 346[02].O1 Podstawy świadczenia usług socjalnych 346[02].O1.01 Charakteryzowanie psychofizycznych i społecznych aspektów rozwoju człowieka 346[02].O1.02 Doskonalenie umiejętności interpersonalnych 346[02].O1.03 Kształtowanie umiejętności rozwiązywania problemów 346[02].O1.05 Stosowanie przepisów bezpieczeństwa i higieny pracy oraz udzielanie pierwszej pomocy 346[02].O1.04 Prowadzenie profilaktyki i promocji zdrowia 346[02].O1.06 Stosowanie przepisów prawa w działalności socjalnej
  • 7.
    „Projekt współfinansowany ześrodków Europejskiego Funduszu Społecznego” 5 2. WYMAGANIA WSTĘPNE Przystępując do realizacji programu nauczania jednostki modułowej, powinieneś umieć: − współpracować w grupie, − sprawnie posługiwać się komputerem, − korzystać z róŜnorodnych źródeł informacji: biblioteki, Internet, − posługiwać podstawowymi pojęciami z zakresu anatomii i fizjologii człowieka, − posługiwać podstawowymi pojęciami z zakresu wiedzy o społeczeństwie.
  • 8.
    „Projekt współfinansowany ześrodków Europejskiego Funduszu Społecznego” 6 3. CELE KSZTAŁCENIA W wyniku realizacji programu jednostki modułowej, powinieneś umieć: − wyjaśnić, na czym polega jedność organizmu człowieka i środowiska, − scharakteryzować zmiany rozwojowe w poszczególnych okresach Ŝycia człowieka, − scharakteryzować podstawowe zjawiska fizjologiczne w organizmie człowieka, − scharakteryzować procesy psychiczne człowieka, − scharakteryzować procesy poznawcze, − określić rolę procesów poznawczych w poznawaniu rzeczywistości, − scharakteryzować procesy emocjonalne i motywacyjne, − określić wpływ procesów motywacyjnych na aktywność człowieka, − scharakteryzować podstawowe koncepcje i składniki osobowości, − wskazać czynniki kształtujące osobowość, − wykazać wpływ aktywności własnej na rozwój osobowości, − zastosować wybrane metody poznawania osobowości, − przedstawić róŜne aspekty pełnienia ról społecznych, − zanalizować czynniki wpływające na kształtowanie postaw prospołecznych, − scharakteryzować funkcje i zadania grupy społecznej, − określić rolę grupy w procesie rehabilitacji osoby niepełnosprawnej, − określić wpływ warunków środowiskowych na rozwój i zachowanie jednostki.
  • 9.
    „Projekt współfinansowany ześrodków Europejskiego Funduszu Społecznego” 7 4. MATERIAŁ NAUCZANIA 4.1. Człowiek w środowisku – środowisko a rozwój jednostki 4.1.1. Materiał nauczania Środowisko to całokształt warunków materialnych i biologicznych istotnych dla Ŝycia i rozwoju osobników danego gatunku. W zakresie treści wpływających na człowieka środowisko moŜna podzielić na: – naturalne – obejmujące zarówno pozaziemskie wpływy na organizmy (promieniowanie), wraz z wpływami geograficznymi (gleba, klimat) oraz przyrodę Ŝywą (flora, fauna). – społeczne – osoby i stosunki między nimi zachodzące (sąsiedzi, rodzina, szkoła, praca, kościół). – kulturowe – wpływy kultury materialnej (komunikacja, budownictwo) oraz kultury duchowej przekazywanej przez wychowanie oraz media, ksiąŜki, subkultury. Wszystkie te czynniki krzyŜują się wzajemnie i działają na człowieka jednocześnie. Z wpływu tych środowisk i otoczenia człowieka pochodzą poglądy, zasady, nastroje, postawy. Działanie środowiska moŜe być celowe, zamierzone, świadome lub nieświadome, niezamierzone i pośrednie [22, s. 229-232]. Środowisko człowieka ulega nieustannym zmianom, częściowo niezaleŜnym od jednostki, a częściowo pod jej wpływem. W toku Ŝycia człowieka jedni z oddziałujących nań ludzi umierają inni się rodzą, zawiązują się i rozpadają przyjaźnie i znajomości, człowiek zmienia terytorium i miejsce pracy. Dla kaŜdej zatem jednostki środowisko ma cechy mniej lub bardziej trwałe; zaleŜy to zarówno od niej samej jak i od czynników zewnętrznych [31, s. 294-296]. Niektóre czynniki dziedziczne i środowiskowe współdziałają nierozłącznie, tworząc jedność jednostki i środowiska [26, s. 67] i oddziaływują jeszcze przed narodzinami, są to np. czynniki teratogenne – wpływy środowiska, które działają szkodliwie na dziecko w okresie jego rozwoju prenatalnego (śmierć, zaburzenia czynnościowe, opóźnienie rozwoju, przedwczesne urodzenie); alkohol, narkotyki, infekcje wirusowe matki, nikotyna. To czy te czynniki wpłyną na dziecko zaleŜy od uwarunkowań dziedzicznych dziecka, od siły ich oddziaływania, oraz w którym momencie zadziałają na organizm [26, s. 74-78]. Stosunki między organizmem a środowiskiem są rozpatrywane na róŜnych poziomach: osobniczym (reakcje i przystosowania morfologiczne, fizjologiczne i psychiczne jednostki w tym stan zdrowia wynikający z przystosowania do środowiska), populacyjnym (rozród i przeŜywalność wpływające na liczebność populacji oraz relacje społeczne), biocenotycznym (stosunki między populacjami róŜnych gatunków), ekosystemowym (związki organizmów z ich środowiskiem nieoŜywionym). Człowiek jest częścią ekosystemu, walczy o przeŜycie w środowisku dwoma drogami: przez przystosowanie biologiczne własnego ciała umoŜliwiające skuteczne istnienie i wydanie potomstwa; przez zachowania kulturowe w drodze zabezpieczenia organizmu przed niekorzystnymi bodźcami środowiska, lub zmiany tych warunków na korzystne [40, s. 13]. Człowiek jest wytworem środowiska i bez niego Ŝyć nie moŜe. Trzeba jednak pamiętać, Ŝe ulega ono ciągłym zmianom, a istota ewolucji tkwi w tym, Ŝe w miarę zmian warunków środowiska Ŝywe organizmy przystosowują się do niego. Z chwilą przystosowania do nowego środowiska poprzednie staje się szkodliwe [13, s. 244]. Człowiek jako Ŝywy organizm stanowi jedność z przyrodą. Jego Ŝycie zaleŜy od warunków panujących w środowisku przyrodniczym. Przyroda dostarcza człowiekowi miejsca do jego bytowania i odpoczynku, pokarmu i poŜywienia, wielu surowców naturalnych, z których moŜe korzystać, zasobów przyrody, dzięki którym moŜe istnieć.
  • 10.
    „Projekt współfinansowany ześrodków Europejskiego Funduszu Społecznego” 8 W miejscach najbardziej zasobnych zakłada swoje osady, miasta, poniewaŜ potrafi wykorzystać róŜnorodność krajobrazu i dostosować go do swoich potrzeb. Człowiek nauczył się z tego korzystać, lecz nie zawsze w sposób racjonalny i zgodny z naturą istnienia. PrzeobraŜa je wedle własnych wyobraŜeń często niszcząc to, co w nim unikatowe, niepowtarzalne. Buduje osiedla i fabryki, wydobywa kopaliny, poszukuje złóŜ ropy i gazu. Musi pamiętać jednak, Ŝe zatrucie środowiska zagraŜa naszemu zdrowiu, a nawet Ŝyciu. Przyroda zaś moŜe istnieć bez człowieka, lecz on sam nie przetrwa ani chwili bez przyrody. Środowisko społeczne to ogół warunków i wyznaczników zachowania wytworzonych w rozwoju człowieka w wyniku współŜycia z innymi ludźmi, oraz ludzie ich zachowania i wytwory, które stanowią zespół czynników wywierających wpływ na rozwój oraz zachowanie jednostki. Do najsilniej oddziałujących na jednostkę elementów środowiska społecznego, naleŜą grupy i instytucje społeczne, warunki polityczne, ekonomiczne i prawne, religijne oraz czynniki struktury społecznej [36, s. 291]. Podstawowe cechy środowiska społecznego to: gęstość rozmieszczenia ludzi, poziom kultury reprezentowanej przez otoczenie, zasobność materialna. Środowisko rodzinne jest pierwszym środowiskiem wychowawczym w Ŝyciu człowieka, które rzutuje w decydujący sposób na całe jego przyszłe Ŝycie. Rodzina dzięki swej stałości daje dziecku oparcie i poczucie bezpieczeństwa, a to stanowi waŜny czynnik jego równowagi emocjonalnej i zdrowia psychicznego [5]. Szkoła jest następną, po środowisku domowym, społecznością, z którą ono styka się i pierwszą, która zapoznaje go z pracą, odpowiedzialnością, która wprowadza w rzeczowe stosunki między ludźmi. Zadaniem szkoły jest przygotowanie dziecka do tego, aby stało się ono człowiekiem dorosłym, zdolnym do pełnego uczestnictwa w Ŝyciu grupy społecznej. W związku z tym sytuacja dziecka na terenie szkoły, jego powodzenia i niepowodzenia, jakie napotyka przy podejmowaniu zadań i realizacji obowiązków szkolnych, jego kontakty rówieśnicze i pozycja w ogólnej społeczności uczniowskiej wywierają zasadniczy wpływ na proces socjalizacji w aktualnym okresie rozwoju psychicznego i w duŜym stopniu warunkują jego pomyślny późniejszy start w świecie dorosłych. Obok domu rodzinnego i szkoły w procesie uspołeczniania dziecka waŜną rolę odgrywają grupy rówieśnicze. Uczestnictwo w tych grupach, zaspokaja, wiele psychicznych i społecznych potrzeb dziecka. Ale istnieją sytuacje, w których grupa rówieśnicza moŜe przekształcić się w grupę przestępczą, bądź teŜ grupa przestępcza zacznie wywierać negatywny wpływ na jednostkę dotąd niezdemoralizowaną. Atrakcyjność takiej grupy polega m.in. na tym, Ŝe pozwala odbudować poczucie własnej wartości oraz poczucie bezpieczeństwa zachwianego przez niepowodzenia szkolne i niewłaściwą atmosferę w domu [17]. Środowisko kulturowe tworzy ogół wartości, dóbr materialnych i duchowych udostępnionych i przekazywanych przez pokolenia starsze; ma charakter obiektywny. MoŜe stać się subiektywne wychowawczo wtedy, gdy bodźce z tego środowiska zostaną przyjęte przez człowieka i przeŜyte w indywidualnym procesie recepcji. ZaleŜy to od dostępności treści kulturowych, od głębi indywidualnego procesu percepcji treści kultury. Podsumowując: człowiek i środowisko stanowią jedność, dlatego teŜ tylko wzajemne dopasowanie gwarantuje istnienie populacji ludzkich. NaleŜy więc pamiętać, Ŝe zmiany środowiska zaburzają równowagę ekosystemu, którego częścią są ludzkie populacje [40, s. 220]. Człowiek przystosowuje się do środowiska trzema metodami: przez biologiczne zmiany czynności w następstwie tego budowy organizmu, przez społeczną organizację oraz zachowania kulturowe. Biologiczne przystosowania stanowią o przeŜyciu w całym świecie oŜywionym. Kultura jest rezultatem biologicznej ewolucji człowieka, jest sposobem przystosowania do typu środowiska naturalnego na danym poziomie rozwoju technicznego [41, s. 210–211].
  • 11.
    „Projekt współfinansowany ześrodków Europejskiego Funduszu Społecznego” 9 4.1.2. Pytania sprawdzające Odpowiadając na pytania, sprawdzisz, czy jesteś przygotowany do wykonania ćwiczeń. 1. Co rozumiemy pod pojęciem środowiska? 2. Jak dzielimy środowisko w zakresie czynników wpływających na człowieka? 3. Co to są czynniki teratogenne? 4. Na czym polega jedność organizmu człowieka i środowiska? 5. Jaki jest wpływ warunków środowiskowych na rozwój i zachowanie jednostki? 4.1.3. Ćwiczenia Ćwiczenie 1 Sporządź listę czynników środowiska naturalnego (biologicznego) wpływających i oddziałujących na człowieka w ciągu Ŝycia oraz ustal ich hierarchię. Sposób wykonania ćwiczenia Aby wykonać ćwiczenie, powinieneś: 1) określić czynniki środowiska naturalnego (biologicznego), 2) sporządzić listę czynników wpływających i oddziaływujących na człowieka w ciągu Ŝycia, 3) ustalić hierarchię czynników oddziaływujących na człowieka, 4) zaprezentować pracę na forum grupy, 5) wziąć udział w dyskusji na temat wpływu środowiska na człowieka. WyposaŜenie stanowiska pracy: −−−− przybory do pisania, −−−− arkusz papieru formatu A4, −−−− poradnik dla ucznia. Ćwiczenie 2 Dokończ lub uzupełnij poniŜsze zdania dotyczące wpływu środowiska na człowieka. Środowisko to całokształt warunków........................................................................................... Stosunki między organizmem, a środowiskiem są rozpatrywane na róŜnych poziomach: .................................................................................................................................... Człowiek jako Ŝywy organizm stanowi jedność z przyrodą. Jego Ŝycie zaleŜy bowiem od................................................................................................................................................... Kultura jest rezultatem .................................................................., jest sposobem przystosowania do typu środowiska naturalnego na danym poziomie rozwoju technicznego. Do najsilniej oddziałujących na jednostkę elementów środowiska społecznego, naleŜą............................................................................................................................................ Środowisko rodzinne jest ................................środowiskiem wychowawczym w Ŝyciu człowieka Sposób wykonania ćwiczenia Aby wykonać ćwiczenie, powinieneś: 1) dokonać analizy dostępnej literatury dotyczącej wpływu środowiska na człowieka, 2) przeanalizować zdania do uzupełnienia lub dokończenia,
  • 12.
    „Projekt współfinansowany ześrodków Europejskiego Funduszu Społecznego” 10 3) uzupełnić lub dokończyć zdania odpowiednimi wyraŜeniami, 4) zaprezentować wyniki na forum grupy, 5) wziąć udział w dyskusji na temat wpływu środowiska na człowieka. WyposaŜenie stanowiska pracy: −−−− arkusz papieru formatu A4, −−−− przybory do pisania, −−−− literatura z rozdziału 6 dotycząca wpływu środowiska na człowieka. −−−− poradnik dla ucznia. 4.1.4. Sprawdzian postępów Czy potrafisz: Tak Nie 1) określić jakie elementy środowiska naturalnego wpływają na organizm człowieka?   2) określić jakie elementy środowiska społecznego i kulturowego wpływają na organizm człowieka?   3) określić czy czynniki środowiska mogą oddziaływać na człowieka jednocześnie?   4) wyjaśnić w jaki sposób środowisko człowieka ulega zmianom?   5) określić skutki działania wszystkich czynników środowiska na człowieka?  
  • 13.
    „Projekt współfinansowany ześrodków Europejskiego Funduszu Społecznego” 11 4.2. Rozwój organizmu człowieka – procesy fizjologiczne 4.2.1. Materiał nauczania Rozwój człowieka jest procesem biologicznym, w toku którego pod wpływem czynników wewnętrznych (endogennych) i zewnętrznych (egzogennych) dokonują się zmiany w strukturze i funkcjach jego organizmu. Procesy rozwojowe organizmu determinują i regulują cztery grupy czynników: 1) czynniki endogenne, genetyczne – współdecydują o wszystkich strukturach i funkcjach organizmu, jego płci, właściwościach fizycznych i psychicznych, 2) czynniki endogenne paragenetyczne, czyli stymulatory rozwoju- to grupa czynników współdziałających, które względem organizmu płodu są zewnętrzne natomiast endogenne względem organizmu matki, 3) czynniki egzogenne (modyfikatory) – to elementy środowiska otaczającego organizm, których róŜnorodność polega na skali natęŜenia, a nieskończona zmienność na ilości kombinacji między elementami współwystępującymi; dzielą się na: - biogeograficzne – modyfikatory naturalne, w tym: zasoby mineralne, skład wody i gleby oraz powietrza, klimat, ukształtowanie terenu, przyroda martwa i Ŝywa, klimat, - społeczno-kulturowe – modyfikatory kulturowe, w tym: pochodzenie społeczne, charakter i wielkość środowiska (miasto, miasteczko, wieś), poziom wykształcenia, wysokość zarobków, tradycje. 4) tryb Ŝycia – to rozkład codziennych zajęć, obciąŜenie wysiłkiem fizycznym i umysłowym, sen, relaks itp. [41, s. 53-63]. Fizjologia człowieka to nauka zajmująca się procesami Ŝyciowymi organizmu ludzkiego; nauka o czynnościach i funkcjach organizmów Ŝywych, ich komórek, tkanek i narządów, o prawach, które tymi funkcjami rządzą. Układ nerwowy człowieka jest zbudowany z tkanki nerwowej, integruje działalność organizmu, rejestruje bodźce, przetwarza zawarte w nich informacje oraz steruje czynnościami organizmu: ruchem mięśni, wydzielaniem hormonów odpowiada takŜe za procesy psychiczne takie jak myślenie i uczucia [33, s. 114]. Układ nerwowy jest złoŜony z dwóch głównych części: ośrodkowego układu nerwowego (mózgowie i rdzeń kręgowy) i obwodowego układu nerwowego jest to tzw. podział topograficzny; wyróŜniamy równieŜ podział czynnościowy składający się z: układu nerwowego somatycznego (układ piramidowy, układ pozapiramidowy) i autonomicznego układu nerwowego (część współczulna (sympatyczny), część przywspółczulna) [4, s. 202]. Charakterystyka ośrodkowego układu nerwowego Rdzeń kręgowy jest kolumną grubych nerwów, zbudowany jest z istoty białej (włókien nerwowych) i istoty szarej (komórek). Od rdzenia odchodzi 31 par nerwów rdzeniowych, są to nerwy czuciowo ruchowe. Rdzeń kręgowy kieruje ruchami mięśni szkieletowych kończyn i tułowia [33, s. 123-124, 25, s. 472-476]. Mózg znajduje się w czaszce i składa się z dwu półkul oraz pnia. Mózg osłonięty jest trzema oponami: twardą, miękką pajęczynówką i naczyniówką spełniającymi rolę ochronną oraz odŜywczą. Z podstawy mózgu wychodzi 12 par nerwów czaszkowych. Półkule mózgowe pokryte są pofałdowaną korą mózgową, składająca się z ponad 10 miliardów komórek nerwowych. Dzieli się na korę starą (układ limbiczny), odpowiadającą za stany emocjonalne i popędy oraz kontrolę podwzgórza i korę nową. W kaŜdej półkuli kora mózgowa dzieli się na cztery płaty: czołowy, ciemieniowy, skroniowy, potyliczny. W przedniej części płata ciemieniowego znajdują się ośrodki czuciowe i dochodzą tu impulsy z receptorów. W tylnej części płata czołowego znajdują się ośrodki ruchowe. Odpowiada za bardzo precyzyjne ruchy. Prawa półkula mózgu kontroluje lewą stronę ciała, a lewa półkula
  • 14.
    „Projekt współfinansowany ześrodków Europejskiego Funduszu Społecznego” 12 prawą stronę ciała. W płatach potylicznych zlokalizowane są ośrodki wzrokowe, które interpretują obrazy. W płatach skroniowych umieszczone są ośrodki słuchowe. W lewej półkuli na granicy płata ciemieniowego, czołowego i potylicznego jest nadrzędny ośrodek mowy. MóŜdŜek umieszczony jest pod płatami potylicznymi mózgu, zawiaduje on statyką ciała i koordynuje bodźce idące z róŜnych części układu nerwowego do mięśni [33, s. 127; 25, s.492-494]. Charakterystyka obwodowego układu nerwowego Układ somatyczny zawiera neurony czuciowe (wstępujące) i ruchowe (zstępujące). Przekazują one do mózgu informacje m.in. o tym co widzimy, słyszymy, odczuwamy. Informacje te płyną do somatycznego układu nerwowego i pozwalają kontrolować ruchy ciała niezbędne do zachowania równowagi. Autonomiczny układ nerwowy (AUN) zarządza funkcjami gruczołów i mięśni narządów wewnętrznych. Kontroluje takie czynności jak praca serca oddychanie, trawienie. AUN składa się z dwóch podukładów współczulnego (sympatycznego) i przywspółczulnego (parasympatycznego). Pierwszy z podukładów jest najbardziej aktywny w procesach zuŜywania energetycznych zasobów organizmu np. ucieczka, drugi zaś w procesach odnawiania zasobów energetycznych np. przez jedzenie. AUN wiąŜe się ze stanami emocjonalnymi, jak lęk czy miłość [33, s. 129-131; 25, s. 525-532]. Podstawowym elementem układu nerwowego jest komórka nerwowa z odchodzącymi od niej wypustkami, zwana neuronem. Składa się on z ciała komórkowego z jądrem oraz odchodzących od ciała licznych wypustek, które tworzą rozgałęzienia zwane dendrytami. Jedna z wypustek o wiele dłuŜsza od pozostałych, to neuryt lub akson. Jego długość moŜe dochodzić do 1 m. Układ nerwowy zbudowany jest z ok. 25 miliardów neuronów. Neurony kontaktują się ze sobą za pośrednictwem łącz, zwanych synapsami [29, s. 65]. Głównym zadaniem neuronów jest przyjmowanie, przetwarzanie i przekazywanie informacji w postaci bodźców elektrycznych lub chemicznych. KaŜda komórka nerwowa otrzymuje informację przekazaną od innych neuronów, a takŜe od innych wyspecjalizowanych komórek- receptorów narządów zmysłowych, bądź bezpośrednio ze środowiska zewnętrznego przez dendryty. Informacje te przekazuje komórka dalej poprzez akson. Osłonka mielinowa aksonu pełni tu rolę izolatora. Po obu jej stronach zgromadzone są ładunki elektryczne, po wewnętrznej ładunki ujemne (aniony), po zewnętrznej – dodatnie (kationy) [12, s.194-178]. W wyniku przewodzenia impulsu elektrycznego wzdłuŜ neuronu dochodzi do tzw. „wyładowania neuronu”. Niektóre neurony ulegają wyładowaniu w czasie krótszym niŜ 1/1000 sekundy. Podczas wyładowania następuje próba przekazania informacji innym neuronom, mięśniom lub gruczołom. Komórka nerwowa w ciągu sekundy moŜe przesyłać setki tego rodzaju informacji. KaŜde wyładowanie neuronu oznacza przekazywanie sygnału o tej samej sile. Do wyładowania neuronu dochodzi częściej, gdy jest on pobudzany przez większą liczbę innych neuronów. Silniejsze bodźce powodują częstsze (ale nie silniejsze) wyładowania. Przez okres kilku tysięcznych sekundy po wyładowaniu neuron pozostaje niewraŜliwy na bodźce, a jego ponowne wyładowanie jest niemoŜliwe. Jest to okres refrakcji, "odpoczynku", w którym przechodzenie jonów sodu przez błonę komórkową jest niemoŜliwe. [25, s. 461-470] Układ krwionośny człowieka jest układem zamkniętym, co oznacza, Ŝe krew krąŜy w systemie naczyń krwionośnych, a serce jest pompą, która wymusza nieustanny obieg krwi. Układ ten wraz z układem limfatycznym tworzą układ krąŜenia. Składa się on z serca i naczyń krwionośnych (tętnic, Ŝył i naczyń włosowatych oraz naczyń i węzłów chłonnych). KrąŜenie krwi: krew wypływa z serca tętnicami, a wraca do serca Ŝyłami. Im dalej od serca tym ciśnienie krwi jest mniejsze, a w Ŝyłach nawet bliskie zeru. Ciśnienie wytwarzane przez pulsowanie serca nie wystarcza do przepchnięcia krwi przez cały krwiobieg z powrotem do serca, zwłaszcza wtedy, gdy krew płynie w górę. W trakcie przemieszczania się krwi serce
  • 15.
    „Projekt współfinansowany ześrodków Europejskiego Funduszu Społecznego” 13 wspomaga pulsowanie tętnic. Cofaniu się krwi zapobiegają natomiast znajdujące się w Ŝyłach zastawki. Serce to elastyczny worek mięśniowy umiejscowiony w klatce piersiowej, pomiędzy płucami w przestrzeni zwanej śródpiersiem, połoŜonej poza mostkiem. Większa część serca znajduje się w lewej połowie klatki piersiowej. Dzieli się ono na część lewą i prawą, z których kaŜda składa się z przedsionka i komory, oddzielonych od siebie zastawkami uniemoŜliwiającymi cofanie się krwi przy skurczu komór. Od komór odchodzą tętnice, do przedsionków wpadają Ŝyły. Serce kurczy się około 70 razy na 1 min. DuŜy krwiobieg: krew (bogata w tlen) wypływa z lewej komory serca przez zastawkę aortalną do głównej tętnicy ciała, aorty, rozgałęzia się na tętnice mniejsze, dalej na tętniczki, a następnie przechodzi przez sieć naczyń włosowatych we wszystkich narządach ciała. Naczynia włosowate przechodzą w drobne Ŝyłki, które przechodzą w Ŝyły większe i Ŝyłę główną górną i dolną. Krew powracająca Ŝyłami jest uboga w tlen i przechodzi do prawego przedsionka serca, po czym przez zastawkę trójdzielną wpływa do prawej komory. Mały krwiobieg: odtlenowana krew wypompowywana jest z prawej komory serca przez zastawkę tętnicy płucnej (trójdzielną) do tętnicy o tej samej nazwie, która rozgałęzia się w płucach na sieć naczyń włosowatych oplatających pęcherzyki płucne, tam dochodzi do wymiany gazowej. Utlenowana krew powraca Ŝyłami płucnymi do lewego przedsionka serca, a tam przez zastawkę dwudzielną krew wpływa do lewej komory serca. Główne funkcje układu krąŜenia: transportująca (dostarcza komórkom tlen i pokarm oraz hormony, zabiera z komórek substancje przemiany materii i dwutlenek węgla), ochronna (wykrywa i walczy z ciałami obcymi, np: z grzybami, bakteriami, wirusami, pyłami), termoregulacyjna (utrzymuje stałocieplność 36,6o C). [12, s. 129-138; 25, s. 357-360; 401- 422.]. Układ oddechowy to zespół narządów umoŜliwiających organizmowi oddychanie. Integralnym elementem układu jest narząd oddechowy. Układ ten składa się, z jamy nosowo gardłowej, krtani, tchawicy i płuc. Zadaniem układu oddechowego jest dostarczenie organizmowi tlenu oraz usuwanie szkodliwego dwutlenku węgla. Polega to na przenoszeniu wymienionych gazów przez krew oraz tzw. oddychaniu wewnętrznym tj. procesie utleniania komórkowego. Pobrany w czasie wdechu tlen dociera tylko do płuc, dalszy jego transport odbywa się juŜ przez krew. Zawierająca oksyhemoglobinę krew tętnicza dociera do naczyń włosowatych gdzie przekazuje tlen bezpośrednio komórkom. Stamtąd juŜ jako krew Ŝylna wraca do płuc po nowy zapas tlenu. Proces wentylacji zapewniają ruchy oddechowe klatki piersiowej. Początkowym odcinkiem układu oddechowego jest jama nosowa uchodząca do gardła, a następnie do krtani. Tchawica jest przedłuŜeniem krtani. Jest to sztywna rura zbudowana z kilkunastu okrągłych chrząstek połączonych więzadłami. O tyłu chrząstki te połączone są elastyczną błoną odpowiednio modelującą się w zaleŜności od przesuwających się w przełyku kęsów pokarmu. Tchawica dzieli się na dwa oskrzela, które tworzą drzewo oskrzelowe. Na końcu rozgałęzień osiągają wymiary mikroskopijnych rurek oblepionych kępkami pęcherzyków płucnych umoŜliwiających wymianę gazową. Pojemność płuc dorosłej osoby wynosi około 5-6 l. Układ oddechowy znajduje się w klatce piersiowej. Wymiana gazowa pomiędzy organizmem a otoczeniem moŜe odbywać się tylko gdy: błona przepuszczalna dla gazów jest wystarczająco wilgotna, jest odpowiednio wysoka pręŜność tlenu w otoczeniu i odpowiednio wysoka pręŜność dwutlenku węgla w płynach ustrojowych Funkcje układu oddechowego: pobranie tlenu z otoczenia, oczyszczenie, ogrzanie, nawilŜanie wdychanego powietrza, transport powietrza do narządu oddechowego, dostarczenie tlenu do tkanek oraz dwutlenku węgla z tkanek do narządu oddechowego, wydalenie produktów końcowych z organizmu przez drogi oddechowe [12, s. 113-126; 25, s. 251-289].
  • 16.
