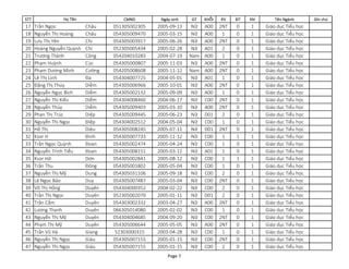
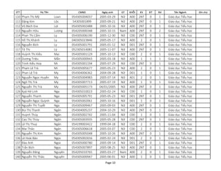
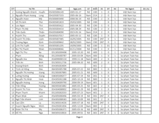
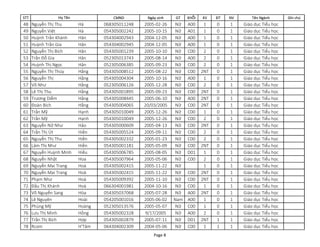
STT CMND Ngày sinh GT KHỐI KV ĐT NV Tên Ngành Ghi chú
1 Lê Nam Bình 054205001815 2005-12-29 Nam A01 2 0 1 Ngôn ngữ Anh
2 Lê Thị Minh Châu 054305006561 2005-09-02 Nữ D01 2 0 1 Ngôn ngữ Anh
3 Ksơr Hờ Duyên 054304002754 07/08/2004 D14 1 Ngôn ngữ Anh
4 Đỗ Quỳnh Giang 054305004749 2005-06-09 Nữ D14 2 0 1 Ngôn ngữ Anh
5 Nguyễn Thị Mỹ Hằng 054305007457 2005-01-06 Nữ D14 2 0 1 Ngôn ngữ Anh
6 Phan Thuý Hằng 054305006936 2005-06-02 Nữ D14 2 0 1 Ngôn ngữ Anh
7 Nguyễn Ngọc Huấn 042205012218 2005-05-07 Nam A01 2NT 0 1 Ngôn ngữ Anh
8 Dương Thị Thúy Kiều 054305000480 2005-05-09 Nữ D10 1 0 1 Ngôn ngữ Anh
10 Võ Thị Mỹ Linh 054305000847 2005-07-10 Nữ D01 1 0 1 Ngôn ngữ Anh
11 Nguyễn Hoàng Nhã Linh 054305000489 2005-07-16 Nữ D14 2NT 0 1 Ngôn ngữ Anh
12 Lê Nguyễn Ngọc Linh 054305007767 16/05/2005 D01 1 Ngôn ngữ Anh
13 Nguyễn Hải Minh 054205001111 2005-09-17 Nam A01 1 0 2 Ngôn ngữ Anh
14 Phan Trần Bảo Ngân 054305009759 2005-10-01 Nữ A01 2 0 1 Ngôn ngữ Anh
15 Hà Bích Ngọc 054305001811 2005-11-16 Nữ A01 2NT 0 1 Ngôn ngữ Anh
16 Lê Thảo Bích Nguyên 054305000615 2005-09-13 Nữ D01 2NT 0 1 Ngôn ngữ Anh
17 Bùi Thanh Nhã 054305000473 2005-01-04 Nữ D10 2NT 0 1 Ngôn ngữ Anh
18 Nguyễn Phạm Yến Nhi 054305002693 2005-06-02 Nữ D01 2 0 1 Ngôn ngữ Anh
19 Đoàn Thị Thảo Nhi 054305000573 2005-10-25 Nữ D01 2NT 0 1 Ngôn ngữ Anh
20 Võ Ngô Như Quỳnh 054305008908 2005-08-27 Nữ D01 2 0 1 Ngôn ngữ Anh
21 Đào Nhật Thành 054205009597 2005-04-23 Nam D01 2 0 1 Ngôn ngữ Anh
22 Lương Thị Diệu Thảo 054305005234 2005-09-10 Nữ D14 2 0 1 Ngôn ngữ Anh
23 Lương Công Toàn 054205001456 2005-04-12 Nam A01 2 0 1 Ngôn ngữ Anh
24 Lương Nguyễn Quỳnh Trâm 054305005747 2005-07-06 Nữ D14 2NT 0 1 Ngôn ngữ Anh
25 Nguyễn Hoàng Tú Uyên 054305005630 2005-11-08 Nữ A01 2NT 0 1 Ngôn ngữ Anh
26 Lê Nguyễn Anh Hào 054205000580 28/07/2005 Nam D01 2NT 0 1 Ngôn ngữ Anh
27 Huỳnh Thanh Tú 054305003006 11/11/2005 Nam D01 2 0 1 Ngôn ngữ Anh
28 Lê Đình Vĩnh An 054204001687 24/03/2004 Nam A01 2 0 1 Ngôn ngữ Anh
DANH SÁCH THÍ SINH NỘP HỒ SƠ XÉT TUYỂN - ĐỢT 1 NĂM 2023
PHƯƠNG THỨC XÉT TUYỂN: ĐIỂM HỌC TẬP THPT (HỌC BẠ)
Họ Tên
Page 1
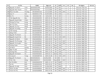
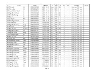
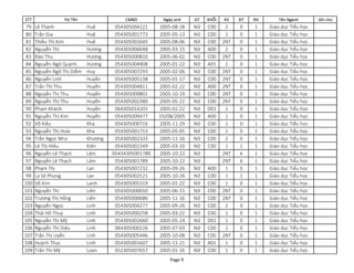
STT CMND Ngày sinh GT KHỐI KV ĐT NV Tên Ngành Ghi chú
Họ Tên
29 Võ Thảo Giang 054305001956 20/06/2005 Nữ D10 2 0 1 Ngôn ngữ Anh
30 Lương Huỳnh Diễm Tiên 054305000620 06/04/2005 Nữ D01 2NT 0 1 Ngôn ngữ Anh
31 Nguyễn Trần Ái Mỹ 054304001930 13/02/2004 Nữ D01 2 0 1 Ngôn ngữ Anh
32 Nguyễn Thị Kim Yến 054305000641 03/07/2005 Nữ D01 2NT 0 1 Ngôn ngữ Anh
33 Nguyễn Đặng Thúy Lan 054305005290 24/11/2005 Nữ A01 2NT 0 1 Ngôn ngữ Anh
34 Nguyễn Trần Mỹ Tâm 054305010079 26/09/2005 Nữ A01 1 0 1 Ngôn ngữ Anh
1 Nguyễn Hoàng Ân 054205002839 2005-03-30 Nam A00 2 0 1 Công nghệ thông tin
2 Dương Quốc Bảo 054205007898 2005-02-22 Nam D01 2 0 1 Công nghệ thông tin
3 Lê Bảo Châu 054305006057 2025-07-24 Nữ A00 2 0 1 Công nghệ thông tin
4 Đỗ Tiến Đạt 054203008861 2003-11-25 Nam A00 1 0 1 Công nghệ thông tin
5 Nguyễn Ngọc Đạt 054205000524 2005-02-26 Nam A00 1 0 1 Công nghệ thông tin
6 Nguyễn Minh Đức 054204003263 2004-04-20 Nam A00 2 0 1 Công nghệ thông tin
7 Trần Phan Ngọc Hà 054305000732 2005-01-11 Nữ A00 1 0 1 Công nghệ thông tin
8 Võ Nguyên Hải 054204008043 2004-09-30 Nam A00 1 0 1 Công nghệ thông tin
9 Thái Minh Hiền 054205006948 2005-02-14 Nam D01 2 0 1 Công nghệ thông tin
10 Đặng Thị Việt Hòa 054305009682 2005-09-09 Nữ A00 2NT 0 1 Công nghệ thông tin
11 Lê Phạm Mỹ Lệ 054305002207 02/09/2005 Nữ A01 2NT 0 1 Công nghệ thông tin
12 Bùi Thu Miên 054305037610 04/05/2005 Nữ A00 2 0 1 Công nghệ thông tin
13 Phạm Yến Nhi 054305001165 2005-04-09 Nữ A00 2NT 0 1 Công nghệ thông tin
14 Huỳnh Đức Sâm 054205001260 2005-08-11 Nam A00 2NT 0 1 Công nghệ thông tin
15 Nguyễn Thị Thanh Thảo 054305000610 2005-09-17 Nữ A00 2NT 0 1 Công nghệ thông tin
16 Nguyễn Thanh Triệu 054204010349 2004-12-17 Nam A00 2 0 1 Công nghệ thông tin
17 Hồ Nhật Tú Trinh 054305001170 13/06/2005 Nữ D01 2NT 0 1 Công nghệ thông tin
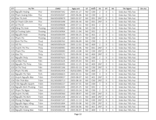
1 Võ Thị Trúc Đào 054305002716 13/12/2005 Nữ A00 0 1 Quản trị kinh doanh
2 Kiều Thị Mỹ Dung 054302000524 06/10/2002 Nữ D01 0 1 Quản trị kinh doanh
3 Lê Thuỵ Mỹ Duyên 054305000145 2005-01-09 Nữ A00 1 0 1 Quản trị kinh doanh
4 Lê Võ Ngọc Hân 054305000026 2005-10-02 Nữ A00 2 0 1 Quản trị kinh doanh
5 Lê Thị Hân 054305002599 2005-08-14 Nữ A00 2 0 1 Quản trị kinh doanh
6 Nguyễn Thị Như Hảo 054305001236 27/02/2005 Nữ A00 0 1 Quản trị kinh doanh
7 Nguyễn Trúc Thanh Hợp 054305000980 2005-11-04 Nữ A01 2NT 0 1 Quản trị kinh doanh
8 Trần Lê Kim Huệ 054305009234 01/07/2005 Nữ A00 0 1 Quản trị kinh doanh
Page 2
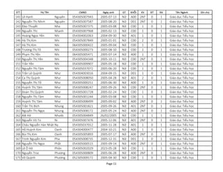
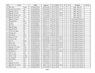
STT CMND Ngày sinh GT KHỐI KV ĐT NV Tên Ngành Ghi chú
Họ Tên
9 Nguyễn Nhật Hương 054305007601 23/11/2005 Nữ A00 0 1 Quản trị kinh doanh
10 Hà Minh Huy 054205000833 13/08/2005 Nam A00 0 1 Quản trị kinh doanh
11 Nguyễn Thị Thu Huyền 054305009064 25/10/2005 Nữ A00 0 1 Quản trị kinh doanh
12 Đoàn Khánh Linh 054205003170 2005-04-26 Nam A00 2NT 0 1 Quản trị kinh doanh
13 Phan Thùy Linh 054305000782 09/10/2005 Nữ A00 0 1 Quản trị kinh doanh
14 Nguyễn Thị Kim Mi 054305006616 2005-06-12 Nữ A00 1 0 1 Quản trị kinh doanh
15 Nguyễn Bảo Minh Nhật 054305002788 2005-02-17 Nữ D01 2 0 1 Quản trị kinh doanh
16 Trần Thị Lan Nhi 054305004690 2005-12-17 Nữ D01 1 0 1 Quản trị kinh doanh
17 Nguyễn Thị Xuân Phấn 054305005706 2005-09-02 Nữ D10 2 0 1 Quản trị kinh doanh
18 Nguyễn Ngọc Minh Phương 054305005221 2005-03-15 Nữ A01 2 0 1 Quản trị kinh doanh
19 Lê Minh Phương 054305009444 13/11/2005 Nữ D10 0 1 Quản trị kinh doanh
20 Nguyễn Anh Quân 054205009221 31/01/2005 Nam D01 0 1 Quản trị kinh doanh
21 Nguyễn Thị Tố Quyên 054305005156 2005-11-22 Nữ A01 1 0 1 Quản trị kinh doanh
22 Nguyễn Như Quỳnh 054305001230 2005-11-29 Nữ D10 1 0 1 Quản trị kinh doanh
23 Nguyễn Thị Diễm Quỳnh 054302000277 2002-03-08 Nữ D10 2NT 0 1 Quản trị kinh doanh
24 Phạm Thị Thúy Sim 054305000965 2005-12-14 Nữ D10 2NT 0 1 Quản trị kinh doanh
25 Trần Thị Thanh Sương 054305002495 2005-08-11 Nữ D01 1 0 1 Quản trị kinh doanh
26 Nguyễn Thị Mỹ Tâm 054305007020 28/07/2005 Nữ A00 0 1 Quản trị kinh doanh
27 Võ Thị Thu Thảo 054305009040 21/03/2005 Nữ A00 0 1 Quản trị kinh doanh
28 Phan Thị Cẩm Thơm 054305004066 2005-07-03 Nữ D01 2NT 0 1 Quản trị kinh doanh
29 Nguyễn Thị Hà Tiên 054305009936 2005-10-25 Nữ D01 1 0 1 Quản trị kinh doanh
30 Huỳnh Thị Kim Vấn 054305004488 2005-06-09 Nữ A00 2 0 1 Quản trị kinh doanh
31 Nguyễn Thị Mỹ Viện 054305006203 2005-01-04 Nữ D01 1 0 1 Quản trị kinh doanh
32 Phạm Thị Bích Mi 054305037043 30/07/2005 Nữ D01 2 0 1 Quản trị kinh doanh
33 Nguyễn Thị Thu Huyền 054305000245 30/08/2005 Nữ A00 1 0 1 Quản trị kinh doanh
34 Lương Thị Vần 004305001355 27/11/2005 Nữ A00 1 01 1 Quản trị kinh doanh
35 Trần Thị Mỹ Hạnh 054305000972 10/01/2005 Nữ D10 2NT 0 1 Quản trị kinh doanh
36 Trần Thị Ánh Ngọc 052305013879 30/08/2005 Nữ A00 1 0 1 Quản trị kinh doanh
37 Lê Thị Thảo 054305007637 15/02/2005 Nữ A00 2NT 0 1 Quản trị kinh doanh
38 Nguyễn ngọc Nguyên Nhi 054305007706 29/09/2005 Nữ D01 2 0 1 Quản trị kinh doanh
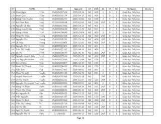
1 Nguyễn Tiến Đạt 054205001887 2005-10-27 Nam C00 2NT 0 1 Việt Nam học
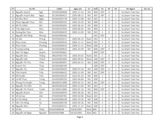
Page 3
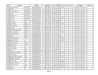
STT CMND Ngày sinh GT KHỐI KV ĐT NV Tên Ngành Ghi chú
Họ Tên
2 Vương Nguyễn Khánh Huyền 054305006149 2005-01-27 Nữ C00 1 0 1 Việt Nam học
3 Nguyễn Phạm Hoàng Long 054205007333 2005-06-16 Nam D14 2 0 1 Việt Nam học
4 Nguyễn Hoàn Mỹ 054300003490 2000-06-19 Nữ C00 2 0 1 Việt Nam học
5 Võ Thị Anh Thơ 054305001819 29/03/2005 Nữ C00 0 1 Việt Nam học
6 Lưu Ngọc Thư 054305005622 2005-04-30 Nữ C00 1 0 1 Việt Nam học
7 Phạm Thị Mỹ Tình 054305004414 2005-08-29 Nữ C00 2 0 1 Việt Nam học
8 Trần Quốc Thiện 054205004090 2023-05-16 Nam D14 2 0 1 Việt Nam học
9 Huỳnh Thu Duyên 054305037017 2005-05-11 Nữ C00 1 0 1 Việt Nam học
10 Huỳnh Thị Diệu Uyên 054305007485 16/05/2005 Nữ C00 2NT 0 1 Việt Nam học
11 Trương Ngọc Định 054205009842 28/02/2005 Nam C00 2NT 0 1 Việt Nam học
12 Linh Thị Tuyết Trinh 054305001205 14/09/2005 Nữ C00 1 01 1 Việt Nam học
13 Bùi Thị Thanh Nhàn 054304008066 01/11/2004 Nữ C00 1 0 1 Việt Nam học
1 Ngô Thị Thu Ba 051305009498 2005-10-20 Nữ A00 1 0 1 Sư phạm Toán học
2 Phạm Bằng 052205000787 2005-03-04 Nam A00 1 0 1 Sư phạm Toán học
3 Nguyễn Gia Bảo 054099000110 1999-11-18 Nam A00 2 0 1 Sư phạm Toán học
4 Trần An Bình 052305012736 2005-08-20 Nữ A00 2 0 1 Sư phạm Toán học
5 Hoàng Khánh Bình 054305003004 A01 2 1 Sư phạm Toán học
6 Trịnh Lê Hồng Đào 064305005788 2005-07-22 Nữ B00 1 0 1 Sư phạm Toán học
7 Nguyễn Thị Hương Giang 052305007883 2005-01-21 Nữ A00 1 0 1 Sư phạm Toán học
8 Lường Hương Giang 038305006477 2005-07-19 Nữ D01 1 0 1 Sư phạm Toán học
9 Nguyễn Thị Nhật Hoài 054305002288 2005-10-24 Nữ B00 1 0 1 Sư phạm Toán học
10 Nguyễn Hoàng Hưng 054204009790 2004-09-19 Nam A01 1 0 1 Sư phạm Toán học
11 Trần Hồng Hương 060305001882 2005-03-25 Nữ A01 2 0 1 Sư phạm Toán học
12 Huỳnh Thị Trúc Kha 054304008902 2004-02-29 Nữ A00 1 0 1 Sư phạm Toán học
13 Phạm Thanh Khánh 052205002033 2005-07-23 Nam A01 2 0 1 Sư phạm Toán học
14 Phạm Nhật Lam 054305000496 2005-03-19 Nữ D01 2NT 0 1 Sư phạm Toán học
15 Ngô Trần Khánh Linh 054305008583 2005-10-09 Nữ D01 2 0 1 Sư phạm Toán học
16 Cao Cẩm Ly 052305014026 2005-07-18 Nữ A00 2NT 0 1 Sư phạm Toán học
17 Huỳnh Nguyễn Ngọc Minh 054205001836 2005-12-04 Nam B00 2 0 1 Sư phạm Toán học
18 Đoàn Thị Trà My 054305006371 2005-03-16 Nữ A00 2NT 0 1 Sư phạm Toán học
19 Đỗ Thị Nga 064305010816 2005-09-01 Nữ A01 2NT 0 1 Sư phạm Toán học
Page 4
STT CMND Ngày sinh GT KHỐI KV ĐT NV Tên Ngành Ghi chú
Họ Tên
20 Nguyễn Quỳnh Nga 054305000608 2005-12-14 Nữ B00 2NT 0 1 Sư phạm Toán học
21 Nguyễn Huỳnh Bảo Ngọc 052305000413 2005-08-13 Nữ A01 2NT 0 1 Sư phạm Toán học
22 Võ Như Bích Ngọc 054305007178 2005-12-08 Nữ A01 1 0 1 Sư phạm Toán học
23 Phạm Nguyễn Thục Nhi 054305009193 2005-10-10 Nữ B00 2 0 1 Sư phạm Toán học
24 Đỗ Thị Diễm Nhi 054305005693 2005-06-10 Nữ B00 2 0 1 Sư phạm Toán học
