POLITEKNIK MANUFAKTUR NEGERI BANGKA BELITUNG
Tugas 2 MTK2 Page 1
TUGAS 2
MATEMATIKA 2
D
I
S
U
S
U
N
Oleh :
Nama : Aulia Ramadhani
NPM : 003 14 03
Prodi : TeknikElektronika
Kelas : 1E A
Semester : 2 (Dua)
POLITEKNIK MANUFAKTUR NEGERI BANGKA BELITUNG
KawasanIndustri Air KantungSungailiat, Bangka 33211
Telp. (0717) 93586, Fax. (0717) 93585
Email :polman@polman-babel.ac.id
Website :www.polman-babel.ac.id
TAHUN AJARAN 2014/2015
POLITEKNIK MANUFAKTUR NEGERI BANGKA BELITUNG
Tugas 2 MTK2 Page 2
Tentukanlahnilai
𝑑𝑦
𝑑𝑥
darifungsiberikutini !
1. 𝑦 = √ 𝑥5 + 6𝑥2 + 3
2. 𝑦 = √ 𝑥4 + 6𝑥 + 1
3
3. 𝑦 = √ 𝑥2 − 5𝑥
5
4. 𝑦 =
1
√𝑥4+2𝑥
5. 𝑦 =
1
√𝑥2−6𝑥
3
6. 𝑦 =
1
√𝑥2−5𝑥+2
5
7. 𝑦 = sin √ 𝑥2 + 6𝑥
8. 𝑦 = cos √ 𝑥3 + 2
3
9. 𝑦 = sin
1
√𝑥2+2
10. 𝑦 = cos
1
√𝑥2+6
3
Jawaban :
1. 𝑦 = √ 𝑥5 + 6𝑥2 + 3
Misalu= 𝑥5
+ 6𝑥2
+ 3 , maka
𝑑𝑢
𝑑𝑥
= 5𝑥4
+ 12𝑥
𝑦 = √ 𝑢 = 𝑢
1
2 , maka
𝑑𝑦
𝑑𝑢
=
1
2
𝑢−
1
2 =
1
2
(𝑥5
+ 6𝑥2
+ 3)−
1
2
Maka
𝑑𝑦
𝑑𝑥
=
𝑑𝑦
𝑑𝑢
.
𝑑𝑢
𝑑𝑥
=
1
2
(𝑥5
+ 6𝑥2
+ 3)−
1
2 . (5𝑥4
+ 12𝑥)
𝑑𝑦
𝑑𝑥
=
1
2
(5𝑥4
+ 12𝑥)
(𝑥5 + 6𝑥2 + 3)
1
2
=
1
2
(5𝑥4
+ 12𝑥)
√ 𝑥5 + 6𝑥2 + 3
2. 𝑦 = √ 𝑥4 + 6𝑥 + 1
3
Misalu= 𝑥4
+ 6𝑥 + 1 , maka
𝑑𝑢
𝑑𝑥
= 4𝑥3
+ 6
𝑦 = √ 𝑢3
= 𝑢
1
3 , maka
𝑑𝑦
𝑑𝑢
=
1
3
𝑢−
2
3 =
1
3
(𝑥4
+ 6𝑥 + 1)−
2
3
Maka
𝑑𝑦
𝑑𝑥
=
𝑑𝑦
𝑑𝑢
.
𝑑𝑢
𝑑𝑥
=
1
3
(𝑥4
+ 6𝑥 + 1)−
2
3 . (4𝑥3
+ 6)
𝑑𝑦
𝑑𝑥
=
1
3
(4𝑥3
+ 6)
(𝑥4 + 6𝑥 + 1)
2
3
=
1
3
(4𝑥3
+ 6)
√(𝑥4 + 6𝑥 + 1)23
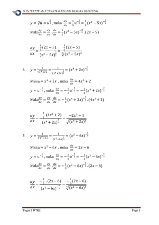
3. 𝑦 = √ 𝑥2 − 5𝑥
5
Misalu= 𝑥2
− 5𝑥 , maka
𝑑𝑢
𝑑𝑥
= 2𝑥 − 5
POLITEKNIK MANUFAKTUR NEGERI BANGKA BELITUNG
Tugas 2 MTK2 Page 3
𝑦 = √ 𝑢5
= 𝑢
1
5 , maka
𝑑𝑦
𝑑𝑢
=
1
5
𝑢−
4
5 =
1
5
(𝑥2
− 5𝑥)−
4
5
Maka
𝑑𝑦
𝑑𝑥
=
𝑑𝑦
𝑑𝑢
.