    „Projekt współfinansowany ześrodków Europejskiego Funduszu Społecznego” 14 Układ dokrewny (wewnątrzwydzielniczy, endokrynologiczny). Odpowiedzialny jest za utrzymanie homeostazy organizmu. NajwaŜniejszą częścią tego układu są gruczoły, które, produkując odpowiednie hormony, zapobiegają zbyt duŜym wahaniom ustroju. Od hormonów zaleŜy m.in. wzrost i rozwój narządów, rozrost całego ciała, rozwój cech płciowych, dojrzewanie płciowe, równowaga przemiany materii, aktywność umysłowa i psychiczna. Gruczoły wydzielania dokrewnego to: szyszynka, przysadka mózgowa, tarczyca, przytarczyce, grasica, nadnercza, trzustka oraz gruczoły płciowe Szyszynka – połoŜona jest w śródmózgowiu. Jej hormony w okresie dojrzewania wpływają na rozwój gruczołów płciowych. Zaś zawarta w niej melatonina – wpływa na ośrodki snu i czuwania. [25, s. 610-611] Przysadka mózgowa – leŜy w podstawie mózgu. Wytwarzane przez nią hormony decydują o wzroście ciała, przemianie tłuszczów i węglowodanów, czynności gruczołów płciowych, tarczycy, nadnerczy i trzustki, pośrednio wpływa na wzrost kości długich, wzmaga transport aminokwasów. Produkuje hormon wzrostu (nazywany z ang. Human, Growth Hormone, GH, lub somatotropiną). Jego niedobór u dzieci powoduje karłowatość, zaś zbyt duŜe wydzielanie GH powoduje u dzieci gigantyzm, a u dorosłych akromegalię.[25, s.579-580] Tarczyca – umiejscowiona jest na krtani i tchawicy. Hormon jej tyroksyna wpływa na rozwój i wzrost organizmu, decyduje o przemianie materii oraz aktywności układu nerwowego, ponadto pobudza syntezę białek oraz zmniejsza poziom cholesterolu we krwi. Przytarczyce – połoŜone są na tylnej powierzchni tarczycy. Hormon ich paratyreoidyna kontroluje gospodarkę wapniowo-fosforową. Grasica – połoŜona za mostkiem, jej hormony (tyrozyna i tyreopoetyna) do okresu dojrzewania wpływają na procesy kostnienia szkieletu oraz na czynności gruczołów płciowych. Nadnercza – są umiejscowione na nerkach. Ich rdzeń wydziela hormon (adrenalinę) przyśpieszający i wzmacniający pracę serca oraz zwęŜający naczynia krwionośne. Kora nadnerczy wydziela hormony regulujące gospodarkę wodną organizmu, ciepłotę ciała oraz przemianę węglowodanów. Trzustka – połoŜona poniŜej Ŝołądka wydziela insulinę zawiadującą przemianą cukru w organizmie. Gruczoły płciowe: jądra lub jajniki wydzielają hormony (testosteron, progesteron, androsteron), decydujące o rozwoju narządów płciowych, czynnościach rozrodczych oraz róŜnicach w budowie ciała pomiędzy kobietą i męŜczyzną [12, s. 221-240; 25, s. 586-608]. Układ pokarmowy składa się z przewodu pokarmowego, gruczołów trawiennych wątroby i trzustki. Jego zadaniem jest pobieranie i przetwarzanie pokarmu, na proste przyswajalne związki chemiczne, które po wchłonięciu przez ustrój stanowią źródło energii i zapewniają, niezbędne składniki do budowy i regeneracji tkanek; wydalanie nieprzyswajalnych i szkodliwych resztek pokarmowych. Rozkładanie i przetwarzanie składników nazywa się trawieniem i jest moŜliwe dzięki obecności odpowiednich soków i enzymów trawiennych, tj. śliny, soku Ŝołądkowego, Ŝółci, trypsyny oraz soków trawiennych jelita cienkiego. Przewód pokarmowy składa się z jamy ustnej, gardła przełyku, Ŝołądka, jelita cienkiego i grubego, kończy się on odbytem. Jama ustna to początkowy odcinek przewodu pokarmowego. W niej następuje wstępna, mechaniczna obróbka pokarmu i przygotowanie go do dalszego trawienia. Pokarm jest rozdrabniany, miaŜdŜony i mieszany ze śliną, która zawiera enzym trawienny amylazę ślinową. Dorosły człowiek ma 32 zęby, 16 w szczęce i 16 w Ŝuchwie: (4 siekacze, 2 kły, 4 zęby przedtrzonowe, 6 trzonowych). U dzieci występuje 20 zębów mlecznych (brak trzonowych). W trakcie Ŝucia pokarmu jest on zwilŜany śliną, w której rozpuszczane są cząsteczki pokarmu, na których obecność wyczulone są rozmieszczone na języku kubki
  • 17.
    „Projekt współfinansowany ześrodków Europejskiego Funduszu Społecznego” 15 smakowe. Dzięki nim wyczuwamy: konsystencję, temperaturę, smak i to czy dany pokarm nadaje się do spoŜycia. Po uformowaniu kęsa pokarmowego zostaje on przekazany do dalszej części przewodu pokarmowego w akcie połykania. Gardło – wspólny odcinek dróg oddechowych i pokarmowych, stanowiący przedłuŜenie jamy ustnej i jamy nosowej, przechodzący dalej w przełyk i krtań. Przełyk – łączy gardło z Ŝołądkiem, stanowi mięśniową rurę długości 30 cm. Czynność przełyku polega na transporcie pokarmu z gardła do Ŝołądka. śołądek to narząd przypominający kurczliwy worek, którego zasadniczą rolą jest trawienie pokarmów, poprzez wymieszanie ich z sokiem Ŝołądkowym. Wielkość Ŝołądka jest zmienna i zaleŜy od jego wypełnienia, napięcia jego ścian oraz pozycji ciała. Długość Ŝołądka: 25-30 cm; szerokość Ŝołądka: 12-14 cm; pojemność: 1000-3000 ml. Dalsze trawienie odbywa się w jelicie cienkim; ciągnie się ono od Ŝołądka aŜ do jelita grubego. Zajmuje ono okolicę pępkową, podbrzuszną i obie okolice biodrowe a częściowo i miednicę małą. Jego długość wynosi ok. 7 m, średnica 3-5 cm. Jelito cienkie dzielimy na dwunastnicę, jelito czcze i kręte. Jelito grube zaczyna się tzw. kątnicą, z którą łączy się cienki około 8 cm wyrostek robaczkowy. Kątnica przechodzi w tzw. okręŜnicę zakończoną odbytem. Długość wszystkich tych odcinków wynosi ok. 1,5 m. Wątroba połoŜona pod prawym łukiem Ŝebrowym, jest duŜym narządem waŜącym około 1,5 kg. Zadaniem wątroby jest wydzielanie Ŝółci, wytwarzanie glikogenu i mocznika, odtruwanie organizmu, rozkładanie zuŜytych krwinek czerwonych oraz magazynowanie białek, tłuszczów i węglowodanów. Zbiornikiem Ŝółci jest pęcherzyk Ŝółciowy [12, s. 76-92; 25, s. 167-220]. Układ szkieletowy Narząd ruchu odpowiada za utrzymanie postawy i wykonywanie ruchów. Dzielimy go na dwie części układ szkieletowy (część bierna) składający się z kości i połączeń międzykostnych, oraz układ złoŜony z mięsni i ich ścięgien. Dzięki tym układom moŜemy: zmieniać połoŜenie całego ciała, ułoŜenie części ciała względem siebie, na przykład zgiąć rękę lub nachylić głowę, utrzymać odpowiednią postawę ciała. Szkielet, inaczej kościec lub układ kostny to wszystkie kości składające się na ciało człowieka. U osoby dorosłej szkielet składa się z około 206 kości. Średnia waga szkieletu to 10 kg u kobiet i 12 kg u męŜczyzn. Szkielet zawiera około 1,5 kg szpiku kostnego wytwarzającego czerwone krwinki erytrocyty. Podstawowym materiałem budulcowym szkieletu człowieka jest tkanka kostna oraz w mniejszym stopniu chrzęstna. Ze względu na budowę zewnętrzną kości podzielono na kilka grup: – kości długie, np. kość udowa, ramienna, – kości płaskie, np. kości czaszki, łopatka, – kości krótkie, np. kości nadgarstka, stępu, – kości róŜnokształtne np. kręgi. Oś całego ciała stanowi kręgosłup składający się z 33 kręgów połączonych stawami i krąŜkami międzykręgowymi. Jest on osadzony na kościach miednicy. U góry łączy się z czaszką, w okolicy piersiowej wraz z 12 Ŝebrami i mostkiem tworzy klatkę piersiową. Stawy to ruchome połączenia kości, np. staw barkowy kolanowy, łokciowy, biodrowy [12, s. 19-35; 25, s. 50-103]. Układ mięśniowy – mięśnie stanowią przeciętnie 40% masy całego ciała. Występują m.in. mięsnie szkieletowe, najprostsze mięśnie w ciele człowieka to mięśnie gładkie odpowiedzialne za ruchy bezwiedne, takie jak rozszerzanie źrenic, skurcze jelit i Ŝołądka. Mięśnie poprzecznie prąŜkowane umoŜliwiają poruszanie się. Grupa mięśni poprzecznie prąŜkowanych powoduje rytmiczne ruchy serca pompującego krew.
  • 18.
    „Projekt współfinansowany ześrodków Europejskiego Funduszu Społecznego” 16 Mięśnie moŜemy podzielić na kilka rodzajów: 1) w zaleŜności od połoŜenia: mięśnie: głowy i szyi, tułowia, kończyn, brzucha, klatki piersiowej, grzbietu, szyi, 2) pod względem czynności: przywodziciele i odwodziciele – działają antagonistycznie - podczas ruchu jeden kurczy się bardziej od drugiego. Dzięki temu ruch staje się bardziej płynny, 3) pod względem budowy: płaskie, okręŜne np. wokół ust, oczu i odbytu, szerokie np. mięśnie wyścielające ściany brzucha i klatki piersiowej, krótkie np. mięśnie wokół kręgosłupa, długie np. mięśnie kończyn. 4) pod względem przyczepu: dwugłowe, trójgłowe, czworogłowe [12, s. 53-66; 25, s. 103-150]. Układ moczowo-płciowy składa się z dwóch części: układu moczowego i układu płciowego. Układ moczowy przebiega wewnątrzotrzewnowo i składa się z nerek, miedniczek nerkowych, moczowodów, pęcherza moczowego i cewki moczowej. Jego zadaniem jest usuwanie z organizmu bezuŜytecznych i szkodliwych produktów przemiany materii oraz utrzymywanie prawidłowego składu chemicznego płynów tkankowych. Nerki połoŜone są symetrycznie w jamie brzusznej po obu stronach kręgosłupa lędźwiowego. Głównym zadaniem nerek jest oczyszczanie krwi ze wszystkich substancji chemicznych. Miedniczki i moczowody odprowadzają mocz do pęcherza moczowego. Pęcherz moczowy – to umięśniony zbiornik moczu, umiejscowiony w miednicy. Cewka moczowa – stanowi zakończenie układu moczowego. U kobiet jej długość to 4 cm, u męŜczyzn jest znacznie dłuŜsza. Ilość wydalanego moczu zaleŜy od intensywności pracy organizmu i ilości wypijanych płynów. Przeciętnie to 1,5-2 l dziennie. Układ płciowy – dzieli się na narządy płciowe wewnętrzne i zewnętrzne. Jego funkcją jest zachowanie gatunku. Układ płciowy męski składa się z jader, najądrzy, nasieniowodów, pęcherzyków nasiennych, gruczołu krokowego, prącia i moszny. Jądra wytwarzają plemniki oraz hormon męski – testosteron. Nasieniowody są przewodami długości około 50 cm. Pojedynczy nasieniowód biegnie od najądrza do połączenia z przewodem wydalającym pęcherzyka nasiennego. Od tego miejsca bierze początek przewód wytryskowy, który przechodzi przez gruczoł krokowy i uchodzi do cewki moczowej. Pęcherzyki nasienne stanowią gruczoły wydzielające gesty płyn, którego składniki pobudzają ruchy plemników. Gruczoł krokowy wytwarza podczas aktu płciowego wydzielinę podtrzymującą ruchliwość plemników. Prącie jest końcowym narządem wydalania moczu oraz narządem spółkowania. Moszna stanowi ochronę jader. Układ płciowy Ŝeński – składa się z jajników, jajowodów, macicy, pochwy i sromu. Jajniki wytwarzają komórki płciowe i Ŝeńskie hormony płciowe. Dojrzewanie i wydalanie z jajników jajeczka to owulacja. Jajowody są przewodami, przez które jajeczko przesuwa się z jajników do jamy macicy. Pochwa łączy jamę macicy ze sromem. [12, s. 154-170; 25, s. 315-345]. 4.2.2. Pytania sprawdzające Odpowiadając na pytania, sprawdzisz, czy jesteś przygotowany do wykonania ćwiczeń. 1. Z jakich części składa się układ nerwowy? 2. Jak jest zbudowana komórka nerwowa? 3. Jak moŜna scharakteryzować duŜy i mały krwiobieg? 4. Czym jest układ hormonalny? 5. Jakie zadania spełnia układ pokarmowy człowieka? 6. Jakie są zadania nerek? 7. Jak moŜna scharakteryzować układ płciowy?
  • 19.
    „Projekt współfinansowany ześrodków Europejskiego Funduszu Społecznego” 17 4.2.3. Ćwiczenia Ćwiczenie 1 Określ mechanizm przekazywania informacji przez neurony. Sposób wykonania ćwiczenia Aby wykonać ćwiczenie, powinieneś: 1) dokonać analizy schematu budowy neuronu, 2) zapoznać się z informacjami dotyczącymi przekazywania informacji przez neurony, 3) określić mechanizm przekazywania informacji przez neurony, 4) zapisać wniosku, 5) wziąć udział w dyskusji. WyposaŜenie stanowiska pracy: − arkusz papieru A4, − przybory do pisania, − schemat budowy neuronu, − poradnik dla ucznia. Ćwiczenie 2 Podpisz poszczególne narządy na poniŜszym rysunku. Rys. do ćwiczenia 2 [6, s. 28.] Sposób wykonania ćwiczenia Aby wykonać ćwiczenie, powinieneś: 1) dokonać analizy układu przedstawionego na rysunku, 2) rozpoznać narządy, 3) podpisać poszczególne narządy na rysunku, 4) zaprezentować wyniki pracy. WyposaŜenie stanowiska pracy: − kserokopia rysunku, − przybory do pisania − poradnik dla ucznia.
  • 20.
    „Projekt współfinansowany ześrodków Europejskiego Funduszu Społecznego” 18 Ćwiczenie 3 Określ funkcje gruczołów dokrewnych, a następnie uzupełnij tabelę. Gruczoł Funkcja Sposób wykonania ćwiczenia Aby wykonać ćwiczenie, powinieneś: 1) dokonać analizy materiału nauczania dotyczącego funkcji gruczołów dokrewnych, 2) przygotować tabelę według podanego wzoru, 3) uzupełnić tabelę, 4) dokonać analizy wyników ćwiczenia, 5) zapisać wnioski, 6) zaprezentować pracę, 7) wziąć udział w dyskusji. WyposaŜenie stanowiska pracy: − arkusz papieru A4, − linijka, ołówek, gumka, − wzór tabeli do uzupełnienia, − poradnik dla ucznia. Ćwiczenie 4 Scharakteryzuj trzy dowolne układy (z pominięciem układu dokrewnego) i uzupełnij tabelę. Układ Budowa Funkcje, zadania PołoŜenie Sposób wykonania ćwiczenia Aby wykonać ćwiczenie, powinieneś: 1) przeanalizować fragment materiału nauczania dotyczący budowy, połoŜenia i funkcji układów, 2) uzupełnić tabelę, 3) zaprezentować wyniki. 4) wziąć udział w dyskusji. WyposaŜenie stanowiska pracy: − arkusz papieru A4, − linijka, ołówek, gumka, − wzór tabeli, − poradnik dla ucznia.
  • 21.
    „Projekt współfinansowany ześrodków Europejskiego Funduszu Społecznego” 19 4.2.4. Sprawdzian postępów Czy potrafisz: Tak Nie 1) określić funkcje układu oddechowego? □ □ 2) wymienić gruczoły wydzielania dokrewnego? □ □ 3) wymienić poszczególne elementy układu pokarmowego? □ □ 4) określić funkcje układu szkieletowego? □ □ 5) wymienić rodzaje mięśni? □ □ 6) scharakteryzować elementy budowy układu moczowo-płciowego? □ □
  • 22.
    „Projekt współfinansowany ześrodków Europejskiego Funduszu Społecznego” 20 4.3. Okresy rozwoju psychofizycznego człowieka 4.3.1. Materiał nauczania WyróŜnianie poszczególnych etapów rozwoju człowieka ma charakter umowny i spowodowany jest względami praktycznymi bądź dydaktycznymi. Powszechnie wśród lekarzy przyjęto następujący podział: 1. Okres prenatalny – od poczęcia czyli zapłodnienia do porodu. 2. Okres postnatalny: −−−− okres noworodkowy (od porodu do 28 dnia Ŝycia), −−−− okres niemowlęcy (od 1 do 12 miesiąca Ŝycia), −−−− okres wczesnego dzieciństwa (poniemowlęcy) (od 1 do 3 r.Ŝ.), −−−− okres przedszkolny (od 3 do 6-7 r. Ŝ.), −−−− okres szkolny (od 6-7 do 17 r. Ŝ.), −−−− okres dojrzewania, −−−− okres dorosłości i dojrzałości (od 18 do 59 r. Ŝ.), −−−− starość (od 60 r. Ŝ.),) [23, s. 6-25]. Okres prenatalny trwa od momentu zapłodnienia do chwili urodzenia dziecka, pokrywa się w czasie z długością ciąŜy – 40 tygodni (280 dni). WyróŜnia się w nim 3 fazy: −−−− fazę jaja płodowego (0-2 tygodni), −−−− fazę zarodka (3-8 tygodni), tj. do zakończenia organogenezy, czyli tworzenia się narządów, −−−− fazę płodu (od 9 tygodnia do chwili urodzenia się dziecka). Początkiem rozwoju prenatalnego jest moment połączenia plemnika z komórką jajową i utworzenia w wyniku tego zygoty, która z chromosomami (23 od matki i 23 od ojca) dzieli się i przesuwa się wzdłuŜ jajowodu ku macicy, a tam zagnieŜdŜa w jej ściance. W tym miejscu kończy się faza jajowa. Po przymocowaniu jaja do ściany macicy formuje się owodnia, zabezpieczająca zarodek przed mechanicznymi uszkodzeniami. Przez nią prowadzi pępowina, która łączy zarodek z zewnętrzną błoną płodową - kosmówką, która zrasta się z kosmkami błony śluzowej macicy, formując w ten sposób łoŜysko, przez które substancje odŜywcze przenikają z krwi matki do krwioobiegu płodu. Zarodek charakteryzuje się duŜą wraŜliwością na wpływ czynników zewnętrznych. Wtedy następuje formowanie się większości wad rozwojowych. W fazie zarodkowej: ma miejsce niezmiernie szybki rozwój, m.in. tworzenie się układów i narządów, w których potem następują jedynie zmiany wielkości; tworzą się warstwy zarodkowe – materiał, z którego formują się wszystkie narządy i tkanki – ektoderma (naskórek, włosy, paznokcie, tkanka nerwowa), mezoderma (skóra, mięśnie, narządy, układ krąŜenia i wydalania) i endoderma (tchawica, grasica, trąbka Eustachiusza); rozwijają się równieŜ oczy, uszy, usta, nos, głowa, kończyny; budowa serca jest juŜ wyraźna, w końcu trzeciego tygodnia przejawiają się juŜ skurcze mięśni. Pod koniec fazy płodowej waga dziecka waha się od 2,9 do 3,5 kg, a długość od 49 do 54 cm. Rozwijają się narządy wewnętrzne do postaci umoŜliwiającej Ŝycie poza organizmem matki. W trzecim miesiącu istnieje system nerwowy, obserwuje się juŜ ruchy dziecka, wyraźna jest praca nerek i serca płodu. W okresie płodowym formuje się juŜ czucie skórne, odczuwanie bodźców termicznych, smaku, węchu, słuchu, ukształtowany zostaje narząd równowagi [3, s. 52-54]. Okres noworodkowy to pierwszy miesiąc po narodzinach, traktuje się go jako okres przystosowawczy do Ŝycia dziecka w nowym otoczeniu. Dziecko rodzi się z krzykiem, po którym powietrze po raz pierwszy wchodzi do płuc i wypełnia sklejone pęcherzyki płucne. Odtąd zapotrzebowanie organizmu w tlen odbywa się poprzez drogi oddechowe. Około 75% noworodków zaczyna oddychać w pierwszej minucie Ŝycia. Noworodek przejawia ogólną
  • 23.
    „Projekt współfinansowany ześrodków Europejskiego Funduszu Społecznego” 21 aktywność ruchową. Ruchy są chaotyczne, nieskoordynowane i występują spontanicznie w reakcji na bodźce zewnętrzne [30, s. 55-57]. Okres niemowlęcy – niemowlę ma charakterystyczny wygląd: stosunkowo duŜą głowę i tułów a krótką szyję, jest bardzo wraŜliwe na wpływy zewnętrzne; osiąga spionizowaną postawę ciała, co pozwala mu opanować lokomocję. W pierwszym okresie niemowlęta poruszają się „na czworakach”, raczkując. Pod koniec 1 r.Ŝ. zazwyczaj dziecko juŜ staje i niezbyt pewnie chodzi, uczy się poznawać otoczenie – wykształca w sobie zdolność emocjonalnego reagowania na osoby bliskie, przede wszystkim na matkę. Wówczas kształtują się zasadnicze elementy rozwoju uczuciowego, ponadto dziecko rozumie, co do niego się mówi, a po intonacji głosu i wyrazie twarzy rozmówcy, uczy się poznawać zabarwienie uczuciowe ludzkiej mowy [03, s. 57-67; 44, s. 285-338]. W wieku poniemowlęcym tempo rozwoju somatycznego jest znacznie wolniejsze, mniejsze jest zapotrzebowanie na pokarmy, znika podskórna tkanka tłuszczowa, dziecko staje się znacznie szczuplejsze, ale za to sprawniejsze. Doskonali ono swoją motorykę i mowę (mowa jest prawie swobodna), staje się bardziej niezaleŜne, samodzielne, poznaje otoczenie. Charakterystyczną cechą dziecka w tym okresie jest ogromne zapotrzebowanie na ruch. W tym okresie dziecko powinno juŜ opanować świadome oddawanie moczu i kału. Uzębienie mleczne ustala się w pełnym zakresie (20 zębów) [30, s. 69-84; 44, s. 343-404]. Okres przedszkolny (3-7 r.Ŝ.), cechuje dalsza stopniowa zmiana sylwetki dziecka, która pod koniec szóstego roku Ŝycia nabiera cech typowych dla danej płci: u chłopców ulega rozrostowi pas barkowy, u dziewcząt pas biodrowy, wzrasta takŜe siła mięśniowa i sprawność motoryczna. Rozwijają się i usprawniają narządy wewnętrzne, których czynności bardziej zbliŜają się do funkcji organizmu dojrzałego. Pod koniec wieku przedszkolnego rozpoczyna się zmiana uzębienia mlecznego na stałe. Prawidłowo rozwijające się dziecko we wczesnym wieku przedszkolnym powinno posiadać zdolność koordynacji ruchów, oraz ustaloną prawo – lub lewostronną lateralizację (przewaga czynności jednej połowy ciała nad drugą [28, s. 148]. W sferze psychiki zwiększa się aktywność intelektualna, dociekliwość, następuje rozkwit wyobraźni i zdolności fantazjowania. WydłuŜa się moŜliwość skupiania uwagi. śycie emocjonalne charakteryzuje się Ŝywą dynamiką, impulsywnością i chwiejnością równowagi. W ostatniej fazie okresu przedszkolnego zwiększają się przejawy woli i moŜliwości opanowania reakcji impulsywnych, umiejętności współdziałania w zabawie z rówieśnikami i podporządkowania się wymaganiom Ŝycia zbiorowego, oraz przestrzeganie norm moralno – społecznych. [44, s. 416-500] Okres szkolny (6-7 r.Ŝ. do 18 r.Ŝ), tu róŜnice rozwoju somatycznego, psychicznego i społecznego u dzieci końcowych roczników tego okresu są bardzo znaczne. WaŜną cechą tego okresu jest rozwój uzębienia stałego. W wieku szkolnym zauwaŜalny jest intensywny rozwój psychoruchowy. W tym okresie dziecko osiąga tak zwaną „dojrzałość szkolną”; czyli taki stopień rozwoju umysłowego, emocjonalnego i fizycznego jaki umoŜliwia mu udział w Ŝyciu szkolnym i opanowanie treści programowych klasy I [28, s. 55]. Na przeobraŜenia w osobowości, zwłaszcza w sferze intelektualnej, główny wpływ ma zamiana zabawy w naukę szkolną. Okres ten charakteryzuje rozwój uczuć wyŜszych i intelektualizacja emocji. PrzeobraŜenia w rozwoju mowy, zwiększają jej funkcję symboliczną i związek z myśleniem, które stopniowo przechodzi od konkretno-wyobraŜeniowego do słowno-logicznego. Doskonali się spostrzegawczość. Treść zabaw intelektualizuje się. Występują róŜnice zainteresowań w zaleŜności do płci: u chłopców zainteresowanie techniką (np. samochody, Internet), zaś u dziewczynek modą, lalkami, itp. Umiejętność panowania nad własnym zachowaniem, powstrzymywanie się od działania pod wpływem emocji, tendencje do chwalenia się, duŜe poczucie sprawiedliwości, świadomości moralnej i skali stosowanych ocen. Zwiększa się aktywność i samodzielność myślenia, pojawia się porównywanie,
  • 24.
    „Projekt współfinansowany ześrodków Europejskiego Funduszu Społecznego” 22 abstrahowanie, uogólnienie. Odczuwana jest potrzeba obcowania z rodzicami, ale ich autorytet stopniowo się zmniejsza. Zaczynają dominować wzory rówieśników [30, s. 86-142] Okres dojrzewania płciowego – jego pierwszą cechą jest indywidualny przebieg, zarówno w sensie czasu występowania jak i nasilenia róŜnych objawów. Wiek metrykalny przestaje mieć tu znaczenie; trudno jest „na oko” ocenić wiek dziecka; dziewczynka 15-letnia moŜe być kobietą dojrzałą somatycznie, a więc juŜ nie rośnie i od dawna miesiączkuje, ale moŜe być takŜe jeszcze dzieckiem, które dopiero zaczyna dojrzewać. W okresie tym cięŜar ciała zwiększa się wolniej. Proporcje ciała ulegają zmianie. Mija dziecięcość rysów twarzy, która po okresie dojrzewania osiąga juŜ dorosły wyraz. U chłopców występuje rozrost krtani, zmiana tonacji głosu (mutacja). Zaczyna się silny rozwój pasa barkowego. Na ciele pojawia się stopniowo owłosienie. U dziewcząt rozwija się etapami pierś kobieca. Około trzynastego roku Ŝycia występuje pierwsza miesiączka (wahania w czasie od 9 do 16 roku Ŝycia). Charakterystyczną cechą okresu dorastania jest intensywny rozwój intelektualny. Kształtuje się myślenie abstrakcyjne, formalne, logiczne, hipotetyczno-dedukcyjne, krystalizuje się obraz samego siebie oraz poczucie własnej odrębności. Typowymi zachowaniami młodzieŜy w okresie dorastania są: nasilenie krytycyzmu w stosunku do wszystkiego, a zwłaszcza do rodziców i dorosłych, odczuwanie potrzeby uwolnienia się spod ich opieki, przekora, krnąbrność i nieposłuszeństwo. Narastające konflikty z rodzicami, kryzys ich autorytetu i osłabienie więzi emocjonalnych, podatność na wpływy grupy rówieśniczej, zawieranie przyjaźni indywidualnych oraz w ramach „paczek” rówieśników. Szukanie kontaktów heteroseksualnych, tworzenie się „par”. Tendencje do naśladowania zewnętrznych form „dorosłości”, np. w postaci palenia papierosów. Dominacja na zmianę trzech rodzajów przeŜyć: stanów obronnych (lęk, niepokój, smutek, nieśmiałość), stanów agresywnych (gniewu, zazdrości, nienawiści, wrogości) oraz uczuć pozytywnych (czyli radości, wzruszenia, miłości, podniecenia). W końcowym stadium tego okresu wykształcają się uczucia wyŜsze – społeczne, moralne, etyczne – predysponujące do angaŜowania się w programy społeczne, polityczne, religijne, itp. [44, s. 665-775]. Okres dorosłości i dojrzałości to okres stabilizacji, osiągnięcia harmonii. Nie oznacza to jednak zakończenia rozwoju fizycznego i psychicznego; zwiększa się cięŜar ciała, natomiast w nieznacznym stopniu wzrost, mózg ulega nadal zmianom, stąd dalszy rozwój i bogacenie się Ŝycia psychicznego. Dla dorosłych charakterystyczny jest teŜ poziom moralności konwencjonalnej (perspektywa członka określonej społeczności) i pokonwencjonalnej (przyjęcie jednostkowego punktu widzenia świata). Na okres ten składają się ponadto następujące elementy: intymność, budowanie związków, małŜeństwo, budowanie Ŝycia rodzinnego, wychowanie dzieci, prowadzenie domu, praca zawodowa. Jest to okres względnej stabilizacji i pełni Ŝycia, 40 r. Ŝ. to tzw. środek Ŝycia. Po jego przekroczeniu w zaleŜności od uprzednich doświadczeń następuje okres bardziej twórczego Ŝycia lub jego zawęŜenia. Sytuacją mogącą wpływa na rozwój człowieka jest teŜ tzw. „faza pustego gniazda”, zwana teŜ „syndromem opuszczonego gniazda” czyli Ŝycie po usamodzielnieniu się dzieci. Dawniej pojęcie to stosowano głównie do kobiet i ich poczucia straty po usamodzielnieniu się najmłodszego dziecka. Obecnie wiadomo, Ŝe syndrom ten nie musi wystąpić, jeśli występuje to takŜe u ojców. Jednym z problemów w małŜeństwie jest pogodzenie się z odejściem dziecka po wielu latach współzaleŜności, zmiana przyzwyczajeń, czasem stylu Ŝycia, zagospodarowanie czasu wcześniej przeznaczanego dla dzieci, zwłaszcza jeśli dzieci mieszkają daleko, brak jest wnuków lub rzadki kontakt z nimi. Zdarzają się wówczas nieporozumienia między małŜonkami, rozstania, kobiety słabsze emocjonalnie popadają w depresję. Wiele matek wspomina jednak teŜ o korzyściach płynących z tej sytuacji jak np. wzrost satysfakcji z małŜeństwa, pewności siebie, większa łagodność, poczucie stabilizacji. U kobiet w średnim wieku rośnie asertywność, a słabnie uległość, wzrasta chęć większego udziału w Ŝyciu zawodowym i społecznym. Po opuszczeniu domu
  • 25.
