San Leandro Unified
  School District
 Grades 3-5 Mathematics
Professional Development

  March                      2
          4!– 3,  2000 + 3 + 3
  Philip Gonsalves & Drew Kravin
Integer Operations –

Multiple Representations
Adding Integers – Multiple Representations
Adding Integers – Multiple Representations


Expressio
n
Adding Integers – Multiple Representations


Expressio
n

3+ 5 =
Adding Integers – Multiple Representations


 Expressio
 n

  3+ 5 =



3 + ( −5 ) =
Adding Integers – Multiple Representations


 Expressio
 n

  3+ 5 =



3 + ( −5 ) =



 −3 + 5 =
Adding Integers – Multiple Representations


 Expressio
 n

  3+ 5 =



3 + ( −5 ) =



 −3 + 5 =


−3 + ( −5 ) =
Adding Integers – Multiple Representations


 Expressio                   Number Line
 n

  3+ 5 =



3 + ( −5 ) =



 −3 + 5 =


−3 + ( −5 ) =
Adding Integers – Multiple Representations


 Expressio                       Number Line
 n

  3+ 5 =
                     -8 -7 -6 -5 -4 -3 -2 -1   0   1   2 3   4   5   6 7   8




3 + ( −5 ) =



 −3 + 5 =


−3 + ( −5 ) =
Adding Integers – Multiple Representations


 Expressio                       Number Line
 n

  3+ 5 =
                     -8 -7 -6 -5 -4 -3 -2 -1   0   1   2 3   4   5   6 7   8




3 + ( −5 ) =



 −3 + 5 =


−3 + ( −5 ) =
Adding Integers – Multiple Representations


 Expressio                       Number Line
 n

  3+ 5 =
                     -8 -7 -6 -5 -4 -3 -2 -1   0   1   2 3   4   5   6 7   8




3 + ( −5 ) =



 −3 + 5 =


−3 + ( −5 ) =
Adding Integers – Multiple Representations


 Expressio                       Number Line                                   Tile Spacers
 n

  3+ 5 =
                     -8 -7 -6 -5 -4 -3 -2 -1   0   1   2 3   4   5   6 7   8




3 + ( −5 ) =



 −3 + 5 =


−3 + ( −5 ) =
Adding Integers – Multiple Representations


 Expressio                       Number Line                                   Tile Spacers
 n

  3+ 5 =
                                                                               +++
                     -8 -7 -6 -5 -4 -3 -2 -1   0   1   2 3   4   5   6 7   8




3 + ( −5 ) =



 −3 + 5 =


−3 + ( −5 ) =
Adding Integers – Multiple Representations


 Expressio                       Number Line                                   Tile Spacers
 n

  3+ 5 =
                                                                               +++
                     -8 -7 -6 -5 -4 -3 -2 -1   0   1   2 3   4   5   6 7   8   +++++

3 + ( −5 ) =



 −3 + 5 =


−3 + ( −5 ) =
Adding Integers – Multiple Representations


 Expressio                       Number Line                                   Tile Spacers
 n

  3+ 5 = 8
                                                                               +++
                     -8 -7 -6 -5 -4 -3 -2 -1   0   1   2 3   4   5   6 7   8   +++++

3 + ( −5 ) =



 −3 + 5 =


−3 + ( −5 ) =
Adding Integers – Multiple Representations


 Expressio                       Number Line                                   Tile Spacers
 n

  3+ 5 = 8
                                                                               +++
                     -8 -7 -6 -5 -4 -3 -2 -1   0   1   2 3   4   5   6 7   8   +++++

3 + ( −5 ) =
                     -8 -7 -6 -5 -4 -3 -2 -1   0   1   2 3   4   5   6 7   8




 −3 + 5 =


−3 + ( −5 ) =
Adding Integers – Multiple Representations


 Expressio                       Number Line                                   Tile Spacers
 n

  3+ 5 = 8
                                                                               +++
                     -8 -7 -6 -5 -4 -3 -2 -1   0   1   2 3   4   5   6 7   8   +++++

3 + ( −5 ) =
                     -8 -7 -6 -5 -4 -3 -2 -1   0   1   2 3   4   5   6 7   8




 −3 + 5 =


−3 + ( −5 ) =
Adding Integers – Multiple Representations


 Expressio                       Number Line                                   Tile Spacers
 n

  3+ 5 = 8
                                                                               +++
                     -8 -7 -6 -5 -4 -3 -2 -1   0   1   2 3   4   5   6 7   8   +++++

3 + ( −5 ) =
                     -8 -7 -6 -5 -4 -3 -2 -1   0   1   2 3   4   5   6 7   8




 −3 + 5 =


−3 + ( −5 ) =
Adding Integers – Multiple Representations


 Expressio                       Number Line                                   Tile Spacers
 n

  3+ 5 = 8
                                                                               +++
                     -8 -7 -6 -5 -4 -3 -2 -1   0   1   2 3   4   5   6 7   8   +++++

3 + ( −5 ) =                                                                   +++
                     -8 -7 -6 -5 -4 -3 -2 -1   0   1   2 3   4   5   6 7   8




 −3 + 5 =


−3 + ( −5 ) =
Adding Integers – Multiple Representations


 Expressio                       Number Line                                   Tile Spacers
 n

  3+ 5 = 8
                                                                               +++
                     -8 -7 -6 -5 -4 -3 -2 -1   0   1   2 3   4   5   6 7   8   +++++

3 + ( −5 ) =                                                                   +++
                     -8 -7 -6 -5 -4 -3 -2 -1   0   1   2 3   4   5   6 7   8   – ––––
 −3 + 5 =


−3 + ( −5 ) =
Adding Integers – Multiple Representations


 Expressio                       Number Line                                   Tile Spacers
 n

  3+ 5 = 8
                                                                               +++
                     -8 -7 -6 -5 -4 -3 -2 -1   0   1   2 3   4   5   6 7   8   +++++

3 + ( −5 ) =                                                                   +++
                     -8 -7 -6 -5 -4 -3 -2 -1   0   1   2 3   4   5   6 7   8   – ––––
 −3 + 5 =


−3 + ( −5 ) =
Adding Integers – Multiple Representations


 Expressio                       Number Line                                   Tile Spacers
 n

  3+ 5 = 8
                                                                               +++
                     -8 -7 -6 -5 -4 -3 -2 -1   0   1   2 3   4   5   6 7   8   +++++

3 + ( −5 ) = –2                                                                +++
                     -8 -7 -6 -5 -4 -3 -2 -1   0   1   2 3   4   5   6 7   8   – ––––
 −3 + 5 =


−3 + ( −5 ) =
Adding Integers – Multiple Representations


 Expressio                       Number Line                                   Tile Spacers
 n

  3+ 5 = 8
                                                                               +++
                     -8 -7 -6 -5 -4 -3 -2 -1   0   1   2 3   4   5   6 7   8   +++++

3 + ( −5 ) = –2                                                                +++
                     -8 -7 -6 -5 -4 -3 -2 -1   0   1   2 3   4   5   6 7   8   – ––––
 −3 + 5 =
                     -8 -7 -6 -5 -4 -3 -2 -1   0   1   2 3   4   5   6 7   8




−3 + ( −5 ) =
Adding Integers – Multiple Representations


 Expressio                       Number Line                                   Tile Spacers
 n

  3+ 5 = 8
                                                                               +++
                     -8 -7 -6 -5 -4 -3 -2 -1   0   1   2 3   4   5   6 7   8   +++++

3 + ( −5 ) = –2                                                                +++
                     -8 -7 -6 -5 -4 -3 -2 -1   0   1   2 3   4   5   6 7   8   – ––––
 −3 + 5 =
                     -8 -7 -6 -5 -4 -3 -2 -1   0   1   2 3   4   5   6 7   8




−3 + ( −5 ) =
Adding Integers – Multiple Representations


 Expressio                       Number Line                                   Tile Spacers
 n

  3+ 5 = 8
                                                                               +++
                     -8 -7 -6 -5 -4 -3 -2 -1   0   1   2 3   4   5   6 7   8   +++++

3 + ( −5 ) = –2                                                                +++
                     -8 -7 -6 -5 -4 -3 -2 -1   0   1   2 3   4   5   6 7   8   – ––––
 −3 + 5 =
                     -8 -7 -6 -5 -4 -3 -2 -1   0   1   2 3   4   5   6 7   8




−3 + ( −5 ) =
Adding Integers – Multiple Representations


 Expressio                       Number Line                                   Tile Spacers
 n

  3+ 5 = 8
                                                                               +++
                     -8 -7 -6 -5 -4 -3 -2 -1   0   1   2 3   4   5   6 7   8   +++++

3 + ( −5 ) = –2                                                                +++
                     -8 -7 -6 -5 -4 -3 -2 -1   0   1   2 3   4   5   6 7   8   – ––––
 −3 + 5 =                                                                      –––
                     -8 -7 -6 -5 -4 -3 -2 -1   0   1   2 3   4   5   6 7   8




−3 + ( −5 ) =
Adding Integers – Multiple Representations


 Expressio                       Number Line                                   Tile Spacers
 n

  3+ 5 = 8
                                                                               +++
                     -8 -7 -6 -5 -4 -3 -2 -1   0   1   2 3   4   5   6 7   8   +++++

3 + ( −5 ) = –2                                                                +++
                     -8 -7 -6 -5 -4 -3 -2 -1   0   1   2 3   4   5   6 7   8   – ––––
 −3 + 5 =                                                                      –––
                     -8 -7 -6 -5 -4 -3 -2 -1   0   1   2 3   4   5   6 7   8   +++++

−3 + ( −5 ) =
Adding Integers – Multiple Representations


 Expressio                       Number Line                                   Tile Spacers
 n

  3+ 5 = 8
                                                                               +++
                     -8 -7 -6 -5 -4 -3 -2 -1   0   1   2 3   4   5   6 7   8   +++++

3 + ( −5 ) = –2                                                                +++
                     -8 -7 -6 -5 -4 -3 -2 -1   0   1   2 3   4   5   6 7   8   – ––––
 −3 + 5 =                                                                      –––
                     -8 -7 -6 -5 -4 -3 -2 -1   0   1   2 3   4   5   6 7   8   +++++

−3 + ( −5 ) =
Adding Integers – Multiple Representations


 Expressio                       Number Line                                   Tile Spacers
 n

  3+ 5 = 8
                                                                               +++
                     -8 -7 -6 -5 -4 -3 -2 -1   0   1   2 3   4   5   6 7   8   +++++

3 + ( −5 ) = –2                                                                +++
                     -8 -7 -6 -5 -4 -3 -2 -1   0   1   2 3   4   5   6 7   8   – ––––
 −3 + 5 = 2                                                                    –––
                     -8 -7 -6 -5 -4 -3 -2 -1   0   1   2 3   4   5   6 7   8   +++++

−3 + ( −5 ) =
Adding Integers – Multiple Representations


 Expressio                        Number Line                                  Tile Spacers
 n

  3+ 5 = 8
                                                                               +++
                     -8 -7 -6 -5 -4 -3 -2 -1   0   1   2 3   4   5   6 7   8   +++++

3 + ( −5 ) = –2                                                                +++
                     -8 -7 -6 -5 -4 -3 -2 -1   0   1   2 3   4   5   6 7   8   – ––––
 −3 + 5 = 2                                                                    –––
                     -8 -7 -6 -5 -4 -3 -2 -1   0   1   2 3   4   5   6 7   8   +++++

−3 + ( −5 ) =
                     -8 -7 -6 -5 -4 -3 -2 -1   0   1   2 3   4   5   6 7   8
Adding Integers – Multiple Representations


 Expressio                        Number Line                                  Tile Spacers
 n

  3+ 5 = 8
                                                                               +++
                     -8 -7 -6 -5 -4 -3 -2 -1   0   1   2 3   4   5   6 7   8   +++++

3 + ( −5 ) = –2                                                                +++
                     -8 -7 -6 -5 -4 -3 -2 -1   0   1   2 3   4   5   6 7   8   – ––––
 −3 + 5 = 2                                                                    –––
                     -8 -7 -6 -5 -4 -3 -2 -1   0   1   2 3   4   5   6 7   8   +++++

−3 + ( −5 ) =
                     -8 -7 -6 -5 -4 -3 -2 -1   0   1   2 3   4   5   6 7   8
Adding Integers – Multiple Representations


 Expressio                        Number Line                                  Tile Spacers
 n

  3+ 5 = 8
                                                                               +++
                     -8 -7 -6 -5 -4 -3 -2 -1   0   1   2 3   4   5   6 7   8   +++++

3 + ( −5 ) = –2                                                                +++
                     -8 -7 -6 -5 -4 -3 -2 -1   0   1   2 3   4   5   6 7   8   – ––––
 −3 + 5 = 2                                                                    –––
                     -8 -7 -6 -5 -4 -3 -2 -1   0   1   2 3   4   5   6 7   8   +++++

−3 + ( −5 ) =
                     -8 -7 -6 -5 -4 -3 -2 -1   0   1   2 3   4   5   6 7   8
Adding Integers – Multiple Representations


 Expressio                        Number Line                                  Tile Spacers
 n

  3+ 5 = 8
                                                                               +++
                     -8 -7 -6 -5 -4 -3 -2 -1   0   1   2 3   4   5   6 7   8   +++++

3 + ( −5 ) = –2                                                                +++
                     -8 -7 -6 -5 -4 -3 -2 -1   0   1   2 3   4   5   6 7   8   – ––––
 −3 + 5 = 2                                                                    –––
                     -8 -7 -6 -5 -4 -3 -2 -1   0   1   2 3   4   5   6 7   8   +++++

−3 + ( −5 ) =                                                                  –––
                     -8 -7 -6 -5 -4 -3 -2 -1   0   1   2 3   4   5   6 7   8
Adding Integers – Multiple Representations


 Expressio                        Number Line                                  Tile Spacers
 n

  3+ 5 = 8
                                                                               +++
                     -8 -7 -6 -5 -4 -3 -2 -1   0   1   2 3   4   5   6 7   8   +++++

3 + ( −5 ) = –2                                                                +++
                     -8 -7 -6 -5 -4 -3 -2 -1   0   1   2 3   4   5   6 7   8   – ––––
 −3 + 5 = 2                                                                    –––
                     -8 -7 -6 -5 -4 -3 -2 -1   0   1   2 3   4   5   6 7   8   +++++

−3 + ( −5 ) =                                                                  –––
                     -8 -7 -6 -5 -4 -3 -2 -1   0   1   2 3   4   5   6 7   8   –– –––
Adding Integers – Multiple Representations


 Expressio                       Number Line                                  Tile Spacers
 n

  3+ 5 = 8
                                                                              +++
                    -8 -7 -6 -5 -4 -3 -2 -1   0   1   2 3   4   5   6 7   8   +++++

3 + ( −5 ) = –2                                                               +++
                    -8 -7 -6 -5 -4 -3 -2 -1   0   1   2 3   4   5   6 7   8   – ––––
 −3 + 5 = 2                                                                   –––
                    -8 -7 -6 -5 -4 -3 -2 -1   0   1   2 3   4   5   6 7   8   +++++

−3 + ( −5 ) = −8                                                              –––
                    -8 -7 -6 -5 -4 -3 -2 -1   0   1   2 3   4   5   6 7   8   –– –––
Discovering the “Rules for Adding Integers”


   3+ 5 =



3 + ( −5 ) =




 −3 + 5 =

 −3 + ( −5 ) =
Discovering the “Rules for Adding Integers”


                   3+ 5 =



3 + ( −5 ) =




 −3 + 5 =

 −3 + ( −5 ) =
Discovering the “Rules for Adding Integers”


                   3+ 5 =                 −3 + ( −5 ) =




3 + ( −5 ) =




 −3 + 5 =
Discovering the “Rules for Adding Integers”

Same
Signs               3+ 5 =                 −3 + ( −5 ) =




 3 + ( −5 ) =




   −3 + 5 =
Discovering the “Rules for Adding Integers”

Same
Signs             3+ 5 =                 −3 + ( −5 ) =




   −3 + 5 =     3 + ( −5 ) =
Discovering the “Rules for Adding Integers”

Same
Signs       3+ 5 =                 −3 + ( −5 ) =




          3 + ( −5 ) =               −3 + 5 =
Discovering the “Rules for Adding Integers”

Same
Signs           3+ 5 =                 −3 + ( −5 ) =




Different
 Signs        3 + ( −5 ) =               −3 + 5 =
Discovering the “Rules for Adding Integers”

Same
Signs           3+ 5 =                 −3 + ( −5 ) =


                +++
                +++++


Different
 Signs        3 + ( −5 ) =               −3 + 5 =
Discovering the “Rules for Adding Integers”

Same
Signs           3+ 5 =                 −3 + ( −5 ) =


                +++                      –––
                +++++                    –– –––

Different
 Signs        3 + ( −5 ) =               −3 + 5 =
Discovering the “Rules for Adding Integers”

Same
Signs           3+ 5 = 8               −3 + ( −5 ) =


                +++                      –––
                +++++                    –– –––

Different
 Signs        3 + ( −5 ) =               −3 + 5 =
Discovering the “Rules for Adding Integers”

Same
Signs           3+ 5 = 8               −3 + ( −5 ) = −8


                +++                      –––
                +++++                    –– –––

Different
 Signs        3 + ( −5 ) =               −3 + 5 =
Discovering the “Rules for Adding Integers”

Same
Signs           3+ 5 = 8                 −3 + ( −5 ) = −8


                +++                        –––
                +++++                      –– –––
                     “If the signs are the same,


Different
 Signs        3 + ( −5 ) =                 −3 + 5 =
Discovering the “Rules for Adding Integers”

Same
Signs              3+ 5 = 8                  −3 + ( −5 ) = −8


                   +++                         –––
                   +++++                       –– –––
                      “If the signs are the same,
            add the numbers (absolute value) and keep the sign”.

Different
 Signs           3 + ( −5 ) =                  −3 + 5 =
Discovering the “Rules for Adding Integers”

Same
Signs              3+ 5 = 8                  −3 + ( −5 ) = −8


                   +++                         –––
                   +++++                       –– –––
                      “If the signs are the same,
            add the numbers (absolute value) and keep the sign”.

Different
 Signs           3 + ( −5 ) =                  −3 + 5 =

                   +++
                   – ––––
Discovering the “Rules for Adding Integers”

Same
Signs              3+ 5 = 8                  −3 + ( −5 ) = −8


                   +++                         –––
                   +++++                       –– –––
                      “If the signs are the same,
            add the numbers (absolute value) and keep the sign”.

Different
 Signs           3 + ( −5 ) =                  −3 + 5 =

                   +++                         –––
                   – ––––                      +++++
Discovering the “Rules for Adding Integers”

Same
Signs              3+ 5 = 8                  −3 + ( −5 ) = −8


                   +++                         –––
                   +++++                       –– –––
                      “If the signs are the same,
            add the numbers (absolute value) and keep the sign”.

Different
 Signs           3 + ( −5 ) = –2               −3 + 5 =

                   +++                         –––
                   – ––––                      +++++
Discovering the “Rules for Adding Integers”

Same
Signs              3+ 5 = 8                  −3 + ( −5 ) = −8


                   +++                         –––
                   +++++                       –– –––
                      “If the signs are the same,
            add the numbers (absolute value) and keep the sign”.

Different
 Signs           3 + ( −5 ) = –2               −3 + 5 = 2

                   +++                         –––
                   – ––––                      +++++
Discovering the “Rules for Adding Integers”

Same
Signs              3+ 5 = 8                   −3 + ( −5 ) = −8


                   +++                          –––
                   +++++                        –– –––
                      “If the signs are the same,
            add the numbers (absolute value) and keep the sign”.

Different
 Signs           3 + ( −5 ) = –2                −3 + 5 = 2

                   +++                         –––
                   – ––––                      +++++
                         “If the signs are different,
Discovering the “Rules for Adding Integers”

Same
Signs              3+ 5 = 8                    −3 + ( −5 ) = −8


                   +++                           –––
                   +++++                         –– –––
                      “If the signs are the same,
            add the numbers (absolute value) and keep the sign”.

Different
 Signs           3 + ( −5 ) = –2                 −3 + 5 = 2

                   +++                          –––
                   – ––––                       +++++
                        “If the signs are different,
                     subtract the numbers (absolute value)
Discovering the “Rules for Adding Integers”

Same
Signs              3+ 5 = 8                  −3 + ( −5 ) = −8


                   +++                         –––
                   +++++                       –– –––
                      “If the signs are the same,
            add the numbers (absolute value) and keep the sign”.

Different
 Signs           3 + ( −5 ) = –2               −3 + 5 = 2

                   +++                         –––
                   – ––––                      +++++
                       “If the signs are different,
                    subtract the numbers (absolute value)
            and keep the sign of what you have the most of”.
Subtracting Integers –
Multiple Representations
       Guided Discovery
Subtracting Integers
Subtracting Integers

Expressio
n
Subtracting Integers

Expressio
n

3− 5 =
Subtracting Integers

Expressio
n

3− 5 =
Subtracting Integers

Expressio
n

 3− 5 =


3 + ( −5 ) =
Subtracting Integers

Expressio       Number Line
n

 3− 5 =


3 + ( −5 ) =
Subtracting Integers

Expressio                    Number Line
n

 3− 5 =
               -8 -7 -6 -5 -4 -3 -2 -1   0   1   2 3   4   5   6 7   8




3 + ( −5 ) =
Subtracting Integers

Expressio                    Number Line
n

 3− 5 =
               -8 -7 -6 -5 -4 -3 -2 -1   0   1   2 3   4   5   6 7   8




3 + ( −5 ) =
Subtracting Integers

Expressio                    Number Line
n

 3− 5 =
               -8 -7 -6 -5 -4 -3 -2 -1   0   1   2 3   4   5   6 7   8




3 + ( −5 ) =
Subtracting Integers

Expressio                    Number Line
n

 3 − 5 = −2
               -8 -7 -6 -5 -4 -3 -2 -1   0   1   2 3   4   5   6 7   8




3 + ( −5 ) =
Subtracting Integers

Expressio                    Number Line
n

 3 − 5 = −2
               -8 -7 -6 -5 -4 -3 -2 -1   0   1   2 3   4   5   6 7   8




3 + ( −5 ) =
               -8 -7 -6 -5 -4 -3 -2 -1   0   1   2 3   4   5   6 7   8
Subtracting Integers

Expressio                    Number Line
n

 3 − 5 = −2
               -8 -7 -6 -5 -4 -3 -2 -1   0   1   2 3   4   5   6 7   8




3 + ( −5 ) =
               -8 -7 -6 -5 -4 -3 -2 -1   0   1   2 3   4   5   6 7   8
Subtracting Integers

Expressio                    Number Line
n

 3 − 5 = −2
               -8 -7 -6 -5 -4 -3 -2 -1   0   1   2 3   4   5   6 7   8




3 + ( −5 ) =
               -8 -7 -6 -5 -4 -3 -2 -1   0   1   2 3   4   5   6 7   8
Subtracting Integers

Expressio                       Number Line
n

 3 − 5 = −2
                  -8 -7 -6 -5 -4 -3 -2 -1   0   1   2 3   4   5   6 7   8




3 + ( −5 ) = –2
                  -8 -7 -6 -5 -4 -3 -2 -1   0   1   2 3   4   5   6 7   8
Subtracting Integers

Expressio                       Number Line
n

 3 − 5 = −2
                  -8 -7 -6 -5 -4 -3 -2 -1   0   1   2 3   4   5   6 7   8




3 + ( −5 ) = –2
                  -8 -7 -6 -5 -4 -3 -2 -1   0   1   2 3   4   5   6 7   8
Subtracting Integers

Expressio                       Number Line
n

 3 − 5 = −2
                  -8 -7 -6 -5 -4 -3 -2 -1   0   1   2 3   4   5   6 7   8




3 + ( −5 ) = –2
                  -8 -7 -6 -5 -4 -3 -2 -1   0   1   2 3   4   5   6 7   8



    Notice – same
   movement, same
  answer, equivalent
     expressions
Subtracting Integers

Expressio                       Number Line
n

 3 − 5 = −2
                  -8 -7 -6 -5 -4 -3 -2 -1   0   1   2 3   4   5   6 7   8




3 + ( −5 ) = –2
                  -8 -7 -6 -5 -4 -3 -2 -1   0   1   2 3   4   5   6 7   8



    Notice – same                       3− 5
   movement, same
  answer, equivalent
     expressions
Subtracting Integers

Expressio                       Number Line
n

 3 − 5 = −2
                  -8 -7 -6 -5 -4 -3 -2 -1   0   1   2 3   4   5   6 7   8




3 + ( −5 ) = –2
                  -8 -7 -6 -5 -4 -3 -2 -1   0   1   2 3   4   5   6 7   8



    Notice – same                       3− 5
   movement, same
  answer, equivalent
     expressions



     To subtract integers, change subtraction to addition
Subtracting Integers

Expressio                       Number Line
n

 3 − 5 = −2
                  -8 -7 -6 -5 -4 -3 -2 -1   0   1   2 3   4   5   6 7   8




3 + ( −5 ) = –2
                  -8 -7 -6 -5 -4 -3 -2 -1   0   1   2 3   4   5   6 7   8



    Notice – same                       3− 5
   movement, same
  answer, equivalent
     expressions                    =3+

     To subtract integers, change subtraction to addition
Subtracting Integers

Expressio                       Number Line
n

 3 − 5 = −2
                  -8 -7 -6 -5 -4 -3 -2 -1   0   1   2 3   4   5   6 7   8




3 + ( −5 ) = –2
                  -8 -7 -6 -5 -4 -3 -2 -1   0   1   2 3   4   5   6 7   8



    Notice – same                       3− 5
   movement, same
  answer, equivalent
     expressions                    = 3 + ( −5 )

     To subtract integers, change subtraction to addition
                    and add the opposite.
Subtracting Integers

Expressio                       Number Line
n

 3 − 5 = −2
                  -8 -7 -6 -5 -4 -3 -2 -1   0   1   2 3   4   5   6 7   8




3 + ( −5 ) = –2
                  -8 -7 -6 -5 -4 -3 -2 -1   0   1   2 3   4   5   6 7   8



    Notice – same                       3− 5
   movement, same
  answer, equivalent
     expressions                    = 3 + ( −5 )

     To subtract integers, change subtraction to addition
                    and add the opposite.
         Then apply the “rules” for adding integers.
Subtracting Integers

Expressio                       Number Line
n

 3 − 5 = −2
                  -8 -7 -6 -5 -4 -3 -2 -1   0   1   2 3   4   5   6 7   8




3 + ( −5 ) = –2
                  -8 -7 -6 -5 -4 -3 -2 -1   0   1   2 3   4   5   6 7   8



    Notice – same                       3− 5
   movement, same
  answer, equivalent
     expressions                    = 3 + ( −5 )
                                    = −2
     To subtract integers, change subtraction to addition
                    and add the opposite.
         Then apply the “rules” for adding integers.
Subtracting Integers

Expressio                       Number Line                                 Tile Spacers
n

 3 − 5 = −2
                  -8 -7 -6 -5 -4 -3 -2 -1   0   1   2 3   4   5   6 7   8




3 + ( −5 ) = –2
                  -8 -7 -6 -5 -4 -3 -2 -1   0   1   2 3   4   5   6 7   8



    Notice – same                       3− 5
   movement, same
  answer, equivalent
     expressions                    = 3 + ( −5 )
                                    = −2
     To subtract integers, change subtraction to addition
                    and add the opposite.
         Then apply the “rules” for adding integers.
Subtracting Integers

Expressio                       Number Line                                 Tile Spacers
n
                                                                            ++ +
 3 − 5 = −2
                  -8 -7 -6 -5 -4 -3 -2 -1   0   1   2 3   4   5   6 7   8




3 + ( −5 ) = –2
                  -8 -7 -6 -5 -4 -3 -2 -1   0   1   2 3   4   5   6 7   8



    Notice – same                       3− 5
   movement, same
  answer, equivalent
     expressions                    = 3 + ( −5 )
                                    = −2
     To subtract integers, change subtraction to addition
                    and add the opposite.
         Then apply the “rules” for adding integers.
Subtracting Integers

Expressio                       Number Line                                 Tile Spacers
n
                                                                            ++ +
 3 − 5 = −2
                  -8 -7 -6 -5 -4 -3 -2 -1   0   1   2 3   4   5   6 7   8   –
                                                                            +
3 + ( −5 ) = –2
                  -8 -7 -6 -5 -4 -3 -2 -1   0   1   2 3   4   5   6 7   8



    Notice – same                       3− 5
   movement, same
  answer, equivalent
     expressions                    = 3 + ( −5 )
                                    = −2
     To subtract integers, change subtraction to addition
                    and add the opposite.
         Then apply the “rules” for adding integers.
Subtracting Integers

Expressio                       Number Line                                 Tile Spacers
n
                                                                            ++ +
 3 − 5 = −2
                  -8 -7 -6 -5 -4 -3 -2 -1   0   1   2 3   4   5   6 7   8   ––
                                                                            ++
3 + ( −5 ) = –2
                  -8 -7 -6 -5 -4 -3 -2 -1   0   1   2 3   4   5   6 7   8



    Notice – same                       3− 5
   movement, same
  answer, equivalent
     expressions                    = 3 + ( −5 )
                                    = −2
     To subtract integers, change subtraction to addition
                    and add the opposite.
         Then apply the “rules” for adding integers.
Subtracting Integers

Expressio                       Number Line                                 Tile Spacers
n
                                                                            ++ +
 3 − 5 = −2
                  -8 -7 -6 -5 -4 -3 -2 -1   0   1   2 3   4   5   6 7   8   ––
                                                                            ++
3 + ( −5 ) = –2
                  -8 -7 -6 -5 -4 -3 -2 -1   0   1   2 3   4   5   6 7   8



    Notice – same                       3− 5
   movement, same
  answer, equivalent
     expressions                    = 3 + ( −5 )
                                    = −2
     To subtract integers, change subtraction to addition
                    and add the opposite.
         Then apply the “rules” for adding integers.
Subtracting Integers

Expressio                       Number Line                                 Tile Spacers
n
                                                                            ++ +
 3 − 5 = −2
                  -8 -7 -6 -5 -4 -3 -2 -1   0   1   2 3   4   5   6 7   8   ––
                                                                            ++
3 + ( −5 ) = –2
                                                                            +++
                  -8 -7 -6 -5 -4 -3 -2 -1   0   1   2 3   4   5   6 7   8



    Notice – same                       3− 5
   movement, same
  answer, equivalent
     expressions                    = 3 + ( −5 )
                                    = −2
     To subtract integers, change subtraction to addition
                    and add the opposite.
         Then apply the “rules” for adding integers.
Subtracting Integers

Expressio                       Number Line                                 Tile Spacers
n
                                                                            ++ +
 3 − 5 = −2
                  -8 -7 -6 -5 -4 -3 -2 -1   0   1   2 3   4   5   6 7   8   ––
                                                                            ++
3 + ( −5 ) = –2
                                                                            +++
                  -8 -7 -6 -5 -4 -3 -2 -1   0   1   2 3   4   5   6 7   8   –––––
    Notice – same                       3− 5
   movement, same
  answer, equivalent
     expressions                    = 3 + ( −5 )
                                    = −2
     To subtract integers, change subtraction to addition
                    and add the opposite.
         Then apply the “rules” for adding integers.
Subtracting Integers

Expressio                       Number Line                                 Tile Spacers
n
                                                                            ++ +
 3 − 5 = −2
                  -8 -7 -6 -5 -4 -3 -2 -1   0   1   2 3   4   5   6 7   8   ––
                                                                            ++
3 + ( −5 ) = –2
                                                                            +++
                  -8 -7 -6 -5 -4 -3 -2 -1   0   1   2 3   4   5   6 7   8   –––––
    Notice – same                       3− 5
   movement, same
  answer, equivalent
     expressions                    = 3 + ( −5 )
                                    = −2
     To subtract integers, change subtraction to addition
                    and add the opposite.
         Then apply the “rules” for adding integers.
You Try:
You Try:
Expressio      Number Line   Tile Spacers
n
  2 − 5




 −2 − 5




 −2 − ( −5 )
You Try:
Expressio                   Number Line                                  Tile Spacers
n
  2 − 5

               -8 -7 -6 -5 -4 -3 -2 -1   0   1   2 3   4   5   6 7   8




 −2 − 5




 −2 − ( −5 )
You Try:
Expressio                   Number Line                                  Tile Spacers
n
  2 − 5

               -8 -7 -6 -5 -4 -3 -2 -1   0   1   2 3   4   5   6 7   8




 −2 − 5




 −2 − ( −5 )
You Try:
Expressio                   Number Line                                  Tile Spacers
n
  2 − 5

               -8 -7 -6 -5 -4 -3 -2 -1   0   1   2 3   4   5   6 7   8




 −2 − 5




 −2 − ( −5 )
You Try:
Expressio                   Number Line                                  Tile Spacers
n
  2 − 5
                                                                           ++
               -8 -7 -6 -5 -4 -3 -2 -1   0   1   2 3   4   5   6 7   8




 −2 − 5




 −2 − ( −5 )
You Try:
Expressio                   Number Line                                  Tile Spacers
n
  2 − 5
                                                                           ++
                                                                           –
               -8 -7 -6 -5 -4 -3 -2 -1   0   1   2 3   4   5   6 7   8
                                                                           +

 −2 − 5




 −2 − ( −5 )
You Try:
Expressio                   Number Line                                  Tile Spacers
n
  2 − 5
                                                                           ++
                                                                           ––
               -8 -7 -6 -5 -4 -3 -2 -1   0   1   2 3   4   5   6 7   8
                                                                           ++

 −2 − 5




 −2 − ( −5 )
You Try:
Expressio                   Number Line                                  Tile Spacers
n
  2 − 5
                                                                           ++
                                                                           –––
               -8 -7 -6 -5 -4 -3 -2 -1   0   1   2 3   4   5   6 7   8
                                                                           +++

 −2 − 5




 −2 − ( −5 )
You Try:
Expressio                   Number Line                                  Tile Spacers
n
  2 − 5
                                                                           ++
                                                                           –––
               -8 -7 -6 -5 -4 -3 -2 -1   0   1   2 3   4   5   6 7   8
                                                                           +++

 −2 − 5




 −2 − ( −5 )
You Try:
Expressio                   Number Line                                  Tile Spacers
n
  2 − 5
                                                                           ++
= 2 + ( −5 )                                                               –––
               -8 -7 -6 -5 -4 -3 -2 -1   0   1   2 3   4   5   6 7   8
                                                                           +++

 −2 − 5




 −2 − ( −5 )
You Try:
Expressio                   Number Line                                  Tile Spacers
n
  2 − 5
                                                                           ++
= 2 + ( −5 )                                                               –––
               -8 -7 -6 -5 -4 -3 -2 -1   0   1   2 3   4   5   6 7   8
                                                                           +++
= –3

 −2 − 5




 −2 − ( −5 )
You Try:
Expressio                   Number Line                                  Tile Spacers
n
  2 − 5
                                                                           ++
= 2 + ( −5 )                                                               –––
               -8 -7 -6 -5 -4 -3 -2 -1   0   1   2 3   4   5   6 7   8
                                                                           +++
= –3

 −2 − 5

               -8 -7 -6 -5 -4 -3 -2 -1   0   1   2 3   4   5   6 7   8




 −2 − ( −5 )
You Try:
Expressio                   Number Line                                  Tile Spacers
n
  2 − 5
                                                                           ++
= 2 + ( −5 )                                                               –––
               -8 -7 -6 -5 -4 -3 -2 -1   0   1   2 3   4   5   6 7   8
                                                                           +++
= –3

