Purines and Pyrimidine
Metabolism
Dr. Apeksha Niraula
Assistant Professor
Institute of Medicine
TUTH
Maharajgunj
Nucleotides: ---- Nitrogenous Base
---- Pentose Monosachharides
---- One/Two or Three Phosphate
Groups
Nitrogeneous Bases PURINES
PYRIMIDINES
Purine and Pyrimidine Structure
 Both DNA and RNA contain the same Purine bases :
Adenine (A) and Guanine (G)
 Both DNA and RNA contain the same Pyrimidine
structure cytosine (C), differ in their second Thymidine base :
DNA contains Thymine (T)
RNA contains Uracil (U)
Nucleosides:
Addition of Pentose sugar to a base through a Glycosidic
bond produces a Nucleoside.
E.g: Ribonucleoside,Deoxyribonucleoside.
Functions
 Participate in metabolic functions as diverse as energy metabolism, protein
synthesis, regulation of enzyme activity, and signal transduction.
 Linked to vitamins or vitamin derivatives, nucleotides form a portion of many
coenzymes.
 ATP and ADP are the principal players in the energy transductions that accompany
metabolic interconversions and oxidative phosphorylation.
 Cyclic nucleotides cAMP and cGMP serve as the second messengers in hormonally
regulated events.
 Medical applications : Use of synthetic purine and pyrimidine analogs that contain
halogens, thiols, or additional nitrogen atoms in the chemotherapy of cancer and
AIDS, and as suppressors of the immune response during organ transplantation.
Can Cells Synthesize Purine Nucleotides??
 Nearly all organisms synthesize purines and
pyrimidines “denovo biosynthesis Pathway“.
 Many Organisms also “Salvage "purines from diet
and degradative pathways
Your Text here
How do Cells synthesize the Purine
Nucleotides??
Synthesis of Purine Nucleotides
 denovo Synthesis Total Ten Steps in
synthesis of Purine
Nucleotide.
 Salvage Pathway
A. Synthesis of 5-Phosphoribosyl -1-
pyrophosphate
B. Synthesis of 5-Phosphoribosylamine