25 Trần Ngô Xuân Như 054305037650 2005-06-03 Nữ B00 2 0 1 Sư phạm Toán học
26 Dương Bùi Tâm Như 054305004429 2005-12-09 Nữ D01 2 0 1 Sư phạm Toán học
27 Nguyễn Nữ Hồng Nhung 054305000366 D01 2NT 1 Sư phạm Toán học
28 Lê Văn Phong 054205002672 2005-04-23 Nam A01 2 0 1 Sư phạm Toán học
29 Phan Hoàn Phương 054204004916 2004-11-11 Nam A01 2 0 1 Sư phạm Toán học
30 Phan Hoàn Phương 054204004916 2004-11-11 Nam A00 2 0 1 Sư phạm Toán học
31 Trương tường quy 054305004814 2005-10-30 Nữ B00 2NT 0 1 Sư phạm Toán học
32 Đào Thị Ngọc Quỳnh 054305000661 B00 2NT 1 Sư phạm Toán học
33 Nguyễn Đức Thắng 096205001736 2005-03-02 Nam A01 2 0 1 Sư phạm Toán học
34 Nguyễn Việt Thành 054205001869 2005-09-01 Nam A00 2NT 0 1 Sư phạm Toán học
35 Nguyễn Thị Thu Thảo 054305000497 2005-02-21 Nữ A00 2NT 0 1 Sư phạm Toán học
36 Huỳnh Thị Thủy 054305000769 A00 2NT 1 Sư phạm Toán học
37 Nguyễn Thị Trâm 054305004029 2005-07-24 Nữ A00 2NT 0 1 Sư phạm Toán học
38 Thái Huỳnh Trân 054305006432 2005-12-30 Nữ A01 2NT 0 1 Sư phạm Toán học
39 Đỗ Huyền Trân 064305018329 2023-01-23 Nữ B00 1 0 1 Sư phạm Toán học
40 Lê Nữ Thuỳ Trang 054305009250 2005-04-04 Nữ A00 1 0 1 Sư phạm Toán học
41 Phùng Thị Huyền Trang 066305011898 2005-02-13 Nữ A01 2NT 0 1 Sư phạm Toán học
42 Nguyễn Thị Cẩm Tú 064305002418 2005-12-04 Nữ A01 1 0 1 Sư phạm Toán học
43 Nguyễn Thị Thanh Tuyến 052305012884 2005-05-19 Nữ B00 2NT 0 1 Sư phạm Toán học
44 Nguyễn Khánh Vân 054305006929 2005-06-28 Nữ A01 2 0 1 Sư phạm Toán học
45 Võ tá Cao Văn 070205003782 2005-02-06 Nam A01 2 0 1 Sư phạm Toán học
46 Lê Thị Hồng Vi 054305004338 2005-10-16 Nữ A00 2 0 1 Sư phạm Toán học
47 Hán Thị Hồng Vy 058305000758 2005-03-16 Nữ A00 1 1 1 Sư phạm Toán học
48 Nguyễn Như Ý 054205003131 2005-11-23 Nam A00 2 0 1 Sư phạm Toán học
49 Võ Bá Thiệu 054205000638 24/04/2005 Nam A00 2 0 1 Sư phạm Toán học
50 Nguyễn Võ Ngọc Nguyên 054305001888 24/10/2005 Nam A01 1 0 1 Sư phạm Toán học
Page 5
STT CMND Ngày sinh GT KHỐI KV ĐT NV Tên Ngành Ghi chú
Họ Tên
51 Võ Nguyễn Thiên Thiên 054305006443 19/04/2005 Nữ A00 1 0 1 Sư phạm Toán học
52 Nguyễn Thị Cát Tuyền 054305005453 19/01/2005 Nữ B00 2 0 1 Sư phạm Toán học
53 Đỗ Nam Hải 054205007159 07/04/2005 Nam A01 2 0 1 Sư phạm Toán học
54 Thái Thị Diệu Hiền 054305000871 01/03/2005 Nữ A00 1 0 1 Sư phạm Toán học
55 Ngô Thị Hoài 040305003929 04/07/2005 Nữ D01 2 0 1 Sư phạm Toán học
56 Phạm Thị Trang 054305001142 26/01/2005 Nữ A01 2NT 0 1 Sư phạm Toán học
57 Hồ Minh Vũ 054205005988 18/02/2005 Nam A00 2NT 0 1 Sư phạm Toán học
58 Lê nguyễn Hoàng Vinh 054205006490 03/04/2005 Nam A00 2 0 1 Sư phạm Toán học
59 Lê Thị Hiền Nhi 054305005666 18/08/2005 Nữ B00 2 0 1 Sư phạm Toán học
60 Nguyễn Thị Phương Thảo 052305001907 22/02/2003 Nữ A01 2NT 0 1 Sư phạm Toán học
61 Phạm Thị Bích Tâm 054305002603 13/05/2005 Nữ A00 2 0 1 Sư phạm Toán học
62 Bùi Thị Hiền Diệu 054305005972 22/10/2005 Nữ D01 2NT 0 1 Sư phạm Toán học
63 Nguyễn Hoàng Hà 054205000994 26/1/2005 Nam A00 2NT 0 1 Sư phạm Toán học
64 Nguyễn Lê Bích Như 054305006042 27/10/2005 Nữ A01 2NT 0 1 Sư phạm Toán học
65 Nguyễn Như Quỳnh 054305002562 14/022005 Nữ A00 2NT 0 1 Sư phạm Toán học
1 Lục Thị An 067305003301 2005-01-28 Nữ C00 2NT 1 1 Giáo dục Tiểu học
2 Nguyễn Đoàn Trâm Anh 052305002398 2005-07-31 Nữ C00 2NT 0 1 Giáo dục Tiểu học
3 Lê Huỳnh Trâm Anh 054305009554 2005-09-07 Nữ C00 2NT 0 1 Giáo dục Tiểu học
4 Thân Thị Trang Anh 054305005605 2005-03-17 Nữ A00 1 0 1 Giáo dục Tiểu học
5 Nguyễn Nhất Anh 054305000228 2005-02-22 Nữ A01 1 0 1 Giáo dục Tiểu học
6 Nguyễn Lan Anh 054305001162 2005-02-22 Nữ A01 1 0 1 Giáo dục Tiểu học
7 Nguyễn Thị Ngọc Ánh 064304000311 2004-06-15 Nữ A00 1 0 1 Giáo dục Tiểu học
8 Sô Thị Ánh 054305002341 2005-10-07 Nữ C00 1 1 1 Giáo dục Tiểu học
9 Nguyễn Thị Ngọc Ánh 054199008297 12/05/1999 Nữ C00 2NT 0 1 Giáo dục Tiểu học
10 Vũ Cao Gia Bảo 054305001238 2005-11-25 Nữ C00 2 0 1 Giáo dục Tiểu học
11 Lê Ngọc Bảo 054205000179 2005-10-01 Nam C00 1 1 1 Giáo dục Tiểu học
12 Nguyễn Thị Ngọc Bích 054305002267 2005-07-01 Nữ A00 1 0 1 Giáo dục Tiểu học
13 Võ Thị Như Bình 054305007301 2005-03-02 Nữ C00 2 0 1 Giáo dục Tiểu học
14 Nguyễn Thanh Bình 054305005918 2005-06-22 Nữ C00 2 6 1 Giáo dục Tiểu học
15 Nguyễn Thị Như Bình 054305004472 2005-03-08 Nữ C00 2 0 1 Giáo dục Tiểu học
16 Huỳnh Ngọc Á Châu 054305000511 2005-08-20 Nữ C00 2NT 0 1 Giáo dục Tiểu học
Page 6
STT CMND Ngày sinh GT KHỐI KV ĐT NV Tên Ngành Ghi chú
Họ Tên
17 Trần Ngọc Châu 051305002305 2005-09-13 Nữ A00 2NT 0 1 Giáo dục Tiểu học
18 Nguyễn Thị Hoàng Châu 054305009470 2005-03-15 Nữ A00 1 0 1 Giáo dục Tiểu học
19 Lưu Thị Yên Chi 054305003917 2005-06-26 Nữ A00 2NT 0 1 Giáo dục Tiểu học
20 Hoàng Nguyễn Quỳnh Chi 052305005434 2005-02-28 Nữ A01 2 0 1 Giáo dục Tiểu học
21 Trương Thành Công 054204010283 2004-07-19 Nam A00 1 0 1 Giáo dục Tiểu học
22 Phạm Huỳnh Cúc 054305000807 2005-11-03 Nữ A00 2NT 0 1 Giáo dục Tiểu học
23 Phạm Dương Minh Cường 054205008608 2005-11-12 Nam A00 2NT 0 1 Giáo dục Tiểu học
24 Lê Thị Linh Đa 054304007725 2004-05-01 Nữ A01 1 0 1 Giáo dục Tiểu học
25 Đặng Thị Thúy Diễm 054305006966 2005-10-01 Nữ A00 2NT 0 1 Giáo dục Tiểu học
26 Nguyễn Ngọc Bích Diễm 054305002132 2005-09-09 Nữ A00 1 0 1 Giáo dục Tiểu học
27 Nguyễn Thị Kiều Diễm 054304008460 2004-06-17 Nữ C00 2NT 0 1 Giáo dục Tiểu học
28 Nguyễn Thúy Diễm 054305009403 2005-03-10 Nữ A00 2NT 0 1 Giáo dục Tiểu học
29 Phan Thị Trúc Diệp 054305009445 2005-06-23 Nữ D01 2 0 1 Giáo dục Tiểu học
30 Nguyễn Thị Ngọc Điệp 054304002512 2004-05-04 Nữ C00 1 0 1 Giáo dục Tiểu học
31 Hồ Thị Diệu 054305008245 2005-07-11 Nữ D01 2NT 0 1 Giáo dục Tiểu học
32 Ksor H Đinh 054305007733 2005-11-12 Nữ C00 1 1 1 Giáo dục Tiểu học
33 Trần Ngọc Quỳnh Đoan 054305002474 2005-04-24 Nữ C00 1 0 1 Giáo dục Tiểu học
34 Nguyễn Trình Tiểu Đoan 054305008151 2005-03-12 Nữ A01 1 0 1 Giáo dục Tiểu học
35 Ksor Hờ Dơn 054305002841 2005-08-12 Nữ C00 1 1 1 Giáo dục Tiểu học
36 Trần Thu Đông 054305001802 2005-05-04 Nữ C00 1 0 1 Giáo dục Tiểu học
37 Nguyễn Thị Mỹ Dung 054305031106 2005-09-18 Nữ C00 2 0 1 Giáo dục Tiểu học
38 Lê Ngọc Bảo Duy 054305007487 2005-03-04 Nữ C00 2NT 0 1 Giáo dục Tiểu học
39 Võ Thị Hồng Duyên 054304000352 2004-02-22 Nữ C00 2 0 1 Giáo dục Tiểu học
40 Trần Thị Ngọc Duyên 052305002070 2005-01-11 Nữ D01 2 0 1 Giáo dục Tiểu học
41 Trần Cẩm Duyên 054303002332 2003-04-27 Nữ A00 2NT 0 1 Giáo dục Tiểu học
42 Lương Thanh Duyên 066305014080 2005-02-02 Nữ C00 1 0 1 Giáo dục Tiểu học
43 Nguyễn Thị Mỹ Duyên 054304004685 2004-09-20 Nữ C00 2NT 0 1 Giáo dục Tiểu học
44 Phạm Thị Mỹ Duyên 054305006644 2005-05-05 Nữ A00 2NT 0 1 Giáo dục Tiểu học
45 Trần Vũ Hà Giang 52303000315 2003-04-28 Nữ C00 1 0 1 Giáo dục Tiểu học
46 Nguyễn Thị Ngọc Giàu 054305007155 2005-01-15 Nữ C00 2NT 0 1 Giáo dục Tiểu học
47 Nguyễn Thị Ngọc Giàu 054305007155 2005-01-15 Nữ C00 2 0 1 Giáo dục Tiểu học
Page 7
STT CMND Ngày sinh GT KHỐI KV ĐT NV Tên Ngành Ghi chú
Họ Tên
48 Nguyễn Thị Thu Hà 068305011248 2005-02-26 Nữ A00 1 0 1 Giáo dục Tiểu học
49 Nguyễn Việt Hà 054305002242 2005-10-15 Nữ A01 1 0 1 Giáo dục Tiểu học
50 Huỳnh Trần Khánh Hân 054304002943 2004-12-05 Nữ A00 1 0 1 Giáo dục Tiểu học
51 Huỳnh Trần Gia Hân 054304002945 2004-12-05 Nữ A00 1 0 1 Giáo dục Tiểu học
52 Nguyễn Thị Bích Hân 054305001239 2005-10-10 Nữ C00 2 0 1 Giáo dục Tiểu học
53 Trần Đỗ Gia Hân 052305013743 2005-08-14 Nữ A00 2 0 1 Giáo dục Tiểu học
54 Huỳnh Thị Ngọc Hân 052305006385 2005-09-23 Nữ C00 2 0 1 Giáo dục Tiểu học
55 Nguyễn Thị Thúy Hằng 054305008512 2005-08-22 Nữ C00 2NT 0 1 Giáo dục Tiểu học
56 Nguyễn Thị Hằng 054305004304 2005-10-16 Nữ A00 1 0 1 Giáo dục Tiểu học
57 Võ Như Hằng 052305006126 2005-12-28 Nữ C00 2 0 1 Giáo dục Tiểu học
58 Lê Thị Thu Hằng 054305001895 2005-09-23 Nữ C00 2NT 0 1 Giáo dục Tiểu học
59 Trương Diễm Hằng 054305008445 2005-06-10 Nữ A00 2NT 0 1 Giáo dục Tiểu học
60 Đoàn Bích Hằng 054305004065 20/03/2005 Nữ C00 2NT 0 1 Giáo dục Tiểu học
61 Trần Mỹ Hạnh 054305010049 2005-12-26 Nữ C00 1 0 1 Giáo dục Tiểu học
62 Trần Mỹ Hạnh 054305010049 2005-12-26 Nữ C00 2 0 1 Giáo dục Tiểu học
63 Nguyễn Nữ Như Hảo 054305000609 2005-04-13 Nữ C00 2NT 0 1 Giáo dục Tiểu học
64 Trần Thị Út Hiền 054305005524 2005-09-11 Nữ C00 2 0 1 Giáo dục Tiểu học
65 Nguyễn Thị Thu Hiền 054305002332 2005-01-23 Nữ C00 2 0 1 Giáo dục Tiểu học
66 Lâm Thị Như Hiền 054305001181 2005-05-09 Nữ C00 2NT 0 1 Giáo dục Tiểu học
67 Nguyễn Huỳnh Minh Hiếu 054305006785 2005-08-05 Nữ D01 1 0 1 Giáo dục Tiểu học
68 Nguyễn Nhật Hoa 054305007964 2005-05-06 Nữ C00 2 0 1 Giáo dục Tiểu học
69 Nguyễn Mai Trang Hoà 054305002415 2005-11-22 Nữ 1 0 1 Giáo dục Tiểu học
70 Nguyễn Mai Trang Hoà 054305002415 2005-11-22 Nữ C00 2NT 0 1 Giáo dục Tiểu học
71 Phạm Như Hoà 054305009392 2005-11-10 Nữ C00 2NT 0 1 Giáo dục Tiểu học
72 Đầu Thị Khánh Hoà 066304001981 2004-10-16 Nữ C00 1 0 1 Giáo dục Tiểu học
73 Võ Nguyễn Sang Hòa 054305037068 2005-07-28 Nữ A00 2NT 0 1 Giáo dục Tiểu học
74 Lê Nguyên Hoài 054205001016 2005-06-02 Nam A00 1 0 1 Giáo dục Tiểu học
75 Phùng Mỹ Hoàng 052305013576 2005-05-07 Nữ C00 1 0 1 Giáo dục Tiểu học
76 Lưu Thị Minh Hồng 054305002328 9/17/2005 Nữ A00 2 0 1 Giáo dục Tiểu học
77 Trần Thị Bích Hợp 054305002879 2005-07-11 Nữ D01 2NT 1 1 Giáo dục Tiểu học
78 Rcom H'Tâm 064304002309 2004-05-06 Nữ C00 1 1 1 Giáo dục Tiểu học
Page 8
STT CMND Ngày sinh GT KHỐI KV ĐT NV Tên Ngành Ghi chú
Họ Tên
79 Lê Thanh Huệ 054305004221 2005-08-28 Nữ C00 2 0 1 Giáo dục Tiểu học
80 Trần Gia Huệ 054305001773 2005-05-13 Nữ C00 1 0 1 Giáo dục Tiểu học
81 Thiều Thị Kim Huệ 054305001645 2005-08-06 Nữ C00 2NT 0 1 Giáo dục Tiểu học
82 Nguyễn Thị Hương 054305006648 2005-03-15 Nữ A00 2 0 1 Giáo dục Tiểu học
83 Đào Thu Hương 054305000810 2005-06-02 Nữ C00 2NT 0 1 Giáo dục Tiểu học
84 Nguyễn Ngô Quỳnh Hương 054305004908 2005-01-22 Nữ A01 2 0 1 Giáo dục Tiểu học
85 Nguyễn Ngô Thị Diễm Huy 054305007293 2005-02-06 Nữ C00 2NT 0 1 Giáo dục Tiểu học
86 Nguyễn Linh Huyền 054305005138 2005-01-17 Nữ C00 2NT 0 1 Giáo dục Tiểu học
87 Trần Thị Thu Huyền 054305004811 2005-02-22 Nữ A00 2NT 0 1 Giáo dục Tiểu học
88 Nguyễn Thị Thu Huyền 054305009801 2005-10-19 Nữ C00 2NT 0 1 Giáo dục Tiểu học
89 Nguyễn Thị Thu Huyền 054305002380 2005-05-22 Nữ C00 2NT 0 1 Giáo dục Tiểu học
90 Phạm Khánh Huyền 064305014201 2005-02-22 Nữ D01 1 0 1 Giáo dục Tiểu học
