БІБЛІОТЕЧНА РОБОТА 
ІНФОРМАЦІЙНА КУЛЬТУРА 
Лідія ПОПЕРЕЧНА, 
головний редактор журналу 
«Шкільний бібліотечно-інформаційний центр», 
відмінник освіти України 
ʶˇˈː˕ˋ˗˪ˍ˃˙˪ˌːˈ˅˪ˍːˑǣ 
ʞ˪ˇ˔ˋ˔˕ˈˏ˃Ȅ˄˪˄ˎ˪ˑ˕ˈ˚ːˑǦ˪ː˗ˑ˓ˏ˃˙˪ˌːˈ 
ˑ˄˔ˎ˖ˆˑ˅˖˅˃ːːˢ 
ʑˋˇ˪ː˗ˑ˓ˏ˃˙˪˫Ȅ˗˃˘ˑ˅˃ 
ʑˋˇˇˑˍ˖ˏˈː˕˃Ȅ˔˕˃˕˕ˢ 
ʧˋ˗˓ˇˑˍ˖ˏˈː˕˃ȄͳͳͲǤͲʹʹǤͲͲͲ 
ͳͳͲǤͲʹ͹ǤͲͲͲ 
ʖǦ˒ˑˏ˪ˉ˪ːːˑ˅˃˙˪ˌːˋ˘ˑ˔˅˪˕ː˪˘˕ˈ˘ːˑˎˑˆ˪ˌǡˊ˃˒ˑˊˋ˚ˈːˋ˘ˊ˪˛ˍ˪ˎ˟ːˑ˫˒˓˃ˍ˕ˋˍˋǡ˄˪˄ˎ˪ˑ˕ˈ- 
ˍ˃˓˪˅˔ˈ˚˃˔˕˪˛ˈˑ˄ˋ˓˃ˡ˕˟ˏˈ˕ˑˇː˃˅˚˃ˎ˟ːˋ˘˒˓ˑˈˍ˕˪˅ˢˍˑˇˋː˪ˊː˃ˌˈ˗ˈˍ˕ˋ˅ː˪˛ˋ˘ 
ˊ˃˔ˑ˄˪˅˗ˑ˓ˏ˖˅˃ːːˢˏˈˇ˪˃Ǧ˕˃˪ː˗ˑ˓ˏ˃˙˪ˌːˑ˫ˆ˓˃ˏˑ˕ːˑ˔˕˪˔˖˚˃˔ːˋ˘ˇ˪˕ˈˌǤ 
Через бібліотечні проекти до медіа- 
та інформаційної грамотності 
Ǽʑ˚ˋˏˑ˔ˢːˈˊ˃˓˃ˇˋ˛ˍˑˎˋǡ 
˃ˇˎˢˉˋ˕˕ˢǽ 
ʠˈːˈˍ˃ 
ʐ˪˄ˎ˪ˑ˕ˈ˚ː˪˖˔˕˃ːˑ˅ˋˊ˃ˆ˃ˎ˟ːˑˑ˔˅˪˕ː˪˘ː˃˅˚˃ˎ˟ːˋ˘ˊ˃ˍˎ˃ˇ˪˅ 
ˊ˃˅ˉˇˋ˄˖ˎˋˌ˄˖ˇ˖˕˟˒˓ˋ˚ˈ˕ːˋˏˋˇˑ˒˓ˑ˙ˈ˔˪˅˗ˑ˓ˏ˖˅˃ːːˢˑ˔ˑǦ 