    „Projekt współfinansowany ześrodków Europejskiego Funduszu Społecznego” 23 przez dziecko występują takŜe przypadki odwrócenia się ról u małŜonków, zwykle męŜczyzna był aktywniejszy poza domem, a kobiety bardziej zaleŜne uczuciowo, w okresie porodzicielskim róŜnice te mogą słabnąć, a nawet ulec odwróceniu [29, s. 195-196]. Trudne chwile związane z odejściem dzieci z domu mogą stać się szansą do pełniejszego rozwoju emocjonalnego zarówno dzieci, jak i rodziców. Aby tak się stało konieczne jest jednak, Ŝeby rodzice nie patrzyli na siebie jednowymiarowo, Ŝeby nie ograniczali się tylko do roli rodzica, ale umieli znajdować satysfakcję równieŜ w Ŝyciu zawodowym, w relacji z męŜem lub Ŝoną, przyjaciółmi i innymi członkami rodziny. Starość – początek tego okresu wiąŜe się zwykle z momentem przejścia na emeryturę. Tempo starzenia się jest inne dla kaŜdego człowieka. W tym okresie rozpoczyna się i postępuje stopniowa degradacja tkanek i narządów, co ogranicza wydolność organizmu; następuje ograniczenie moŜliwości intelektualnych i psychicznych, a przebyte choroby przyspieszają, procesy degradacyjne w organizmie. Procesy te często są wybiórcze i dotyczą jedynie niektórych waŜnych Ŝyciowo narządów, przy zachowaniu doskonałej wydolności innych. Proces obumierania komórek mózgowych ma niejednakowe tempo u róŜnych ludzi, to teŜ u osób starszych w tym samym wieku kora mózgowa moŜe mieć bardzo róŜna wydolność funkcjonalną. U ludzi starszych wydłuŜa się tzw. czas reakcji. Działania stają się mniej sprawne do czego przyczynia się równieŜ zmniejszona wydajność fizyczna. Zdolność uczenia się oraz zdolność zapamiętywania jest na ogół obniŜona - jednak w róŜnym stopniu u róŜnych ludzi. Olbrzymią rolę odgrywa doświadczenie, wykształcenie, stopień ogólnej inteligencji. Trzeba tu podkreślić, Ŝe np. intelektualiści, naukowcy, często do późnego wieku zachowują pełną sprawność umysłową nie wykazując starczego spowolnienia funkcji umysłowych. Ludzie starsi, przygnębieni swym wiekiem kalendarzowym często popadają w apatię i pesymizm, wycofują się z działalności i z niechęcią odrzucają wszelkie sugestie jakichkolwiek ćwiczeń fizycznych czy umysłowych i dąŜeń do rewitalizacji. Zasadnicza postawa Ŝyciowa jest wynikiem wielu okoliczności – dyspozycji wrodzonych, charakteru, warunków zewnętrznych, stanu zdrowia, wtedy wytworzyć się moŜe postawa zgorzkniałego pesymizmu lub przeciwnie, pogodnego optymizmu i zadowolenia z Ŝycia. W wieku starszym postawa Ŝyciowa „usztywnia się”. Cechy charakteru i jego wady zaostrzają się, stają się bardziej raŜące. Niekiedy jednak zjawiają się cechy wręcz przeciwne poprzednim dyspozycjom. Człowiek za młodu oszczędny, na starość staje się przesadnie skąpy, czasem odwrotnie, moŜe stać się rozrzutny. Tego rodzaju zmiany charakteru czy usposobienia związane są z rozwojem otępienia, braku krytycyzmu, urojeniami. [29, s. 317-331]. Amerykańska autorka S. Reichard wyróŜnia pięć najczęściej spotykanych psychologicznych postaw u ludzi starszych: a) postawa konstruktywna dotyczy człowieka, który przez całe Ŝycie był pogodny, zadowolony i wesoły i na starość te cechy zachowuje. Jest pozytywnie nastawiony do Ŝycia, z którego się cieszy, godzi się równieŜ ze śmiercią, która go nie przeraŜa, jest aktywny, stara się pomagać innym. Z emerytury stara się korzystać szukając rozrywek i kontaktu z ludźmi, b) postawa zaleŜna występuje u ludzi, którzy przez całe Ŝycie byli nieufni, słabi, ulegli i bierni. Starzejąc się poszukują pomocy, oparcia i akceptacji, a nie otrzymując tego, czują się nieszczęśliwi i pokrzywdzeni, c) postawa obronna to typ emerytów „opancerzonych”. Nie chcą oni zbliŜenia ani pomocy od innych, trzymają się sztywno, z daleka nie ujawniając swych uczuć. Starości nienawidzą i nie chcą rezygnować z pracy i aktywności, d) postawa wrogości do świata to typ osób starszych, oskarŜający otoczenie i społeczeństwo, które ponosi winę za wszystkie ich poraŜki i niepowodzenia. Są podejrzliwi, agresywni, nie ufają nikomu i nie chcą być zaleŜni, a mając wstręt do starości i zaleŜności kurczowo trzymają się pracy,
  • 26.
    „Projekt współfinansowany ześrodków Europejskiego Funduszu Społecznego” 24 e) postawa wrogości do siebie – ludzie bierni, bez zainteresowań i bez inicjatywy, skłonni do depresji. Czują się samotni i niepotrzebni, Ŝycie swoje uwaŜają za nieudane, a o śmierci myślą jako o wybawieniu z nieszczęśliwego Ŝycia [3]. Negatywne uczucia i nastawienia mogą łatwo się wytwarzać w starości nie tylko z powodu utraty zdrowia czy urody. W tym okresie dawne ustalone formy Ŝycia stopniowo rozpadają się na skutek wydarzeń takich, jak utrata współmałŜonka, rodzeństwa czy przyjaciół, przejście na rentę, czy rozstanie się z dziećmi – te wszystkie nieraz cięŜkie stresy psychiczne trzeba wytrzymać i układać Ŝycie na nowo w okresie, gdy sił juŜ coraz mniej. Ta pewność, Ŝe Ŝycie potrwa juŜ niedługo, w swoisty sposób wpływa na psychikę starego człowieka. Zjawia się poczucie znikomości spraw tego świata, powstają pytania o sens i cel Ŝycia. Wzrasta zainteresowanie kwestiami religijnymi i filozoficznymi. Do uspokojenia i uciszenia skutecznie przyczynia się z biegiem lat narastające osłabienie fizyczne oraz zmniejszenie wydzielania hormonów, zwłaszcza płciowych. 4.3.2. Pytania sprawdzające Odpowiadając na pytania, sprawdzisz, czy jesteś przygotowany do wykonania ćwiczeń. 1. Jakie są stadia rozwoju prenatalnego? 2. W jaki sposób moŜesz we własnym Ŝyciu spoŜytkować wiedzę dotyczącą poszczególnych okresów Ŝycia człowieka? 3. Kiedy następuje intensywny rozwój psychoruchowy dziecka? 4. Jakie najwaŜniejsze wydarzenia występują w okresie dojrzewania płciowego? 5. Jakie są typowe zachowania młodzieŜy w okresie dorastania? 6. Jakie znasz pięć najczęściej spotykanych psychologicznych postaw u ludzi starszych wyróŜnianych przez S. Reichard? 4.3.3. Ćwiczenia Ćwiczenie 1 Określ czas trwania i cechy charakterystyczne okresów Ŝycia człowieka. Uzupełnij tabelę. Okres Ŝycia Czas trwania Cechy charakterystyczne Sposób wykonania ćwiczenia Aby wykonać ćwiczenie, powinieneś: 1) dokonać analizy materiału nauczania dotyczącego okresów Ŝycia człowieka, 2) przygotować tabelę według podanego wzoru, 3) uzupełnić tabelę, 4) dokonać analizy wyników ćwiczenia, 5) zapisać wnioski, 6) zaprezentować pracę. WyposaŜenie stanowiska pracy: −−−− arkusz papieru A4, −−−− przybory do pisania, −−−− linijka, ołówek, gumka, −−−− wzór tabeli do uzupełnienia.
  • 27.
    „Projekt współfinansowany ześrodków Europejskiego Funduszu Społecznego” 25 Ćwiczenie 2 Określ znaczenie i konsekwencje uczęszczania dziecka do przedszkola. Sposób wykonania ćwiczenia Aby wykonać ćwiczenie, powinieneś: 1) określić jakie znaczenie moŜe mieć fakt uczęszczania dziecka do przedszkola, 2) określić konsekwencje uczęszczania dziecka do przedszkola, 3) zapisać wnioski, 4) przedyskutować wnioski w grupie. WyposaŜenie stanowiska pracy: −−−− miesięcznik „Wychowanie w Przedszkolu”, −−−− poradnik dla ucznia, −−−− arkusz papieru formatu A4, −−−− przybory do pisania. Ćwiczenie 3 Scharakteryzuj zachowanie starszych osób (dziadków, sąsiadów). Porównaj ich zachowanie z opisem w materiale nauczania, określ podobieństwa i róŜnice. Sposób wykonania ćwiczenia Aby wykonać ćwiczenie, powinieneś: 1) przeanalizować fragment materiału nauczania dotyczący osób starszych, 2) scharakteryzować zachowanie osób starszych, 3) określić podobieństwa i róŜnice zachowań z innymi osobami, 4) zapisać wnioski, 5) zaprezentować wyniki. WyposaŜenie stanowiska pracy: −−−− arkusz papieru A4, −−−− przybory do pisania, −−−− poradnik dla ucznia. 4.3.4. Sprawdzian postępów Czy potrafisz: Tak Nie 1) wymienić kolejno etapy rozwoju człowieka? □ □ 2) określić 3 fazy okresu prenatalnego? □ □ 3) scharakteryzować okres niemowlęcy? □ □ 4) określić główną cechę okresu poniemowlęcego? □ □ 5) dokonać podziału okres dzieciństwa? □ □ 6) scharakteryzować typowe zachowania w okresie dojrzewania? □ □ 7) wyjaśnić na czym polega syndrom tzw. pustego gniazda □ □ 8) określić typowe cechy okresu starości? □ □
  • 28.
    „Projekt współfinansowany ześrodków Europejskiego Funduszu Społecznego” 26 4.4. Podział i charakterystyka procesów psychicznych; procesy poznawcze, emocjonalne, motywacyjne 4.4.1.Materiała nauczania Proces psychiczny to sekwencja zmian zachodzących w przebiegu aktywności psychicznej człowieka, np. proces spostrzegania, myślenia, decydowania. Podmiot będąc aktywnym moŜe zdawać sobie sprawę z zachodzenia procesu, np. w spostrzeganiu moŜe mieć świadomość zachodzących zmian, zmieniania się treści poznawczych, podobnie w myśleniu i decydowaniu [36, s. 211]. Nie kaŜdy proces psychiczny musi być uświadomiony. Procesy psychiczne dzielimy na: poznawcze, emocjonalno-pobudzeniowe, wykonawcze. WraŜenia zmysłowe to elementarne składniki procesu poznawczego; powstają wskutek działania bodźców na poszczególne narządy zmysłów, są odzwierciedleniem izolowanych cech przedmiotów np. barwy, dźwięku, zapachu. Mechanizm ten przebiega w sposób podświadomy. WraŜenia dzieli się w zaleŜności od receptorów, które odbierają bodźce na: wzrokowe, dotykowe, słuchowe, węchowe, smakowe, ciepła i zimna, organiczne, równowagi, stawowo-mięśniowe [29, s. 96-104]. Spostrzeganie to proces przetwarzania sensorycznego prostych cech bodźców na poziomie doświadczania i rozpoznawania konkretnych złoŜonych przedmiotów w otaczającym środowisku [35, s. 54]. Proces spostrzegania jest złoŜony, aktywny, cykliczny, ma charakter decyzyjny oraz w duŜej mierze nieświadomy. WaŜną rolę w działaniu człowieka odgrywa stałość spostrzeŜeń. Polega to na tym, Ŝe mimo zmiany warunków spostrzegania spostrzegamy jako stałe pewne cechy przedmiotu jak np. barwa, kształt czy wielkość. SpostrzeŜenia nie zawsze są prawidłowe czasem zdarzają się złudzenia lub halucynacje. Spostrzeganie jest czynnością zorganizowaną [29, s. 111]. Podział spostrzeŜeń 1. Ze względu na rodzaje narządów zmysłowych: wzrokowe, słuchowe, dotykowe, wielozmysłowe. 2. Ze względu na rodzaj zjawisk rzeczywistości odzwierciedlanych w spostrzeŜeniu: spostrzeganie przedmiotów, przestrzeni i stosunków przestrzennych między rzeczami, czasu, ruchów istot i przedmiotów. 3. Ze względu na poziom organizacji spostrzegania: spostrzeŜenia figuralne i przedmiotowe. Proces spostrzegania moŜe być: dowolny i mimowolny – do narządów zmysłowych docierają bodźce z otoczenia bez udziału naszej woli. Gdy spostrzeganie dowolne staje się samoistną czynnością poznawczą, nazywa się je obserwacją. Obserwowanie kształtuje spostrzegawczość – zdolność do wyróŜniania w spostrzeganym przedmiocie lub zjawisku cech drobnych, trudno zauwaŜalnych [29, s. 117-118]. Uwaga to skierowanie świadomości na jakiś przedmiot lub zjawisko świata zewnętrznego i wewnętrznego. Funkcje uwagi: −−−− selektywność (jeŜeli człowiek zwraca ją na jeden przedmiot lub zjawisko to tym samym odwraca uwagę od innych), −−−− ukierunkowanie na określony cel i zadanie. Rodzaje uwagi: −−−− reaktywna – odgrywa waŜną rolę regulacyjną w zachowaniu reaktywnym, w skład którego wchodzą nawyki i odruchy, −−−− kognitywna – wiąŜe się z zachowaniem celowym, skierowanym na wykonanie określonego zadania,
  • 29.
    „Projekt współfinansowany ześrodków Europejskiego Funduszu Społecznego” 27 −−−− mimowolna – zostaje wywołana przez pewne właściwości bodźców i sytuacji bez wysiłku ze strony jednostki, −−−− dowolna – wymaga świadomego zamiaru i wysiłku woli, −−−− wtórna – występuje wtedy, gdy po świadomym i zamierzonym skoncentrowaniu uwagi na zadaniu człowiek zostaje przez nie tak pochłonięty wykonywanymi czynnościami, Ŝe nie wymagają one z jego strony juŜ Ŝadnego wysiłku [29, s. 120-122]. Cechy uwagi: −−−− pojemność (zakres) – zaleŜy od własności spostrzeganych przedmiotów oraz właściwości rozwojowych i indywidualnych; −−−− natęŜenie (siła, intensywność) – warunkuje koncentrację na określonym przedmiocie, zadaniu i utrzymanie go w polu uwagi, −−−− trwałość – koncentracja uwagi przez dłuŜszy czas, −−−− podzielność – moŜliwość jednoczesnego skupiania się na kilku obiektach, −−−− przerzutność – szybkie przechodzenie od jednego zajęcia do innego, −−−− roztargnienie – brak umiejętności utrzymania i skoncentrowania uwagi przez dłuŜszy czas [29, s. 122-125]. Wyobraźnia to samodzielny proces tworzenia obrazów (wyobraŜeń) na podstawie minionych spostrzeŜeń. WyobraŜenia są obrazami przedmiotów lub zjawisk, których nie postrzegamy w danej chwili. Wyobraźnia jest procesem, a wyobraŜenie jego produktem, rezultatem. Jest ona rozwinięta w niejednakowy sposób u róŜnych ludzi, moŜe być bogata lub uboga. Znaczenie wyobraźni: pomaga przyswajać wiadomości, tworzyć nowe dzieła, pomaga planować, rozumieć świat, relaksuje. Rodzaje wyobraźni: −−−− mimowolna – wyobraŜenia na jawie, marzenia senne, cechuje ją swobodny bieg wyobraŜeń, −−−− dowolna – wytwarzanie wyobraŜeń w sposób świadomy i celowy, −−−− odtwórcza – obrazy są nieznacznym przekształceniem obrazów percepcyjnych, −−−− wytwórcza (twórcza) – wytwarza obrazy nowe i oryginalne, −−−− kierowana – ma miejsce, gdy wyobraŜenia wytwórcze powstają pod wpływem określonych bodźców i sytuacji prowokujących powstawanie obrazów z danej dziedziny, np. lektura, −−−− wyobraźnia artystyczna to umiejętność przekazywania w dowolnej formie artystycznej swoich wraŜeń i wyobraŜeń. Wyobraźnia artystyczna jest teŜ czasem rozumiana jako zdolność do „zobaczenia” w swoim umyśle tworzonego dzieła artystycznego zanim zostanie ono technicznie wykonane [29, s. 129-133]. Pamięć jest jednym z zasadniczych procesów psychicznych, jest to zdolność do magazynowania napływających informacji. Gromadzi i przechowuje przeszłe doświadczenia i wykorzystuje je w róŜnych sytuacjach. 3 podstawowe procesy pamięciowe: −−−− zapamiętywanie – jest procesem gromadzenia wiedzy i umiejętności człowieka, −−−− przechowywanie – w czasie pamiętania występują dwa istotne procesy: zapominanie (jest procesem naturalnym, polega na zmniejszeniu się pod wpływem czasu materiału pamięciowego); zniekształcanie (jest procesem wyłącznie negatywnym i polega na powstawaniu róŜnorodnych zmian w przechowywanym materiale), −−−− odtwarzanie – polega na przypominaniu lub rozpoznawaniu [29, s. 133-136]. Kryteria róŜnicujące pamięć: −−−− przedmiot – obrazowa, słowna, uczuć, epizodyczna, semantyczna, −−−− rozumienie – mechaniczna, logiczna, −−−− udział woli – dowolna, mimowolna,
  • 30.
    „Projekt współfinansowany ześrodków Europejskiego Funduszu Społecznego” 28 −−−− trwałość przechowywania – bezpośrednia, odroczona, ultra krótka, krótkotrwała, długotrwała, −−−− rodzaj przypomnień – rozpoznawcza, odtwórcza. Rodzaje pamięci: −−−− gatunkowa – zawiera doświadczenia poprzednich pokoleń, −−−− osobnicza – dotyczy indywidualnych doświadczeń jednostki, −−−− obrazowa (dzieli się na wzrokową i słuchową) – zapamiętywanie i odtwarzanie bodźców działających na analizatory, −−−− słowno-logiczna – zdolność do zapamiętywania i odtwarzania myśli wypowiedzianych w słowach, −−−− ruchowa – dotyczy nawyków i sprawności motorycznych, −−−− uczuciowa – zapamiętywanie i odtwarzanie zdarzeń, które są silnie zabarwione emocjonalnie, epizodyczna – przechowywanie jednostkowych faktów i zdarzeń, które wystąpiły w określonym miejscu i czasie, −−−− semantyczna – jej przedmiotem są uogólnione kategorie, przedmioty i prawa, −−−− mechaniczna – zapamiętywanie bez zrozumienia, −−−− logiczna –zapamiętywanie ze zrozumieniem, −−−− dowolna – nastawienie na zapamiętanie, −−−− mimowolna – zapamiętywanie bez wysiłku i woli danej osoby, −−−− bezpośrednia – ujmowanie i utrzymywanie w świadomości wielu bodźców działających na nas w danej chwili i ich reprodukcja (np. w rozmowie nie tylko słyszymy pojedyncze słowa, ale tworzymy z nich zdanie i je rozumiemy, nie tracimy wątku), −−−− odroczona – cechuje ja duŜa trwałość i nieograniczony zakres, −−−− krótkotrwała – ma ograniczony zakres i czas trwania. Ślady bodźców głównie obrazowych utrzymują się w niej 20 s., stanowi ona pierwszy etap przetwarzania informacji, −−−− długotrwała – jej pojemność i czas trwania są nieograniczone, −−−− rozpoznawcza – rozpoznawanie zapamiętanego materiału, −−−− odtwórcza – jej zadaniem jest odtwarzanie zapamiętanych treści. [24, s. 93-94; 38, s. 8-90; 29, s. 150-154]. Cechy pamięci: trwałość, szybkość, gotowość, dokładność, zakres Myślenie to aktywny proces poznawczy odzwierciedlający ogólne cechy i stosunki między róŜnymi elementami rzeczywistości, zmierzający do rozwiązywania określonych problemów (zadań, zagadnień). Czynność myślenia obejmuje procesy planowania, przewidywania, oceniania, rozumienia i wnioskowania. Informacje zawarte w wyobraŜeniach, spostrzeŜeniach i pojęciach są przetwarzane za pomocą operacji umysłowych: analizy, syntezy, porównywania, abstrahowania, i uogólniania. Analiza to myślowe rozdzielanie elementów całości. Synteza polega na scalaniu poszczególnych składowych. Porównywanie jest operacją zestawiania ze sobą róŜnych elementów z uwagi na ich podobieństwa i róŜnice. Abstrahowanie polega na wyróŜnianiu jednej właściwości elementu i jednoczesnym pomijaniu innych. Uogólnianie charakteryzuje się ujmowaniem właściwości, cech wspólnych dla określonej klasy zjawisk i rzeczy z pominięciem cech jednostkowych. Istotne znaczenie dla rozwoju złoŜonych czynności umysłowych ma mowa. Dzięki myśleniu, tak jak i pamięci, człowiek posiada zdolność przystosowania się do zmiennych warunków rzeczywistości, co określamy inteligencją. Rodzaje myślenia: 1. Sensoryczno-motoryczne (zmysłowo-ruchowe) – typowe myślenie w działaniu połączone z manipulowaniem przedmiotami dla osiągnięcia celu, dominuje ono u dzieci do 2,5 r. Ŝ.
  • 31.
    „Projekt współfinansowany ześrodków Europejskiego Funduszu Społecznego” 29 2. Konkretno-wyobraŜeniowe, zaczyna się juŜ w 3 r. Ŝ., chodzi tu o konkretny rodzaj przedmiotów, na których przebiega myślenie np. dla hydraulika będą to rury, a dla dziecka zabawki. 3. Słowno-logiczne (symboliczne, pojęciowe, abstrakcyjne) jest oparte na języku, mowie. W wieku przedszkolnym tylko w postaci zaląŜkowej, a w wieku szkolnym rozwija się wraz z przyswajaniem nowych pojęć – nauki. Formy myślenia słowno-logicznego: 1. Pojęcia – treścią pojęć są ogólne właściwości wspólne dla jakiegoś zbioru rzeczy oraz stosunki pomiędzy elementami rzeczywistości. MoŜna podzielić je na: konkretne - przedmioty o rozmaitym stopniu ogólności (torba, lampa, koń), abstrakcyjne - którym nie odpowiadają Ŝadne realnie istniejące przedmioty, lecz ujmujemy ich sens i zakres. (liczba, sprawiedliwość, piękno, dobro, miłość, wiedza). 2. Sądy są formą myślenia słowno-logicznego, wyróŜniamy sądy: ogólne, szczegółowe, jednostkowe, twierdzące i przeczące. 3. Wnioskowanie to teŜ forma myślenia słowno-logicznego. Jest to proces wyprowadzenia jednych sądów z innych zwanych przesłankami. 4. Rozwiązywanie problemów i jego etapy: dostrzeŜenie problemu, analiza sytuacji problemowej, wytwarzanie pomysłów, weryfikacja pomysłów [29, s. 145-170]. Indywidualne cechy myślenia Krytycyzm – polega na tym, Ŝe człowiek nie przyjmuje za ostateczne i pewne pierwszego rozwiązania, lecz rozwaŜa argumenty za i przeciw danej hipotezy oraz sprawdza jej prawdziwość. Dyscyplina – systematyczne stosowanie przy rozwiązywaniu zadań ściśle określonych zasad i metod pracy. Pochopność – wnioskowanie na podstawie niewystarczających przesłanek, szybko, bez rozwagi. Samodzielność – szukanie odpowiedzi bez cudzych sugestii, zauwaŜanie nowych problemów. Giętkość – zdolność do przezwycięŜania sztywnych nastawień w sytuacji zadaniowej i znajdowanie nowych sposobów dostosowanych do zmiennych warunków. Sztywność – skłonność do trzymania się wciąŜ tych samych sposobów postępowania. Szybkość – wydajna i ekonomiczna praca [29, s. 194-196]. Mowa i język Język to społeczny a zarazem naturalny system znaków dźwiękowych i reguł łączenia tych znaków, wyznaczających sposób posługiwania się nimi. Jego funkcje to: reprezentatywna polega na przedstawianiu, odnoszeniu się do rzeczywistości pozajęzykowej, komunikacyjna – słuŜy wymianie informacji, porozumiewaniu się [36, s. 172-174], ekspresywna – pozwala na wyraŜanie uczuć, impresywna – oddziaływanie za pośrednictwem mowy na słuchacza, np. wydanie polecenia, regulacyjna – kierowanie czynnościami za pomocą mowy wewnętrznej [29, s. 200-201]. Emocja – subiektywny stan psychiczny uruchamiający priorytet dla związanego z nią programu działania. Jej odczuwaniu towarzyszą zwykle zmiany somatyczne, ekspresje mimiczne i pantomimiczne oraz zachowania [38, s. 222]. Źródłem emocji i uczuć jest obiektywnie istniejąca rzeczywistość. Jednostka odzwierciedlając ją ustosunkowuje się do niej, cieszy się, martwi, kocha, smuci, gniewa, cierpi. Emocje są równieŜ dzielone na pierwotne – niŜsze, które dotyczą zaspokojenia biologicznych potrzeb organizmu (gniew, lęk, radość, wstręt) i wtórne - wyŜsze, mające charakter społeczny, dotyczące sfery wartości i wiedzy. Emocje pierwotne to niejako predyspozycje do odpowiadania w dany sposób na dane rodzaje i jakość interakcji i dlatego mogą być swego rodzaj automatyzmami, impulsami, zaś emocje wtórne to kształtowana
  • 32.
