PROTEIN DEGRADATION
Proteinase and Peptidase
Endopeptidase:
‒ catalyzes the cleavage of peptide bonds
within a polypeptide or protein.
‒ pepsin, trypsin, chymotrypsin
Exopeptidase
‒ catalyzes the removal of an amino acid from
the end of a polypeptide chain.
‒ aminopeptidase
‒ carboxypeptidase
Reagent (biological source) Cleavage points
Pepsin (porcine stomach) Leu, Phe, Trp, Tyr (N)
Trypsin (bovine pancreas) Lys, Arg (C)
Chymotrypsin (bovine pancreas) Phe, Trp, Tyr (C)
Pepsin, trypsin and chymotrypsin
have different substrate specificities
A part of the human digestive tract
In stomach:gastrin (hormone)
→ gastric acid + pepsinogen
In small intestine:
 Pancreatic juice:
trypsinogen,
chymotrypsinogen,
procarboxypeptidases A
and B
 Mucous membrane of small
intestine:
aminopeptidase,
dipeptidase
Reagent (biological source) Cleavage points
Pepsin (porcine stomach) Leu, Phe, Trp, Tyr (N)
Trypsin (bovine pancreas) Lys, Arg (C)
Chymotrypsin (bovine pancreas) Phe, Trp, Tyr (C)
Protein digestion is accomplished very efficiently,
because pepsin, trypsin, and chymotrypsin have
different amino acid specificities.
AMINO ACID OXIDATION
Amino acid catabolism
• Carnivores can obtain (immediately following a
meal) up to 90% of their energy requirements from
amino acid oxidation, whereas herbivores may fill
only a small fraction of their energy needs by this
route.
• Most microorganisms can scavenge amino acids
from their environment and use them as fuel.
• Plants, however, rarely oxidize amino acids to
provide energy. Instead, they use amino acids to
produce metabolites for biosynthesis of proteins,
nucleic acids, and other molecules needed to
support growth.
• Leftover amino acids from normal protein
turnover
• Dietary amino acids that exceed body’s protein
synthesis needs
• During starvation or in uncontrolled diabetes
mellitus, when carbohydrates and fats are either
unavailable or not properly utilized, cellular
proteins are used as fuel.
When do amino acids undergo
oxidative degradation?
Overview of amino acid catabolism
Most amino acids are
metabolized in the liver.
Overview of amino acid catabolism
Amino acids lose their
amino groups to form
α-keto acids, the
“carbon skeletons” of
amino acids. The α-
keto acids undergo
oxidation to CO2 and
H2O or, often more
importantly, provide 3-
and 4-carbon units
that can be converted
by gluconeogenesis
into glucose - the fuel
for brain, skeletal
muscle, and other
tissues.
• Some of the
ammonia (NH4
+)
generated in this
process is recycled
and used in many
biosynthetic
pathways
• Excess NH4
+ is
either excreted
directly or
converted to urea or
uric acid for
excretion,
depending on the
organism.
Overview of amino acid catabolism
The liver plays a
major role in
nitrogen
processing in
animals
All other tissues
send amino acids
to the liver in the
form of glutamine
(all tissues),
alanine (muscles)
and all dietary
amino acids
(intestine).
aminotransferase
The liver plays a
major role in
nitrogen
processing in
animals
In the cytosol of
hepatocytes, amino
groups from most amino
acids are transferred to
α-ketoglutarate to form
glutamate, which enters
mitochondria and gives
up its amino group in the
form of NH4
+.
aminotransferase
The liver plays a
major role in
nitrogen
processing in
animals
Excess ammonia
(NH4
+) generated in
most other tissues
is converted to the
amide nitrogen of
glutamine, which
passes to the liver,
then into liver
mitochondria, and
gives up its amino
group in the form of
NH4
+.
• In these transamination
reactions, the α-amino group is
transferred to the α-carbon atom
of α-ketoglutarate, leaving behind
the corresponding α-keto acid
analog of the amino acid ↔
α-ketoglutarate becomes
aminated as the α-amino acid
is deaminated.