𝑑𝑢
𝑑𝑥
=
1
5
(𝑥2
− 5𝑥)−
4
5 .(2𝑥 − 5)
𝑑𝑦
𝑑𝑥
=
1
5
(2𝑥 − 5)
(𝑥2 − 5𝑥)
4
5
=
1
5
(2𝑥 − 5)
√(𝑥2 − 5𝑥)45
4. 𝑦 =
1
√𝑥4+2𝑥
=
1
(𝑥4+2𝑥)
1
2
= (𝑥4
+ 2𝑥)−
1
2
Misalu= 𝑥4
+ 2𝑥 , maka
𝑑𝑢
𝑑𝑥
= 4𝑥3
+ 2
𝑦 = 𝑢−
1
2 , maka
𝑑𝑦
𝑑𝑢
= −
1
2
𝑢−
3
2 = −
1
2
(𝑥4
+ 2𝑥)−
3
2
Maka
𝑑𝑦
𝑑𝑥
=
𝑑𝑦
𝑑𝑢
.
𝑑𝑢
𝑑𝑥
= −
1
2
(𝑥4
+ 2𝑥)−
3
2 .(4𝑥3
+ 2)
𝑑𝑦
𝑑𝑥
=
−
1
2
(4𝑥3
+ 2)
(𝑥4 + 2𝑥)
3
2
=
−2𝑥3
− 1
√(𝑥4 + 2𝑥)3
5. 𝑦 =
1
√𝑥2−6𝑥
3 =
1
(𝑥2−6𝑥)
1
3
= (𝑥2
− 6𝑥)−
1
3
Misalu= 𝑥2
− 6𝑥 , maka
𝑑𝑢
𝑑𝑥
= 2𝑥 − 6
𝑦 = 𝑢−
1
3 , maka
𝑑𝑦
𝑑𝑢
= −
1
3
𝑢−
4
3 = −
1
3
(𝑥2
− 6𝑥)−
4
3
Maka
𝑑𝑦
𝑑𝑥
=
𝑑𝑦
𝑑𝑢
.
𝑑𝑢
𝑑𝑥
= −
1
3
(𝑥2
− 6𝑥)−
4
3 .(2𝑥 − 6)
𝑑𝑦
𝑑𝑥
=
−
1
3
. (2𝑥 − 6)
(𝑥2 − 6𝑥)−
4
3
=
−
1
3
(2𝑥 − 6)
√(𝑥2 − 6𝑥)43
POLITEKNIK MANUFAKTUR NEGERI BANGKA BELITUNG
Tugas 2 MTK2 Page 4
6. 𝑦 =
1
√𝑥2−5𝑥+2
5 =
1
(𝑥2−5𝑥+2)
1
5
= (𝑥2
− 5𝑥 + 2)−
1
5
Misalu= 𝑥2
− 5𝑥 + 2 , maka
𝑑𝑢
𝑑𝑥
= 2𝑥 − 5
𝑦 = 𝑢−
1
5 , maka
𝑑𝑦
𝑑𝑢
= −
1
5
𝑢−
6
5 = −
1
5
(𝑥2
− 5𝑥 + 2)−
6
5
Maka
𝑑𝑦
𝑑𝑥
=
𝑑𝑦
𝑑𝑢
.
𝑑𝑢
𝑑𝑥
= −
1
5
(𝑥2
− 5𝑥 + 2)−
6
5 . (2𝑥 − 5)
𝑑𝑦
𝑑𝑥
=
−
1
5
. (2𝑥 − 5)
(𝑥2 − 5𝑥 + 2)
6
5
=
−
1
5
(2𝑥 − 5)
√(𝑥2 − 5𝑥 + 2)65
7. 𝑦 = sin √ 𝑥2 + 6𝑥
Misalu= 𝑥2
+ 6𝑥 , maka
𝑑𝑢
𝑑𝑥
= 2𝑥 + 6
𝑣 = √ 𝑢 = 𝑢
1
2, maka
𝑑𝑣
𝑑𝑢
=
1
2
𝑢−
1
2 =
1
2
(𝑥2
+ 6𝑥)−
1
2
𝑦 = sin 𝑣 , maka
𝑑𝑦
𝑑𝑣
= cos 𝑣 = cos √ 𝑢 = cos √ 𝑥2 + 6𝑥
Maka
𝑑𝑦
𝑑𝑥
=
𝑑𝑦
𝑑𝑣
.