    „Projekt współfinansowany ześrodków Europejskiego Funduszu Społecznego” 30 zdolność, często bazująca na posiadanych predyspozycjach, do danego sposobu odpowiadania na dane rodzaje i jakość interakcji. U nich szczególną wagę ma ocena, rozeznanie, wartościowanie. Emocje wtórne są formą odpowiedzi na personalnie oraz społecznie waŜne rodzaje oraz jakość interakcji i dlatego odgrywają waŜną rolę w rozwoju człowieka. Do tej kategorii zalicza się m.in. uczucia społeczne, estetyczne, religijne, moralne, intelektualne, itp.. [8, s. 45]. Cechy procesów emocjonalnych KaŜdy proces emocjonalny zawiera trzy cechy: znak emocji, intensywność procesów emocjonalnych i treść emocji. Znak emocji moŜe być dodatni bądź ujemny. Emocje i uczucia dodatnie wywołują osoby, przedmioty i zjawiska, które przyczyniają się zaspokojenia potrzeb człowieka. Emocje te występują w sytuacjach, gdy jednostka osiąga zamierzony cel oraz w sytuacjach optymalnej równowagi między organizmem a środowiskiem. Człowiek zwykle dąŜy do przeŜywania uczuć pozytywnych, dlatego teŜ ma tendencję do zbliŜania się do bodźców, które wywołują te emocje. Sytuacje zagroŜenia oraz wszystko co utrudnia lub uniemoŜliwia zaspokojenie potrzeb jednostki wzbudza emocje i uczucia negatywne. Emocje te nie zawsze powodują wtedy dezorganizację zachowania jednostki, przeciwnie – mogą ułatwiać mobilizację organizmu i przeciwdziałać zachowaniom obronnym (np.: gniew prowokuje atak, lęk, ucieczkę). Ponadto w róŜnych okresach Ŝycia te same przedmioty i zjawiska, a takŜe zachowania innych ludzi mogą być subiektywnie odczuwane bądź jako pozytywne, bądź jako negatywne, stają się zatem przyczyną zupełnie odmiennych stanów emocjonalnych. Intensywność przeŜywania emocji wynika z określonego pobudzenia ośrodkowego układu nerwowego, czyli aktywacji – od skrajnego podniecenia emocjonalnego, jak np. wściekłość, panika, ekstaza – do zupełnego braku podniecenia, np. głęboki sen. Wysoki czy niski poziom aktywacji nie zawsze uzewnętrznia się w zachowaniu. Wzrost podniecenia moŜe prowadzić do wzmoŜonej ruchliwości, moŜe takŜe wywoływać stan pozornej obojętności i spokoju. Treść emocji. W toku nabywania doświadczenia jednostka uczy się róŜnicować emocje w aspekcie treściowym. Niektóre bodźce łączące się z określonymi potrzebami mogą wywoływać określone stany emocjonalne. Na przykład bodźce chemiczne związane ze zmianą stopnia zawartości cukru we krwi powodują emocję głodu. Podobnie wraz z rozwojem doświadczenia człowiek uczy się uświadamiać sobie i odzwierciedlać procesy emocjonalne wywołane specyficznie ludzkimi potrzebami, takimi jak potrzeba miłości, szacunku, władzy, sukcesu. Procesy emocjonalne są często dzielone na: −−−− uczucia – stanowią wyŜsze piętro procesów emocjonalnych. Czuje się np. miłość do kogoś lub czegoś. W ciągu Ŝycia, jednostka uczy się uświadamiać sobie własne procesy emocjonalne. Nie tylko cierpi, smuci się czy kocha, ale wie o tym. Potrafi nazwać swe przeŜycia i włączyć je w system informacji o sobie, oraz panować nad swymi emocjami, −−−− afekty – uczucia powstające najczęściej pod wpływem silnych bodźców zewnętrznych, zwłaszcza działających nagle, (gniew, złość, rozpacz, radość i strach), −−−− nastroje – uczucia długotrwałe o małej sile i spokojnym przebiegu (zadowolenie lub niezadowolenie, wesołość lub smutek, niepokój, tęsknota), −−−− namiętności – to trwałe skłonności do przeŜywania róŜnych nastrojów i afektów w związku z określonymi celami dąŜeń człowieka. Namiętności mają duŜą siłę pobudzającą, ukierunkowują myśli, spostrzeŜenia, pamięć i inne procesy psychiczne, −−−− sentymenty – odnosi się do trwałych sympatii bądź antypatii np. „nie lubię brukselki” [7]. Procesy emocjonalne wpływają na przebieg procesów poznawczych, nadając im swoiste zabarwienie. Gdy doznajemy przeŜyć o charakterze pozytywnym, otaczający nas świat spostrzegamy takŜe w kategoriach pozytywnych. Odwrotnie, gdy jesteśmy smutni lub
  • 33.
    „Projekt współfinansowany ześrodków Europejskiego Funduszu Społecznego” 31 nieszczęśliwi, cały świat moŜe nam się wydawać ponury i wrogi. PrzeŜywanie silnych emocji tak pozytywnych jak negatywnych, moŜe wpływać na zwęŜenie pola spostrzegania. Pochłonięty wielką radością czy teŜ cierpieniem człowiek moŜe nie zauwaŜyć pędzącego samochodu [29, s. 226-228]. Procesy motywacyjne Nazwa motywacja pochodzi od słowa movere (poruszać się) [8, s. 222]. Motywacja to hipotetyczny stan organizmu, pobudzający i ukierunkowujący jego aktywność. Istnieje kilka biologicznie pierwotnych motywacji: głód, sen [29, s. 235-238]. Proces ten zachodzi, gdy spełnione są dwa warunki: osiągnięcie celu musi być postrzegane przez człowieka jako uŜyteczne; prawdopodobieństwo realizacji celu przez jednostkę musi być wyŜsze od zera. W mechanizmie tym dochodzi do interakcji procesów myślowych, fizjologicznych i psychologicznych jednostki, które decydują o natęŜeniu motywacji. Wg psychologów natęŜenie motywacji jest funkcją trzech zmiennych: siły procesu motywacyjnego, jego wielkości i intensywności. Jeśli człowiek jest świadomy wyniku wykonywanych czynności wówczas ten wynik będzie nazywany celem. Cele mogą być tutaj dwojakiego rodzaju: materialne, jak np. płaca, niematerialne, np. satysfakcja. Podstawowy model motywacji moŜna przedstawić wg następującego schematu: Rys. 1. Model schematu motywacji [19] Procesy motywacyjne ukierunkowują zachowanie jednostki na osiągnięcie określonych, istotnych dla niej stanów rzeczy, kierują wykonywaniem pewnych czynności tak, aby prowadziły do zamierzonych wyników (zmiana warunków zewnętrznych, zmiana we własnej osobie, zmiana własnego połoŜenia). Proces motywacyjny składa się z zespołu pojedynczych motywów. Motywem nazwać zaś moŜna przeŜycie pobudzające człowieka do działania lub powstrzymujące go, lub przeszkadzające jego wykonaniu. Proces motywacyjny to: wzbudzanie energii; ukierunkowywanie wysiłku na cel; selektywność uwagi w stosunku do bodźców – zwiększenie wraŜliwości na bodźce istotne; zorganizowanie reakcji w zintegrowany wzorzec; kontynuowanie czynności, dopóki warunki, które ją zapoczątkowały nie ulegną zmianie; pobudzenie emocjonalne – uczucia dodatnie (w przypadku realizacji zamierzeń) lub ujemne (w przypadku niespełnienia). NatęŜenie motywacji charakteryzuje się za pomocą trzech powiązanych ze sobą parametrów: siły, wielkości, intensywności. Siła motywacji wskazuje na większą lub mniejszą zdolność do wytłaczania motywów konkurencyjnych (np. jeśli pomimo mrozu nie wygasa chęć udania się na spotkanie, wówczas motyw spotkania jest silny, gdyŜ wyłącza konkurencyjny – niechęć doświadczenia mrozu). Wielkość motywu wskazuje na rozmiar wyniku, do którego zmierza działanie lub na liczbę czynności konsumpcyjnych potrzebnych do zaspokojenia motywu. Rozmiar wyniku to inaczej miara ilościowa (np. im większy motyw aspiracji tym więcej napisanych publikacji). Czynności konsumpcyjne to takie, których wykonanie redukuje napięcie motywacyjne np. spoŜycie pokarmu przez głodnego. Określenie „napięcie motywacyjne” wskazuje na stan pobudzenia organizmu wyraŜający się w chęci podejmowania tego typu działania. Intensywność motywacji to właściwość, od której zaleŜy poziom mobilizacji człowieka do działania na rzecz realizacji danego motywu, określa ona stopień koncentracji i zuŜycia energii na rzecz motywu. Prowadzi do podwyŜszenia zdolności do wysiłku, zwiększa się, gdy człowiek w trakcie spełniania aktywności natrafia na przeszkodę. Źródła motywacji: biologiczne – motywy są wynikiem natury cielesnej człowieka; psychiczne – aktywność podejmowana w wyniku odczuwanych pragnień, chęci, stanów
  • 34.
    „Projekt współfinansowany ześrodków Europejskiego Funduszu Społecznego” 32 wewnętrznych przeŜyć emocjonalnych (stresy, frustracje); neotyczne – źródła te wskazują na człowieka jako na, osobę, która jest sprawcą dysponującym swoją psychofizycznością, dzięki zdolnościom do podejmowania wolnych wyborów. WiąŜe to motywację z wolnością woli człowieka. Rodzaje motywacji: wewnętrzna – aktywizacja następuje, gdy człowiek dąŜy do zaspokojenia swoich potrzeb, emocji, poznania; zewnętrzna – polega na wzbudzeniu potrzeb przez stosowanie kar i nagród, informowaniu o moŜliwościach zawartych w róŜnego rodzaju sytuacjach i manipulowaniu tymi moŜliwościami [23, s. 427-488; 8, s. 221-235]. Aby w pełni zrozumieć wpływ motywacji na aktywność człowieka, warto zapoznać się z teorią potrzeb A. Maslowa. A. Maslow postawił hipotezę, Ŝe człowiek w swoim działaniu dąŜy do zaspokojenia zespołu potrzeb, zaś potrzeby te tworzą logiczną hierarchię, którą moŜna przedstawić następująco (w kolejności od potrzeb podstawowych do wyŜszych): 1. Potrzeby fizjologiczne (pragnienie, głód, posiłek). 2. Potrzeby bezpieczeństwa. 3. Potrzeby społeczne (przyjaźń, miłość). 4. Potrzeby szacunku. 5. Potrzeby samorealizacji. A. Maslow podzielił potrzeby na: potrzeby niŜszego rzędu i potrzeby wyŜszego rzędu: 1. Potrzeby niŜszego rzędu – (nazywane teŜ: podstawowymi, naturalnymi, biologicznymi). Do grupy tych potrzeb, których zaspokojenie jest niezbędne do Ŝycia zalicza się potrzeby odŜywiania, snu, ciepła, miłości, fizjologii i inne. 2. Potrzeby wyŜszego rzędu – (kulturalne) zalicza się m.in.: potrzebę nauki, rozrywki, podróŜowania, uczestnictwa w obrzędach religijnych A. Maslow twierdził, Ŝe muszą być zaspokojone przede wszystkim potrzeby niŜszego rzędu, aby było moŜliwe zaspokojenie potrzeb wyŜszego rzędu. W przypadku, gdy potrzeba niŜszego rzędu została juŜ zaspokojona, to przestaje ona stanowić źródło motywacji. Oprócz wymienionych pięciu potrzeb, Maslow wyróŜnił równieŜ tzw. potrzeby dodatkowe, czyli takie, które mogą ujawniać się tylko u niektórych ludzi, np. potrzeba wiedzy, czy teŜ potrzeby estetyczne [25, s. 386]. J. Szczepański uwaŜa potrzeby za „podstawowy fakt ludzkiej egzystencji”. Autor stwierdza, Ŝe powstają one we wszystkich wymiarach egzystencji człowieka w kaŜdym okresie jego rozwoju Ich źródłem są procesy Ŝyciowe zachodzące w ludzkim organizmie (potrzeby społeczne, kulturalne). Potrzeby biologiczne i psychiczne są mechanizmami wbudowanymi genetycznie w „system człowiek”. Potrzeby społeczne, gospodarcze, kulturalne powstają na skutek udziału człowieka w róŜnych systemach zewnętrznych, np. politycznych, kulturalnych. Aby w nich uczestniczyć człowiek musi posiadać, wytwarzać określone potrzeby posiadania, wiedzy informacji itp. WyróŜnia on tzw. potrzeby otoczkowe i pozorne. Potrzebą otoczkową jest np. apetyt na pewne potrawy, lub spoŜywanie ich o określonej porze. Ich zaspokojenie moŜe przyczynić się do rozwoju potrzeb pozornych np. obŜarstwa. PoniewaŜ potrzeby pozorne nie posiadają składnika rzeczywistego ich zaspokojenie moŜe prowadzić, np. do choroby psychicznej lub dezorganizacji systemów zewnętrznych, w których człowiek funkcjonuje np. wzrostu przestępczości. K. Obuchowski z kolei definiuje potrzeby jako obiektywne właściwości jednostki ludzkiej, istniejące niezaleŜnie od tego co człowiek sobie uświadamia i czego chce [42, s. 112-117].
  • 35.
    „Projekt współfinansowany ześrodków Europejskiego Funduszu Społecznego” 33 Tabela 1. Podstawowe potrzeby i ich przejawy w róŜnych fazach rozwoju człowieka – teoria CH. Buhler [8, s. 264] Wiek Tendencja do zadowolenia Tendencja do samoograniczani a Tendencja do twórczej ekspansji Tendencja do wewnętrznego uporządkowania Forma spełnienia Do 1,5 r.Ŝ Ufność, miłość, odkrywanie odrębności Koordynacja i adaptacja ruchów Spontaniczne aktywności Początek integracji ruchów Dobrostan 1,5 r.Ŝ – 4 r.Ŝ Przywiązanie do rodziców Uczenie się stylów Ŝycia. Posłuszeństwo i idealne superego. NiezaleŜności, początki wchłaniania kulturowo określonych idei Granie roli i dziecięca twórczość artystyczna Rozwój superego, sumienia, początki kształtowania idei 4– 8 r.Ŝ Okres latentny Akceptacja roli bycia członkiem rodziny, uczenie się określonych kulturowo idei Próba określenia zakresu autonomii własnych wartości ideały ego przejawiane w wykonywanych zadaniach Samoocena uwzględniająca ideały ego i kulturowo określone idee Doskonalenie się 8-12 r.Ŝ Okres latentny Akceptacja roli i zadań wyznaczonych przez szkołę oraz kulturowo określone formy edukacji Gry, sporty grupowe, umysłowe aktywności badawcze Próba dokonania obiektywnej ewaluacji siebie samego w rolach społecznych 12-18 r.Ŝ Potrzeby seksualne, problem toŜsamości płciowej NiezaleŜność vs. Dominacji rodziny Rozwój osobowości, miłość, zryw intelektualny Rewizja i określenie kierunków własnego rozwoju Spełnienie oderwanie się od okresu dzieciństwa 18 – 25 (30) r.Ŝ Potrzeby seksualne, problem toŜsamości płciowej Doraźne samookreślenie swojej roli w społeczeństwie Próby znalezienia swojego miejsca w zawodzie i miłości Poszukiwanie własnej toŜsamości 25 (30)- 45 (50) r.Ŝ Kulminacja jedności w miłości seksualnej Akceptacja rodziny i roli zawodowej Realizacja siebie w zawodzie, małŜeństwie i rodzinie Znajdywanie własnej toŜsamości Realizacja siebie 45(50)- 65(70) r.Ŝ Pokwitanie i problemy zdrowotne Wyrzeczenie się samego siebie na rzecz rodziny, społeczności, dobra spraw Wzmacnianie stanu posiadania i pozycji Krytyczna ocena samego siebie 65 (70-80 (85) r.Ŝ Zainteresowanie własnym zdrowiem Akceptacja ograniczeń Wykańczanie zadań Ŝyciowych Autobiograficzna retrospekcja Spełnienie siebie 80 (85) do śmierci Regresja do dominacji potrzeby satysfakcji Akceptacja zbliŜającego się końca Ŝycia
  • 36.
    „Projekt współfinansowany ześrodków Europejskiego Funduszu Społecznego” 34 4.4.2. Pytania sprawdzające Odpowiadając na pytania, sprawdzisz, czy jesteś przygotowany do wykonania ćwiczeń. 1. Jaka jest róŜnica między spostrzeŜeniem a wraŜeniem? 2. Jakie jest znaczenie wyobraźni w nauce i pracy? 3. Jakie są charakterystyczne cechy myślenia? 4. Jakie znasz rodzaje pamięci? 5. Co to jest emocja i jakie są cechy procesów emocjonalnych? 6. Jakie są źródła i składniki emocji? 7. Jak jest rola uczuć w Ŝyciu człowieka? 8. Jak moŜna zdefiniować pojęcie motywacji? 9. Jakie czynniki składają się na proces motywacyjny? 10. Czym charakteryzują się rodzaje motywacji? 4.4.3. Ćwiczenia Ćwiczenie 1 Scharakteryzuj zachowanie osoby, która zwykle działa pod wpływem emocji i często im ulega. Opisz jakie są jej typowe zachowania i określ co wpływa na powstanie pierwszego wraŜenia w kontakcie z nowo poznaną osobą. Sposób wykonania ćwiczenia Aby wykonać ćwiczenie, powinieneś: 1) scharakteryzować zachowanie osoby działającej pod wpływem emocji, 2) opisać jej typowe zachowania, 3) określić, co wpływa na powstanie pierwszego wraŜenia, 4) zapisać wnioski z pracy w grupie, 5) zaprezentować wyniki pracy grupy. WyposaŜenie stanowiska pracy: − arkusz papieru A4, − przybory do pisania, − poradnik dla ucznia. Ćwiczenie 2 Określ swoje najwaŜniejsze potrzeby biologiczne i psychiczne. Wymień je, a następnie opisz w jaki sposób je zaspokajasz. Sposób wykonania ćwiczenia Aby wykonać ćwiczenie, powinieneś: 1) przeanalizować schemat potrzeb wg A. Maslowa, 2) określić swoje najwaŜniejsze potrzeby biologiczne i psychiczne, 3) zapisać swoje potrzeby, 4) opisać sposoby ich zaspokajania, 5) zaprezentować wyniki na forum grupy.
  • 37.
    „Projekt współfinansowany ześrodków Europejskiego Funduszu Społecznego” 35 WyposaŜenie stanowiska pracy: −−−− dwie duŜe plansze: pierwsza przedstawia schemat potrzeb wg A. Maslowa, druga zawiera listę (około 30) potrzeb człowieka w podziale na biologiczne i psychiczne, −−−− arkusz papieru A4, −−−− przybory do pisania, −−−− poradnik dla ucznia. Ćwiczenie 3 Scharakteryzuj zachowanie człowieka zmotywowanego. Wyjaśnij na jakiej podstawie określiłeś jego zachowanie jako sterowane procesem motywacyjnym. Sposób wykonania ćwiczenia Aby wykonać ćwiczenie, powinieneś: 1) scharakteryzować zachowanie człowieka zmotywowanego, 2) określić na jakiej podstawie identyfikujemy zachowania, 3) zapisać wskaźniki identyfikujące zachowanie człowieka zmotywowanego, 4) zaprezentować pracę na forum grupy. WyposaŜenie stanowiska pracy: −−−− poradnik dla ucznia, −−−− arkusz papieru A4, −−−− przybory do pisania. 4.4.4. Sprawdzian postępów Czy potrafisz: Tak Nie 1) określić podstawowe potrzeby człowieka? □ □ 2) scharakteryzować proces emocjonalny? □ □ 3) określić funkcje uwagi? □ □ 4) dokonać podziału wraŜeń w zaleŜności od receptorów? □ □ 5) zdefiniować spostrzeŜenia? □ □ 6) zdefiniować pojęcie motywacji? □ □
  • 38.
    „Projekt współfinansowany ześrodków Europejskiego Funduszu Społecznego” 36 4.5. Wybrane teorie osobowości 4.5.1. Materiał nauczania RóŜnorodne poglądy na konstrukcję osobowości człowieka doprowadziły do powstania licznych teorii i ich podziałów; najpopularniejsze z nich to: 1. Teorie uwypuklające psychodynamikę: teoria psychoanalityczna freudowska, analityczna teoria Junga, teoria indywidualna Adlera, teoria psychospołeczna Erika Eriksona. 2. Teorie uwypuklające strukturę osobowości: czynnikowa teoria cech R. Cattella, teoria cech biologicznych H. Eysencka. 3. Teorie uwypuklające spostrzeganą rzeczywistość: skoncentrowana na osobie teoria Carla Rogersa, poznawcza teoria konstruktów osobistych G. A. Kellyego. 4. Teorie uczenia się: teoria uczenia się społecznego A. Bandury, teoria warunkowania sprawczego B. F. Skinnera, teoria bodźca reakcji Dollarda i Millera, teoria W. Mischela. 5. Teoria osobowości Freuda powstała na gruncie filozofii deterministycznej i pozytywistycznej. Struktura osobowości: Id – rodzaj macicy, w której dochodzi do ukształtowania ego i superego. Zawiera w sobie dziedziczne i wrodzone wyposaŜenie psychiczne z popędami włącznie, działa na zasadzie impulsów i natychmiastowej gratyfikacji, zaspokojenia potrzeb. Czerpie energię z procesów fizjologicznych. Id reprezentuje wewnętrzny świat subiektywnych doznań i nie posiada Ŝadnej wiedzy o rzeczywistości obiektywnej. Zasada przyjemności to zasada redukcji napięcia, zgodnie z którą działa Id. Redukcja ta zachodzi za pomocą czynności odruchowych (redukują napięcie natychmiast) i procesu pierwotnego (redukuje złoŜone reakcje psychiczne).Id jest sferą biologiczną człowieka. Jest nieświadome. Ego – wytwarza się poniewaŜ zaspokojenie potrzeb organizmu wymaga działań w świecie rzeczywistym poprzez przekształcanie wyobraŜeń w spostrzeŜenia. Działa za pośrednictwem procesu wtórnego, sprawuje kontrolę nad funkcjami poznawczymi i intelektualnymi. Ta część osobowości decyduje o przystąpieniu do działania, które popędy i w jaki sposób zostaną zaspokojone, oraz o tym które Ŝyczenia zostaną wyparte. Zasadnicza rola Ego to godzenie wymagań organizmu z warunkami środowiskowymi czyli id i superego. Ego jest zorganizowaną częścią Id, powstaje po to by ułatwić osiąganie celów Id i nie dopuścić do ich udaremnienia, a całą swą moc czerpie z Id. Jest w większej części świadome. Superego – sfera moralna człowieka, stanowi wewnętrzną reprezentację wartości moralnych i ideałów uznawanych przez daną społeczność, które przekazywane są dziecku przez rodziców w procesie socjalizacji. Superego dąŜy do doskonałości, kształtuje się pod wpływem kar i nagród, stosowanych przez rodziców. To, co wychowawcy aprobują i nagradzają włączane jest w obręb subsystemu Superego – ja idealnego. Sumienie karze wywołując poczucie winy, ja idealne nagradza powodując poczucie dumy. Główne funkcje Superego to hamowanie impulsów id, przekonywanie Ego, aby cele realistyczne zastąpiło moralnymi i dąŜenie do doskonałości. Jest większej części nieświadome [11, s. 52-90]. Teoria indywidualna A. Adlera A. Adler uwaŜał, Ŝe głównym motorem działania ludzi są motywy społeczne, gdyŜ ludzie z natury są istotami społecznymi. Podkreślenie roli społecznych wyznaczników zachowania jest największym wkładem Adlera w teorię psychologiczną. Drugim znacznym wkładem jaki wniósł Adler do teorii osobowości jest koncepcja twórczej jaźni. Jaźń jest subiektywnym systemem, który interpretuje doświadczenia organizmu i nadaje im sens. Poszukuje ona doświadczeń, które pomogłyby w zrealizowaniu specyficznego stylu Ŝycia danej osoby, jeśli tych doświadczeń nie moŜna znaleźć w świecie zewnętrznym, jaźń spróbuje stworzyć je. Trzecia cechą psychologii A. Adlera jest nacisk na swoistość i niepowtarzalność osobowości.
  • 39.
    „Projekt współfinansowany ześrodków Europejskiego Funduszu Społecznego” 37 Według niego kaŜda osoba jest jedyną w swoim rodzaju, konfiguracją cech, motywów, zainteresowań i wartości, kaŜda czynność wykonywana nosi znamię charakterystycznego dla niej stylu Ŝycia. Adler uznał świadomość za centrum osobowości. Zmniejszył znaczenie popędu seksualnego występującego u Freuda, uznając, Ŝe sposób, w jaki dana osoba zaspokaja swe potrzeby seksualne zaleŜy od stylu Ŝycia, a nie odwrotnie. Teoria osobowości Adlera da się przedstawić „skrótowo” w postać 6 pojęć: a) fikcja jako cel – cele to dąŜenia i ideały, które wpływają na aktualne zachowanie, jeśli np. ktoś wierzy w piekło i niebo, to ta wiara wywierać będzie znaczny wpływ na jego zachowanie. Ostateczny cel Ŝycia moŜe być fikcją, tj. ideałem, który jest niemoŜliwy do zrealizowania, ale jest bardzo realnym bodźcem ludzkich dąŜeń i ostatecznym wyjaśnieniem postępowania człowieka. Adler wierzył, Ŝe kaŜdy normalny człowiek jest w stanie uwolnić się od tych fikcji w razie konieczności i stawić czoło rzeczywistości, b) dąŜenie do wyŜszości – przez wyŜszość rozumie Adler, dąŜenie do pełni doskonalej, „wielki pęd ku górze”. DąŜenie to jest wrodzone stanowi część Ŝycia, powoduje, Ŝe człowiek przechodzi z jednego stadium rozwoju do drugiego, wyŜszego. To główna zasada rządząca dynamiką osobowości. KaŜdy człowiek ma swój własny sposób na dąŜenie do doskonałości, c) poczucie niŜszości i kompensacja – wg A. Adlera wynikają z poczucia ułomności, niedoskonałości w jakiejś sferze Ŝycia. A. Adler podkreślał, ze te uczucia są źródłem poprawy ludzkiego losu. Uczucia niŜszości mogą się nasilać pod wpływem pewnych okoliczności, np. odrzucenie dziecka, mogą wtedy wystąpić pewne nienormalne objawy (np. kompensacyjny kompleks wyŜszości), w normalnych warunkach jednak poczucie niŜszości popycha do działania, d) zainteresowanie społeczne – A. Adler uwaŜał, ze jest ono wrodzone, nie ujawnia się jednak samorzutnie, aby przyniosła efekt niezbędne jest jej ukierunkowanie i ćwiczenie. Dlatego istotna jest tutaj edukacja i procesy wychowawcze człowieka, e) styl Ŝycia – według A. Adlera wyjaśnia on niepowtarzalność kaŜdej osoby, kaŜdy ma jakiś styl Ŝycia, nie ma dwóch osób o identycznym stylu Ŝycia. Wiele osób ma taki sam cel w Ŝyciu, ale istnieją róŜne sposoby na jego osiągnięcie, np. jedna osoba w tym celu studiuje, inna uprawia sport. Styl Ŝycia decyduje w jaki sposób dana osoba radzi sobie z trzema „problemami Ŝyciowymi” wieku dojrzałego: relacjami społecznymi, zawodem, miłością i małŜeństwem. Styl Ŝycia kształtuje się koło 4-5 r.Ŝ. człowieka, a później doświadczenia są przyswajane i wykorzystywane stosownie do tego stylu Ŝycia. MoŜna uczyć się nowych sposobów wyraŜania swego stylu Ŝycia, lecz są to tylko konkretne specyficzne przejawy tego samego stylu Ŝycia, f) twórcza jaźń – według A. Adlera stanowi ona pierwszą przyczynę wszystkiego co ludzkie. MoŜna obserwować jej skutki, ale nie moŜna zobaczyć jej samej. Jest to coś co pośredniczy między bodźcami oddziałującymi na dana osobę, a jej reakcjami na te bodźce. Główne twierdzenie twórczej jaźni głosi, ze ludzie sami kształtują swą osobowość na podstawie dziedziczności i doświadczenia. Twórcza jaźń nadaje sens Ŝyciu, stwarza cel i środki do jego osiągnięcia, jest aktywną zasadą Ŝycia ludzkiego, podobną do pojęcia duszy [35, s. 621; 33, s. 486; 11, s. 140-149]. U podłoŜa teorii cech leŜy załoŜenie, ze kaŜdego człowieka moŜna scharakteryzować w kategoriach określonej liczby cech. Osobowość według tych teorii to zbiór cech stałych i charakterystycznych dla danej jednostki. Czynnikowa teoria osobowości Raymonda Cattell'a (Teoria cech indywidualnych) NajwaŜniejszym pojęciem tej teorii jest cecha. Teoria zakłada, Ŝe struktura psychiczna człowieka jest moŜliwa do opisania i nazwania na podstawie obserwowanego zachowania, a dokonuje się tego w celu wyjaśnienia regularności lub spójności pewnych działań podejmowanych przez człowieka.
  • 40.