 −2 − 5

               -8 -7 -6 -5 -4 -3 -2 -1   0   1   2 3   4   5   6 7   8




 −2 − ( −5 )
You Try:
Expressio                   Number Line                                  Tile Spacers
n
  2 − 5
                                                                           ++
= 2 + ( −5 )                                                               –––
               -8 -7 -6 -5 -4 -3 -2 -1   0   1   2 3   4   5   6 7   8
                                                                           +++
= –3

 −2 − 5

               -8 -7 -6 -5 -4 -3 -2 -1   0   1   2 3   4   5   6 7   8




 −2 − ( −5 )
You Try:
Expressio                   Number Line                                  Tile Spacers
n
  2 − 5
                                                                           ++
= 2 + ( −5 )                                                               –––
               -8 -7 -6 -5 -4 -3 -2 -1   0   1   2 3   4   5   6 7   8
                                                                           +++
= –3

 −2 − 5                                                                    −−
               -8 -7 -6 -5 -4 -3 -2 -1   0   1   2 3   4   5   6 7   8




 −2 − ( −5 )
You Try:
Expressio                   Number Line                                  Tile Spacers
n
  2 − 5
                                                                             ++
= 2 + ( −5 )                                                                 –––
               -8 -7 -6 -5 -4 -3 -2 -1   0   1   2 3   4   5   6 7   8
                                                                             +++
= –3

 −2 − 5                                                                      −−
                                                                         –
               -8 -7 -6 -5 -4 -3 -2 -1   0   1   2 3   4   5   6 7   8   +

 −2 − ( −5 )
You Try:
Expressio                   Number Line                                  Tile Spacers
n
  2 − 5
                                                                           ++
= 2 + ( −5 )                                                               –––
               -8 -7 -6 -5 -4 -3 -2 -1   0   1   2 3   4   5   6 7   8
                                                                           +++
= –3

 −2 − 5                                                                    −−
                                                                         ––
               -8 -7 -6 -5 -4 -3 -2 -1   0   1   2 3   4   5   6 7   8   + +

 −2 − ( −5 )
You Try:
Expressio                   Number Line                                  Tile Spacers
n
  2 − 5
                                                                           ++
= 2 + ( −5 )                                                               –––
               -8 -7 -6 -5 -4 -3 -2 -1   0   1   2 3   4   5   6 7   8
                                                                           +++
= –3

 −2 − 5                                                                    −−
                                                                         –––
               -8 -7 -6 -5 -4 -3 -2 -1   0   1   2 3   4   5   6 7   8   + ++

 −2 − ( −5 )
You Try:
Expressio                   Number Line                                  Tile Spacers
n
  2 − 5
                                                                           ++
= 2 + ( −5 )                                                               –––
               -8 -7 -6 -5 -4 -3 -2 -1   0   1   2 3   4   5   6 7   8
                                                                           +++
= –3

 −2 − 5                                                                    −−
                                                                         ––––
               -8 -7 -6 -5 -4 -3 -2 -1   0   1   2 3   4   5   6 7   8   + ++ +

 −2 − ( −5 )
You Try:
Expressio                   Number Line                                  Tile Spacers
n
  2 − 5
                                                                           ++
= 2 + ( −5 )                                                               –––
               -8 -7 -6 -5 -4 -3 -2 -1   0   1   2 3   4   5   6 7   8
                                                                           +++
= –3

 −2 − 5                                                                    −−
                                                                         –––––
               -8 -7 -6 -5 -4 -3 -2 -1   0   1   2 3   4   5   6 7   8   + ++ + +

 −2 − ( −5 )
You Try:
Expressio                   Number Line                                  Tile Spacers
n
  2 − 5
                                                                           ++
= 2 + ( −5 )                                                               –––
               -8 -7 -6 -5 -4 -3 -2 -1   0   1   2 3   4   5   6 7   8
                                                                           +++
= –3

 −2 − 5                                                                    −−
                                                                         –––––
               -8 -7 -6 -5 -4 -3 -2 -1   0   1   2 3   4   5   6 7   8   + ++ + +

 −2 − ( −5 )
You Try:
Expressio                   Number Line                                  Tile Spacers
n
  2 − 5
                                                                           ++
= 2 + ( −5 )                                                               –––
               -8 -7 -6 -5 -4 -3 -2 -1   0   1   2 3   4   5   6 7   8
                                                                           +++
= –3

 −2 − 5                                                                    −−
                                                                         –––––
               -8 -7 -6 -5 -4 -3 -2 -1   0   1   2 3   4   5   6 7   8   + ++ + +

 −2 − ( −5 )
You Try:
Expressio                    Number Line                                  Tile Spacers
n
   2 − 5
                                                                            ++
 = 2 + ( −5 )                                                               –––
                -8 -7 -6 -5 -4 -3 -2 -1   0   1   2 3   4   5   6 7   8
                                                                            +++
 = –3

 −2 − 5                                                                     −−
= −2 + ( −5 )                                                             –––––
                -8 -7 -6 -5 -4 -3 -2 -1   0   1   2 3   4   5   6 7   8   + ++ + +

  −2 − ( −5 )
You Try:
Expressio                    Number Line                                  Tile Spacers
n
   2 − 5
                                                                            ++
 = 2 + ( −5 )                                                               –––
                -8 -7 -6 -5 -4 -3 -2 -1   0   1   2 3   4   5   6 7   8
                                                                            +++
 = –3

 −2 − 5                                                                     −−
= −2 + ( −5 )                                                             –––––
                -8 -7 -6 -5 -4 -3 -2 -1   0   1   2 3   4   5   6 7   8   + ++ + +
= −7

  −2 − ( −5 )
You Try:
Expressio                    Number Line                                  Tile Spacers
n
   2 − 5
                                                                            ++
 = 2 + ( −5 )                                                               –––
                -8 -7 -6 -5 -4 -3 -2 -1   0   1   2 3   4   5   6 7   8
                                                                            +++
 = –3

 −2 − 5                                                                     −−
= −2 + ( −5 )                                                             –––––
                -8 -7 -6 -5 -4 -3 -2 -1   0   1   2 3   4   5   6 7   8   + ++ + +
= −7

  −2 − ( −5 )
                -8 -7 -6 -5 -4 -3 -2 -1   0   1   2 3   4   5   6 7   8
You Try:
Expressio                    Number Line                                  Tile Spacers
n
   2 − 5
                                                                            ++
 = 2 + ( −5 )                                                               –––
                -8 -7 -6 -5 -4 -3 -2 -1   0   1   2 3   4   5   6 7   8
                                                                            +++
 = –3

 −2 − 5                                                                     −−
= −2 + ( −5 )                                                             –––––
                -8 -7 -6 -5 -4 -3 -2 -1   0   1   2 3   4   5   6 7   8   + ++ + +
= −7

  −2 − ( −5 )
                -8 -7 -6 -5 -4 -3 -2 -1   0   1   2 3   4   5   6 7   8
You Try:
Expressio                    Number Line                                  Tile Spacers
n
   2 − 5
                                                                            ++
 = 2 + ( −5 )                                                               –––
                -8 -7 -6 -5 -4 -3 -2 -1   0   1   2 3   4   5   6 7   8
                                                                            +++
 = –3

 −2 − 5                                                                     −−
= −2 + ( −5 )                                                             –––––
                -8 -7 -6 -5 -4 -3 -2 -1   0   1   2 3   4   5   6 7   8   + ++ + +
= −7

  −2 − ( −5 )
                -8 -7 -6 -5 -4 -3 -2 -1   0   1   2 3   4   5   6 7   8
You Try:
Expressio                    Number Line                                  Tile Spacers
n
   2 − 5
                                                                            ++
 = 2 + ( −5 )                                                               –––
                -8 -7 -6 -5 -4 -3 -2 -1   0   1   2 3   4   5   6 7   8
                                                                            +++
 = –3

 −2 − 5                                                                     −−
= −2 + ( −5 )                                                             –––––
                -8 -7 -6 -5 -4 -3 -2 -1   0   1   2 3   4   5   6 7   8   + ++ + +
= −7

  −2 − ( −5 )                                                              ––
                -8 -7 -6 -5 -4 -3 -2 -1   0   1   2 3   4   5   6 7   8
You Try:
Expressio                    Number Line                                  Tile Spacers
n
   2 − 5
                                                                            ++
 = 2 + ( −5 )                                                               –––
                -8 -7 -6 -5 -4 -3 -2 -1   0   1   2 3   4   5   6 7   8
                                                                            +++
 = –3

 −2 − 5                                                                     −−
= −2 + ( −5 )                                                             –––––
                -8 -7 -6 -5 -4 -3 -2 -1   0   1   2 3   4   5   6 7   8   + ++ + +
= −7

  −2 − ( −5 )                                                              ––
                                                                           –
                -8 -7 -6 -5 -4 -3 -2 -1   0   1   2 3   4   5   6 7   8
                                                                           +
You Try:
Expressio                    Number Line                                  Tile Spacers
n
   2 − 5
                                                                            ++
 = 2 + ( −5 )                                                               –––
                -8 -7 -6 -5 -4 -3 -2 -1   0   1   2 3   4   5   6 7   8
                                                                            +++
 = –3

 −2 − 5                                                                     −−
= −2 + ( −5 )                                                             –––––
                -8 -7 -6 -5 -4 -3 -2 -1   0   1   2 3   4   5   6 7   8   + ++ + +
= −7

  −2 − ( −5 )                                                              ––
                                                                           ––
                -8 -7 -6 -5 -4 -3 -2 -1   0   1   2 3   4   5   6 7   8
                                                                           + +
You Try:
Expressio                    Number Line                                  Tile Spacers
n
   2 − 5
                                                                            ++
 = 2 + ( −5 )                                                               –––
                -8 -7 -6 -5 -4 -3 -2 -1   0   1   2 3   4   5   6 7   8
                                                                            +++
 = –3

 −2 − 5                                                                     −−
= −2 + ( −5 )                                                             –––––
                -8 -7 -6 -5 -4 -3 -2 -1   0   1   2 3   4   5   6 7   8   + ++ + +
= −7

  −2 − ( −5 )                                                              ––
                                                                           –––
                -8 -7 -6 -5 -4 -3 -2 -1   0   1   2 3   4   5   6 7   8
                                                                           + + +
You Try:
Expressio                    Number Line                                  Tile Spacers
n
   2 − 5
                                                                            ++
 = 2 + ( −5 )                                                               –––
                -8 -7 -6 -5 -4 -3 -2 -1   0   1   2 3   4   5   6 7   8
                                                                            +++
 = –3

 −2 − 5                                                                     −−
= −2 + ( −5 )                                                             –––––
                -8 -7 -6 -5 -4 -3 -2 -1   0   1   2 3   4   5   6 7   8   + ++ + +
= −7

  −2 − ( −5 )                                                              ––
                                                                           –––
                -8 -7 -6 -5 -4 -3 -2 -1   0   1   2 3   4   5   6 7   8
                                                                           + + +
You Try:
Expressio                    Number Line                                  Tile Spacers
n
   2 − 5
                                                                            ++
 = 2 + ( −5 )                                                               –––
                -8 -7 -6 -5 -4 -3 -2 -1   0   1   2 3   4   5   6 7   8
                                                                            +++
 = –3

 −2 − 5                                                                     −−
= −2 + ( −5 )                                                             –––––
                -8 -7 -6 -5 -4 -3 -2 -1   0   1   2 3   4   5   6 7   8   + ++ + +
= −7

  −2 − ( −5 )                                                              ––
 = −2 + 5
                                                                           –––
                -8 -7 -6 -5 -4 -3 -2 -1   0   1   2 3   4   5   6 7   8
                                                                           + + +
You Try:
Expressio                    Number Line                                  Tile Spacers
n
   2 − 5
                                                                            ++
 = 2 + ( −5 )                                                               –––
                -8 -7 -6 -5 -4 -3 -2 -1   0   1   2 3   4   5   6 7   8
                                                                            +++
 = –3

 −2 − 5                                                                     −−
= −2 + ( −5 )                                                             –––––
                -8 -7 -6 -5 -4 -3 -2 -1   0   1   2 3   4   5   6 7   8   + ++ + +
= −7

  −2 − ( −5 )                                                              ––
 = −2 + 5
                                                                           –––
                -8 -7 -6 -5 -4 -3 -2 -1   0   1   2 3   4   5   6 7   8
                                                                           + + +
=3
Challenge:
Challenge:
Change subtraction to addition and add the opposite.
    Then apply the “rules” for adding integers.
Challenge:
  Change subtraction to addition and add the opposite.
      Then apply the “rules” for adding integers.


−10 − ( −15 ) −  5 − (−20) + 5 − 15 − (−5)
Challenge:
   Change subtraction to addition and add the opposite.
       Then apply the “rules” for adding integers.


 −10 − ( −15 ) −  5 − (−20) + 5 − 15 − (−5)
= −10
Challenge:
   Change subtraction to addition and add the opposite.
       Then apply the “rules” for adding integers.


 −10 − ( −15 ) −  5 − (−20) + 5 − 15 − (−5)
= −10 +
Challenge:
   Change subtraction to addition and add the opposite.
       Then apply the “rules” for adding integers.


 −10 − ( −15 ) −  5 − (−20) + 5 − 15 − (−5)
= −10 +   15
Challenge:
   Change subtraction to addition and add the opposite.
       Then apply the “rules” for adding integers.


 −10 − ( −15 ) −  5 − (−20) + 5 − 15 − (−5)
= −10 +   15     +
Challenge:
   Change subtraction to addition and add the opposite.
       Then apply the “rules” for adding integers.


 −10 − ( −15 ) −  5 − (−20) + 5 − 15 − (−5)
= −10 +   15     + ( −5 )
Challenge:
   Change subtraction to addition and add the opposite.
       Then apply the “rules” for adding integers.


 −10 − ( −15 ) −  5 − (−20) + 5 − 15 − (−5)
= −10 +   15     + ( −5 ) +
Challenge:
   Change subtraction to addition and add the opposite.
       Then apply the “rules” for adding integers.


 −10 − ( −15 ) −  5 − (−20) + 5 − 15 − (−5)
= −10 +   15     + ( −5 ) + 20
Challenge:
   Change subtraction to addition and add the opposite.
       Then apply the “rules” for adding integers.


 −10 − ( −15 ) −  5 − (−20) + 5 − 15 − (−5)
= −10 +   15     + ( −5 ) + 20       + 5
Challenge:
   Change subtraction to addition and add the opposite.
       Then apply the “rules” for adding integers.


 −10 − ( −15 ) −  5 − (−20) + 5 − 15 − (−5)
= −10 +   15     + ( −5 ) + 20       + 5 +
Challenge:
   Change subtraction to addition and add the opposite.
       Then apply the “rules” for adding integers.


 −10 − ( −15 ) −  5 − (−20) + 5 − 15 − (−5)
= −10 +   15     + ( −5 ) + 20       + 5 + ( −15 )
Challenge:
   Change subtraction to addition and add the opposite.
       Then apply the “rules” for adding integers.


 −10 − ( −15 ) −  5 − (−20) + 5 − 15 − (−5)
= −10 +   15     + ( −5 ) + 20       + 5 + ( −15 ) +
Challenge:
   Change subtraction to addition and add the opposite.
       Then apply the “rules” for adding integers.


 −10 − ( −15 ) −  5 − (−20) + 5 − 15 − (−5)
= −10 +   15     + ( −5 ) + 20       + 5 + ( −15 ) + 5
Challenge:
   Change subtraction to addition and add the opposite.
       Then apply the “rules” for adding integers.


 −10 − ( −15 ) −  5 − (−20) + 5 − 15 − (−5)
= −10 +   15     + ( −5 ) + 20       + 5 + ( −15 ) + 5
Challenge:
   Change subtraction to addition and add the opposite.
       Then apply the “rules” for adding integers.


 −10 − ( −15 ) −  5 − (−20) + 5 − 15 − (−5)
= −10 +   15     + ( −5 ) + 20       + 5 + ( −15 ) + 5

= 45
Challenge:
   Change subtraction to addition and add the opposite.
       Then apply the “rules” for adding integers.


 −10 − ( −15 ) −  5 − (−20) + 5 − 15 − (−5)
= −10 +   15     + ( −5 ) + 20       + 5 + ( −15 ) + 5

= 45
Challenge:
     Change subtraction to addition and add the opposite.
         Then apply the “rules” for adding integers.


 −10 − ( −15 ) −  5 − (−20) + 5 − 15 − (−5)
= −10 +     15     + ( −5 ) + 20       + 5 + ( −15 ) + 5

= 45 + ( −30 )
Challenge:
       Change subtraction to addition and add the opposite.
           Then apply the “rules” for adding integers.


 −10 − ( −15 ) −  5 − (−20) + 5 − 15 − (−5)
= −10 +       15     + ( −5 ) + 20       + 5 + ( −15 ) + 5

= 45 + ( −30 )
= 15
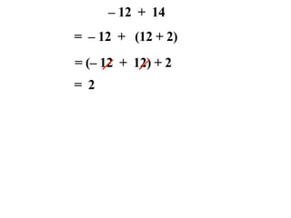
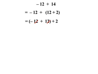
– 12 + 14
– 12 + 14
= – 12 + (12 + 2)
– 12 + 14
= – 12 + (12 + 2)
= (– 12 + 12) + 2
– 12 + 14
= – 12 + (12 + 2)
= (– 12 + 12) + 2
– 12 + 14
= – 12 + (12 + 2)
= (– 12 + 12) + 2
= 2
– 12 + 14
= – 12 + (12 + 2)
= (– 12 + 12) + 2
= 2
– 12 + 14
= – 12 + (12 + 2)
= (– 12 + 12) + 2
= 2
– 12 + 14
= – 12 + (12 + 2)
= (– 12 + 12) + 2
= 2
– 12 + 14
= – 12 + (12 + 2)
= (– 12 + 12) + 2
= 2
– 12 + 14
= – 12 + (12 + 2)
= (– 12 + 12) + 2
= 2
– 12 + 14
= – 12 + (12 + 2)
= (– 12 + 12) + 2
= 2




                    0
– 12 + 14
= – 12 + (12 + 2)
= (– 12 + 12) + 2
= 2




                    0
– 12 + 14
= – 12 + (12 + 2)
= (– 12 + 12) + 2
= 2




                    0
– 12 + 14
= – 12 + (12 + 2)
= (– 12 + 12) + 2
= 2




-12                 0
– 12 + 14
= – 12 + (12 + 2)
= (– 12 + 12) + 2
= 2




          -12


-12                 0
– 12 + 14
= – 12 + (12 + 2)
= (– 12 + 12) + 2
= 2




          -12


-12                 0   2
– 12 + 14
= – 12 + (12 + 2)
= (– 12 + 12) + 2
= 2



            14

          -12


-12                 0   2
Multiplying/Dividing
            Integers
5 • 2 = 10
 4•2= 8
 3•2= 6
 2•2= 4
 1•2= 2
 0•2= 0
–1 • 2 = –2
–2 • 2 = –4
–3 • 2 = –6
–4 • 2 = –8
–5 • 2 = –10
5 • 2 = 10
 4•2= 8
 3•2= 6
 2•2= 4
 1•2= 2
 0•2= 0
–1 • 2 = –2
–2 • 2 = –4
–3 • 2 = –6
–4 • 2 = –8
–5 • 2 = –10
5 • 2 = 10
 4•2= 8
 3•2= 6
 2•2= 4
 1•2= 2
 0•2= 0
–1 • 2 = –2
–2 • 2 = –4
–3 • 2 = –6
–4 • 2 = –8
–5 • 2 = –10
5 • 2 = 10
 4•2= 8
 3•2= 6
 2•2= 4
 1•2= 2
 0•2= 0
–1 • 2 = –2
–2 • 2 = –4
–3 • 2 = –6
–4 • 2 = –8
–5 • 2 = –10
5 • 2 = 10
 4•2= 8
 3•2= 6
 2•2= 4
 1•2= 2
 0•2= 0
–1 • 2 = –2
–2 • 2 = –4
–3 • 2 = –6
–4 • 2 = –8
–5 • 2 = –10
5 • 2 = 10
 4•2= 8
 3•2= 6
 2•2= 4
 1•2= 2
 0•2= 0
–1 • 2 = –2
–2 • 2 = –4
–3 • 2 = –6
–4 • 2 = –8
–5 • 2 = –10
5 • 2 = 10
 4•2= 8
 3•2= 6
 2•2= 4
 1•2= 2
 0•2= 0
–1 • 2 = –2
–2 • 2 = –4
–3 • 2 = –6
–4 • 2 = –8
–5 • 2 = –10
5 • 2 = 10
 4•2= 8
 3•2= 6
 2•2= 4
 1•2= 2
 0•2= 0
–1 • 2 = –2
–2 • 2 = –4
–3 • 2 = –6
–4 • 2 = –8
–5 • 2 = –10
5 • 2 = 10
 4•2= 8
 3•2= 6
 2•2= 4
 1•2= 2
 0•2= 0
–1 • 2 = –2
–2 • 2 = –4
–3 • 2 = –6
–4 • 2 = –8
–5 • 2 = –10
5 • 2 = 10
 4•2= 8
 3•2= 6
 2•2= 4
 1•2= 2
 0•2= 0
–1 • 2 = –2
–2 • 2 = –4
–3 • 2 = –6
–4 • 2 = –8
–5 • 2 = –10
5 • 2 = 10
 4•2= 8
 3•2= 6
 2•2= 4
 1•2= 2
 0•2= 0
–1 • 2 = –2
–2 • 2 = –4
–3 • 2 = –6
–4 • 2 = –8
–5 • 2 = –10
5 • 2 = 10
 4•2= 8
 3•2= 6
 2•2= 4
 1•2= 2
 0•2= 0
–1 • 2 = –2
–2 • 2 = –4
–3 • 2 = –6
–4 • 2 = –8
–5 • 2 = –10
5 • 2 = 10
 4•2= 8
 3•2= 6
 2•2= 4
 1•2= 2
 0•2= 0
–1 • 2 = –2
–2 • 2 = –4
–3 • 2 = –6
–4 • 2 = –8
–5 • 2 = –10
5 • 2 = 10
 4•2= 8
 3•2= 6
 2•2= 4
 1•2= 2
 0•2= 0
–1 • 2 = –2
–2 • 2 = –4
–3 • 2 = –6
–4 • 2 = –8
–5 • 2 = –10
5 • 2 = 10
 4•2= 8
 3•2= 6
 2•2= 4
 1•2= 2
 0•2= 0
–1 • 2 = –2
–2 • 2 = –4
–3 • 2 = –6
–4 • 2 = –8
–5 • 2 = –10
5 • 2 = 10
 4•2= 8
 3•2= 6
 2•2= 4
 1•2= 2
 0•2= 0
–1 • 2 = –2
–2 • 2 = –4
–3 • 2 = –6
–4 • 2 = –8
–5 • 2 = –10
5 • 2 = 10
 4•2= 8
 3•2= 6
 2•2= 4
 1•2= 2
 0•2= 0
–1 • 2 = –2
–2 • 2 = –4
–3 • 2 = –6
–4 • 2 = –8
–5 • 2 = –10
5 • 2 = 10
What can you say about    4•2= 8
   the product of a
negative number and a     3•2= 6
  positive number?
                          2•2= 4
                          1•2= 2
                          0•2= 0
                         –1 • 2 = –2
                         –2 • 2 = –4
                         –3 • 2 = –6
                         –4 • 2 = –8
                         –5 • 2 = –10
5 • 2 = 10
What can you say about    4•2= 8
   the product of a
negative number and a     3•2= 6
  positive number?
                          2•2= 4
                          1•2= 2
                          0•2= 0
                         –1 • 2 = –2
                         –2 • 2 = –4
                         –3 • 2 = –6
                         –4 • 2 = –8
                         –5 • 2 = –10
5 • 2 = 10
What can you say about    4•2= 8
   the product of a
negative number and a     3•2= 6
  positive number?
                          2•2= 4
                          1•2= 2
                          0•2= 0
                         –1 • 2 = –2
   The product of a
                         –2 • 2 = –4
negative number and a
 positive number is a
                         –3 • 2 = –6
  negative number.
                         –4 • 2 = –8
                         –5 • 2 = –10
5 • – 2 = –10
 4•–2= –8
 3•–2= –6
 2•–2= –4
 1 • – 2 = –2
 0•–2= 0
–1 • – 2 = 2
–2 • – 2 = 4
–3 • – 2 = 6
–4 • – 2 = 8
–5 • – 2 = 10
5 • – 2 = –10
 4•–2= –8
 3•–2= –6
 2•–2= –4
 1 • – 2 = –2
 0•–2= 0
–1 • – 2 = 2
–2 • – 2 = 4
–3 • – 2 = 6
–4 • – 2 = 8
–5 • – 2 = 10
5 • – 2 = –10
 4•–2= –8
 3•–2= –6
 2•–2= –4
 1 • – 2 = –2
 0•–2= 0
–1 • – 2 = 2
–2 • – 2 = 4
–3 • – 2 = 6
–4 • – 2 = 8
–5 • – 2 = 10
5 • – 2 = –10
 4•–2= –8
 3•–2= –6
 2•–2= –4
 1 • – 2 = –2
 0•–2= 0
–1 • – 2 = 2
–2 • – 2 = 4
–3 • – 2 = 6
–4 • – 2 = 8
–5 • – 2 = 10
5 • – 2 = –10
 4•–2= –8
 3•–2= –6
 2•–2= –4
 1 • – 2 = –2
 0•–2= 0
–1 • – 2 = 2
–2 • – 2 = 4
–3 • – 2 = 6
–4 • – 2 = 8
–5 • – 2 = 10
5 • – 2 = –10
 4•–2= –8
 3•–2= –6
 2•–2= –4
 1 • – 2 = –2
 0•–2= 0
–1 • – 2 = 2
–2 • – 2 = 4
–3 • – 2 = 6
–4 • – 2 = 8
–5 • – 2 = 10
5 • – 2 = –10
 4•–2= –8
 3•–2= –6
 2•–2= –4
 1 • – 2 = –2
 0•–2= 0
–1 • – 2 = 2
–2 • – 2 = 4
–3 • – 2 = 6
–4 • – 2 = 8
–5 • – 2 = 10
5 • – 2 = –10
 4•–2= –8
 3•–2= –6
 2•–2= –4
 1 • – 2 = –2
 0•–2= 0
–1 • – 2 = 2
–2 • – 2 = 4
–3 • – 2 = 6
–4 • – 2 = 8
–5 • – 2 = 10
5 • – 2 = –10
 4•–2= –8
 3•–2= –6
 2•–2= –4
 1 • – 2 = –2
 0•–2= 0
–1 • – 2 = 2
–2 • – 2 = 4
–3 • – 2 = 6
–4 • – 2 = 8
–5 • – 2 = 10
5 • – 2 = –10
 4•–2= –8
 3•–2= –6
 2•–2= –4
 1 • – 2 = –2
 0•–2= 0
–1 • – 2 = 2
–2 • – 2 = 4
–3 • – 2 = 6
–4 • – 2 = 8
–5 • – 2 = 10
5 • – 2 = –10
 4•–2= –8
 3•–2= –6
 2•–2= –4
 1 • – 2 = –2
 0•–2= 0
–1 • – 2 = 2
–2 • – 2 = 4
–3 • – 2 = 6
–4 • – 2 = 8
–5 • – 2 = 10
5 • – 2 = –10
 4•–2= –8
 3•–2= –6
 2•–2= –4
 1 • – 2 = –2
 0•–2= 0
–1 • – 2 = 2
–2 • – 2 = 4
–3 • – 2 = 6
–4 • – 2 = 8
–5 • – 2 = 10
5 • – 2 = –10
 4•–2= –8
 3•–2= –6
 2•–2= –4
 1 • – 2 = –2
 0•–2= 0
–1 • – 2 = 2
–2 • – 2 = 4
–3 • – 2 = 6
–4 • – 2 = 8
–5 • – 2 = 10
5 • – 2 = –10
 4•–2= –8
 3•–2= –6
 2•–2= –4
 1 • – 2 = –2
 0•–2= 0
–1 • – 2 = 2
–2 • – 2 = 4
–3 • – 2 = 6
–4 • – 2 = 8
–5 • – 2 = 10
5 • – 2 = –10
 4•–2= –8
 3•–2= –6
 2•–2= –4
 1 • – 2 = –2
 0•–2= 0
–1 • – 2 = 2
–2 • – 2 = 4
–3 • – 2 = 6
–4 • – 2 = 8
–5 • – 2 = 10
5 • – 2 = –10
 4•–2= –8
 3•–2= –6
 2•–2= –4
 1 • – 2 = –2
 0•–2= 0
–1 • – 2 = 2
–2 • – 2 = 4
–3 • – 2 = 6
–4 • – 2 = 8
–5 • – 2 = 10
5 • – 2 = –10
 4•–2= –8
 3•–2= –6
 2•–2= –4
 1 • – 2 = –2
 0•–2= 0
–1 • – 2 = 2
–2 • – 2 = 4
–3 • – 2 = 6
–4 • – 2 = 8
–5 • – 2 = 10
From previous lesson the
  product of a negative
                            5 • – 2 = –10
 number and a positive      4•–2= –8
  number is a negative
        number.             3•–2= –6
                            2•–2= –4
                            1 • – 2 = –2
                            0•–2= 0
                           –1 • – 2 = 2
                           –2 • – 2 = 4
                           –3 • – 2 = 6
                           –4 • – 2 = 8
                           –5 • – 2 = 10
From previous lesson the
  product of a negative
                            5 • – 2 = –10
 number and a positive      4•–2= –8
  number is a negative
        number.             3•–2= –6
                            2•–2= –4
                            1 • – 2 = –2
What can you say about
 the product of two
                            0•–2= 0
 negative numbers?         –1 • – 2 = 2
                           –2 • – 2 = 4
                           –3 • – 2 = 6
                           –4 • – 2 = 8
                           –5 • – 2 = 10
From previous lesson the
  product of a negative
                            5 • – 2 = –10
 number and a positive      4•–2= –8
  number is a negative
        number.             3•–2= –6
                            2•–2= –4
                            1 • – 2 = –2
What can you say about
 the product of two
                            0•–2= 0
 negative numbers?         –1 • – 2 = 2
                           –2 • – 2 = 4
                           –3 • – 2 = 6
                           –4 • – 2 = 8
                           –5 • – 2 = 10
From previous lesson the
  product of a negative
                            5 • – 2 = –10
 number and a positive      4•–2= –8
  number is a negative
        number.             3•–2= –6
                            2•–2= –4
                            1 • – 2 = –2
What can you say about
 the product of two
                            0•–2= 0
 negative numbers?         –1 • – 2 = 2
                           –2 • – 2 = 4
   The product of two      –3 • – 2 = 6
  negative numbers is a
    positive number.       –4 • – 2 = 8
                           –5 • – 2 = 10
Expressions and
      Equations




      Philip Gonsalves
Expressions vs Equations
Expressions vs Equations


We simplify expressions
Expressions vs Equations


We simplify expressions

  We solve equations
Expressions
Expressions
Simplify (evaluate) the expression:
Expressions
Simplify (evaluate) the expression:

   2x + 4    when    x=3
Expressions
              Simplify (evaluate) the expression:

                 2x + 4    when    x=3
     2x + 4
Expressions
              Simplify (evaluate) the expression:

                 2x + 4    when    x=3
     2x + 4
Expressions
              Simplify (evaluate) the expression:

                 2x + 4    when    x=3
     2x + 4
= 2(3) + 4
Expressions
              Simplify (evaluate) the expression:

                 2x + 4    when    x=3
     2x + 4
= 2(3) + 4

=6+4
Expressions
              Simplify (evaluate) the expression:

                 2x + 4    when    x=3
     2x + 4
= 2(3) + 4

=6+4
= 10
Expressions
              Simplify (evaluate) the expression:

                 2x + 4    when    x=3
     2x + 4
= 2(3) + 4

=6+4
= 10
Expressions
              Simplify (evaluate) the expression:

                 2x + 4    when    x=3
     2x + 4         x + x + 4
= 2(3) + 4

=6+4
= 10
Expressions
              Simplify (evaluate) the expression:

                 2x + 4    when    x=3
     2x + 4         x + x + 4
= 2(3) + 4        = 3 + 3 + 4

=6+4
= 10
Expressions
              Simplify (evaluate) the expression:

                 2x + 4    when    x=3
     2x + 4         x + x + 4
= 2(3) + 4        = 3 + 3 + 4

=6+4              =6+4
= 10
Expressions
              Simplify (evaluate) the expression:

                 2x + 4    when    x=3
     2x + 4         x + x + 4
= 2(3) + 4        = 3 + 3 + 4

=6+4              =6+4
= 10              = 10
Expressions
              Simplify (evaluate) the expression:

                 2x + 4    when    x=3
     2x + 4         x + x + 4
= 2(3) + 4        = 3 + 3 + 4

=6+4              =6+4
= 10              = 10
Expressions
              Simplify (evaluate) the expression:

                 2x + 4    when    x=3
     2x + 4         x + x + 4
                                             x
= 2(3) + 4        = 3 + 3 + 4

=6+4              =6+4
= 10              = 10
Expressions
              Simplify (evaluate) the expression:

                 2x + 4    when    x=3
     2x + 4         x + x + 4
                                             x
= 2(3) + 4        = 3 + 3 + 4
                                             x
=6+4              =6+4
= 10              = 10
Expressions
              Simplify (evaluate) the expression:

                 2x + 4    when    x=3
     2x + 4         x + x + 4
                                              x
= 2(3) + 4        = 3 + 3 + 4
                                              x
=6+4              =6+4
= 10              = 10               1    1       1   1
Expressions
              Simplify (evaluate) the expression:

                 2x + 4    when    x=3
     2x + 4         x + x + 4
                                         1       1       1
= 2(3) + 4        = 3 + 3 + 4
                                                 x
=6+4              =6+4
= 10              = 10               1       1       1       1
Expressions
              Simplify (evaluate) the expression:

                 2x + 4    when    x=3
     2x + 4         x + x + 4
                                         1       1       1
= 2(3) + 4        = 3 + 3 + 4
                                         1       1       1
=6+4              =6+4
= 10              = 10               1       1       1       1
Virtual Manipulatives:
x + 5 =   7
x + 5 =   7
x
x + 5 =   7
x    1       1


     1       1


         1
x + 5 =   7
x    1       1   1       1


     1       1   1       1


         1       1       1


                     1
x + 5 =   7
x    1       1   1       1


     1       1   1       1


         1       1       1


                     1
x + 5 =   7
x    1       1   1       1


     1       1   1       1


         1       1       1


                     1
x + 5 =   7
x    1       1   1       1


     1       1   1       1


         1       1       1


                     1
x + 5 =   7
x    1       1   1       1


     1       1   1       1


         1       1       1


                     1
x + 5 =   7
x    1       1   1       1


     1       1   1       1


         1       1       1


                     1
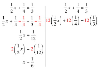
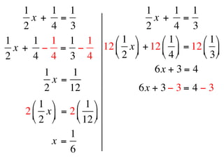
Solving Equations Side-by-side Comparison


x+5=7
Solving Equations Side-by-side Comparison
Traditional:


x+5=7
Solving Equations Side-by-side Comparison
Traditional:


x+5=7
 −5   −5
Solving Equations Side-by-side Comparison
Traditional:


x+5=7
 −5   −5
Solving Equations Side-by-side Comparison
Traditional:


x+5=7
 −5   −5
   x=2
Solving Equations Side-by-side Comparison
Traditional:


x+5=7
 −5   −5
   x=2
Solving Equations Side-by-side Comparison
Traditional:


x+5=7
 −5   −5
   x=2
Solving Equations Side-by-side Comparison
Traditional:    Traditional:
                Proper Syntax


x+5=7
 −5   −5
   x=2
Solving Equations Side-by-side Comparison
Traditional:    Traditional:
                Proper Syntax


x+5=7          x+5=7
 −5   −5
   x=2
Solving Equations Side-by-side Comparison
Traditional:      Traditional:
                  Proper Syntax


x+5=7            x+5=7
 −5   −5       x+5−5= 7−5
   x=2
Solving Equations Side-by-side Comparison
Traditional:      Traditional:
                  Proper Syntax


x+5=7            x+5=7
 −5   −5       x+5−5= 7−5
   x=2              x=2
Solving Equations Side-by-side Comparison
Traditional:      Traditional:
                  Proper Syntax


x+5=7            x+5=7
 −5   −5       x+5−5= 7−5
   x=2              x=2
Solving Equations Side-by-side Comparison
Traditional:      Traditional:    Decomposition:
                  Proper Syntax


x+5=7            x+5=7
 −5   −5       x+5−5= 7−5
   x=2              x=2
Solving Equations Side-by-side Comparison
Traditional:      Traditional:    Decomposition:
                  Proper Syntax


x+5=7            x+5=7            x+5=7
 −5   −5       x+5−5= 7−5
   x=2              x=2
Solving Equations Side-by-side Comparison
Traditional:      Traditional:    Decomposition:
                  Proper Syntax


x+5=7            x+5=7            x+5=7
 −5   −5       x+5−5= 7−5         x+5=5+2
   x=2              x=2
Solving Equations Side-by-side Comparison
Traditional:      Traditional:    Decomposition:
                  Proper Syntax


x+5=7            x+5=7            x+5=7
 −5   −5       x+5−5= 7−5         x+5=5+2
   x=2              x=2
Solving Equations Side-by-side Comparison
Traditional:      Traditional:    Decomposition:
                  Proper Syntax


x+5=7            x+5=7            x+5=7
 −5   −5       x+5−5= 7−5         x+5=5+2
   x=2              x=2             x=2
Solving Equations Side-by-side Comparison
Traditional:      Traditional:    Decomposition:
                  Proper Syntax


x+5=7            x+5=7            x+5=7
 −5   −5       x+5−5= 7−5         x+5=5+2
   x=2              x=2             x=2
Solving Equations Side-by-side Comparison
Traditional:      Traditional:    Decomposition:
                  Proper Syntax


x+5=7            x+5=7            x+5=7
 −5   −5       x+5−5= 7−5         x+5=5+2
   x=2              x=2             x=2

                   Bar Model:
Solving Equations Side-by-side Comparison
Traditional:      Traditional:    Decomposition:
                  Proper Syntax


x+5=7            x+5=7            x+5=7
 −5   −5       x+5−5= 7−5         x+5=5+2
   x=2               x=2            x=2

                   Bar Model:


                 x
Solving Equations Side-by-side Comparison
Traditional:      Traditional:    Decomposition:
                  Proper Syntax


x+5=7            x+5=7            x+5=7
 −5   −5       x+5−5= 7−5         x+5=5+2
   x=2               x=2            x=2

                   Bar Model:


                 x            5
Solving Equations Side-by-side Comparison
Traditional:      Traditional:    Decomposition:
                  Proper Syntax


x+5=7            x+5=7            x+5=7
 −5   −5       x+5−5= 7−5         x+5=5+2
   x=2               x=2            x=2

                   Bar Model:


                 x            5
                         7
57 + 38 = 56 + 39
57 + 38 = 56 + 39
   True or False?
57 + 38 = 56 + 39
   True or False?
 How do you know?
57 + 38 = 56 + 39
   True or False?
 How do you know?