˄ˋ˔˕ˑ˔˕˪Ǥʠ˟ˑˆˑˇː˪ˑ˓˪˦ː˕ˋ˓ˑˏ˖˅ˋˊː˃˚ˈːː˪˫˘˒˓˪ˑ˓ˋ˕ˈ˕ːˋ˘ˊ˃˅ˇ˃ː˟ 
ˏ˃ˡ˕˟˔˕˃˕ˋ˄˃ˊˑ˅˪ˊ˃˔˃ˇˋˇˈ˓ˉ˃˅ːˋ˘ˑ˔˅˪˕ː˪˘˔˕˃ːˇ˃˓˕˪˅ǡ˖˕ˑˏ˖ 
˚ˋ˔ˎ˪ǣ˒ˈ˓ˈˑ˓˪˦ː˕˃˙˪ˢˑ˔˅˪˕ˋˊ˪ˊː˃ːː˦˅ˑ˫˒˃˓˃ˇˋˆˏˋː˃ˇ˪ˢˎ˟ː˪˔ː˖ǡ 
ˍˑˏ˒ˈ˕ˈː˕ː˪˔ːˋˌ˒˪ˇ˘˪ˇˇˑˊˏ˪˔˕˖ˑ˔˅˪˕ˋǡ˗ˑ˓ˏ˖˅˃ːːˢˆˑ˕ˑ˅ːˑ˔˕˪ 
˛ˍˑˎˢ˓˪˅ˊ˃˔˕ˑ˔ˑ˅˖˅˃˕ˋː˃˄˖˕˪ˊː˃ːːˢǡ˖ˏ˪ːːˢǡː˃˅ˋ˚ˍˋ˕˃˔˒ˑ˔ˑ˄ˋ 
ˇ˪ˢˎ˟ːˑ˔˕˪˅˒˓˃ˍ˕ˋ˚ːˑˏ˖ˉˋ˕˕˪Ǥʟˈ˃ˎ˪ˊ˖˅˃˕ˋˊ˃˅ˇ˃ːːˢǡˊ˃ˍ˓˪˒ˎˈː˪ 
˅˔˕˃ːˇ˃˓˕˃˘ǡˏˑˉː˃ˊ˃˖ˏˑ˅ˋǡˢˍ˜ˑː˃˅˚˃ˎ˟ːˑǦ˅ˋ˘ˑ˅ːˋˌ˒˓ˑ˙ˈ˔ 
˖˛ˍˑˎ˪˄˖ˇˈ˔˒˓ˢˏˑ˅˃ːˑː˃˓ˑˊ˅ˋ˕ˑˍ˃ˍ˕ˋ˅ːˑ˔˕˪ǡ˔˃ˏˑ˔˕˪ˌːˑ˔˕˪ǡ 
˕˅ˑ˓˚ˋ˘ ˏˑˉˎˋ˅ˑ˔˕ˈˌ ˍˑˉːˑˆˑ ˛ˍˑˎˢ˓˃ǡ ˑ˔ˍ˪ˎ˟ˍˋ ˔˖˔˒˪ˎ˟˔˕˅ˑ 
˒ˑ˕˓ˈ˄˖˦ˑ˔ˑ˄ˋ˔˕ˑ˔˕ˈˌǡˊˇ˃˕ːˋ˘˔˅˪ˇˑˏˑˇ˪ˢ˕ˋǡ˒˓ˋˌˏ˃˕ˋ˅ˎ˃˔ː˪ 
˓˪˛ˈːːˢǡ˛˅ˋˇˍˑ˃ˇ˃˒˕˖˅˃˕ˋ˔ˢˇˑˊˏ˪ːǤʶː˛ˋˏˋ˔ˎˑ˅˃ˏˋǡˇˎˢˉˋ˕Ǧ 
˕˦˅ˑˆˑ˖˔˒˪˘˖ːˈˑ˄˘˪ˇː˪ːˈ˔˃ˏ˪ˊː˃ːːˢǡ˃˅ˏ˪ːːˢ˫˘ˊ˃˔˕ˑ˔ˑ˅˖˅˃˕ˋ 
˅˪ˇ˒ˑ˅˪ˇːˑˇˑˍˑːˍ˓ˈ˕ːˑ˫ˉˋ˕˕˦˅ˑ˫˔ˋ˕˖˃˙˪˫Ǥ 
ʢ ˊ˅ǯˢˊˍ˖ ˊ ˙ˋˏ ˑ˔ˑǦ 