    „Projekt współfinansowany ześrodków Europejskiego Funduszu Społecznego” 38 Według R. Cattell`a osobowość jest tym co pozwala przewidzieć, co dana osoba zrobi w danej sytuacji. Jest ona związana z zewnętrznym i wewnętrznym zachowaniem jednostki, to złoŜona i zróŜnicowana struktura cech, z motywacją zaleŜną od cech dynamicznych. Cecha to struktura psychiczna, wnioskowana z obserwowanego zachowania w celu wyjaśnienia regularności czy spójności zachowania. R. Cattell podzielił cechy na jedyne, wspólne (w tym powierzchniowe), źródłowe (w tym konstytucjonalne) oraz środowiskowe (stany i role). Powierzchniowe reprezentują związki jawne, czyli zewnętrzne zmienne, występujące łącznie, natomiast źródłowe to podstawowe zmienne, współdeterminujące wielorakie przejawy powierzchniowe. Cechy źródłowe są waŜniejsze od powierzchniowych, stwarzają bowiem moŜliwość większej oszczędności opisu. Drugi podział cech jakiego dokonał badacz, jest oparty na kryterium jakim jest sposób ich przejawiania się: cechy dynamiczne (wiąŜą się z pobudzaniem jednostki do działania zmierzającego do określonego celu), zdolnościowe (są związane z efektywnością z jaką jednostka działa) i temperamentalne (to szybkość i wraŜliwość emocjonalna) [11, s. 314-357]. Koncepcja osobowości H.J. Eysencka Zdefiniował on osobowość jako względnie trwała organizację charakteru, temperamentu, intelektu i właściwości fizycznych, determinujących specyficzne sposoby przystosowania się do otoczenia. Uznaje on decydującą rolę uczenia się i czynników środowiskowych, bierze pod uwagę fakt, Ŝe dana sytuacja róŜnie oddziaływują na róŜnych ludzi. Podkreśla determinująco- przyczynową rolę czynników biologicznych. Specyfika takiego ujęcia osobowości polega na tym, Ŝe określa ono łańcuch, w którym substrat biologiczny jest odpowiedzialny za róŜnice indywidualne w zakresie podstawowych wymiarów osobowości. Według H. J. Eysencka, genotyp wraz ze środowiskiem decyduje o powstaniu cech fenotypicznych organizmu, właściwości anatomicznych i fizjologicznych układu nerwowego. Układ nerwowy razem ze środowiskiem determinuje powstanie podstawowych cech osobowości i zachowania. Czynniki genetyczne wpływają na zachowanie się, ale nie bezpośrednio. Tworząc model organizacji osobowości H. J. Eysenck rozróŜnia pojęcia typ i cecha. Cecha to zbiór wzajemnie powiązanych zachowań, które wielokrotnie pojawiają się razem, np. osoba obdarzona cechą towarzyskości, lubi chodzić na przyjęcia. Typ jest tworem wyŜszego rzędu obejmującym zbiór skorelowanych ze sobą cech, np. ekstrawertyk jest towarzyski i lubi ryzyko. RóŜnica między tymi pojęciami polega na tym, Ŝe typ jest bardziej ogólny. Model osobowości H. J. Eysencka obejmuje trzy podstawowe wymiary typologiczne: ekstrawersję- introwersję, neurotyzm – stabilność oraz psychotyzm – panowanie nad impulsami Ekstrawersja–introwersja. Ekstrawertyk jest osobą towarzyską, ma wielu przyjaciół. Jego działaniami kierują emocje, jest impulsywny. Uwielbia zmiany w swoim Ŝyciu. Jest zadowolony, gdy cały czas moŜe coś robić, być w ruchu. Niepowodzenia nie załamują go, jest optymistycznie nastawiony w stosunku do przyszłości. Introwertyk natomiast jest powściągliwy, ceni własne towarzystwo i spokój. Ma stałe grono przyjaciół, podczas ich wyboru jest bardzo ostroŜny. W działaniu kieruje się rozsądkiem, lubi uporządkowany tryb Ŝycia. Jest osobą sumienną, która wywiązuje się z przyjętych zobowiązań. Ten wymiar osobowości ma w populacji rozkład normalny. Neurotyzm. Dwa przeciwległe bieguny tego wymiaru to zrównowaŜenie emocjonalne i neurotyczność. Na określenie tego wymiaru uŜywa się takŜe takich terminów jak: wraŜliwość emocjonalna, chwiejność emocjonalna lub emocjonalna reaktywność. Jest nieodłącznie związany jest z lękiem i ogólnym popędem emocjonalnym. Osoby niezrównowaŜone emocjonalnie są mało odporne na działanie stresu. Wynika to z wraŜliwości autonomicznego układu nerwowego. Pojawiające się emocje są silne i długotrwałe. Neurotycy uskarŜają się na nieokreślone dolegliwości somatyczne. Ich nastroje są bardzo zmienne. Mają skłonności do popadania w stany lękowe i załamania nerwowe. Miewają depresje i cierpią na bezsenność.
  • 41.
    „Projekt współfinansowany ześrodków Europejskiego Funduszu Społecznego” 39 Psychotyzm. Krańce tej skali są opisane jako normalność stanów umysłowych (zdrowie psychiczne) z jednej strony oraz zaburzenia obserwowane u pacjentów psychotycznych z drugiej. Psychotyzm zdefiniowany jest jako skłonność do psychoz, schizofrenii i dwubiegunowych zaburzeń afektywnych. Psychopatia jest w połowie skali miedzy normą a psychotyzmem. PodwyŜszone wyniki w tej skali uzyskują więźniowie, schizofrenicy, alkoholicy, narkomani oraz dzieci z zachowaniami antyspołecznymi. Osoby, które w badaniu uzyskały wysokie wyniki, są zimne, bezosobowe, nie potrafią współczuć, nieufne i nieszczęśliwe. Mają urojenia prześladowcze, niekiedy bawią się kosztem innych osób i przejawiają zupełny zanik uczuć. [11, s. 362-376]. Struktura osobowości wg Carla Rogera– perspektywa humanistyczno-egzystencjalna W jego teorii występują dwa konstrukty teoretyczne o podstawowym znaczeniu, stanowiące podwalinę całej teorii. Są to pojęcia „organizm” i „ja”: a) organizm – umiejscowienie wszelkiego doświadczenia, które obejmuje wszystko to, co dzieje się w jego obrębie, w kaŜdym momencie i jest potencjalnie dostępne świadomości, b) pojęcie „ja”–„Ja” czy obraz „ja” oznacza zorganizowaną spójną postać pojęciową, składają się ze spostrzeganych własności „ja”, czyli samego siebie oraz ze spostrzeganych relacji między „ja”, a innymi. Jeśli doświadczenia jakiejś osoby, tworzące jej „ja” odzwierciedlają wiernie doświadczenia organizmu, to osobę tą moŜemy określić jako przystosowaną, dojrzałą i funkcjonującą w sposób pełny. Natomiast niezgodność między „ja” a organizmem prowadzi do poczucia zagroŜenia i niepokoju. Dynamika osobowości wg C. Rogera – istnieje jedyna podstawowa tendencja organizmu- jest to dąŜenie do urzeczywistnienia, podtrzymania i udoskonalenia doświadczającego organizmu. Tendencja rozwojowa moŜe się przejawiać jedynie wtedy, kiedy jednostka jasno spostrzega wybory stojące przed nią i nadaje im właściwą formę symboliczną. Rozwój osobowości: C. Roger koncentruje się na wpływie, jaki wywiera ocenianie jednostki przez innych ludzi, szczególnie w czasie jej dzieciństwa, na powstawanie rozbieŜności między doświadczeniami „ja”. Wg C. Rogera rozdźwięk między „ja” a organizmem powoduje nie tylko przyjęcie postaw obronnych i skłania do zniekształcenia swych doświadczeń, lecz wpływa takŜe na relacje z innymi ludźmi. Osoby nastawione obronnie skłonne są odczuwać wrogie uczucia wobec osób, których zachowanie, ich zdaniem, wyraŜa ich własne wyparte uczucia. Teorie humanistyczno-egzystencjalne kładą nacisk na doświadczenia własne i bliskich jako coś cennego i stanowiącego ludzkie Ja. Teorie te podkreślają takŜe rolę świadomości w Ŝyciu codziennym, zakładają, Ŝe trudności Ŝyciowe są łatwiejsze do pokonania, jeśli potrafimy nadać Ŝyciu jakiś sens. [35, s. 640; 33, s. 501-502]. Poznawcza teoria konstruktów osobistych G. A. Kellyego Według G. A. Kellyego zachowanie człowieka sterowane jest przez konstrukty osobiste, czyli specyficzny sposób ujęcia i rozumienia rzeczywistości. Konstrukty tworzą się odnośnie do osób, zdarzeń, sytuacji i emocji. Ich cechą charakterystyczną jest dwubiegunowość (gromadzenie wiedzy dotyczącej jakiegoś typu zachowania, które moŜna ukazać na kontinuum np. wesoły –smutny itp.). Dzięki konstruktom osobistym jednostka ma poczucie toŜsamości i potrafi przewidywać zdarzenia. Jeśli przewidywania są zgodne z rzeczywistością, system konstruktów pozostaje w stanie równowagi, jeśli jednak się nie zgadzają jednostka albo koryguje system konstruktów, albo zmusza rzeczywistość do podporządkowania się jej wymaganiom co nie zawsze jest moŜliwe. KaŜdy człowiek ma właściwą tylko jemu zdolność do modyfikowania stworzonej w umyśle koncepcji rzeczywistości. Gdy człowiek styka się z czymś nowym i nieznanym w toku poznawania tego kształtuje odpowiednie konstrukty. Nowe sytuacje mogą bowiem wywołać lęk. Konstrukty osobiste umoŜliwiają jednostce kształtowanie przyszłości. Zrozumieć i przewidzieć zachowanie człowieka da się tylko wtedy, gdy zna się jego koncepcję przyszłości.
  • 42.
    „Projekt współfinansowany ześrodków Europejskiego Funduszu Społecznego” 40 Teorie osobowości są próbami opisania w systematyczny i uporządkowany sposób struktury osobowości. Dobra teoria musi powiązać róŜne elementy charakterystyki jednostek w całość, która wykazuje trwałe rozpoznawalne cechy, specyficzne dla kaŜdej jednostki, a jednak pozwalające na porównywanie ludzi między sobą. Istnieje wiele teorii – częściowo dlatego, Ŝe osobowość jest zdefiniowana tak nieściśle, Ŝe nie wszystkie teorie dotyczą tego samego przedmiotu, a częściowo dlatego, Ŝe fakty, na których pełna teoria musi się opierać, nie są jeszcze wystarczająco dobrze znane. Składniki osobowości to: 1. Temperament. 2. Inteligencja. 3. Zdolności i uzdolnienia. 4. Potrzeby. 5. Zainteresowania. 6. Postawy. 7. Obraz samego siebie i świata. Temperament: składnik osobowości, zespół najbardziej stałych właściwości psychicznych przejawiających się w reakcjach emocjonalnych i motoryce. ZaleŜy głównie od przebiegu procesów pobudzania i hamowania. Grecki filozof i lekarz Hipokrates zaproponował hipotezę istnienia czterech podstawowych temperamentów. Opisał on zdrowie jako stan zaleŜny od czterech soków organizmu: krwi, flegmy, Ŝółci czarnej i Ŝółtej. Pół tysiąca lat później kolejny grecki lekarz Galen powiązał przewagę jednego z soków w organizmie z określonymi sposobami zachowań i w ten sposób opracował pierwszą typologię temperamentu: – sangwinik (z łaciny: sanguis – krew) – cechy charakterystyczne: towarzyski, wylewny, rozmowny, zgodny, swobodny, Ŝywy, beztroski, przywódczy, – choleryk (greckie chole – Ŝółć) – cechy charakterystyczne: draŜliwy, niespokojny, agresywny, pobudliwy, zmienny, impulsywny, optymistyczny, aktywny, – melancholik (greckie melas chole – czarna Ŝółć) – cechy charakterystyczne: cichy, nietowarzyski, z rezerwą, pesymistyczny, powaŜny, sztywny, nerwowy, ulegający nastrojom, – flegmatyk (greckie phlegma – flegma) – cechy charakterystyczne: bierny, uwaŜny, myślący, spokojny, opanowany, niezawodny, zrównowaŜony, chłodny [33, s. 491]. Najpełniejszą teorią typologiczną była teoria W.H. Sheldona, który stwierdził, Ŝe typy budowy ciała są ściśle związane z rozwojem osobowości. Inteligencja – względnie stałe warunki wewnętrzne człowieka współdeterminujące efektywność działań wymagających udziału typowo ludzkich procesów poznawczych jak np. wnioskowanie rozumowanie. [38, s. 152]. Ludzie róŜnią się między sobą poziomem inteligencji, przyczyną są zarówno zadatki wrodzone jak i czynniki środowiskowe. Wynik przeciętnej inteligencji wynosi od 90 do 110. Mierzy się ją skalą inteligencji Wechslera. Tabela 2. Interpretacja ilorazu inteligencji [20] Nazwa I.I. w skalach Określenie kliniczne Rozwój bardzo wysoki powyŜej 146 Rozwój wysoki 145-131 Rozwój powyŜej przeciętnej 130-116 Rozwój przeciętny 115-85 Prawidłowy rozwój umysłowy Rozwój niŜszy niŜ przeciętny 84-70 Pogranicze normy Niedorozwój umysłowy lekkiego stopnia 69-55 Niedorozwój umysłowy umiarkowanego stopnia 54-40 LŜejszy niedorozwój Niedorozwój umysłowy znacznego stopnia 39-25 Niedorozwój umysłowy głębokiego stopnia 24-0 Głębszy niedorozwój
  • 43.
    „Projekt współfinansowany ześrodków Europejskiego Funduszu Społecznego” 41 Zdolności – takie właściwości psychiczne, które warunkują pomyślne rezultaty działania. Uzdolnienia – zespół zdolności umoŜliwiający wyjątkowo skuteczne działanie w danej dziedzinie. WyŜszy stopień uzdolnień to talent. Potrzeby – T. Kocowski za potrzebę uwaŜa pewien stan psychofizyczny człowieka, przejawiający się w subiektywnym odczuciu braku oraz w poŜądaniu jakiegoś dobra lub stanu (warunków, sytuacji) [29, s. 242]. Zainteresowania – to specyficzne nastawienia poznawcze i emocjonalne na przedmioty i zjawiska rzeczywistości. Im głębsze i bogatsze są zainteresowania jednostki tym bardziej rozwija się jej osobowość. Postawa – ukształtowana w procesie zaspokajania potrzeb, w określonych warunkach społecznych względnie zgodna i trwała organizacja wiedzy, przekonań, uczuć, motywów, oraz pewnych form działania i reakcji ekspresywnych podmiotu związaną z określonym przedmiotem lub klasa przedmiotów. Obraz samego siebie – to całokształt wiedzy, wyobraŜeń, pojęć o własnej osobie, oraz uczuciowy stosunek do samego siebie związany z samooceną (zaniŜona lub za wysoka). Samowiedza – wiedza zdobyta w procesie samopoznania. Wiedza ta ma charakter świadomy, obejmuje trzy składniki: sądy opisowe dotyczące faktów z własnej biografii, sądy wartościujące, sądy o standardach osobistych (odnoszące się do Ŝyczeń, pragnień). Obraz świata – na obraz ten składa się orientacja w otoczeniu, jak i oczekiwania odnośnie do zachowań ludzi. Orientacja w świecie kształtuje się stopniowo i zaleŜy od całokształtu doświadczeń indywidualnych. W toku rozwoju dokonuje się teŜ stosunek człowieka do świata i samego siebie [29, s. 393-402]. 4.5.2. Pytania sprawdzające Odpowiadając na pytania, sprawdzisz, czy jesteś przygotowany do wykonania ćwiczeń. 1. Jakie znasz teorie osobowości? 2. Jakie czynniki wyznaczają rozwój osobowości w teorii Z. Freuda? 3. Czym charakteryzuje się teoria A. Adlera? 4. Jakie znasz typy temperamentu? 5. Co to jest samowiedza? 6. Jakie znasz składniki osobowości? 4.5.3. Ćwiczenia Ćwiczenie 1 Dokończ lub uzupełnij zdania dotyczące teorii osobowości. Superego to sfera......................................................................................................................... A. Adler uwaŜał, Ŝe głównym motorem działania ludzi są........................................................ Czynnikowa teoria osobowości Raymonda Cattella nazywana jest inaczej ............................. Według H. J. Eysencka osobowość jest to................................................................................. W teorii Rogera rozwój osobowości koncentruje się na ........................................................... Cechą charakterystyczną konstruktów według G. A. Kellyego jest ........................................ Teorie humanistyczno-egzystencjalne kładą nacisk na.............................................................. Składniki osobowości to:............................................................................................................
  • 44.
    „Projekt współfinansowany ześrodków Europejskiego Funduszu Społecznego” 42 Sposób wykonania ćwiczenia Aby wykonać ćwiczenie, powinieneś: 1) zapoznać się z materiałem nauczania dotyczącym teorii osobowości, 2) przeanalizować zdania do uzupełnienia lub dokończenia, 3) uzupełnić lub dokończyć zdania, 4) zaprezentować wyniki pracy, 5) przedyskutować w grupie poprawność wykonanego ćwiczenia. WyposaŜenie stanowiska pracy: – poradnik dla ucznia, – arkusz papieru formatu A4, – przybory do pisania, – arkusz niedokończonych zdań: Ćwiczenie 2 Określ główne załoŜenia teorii osobowości, wnioski zapisz w tabeli. Teoria osobowości Główne załoŜenia Sposób wykonania ćwiczenia Aby wykonać ćwiczenie, powinieneś: 1) zapoznać się z informacjami dotyczącymi teorii osobowości, 2) określić główne załoŜenia wybranych teorii osobowości, 3) przygotować tabelę według podanego wzoru, 4) uzupełnić tabelę, 5) zaprezentować wyniki na forum grupy. WyposaŜenie stanowiska pracy: – poradnik dla ucznia, – arkusz papieru formatu A4, – przybory do pisania, – wzór tabeli. Ćwiczenie 3 Określ załoŜenia teorii osobowości Z. Freuda, a następnie uzupełnij tabelę. Tabela do ćwiczenia 3. [25, s. 610] Struktura Zasada funkcjonowania Sposób działania Id – popędy, źródło energii psychicznej, biologiczne podłoŜe osobowości Ego – rozwija się z id, zorientowane na rzeczywistość, ocenianie, wykonanie Superego – reprezentuje introjekcje standardów moralnych i wartości wyznawanych przez rodziców
  • 45.
    „Projekt współfinansowany ześrodków Europejskiego Funduszu Społecznego” 43 Sposób wykonania ćwiczenia Aby wykonać ćwiczenie, powinieneś: 1) zapoznać się z materiałem nauczania dotyczącym teorii osobowości, 2) określić załoŜenia teorii Z. Freuda, 3) przygotować tabelę według podanego wzoru, 4) uzupełnić tabelę, 5) zaprezentować wyniki. WyposaŜenie stanowiska pracy: – plansza przedstawiająca schemat teorii osobowości Z. Freuda, – poradnik dla ucznia, – arkusz papieru formatu A4, – przybory do pisania, – przybory kreślarskie: linijka, ołówek, gumka, – wzór tabeli. Ćwiczenie 4 Na podstawie obserwacji wybranej osoby określ jej typ temperamentu. Czy jest to moŜliwe po krótkiej obserwacji? Czy udało Ci się dopasować konkretny typ temperamentu, czy teŜ dana osoba posiadała cechy z róŜnych typów temperamentu?. Sposób wykonania ćwiczenia Aby wykonać ćwiczenie, powinieneś: 1) przeprowadzić obserwację dowolnej osoby i zapisać wnioski, 2) przeanalizować wnioski z obserwacji, 3) określić typ temperamentu obserwowanej osoby, 4) zaprezentować wyniki pracy (wybrane lub chętne osoby odczytują swoją pracę), 5) wziąć udział w dyskusji. WyposaŜenie stanowiska pracy: – arkusz papieru formatu A4, – przybory do pisania, – literatura opisująca róŜne typy temperamentów. 4.5.4. Sprawdzian postępów Czy potrafisz: Tak Nie 1) wymienić główne teorie osobowości? □ □ 2) scharakteryzować strukturę osobowości wg Z. Freuda? □ □ 3) scharakteryzować główne załoŜenia psychologii indywidualnej A. Adlera? □ □ 4) określić składniki osobowości? □ □
  • 46.
    „Projekt współfinansowany ześrodków Europejskiego Funduszu Społecznego” 44 4.6. Metody badania osobowości 4.6.1. Materiał nauczania Poszczególne metody badania osobowości są oparte na róŜnych teoriach, badają bowiem róŜne wymiary funkcjonowania psychicznego jednostki. Metody słuŜące do badania osobowości stanowią zasadniczo dwie podstawowe kategorie: kwestionariusze czy inwentarze osobowości oraz testy. Kwestionariusz osobowości to metoda badania, wykorzystująca sam opis w postaci odpowiedzi osoby badanej na zbiór standardowych pytań, stwierdzeń lub jednowyrazowych określeń. Dostarcza on wyników ilościowych. W Polsce popularyzatorem inwentarzy osobowości był m.in. M. Choynowski. Testy moŜemy podzielić m.in. na obiektywne, projekcyjne, selekcyjne. Kwestionariusz Osobowości Zawodowej SHL jest jednym z najczęściej uŜywanych kwestionariuszy osobowości [18]. Testy obiektywne – osoba badana odpowiada na wystandaryzowaną grupę pytań lub opinii. Niektóre testy mają charakter skali z wymuszonym wyborem. Jeden z najczęściej uŜywanych psychologicznych testów osobowości to MMPI (Minnesota Multiphasic Personality Inventory). Autorami testu MMPI są: S. R. Hathaway oraz J. Ch. McKinley. W Polsce szczególną popularność zyskała adaptacja testu pod nazwą WISKAD-MMPI. Obecnie powszechnie dostępną w kraju jest kompletna wersja testu MMPI z opracowanymi normami dla populacji polskiej. Spotkać moŜna trzy formy testu: kartkowa (550 stwierdzeń), zeszytowa (566 stwierdzeń) oraz magnetofonowa. W praktyce stosuje się teŜ skrócone wersje. Test zawiera 10 skal klinicznych oraz 4 skale kontrolne. Ponadto stosuje się jeszcze skale dodatkowe oraz tzw. skale treściowe, pozwalające szczegółowiej interpretować uzyskany materiał. Bezpośrednim celem tego badania jest określenie profilu psychologicznego osoby badanej, który z kolei stanowi podstawę do formułowania osobowościowej diagnozy psychologicznej. Interpretacja testu dodatkowo moŜe odnosić się do bardziej szczegółowych kwestii, jak np. tendencje samobójcze, problem identyfikacji z własną płcią, źródło czynnościowych dolegliwości somatycznych, naduŜywanie alkoholu, tendencje do stosowania narkotyków jako sposobu radzenia sobie z własnymi problemami, itp. Badanie trwa zwykle około 2 godzin. Metoda przeznaczona jest dla osób dorosłych. Istnieją róŜne formy badania: – badany otrzymuje ankietę ze stwierdzeniami, zaopatrzoną w arkusz odpowiedzi, – badany otrzymuje zestaw osobnych kartek, które ma posegregować na 3 grupy („prawdziwe”, „fałszywe”, „nie potrafię odpowiedzieć”), – korzystanie z programu komputerowego [33, s. 509-511]. Testy projekcyjne- nie ma precyzyjnie określonych odpowiedzi, przykładem mogą być np.: testy rysunkowe [34, s. 499; 29, s. 509-516]. przykładem tego typu testów jest Test Plam Atramentowych Rorschacha. H. Rorschach, konstruując swoją, metodę załoŜył, Ŝe spostrzegający organizuje świat zewnętrzny tak, by wyrazić i zaspokoić swoje potrzeby, rozwiązać stany napięcia. Na sposób widzenia i organizowania świata wpływają teŜ doświadczenia z przeszłości. Skonstruowana przez H. Rorschacha metoda pozwala na ocenę tak rozumianej osobowości badanego, ze szczególnym uwzględnieniem sposobów interpretowania róŜnego typu faktów i zdarzeń i włączania ich do własnego zakresu doświadczeń. MoŜna równieŜ wyciągać wnioski dotyczące funkcjonowania osoby w sytuacjach kontaktu z określonymi sytuacjami. Za pomocą tego testu uzyskuje się informacje dotyczące takich sfer badanego jak: inteligencja, kultura, zainteresowania, introwersja, ekstrawersja, poziom lęku, realizm, ambicja, zdolności do racjonalnego myślenia,
  • 47.
    „Projekt współfinansowany ześrodków Europejskiego Funduszu Społecznego” 45 do uogólniania, syntezy, rozwiązywania problemów, myślenia abstrakcyjnego, zainteresowania karierą zawodową. W wyniku badania moŜna takŜe uzyskać informacje, czy dana osoba cierpi na zaburzenia psychiczne. Badanie wykonuje się zwykle u osób powyŜej 14 roku Ŝycia. Badanie odbywa się jedynie w obecności psychologa. Badanemu prezentowane jest kolejno 10 kart, na których przedstawione są rysunki stworzone z plam atramentowych. Badany proszony jest o opowiedzenie, co na kaŜdym z tych obrazków widzi. Niezwykle waŜne jest zastrzeŜenie, Ŝe nie ma odgórnie przyjętych prawidłowych odpowiedzi – wszystkie odpowiedzi udzielane przez osobę badaną są słuszne i prawidłowe, poniewaŜ reprezentują jej sposób widzenia świata. Ilość odpowiedzi, ich zakres zaleŜy jedynie od pacjenta; nie ma „dobrej” ilości odpowiedzi. Czas badania nie jest ograniczony i zaleŜy wyłącznie od badanego [34, s. 502; 33, s. 509-516]. Test Apercepcji Tematycznej Murraya opiera się na załoŜeniu, Ŝe ludzie dokonują projekcji własnych potrzeb na interpretacje wieloznacznych sytuacji, nawet wtedy jeśli nie są tych potrzeb świadomi. Potrzeby jednej osoby mogą pozostawać w konflikcie wobec siebie. Analiza wypowiedzi pacjenta ma na celu zdiagnozowanie poszczególnych potrzeb i ich natęŜenia u danej osoby. Najistotniejsze jest jednak znalezienie związków między nimi: w wyniku syntezy danych buduje się obraz osobowości badanego, przedstawiany jako zorganizowane zespoły potrzeb, które powodują i wyjaśniają zachowanie człowieka. Test Murraya słuŜy do diagnozy i interpretacji napędów, sił psychicznych, wśród których wymienia emocje, kompleksy, konflikty, pragnienia. WaŜną rolę w regulowaniu zachowania pełnią nieświadome tendencje. Zadaniem interpretującego test jest wydobyć określone informacje ze swobodnych wypowiedzi pacjenta. Autor podkreśla, Ŝe duŜy wpływ na wyniki testu ma sytuacja Ŝyciowa, w jakiej w danej chwili znajduje się badany, stąd teŜ TAT słuŜy w zasadzie do diagnozy tego, jak przejawia się osobowość pacjenta w danej sytuacji Ŝyciowej. Badanie wykonuje się u osób powyŜej 3 roku Ŝycia. Test Apercepcji Tematycznej stosowany jest w dwóch wersjach: wersja CAT dla małych dzieci (od 3 do 10 roku Ŝycia) oraz wersja TAT, dla starszych dzieci i dorosłych [34, s. 500; 33, s. 509-516]. Kwestionariusz EPQ-R w obecnej, poprawionej wersji został opublikowany w 1985 roku. Jego autorami są S.B.G. Eysenck, H.J. Eysenck oraz P. Barrett. Kwestionariusz ten oparty jest na koncepcji osobowości H.J. Eysencka. EPQ-R to test typu "papier-ołówek". Składa się z 3 części: arkusza pytań, arkusza odpowiedzi i czterech kluczy. Arkusz pytań ma instrukcję z informacją, jak odpowiadać na pytania oraz zawiera 100 pytań. Pytania z róŜnych skal są ze sobą przemieszane. Badanie kwestionariuszem EPQ-R moŜemy przeprowadzić zarówno indywidualnie jak i grupowo. Czas badania nie jest ograniczony. PrzewaŜnie średni czas, potrzebny na wypełnienie kwestionariusza, wynosi około 20-25 minut. Osoby badane po zapoznaniu się z instrukcją, uzupełnieniu metryczki, wypełniają test, zakreślając kółkiem jedną z dwóch odpowiedzi "TAK" lub "NIE". Jeśli badany nie moŜe zdecydować się na Ŝadną z podanych, bo na przykład Ŝadna mu nie odpowiada, musi wybrać tę, która jest najbliŜsza prawdy. Obliczanie wyników: w EPQ-R uŜywa się punktacji zero-jedynkowej, dlatego teŜ suma punktów nie moŜe przekroczyć liczby pytań, czyli "n". Kwestionariusz przeznaczony jest do badania osób dorosłych i młodzieŜy od 16-go roku Ŝycia. Aby odpowiedzieć na pytania wystarczy mieć wykształcenie podstawowe. Skala N odróŜnia neurotyków od nieneurotyków. Skale N+P odróŜniają zaburzenia nerwicowe i psychozy. Dzięki testowi moŜemy diagnozować skłonności do choroby wieńcowej, zawału, nadciśnienia, cukrzycy, chorób nowotworowych. Wykorzystywany jest teŜ do prognozowania powodzenia w nauce szkolnej i na studiach, w poradnictwie zawodowym, wyboru i powodzeń w dyscyplinie sportowej, oraz do ustalenia zmienności nastrojów i w poradnictwie przedmałŜeńskim i rodzinnym. [11, s. 370-373; 16]
  • 48.
    „Projekt współfinansowany ześrodków Europejskiego Funduszu Społecznego” 46 4.6.2. Pytania sprawdzające Odpowiadając na pytania, sprawdzisz, czy jesteś przygotowany do wykonania ćwiczeń. 1. Czemu słuŜy badanie osobowości? 2. Na czym polegają testy obiektywne? 3. Co to jest MMPI? 4. Co to są testy projekcyjne? 5. Co to jest test Rorschacha? 6. Co to jest Test Apercepcji Tematycznej? 7. Na czym polega test EPQ-R? 4.6.3. Ćwiczenia Ćwiczenie 1 Określ metody badania osobowości i obszar jaki badają, a następnie uzupełnij tabelę. Metoda badania osobowości Badany obszar Sposób wykonania ćwiczenia Aby wykonać ćwiczenie, powinieneś: 1) zapoznać się z materiałem nauczania dotyczącym metod badania osobowości, 2) określić metody badania i obszary tych badań 3) uzupełnić tabelę, 4) zaprezentować wyniki, 5) wziąć udział w dyskusji. WyposaŜenie stanowiska pracy: −−−− przykładowe testy i kwestionariusze badania osobowości, −−−− poradnik dla ucznia, −−−− arkusz papieru formatu A4, −−−− przybory do pisania, −−−− wzór tabeli do uzupełnienia. Ćwiczenie 2 Określ, co oprócz wyników testów psychologicznych powinno stanowić podstawę do formułowania decyzji na temat osobowości ludzi i oceny ich problemów. Sposób wykonania ćwiczenia Aby wykonać ćwiczenie, powinieneś: 1) przeanalizować zakres badań testów psychologicznych, 2) określić róŜne aspekty osobowości człowieka, 3) przygotować odpowiedź z uzasadnieniem,
  • 49.