91 Nguyễn Thị Kim Huyền 054305009477 03/08/2005 Nữ A00 1 0 1 Giáo dục Tiểu học
92 Võ Kiều Kha 054305000716 2005-11-29 Nữ C00 1 0 1 Giáo dục Tiểu học
93 Nguyễn Thị Hoài Kha 054305001753 2005-05-05 Nữ C00 1 0 1 Giáo dục Tiểu học
94 Trần Ngọc Như Khương 054305002333 2005-11-26 Nữ C00 2 0 1 Giáo dục Tiểu học
95 Lê Thị Hiếu Kiên 054305002349 2005-03-10 Nữ C00 1 1 1 Giáo dục Tiểu học
96 Nguyễn Lê Thạch Lâm 05434305001789 2005-10-22 Nữ 2NT 6 1 Giáo dục Tiểu học
97 Nguyễn Lê Thạch Lâm 054305001789 2005-10-22 Nữ 2NT 6 1 Giáo dục Tiểu học
98 Phạm Thị Lan 054305007232 2005-09-26 Nữ A00 1 0 1 Giáo dục Tiểu học
99 La Sô Phong Lan 054305002521 2005-10-26 Nữ C00 1 1 1 Giáo dục Tiểu học
100 Võ Kim Lanh 054305005319 2005-01-22 Nữ C00 1 0 1 Giáo dục Tiểu học
101 Nguyễn Thị Liên 054305000650 2005-06-15 Nữ C00 2NT 0 1 Giáo dục Tiểu học
102 Trương Thị Hồng Liến 054305000686 2005-11-16 Nữ C00 2NT 0 1 Giáo dục Tiểu học
103 Nguyễn Ngọc Linh 054305004277 2005-09-26 Nữ C00 2 0 1 Giáo dục Tiểu học
104 Thái Hồ Thuý Linh 054305000258 2005-03-22 Nữ C00 1 0 1 Giáo dục Tiểu học
105 Nguyễn Thị Mỹ Linh 054305002660 2005-05-24 Nữ D01 1 0 1 Giáo dục Tiểu học
106 Nguyễn Thị Diệu Linh 064305000226 2005-07-03 Nữ C00 1 0 1 Giáo dục Tiểu học
107 Trần Thị Uyển Linh 054305005446 2005-10-08 Nữ C00 2NT 0 1 Giáo dục Tiểu học
108 Huỳnh Thục Linh 054305001607 2005-11-21 Nữ A01 1 0 1 Giáo dục Tiểu học
109 Trần Thị Mỹ Loan 052305007657 2005-01-16 Nữ C00 1 0 1 Giáo dục Tiểu học
Page 9
STT CMND Ngày sinh GT KHỐI KV ĐT NV Tên Ngành Ghi chú
Họ Tên
110 Phạm Thị Mỹ Loan 054305004037 2005-03-29 Nữ A00 2NT 0 1 Giáo dục Tiểu học
111 Đặng Kim Lộc 54305001899 2005-09-21 Nữ A00 2NT 0 1 Giáo dục Tiểu học
112 Vũ Bách Gia Lợi 054305002488 2005-10-16 Nữ A00 2NT 0 1 Giáo dục Tiểu học
113 Nguyễn Hữu Lượng 054205000348 2005-10-15 Nam A00 2NT 0 2 Giáo dục Tiểu học
114 Phan Thị Cẩm Ly 054305006190 2005-12-30 Nữ C00 2NT 0 1 Giáo dục Tiểu học
115 Hồ Thị Khánh Ly 040305023846 2005-05-17 Nữ A00 2 0 1 Giáo dục Tiểu học
116 Nguyễn Bích Ly 054305001791 2005-01-12 Nữ D01 2NT 0 1 Giáo dục Tiểu học
117 Tô Thị Lý 052305014081 2005-11-07 Nữ A00 2NT 0 1 Giáo dục Tiểu học
118 Huỳnh Thị Kiều Mai 054305001129 2005-10-13 Nữ C00 2 0 1 Giáo dục Tiểu học
119 Dương Triệu Mẫn 054305000943 2005-03-18 Nữ A00 1 1 1 Giáo dục Tiểu học
120 Trịnh Kiều Hoạ Mi 054305001194 2005-07-29 Nữ C00 2NT 0 1 Giáo dục Tiểu học
121 Phạm Lê Trà Mi 054305005677 2005-05-23 Nữ A00 2 0 1 Giáo dục Tiểu học
122 Phan Lệ Trà My 054304006362 2004-09-28 Nữ D01 1 0 1 Giáo dục Tiểu học
123 Nguyễn Ngọc Huyền My 054305004983 2005-07-14 Nữ A01 2 0 1 Giáo dục Tiểu học
124 Ngô Thị Trà My 054305007713 2005-07-19 Nữ A00 1 0 1 Giáo dục Tiểu học
125 Nguyễn Thị Trà My 054305005173 04/01/2005 Nữ A00 2NT 0 1 Giáo dục Tiểu học
126 Kpă Hờ Linh Nga 054305010023 2005-02-24 Nữ C00 1 0 1 Giáo dục Tiểu học
127 Nguyễn Thanh Nga 054305005791 2005-05-23 Nữ D01 2NT 0 1 Giáo dục Tiểu học
128 Nguyễn Ngọc Quỳnh Nga 054305002061 2005-10-16 Nữ D01 1 0 1 Giáo dục Tiểu học
129 Nguyễn Thị Tuyết Nga 054305009467 2005-09-03 Nữ A00 2NT 0 1 Giáo dục Tiểu học
130 Bùi Thị Thanh Ngân 054304005237 2004-10-29 Nữ A00 2NT 0 1 Giáo dục Tiểu học
131 Huỳnh Thúy Ngân 054305002742 2005-11-04 Nữ C00 1 0 1 Giáo dục Tiểu học
132 Cao Thị Thúy Ngân 054305003935 2005-05-28 Nữ C00 2NT 0 1 Giáo dục Tiểu học
133 Lê Thị Thuý Ngân 054199003422 1999-04-18 Nữ C00 2 0 1 Giáo dục Tiểu học
134 Mai Thảo Ngân 054305006618 2005-03-07 Nữ C00 2 0 1 Giáo dục Tiểu học
135 Nguyễn Thị Kim Ngân 054305005048 2005-10-26 Nữ A00 2NT 0 1 Giáo dục Tiểu học
136 Lê Hoài Bảo Ngọc 054305002656 2005-02-24 Nữ D01 2 0 1 Giáo dục Tiểu học
137 Đào Anh Ngọc 054305000780 2005-09-14 Nữ D01 2NT 0 1 Giáo dục Tiểu học
138 Trần Bích Ngọc 054305007897 2005-08-25 Nữ A00 2NT 0 1 Giáo dục Tiểu học
139 Nguyễn Đăng Nguyên 054205010765 2005-03-27 Nam A00 2 0 1 Giáo dục Tiểu học
140 Nguyễn Thị Thảo Nguyên 054305000947 2005-06-01 Nữ A00 1 0 1 Giáo dục Tiểu học
Page 10
STT CMND Ngày sinh GT KHỐI KV ĐT NV Tên Ngành Ghi chú
Họ Tên
141 Lê Hạnh Nguyên 054305007943 2005-07-13 Nữ A00 2NT 0 1 Giáo dục Tiểu học
142 Nguyễn Thị Minh Nguyên 054305007587 2005-08-20 Nữ D01 2NT 0 1 Giáo dục Tiểu học
143 Đào Thuyết Nha 054305007375 2005-03-08 Nữ C00 1 0 1 Giáo dục Tiểu học
144 Nguyễn Thị Nhanh 054305007968 2005-02-13 Nữ C00 1 0 1 Giáo dục Tiểu học
145 Hoàng Ngọc Yến Nhi 054304002063 2004-09-30 Nữ A01 1 0 1 Giáo dục Tiểu học
146 Hà Thị Kim Nhi 054305007849 2005-01-01 Nữ C00 2 0 1 Giáo dục Tiểu học
147 Hà Thị Kim Nhi 064305000422 2005-09-04 Nữ C00 1 0 1 Giáo dục Tiểu học
148 Trương Thị Tố Nhi 054305000273 2005-08-10 Nữ C00 1 0 1 Giáo dục Tiểu học
149 Phạm Thị Yến Nhi 064305005471 2005-07-14 Nữ A00 1 0 1 Giáo dục Tiểu học
150 Nguyễn Thị Yến Nhi 054305004348 2005-10-11 Nữ C00 2NT 0 1 Giáo dục Tiểu học
151 Trần Yến Nhi 054305009907 2005-05-18 Nữ C00 1 0 1 Giáo dục Tiểu học
152 Nguyễn Thị Tâm Nhi 054305037072 2005-06-20 Nữ C00 1 0 1 Giáo dục Tiểu học
153 Trần Lê Quỳnh Như 054304003016 2004-09-15 Nữ D01 1 0 1 Giáo dục Tiểu học
154 Ca Thị Quỳnh Như 054305008050 2005-04-28 Nữ A01 2 0 1 Giáo dục Tiểu học
155 Nguyễn Thị Tố Như 054305000251 2005-06-30 Nữ A00 1 0 1 Giáo dục Tiểu học
156 Huỳnh Thị Tâm Như 054305008247 2005-09-26 Nữ C00 2NT 0 1 Giáo dục Tiểu học
157 Đoàn Thị Quỳnh Như 054305001728 2005-02-24 Nữ C00 1 0 1 Giáo dục Tiểu học
158 Nguyễn Thị Tâm Như 054305001244 2005-03-08 Nữ C00 1 0 1 Giáo dục Tiểu học
159 Huỳnh Thị Tâm Như 054305008499 2005-09-02 Nữ A00 2NT 0 1 Giáo dục Tiểu học
160 Trần Thị Bích Nhung 054305001821 2005-09-26 Nữ A01 2NT 0 1 Giáo dục Tiểu học
161 Nguyễn Thị Ngọc Nhung 054305008172 2005-05-24 Nữ A00 2NT 0 1 Giáo dục Tiểu học
162 Alê Hờ Nhước 054305004849 26/02/2005 Nữ C00 1 1 1 Giáo dục Tiểu học
163 Nguyễn Vũ Tú Ni 054305007476 2005-12-06 Nữ A01 2NT 0 1 Giáo dục Tiểu học
164 Châu Nguyễn Hàn Nhật Ny 054305037012 2005-11-28 Nữ A01 1 0 1 Giáo dục Tiểu học
165 Hồ Huỳnh Kim Oanh 054304000477 2004-10-21 Nữ A00 1 0 1 Giáo dục Tiểu học
166 Bùi Thị Kim Oanh 054305005893 2005-07-17 Nữ A00 2NT 0 1 Giáo dục Tiểu học
167 Trịnh Nguyễn Kim Pha 054305008735 2005-12-31 Nữ D01 1 0 1 Giáo dục Tiểu học
168 Nguyễn Thị Ngọc Phất 054305000515 2005-09-14 Nữ A00 2NT 0 1 Giáo dục Tiểu học
169 Lê Ô Hờ Phôn 054305002029 2023-05-28 Nữ C00 1 1 1 Giáo dục Tiểu học
170 Nguyễn Trúc Phương 054305000809 2005-06-28 Nữ A00 2NT 0 1 Giáo dục Tiểu học
171 Võ Quỳnh Phương 052305009172 2005-04-30 Nữ C00 1 0 1 Giáo dục Tiểu học
Page 11
STT CMND Ngày sinh GT KHỐI KV ĐT NV Tên Ngành Ghi chú
Họ Tên
172 Võ Phan Hiền Phương 054305002924 2005-04-03 Nữ C00 2NT 0 1 Giáo dục Tiểu học
173 Đỗ Yến Phương 054305008205 2005-04-16 Nữ A00 1 0 1 Giáo dục Tiểu học
174 Trần Thị Mai Phương 054305010029 2005-04-02 Nữ A00 1 0 1 Giáo dục Tiểu học
175 Huỳnh Phương 054205008199 2005-04-21 Nam D01 2 0 1 Giáo dục Tiểu học
176 Nguyễn Thị Phượng 054305001183 2005-04-30 Nữ C00 1 0 1 Giáo dục Tiểu học
177 Đinh Hà Phương 052305007169 10/07/2005 Nữ C00 2NT 0 1 Giáo dục Tiểu học
178 Lê Vinh Quang 66204012175 2004-10-10 Nam A00 1 0 1 Giáo dục Tiểu học
179 Ksơr Hờ Quý 054305001097 2005-10-27 Nữ C00 1 1 1 Giáo dục Tiểu học
180 Võ Thị Mỹ Quyên 054304000884 2004-06-08 Nữ M09 2NT 0 1 Giáo dục Tiểu học
181 Đào Phạm Tú Quyên 052305010471 2005-11-19 Nữ C00 2 0 1 Giáo dục Tiểu học
182 Lý Nhật Quyên 054305009887 15/08/2005 Nữ C00 2 0 1 Giáo dục Tiểu học
183 Nguyễn Ngọc Diễm Quỳnh 54305037594 2005-09-02 Nữ D01 2 0 1 Giáo dục Tiểu học
184 Lê Dương Hải Quỳnh 054305007913 2005-03-04 Nữ C00 2NT 0 1 Giáo dục Tiểu học
185 Huỳnh Võ Như Quỳnh 054305000939 2005-08-15 Nữ D01 1 0 1 Giáo dục Tiểu học
186 So Hờ Quỳnh 054305009700 2005-05-11 Nữ C00 1 1 1 Giáo dục Tiểu học
187 Lê Nguyễn Mai Quỳnh 054305002045 2005-05-24 Nữ C00 2NT 0 1 Giáo dục Tiểu học
188 Đặng Thị Tân Sa 054305009724 2005-08-04 Nữ A00 2NT 0 1 Giáo dục Tiểu học
189 Võ Huỳnh Kim Sang 054305002440 2005-01-02 Nữ A00 2 0 1 Giáo dục Tiểu học
190 Nguyễn Thị Sương 054300008548 2000-11-06 Nữ A01 1 0 1 Giáo dục Tiểu học
191 Phạm Hoài Tâm 054305008954 2005-06-12 Nữ A01 2 0 1 Giáo dục Tiểu học
192 Lê Thị Kiêm Thao 054305002697 2005-01-17 Nữ D01 2 0 1 Giáo dục Tiểu học
193 Cao Vi Thảo 054304007098 2004-08-07 Nữ C00 2 0 1 Giáo dục Tiểu học
194 Phạm Trà Phương Thảo 064305007457 2005-07-01 Nữ C00 2NT 0 1 Giáo dục Tiểu học
195 Phan Huyên Thảo 054305007429 2005-02-15 Nữ C00 2 0 1 Giáo dục Tiểu học
196 Nguyễn Đào Phương Thảo 054305002455 2005-10-25 Nữ A01 2NT 0 1 Giáo dục Tiểu học
197 Nguyễn Phương Thảo 054305000123 2005-07-14 Nữ D01 1 0 1 Giáo dục Tiểu học
198 Trần Thanh Thảo 054305004516 2005-09-23 Nữ C00 2NT 0 1 Giáo dục Tiểu học
199 Nguyễn Thị Kim Thi 054305005688 2005-05-17 Nữ C00 2NT 0 1 Giáo dục Tiểu học
200 Phan Thị Kim Thoa 054305000591 2005-10-22 Nữ C00 2NT 0 1 Giáo dục Tiểu học
201 Lê Thị Thu 054305000763 2005-11-02 Nữ A00 2NT 0 1 Giáo dục Tiểu học
202 Thái Thị Thư 054305001226 2005-06-15 Nữ D01 1 0 1 Giáo dục Tiểu học
Page 12
STT CMND Ngày sinh GT KHỐI KV ĐT NV Tên Ngành Ghi chú
Họ Tên
203 Nguyễn Hoàng Thư 054305007342 2005-01-27 Nữ C00 2 0 1 Giáo dục Tiểu học
204 Phạm Hoàng Diệu Thư 054305002047 2005-06-06 Nữ C00 1 0 1 Giáo dục Tiểu học
205 Đào Thị Anh Thư 064305009879 2005-02-07 Nữ D01 2NT 0 1 Giáo dục Tiểu học
206 Lê Thạch Cẩm Anh Thư 054305001648 2005-06-30 Nữ D01 2NT 0 1 Giáo dục Tiểu học
207 Lê Thị Út Thư 054305009608 2005-07-11 Nữ A01 2 0 1 Giáo dục Tiểu học
208 Đặng Thị Hoài Thương 040305009892 2005-03-06 Nữ C00 1 0 1 Giáo dục Tiểu học
209 Lê Trương Uyên Thương 054305036964 2005-11-04 Nữ D01 2 0 1 Giáo dục Tiểu học
210 Nguyễn Hoài Thương 054305004399 2005-06-25 Nữ A01 2 0 1 Giáo dục Tiểu học
211 Phạm Thị Thương 054305001164 2005-02-17 Nữ C00 1 0 1 Giáo dục Tiểu học
212 Đinh Thị Thu Thuỷ 054302000762 2002-06-09 Nữ C00 1 0 1 Giáo dục Tiểu học
213 Hồ Thị Thuỷ 040305005639 2005-12-01 Nữ A00 2 0 1 Giáo dục Tiểu học
214 Huỳnh Thị Thu Thúy 054305000981 2005-04-06 Nữ D01 2NT 0 1 Giáo dục Tiểu học
215 Phạm Thu Thúy 054305000083 2005-10-08 Nữ C00 2NT 0 1 Giáo dục Tiểu học
216 Đào Thị Thủy 054305009172 2005-09-30 Nữ A00 2NT 0 1 Giáo dục Tiểu học
217 Nguyễn Thủy Tiên 054305007663 2005-05-11 Nữ C00 2 0 1 Giáo dục Tiểu học
218 Lê Mai Thuỷ Tiên 054305001624 2005-05-03 Nữ A01 1 0 1 Giáo dục Tiểu học
219 Nguyễn Thị Thủy Tiên 054305000495 2005-12-25 Nữ A00 2NT 0 1 Giáo dục Tiểu học