57 + 38 = 56 + 39
57 + 38 = 56 + 39
   True or False?
 How do you know?

57 + 38 = 56 + 39
     95 = 95
57 + 38 = 56 + 39
   True or False?
 How do you know?

57 + 38 = 56 + 39
57 + 38 = 56 + 39
         True or False?
       How do you know?

     57 + 38 = 56 + 39



(56 + 1) + 38
57 + 38 = 56 + 39
         True or False?
       How do you know?

     57 + 38 = 56 + 39



(56 + 1) + 38 = 56 + (1 + 38)
573 + 368 = 571 + 364 + n
573 + 368 = 571 + 364 + n
      941 = 935 + n
573 + 368 = 571 + 364 + n
      941 = 935 + n
941 – 935 = 935 + n – 935
573 + 368 = 571 + 364 + n
      941 = 935 + n
941 – 935 = 935 + n – 935
        6=n
Many ways to solve an equation

573 + 368        =        571 + 364 + n
Many ways to solve an equation

573 + 368        =        571 + 364 + n
Many ways to solve an equation

   573 + 368        =        571 + 364 + n

571 + 2
Many ways to solve an equation

   573 + 368        =        571 + 364 + n

571 + 2
Many ways to solve an equation

   573 + 368        =        571 + 364 + n

571 + 2 + 364 + 4
Many ways to solve an equation

   573 + 368        =        571 + 364 + n

571 + 2 + 364 + 4 =        571 + 364 + n
Many ways to solve an equation

   573 + 368        =        571 + 364 + n

571 + 2 + 364 + 4 =        571 + 364 + n
Many ways to solve an equation

   573 + 368        =        571 + 364 + n

571 + 2 + 364 + 4 =        571 + 364 + n
Many ways to solve an equation

   573 + 368        =        571 + 364 + n

571 + 2 + 364 + 4 =        571 + 364 + n
            2+4 =n
Many ways to solve an equation

   573 + 368        =        571 + 364 + n

571 + 2 + 364 + 4 =        571 + 364 + n
            2+4 =n
                 6=n
Solving Equations — Making
Connections to Prior Knowledge
     573 + 368        =        571 + 364 + n
Solving Equations — Making
   Connections to Prior Knowledge
               573 + 368        =        571 + 364 + n


500 + 70 + 3
Solving Equations — Making
   Connections to Prior Knowledge
            573 + 368        =        571 + 364 + n


500 + 70 + 3 + 300 + 60 + 8
Solving Equations — Making
    Connections to Prior Knowledge
            573 + 368        =        571 + 364 + n


500 + 70 + 3 + 300 + 60 + 8 =  500 + 70 + 1
Solving Equations — Making
    Connections to Prior Knowledge
             573 + 368        =        571 + 364 + n


500 + 70 + 3 + 300 + 60 + 8 =  500 + 70 + 1 + 300 + 60 + 4 + n
Solving Equations — Making
    Connections to Prior Knowledge
             573 + 368        =        571 + 364 + n


500 + 70 + 3 + 300 + 60 + 8 =  500 + 70 + 1 + 300 + 60 + 4 + n
Solving Equations — Making
    Connections to Prior Knowledge
             573 + 368        =        571 + 364 + n


500 + 70 + 3 + 300 + 60 + 8 =  500 + 70 + 1 + 300 + 60 + 4 + n
Solving Equations — Making
    Connections to Prior Knowledge
             573 + 368        =        571 + 364 + n


500 + 70 + 3 + 300 + 60 + 8 =  500 + 70 + 1 + 300 + 60 + 4 + n
Solving Equations — Making
    Connections to Prior Knowledge
             573 + 368        =        571 + 364 + n


500 + 70 + 3 + 300 + 60 + 8 =  500 + 70 + 1 + 300 + 60 + 4 + n
Solving Equations — Making
    Connections to Prior Knowledge
             573 + 368        =        571 + 364 + n


500 + 70 + 3 + 300 + 60 + 8 =  500 + 70 + 1 + 300 + 60 + 4 + n
                        3+ 8 = 1+ 4 + n
Solving Equations — Making
    Connections to Prior Knowledge
             573 + 368        =        571 + 364 + n


500 + 70 + 3 + 300 + 60 + 8 =  500 + 70 + 1 + 300 + 60 + 4 + n
                        3+ 8 = 1+ 4 + n
                          11 = 5 + n
Solving Equations — Making
    Connections to Prior Knowledge
             573 + 368        =        571 + 364 + n


500 + 70 + 3 + 300 + 60 + 8 =  500 + 70 + 1 + 300 + 60 + 4 + n
                        3+ 8 = 1+ 4 + n
                          11 = 5 + n
Solving Equations — Making
    Connections to Prior Knowledge
             573 + 368        =        571 + 364 + n


500 + 70 + 3 + 300 + 60 + 8 =  500 + 70 + 1 + 300 + 60 + 4 + n
                        3+ 8 = 1+ 4 + n
                          11 = 5 + n

                       5+6=5+n
Solving Equations — Making
    Connections to Prior Knowledge
             573 + 368        =        571 + 364 + n


500 + 70 + 3 + 300 + 60 + 8 =  500 + 70 + 1 + 300 + 60 + 4 + n
                        3+ 8 = 1+ 4 + n
                          11 = 5 + n

                       5+6=5+n
Solving Equations — Making
    Connections to Prior Knowledge
             573 + 368        =        571 + 364 + n


500 + 70 + 3 + 300 + 60 + 8 =  500 + 70 + 1 + 300 + 60 + 4 + n
                        3+ 8 = 1+ 4 + n
                          11 = 5 + n

                       5+6=5+n
                           6=n
Solving Equations — Making
    Connections to Prior Knowledge
             573 + 368        =        571 + 364 + n


500 + 70 + 3 + 300 + 60 + 8 =  500 + 70 + 1 + 300 + 60 + 4 + n
                        3+ 8 = 1+ 4 + n
                          11 = 5 + n

                       5+6=5+n
                           6=n
           Focus: Relationships & Balance
Solving Equations — Making
    Connections to Prior Knowledge
             573 + 368        =        571 + 364 + n


500 + 70 + 3 + 300 + 60 + 8 =  500 + 70 + 1 + 300 + 60 + 4 + n
                        3+ 8 = 1+ 4 + n
                          11 = 5 + n

                       5+6=5+n
                           6=n
           Focus: Relationships & Balance
  Connect to prior knowledge: Expanded Notation
“Canceling”
“Canceling”
• Doesn’t exist
“Canceling”
• Doesn’t exist
• We are either looking for ones or zeros
  depending on if we are multiplying/
  dividing or adding/subtracting
“Canceling”
• Doesn’t exist
• We are either looking for ones or zeros
  depending on if we are multiplying/
  dividing or adding/subtracting
• Such terms can create problems - it is
  easier for students to “cancel” things
  and get rid of them than to deal with
  them
“Canceling” — Looking for 1’s
“Canceling” — Looking for 1’s

2x
2
“Canceling” — Looking for 1’s

2x   2• x
   =
2    2 •1
“Canceling” — Looking for 1’s

2x
2  1
   =
     2• x
     2 •1
“Canceling” — Looking for 1’s

2x
2  1
   =

   =
     2• x
     2 •1
     x
     1
“Canceling” — Looking for 1’s

2x
2  1
   =

   =
     2• x
     2 •1
     x
     1
   =x
“Canceling” — Looking for 1’s

2x
2  1
   =

   =
     2• x
     2 •1
     x
            VS




     1
   =x
“Canceling” — Looking for 1’s

2x
2  1
   =

   =
     2• x
     2 •1
     x
            VS
                 2x
                 2

     1
   =x
“Canceling” — Looking for 1’s

2x
2  1
   =

   =
     2• x
     2 •1
     x
            VS
                  2x
                  2
                 =x
     1
   =x
“Canceling” — Looking for 1’s

2x
2  1
   =

   =
     2• x
     2 •1
     x
            VS
                  2x
                  2
                 =x
     1
   =x
“Canceling” — Looking for 1’s

2x
2  1
   =

   =
     2• x
     2 •1
     x
            VS
                  2x
                  2
                 =x
     1
   =x
“Canceling” — Looking for 1’s
                       Common error from



   1
                          “canceling”
2x   2• x   VS
                  2x
   =
2    2 •1         2
     x           =x
   =
     1
   =x
“Canceling” — Looking for 1’s
                       Common error from



   1
                          “canceling”
2x   2• x   VS
                  2x
   =                        2+x
2    2 •1         2
                             2
     x           =x
   =
     1
   =x
“Canceling” — Looking for 1’s
                       Common error from



   1
                          “canceling”
2x   2• x   VS
                  2x
   =                        2+x
2    2 •1         2
                             2
     x           =x
   =
     1
   =x
“Canceling” — Looking for 1’s
                       Common error from



   1
                          “canceling”
2x   2• x   VS
                  2x
   =                        2+x
2    2 •1         2
                             2
     x           =x        ≠x
   =
     1
   =x
“Canceling” — Looking for 1’s
                       Common error from



   1
                          “canceling”
2x   2• x   VS
                  2x
   =                        2+x
2    2 •1         2
                             2
     x           =x        ≠x
   =
     1
   =x
“Canceling” — Looking for 1’s
                       Common error from



   1
                          “canceling”
2x   2• x   VS
                  2x
   =                        2+x
2    2 •1         2
                             2
     x           =x        ≠x
   =
     1                 2+x
   =x                   2
“Canceling” — Looking for 1’s
                       Common error from



   1
                          “canceling”
2x   2• x   VS
                  2x
   =                        2+x
2    2 •1         2
                             2
     x           =x        ≠x
   =
     1                 2+x 2 x
                          = +
   =x                   2  2 2
“Canceling” — Looking for 1’s
                       Common error from



   1
                          “canceling”
2x   2• x   VS
                  2x
   =                        2+x
2    2 •1         2
                             2
     x           =x        ≠x
   =
     1
   =x
                       2+x 2 x
                        2
                          = +
                           2 21
“Canceling” — Looking for 1’s
                       Common error from



   1
                          “canceling”
2x   2• x   VS
                  2x
   =                        2+x
2    2 •1         2
                             2
     x           =x        ≠x
   =
     1
   =x
                       2+x 2 x
                        2
                          = +
                              1
                            2 2
                                 x
                          = 1 + 
                                 2
Looking for 0’s and 1’s
Looking for 0’s and 1’s
2x + 1 = 7
Looking for 0’s and 1’s
   2x + 1 = 7

2x + 1 − 1 = 7 − 1
Looking for 0’s and 1’s
   2x + 1 = 7

2x + 1 − 1 = 7 − 1
Looking for 0’s and 1’s
   2x + 1 = 7

2x + 1 − 1 = 7 − 1
       2x = 6
Looking for 0’s and 1’s
   2x + 1 = 7

2x + 1 − 1 = 7 − 1
       2x = 6
       2x 6
         =
       2 2
Looking for 0’s and 1’s
   2x + 1 = 7

2x + 1 − 1 = 7 − 1
       2x = 6


      12x 6
         =
       2 2
Looking for 0’s and 1’s
   2x + 1 = 7

2x + 1 − 1 = 7 − 1
       2x = 6


      12x 6
         =
       2 2
        x=3
Looking for 0’s and 1’s
   2x + 1 = 7

2x + 1 − 1 = 7 − 1
       2x = 6


      12x 6
         =
       2 2
        x=3
Looking for 0’s and 1’s
   2x + 1 = 7        Check:


2x + 1 − 1 = 7 − 1
       2x = 6


      12x 6
         =
       2 2
        x=3
Looking for 0’s and 1’s
   2x + 1 = 7        Check:   2x + 1 = 7

2x + 1 − 1 = 7 − 1
       2x = 6


      12x 6
         =
       2 2
        x=3
Looking for 0’s and 1’s
   2x + 1 = 7        Check:   2x + 1 = 7

2x + 1 − 1 = 7 − 1
       2x = 6


      12x 6
         =
       2 2
        x=3
Looking for 0’s and 1’s
   2x + 1 = 7        Check:     2x + 1 = 7

2x + 1 − 1 = 7 − 1            2 ( 3) + 1

       2x = 6


      12x 6
         =
       2 2
        x=3
Looking for 0’s and 1’s
   2x + 1 = 7        Check:     2x + 1 = 7

2x + 1 − 1 = 7 − 1            2 ( 3) + 1
                                  6 +1
       2x = 6


      12x 6
         =
       2 2
        x=3
Looking for 0’s and 1’s
   2x + 1 = 7        Check:     2x + 1 = 7

2x + 1 − 1 = 7 − 1            2 ( 3) + 1
                                  6 +1
       2x = 6


      1
                                    7
       2x 6
         =
       2 2
        x=3
Looking for 0’s and 1’s
   2x + 1 = 7        Check:     2x + 1 = 7

2x + 1 − 1 = 7 − 1            2 ( 3) + 1
                                  6 +1
       2x = 6


      1
                                    7      7
       2x 6
         =
       2 2
        x=3
Solving Equations

2x + 1 = 7
Solving Equations

2x + 1 = 7
Solving Equations

2x + 1 = 7


               x            1   1   1


               x            1   1   1


               1                1
Solving Equations

   2x + 1 = 7
2x + 1 − 1 = 7 − 1

                     x          1   1   1


                     x          1   1   1


                     1              1
Solving Equations

   2x + 1 = 7
2x + 1 − 1 = 7 − 1

                     x          1   1   1


                     x          1   1   1


                     1              1
Solving Equations

   2x + 1 = 7
2x + 1 − 1 = 7 − 1

                     x          1   1   1


                     x          1   1   1
Solving Equations

   2x + 1 = 7
2x + 1 − 1 = 7 − 1
       2x = 6
                     x          1   1   1


                     x          1   1   1
Solving Equations

   2x + 1 = 7
2x + 1 − 1 = 7 − 1
       2x = 6
                     x          1   1   1
       2x 6
           =         x          1   1   1
        2 2
Solving Equations

   2x + 1 = 7
2x + 1 − 1 = 7 − 1
       2x = 6

      1
                     x          1   1   1
       2x 6
           =         x          1   1   1
        2 2
Solving Equations

   2x + 1 = 7
2x + 1 − 1 = 7 − 1
       2x = 6

      1
                     x          1   1   1
       2x 6
           =         x          1   1   1
        2 2
         x=3
Solving Equations

   2x + 1 = 7
2x + 1 − 1 = 7 − 1
       2x = 6

      1
                     x          1   1   1
       2x 6
           =         x          1   1   1
        2 2
         x=3
2x + 1 = 7

2x + 1 − 1 = 7 − 1
       2x = 6


      12x 6
         =
       2 2
        x=3
Not the only way to solve ...
   2x + 1 = 7

2x + 1 − 1 = 7 − 1
       2x = 6


      12x 6
         =
       2 2
        x=3
Side-by-side Comparison
   2x + 1 = 7

2x + 1 − 1 = 7 − 1
       2x = 6


      12x 6
         =
       2 2
        x=3
Side-by-side Comparison
   2x + 1 = 7

2x + 1 − 1 = 7 − 1
       2x = 6


      12x 6
         =
       2 2
        x=3
Side-by-side Comparison
   2x + 1 = 7        2x + 1 = 7

2x + 1 − 1 = 7 − 1
       2x = 6


      12x 6
         =
       2 2
        x=3
Side-by-side Comparison
   2x + 1 = 7        2x + 1 = 7

2x + 1 − 1 = 7 − 1   2x 1 7
                       + =
                     2 2 2
       2x = 6


      12x 6
         =
       2 2
        x=3
Side-by-side Comparison
   2x + 1 = 7        2x + 1 = 7

2x + 1 − 1 = 7 − 1
       2x = 6
                     1
                     2x 1 7
                       + =
                     2 2 2



      12x 6
         =
       2 2
        x=3
Side-by-side Comparison
   2x + 1 = 7         2x + 1 = 7

2x + 1 − 1 = 7 − 1
       2x = 6
                     12x 1 7
                        + =
                      2 2 2
                       1 1 7 1

      1
                     x+ − = −
       2x 6            2 2 2 2
         =
       2 2
        x=3
Side-by-side Comparison
   2x + 1 = 7         2x + 1 = 7

2x + 1 − 1 = 7 − 1
       2x = 6
                     12x 1 7
                        + =
                      2 2 2
                       1 1 7 1

      1
                     x+ − = −
       2x 6            2 2 2 2
         =
       2 2                    6
                           x=
        x=3                   2
Side-by-side Comparison
   2x + 1 = 7         2x + 1 = 7

2x + 1 − 1 = 7 − 1
       2x = 6
                     12x 1 7
                        + =
                      2 2 2
                       1 1 7 1

      1
                     x+ − = −
       2x 6            2 2 2 2
         =
       2 2                    6
                           x=
        x=3                   2
                           x=3
2x + 1 = 7

2x + 1 − 1 = 7 − 1
       2x = 6


      12x 6
         =
       2 2
        x=3
Bar Models
   2x + 1 = 7

2x + 1 − 1 = 7 − 1
       2x = 6


      12x 6
         =
       2 2
        x=3
Bar Models
   2x + 1 = 7
                             2x
2x + 1 − 1 = 7 − 1
       2x = 6


      12x 6
         =
       2 2
        x=3
Bar Models
   2x + 1 = 7
                             2x   1
2x + 1 − 1 = 7 − 1            7
       2x = 6


      12x 6
         =
       2 2
        x=3
Bar Models
   2x + 1 = 7
                             2x   1
2x + 1 − 1 = 7 − 1            7
       2x = 6
                             2x   1

      12x 6
         =
       2 2
        x=3
Bar Models
   2x + 1 = 7
                             2x      1
2x + 1 − 1 = 7 − 1               7
       2x = 6
                             2x      1

      12x 6
         =
       2 2
                             6       1

        x=3
Bar Models
   2x + 1 = 7
                             2x       1
2x + 1 − 1 = 7 − 1               7
       2x = 6
                             2x       1

      12x 6
         =
       2 2
                         x
                             6
                                  x
                                      1
                                      1
        x=3
                         3        3 1
Bar Models & Decomposition
   2x + 1 = 7
                          2x       1
2x + 1 − 1 = 7 − 1            7
       2x = 6
                          2x       1

      12x 6
         =
       2 2
                      x
                          6
                               x
                                   1
                                   1
        x=3
                      3        3 1
Relational Thinking




y
  =5
4
Relational Thinking




y
  =5
4
Relational Thinking




y
  =5
4
Relational Thinking

         5   5 5     5


y
  =5
4
Relational Thinking

         5   5 5     5
                       
        14 2 4     3
               20
y
  =5
4
Relational Thinking

                      5   5 5     5
                                    
                     14 2 4     3
                            20
     y
       =5
     4
  ⎛ y ⎞
4 ⎜ ⎟ = 4 ( 5 )
  ⎝ 4 ⎠
Relational Thinking

                      5   5 5     5
                                    
                     14 2 4     3
                            20
     y
       =5
     4
  ⎛ y ⎞
4 ⎜ ⎟ = 4 ( 5 )
  ⎝ 4 ⎠

      y = 20
Relational Thinking

                      5   5 5     5
                                    
                     14 2 4     3
                            20
     y
       =5
     4
  ⎛ y ⎞
4 ⎜ ⎟ = 4 ( 5 )
  ⎝ 4 ⎠

      y = 20
Relational Thinking

                      5   5 5     5
                                    
                     14 2 4     3
                            20
     y                           y
       =5                          =5
     4                           4
  ⎛ y ⎞
4 ⎜ ⎟ = 4 ( 5 )
  ⎝ 4 ⎠

      y = 20
Relational Thinking

                      5   5 5     5
                                    
                     14 2 4     3
                            20
     y                           y
       =5                          =5
     4                           4
  ⎛ y ⎞              y y y y
4 ⎜ ⎟ = 4 ( 5 )       + + + =5+5+5+5
  ⎝ 4 ⎠              4 4 4 4
      y = 20
Relational Thinking

                      5   5 5     5
                                    
                     14 2 4     3
                            20
     y                           y
       =5                          =5
     4                           4
  ⎛ y ⎞              y y y y
4 ⎜ ⎟ = 4 ( 5 )       + + + =5+5+5+5
  ⎝ 4 ⎠              4 4 4 4
      y = 20                      y = 20
2x
   =8
 3
2x
   =8
 3
2x
   =8
 3
{
        
           2x
   8          =8
            3
4 4
{
        
           2x
   8          =8
            3
4 4 4
{
        
           2x
  8           =8
            3
4 4 4
{
        
           2x
  8           =8
            3
       1   1
         x+ x=4+4
       3   3
4 4 4
{
        
           2x
  8           =8
            3
       1   1
         x+ x=4+4
       3   3
4 4 4
{
        
            2x
  8            =8
             3
        1   1
          x+ x=4+4
        3   3
      1   1  1
        x+ x+ x=4+4+4
      3   3  3
4 4 4
{
        
            2x
  8            =8
             3
        1   1
          x+ x=4+4
        3   3
      1   1  1
        x+ x+ x=4+4+4
      3   3  3
             x = 12
4 4 4
{
        
            2x
  8            =8
             3
        1   1
          x+ x=4+4
        3   3
      1   1  1
        x+ x+ x=4+4+4
      3   3  3
             x = 12
4 4 4
{
        
            2x          2x
  8            =8          =8
             3           3

        1   1
          x+ x=4+4
        3   3
      1   1  1
        x+ x+ x=4+4+4
      3   3  3
             x = 12
4 4 4
{
        
            2x             2x
  8            =8             =8
             3              3

        1   1           3 ⎛ 2x ⎞ 3
          x+ x=4+4        ⎜ ⎟ = ( 8 )
        3   3           2 ⎝ 3 ⎠ 2
      1   1  1
        x+ x+ x=4+4+4
      3   3  3
             x = 12
4 4 4
{
        
            2x             2x
  8            =8             =8
             3              3

        1   1           3 ⎛ 2x ⎞ 3
          x+ x=4+4        ⎜ ⎟ = ( 8 )
        3   3           2 ⎝ 3 ⎠ 2
      1   1  1
        x+ x+ x=4+4+4         x = 12
      3   3  3
             x = 12
Building Flexibility
Building Flexibility
3( x + 1) = 15
Building Flexibility
3( x + 1) = 15
 3x + 3 = 15
Building Flexibility
  3( x + 1) = 15
   3x + 3 = 15

3x + 3 − 3 = 15 − 3
Building Flexibility
  3( x + 1) = 15
   3x + 3 = 15

3x + 3 − 3 = 15 − 3
       3x = 12
Building Flexibility
  3( x + 1) = 15
   3x + 3 = 15

3x + 3 − 3 = 15 − 3
       3x = 12
       3x 12
          =
       3     3
Building Flexibility
  3( x + 1) = 15
   3x + 3 = 15

3x + 3 − 3 = 15 − 3
       3x = 12
       3x 12
          =
       3     3
Building Flexibility
  3( x + 1) = 15
   3x + 3 = 15

3x + 3 − 3 = 15 − 3
       3x = 12
       3x 12
          =
       3     3
        x=4
Building Flexibility
  3( x + 1) = 15
   3x + 3 = 15

3x + 3 − 3 = 15 − 3
       3x = 12
       3x 12
          =
       3     3
        x=4
Building Flexibility
  3( x + 1) = 15      3( x + 1) = 15
   3x + 3 = 15

3x + 3 − 3 = 15 − 3
       3x = 12
       3x 12
          =
       3     3
        x=4
Building Flexibility
  3( x + 1) = 15      3( x + 1) = 15
   3x + 3 = 15        3( x + 1) 15
                               =
3x + 3 − 3 = 15 − 3       3      3

       3x = 12
       3x 12
          =
       3     3
        x=4
Building Flexibility
  3( x + 1) = 15      3( x + 1) = 15
   3x + 3 = 15        3( x + 1) 15
                               =
3x + 3 − 3 = 15 − 3       3      3

       3x = 12
       3x 12
          =
       3     3
        x=4
Building Flexibility
  3( x + 1) = 15      3( x + 1) = 15
   3x + 3 = 15        3( x + 1) 15
                               =
3x + 3 − 3 = 15 − 3       3      3

       3x = 12           x +1= 5
       3x 12
          =
       3     3
        x=4
Building Flexibility
  3( x + 1) = 15      3( x + 1) = 15
   3x + 3 = 15        3( x + 1) 15
                               =
3x + 3 − 3 = 15 − 3       3      3

       3x = 12           x +1= 5
       3x 12          x +1−1 = 5 −1
          =
       3     3
        x=4
Building Flexibility
  3( x + 1) = 15      3( x + 1) = 15
   3x + 3 = 15        3( x + 1) 15
                               =
3x + 3 − 3 = 15 − 3       3      3

       3x = 12           x +1= 5
       3x 12          x +1−1 = 5 −1
          =
       3     3
                             x=4
        x=4
3( x + 1) = 15

3( x + 1) 15
         =
    3      3
   x +1= 5

x +1−1 = 5 −1
       x=4
3( x + 1) = 15

3( x + 1) 15
         =
    3      3
   x +1= 5

x +1−1 = 5 −1
       x=4
3( x + 1) = 15

3( x + 1) 15
         =
    3      3                       
                 1 42 43
   x +1= 5
                        15
x +1−1 = 5 −1
       x=4
3( x + 1) = 15

3( x + 1) 15
         =
    3      3                       
                 1 42 43
   x +1= 5
                        15
x +1−1 = 5 −1
       x=4
3( x + 1) = 15

3( x + 1) 15
         =
    3      3                       
                 1 42 43
                  x+1   x+1   x+1

   x +1= 5
                        15
x +1−1 = 5 −1
       x=4
3( x + 1) = 15
                 } } }
                     5        5         5
3( x + 1) 15                                  
         =
    3      3                       
                 1 42 43
                   x+1       x+1       x+1

   x +1= 5
                             15
x +1−1 = 5 −1
       x=4
Building Intuition
Building Intuition
3( x + 1) = 14
Building Intuition
3( x + 1) = 14
 3x + 3 = 14
Building Intuition
  3( x + 1) = 14
   3x + 3 = 14
3x + 3 − 3 = 14 − 3
Building Intuition
  3( x + 1) = 14
   3x + 3 = 14
3x + 3 − 3 = 14 − 3
       3x = 11
Building Intuition
  3( x + 1) = 14
   3x + 3 = 14
3x + 3 − 3 = 14 − 3
       3x = 11
       3x 11
          =
       3     3
Building Intuition
  3( x + 1) = 14
   3x + 3 = 14
3x + 3 − 3 = 14 − 3
       3x = 11
       3x 11
          =
       3     3
Building Intuition
  3( x + 1) = 14
   3x + 3 = 14
3x + 3 − 3 = 14 − 3
       3x = 11
       3x 11
          =
       3     3
            11
        x=
             3
Building Intuition
  3( x + 1) = 14
   3x + 3 = 14
3x + 3 − 3 = 14 − 3
       3x = 11
       3x 11
          =
       3     3
            11
        x=
             3
Building Intuition
  3( x + 1) = 14      3( x + 1) = 14
   3x + 3 = 14
3x + 3 − 3 = 14 − 3
       3x = 11
       3x 11
          =
       3     3
            11
        x=
             3
Building Intuition
  3( x + 1) = 14      3( x + 1) = 14
   3x + 3 = 14        3( x + 1) 14
                               =
3x + 3 − 3 = 14 − 3       3      3

       3x = 11
       3x 11
          =
       3     3
            11
        x=
             3
Building Intuition
  3( x + 1) = 14      3( x + 1) = 14
   3x + 3 = 14        3( x + 1) 14
                               =
3x + 3 − 3 = 14 − 3       3      3