𝑑𝑣
𝑑𝑢
.
𝑑𝑢
𝑑𝑥
= cos √ 𝑥2 + 6𝑥 .
1
2
(𝑥2
+ 6𝑥)−
1
2 . (2𝑥 + 6)
𝑑𝑦
𝑑𝑥
=
1
2
. (2𝑥 + 6) . cos √ 𝑥2 + 6𝑥
(𝑥2 + 6𝑥)
1
2
=
( 𝑥 + 3) . cos √ 𝑥2 + 6𝑥
√ 𝑥2 + 6𝑥
8. 𝑦 = cos √ 𝑥3 + 2
3
Misalu= 𝑥3
+ 2 , maka
𝑑𝑢
𝑑𝑥
= 3𝑥2
𝑣 = √ 𝑢3
= 𝑢
1
3 , maka
𝑑𝑣
𝑑𝑢
=
1
3
𝑢−
2
3 =
1
3
(𝑥3
+ 2)−
2
3
𝑦 = cos 𝑣 , maka
𝑑𝑦
𝑑𝑣
= −sin 𝑣 = −sin √ 𝑢3
= −sin √ 𝑥3 + 2
3
Maka
𝑑𝑦
𝑑𝑥
=
𝑑𝑦
𝑑𝑣
.
𝑑𝑣
𝑑𝑢
.
𝑑𝑢
𝑑𝑥
= −sin √ 𝑥3 + 2
3
.
1
3
(𝑥3
+ 2)−
2
3 .3𝑥2
POLITEKNIK MANUFAKTUR NEGERI BANGKA BELITUNG
Tugas 2 MTK2 Page 5
𝑑𝑦
𝑑𝑥
=
1
3
.3𝑥2
. −sin √ 𝑥3 + 2
3
(𝑥3 + 2)
2
3
=
𝑥2
. −sin √ 𝑥3 + 2
3
√(𝑥3 + 2)23
9. 𝑦 = sin
1
√𝑥2+2
= sin
1
(𝑥2+2)
1
2
= sin(𝑥2
+ 2)−
1
2
Misalu= 𝑥2
+ 2 , maka
𝑑𝑢
𝑑𝑥
= 2𝑥
𝑣 = 𝑢−
1
2 , maka
𝑑𝑣
𝑑𝑢
= −
1
2
𝑢−
3
2 = −
1
2
(𝑥2
+ 2)−
3
2
𝑦 = sin 𝑣 , maka
𝑑𝑦
𝑑𝑣
= cos 𝑣 = cos 𝑢−
1
2 = cos(𝑥2
+ 2)−
1
2
Maka
𝑑𝑦
𝑑𝑥
=
𝑑𝑦
𝑑𝑣
.
𝑑𝑣
𝑑𝑢
.
𝑑𝑢
𝑑𝑥
= cos(𝑥2
+ 2)−
1
2 . −
1
2
(𝑥2
+ 2)−
3
2 .2𝑥
𝑑𝑦
𝑑𝑥
=
−
1
2
. 2𝑥 . cos(𝑥2
+ 2)−
1
2
(𝑥2 + 2)
3
2
=
−𝑥 . cos(𝑥2
+ 2)−
1
2
√(𝑥2 + 2)3
10. 𝑦 = cos
1
√𝑥2+6
3 = cos
1
(𝑥2+6)
1
3
= cos(𝑥2
+ 6)−
1
3
Misalu= 𝑥2
+ 6 , maka
𝑑𝑢
𝑑𝑥
= 2𝑥
𝑣 = 𝑢−
1
3 , maka
𝑑𝑣
𝑑𝑢
= −
1
3
𝑢−
4
3 = −
1
3
(𝑥2
+ 6)−
4
3
𝑦 = cos 𝑣 , maka
𝑑𝑦
𝑑𝑣
= −sin 𝑣 = −sin 𝑢−
1
3 = −sin(𝑥2
+ 6)−
1
3
Maka
𝑑𝑦
𝑑𝑥
=
𝑑𝑦
𝑑𝑣
.
𝑑𝑣
𝑑𝑢
.
𝑑𝑢
𝑑𝑥
= −sin(𝑥2
+ 6)−
1
3 . −
1
3
(𝑥2
+ 6)−
4
3 .2𝑥
𝑑𝑦
𝑑𝑥
=
−
1
3
. 2𝑥 . −sin(𝑥2
+ 6)−
1
3
(𝑥2 + 6)
4
3
=
1
3
. 2𝑥 . sin(𝑥2
+ 6)−
1
3
√(𝑥2 + 6)43

Tugas 2(1)

  • 1.