220 Lê Thị Thuỷ Tiên 054305001166 2005-02-23 Nữ C00 2NT 0 1 Giáo dục Tiểu học
221 Phạm Thị Mỹ Tiền 054305002454 30/03/2005 Nữ A00 2 0 1 Giáo dục Tiểu học
222 Nguyễn Thị Tâm Tình 048305006823 2005-03-11 Nữ C00 3 0 1 Giáo dục Tiểu học
223 Huỳnh Nguyễn Bảo Trâm 054305000657 2005-08-07 Nữ A01 2NT 0 1 Giáo dục Tiểu học
224 Trần Thời Bảo Trâm 052305000713 2005-08-18 Nữ C00 2NT 0 1 Giáo dục Tiểu học
225 Trần Nguyễn Quỳnh Trâm 054305000227 2005-07-31 Nữ C00 1 0 1 Giáo dục Tiểu học
226 Nguyễn Bình Phương Trâm 054305002694 2005-05-25 Nữ D01 2 0 1 Giáo dục Tiểu học
227 Phạm Thị Ngọc Trâm 054305005512 2005-03-24 Nữ C00 2 0 1 Giáo dục Tiểu học
228 Huỳnh Thị Mỹ Trâm 054305000360 2005-08-07 Nữ C00 2NT 0 1 Giáo dục Tiểu học
229 Nguyễn Thị Bích Trâm 054305005204 2005-02-21 Nữ A00 2NT 0 1 Giáo dục Tiểu học
230 Phùng Thị Ngọc Trâm 054305007137 2005-12-13 Nữ C00 2NT 0 1 Giáo dục Tiểu học
231 Nguyễn Ngọc Hồng Trâm 054305001894 2005-03-08 Nữ C00 2NT 0 1 Giáo dục Tiểu học
232 Mai Phan Bảo Trâm 054305001998 2005-04-06 Nữ A01 2NT 0 1 Giáo dục Tiểu học
233 Nguyễn Hoàng Bảo Trâm 054305004226 2005-06-07 Nữ A00 1 0 1 Giáo dục Tiểu học
Page 13
STT CMND Ngày sinh GT KHỐI KV ĐT NV Tên Ngành Ghi chú
Họ Tên
234 Phan Ngọc Trâm 054305007558 2005-03-24 Nữ A00 1 0 1 Giáo dục Tiểu học
235 Đoàn Quý Trầm 054305000174 2005-04-17 Nữ A00 1 0 1 Giáo dục Tiểu học
236 Đặng Trần Huyền Trân 054305004255 2005-10-02 Nữ C00 2 0 1 Giáo dục Tiểu học
237 Bùi Phan Bảo Trân 052305008038 2005-02-01 Nữ C00 2NT 0 1 Giáo dục Tiểu học
238 Nguyễn Lê Bảo Trân 054305007921 2005-03-23 Nữ A01 1 0 1 Giáo dục Tiểu học
239 Đặng Huỳnh Bảo Trân 054305004630 2005-11-29 Nữ D01 2 0 1 Giáo dục Tiểu học
240 Đặng Lê Bảo Trân 054304006689 28/01/2004 Nữ A00 2 0 1 Giáo dục Tiểu học
241 Tăng Thị Thùy Trang 054305007104 2005-12-24 Nữ A00 2NT 0 1 Giáo dục Tiểu học
242 Nguyễn Thu Trang 054305008781 2005-05-24 Nữ A00 2NT 0 1 Giáo dục Tiểu học
243 Lê Thùy Trang 054305000801 2005-02-01 Nữ A00 2NT 0 1 Giáo dục Tiểu học
244 Nguyễn Thị Tú Trinh 054305007405 2005-04-26 Nữ A01 1 0 1 Giáo dục Tiểu học
245 Trần Thị Tuyết Trinh 054305002297 2005-08-19 Nữ A00 1 0 1 Giáo dục Tiểu học
246 Võ Thị Trinh 054305006649 2005-06-10 Nữ A00 2NT 0 1 Giáo dục Tiểu học
247 Nguyễn Huỳnh Kiều Trinh 054305005530 2005-05-22 Nữ A00 2NT 0 1 Giáo dục Tiểu học
248 Lưu Nguyễn Thanh Trúc 054305003036 2005-11-08 Nữ C00 1 0 1 Giáo dục Tiểu học
249 Bùi Lê Như Trúc 052305000907 2005-10-30 Nữ C00 1 0 1 Giáo dục Tiểu học
250 Đoàn Thị Thanh Trúc 054305006435 2005-02-28 Nữ C00 1 0 1 Giáo dục Tiểu học
251 Trần Ánh Tuệ 054305007407 2005-08-01 Nữ D01 2 0 1 Giáo dục Tiểu học
252 Phan Thị Việt Tuyến 054305001133 2005-04-15 Nữ D01 2 0 1 Giáo dục Tiểu học
253 Huỳnh Phan Linh Tuyền 054305000363 2005-02-18 Nữ 2NT 0 1 Giáo dục Tiểu học
254 Võ Thị Thanh Tuyền 054305002231 2005-02-07 Nữ C00 2NT 0 1 Giáo dục Tiểu học
255 Nguyễn Thị Huỳnh Thanh
Tuyền 054304002093 2004-02-01 Nữ A00 2 0 1 Giáo dục Tiểu học
256 Đặng Thị Thảo Uyên 054305037681 2005-04-26 Nữ D01 2NT 0 1 Giáo dục Tiểu học
257 Phạm Thị Hồng Uyển 054305000646 2005-05-30 Nữ A00 2NT 0 1 Giáo dục Tiểu học
258 Bùi Nguyễn Ái Vân 054304009423 2004-11-12 Nữ D01 1 0 1 Giáo dục Tiểu học
259 Trần Nguyên Văn 054305005337 2005-09-05 Nữ C00 2NT 0 1 Giáo dục Tiểu học
260 Châu Thị Bích Vẹn 054305037060 2005-07-02 Nữ A00 2NT 0 1 Giáo dục Tiểu học
261 Trần Thị Tường Vi 054305009714 2005-04-08 Nữ A00 1 0 1 Giáo dục Tiểu học
262 Hồ Thị Yến Vi 042305012076 2005-05-20 Nữ C00 2NT 0 1 Giáo dục Tiểu học
263 Ngô Thị Tuyết Viên 054305002635 2005-06-15 Nữ D01 2 0 1 Giáo dục Tiểu học
264 Nguyễn Thị Tố Viên 221549531 2004-09-17 Nữ C00 2NT 0 1 Giáo dục Tiểu học
Page 14
STT CMND Ngày sinh GT KHỐI KV ĐT NV Tên Ngành Ghi chú
Họ Tên
265 Trần Văn Vũ 054204005509 2004-10-25 Nam A00 2NT 0 1 Giáo dục Tiểu học
266 Mạnh Gia Vũ 054305002441 2005-11-04 Nữ C00 1 0 1 Giáo dục Tiểu học
267 Huỳnh Châu Thanh Vy 054305008463 2005-07-18 Nữ C00 2 0 1 Giáo dục Tiểu học
268 Nguyễn Hồ Thuý Vy 054305008125 2005-09-25 Nữ A01 2NT 0 1 Giáo dục Tiểu học
269 Trần Thị Tường Vy 054305002278 2005-03-14 Nữ A00 2NT 0 1 Giáo dục Tiểu học
270 Đào Hà Yên 054305006496 2005-10-01 Nữ A00 2 0 1 Giáo dục Tiểu học
271 Lê Thị Kim Tiên 054305008624 2005-11-21 Nữ A01 1 0 1 Giáo dục Tiểu học
272 Trần Ngọc Khánh Vy 054305005273 2005-10-29 Nữ A00 1 0 1 Giáo dục Tiểu học
273 Đinh Nữ Yếu Vy 054305002523 12/08/2005 Nữ A00 2NT 0 1 Giáo dục Tiểu học
274 Nguyễn Phương Dung 054305000230 29/10/2005 Nữ A00 2NT 0 1 Giáo dục Tiểu học
275 Phan Hải Như 054305010042 19/04/2005 Nữ D01 1 0 1 Giáo dục Tiểu học
276 Mai Thị Bảo Thương 054305001764 25/05/2005 Nữ C00 2NT 0 1 Giáo dục Tiểu học
277 Nguyễn Thị Bích Thi 054305002252 17/07/2005 Nữ D01 1 0 1 Giáo dục Tiểu học
278 nguyễn Lê Mỹ Hằng 052305009219 16/12/2005 Nữ C00 2NT 0 1 Giáo dục Tiểu học
279 Trần Ngọc Ngân Hà 054305001543 18/11/2005 Nữ C00 1 0 1 Giáo dục Tiểu học
280 Mai Thị Vân Ly 040305024793 12/05/2005 Nữ D01 2 0 1 Giáo dục Tiểu học
281 Trịnh Vân Anh 054305008827 14/07/2005 Nữ C00 2 0 1 Giáo dục Tiểu học
282 Võ Nguyễn Huyền Trang 054304006895 31/07/2005 Nữ C00 2NT 0 1 Giáo dục Tiểu học
283 Huỳnh Tuyết Như 054305000752 10/06/2005 Nữ A00 2NT 0 1 Giáo dục Tiểu học
284 Nguyễn Thị Bích Dân 054305008158 02/03/2005 Nữ C00 2NT 0 1 Giáo dục Tiểu học
285 Ksor H’ An 064305003277 01/12/2005 Nữ C00 1 01 1 Giáo dục Tiểu học
286 Huỳnh Trần Thảo Duyên 054305008414 08/07/2005 Nữ C00 2 0 1 Giáo dục Tiểu học
287 Hồ Huỳnh Khánh Bình 054305009629 04/09/2005 Nữ A00 2NT 0 1 Giáo dục Tiểu học
288 Nguyễn Đoàn Các Tuyền 054305008360 23/12/2005 Nữ A00 2NT 0 1 Giáo dục Tiểu học
289 Nguyễn Thu Trang 054305008781 24/05/2005 Nữ A00 2NT 0 1 Giáo dục Tiểu học
290 Nguyễn Thị Như Quỳnh 054305008787 03/09/2005 Nữ A00 1 0 1 Giáo dục Tiểu học
291 Huỳnh Huyền Tóc Tiên 054305001336 2005-09-07 Nữ D01 2 0 1 Giáo dục Tiểu học
292 Bùi Đặng Thanh Tuyền 052305001264 27/10/2005 Nữ D01 2 0 1 Giáo dục Tiểu học
293 Nguyễn Thị Đài Trang 054305000955 25/06/2005 Nữ C00 1 0 1 Giáo dục Tiểu học
294 Nguyễn Thị Trúc Linh 054305000928 2005-06-21 Nữ D14 2NT 0 1 Giáo dục Tiểu học
295 Nguyễn Ngọc Lan Anh 054304007799 17/01/2004 Nữ C00 2 0 1 Giáo dục Tiểu học
Page 15
STT CMND Ngày sinh GT KHỐI KV ĐT NV Tên Ngành Ghi chú
Họ Tên
296 Nguyễn Thị Minh Trâm 064305001494 26/03/2005 Nữ D01 1 0 1 Giáo dục Tiểu học
297 Nguyễn Mai Thanh Trúc 056305007862 11/11/2005 Nữ A00 1 0 1 Giáo dục Tiểu học
298 Phan Thị Hiền Thương 042305001543 22/12/2005 Nữ C00 2NT 0 1 Giáo dục Tiểu học
299 Ksor H' Vơn 064305011778 01/07/2005 Nữ C00 1 01 1 Giáo dục Tiểu học
300 Bùi Thị Nương 064305001498 19/02/2005 Nữ A00 1 0 1 Giáo dục Tiểu học
1 Trần Nguyễn Gia Bảo 054205004595 2005-03-30 Nam D14 1 0 1 Sư phạm Ngữ Văn
2 Nguyễn Quỳnh Mai Chăm 054305005702 2005-01-24 Nữ C00 2 0 1 Sư phạm Ngữ Văn
3 Phùng Thị Thuỳ Dung 001305054114 2005-02-05 Nữ C00 1 0 1 Sư phạm Ngữ Văn
4 Bùi Thị Thùy Dung 070305004312 2005-07-18 Nữ C00 2 0 1 Sư phạm Ngữ Văn
5 Nguyễn Thị Thu Hằng 054305001096 2005-01-03 Nữ C00 1 1 1 Sư phạm Ngữ Văn
6 Nguyễn Thị Hồng Huệ 054305004613 2005-07-27 Nữ C00 1 0 1 Sư phạm Ngữ Văn
7 Trần Hoàng Lan 064305008599 2005-09-02 Nữ D14 1 0 1 Sư phạm Ngữ Văn
8 Đặng Thiên Lộc 052204000784 2004-11-02 Nam D01 2 0 1 Sư phạm Ngữ Văn
9 Nguyễn Thị Khánh Ly 054305000201 2005-06-23 Nữ D01 1 0 1 Sư phạm Ngữ Văn
10 Nguyễn Huỳnh Hà Mi 054305010018 2005-12-22 Nữ C00 2NT 0 1 Sư phạm Ngữ Văn
11 Nguyễn Vũ Minh Nhân 058204009462 2004-09-09 Nam D01 1 0 1 Sư phạm Ngữ Văn
12 Nguyễn Thị Phương Nhi 042305009943 2005-03-03 Nữ D14 2NT 0 1 Sư phạm Ngữ Văn
13 Nguyễn Thị Huyền Như 054305000485 2005-04-18 Nữ C00 2NT 0 1 Sư phạm Ngữ Văn
14 Vương Thiên Phú 052205000902 2005-08-13 Nam C00 1 0 1 Sư phạm Ngữ Văn
15 Lê Nhựt Quang 054205001215 2005-01-09 Nam C00 1 0 1 Sư phạm Ngữ Văn
16 Ngô Thị Mỹ Tâm 052305007872 2005-05-16 Nữ D01 2NT 0 1 Sư phạm Ngữ Văn
17 Dương Tiểu Thư 054305002383 2005-12-29 Nữ C00 2 0 1 Sư phạm Ngữ Văn
18 Nguyễn Võ Chánh Tín 054205001855 2005-01-12 Nam C00 2 0 1 Sư phạm Ngữ Văn
19 Tạ Quỳnh Trang 054305008730 2005-03-08 Nữ C00 2NT 0 1 Sư phạm Ngữ Văn
20 Nguyễn Thị Khánh Ly 054305000201 23/06/2005 Nữ D01 1 0 1 Sư phạm Ngữ Văn
21 Trần Tiến Dũng 054205007677 22/03/2005 Nam C00 2NT 0 1 Sư phạm Ngữ Văn
1 Lê Thị Diễm Ánh 054305002078 2005-12-13 Nữ M09 2 0 1 Giáo dục Mầm non
2 So Hờ Điền 054305005036 2005-03-02 Nữ M01 1 1 1 Giáo dục Mầm non
3 Nguyễn Thị Mỹ Diệu 054305001234 01/06/2005 Nữ M09 1 Giáo dục Mầm non
4 Phạm Thị Mỹ Duyên 054305006644 2005-05-05 Nữ M09 2NT 0 1 Giáo dục Mầm non
5 Trịnh Thị Thu Hà 054305000808 2005-07-06 Nữ M01 2NT 0 2 Giáo dục Mầm non
Page 16
STT CMND Ngày sinh GT KHỐI KV ĐT NV Tên Ngành Ghi chú
Họ Tên
6 Nguyễn Thị Diễm Hằng 054305007690 2005-01-01 Nữ M09 2 0 1 Giáo dục Mầm non
7 Nguyễn Thị Khuyên 064305002221 2005-10-22 Nữ M01 1 0 1 Giáo dục Mầm non
8 Hoàng Thị Lệ 064305003586 2005-06-23 Nữ M01 1 1 1 Giáo dục Mầm non
9 Nguyễn Thị Thanh Liên 054305009360 2005-03-03 Nữ 1 0 1 Giáo dục Mầm non
10 Huỳnh Thị Trúc Liễu 054305001796 2005-06-24 Nữ M09 2NT 0 1 Giáo dục Mầm non
11 Võ Thị Kiều Linh 054305009412 2005-09-08 Nữ M01 1 0 1 Giáo dục Mầm non
12 Phan Cẩm Ly 054305002216 2005-01-13 Nữ M01 2NT 0 1 Giáo dục Mầm non
13 Ngô Thị Thúy Ngân 054305007344 03/01/2005 Nữ M09 1 Giáo dục Mầm non
14 Phan Thị Thanh Nguyên 054305000232 2005-05-14 Nữ M01 2NT 0 1 Giáo dục Mầm non
15 Nguyễn Thị Huỳnh Như 054305037021 2005-09-15 Nữ M09 1 0 1 Giáo dục Mầm non
16 Ngô Thị Trinh Nữ 054305006541 2005-08-14 Nữ M01 1 0 1 Giáo dục Mầm non
17 Huỳnh Thị Kim Oanh 054305000760 2005-11-14 Nữ M01 2NT 0 1 Giáo dục Mầm non
18 Phạm Nguyễn Mai Phương 054305002933 2005-11-13 Nữ M01 2 0 1 Giáo dục Mầm non
19 Nguyễn Dương Mỹ Quyên 054305004478 2005-06-02 Nữ M01 2 0 1 Giáo dục Mầm non
20 Hồ Như Thảo 054305001740 2005-08-12 Nữ M09 2 0 1 Giáo dục Mầm non
21 Nguyễn Anh Thương 054305007257 2005-09-05 Nữ M01 2NT 0 2 Giáo dục Mầm non
22 Tô Thanh Thuy 054304000630 2004-01-03 Nữ M09 1 0 1 Giáo dục Mầm non
23 Nguyễn Thị Minh Thúy 054305000806 2005-03-24 Nữ M01 2NT 0 1 Giáo dục Mầm non
24 Trần Thị Bảo Trâm 054305001717 2005-08-09 Nữ M09 1 0 1 Giáo dục Mầm non
25 Nguyễn Thị Tố Trinh 054305006651 2005-09-30 Nữ M09 2NT 0 1 Giáo dục Mầm non
1 Lê Phong Hào 054205004512 07/06/2005 Nam A00 2NT 0 1 Nông nghiệp
2 Sô Minh Khải 054205000968 19/09/2005 Nam A00 1 01 1 Nông nghiệp
Page 17

TONG HOP_ho so.pdf

  • 1.