       3x = 11
       3x 11
          =
       3     3
            11
        x=
             3
Building Intuition
  3( x + 1) = 14      3( x + 1) = 14
   3x + 3 = 14        3( x + 1) 14
                               =
3x + 3 − 3 = 14 − 3       3       3
                                 14
       3x = 11            x +1=
                                  3
       3x 11
          =
       3     3
            11
        x=
             3
Building Intuition
  3( x + 1) = 14      3( x + 1) = 14
   3x + 3 = 14        3( x + 1) 14
                               =
3x + 3 − 3 = 14 − 3       3       3
                                 14
       3x = 11            x +1=
                                  3
       3x 11                     14 3
          =           x +1−1 =      −
       3     3                    3 3
            11
        x=
             3
Building Intuition
  3( x + 1) = 14      3( x + 1) = 14
   3x + 3 = 14        3( x + 1) 14
                               =
3x + 3 − 3 = 14 − 3       3       3
                                 14
       3x = 11            x +1=
                                  3
       3x 11                     14 3
          =           x +1−1 =      −
       3     3                    3 3
            11                   11
        x=                    x=
             3                    3
Fractional Equations
1     1 1
  x +  =
2     4 3
1     1 1
      x +  =
    2     4 3
1     1 1 1 1
  x +  − = −
2     4 4 3 4
1     1 1
      x +  =
    2     4 3
1     1 1 1 1
  x +  − = −
2     4 4 3 4
     1      1
       x =
     2     12
1     1 1
      x +  =
    2     4 3
                    1 1
1     1 1 1 1        −
  x +  − = −        3 4
2     4 4 3 4       4   3
                =     −
     1      1      12 12
       x =          1
     2     12   =
                   12
1     1 1
      x +  =
    2     4 3
                                 1 1
1     1 1 1 1                     −
  x +  − = −                     3 4
2     4 4 3 4                    4   3
                             =     −
        1      1                12 12
          x =                    1
        2     12             =
                                12
     ⎛ 1 ⎞      ⎛ 1 ⎞
   2 ⎜ x ⎟  = 2 ⎜ ⎟
     ⎝ 2 ⎠      ⎝ 12 ⎠
1     1 1
      x +  =
    2     4 3
                                 1 1
1     1 1 1 1                     −
  x +  − = −                     3 4
2     4 4 3 4                    4   3
                             =     −
        1      1                12 12
          x =                    1
        2     12             =
                                12
     ⎛ 1 ⎞      ⎛ 1 ⎞
   2 ⎜ x ⎟  = 2 ⎜ ⎟
     ⎝ 2 ⎠      ⎝ 12 ⎠
                1
          x =
                6
1     1 1
      x +  =
    2     4 3
1     1 1 1 1
  x +  − = −
2     4 4 3 4
        1      1
          x =
        2     12
     ⎛ 1 ⎞      ⎛ 1 ⎞
   2 ⎜ x ⎟  = 2 ⎜ ⎟
     ⎝ 2 ⎠      ⎝ 12 ⎠
                1
          x =
                6
1     1 1
      x +  =
    2     4 3
1     1 1 1 1
  x +  − = −
2     4 4 3 4
        1      1
          x =
        2     12
     ⎛ 1 ⎞      ⎛ 1 ⎞
   2 ⎜ x ⎟  = 2 ⎜ ⎟
     ⎝ 2 ⎠      ⎝ 12 ⎠
                1
          x =
                6
1     1 1                1     1 1
      x +  =                   x +  =
    2     4 3                2     4 3
1     1 1 1 1
  x +  − = −
2     4 4 3 4
        1      1
          x =
        2     12
     ⎛ 1 ⎞      ⎛ 1 ⎞
   2 ⎜ x ⎟  = 2 ⎜ ⎟
     ⎝ 2 ⎠      ⎝ 12 ⎠
                1
          x =
                6
1     1 1             1       1 1
      x +  =                x +  =
    2     4 3             2       4 3
1     1 1 1 1    ⎛ 1 ⎞      ⎛ 1 ⎞    ⎛ 1 ⎞
  x +  − = −  12 ⎜ x ⎟ + 12 ⎜ ⎟ = 12 ⎜ ⎟
2     4 4 3 4    ⎝ 2 ⎠      ⎝ 4 ⎠    ⎝ 3 ⎠
         1      1
           x =
         2     12
      ⎛ 1 ⎞      ⎛ 1 ⎞
    2 ⎜ x ⎟  = 2 ⎜ ⎟
      ⎝ 2 ⎠      ⎝ 12 ⎠
                 1
           x =
                 6
1      1 1                1       1 1
      x +  =                    x +  =
    2      4 3                2       4 3
1     1 1 1 1        ⎛ 1 ⎞      ⎛ 1 ⎞    ⎛ 1 ⎞
  x +  − = −      12 ⎜ x ⎟ + 12 ⎜ ⎟ = 12 ⎜ ⎟
2     4 4 3 4        ⎝ 2 ⎠      ⎝ 4 ⎠    ⎝ 3 ⎠
         1      1               6x + 3 = 4 
           x =
         2     12
      ⎛ 1 ⎞      ⎛ 1 ⎞
    2 ⎜ x ⎟  = 2 ⎜ ⎟
      ⎝ 2 ⎠      ⎝ 12 ⎠
                 1
           x =
                 6
1      1 1                1       1 1
      x +  =                    x +  =
    2      4 3                2       4 3
1     1 1 1 1        ⎛ 1 ⎞      ⎛ 1 ⎞    ⎛ 1 ⎞
  x +  − = −      12 ⎜ x ⎟ + 12 ⎜ ⎟ = 12 ⎜ ⎟
2     4 4 3 4        ⎝ 2 ⎠      ⎝ 4 ⎠    ⎝ 3 ⎠
         1      1               6x + 3 = 4 
           x =
         2     12           6x + 3 − 3 = 4 − 3
      ⎛ 1 ⎞      ⎛ 1 ⎞
    2 ⎜ x ⎟  = 2 ⎜ ⎟
      ⎝ 2 ⎠      ⎝ 12 ⎠
                 1
           x =
                 6
1      1 1                1       1 1
      x +  =                    x +  =
    2      4 3                2       4 3
1     1 1 1 1        ⎛ 1 ⎞      ⎛ 1 ⎞    ⎛ 1 ⎞
  x +  − = −      12 ⎜ x ⎟ + 12 ⎜ ⎟ = 12 ⎜ ⎟
2     4 4 3 4        ⎝ 2 ⎠      ⎝ 4 ⎠    ⎝ 3 ⎠
         1      1               6x + 3 = 4 
           x =
         2     12           6x + 3 − 3 = 4 − 3
      ⎛ 1 ⎞      ⎛ 1 ⎞             6x = 1
    2 ⎜ x ⎟  = 2 ⎜ ⎟
      ⎝ 2 ⎠      ⎝ 12 ⎠
                 1
           x =
                 6
1      1 1                1       1 1
      x +  =                    x +  =
    2      4 3                2       4 3
1     1 1 1 1        ⎛ 1 ⎞      ⎛ 1 ⎞    ⎛ 1 ⎞
  x +  − = −      12 ⎜ x ⎟ + 12 ⎜ ⎟ = 12 ⎜ ⎟
2     4 4 3 4        ⎝ 2 ⎠      ⎝ 4 ⎠    ⎝ 3 ⎠
         1      1               6x + 3 = 4 
           x =
         2     12           6x + 3 − 3 = 4 − 3
      ⎛ 1 ⎞      ⎛ 1 ⎞             6x = 1
    2 ⎜ x ⎟  = 2 ⎜ ⎟
      ⎝ 2 ⎠      ⎝ 12 ⎠            6    1
                                         x=
                 1                     6    6
           x =
                 6
1      1 1                1       1 1
      x +  =                    x +  =
    2      4 3                2       4 3
1     1 1 1 1        ⎛ 1 ⎞      ⎛ 1 ⎞    ⎛ 1 ⎞
  x +  − = −      12 ⎜ x ⎟ + 12 ⎜ ⎟ = 12 ⎜ ⎟
2     4 4 3 4        ⎝ 2 ⎠      ⎝ 4 ⎠    ⎝ 3 ⎠
         1      1               6x + 3 = 4 
           x =
         2     12           6x + 3 − 3 = 4 − 3
      ⎛ 1 ⎞      ⎛ 1 ⎞             6x = 1
    2 ⎜ x ⎟  = 2 ⎜ ⎟
      ⎝ 2 ⎠

           x =
                 1
                 6
                   ⎝ 12 ⎠
                                     1 6
                                       6
                                         x=
                                            1
                                            6
1      1 1                1       1 1
      x +  =                    x +  =
    2      4 3                2       4 3
1     1 1 1 1        ⎛ 1 ⎞      ⎛ 1 ⎞    ⎛ 1 ⎞
  x +  − = −      12 ⎜ x ⎟ + 12 ⎜ ⎟ = 12 ⎜ ⎟
2     4 4 3 4        ⎝ 2 ⎠      ⎝ 4 ⎠    ⎝ 3 ⎠
         1      1               6x + 3 = 4 
           x =
         2     12           6x + 3 − 3 = 4 − 3
      ⎛ 1 ⎞      ⎛ 1 ⎞             6x = 1
    2 ⎜ x ⎟  = 2 ⎜ ⎟
      ⎝ 2 ⎠

           x =
                 1
                 6
                   ⎝ 12 ⎠
                                     1 6
                                       6
                                         x=

                                         x =
                                             1
                                             6
                                             1
                                             6
Decimal Equations
1     1 1
  x +  =
2     5 4
1     1 1
       x +  =
     2     5 4
0.50x + 0.20 = 0.25
1     1 1
                   x +  =
                 2     5 4
            0.50x + 0.20 = 0.25
100 ( 0.50x ) + 100 ( 0.20 ) = 100 (.25 )
1     1 1
                   x +  =
                 2     5 4
            0.50x + 0.20 = 0.25
100 ( 0.50x ) + 100 ( 0.20 ) = 100 (.25 )
                 50x + 20 = 25
1     1 1
                   x +  =
                 2     5 4
            0.50x + 0.20 = 0.25
100 ( 0.50x ) + 100 ( 0.20 ) = 100 (.25 )
                 50x + 20 = 25
           50x + 20 − 20 = 25 − 20
1     1 1
                   x +  =
                 2     5 4
            0.50x + 0.20 = 0.25
100 ( 0.50x ) + 100 ( 0.20 ) = 100 (.25 )
                 50x + 20 = 25
           50x + 20 − 20 = 25 − 20
                       50x = 5
1     1 1
                   x +  =
                 2     5 4
            0.50x + 0.20 = 0.25
100 ( 0.50x ) + 100 ( 0.20 ) = 100 (.25 )
                 50x + 20 = 25
           50x + 20 − 20 = 25 − 20
                       50x = 5
                       50      5
                          x =
                       50     50
1     1 1
                   x +  =
                 2     5 4
            0.50x + 0.20 = 0.25
100 ( 0.50x ) + 100 ( 0.20 ) = 100 (.25 )
                 50x + 20 = 25
           50x + 20 − 20 = 25 − 20
                       50x = 5
                       50      5
                          x =
                       50     50
                               1
                          x =
                              10
What is the value of the circle?
What is the value of the circle?
What is the value of the circle?
What is the value of the circle?
What is the value of the circle?
What is the value of the circle?
Solving equations with variables on both sides...

               3x = 2x + 20
Solving equations with variables on both sides...

                  3x = 2x + 20

Bar Model:        Decomposition:      Inverse operations:
Solving equations with variables on both sides...

                  3x = 2x + 20

Bar Model:        Decomposition:      Inverse operations:


   3x
 2x + 20
Solving equations with variables on both sides...

                   3x = 2x + 20

Bar Model:         Decomposition:      Inverse operations:


   3x
 2x + 20
x    x x
x    x 20
Solving equations with variables on both sides...

                    3x = 2x + 20

Bar Model:          Decomposition:      Inverse operations:


   3x
 2x + 20
 x    x x
 x    x 20

∴  x = 20
Solving equations with variables on both sides...

                    3x = 2x + 20

Bar Model:          Decomposition:      Inverse operations:


   3x
 2x + 20
 x    x x
 x    x 20

∴  x = 20
Solving equations with variables on both sides...

                    3x = 2x + 20

Bar Model:          Decomposition:      Inverse operations:


   3x                3x = 2x + 20
 2x + 20
 x    x x
 x    x 20

∴  x = 20
Solving equations with variables on both sides...

                    3x = 2x + 20

Bar Model:           Decomposition:       Inverse operations:


   3x                 3x = 2x + 20
 2x + 20         x + x + x = x + x + 20

 x    x x
 x    x 20

∴  x = 20
Solving equations with variables on both sides...

                    3x = 2x + 20

Bar Model:           Decomposition:       Inverse operations:


   3x                 3x = 2x + 20
 2x + 20         x + x + x = x + x + 20

 x    x x
 x    x 20

∴  x = 20
Solving equations with variables on both sides...

                    3x = 2x + 20

Bar Model:           Decomposition:       Inverse operations:


   3x                 3x = 2x + 20
 2x + 20         x + x + x = x + x + 20

 x    x x
 x    x 20

∴  x = 20
Solving equations with variables on both sides...

                    3x = 2x + 20

Bar Model:           Decomposition:       Inverse operations:


   3x                 3x = 2x + 20
 2x + 20         x + x + x = x + x + 20

 x    x x              x = 20
 x    x 20

∴  x = 20
Solving equations with variables on both sides...

                    3x = 2x + 20

Bar Model:           Decomposition:       Inverse operations:


   3x                 3x = 2x + 20
 2x + 20         x + x + x = x + x + 20

 x    x x              x = 20
 x    x 20

∴  x = 20
Solving equations with variables on both sides...

                    3x = 2x + 20

Bar Model:           Decomposition:       Inverse operations:


   3x                 3x = 2x + 20         3x = 2x + 20
 2x + 20         x + x + x = x + x + 20

 x    x x              x = 20
 x    x 20

∴  x = 20
Solving equations with variables on both sides...

                    3x = 2x + 20

Bar Model:           Decomposition:          Inverse operations:


   3x                 3x = 2x + 20            3x = 2x + 20
 2x + 20         x + x + x = x + x + 20   3x − 2x = 2x − 2x + 20
 x    x x              x = 20
 x    x 20

∴  x = 20
Solving equations with variables on both sides...

                    3x = 2x + 20

Bar Model:           Decomposition:          Inverse operations:


   3x                 3x = 2x + 20            3x = 2x + 20
 2x + 20         x + x + x = x + x + 20   3x − 2x = 2x − 2x + 20
 x    x x              x = 20
 x    x 20

∴  x = 20
Solving equations with variables on both sides...

                    3x = 2x + 20

Bar Model:           Decomposition:          Inverse operations:


   3x                 3x = 2x + 20            3x = 2x + 20
 2x + 20         x + x + x = x + x + 20   3x − 2x = 2x − 2x + 20
 x    x x              x = 20
 x    x 20                                     x = 20

∴  x = 20
Your Turn:
             4x + 8 = 5x + 3
Your Turn:
             4x + 8 = 5x + 3

Bar Model:    Decomposition:   Inverse operations:
Your Turn:
             4x + 8 = 5x + 3

Bar Model:    Decomposition:   Inverse operations:


 4x + 8
 5x + 3
Your Turn:
                 4x + 8 = 5x + 3

Bar Model:        Decomposition:   Inverse operations:


 4x + 8
 5x + 3
4x           8
4x      x 3
Your Turn:
                 4x + 8 = 5x + 3

Bar Model:        Decomposition:   Inverse operations:


 4x + 8
 5x + 3
4x           8
4x      x 3
4x      5 3
4x      x 3
Your Turn:
                 4x + 8 = 5x + 3

Bar Model:        Decomposition:   Inverse operations:


 4x + 8
 5x + 3
 4x          8
 4x     x 3
 4x     5 3
 4x     x 3
∴  x = 5
Your Turn:
                 4x + 8 = 5x + 3

Bar Model:        Decomposition:   Inverse operations:


 4x + 8
 5x + 3
 4x          8
 4x     x 3
 4x     5 3
 4x     x 3
∴  x = 5
Your Turn:
                 4x + 8 = 5x + 3

Bar Model:        Decomposition:   Inverse operations:


 4x + 8          4x + 8 = 5x + 3
 5x + 3
 4x          8
 4x     x 3
 4x     5 3
 4x     x 3
∴  x = 5
Your Turn:
                  4x + 8 = 5x + 3

Bar Model:         Decomposition:      Inverse operations:


 4x + 8          4x + 8 = 5x + 3
 5x + 3
                 4x + 8 = 4x + x + 3
 4x          8
 4x     x 3
 4x     5 3
 4x     x 3
∴  x = 5
Your Turn:
                  4x + 8 = 5x + 3

Bar Model:         Decomposition:      Inverse operations:


 4x + 8          4x + 8 = 5x + 3
 5x + 3
                 4x + 8 = 4x + x + 3
 4x          8
 4x     x 3
 4x     5 3
 4x     x 3
∴  x = 5
Your Turn:
                  4x + 8 = 5x + 3

Bar Model:         Decomposition:      Inverse operations:


 4x + 8          4x + 8 = 5x + 3
 5x + 3
                 4x + 8 = 4x + x + 3
 4x          8        8 = x + 3
 4x     x 3
 4x     5 3
 4x     x 3
∴  x = 5
Your Turn:
                  4x + 8 = 5x + 3

Bar Model:         Decomposition:      Inverse operations:


 4x + 8          4x + 8 = 5x + 3
 5x + 3
                 4x + 8 = 4x + x + 3
 4x          8        8 = x + 3
 4x     x 3
                  5 + 3 = x + 3
 4x     5 3
 4x     x 3
∴  x = 5
Your Turn:
                  4x + 8 = 5x + 3

Bar Model:         Decomposition:      Inverse operations:


 4x + 8          4x + 8 = 5x + 3
 5x + 3
                 4x + 8 = 4x + x + 3
 4x          8        8 = x + 3
 4x     x 3
                  5 + 3 = x + 3
 4x     5 3
 4x     x 3
∴  x = 5
Your Turn:
                  4x + 8 = 5x + 3

Bar Model:         Decomposition:      Inverse operations:


 4x + 8          4x + 8 = 5x + 3
 5x + 3
                 4x + 8 = 4x + x + 3
 4x          8        8 = x + 3
 4x     x 3
                  5 + 3 = x + 3
 4x     5 3
 4x     x 3       ∴  5 = x
∴  x = 5
Your Turn:
                  4x + 8 = 5x + 3

Bar Model:         Decomposition:      Inverse operations:


 4x + 8          4x + 8 = 5x + 3
 5x + 3
                 4x + 8 = 4x + x + 3
 4x          8        8 = x + 3
 4x     x 3
                  5 + 3 = x + 3
 4x     5 3
 4x     x 3       ∴  5 = x
∴  x = 5
Your Turn:
                  4x + 8 = 5x + 3

Bar Model:         Decomposition:      Inverse operations:


 4x + 8          4x + 8 = 5x + 3       4x + 8 = 5x + 3
 5x + 3
                 4x + 8 = 4x + x + 3
 4x          8        8 = x + 3
 4x     x 3
                  5 + 3 = x + 3
 4x     5 3
 4x     x 3       ∴  5 = x
∴  x = 5
Your Turn:
                  4x + 8 = 5x + 3

Bar Model:         Decomposition:         Inverse operations:


 4x + 8          4x + 8 = 5x + 3        4x + 8 = 5x + 3
 5x + 3
                 4x + 8 = 4x + x + 3   4x − 4x + 8 = 5x − 4x + 3
 4x          8        8 = x + 3
 4x     x 3
                  5 + 3 = x + 3
 4x     5 3
 4x     x 3       ∴  5 = x
∴  x = 5
Your Turn:
                  4x + 8 = 5x + 3

Bar Model:         Decomposition:         Inverse operations:


 4x + 8          4x + 8 = 5x + 3        4x + 8 = 5x + 3
 5x + 3
                 4x + 8 = 4x + x + 3   4x − 4x + 8 = 5x − 4x + 3
 4x          8        8 = x + 3
 4x     x 3
                  5 + 3 = x + 3
 4x     5 3
 4x     x 3       ∴  5 = x
∴  x = 5
Your Turn:
                  4x + 8 = 5x + 3

Bar Model:         Decomposition:         Inverse operations:


 4x + 8          4x + 8 = 5x + 3        4x + 8 = 5x + 3
 5x + 3
                 4x + 8 = 4x + x + 3   4x − 4x + 8 = 5x − 4x + 3
 4x          8        8 = x + 3                 8 = x + 3
 4x     x 3
                  5 + 3 = x + 3
 4x     5 3
 4x     x 3       ∴  5 = x
∴  x = 5
Your Turn:
                  4x + 8 = 5x + 3

Bar Model:         Decomposition:         Inverse operations:


 4x + 8          4x + 8 = 5x + 3        4x + 8 = 5x + 3
 5x + 3
                 4x + 8 = 4x + x + 3   4x − 4x + 8 = 5x − 4x + 3
 4x          8        8 = x + 3                 8 = x + 3
 4x     x 3
                  5 + 3 = x + 3           8 − 3 = x + 3 − 3
 4x     5 3
 4x     x 3       ∴  5 = x
∴  x = 5
Your Turn:
                  4x + 8 = 5x + 3

Bar Model:         Decomposition:         Inverse operations:


 4x + 8          4x + 8 = 5x + 3        4x + 8 = 5x + 3
 5x + 3
                 4x + 8 = 4x + x + 3   4x − 4x + 8 = 5x − 4x + 3
 4x          8        8 = x + 3                 8 = x + 3
 4x     x 3
                  5 + 3 = x + 3           8 − 3 = x + 3 − 3
 4x     5 3
 4x     x 3       ∴  5 = x
∴  x = 5
Your Turn:
                  4x + 8 = 5x + 3

Bar Model:         Decomposition:         Inverse operations:


 4x + 8          4x + 8 = 5x + 3        4x + 8 = 5x + 3
 5x + 3
                 4x + 8 = 4x + x + 3   4x − 4x + 8 = 5x − 4x + 3
 4x          8        8 = x + 3                 8 = x + 3
 4x     x 3
                  5 + 3 = x + 3           8 − 3 = x + 3 − 3
 4x     5 3
 4x     x 3       ∴  5 = x                      5 = x
∴  x = 5
Percent Problems




                   Mathematics*Center*




                    West*Contra*Costa**
                   Unified*School*District*
2) 14 is 2% of what number?
2) 14 is 2% of what number?

is   %
   =
of 100
2) 14 is 2% of what number?

is   %
   =
of 100
14   2
   =
 x 100
2) 14 is 2% of what number?

is   %
   =
of 100
14   2
   =
 x 100
2x = 14 • 100
2) 14 is 2% of what number?

is   %
   =
of 100
14   2
   =
 x 100
2x = 14 • 100

    14 • 100
 x=
       2
2) 14 is 2% of what number?

is   %
   =
of 100
14   2
   =
 x 100
2x = 14 • 100

    14 • 100
 x=
       2
    2 • 7 • 100
 x=
    2              
2) 14 is 2% of what number?

is   %
   =
of 100
14   2
   =
 x 100
2x = 14 • 100

    14 • 100
 x=
       2

 x=
    1
    2 • 7 • 100
    2              
2) 14 is 2% of what number?

is   %
   =
of 100
14   2
   =
 x 100
2x = 14 • 100

    14 • 100
 x=
       2

 x=
    1
    2 • 7 • 100
    2              
  x = 700
2) 14 is 2% of what number?

    is   %
       =
    of 100
    14   2
       =
     x 100
    2x = 14 • 100

        14 • 100
     x=
           2

      x=
        12 • 7 • 100
         2              
      x = 700
14 is 2% of 700.
2) 14 is 2% of what number?

    is   %
       =
    of 100                 vs
    14   2
       =
     x 100
    2x = 14 • 100

        14 • 100
     x=
           2

      x=
        12 • 7 • 100
         2              
      x = 700
14 is 2% of 700.
2) 14 is 2% of what number?

    is   %                        14 is 2% of what number?
       =
    of 100                 vs
    14   2
       =
     x 100
    2x = 14 • 100

        14 • 100
     x=
           2

      x=
        12 • 7 • 100
         2              
      x = 700
14 is 2% of 700.
2) 14 is 2% of what number?

    is   %                        14 is 2% of what number?
       =
    of 100                 vs
    14   2
       =
     x 100
    2x = 14 • 100

        14 • 100
     x=
           2

      x=
        12 • 7 • 100
         2              
      x = 700
14 is 2% of 700.
2) 14 is 2% of what number?

    is   %                        14 is 2% of what number?
       =
    of 100                 vs
    14   2
       =                          14
     x 100
    2x = 14 • 100

        14 • 100
     x=
           2

      x=
        12 • 7 • 100
         2              
      x = 700
14 is 2% of 700.
2) 14 is 2% of what number?

    is   %                        14 is 2% of what number?
       =
    of 100                 vs
    14   2
       =                          14 =
     x 100
    2x = 14 • 100

        14 • 100
     x=
           2

      x=
        12 • 7 • 100
         2              
      x = 700
14 is 2% of 700.
2) 14 is 2% of what number?

    is   %                        14 is 2% of what number?
       =
    of 100                 vs
    14   2                                2
       =                          14   =
     x 100                               100
    2x = 14 • 100

        14 • 100
     x=
           2

      x=
        12 • 7 • 100
         2              
      x = 700
14 is 2% of 700.
2) 14 is 2% of what number?

    is   %                        14 is 2% of what number?
       =
    of 100                 vs
    14   2                                2
       =                          14   =     •
     x 100                               100
    2x = 14 • 100

        14 • 100
     x=
           2

      x=
        12 • 7 • 100
         2              
      x = 700
14 is 2% of 700.
2) 14 is 2% of what number?

    is   %                        14 is 2% of what number?
       =
    of 100                 vs
    14   2                                2
       =                          14   =     •     x
     x 100                               100
    2x = 14 • 100

        14 • 100
     x=
           2

      x=
        12 • 7 • 100
         2              
      x = 700
14 is 2% of 700.
2) 14 is 2% of what number?

    is   %                        14 is 2% of what number?
       =
    of 100                 vs
    14   2                                2
       =                          14   =     •     x
     x 100                               100
                                        2 x
    2x = 14 • 100                 14 =    •
                                       100 1
        14 • 100
     x=
           2

      x=
        12 • 7 • 100
         2              
      x = 700
14 is 2% of 700.
2) 14 is 2% of what number?

    is   %                        14 is 2% of what number?
       =
    of 100                 vs
    14   2                                2
       =                          14   =     •     x
     x 100                               100
                                        2 x
    2x = 14 • 100                 14 =    •
                                       100 1
        14 • 100                        2 • x  
     x=                            14 =
           2                            2 • 50

      x=
        12 • 7 • 100
         2              
      x = 700
14 is 2% of 700.
2) 14 is 2% of what number?

    is   %                        14 is 2% of what number?
       =
    of 100                 vs
    14   2                                2
       =                          14   =     •     x
     x 100                               100
                                        2 x
    2x = 14 • 100                 14 =    •
                                       100 1

     x=
        14 • 100
           2
                                   14 =
                                       12 • x  
                                        2 • 50

      x=
        12 • 7 • 100
         2              
      x = 700
14 is 2% of 700.
2) 14 is 2% of what number?

    is   %                        14 is 2% of what number?
       =
    of 100                 vs
    14   2                                2
       =                          14   =     •     x
     x 100                               100
                                        2 x
    2x = 14 • 100                 14 =    •
                                       100 1

     x=
        14 • 100
           2
                                   14 =
                                       12 • x  
                                        2 • 50
                                         x
      x=
        12 • 7 • 100
         2              
      x = 700
                                   14 =
                                        50



14 is 2% of 700.
2) 14 is 2% of what number?

    is   %                         14 is 2% of what number?
       =
    of 100                 vs
    14   2                                  2
       =                            14   =     •    x
     x 100                                 100
                                          2 x
    2x = 14 • 100                   14 =    •
                                         100 1

     x=
        14 • 100
           2
                                    14 =
                                         1
                                         2 • x  
                                         2 • 50
                                          x
      x=
        12 • 7 • 100
         2              
      x = 700
                                    14 =
                                         50
                                14 • 50 = x


14 is 2% of 700.
2) 14 is 2% of what number?

    is   %                         14 is 2% of what number?
       =
    of 100                 vs
    14   2                                  2
       =                            14   =     •    x
     x 100                                 100
                                          2 x
    2x = 14 • 100                   14 =    •
                                         100 1

     x=
        14 • 100
           2
                                    14 =
                                         1
                                         2 • x  
                                         2 • 50
                                          x
      x=
        12 • 7 • 100
         2              
      x = 700
                                    14 =
                                         50
                                14 • 50 = x
                                   700 = x
14 is 2% of 700.
2) 14 is 2% of what number?

    is   %                         14 is 2% of what number?
       =
    of 100                 vs
    14   2                                  2
       =                            14   =     •    x
     x 100                                 100
                                          2 x
    2x = 14 • 100                   14 =    •
                                         100 1

     x=
        14 • 100
           2
                                    14 =
                                         1
                                         2 • x  
                                         2 • 50
                                          x
      x=
        12 • 7 • 100
         2              
      x = 700
                                    14 =
                                         50
                                14 • 50 = x
                                   700 = x
14 is 2% of 700.                14 is 2% of 700.
2) 14 is 2% of what number?
2) 14 is 2% of what number?

There are many ways to construct bar models -
  many ways to think about the mathematics


                   or
2) 14 is 2% of what number?

There are many ways to construct bar models -
  many ways to think about the mathematics

                         If 14 is 2%,
                   or
2) 14 is 2% of what number?

There are many ways to construct bar models -
  many ways to think about the mathematics

                         If 14 is 2%, then 140 is 20%
                   or
2) 14 is 2% of what number?

There are many ways to construct bar models -
  many ways to think about the mathematics

                         If 14 is 2%, then 140 is 20%
                   or
                         20%


                         140
2) 14 is 2% of what number?

There are many ways to construct bar models -
  many ways to think about the mathematics

                         If 14 is 2%, then 140 is 20%
                   or
                         20%   40%


                         140   140
2) 14 is 2% of what number?

There are many ways to construct bar models -
  many ways to think about the mathematics

                         If 14 is 2%, then 140 is 20%
                   or
                         20%   40%   60%


                         140   140   140
2) 14 is 2% of what number?

There are many ways to construct bar models -
  many ways to think about the mathematics

                         If 14 is 2%, then 140 is 20%
                   or
                         20%   40%   60%   80%


                         140   140   140   140
2) 14 is 2% of what number?

There are many ways to construct bar models -
  many ways to think about the mathematics

                         If 14 is 2%, then 140 is 20%
                   or
                         20%   40%   60%   80%    100%


                         140   140   140   140   140
2) 14 is 2% of what number?

There are many ways to construct bar models -
  many ways to think about the mathematics

                         If 14 is 2%, then 140 is 20%
                   or
                         20%   40%   60%   80%    100%


                         140   140   140   140   140




                         ⎧
                         ⎪
                         ⎨
                         ⎪
                         ⎩
                                5•140 = 700
2) 14 is 2% of what number?

There are many ways to construct bar models -
  many ways to think about the mathematics

                         If 14 is 2%, then 140 is 20%
                   or
                         20%   40%   60%   80%    100%


                         140   140   140   140    140




                         ⎧
                         ⎪
                         ⎨
                         ⎪
                         ⎩
                                 5•140 = 700

                               14 is 2% of 700.
2) 14 is 2% of what number?

     There are many ways to construct bar models -
       many ways to think about the mathematics

                              If 14 is 2%, then 140 is 20%
14                      or
2%                            20%   40%   60%   80%    100%


                              140   140   140   140    140




                              ⎧
                              ⎪
                              ⎨
                              ⎪
                              ⎩
                                      5•140 = 700

                                    14 is 2% of 700.
2) 14 is 2% of what number?

     There are many ways to construct bar models -
       many ways to think about the mathematics

                              If 14 is 2%, then 140 is 20%
14   28                 or
2%   4%                       20%   40%   60%   80%    100%


                              140   140   140   140    140




                              ⎧
                              ⎪
                              ⎨
                              ⎪
                              ⎩
                                      5•140 = 700

                                    14 is 2% of 700.
2) 14 is 2% of what number?

     There are many ways to construct bar models -
       many ways to think about the mathematics

                              If 14 is 2%, then 140 is 20%
14   28   42            or
2%   4%   6%                  20%   40%   60%   80%    100%


                              140   140   140   140    140




                              ⎧
                              ⎪
                              ⎨
                              ⎪
                              ⎩
                                      5•140 = 700

                                    14 is 2% of 700.
2) 14 is 2% of what number?

     There are many ways to construct bar models -
       many ways to think about the mathematics

                              If 14 is 2%, then 140 is 20%
14   28   42   56       or
2%   4%   6%   8%             20%   40%   60%   80%    100%


                              140   140   140   140    140




                              ⎧
                              ⎪
                              ⎨
                              ⎪
                              ⎩
                                      5•140 = 700

                                    14 is 2% of 700.
2) 14 is 2% of what number?

     There are many ways to construct bar models -
       many ways to think about the mathematics

                               If 14 is 2%, then 140 is 20%
14   28   42   56   70    or
2%   4%   6%   8%   10%        20%   40%   60%   80%    100%


                               140   140   140   140    140




                               ⎧
                               ⎪
                               ⎨
                               ⎪
                               ⎩
                                       5•140 = 700

                                     14 is 2% of 700.
2) 14 is 2% of what number?

     There are many ways to construct bar models -
       many ways to think about the mathematics

                                If 14 is 2%, then 140 is 20%
14   28    42   56   70    or
2%   4%    6%   8%   10%        20%   40%   60%   80%    100%


                                140   140   140   140    140
      70




                                ⎧
                                ⎪
                                ⎨
                                ⎪
                                ⎩
                                        5•140 = 700

                                      14 is 2% of 700.
2) 14 is 2% of what number?

     There are many ways to construct bar models -
       many ways to think about the mathematics

                                  If 14 is 2%, then 140 is 20%
14   28   42      56   70    or
2%   4%   6%      8%   10%        20%   40%   60%   80%    100%


                                  140   140   140   140    140
      70 is 10%




                                  ⎧
                                  ⎪
                                  ⎨
                                  ⎪
                                  ⎩
                                          5•140 = 700

                                        14 is 2% of 700.
2) 14 is 2% of what number?

     There are many ways to construct bar models -
       many ways to think about the mathematics

                                   If 14 is 2%, then 140 is 20%
14   28   42       56   70    or
2%   4%   6%       8%   10%        20%   40%   60%   80%    100%


                                   140   140   140   140    140
      70 is 10%




                                   ⎧
                                   ⎪
                                   ⎨
                                   ⎪
                                   ⎩
     700 is 100%
                                           5•140 = 700

                                         14 is 2% of 700.
2) 14 is 2% of what number?

       There are many ways to construct bar models -
         many ways to think about the mathematics

                                     If 14 is 2%, then 140 is 20%
14     28    42      56   70    or
2%      4%   6%      8%   10%        20%   40%   60%   80%    100%


                                     140   140   140   140    140
         70 is 10%




                                     ⎧
                                     ⎪
                                     ⎨
                                     ⎪
                                     ⎩
       700 is 100%
                                             5•140 = 700

     14 is 2% of 700.                      14 is 2% of 700.
3) 50 is what percent of 200?
3) 50 is what percent of 200?

50 is what percent of 200?
3) 50 is what percent of 200?

50 is what percent of 200?



50
3) 50 is what percent of 200?

50 is what percent of 200?



50 =
3) 50 is what percent of 200?

50 is what percent of 200?


          x
50 =
         100
3) 50 is what percent of 200?

50 is what percent of 200?


          x
50 =               •
         100
3) 50 is what percent of 200?

50 is what percent of 200?


          x
50 =               • 200
         100
3) 50 is what percent of 200?

50 is what percent of 200?


          x
50 =               • 200
         100
      x 200
50 =    •
     100 1
3) 50 is what percent of 200?

50 is what percent of 200?


           x
50 =                 • 200
          100
      x 200
50 =    •
     100 1

     x • 2 • 100
50 =
               100
3) 50 is what percent of 200?

50 is what percent of 200?


           x
50 =                 • 200
          100
      x 200
50 =    •
     100 1

50 =
            1
     x • 2 • 100
               100
3) 50 is what percent of 200?

50 is what percent of 200?


           x
50 =                 • 200
          100
      x 200
50 =    •
     100 1

50 =
            1
     x • 2 • 100
               100
50 = 2x
3) 50 is what percent of 200?

50 is what percent of 200?


           x
50 =                 • 200
          100
      x 200
50 =    •
     100 1

50 =
            1
     x • 2 • 100
               100
50 = 2x
25 = x
3) 50 is what percent of 200?

50 is what percent of 200?
                               vs

           x
50 =                 • 200
          100
      x 200
50 =    •
     100 1

50 =
            1
     x • 2 • 100
               100
50 = 2x
25 = x     50 is 25% of 200.
3) 50 is what percent of 200?

50 is what percent of 200?
                               vs

           x
50 =                 • 200
          100
      x 200
50 =    •
     100 1

50 =
            1
     x • 2 • 100
               100
50 = 2x
25 = x     50 is 25% of 200.
3) 50 is what percent of 200?

50 is what percent of 200?
                               vs
                                    50
           x
50 =                 • 200
          100
      x 200
50 =    •
     100 1

50 =
            1
     x • 2 • 100
               100
50 = 2x
25 = x     50 is 25% of 200.
3) 50 is what percent of 200?

50 is what percent of 200?
                               vs
                                    50
           x
50 =                 • 200
          100                       ? %
      x 200
50 =    •
     100 1

50 =
            1
     x • 2 • 100
               100
50 = 2x
25 = x     50 is 25% of 200.
3) 50 is what percent of 200?

50 is what percent of 200?
                               vs
                                    50     100
           x
50 =                 • 200
          100                       ? %
      x 200
50 =    •
     100 1

50 =
            1
     x • 2 • 100
               100
50 = 2x
25 = x     50 is 25% of 200.
3) 50 is what percent of 200?

50 is what percent of 200?
                               vs
                                    50     100   150
           x
50 =                 • 200
          100                       ? %
      x 200
50 =    •
     100 1

50 =
            1
     x • 2 • 100
               100
50 = 2x
25 = x     50 is 25% of 200.
3) 50 is what percent of 200?

50 is what percent of 200?
                               vs
                                    50     100   150   200
           x
50 =                 • 200
          100                       ? %
      x 200
50 =    •
     100 1

50 =
            1
     x • 2 • 100
               100
50 = 2x
25 = x     50 is 25% of 200.
3) 50 is what percent of 200?

50 is what percent of 200?          25% 50%      75% 100%
                               vs
                                    50     100   150   200
           x
50 =                 • 200
          100                       ? %
      x 200
50 =    •
     100 1

50 =
            1
     x • 2 • 100
               100
50 = 2x
25 = x     50 is 25% of 200.
3) 50 is what percent of 200?

50 is what percent of 200?          25% 50%      75% 100%
                               vs
                                     50    100   150   200
           x
50 =                 • 200
          100                       ? %
      x 200
50 =    •
     100 1
                                    50 is 25% of 200.