˄ˎˋ˅ˑˆˑˊː˃˚ˈːːˢː˃˄˖˅˃˦ 
ˑ˓ˆ˃ː˪ˊ˃˙˪ˢ ˪ː˗ˑ˓ˏ˃˙˪ˌǦ 
ːˑ˫ ˑ˔˅˪˕ˋ ˕˃ ˒˪ˇ˅ˋ˜ˈːːˢ 
˪ː˗ˑ˓ˏ˃˙˪ˌːˑ˫ ˍ˖ˎ˟˕˖˓ˋ 
˛ˍˑˎˢ˓˃ǡ ˃ˇˉˈ ˪ː˗ˑ˓ˏ˃Ǧ 
˙˪ˢ˅˔˖˚˃˔ːˋ˘˖ˏˑ˅˃˘˓ˑˊǦ 
˅ˋ˕ˍ˖ ˔˖˔˒˪ˎ˟˔˕˅˃Ȅ ˑˇː˃ 
ˊ ˆˑˎˑ˅ːˋ˘ ˎˡˇ˔˟ˍˋ˘ ˙˪ːǦ 
ːˑ˔˕ˈˌǡ ˅˃ˉˎˋ˅ˋˌ ˓ˈ˔˖˓˔ 
ˌˑˆˑ ˉˋ˕˕˦ˊ˃˄ˈˊ˒ˈ˚ˈːːˢǤ 
Діяльнісний підхід спрямований на розвиток умінь і навичок 
учня, застосування здобутих знань у практичних ситуаціях, 
пошук шляхів інтеграції до соціокультурного та природного 
середовища 
(Державний стандарт базової 
і повної загальної середньої освіти) 
48 ШБІЦ № 2/2014
Бібліотечна робота Інформаційна культура 
ʑˑˇːˑ˚˃˔ ˖ ˄˃ˊˑ˅ˑˏ˖ ː˃˅˚˃ˎ˟ːˑˏ˖ ˒ˎ˃ː˪ ˅˪ˇ˔˖˕ːˢ ˇˋ˔˙ˋ˒ˎ˪ː˃ǡ 
ˢˍ˃˄ː˃˅˚˃ˎ˃ˇ˪˕ˈˌ˖˚ˋ˕ˋ˔ˢˊ˃ːˑ˅ˋ˘˔˖˔˒˪ˎ˟ːˋ˘˖ˏˑ˅Ǥʏˍˎ˃˔ˋ˚ː˪ 
˒˪ˇ˘ˑˇˋˇˑ˄˪˄ˎ˪ˑ˕ˈ˚ːˑǦ˄˪˄ˎ˪ˑˆ˓˃˗˪˚ːˑ˫ˑ˔˅˪˕ˋ˛ˍˑˎˢ˓˪˅˔˟ˑˆˑˇː˪ 
˅ˉˈːˈ˔˒˓˃˙˟ˑ˅˖ˡ˕˟Ǥ 