    „Projekt współfinansowany ześrodków Europejskiego Funduszu Społecznego” 47 4) zaprezentować wynik, 5) wziąć udział w dyskusji. WyposaŜenie stanowiska pracy: −−−− poradnik dla ucznia, −−−− arkusz papieru formatu A4, −−−− przybory do pisania, −−−− literatura dotycząca osobowości człowieka. 4.6.4. Sprawdzian postępów Czy potrafisz: Tak Nie 1) określić metody badania osobowości? □ □ 2) wyjaśnić, na czym polegają testy projekcyjne? □ □ 3) podać cechy Testu Apercepcji Tematycznej Murraya? □ □ 4) wyjaśnić, na czym polega badanie testem MMPI? □ □
  • 50.
    „Projekt współfinansowany ześrodków Europejskiego Funduszu Społecznego” 48 4.7. Czynniki kształtujące osobowość 4.7.1. Materiał nauczania 2 Osobowość rozwija się w trakcie Ŝycia jednostki. Nie jest więc ukształtowana z chwilą narodzin dziecka. Człowiek od urodzenia nawiązuje kontakty ze środowiskiem społecznym, co wpływa w decydujący sposób na kształtowanie się osobowości. Poznaje świat, rozwija swe zdolności i zainteresowania, kształtuje potrzeby i postawy – wchodząc ze środowiskiem w aktywny kontakt. Aktywność ta ma istotny i ukierunkowany wpływ na rozwój osobowości. Aktywność własna jednostki wypływa z wrodzonej zdolności do czynnego zaspokajania potrzeb. JuŜ od wczesnego dzieciństwa człowiek reaguje aktywnie na bodźce płynące ze środowiska. Aktywność człowieka wyznaczona jest zarówno przez biologiczne właściwości organizmu, jak i przez uwarunkowania społeczne. W zaleŜności od temperamentu i specyfiki procesów umysłowych jednostka moŜe podejmować działania w określony dla siebie sposób. Świat otaczający człowieka wyznacza w pewnym sensie zakres jego aktywności. W miarę dorastania człowiek poszerza swój świat i wzbogaca swoją psychikę. KaŜdy człowiek modyfikuje oddziałujące nań wpływy zewnętrzne, przyczyniając się tym samym do biegu zdarzeń. Dorastający człowiek, m.in. w oparciu o własną aktywność, zdobywa coraz nowe doświadczenia, wchodzi w coraz bardziej róŜnorodne interakcje z róŜnymi ludźmi, podejmuje złoŜone zadania, pełni coraz bardziej skomplikowane role społeczne, a tym samym zasadniczo wpływa na kształtowanie własnej osobowości [29, s. 356-357]. Role społeczne – społecznie określone oczekiwania, które ma do spełnienia osoba zajmująca daną pozycje społeczną. Np. społeczna rola „lekarza” obejmuje zespół zachowań jakie powinien spełniać kaŜdy lekarz. PoniewaŜ rola ta jest wspólna dla wszystkich lekarzy, moŜna ogólnie mówić o zachowaniach odpowiadających roli zawodowej lekarza, bez względu na poszczególne osoby uprawiające ten zawód [9, s. 51]. Kwestie te zostały opisane szczegółowo w rozdziale 4.9.1. Środowisko biologiczne i społeczne Człowiek Ŝyjąc w określonym środowisku biologicznym, zróŜnicowanym geograficznie, a zatem i klimatycznie, musi przystosować się do Ŝycia w róŜnych warunkach, jednak przystosowanie to ma pewne granice, bowiem człowiek nie moŜe Ŝyć, np. bez tlenu lub w zbyt wysokiej temperaturze. Jednak dzięki swej wiedzy nagromadzonej przez pokolenia ludzie przystosowują się nawet do bardzo niekorzystnych warunków środowiska biologicznego. Wiedza ta jest zatem elementem środowiska społecznego człowieka. Człowiek Ŝyje wśród ludzi, od urodzenia wchodzi w skład grupy społecznej – narodu, rodziny. Zaś kaŜda trwała grupa społeczna posiada tradycje i reguły postępowania, obowiązujące wszystkich jej członków. Istnieją teŜ reguły obowiązujące jedynie członków określonej, mniejszej grupy: pracownik – przepisom obowiązującym w jego miejscu pracy, dziecko– nakazom rodziców. Reguły postępowania przyswajane są w oparciu o róŜnorodne doświadczenia społeczne i powstają jako wynik wymagań grupy społecznej w stosunku do jednostki [29, s. 360-361]. Cechy dziedziczne Dziedziczność to jedna z podstawowych cech organizmów Ŝywych polegająca na przekazywaniu informacji genetycznej z pokolenia na pokolenie; pozwala ona utrzymywać podstawowe cechy gatunkowe i tłumaczy podobieństwo rodziców i dzieci; cechy osobnika uwarunkowane są genetycznie, ale jednocześnie zaleŜą w duŜej mierze od wpływów środowiska; nie dziedziczy się gotowych cech – morfologicznych, fizjologicznych, anatomicznych, biochemicznych, fizycznych i psychicznych – powstają one w wyniku współdziałania genów i środowiska. W XIX i XX wieku istniały w socjologii teorie, podejmujące poglądy rozwijane przez filozofów juŜ od staroŜytności, stwierdzające, Ŝe
  • 51.
    „Projekt współfinansowany ześrodków Europejskiego Funduszu Społecznego” 49 róŜnice cech rasowych są podstawowym czynnikiem wyjaśniającym róŜnice w poziomie rozwoju społecznego i cywilizacyjnego, Ŝe niektóre rasy są „wyŜsze”, tzn. bardziej uzdolnione i wartościowe. Te teorie głosiły prymat cech i czynników biologicznych jako zasadniczego wyznacznika procesów społecznych. W nauce teorie rasowe zostały obalone przez badania empiryczne, wykazujące, Ŝe cechy rasowe nie wpływają bezpośrednio na cechy psychiczne, to znaczy, Ŝe ludzie róŜnych ras wychowani w podobnych warunkach rozwijają się tak samo. Jednak pomimo obalenia teorii o nierówności rasowej konflikty tego typu pozostały. W opinii społecznej, istnieje głębokie przekonanie, Ŝe genetyka jest podstawą osobowości. Opinie typu „wykapany tata” albo „nie mogła tego odziedziczyć po nikim z naszej rodziny”, wynikają właśnie z takiego pojmowania istoty rzeczy. Dziedziczność ma znaczący wpływ na cechy fizyczne, takie jak figura, podobieństwo, kolor oczu lub włosów, system nerwowy, muskulatura itp. W przypadku innych cech jest odwrotnie. MoŜna stwierdzić wyraźny wpływ środowiska. Aby więc dobrze zrozumieć daną osobowość, naleŜy wziąć pod uwagę oba składniki dziedziczności– genetyczny i uzyskany wskutek wychowania – oraz ich wzajemną interakcję. Dziedziczność, determinuje zakres moŜliwości cech. Dopiero w tak utworzonych ramach decydującą rolę odgrywa wpływ środowiska UwaŜa się, Ŝe genetyka jest odpowiedzialna za 60-70% róŜnic osobowościowych a wychowanie za pozostałych 30-40%. RóŜnice między ludźmi, polegają przede wszystkim na tym, Ŝe kaŜdy jest inaczej zorientowany, a takŜe przewaŜają u niego róŜne funkcje psychiczne. Zachowanie konkretnego człowieka w konkretnej sytuacji trudno jest przewidzieć [35, s. 662-680; 22, s. 67-98; 26, s. 29-31]. Osoby znaczące Na wybór i sposób pełnienia ról społecznych, a jednocześnie na kształtowanie się osobowości, wywierają duŜy wpływ tzw. osoby znaczące. Osobami tymi są zazwyczaj ludzie, z którymi przebywamy przez dłuŜszy czas, którzy są dla nas szczególnie waŜni i często decydują o naszym postępowaniu, np. rodzice, rodzeństwo, wychowawcy, przyjaciele. MoŜe być nią równieŜ osoba, z którą nie wchodzimy w bezpośredni kontakt, np. ulubiony aktor czy piosenkarz. Osoby znaczące często stanowią wzór do naśladowania. W toku rozwoju jednostka przechodzi stopniowo od naśladownictwa cenionych i atrakcyjnych sposobów zachowania się innych ludzi do przyswojenia sobie rozmaitych reguł postępowania w sposób bardziej świadomy i do samodzielnego stosowania ich w róŜnych sytuacjach [29, s. 362]. Przyjmowanie wzorów Przyswajanie reguł, tworzenie obrazu samego siebie, uświadamianie sobie potrzeb i sposobów ich zaspokajania (postaw) to proces długotrwały. We wczesnych stadiach Ŝycia odbywa się on na drodze empatii, naśladowania, modelowania i identyfikacji. Empatia to wczuwanie się w stany psychiczne innych osób. MoŜe to być zarówno trafne rozumienie czyichś uczuć, jak i doznawanie reakcji emocjonalnej, wywołanej przez spostrzeŜenie cudzych emocji. Naśladowanie to forma gromadzenia doświadczenia; występuje wówczas, gdy jednostka, obserwując zachowanie osoby znaczącej, naśladuje je. Najczęściej ma to miejsce, gdy jednostka znajduje się w podobnej sytuacji jak osoba, którą naśladuje. Naśladowanie jest związane z zewnętrznym przejmowaniem reguł postępowania. Dziecko naśladuje matkę nie dlatego, iŜ uwaŜa, Ŝe to, co ona robi, jest moralnie słuszne, lecz dlatego, Ŝe jest ona dla niego pierwszoplanową osobą znaczącą. Im waŜniejszą rolę w Ŝyciu człowieka odgrywają osoby znaczące tym więcej ich zachowań przejmie on przez naśladownictwo. Nagradzanie wzmacnia tę tendencję. Naśladowane mogą być nie tylko osoby z najbliŜszego otoczenia. Naśladowani są bohaterowie filmów, powieści czy teŜ ulubieni aktorzy bądź piosenkarze. Ten rodzaj naśladownictwa wiąŜe się z chęcią ukształtowania siebie na wzór ideału, ma zatem wpływ na kształtowanie obrazu JA idealnego.
  • 52.
    „Projekt współfinansowany ześrodków Europejskiego Funduszu Społecznego” 50 Modelowanie to bardziej złoŜona forma przeniesienia doświadczenia. Jednostka przejmuje od osoby znaczącej (modelu) nie tylko określone formy zachowania, ale równieŜ tendencje uczuciowo-motywacyjne, co moŜe sprzyjać kształtowaniu się emocjonalnie pozytywnego lub teŜ negatywnego stosunku do innych ludzi. Kształtowanie osobowości moŜe odbywać się takŜe drogą identyfikacji. Identyfikacja obejmuje tendencję do przejmowania zachowań zewnętrznych i wewnętrznych stanów emocjonalno-motywacyjnych, ponadto wiąŜe się z chęcią całkowitego upodobnienia się do osoby, z którą jednostka się utoŜsamia, dzięki czemu zdobywa informacje o rolach społecznych i sposobach ich pełnienia. Proces ten będzie przebiegał prawidłowo jeśli istnieje silna wieź między rodzicami a dziećmi. W wieku szkolnym dziecko moŜe identyfikować się takŜe z nauczycielami i swoimi rówieśnikami, co niekiedy moŜe prowadzić do kształtowania się osobowości społecznie nieakceptowanej. Dzieje się to wtedy, gdy rówieśnicy, z którymi identyfikuje się jednostka, kierują się aspołecznymi zasadami zachowania [29, s. 363-366]. Kultura Kultura to zbiorowy dorobek całej ludzkości, składa się ona z dwóch komponentów: kultury materialnej (wszystkie dotykalne, konkretne wytwory społeczeństwa) i kultury niematerialnej (duchowe wytwory społeczeństwa przekazywane z pokolenia na pokolenie), w skład której wchodzą: wiedza i przekonania, wartości, normy (zwyczaje, obyczaje, prawa, tabu), znaki i symbole (język i gesty) [10, s. 37-45]. NiezaleŜnie w jakiej epoce człowiek Ŝyje, zawsze jest on współtwórcą kultury. DuŜą rolę odgrywa to jak hermetyczna jest grupa, w której jednostka funkcjonuje, gdyŜ to wpływa na przenoszenie się norm i zwyczajów danej kultury z pokolenia na pokolenie. Kiedyś nacisk na zachowanie zgodne z kulturą i obyczajami był znacznie większy, dziś w wyniku liberalizacji Ŝycia jest on zdecydowanie mniejszy, dlatego teŜ słabiej wpływa na kształtowanie osobowości, ale jest bardziej skomplikowany gdyŜ człowiek musi wybierać między róŜnymi systemami wartości i ma do wyboru znacznie więcej ról społecznych. Sytuacja taka nie sprzyja prawidłowemu kształtowaniu się osobowości, łatwiej mają te osoby, które z dzieciństwa wyniosły pozytywne doświadczenia w tym zakresie. Rola oddziaływań wychowawczych Środowisko wpływa niewątpliwie w znacznym stopniu na rozwój jednostki. Niektóre z tych wpływów są kontrolowane, inne zaś przebiegają spontanicznie. Oddziaływania przypadkowe i spontaniczne moŜna nazwać wychowaniem niezamierzonym; z kolei oddziaływania zaplanowane i celowe nazywamy wychowaniem zamierzonym. Wychowanie niezamierzone polega na przyswajaniu sobie przez jednostkę okazjonalnie róŜnych zasad zachowania i postępowania. Przebywając wśród ludzi i obserwując ich, człowiek przyswaja sobie wiele róŜnorodnych zachowań, poszerzając tym samym swoje doświadczenia indywidualne. Kiedy osoba znacząca jaką jest niewątpliwie matka, uczy dziecko, Ŝe nie wolno kłamać, a w jego obecności sama mija się z prawdą to choć świadomie dąŜy do tego, aŜeby dziecko wychowywać na prawdomównego człowieka, dostarcza mu swym zachowaniem innych wzorów postępowania. Dziecko uczy się tego, Ŝe w niektórych sytuacjach kłamstwo jest wygodne i dlatego dopuszczalne. Z tego typu oddziaływania wychowawcze (niezamierzonymi) występują powszechnie. Wychowanie zamierzone to proces celowych i zaplanowanych oddziaływań, ukierunkowanych na efekt wychowawczy. Rodzice i nauczyciele świadomie dąŜą do tego, aby wychowanek kierował się w Ŝyciu określonymi zasadami i w sposób przemyślany dostarczają mu tych wzorów. Wychowanie zamierzone, świadome, zmierza do kształtowania charakteru człowieka. Jest to zadanie bardzo trudne, poniewaŜ na jednostkę oddziałuje wiele rodzajów oddziaływań wychowawczych. Czasami oddziaływania te są ze sobą sprzeczne. W procesie wychowania kształtują się trwałe nastawienia wyŜszego rzędu, składające się na osobowość. Kształtowanie osobowości jest procesem trudnym i długotrwałym, albowiem
  • 53.
    „Projekt współfinansowany ześrodków Europejskiego Funduszu Społecznego” 51 istnieją sprzeczności między zamierzonymi i niezamierzonymi oddziaływaniami wychowawczymi, a takŜe między wychowaniem świadomym i nieświadomym. Trzeba zawsze pamiętać o tym, Ŝe wychowawca (rodzic, nauczyciel w szkole czy w przedszkolu), a zwłaszcza wychowawca małego dziecka, ma do spełnienia niesłychanie waŜną rolę. Od tego, w jaki sposób będzie się zachowywał i jak będzie postępował z dziećmi zaleŜy w ogromnej mierze proces prawidłowego kształtowania ich osobowości. [29, s. 369-371]. 4.7.2. Pytania sprawdzające Odpowiadając na pytania, sprawdzisz, czy jesteś przygotowany do wykonania ćwiczeń. 1. Jak moŜna zdefiniować pojęcia: empatia, naśladownictwo, modelowanie, identyfikacja? 2. Jakie znasz nieświadome oddziaływania wychowawcze? 3. Jaki wpływ na kształtowanie osobowości ma aktywność własna? 4. W jaki sposób dochodzi do przejmowania wzorów? 5. Jaką rolę w kształtowaniu osobowości odgrywa proces wychowania? 6. Jakie jest znaczenie aktywności własnej podmiotu dla kształtowania osobowości? 4.7.3. Ćwiczenia Ćwiczenie 1 Określ czynniki jakie ukształtowały Twoją osobowość, które z nich miały na nią największy wpływ i dlaczego? Sposób wykonania ćwiczenia Aby wykonać ćwiczenie, powinieneś: 1) zapoznać się z informacjami dotyczącymi kształtowania osobowości, 2) wypisać czynniki kształtujące osobowość, 3) określić czynniki wpływające na własną osobowość, 4) zapisać wnioski, 5) zaprezentować wyniki. WyposaŜenie stanowiska pracy: −−−− poradnik dla ucznia, −−−− arkusz papieru formatu A4, −−−− przybory do pisania, −−−− literatura dotycząca kształtowania osobowości. Ćwiczenie 2 Określ osoby, które były dla Ciebie „osobami znaczącymi” w poszczególnych okresach Ŝycia. Jaki wpływ wywarły one na Twoje Ŝycie? Sposób wykonania ćwiczenia Aby wykonać ćwiczenie, powinieneś: 1) wyjaśnić pojęcie „osób znaczące”, 2) określić „osoby znaczące” w poszczególnych okresach Ŝycia (1 okres Ŝycia na jednym arkuszu): Od 1- 3 r.Ŝ Okres przedszkolny -
  • 54.
    „Projekt współfinansowany ześrodków Europejskiego Funduszu Społecznego” 52 Lata szkoły podstawowej - Okres gimnazjalny - Okres młodzieńczy - 3) zapisać wnioski, 4) zaprezentować pracę. WyposaŜenie stanowiska pracy: – arkusze papieru A4, – przybory do pisania, – poradnik dla ucznia. Ćwiczenie 3, Określ najwaŜniejsze czynniki kulturowe oraz oddziaływania wychowawcze, które mają największy wpływ na kształtowanie osobowości. Uzasadnij wybór. Sposób wykonania ćwiczenia Aby wykonać ćwiczenie, powinieneś: 1) zapoznać się z informacjami dotyczącymi kształtowania osobowości, 2) określić najwaŜniejsze czynniki kulturowe wpływające na osobowość, 3) określić najwaŜniejsze oddziaływania wychowawcze wpływające na osobowość 4) uzasadnić wybór, 5) zaprezentować wyniki pracy. WyposaŜenie stanowiska pracy: −−−− poradnik dla ucznia, −−−− arkusz papieru formatu A4, −−−− przybory do pisania. 4.7.4. Sprawdzian postępów Czy potrafisz: Tak Nie 1) określić czynniki kształtujące osobowość? □ □ 2) określić osoby, które moŜna nazwać osobami znaczącymi? □ □ 3) określić wpływ osób znaczących na kształtowanie się osobowości? □ □ 4) wyjaśnić jak kultura wpływa na formowanie się osobowości? □ □ 5) podać przykład wychowania zamierzonego i niezamierzonego? □ □
  • 55.
    „Projekt współfinansowany ześrodków Europejskiego Funduszu Społecznego” 53 4.8. Podstawy Ŝycia społecznego 4.8.1. Materiał nauczania śycie społeczne to ogół zjawisk wynikających z wzajemnego oddziaływania jednostek i zbiorowości przebywających na pewnej, ograniczonej przestrzeni. Odnosi się nie tylko do świata ludzkiego, ale równieŜ do świata roślinnego i zwierzęcego. śycie społeczne ludzi opiera się na więzi społecznej. Występuje ono wszędzie tam, gdzie osobniki Ŝywe korzystają z zasobów danej przestrzeni, zaspokajają swoje potrzeby [37, s. 530]. Składniki (elementy) Ŝycia społecznego: 1. Socjalizacja. 2. Przyrodnicze podstawy Ŝycia społecznego. 3. Ekonomiczne podstawy Ŝycia społecznego. 4. Kulturowe podstawy Ŝycia społecznego. 5. Potrzeby. 6. System wartości. 7. Postawy. 8. Zachowania prospołeczne. Socjalizacja – proces wpajania człowiekowi umiejętności niezbędnych dla osoby dorosłej, kształtowania jego osobowości, przekazywania systemu wartości, zwyczajów, języka, norm i wzorów kulturowych dokonywany przez środowisko społeczne; stawanie się pełnoprawnym członkiem społeczeństwa [21, s. 121]. W wyniku socjalizacji jednostka uczy się podstaw interakcji społecznych, poznaje społeczne normy postępowania, wartości, nabywa umiejętność posługiwania się przedmiotami i kształtuje swoją osobowość, uczy się odgrywania ról społecznych, porozumiewania z innymi za pomocą symboli i języka. Socjalizacja to proces trwający przez całe Ŝycie człowieka. WyróŜnia się trzy mechanizmy socjalizacji: a) wzmacnianie – wynagradzanie i karanie, b) naśladowanie – przejmowanie wzorców, c) przekaz symboliczny – pouczenia słowne i pisemne. Procesy socjalizacji moŜna podzielić na pierwotne i wtórne. Socjalizacja pierwotna – zachodzi w grupie pierwotnej, najczęściej w rodzinie. W socjalizacji pierwotnej na jednostkę mają wpływ osoby znaczące, przewaŜnie rodzice. Charakteryzuje się ona silnym emocjonalnym oddziaływaniem tych osób na jednostkę. Reguły działania przyswaja ona na zasadzie naśladownictwa oraz w mniejszym stopniu poprzez werbalny przekaz symboliczny. Socjalizacja pierwotna kończy się w momencie pojawienia się ogólnych reguł społecznych, norm i wartości, które jednostka zaczyna dostrzegać w procesie socjalizacji wtórnej i pojmować, Ŝe reguły, według których działa, nie są regułami tylko jej i bliskich osób, z którymi się utoŜsamia, ale są one ogólnie przyjęte w społeczeństwie. W tym momencie rozpoczyna się etap socjalizacji wtórnej, która obejmuje proces podjęcia pracy zawodowej, kiedy w toku wzrastania jednostki do Ŝycia społecznego wchodzi ona do kolejnych wtórnych grup społecznych (instytucje religijne, zakłady pracy, partie polityczne, itd.) [32, s.32-37]. Przyrodnicze podstawy Ŝycia społecznego Wpływ środowiska przyrodniczego na Ŝycie jednostki i społeczeństwa jest bardzo duŜy, co jest zgodne z teorią posybilizmu geograficznego. Według tej teorii przyroda i jej specyficzne warunki występujące na określonej przestrzeni niczego nie wyznaczają w sposób bezwzględny i ostateczny, ale jedynie stwarzają jednostce i zbiorowości odpowiednie szanse dokonywania róŜnych wyborów i podejmowania działań w zaleŜności od woli i moŜliwości. Obejmują one czynniki dotyczące samego człowieka jako istoty biologicznej, jego środowiska geograficznego i struktury ludności.
  • 56.
    „Projekt współfinansowany ześrodków Europejskiego Funduszu Społecznego” 54 MoŜemy wyróŜnić następujące czynniki: 1. Biologiczne – w Ŝyciu społecznym człowieka najwaŜniejsze są takie cechy jego organizmu jak: wyprostowana postawa, wzrok skierowany na przód, duŜy mózg i złoŜony system nerwowy, złoŜony mechanizm głosowy, długa zaleŜność dziecka od rodziców, popędy i potrzeby, trwałość popędu seksualnego. 2. Geograficzne – te czynniki wyznaczają dynamikę i kierunki rozwoju społeczno – gospodarczego kraju. Mają bezpośredni wpływ na kształt struktury zawodowej i na róŜne procesy zachodzące w społeczeństwie: klimat, ukształtowanie terenu, rodzaj gleby i roślinności, świat zwierzęcy, rzeki, eksploatowane bogactwa naturalne. 3. Demograficzne – czynniki te warunkują odpowiednie zjawiska i procesy społeczne zachodzące w społeczeństwie, np. kulturowe, gospodarcze, polityczne, gęstość zaludnienia, płeć, wiek, płodność, przyrost naturalny, przeciętna długość Ŝycia, zdrowotność. Ekonomiczne podstawy Ŝycia społecznego Składają się na nie: sposoby uŜytkowania zasobów środowiska geograficznego, narzędzia i maszyny, organizacja pracy, forma własności środków produkcji. Na proces produkcji składa się: praca, podmiot, zespół narzędzi. Znajomość zagadnień ekonomicznych jest niezbędna do zrozumienia typowych zjawisk i procesów społecznych, jakie zachodzą w społeczeństwie, czyli procesów demograficznych, kulturowych, militarnych, religijnych. Kulturowe podstawy Ŝycia społecznego Kultura stanowi ogół dóbr dających się podzielić na klasy: rzeczy, znaki, zachowania. Mechanizmy wpływu kultury na Ŝycie społeczne: 1. Socjalizacja i kształtowanie osobowości jednostki. 2. Ustanawianie systemów wartości i kryteriów je określających. 3. Ustalanie wzorców zachowania i postępowania. 4. Konstruowanie modeli (ideałów) zachowań, instytucji i systemów. Ideał – to taki wzorzec wysoko usytuowany, Ŝe z góry zakładamy, Ŝe go nie osiągniemy– samo dąŜenie jest juŜ wartością. Kultura masowa – zespół treści rozpowszechnianych za pośrednictwem środków masowego komunikowania. Kulturę tą charakteryzuje pośrednia droga przekazywania treści, koncentracja źródeł przekazu, eksterytorialność oraz bardzo liczna i zróŜnicowana masa odbiorców. Publiczność kultury masowej nazywamy pośrednią, bo powstaje za pośrednictwem prasy, radia i telewizji a nie drogą fizycznego kontaktu. Potrzeby człowieka – potrzeba to stan braku lub inaczej stan niepokoju w jakim znajduje się człowiek. Powstaje na podłoŜu zaburzenia równowagi między środowiskiem, a organizmem, wynika najczęściej z braku czegoś, sprawia, ze organizm nie jest w stanie prawidłowo funkcjonować. Istnieje wiele klasyfikacji potrzeb, do najprostszych naleŜy podział: potrzeby pierwotne – biologiczne i potrzeby wtórne – psychiczne. Najbardziej elementarne są potrzeby biologiczne (wody, pokarmu, tlenu, zachowania gatunku). Zwierzęta zaspokajają te potrzeby instynktownie, człowiek zaś uczy się zaspokajać swoje potrzeby tak jak wymaga tego od niego społeczeństwo, w przypadku pokarmu na przykład dotyczy to zarówno doboru poŜywienia jak i sposobu jego spoŜywania. Na pograniczu potrzeb biologicznych i psychologicznych znajduje się potrzeba bezpieczeństwa. Jest ona zaspokajana z jednej strony przez unikanie bólu i przykrości fizycznych, a z drugiej przez prawidłowe kontakty człowieka z grupą. Brak zaspokojenia tej potrzeby moŜe rzutować na całe Ŝycie człowieka. Zaspokojenie potrzeb psychicznych zapewnia utrzymanie równowagi psychicznej. Niezaspokojenie potrzeby afiliacji (kontaktu emocjonalnego) moŜe doprowadzić u dzieci do choroby sierocej, a u dorosłych do nerwic, depresji i wielu innych zaburzeń. Niezmiernie waŜne dla prawidłowego funkcjonowania w społeczeństwie jest teŜ zaspokojenie potrzeby akceptacji, zarówno ze strony rodziny jak i otoczenia. Brak w tej dziedzinie moŜe być, np.
  • 57.