50 =
            1
     x • 2 • 100
               100
50 = 2x
25 = x     50 is 25% of 200.
3) 50 is what percent of 200?
3) 50 is what percent of 200?
The use of bar models help students
    develop relational thinking.
3) 50 is what percent of 200?
            The use of bar models help students
                develop relational thinking.


                          or
25% 50%      75% 100%

 50   100    150   200

? %




50 is 25% of 200.
3) 50 is what percent of 200?
            The use of bar models help students
                develop relational thinking.


                          or
25% 50%      75% 100%

 50   100    150   200

? %




50 is 25% of 200.
3) 50 is what percent of 200?
            The use of bar models help students
                develop relational thinking.

                                       200 is 100%
                          or




                                ⎩
                                ⎪
                                ⎨
                                ⎪
                                ⎧
25% 50%      75% 100%

 50   100    150   200

? %




50 is 25% of 200.
3) 50 is what percent of 200?
            The use of bar models help students
                develop relational thinking.

                                       200 is 100%
                          or




                                ⎩
                                ⎪
                                ⎨
                                ⎪
                                ⎧
25% 50%      75% 100%

 50   100    150   200

? %



                                  ⎧
                                  ⎪
                                  ⎨
                                  ⎪
                                  ⎩
                                  ⎧
                                  ⎪
                                  ⎨
                                  ⎪
                                  ⎩
                                     100          100



50 is 25% of 200.
3) 50 is what percent of 200?
            The use of bar models help students
                develop relational thinking.

                                          200 is 100%
                          or




                                ⎩
                                ⎪
                                ⎨
                                ⎪
                                ⎧
25% 50%      75% 100%

 50   100    150   200
                                   50         50   50     50

? %



                                  ⎧
                                  ⎪
                                  ⎨
                                  ⎪
                                  ⎩
                                  ⎧
                                  ⎪
                                  ⎨
                                  ⎪
                                  ⎩
                                        100             100



50 is 25% of 200.
3) 50 is what percent of 200?
            The use of bar models help students
                develop relational thinking.

                                          200 is 100%
                          or




                                ⎩
                                ⎪
                                ⎨
                                ⎪
                                ⎧
25% 50%      75% 100%              25%    50%      75%    100%

 50   100    150   200
                                   50         50   50     50

? %



                                  ⎧
                                  ⎪
                                  ⎨
                                  ⎪
                                  ⎩
                                  ⎧
                                  ⎪
                                  ⎨
                                  ⎪
                                  ⎩
                                        100             100



50 is 25% of 200.
3) 50 is what percent of 200?
            The use of bar models help students
                develop relational thinking.

                                          200 is 100%
                          or




                                ⎩
                                ⎪
                                ⎨
                                ⎪
                                ⎧
25% 50%      75% 100%              25%    50%      75%    100%

 50   100    150   200
                                   50         50   50     50

? %



                                  ⎧
                                  ⎪
                                  ⎨
                                  ⎪
                                  ⎩
                                  ⎧
                                  ⎪
                                  ⎨
                                  ⎪
                                  ⎩
                                        100             100



50 is 25% of 200.                  50 is 25% of 200.
150% of what number is 12?
150% of what number is 12?
150% of what number is 12?


        150% = 12




  ⎩
  ⎪
  ⎨
  ⎪
  ⎧
150% of what number is 12?


           150% = 12




  ⎩
  ⎪
  ⎨
  ⎪
  ⎧
     50%     100%      150%
150% of what number is 12?


           150% = 12




  ⎩
  ⎪
  ⎨
  ⎪
  ⎧
      4        4       4

     50%     100%      150%
150% of what number is 12?


           150% = 12




  ⎩
  ⎪
  ⎨
  ⎪
  ⎧
      4        4       4

     50%     100%      150%
150% of what number is 12?


           150% = 12




  ⎩
  ⎪
  ⎨
  ⎪
  ⎧
      4          4     4

     50%
    ⎧          100%   150%

    ⎪
    ⎨
    ⎪
    ⎩
            8
150% of what number is 12?


           150% = 12




  ⎩
  ⎪
  ⎨
  ⎪
  ⎧
      4          4     4

     50%
    ⎧          100%   150%

    ⎪
    ⎨
    ⎪
    ⎩
            8



150% of 8 is 12.
150% of what number is 12?
150% of what number is 12?
150% of what number is 12?
150% of what number is 12?
150% of what number is 12?
150% of what number is 12?
150% of what number is 12?




   Notice – 200% of 8 is 16?