ʶːːˑ˅˃˙˪ˌːˋˌ ˒ˑ˛˖ˍ ːˑ˅ˋ˘ ˊ˃˔ˑ˄˪˅ ˪ː˗ˑ˓ˏ˃˙˪ˌːˑ˫ ˑ˔˅˪˕ˋǡ 
ˑ˔ˑ˄ˎˋ˅ˑ ˃ˍ˕˖˃ˎ˪ˊˑ˅˃ːˑ˫ ˊ ˖˒˓ˑ˅˃ˇˉˈːːˢˏ ˖ ˛ˍ˪ˎ˟ː˖ ˒˓˃ˍ˕ˋˍ˖ 
ˏˈˇ˪˃ˑ˔˅˪˕ˋǡ˒˓ˋˊ˅ˑˇˋ˕˟ˇˑ˓ˑˊ˖ˏ˪ːːˢ˕ˑˆˑǡ˜ˑː˃ˏ˒ˑ˕˓˪˄ː˪ˇ˪Ǧ 
ˢˎ˟ː˪ǡ ˆ˓˖˒ˑ˅˪ǡ ˪ˆ˓ˑ˅˪ǡ ˓ˑˎ˟ˑ˅˪ǡ ˒˓˃ˍ˕ˋˍˑǦˑ˓˪˦ː˕ˑ˅˃ː˪ǡ ˒˓ˑ˄ˎˈˏː˪ǡ 
˓ˈ˗ˎˈˍ˔ˋ˅ː˪˕˃˪ː˛˪˗ˑ˓ˏˋˌˏˈ˕ˑˇˋː˃˅˚˃ːːˢǤʏˍ˕ˋ˅ː˪ˏˈ˕ˑˇˋ 
˒ˈ˓ˈ˕˅ˑ˓ˡˡ˕˟˖˚ːˢː˃˔˖˄ǯ˦ˍ˕˒ˈˇ˃ˆˑˆ˪˚ːˑˆˑ˒˓ˑ˙ˈ˔˖ǡ˔ˈ˓ˈˇːˋ˘ 
˅ˋˇ˪ˎˢˡ˕˟ˇˑ˔ˎ˪ˇːˋ˙˟ˍˋˌȋ˖˚ˈː˟Ǧ˖˚ˈːˋˌǦ˕ˈˑ˓ˈ˕ˋˍȌ˪ˏˈ˕ˑˇ˒˓ˑǦ 
ˈˍ˕˪˅ȋ˖˚ˈː˟Ǧ˒˓˃ˍ˕ˋ˚ːˋˌˇ˪ˢ˚ȌǤʝ˄ˋˇ˅˃˅ˑːˋ˔˒˓ˢˏˑ˅˃ː˪ː˃˓ˑˊǦ 
˅ˋ˕ˑˍ˅˖˚ː˪˅˕˅ˑ˓˚ˋ˘ˊˇ˪˄ːˑ˔˕ˈˌ˪˦ˏˈ˕ˑˇ˃ˏˋ˛˖ˍ˃ː˟Ǥ 
Переваги методу проектів 
ʛˈ˕ˑˇ ˒˓ˑˈˍ˕˪˅ ːˈ ˦ ˒˓ˋː˙ˋ˒ˑ˅ˑ ːˑ˅ˋˏ ˖ ˔˅˪˕ˑ˅˪ˌ ˒ˈˇ˃ˆˑǦ 
ˆ˪˙˪Ǥ ʘˑˆˑ ː˃ˊˋ˅˃ˡ˕˟ ˕˃ˍˑˉ ˏˈ˕ˑˇˑˏ ˒˓ˑ˄ˎˈˏ ˃˄ˑ ː˃˅˚˃ːːˢˏ 
˚ˈ˓ˈˊˇ˪ˢˎ˟ː˪˔˕˟Ǥ 
Ǽʢ˔ˈǡ ˜ˑ ˢ ˒˪ˊː˃ˡǡ ˢ ˊː˃ˡǡ ˇˎˢ ˚ˑˆˑ ˙ˈ ˏˈː˪ ˒ˑ˕˓˪˄ːˑ ˌ ˇˈ 
˕˃ ˢˍ ˢ ˏˑˉ˖ ˙˪ ˊː˃ːːˢ ˊ˃˔˕ˑ˔˖˅˃˕ˋǽȄ ˑ˔ːˑ˅ː˃ ˕ˈˊ˃ ˔˖˚˃˔ːˑˆˑ 