    „Projekt współfinansowany ześrodków Europejskiego Funduszu Społecznego” 55 przyczyną izolacji. Kolejna waŜna potrzebą jest potrzeba uznania i szacunku. Jej zaspokojenie daje poczucie pewności siebie, a bark zaspokojenia uczucie niŜszości i moŜe prowadzić do zachowań neurotycznych. Istotne jest takŜe zaspokojenie potrzeb sukcesu, poznawczych, kulturalnych. Bardzo waŜne jest by została zaspokojona potrzeba sensu Ŝycia, bez tego bowiem człowiek ma znaczne problemy z prawidłowym funkcjonowaniem, nie wykorzystuje wszystkich swoich moŜliwości, a świat widzi w czarnych barwach [29, s. 380-386]. Wartości człowieka – zespół cech właściwych danej osobie lub rzeczy, decydujących o jej zaletach, to, co dla człowieka jest cenne z punktu widzenia zaspokojenia jego potrzeb. Wartości są jednym z głównych regulatorów postępowania ludzi. Człowiek przypisuje róŜne wartości przedmiotom, sytuacjom, zjawiskom społecznym, przeŜyciom psychicznym, ocenia co jest dla niego waŜne. śycie społeczne jest regulowane przez róŜne systemy wartości. Najczęściej wyróŜnia się następujące systemy wartości: wartości moralne, prawne, religijne, polityczne, ekonomiczne, estetyczne, naukowe. Wartości moralne, takie jak np. dobro, sprawiedliwość, miłość, godność, zazwyczaj traktowane są przez ludzi jako wartości nadrzędne. Uznanie przez człowieka takich, a nie innych wartości ukierunkowuje jego Ŝycie, poglądy i zachowanie. Wartości rzadko występują w czystej postaci, często pozostają we wzajemnych związkach i zaleŜnościach. Między wartościami występują równieŜ konflikty, szczególnie w sytuacjach podejmowania przez człowieka trudnych wyborów. Wszelkie decyzje lub konflikty międzyludzkie wymagają opowiedzenia się po stronie określonych wartości. Znając sposób wartościowania preferowany przez człowieka, moŜna przewidzieć jego styl Ŝycia, postawy wobec róŜnych zjawisk i problemów. Postawy człowieka Postawa człowieka wobec pewnego przedmiotu to ogół względnie trwałych przekonań o naturze i właściwościach tego przedmiotu, dyspozycji do oceniania go i emocjonalnego reagowania, a takŜe dyspozycji do określonego zachowania się wobec tego przedmiotu. Postawy człowieka wobec otaczającej rzeczywistości są kształtowane w procesie jego wychowania, w procesie uczenia się, w drodze wielokrotnych doświadczeń z przedmiotem postawy albo za pośrednictwem uzyskiwanych od otoczenia informacji. Znaczny wpływ na kształtowanie postaw człowieka mają osoby znaczące oraz grupy odniesienia. WyróŜniamy postawy utajone i czynne. Postawy utajone to stan gotowości do działania powstały na podstawie wcześniejszych doświadczeń w tej dziedzinie. Postawa czynna to konkretne zachowanie się człowieka w stosunku do osoby lub sytuacji. Postawy mogą ulegać zmianie, gdy zachodzi sprzeczność między potrzebami jednostki a wymaganiami społeczeństwa. Postawy mogą być równieŜ przejmowane, zwłaszcza od autorytetów. Postawy ogólne warunkujące stosunek jednostki do innych ludzi, pracy i samego siebie powiązane w całość tworzą zespół postaw określany jako charakter [29, s. 393-394]. Swoistym rodzajem postawy jest stereotyp, czyli funkcjonujący w świadomości społecznej, skrótowy, uproszczony i zabarwiony wartościująco obraz rzeczywistości odnoszący się do rzeczy, osób, grup społecznych, instytucji (np. stereotyp Niemca, Polaka, Włocha), zawodowych (np. profesora, aktora, menadŜera), klasowych (np. robotnika, inteligenta) lub związanych z określoną płcią (np. prawdziwego męŜczyzny) [37, s. 197, 307]. Zachowania prospołeczne – postępowanie mające na celu dobro drugiej osoby. WyróŜniamy dwa typy zachowań prospołecznych: ofiarność i altruizm, przy czym przez altruizm rozumiemy działanie mające na celu dobro drugiej osoby, a nie zdobycie zewnętrznych nagród. Cele działań prospołecznych są następujące: −−−− dla własnego dobra – korzyści genetyczne i materialne, ludzie czasami pomagają by zwiększyć szanse na przetrwanie ich genów; pomagając bowiem krewnym lub osobom obcym mają nadzieję na rewanŜ,
  • 58.
    „Projekt współfinansowany ześrodków Europejskiego Funduszu Społecznego” 56 −−−− by podwyŜszyć swoją pozycję społeczną i zdobyć aprobatę – pomaganie jest bowiem cenione w kulturze ludzkiej; osoby wykazujące duŜą potrzebę aprobaty są bardziej skłonne pomagać w sytuacjach publicznych; najbardziej podstawowa normą dotycząca pomagania jest norma odpowiedzialności społecznej, zgodnie, z którą powinno się pomagać tym, którzy są zaleŜni od nasze pomocy. Kiedy dzieci uświadamiają sobie tę normę, są bardziej skłonne do pomagania w obecności dorosłych licząc na aprobatę z ich stron; zgodnie ze społecznie przyjętymi rolami płciowymi:, męŜczyźni pomagają więcej, kiedy sytuacja wymaga heroicznej, bezpośredniej pomocy na rzecz obcego potrzebującego, zaś kobiety pomagają więcej kiedy sytuacja wymaga opiekuńczych i wspierających zachowań dla kogoś, z kim są związane, −−−− by zarządzać wizerunkiem własnej osoby – oprawa i weryfikacja definicji Ja; osoby o silnych normach religijnych i osobistych pomagają by postępować zgodnie z wizerunkiem własnej osoby; etykiety jakie inni nam „przyklejają” skłaniają nas do częstszego pomagania; poniewaŜ ludzie zaliczają pomaganie innym do wartości, stają się bardziej prospołeczni, kiedy coś sprawi, Ŝe skoncentrują się na tych wartościach, −−−− by radzić sobie z własnymi nastrojami i emocjami – udzielanie pomocy to nagradzające doświadczenie, dlatego teŜ moŜe być traktowane jako sposób na uwolnienie się od nieprzyjemnych emocji; chwilowo zasmucone osoby pomagają więcej widząc w tym poprawę nastroju, szczęśliwe osoby pomagają gdyŜ mają nadmiernie pozytywne spojrzenie na sposobność udzielania pomocy [21, s. 435-437]. Źródła zachowań prospołecznych: −−−− wartości osobiste, −−−− przekonania religijne, −−−− przykład rodziców, −−−− otrzymanie pomocy w przeszłości, −−−− kryzys wewnętrzny lub zdrowotny [21, s. 435-483]. Tabela 3. Cele działań prospołecznych oraz związanych z nimi czynników [21, s. 476] Cel Osoba Sytuacja Interakcje Korzyści genetyczne i materialne − wpojone przekonanie dotyczące działań prospołecznych − rozszerzenie pojęcia My − podobieństwo ofiary do pomagającego − „swojskość” ofiary dla pomagającego − osoby, które myślą o działaniach prospołecznych jako o sposobie na zyskanie czegoś dla siebie, są bardziej pomocne wtedy gdy mogą uzyskać rekompensatę za pomoc − tendencja do pomagania krewnym bardziej niŜ osobom niespokrewnionym, nasila się gdy pojawia się zagroŜenie Ŝycia Pozycja społeczna i aprobata − potrzeba aprobaty − świadomość normy pomagania − modele pomagania − gęstość zaludnienia − to która płeć częściej pomaga zaleŜy od tego, czy dany rodzaj pomocy bardziej pasuje do kobiecej czy męskiej roli płciowej Zarządzanie wizerunkiem własnej osoby − koncepcja Ja − normy osobiste − normy religijne − etykietowani − autokoncentracja − decyzja czy udzielić pomocy przyjacielowi czy obcemu, zaleŜy od wpływu pomagania na koncepcje Ja pomagającego − wysoka samoocena moŜe doprowadzić do odmowy przyjęcia potrzebnej pomocy, Zarządzanie własnymi nastrojami i emocjami − smutek − wiek − koszty i zyski z pomagania − moŜliwość zmieniania nastroju przez pomaganie − ludzie w smutnym nastroju podchodzą do pomagania wybiórczo, wybierając moŜliwości, które obiecują nagrodę, zaś osoby przeŜywające pozytywne emocje są duŜo mniej wybredni i decydują się na pomaganie w róŜnorodnych sytuacjach
  • 59.
    „Projekt współfinansowany ześrodków Europejskiego Funduszu Społecznego” 57 Do elementów postaw Ŝycia społecznego moŜna zaliczyć takŜe: uczciwość, odwagę cywilną, słowność, prawdomówność, punktualność, wraŜliwość społeczną, solidaryzm międzyludzki, konformizm (zmiana zachowania lub opinii danej osoby, spowodowana rzeczywistym lub wyobraŜonym naciskiem ze strony osoby lub grupy ludzi) nonkonformizm (dewiacja demonstrowana publicznie w proteście przeciwko obowiązującym normom czy wartościom), internalizacja (proces psychiczny polegający na „uwewnętrznieniu „kultury” czyli przekształceniu jej wzorów w elementy osobowości–motywacje, postawy) [37, s. 280, 286, 395, 415; 1, s. 33]. 4.8.2. Pytania sprawdzające Odpowiadając na pytania, sprawdzisz, czy jesteś przygotowany do wykonania ćwiczeń. 1. Jak moŜna zdefiniować pojęcie Ŝycia społecznego? 2. Jakie znasz podstawy Ŝycia społecznego? 3. Czym charakteryzują się przyrodnicze podstawy Ŝycia społecznego? 4. Jakie czynniki składają się na ekonomiczne podstawy Ŝycia społecznego? 5. Jaką rolę w kształtowaniu Ŝycia społecznego odgrywają potrzeby, a jaką wartości? 6. Jak moŜna zdefiniować pojęcie kultury masowej? 4.8.3. Ćwiczenia Ćwiczenie 1 Wyjaśnij dlaczego właściwy przebieg procesu socjalizacji jest waŜny w funkcjonowaniu społecznym. Sposób wykonania ćwiczenia Aby wykonać ćwiczenie, powinieneś: 1) scharakteryzować przebieg procesu socjalizacji, 2) określić właściwy przebieg procesu socjalizacji, 3) wyjaśnić wpływ przebiegu procesu socjalizacji na funkcjonowanie społeczne, 4) zaprezentować wyniki pracy podczas dyskusji. WyposaŜenie stanowiska pracy: −−−− poradnik dla ucznia, −−−− arkusz papieru A4, −−−− przybory do pisania. Ćwiczenie 2 Określ główne elementy podstaw Ŝycia społecznego i uzupełnij tabelę. Podstawy Ŝycia społecznego Główne elementy Socjalizacja Przyrodnicze podstawy Ŝycia społecznego Ekonomiczne podstawy Ŝycia społecznego Kulturowe podstawy Ŝycia społecznego. Potrzeby System wartości Postawy Zachowania prospołeczne
  • 60.
    „Projekt współfinansowany ześrodków Europejskiego Funduszu Społecznego” 58 Sposób wykonania ćwiczenia Aby wykonać ćwiczenie, powinieneś: 1) scharakteryzować elementy podstaw Ŝycia społecznego, 2) określić główne elementy podstaw Ŝycia społecznego, 3) przygotować tabelę według podanego wzoru, 4) uzupełnić tabelę, 5) dokonać analizy wyników, 6) zapisać wnioski, 7) zaprezentować pracę. WyposaŜenie stanowiska pracy: −−−− plansze lub slajdy przedstawiające wykaz czynników stanowiących podstawy Ŝycia społecznego, −−−− poradnik dla ucznia, −−−− arkusz papieru A4, −−−− przybory do pisania, −−−− wzór tabeli do uzupełnienia. Ćwiczenie 3 Określ, czy istnieje związek pomiędzy postawami, zachowaniami prospołecznymi oraz systemem wartości. Uzasadnij odpowiedź. Sposób wykonania ćwiczenia Aby wykonać ćwiczenie, powinieneś: 1) zapoznać się materiałami dydaktycznymi dotyczącymi postaw, zachowań prospołecznych i systemów wartości, 2) określić związek miedzy tymi trzema podstawami Ŝycia społecznego, 3) dokonać analizy wyników, 4) zapisać wnioski, 5) zaprezentować pracę. WyposaŜenie stanowiska pracy: −−−− poradnik dla ucznia, −−−− arkusz papieru A4, −−−− przybory do pisania. 4.8.4. Sprawdzian postępów Czy potrafisz: Tak Nie 1) wyjaśnić pojęcie procesu socjalizacji? □ □ 2) określić główne postawy prospołeczne? □ □ 3) wyjaśnić, w jaki sposób kształtują się postawy? □ □ 4) wskazać róŜnice między konformizmem, a nonkonformizmem? □ □ 5) wyjaśnić, jaki wpływ na kształtowanie postaw i wartości ma internalizacja? □ □
  • 61.
    „Projekt współfinansowany ześrodków Europejskiego Funduszu Społecznego” 59 4.9. Funkcje i zadania grupy społecznej. Role społeczne 4.9.1. Materiał nauczania Grupa społeczna to zbiór ludzi, między, którymi zaistniała chociaŜ na krótko więź społeczna [32, s. 87]. A. Giddens definiuje grupę społeczną jako zbiór jednostek, które są ze sobą w stałym kontakcie. Grupy mogą być kilkuosobowe lub stanowić wielkie organizacje i społeczeństwa. Bez względu na rozmiar grupy jej wyróŜniającą cechą jest to, Ŝe członkowie maja poczucie wspólnej toŜsamości [9, s. 722]. Z kolei P. Sztompka za grupę społeczną uwaŜa, zbiór jednostek, w którym wspólnota pewnych istotnych społecznie cech wyraŜa się w toŜsamości zbiorowej i towarzyszą temu kontakty, interakcje i stosunki społeczne w jej obrębie częstsze i bardziej intensywne niŜ z osobami z zewnątrz [37, s. 196; 39]. Powstawanie grup społecznych Grupy składają się z jednostek między, którymi dochodzi do interakcji; im bliŜej pod względem geograficznym znajdują się dane osoby, tym większe szanse ich spotkania – czyli fizyczna styczność, zwiększa prawdopodobieństwo interakcji i wspólnych działań, których rezultatem jest powstanie grupy społecznej. Drugim czynnikiem jest podobieństwo między jednostkami; ludzie bowiem wolą wiązać się z jednostkami podobnymi do siebie. Czują się swobodniej z kimś o podobnych poglądach, wartościach. Istnieje teŜ skłonności do wiązania się z osobami o podobnej charakterystyce społecznej jak rasa, religia, wiek, pochodzenie itp. Funkcje i zadania grup społecznych Grupy społeczne odgrywają ogromną rolę w Ŝyciu społecznym: człowiek przynaleŜąc do grupy społecznej zaspokaja większość potrzeb Ŝyciowych. W grupie dokonuje się transmisja kultury, nauka wartości i postaw oraz wzorów zachowań. Grupy to teŜ miejsce socjalizacji i kontroli społecznej. Dzięki wsparciu grupowemu człowiek moŜe realizować swoje cele, których nie udałoby mu się dokonać indywidualnie [32, s. 89]. W grupie istnieje komunikacja i łączność, tendencja do zachowania konformizmu, kulturowo wspólnych wartości, świadomość wspólnych interesów i ich przedkładanie nad swoje interesy, pewne terytorium, majątek, budynki, ośrodki, skupienia, wspólne symbole, herby, sztandary, pieczęcie. Grupa wykształciła władzę grupową i instytucje (pewne sposoby działania, załatwiania spraw) grupowe. Uczestnictwo w grupie wytwarza więź społeczną, uczy solidarności. Podstawową grupą jest grupa rodzinna, jej funkcje to: materialno-ekonomiczna (zaspokajanie materialnych potrzeb rodziny), opiekuńczo-zabezpieczająca (polega na materialnym i fizycznym zabezpieczeniu członków rodziny w niezbędne do Ŝycia środki), prokreacyjna, seksualna, kontrolna (przejawia się w sprawowaniu wzajemnej kontroli członków rodziny), socjalizacyjna (przygotowuje dzieci do samodzielnego pełnienia podstawowych ról społecznych), rekreacyjno-towarzyska (dom rodzinny jest miejscem wypoczynku i nawiązywania kontaktów towarzyskich). Klasyfikacja grup społecznych przedstawia się następująco: −−−− ze względu na typ więzi społecznych: a) grupy pierwotne, w których istnieje więź oparta na osobistych kontaktach i postawach emocjonalnych, z tego teŜ względu mają duŜe znaczenie dla jednostki, b) grupy wtórne, oparte na więziach formalnych, rzeczowych; −−−− ze względu na wielkość grupy: a) grupy małe, (np. rodzina, grupa rówieśników), b) grupy duŜe, posiadające strukturę zbudowaną z wielu podgrup (np. klasa); −−−− ze względu na stopień formalizacji: a) grupy formalne (organizacje), funkcjonujące na podstawie wewnętrznych, sformalizowanych i oficjalnych instytucjach władzy, kontroli i podziału ról,
  • 62.
    „Projekt współfinansowany ześrodków Europejskiego Funduszu Społecznego” 60 b) nieformalne, złoŜone zwykle z małej liczby osób, połączonych wspólnotą interesów. Kolejnymi rodzajami grup są grupy: 1) celowe (np. sportowe, partie polityczne, tzw. akcyjne), 2) wspólnotowe (ze względu na zadania, wspólnota poglądów, wartości), 3) swoje – zbiorowości, do której jednostka naleŜy i która dzieli poczucie toŜsamości, 4) obce – grupa, do której jednostka nie naleŜy i nie jest wobec niej lojalna, 5) odniesienia – grupy, które są dla jednostki waŜne i wpływają na ich działania; pełnią one 3 funkcje: −−−− normatywną – określenie właściwych zasad postępowania; −−−− porównawczą – wskazuje wzory do naśladowania; −−−− audytoryjną – ocena stosowności zachowań jednostki [10, s. 35], 6) ekskluzywne – do której przynaleŜeć mogą osoby spełniające odpowiednie kryteria przynaleŜności. Często kryterium uwzględnianym przy rekrutacji nowych członków jest ich pozycja społeczna (zamoŜność), 7) inkluzywne – członkiem tego typu grupy moŜe być kaŜda osoba, nie są tutaj istotne Ŝadne kryteria klasyfikacyjne. Całe Ŝycie człowieka jako jednostki społecznej upływa i zaleŜne jest od wielu grup społecznych. Podstawowe znaczenie w Ŝyciu jednostki ludzkiej odgrywają róŜne małe grupy społeczne. KaŜdy z nas naleŜał, naleŜy lub będzie naleŜał do wielu małych grup. NajwaŜniejsza z nich to rodzina. To właśnie rodzina przygotowuje i wprowadza nas do samodzielnego dorosłego Ŝycia, wywiera decydujący wpływ na nasze kompetencje społeczne. Ponadto człowiek w ciągu swojej „drogi Ŝycia” jest członkiem tak waŜnych małych grup społecznych, jak np.: grupa przedszkolna, grupa rówieśników z podwórka, grupa kolegów z boiska, klasa szkolna, grupa osób posiadających takie same zainteresowania, grupa członków róŜnych organizacji społecznych, społeczno-kulturalnych, politycznych czy wreszcie religijnych, a takŜe grupa współpracowników w przedsiębiorstwie. Członkowie grup wzajemnie postrzegają swoje zachowanie, inicjują i odpowiadają na interakcje, komunikują się, współpracują a nawet często rywalizują ze sobą, modyfikują zachowanie partnerów, czyli wywierają na siebie róŜnorodny wpływ. Interakcje wewnątrzgrupowe pełnią trzy funkcje: pobudzają i utrzymują ogólną aktywność grupy, stymulują porozumienie i współpracę, co pozwala osiągnąć zamierzone cele, przyczyniają się do kreowania pozytywnej, cieplej atmosfery społecznej w grupie. F. Znaniecki decydującą rolę przypisywał wychowawczej funkcji grup społecznych. Autor traktuje jako działalność społeczną i upatruje istotę w urabianiu jednostki na członka grupy społecznej. Wychowanie społeczne miało zajmować główne miejsce w całokształcie wpływów wychowawczych na rozwój i uspołecznienie wychowanków i ograniczać ich interesy indywidualne na rzecz potrzeb i interesów zbiorowych. Struktura społeczna grupy jest to układ wzajemnie powiązanych elementów składowych społeczeństwa np. ról społecznych czy pozycji, między którymi zachodzą mniej lub bardziej dynamiczne procesy oraz występuje hierarchia. Jest to teŜ układ stosunków społecznych pomiędzy poszczególnymi osobami, kategoriami społecznymi lub organizacjami. Struktura socjometryczna zaś to typowy układ wzajemnych sympatii, antypatii lub obojętności, jakie występują pomiędzy członkami grupy. Powstaje w wyniku oddziaływania ludzi na siebie. Pozwala na opis grupy z punktu widzenia jej dynamiki. W takiej grupie łatwo o tworzenie się klik wewnątrz niej [10, s. 67-80; 32, s. 83-101]. Grupa odgrywa takŜe duŜą rolę w procesie rehabilitacji osoby niepełnosprawnej. We wspólnocie bowiem są słabsze i silniejsze jednostki, te silniejsze potrafią dać wsparcie słabszym. Ponadto w grupie jednostka zauwaŜa, Ŝe nie jest sama ze swoim problemem i nie tylko ona jest niepełnosprawna. Jednostki oporne w ćwiczeniach pod wpływem grupy przełamują się, w grupie powiększa się jej niezaleŜność i autonomia, pozwala na
  • 63.
    „Projekt współfinansowany ześrodków Europejskiego Funduszu Społecznego” 61 zindywidualizowanie poglądu na świat i działanie w nim. Jednostka będąc z grupą, rozluźnia silne więzy z rodziną, ale buduje je z rówieśnikami. Tutaj się dowiaduje, Ŝe bierność w zachowaniu i kontaktach nie jest wzmacniana pozytywnie. Musi się dostosowywać do zasad panujących w grupie, nie czekając aŜ ktoś mu przyjdzie z pomocą. To spowoduje, Ŝe nauczy się sama rozwiązywać swoje problemy i nie będzie tkwiło w wyuczonej bezradności. Grupa moŜe bezpośrednio i pośrednio wpływać na kształtowanie się własnego obrazu osoby przez uświadomienie celów, działań, wartości, realnego mierzenia sił na zamiary, samoakceptację, to jest zgodę na to, kim się jest. Sama jednostka zaczyna więc zdawać sobie sprawę ze swoich moŜliwości psychofizycznych i przy pomocy ludzi z zewnątrz uruchomić w sobie i rozwinąć te zadatki lub cechy, które nie zostały uszkodzone, wzmacniać i usprawniać sferę psychiczną lub fizyczną, wkładając w to wysiłek i zastępować fizyczne i psychiczne deficyty rozwojowe takimi cechami psychicznymi, jak poczucie waŜności, wartości, pozytywna ocena siebie, własna aktywność i gotowość do przezwycięŜania trudności. Dzięki grupie jednostka niepełnosprawna rozumie, Ŝe naleŜy zamknąć za sobą przeszłość i uczyć się Ŝyć dla teraźniejszości i przyszłości. Mieć wpływ na to, co się moŜe zdarzyć, umieć analizować sytuacje dnia codziennego w celu stwierdzenia źródła niepowodzenia i naprawiać je w miarę samodzielnie. Poświęcać duŜo czasu i energii próbom polepszenia swojej sytuacji. Wyszukiwać sobie zadania i zajęcia. Uświadomić sobie, Ŝe nie na wszystkie choroby są lekarstwa, spróbować się pogodzić ze swoją chorobą. Nie liczyć swoich kłopotów, ale liczyć swoje sukcesy. Rola społeczna – to względnie stały i wewnętrznie spójny system zachowań i cech będących reakcjami na zachowania innych osób i przebiegających według mniej lub bardziej wyraźnie ustalonego wzoru [32, s. 43]. Role róŜnią się od siebie zakresem oddziaływania, stopniem określenia konkretnych działań, częstotliwością występowania i znaczeniem w Ŝyciu społecznym. Role jakie odgrywamy w Ŝyciu związane są nie tylko z działaniami, ale teŜ z uczuciami i postawami odnoszącymi się do tych działań. Kobieta, która została matką nie tylko odgrywa rolę matki, ale odczuwa i reaguje w sposób oczekiwany przez innych ludzi. Uczucia i postawy wzmacniane są w związku z odgrywaną rolą. KaŜda rola związana jest z pewnym stopniem identyfikacji. Czasem ta identyfikacja jest tymczasowa, co ułatwia zmianę roli w sposób bezkonfliktowy. Są teŜ role trwałe, z którymi człowiek jest związany całe Ŝycie, np. role związane z płcią. KaŜda rola wymaga od człowieka określonych zachowań. Zdarza się, Ŝe pewne role odgrywamy bez świadomości faktu, Ŝe spełniamy jakieś oczekiwania, np. rola siostry. Realizacja roli zaleŜy od wielu czynników, np. elementów bio i psychogennych jednostki, które mogą ułatwiać lub utrudniać pełnienie roli, np. zdolności. Człowiek nie jest tylko aktorem, ale teŜ kreatorem danej roli, ma moŜliwość akcentowania własnej indywidualności i modyfikacji społecznej rzeczywistości. Współczesne ujęcia roli społecznej akcentują wielość ról w Ŝyciu zbiorowym, które nie pozostają ze sobą w Ŝadnych związkach oraz wielość ról pełnionych przez jednego człowieka. Stąd teŜ T. Parsons nazwał jednostkę, „wiązką ról społecznych” [32, s. 92]. KaŜdy człowiek pełni w społeczeństwie róŜnorodne role społeczne. Rola społeczna to zachowanie, którego grupa oczekuje od jednostki w wyniku zaakceptowania określonej pozycji tejŜe jednostki w ramach grupy [39]. Pełnienie danej roli oznacza przyjęcie systemu określonych reguł postępowania. Innego zachowania oczekuje się od ucznia, innego od nauczyciela itp. Określona kultura wymaga specyficznego sposobu pełnienia roli. Na przykład zupełnie inne reguły postępowania obowiązywały młodą dziewczynę sto lat temu, inne obowiązują dziś. Człowiek niemal od pierwszych chwil swego Ŝycia podlega róŜnorodnym wpływom społecznym. Rodzice, wychowawcy, rówieśnicy stawiają jednostce wymagania dotyczące jej sposobu zachowania się. Człowiek uczy się zatem zachowywać się w taki sposób, który przynosi mu aprobatę grupy społecznej. Unika zaś tych rodzajów
  • 64.
    „Projekt współfinansowany ześrodków Europejskiego Funduszu Społecznego” 62 zachowania, które są sprzeczne z wymogami grupy. Niektóre role są narzucane jednostce przez społeczeństwo (przypisane); są to role wywodzące się z róŜnic biologicznych między ludźmi oraz z róŜnic wieku. Są jednak takŜe role, które człowiek wybiera sobie sam (osiągane), np. zawód. NiezaleŜnie od tego, czy jakąś rolę człowiek podejmuje dobrowolnie, czy teŜ jest mu ona narzucona przez społeczeństwo, musi przy jej pełnieniu przestrzegać wymagań z nią związanych. Nie zawsze człowiek przyjmuje rolę narzuconą mu przez społeczeństwo. Czasem dzieje się tak dlatego, Ŝe dana rola jest dla niego za trudna lub kiedy ma jakieś negatywne doświadczenia związane z jej pełnieniem. Odrzucenie roli wiąŜe się często z brakiem właściwych wzorów postępowania. W niektórych sytuacjach role te mogą wchodzić ze sobą w konflikty. PoniewaŜ kaŜda jednostka pełni kilka ról, zdarza się, Ŝe to czego wymaga od niej jedna z nich, utrudnia lub uniemoŜliwia wywiązanie się z obowiązków nakładanych przez drugą. Albo, Ŝe niemoŜliwe jest równoczesne zrealizowanie uprawnień płynących z kaŜdej z zajmowanych pozycji społecznych, wykorzystanie jednej zamyka bowiem szanse skorzystania z drugiej np. rola społeczna lekarza nie jest w pełni spójna z rolą np. matki (ze względu na wymiar czasowy pracy). Efekty takiej sytuacji mogą być bardzo przykre np. rozwód, utrata pracy, depresja itp. Konflikty mogą być minimalizowane poprzez odpowiedni dobór ról. [10, s. 51-54, 37, s. 118-119]. 4.9.2. Pytania sprawdzające Odpowiadając na pytania, sprawdzisz, czy jesteś przygotowany do wykonania ćwiczeń. 1. Jakie są zadania grup społecznych? 2. Jakie znasz rodzaje grup społecznych? 3. Która z grup społecznych ma dla człowieka największe znaczenie? 4. Jakie negatywne, a jakie pozytywne mogą być oddziaływania grup społecznych? 5. Co to jest struktura społeczna? 6. Jaką rolę odgrywa grupa w rehabilitacji osób niepełnosprawnych? 4.9.3. Ćwiczenia Ćwiczenie 1 Określ, jakie role pełnisz w społeczeństwie. Podaj wiąŜące się z nimi zobowiązania. (oczekiwania społeczne). Sposób wykonania ćwiczenia Aby wykonać ćwiczenie, powinieneś: 1) zapoznać się z informacjami dotyczącymi ról społecznych, 2) określić role pełnione w społeczeństwie oraz związane z nimi oczekiwania społeczne, 3) dokonać analizy uzyskanych wyników, 4) zapisać wnioski, 5) zaprezentować wyniki. WyposaŜenie stanowiska pracy: −−−− poradnik dla ucznia, −−−− arkusz papieru A4, −−−− przybory do pisania.
  • 65.
    „Projekt współfinansowany ześrodków Europejskiego Funduszu Społecznego” 63 Ćwiczenie 2 Określ, do jakich grup społecznych naleŜysz, a następnie uzupełnij przygotowaną tabelę o przynajmniej 5 rodzajów grup społecznych. Grupa społeczna Rodzaj przynaleŜności Zadania danej grupy Korzyści płynące z przynaleŜności Rodzina Sposób wykonania ćwiczenia Aby wykonać ćwiczenie, powinieneś: 1) sklasyfikować grupy społeczne, 2) określić przynaleŜność do grup społecznych, 3) uzupełnić tabelę, 4) dokonać analizy wyników i przedyskutować je w grupie, 5) zapisać wnioski, 6) zaprezentować wynik na forum grupy. WyposaŜenie stanowiska pracy: −−−− poradnik dla ucznia, −−−− arkusz papieru A4, −−−− przybory do pisania, −−−− linijka, gumka, ołówek, −−−− wzór tabeli do uzupełnienia. 4.9.4. Sprawdzian postępów Czy potrafisz: Tak Nie 1) określić role jakie pełnisz w społeczeństwie? □ □ 2) określić korzyści płynące z przynaleŜności do określonych grup społecznych? □ □ 3) scharakteryzować wartość rodziny jako grupy społecznej dla człowieka? □ □ 4) określić zadania grup społecznych? □ □
  • 66.