Test

  • 1.
    San Leandro Unified School District Grades 3-5 Mathematics Professional Development March 2 4!– 3,  2000 + 3 + 3 Philip Gonsalves & Drew Kravin
  • 2.
  • 3.
    Adding Integers –Multiple Representations
  • 4.
    Adding Integers –Multiple Representations Expressio n
  • 5.
    Adding Integers –Multiple Representations Expressio n 3+ 5 =
  • 6.
    Adding Integers –Multiple Representations Expressio n 3+ 5 = 3 + ( −5 ) =
  • 7.
    Adding Integers –Multiple Representations Expressio n 3+ 5 = 3 + ( −5 ) = −3 + 5 =
  • 8.
    Adding Integers –Multiple Representations Expressio n 3+ 5 = 3 + ( −5 ) = −3 + 5 = −3 + ( −5 ) =
  • 9.
    Adding Integers –Multiple Representations Expressio Number Line n 3+ 5 = 3 + ( −5 ) = −3 + 5 = −3 + ( −5 ) =
  • 10.
    Adding Integers –Multiple Representations Expressio Number Line n 3+ 5 = -8 -7 -6 -5 -4 -3 -2 -1 0 1 2 3 4 5 6 7 8 3 + ( −5 ) = −3 + 5 = −3 + ( −5 ) =
  • 11.
    Adding Integers –Multiple Representations Expressio Number Line n 3+ 5 = -8 -7 -6 -5 -4 -3 -2 -1 0 1 2 3 4 5 6 7 8 3 + ( −5 ) = −3 + 5 = −3 + ( −5 ) =
  • 12.
    Adding Integers –Multiple Representations Expressio Number Line n 3+ 5 = -8 -7 -6 -5 -4 -3 -2 -1 0 1 2 3 4 5 6 7 8 3 + ( −5 ) = −3 + 5 = −3 + ( −5 ) =
  • 13.
    Adding Integers –Multiple Representations Expressio Number Line Tile Spacers n 3+ 5 = -8 -7 -6 -5 -4 -3 -2 -1 0 1 2 3 4 5 6 7 8 3 + ( −5 ) = −3 + 5 = −3 + ( −5 ) =
  • 14.
    Adding Integers –Multiple Representations Expressio Number Line Tile Spacers n 3+ 5 = +++ -8 -7 -6 -5 -4 -3 -2 -1 0 1 2 3 4 5 6 7 8 3 + ( −5 ) = −3 + 5 = −3 + ( −5 ) =
  • 15.
    Adding Integers –Multiple Representations Expressio Number Line Tile Spacers n 3+ 5 = +++ -8 -7 -6 -5 -4 -3 -2 -1 0 1 2 3 4 5 6 7 8 +++++ 3 + ( −5 ) = −3 + 5 = −3 + ( −5 ) =
  • 16.
    Adding Integers –Multiple Representations Expressio Number Line Tile Spacers n 3+ 5 = 8 +++ -8 -7 -6 -5 -4 -3 -2 -1 0 1 2 3 4 5 6 7 8 +++++ 3 + ( −5 ) = −3 + 5 = −3 + ( −5 ) =
  • 17.
    Adding Integers –Multiple Representations Expressio Number Line Tile Spacers n 3+ 5 = 8 +++ -8 -7 -6 -5 -4 -3 -2 -1 0 1 2 3 4 5 6 7 8 +++++ 3 + ( −5 ) = -8 -7 -6 -5 -4 -3 -2 -1 0 1 2 3 4 5 6 7 8 −3 + 5 = −3 + ( −5 ) =
  • 18.
    Adding Integers –Multiple Representations Expressio Number Line Tile Spacers n 3+ 5 = 8 +++ -8 -7 -6 -5 -4 -3 -2 -1 0 1 2 3 4 5 6 7 8 +++++ 3 + ( −5 ) = -8 -7 -6 -5 -4 -3 -2 -1 0 1 2 3 4 5 6 7 8 −3 + 5 = −3 + ( −5 ) =
  • 19.
    Adding Integers –Multiple Representations Expressio Number Line Tile Spacers n 3+ 5 = 8 +++ -8 -7 -6 -5 -4 -3 -2 -1 0 1 2 3 4 5 6 7 8 +++++ 3 + ( −5 ) = -8 -7 -6 -5 -4 -3 -2 -1 0 1 2 3 4 5 6 7 8 −3 + 5 = −3 + ( −5 ) =
  • 20.
    Adding Integers –Multiple Representations Expressio Number Line Tile Spacers n 3+ 5 = 8 +++ -8 -7 -6 -5 -4 -3 -2 -1 0 1 2 3 4 5 6 7 8 +++++ 3 + ( −5 ) = +++ -8 -7 -6 -5 -4 -3 -2 -1 0 1 2 3 4 5 6 7 8 −3 + 5 = −3 + ( −5 ) =
  • 21.
    Adding Integers –Multiple Representations Expressio Number Line Tile Spacers n 3+ 5 = 8 +++ -8 -7 -6 -5 -4 -3 -2 -1 0 1 2 3 4 5 6 7 8 +++++ 3 + ( −5 ) = +++ -8 -7 -6 -5 -4 -3 -2 -1 0 1 2 3 4 5 6 7 8 – –––– −3 + 5 = −3 + ( −5 ) =
  • 22.
    Adding Integers –Multiple Representations Expressio Number Line Tile Spacers n 3+ 5 = 8 +++ -8 -7 -6 -5 -4 -3 -2 -1 0 1 2 3 4 5 6 7 8 +++++ 3 + ( −5 ) = +++ -8 -7 -6 -5 -4 -3 -2 -1 0 1 2 3 4 5 6 7 8 – –––– −3 + 5 = −3 + ( −5 ) =
  • 23.
    Adding Integers –Multiple Representations Expressio Number Line Tile Spacers n 3+ 5 = 8 +++ -8 -7 -6 -5 -4 -3 -2 -1 0 1 2 3 4 5 6 7 8 +++++ 3 + ( −5 ) = –2 +++ -8 -7 -6 -5 -4 -3 -2 -1 0 1 2 3 4 5 6 7 8 – –––– −3 + 5 = −3 + ( −5 ) =
  • 24.
    Adding Integers –Multiple Representations Expressio Number Line Tile Spacers n 3+ 5 = 8 +++ -8 -7 -6 -5 -4 -3 -2 -1 0 1 2 3 4 5 6 7 8 +++++ 3 + ( −5 ) = –2 +++ -8 -7 -6 -5 -4 -3 -2 -1 0 1 2 3 4 5 6 7 8 – –––– −3 + 5 = -8 -7 -6 -5 -4 -3 -2 -1 0 1 2 3 4 5 6 7 8 −3 + ( −5 ) =
  • 25.
    Adding Integers –Multiple Representations Expressio Number Line Tile Spacers n 3+ 5 = 8 +++ -8 -7 -6 -5 -4 -3 -2 -1 0 1 2 3 4 5 6 7 8 +++++ 3 + ( −5 ) = –2 +++ -8 -7 -6 -5 -4 -3 -2 -1 0 1 2 3 4 5 6 7 8 – –––– −3 + 5 = -8 -7 -6 -5 -4 -3 -2 -1 0 1 2 3 4 5 6 7 8 −3 + ( −5 ) =
  • 26.
    Adding Integers –Multiple Representations Expressio Number Line Tile Spacers n 3+ 5 = 8 +++ -8 -7 -6 -5 -4 -3 -2 -1 0 1 2 3 4 5 6 7 8 +++++ 3 + ( −5 ) = –2 +++ -8 -7 -6 -5 -4 -3 -2 -1 0 1 2 3 4 5 6 7 8 – –––– −3 + 5 = -8 -7 -6 -5 -4 -3 -2 -1 0 1 2 3 4 5 6 7 8 −3 + ( −5 ) =
  • 27.
    Adding Integers –Multiple Representations Expressio Number Line Tile Spacers n 3+ 5 = 8 +++ -8 -7 -6 -5 -4 -3 -2 -1 0 1 2 3 4 5 6 7 8 +++++ 3 + ( −5 ) = –2 +++ -8 -7 -6 -5 -4 -3 -2 -1 0 1 2 3 4 5 6 7 8 – –––– −3 + 5 = ––– -8 -7 -6 -5 -4 -3 -2 -1 0 1 2 3 4 5 6 7 8 −3 + ( −5 ) =
  • 28.
    Adding Integers –Multiple Representations Expressio Number Line Tile Spacers n 3+ 5 = 8 +++ -8 -7 -6 -5 -4 -3 -2 -1 0 1 2 3 4 5 6 7 8 +++++ 3 + ( −5 ) = –2 +++ -8 -7 -6 -5 -4 -3 -2 -1 0 1 2 3 4 5 6 7 8 – –––– −3 + 5 = ––– -8 -7 -6 -5 -4 -3 -2 -1 0 1 2 3 4 5 6 7 8 +++++ −3 + ( −5 ) =
  • 29.
    Adding Integers –Multiple Representations Expressio Number Line Tile Spacers n 3+ 5 = 8 +++ -8 -7 -6 -5 -4 -3 -2 -1 0 1 2 3 4 5 6 7 8 +++++ 3 + ( −5 ) = –2 +++ -8 -7 -6 -5 -4 -3 -2 -1 0 1 2 3 4 5 6 7 8 – –––– −3 + 5 = ––– -8 -7 -6 -5 -4 -3 -2 -1 0 1 2 3 4 5 6 7 8 +++++ −3 + ( −5 ) =
  • 30.
    Adding Integers –Multiple Representations Expressio Number Line Tile Spacers n 3+ 5 = 8 +++ -8 -7 -6 -5 -4 -3 -2 -1 0 1 2 3 4 5 6 7 8 +++++ 3 + ( −5 ) = –2 +++ -8 -7 -6 -5 -4 -3 -2 -1 0 1 2 3 4 5 6 7 8 – –––– −3 + 5 = 2 ––– -8 -7 -6 -5 -4 -3 -2 -1 0 1 2 3 4 5 6 7 8 +++++ −3 + ( −5 ) =
  • 31.
    Adding Integers –Multiple Representations Expressio Number Line Tile Spacers n 3+ 5 = 8 +++ -8 -7 -6 -5 -4 -3 -2 -1 0 1 2 3 4 5 6 7 8 +++++ 3 + ( −5 ) = –2 +++ -8 -7 -6 -5 -4 -3 -2 -1 0 1 2 3 4 5 6 7 8 – –––– −3 + 5 = 2 ––– -8 -7 -6 -5 -4 -3 -2 -1 0 1 2 3 4 5 6 7 8 +++++ −3 + ( −5 ) = -8 -7 -6 -5 -4 -3 -2 -1 0 1 2 3 4 5 6 7 8
  • 32.
    Adding Integers –Multiple Representations Expressio Number Line Tile Spacers n 3+ 5 = 8 +++ -8 -7 -6 -5 -4 -3 -2 -1 0 1 2 3 4 5 6 7 8 +++++ 3 + ( −5 ) = –2 +++ -8 -7 -6 -5 -4 -3 -2 -1 0 1 2 3 4 5 6 7 8 – –––– −3 + 5 = 2 ––– -8 -7 -6 -5 -4 -3 -2 -1 0 1 2 3 4 5 6 7 8 +++++ −3 + ( −5 ) = -8 -7 -6 -5 -4 -3 -2 -1 0 1 2 3 4 5 6 7 8
  • 33.
    Adding Integers –Multiple Representations Expressio Number Line Tile Spacers n 3+ 5 = 8 +++ -8 -7 -6 -5 -4 -3 -2 -1 0 1 2 3 4 5 6 7 8 +++++ 3 + ( −5 ) = –2 +++ -8 -7 -6 -5 -4 -3 -2 -1 0 1 2 3 4 5 6 7 8 – –––– −3 + 5 = 2 ––– -8 -7 -6 -5 -4 -3 -2 -1 0 1 2 3 4 5 6 7 8 +++++ −3 + ( −5 ) = -8 -7 -6 -5 -4 -3 -2 -1 0 1 2 3 4 5 6 7 8
  • 34.
    Adding Integers –Multiple Representations Expressio Number Line Tile Spacers n 3+ 5 = 8 +++ -8 -7 -6 -5 -4 -3 -2 -1 0 1 2 3 4 5 6 7 8 +++++ 3 + ( −5 ) = –2 +++ -8 -7 -6 -5 -4 -3 -2 -1 0 1 2 3 4 5 6 7 8 – –––– −3 + 5 = 2 ––– -8 -7 -6 -5 -4 -3 -2 -1 0 1 2 3 4 5 6 7 8 +++++ −3 + ( −5 ) = ––– -8 -7 -6 -5 -4 -3 -2 -1 0 1 2 3 4 5 6 7 8
  • 35.
    Adding Integers –Multiple Representations Expressio Number Line Tile Spacers n 3+ 5 = 8 +++ -8 -7 -6 -5 -4 -3 -2 -1 0 1 2 3 4 5 6 7 8 +++++ 3 + ( −5 ) = –2 +++ -8 -7 -6 -5 -4 -3 -2 -1 0 1 2 3 4 5 6 7 8 – –––– −3 + 5 = 2 ––– -8 -7 -6 -5 -4 -3 -2 -1 0 1 2 3 4 5 6 7 8 +++++ −3 + ( −5 ) = ––– -8 -7 -6 -5 -4 -3 -2 -1 0 1 2 3 4 5 6 7 8 –– –––
  • 36.
    Adding Integers –Multiple Representations Expressio Number Line Tile Spacers n 3+ 5 = 8 +++ -8 -7 -6 -5 -4 -3 -2 -1 0 1 2 3 4 5 6 7 8 +++++ 3 + ( −5 ) = –2 +++ -8 -7 -6 -5 -4 -3 -2 -1 0 1 2 3 4 5 6 7 8 – –––– −3 + 5 = 2 ––– -8 -7 -6 -5 -4 -3 -2 -1 0 1 2 3 4 5 6 7 8 +++++ −3 + ( −5 ) = −8 ––– -8 -7 -6 -5 -4 -3 -2 -1 0 1 2 3 4 5 6 7 8 –– –––
  • 37.
    Discovering the “Rulesfor Adding Integers” 3+ 5 = 3 + ( −5 ) = −3 + 5 = −3 + ( −5 ) =
  • 38.
    Discovering the “Rulesfor Adding Integers” 3+ 5 = 3 + ( −5 ) = −3 + 5 = −3 + ( −5 ) =
  • 39.
    Discovering the “Rulesfor Adding Integers” 3+ 5 = −3 + ( −5 ) = 3 + ( −5 ) = −3 + 5 =
  • 40.
    Discovering the “Rulesfor Adding Integers” Same Signs 3+ 5 = −3 + ( −5 ) = 3 + ( −5 ) = −3 + 5 =
  • 41.
    Discovering the “Rulesfor Adding Integers” Same Signs 3+ 5 = −3 + ( −5 ) = −3 + 5 = 3 + ( −5 ) =
  • 42.
    Discovering the “Rulesfor Adding Integers” Same Signs 3+ 5 = −3 + ( −5 ) = 3 + ( −5 ) = −3 + 5 =
  • 43.
    Discovering the “Rulesfor Adding Integers” Same Signs 3+ 5 = −3 + ( −5 ) = Different Signs 3 + ( −5 ) = −3 + 5 =
  • 44.
    Discovering the “Rulesfor Adding Integers” Same Signs 3+ 5 = −3 + ( −5 ) = +++ +++++ Different Signs 3 + ( −5 ) = −3 + 5 =
  • 45.
    Discovering the “Rulesfor Adding Integers” Same Signs 3+ 5 = −3 + ( −5 ) = +++ ––– +++++ –– ––– Different Signs 3 + ( −5 ) = −3 + 5 =
  • 46.
    Discovering the “Rulesfor Adding Integers” Same Signs 3+ 5 = 8 −3 + ( −5 ) = +++ ––– +++++ –– ––– Different Signs 3 + ( −5 ) = −3 + 5 =
  • 47.
    Discovering the “Rulesfor Adding Integers” Same Signs 3+ 5 = 8 −3 + ( −5 ) = −8 +++ ––– +++++ –– ––– Different Signs 3 + ( −5 ) = −3 + 5 =
  • 48.
    Discovering the “Rulesfor Adding Integers” Same Signs 3+ 5 = 8 −3 + ( −5 ) = −8 +++ ––– +++++ –– ––– “If the signs are the same, Different Signs 3 + ( −5 ) = −3 + 5 =
  • 49.
    Discovering the “Rulesfor Adding Integers” Same Signs 3+ 5 = 8 −3 + ( −5 ) = −8 +++ ––– +++++ –– ––– “If the signs are the same, add the numbers (absolute value) and keep the sign”. Different Signs 3 + ( −5 ) = −3 + 5 =
  • 50.
    Discovering the “Rulesfor Adding Integers” Same Signs 3+ 5 = 8 −3 + ( −5 ) = −8 +++ ––– +++++ –– ––– “If the signs are the same, add the numbers (absolute value) and keep the sign”. Different Signs 3 + ( −5 ) = −3 + 5 = +++ – ––––
  • 51.
    Discovering the “Rulesfor Adding Integers” Same Signs 3+ 5 = 8 −3 + ( −5 ) = −8 +++ ––– +++++ –– ––– “If the signs are the same, add the numbers (absolute value) and keep the sign”. Different Signs 3 + ( −5 ) = −3 + 5 = +++ ––– – –––– +++++
  • 52.
    Discovering the “Rulesfor Adding Integers” Same Signs 3+ 5 = 8 −3 + ( −5 ) = −8 +++ ––– +++++ –– ––– “If the signs are the same, add the numbers (absolute value) and keep the sign”. Different Signs 3 + ( −5 ) = –2 −3 + 5 = +++ ––– – –––– +++++
  • 53.
    Discovering the “Rulesfor Adding Integers” Same Signs 3+ 5 = 8 −3 + ( −5 ) = −8 +++ ––– +++++ –– ––– “If the signs are the same, add the numbers (absolute value) and keep the sign”. Different Signs 3 + ( −5 ) = –2 −3 + 5 = 2 +++ ––– – –––– +++++
  • 54.
    Discovering the “Rulesfor Adding Integers” Same Signs 3+ 5 = 8 −3 + ( −5 ) = −8 +++ ––– +++++ –– ––– “If the signs are the same, add the numbers (absolute value) and keep the sign”. Different Signs 3 + ( −5 ) = –2 −3 + 5 = 2 +++ ––– – –––– +++++ “If the signs are different,
  • 55.
    Discovering the “Rulesfor Adding Integers” Same Signs 3+ 5 = 8 −3 + ( −5 ) = −8 +++ ––– +++++ –– ––– “If the signs are the same, add the numbers (absolute value) and keep the sign”. Different Signs 3 + ( −5 ) = –2 −3 + 5 = 2 +++ ––– – –––– +++++ “If the signs are different, subtract the numbers (absolute value)
  • 56.
    Discovering the “Rulesfor Adding Integers” Same Signs 3+ 5 = 8 −3 + ( −5 ) = −8 +++ ––– +++++ –– ––– “If the signs are the same, add the numbers (absolute value) and keep the sign”. Different Signs 3 + ( −5 ) = –2 −3 + 5 = 2 +++ ––– – –––– +++++ “If the signs are different, subtract the numbers (absolute value) and keep the sign of what you have the most of”.
  • 57.
    Subtracting Integers – MultipleRepresentations Guided Discovery
  • 58.
  • 59.
  • 60.
  • 61.
  • 62.
  • 63.
    Subtracting Integers Expressio Number Line n 3− 5 = 3 + ( −5 ) =
  • 64.
    Subtracting Integers Expressio Number Line n 3− 5 = -8 -7 -6 -5 -4 -3 -2 -1 0 1 2 3 4 5 6 7 8 3 + ( −5 ) =
  • 65.
    Subtracting Integers Expressio Number Line n 3− 5 = -8 -7 -6 -5 -4 -3 -2 -1 0 1 2 3 4 5 6 7 8 3 + ( −5 ) =
  • 66.
    Subtracting Integers Expressio Number Line n 3− 5 = -8 -7 -6 -5 -4 -3 -2 -1 0 1 2 3 4 5 6 7 8 3 + ( −5 ) =
  • 67.
    Subtracting Integers Expressio Number Line n 3 − 5 = −2 -8 -7 -6 -5 -4 -3 -2 -1 0 1 2 3 4 5 6 7 8 3 + ( −5 ) =
  • 68.
    Subtracting Integers Expressio Number Line n 3 − 5 = −2 -8 -7 -6 -5 -4 -3 -2 -1 0 1 2 3 4 5 6 7 8 3 + ( −5 ) = -8 -7 -6 -5 -4 -3 -2 -1 0 1 2 3 4 5 6 7 8
  • 69.
    Subtracting Integers Expressio Number Line n 3 − 5 = −2 -8 -7 -6 -5 -4 -3 -2 -1 0 1 2 3 4 5 6 7 8 3 + ( −5 ) = -8 -7 -6 -5 -4 -3 -2 -1 0 1 2 3 4 5 6 7 8
  • 70.
    Subtracting Integers Expressio Number Line n 3 − 5 = −2 -8 -7 -6 -5 -4 -3 -2 -1 0 1 2 3 4 5 6 7 8 3 + ( −5 ) = -8 -7 -6 -5 -4 -3 -2 -1 0 1 2 3 4 5 6 7 8
  • 71.
    Subtracting Integers Expressio Number Line n 3 − 5 = −2 -8 -7 -6 -5 -4 -3 -2 -1 0 1 2 3 4 5 6 7 8 3 + ( −5 ) = –2 -8 -7 -6 -5 -4 -3 -2 -1 0 1 2 3 4 5 6 7 8
  • 72.
    Subtracting Integers Expressio Number Line n 3 − 5 = −2 -8 -7 -6 -5 -4 -3 -2 -1 0 1 2 3 4 5 6 7 8 3 + ( −5 ) = –2 -8 -7 -6 -5 -4 -3 -2 -1 0 1 2 3 4 5 6 7 8
  • 73.
    Subtracting Integers Expressio Number Line n 3 − 5 = −2 -8 -7 -6 -5 -4 -3 -2 -1 0 1 2 3 4 5 6 7 8 3 + ( −5 ) = –2 -8 -7 -6 -5 -4 -3 -2 -1 0 1 2 3 4 5 6 7 8 Notice – same movement, same answer, equivalent expressions
  • 74.
    Subtracting Integers Expressio Number Line n 3 − 5 = −2 -8 -7 -6 -5 -4 -3 -2 -1 0 1 2 3 4 5 6 7 8 3 + ( −5 ) = –2 -8 -7 -6 -5 -4 -3 -2 -1 0 1 2 3 4 5 6 7 8 Notice – same 3− 5 movement, same answer, equivalent expressions
  • 75.
    Subtracting Integers Expressio Number Line n 3 − 5 = −2 -8 -7 -6 -5 -4 -3 -2 -1 0 1 2 3 4 5 6 7 8 3 + ( −5 ) = –2 -8 -7 -6 -5 -4 -3 -2 -1 0 1 2 3 4 5 6 7 8 Notice – same 3− 5 movement, same answer, equivalent expressions To subtract integers, change subtraction to addition
  • 76.
    Subtracting Integers Expressio Number Line n 3 − 5 = −2 -8 -7 -6 -5 -4 -3 -2 -1 0 1 2 3 4 5 6 7 8 3 + ( −5 ) = –2 -8 -7 -6 -5 -4 -3 -2 -1 0 1 2 3 4 5 6 7 8 Notice – same 3− 5 movement, same answer, equivalent expressions =3+ To subtract integers, change subtraction to addition
  • 77.
    Subtracting Integers Expressio Number Line n 3 − 5 = −2 -8 -7 -6 -5 -4 -3 -2 -1 0 1 2 3 4 5 6 7 8 3 + ( −5 ) = –2 -8 -7 -6 -5 -4 -3 -2 -1 0 1 2 3 4 5 6 7 8 Notice – same 3− 5 movement, same answer, equivalent expressions = 3 + ( −5 ) To subtract integers, change subtraction to addition and add the opposite.
  • 78.
    Subtracting Integers Expressio Number Line n 3 − 5 = −2 -8 -7 -6 -5 -4 -3 -2 -1 0 1 2 3 4 5 6 7 8 3 + ( −5 ) = –2 -8 -7 -6 -5 -4 -3 -2 -1 0 1 2 3 4 5 6 7 8 Notice – same 3− 5 movement, same answer, equivalent expressions = 3 + ( −5 ) To subtract integers, change subtraction to addition and add the opposite. Then apply the “rules” for adding integers.
  • 79.
    Subtracting Integers Expressio Number Line n 3 − 5 = −2 -8 -7 -6 -5 -4 -3 -2 -1 0 1 2 3 4 5 6 7 8 3 + ( −5 ) = –2 -8 -7 -6 -5 -4 -3 -2 -1 0 1 2 3 4 5 6 7 8 Notice – same 3− 5 movement, same answer, equivalent expressions = 3 + ( −5 ) = −2 To subtract integers, change subtraction to addition and add the opposite. Then apply the “rules” for adding integers.
  • 80.
    Subtracting Integers Expressio Number Line Tile Spacers n 3 − 5 = −2 -8 -7 -6 -5 -4 -3 -2 -1 0 1 2 3 4 5 6 7 8 3 + ( −5 ) = –2 -8 -7 -6 -5 -4 -3 -2 -1 0 1 2 3 4 5 6 7 8 Notice – same 3− 5 movement, same answer, equivalent expressions = 3 + ( −5 ) = −2 To subtract integers, change subtraction to addition and add the opposite. Then apply the “rules” for adding integers.
  • 81.
    Subtracting Integers Expressio Number Line Tile Spacers n ++ + 3 − 5 = −2 -8 -7 -6 -5 -4 -3 -2 -1 0 1 2 3 4 5 6 7 8 3 + ( −5 ) = –2 -8 -7 -6 -5 -4 -3 -2 -1 0 1 2 3 4 5 6 7 8 Notice – same 3− 5 movement, same answer, equivalent expressions = 3 + ( −5 ) = −2 To subtract integers, change subtraction to addition and add the opposite. Then apply the “rules” for adding integers.
  • 82.
    Subtracting Integers Expressio Number Line Tile Spacers n ++ + 3 − 5 = −2 -8 -7 -6 -5 -4 -3 -2 -1 0 1 2 3 4 5 6 7 8 – + 3 + ( −5 ) = –2 -8 -7 -6 -5 -4 -3 -2 -1 0 1 2 3 4 5 6 7 8 Notice – same 3− 5 movement, same answer, equivalent expressions = 3 + ( −5 ) = −2 To subtract integers, change subtraction to addition and add the opposite. Then apply the “rules” for adding integers.
  • 83.
    Subtracting Integers Expressio Number Line Tile Spacers n ++ + 3 − 5 = −2 -8 -7 -6 -5 -4 -3 -2 -1 0 1 2 3 4 5 6 7 8 –– ++ 3 + ( −5 ) = –2 -8 -7 -6 -5 -4 -3 -2 -1 0 1 2 3 4 5 6 7 8 Notice – same 3− 5 movement, same answer, equivalent expressions = 3 + ( −5 ) = −2 To subtract integers, change subtraction to addition and add the opposite. Then apply the “rules” for adding integers.
  • 84.
    Subtracting Integers Expressio Number Line Tile Spacers n ++ + 3 − 5 = −2 -8 -7 -6 -5 -4 -3 -2 -1 0 1 2 3 4 5 6 7 8 –– ++ 3 + ( −5 ) = –2 -8 -7 -6 -5 -4 -3 -2 -1 0 1 2 3 4 5 6 7 8 Notice – same 3− 5 movement, same answer, equivalent expressions = 3 + ( −5 ) = −2 To subtract integers, change subtraction to addition and add the opposite. Then apply the “rules” for adding integers.
  • 85.
    Subtracting Integers Expressio Number Line Tile Spacers n ++ + 3 − 5 = −2 -8 -7 -6 -5 -4 -3 -2 -1 0 1 2 3 4 5 6 7 8 –– ++ 3 + ( −5 ) = –2 +++ -8 -7 -6 -5 -4 -3 -2 -1 0 1 2 3 4 5 6 7 8 Notice – same 3− 5 movement, same answer, equivalent expressions = 3 + ( −5 ) = −2 To subtract integers, change subtraction to addition and add the opposite. Then apply the “rules” for adding integers.
  • 86.
    Subtracting Integers Expressio Number Line Tile Spacers n ++ + 3 − 5 = −2 -8 -7 -6 -5 -4 -3 -2 -1 0 1 2 3 4 5 6 7 8 –– ++ 3 + ( −5 ) = –2 +++ -8 -7 -6 -5 -4 -3 -2 -1 0 1 2 3 4 5 6 7 8 ––––– Notice – same 3− 5 movement, same answer, equivalent expressions = 3 + ( −5 ) = −2 To subtract integers, change subtraction to addition and add the opposite. Then apply the “rules” for adding integers.
  • 87.
    Subtracting Integers Expressio Number Line Tile Spacers n ++ + 3 − 5 = −2 -8 -7 -6 -5 -4 -3 -2 -1 0 1 2 3 4 5 6 7 8 –– ++ 3 + ( −5 ) = –2 +++ -8 -7 -6 -5 -4 -3 -2 -1 0 1 2 3 4 5 6 7 8 ––––– Notice – same 3− 5 movement, same answer, equivalent expressions = 3 + ( −5 ) = −2 To subtract integers, change subtraction to addition and add the opposite. Then apply the “rules” for adding integers.
  • 88.
  • 89.
    You Try: Expressio Number Line Tile Spacers n 2 − 5 −2 − 5 −2 − ( −5 )
  • 90.
    You Try: Expressio Number Line Tile Spacers n 2 − 5 -8 -7 -6 -5 -4 -3 -2 -1 0 1 2 3 4 5 6 7 8 −2 − 5 −2 − ( −5 )
  • 91.
    You Try: Expressio Number Line Tile Spacers n 2 − 5 -8 -7 -6 -5 -4 -3 -2 -1 0 1 2 3 4 5 6 7 8 −2 − 5 −2 − ( −5 )
  • 92.
    You Try: Expressio Number Line Tile Spacers n 2 − 5 -8 -7 -6 -5 -4 -3 -2 -1 0 1 2 3 4 5 6 7 8 −2 − 5 −2 − ( −5 )
  • 93.
    You Try: Expressio Number Line Tile Spacers n 2 − 5 ++ -8 -7 -6 -5 -4 -3 -2 -1 0 1 2 3 4 5 6 7 8 −2 − 5 −2 − ( −5 )
  • 94.
    You Try: Expressio Number Line Tile Spacers n 2 − 5 ++ – -8 -7 -6 -5 -4 -3 -2 -1 0 1 2 3 4 5 6 7 8 + −2 − 5 −2 − ( −5 )
  • 95.
    You Try: Expressio Number Line Tile Spacers n 2 − 5 ++ –– -8 -7 -6 -5 -4 -3 -2 -1 0 1 2 3 4 5 6 7 8 ++ −2 − 5 −2 − ( −5 )
  • 96.
    You Try: Expressio Number Line Tile Spacers n 2 − 5 ++ ––– -8 -7 -6 -5 -4 -3 -2 -1 0 1 2 3 4 5 6 7 8 +++ −2 − 5 −2 − ( −5 )
  • 97.
    You Try: Expressio Number Line Tile Spacers n 2 − 5 ++ ––– -8 -7 -6 -5 -4 -3 -2 -1 0 1 2 3 4 5 6 7 8 +++ −2 − 5 −2 − ( −5 )
  • 98.
    You Try: Expressio Number Line Tile Spacers n 2 − 5 ++ = 2 + ( −5 ) ––– -8 -7 -6 -5 -4 -3 -2 -1 0 1 2 3 4 5 6 7 8 +++ −2 − 5 −2 − ( −5 )
  • 99.
    You Try: Expressio Number Line Tile Spacers n 2 − 5 ++ = 2 + ( −5 ) ––– -8 -7 -6 -5 -4 -3 -2 -1 0 1 2 3 4 5 6 7 8 +++ = –3 −2 − 5 −2 − ( −5 )
  • 100.
    You Try: Expressio Number Line Tile Spacers n 2 − 5 ++ = 2 + ( −5 ) ––– -8 -7 -6 -5 -4 -3 -2 -1 0 1 2 3 4 5 6 7 8 +++ = –3 −2 − 5 -8 -7 -6 -5 -4 -3 -2 -1 0 1 2 3 4 5 6 7 8 −2 − ( −5 )
  • 101.
    You Try: Expressio Number Line Tile Spacers n 2 − 5 ++ = 2 + ( −5 ) ––– -8 -7 -6 -5 -4 -3 -2 -1 0 1 2 3 4 5 6 7 8 +++ = –3 −2 − 5 -8 -7 -6 -5 -4 -3 -2 -1 0 1 2 3 4 5 6 7 8 −2 − ( −5 )
  • 102.
    You Try: Expressio Number Line Tile Spacers n 2 − 5 ++ = 2 + ( −5 ) ––– -8 -7 -6 -5 -4 -3 -2 -1 0 1 2 3 4 5 6 7 8 +++ = –3 −2 − 5 -8 -7 -6 -5 -4 -3 -2 -1 0 1 2 3 4 5 6 7 8 −2 − ( −5 )
  • 103.
    You Try: Expressio Number Line Tile Spacers n 2 − 5 ++ = 2 + ( −5 ) ––– -8 -7 -6 -5 -4 -3 -2 -1 0 1 2 3 4 5 6 7 8 +++ = –3 −2 − 5 −− -8 -7 -6 -5 -4 -3 -2 -1 0 1 2 3 4 5 6 7 8 −2 − ( −5 )
  • 104.
    You Try: Expressio Number Line Tile Spacers n 2 − 5 ++ = 2 + ( −5 ) ––– -8 -7 -6 -5 -4 -3 -2 -1 0 1 2 3 4 5 6 7 8 +++ = –3 −2 − 5 −− – -8 -7 -6 -5 -4 -3 -2 -1 0 1 2 3 4 5 6 7 8 + −2 − ( −5 )
  • 105.
    You Try: Expressio Number Line Tile Spacers n 2 − 5 ++ = 2 + ( −5 ) ––– -8 -7 -6 -5 -4 -3 -2 -1 0 1 2 3 4 5 6 7 8 +++ = –3 −2 − 5 −− –– -8 -7 -6 -5 -4 -3 -2 -1 0 1 2 3 4 5 6 7 8 + + −2 − ( −5 )
  • 106.
    You Try: Expressio Number Line Tile Spacers n 2 − 5 ++ = 2 + ( −5 ) ––– -8 -7 -6 -5 -4 -3 -2 -1 0 1 2 3 4 5 6 7 8 +++ = –3 −2 − 5 −− ––– -8 -7 -6 -5 -4 -3 -2 -1 0 1 2 3 4 5 6 7 8 + ++ −2 − ( −5 )
  • 107.
    You Try: Expressio Number Line Tile Spacers n 2 − 5 ++ = 2 + ( −5 ) ––– -8 -7 -6 -5 -4 -3 -2 -1 0 1 2 3 4 5 6 7 8 +++ = –3 −2 − 5 −− –––– -8 -7 -6 -5 -4 -3 -2 -1 0 1 2 3 4 5 6 7 8 + ++ + −2 − ( −5 )
  • 108.
    You Try: Expressio Number Line Tile Spacers n 2 − 5 ++ = 2 + ( −5 ) ––– -8 -7 -6 -5 -4 -3 -2 -1 0 1 2 3 4 5 6 7 8 +++ = –3 −2 − 5 −− ––––– -8 -7 -6 -5 -4 -3 -2 -1 0 1 2 3 4 5 6 7 8 + ++ + + −2 − ( −5 )
  • 109.
    You Try: Expressio Number Line Tile Spacers n 2 − 5 ++ = 2 + ( −5 ) ––– -8 -7 -6 -5 -4 -3 -2 -1 0 1 2 3 4 5 6 7 8 +++ = –3 −2 − 5 −− ––––– -8 -7 -6 -5 -4 -3 -2 -1 0 1 2 3 4 5 6 7 8 + ++ + + −2 − ( −5 )
  • 110.
    You Try: Expressio Number Line Tile Spacers n 2 − 5 ++ = 2 + ( −5 ) ––– -8 -7 -6 -5 -4 -3 -2 -1 0 1 2 3 4 5 6 7 8 +++ = –3 −2 − 5 −− ––––– -8 -7 -6 -5 -4 -3 -2 -1 0 1 2 3 4 5 6 7 8 + ++ + + −2 − ( −5 )
  • 111.
    You Try: Expressio Number Line Tile Spacers n 2 − 5 ++ = 2 + ( −5 ) ––– -8 -7 -6 -5 -4 -3 -2 -1 0 1 2 3 4 5 6 7 8 +++ = –3 −2 − 5 −− = −2 + ( −5 ) ––––– -8 -7 -6 -5 -4 -3 -2 -1 0 1 2 3 4 5 6 7 8 + ++ + + −2 − ( −5 )
  • 112.
    You Try: Expressio Number Line Tile Spacers n 2 − 5 ++ = 2 + ( −5 ) ––– -8 -7 -6 -5 -4 -3 -2 -1 0 1 2 3 4 5 6 7 8 +++ = –3 −2 − 5 −− = −2 + ( −5 ) ––––– -8 -7 -6 -5 -4 -3 -2 -1 0 1 2 3 4 5 6 7 8 + ++ + + = −7 −2 − ( −5 )
  • 113.
    You Try: Expressio Number Line Tile Spacers n 2 − 5 ++ = 2 + ( −5 ) ––– -8 -7 -6 -5 -4 -3 -2 -1 0 1 2 3 4 5 6 7 8 +++ = –3 −2 − 5 −− = −2 + ( −5 ) ––––– -8 -7 -6 -5 -4 -3 -2 -1 0 1 2 3 4 5 6 7 8 + ++ + + = −7 −2 − ( −5 ) -8 -7 -6 -5 -4 -3 -2 -1 0 1 2 3 4 5 6 7 8
  • 114.
    You Try: Expressio Number Line Tile Spacers n 2 − 5 ++ = 2 + ( −5 ) ––– -8 -7 -6 -5 -4 -3 -2 -1 0 1 2 3 4 5 6 7 8 +++ = –3 −2 − 5 −− = −2 + ( −5 ) ––––– -8 -7 -6 -5 -4 -3 -2 -1 0 1 2 3 4 5 6 7 8 + ++ + + = −7 −2 − ( −5 ) -8 -7 -6 -5 -4 -3 -2 -1 0 1 2 3 4 5 6 7 8
  • 115.
    You Try: Expressio Number Line Tile Spacers n 2 − 5 ++ = 2 + ( −5 ) ––– -8 -7 -6 -5 -4 -3 -2 -1 0 1 2 3 4 5 6 7 8 +++ = –3 −2 − 5 −− = −2 + ( −5 ) ––––– -8 -7 -6 -5 -4 -3 -2 -1 0 1 2 3 4 5 6 7 8 + ++ + + = −7 −2 − ( −5 ) -8 -7 -6 -5 -4 -3 -2 -1 0 1 2 3 4 5 6 7 8
  • 116.
    You Try: Expressio Number Line Tile Spacers n 2 − 5 ++ = 2 + ( −5 ) ––– -8 -7 -6 -5 -4 -3 -2 -1 0 1 2 3 4 5 6 7 8 +++ = –3 −2 − 5 −− = −2 + ( −5 ) ––––– -8 -7 -6 -5 -4 -3 -2 -1 0 1 2 3 4 5 6 7 8 + ++ + + = −7 −2 − ( −5 ) –– -8 -7 -6 -5 -4 -3 -2 -1 0 1 2 3 4 5 6 7 8
  • 117.
    You Try: Expressio Number Line Tile Spacers n 2 − 5 ++ = 2 + ( −5 ) ––– -8 -7 -6 -5 -4 -3 -2 -1 0 1 2 3 4 5 6 7 8 +++ = –3 −2 − 5 −− = −2 + ( −5 ) ––––– -8 -7 -6 -5 -4 -3 -2 -1 0 1 2 3 4 5 6 7 8 + ++ + + = −7 −2 − ( −5 ) –– – -8 -7 -6 -5 -4 -3 -2 -1 0 1 2 3 4 5 6 7 8 +
  • 118.
    You Try: Expressio Number Line Tile Spacers n 2 − 5 ++ = 2 + ( −5 ) ––– -8 -7 -6 -5 -4 -3 -2 -1 0 1 2 3 4 5 6 7 8 +++ = –3 −2 − 5 −− = −2 + ( −5 ) ––––– -8 -7 -6 -5 -4 -3 -2 -1 0 1 2 3 4 5 6 7 8 + ++ + + = −7 −2 − ( −5 ) –– –– -8 -7 -6 -5 -4 -3 -2 -1 0 1 2 3 4 5 6 7 8 + +
  • 119.
    You Try: Expressio Number Line Tile Spacers n 2 − 5 ++ = 2 + ( −5 ) ––– -8 -7 -6 -5 -4 -3 -2 -1 0 1 2 3 4 5 6 7 8 +++ = –3 −2 − 5 −− = −2 + ( −5 ) ––––– -8 -7 -6 -5 -4 -3 -2 -1 0 1 2 3 4 5 6 7 8 + ++ + + = −7 −2 − ( −5 ) –– ––– -8 -7 -6 -5 -4 -3 -2 -1 0 1 2 3 4 5 6 7 8 + + +
  • 120.
    You Try: Expressio Number Line Tile Spacers n 2 − 5 ++ = 2 + ( −5 ) ––– -8 -7 -6 -5 -4 -3 -2 -1 0 1 2 3 4 5 6 7 8 +++ = –3 −2 − 5 −− = −2 + ( −5 ) ––––– -8 -7 -6 -5 -4 -3 -2 -1 0 1 2 3 4 5 6 7 8 + ++ + + = −7 −2 − ( −5 ) –– ––– -8 -7 -6 -5 -4 -3 -2 -1 0 1 2 3 4 5 6 7 8 + + +
  • 121.
    You Try: Expressio Number Line Tile Spacers n 2 − 5 ++ = 2 + ( −5 ) ––– -8 -7 -6 -5 -4 -3 -2 -1 0 1 2 3 4 5 6 7 8 +++ = –3 −2 − 5 −− = −2 + ( −5 ) ––––– -8 -7 -6 -5 -4 -3 -2 -1 0 1 2 3 4 5 6 7 8 + ++ + + = −7 −2 − ( −5 ) –– = −2 + 5 ––– -8 -7 -6 -5 -4 -3 -2 -1 0 1 2 3 4 5 6 7 8 + + +
  • 122.
    You Try: Expressio Number Line Tile Spacers n 2 − 5 ++ = 2 + ( −5 ) ––– -8 -7 -6 -5 -4 -3 -2 -1 0 1 2 3 4 5 6 7 8 +++ = –3 −2 − 5 −− = −2 + ( −5 ) ––––– -8 -7 -6 -5 -4 -3 -2 -1 0 1 2 3 4 5 6 7 8 + ++ + + = −7 −2 − ( −5 ) –– = −2 + 5 ––– -8 -7 -6 -5 -4 -3 -2 -1 0 1 2 3 4 5 6 7 8 + + + =3
  • 123.
  • 124.
    Challenge: Change subtraction toaddition and add the opposite. Then apply the “rules” for adding integers.
  • 125.
    Challenge: Changesubtraction to addition and add the opposite. Then apply the “rules” for adding integers. −10 − ( −15 ) −  5 − (−20) + 5 − 15 − (−5)
  • 126.
    Challenge: Change subtraction to addition and add the opposite. Then apply the “rules” for adding integers. −10 − ( −15 ) −  5 − (−20) + 5 − 15 − (−5) = −10
  • 127.
    Challenge: Change subtraction to addition and add the opposite. Then apply the “rules” for adding integers. −10 − ( −15 ) −  5 − (−20) + 5 − 15 − (−5) = −10 +
  • 128.
    Challenge: Change subtraction to addition and add the opposite. Then apply the “rules” for adding integers. −10 − ( −15 ) −  5 − (−20) + 5 − 15 − (−5) = −10 + 15
  • 129.
    Challenge: Change subtraction to addition and add the opposite. Then apply the “rules” for adding integers. −10 − ( −15 ) −  5 − (−20) + 5 − 15 − (−5) = −10 + 15 +
  • 130.
    Challenge: Change subtraction to addition and add the opposite. Then apply the “rules” for adding integers. −10 − ( −15 ) −  5 − (−20) + 5 − 15 − (−5) = −10 + 15 + ( −5 )
  • 131.
    Challenge: Change subtraction to addition and add the opposite. Then apply the “rules” for adding integers. −10 − ( −15 ) −  5 − (−20) + 5 − 15 − (−5) = −10 + 15 + ( −5 ) +
  • 132.
    Challenge: Change subtraction to addition and add the opposite. Then apply the “rules” for adding integers. −10 − ( −15 ) −  5 − (−20) + 5 − 15 − (−5) = −10 + 15 + ( −5 ) + 20
  • 133.
    Challenge: Change subtraction to addition and add the opposite. Then apply the “rules” for adding integers. −10 − ( −15 ) −  5 − (−20) + 5 − 15 − (−5) = −10 + 15 + ( −5 ) + 20 + 5
  • 134.
    Challenge: Change subtraction to addition and add the opposite. Then apply the “rules” for adding integers. −10 − ( −15 ) −  5 − (−20) + 5 − 15 − (−5) = −10 + 15 + ( −5 ) + 20 + 5 +
  • 135.
    Challenge: Change subtraction to addition and add the opposite. Then apply the “rules” for adding integers. −10 − ( −15 ) −  5 − (−20) + 5 − 15 − (−5) = −10 + 15 + ( −5 ) + 20 + 5 + ( −15 )
  • 136.
    Challenge: Change subtraction to addition and add the opposite. Then apply the “rules” for adding integers. −10 − ( −15 ) −  5 − (−20) + 5 − 15 − (−5) = −10 + 15 + ( −5 ) + 20 + 5 + ( −15 ) +
  • 137.
    Challenge: Change subtraction to addition and add the opposite. Then apply the “rules” for adding integers. −10 − ( −15 ) −  5 − (−20) + 5 − 15 − (−5) = −10 + 15 + ( −5 ) + 20 + 5 + ( −15 ) + 5