 Committed step in Purine Synthesis.
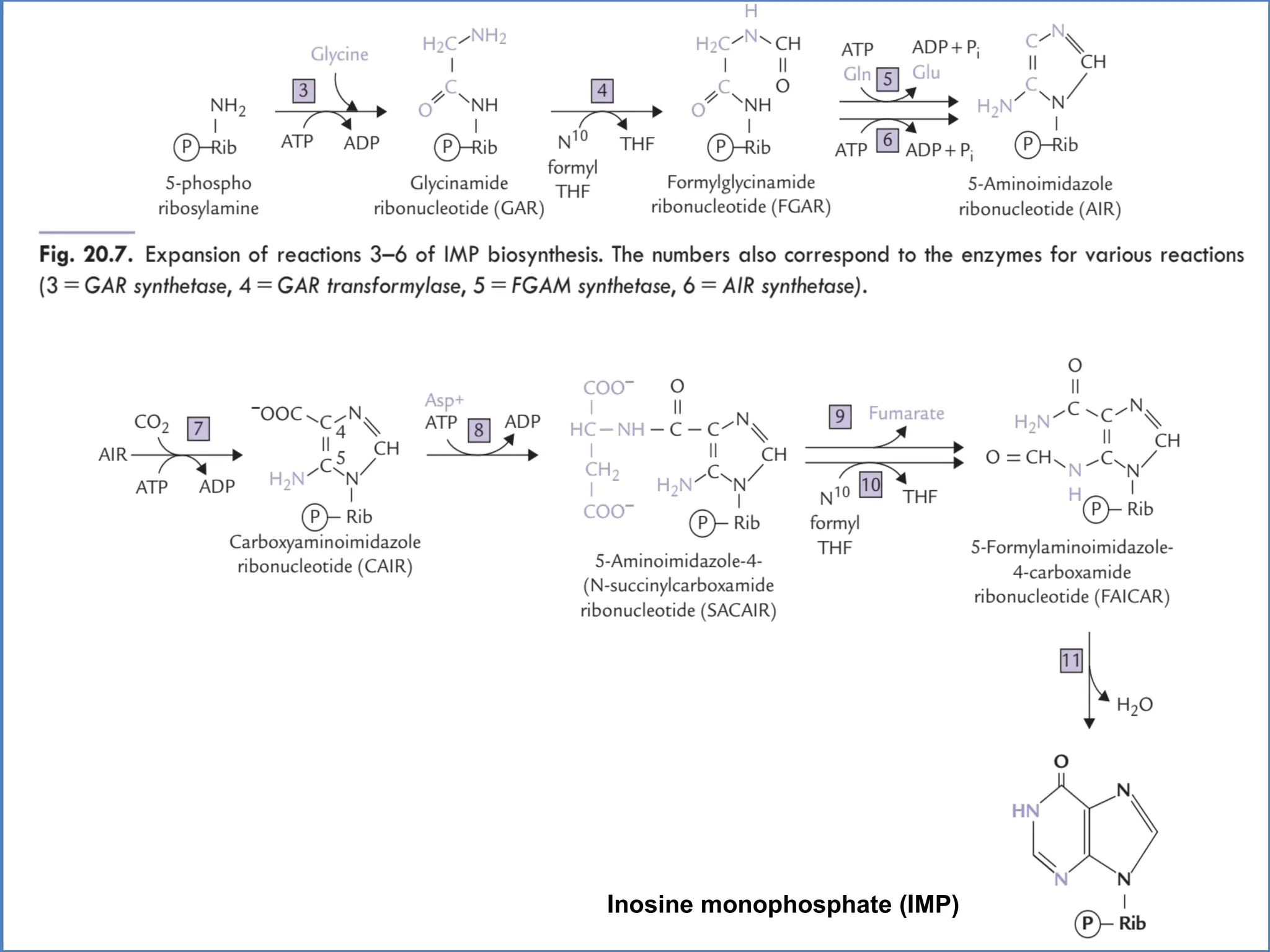
C. Synthesis of Inosine Monophosphate, the
“PARENT’ Purine Nucleotide
 Next Nine steps in Purine biosynthesis leads to
formation of Inosine Monophosphate(IMP).
 Four Steps require ATP as an energy source and two
steps in the pathway require N10
-formyltetrahydrofolate
as a one carbon donor.
Synthesis of Adenosine and Guanosine
Monophosphate
 Two step Energy-requiring pathway.
 Synthesis of AMP requires GTP and Synthesis
of GMP requires ATP Cross Regulation
Inosine monophosphate (IMP)
 If both AMP and GMP are present in adequate
amounts, the de-novo pathway of purine synthesis is
TURNED OFF at the Amidotransferase step.
Synthetic Inhibitors of Purine Synthesis
 Sulfonamides
 Methotrexate
 Designed to inhibit the growth of rapidly dividing
microorganisms without interfering with human cell
functions.
How is Pyrimidine synthesized????
 In contrast to Purine ring, Pyrimidine ring is completed
before the addition of 5-ribose Phosphate.
 Carbamoyl Phosphate and Aspartate are the precursors
of the Six-membered Pyrimidine Ring.
A. Synthesis of Carbomyl Phosphate
 Glutamine + CO2 C
Carbomyl Phosphate Synthetase II
Regulated Step in this
pathway.
Carbomyl Phosphate
• Your Text here
• Lorem ipsumconsectetuer
CPS I CPS II
Cellular Location Mitochondria Cytosol
Pathway Involved Urea Cycle Pyrimidine Synthesis
Source of
Nitrogen
Ammonia Glutamine
Regulators Acivator: N-acetyl-
Glutamate
Activator :PRPP
Inhibitor : UTP
Comparison between CPS I and CPS II
B. Synthesis of Orotic Acid
 Second Step Formation of
CarbomylAspartate.
C. Formation of a Pyrimidine Nucleotide
 Orotidine Monophosphate(OMP)
Parent Pyrimidine mononucleotide formed from Completed
Pyrimidine ring.
 OMP Orotidylate Decarboxylase Uridine
Monophosphate
(UMP)
removes carboxylic group.