    POLITEKNIK MANUFAKTUR NEGERIBANGKA BELITUNG Tugas 2 MTK2 Page 1 TUGAS 2 MATEMATIKA 2 D I S U S U N Oleh : Nama : Aulia Ramadhani NPM : 003 14 03 Prodi : TeknikElektronika Kelas : 1E A Semester : 2 (Dua) POLITEKNIK MANUFAKTUR NEGERI BANGKA BELITUNG KawasanIndustri Air KantungSungailiat, Bangka 33211 Telp. (0717) 93586, Fax. (0717) 93585 Email :polman@polman-babel.ac.id Website :www.polman-babel.ac.id TAHUN AJARAN 2014/2015
  • 2.
    POLITEKNIK MANUFAKTUR NEGERIBANGKA BELITUNG Tugas 2 MTK2 Page 2 Tentukanlahnilai 𝑑𝑦 𝑑𝑥 darifungsiberikutini ! 1. 𝑦 = √ 𝑥5 + 6𝑥2 + 3 2. 𝑦 = √ 𝑥4 + 6𝑥 + 1 3 3. 𝑦 = √ 𝑥2 − 5𝑥 5 4. 𝑦 = 1 √𝑥4+2𝑥 5. 𝑦 = 1 √𝑥2−6𝑥 3 6. 𝑦 = 1 √𝑥2−5𝑥+2 5 7. 𝑦 = sin √ 𝑥2 + 6𝑥 8. 𝑦 = cos √ 𝑥3 + 2 3 9. 𝑦 = sin 1 √𝑥2+2 10. 𝑦 = cos 1 √𝑥2+6 3 Jawaban : 1. 𝑦 = √ 𝑥5 + 6𝑥2 + 3 Misalu= 𝑥5 + 6𝑥2 + 3 , maka 𝑑𝑢 𝑑𝑥 = 5𝑥4 + 12𝑥 𝑦 = √ 𝑢 = 𝑢 1 2 , maka 𝑑𝑦 𝑑𝑢 = 1 2 𝑢− 1 2 = 1 2 (𝑥5 + 6𝑥2 + 3)− 1 2 Maka 𝑑𝑦 𝑑𝑥 = 𝑑𝑦 𝑑𝑢 . 𝑑𝑢 𝑑𝑥 = 1 2 (𝑥5 + 6𝑥2 + 3)− 1 2 . (5𝑥4 + 12𝑥) 𝑑𝑦 𝑑𝑥 = 1 2 (5𝑥4 + 12𝑥) (𝑥5 + 6𝑥2 + 3) 1 2 = 1 2 (5𝑥4 + 12𝑥) √ 𝑥5 + 6𝑥2 + 3 2. 𝑦 = √ 𝑥4 + 6𝑥 + 1 3 Misalu= 𝑥4 + 6𝑥 + 1 , maka 𝑑𝑢 𝑑𝑥 = 4𝑥3 + 6 𝑦 = √ 𝑢3 = 𝑢 1 3 , maka 𝑑𝑦 𝑑𝑢 = 1 3 𝑢− 2 3 = 1 3 (𝑥4 + 6𝑥 + 1)− 2 3 Maka 𝑑𝑦 𝑑𝑥 = 𝑑𝑦 𝑑𝑢 . 𝑑𝑢 𝑑𝑥 = 1 3 (𝑥4 + 6𝑥 + 1)− 2 3 . (4𝑥3 + 6) 𝑑𝑦 𝑑𝑥 = 1 3 (4𝑥3 + 6) (𝑥4 + 6𝑥 + 1) 2 3 = 1 3 (4𝑥3 + 6) √(𝑥4 + 6𝑥 + 1)23 3. 𝑦 = √ 𝑥2 − 5𝑥 5 Misalu= 𝑥2 − 5𝑥 , maka 𝑑𝑢 𝑑𝑥 = 2𝑥 − 5
  • 3.