  • 138.
    Challenge: Change subtraction to addition and add the opposite. Then apply the “rules” for adding integers. −10 − ( −15 ) −  5 − (−20) + 5 − 15 − (−5) = −10 + 15 + ( −5 ) + 20 + 5 + ( −15 ) + 5
  • 139.
    Challenge: Change subtraction to addition and add the opposite. Then apply the “rules” for adding integers. −10 − ( −15 ) −  5 − (−20) + 5 − 15 − (−5) = −10 + 15 + ( −5 ) + 20 + 5 + ( −15 ) + 5 = 45
  • 140.
    Challenge: Change subtraction to addition and add the opposite. Then apply the “rules” for adding integers. −10 − ( −15 ) −  5 − (−20) + 5 − 15 − (−5) = −10 + 15 + ( −5 ) + 20 + 5 + ( −15 ) + 5 = 45
  • 141.
    Challenge: Change subtraction to addition and add the opposite. Then apply the “rules” for adding integers. −10 − ( −15 ) −  5 − (−20) + 5 − 15 − (−5) = −10 + 15 + ( −5 ) + 20 + 5 + ( −15 ) + 5 = 45 + ( −30 )
  • 142.
    Challenge: Change subtraction to addition and add the opposite. Then apply the “rules” for adding integers. −10 − ( −15 ) −  5 − (−20) + 5 − 15 − (−5) = −10 + 15 + ( −5 ) + 20 + 5 + ( −15 ) + 5 = 45 + ( −30 ) = 15
  • 144.
  • 145.
    – 12 +14 = – 12 + (12 + 2)
  • 146.
    – 12 +14 = – 12 + (12 + 2) = (– 12 + 12) + 2
  • 147.
    – 12 +14 = – 12 + (12 + 2) = (– 12 + 12) + 2
  • 148.
    – 12 +14 = – 12 + (12 + 2) = (– 12 + 12) + 2 = 2
  • 149.
    – 12 +14 = – 12 + (12 + 2) = (– 12 + 12) + 2 = 2
  • 150.
    – 12 +14 = – 12 + (12 + 2) = (– 12 + 12) + 2 = 2
  • 151.
    – 12 +14 = – 12 + (12 + 2) = (– 12 + 12) + 2 = 2
  • 152.
    – 12 +14 = – 12 + (12 + 2) = (– 12 + 12) + 2 = 2
  • 153.
    – 12 +14 = – 12 + (12 + 2) = (– 12 + 12) + 2 = 2
  • 154.
    – 12 +14 = – 12 + (12 + 2) = (– 12 + 12) + 2 = 2 0
  • 155.
    – 12 +14 = – 12 + (12 + 2) = (– 12 + 12) + 2 = 2 0
  • 156.
    – 12 +14 = – 12 + (12 + 2) = (– 12 + 12) + 2 = 2 0
  • 157.
    – 12 +14 = – 12 + (12 + 2) = (– 12 + 12) + 2 = 2 -12 0
  • 158.
    – 12 +14 = – 12 + (12 + 2) = (– 12 + 12) + 2 = 2 -12 -12 0
  • 159.
    – 12 +14 = – 12 + (12 + 2) = (– 12 + 12) + 2 = 2 -12 -12 0 2
  • 160.
    – 12 +14 = – 12 + (12 + 2) = (– 12 + 12) + 2 = 2 14 -12 -12 0 2
  • 161.
  • 162.
    5 • 2= 10 4•2= 8 3•2= 6 2•2= 4 1•2= 2 0•2= 0 –1 • 2 = –2 –2 • 2 = –4 –3 • 2 = –6 –4 • 2 = –8 –5 • 2 = –10
  • 163.
    5 • 2= 10 4•2= 8 3•2= 6 2•2= 4 1•2= 2 0•2= 0 –1 • 2 = –2 –2 • 2 = –4 –3 • 2 = –6 –4 • 2 = –8 –5 • 2 = –10
  • 164.
    5 • 2= 10 4•2= 8 3•2= 6 2•2= 4 1•2= 2 0•2= 0 –1 • 2 = –2 –2 • 2 = –4 –3 • 2 = –6 –4 • 2 = –8 –5 • 2 = –10
  • 165.
    5 • 2= 10 4•2= 8 3•2= 6 2•2= 4 1•2= 2 0•2= 0 –1 • 2 = –2 –2 • 2 = –4 –3 • 2 = –6 –4 • 2 = –8 –5 • 2 = –10
  • 166.
    5 • 2= 10 4•2= 8 3•2= 6 2•2= 4 1•2= 2 0•2= 0 –1 • 2 = –2 –2 • 2 = –4 –3 • 2 = –6 –4 • 2 = –8 –5 • 2 = –10
  • 167.
    5 • 2= 10 4•2= 8 3•2= 6 2•2= 4 1•2= 2 0•2= 0 –1 • 2 = –2 –2 • 2 = –4 –3 • 2 = –6 –4 • 2 = –8 –5 • 2 = –10
  • 168.
    5 • 2= 10 4•2= 8 3•2= 6 2•2= 4 1•2= 2 0•2= 0 –1 • 2 = –2 –2 • 2 = –4 –3 • 2 = –6 –4 • 2 = –8 –5 • 2 = –10
  • 169.
    5 • 2= 10 4•2= 8 3•2= 6 2•2= 4 1•2= 2 0•2= 0 –1 • 2 = –2 –2 • 2 = –4 –3 • 2 = –6 –4 • 2 = –8 –5 • 2 = –10
  • 170.
    5 • 2= 10 4•2= 8 3•2= 6 2•2= 4 1•2= 2 0•2= 0 –1 • 2 = –2 –2 • 2 = –4 –3 • 2 = –6 –4 • 2 = –8 –5 • 2 = –10
  • 171.
    5 • 2= 10 4•2= 8 3•2= 6 2•2= 4 1•2= 2 0•2= 0 –1 • 2 = –2 –2 • 2 = –4 –3 • 2 = –6 –4 • 2 = –8 –5 • 2 = –10
  • 172.
    5 • 2= 10 4•2= 8 3•2= 6 2•2= 4 1•2= 2 0•2= 0 –1 • 2 = –2 –2 • 2 = –4 –3 • 2 = –6 –4 • 2 = –8 –5 • 2 = –10
  • 173.
    5 • 2= 10 4•2= 8 3•2= 6 2•2= 4 1•2= 2 0•2= 0 –1 • 2 = –2 –2 • 2 = –4 –3 • 2 = –6 –4 • 2 = –8 –5 • 2 = –10
  • 174.
    5 • 2= 10 4•2= 8 3•2= 6 2•2= 4 1•2= 2 0•2= 0 –1 • 2 = –2 –2 • 2 = –4 –3 • 2 = –6 –4 • 2 = –8 –5 • 2 = –10
  • 175.
    5 • 2= 10 4•2= 8 3•2= 6 2•2= 4 1•2= 2 0•2= 0 –1 • 2 = –2 –2 • 2 = –4 –3 • 2 = –6 –4 • 2 = –8 –5 • 2 = –10
  • 176.
    5 • 2= 10 4•2= 8 3•2= 6 2•2= 4 1•2= 2 0•2= 0 –1 • 2 = –2 –2 • 2 = –4 –3 • 2 = –6 –4 • 2 = –8 –5 • 2 = –10
  • 177.
    5 • 2= 10 4•2= 8 3•2= 6 2•2= 4 1•2= 2 0•2= 0 –1 • 2 = –2 –2 • 2 = –4 –3 • 2 = –6 –4 • 2 = –8 –5 • 2 = –10
  • 178.
    5 • 2= 10 4•2= 8 3•2= 6 2•2= 4 1•2= 2 0•2= 0 –1 • 2 = –2 –2 • 2 = –4 –3 • 2 = –6 –4 • 2 = –8 –5 • 2 = –10
  • 179.
    5 • 2= 10 What can you say about 4•2= 8 the product of a negative number and a 3•2= 6 positive number? 2•2= 4 1•2= 2 0•2= 0 –1 • 2 = –2 –2 • 2 = –4 –3 • 2 = –6 –4 • 2 = –8 –5 • 2 = –10
  • 180.
    5 • 2= 10 What can you say about 4•2= 8 the product of a negative number and a 3•2= 6 positive number? 2•2= 4 1•2= 2 0•2= 0 –1 • 2 = –2 –2 • 2 = –4 –3 • 2 = –6 –4 • 2 = –8 –5 • 2 = –10
  • 181.
    5 • 2= 10 What can you say about 4•2= 8 the product of a negative number and a 3•2= 6 positive number? 2•2= 4 1•2= 2 0•2= 0 –1 • 2 = –2 The product of a –2 • 2 = –4 negative number and a positive number is a –3 • 2 = –6 negative number. –4 • 2 = –8 –5 • 2 = –10
  • 182.
    5 • –2 = –10 4•–2= –8 3•–2= –6 2•–2= –4 1 • – 2 = –2 0•–2= 0 –1 • – 2 = 2 –2 • – 2 = 4 –3 • – 2 = 6 –4 • – 2 = 8 –5 • – 2 = 10
  • 183.
    5 • –2 = –10 4•–2= –8 3•–2= –6 2•–2= –4 1 • – 2 = –2 0•–2= 0 –1 • – 2 = 2 –2 • – 2 = 4 –3 • – 2 = 6 –4 • – 2 = 8 –5 • – 2 = 10
  • 184.
    5 • –2 = –10 4•–2= –8 3•–2= –6 2•–2= –4 1 • – 2 = –2 0•–2= 0 –1 • – 2 = 2 –2 • – 2 = 4 –3 • – 2 = 6 –4 • – 2 = 8 –5 • – 2 = 10
  • 185.
    5 • –2 = –10 4•–2= –8 3•–2= –6 2•–2= –4 1 • – 2 = –2 0•–2= 0 –1 • – 2 = 2 –2 • – 2 = 4 –3 • – 2 = 6 –4 • – 2 = 8 –5 • – 2 = 10
  • 186.
    5 • –2 = –10 4•–2= –8 3•–2= –6 2•–2= –4 1 • – 2 = –2 0•–2= 0 –1 • – 2 = 2 –2 • – 2 = 4 –3 • – 2 = 6 –4 • – 2 = 8 –5 • – 2 = 10
  • 187.
    5 • –2 = –10 4•–2= –8 3•–2= –6 2•–2= –4 1 • – 2 = –2 0•–2= 0 –1 • – 2 = 2 –2 • – 2 = 4 –3 • – 2 = 6 –4 • – 2 = 8 –5 • – 2 = 10
  • 188.
    5 • –2 = –10 4•–2= –8 3•–2= –6 2•–2= –4 1 • – 2 = –2 0•–2= 0 –1 • – 2 = 2 –2 • – 2 = 4 –3 • – 2 = 6 –4 • – 2 = 8 –5 • – 2 = 10
  • 189.
    5 • –2 = –10 4•–2= –8 3•–2= –6 2•–2= –4 1 • – 2 = –2 0•–2= 0 –1 • – 2 = 2 –2 • – 2 = 4 –3 • – 2 = 6 –4 • – 2 = 8 –5 • – 2 = 10
  • 190.
    5 • –2 = –10 4•–2= –8 3•–2= –6 2•–2= –4 1 • – 2 = –2 0•–2= 0 –1 • – 2 = 2 –2 • – 2 = 4 –3 • – 2 = 6 –4 • – 2 = 8 –5 • – 2 = 10
  • 191.
    5 • –2 = –10 4•–2= –8 3•–2= –6 2•–2= –4 1 • – 2 = –2 0•–2= 0 –1 • – 2 = 2 –2 • – 2 = 4 –3 • – 2 = 6 –4 • – 2 = 8 –5 • – 2 = 10
  • 192.
    5 • –2 = –10 4•–2= –8 3•–2= –6 2•–2= –4 1 • – 2 = –2 0•–2= 0 –1 • – 2 = 2 –2 • – 2 = 4 –3 • – 2 = 6 –4 • – 2 = 8 –5 • – 2 = 10
  • 193.
    5 • –2 = –10 4•–2= –8 3•–2= –6 2•–2= –4 1 • – 2 = –2 0•–2= 0 –1 • – 2 = 2 –2 • – 2 = 4 –3 • – 2 = 6 –4 • – 2 = 8 –5 • – 2 = 10
  • 194.
    5 • –2 = –10 4•–2= –8 3•–2= –6 2•–2= –4 1 • – 2 = –2 0•–2= 0 –1 • – 2 = 2 –2 • – 2 = 4 –3 • – 2 = 6 –4 • – 2 = 8 –5 • – 2 = 10
  • 195.
    5 • –2 = –10 4•–2= –8 3•–2= –6 2•–2= –4 1 • – 2 = –2 0•–2= 0 –1 • – 2 = 2 –2 • – 2 = 4 –3 • – 2 = 6 –4 • – 2 = 8 –5 • – 2 = 10
  • 196.
    5 • –2 = –10 4•–2= –8 3•–2= –6 2•–2= –4 1 • – 2 = –2 0•–2= 0 –1 • – 2 = 2 –2 • – 2 = 4 –3 • – 2 = 6 –4 • – 2 = 8 –5 • – 2 = 10
  • 197.
    5 • –2 = –10 4•–2= –8 3•–2= –6 2•–2= –4 1 • – 2 = –2 0•–2= 0 –1 • – 2 = 2 –2 • – 2 = 4 –3 • – 2 = 6 –4 • – 2 = 8 –5 • – 2 = 10
  • 198.
    5 • –2 = –10 4•–2= –8 3•–2= –6 2•–2= –4 1 • – 2 = –2 0•–2= 0 –1 • – 2 = 2 –2 • – 2 = 4 –3 • – 2 = 6 –4 • – 2 = 8 –5 • – 2 = 10
  • 199.
    From previous lessonthe product of a negative 5 • – 2 = –10 number and a positive 4•–2= –8 number is a negative number. 3•–2= –6 2•–2= –4 1 • – 2 = –2 0•–2= 0 –1 • – 2 = 2 –2 • – 2 = 4 –3 • – 2 = 6 –4 • – 2 = 8 –5 • – 2 = 10
  • 200.
    From previous lessonthe product of a negative 5 • – 2 = –10 number and a positive 4•–2= –8 number is a negative number. 3•–2= –6 2•–2= –4 1 • – 2 = –2 What can you say about the product of two 0•–2= 0 negative numbers? –1 • – 2 = 2 –2 • – 2 = 4 –3 • – 2 = 6 –4 • – 2 = 8 –5 • – 2 = 10
  • 201.
    From previous lessonthe product of a negative 5 • – 2 = –10 number and a positive 4•–2= –8 number is a negative number. 3•–2= –6 2•–2= –4 1 • – 2 = –2 What can you say about the product of two 0•–2= 0 negative numbers? –1 • – 2 = 2 –2 • – 2 = 4 –3 • – 2 = 6 –4 • – 2 = 8 –5 • – 2 = 10
  • 202.
    From previous lessonthe product of a negative 5 • – 2 = –10 number and a positive 4•–2= –8 number is a negative number. 3•–2= –6 2•–2= –4 1 • – 2 = –2 What can you say about the product of two 0•–2= 0 negative numbers? –1 • – 2 = 2 –2 • – 2 = 4 The product of two –3 • – 2 = 6 negative numbers is a positive number. –4 • – 2 = 8 –5 • – 2 = 10
  • 203.
    Expressions and Equations Philip Gonsalves
  • 204.
  • 205.
    Expressions vs Equations Wesimplify expressions
  • 206.
    Expressions vs Equations Wesimplify expressions We solve equations
  • 207.
  • 208.
  • 209.
    Expressions Simplify (evaluate) theexpression: 2x + 4 when x=3
  • 210.
    Expressions Simplify (evaluate) the expression: 2x + 4 when x=3      2x + 4
  • 211.
    Expressions Simplify (evaluate) the expression: 2x + 4 when x=3      2x + 4
  • 212.
    Expressions Simplify (evaluate) the expression: 2x + 4 when x=3      2x + 4 = 2(3) + 4
  • 213.
    Expressions Simplify (evaluate) the expression: 2x + 4 when x=3      2x + 4 = 2(3) + 4 =6+4
  • 214.
    Expressions Simplify (evaluate) the expression: 2x + 4 when x=3      2x + 4 = 2(3) + 4 =6+4 = 10
  • 215.
    Expressions Simplify (evaluate) the expression: 2x + 4 when x=3      2x + 4 = 2(3) + 4 =6+4 = 10
  • 216.
    Expressions Simplify (evaluate) the expression: 2x + 4 when x=3      2x + 4  x + x + 4 = 2(3) + 4 =6+4 = 10
  • 217.
    Expressions Simplify (evaluate) the expression: 2x + 4 when x=3      2x + 4  x + x + 4 = 2(3) + 4  = 3 + 3 + 4 =6+4 = 10
  • 218.
    Expressions Simplify (evaluate) the expression: 2x + 4 when x=3      2x + 4  x + x + 4 = 2(3) + 4  = 3 + 3 + 4 =6+4 =6+4 = 10
  • 219.
    Expressions Simplify (evaluate) the expression: 2x + 4 when x=3      2x + 4  x + x + 4 = 2(3) + 4  = 3 + 3 + 4 =6+4 =6+4 = 10 = 10
  • 220.
    Expressions Simplify (evaluate) the expression: 2x + 4 when x=3      2x + 4  x + x + 4 = 2(3) + 4  = 3 + 3 + 4 =6+4 =6+4 = 10 = 10
  • 221.
    Expressions Simplify (evaluate) the expression: 2x + 4 when x=3      2x + 4  x + x + 4 x = 2(3) + 4  = 3 + 3 + 4 =6+4 =6+4 = 10 = 10
  • 222.
    Expressions Simplify (evaluate) the expression: 2x + 4 when x=3      2x + 4  x + x + 4 x = 2(3) + 4  = 3 + 3 + 4 x =6+4 =6+4 = 10 = 10
  • 223.
    Expressions Simplify (evaluate) the expression: 2x + 4 when x=3      2x + 4  x + x + 4 x = 2(3) + 4  = 3 + 3 + 4 x =6+4 =6+4 = 10 = 10 1 1 1 1
  • 224.
    Expressions Simplify (evaluate) the expression: 2x + 4 when x=3      2x + 4  x + x + 4 1 1 1 = 2(3) + 4  = 3 + 3 + 4 x =6+4 =6+4 = 10 = 10 1 1 1 1
  • 225.
    Expressions Simplify (evaluate) the expression: 2x + 4 when x=3      2x + 4  x + x + 4 1 1 1 = 2(3) + 4  = 3 + 3 + 4 1 1 1 =6+4 =6+4 = 10 = 10 1 1 1 1
  • 226.
  • 229.
    x + 5=   7
  • 230.
    x + 5=   7 x
  • 231.
    x + 5=   7 x 1 1 1 1 1
  • 232.
    x + 5=   7 x 1 1 1 1 1 1 1 1 1 1 1 1
  • 233.
    x + 5=   7 x 1 1 1 1 1 1 1 1 1 1 1 1
  • 234.
    x + 5=   7 x 1 1 1 1 1 1 1 1 1 1 1 1
  • 235.
    x + 5=   7 x 1 1 1 1 1 1 1 1 1 1 1 1
  • 236.
    x + 5=   7 x 1 1 1 1 1 1 1 1 1 1 1 1
  • 237.
    x + 5=   7 x 1 1 1 1 1 1 1 1 1 1 1 1
  • 238.
  • 239.
    Solving Equations Side-by-sideComparison Traditional: x+5=7
  • 240.
    Solving Equations Side-by-sideComparison Traditional: x+5=7 −5   −5
  • 241.
    Solving Equations Side-by-sideComparison Traditional: x+5=7 −5   −5
  • 242.
    Solving Equations Side-by-sideComparison Traditional: x+5=7 −5   −5 x=2
  • 243.
    Solving Equations Side-by-sideComparison Traditional: x+5=7 −5   −5 x=2
  • 244.
    Solving Equations Side-by-sideComparison Traditional: x+5=7 −5   −5 x=2
  • 245.
    Solving Equations Side-by-sideComparison Traditional: Traditional: Proper Syntax x+5=7 −5   −5 x=2
  • 246.
    Solving Equations Side-by-sideComparison Traditional: Traditional: Proper Syntax x+5=7 x+5=7 −5   −5 x=2
  • 247.
    Solving Equations Side-by-sideComparison Traditional: Traditional: Proper Syntax x+5=7 x+5=7 −5   −5 x+5−5= 7−5 x=2
  • 248.
    Solving Equations Side-by-sideComparison Traditional: Traditional: Proper Syntax x+5=7 x+5=7 −5   −5 x+5−5= 7−5 x=2 x=2
  • 249.
    Solving Equations Side-by-sideComparison Traditional: Traditional: Proper Syntax x+5=7 x+5=7 −5   −5 x+5−5= 7−5 x=2 x=2
  • 250.
    Solving Equations Side-by-sideComparison Traditional: Traditional: Decomposition: Proper Syntax x+5=7 x+5=7 −5   −5 x+5−5= 7−5 x=2 x=2
  • 251.
    Solving Equations Side-by-sideComparison Traditional: Traditional: Decomposition: Proper Syntax x+5=7 x+5=7 x+5=7 −5   −5 x+5−5= 7−5 x=2 x=2
  • 252.
    Solving Equations Side-by-sideComparison Traditional: Traditional: Decomposition: Proper Syntax x+5=7 x+5=7 x+5=7 −5   −5 x+5−5= 7−5 x+5=5+2 x=2 x=2
  • 253.
    Solving Equations Side-by-sideComparison Traditional: Traditional: Decomposition: Proper Syntax x+5=7 x+5=7 x+5=7 −5   −5 x+5−5= 7−5 x+5=5+2 x=2 x=2
  • 254.
    Solving Equations Side-by-sideComparison Traditional: Traditional: Decomposition: Proper Syntax x+5=7 x+5=7 x+5=7 −5   −5 x+5−5= 7−5 x+5=5+2 x=2 x=2 x=2
  • 255.
    Solving Equations Side-by-sideComparison Traditional: Traditional: Decomposition: Proper Syntax x+5=7 x+5=7 x+5=7 −5   −5 x+5−5= 7−5 x+5=5+2 x=2 x=2 x=2
  • 256.
    Solving Equations Side-by-sideComparison Traditional: Traditional: Decomposition: Proper Syntax x+5=7 x+5=7 x+5=7 −5   −5 x+5−5= 7−5 x+5=5+2 x=2 x=2 x=2 Bar Model:
  • 257.
    Solving Equations Side-by-sideComparison Traditional: Traditional: Decomposition: Proper Syntax x+5=7 x+5=7 x+5=7 −5   −5 x+5−5= 7−5 x+5=5+2 x=2 x=2 x=2 Bar Model: x
  • 258.
    Solving Equations Side-by-sideComparison Traditional: Traditional: Decomposition: Proper Syntax x+5=7 x+5=7 x+5=7 −5   −5 x+5−5= 7−5 x+5=5+2 x=2 x=2 x=2 Bar Model: x 5
  • 259.
    Solving Equations Side-by-sideComparison Traditional: Traditional: Decomposition: Proper Syntax x+5=7 x+5=7 x+5=7 −5   −5 x+5−5= 7−5 x+5=5+2 x=2 x=2 x=2 Bar Model: x 5 7
  • 260.
    57 + 38= 56 + 39
  • 261.
    57 + 38= 56 + 39 True or False?
  • 262.
    57 + 38= 56 + 39 True or False? How do you know?
  • 263.
    57 + 38= 56 + 39 True or False? How do you know? 57 + 38 = 56 + 39
  • 264.
    57 + 38= 56 + 39 True or False? How do you know? 57 + 38 = 56 + 39 95 = 95
  • 265.
    57 + 38= 56 + 39 True or False? How do you know? 57 + 38 = 56 + 39
  • 266.
    57 + 38= 56 + 39 True or False? How do you know? 57 + 38 = 56 + 39 (56 + 1) + 38
  • 267.
    57 + 38= 56 + 39 True or False? How do you know? 57 + 38 = 56 + 39 (56 + 1) + 38 = 56 + (1 + 38)
  • 269.
    573 + 368= 571 + 364 + n
  • 270.
    573 + 368= 571 + 364 + n 941 = 935 + n
  • 271.
    573 + 368= 571 + 364 + n 941 = 935 + n 941 – 935 = 935 + n – 935
  • 272.
    573 + 368= 571 + 364 + n 941 = 935 + n 941 – 935 = 935 + n – 935 6=n
  • 273.
    Many ways tosolve an equation 573 + 368        =        571 + 364 + n
  • 274.
    Many ways tosolve an equation 573 + 368        =        571 + 364 + n
  • 275.
    Many ways tosolve an equation 573 + 368        =        571 + 364 + n 571 + 2
  • 276.
    Many ways tosolve an equation 573 + 368        =        571 + 364 + n 571 + 2
  • 277.
    Many ways tosolve an equation 573 + 368        =        571 + 364 + n 571 + 2 + 364 + 4
  • 278.
    Many ways tosolve an equation 573 + 368        =        571 + 364 + n 571 + 2 + 364 + 4 =        571 + 364 + n
  • 279.
    Many ways tosolve an equation 573 + 368        =        571 + 364 + n 571 + 2 + 364 + 4 =        571 + 364 + n
  • 280.
    Many ways tosolve an equation 573 + 368        =        571 + 364 + n 571 + 2 + 364 + 4 =        571 + 364 + n
  • 281.
    Many ways tosolve an equation 573 + 368        =        571 + 364 + n 571 + 2 + 364 + 4 =        571 + 364 + n 2+4 =n
  • 282.
    Many ways tosolve an equation 573 + 368        =        571 + 364 + n 571 + 2 + 364 + 4 =        571 + 364 + n 2+4 =n 6=n
  • 283.
    Solving Equations —Making Connections to Prior Knowledge 573 + 368        =        571 + 364 + n
  • 284.
    Solving Equations —Making Connections to Prior Knowledge 573 + 368        =        571 + 364 + n 500 + 70 + 3
  • 285.
    Solving Equations —Making Connections to Prior Knowledge 573 + 368        =        571 + 364 + n 500 + 70 + 3 + 300 + 60 + 8
  • 286.
    Solving Equations —Making Connections to Prior Knowledge 573 + 368        =        571 + 364 + n 500 + 70 + 3 + 300 + 60 + 8 =  500 + 70 + 1
  • 287.
    Solving Equations —Making Connections to Prior Knowledge 573 + 368        =        571 + 364 + n 500 + 70 + 3 + 300 + 60 + 8 =  500 + 70 + 1 + 300 + 60 + 4 + n
  • 288.
    Solving Equations —Making Connections to Prior Knowledge 573 + 368        =        571 + 364 + n 500 + 70 + 3 + 300 + 60 + 8 =  500 + 70 + 1 + 300 + 60 + 4 + n
  • 289.
    Solving Equations —Making Connections to Prior Knowledge 573 + 368        =        571 + 364 + n 500 + 70 + 3 + 300 + 60 + 8 =  500 + 70 + 1 + 300 + 60 + 4 + n
  • 290.
    Solving Equations —Making Connections to Prior Knowledge 573 + 368        =        571 + 364 + n 500 + 70 + 3 + 300 + 60 + 8 =  500 + 70 + 1 + 300 + 60 + 4 + n
  • 291.
    Solving Equations —Making Connections to Prior Knowledge 573 + 368        =        571 + 364 + n 500 + 70 + 3 + 300 + 60 + 8 =  500 + 70 + 1 + 300 + 60 + 4 + n
  • 292.
    Solving Equations —Making Connections to Prior Knowledge 573 + 368        =        571 + 364 + n 500 + 70 + 3 + 300 + 60 + 8 =  500 + 70 + 1 + 300 + 60 + 4 + n 3+ 8 = 1+ 4 + n
  • 293.
    Solving Equations —Making Connections to Prior Knowledge 573 + 368        =        571 + 364 + n 500 + 70 + 3 + 300 + 60 + 8 =  500 + 70 + 1 + 300 + 60 + 4 + n 3+ 8 = 1+ 4 + n 11 = 5 + n
  • 294.
    Solving Equations —Making Connections to Prior Knowledge 573 + 368        =        571 + 364 + n 500 + 70 + 3 + 300 + 60 + 8 =  500 + 70 + 1 + 300 + 60 + 4 + n 3+ 8 = 1+ 4 + n 11 = 5 + n
  • 295.
    Solving Equations —Making Connections to Prior Knowledge 573 + 368        =        571 + 364 + n 500 + 70 + 3 + 300 + 60 + 8 =  500 + 70 + 1 + 300 + 60 + 4 + n 3+ 8 = 1+ 4 + n 11 = 5 + n 5+6=5+n
  • 296.
    Solving Equations —Making Connections to Prior Knowledge 573 + 368        =        571 + 364 + n 500 + 70 + 3 + 300 + 60 + 8 =  500 + 70 + 1 + 300 + 60 + 4 + n 3+ 8 = 1+ 4 + n 11 = 5 + n 5+6=5+n
  • 297.
    Solving Equations —Making Connections to Prior Knowledge 573 + 368        =        571 + 364 + n 500 + 70 + 3 + 300 + 60 + 8 =  500 + 70 + 1 + 300 + 60 + 4 + n 3+ 8 = 1+ 4 + n 11 = 5 + n 5+6=5+n 6=n
  • 298.
    Solving Equations —Making Connections to Prior Knowledge 573 + 368        =        571 + 364 + n 500 + 70 + 3 + 300 + 60 + 8 =  500 + 70 + 1 + 300 + 60 + 4 + n 3+ 8 = 1+ 4 + n 11 = 5 + n 5+6=5+n 6=n Focus: Relationships & Balance
  • 299.
    Solving Equations —Making Connections to Prior Knowledge 573 + 368        =        571 + 364 + n 500 + 70 + 3 + 300 + 60 + 8 =  500 + 70 + 1 + 300 + 60 + 4 + n 3+ 8 = 1+ 4 + n 11 = 5 + n 5+6=5+n 6=n Focus: Relationships & Balance Connect to prior knowledge: Expanded Notation
  • 300.
  • 301.
  • 302.
    “Canceling” • Doesn’t exist •We are either looking for ones or zeros depending on if we are multiplying/ dividing or adding/subtracting
  • 303.
    “Canceling” • Doesn’t exist •We are either looking for ones or zeros depending on if we are multiplying/ dividing or adding/subtracting • Such terms can create problems - it is easier for students to “cancel” things and get rid of them than to deal with them
  • 304.
  • 305.
  • 306.
    “Canceling” — Lookingfor 1’s 2x 2• x = 2 2 •1
  • 307.
    “Canceling” — Lookingfor 1’s 2x 2 1 = 2• x 2 •1
  • 308.
    “Canceling” — Lookingfor 1’s 2x 2 1 = = 2• x 2 •1 x 1
  • 309.
    “Canceling” — Lookingfor 1’s 2x 2 1 = = 2• x 2 •1 x 1 =x
  • 310.
    “Canceling” — Lookingfor 1’s 2x 2 1 = = 2• x 2 •1 x VS 1 =x
  • 311.
    “Canceling” — Lookingfor 1’s 2x 2 1 = = 2• x 2 •1 x VS 2x 2 1 =x
  • 312.
    “Canceling” — Lookingfor 1’s 2x 2 1 = = 2• x 2 •1 x VS 2x 2 =x 1 =x
  • 313.
    “Canceling” — Lookingfor 1’s 2x 2 1 = = 2• x 2 •1 x VS 2x 2 =x 1 =x
  • 314.
    “Canceling” — Lookingfor 1’s 2x 2 1 = = 2• x 2 •1 x VS 2x 2 =x 1 =x
  • 315.
    “Canceling” — Lookingfor 1’s Common error from 1 “canceling” 2x 2• x VS 2x = 2 2 •1 2 x =x = 1 =x
  • 316.
    “Canceling” — Lookingfor 1’s Common error from 1 “canceling” 2x 2• x VS 2x = 2+x 2 2 •1 2 2 x =x = 1 =x
  • 317.
    “Canceling” — Lookingfor 1’s Common error from 1 “canceling” 2x 2• x VS 2x = 2+x 2 2 •1 2 2 x =x = 1 =x
  • 318.
    “Canceling” — Lookingfor 1’s Common error from 1 “canceling” 2x 2• x VS 2x = 2+x 2 2 •1 2 2 x =x ≠x = 1 =x
  • 319.
    “Canceling” — Lookingfor 1’s Common error from 1 “canceling” 2x 2• x VS 2x = 2+x 2 2 •1 2 2 x =x ≠x = 1 =x
  • 320.
    “Canceling” — Lookingfor 1’s Common error from 1 “canceling” 2x 2• x VS 2x = 2+x 2 2 •1 2 2 x =x ≠x = 1 2+x =x 2
  • 321.
    “Canceling” — Lookingfor 1’s Common error from 1 “canceling” 2x 2• x VS 2x = 2+x 2 2 •1 2 2 x =x ≠x = 1 2+x 2 x = + =x 2 2 2
  • 322.
    “Canceling” — Lookingfor 1’s Common error from 1 “canceling” 2x 2• x VS 2x = 2+x 2 2 •1 2 2 x =x ≠x = 1 =x 2+x 2 x 2 = + 2 21
  • 323.
    “Canceling” — Lookingfor 1’s Common error from 1 “canceling” 2x 2• x VS 2x = 2+x 2 2 •1 2 2 x =x ≠x = 1 =x 2+x 2 x 2 = + 1 2 2 x = 1 +  2
  • 324.
  • 325.
    Looking for 0’sand 1’s 2x + 1 = 7
  • 326.
    Looking for 0’sand 1’s 2x + 1 = 7 2x + 1 − 1 = 7 − 1
  • 327.
    Looking for 0’sand 1’s 2x + 1 = 7 2x + 1 − 1 = 7 − 1
  • 328.
    Looking for 0’sand 1’s 2x + 1 = 7 2x + 1 − 1 = 7 − 1 2x = 6
  • 329.
    Looking for 0’sand 1’s 2x + 1 = 7 2x + 1 − 1 = 7 − 1 2x = 6 2x 6 = 2 2
  • 330.
    Looking for 0’sand 1’s 2x + 1 = 7 2x + 1 − 1 = 7 − 1 2x = 6 12x 6 = 2 2
  • 331.
    Looking for 0’sand 1’s 2x + 1 = 7 2x + 1 − 1 = 7 − 1 2x = 6 12x 6 = 2 2 x=3
  • 332.
    Looking for 0’sand 1’s 2x + 1 = 7 2x + 1 − 1 = 7 − 1 2x = 6 12x 6 = 2 2 x=3
  • 333.
    Looking for 0’sand 1’s 2x + 1 = 7 Check: 2x + 1 − 1 = 7 − 1 2x = 6 12x 6 = 2 2 x=3
  • 334.
    Looking for 0’sand 1’s 2x + 1 = 7 Check: 2x + 1 = 7 2x + 1 − 1 = 7 − 1 2x = 6 12x 6 = 2 2 x=3
  • 335.
    Looking for 0’sand 1’s 2x + 1 = 7 Check: 2x + 1 = 7 2x + 1 − 1 = 7 − 1 2x = 6 12x 6 = 2 2 x=3
  • 336.
    Looking for 0’sand 1’s 2x + 1 = 7 Check: 2x + 1 = 7 2x + 1 − 1 = 7 − 1 2 ( 3) + 1 2x = 6 12x 6 = 2 2 x=3
  • 337.
    Looking for 0’sand 1’s 2x + 1 = 7 Check: 2x + 1 = 7 2x + 1 − 1 = 7 − 1 2 ( 3) + 1 6 +1 2x = 6 12x 6 = 2 2 x=3
  • 338.
    Looking for 0’sand 1’s 2x + 1 = 7 Check: 2x + 1 = 7 2x + 1 − 1 = 7 − 1 2 ( 3) + 1 6 +1 2x = 6 1 7 2x 6 = 2 2 x=3
  • 339.
    Looking for 0’sand 1’s 2x + 1 = 7 Check: 2x + 1 = 7 2x + 1 − 1 = 7 − 1 2 ( 3) + 1 6 +1 2x = 6 1 7 7 2x 6 = 2 2 x=3
  • 340.
  • 341.
  • 342.
    Solving Equations 2x +1 = 7 x 1 1 1 x 1 1 1 1 1
  • 343.
    Solving Equations 2x + 1 = 7 2x + 1 − 1 = 7 − 1 x 1 1 1 x 1 1 1 1 1
  • 344.
    Solving Equations 2x + 1 = 7 2x + 1 − 1 = 7 − 1 x 1 1 1 x 1 1 1 1 1
  • 345.
    Solving Equations 2x + 1 = 7 2x + 1 − 1 = 7 − 1 x 1 1 1 x 1 1 1
  • 346.
    Solving Equations 2x + 1 = 7 2x + 1 − 1 = 7 − 1 2x = 6 x 1 1 1 x 1 1 1
  • 347.
    Solving Equations 2x + 1 = 7 2x + 1 − 1 = 7 − 1 2x = 6 x 1 1 1 2x 6 = x 1 1 1 2 2
  • 348.
    Solving Equations 2x + 1 = 7 2x + 1 − 1 = 7 − 1 2x = 6 1 x 1 1 1 2x 6 = x 1 1 1 2 2
  • 349.
    Solving Equations 2x + 1 = 7 2x + 1 − 1 = 7 − 1 2x = 6 1 x 1 1 1 2x 6 = x 1 1 1 2 2 x=3
  • 350.
    Solving Equations 2x + 1 = 7 2x + 1 − 1 = 7 − 1 2x = 6 1 x 1 1 1 2x 6 = x 1 1 1 2 2 x=3
  • 351.
    2x + 1= 7 2x + 1 − 1 = 7 − 1 2x = 6 12x 6 = 2 2 x=3
  • 352.
    Not the onlyway to solve ... 2x + 1 = 7 2x + 1 − 1 = 7 − 1 2x = 6 12x 6 = 2 2 x=3
  • 353.
    Side-by-side Comparison 2x + 1 = 7 2x + 1 − 1 = 7 − 1 2x = 6 12x 6 = 2 2 x=3
  • 354.
    Side-by-side Comparison 2x + 1 = 7 2x + 1 − 1 = 7 − 1 2x = 6 12x 6 = 2 2 x=3
  • 355.
    Side-by-side Comparison 2x + 1 = 7 2x + 1 = 7 2x + 1 − 1 = 7 − 1 2x = 6 12x 6 = 2 2 x=3
  • 356.
    Side-by-side Comparison 2x + 1 = 7 2x + 1 = 7 2x + 1 − 1 = 7 − 1 2x 1 7 + = 2 2 2 2x = 6 12x 6 = 2 2 x=3
  • 357.
    Side-by-side Comparison 2x + 1 = 7 2x + 1 = 7 2x + 1 − 1 = 7 − 1 2x = 6 1 2x 1 7 + = 2 2 2 12x 6 = 2 2 x=3
  • 358.
    Side-by-side Comparison 2x + 1 = 7 2x + 1 = 7 2x + 1 − 1 = 7 − 1 2x = 6 12x 1 7 + = 2 2 2 1 1 7 1 1 x+ − = − 2x 6 2 2 2 2 = 2 2 x=3
  • 359.
    Side-by-side Comparison 2x + 1 = 7 2x + 1 = 7 2x + 1 − 1 = 7 − 1 2x = 6 12x 1 7 + = 2 2 2 1 1 7 1 1 x+ − = − 2x 6 2 2 2 2 = 2 2 6 x= x=3 2
  • 360.
    Side-by-side Comparison 2x + 1 = 7 2x + 1 = 7 2x + 1 − 1 = 7 − 1 2x = 6 12x 1 7 + = 2 2 2 1 1 7 1 1 x+ − = − 2x 6 2 2 2 2 = 2 2 6 x= x=3 2 x=3
  • 361.
    2x + 1= 7 2x + 1 − 1 = 7 − 1 2x = 6 12x 6 = 2 2 x=3
  • 362.
    Bar Models 2x + 1 = 7 2x + 1 − 1 = 7 − 1 2x = 6 12x 6 = 2 2 x=3
  • 363.
    Bar Models 2x + 1 = 7 2x 2x + 1 − 1 = 7 − 1 2x = 6 12x 6 = 2 2 x=3
  • 364.
    Bar Models 2x + 1 = 7 2x 1 2x + 1 − 1 = 7 − 1 7 2x = 6 12x 6 = 2 2 x=3
  • 365.
    Bar Models 2x + 1 = 7 2x 1 2x + 1 − 1 = 7 − 1 7 2x = 6 2x 1 12x 6 = 2 2 x=3
  • 366.
    Bar Models 2x + 1 = 7 2x 1 2x + 1 − 1 = 7 − 1 7 2x = 6 2x 1 12x 6 = 2 2 6 1 x=3
  • 367.
    Bar Models 2x + 1 = 7 2x 1 2x + 1 − 1 = 7 − 1 7 2x = 6 2x 1 12x 6 = 2 2 x 6 x 1 1 x=3 3 3 1
  • 368.
    Bar Models &Decomposition 2x + 1 = 7 2x 1 2x + 1 − 1 = 7 − 1 7 2x = 6 2x 1 12x 6 = 2 2 x 6 x 1 1 x=3 3 3 1
  • 369.
  • 370.
  • 371.
  • 372.
    Relational Thinking 5 5 5 5 y =5 4
  • 373.
    Relational Thinking 5 5 5 5                 14 2 4 3 20 y =5 4
  • 374.
    Relational Thinking 5 5 5 5                 14 2 4 3 20 y =5 4 ⎛ y ⎞ 4 ⎜ ⎟ = 4 ( 5 ) ⎝ 4 ⎠
  • 375.
    Relational Thinking 5 5 5 5                 14 2 4 3 20 y =5 4 ⎛ y ⎞ 4 ⎜ ⎟ = 4 ( 5 ) ⎝ 4 ⎠ y = 20
  • 376.
    Relational Thinking 5 5 5 5                 14 2 4 3 20 y =5 4 ⎛ y ⎞ 4 ⎜ ⎟ = 4 ( 5 ) ⎝ 4 ⎠ y = 20
  • 377.
    Relational Thinking 5 5 5 5                 14 2 4 3 20 y y =5 =5 4 4 ⎛ y ⎞ 4 ⎜ ⎟ = 4 ( 5 ) ⎝ 4 ⎠ y = 20
  • 378.
    Relational Thinking 5 5 5 5                 14 2 4 3 20 y y =5 =5 4 4 ⎛ y ⎞ y y y y 4 ⎜ ⎟ = 4 ( 5 ) + + + =5+5+5+5 ⎝ 4 ⎠ 4 4 4 4 y = 20
  • 379.
    Relational Thinking 5 5 5 5                 14 2 4 3 20 y y =5 =5 4 4 ⎛ y ⎞ y y y y 4 ⎜ ⎟ = 4 ( 5 ) + + + =5+5+5+5 ⎝ 4 ⎠ 4 4 4 4 y = 20 y = 20
  • 381.
    2x =8 3
  • 382.
    2x =8 3
  • 383.
    2x =8 3
  • 384.
  • 385.
  • 386.
  • 387.
    4 4 4 {          2x 8 =8 3 1 1 x+ x=4+4 3 3
  • 388.
    4 4 4 {          2x 8 =8 3 1 1 x+ x=4+4 3 3
  • 389.
    4 4 4 {          2x 8 =8 3 1 1 x+ x=4+4 3 3 1 1 1 x+ x+ x=4+4+4 3 3 3
  • 390.
    4 4 4 {          2x 8 =8 3 1 1 x+ x=4+4 3 3 1 1 1 x+ x+ x=4+4+4 3 3 3 x = 12
  • 391.
    4 4 4 {          2x 8 =8 3 1 1 x+ x=4+4 3 3 1 1 1 x+ x+ x=4+4+4 3 3 3 x = 12
  • 392.
    4 4 4 {          2x 2x 8 =8 =8 3 3 1 1 x+ x=4+4 3 3 1 1 1 x+ x+ x=4+4+4 3 3 3 x = 12
  • 393.
    4 4 4 {          2x 2x 8 =8 =8 3 3 1 1 3 ⎛ 2x ⎞ 3 x+ x=4+4 ⎜ ⎟ = ( 8 ) 3 3 2 ⎝ 3 ⎠ 2 1 1 1 x+ x+ x=4+4+4 3 3 3 x = 12
  • 394.
    4 4 4 {          2x 2x 8 =8 =8 3 3 1 1 3 ⎛ 2x ⎞ 3 x+ x=4+4 ⎜ ⎟ = ( 8 ) 3 3 2 ⎝ 3 ⎠ 2 1 1 1 x+ x+ x=4+4+4 x = 12 3 3 3 x = 12
  • 395.
  • 396.
  • 397.
    Building Flexibility 3( x+ 1) = 15 3x + 3 = 15
  • 398.
    Building Flexibility 3( x + 1) = 15 3x + 3 = 15 3x + 3 − 3 = 15 − 3
  • 399.
    Building Flexibility 3( x + 1) = 15 3x + 3 = 15 3x + 3 − 3 = 15 − 3 3x = 12
  • 400.
    Building Flexibility 3( x + 1) = 15 3x + 3 = 15 3x + 3 − 3 = 15 − 3 3x = 12 3x 12 = 3  3
  • 401.
    Building Flexibility 3( x + 1) = 15 3x + 3 = 15 3x + 3 − 3 = 15 − 3 3x = 12 3x 12 = 3  3
  • 402.
    Building Flexibility 3( x + 1) = 15 3x + 3 = 15 3x + 3 − 3 = 15 − 3 3x = 12 3x 12 = 3  3 x=4
  • 403.