    „Projekt współfinansowany ześrodków Europejskiego Funduszu Społecznego” 64 4.10. Teorie społecznego uczenia się 4.10.1. Materiał nauczania Uczenie się to proces prowadzący do modyfikacji zachowania jednostki w wyniku jej uprzednich doświadczeń [38, s. 98]. Uczenie się moŜna rozpatrywać jako czynność (pojedynczą, krótkotrwałą) lub jako proces: czynność – wtedy gdy chcemy sobie coś przyswoić np. wiersz; proces – to układy czynności. Uczenie się moŜe mieć charakter zamierzony jak i niezamierzony. Efekty uczenia się zaleŜne są między innymi od pamięci, koncentracji uwagi, motywacji, zainteresowań, zdolności. Sposoby uczenia się: uczenie się przez rozwiązywanie problemów, pamięciowe, przez próby i błędy, przez wgląd (zrozumienie), sensoryczne – polega na wytwarzaniu odruchów warunkowych, przez naśladownictwo, uboczne (mimowolne) – następuje przy okazji wykonywania jakichś czynności [26, s. 148-180; 29, s. 291-295]. Istnieje wiele teorii wyjaśniających zjawisko uczenia się. Współcześnie wyodrębnia się dwie ich grupy: i. teorie koneksjonistyczne, przyjmujące, Ŝe podstawą uczenia się są róŜnego typu połączenia między bodźcami i reakcjami (np. teorie I.P. Pawłowa, B.F. Skinnera, L. Thorndike'a), ii. teorie poznawcze, wyjaśniające uczenie się jako zmianę schematów poznawczych (np. teorie K. Lewina, E.Ch. Tolmana), 3) teorie społecznego uczenia się (A. Bandura, W. Mischel). I. Pawłow uwaŜał, Ŝe proces uczenia się zachodzi w wyniku tworzenia skojarzeń znany później jako warunkowanie klasyczne był. Badając wydzielanie śliny u psów w odpowiedzi na pojawienie się pokarmu, odkrył, Ŝe, w pewnych sytuacjach psy wydzielają ślinę mimo braku pokarmu, a była to odpowiedź na bodźce, które psy kojarzyły z pokarmem. PoŜywienie nazwano bodźcem bezwarunkowym (BBW), zaś wydzielanie śliny reakcją bezwarunkową (RBW). Podczas badań I. Pawłow dzwonił przed podaniem pokarmu, okazało się, Ŝe sam dźwięk dzwonka wywołuje wydzielanie śliny. Dzwonek stał się bodźcem warunkowym (BW), a wydzielanie śliny w odpowiedzi reakcją warunkową (RW). Po wyuczeniu skojarzenia BW z bodźcem bezwarunkowym (BB) wielokrotne eksponowanie BW pod nieobecność BB (mięsa) prowadzi do wygaszania RW. Wygaszone reakcje mogą jednak powracać po upływie pewnego czasu. Poglądy, Ŝe zachowanie moŜna traktować jako serię wyuczonych skojarzeń między bodźcami a reakcjami stały się podstawą nowej szkoły zwanej behawioryzmem. W centrum zainteresowania jest tu rozszerzenie teorii uczenia się na badanie osobowości. Twórca behawioryzmu J.B. Watson twierdził, iŜ „kaŜdy człowiek, czyli kaŜda zdrowa jednostka jest po przyjściu na świat zupełnie jednakowa. Doświadczenie jakie po urodzeniu zdobywa, stanowi to, co jednego czyni drwalem i woziwodą, innego dyplomatą, złodziejem, obrotnym kupcem lub znanym naukowcem”. Od urodzenia człowiek zdobywa, doświadczenie, uczy się wielu reakcji. Utrwala zachowania nagradzane, eliminuje te, które są źródłem kar. Stopniowo powstaje system nawyków. Właśnie złoŜony system nawyków to osobowość. Z kolei E.L. Thorndike sformułował prawo efektu, w myśl którego skojarzenia między bodźcem a reakcją ulegają pozytywnemu wzmocnieniu i utrwalają się, jeśli reakcja wywołuje uczucia przyjemne (stanowi nagrodę). Gdy reakcja wywołuje stan nieprzyjemności (stanowi karę), skojarzenia ulegają wzmocnieniu negatywnemu i słabną. Zgodnie z prawem efektu, zachowania przynoszące korzyść osobnikowi będą się powtarzać w podobnych sytuacjach. B. Skinder twierdził, Ŝe uczenie się jest oparte głównie na tzw. warunkowaniu instrumentalnym, które polega na wyuczeniu poŜądanych reakcji poprzez ich wzmocnienie bodźcem biologicznie nieobojętnym. Lansował kontrowersyjną koncepcję modyfikacji zachowania się młodzieŜy poprzez chirurgiczną ingerencję w funkcjonowanie mózgu.
  • 67.
    „Projekt współfinansowany ześrodków Europejskiego Funduszu Społecznego” 65 E. Tolman prowadził zaś badania zachowań celowych. Stworzył teorię, wg której celowe zachowanie jednostki determinują tzw. zmienne niezaleŜne (np. dziedziczność, stan fizjologiczny, uprzednie ćwiczenia) i zmienne interwencyjne (np. zdolności, cele). Zajmował się równieŜ badaniem zachowania zwierząt i teorią uczenia się [43, s. 173-180]. Tabela 4. Typy uczenia się [33, s. 327] Rodzaj uczenia się Co zostaje wyuczone Warunkowanie klasyczne (I. Pawłow) Związki między zdarzeniami, antycypacja, sygnały, oczekiwania, automatyczne reakcje na nowe bodźce Warunkowanie sprawcze (E. L. Thorndike) Zachowania sprawiające, ze w otoczeniu pojawiają się poŜądane przez organizm zdarzenia Przez obserwację Oczekiwania, wiedza i umiejętności Teorie uczenia się społecznego–pojęcie osobowości jest tutaj traktowane jako te aspekty zachowania, które zostały nabyte w społecznym kontekście. Głównym teoretykiem jest A. Bandura. Wiadomo teŜ jednak, Ŝe uczenie się w znacznym stopniu przebiega w kontekście społecznym, stąd teŜ teoria społecznego uczenia się stworzona przez Alberta Bandurę. Dowodził on, Ŝe jeśli przyjrzymy się postępowaniu innych zapamiętamy, co robili to będziemy mogli powtórzyć to zachowanie na własny uŜytek [2, s. 201], np. społeczne uczenie się ma miejsce wtedy, gdy dzieci obserwują wzory w otaczającym je świecie np. prasie i TV [2, s. 105]. Ten sposób uczenia się moŜna nazwać modelowaniem lub naśladowaniem. Zwolennicy teorii społecznego uczenia się sądzą, Ŝe uczenie się następuje, gdy obserwator świadomie przygląda się jakiemuś zachowaniu (np. zapalaniu zapałki) i następnie umieszcza efekt obserwacji w pamięci długotrwałej i bez względu na to, jak długo wspomnienie jest przechowywane w pamięci, obserwator wie, jak zapalić zapałkę, niezaleŜnie, czy zrobi to, czy nie. To samo da się powiedzieć o wielu prostych czynnościach, jak jedzenie łyŜką i otwieranie butelki. Pojecie modelowania odnosi się do procesu uczenia się zachowań poprzez obserwowanie zachowań innego człowieka – modela, którego istotę stanowi naśladowanie tego, co robią inni ludzie. Modelowanie powoduje przejęcie zachowań stanowiących symboliczne równowaŜniki zachowań modela. O ile więc naśladowanie oznacza wierne skopiowanie zachowań, o tyle modelowanie wyraŜa ten sam nastrój i tę samą jakość zachowania, dostosowane do okoliczności, w których znajduje się obserwator. Są to często zachowania wzbogacone o nowe elementy, jakby twórcza modyfikacja zachowań modela. Obserwowanie modela pobudza obserwatora do szeregu podobnych, aczkolwiek niekoniecznie identycznych zachowań. Właściwości obserwatora sprzyjające modelowaniu mogą być bardzo róŜne jak np. szacunek, podziw, zazdrość, uległość, ufność, sympatia dla modela. A. Bandura wyróŜnił trzy rodzaje skutków (efektów) modelowania: −−−− modelowanie jest skutkiem zaznajomienia się z nieznanym do tej pory wzorem zachowania, np. przez obserwację ludzie uczą się sposobu zaŜywania narkotyków, −−−− wynikiem modelowania moŜe być „rozhamowanie” reakcji, które poprzednio nauczono się hamować, lub teŜ powstrzymanie się od jakiegoś zachowania, −−−− łatwiejsze okazywanie pewnych zachowań (efekt facylitacji), czyli jakby zaraŜanie się zachowaniami innych osób-modeli: obserwator dostosowuje swoje zachowanie do zachowań innych osób. Cechy modela ułatwiające obserwatorowi modelowanie to, wg M. Ossowskiej, cztery grupy najczęściej naśladowanych osób: −−−− starsi bywają naśladowani przez młodszych, −−−− wyŜsi w pozycji socjalnej są naśladowani przez stojących niŜej, −−−− przerastający inteligencją – przez mniej inteligentnych, −−−− sprawniejsi technicznie – przez mniej sprawnych [14].
  • 68.
    „Projekt współfinansowany ześrodków Europejskiego Funduszu Społecznego” 66 Istnieją cztery róŜne koncepcje wyjaśniające mechanizm uczenia się przez naśladownictwo: 1) pierwsza zakłada, Ŝe tendencja do naśladownictwa jest uniwersalną właściwością człowieka, który imituje zarówno obiekty społeczne, jak i niespołeczne. Pierwsze wynika z utoŜsamiania się z elementami przyrody czy dziełami sztuki, drugie zaś ma charakter globalny – podmiot automatycznie i odruchowo naśladuje wszystkie spostrzegane przejawy ekspresji drugiego człowieka, 2) druga wyjaśnia naśladownictwo zasadami warunkowania instrumentalnego. Gotowość do przejmowania zachowań modela, jest tłumaczone wzmocnieniami otrzymywanymi za naśladowanie innych osób jeśli w przeszłości obserwator był wzmacniany za zachowania i słowa przypominające reakcję i słowa osób znaczących, to uczy się zwracać uwagę na zachowania otoczenia i jest motywowany do naśladowania nawet wówczas, gdy nie otrzymuje za to Ŝadnych zewnętrznych nagród [15], 3) w trzeciej koncepcji niektóre zachowania przejęte od modela, są procesem warunkowania klasycznego, gdzie naśladownictwo występuje wskutek samego skojarzenia między obserwowanymi reakcjami modela a odpowiadającymi im reakcjami obserwatora, 4) czwarta koncepcja opiera się na załoŜeniu, Ŝe wskutek obserwacji zachowania innych ludzi dochodzi w umyśle obserwatora do powstania reprezentacji poznawczych tych zachowań, wraz z ich kontekstem sytuacyjnym. Symbolizacja własnego doświadczenia wpływa dodatnio na uczenie się przez obserwację, poznawcza reprezentacja sytuacji modelowania prowadzi do symbolicznego odtwarzania obserwowanego wcześniej zachowania, a to z kolei – do rzeczywistego odtwarzania zachowania modela. Zachowania naśladowcze zaleŜą od konsekwencji z jakimi się spotykają reakcje modela, dla obserwatora stanowią tzw. wzmocnienie zastępcze; jego zachowanie jest modyfikowane przez rezultat wzmacniania zachowań modela. Spełnia ono dwie podstawowe funkcje: a) informacyjną, polegającą na dostarczaniu obserwatorowi informacji o tym, gdzie i w jakich warunkach moŜe spodziewać się nagrody lub kary za dane zachowanie oraz o emocjach doznawanych przez modela, b) motywacyjną, wynikającą z funkcji informacyjnej; albowiem informacje zawarte w obserwowanych wzmocnieniach mają własności, które aktywizują zachowanie obserwatora, wpływając na szybkość, intensywność oraz trwałość reakcji naśladowczych [15]. W. Mischel kładł nacisk na konstruowanie przez jednostkę, środowiska, w którym się ona zachowuje. Przywiązywał duŜą wagę do zrozumienia w jaki sposób zachowanie kształtuje się pod wpływem interakcji czynników osobowościowych i sytuacyjnych. UwaŜał on, Ŝe to jak reagujemy na specyficzne oddziaływanie środowiska zaleŜy od zmiennych określonych w poniŜszej tabeli: Tabela 5. Zmienne osobowościowe W. Mischela w poznawczo-afektywnym modelu osobowości [43, s. 445] Zmienna Definicja Przykład Sposoby kodowania Sposób w jaki kategoryzujemy informacje o sobie samym, innych osobach, zdarzeniach i sytuacjach Gdy tylko Jaś kogoś pozna, próbuje ustalić czy jest on bogaty Oczekiwania i przekonania Przekonania o świecie społecznym i przewidywania prawdopodobnych wyników określonych działań w konkretnych sytuacjach. Przekonania o moŜliwości doprowadzenia do tych wyników Jaś zaprasza Olegów do kina, ale nigdy nie spodziewa się, Ŝe powiedzą „tak” Afekty Uczucia i emocje wraz z reakcjami fizjologicznymi Jas bardzo łatwo się czerwieni Cele i wartości Wyniki i stany afektywne, które cenimy i których nie cenimy, cele i projekty Ŝyciowe Jas chce być przewodniczącym klasy Kompetencje i plany samoregulacji Zachowania, które jesteśmy w stanie wykonać i plany doprowadzenia do poznawczych i behawioralnych wyników Jan zna kilka języków obcych i oczekuje, ze będzie pracował w dyplomacji
  • 69.
    „Projekt współfinansowany ześrodków Europejskiego Funduszu Społecznego” 67 W. Mischel podkreślał, ze nasze opinie o osobowości innych ludzi, nie powstają na podstawie średnich ocen, lecz na podstawie analizowania, w jaki sposób pewne sytuacje wyzwalają róŜne zachowana [39, s. 444 - 445]. Podsumowując według teorii społecznego uczenia się zachowania społeczne wynikają z doświadczeń jednostki dotyczących kar i nagród. Doświadczenia te mogą być bezpośrednie jak np. dziecko zachęcane do uprawiania sportu w dzieciństwie zostaje w Ŝyciu dorosłym mistrzem świata w jakiejś dyscyplinie sportowej. Uczenie się równieŜ moŜe być pośrednie gdy ludzie obserwują i naśladują osoby, które są podziwiane i lubiane. Dlatego teŜ teoria społecznego uczenia się akcentuje czynniki środowiskowe takŜe w powstawaniu zachowań agresywnych. Z badań wynika bowiem, Ŝe dzieci najskuteczniej i najszybciej uczą się zachowań agresywnych poprzez naśladownictwo i modelowanie W tej teorii kładzie się nacisk na niepowtarzalne doświadczenia jednostki w konkretnej rodzinie szkole lub grupie rówieśniczej [21, s. 36]. 4.10.2. Pytania sprawdzające Odpowiadając na pytania, sprawdzisz, czy jesteś przygotowany do wykonania ćwiczeń. 1. Czym jest uczenie się? 2. Jakie znasz typy uczenia się? 3. Co to jest warunkowanie sprawcze? 4. Jakie znasz koncepcje (cztery) wyjaśniające uczenie się przez naśladownictwo? 5. Czym charakteryzuje się teoria społecznego uczenia się A. Bandury? 4.10.3. Ćwiczenia Ćwiczenie 1 Określ, jaki wpływ na dzieci i młodzieŜ ma oglądanie TV i gry internetowe, wypisz w punktach pozytywne i negatywne skutki. Sposób wykonania ćwiczenia Aby wykonać ćwiczenie, powinieneś: 1) określić, jaki wpływ na dzieci i młodzieŜ moŜe mieć oglądanie TV i gry internetowe, 2) na osobnych arkuszach wypisać pozytywne i negatywne skutki oglądania TV oraz korzystania z Internetu, 3) dokonać analizy uzyskanych wyników, 4) zapisać wnioski końcowe, 5) zaprezentować pracę. WyposaŜenie stanowiska pracy: −−−− miesięcznik „Wychowawca” 2006 nr 9, 2003, nr 6 i 3, 2002 nr 7-8, −−−− poradnik dla ucznia, −−−− arkusze papieru A4, −−−− przybory do pisania. Ćwiczenie 2 WskaŜ osoby, jakie obserwujemy, naśladujemy, z jakiego powodu i jakie daje to rezultaty, a następnie zapisz wnioski w tabeli.
  • 70.
    „Projekt współfinansowany ześrodków Europejskiego Funduszu Społecznego” 68 Model Powód Cecha, czynność obserwowana Rezultat, wynik Sposób wykonania ćwiczenia Aby wykonać ćwiczenie, powinieneś: 1) scharakteryzować teorie uczenia się społecznego, 2) określić sposoby nabywania umiejętności społecznych, 3) przygotować tabelę według podanego wzoru, 4) uzupełnić tabelę, 5) dokonać analizy wyników, 6) zaprezentować pracę na forum grupy. WyposaŜenie stanowiska pracy: −−−− poradnik dla ucznia, −−−− arkusz papieru A4, −−−− przybory do pisania, −−−− wzór tabeli do uzupełnienia. Ćwiczenie 3 Scharakteryzuj mechanizm działający w przypadku, gdy ojciec spędza czas z synem na obserwowaniu przyrody, oglądaniu filmów przyrodniczych, przeglądaniu lektury o tej tematyce itp. zajęciach, po czym syn w Ŝyciu dorosłym zostaje ekologiem lub biologiem. Sposób wykonania ćwiczenia Aby wykonać ćwiczenie, powinieneś: 1) scharakteryzować teorie uczenia się społecznego, 2) określić sposoby nabywania umiejętności społecznych, 3) opisać zaobserwowany mechanizm, 4) zapisać wnioski, 5) zaprezentować pracę. WyposaŜenie stanowiska pracy: −−−− arkusz papieru A4, −−−− przybory do pisania, −−−− poradnik dla ucznia. 4.10.4. Sprawdzian postępów Czy potrafisz: Tak Nie 1) wyjaśnić, jaki wpływ na proces uczenia się ma obserwacja? □ □ 2) wyjaśnić kogo najczęściej naśladujemy i dlaczego? □ □ 3) wyjaśnić, dlaczego negatywne zachowania są naśladowane częściej? □ □ 4) wyjaśnić, dlaczego bohaterowie gier komputerowych i TV stali się nowymi „wzorami” dla współczesnej młodzieŜy? □ □
  • 71.
    „Projekt współfinansowany ześrodków Europejskiego Funduszu Społecznego” 69 5. SPRAWDZIAN OSIĄGNIĘĆ INSTRUKCJA DLA UCZNIA 1. Przeczytaj uwaŜnie instrukcję. 2. Podpisz imieniem i nazwiskiem kartę odpowiedzi. 3. Zapoznaj się z zestawem zdań testowych. 4. Test zawiera 20 zadań. Do kaŜdego zadania dołączone są 4 moŜliwości odpowiedzi. Tylko jedna jest prawidłowa. 5. Udzielaj odpowiedzi na załączonej karcie odpowiedzi, stawiając w odpowiedniej rubryce znak X. W przypadku pomyłki naleŜy błędną odpowiedź zaznaczyć kółkiem, a następnie ponownie zakreślić odpowiedź prawidłową. 6. Pracuj samodzielnie bo tylko wtedy będziesz miał satysfakcję z wykonanego zadania. 7. Jeśli udzielenie odpowiedzi będzie Ci sprawiało trudność, wtedy odłóŜ jego rozwiązanie na później i wróć do niego gdy zostanie Ci wolny czas. 8. Na rozwiązanie testu masz 45 min. Powodzenia! ZESTAW ZADAŃ TESTOWYCH 1. Środowisko to a) całokształt warunków materialnych i biologicznych istotnych dla Ŝycia i rozwoju osobników danego gatunku. b) pozaziemskie wpływy na organizmy. c) wpływy kultury materialnej i niematerialnej na człowieka. d) wpływy geograficzne wraz z przyrodą Ŝywą. 2. Dwie główne części układu nerwowego to a) ośrodkowy układ nerwowy i obwodowy układ nerwowy. b) mózgowie i rdzeń kręgowy. c) autonomiczny układ nerwowy i somatyczny układ nerwowy. d) półkule mózgowe. 3. Układ krwionośny człowieka jest a) otwarty. b) zamknięty. c) półotwarty. d) dwukierunkowy. 4. Zadanie, którego nie wykonuje układ oddechowy to a) oczyszczenie, ogrzanie, nawilŜanie wdychanego powietrza. b) wydalanie tlenu do otoczenia. c) wydalenie produktów końcowych z organizmu przez drogi oddechowe. d) wymiana gazowa. 5. Mięśnie stanowią a) 30 % masy ciała. b) 35% masy ciała. c) 40% masy ciała. d) 50% masy ciała.
  • 72.
    „Projekt współfinansowany ześrodków Europejskiego Funduszu Społecznego” 70 6. Okres prenatalny trwa a) od poczęcia do porodu. b) od porodu do 28 dnia Ŝycia. c) miesiąc. d) 1,5 m-ca. 7. Spionizowaną postawę dziecko osiąga w a) okresie noworodkowym. b) niemowlęcym. c) poniemowlęcym. d) wieku przedszkolnym. 8. WraŜenia dzieli się a) ze względu na bodźce. b) w zaleŜności od receptorów. c) ze względu na impuls nerwowy. d) ze względu na działanie fal mózgowych. 9. Motywacja to a) hipotetyczny stan organizmu, pobudzający i ukierunkowujący jego aktywność. b) niezaspokajanie potrzeb. c) dąŜenie do redukcji napięcia. d) wykonywanie czynności, które prowadzą do osiągnięcia celu. 10. Do teorii psychodynamicznych naleŜą a) teoria czynnikowa. b) skoncentrowana na sobie teoria C. Rogersa. c) teoria bodźca, reakcji. d) teoria Z. Freuda. 11. Sferą moralną człowieka w teorii Z. Freuda jest a) id. b) ego. c) superego. d) faza latencji. 12. Element, który nie jest składnikiem osobowości to a) wyobraźnia. b) inteligencja. c) potrzeby. d) obraz siebie i świata. 13. Bodźce oddziaływujące na osobę są przez nią organizowane zaleŜnie od posiadanych specyficznych potrzeb, motywacji, posiadanych sposobów spostrzegania to załoŜenie testu a) MMPI. b) testu Wechslera. c) testu Rorschacha. d) testu Murraya.
  • 73.
    „Projekt współfinansowany ześrodków Europejskiego Funduszu Społecznego” 71 14. Osobowość kształtuje się a) z chwilą narodzin dziecka. b) w wieku szkolnym. c) w okresie dojrzewania płciowego. d) w trakcie Ŝycia człowieka. 15. Na ekonomiczne podstawy Ŝycia społecznego nie składają się a) czynniki demograficzne. b) organizacja pracy. c) narzędzia i maszyny. d) sposoby uŜytkowania zasobów środowiska. 16. Celem działań prospołecznych jest m.in. a) zdobycie dóbr materialnych. b) zdobycie aprobaty i pozycji społecznej. c) zdobycie popularności. d) uzyskanie nagrody. 17. Struktura społeczna grupy to a) układ wzajemnie powiązanych elementów składowych społeczeństwa. b) zespół klik. c) inaczej organizacja społeczna. d) układ powiązanych ze sobą więzi społecznych. 18. Podstawowa, pierwotna grupa społeczna to a) klasa szkolna. b) organizacja religijna. c) przyjaciele. d) rodzina. 19. Podstawowym efektem uczenia się jest a) zapamiętanie. b) zdobycie doświadczenia. c) względnie trwała modyfikacja zachowania. d) rozwój zainteresowań. 20. Proces uczenia się zachowań poprzez obserwowanie zachowań innego człowieka to a) wyuczenie. b) modelowanie. c) konformizm. d) internalizacja.
  • 74.
    „Projekt współfinansowany ześrodków Europejskiego Funduszu Społecznego” 72 KARTA ODPOWIEDZI Imię i nazwisko………………………………………………………… Charakteryzowanie psychofizycznych i społecznych aspektów rozwoju człowieka Zakreśl poprawną odpowiedź Nr pytania Odpowiedź Punkty 1 a b c d 2 a b c d 3 a b c d 4 a b c d 5 a b c d 6 a b c d 7 a b c d 8 a b c d 9 a b c d 10 a b c d 11 a b c d 12 a b c d 13 a b c d 14 a b c d 15 a b c d 16 a b c d 17 a b c d 18 a b c d 19 a b c d 20 a b c d Razem:
  • 75.
    „Projekt współfinansowany ześrodków Europejskiego Funduszu Społecznego” 73 6. LITERATURA 1. Aronson E.: Człowiek istota społeczna. PWN, Warszawa 2005 2. Berryman J.: Psychologia moje hobby. Gdańsk 2005 3. Bochenek A.: Bo nie będziemy wiecznie młodzi. „Wieści Podwarszawskie”, 2003, nr 33 4. Chlebińska J.: Anatomia i fizjologia człowieka. WSiP, Warszawa 1990 5. Chybowska A., Szanejko J.: Przyczyny niedostosowania społecznego młodzieŜy. "Edukacja i Dialog" (126) 2001, nr 3 6. Dziak A., Odyński B.: Medycyna w plecaku. MAW, Warszawa 1989 7. Ekman P., Davidson R.: Natura emocji. Gdańskie Wydawnictwo Psychologiczne, Gdańsk 1998 8. Gasiul H.: Teorie emocji i motywacji. WKSW, Warszawa 2007 9. Giddens A.: Socjologia. PWN, Warszawa 2004 10. Goodman K.: Wstęp do socjologii. Zysk i S-ka, Poznań 2001 11. Hall Alvin S., Gardnem L., Campbell J.B.: Teorie osobowości. PWN, Warszawa 2004 12. Hoser P.: Anatomia i fizjologia człowieka. WSiP, Warszawa 1995 13. Horst A.: Ekologia, człowieka. Wiedza Powszechna, Warszawa 1976 14. http://www.eioba.com/a69784/uczenie_sie_spoleczne_teorie - 44k 15. http://www.eioba.com/a69784/uczenie się społeczne teorie 16. http://free.of.pl/p/punkss/charakterystyka.html 17. http://www.psf.org.pl/publication.php?pid=503 18. http://www.shl.com/SHL/pl/Products/Access_Personality/) 19. http://www.soc-org.edu.pl/PL/emp_Pawlowska/res/proces_motywacji.pdf 20. www.zdrowie.med.pl/psychologia/badania/skala.html 21. Kenrick, S. L., Neuberg, R., Cialdini B.: Psychologia społeczna. Gdańskie Wydawnictwo Psychologiczne, Gdańsk 2002 22. Kunowski S.: Podstawy współczesnej pedagogiki. Wyd. Salezjańskie, Warszawa 1997 23. Laguna M.: Motywacja wewnętrzna i zewnętrzna. "Edukacja i Dialog" nr 1 (74), 1996 24. Matczak A.: Zarys psychologii rozwoju. śak, Warszawa 2003 25. Michalik A., Ramontowski W.: Anatomia i fizjologia człowieka. PZWL, Warszawa 2003 26. Mietzel G.: Wprowadzenie do psychologii. Gdańskie Wydawnictwo Psychologiczne, Gdańsk, 2001 27. Nowak S.: Propedeutyka pediatrii. PZWL, Warszawa 1980 28. Okoń W.: Nowy Słownik Pedagogiczny. „śak”, Warszawa 1996 29. Przetacznik-Gierowska M., Makieło–JarŜa G.: Podstawy psychologii ogólnej. WSiP, Warszawa 1989. 30. Przetacznik M., Makieło–JarŜa G.: Psychologia rozwojowa. WSiP, Warszawa. 1977. 31. Przetacznik-Gierowska M., Makieło–JarŜa G.: Psychologia rozwojowa i wychowawcza wieku dziecięcego. Warszawa 1985 32. Polakowska–Kujawa J. (red.): Socjologia ogólna. Wybrane problemy. SGH, Warszawa 2005 33. Rathus Spencer A.: Psychologia współczesna. Gdańskie Wydawnictwo Psychologiczne, Gdańsk 2004 34. Strelau J. (red.): Psychologia. Podręcznik akademicki T.I., T.II Gdańskie Wydawnictwo Psychologiczne, Gdańsk 2003 35. Szewczuk W. (red.): Słownik psychologiczny. Wiedza Powszechna, Warszawa 1979 36. Sztompka P.: Socjologia, analiza społeczeństwa. Znak, Kraków 2003 37. Tomaszewski T. (red.): Psychologia ogólna. Wyd. PWN, Warszawa 1995 38. Turowski J.: Socjologia: małe struktury społeczne. KULTN, Lublin 2001
  • 76.
    „Projekt współfinansowany ześrodków Europejskiego Funduszu Społecznego” 74 39. Wolański N.: Ekologia człowieka: Podstawy ochrony środowiska i zdrowia człowieka. T.1., T.2. PWN, Warszawa 2006 40. Wódz K.: Praca socjalna w środowisku zamieszkania. Śląsk, Katowice 1998 41. Zimbardo P.G, Gerring R. J.: Psychologia i Ŝycie. PWN, Warszawa 2006 42. śebrowska M. (red.): Psychologia rozwojowa dzieci i młodzieŜy. PWN, Warszawa 1986.