    POLITEKNIK MANUFAKTUR NEGERIBANGKA BELITUNG Tugas 2 MTK2 Page 3 𝑦 = √ 𝑢5 = 𝑢 1 5 , maka 𝑑𝑦 𝑑𝑢 = 1 5 𝑢− 4 5 = 1 5 (𝑥2 − 5𝑥)− 4 5 Maka 𝑑𝑦 𝑑𝑥 = 𝑑𝑦 𝑑𝑢 . 𝑑𝑢 𝑑𝑥 = 1 5 (𝑥2 − 5𝑥)− 4 5 .(2𝑥 − 5) 𝑑𝑦 𝑑𝑥 = 1 5 (2𝑥 − 5) (𝑥2 − 5𝑥) 4 5 = 1 5 (2𝑥 − 5) √(𝑥2 − 5𝑥)45 4. 𝑦 = 1 √𝑥4+2𝑥 = 1 (𝑥4+2𝑥) 1 2 = (𝑥4 + 2𝑥)− 1 2 Misalu= 𝑥4 + 2𝑥 , maka 𝑑𝑢 𝑑𝑥 = 4𝑥3 + 2 𝑦 = 𝑢− 1 2 , maka 𝑑𝑦 𝑑𝑢 = − 1 2 𝑢− 3 2 = − 1 2 (𝑥4 + 2𝑥)− 3 2 Maka 𝑑𝑦 𝑑𝑥 = 𝑑𝑦 𝑑𝑢 . 𝑑𝑢 𝑑𝑥 = − 1 2 (𝑥4 + 2𝑥)− 3 2 .(4𝑥3 + 2) 𝑑𝑦 𝑑𝑥 = − 1 2 (4𝑥3 + 2) (𝑥4 + 2𝑥) 3 2 = −2𝑥3 − 1 √(𝑥4 + 2𝑥)3 5. 𝑦 = 1 √𝑥2−6𝑥 3 = 1 (𝑥2−6𝑥) 1 3 = (𝑥2 − 6𝑥)− 1 3 Misalu= 𝑥2 − 6𝑥 , maka 𝑑𝑢 𝑑𝑥 = 2𝑥 − 6 𝑦 = 𝑢− 1 3 , maka 𝑑𝑦 𝑑𝑢 = − 1 3 𝑢− 4 3 = − 1 3 (𝑥2 − 6𝑥)− 4 3 Maka 𝑑𝑦 𝑑𝑥 = 𝑑𝑦 𝑑𝑢 . 𝑑𝑢 𝑑𝑥 = − 1 3 (𝑥2 − 6𝑥)− 4 3 .(2𝑥 − 6) 𝑑𝑦 𝑑𝑥 = − 1 3 . (2𝑥 − 6) (𝑥2 − 6𝑥)− 4 3 = − 1 3 (2𝑥 − 6) √(𝑥2 − 6𝑥)43
  • 4.
    POLITEKNIK MANUFAKTUR NEGERIBANGKA BELITUNG Tugas 2 MTK2 Page 4 6. 𝑦 = 1 √𝑥2−5𝑥+2 5 = 1 (𝑥2−5𝑥+2) 1 5 = (𝑥2 − 5𝑥 + 2)− 1 5 Misalu= 𝑥2 − 5𝑥 + 2 , maka 𝑑𝑢 𝑑𝑥 = 2𝑥 − 5 𝑦 = 𝑢− 1 5 , maka 𝑑𝑦 𝑑𝑢 = − 1 5 𝑢− 6 5 = − 1 5 (𝑥2 − 5𝑥 + 2)− 6 5 Maka 𝑑𝑦 𝑑𝑥 = 𝑑𝑦 𝑑𝑢 . 𝑑𝑢 𝑑𝑥 = − 1 5 (𝑥2 − 5𝑥 + 2)− 6 5 . (2𝑥 − 5) 𝑑𝑦 𝑑𝑥 = − 1 5 . (2𝑥 − 5) (𝑥2 − 5𝑥 + 2) 6 5 = − 1 5 (2𝑥 − 5) √(𝑥2 − 5𝑥 + 2)65 7. 𝑦 = sin √ 𝑥2 + 6𝑥 Misalu= 𝑥2 + 6𝑥 , maka 𝑑𝑢 𝑑𝑥 = 2𝑥 + 6 𝑣 = √ 𝑢 = 𝑢 1 2, maka 𝑑𝑣 𝑑𝑢 = 1 2 𝑢− 1 2 = 1 2 (𝑥2 + 6𝑥)− 1 2 𝑦 = sin 𝑣 , maka 𝑑𝑦 𝑑𝑣 = cos 𝑣 = cos √ 𝑢 = cos √ 𝑥2 + 6𝑥 Maka 𝑑𝑦 𝑑𝑥 = 𝑑𝑦 𝑑𝑣 . 