    STT CMND Ngàysinh GT KHỐI KV ĐT NV Tên Ngành Ghi chú 1 Lê Nam Bình 054205001815 2005-12-29 Nam A01 2 0 1 Ngôn ngữ Anh 2 Lê Thị Minh Châu 054305006561 2005-09-02 Nữ D01 2 0 1 Ngôn ngữ Anh 3 Ksơr Hờ Duyên 054304002754 07/08/2004 D14 1 Ngôn ngữ Anh 4 Đỗ Quỳnh Giang 054305004749 2005-06-09 Nữ D14 2 0 1 Ngôn ngữ Anh 5 Nguyễn Thị Mỹ Hằng 054305007457 2005-01-06 Nữ D14 2 0 1 Ngôn ngữ Anh 6 Phan Thuý Hằng 054305006936 2005-06-02 Nữ D14 2 0 1 Ngôn ngữ Anh 7 Nguyễn Ngọc Huấn 042205012218 2005-05-07 Nam A01 2NT 0 1 Ngôn ngữ Anh 8 Dương Thị Thúy Kiều 054305000480 2005-05-09 Nữ D10 1 0 1 Ngôn ngữ Anh 10 Võ Thị Mỹ Linh 054305000847 2005-07-10 Nữ D01 1 0 1 Ngôn ngữ Anh 11 Nguyễn Hoàng Nhã Linh 054305000489 2005-07-16 Nữ D14 2NT 0 1 Ngôn ngữ Anh 12 Lê Nguyễn Ngọc Linh 054305007767 16/05/2005 D01 1 Ngôn ngữ Anh 13 Nguyễn Hải Minh 054205001111 2005-09-17 Nam A01 1 0 2 Ngôn ngữ Anh 14 Phan Trần Bảo Ngân 054305009759 2005-10-01 Nữ A01 2 0 1 Ngôn ngữ Anh 15 Hà Bích Ngọc 054305001811 2005-11-16 Nữ A01 2NT 0 1 Ngôn ngữ Anh 16 Lê Thảo Bích Nguyên 054305000615 2005-09-13 Nữ D01 2NT 0 1 Ngôn ngữ Anh 17 Bùi Thanh Nhã 054305000473 2005-01-04 Nữ D10 2NT 0 1 Ngôn ngữ Anh 18 Nguyễn Phạm Yến Nhi 054305002693 2005-06-02 Nữ D01 2 0 1 Ngôn ngữ Anh 19 Đoàn Thị Thảo Nhi 054305000573 2005-10-25 Nữ D01 2NT 0 1 Ngôn ngữ Anh 20 Võ Ngô Như Quỳnh 054305008908 2005-08-27 Nữ D01 2 0 1 Ngôn ngữ Anh 21 Đào Nhật Thành 054205009597 2005-04-23 Nam D01 2 0 1 Ngôn ngữ Anh 22 Lương Thị Diệu Thảo 054305005234 2005-09-10 Nữ D14 2 0 1 Ngôn ngữ Anh 23 Lương Công Toàn 054205001456 2005-04-12 Nam A01 2 0 1 Ngôn ngữ Anh 24 Lương Nguyễn Quỳnh Trâm 054305005747 2005-07-06 Nữ D14 2NT 0 1 Ngôn ngữ Anh 25 Nguyễn Hoàng Tú Uyên 054305005630 2005-11-08 Nữ A01 2NT 0 1 Ngôn ngữ Anh 26 Lê Nguyễn Anh Hào 054205000580 28/07/2005 Nam D01 2NT 0 1 Ngôn ngữ Anh 27 Huỳnh Thanh Tú 054305003006 11/11/2005 Nam D01 2 0 1 Ngôn ngữ Anh 28 Lê Đình Vĩnh An 054204001687 24/03/2004 Nam A01 2 0 1 Ngôn ngữ Anh DANH SÁCH THÍ SINH NỘP HỒ SƠ XÉT TUYỂN - ĐỢT 1 NĂM 2023 PHƯƠNG THỨC XÉT TUYỂN: ĐIỂM HỌC TẬP THPT (HỌC BẠ) Họ Tên Page 1
  • 2.
    STT CMND Ngàysinh GT KHỐI KV ĐT NV Tên Ngành Ghi chú Họ Tên 29 Võ Thảo Giang 054305001956 20/06/2005 Nữ D10 2 0 1 Ngôn ngữ Anh 30 Lương Huỳnh Diễm Tiên 054305000620 06/04/2005 Nữ D01 2NT 0 1 Ngôn ngữ Anh 31 Nguyễn Trần Ái Mỹ 054304001930 13/02/2004 Nữ D01 2 0 1 Ngôn ngữ Anh 32 Nguyễn Thị Kim Yến 054305000641 03/07/2005 Nữ D01 2NT 0 1 Ngôn ngữ Anh 33 Nguyễn Đặng Thúy Lan 054305005290 24/11/2005 Nữ A01 2NT 0 1 Ngôn ngữ Anh 34 Nguyễn Trần Mỹ Tâm 054305010079 26/09/2005 Nữ A01 1 0 1 Ngôn ngữ Anh 1 Nguyễn Hoàng Ân 054205002839 2005-03-30 Nam A00 2 0 1 Công nghệ thông tin 2 Dương Quốc Bảo 054205007898 2005-02-22 Nam D01 2 0 1 Công nghệ thông tin 3 Lê Bảo Châu 054305006057 2025-07-24 Nữ A00 2 0 1 Công nghệ thông tin 4 Đỗ Tiến Đạt 054203008861 2003-11-25 Nam A00 1 0 1 Công nghệ thông tin 5 Nguyễn Ngọc Đạt 054205000524 2005-02-26 Nam A00 1 0 1 Công nghệ thông tin 6 Nguyễn Minh Đức 054204003263 2004-04-20 Nam A00 2 0 1 Công nghệ thông tin 7 Trần Phan Ngọc Hà 054305000732 2005-01-11 Nữ A00 1 0 1 Công nghệ thông tin 8 Võ Nguyên Hải 054204008043 2004-09-30 Nam A00 1 0 1 Công nghệ thông tin 9 Thái Minh Hiền 054205006948 2005-02-14 Nam D01 2 0 1 Công nghệ thông tin 10 Đặng Thị Việt Hòa 054305009682 2005-09-09 Nữ A00 2NT 0 1 Công nghệ thông tin 11 Lê Phạm Mỹ Lệ 054305002207 02/09/2005 Nữ A01 2NT 0 1 Công nghệ thông tin 12 Bùi Thu Miên 054305037610 04/05/2005 Nữ A00 2 0 1 Công nghệ thông tin 13 Phạm Yến Nhi 054305001165 2005-04-09 Nữ A00 2NT 0 1 Công nghệ thông tin 14 Huỳnh Đức Sâm 054205001260 2005-08-11 Nam A00 2NT 0 1 Công nghệ thông tin 15 Nguyễn Thị Thanh Thảo 054305000610 2005-09-17 Nữ A00 2NT 0 1 Công nghệ thông tin 16 Nguyễn Thanh Triệu 054204010349 2004-12-17 Nam A00 2 0 1 Công nghệ thông tin 17 Hồ Nhật Tú Trinh 054305001170 13/06/2005 Nữ D01 2NT 0 1 Công nghệ thông tin 1 Võ Thị Trúc Đào 054305002716 13/12/2005 Nữ A00 0 1 Quản trị kinh doanh 2 Kiều Thị Mỹ Dung 054302000524 06/10/2002 Nữ D01 0 1 Quản trị kinh doanh 3 Lê Thuỵ Mỹ Duyên 054305000145 2005-01-09 Nữ A00 1 0 1 Quản trị kinh doanh 4 Lê Võ Ngọc Hân 054305000026 2005-10-02 Nữ A00 2 0 1 Quản trị kinh doanh 5 Lê Thị Hân 054305002599 2005-08-14 Nữ A00 2 0 1 Quản trị kinh doanh 6 Nguyễn Thị Như Hảo 054305001236 27/02/2005 Nữ A00 0 1 Quản trị kinh doanh 7 Nguyễn Trúc Thanh Hợp 054305000980 2005-11-04 Nữ A01 2NT 0 1 Quản trị kinh doanh 8 Trần Lê Kim Huệ 054305009234 01/07/2005 Nữ A00 0 1 Quản trị kinh doanh Page 2
  • 3.
    STT CMND Ngàysinh GT KHỐI KV ĐT NV Tên Ngành Ghi chú Họ Tên 9 Nguyễn Nhật Hương 054305007601 23/11/2005 Nữ A00 0 1 Quản trị kinh doanh 10 Hà Minh Huy 054205000833 13/08/2005 Nam A00 0 1 Quản trị kinh doanh 11 Nguyễn Thị Thu Huyền 054305009064 25/10/2005 Nữ A00 0 1 Quản trị kinh doanh 12 Đoàn Khánh Linh 054205003170 2005-04-26 Nam A00 2NT 0 1 Quản trị kinh doanh 13 Phan Thùy Linh 054305000782 09/10/2005 Nữ A00 0 1 Quản trị kinh doanh 14 Nguyễn Thị Kim Mi 054305006616 2005-06-12 Nữ A00 1 0 1 Quản trị kinh doanh 15 Nguyễn Bảo Minh Nhật 054305002788 2005-02-17 Nữ D01 2 0 1 Quản trị kinh doanh 16 Trần Thị Lan Nhi 054305004690 2005-12-17 Nữ D01 1 0 1 Quản trị kinh doanh 17 Nguyễn Thị Xuân Phấn 054305005706 2005-09-02 Nữ D10 2 0 1 Quản trị kinh doanh 18 Nguyễn Ngọc Minh Phương 054305005221 2005-03-15 Nữ A01 2 0 1 Quản trị kinh doanh 19 Lê Minh Phương 054305009444 13/11/2005 Nữ D10 0 1 Quản trị kinh doanh 20 Nguyễn Anh Quân 054205009221 31/01/2005 Nam D01 0 1 Quản trị kinh doanh 21 Nguyễn Thị Tố Quyên 054305005156 2005-11-22 Nữ A01 1 0 1 Quản trị kinh doanh 22 Nguyễn Như Quỳnh 054305001230 2005-11-29 Nữ D10 1 0 1 Quản trị kinh doanh 23 Nguyễn Thị Diễm Quỳnh 054302000277 2002-03-08 Nữ D10 2NT 0 1 Quản trị kinh doanh 24 Phạm Thị Thúy Sim 054305000965 2005-12-14 Nữ D10 2NT 0 1 Quản trị kinh doanh 25 Trần Thị Thanh Sương 054305002495 2005-08-11 Nữ D01 1 0 1 Quản trị kinh doanh 26 Nguyễn Thị Mỹ Tâm 054305007020 28/07/2005 Nữ A00 0 1 Quản trị kinh doanh 27 Võ Thị Thu Thảo 054305009040 21/03/2005 Nữ A00 0 1 Quản trị kinh doanh 28 Phan Thị Cẩm Thơm 054305004066 2005-07-03 Nữ D01 2NT 0 1 Quản trị kinh doanh 29 Nguyễn Thị Hà Tiên 054305009936 2005-10-25 Nữ D01 1 0 1 Quản trị kinh doanh 30 Huỳnh Thị Kim Vấn 054305004488 2005-06-09 Nữ A00 2 0 1 Quản trị kinh doanh 31 Nguyễn Thị Mỹ Viện 054305006203 2005-01-04 Nữ D01 1 0 1 Quản trị kinh doanh 32 Phạm Thị Bích Mi 054305037043 30/07/2005 Nữ D01 2 0 1 Quản trị kinh doanh 33 Nguyễn Thị Thu Huyền 054305000245 30/08/2005 Nữ A00 1 0 1 Quản trị kinh doanh 34 Lương Thị Vần 004305001355 27/11/2005 Nữ A00 1 01 1 Quản trị kinh doanh 35 Trần Thị Mỹ Hạnh 054305000972 10/01/2005 Nữ D10 2NT 0 1 Quản trị kinh doanh 36 Trần Thị Ánh Ngọc 052305013879 30/08/2005 Nữ A00 1 0 1 Quản trị kinh doanh 37 Lê Thị Thảo 054305007637 15/02/2005 Nữ A00 2NT 0 1 Quản trị kinh doanh 38 Nguyễn ngọc Nguyên Nhi 054305007706 29/09/2005 Nữ D01 2 0 1 Quản trị kinh doanh 1 Nguyễn Tiến Đạt 054205001887 2005-10-27 Nam C00 2NT 0 1 Việt Nam học Page 3
  • 4.
    STT CMND Ngàysinh GT KHỐI KV ĐT NV Tên Ngành Ghi chú Họ Tên 2 Vương Nguyễn Khánh Huyền 054305006149 2005-01-27 Nữ C00 1 0 1 Việt Nam học 3 Nguyễn Phạm Hoàng Long 054205007333 2005-06-16 Nam D14 2 0 1 Việt Nam học 4 Nguyễn Hoàn Mỹ 054300003490 2000-06-19 Nữ C00 2 0 1 Việt Nam học 5 Võ Thị Anh Thơ 054305001819 29/03/2005 Nữ C00 0 1 Việt Nam học 6 Lưu Ngọc Thư 054305005622 2005-04-30 Nữ C00 1 0 1 Việt Nam học 7 Phạm Thị Mỹ Tình 054305004414 2005-08-29 Nữ C00 2 0 1 Việt Nam học 8 Trần Quốc Thiện 054205004090 2023-05-16 Nam D14 2 0 1 Việt Nam học 9 Huỳnh Thu Duyên 054305037017 2005-05-11 Nữ C00 1 0 1 Việt Nam học 10 Huỳnh Thị Diệu Uyên 054305007485 16/05/2005 Nữ C00 2NT 0 1 Việt Nam học 11 Trương Ngọc Định 054205009842 28/02/2005 Nam C00 2NT 0 1 Việt Nam học 12 Linh Thị Tuyết Trinh 054305001205 14/09/2005 Nữ C00 1 01 1 Việt Nam học 13 Bùi Thị Thanh Nhàn 054304008066 01/11/2004 Nữ C00 1 0 1 Việt Nam học 1 Ngô Thị Thu Ba 051305009498 2005-10-20 Nữ A00 1 0 1 Sư phạm Toán học 2 Phạm Bằng 052205000787 2005-03-04 Nam A00 1 0 1 Sư phạm Toán học 3 Nguyễn Gia Bảo 054099000110 1999-11-18 Nam A00 2 0 1 Sư phạm Toán học 4 Trần An Bình 052305012736 2005-08-20 Nữ A00 2 0 1 Sư phạm Toán học 5 Hoàng Khánh Bình 054305003004 A01 2 1 Sư phạm Toán học 6 Trịnh Lê Hồng Đào 064305005788 2005-07-22 Nữ B00 1 0 1 Sư phạm Toán học 7 Nguyễn Thị Hương Giang 052305007883 2005-01-21 Nữ A00 1 0 1 Sư phạm Toán học 8 Lường Hương Giang 038305006477 2005-07-19 Nữ D01 1 0 1 Sư phạm Toán học 9 Nguyễn Thị Nhật Hoài 054305002288 2005-10-24 Nữ B00 1 0 1 Sư phạm Toán học 10 Nguyễn Hoàng Hưng 054204009790 2004-09-19 Nam A01 1 0 1 Sư phạm Toán học 11 Trần Hồng Hương 060305001882 2005-03-25 Nữ A01 2 0 1 Sư phạm Toán học 12 Huỳnh Thị Trúc Kha 054304008902 2004-02-29 Nữ A00 1 0 1 Sư phạm Toán học 13 Phạm Thanh Khánh 052205002033 2005-07-23 Nam A01 2 0 1 Sư phạm Toán học 14 Phạm Nhật Lam 054305000496 2005-03-19 Nữ D01 2NT 0 1 Sư phạm Toán học 15 Ngô Trần Khánh Linh 054305008583 2005-10-09 Nữ D01 2 0 1 Sư phạm Toán học 16 Cao Cẩm Ly 052305014026 2005-07-18 Nữ A00 2NT 0 1 Sư phạm Toán học 17 Huỳnh Nguyễn Ngọc Minh 054205001836 2005-12-04 Nam B00 2 0 1 Sư phạm Toán học 18 Đoàn Thị Trà My 054305006371 2005-03-16 Nữ A00 2NT 0 1 Sư phạm Toán học 19 Đỗ Thị Nga 064305010816 2005-09-01 Nữ A01 2NT 0 1 Sư phạm Toán học Page 4
  • 5.