• The effect of transamination
reactions is to collect the amino
groups from many different amino
acids in the form of L-glutamate.
The glutamate then functions as
an amino group donor for
biosynthetic pathways.
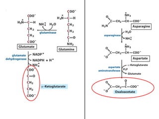
Transamination
GPT: Glutamate - pyruvate transaminase
GOT: Glutamate - oxaloacetate transaminase
α-ketoglutarate
GPT
α-ketoglutarate
GOT
ALT (SGPT) & AST (SGOT) are important in the diagnosis of
liver damage
Two important aminotransferases: ALT (SGPT) & AST (SGOT)
Amino
acid CO2+ amine: decarboxylation
NH3+ α-keto acid: oxidative deamination
α-keto acid: transamination
Decarboxylation
RCHNH2COOH CO2 + RCH2NH2
amine
decarboxylase
PLP
Oxidative deamination
 In hepatocytes, glutamate is transported from the cytosol into
mitochondria, where it undergoes oxidative deamination catalyzed
by L-glutamate dehydrogenase.
 The glutamate dehydrogenase of mammalian liver is the only enzyme
that has the capacity to use either NAD+ or NADP+ as cofactor.
 The mammalian enzyme is allosterically regulated by GTP and ADP.
? ?
Amino
acid CO2+ amine: decarboxylation
NH3+ α-keto acid: oxidative deamination
α-keto acid: transamination
Glutamine
(non-toxic)
1. Biosynthesis of AAs,
nucleotides, and amines
2. Convert to urea for
excretion
Alanine
(non-toxic)
Glucose – Alanine cycle
Ammonia (NH3) is toxic to animals
In most animals, much of the free ammonia is converted to a nontoxic
compound (glutamine, alanine) before export from the extrahepatic tissues
into the blood and transport to the liver or kidneys.
Ammonia could be transported safely from
tissues to liver in the form of glutamine
• Removal of excess ammonia requires reductive amination of α-
ketoglutarate to glutamate by glutamate dehydrogenase and
conversion of glutamate to glutamine by glutamine synthetase.
• Glutamine synthetase is found in all organisms, always playing
a central metabolic role.
COO
(CH2
)2
C
H NH3
COO
+
(CH2
)2
C
H NH3
COO
CONH2
+
glutamine
glutamate
NH3+ATP ADP+Pi
Mg 2+
Glutamine synthase
Alanine Transports
Ammonia from Skeletal
Muscles to the Liver
Alanine transports NH4
+ from
muscle to liver. When alanine
enters the liver cells, it gives up
its amino group and becomes
pyruvate which through
gluconeogenesis can be
converted to glucose and put into
blood for the muscles (and rest of
the body).
Glucose - Alanine cycle vs Cori cycle
https://www.memorangapp.com/flashcards/57286/4BC3+Urea+Cycle
NITROGEN EXCRETION AND
THE UREA CYCLE
Động vật sống trong nước bài tiết trực
tiếp NH4
+ vào môi trường nước nên
chúng được gọi là ammonotelic
Excretory forms of nitrogen
/jʊˌriəˈtɛlɪk/
/ˈjurɪkoʊˈtɛlɪk/
/ˌæmənoʊˈtɛlɪk/
Urea cycle: eliminate ammonia from the body
by converting it to urea
Urea cycle
or ornithine cycle
Amino acids come from
recycling (glutamine), muscle
glycolysis (alanine), and diet.
• The first nitrogen enters
from ammonia.
• The second nitrogen enters
from aspartate.
Begin in the Mitochondrion
?
Citrulline
Ornithine
Arginine
gluconeogenesis ←OAA
Fumarase
Fumarase
Malate DH
Malate DH
OAA
Some Krebs cycle enzymes such as fumarase
and malate dehydrogenase have both
cytosolic and mitochondria isozymes.