𝑑𝑣 𝑑𝑢 . 𝑑𝑢 𝑑𝑥 = cos √ 𝑥2 + 6𝑥 . 1 2 (𝑥2 + 6𝑥)− 1 2 . (2𝑥 + 6) 𝑑𝑦 𝑑𝑥 = 1 2 . (2𝑥 + 6) . cos √ 𝑥2 + 6𝑥 (𝑥2 + 6𝑥) 1 2 = ( 𝑥 + 3) . cos √ 𝑥2 + 6𝑥 √ 𝑥2 + 6𝑥 8. 𝑦 = cos √ 𝑥3 + 2 3 Misalu= 𝑥3 + 2 , maka 𝑑𝑢 𝑑𝑥 = 3𝑥2 𝑣 = √ 𝑢3 = 𝑢 1 3 , maka 𝑑𝑣 𝑑𝑢 = 1 3 𝑢− 2 3 = 1 3 (𝑥3 + 2)− 2 3 𝑦 = cos 𝑣 , maka 𝑑𝑦 𝑑𝑣 = −sin 𝑣 = −sin √ 𝑢3 = −sin √ 𝑥3 + 2 3 Maka 𝑑𝑦 𝑑𝑥 = 𝑑𝑦 𝑑𝑣 . 𝑑𝑣 𝑑𝑢 . 𝑑𝑢 𝑑𝑥 = −sin √ 𝑥3 + 2 3 . 1 3 (𝑥3 + 2)− 2 3 .3𝑥2
  • 5.
    POLITEKNIK MANUFAKTUR NEGERIBANGKA BELITUNG Tugas 2 MTK2 Page 5 𝑑𝑦 𝑑𝑥 = 1 3 .3𝑥2 . −sin √ 𝑥3 + 2 3 (𝑥3 + 2) 2 3 = 𝑥2 . −sin √ 𝑥3 + 2 3 √(𝑥3 + 2)23 9. 𝑦 = sin 1 √𝑥2+2 = sin 1 (𝑥2+2) 1 2 = sin(𝑥2 + 2)− 1 2 Misalu= 𝑥2 + 2 , maka 𝑑𝑢 𝑑𝑥 = 2𝑥 𝑣 = 𝑢− 1 2 , maka 𝑑𝑣 𝑑𝑢 = − 1 2 𝑢− 3 2 = − 1 2 (𝑥2 + 2)− 3 2 𝑦 = sin 𝑣 , maka 𝑑𝑦 𝑑𝑣 = cos 𝑣 = cos 𝑢− 1 2 = cos(𝑥2 + 2)− 1 2 Maka 𝑑𝑦 𝑑𝑥 = 𝑑𝑦 𝑑𝑣 . 𝑑𝑣 𝑑𝑢 . 𝑑𝑢 𝑑𝑥 = cos(𝑥2 + 2)− 1 2 . − 1 2 (𝑥2 + 2)− 3 2 .2𝑥 𝑑𝑦 𝑑𝑥 = − 1 2 . 2𝑥 . cos(𝑥2 + 2)− 1 2 (𝑥2 + 2) 3 2 = −𝑥 . cos(𝑥2 + 2)− 1 2 √(𝑥2 + 2)3 10. 𝑦 = cos 1 √𝑥2+6 3 = cos 1 (𝑥2+6) 1 3 = cos(𝑥2 + 6)− 1 3 Misalu= 𝑥2 + 6 , maka 𝑑𝑢 𝑑𝑥 = 2𝑥 𝑣 = 𝑢− 1 3 , maka 𝑑𝑣 𝑑𝑢 = − 1 3 𝑢− 4 3 = − 1 3 (𝑥2 + 6)− 4 3 𝑦 = cos 𝑣 , maka 𝑑𝑦 𝑑𝑣 = −sin 𝑣 = −sin 𝑢− 1 3 = −sin(𝑥2 + 6)− 1 3 Maka 𝑑𝑦 𝑑𝑥 = 𝑑𝑦 𝑑𝑣 . 𝑑𝑣 𝑑𝑢 . 𝑑𝑢 𝑑𝑥 = −sin(𝑥2 + 6)− 1 3 . − 1 3 (𝑥2 + 6)− 4 3 .2𝑥 𝑑𝑦 𝑑𝑥 = − 1 3 . 2𝑥 . −sin(𝑥2 + 6)− 1 3 (𝑥2 + 6) 4 3 = 1 3 . 2𝑥 . sin(𝑥2 + 6)− 1 3 √(𝑥2 + 6)43