    STT CMND Ngàysinh GT KHỐI KV ĐT NV Tên Ngành Ghi chú Họ Tên 20 Nguyễn Quỳnh Nga 054305000608 2005-12-14 Nữ B00 2NT 0 1 Sư phạm Toán học 21 Nguyễn Huỳnh Bảo Ngọc 052305000413 2005-08-13 Nữ A01 2NT 0 1 Sư phạm Toán học 22 Võ Như Bích Ngọc 054305007178 2005-12-08 Nữ A01 1 0 1 Sư phạm Toán học 23 Phạm Nguyễn Thục Nhi 054305009193 2005-10-10 Nữ B00 2 0 1 Sư phạm Toán học 24 Đỗ Thị Diễm Nhi 054305005693 2005-06-10 Nữ B00 2 0 1 Sư phạm Toán học 25 Trần Ngô Xuân Như 054305037650 2005-06-03 Nữ B00 2 0 1 Sư phạm Toán học 26 Dương Bùi Tâm Như 054305004429 2005-12-09 Nữ D01 2 0 1 Sư phạm Toán học 27 Nguyễn Nữ Hồng Nhung 054305000366 D01 2NT 1 Sư phạm Toán học 28 Lê Văn Phong 054205002672 2005-04-23 Nam A01 2 0 1 Sư phạm Toán học 29 Phan Hoàn Phương 054204004916 2004-11-11 Nam A01 2 0 1 Sư phạm Toán học 30 Phan Hoàn Phương 054204004916 2004-11-11 Nam A00 2 0 1 Sư phạm Toán học 31 Trương tường quy 054305004814 2005-10-30 Nữ B00 2NT 0 1 Sư phạm Toán học 32 Đào Thị Ngọc Quỳnh 054305000661 B00 2NT 1 Sư phạm Toán học 33 Nguyễn Đức Thắng 096205001736 2005-03-02 Nam A01 2 0 1 Sư phạm Toán học 34 Nguyễn Việt Thành 054205001869 2005-09-01 Nam A00 2NT 0 1 Sư phạm Toán học 35 Nguyễn Thị Thu Thảo 054305000497 2005-02-21 Nữ A00 2NT 0 1 Sư phạm Toán học 36 Huỳnh Thị Thủy 054305000769 A00 2NT 1 Sư phạm Toán học 37 Nguyễn Thị Trâm 054305004029 2005-07-24 Nữ A00 2NT 0 1 Sư phạm Toán học 38 Thái Huỳnh Trân 054305006432 2005-12-30 Nữ A01 2NT 0 1 Sư phạm Toán học 39 Đỗ Huyền Trân 064305018329 2023-01-23 Nữ B00 1 0 1 Sư phạm Toán học 40 Lê Nữ Thuỳ Trang 054305009250 2005-04-04 Nữ A00 1 0 1 Sư phạm Toán học 41 Phùng Thị Huyền Trang 066305011898 2005-02-13 Nữ A01 2NT 0 1 Sư phạm Toán học 42 Nguyễn Thị Cẩm Tú 064305002418 2005-12-04 Nữ A01 1 0 1 Sư phạm Toán học 43 Nguyễn Thị Thanh Tuyến 052305012884 2005-05-19 Nữ B00 2NT 0 1 Sư phạm Toán học 44 Nguyễn Khánh Vân 054305006929 2005-06-28 Nữ A01 2 0 1 Sư phạm Toán học 45 Võ tá Cao Văn 070205003782 2005-02-06 Nam A01 2 0 1 Sư phạm Toán học 46 Lê Thị Hồng Vi 054305004338 2005-10-16 Nữ A00 2 0 1 Sư phạm Toán học 47 Hán Thị Hồng Vy 058305000758 2005-03-16 Nữ A00 1 1 1 Sư phạm Toán học 48 Nguyễn Như Ý 054205003131 2005-11-23 Nam A00 2 0 1 Sư phạm Toán học 49 Võ Bá Thiệu 054205000638 24/04/2005 Nam A00 2 0 1 Sư phạm Toán học 50 Nguyễn Võ Ngọc Nguyên 054305001888 24/10/2005 Nam A01 1 0 1 Sư phạm Toán học Page 5
  • 6.
    STT CMND Ngàysinh GT KHỐI KV ĐT NV Tên Ngành Ghi chú Họ Tên 51 Võ Nguyễn Thiên Thiên 054305006443 19/04/2005 Nữ A00 1 0 1 Sư phạm Toán học 52 Nguyễn Thị Cát Tuyền 054305005453 19/01/2005 Nữ B00 2 0 1 Sư phạm Toán học 53 Đỗ Nam Hải 054205007159 07/04/2005 Nam A01 2 0 1 Sư phạm Toán học 54 Thái Thị Diệu Hiền 054305000871 01/03/2005 Nữ A00 1 0 1 Sư phạm Toán học 55 Ngô Thị Hoài 040305003929 04/07/2005 Nữ D01 2 0 1 Sư phạm Toán học 56 Phạm Thị Trang 054305001142 26/01/2005 Nữ A01 2NT 0 1 Sư phạm Toán học 57 Hồ Minh Vũ 054205005988 18/02/2005 Nam A00 2NT 0 1 Sư phạm Toán học 58 Lê nguyễn Hoàng Vinh 054205006490 03/04/2005 Nam A00 2 0 1 Sư phạm Toán học 59 Lê Thị Hiền Nhi 054305005666 18/08/2005 Nữ B00 2 0 1 Sư phạm Toán học 60 Nguyễn Thị Phương Thảo 052305001907 22/02/2003 Nữ A01 2NT 0 1 Sư phạm Toán học 61 Phạm Thị Bích Tâm 054305002603 13/05/2005 Nữ A00 2 0 1 Sư phạm Toán học 62 Bùi Thị Hiền Diệu 054305005972 22/10/2005 Nữ D01 2NT 0 1 Sư phạm Toán học 63 Nguyễn Hoàng Hà 054205000994 26/1/2005 Nam A00 2NT 0 1 Sư phạm Toán học 64 Nguyễn Lê Bích Như 054305006042 27/10/2005 Nữ A01 2NT 0 1 Sư phạm Toán học 65 Nguyễn Như Quỳnh 054305002562 14/022005 Nữ A00 2NT 0 1 Sư phạm Toán học 1 Lục Thị An 067305003301 2005-01-28 Nữ C00 2NT 1 1 Giáo dục Tiểu học 2 Nguyễn Đoàn Trâm Anh 052305002398 2005-07-31 Nữ C00 2NT 0 1 Giáo dục Tiểu học 3 Lê Huỳnh Trâm Anh 054305009554 2005-09-07 Nữ C00 2NT 0 1 Giáo dục Tiểu học 4 Thân Thị Trang Anh 054305005605 2005-03-17 Nữ A00 1 0 1 Giáo dục Tiểu học 5 Nguyễn Nhất Anh 054305000228 2005-02-22 Nữ A01 1 0 1 Giáo dục Tiểu học 6 Nguyễn Lan Anh 054305001162 2005-02-22 Nữ A01 1 0 1 Giáo dục Tiểu học 7 Nguyễn Thị Ngọc Ánh 064304000311 2004-06-15 Nữ A00 1 0 1 Giáo dục Tiểu học 8 Sô Thị Ánh 054305002341 2005-10-07 Nữ C00 1 1 1 Giáo dục Tiểu học 9 Nguyễn Thị Ngọc Ánh 054199008297 12/05/1999 Nữ C00 2NT 0 1 Giáo dục Tiểu học 10 Vũ Cao Gia Bảo 054305001238 2005-11-25 Nữ C00 2 0 1 Giáo dục Tiểu học 11 Lê Ngọc Bảo 054205000179 2005-10-01 Nam C00 1 1 1 Giáo dục Tiểu học 12 Nguyễn Thị Ngọc Bích 054305002267 2005-07-01 Nữ A00 1 0 1 Giáo dục Tiểu học 13 Võ Thị Như Bình 054305007301 2005-03-02 Nữ C00 2 0 1 Giáo dục Tiểu học 14 Nguyễn Thanh Bình 054305005918 2005-06-22 Nữ C00 2 6 1 Giáo dục Tiểu học 15 Nguyễn Thị Như Bình 054305004472 2005-03-08 Nữ C00 2 0 1 Giáo dục Tiểu học 16 Huỳnh Ngọc Á Châu 054305000511 2005-08-20 Nữ C00 2NT 0 1 Giáo dục Tiểu học Page 6
  • 7.
    STT CMND Ngàysinh GT KHỐI KV ĐT NV Tên Ngành Ghi chú Họ Tên 17 Trần Ngọc Châu 051305002305 2005-09-13 Nữ A00 2NT 0 1 Giáo dục Tiểu học 18 Nguyễn Thị Hoàng Châu 054305009470 2005-03-15 Nữ A00 1 0 1 Giáo dục Tiểu học 19 Lưu Thị Yên Chi 054305003917 2005-06-26 Nữ A00 2NT 0 1 Giáo dục Tiểu học 20 Hoàng Nguyễn Quỳnh Chi 052305005434 2005-02-28 Nữ A01 2 0 1 Giáo dục Tiểu học 21 Trương Thành Công 054204010283 2004-07-19 Nam A00 1 0 1 Giáo dục Tiểu học 22 Phạm Huỳnh Cúc 054305000807 2005-11-03 Nữ A00 2NT 0 1 Giáo dục Tiểu học 23 Phạm Dương Minh Cường 054205008608 2005-11-12 Nam A00 2NT 0 1 Giáo dục Tiểu học 24 Lê Thị Linh Đa 054304007725 2004-05-01 Nữ A01 1 0 1 Giáo dục Tiểu học 25 Đặng Thị Thúy Diễm 054305006966 2005-10-01 Nữ A00 2NT 0 1 Giáo dục Tiểu học 26 Nguyễn Ngọc Bích Diễm 054305002132 2005-09-09 Nữ A00 1 0 1 Giáo dục Tiểu học 27 Nguyễn Thị Kiều Diễm 054304008460 2004-06-17 Nữ C00 2NT 0 1 Giáo dục Tiểu học 28 Nguyễn Thúy Diễm 054305009403 2005-03-10 Nữ A00 2NT 0 1 Giáo dục Tiểu học 29 Phan Thị Trúc Diệp 054305009445 2005-06-23 Nữ D01 2 0 1 Giáo dục Tiểu học 30 Nguyễn Thị Ngọc Điệp 054304002512 2004-05-04 Nữ C00 1 0 1 Giáo dục Tiểu học 31 Hồ Thị Diệu 054305008245 2005-07-11 Nữ D01 2NT 0 1 Giáo dục Tiểu học 32 Ksor H Đinh 054305007733 2005-11-12 Nữ C00 1 1 1 Giáo dục Tiểu học 33 Trần Ngọc Quỳnh Đoan 054305002474 2005-04-24 Nữ C00 1 0 1 Giáo dục Tiểu học 34 Nguyễn Trình Tiểu Đoan 054305008151 2005-03-12 Nữ A01 1 0 1 Giáo dục Tiểu học 35 Ksor Hờ Dơn 054305002841 2005-08-12 Nữ C00 1 1 1 Giáo dục Tiểu học 36 Trần Thu Đông 054305001802 2005-05-04 Nữ C00 1 0 1 Giáo dục Tiểu học 37 Nguyễn Thị Mỹ Dung 054305031106 2005-09-18 Nữ C00 2 0 1 Giáo dục Tiểu học 38 Lê Ngọc Bảo Duy 054305007487 2005-03-04 Nữ C00 2NT 0 1 Giáo dục Tiểu học 39 Võ Thị Hồng Duyên 054304000352 2004-02-22 Nữ C00 2 0 1 Giáo dục Tiểu học 40 Trần Thị Ngọc Duyên 052305002070 2005-01-11 Nữ D01 2 0 1 Giáo dục Tiểu học 41 Trần Cẩm Duyên 054303002332 2003-04-27 Nữ A00 2NT 0 1 Giáo dục Tiểu học 42 Lương Thanh Duyên 066305014080 2005-02-02 Nữ C00 1 0 1 Giáo dục Tiểu học 43 Nguyễn Thị Mỹ Duyên 054304004685 2004-09-20 Nữ C00 2NT 0 1 Giáo dục Tiểu học 44 Phạm Thị Mỹ Duyên 054305006644 2005-05-05 Nữ A00 2NT 0 1 Giáo dục Tiểu học 45 Trần Vũ Hà Giang 52303000315 2003-04-28 Nữ C00 1 0 1 Giáo dục Tiểu học 46 Nguyễn Thị Ngọc Giàu 054305007155 2005-01-15 Nữ C00 2NT 0 1 Giáo dục Tiểu học 47 Nguyễn Thị Ngọc Giàu 054305007155 2005-01-15 Nữ C00 2 0 1 Giáo dục Tiểu học Page 7
  • 8.
    STT CMND Ngàysinh GT KHỐI KV ĐT NV Tên Ngành Ghi chú Họ Tên 48 Nguyễn Thị Thu Hà 068305011248 2005-02-26 Nữ A00 1 0 1 Giáo dục Tiểu học 49 Nguyễn Việt Hà 054305002242 2005-10-15 Nữ A01 1 0 1 Giáo dục Tiểu học 50 Huỳnh Trần Khánh Hân 054304002943 2004-12-05 Nữ A00 1 0 1 Giáo dục Tiểu học 51 Huỳnh Trần Gia Hân 054304002945 2004-12-05 Nữ A00 1 0 1 Giáo dục Tiểu học 52 Nguyễn Thị Bích Hân 054305001239 2005-10-10 Nữ C00 2 0 1 Giáo dục Tiểu học 53 Trần Đỗ Gia Hân 052305013743 2005-08-14 Nữ A00 2 0 1 Giáo dục Tiểu học 54 Huỳnh Thị Ngọc Hân 052305006385 2005-09-23 Nữ C00 2 0 1 Giáo dục Tiểu học 55 Nguyễn Thị Thúy Hằng 054305008512 2005-08-22 Nữ C00 2NT 0 1 Giáo dục Tiểu học 56 Nguyễn Thị Hằng 054305004304 2005-10-16 Nữ A00 1 0 1 Giáo dục Tiểu học 57 Võ Như Hằng 052305006126 2005-12-28 Nữ C00 2 0 1 Giáo dục Tiểu học 58 Lê Thị Thu Hằng 054305001895 2005-09-23 Nữ C00 2NT 0 1 Giáo dục Tiểu học 59 Trương Diễm Hằng 054305008445 2005-06-10 Nữ A00 2NT 0 1 Giáo dục Tiểu học 60 Đoàn Bích Hằng 054305004065 20/03/2005 Nữ C00 2NT 0 1 Giáo dục Tiểu học 61 Trần Mỹ Hạnh 054305010049 2005-12-26 Nữ C00 1 0 1 Giáo dục Tiểu học 62 Trần Mỹ Hạnh 054305010049 2005-12-26 Nữ C00 2 0 1 Giáo dục Tiểu học 63 Nguyễn Nữ Như Hảo 054305000609 2005-04-13 Nữ C00 2NT 0 1 Giáo dục Tiểu học 64 Trần Thị Út Hiền 054305005524 2005-09-11 Nữ C00 2 0 1 Giáo dục Tiểu học 65 Nguyễn Thị Thu Hiền 054305002332 2005-01-23 Nữ C00 2 0 1 Giáo dục Tiểu học 66 Lâm Thị Như Hiền 054305001181 2005-05-09 Nữ C00 2NT 0 1 Giáo dục Tiểu học 67 Nguyễn Huỳnh Minh Hiếu 054305006785 2005-08-05 Nữ D01 1 0 1 Giáo dục Tiểu học 68 Nguyễn Nhật Hoa 054305007964 2005-05-06 Nữ C00 2 0 1 Giáo dục Tiểu học 69 Nguyễn Mai Trang Hoà 054305002415 2005-11-22 Nữ 1 0 1 Giáo dục Tiểu học 70 Nguyễn Mai Trang Hoà 054305002415 2005-11-22 Nữ C00 2NT 0 1 Giáo dục Tiểu học 71 Phạm Như Hoà 054305009392 2005-11-10 Nữ C00 2NT 0 1 Giáo dục Tiểu học 72 Đầu Thị Khánh Hoà 066304001981 2004-10-16 Nữ C00 1 0 1 Giáo dục Tiểu học 73 Võ Nguyễn Sang Hòa 054305037068 2005-07-28 Nữ A00 2NT 0 1 Giáo dục Tiểu học 74 Lê Nguyên Hoài 054205001016 2005-06-02 Nam A00 1 0 1 Giáo dục Tiểu học 75 Phùng Mỹ Hoàng 052305013576 2005-05-07 Nữ C00 1 0 1 Giáo dục Tiểu học 76 Lưu Thị Minh Hồng 054305002328 9/17/2005 Nữ A00 2 0 1 Giáo dục Tiểu học 77 Trần Thị Bích Hợp 054305002879 2005-07-11 Nữ D01 2NT 1 1 Giáo dục Tiểu học 78 Rcom H'Tâm 064304002309 2004-05-06 Nữ C00 1 1 1 Giáo dục Tiểu học Page 8
  • 9.