˓ˑˊ˖ˏ˪ːːˢˏˈ˕ˑˇ˖˒˓ˑˈˍ˕˪˅ǡˢˍ˃ˌ˒˓ˋ˅˃˄ˎˡ˦˄˃ˆ˃˕ˑˑ˔˅˪˕ː˪˘˔ˋǦ 
˔˕ˈˏ˖˒ˑ˛˖ˍ˃˘˓ˑˊ˖ˏːˑˆˑ˄˃ˎ˃ː˔˖ˏ˪ˉ˃ˍ˃ˇˈˏ˪˚ːˋˏˋˊː˃ːːˢˏˋ 
˕˃˒˓˃ˆˏ˃˕ˋ˚ːˋˏˋ˅ˏ˪ːːˢˏˋǤ 
ʑ ˑ˔ːˑ˅˪ ˙˟ˑˆˑ ˏˈ˕ˑˇ˖Ȅ ˓ˑˊ˅ˋ˕ˑˍ ˒˪ˊː˃˅˃ˎ˟ːˋ˘ ː˃˅ˋ˚ˑˍ 
˛ˍˑˎˢ˓˪˅ǡ ˖ˏ˪ːːˢ ˔˃ˏˑ˔˕˪ˌːˑ ˍˑː˔˕˓˖ˡ˅˃˕ˋ ˔˅ˑ˫ ˊː˃ːːˢ ˕˃ ˑ˓˪Ǧ 
˦ː˕˖˅˃˕ˋ˔ˢ˅˪ː˗ˑ˓ˏ˃˙˪ˌːˑˏ˖˒˓ˑ˔˕ˑ˓˪Ǥ 
ʛˈ˕ˑˇ ˒˓ˑˈˍ˕˪˅ ˔˒˓ˢˏˑ˅˃ːˋˌ ː˃ ˔˃ˏˑ˔˕˪ˌː˖ ˪ːˇˋ˅˪ˇ˖˃ˎ˟ː˖ǡ 
˒˃˓ː˖˃˄ˑˆ˓˖˒ˑ˅˖ˇ˪ˢˎ˟ː˪˔˕˟˖˚ː˪˅Ǣ˅˪ːˊ˃˅ˉˇˋ˒˓ˋ˒˖˔ˍ˃˦˅ˋ˓˪˛ˈːǦ 
ːˢ˒ˈ˅ːˑ˫˒˓ˑ˄ˎˈˏˋǡˢˍ˃˒ˈ˓ˈˇ˄˃˚˃˦ǡˊˑˇːˑˆˑ˄ˑˍ˖ǡ˅ˋˍˑ˓ˋ˔˕˃ːːˢ 
˓˪ˊːˑˏ˃ː˪˕ːˋ˘ ˏˈ˕ˑˇ˪˅ǡ ˊ˃˔ˑ˄˪˅ ː˃˅˚˃ːːˢǡ ˃ ˊ ˪ː˛ˑˆˑȄ ˪ː˕ˈˆ˓˖Ǧ 
˅˃ːːˢ ˊː˃ː˟ǡ ˖ˏ˪ː˟ ˪ˊ ˓˪ˊːˋ˘ ˆ˃ˎ˖ˊˈˌ ː˃˖ˍˋǡ ˕ˈ˘ː˪ˍˋǡ ˕ˈ˘ːˑˎˑˆ˪˫ǡ 
˕˅ˑ˓˚ˋ˘ˆ˃ˎ˖ˊˈˌǤ 
ʟˈˊ˖ˎ˟˕˃˕˅ˋˍˑː˃ːˋ˘˒˓ˑˈˍ˕˪˅ˏ˃˦˄˖˕ˋǼ˅˪ˇ˚˖˕ːˋˏǽǡ˕ˑ˄˕ˑǡ 
ˢˍ˜ˑ˙ˈ˕ˈˑ˓ˈ˕ˋ˚ː˃˒˓ˑ˄ˎˈˏ˃ǡ˔ˎ˪ˇˊ˃˒˓ˑ˒ˑː˖˅˃˕ˋˍˑːˍ˓ˈ˕ːˈ˫˫ 