 Orotate Phosphoribosyltransferase and Orotidylate
Decarboxylase are also catalytic domains of a single Polypeptide
chain called UMP Synthase.
Orotic Aciduria
 Deficiency of one or both activities of
the Bifunctional Enzyme
Orotic Acid in Urine.
 UMP thus formed is converted to UDP and UTP.
D. Synthesis of Cytidine Triphosphate
UTP Amination Cytidine
Triphosphate
(CTP)
• Your Text here
• Lorem ipsumconsectetuer
E. Synthesis of Deoxythymidine
Monophosphate
dUMP Thymidylate synthase dTMP
Salvage Pathways for Pyrimidine and Purine
Bases
 Denovo Synthesis of Nucleotides is Expensive in terms
of the use of high-energy phosphate bonds esp. for
Purine biosynthesis.
 All tissues are not capable of denovo synthesis of Purine
nucleotides such as Erythrocytes, Neutrophils,
Brain cells
Purine Salvage Pathway
 Two Pathways available.
I. One step Synthesis
 Formation of GMP and IMP
 Hypoxanthine Guanine Phosphoribosyltransferase (HGPRT)
catalyzes the One step nucleotide formation from either
Guanine or Hypoxanthine using PRPP as the donor of ribosyl
moiety.
Guanine Similarly, Hypoxanthine
PRPP HGPRT HGPRT
GMP + PPi Inosine + PPi
II. Two Step Synthesis
 Nucleoside Phosphorylase- Nucleoside
kinase pathway.
Adenine + Ribose-1-P
Nucleoside Phosphorylase
Adenosine + Pi
ATP
Adenosine Kinase
AMP + ADP
 Neither Guanosine nor Inosine Kinase has
been detected in mammalian cells.
In addition to the above cycle, there is another
salvage cycle for purines GMP, IMP as well as their
deoxyribonucleotides which is converted to their
respective nucleosides by a PURINE-NUCLEOTIDASE
Enzyme
Lesch-Nyhan syndrome:
 Rare, X-linked, recessive disorder.
 Virtually complete deficiency of HGPRT.
 Results in an inability to salvage hypo -xanthine
or guanine, from which excessive amounts of uric
acid is produced.
 Lack of the salvage pathway causes increased
PRPP levels and decreased IMP and GMP levels.
 Denovopurine synthesis is increased.
 A combination of decreased purine reutilization and
increased purine synthesis results in increased
degradation of purines and the production of large
amounts of uric acid, making Lesch-Nyhan a
heritable cause of hyperuricemia
 Hyperuricemia frequently results in the formation of
uric acid stones in the kidneys (urolithiasis) and the
deposition of urate crystals in the joints (gouty
arthritis) and soft tissues
 Syndrome is also characterized by motor
dysfunction, cognitive deficits, and behavioral
disturbances that include self-mutilation (biting of
lips and fingers)
Pyrimidine Base Salvage
 Pyrimidine Phosphoribosyl Transferase catalyses the
formation
of Pyrimidine Nucleotide using PRPP.
Pyrimidine Base
PRPP Pyrimidine Phosphoribosyl Transferase
Pyrimidine Nucleotide + PPi
• Your Text here
• Lorem ipsumconsectetuer
Q. The rate of DNA synthesis in a culture of cells could
be most accurately determined by measuring the
incorporation of which of the following radiolabeled
compounds?
A. Adenine.
B. Guanine.
C. Phosphate.
D. Thymidine.
• Your Text here
• Lorem ipsumconsectetuer
Q. A 1-year-old female patient is lethargic, weak, and
anemic. Her height and weight are both low for her
age. Her urine contains an elevated level of orotic
acid. The administration of which of the following
compounds is most likely to relieve her symptoms?
A. Adenine.
B. Guanine.
C. Hypoxanthine.
D. Thymidine.
E. Uridine.
• Your Text here
• Lorem ipsumconsectetuer

Synthesis of Pyrimidines and Purines.pptx

  • 1.
