Embed presentation
Downloaded 10 times









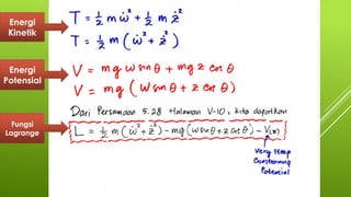
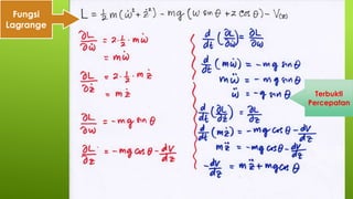
Dokumen ini berisi informasi tentang seorang mahasiswa pascasarjana bernama Abdul Jamil yang sedang mengerjakan soal nomor 7 tentang gaya normal, percepatan, energi kinetik, energi potensial, dan fungsi Lagrange di Universitas Negeri Semarang.