Krebs bicycle
Energetic cost of urea synthesis
Overall equation of the urea cycle is:
NH4
+ + HCO3
- + aspartate + 3 ATP
 urea + fumarate + 2ADP + AMP + 2Pi + PPi
Synthesis of one molecule of urea requires four high
energy phosphate groups
 Two ATP molecules to make carbamoyl phosphate
 One ATP to make argininosuccinate—the latter ATP
undergoing a pyrophosphate cleavage to AMP and
PPi, which is hydrolyzed to two Pi.
gluconeogenesis ←OAA
Fumarase
Fumarase
Malate DH
Malate DH
OAA
Krebs bicycle
The urea cycle also causes a conversion
of oxaloacetate to fumarate (via
aspartate), and the regeneration of
oxaloacetate produces NADH. Each
NADH molecule can generate up to 2.5
ATP during mitochondrial respiration,
greatly reducing the overall energetic
cost of urea synthesis.
Benzoate and
Phenylbutyrate
Given to Lower
Blood Ammonium
Treatment for genetic
defects in Urea Cycle
Excreted in Urine
Fate of the carbon skeletons of amino acid
• Used for synthesis of new amino acids
• Completely oxidized via TCA cycle
• Provide 3- and 4-carbon units that can be converted by
gluconeogenesis into glucose
Summary of Amino Acid Catabolism
• Glucogenic amino acids
– A glucogenic amino acid is an amino acid that
can be converted into glucose through
gluconeogenesis
• Ketogenic amino acids
– A ketogenic amino acid is an amino acid that can
be converted into ketone bodies through
ketogenesis
Major substance in kidney stones is the product
of glycine catabolism (calcium oxalate)
Tryptophan is the precursor for the biosynthesis of
nicotinate, indoleacetate và serotonin
Genetic defects in phenylalanine degradation
can result in phenylketonuria (PKU)
Phenylketouria results from
serum phenylalanine
(>20mg/dL) being converted
to phenylpyruvate.
Babies today are
immediately tested for this
just after birth. If they are
PKU babies, they have to be
on diet low in phenylalanine
to for the first 5-10 years of
life so that they do not
become mentally retarded.
Amino acid
CO2+ amine: decarboxylation
NH3+ α-keto acid: deamination
α-keto acid: transamination
Urea cycle
Alanine-glucose cycle
Krebs cycle

Unit 8_AA oxidation and urea cycle_2023.pdf

  • 1.
  • 2.
    Proteinase and Peptidase Endopeptidase: ‒catalyzes the cleavage of peptide bonds within a polypeptide or protein. ‒ pepsin, trypsin, chymotrypsin Exopeptidase ‒ catalyzes the removal of an amino acid from the end of a polypeptide chain. ‒ aminopeptidase ‒ carboxypeptidase
  • 3.
    Reagent (biological source)Cleavage points Pepsin (porcine stomach) Leu, Phe, Trp, Tyr (N) Trypsin (bovine pancreas) Lys, Arg (C) Chymotrypsin (bovine pancreas) Phe, Trp, Tyr (C) Pepsin, trypsin and chymotrypsin have different substrate specificities
  • 4.
    A part ofthe human digestive tract In stomach:gastrin (hormone) → gastric acid + pepsinogen In small intestine:  Pancreatic juice: trypsinogen, chymotrypsinogen, procarboxypeptidases A and B  Mucous membrane of small intestine: aminopeptidase, dipeptidase
  • 5.
    Reagent (biological source)Cleavage points Pepsin (porcine stomach) Leu, Phe, Trp, Tyr (N) Trypsin (bovine pancreas) Lys, Arg (C) Chymotrypsin (bovine pancreas) Phe, Trp, Tyr (C) Protein digestion is accomplished very efficiently, because pepsin, trypsin, and chymotrypsin have different amino acid specificities.
  • 6.
  • 7.
    Amino acid catabolism •Carnivores can obtain (immediately following a meal) up to 90% of their energy requirements from amino acid oxidation, whereas herbivores may fill only a small fraction of their energy needs by this route. • Most microorganisms can scavenge amino acids from their environment and use them as fuel. • Plants, however, rarely oxidize amino acids to provide energy. Instead, they use amino acids to produce metabolites for biosynthesis of proteins, nucleic acids, and other molecules needed to support growth.