    Purines and Pyrimidine Metabolism Dr.Apeksha Niraula Assistant Professor Institute of Medicine TUTH Maharajgunj
  • 2.
    Nucleotides: ---- NitrogenousBase ---- Pentose Monosachharides ---- One/Two or Three Phosphate Groups Nitrogeneous Bases PURINES PYRIMIDINES
  • 3.
    Purine and PyrimidineStructure  Both DNA and RNA contain the same Purine bases : Adenine (A) and Guanine (G)  Both DNA and RNA contain the same Pyrimidine structure cytosine (C), differ in their second Thymidine base : DNA contains Thymine (T) RNA contains Uracil (U) Nucleosides: Addition of Pentose sugar to a base through a Glycosidic bond produces a Nucleoside. E.g: Ribonucleoside,Deoxyribonucleoside.
  • 4.
    Functions  Participate inmetabolic functions as diverse as energy metabolism, protein synthesis, regulation of enzyme activity, and signal transduction.  Linked to vitamins or vitamin derivatives, nucleotides form a portion of many coenzymes.  ATP and ADP are the principal players in the energy transductions that accompany metabolic interconversions and oxidative phosphorylation.  Cyclic nucleotides cAMP and cGMP serve as the second messengers in hormonally regulated events.  Medical applications : Use of synthetic purine and pyrimidine analogs that contain halogens, thiols, or additional nitrogen atoms in the chemotherapy of cancer and AIDS, and as suppressors of the immune response during organ transplantation.
  • 6.
    Can Cells SynthesizePurine Nucleotides??  Nearly all organisms synthesize purines and pyrimidines “denovo biosynthesis Pathway“.  Many Organisms also “Salvage "purines from diet and degradative pathways
  • 7.
    Your Text here Howdo Cells synthesize the Purine Nucleotides??
  • 8.
    Synthesis of PurineNucleotides  denovo Synthesis Total Ten Steps in synthesis of Purine Nucleotide.  Salvage Pathway
  • 9.
    A. Synthesis of5-Phosphoribosyl -1- pyrophosphate
  • 10.
    B. Synthesis of5-Phosphoribosylamine  Committed step in Purine Synthesis.
  • 11.
    C. Synthesis ofInosine Monophosphate, the “PARENT’ Purine Nucleotide  Next Nine steps in Purine biosynthesis leads to formation of Inosine Monophosphate(IMP).  Four Steps require ATP as an energy source and two steps in the pathway require N10 -formyltetrahydrofolate as a one carbon donor.
  • 12.
    Synthesis of Adenosineand Guanosine Monophosphate  Two step Energy-requiring pathway.  Synthesis of AMP requires GTP and Synthesis of GMP requires ATP Cross Regulation
  • 14.
  • 15.
     If bothAMP and GMP are present in adequate amounts, the de-novo pathway of purine synthesis is TURNED OFF at the Amidotransferase step.
  • 17.
    Synthetic Inhibitors ofPurine Synthesis  Sulfonamides  Methotrexate  Designed to inhibit the growth of rapidly dividing microorganisms without interfering with human cell functions.
  • 18.
    How is Pyrimidinesynthesized????  In contrast to Purine ring, Pyrimidine ring is completed before the addition of 5-ribose Phosphate.  Carbamoyl Phosphate and Aspartate are the precursors of the Six-membered Pyrimidine Ring.
  • 19.
    A. Synthesis ofCarbomyl Phosphate  Glutamine + CO2 C Carbomyl Phosphate Synthetase II Regulated Step in this pathway. Carbomyl Phosphate
  • 20.
    • Your Texthere • Lorem ipsumconsectetuer CPS I CPS II Cellular Location Mitochondria Cytosol Pathway Involved Urea Cycle Pyrimidine Synthesis Source of Nitrogen Ammonia Glutamine Regulators Acivator: N-acetyl- Glutamate Activator :PRPP Inhibitor : UTP Comparison between CPS I and CPS II
  • 21.
    B. Synthesis ofOrotic Acid  Second Step Formation of CarbomylAspartate.
  • 22.