˅ˋ˓˪˛ˈːːˢǡ ˢˍ˜ˑ ˒˓˃ˍ˕ˋ˚ː˃Ȅ ˍˑːˍ˓ˈ˕ːˋˌ ˓ˈˊ˖ˎ˟˕˃˕ǡ ˆˑ˕ˑ˅ˋˌ 
ˇˑ˅˒˓ˑ˅˃ˇˉˈːːˢǤ 
ʟˑˎ˟ ˒ˈˇ˃ˆˑˆ˃ ˅ ˒˓ˑˈˍ˕ːˑˏ˖ ː˃˅˚˃ːː˪ ˔˖˕˕˦˅ˑ ˊˏ˪ːˡ˦˕˟˔ˢǤ 
ʖ˓ˈ˕˓˃ː˔ˎˢ˕ˑ˓˃ˊː˃ː˟˅˪ː˒ˈ˓ˈ˕˅ˑ˓ˡ˦˕˟˔ˢː˃˒˃˓˕ːˈ˓˃˕˃ˏ˖ˇ˓ˑˆˑ 
ː˃˔˕˃˅ːˋˍ˃ˇ˪˕ˈˌǤʞ˓ˑˈˍ˕ǡˢˍˋˌ˓ˈ˃ˎ˪ˊ˖ˡ˕˟˖˚ː˪ǡ˅ˋˍˎˋˍ˃˦˅ːˋ˘ 
ˈː˕˖ˊ˪˃ˊˏǡˊ˃˘ˑ˒ˎˡ˦ǡ˪ˇˈ˅˪ˇ˔ˈ˓˙ˢǤʐ˖ˇ˟Ǧˢˍ˖ˇ˪ˡǡ˜ˑ˅ˋˍˑː˖˦˕˟˔ˢ 
˪ːˇˋ˅˪ˇ˖˃ˎ˟ːˑǡ˖ˆ˓˖˒˪ǡˊ˃˒˪ˇ˕˓ˋˏˍˋ˒ˈˇ˃ˆˑˆ˃˃˄ˑ˪ː˛ˋ˘ˎˡˇˈˌǡ 
ˇ˪˕ˋ˅˚˃˕˟˔ˢ˔˃ˏˑ˔˕˪ˌːˑ˒ˎ˃ː˖˅˃˕ˋǡ˅ˋˍˑː˖˅˃˕ˋǡ˃ː˃ˎ˪ˊ˖˅˃˕ˋˌˑ˙˪Ǧ 
ːˡ˅˃˕ˋǤʖ˅˪˔ːˑǡ˅ˑːˋˏ˃ˡ˕˟˚˪˕ˍˑ˓ˑˊ˖ˏ˪˕ˋǡˇˎˢ˚ˑˆˑ˙ˈ˓ˑ˄ˎˢ˕˟ǡ 
˕ˑ˄˕ˑˏˈ˕˖˒˓ˑˈˍ˕˖Ǥ 
ʛˈ˕ˑˇ˒˓ˑˈˍ˕˪˅ǡˊ˃˅ˋˊː˃˚ˈːːˢˏǼʢˍ˓˃˫ː˔˟ˍˑˆˑ˒ˈˇ˃ˆˑˆ˪˚ːˑˆˑ 
˔ˎˑ˅ːˋˍ˃ǽǡȄ ˙ˈ ˑ˓ˆ˃ː˪ˊ˃˙˪ˢ ː˃˅˚˃ːːˢǡ ˊ˃ ˢˍˑ˫ ˖˚ː˪ ː˃˄˖˅˃ˡ˕˟ 
ˊː˃ː˟˪ː˃˅ˋ˚ˑˍ˖˒˓ˑ˙ˈ˔˪˒ˎ˃ː˖˅˃ːːˢˌ˅ˋˍˑː˃ːːˢ˒˓˃ˍ˕ˋ˚ːˋ˘ 
ˊ˃˅ˇ˃ː˟Ȅ˒˓ˑˈˍ˕˪˅ǡˢˍ˪˒ˑ˔˕˖˒ˑ˅ˑ˖˔ˍˎ˃ˇːˡˡ˕˟˔ˢǤͳ 
1 Гончаренко, С. Український педагогічний словник. — К., 1997. — С. 205. 