    Building Flexibility 3( x + 1) = 15 3x + 3 = 15 3x + 3 − 3 = 15 − 3 3x = 12 3x 12 = 3  3 x=4
  • 404.
    Building Flexibility 3( x + 1) = 15 3( x + 1) = 15 3x + 3 = 15 3x + 3 − 3 = 15 − 3 3x = 12 3x 12 = 3  3 x=4
  • 405.
    Building Flexibility 3( x + 1) = 15 3( x + 1) = 15 3x + 3 = 15 3( x + 1) 15 = 3x + 3 − 3 = 15 − 3 3 3 3x = 12 3x 12 = 3  3 x=4
  • 406.
    Building Flexibility 3( x + 1) = 15 3( x + 1) = 15 3x + 3 = 15 3( x + 1) 15 = 3x + 3 − 3 = 15 − 3 3 3 3x = 12 3x 12 = 3  3 x=4
  • 407.
    Building Flexibility 3( x + 1) = 15 3( x + 1) = 15 3x + 3 = 15 3( x + 1) 15 = 3x + 3 − 3 = 15 − 3 3 3 3x = 12 x +1= 5 3x 12 = 3  3 x=4
  • 408.
    Building Flexibility 3( x + 1) = 15 3( x + 1) = 15 3x + 3 = 15 3( x + 1) 15 = 3x + 3 − 3 = 15 − 3 3 3 3x = 12 x +1= 5 3x 12 x +1−1 = 5 −1 = 3  3 x=4
  • 409.
    Building Flexibility 3( x + 1) = 15 3( x + 1) = 15 3x + 3 = 15 3( x + 1) 15 = 3x + 3 − 3 = 15 − 3 3 3 3x = 12 x +1= 5 3x 12 x +1−1 = 5 −1 = 3  3 x=4 x=4
  • 410.
    3( x +1) = 15 3( x + 1) 15 = 3 3 x +1= 5 x +1−1 = 5 −1 x=4
  • 411.
    3( x +1) = 15 3( x + 1) 15 = 3 3 x +1= 5 x +1−1 = 5 −1 x=4
  • 412.
    3( x +1) = 15 3( x + 1) 15 = 3 3                    1 42 43 x +1= 5 15 x +1−1 = 5 −1 x=4
  • 413.
    3( x +1) = 15 3( x + 1) 15 = 3 3                    1 42 43 x +1= 5 15 x +1−1 = 5 −1 x=4
  • 414.
    3( x +1) = 15 3( x + 1) 15 = 3 3                    1 42 43 x+1 x+1 x+1 x +1= 5 15 x +1−1 = 5 −1 x=4
  • 415.
    3( x +1) = 15 } } } 5 5 5 3( x + 1) 15                               = 3 3                    1 42 43 x+1 x+1 x+1 x +1= 5 15 x +1−1 = 5 −1 x=4
  • 416.
  • 417.
  • 418.
    Building Intuition 3( x+ 1) = 14 3x + 3 = 14
  • 419.
    Building Intuition 3( x + 1) = 14 3x + 3 = 14 3x + 3 − 3 = 14 − 3
  • 420.
    Building Intuition 3( x + 1) = 14 3x + 3 = 14 3x + 3 − 3 = 14 − 3 3x = 11
  • 421.
    Building Intuition 3( x + 1) = 14 3x + 3 = 14 3x + 3 − 3 = 14 − 3 3x = 11 3x 11 = 3  3
  • 422.
    Building Intuition 3( x + 1) = 14 3x + 3 = 14 3x + 3 − 3 = 14 − 3 3x = 11 3x 11 = 3  3
  • 423.
    Building Intuition 3( x + 1) = 14 3x + 3 = 14 3x + 3 − 3 = 14 − 3 3x = 11 3x 11 = 3  3 11 x= 3
  • 424.
    Building Intuition 3( x + 1) = 14 3x + 3 = 14 3x + 3 − 3 = 14 − 3 3x = 11 3x 11 = 3  3 11 x= 3
  • 425.
    Building Intuition 3( x + 1) = 14 3( x + 1) = 14 3x + 3 = 14 3x + 3 − 3 = 14 − 3 3x = 11 3x 11 = 3  3 11 x= 3
  • 426.
    Building Intuition 3( x + 1) = 14 3( x + 1) = 14 3x + 3 = 14 3( x + 1) 14 = 3x + 3 − 3 = 14 − 3 3 3 3x = 11 3x 11 = 3  3 11 x= 3
  • 427.
    Building Intuition 3( x + 1) = 14 3( x + 1) = 14 3x + 3 = 14 3( x + 1) 14 = 3x + 3 − 3 = 14 − 3 3 3 3x = 11 3x 11 = 3  3 11 x= 3
  • 428.
    Building Intuition 3( x + 1) = 14 3( x + 1) = 14 3x + 3 = 14 3( x + 1) 14 = 3x + 3 − 3 = 14 − 3 3 3 14 3x = 11 x +1= 3 3x 11 = 3  3 11 x= 3
  • 429.
    Building Intuition 3( x + 1) = 14 3( x + 1) = 14 3x + 3 = 14 3( x + 1) 14 = 3x + 3 − 3 = 14 − 3 3 3 14 3x = 11 x +1= 3 3x 11 14 3 = x +1−1 = − 3  3 3 3 11 x= 3
  • 430.
    Building Intuition 3( x + 1) = 14 3( x + 1) = 14 3x + 3 = 14 3( x + 1) 14 = 3x + 3 − 3 = 14 − 3 3 3 14 3x = 11 x +1= 3 3x 11 14 3 = x +1−1 = − 3  3 3 3 11 11 x= x= 3 3
  • 431.
  • 433.
    1 1 1 x +  = 2 4 3
  • 434.
    1 1 1 x +  = 2 4 3 1 1 1 1 1 x +  − = − 2 4 4 3 4
  • 435.
    1 1 1 x +  = 2 4 3 1 1 1 1 1 x +  − = − 2 4 4 3 4 1 1 x = 2 12
  • 436.
    1 1 1 x +  = 2 4 3 1 1 1 1 1 1 1      − x +  − = − 3 4 2 4 4 3 4 4 3 = − 1 1 12 12 x = 1 2 12 = 12
  • 437.
    1 1 1 x +  = 2 4 3 1 1 1 1 1 1 1      − x +  − = − 3 4 2 4 4 3 4 4 3 = − 1 1 12 12 x = 1 2 12 = 12 ⎛ 1 ⎞ ⎛ 1 ⎞ 2 ⎜ x ⎟  = 2 ⎜ ⎟ ⎝ 2 ⎠ ⎝ 12 ⎠
  • 438.
    1 1 1 x +  = 2 4 3 1 1 1 1 1 1 1      − x +  − = − 3 4 2 4 4 3 4 4 3 = − 1 1 12 12 x = 1 2 12 = 12 ⎛ 1 ⎞ ⎛ 1 ⎞ 2 ⎜ x ⎟  = 2 ⎜ ⎟ ⎝ 2 ⎠ ⎝ 12 ⎠ 1 x = 6
  • 439.
    1 1 1 x +  = 2 4 3 1 1 1 1 1 x +  − = − 2 4 4 3 4 1 1 x = 2 12 ⎛ 1 ⎞ ⎛ 1 ⎞ 2 ⎜ x ⎟  = 2 ⎜ ⎟ ⎝ 2 ⎠ ⎝ 12 ⎠ 1 x = 6
  • 440.
    1 1 1 x +  = 2 4 3 1 1 1 1 1 x +  − = − 2 4 4 3 4 1 1 x = 2 12 ⎛ 1 ⎞ ⎛ 1 ⎞ 2 ⎜ x ⎟  = 2 ⎜ ⎟ ⎝ 2 ⎠ ⎝ 12 ⎠ 1 x = 6
  • 441.
    1 1 1 1 1 1 x +  = x +  = 2 4 3 2 4 3 1 1 1 1 1 x +  − = − 2 4 4 3 4 1 1 x = 2 12 ⎛ 1 ⎞ ⎛ 1 ⎞ 2 ⎜ x ⎟  = 2 ⎜ ⎟ ⎝ 2 ⎠ ⎝ 12 ⎠ 1 x = 6
  • 442.
    1 1 1 1 1 1 x +  = x +  = 2 4 3 2 4 3 1 1 1 1 1 ⎛ 1 ⎞ ⎛ 1 ⎞ ⎛ 1 ⎞ x +  − = − 12 ⎜ x ⎟ + 12 ⎜ ⎟ = 12 ⎜ ⎟ 2 4 4 3 4 ⎝ 2 ⎠ ⎝ 4 ⎠ ⎝ 3 ⎠ 1 1 x = 2 12 ⎛ 1 ⎞ ⎛ 1 ⎞ 2 ⎜ x ⎟  = 2 ⎜ ⎟ ⎝ 2 ⎠ ⎝ 12 ⎠ 1 x = 6
  • 443.
    1 1 1 1 1 1 x +  = x +  = 2 4 3 2 4 3 1 1 1 1 1 ⎛ 1 ⎞ ⎛ 1 ⎞ ⎛ 1 ⎞ x +  − = − 12 ⎜ x ⎟ + 12 ⎜ ⎟ = 12 ⎜ ⎟ 2 4 4 3 4 ⎝ 2 ⎠ ⎝ 4 ⎠ ⎝ 3 ⎠ 1 1 6x + 3 = 4  x = 2 12 ⎛ 1 ⎞ ⎛ 1 ⎞ 2 ⎜ x ⎟  = 2 ⎜ ⎟ ⎝ 2 ⎠ ⎝ 12 ⎠ 1 x = 6
  • 444.
    1 1 1 1 1 1 x +  = x +  = 2 4 3 2 4 3 1 1 1 1 1 ⎛ 1 ⎞ ⎛ 1 ⎞ ⎛ 1 ⎞ x +  − = − 12 ⎜ x ⎟ + 12 ⎜ ⎟ = 12 ⎜ ⎟ 2 4 4 3 4 ⎝ 2 ⎠ ⎝ 4 ⎠ ⎝ 3 ⎠ 1 1 6x + 3 = 4  x = 2 12 6x + 3 − 3 = 4 − 3 ⎛ 1 ⎞ ⎛ 1 ⎞ 2 ⎜ x ⎟  = 2 ⎜ ⎟ ⎝ 2 ⎠ ⎝ 12 ⎠ 1 x = 6
  • 445.
    1 1 1 1 1 1 x +  = x +  = 2 4 3 2 4 3 1 1 1 1 1 ⎛ 1 ⎞ ⎛ 1 ⎞ ⎛ 1 ⎞ x +  − = − 12 ⎜ x ⎟ + 12 ⎜ ⎟ = 12 ⎜ ⎟ 2 4 4 3 4 ⎝ 2 ⎠ ⎝ 4 ⎠ ⎝ 3 ⎠ 1 1 6x + 3 = 4  x = 2 12 6x + 3 − 3 = 4 − 3 ⎛ 1 ⎞ ⎛ 1 ⎞ 6x = 1 2 ⎜ x ⎟  = 2 ⎜ ⎟ ⎝ 2 ⎠ ⎝ 12 ⎠ 1 x = 6
  • 446.
    1 1 1 1 1 1 x +  = x +  = 2 4 3 2 4 3 1 1 1 1 1 ⎛ 1 ⎞ ⎛ 1 ⎞ ⎛ 1 ⎞ x +  − = − 12 ⎜ x ⎟ + 12 ⎜ ⎟ = 12 ⎜ ⎟ 2 4 4 3 4 ⎝ 2 ⎠ ⎝ 4 ⎠ ⎝ 3 ⎠ 1 1 6x + 3 = 4  x = 2 12 6x + 3 − 3 = 4 − 3 ⎛ 1 ⎞ ⎛ 1 ⎞ 6x = 1 2 ⎜ x ⎟  = 2 ⎜ ⎟ ⎝ 2 ⎠ ⎝ 12 ⎠ 6 1 x= 1 6 6 x = 6
  • 447.
    1 1 1 1 1 1 x +  = x +  = 2 4 3 2 4 3 1 1 1 1 1 ⎛ 1 ⎞ ⎛ 1 ⎞ ⎛ 1 ⎞ x +  − = − 12 ⎜ x ⎟ + 12 ⎜ ⎟ = 12 ⎜ ⎟ 2 4 4 3 4 ⎝ 2 ⎠ ⎝ 4 ⎠ ⎝ 3 ⎠ 1 1 6x + 3 = 4  x = 2 12 6x + 3 − 3 = 4 − 3 ⎛ 1 ⎞ ⎛ 1 ⎞ 6x = 1 2 ⎜ x ⎟  = 2 ⎜ ⎟ ⎝ 2 ⎠ x = 1 6 ⎝ 12 ⎠ 1 6 6 x= 1 6
  • 448.
    1 1 1 1 1 1 x +  = x +  = 2 4 3 2 4 3 1 1 1 1 1 ⎛ 1 ⎞ ⎛ 1 ⎞ ⎛ 1 ⎞ x +  − = − 12 ⎜ x ⎟ + 12 ⎜ ⎟ = 12 ⎜ ⎟ 2 4 4 3 4 ⎝ 2 ⎠ ⎝ 4 ⎠ ⎝ 3 ⎠ 1 1 6x + 3 = 4  x = 2 12 6x + 3 − 3 = 4 − 3 ⎛ 1 ⎞ ⎛ 1 ⎞ 6x = 1 2 ⎜ x ⎟  = 2 ⎜ ⎟ ⎝ 2 ⎠ x = 1 6 ⎝ 12 ⎠ 1 6 6 x= x = 1 6 1 6
  • 449.
  • 451.
    1 1 1 x +  = 2 5 4
  • 452.
    1 1 1 x +  = 2 5 4 0.50x + 0.20 = 0.25
  • 453.
    1 1 1 x +  = 2 5 4 0.50x + 0.20 = 0.25 100 ( 0.50x ) + 100 ( 0.20 ) = 100 (.25 )
  • 454.
    1 1 1 x +  = 2 5 4 0.50x + 0.20 = 0.25 100 ( 0.50x ) + 100 ( 0.20 ) = 100 (.25 ) 50x + 20 = 25
  • 455.
    1 1 1 x +  = 2 5 4 0.50x + 0.20 = 0.25 100 ( 0.50x ) + 100 ( 0.20 ) = 100 (.25 ) 50x + 20 = 25 50x + 20 − 20 = 25 − 20
  • 456.
    1 1 1 x +  = 2 5 4 0.50x + 0.20 = 0.25 100 ( 0.50x ) + 100 ( 0.20 ) = 100 (.25 ) 50x + 20 = 25 50x + 20 − 20 = 25 − 20 50x = 5
  • 457.
    1 1 1 x +  = 2 5 4 0.50x + 0.20 = 0.25 100 ( 0.50x ) + 100 ( 0.20 ) = 100 (.25 ) 50x + 20 = 25 50x + 20 − 20 = 25 − 20 50x = 5 50 5 x = 50 50
  • 458.
    1 1 1 x +  = 2 5 4 0.50x + 0.20 = 0.25 100 ( 0.50x ) + 100 ( 0.20 ) = 100 (.25 ) 50x + 20 = 25 50x + 20 − 20 = 25 − 20 50x = 5 50 5 x = 50 50 1 x = 10
  • 459.
    What is thevalue of the circle?
  • 460.
    What is thevalue of the circle?
  • 461.
    What is thevalue of the circle?
  • 462.
    What is thevalue of the circle?
  • 463.
    What is thevalue of the circle?
  • 464.
    What is thevalue of the circle?
  • 465.
    Solving equations withvariables on both sides... 3x = 2x + 20
  • 466.
    Solving equations withvariables on both sides... 3x = 2x + 20 Bar Model: Decomposition: Inverse operations:
  • 467.
    Solving equations withvariables on both sides... 3x = 2x + 20 Bar Model: Decomposition: Inverse operations: 3x 2x + 20
  • 468.
    Solving equations withvariables on both sides... 3x = 2x + 20 Bar Model: Decomposition: Inverse operations: 3x 2x + 20 x x x x x 20
  • 469.
    Solving equations withvariables on both sides... 3x = 2x + 20 Bar Model: Decomposition: Inverse operations: 3x 2x + 20 x x x x x 20 ∴  x = 20
  • 470.
    Solving equations withvariables on both sides... 3x = 2x + 20 Bar Model: Decomposition: Inverse operations: 3x 2x + 20 x x x x x 20 ∴  x = 20
  • 471.
    Solving equations withvariables on both sides... 3x = 2x + 20 Bar Model: Decomposition: Inverse operations: 3x 3x = 2x + 20 2x + 20 x x x x x 20 ∴  x = 20
  • 472.
    Solving equations withvariables on both sides... 3x = 2x + 20 Bar Model: Decomposition: Inverse operations: 3x 3x = 2x + 20 2x + 20 x + x + x = x + x + 20 x x x x x 20 ∴  x = 20
  • 473.
    Solving equations withvariables on both sides... 3x = 2x + 20 Bar Model: Decomposition: Inverse operations: 3x 3x = 2x + 20 2x + 20 x + x + x = x + x + 20 x x x x x 20 ∴  x = 20
  • 474.
    Solving equations withvariables on both sides... 3x = 2x + 20 Bar Model: Decomposition: Inverse operations: 3x 3x = 2x + 20 2x + 20 x + x + x = x + x + 20 x x x x x 20 ∴  x = 20
  • 475.
    Solving equations withvariables on both sides... 3x = 2x + 20 Bar Model: Decomposition: Inverse operations: 3x 3x = 2x + 20 2x + 20 x + x + x = x + x + 20 x x x  x = 20 x x 20 ∴  x = 20
  • 476.
    Solving equations withvariables on both sides... 3x = 2x + 20 Bar Model: Decomposition: Inverse operations: 3x 3x = 2x + 20 2x + 20 x + x + x = x + x + 20 x x x  x = 20 x x 20 ∴  x = 20
  • 477.
    Solving equations withvariables on both sides... 3x = 2x + 20 Bar Model: Decomposition: Inverse operations: 3x 3x = 2x + 20 3x = 2x + 20 2x + 20 x + x + x = x + x + 20 x x x  x = 20 x x 20 ∴  x = 20
  • 478.
    Solving equations withvariables on both sides... 3x = 2x + 20 Bar Model: Decomposition: Inverse operations: 3x 3x = 2x + 20 3x = 2x + 20 2x + 20 x + x + x = x + x + 20 3x − 2x = 2x − 2x + 20 x x x  x = 20 x x 20 ∴  x = 20
  • 479.
    Solving equations withvariables on both sides... 3x = 2x + 20 Bar Model: Decomposition: Inverse operations: 3x 3x = 2x + 20 3x = 2x + 20 2x + 20 x + x + x = x + x + 20 3x − 2x = 2x − 2x + 20 x x x  x = 20 x x 20 ∴  x = 20
  • 480.
    Solving equations withvariables on both sides... 3x = 2x + 20 Bar Model: Decomposition: Inverse operations: 3x 3x = 2x + 20 3x = 2x + 20 2x + 20 x + x + x = x + x + 20 3x − 2x = 2x − 2x + 20 x x x  x = 20 x x 20  x = 20 ∴  x = 20
  • 481.
    Your Turn: 4x + 8 = 5x + 3
  • 482.
    Your Turn: 4x + 8 = 5x + 3 Bar Model: Decomposition: Inverse operations:
  • 483.
    Your Turn: 4x + 8 = 5x + 3 Bar Model: Decomposition: Inverse operations: 4x + 8 5x + 3
  • 484.
    Your Turn: 4x + 8 = 5x + 3 Bar Model: Decomposition: Inverse operations: 4x + 8 5x + 3 4x 8 4x x 3
  • 485.
    Your Turn: 4x + 8 = 5x + 3 Bar Model: Decomposition: Inverse operations: 4x + 8 5x + 3 4x 8 4x x 3 4x 5 3 4x x 3
  • 486.
    Your Turn: 4x + 8 = 5x + 3 Bar Model: Decomposition: Inverse operations: 4x + 8 5x + 3 4x 8 4x x 3 4x 5 3 4x x 3 ∴  x = 5
  • 487.
    Your Turn: 4x + 8 = 5x + 3 Bar Model: Decomposition: Inverse operations: 4x + 8 5x + 3 4x 8 4x x 3 4x 5 3 4x x 3 ∴  x = 5
  • 488.
    Your Turn: 4x + 8 = 5x + 3 Bar Model: Decomposition: Inverse operations: 4x + 8 4x + 8 = 5x + 3 5x + 3 4x 8 4x x 3 4x 5 3 4x x 3 ∴  x = 5
  • 489.
    Your Turn: 4x + 8 = 5x + 3 Bar Model: Decomposition: Inverse operations: 4x + 8 4x + 8 = 5x + 3 5x + 3 4x + 8 = 4x + x + 3 4x 8 4x x 3 4x 5 3 4x x 3 ∴  x = 5
  • 490.
    Your Turn: 4x + 8 = 5x + 3 Bar Model: Decomposition: Inverse operations: 4x + 8 4x + 8 = 5x + 3 5x + 3 4x + 8 = 4x + x + 3 4x 8 4x x 3 4x 5 3 4x x 3 ∴  x = 5
  • 491.
    Your Turn: 4x + 8 = 5x + 3 Bar Model: Decomposition: Inverse operations: 4x + 8 4x + 8 = 5x + 3 5x + 3 4x + 8 = 4x + x + 3 4x 8  8 = x + 3 4x x 3 4x 5 3 4x x 3 ∴  x = 5
  • 492.
    Your Turn: 4x + 8 = 5x + 3 Bar Model: Decomposition: Inverse operations: 4x + 8 4x + 8 = 5x + 3 5x + 3 4x + 8 = 4x + x + 3 4x 8  8 = x + 3 4x x 3  5 + 3 = x + 3 4x 5 3 4x x 3 ∴  x = 5
  • 493.
    Your Turn: 4x + 8 = 5x + 3 Bar Model: Decomposition: Inverse operations: 4x + 8 4x + 8 = 5x + 3 5x + 3 4x + 8 = 4x + x + 3 4x 8  8 = x + 3 4x x 3  5 + 3 = x + 3 4x 5 3 4x x 3 ∴  x = 5
  • 494.
    Your Turn: 4x + 8 = 5x + 3 Bar Model: Decomposition: Inverse operations: 4x + 8 4x + 8 = 5x + 3 5x + 3 4x + 8 = 4x + x + 3 4x 8  8 = x + 3 4x x 3  5 + 3 = x + 3 4x 5 3 4x x 3 ∴  5 = x ∴  x = 5
  • 495.
    Your Turn: 4x + 8 = 5x + 3 Bar Model: Decomposition: Inverse operations: 4x + 8 4x + 8 = 5x + 3 5x + 3 4x + 8 = 4x + x + 3 4x 8  8 = x + 3 4x x 3  5 + 3 = x + 3 4x 5 3 4x x 3 ∴  5 = x ∴  x = 5
  • 496.
    Your Turn: 4x + 8 = 5x + 3 Bar Model: Decomposition: Inverse operations: 4x + 8 4x + 8 = 5x + 3 4x + 8 = 5x + 3 5x + 3 4x + 8 = 4x + x + 3 4x 8  8 = x + 3 4x x 3  5 + 3 = x + 3 4x 5 3 4x x 3 ∴  5 = x ∴  x = 5
  • 497.
    Your Turn: 4x + 8 = 5x + 3 Bar Model: Decomposition: Inverse operations: 4x + 8 4x + 8 = 5x + 3 4x + 8 = 5x + 3 5x + 3 4x + 8 = 4x + x + 3 4x − 4x + 8 = 5x − 4x + 3 4x 8  8 = x + 3 4x x 3  5 + 3 = x + 3 4x 5 3 4x x 3 ∴  5 = x ∴  x = 5
  • 498.
    Your Turn: 4x + 8 = 5x + 3 Bar Model: Decomposition: Inverse operations: 4x + 8 4x + 8 = 5x + 3 4x + 8 = 5x + 3 5x + 3 4x + 8 = 4x + x + 3 4x − 4x + 8 = 5x − 4x + 3 4x 8  8 = x + 3 4x x 3  5 + 3 = x + 3 4x 5 3 4x x 3 ∴  5 = x ∴  x = 5
  • 499.
    Your Turn: 4x + 8 = 5x + 3 Bar Model: Decomposition: Inverse operations: 4x + 8 4x + 8 = 5x + 3 4x + 8 = 5x + 3 5x + 3 4x + 8 = 4x + x + 3 4x − 4x + 8 = 5x − 4x + 3 4x 8  8 = x + 3  8 = x + 3 4x x 3  5 + 3 = x + 3 4x 5 3 4x x 3 ∴  5 = x ∴  x = 5
  • 500.
    Your Turn: 4x + 8 = 5x + 3 Bar Model: Decomposition: Inverse operations: 4x + 8 4x + 8 = 5x + 3 4x + 8 = 5x + 3 5x + 3 4x + 8 = 4x + x + 3 4x − 4x + 8 = 5x − 4x + 3 4x 8  8 = x + 3  8 = x + 3 4x x 3  5 + 3 = x + 3  8 − 3 = x + 3 − 3 4x 5 3 4x x 3 ∴  5 = x ∴  x = 5
  • 501.
    Your Turn: 4x + 8 = 5x + 3 Bar Model: Decomposition: Inverse operations: 4x + 8 4x + 8 = 5x + 3 4x + 8 = 5x + 3 5x + 3 4x + 8 = 4x + x + 3 4x − 4x + 8 = 5x − 4x + 3 4x 8  8 = x + 3  8 = x + 3 4x x 3  5 + 3 = x + 3  8 − 3 = x + 3 − 3 4x 5 3 4x x 3 ∴  5 = x ∴  x = 5
  • 502.
    Your Turn: 4x + 8 = 5x + 3 Bar Model: Decomposition: Inverse operations: 4x + 8 4x + 8 = 5x + 3 4x + 8 = 5x + 3 5x + 3 4x + 8 = 4x + x + 3 4x − 4x + 8 = 5x − 4x + 3 4x 8  8 = x + 3  8 = x + 3 4x x 3  5 + 3 = x + 3  8 − 3 = x + 3 − 3 4x 5 3 4x x 3 ∴  5 = x  5 = x ∴  x = 5
  • 503.
    Percent Problems Mathematics*Center* West*Contra*Costa** Unified*School*District*
  • 505.
    2) 14 is2% of what number?
  • 506.
    2) 14 is2% of what number? is % = of 100
  • 507.
    2) 14 is2% of what number? is % = of 100 14 2 = x 100
  • 508.
    2) 14 is2% of what number? is % = of 100 14 2 = x 100 2x = 14 • 100
  • 509.
    2) 14 is2% of what number? is % = of 100 14 2 = x 100 2x = 14 • 100 14 • 100 x= 2
  • 510.
    2) 14 is2% of what number? is % = of 100 14 2 = x 100 2x = 14 • 100 14 • 100 x= 2 2 • 7 • 100 x= 2              
  • 511.
    2) 14 is2% of what number? is % = of 100 14 2 = x 100 2x = 14 • 100 14 • 100 x= 2 x= 1 2 • 7 • 100 2              
  • 512.
    2) 14 is2% of what number? is % = of 100 14 2 = x 100 2x = 14 • 100 14 • 100 x= 2 x= 1 2 • 7 • 100 2               x = 700
  • 513.
    2) 14 is2% of what number? is % = of 100 14 2 = x 100 2x = 14 • 100 14 • 100 x= 2 x= 12 • 7 • 100 2               x = 700 14 is 2% of 700.
  • 514.
    2) 14 is2% of what number? is % = of 100 vs 14 2 = x 100 2x = 14 • 100 14 • 100 x= 2 x= 12 • 7 • 100 2               x = 700 14 is 2% of 700.
  • 515.
    2) 14 is2% of what number? is % 14 is 2% of what number? = of 100 vs 14 2 = x 100 2x = 14 • 100 14 • 100 x= 2 x= 12 • 7 • 100 2               x = 700 14 is 2% of 700.
  • 516.
    2) 14 is2% of what number? is % 14 is 2% of what number? = of 100 vs 14 2 = x 100 2x = 14 • 100 14 • 100 x= 2 x= 12 • 7 • 100 2               x = 700 14 is 2% of 700.
  • 517.
    2) 14 is2% of what number? is % 14 is 2% of what number? = of 100 vs 14 2 = 14 x 100 2x = 14 • 100 14 • 100 x= 2 x= 12 • 7 • 100 2               x = 700 14 is 2% of 700.
  • 518.
    2) 14 is2% of what number? is % 14 is 2% of what number? = of 100 vs 14 2 = 14 = x 100 2x = 14 • 100 14 • 100 x= 2 x= 12 • 7 • 100 2               x = 700 14 is 2% of 700.
  • 519.
    2) 14 is2% of what number? is % 14 is 2% of what number? = of 100 vs 14 2 2 = 14 = x 100 100 2x = 14 • 100 14 • 100 x= 2 x= 12 • 7 • 100 2               x = 700 14 is 2% of 700.
  • 520.
    2) 14 is2% of what number? is % 14 is 2% of what number? = of 100 vs 14 2 2 = 14 = • x 100 100 2x = 14 • 100 14 • 100 x= 2 x= 12 • 7 • 100 2               x = 700 14 is 2% of 700.
  • 521.
    2) 14 is2% of what number? is % 14 is 2% of what number? = of 100 vs 14 2 2 = 14 = • x x 100 100 2x = 14 • 100 14 • 100 x= 2 x= 12 • 7 • 100 2               x = 700 14 is 2% of 700.
  • 522.
    2) 14 is2% of what number? is % 14 is 2% of what number? = of 100 vs 14 2 2 = 14 = • x x 100 100 2 x 2x = 14 • 100 14 = • 100 1 14 • 100 x= 2 x= 12 • 7 • 100 2               x = 700 14 is 2% of 700.
  • 523.
    2) 14 is2% of what number? is % 14 is 2% of what number? = of 100 vs 14 2 2 = 14 = • x x 100 100 2 x 2x = 14 • 100 14 = • 100 1 14 • 100 2 • x   x= 14 = 2 2 • 50 x= 12 • 7 • 100 2               x = 700 14 is 2% of 700.
  • 524.
    2) 14 is2% of what number? is % 14 is 2% of what number? = of 100 vs 14 2 2 = 14 = • x x 100 100 2 x 2x = 14 • 100 14 = • 100 1 x= 14 • 100 2 14 = 12 • x   2 • 50 x= 12 • 7 • 100 2               x = 700 14 is 2% of 700.
  • 525.
    2) 14 is2% of what number? is % 14 is 2% of what number? = of 100 vs 14 2 2 = 14 = • x x 100 100 2 x 2x = 14 • 100 14 = • 100 1 x= 14 • 100 2 14 = 12 • x   2 • 50 x x= 12 • 7 • 100 2               x = 700 14 = 50 14 is 2% of 700.
  • 526.
    2) 14 is2% of what number? is % 14 is 2% of what number? = of 100 vs 14 2 2 = 14 = • x x 100 100 2 x 2x = 14 • 100 14 = • 100 1 x= 14 • 100 2 14 = 1 2 • x   2 • 50 x x= 12 • 7 • 100 2               x = 700 14 = 50 14 • 50 = x 14 is 2% of 700.
  • 527.
    2) 14 is2% of what number? is % 14 is 2% of what number? = of 100 vs 14 2 2 = 14 = • x x 100 100 2 x 2x = 14 • 100 14 = • 100 1 x= 14 • 100 2 14 = 1 2 • x   2 • 50 x x= 12 • 7 • 100 2               x = 700 14 = 50 14 • 50 = x 700 = x 14 is 2% of 700.
  • 528.
    2) 14 is2% of what number? is % 14 is 2% of what number? = of 100 vs 14 2 2 = 14 = • x x 100 100 2 x 2x = 14 • 100 14 = • 100 1 x= 14 • 100 2 14 = 1 2 • x   2 • 50 x x= 12 • 7 • 100 2               x = 700 14 = 50 14 • 50 = x 700 = x 14 is 2% of 700. 14 is 2% of 700.
  • 529.
    2) 14 is2% of what number?
  • 530.
    2) 14 is2% of what number? There are many ways to construct bar models - many ways to think about the mathematics or
  • 531.
    2) 14 is2% of what number? There are many ways to construct bar models - many ways to think about the mathematics If 14 is 2%, or
  • 532.
    2) 14 is2% of what number? There are many ways to construct bar models - many ways to think about the mathematics If 14 is 2%, then 140 is 20% or
  • 533.
    2) 14 is2% of what number? There are many ways to construct bar models - many ways to think about the mathematics If 14 is 2%, then 140 is 20% or 20% 140
  • 534.
    2) 14 is2% of what number? There are many ways to construct bar models - many ways to think about the mathematics If 14 is 2%, then 140 is 20% or 20% 40% 140 140
  • 535.
    2) 14 is2% of what number? There are many ways to construct bar models - many ways to think about the mathematics If 14 is 2%, then 140 is 20% or 20% 40% 60% 140 140 140
  • 536.
    2) 14 is2% of what number? There are many ways to construct bar models - many ways to think about the mathematics If 14 is 2%, then 140 is 20% or 20% 40% 60% 80% 140 140 140 140
  • 537.
    2) 14 is2% of what number? There are many ways to construct bar models - many ways to think about the mathematics If 14 is 2%, then 140 is 20% or 20% 40% 60% 80% 100% 140 140 140 140 140
  • 538.
    2) 14 is2% of what number? There are many ways to construct bar models - many ways to think about the mathematics If 14 is 2%, then 140 is 20% or 20% 40% 60% 80% 100% 140 140 140 140 140 ⎧ ⎪ ⎨ ⎪ ⎩ 5•140 = 700
  • 539.
    2) 14 is2% of what number? There are many ways to construct bar models - many ways to think about the mathematics If 14 is 2%, then 140 is 20% or 20% 40% 60% 80% 100% 140 140 140 140 140 ⎧ ⎪ ⎨ ⎪ ⎩ 5•140 = 700 14 is 2% of 700.
  • 540.
    2) 14 is2% of what number? There are many ways to construct bar models - many ways to think about the mathematics If 14 is 2%, then 140 is 20% 14 or 2% 20% 40% 60% 80% 100% 140 140 140 140 140 ⎧ ⎪ ⎨ ⎪ ⎩ 5•140 = 700 14 is 2% of 700.
  • 541.
    2) 14 is2% of what number? There are many ways to construct bar models - many ways to think about the mathematics If 14 is 2%, then 140 is 20% 14 28 or 2% 4% 20% 40% 60% 80% 100% 140 140 140 140 140 ⎧ ⎪ ⎨ ⎪ ⎩ 5•140 = 700 14 is 2% of 700.
  • 542.
    2) 14 is2% of what number? There are many ways to construct bar models - many ways to think about the mathematics If 14 is 2%, then 140 is 20% 14 28 42 or 2% 4% 6% 20% 40% 60% 80% 100% 140 140 140 140 140 ⎧ ⎪ ⎨ ⎪ ⎩ 5•140 = 700 14 is 2% of 700.
  • 543.
    2) 14 is2% of what number? There are many ways to construct bar models - many ways to think about the mathematics If 14 is 2%, then 140 is 20% 14 28 42 56 or 2% 4% 6% 8% 20% 40% 60% 80% 100% 140 140 140 140 140 ⎧ ⎪ ⎨ ⎪ ⎩ 5•140 = 700 14 is 2% of 700.
  • 544.
    2) 14 is2% of what number? There are many ways to construct bar models - many ways to think about the mathematics If 14 is 2%, then 140 is 20% 14 28 42 56 70 or 2% 4% 6% 8% 10% 20% 40% 60% 80% 100% 140 140 140 140 140 ⎧ ⎪ ⎨ ⎪ ⎩ 5•140 = 700 14 is 2% of 700.
  • 545.
    2) 14 is2% of what number? There are many ways to construct bar models - many ways to think about the mathematics If 14 is 2%, then 140 is 20% 14 28 42 56 70 or 2% 4% 6% 8% 10% 20% 40% 60% 80% 100% 140 140 140 140 140 70 ⎧ ⎪ ⎨ ⎪ ⎩ 5•140 = 700 14 is 2% of 700.
  • 546.
    2) 14 is2% of what number? There are many ways to construct bar models - many ways to think about the mathematics If 14 is 2%, then 140 is 20% 14 28 42 56 70 or 2% 4% 6% 8% 10% 20% 40% 60% 80% 100% 140 140 140 140 140 70 is 10% ⎧ ⎪ ⎨ ⎪ ⎩ 5•140 = 700 14 is 2% of 700.
  • 547.
    2) 14 is2% of what number? There are many ways to construct bar models - many ways to think about the mathematics If 14 is 2%, then 140 is 20% 14 28 42 56 70 or 2% 4% 6% 8% 10% 20% 40% 60% 80% 100% 140 140 140 140 140 70 is 10% ⎧ ⎪ ⎨ ⎪ ⎩ 700 is 100% 5•140 = 700 14 is 2% of 700.
  • 548.
    2) 14 is2% of what number? There are many ways to construct bar models - many ways to think about the mathematics If 14 is 2%, then 140 is 20% 14 28 42 56 70 or 2% 4% 6% 8% 10% 20% 40% 60% 80% 100% 140 140 140 140 140 70 is 10% ⎧ ⎪ ⎨ ⎪ ⎩ 700 is 100% 5•140 = 700 14 is 2% of 700. 14 is 2% of 700.
  • 549.
    3) 50 iswhat percent of 200?
  • 550.
    3) 50 iswhat percent of 200? 50 is what percent of 200?
  • 551.
    3) 50 iswhat percent of 200? 50 is what percent of 200? 50
  • 552.
    3) 50 iswhat percent of 200? 50 is what percent of 200? 50 =
  • 553.
    3) 50 iswhat percent of 200? 50 is what percent of 200? x 50 = 100
  • 554.
    3) 50 iswhat percent of 200? 50 is what percent of 200? x 50 = • 100
  • 555.
    3) 50 iswhat percent of 200? 50 is what percent of 200? x 50 = • 200 100
  • 556.
    3) 50 iswhat percent of 200? 50 is what percent of 200? x 50 = • 200 100 x 200 50 = • 100 1
  • 557.
    3) 50 iswhat percent of 200? 50 is what percent of 200? x 50 = • 200 100 x 200 50 = • 100 1 x • 2 • 100 50 =           100
  • 558.
    3) 50 iswhat percent of 200? 50 is what percent of 200? x 50 = • 200 100 x 200 50 = • 100 1 50 = 1 x • 2 • 100           100
  • 559.
    3) 50 iswhat percent of 200? 50 is what percent of 200? x 50 = • 200 100 x 200 50 = • 100 1 50 = 1 x • 2 • 100           100 50 = 2x
  • 560.
    3) 50 iswhat percent of 200? 50 is what percent of 200? x 50 = • 200 100 x 200 50 = • 100 1 50 = 1 x • 2 • 100           100 50 = 2x 25 = x
  • 561.
    3) 50 iswhat percent of 200? 50 is what percent of 200? vs x 50 = • 200 100 x 200 50 = • 100 1 50 = 1 x • 2 • 100           100 50 = 2x 25 = x 50 is 25% of 200.
  • 562.
    3) 50 iswhat percent of 200? 50 is what percent of 200? vs x 50 = • 200 100 x 200 50 = • 100 1 50 = 1 x • 2 • 100           100 50 = 2x 25 = x 50 is 25% of 200.
  • 563.
    3) 50 iswhat percent of 200? 50 is what percent of 200? vs 50 x 50 = • 200 100 x 200 50 = • 100 1 50 = 1 x • 2 • 100           100 50 = 2x 25 = x 50 is 25% of 200.
  • 564.
    3) 50 iswhat percent of 200? 50 is what percent of 200? vs 50 x 50 = • 200 100 ? % x 200 50 = • 100 1 50 = 1 x • 2 • 100           100 50 = 2x 25 = x 50 is 25% of 200.
  • 565.
    3) 50 iswhat percent of 200? 50 is what percent of 200? vs 50 100 x 50 = • 200 100 ? % x 200 50 = • 100 1 50 = 1 x • 2 • 100           100 50 = 2x 25 = x 50 is 25% of 200.
  • 566.
    3) 50 iswhat percent of 200? 50 is what percent of 200? vs 50 100 150 x 50 = • 200 100 ? % x 200 50 = • 100 1 50 = 1 x • 2 • 100           100 50 = 2x 25 = x 50 is 25% of 200.
  • 567.
    3) 50 iswhat percent of 200? 50 is what percent of 200? vs 50 100 150 200 x 50 = • 200 100 ? % x 200 50 = • 100 1 50 = 1 x • 2 • 100           100 50 = 2x 25 = x 50 is 25% of 200.
  • 568.
    3) 50 iswhat percent of 200? 50 is what percent of 200? 25% 50% 75% 100% vs 50 100 150 200 x 50 = • 200 100 ? % x 200 50 = • 100 1 50 = 1 x • 2 • 100           100 50 = 2x 25 = x 50 is 25% of 200.
  • 569.
    3) 50 iswhat percent of 200? 50 is what percent of 200? 25% 50% 75% 100% vs 50 100 150 200 x 50 = • 200 100 ? % x 200 50 = • 100 1 50 is 25% of 200. 50 = 1 x • 2 • 100           100 50 = 2x 25 = x 50 is 25% of 200.
  • 570.
    3) 50 iswhat percent of 200?
  • 571.
    3) 50 iswhat percent of 200? The use of bar models help students develop relational thinking.
  • 572.
    3) 50 iswhat percent of 200? The use of bar models help students develop relational thinking. or 25% 50% 75% 100% 50 100 150 200 ? % 50 is 25% of 200.
  • 573.
    3) 50 iswhat percent of 200? The use of bar models help students develop relational thinking. or 25% 50% 75% 100% 50 100 150 200 ? % 50 is 25% of 200.
  • 574.
    3) 50 iswhat percent of 200? The use of bar models help students develop relational thinking. 200 is 100% or ⎩ ⎪ ⎨ ⎪ ⎧ 25% 50% 75% 100% 50 100 150 200 ? % 50 is 25% of 200.
  • 575.
    3) 50 iswhat percent of 200? The use of bar models help students develop relational thinking. 200 is 100% or ⎩ ⎪ ⎨ ⎪ ⎧ 25% 50% 75% 100% 50 100 150 200 ? % ⎧ ⎪ ⎨ ⎪ ⎩ ⎧ ⎪ ⎨ ⎪ ⎩ 100 100 50 is 25% of 200.
  • 576.
    3) 50 iswhat percent of 200? The use of bar models help students develop relational thinking. 200 is 100% or ⎩ ⎪ ⎨ ⎪ ⎧ 25% 50% 75% 100% 50 100 150 200 50 50 50 50 ? % ⎧ ⎪ ⎨ ⎪ ⎩ ⎧ ⎪ ⎨ ⎪ ⎩ 100 100 50 is 25% of 200.
  • 577.
    3) 50 iswhat percent of 200? The use of bar models help students develop relational thinking. 200 is 100% or ⎩ ⎪ ⎨ ⎪ ⎧ 25% 50% 75% 100% 25% 50% 75% 100% 50 100 150 200 50 50 50 50 ? % ⎧ ⎪ ⎨ ⎪ ⎩ ⎧ ⎪ ⎨ ⎪ ⎩ 100 100 50 is 25% of 200.
  • 578.
    3) 50 iswhat percent of 200? The use of bar models help students develop relational thinking. 200 is 100% or ⎩ ⎪ ⎨ ⎪ ⎧ 25% 50% 75% 100% 25% 50% 75% 100% 50 100 150 200 50 50 50 50 ? % ⎧ ⎪ ⎨ ⎪ ⎩ ⎧ ⎪ ⎨ ⎪ ⎩ 100 100 50 is 25% of 200. 50 is 25% of 200.
  • 579.
    150% of whatnumber is 12?
  • 580.
    150% of whatnumber is 12?
  • 581.
    150% of whatnumber is 12? 150% = 12 ⎩ ⎪ ⎨ ⎪ ⎧
  • 582.
    150% of whatnumber is 12? 150% = 12 ⎩ ⎪ ⎨ ⎪ ⎧ 50% 100% 150%
  • 583.
    150% of whatnumber is 12? 150% = 12 ⎩ ⎪ ⎨ ⎪ ⎧ 4 4 4 50% 100% 150%
  • 584.
    150% of whatnumber is 12? 150% = 12 ⎩ ⎪ ⎨ ⎪ ⎧ 4 4 4 50% 100% 150%
  • 585.
    150% of whatnumber is 12? 150% = 12 ⎩ ⎪ ⎨ ⎪ ⎧ 4 4 4 50% ⎧ 100% 150% ⎪ ⎨ ⎪ ⎩ 8
  • 586.
    150% of whatnumber is 12? 150% = 12 ⎩ ⎪ ⎨ ⎪ ⎧ 4 4 4 50% ⎧ 100% 150% ⎪ ⎨ ⎪ ⎩ 8 150% of 8 is 12.
  • 587.
    150% of whatnumber is 12?
  • 588.
    150% of whatnumber is 12?
  • 589.
    150% of whatnumber is 12?
  • 590.
    150% of whatnumber is 12?
  • 591.
    150% of whatnumber is 12?
  • 592.
    150% of whatnumber is 12?
  • 593.
    150% of whatnumber is 12? Notice – 200% of 8 is 16?

Editor's Notes