  • 8.
    • Leftover aminoacids from normal protein turnover • Dietary amino acids that exceed body’s protein synthesis needs • During starvation or in uncontrolled diabetes mellitus, when carbohydrates and fats are either unavailable or not properly utilized, cellular proteins are used as fuel. When do amino acids undergo oxidative degradation?
  • 9.
    Overview of aminoacid catabolism Most amino acids are metabolized in the liver.
  • 10.
    Overview of aminoacid catabolism Amino acids lose their amino groups to form α-keto acids, the “carbon skeletons” of amino acids. The α- keto acids undergo oxidation to CO2 and H2O or, often more importantly, provide 3- and 4-carbon units that can be converted by gluconeogenesis into glucose - the fuel for brain, skeletal muscle, and other tissues.
  • 11.
    • Some ofthe ammonia (NH4 +) generated in this process is recycled and used in many biosynthetic pathways • Excess NH4 + is either excreted directly or converted to urea or uric acid for excretion, depending on the organism. Overview of amino acid catabolism
  • 12.
    The liver playsa major role in nitrogen processing in animals All other tissues send amino acids to the liver in the form of glutamine (all tissues), alanine (muscles) and all dietary amino acids (intestine).
  • 13.
    aminotransferase The liver playsa major role in nitrogen processing in animals In the cytosol of hepatocytes, amino groups from most amino acids are transferred to α-ketoglutarate to form glutamate, which enters mitochondria and gives up its amino group in the form of NH4 +.
  • 14.
    aminotransferase The liver playsa major role in nitrogen processing in animals Excess ammonia (NH4 +) generated in most other tissues is converted to the amide nitrogen of glutamine, which passes to the liver, then into liver mitochondria, and gives up its amino group in the form of NH4 +.
  • 15.
    • In thesetransamination reactions, the α-amino group is transferred to the α-carbon atom of α-ketoglutarate, leaving behind the corresponding α-keto acid analog of the amino acid ↔ α-ketoglutarate becomes aminated as the α-amino acid is deaminated. • The effect of transamination reactions is to collect the amino groups from many different amino acids in the form of L-glutamate. The glutamate then functions as an amino group donor for biosynthetic pathways. Transamination
  • 16.
    GPT: Glutamate -pyruvate transaminase GOT: Glutamate - oxaloacetate transaminase α-ketoglutarate GPT α-ketoglutarate GOT ALT (SGPT) & AST (SGOT) are important in the diagnosis of liver damage Two important aminotransferases: ALT (SGPT) & AST (SGOT)
  • 17.
    Amino acid CO2+ amine:decarboxylation NH3+ α-keto acid: oxidative deamination α-keto acid: transamination
  • 18.
    Decarboxylation RCHNH2COOH CO2 +RCH2NH2 amine decarboxylase PLP
  • 19.
    Oxidative deamination  Inhepatocytes, glutamate is transported from the cytosol into mitochondria, where it undergoes oxidative deamination catalyzed by L-glutamate dehydrogenase.  The glutamate dehydrogenase of mammalian liver is the only enzyme that has the capacity to use either NAD+ or NADP+ as cofactor.  The mammalian enzyme is allosterically regulated by GTP and ADP.
  • 20.
    ? ? Amino acid CO2+amine: decarboxylation NH3+ α-keto acid: oxidative deamination α-keto acid: transamination
  • 21.
    Glutamine (non-toxic) 1. Biosynthesis ofAAs, nucleotides, and amines 2. Convert to urea for excretion Alanine (non-toxic) Glucose – Alanine cycle Ammonia (NH3) is toxic to animals In most animals, much of the free ammonia is converted to a nontoxic compound (glutamine, alanine) before export from the extrahepatic tissues into the blood and transport to the liver or kidneys.
  • 22.