ШБІЦ № 2/2014 49
Бібліотечна робота Інформаційна культура 
ʞ˓˃ˍ˕ˋˍ˃ ˓ˈ˃ˎ˪ˊ˃˙˪˫ ˅ ˊ˃ˆ˃ˎ˟ːˑˑ˔˅˪˕ː˪ˌ ˛ˍˑˎ˪ ˖˔˒˪˛ːˋ˘ ː˃Ǧ 
˅˚˃ˎ˟ːˋ˘ ˪ ˔ˑ˙˪˃ˎ˟ːˋ˘ ˒˓ˑˈˍ˕˪˅ ˇ˃˦ ˒˪ˇ˔˕˃˅ˋ ˔˕˅ˈ˓ˇˉ˖˅˃˕ˋǡ ˜ˑ 
˔˃ˏˈˏˈ˕ˑˇ˕˅ˑ˓˚ˋ˘˖˚ː˪˅˔˟ˍˋ˘˒˓ˑˈˍ˕˪˅ˊ˃˄ˈˊ˒ˈ˚˖˦˗ˑ˓ˏ˖˅˃ːːˢ 
ː˃˅ˋ˚ˑˍˏˋ˔ˎˈːːˢ˅ˋ˔ˑˍˑˆˑ˓˪˅ːˢǡˊ˄˖ˇˉ˖˦˒˪ˊː˃˅˃ˎ˟ː˪˪ː˕ˈ˓ˈ˔ˋ 
˖˚ː˪˅ǡ˔˒ˑː˖ˍ˃˦ˇˑˊ˃˔˕ˑ˔˖˅˃ːːˢː˃˄˖˕ˋ˘ˊː˃ː˟ǡ˖ˏ˪ː˟˪ː˃˅ˋ˚ˑˍ 
˖˅ˋ˓˪˛ˈːː˪˒˓˃ˍ˕ˋ˚ːˋ˘ˊ˃˅ˇ˃ː˟ǡ˜ˑ˅ˋːˋˍ˃ˡ˕˟˒˪ˇ˚˃˔ː˃˅˚˃ːːˢ 
˕˃˅˒ˑ˅˔ˢˍˇˈːː˪ˌ˒˓˃ˍ˕ˋ˙˪Ǥ 
ʓˈ˕˃ˎ˟ː˪˛ˈ ˒˓ˑ ː˃˅˚˃ˎ˟ː˪ ˒˓ˑˈˍ˕ˋ ˚ˋ˕˃ˌ˕ˈ ˅ ː˃˅ˈˇˈː˪ˌ 
ː˃ ˍˑˏ˒˃ˍ˕Ǧˇˋ˔ˍ˖ ˒˓ˈˊˈː˕˃˙˪˫ Ǽʜ˃˅˚˃ˎ˟ː˪ ˒˓ˑˈˍ˕ˋǤ ʨˑ ˏˑˉˈ 
˄˖˕ˋ˙˪ˍ˃˅˪˛ˈǫǽ 
Навчальний проект у бібліотечній практиці 
ʠ˟ˑˆˑˇː˪˅˔ˈ˄˪ˎ˟˛ˈ˄˪˄ˎ˪ˑ˕ˈˍ˃˓˪˅ǡˑ˄ˋ˓˃ˡ˚ˋˊ˃˔ˑ˄ˋ˓ˈ˃ˎ˪ˊ˃˙˪˫ 
˔˅ˑ˫˘ ˗˖ːˍ˙˪ˌǡ ˊˑˍ˓ˈˏ˃ ˑ˔˅˪˕ː˟ˑ˫ ˕˃ ˅ˋ˘ˑ˅ːˑ˫ǡ ː˃ˇ˃ˡ˕˟ ˒ˈ˓ˈ˅˃ˆ˖ 