    STT CMND Ngàysinh GT KHỐI KV ĐT NV Tên Ngành Ghi chú Họ Tên 79 Lê Thanh Huệ 054305004221 2005-08-28 Nữ C00 2 0 1 Giáo dục Tiểu học 80 Trần Gia Huệ 054305001773 2005-05-13 Nữ C00 1 0 1 Giáo dục Tiểu học 81 Thiều Thị Kim Huệ 054305001645 2005-08-06 Nữ C00 2NT 0 1 Giáo dục Tiểu học 82 Nguyễn Thị Hương 054305006648 2005-03-15 Nữ A00 2 0 1 Giáo dục Tiểu học 83 Đào Thu Hương 054305000810 2005-06-02 Nữ C00 2NT 0 1 Giáo dục Tiểu học 84 Nguyễn Ngô Quỳnh Hương 054305004908 2005-01-22 Nữ A01 2 0 1 Giáo dục Tiểu học 85 Nguyễn Ngô Thị Diễm Huy 054305007293 2005-02-06 Nữ C00 2NT 0 1 Giáo dục Tiểu học 86 Nguyễn Linh Huyền 054305005138 2005-01-17 Nữ C00 2NT 0 1 Giáo dục Tiểu học 87 Trần Thị Thu Huyền 054305004811 2005-02-22 Nữ A00 2NT 0 1 Giáo dục Tiểu học 88 Nguyễn Thị Thu Huyền 054305009801 2005-10-19 Nữ C00 2NT 0 1 Giáo dục Tiểu học 89 Nguyễn Thị Thu Huyền 054305002380 2005-05-22 Nữ C00 2NT 0 1 Giáo dục Tiểu học 90 Phạm Khánh Huyền 064305014201 2005-02-22 Nữ D01 1 0 1 Giáo dục Tiểu học 91 Nguyễn Thị Kim Huyền 054305009477 03/08/2005 Nữ A00 1 0 1 Giáo dục Tiểu học 92 Võ Kiều Kha 054305000716 2005-11-29 Nữ C00 1 0 1 Giáo dục Tiểu học 93 Nguyễn Thị Hoài Kha 054305001753 2005-05-05 Nữ C00 1 0 1 Giáo dục Tiểu học 94 Trần Ngọc Như Khương 054305002333 2005-11-26 Nữ C00 2 0 1 Giáo dục Tiểu học 95 Lê Thị Hiếu Kiên 054305002349 2005-03-10 Nữ C00 1 1 1 Giáo dục Tiểu học 96 Nguyễn Lê Thạch Lâm 05434305001789 2005-10-22 Nữ 2NT 6 1 Giáo dục Tiểu học 97 Nguyễn Lê Thạch Lâm 054305001789 2005-10-22 Nữ 2NT 6 1 Giáo dục Tiểu học 98 Phạm Thị Lan 054305007232 2005-09-26 Nữ A00 1 0 1 Giáo dục Tiểu học 99 La Sô Phong Lan 054305002521 2005-10-26 Nữ C00 1 1 1 Giáo dục Tiểu học 100 Võ Kim Lanh 054305005319 2005-01-22 Nữ C00 1 0 1 Giáo dục Tiểu học 101 Nguyễn Thị Liên 054305000650 2005-06-15 Nữ C00 2NT 0 1 Giáo dục Tiểu học 102 Trương Thị Hồng Liến 054305000686 2005-11-16 Nữ C00 2NT 0 1 Giáo dục Tiểu học 103 Nguyễn Ngọc Linh 054305004277 2005-09-26 Nữ C00 2 0 1 Giáo dục Tiểu học 104 Thái Hồ Thuý Linh 054305000258 2005-03-22 Nữ C00 1 0 1 Giáo dục Tiểu học 105 Nguyễn Thị Mỹ Linh 054305002660 2005-05-24 Nữ D01 1 0 1 Giáo dục Tiểu học 106 Nguyễn Thị Diệu Linh 064305000226 2005-07-03 Nữ C00 1 0 1 Giáo dục Tiểu học 107 Trần Thị Uyển Linh 054305005446 2005-10-08 Nữ C00 2NT 0 1 Giáo dục Tiểu học 108 Huỳnh Thục Linh 054305001607 2005-11-21 Nữ A01 1 0 1 Giáo dục Tiểu học 109 Trần Thị Mỹ Loan 052305007657 2005-01-16 Nữ C00 1 0 1 Giáo dục Tiểu học Page 9
  • 10.
    STT CMND Ngàysinh GT KHỐI KV ĐT NV Tên Ngành Ghi chú Họ Tên 110 Phạm Thị Mỹ Loan 054305004037 2005-03-29 Nữ A00 2NT 0 1 Giáo dục Tiểu học 111 Đặng Kim Lộc 54305001899 2005-09-21 Nữ A00 2NT 0 1 Giáo dục Tiểu học 112 Vũ Bách Gia Lợi 054305002488 2005-10-16 Nữ A00 2NT 0 1 Giáo dục Tiểu học 113 Nguyễn Hữu Lượng 054205000348 2005-10-15 Nam A00 2NT 0 2 Giáo dục Tiểu học 114 Phan Thị Cẩm Ly 054305006190 2005-12-30 Nữ C00 2NT 0 1 Giáo dục Tiểu học 115 Hồ Thị Khánh Ly 040305023846 2005-05-17 Nữ A00 2 0 1 Giáo dục Tiểu học 116 Nguyễn Bích Ly 054305001791 2005-01-12 Nữ D01 2NT 0 1 Giáo dục Tiểu học 117 Tô Thị Lý 052305014081 2005-11-07 Nữ A00 2NT 0 1 Giáo dục Tiểu học 118 Huỳnh Thị Kiều Mai 054305001129 2005-10-13 Nữ C00 2 0 1 Giáo dục Tiểu học 119 Dương Triệu Mẫn 054305000943 2005-03-18 Nữ A00 1 1 1 Giáo dục Tiểu học 120 Trịnh Kiều Hoạ Mi 054305001194 2005-07-29 Nữ C00 2NT 0 1 Giáo dục Tiểu học 121 Phạm Lê Trà Mi 054305005677 2005-05-23 Nữ A00 2 0 1 Giáo dục Tiểu học 122 Phan Lệ Trà My 054304006362 2004-09-28 Nữ D01 1 0 1 Giáo dục Tiểu học 123 Nguyễn Ngọc Huyền My 054305004983 2005-07-14 Nữ A01 2 0 1 Giáo dục Tiểu học 124 Ngô Thị Trà My 054305007713 2005-07-19 Nữ A00 1 0 1 Giáo dục Tiểu học 125 Nguyễn Thị Trà My 054305005173 04/01/2005 Nữ A00 2NT 0 1 Giáo dục Tiểu học 126 Kpă Hờ Linh Nga 054305010023 2005-02-24 Nữ C00 1 0 1 Giáo dục Tiểu học 127 Nguyễn Thanh Nga 054305005791 2005-05-23 Nữ D01 2NT 0 1 Giáo dục Tiểu học 128 Nguyễn Ngọc Quỳnh Nga 054305002061 2005-10-16 Nữ D01 1 0 1 Giáo dục Tiểu học 129 Nguyễn Thị Tuyết Nga 054305009467 2005-09-03 Nữ A00 2NT 0 1 Giáo dục Tiểu học 130 Bùi Thị Thanh Ngân 054304005237 2004-10-29 Nữ A00 2NT 0 1 Giáo dục Tiểu học 131 Huỳnh Thúy Ngân 054305002742 2005-11-04 Nữ C00 1 0 1 Giáo dục Tiểu học 132 Cao Thị Thúy Ngân 054305003935 2005-05-28 Nữ C00 2NT 0 1 Giáo dục Tiểu học 133 Lê Thị Thuý Ngân 054199003422 1999-04-18 Nữ C00 2 0 1 Giáo dục Tiểu học 134 Mai Thảo Ngân 054305006618 2005-03-07 Nữ C00 2 0 1 Giáo dục Tiểu học 135 Nguyễn Thị Kim Ngân 054305005048 2005-10-26 Nữ A00 2NT 0 1 Giáo dục Tiểu học 136 Lê Hoài Bảo Ngọc 054305002656 2005-02-24 Nữ D01 2 0 1 Giáo dục Tiểu học 137 Đào Anh Ngọc 054305000780 2005-09-14 Nữ D01 2NT 0 1 Giáo dục Tiểu học 138 Trần Bích Ngọc 054305007897 2005-08-25 Nữ A00 2NT 0 1 Giáo dục Tiểu học 139 Nguyễn Đăng Nguyên 054205010765 2005-03-27 Nam A00 2 0 1 Giáo dục Tiểu học 140 Nguyễn Thị Thảo Nguyên 054305000947 2005-06-01 Nữ A00 1 0 1 Giáo dục Tiểu học Page 10
  • 11.
    STT CMND Ngàysinh GT KHỐI KV ĐT NV Tên Ngành Ghi chú Họ Tên 141 Lê Hạnh Nguyên 054305007943 2005-07-13 Nữ A00 2NT 0 1 Giáo dục Tiểu học 142 Nguyễn Thị Minh Nguyên 054305007587 2005-08-20 Nữ D01 2NT 0 1 Giáo dục Tiểu học 143 Đào Thuyết Nha 054305007375 2005-03-08 Nữ C00 1 0 1 Giáo dục Tiểu học 144 Nguyễn Thị Nhanh 054305007968 2005-02-13 Nữ C00 1 0 1 Giáo dục Tiểu học 145 Hoàng Ngọc Yến Nhi 054304002063 2004-09-30 Nữ A01 1 0 1 Giáo dục Tiểu học 146 Hà Thị Kim Nhi 054305007849 2005-01-01 Nữ C00 2 0 1 Giáo dục Tiểu học 147 Hà Thị Kim Nhi 064305000422 2005-09-04 Nữ C00 1 0 1 Giáo dục Tiểu học 148 Trương Thị Tố Nhi 054305000273 2005-08-10 Nữ C00 1 0 1 Giáo dục Tiểu học 149 Phạm Thị Yến Nhi 064305005471 2005-07-14 Nữ A00 1 0 1 Giáo dục Tiểu học 150 Nguyễn Thị Yến Nhi 054305004348 2005-10-11 Nữ C00 2NT 0 1 Giáo dục Tiểu học 151 Trần Yến Nhi 054305009907 2005-05-18 Nữ C00 1 0 1 Giáo dục Tiểu học 152 Nguyễn Thị Tâm Nhi 054305037072 2005-06-20 Nữ C00 1 0 1 Giáo dục Tiểu học 153 Trần Lê Quỳnh Như 054304003016 2004-09-15 Nữ D01 1 0 1 Giáo dục Tiểu học 154 Ca Thị Quỳnh Như 054305008050 2005-04-28 Nữ A01 2 0 1 Giáo dục Tiểu học 155 Nguyễn Thị Tố Như 054305000251 2005-06-30 Nữ A00 1 0 1 Giáo dục Tiểu học 156 Huỳnh Thị Tâm Như 054305008247 2005-09-26 Nữ C00 2NT 0 1 Giáo dục Tiểu học 157 Đoàn Thị Quỳnh Như 054305001728 2005-02-24 Nữ C00 1 0 1 Giáo dục Tiểu học 158 Nguyễn Thị Tâm Như 054305001244 2005-03-08 Nữ C00 1 0 1 Giáo dục Tiểu học 159 Huỳnh Thị Tâm Như 054305008499 2005-09-02 Nữ A00 2NT 0 1 Giáo dục Tiểu học 160 Trần Thị Bích Nhung 054305001821 2005-09-26 Nữ A01 2NT 0 1 Giáo dục Tiểu học 161 Nguyễn Thị Ngọc Nhung 054305008172 2005-05-24 Nữ A00 2NT 0 1 Giáo dục Tiểu học 162 Alê Hờ Nhước 054305004849 26/02/2005 Nữ C00 1 1 1 Giáo dục Tiểu học 163 Nguyễn Vũ Tú Ni 054305007476 2005-12-06 Nữ A01 2NT 0 1 Giáo dục Tiểu học 164 Châu Nguyễn Hàn Nhật Ny 054305037012 2005-11-28 Nữ A01 1 0 1 Giáo dục Tiểu học 165 Hồ Huỳnh Kim Oanh 054304000477 2004-10-21 Nữ A00 1 0 1 Giáo dục Tiểu học 166 Bùi Thị Kim Oanh 054305005893 2005-07-17 Nữ A00 2NT 0 1 Giáo dục Tiểu học 167 Trịnh Nguyễn Kim Pha 054305008735 2005-12-31 Nữ D01 1 0 1 Giáo dục Tiểu học 168 Nguyễn Thị Ngọc Phất 054305000515 2005-09-14 Nữ A00 2NT 0 1 Giáo dục Tiểu học 169 Lê Ô Hờ Phôn 054305002029 2023-05-28 Nữ C00 1 1 1 Giáo dục Tiểu học 170 Nguyễn Trúc Phương 054305000809 2005-06-28 Nữ A00 2NT 0 1 Giáo dục Tiểu học 171 Võ Quỳnh Phương 052305009172 2005-04-30 Nữ C00 1 0 1 Giáo dục Tiểu học Page 11
  • 12.
    STT CMND Ngàysinh GT KHỐI KV ĐT NV Tên Ngành Ghi chú Họ Tên 172 Võ Phan Hiền Phương 054305002924 2005-04-03 Nữ C00 2NT 0 1 Giáo dục Tiểu học 173 Đỗ Yến Phương 054305008205 2005-04-16 Nữ A00 1 0 1 Giáo dục Tiểu học 174 Trần Thị Mai Phương 054305010029 2005-04-02 Nữ A00 1 0 1 Giáo dục Tiểu học 175 Huỳnh Phương 054205008199 2005-04-21 Nam D01 2 0 1 Giáo dục Tiểu học 176 Nguyễn Thị Phượng 054305001183 2005-04-30 Nữ C00 1 0 1 Giáo dục Tiểu học 177 Đinh Hà Phương 052305007169 10/07/2005 Nữ C00 2NT 0 1 Giáo dục Tiểu học 178 Lê Vinh Quang 66204012175 2004-10-10 Nam A00 1 0 1 Giáo dục Tiểu học 179 Ksơr Hờ Quý 054305001097 2005-10-27 Nữ C00 1 1 1 Giáo dục Tiểu học 180 Võ Thị Mỹ Quyên 054304000884 2004-06-08 Nữ M09 2NT 0 1 Giáo dục Tiểu học 181 Đào Phạm Tú Quyên 052305010471 2005-11-19 Nữ C00 2 0 1 Giáo dục Tiểu học 182 Lý Nhật Quyên 054305009887 15/08/2005 Nữ C00 2 0 1 Giáo dục Tiểu học 183 Nguyễn Ngọc Diễm Quỳnh 54305037594 2005-09-02 Nữ D01 2 0 1 Giáo dục Tiểu học 184 Lê Dương Hải Quỳnh 054305007913 2005-03-04 Nữ C00 2NT 0 1 Giáo dục Tiểu học 185 Huỳnh Võ Như Quỳnh 054305000939 2005-08-15 Nữ D01 1 0 1 Giáo dục Tiểu học 186 So Hờ Quỳnh 054305009700 2005-05-11 Nữ C00 1 1 1 Giáo dục Tiểu học 187 Lê Nguyễn Mai Quỳnh 054305002045 2005-05-24 Nữ C00 2NT 0 1 Giáo dục Tiểu học 188 Đặng Thị Tân Sa 054305009724 2005-08-04 Nữ A00 2NT 0 1 Giáo dục Tiểu học 189 Võ Huỳnh Kim Sang 054305002440 2005-01-02 Nữ A00 2 0 1 Giáo dục Tiểu học 190 Nguyễn Thị Sương 054300008548 2000-11-06 Nữ A01 1 0 1 Giáo dục Tiểu học 191 Phạm Hoài Tâm 054305008954 2005-06-12 Nữ A01 2 0 1 Giáo dục Tiểu học 192 Lê Thị Kiêm Thao 054305002697 2005-01-17 Nữ D01 2 0 1 Giáo dục Tiểu học 193 Cao Vi Thảo 054304007098 2004-08-07 Nữ C00 2 0 1 Giáo dục Tiểu học 194 Phạm Trà Phương Thảo 064305007457 2005-07-01 Nữ C00 2NT 0 1 Giáo dục Tiểu học 195 Phan Huyên Thảo 054305007429 2005-02-15 Nữ C00 2 0 1 Giáo dục Tiểu học 196 Nguyễn Đào Phương Thảo 054305002455 2005-10-25 Nữ A01 2NT 0 1 Giáo dục Tiểu học 197 Nguyễn Phương Thảo 054305000123 2005-07-14 Nữ D01 1 0 1 Giáo dục Tiểu học 198 Trần Thanh Thảo 054305004516 2005-09-23 Nữ C00 2NT 0 1 Giáo dục Tiểu học 199 Nguyễn Thị Kim Thi 054305005688 2005-05-17 Nữ C00 2NT 0 1 Giáo dục Tiểu học 200 Phan Thị Kim Thoa 054305000591 2005-10-22 Nữ C00 2NT 0 1 Giáo dục Tiểu học 201 Lê Thị Thu 054305000763 2005-11-02 Nữ A00 2NT 0 1 Giáo dục Tiểu học 202 Thái Thị Thư 054305001226 2005-06-15 Nữ D01 1 0 1 Giáo dục Tiểu học Page 12
  • 13.
    STT CMND Ngàysinh GT KHỐI KV ĐT NV Tên Ngành Ghi chú Họ Tên 203 Nguyễn Hoàng Thư 054305007342 2005-01-27 Nữ C00 2 0 1 Giáo dục Tiểu học 204 Phạm Hoàng Diệu Thư 054305002047 2005-06-06 Nữ C00 1 0 1 Giáo dục Tiểu học 205 Đào Thị Anh Thư 064305009879 2005-02-07 Nữ D01 2NT 0 1 Giáo dục Tiểu học 206 Lê Thạch Cẩm Anh Thư 054305001648 2005-06-30 Nữ D01 2NT 0 1 Giáo dục Tiểu học 207 Lê Thị Út Thư 054305009608 2005-07-11 Nữ A01 2 0 1 Giáo dục Tiểu học 208 Đặng Thị Hoài Thương 040305009892 2005-03-06 Nữ C00 1 0 1 Giáo dục Tiểu học 209 Lê Trương Uyên Thương 054305036964 2005-11-04 Nữ D01 2 0 1 Giáo dục Tiểu học 210 Nguyễn Hoài Thương 054305004399 2005-06-25 Nữ A01 2 0 1 Giáo dục Tiểu học 211 Phạm Thị Thương 054305001164 2005-02-17 Nữ C00 1 0 1 Giáo dục Tiểu học 212 Đinh Thị Thu Thuỷ 054302000762 2002-06-09 Nữ C00 1 0 1 Giáo dục Tiểu học 213 Hồ Thị Thuỷ 040305005639 2005-12-01 Nữ A00 2 0 1 Giáo dục Tiểu học 214 Huỳnh Thị Thu Thúy 054305000981 2005-04-06 Nữ D01 2NT 0 1 Giáo dục Tiểu học 215 Phạm Thu Thúy 054305000083 2005-10-08 Nữ C00 2NT 0 1 Giáo dục Tiểu học 216 Đào Thị Thủy 054305009172 2005-09-30 Nữ A00 2NT 0 1 Giáo dục Tiểu học 217 Nguyễn Thủy Tiên 054305007663 2005-05-11 Nữ C00 2 0 1 Giáo dục Tiểu học 218 Lê Mai Thuỷ Tiên 054305001624 2005-05-03 Nữ A01 1 0 1 Giáo dục Tiểu học 219 Nguyễn Thị Thủy Tiên 054305000495 2005-12-25 Nữ A00 2NT 0 1 Giáo dục Tiểu học 220 Lê Thị Thuỷ Tiên 054305001166 2005-02-23 Nữ C00 2NT 0 1 Giáo dục Tiểu học 221 Phạm Thị Mỹ Tiền 054305002454 30/03/2005 Nữ A00 2 0 1 Giáo dục Tiểu học 222 Nguyễn Thị Tâm Tình 048305006823 2005-03-11 Nữ C00 3 0 1 Giáo dục Tiểu học 223 Huỳnh Nguyễn Bảo Trâm 054305000657 2005-08-07 Nữ A01 2NT 0 1 Giáo dục Tiểu học 224 Trần Thời Bảo Trâm 052305000713 2005-08-18 Nữ C00 2NT 0 1 Giáo dục Tiểu học 225 Trần Nguyễn Quỳnh Trâm 054305000227 2005-07-31 Nữ C00 1 0 1 Giáo dục Tiểu học 226 Nguyễn Bình Phương Trâm 054305002694 2005-05-25 Nữ D01 2 0 1 Giáo dục Tiểu học 227 Phạm Thị Ngọc Trâm 054305005512 2005-03-24 Nữ C00 2 0 1 Giáo dục Tiểu học 228 Huỳnh Thị Mỹ Trâm 054305000360 2005-08-07 Nữ C00 2NT 0 1 Giáo dục Tiểu học 229 Nguyễn Thị Bích Trâm 054305005204 2005-02-21 Nữ A00 2NT 0 1 Giáo dục Tiểu học 230 Phùng Thị Ngọc Trâm 054305007137 2005-12-13 Nữ C00 2NT 0 1 Giáo dục Tiểu học 231 Nguyễn Ngọc Hồng Trâm 054305001894 2005-03-08 Nữ C00 2NT 0 1 Giáo dục Tiểu học 232 Mai Phan Bảo Trâm 054305001998 2005-04-06 Nữ A01 2NT 0 1 Giáo dục Tiểu học 233 Nguyễn Hoàng Bảo Trâm 054305004226 2005-06-07 Nữ A00 1 0 1 Giáo dục Tiểu học Page 13
  • 14.