    Ammonia could betransported safely from tissues to liver in the form of glutamine • Removal of excess ammonia requires reductive amination of α- ketoglutarate to glutamate by glutamate dehydrogenase and conversion of glutamate to glutamine by glutamine synthetase. • Glutamine synthetase is found in all organisms, always playing a central metabolic role. COO (CH2 )2 C H NH3 COO + (CH2 )2 C H NH3 COO CONH2 + glutamine glutamate NH3+ATP ADP+Pi Mg 2+ Glutamine synthase
  • 23.
    Alanine Transports Ammonia fromSkeletal Muscles to the Liver Alanine transports NH4 + from muscle to liver. When alanine enters the liver cells, it gives up its amino group and becomes pyruvate which through gluconeogenesis can be converted to glucose and put into blood for the muscles (and rest of the body).
  • 24.
    Glucose - Alaninecycle vs Cori cycle https://www.memorangapp.com/flashcards/57286/4BC3+Urea+Cycle
  • 25.
  • 26.
    Động vật sốngtrong nước bài tiết trực tiếp NH4 + vào môi trường nước nên chúng được gọi là ammonotelic Excretory forms of nitrogen /jʊˌriəˈtɛlɪk/ /ˈjurɪkoʊˈtɛlɪk/ /ˌæmənoʊˈtɛlɪk/
  • 28.
    Urea cycle: eliminateammonia from the body by converting it to urea
  • 29.
    Urea cycle or ornithinecycle Amino acids come from recycling (glutamine), muscle glycolysis (alanine), and diet. • The first nitrogen enters from ammonia. • The second nitrogen enters from aspartate.
  • 30.
    Begin in theMitochondrion ?
  • 31.
  • 32.
    gluconeogenesis ←OAA Fumarase Fumarase Malate DH MalateDH OAA Some Krebs cycle enzymes such as fumarase and malate dehydrogenase have both cytosolic and mitochondria isozymes. Krebs bicycle
  • 33.
    Energetic cost ofurea synthesis Overall equation of the urea cycle is: NH4 + + HCO3 - + aspartate + 3 ATP  urea + fumarate + 2ADP + AMP + 2Pi + PPi Synthesis of one molecule of urea requires four high energy phosphate groups  Two ATP molecules to make carbamoyl phosphate  One ATP to make argininosuccinate—the latter ATP undergoing a pyrophosphate cleavage to AMP and PPi, which is hydrolyzed to two Pi.
  • 34.
    gluconeogenesis ←OAA Fumarase Fumarase Malate DH MalateDH OAA Krebs bicycle The urea cycle also causes a conversion of oxaloacetate to fumarate (via aspartate), and the regeneration of oxaloacetate produces NADH. Each NADH molecule can generate up to 2.5 ATP during mitochondrial respiration, greatly reducing the overall energetic cost of urea synthesis.
  • 35.
    Benzoate and Phenylbutyrate Given toLower Blood Ammonium Treatment for genetic defects in Urea Cycle Excreted in Urine
  • 36.
    Fate of thecarbon skeletons of amino acid • Used for synthesis of new amino acids • Completely oxidized via TCA cycle • Provide 3- and 4-carbon units that can be converted by gluconeogenesis into glucose
  • 37.
    Summary of AminoAcid Catabolism
  • 38.
    • Glucogenic aminoacids – A glucogenic amino acid is an amino acid that can be converted into glucose through gluconeogenesis • Ketogenic amino acids – A ketogenic amino acid is an amino acid that can be converted into ketone bodies through ketogenesis
  • 39.
    Major substance inkidney stones is the product of glycine catabolism (calcium oxalate)
  • 41.
    Tryptophan is theprecursor for the biosynthesis of nicotinate, indoleacetate và serotonin
  • 42.
    Genetic defects inphenylalanine degradation can result in phenylketonuria (PKU) Phenylketouria results from serum phenylalanine (>20mg/dL) being converted to phenylpyruvate. Babies today are immediately tested for this just after birth. If they are PKU babies, they have to be on diet low in phenylalanine to for the first 5-10 years of life so that they do not become mentally retarded.
  • 44.
    Amino acid CO2+ amine:decarboxylation NH3+ α-keto acid: deamination α-keto acid: transamination Urea cycle Alanine-glucose cycle Krebs cycle