    C. Formation ofa Pyrimidine Nucleotide  Orotidine Monophosphate(OMP) Parent Pyrimidine mononucleotide formed from Completed Pyrimidine ring.  OMP Orotidylate Decarboxylase Uridine Monophosphate (UMP) removes carboxylic group.  Orotate Phosphoribosyltransferase and Orotidylate Decarboxylase are also catalytic domains of a single Polypeptide chain called UMP Synthase.
  • 23.
    Orotic Aciduria  Deficiencyof one or both activities of the Bifunctional Enzyme Orotic Acid in Urine.  UMP thus formed is converted to UDP and UTP.
  • 24.
    D. Synthesis ofCytidine Triphosphate UTP Amination Cytidine Triphosphate (CTP)
  • 25.
    • Your Texthere • Lorem ipsumconsectetuer E. Synthesis of Deoxythymidine Monophosphate dUMP Thymidylate synthase dTMP
  • 26.
    Salvage Pathways forPyrimidine and Purine Bases  Denovo Synthesis of Nucleotides is Expensive in terms of the use of high-energy phosphate bonds esp. for Purine biosynthesis.  All tissues are not capable of denovo synthesis of Purine nucleotides such as Erythrocytes, Neutrophils, Brain cells
  • 27.
    Purine Salvage Pathway Two Pathways available. I. One step Synthesis  Formation of GMP and IMP  Hypoxanthine Guanine Phosphoribosyltransferase (HGPRT) catalyzes the One step nucleotide formation from either Guanine or Hypoxanthine using PRPP as the donor of ribosyl moiety. Guanine Similarly, Hypoxanthine PRPP HGPRT HGPRT GMP + PPi Inosine + PPi
  • 28.
    II. Two StepSynthesis  Nucleoside Phosphorylase- Nucleoside kinase pathway. Adenine + Ribose-1-P Nucleoside Phosphorylase Adenosine + Pi ATP Adenosine Kinase AMP + ADP  Neither Guanosine nor Inosine Kinase has been detected in mammalian cells.
  • 29.
    In addition tothe above cycle, there is another salvage cycle for purines GMP, IMP as well as their deoxyribonucleotides which is converted to their respective nucleosides by a PURINE-NUCLEOTIDASE Enzyme
  • 30.
    Lesch-Nyhan syndrome:  Rare,X-linked, recessive disorder.  Virtually complete deficiency of HGPRT.  Results in an inability to salvage hypo -xanthine or guanine, from which excessive amounts of uric acid is produced.  Lack of the salvage pathway causes increased PRPP levels and decreased IMP and GMP levels.  Denovopurine synthesis is increased.
  • 31.
     A combinationof decreased purine reutilization and increased purine synthesis results in increased degradation of purines and the production of large amounts of uric acid, making Lesch-Nyhan a heritable cause of hyperuricemia  Hyperuricemia frequently results in the formation of uric acid stones in the kidneys (urolithiasis) and the deposition of urate crystals in the joints (gouty arthritis) and soft tissues  Syndrome is also characterized by motor dysfunction, cognitive deficits, and behavioral disturbances that include self-mutilation (biting of lips and fingers)
  • 34.
    Pyrimidine Base Salvage Pyrimidine Phosphoribosyl Transferase catalyses the formation of Pyrimidine Nucleotide using PRPP. Pyrimidine Base PRPP Pyrimidine Phosphoribosyl Transferase Pyrimidine Nucleotide + PPi
  • 40.
    • Your Texthere • Lorem ipsumconsectetuer Q. The rate of DNA synthesis in a culture of cells could be most accurately determined by measuring the incorporation of which of the following radiolabeled compounds? A. Adenine. B. Guanine. C. Phosphate. D. Thymidine.
  • 41.
    • Your Texthere • Lorem ipsumconsectetuer Q. A 1-year-old female patient is lethargic, weak, and anemic. Her height and weight are both low for her age. Her urine contains an elevated level of orotic acid. The administration of which of the following compounds is most likely to relieve her symptoms? A. Adenine. B. Guanine. C. Hypoxanthine. D. Thymidine. E. Uridine.
  • 42.
    • Your Texthere • Lorem ipsumconsectetuer