    STT CMND Ngàysinh GT KHỐI KV ĐT NV Tên Ngành Ghi chú Họ Tên 234 Phan Ngọc Trâm 054305007558 2005-03-24 Nữ A00 1 0 1 Giáo dục Tiểu học 235 Đoàn Quý Trầm 054305000174 2005-04-17 Nữ A00 1 0 1 Giáo dục Tiểu học 236 Đặng Trần Huyền Trân 054305004255 2005-10-02 Nữ C00 2 0 1 Giáo dục Tiểu học 237 Bùi Phan Bảo Trân 052305008038 2005-02-01 Nữ C00 2NT 0 1 Giáo dục Tiểu học 238 Nguyễn Lê Bảo Trân 054305007921 2005-03-23 Nữ A01 1 0 1 Giáo dục Tiểu học 239 Đặng Huỳnh Bảo Trân 054305004630 2005-11-29 Nữ D01 2 0 1 Giáo dục Tiểu học 240 Đặng Lê Bảo Trân 054304006689 28/01/2004 Nữ A00 2 0 1 Giáo dục Tiểu học 241 Tăng Thị Thùy Trang 054305007104 2005-12-24 Nữ A00 2NT 0 1 Giáo dục Tiểu học 242 Nguyễn Thu Trang 054305008781 2005-05-24 Nữ A00 2NT 0 1 Giáo dục Tiểu học 243 Lê Thùy Trang 054305000801 2005-02-01 Nữ A00 2NT 0 1 Giáo dục Tiểu học 244 Nguyễn Thị Tú Trinh 054305007405 2005-04-26 Nữ A01 1 0 1 Giáo dục Tiểu học 245 Trần Thị Tuyết Trinh 054305002297 2005-08-19 Nữ A00 1 0 1 Giáo dục Tiểu học 246 Võ Thị Trinh 054305006649 2005-06-10 Nữ A00 2NT 0 1 Giáo dục Tiểu học 247 Nguyễn Huỳnh Kiều Trinh 054305005530 2005-05-22 Nữ A00 2NT 0 1 Giáo dục Tiểu học 248 Lưu Nguyễn Thanh Trúc 054305003036 2005-11-08 Nữ C00 1 0 1 Giáo dục Tiểu học 249 Bùi Lê Như Trúc 052305000907 2005-10-30 Nữ C00 1 0 1 Giáo dục Tiểu học 250 Đoàn Thị Thanh Trúc 054305006435 2005-02-28 Nữ C00 1 0 1 Giáo dục Tiểu học 251 Trần Ánh Tuệ 054305007407 2005-08-01 Nữ D01 2 0 1 Giáo dục Tiểu học 252 Phan Thị Việt Tuyến 054305001133 2005-04-15 Nữ D01 2 0 1 Giáo dục Tiểu học 253 Huỳnh Phan Linh Tuyền 054305000363 2005-02-18 Nữ 2NT 0 1 Giáo dục Tiểu học 254 Võ Thị Thanh Tuyền 054305002231 2005-02-07 Nữ C00 2NT 0 1 Giáo dục Tiểu học 255 Nguyễn Thị Huỳnh Thanh Tuyền 054304002093 2004-02-01 Nữ A00 2 0 1 Giáo dục Tiểu học 256 Đặng Thị Thảo Uyên 054305037681 2005-04-26 Nữ D01 2NT 0 1 Giáo dục Tiểu học 257 Phạm Thị Hồng Uyển 054305000646 2005-05-30 Nữ A00 2NT 0 1 Giáo dục Tiểu học 258 Bùi Nguyễn Ái Vân 054304009423 2004-11-12 Nữ D01 1 0 1 Giáo dục Tiểu học 259 Trần Nguyên Văn 054305005337 2005-09-05 Nữ C00 2NT 0 1 Giáo dục Tiểu học 260 Châu Thị Bích Vẹn 054305037060 2005-07-02 Nữ A00 2NT 0 1 Giáo dục Tiểu học 261 Trần Thị Tường Vi 054305009714 2005-04-08 Nữ A00 1 0 1 Giáo dục Tiểu học 262 Hồ Thị Yến Vi 042305012076 2005-05-20 Nữ C00 2NT 0 1 Giáo dục Tiểu học 263 Ngô Thị Tuyết Viên 054305002635 2005-06-15 Nữ D01 2 0 1 Giáo dục Tiểu học 264 Nguyễn Thị Tố Viên 221549531 2004-09-17 Nữ C00 2NT 0 1 Giáo dục Tiểu học Page 14
  • 15.
    STT CMND Ngàysinh GT KHỐI KV ĐT NV Tên Ngành Ghi chú Họ Tên 265 Trần Văn Vũ 054204005509 2004-10-25 Nam A00 2NT 0 1 Giáo dục Tiểu học 266 Mạnh Gia Vũ 054305002441 2005-11-04 Nữ C00 1 0 1 Giáo dục Tiểu học 267 Huỳnh Châu Thanh Vy 054305008463 2005-07-18 Nữ C00 2 0 1 Giáo dục Tiểu học 268 Nguyễn Hồ Thuý Vy 054305008125 2005-09-25 Nữ A01 2NT 0 1 Giáo dục Tiểu học 269 Trần Thị Tường Vy 054305002278 2005-03-14 Nữ A00 2NT 0 1 Giáo dục Tiểu học 270 Đào Hà Yên 054305006496 2005-10-01 Nữ A00 2 0 1 Giáo dục Tiểu học 271 Lê Thị Kim Tiên 054305008624 2005-11-21 Nữ A01 1 0 1 Giáo dục Tiểu học 272 Trần Ngọc Khánh Vy 054305005273 2005-10-29 Nữ A00 1 0 1 Giáo dục Tiểu học 273 Đinh Nữ Yếu Vy 054305002523 12/08/2005 Nữ A00 2NT 0 1 Giáo dục Tiểu học 274 Nguyễn Phương Dung 054305000230 29/10/2005 Nữ A00 2NT 0 1 Giáo dục Tiểu học 275 Phan Hải Như 054305010042 19/04/2005 Nữ D01 1 0 1 Giáo dục Tiểu học 276 Mai Thị Bảo Thương 054305001764 25/05/2005 Nữ C00 2NT 0 1 Giáo dục Tiểu học 277 Nguyễn Thị Bích Thi 054305002252 17/07/2005 Nữ D01 1 0 1 Giáo dục Tiểu học 278 nguyễn Lê Mỹ Hằng 052305009219 16/12/2005 Nữ C00 2NT 0 1 Giáo dục Tiểu học 279 Trần Ngọc Ngân Hà 054305001543 18/11/2005 Nữ C00 1 0 1 Giáo dục Tiểu học 280 Mai Thị Vân Ly 040305024793 12/05/2005 Nữ D01 2 0 1 Giáo dục Tiểu học 281 Trịnh Vân Anh 054305008827 14/07/2005 Nữ C00 2 0 1 Giáo dục Tiểu học 282 Võ Nguyễn Huyền Trang 054304006895 31/07/2005 Nữ C00 2NT 0 1 Giáo dục Tiểu học 283 Huỳnh Tuyết Như 054305000752 10/06/2005 Nữ A00 2NT 0 1 Giáo dục Tiểu học 284 Nguyễn Thị Bích Dân 054305008158 02/03/2005 Nữ C00 2NT 0 1 Giáo dục Tiểu học 285 Ksor H’ An 064305003277 01/12/2005 Nữ C00 1 01 1 Giáo dục Tiểu học 286 Huỳnh Trần Thảo Duyên 054305008414 08/07/2005 Nữ C00 2 0 1 Giáo dục Tiểu học 287 Hồ Huỳnh Khánh Bình 054305009629 04/09/2005 Nữ A00 2NT 0 1 Giáo dục Tiểu học 288 Nguyễn Đoàn Các Tuyền 054305008360 23/12/2005 Nữ A00 2NT 0 1 Giáo dục Tiểu học 289 Nguyễn Thu Trang 054305008781 24/05/2005 Nữ A00 2NT 0 1 Giáo dục Tiểu học 290 Nguyễn Thị Như Quỳnh 054305008787 03/09/2005 Nữ A00 1 0 1 Giáo dục Tiểu học 291 Huỳnh Huyền Tóc Tiên 054305001336 2005-09-07 Nữ D01 2 0 1 Giáo dục Tiểu học 292 Bùi Đặng Thanh Tuyền 052305001264 27/10/2005 Nữ D01 2 0 1 Giáo dục Tiểu học 293 Nguyễn Thị Đài Trang 054305000955 25/06/2005 Nữ C00 1 0 1 Giáo dục Tiểu học 294 Nguyễn Thị Trúc Linh 054305000928 2005-06-21 Nữ D14 2NT 0 1 Giáo dục Tiểu học 295 Nguyễn Ngọc Lan Anh 054304007799 17/01/2004 Nữ C00 2 0 1 Giáo dục Tiểu học Page 15
  • 16.
    STT CMND Ngàysinh GT KHỐI KV ĐT NV Tên Ngành Ghi chú Họ Tên 296 Nguyễn Thị Minh Trâm 064305001494 26/03/2005 Nữ D01 1 0 1 Giáo dục Tiểu học 297 Nguyễn Mai Thanh Trúc 056305007862 11/11/2005 Nữ A00 1 0 1 Giáo dục Tiểu học 298 Phan Thị Hiền Thương 042305001543 22/12/2005 Nữ C00 2NT 0 1 Giáo dục Tiểu học 299 Ksor H' Vơn 064305011778 01/07/2005 Nữ C00 1 01 1 Giáo dục Tiểu học 300 Bùi Thị Nương 064305001498 19/02/2005 Nữ A00 1 0 1 Giáo dục Tiểu học 1 Trần Nguyễn Gia Bảo 054205004595 2005-03-30 Nam D14 1 0 1 Sư phạm Ngữ Văn 2 Nguyễn Quỳnh Mai Chăm 054305005702 2005-01-24 Nữ C00 2 0 1 Sư phạm Ngữ Văn 3 Phùng Thị Thuỳ Dung 001305054114 2005-02-05 Nữ C00 1 0 1 Sư phạm Ngữ Văn 4 Bùi Thị Thùy Dung 070305004312 2005-07-18 Nữ C00 2 0 1 Sư phạm Ngữ Văn 5 Nguyễn Thị Thu Hằng 054305001096 2005-01-03 Nữ C00 1 1 1 Sư phạm Ngữ Văn 6 Nguyễn Thị Hồng Huệ 054305004613 2005-07-27 Nữ C00 1 0 1 Sư phạm Ngữ Văn 7 Trần Hoàng Lan 064305008599 2005-09-02 Nữ D14 1 0 1 Sư phạm Ngữ Văn 8 Đặng Thiên Lộc 052204000784 2004-11-02 Nam D01 2 0 1 Sư phạm Ngữ Văn 9 Nguyễn Thị Khánh Ly 054305000201 2005-06-23 Nữ D01 1 0 1 Sư phạm Ngữ Văn 10 Nguyễn Huỳnh Hà Mi 054305010018 2005-12-22 Nữ C00 2NT 0 1 Sư phạm Ngữ Văn 11 Nguyễn Vũ Minh Nhân 058204009462 2004-09-09 Nam D01 1 0 1 Sư phạm Ngữ Văn 12 Nguyễn Thị Phương Nhi 042305009943 2005-03-03 Nữ D14 2NT 0 1 Sư phạm Ngữ Văn 13 Nguyễn Thị Huyền Như 054305000485 2005-04-18 Nữ C00 2NT 0 1 Sư phạm Ngữ Văn 14 Vương Thiên Phú 052205000902 2005-08-13 Nam C00 1 0 1 Sư phạm Ngữ Văn 15 Lê Nhựt Quang 054205001215 2005-01-09 Nam C00 1 0 1 Sư phạm Ngữ Văn 16 Ngô Thị Mỹ Tâm 052305007872 2005-05-16 Nữ D01 2NT 0 1 Sư phạm Ngữ Văn 17 Dương Tiểu Thư 054305002383 2005-12-29 Nữ C00 2 0 1 Sư phạm Ngữ Văn 18 Nguyễn Võ Chánh Tín 054205001855 2005-01-12 Nam C00 2 0 1 Sư phạm Ngữ Văn 19 Tạ Quỳnh Trang 054305008730 2005-03-08 Nữ C00 2NT 0 1 Sư phạm Ngữ Văn 20 Nguyễn Thị Khánh Ly 054305000201 23/06/2005 Nữ D01 1 0 1 Sư phạm Ngữ Văn 21 Trần Tiến Dũng 054205007677 22/03/2005 Nam C00 2NT 0 1 Sư phạm Ngữ Văn 1 Lê Thị Diễm Ánh 054305002078 2005-12-13 Nữ M09 2 0 1 Giáo dục Mầm non 2 So Hờ Điền 054305005036 2005-03-02 Nữ M01 1 1 1 Giáo dục Mầm non 3 Nguyễn Thị Mỹ Diệu 054305001234 01/06/2005 Nữ M09 1 Giáo dục Mầm non 4 Phạm Thị Mỹ Duyên 054305006644 2005-05-05 Nữ M09 2NT 0 1 Giáo dục Mầm non 5 Trịnh Thị Thu Hà 054305000808 2005-07-06 Nữ M01 2NT 0 2 Giáo dục Mầm non Page 16
  • 17.
    STT CMND Ngàysinh GT KHỐI KV ĐT NV Tên Ngành Ghi chú Họ Tên 6 Nguyễn Thị Diễm Hằng 054305007690 2005-01-01 Nữ M09 2 0 1 Giáo dục Mầm non 7 Nguyễn Thị Khuyên 064305002221 2005-10-22 Nữ M01 1 0 1 Giáo dục Mầm non 8 Hoàng Thị Lệ 064305003586 2005-06-23 Nữ M01 1 1 1 Giáo dục Mầm non 9 Nguyễn Thị Thanh Liên 054305009360 2005-03-03 Nữ 1 0 1 Giáo dục Mầm non 10 Huỳnh Thị Trúc Liễu 054305001796 2005-06-24 Nữ M09 2NT 0 1 Giáo dục Mầm non 11 Võ Thị Kiều Linh 054305009412 2005-09-08 Nữ M01 1 0 1 Giáo dục Mầm non 12 Phan Cẩm Ly 054305002216 2005-01-13 Nữ M01 2NT 0 1 Giáo dục Mầm non 13 Ngô Thị Thúy Ngân 054305007344 03/01/2005 Nữ M09 1 Giáo dục Mầm non 14 Phan Thị Thanh Nguyên 054305000232 2005-05-14 Nữ M01 2NT 0 1 Giáo dục Mầm non 15 Nguyễn Thị Huỳnh Như 054305037021 2005-09-15 Nữ M09 1 0 1 Giáo dục Mầm non 16 Ngô Thị Trinh Nữ 054305006541 2005-08-14 Nữ M01 1 0 1 Giáo dục Mầm non 17 Huỳnh Thị Kim Oanh 054305000760 2005-11-14 Nữ M01 2NT 0 1 Giáo dục Mầm non 18 Phạm Nguyễn Mai Phương 054305002933 2005-11-13 Nữ M01 2 0 1 Giáo dục Mầm non 19 Nguyễn Dương Mỹ Quyên 054305004478 2005-06-02 Nữ M01 2 0 1 Giáo dục Mầm non 20 Hồ Như Thảo 054305001740 2005-08-12 Nữ M09 2 0 1 Giáo dục Mầm non 21 Nguyễn Anh Thương 054305007257 2005-09-05 Nữ M01 2NT 0 2 Giáo dục Mầm non 22 Tô Thanh Thuy 054304000630 2004-01-03 Nữ M09 1 0 1 Giáo dục Mầm non 23 Nguyễn Thị Minh Thúy 054305000806 2005-03-24 Nữ M01 2NT 0 1 Giáo dục Mầm non 24 Trần Thị Bảo Trâm 054305001717 2005-08-09 Nữ M09 1 0 1 Giáo dục Mầm non 25 Nguyễn Thị Tố Trinh 054305006651 2005-09-30 Nữ M09 2NT 0 1 Giáo dục Mầm non 1 Lê Phong Hào 054205004512 07/06/2005 Nam A00 2NT 0 1 Nông nghiệp 2 Sô Minh Khải 054205000968 19/09/2005 Nam A00 1 01 1 Nông nghiệp Page 17