˄˪˄ˎ˪ˑ˕ˈ˚ːˑˏ˖˒˓ˑˈˍ˕˖˅˃ːːˡǤʠ˅˪ˇ˚ˈːːˢ˕ˑˆˑȄ˚ˋ˔ˎˈːː˪˒˖˄ˎ˪Ǧ 
ˍ˃˙˪˫˗˃˘ˑ˅ˋ˘˒ˈ˓˪ˑˇˋ˚ːˋ˘˅ˋˇ˃ː˟Ǥʞ˓ˑˈˍ˕ˋǡ˓ˑˊ˓ˑ˄ˎˈː˪ˌ˖˔˒˪˛ːˑ 
˓ˈ˃ˎ˪ˊˑ˅˃ː˪˄˪˄ˎ˪ˑ˕ˈ˚ːˋˏˋ˒˓˃˙˪˅ːˋˍ˃ˏˋǡˑ˘ˑ˒ˎˡˡ˕˟˓˪ˊː˪ː˃˒˓ˢǦ 
ˏˋ ˄˪˄ˎ˪ˑ˕ˈ˚ːˑ˫ ˇ˪ˢˎ˟ːˑ˔˕˪ǣ ˅˪ˇ ˖˒˓˃˅ˎ˪ːːˢ ˇˑ ˑˍ˓ˈˏˋ˘ ˃˔˒ˈˍ˕˪˅ 
˄˪˄ˎ˪ˑ˕ˈ˚ːˑˆˑˑ˄˔ˎ˖ˆˑ˅˖˅˃ːːˢǤʞ˓˃˙ˡˡ˚ˋ˅˔˒ˈ˙ˋ˗˪˚ːˋ˘˖ˏˑ˅˃˘ǡ 
ː˃ˎ˃ˆˑˇˉ˖ˡ˚ˋ˒˃˓˕ːˈ˓˔˟ˍ˖˅ˊ˃˦ˏˑˇ˪ˡˊ˖˔˪ˏ˃˖˚˃˔ːˋˍ˃ˏˋˑ˔˅˪˕Ǧ 
ː˟ˑˆˑ ˒˓ˑ˙ˈ˔˖ǡ ˛ˍ˪ˎ˟ː˪ ˄˪˄ˎ˪ˑ˕ˈˍˋ ˏ˃ˡ˕˟ ˖ː˪ˍ˃ˎ˟ː˪ ˏˑˉˎˋ˅ˑ˔˕˪ 
ˇˎˢ ˓ˈ˃ˎ˪ˊ˃˙˪˫ ˔ˑ˙˪˃ˎ˟ːˋ˘ǡ ˅ˋ˘ˑ˅ːˋ˘ ˪ ː˃˅˚˃ˎ˟ːˋ˘ ˒˓ˑˈˍ˕˪˅Ǥ ʓˎˢ 
˅ˋˍˑː˃ːːˢˍˑˉːˑˆˑːˑ˅ˑˆˑ˒˓ˑˈˍ˕˖ȋˊ˃ˇ˖ˏ˃ːˑˆˑ˔˃ˏˑˡˇˋ˕ˋːˑˡǡ 
ˆ˓˖˒ˑˡǡˍˎ˃˔ˑˏǡ˔˃ˏˑ˔˕˪ˌːˑ˃˄ˑˊ˃˖˚˃˔˕ˡ˄˪˄ˎ˪ˑ˕ˈˍ˃˓ˢȌ˅ˋ˓˪˛˖Ǧ 
ˡ˕˟˔ˢˍ˪ˎ˟ˍ˃˙˪ˍ˃˅ˋ˘ǡˍˑ˓ˋ˔ːˋ˘˪˒ˑ˅ǯˢˊ˃ːˋ˘˪ˊ˓ˈ˃ˎ˟ːˋˏˉˋ˕˕ˢˏ 
ˊ˃˅ˇ˃ː˟Ǥʨˑ˄ˇˑˏˑˆ˕ˋ˔ˢ˖˔˒˪˘˖ǡˇ˪˕ˢˏ˜ˑ˓˃ˊ˖ˇˑ˅ˑˇˋ˕˟˔ˢˇˑ˄˖˅˃˕ˋ 
ːˈˑ˄˘˪ˇː˪ˊː˃ːːˢ˕˃ˊ˫˘ˇˑ˒ˑˏˑˆˑˡ˅ˋˍˑː˖˅˃˕ˋˍˑːˍ˓ˈ˕ː˖˓ˑ˄ˑ˕˖Ǥ 
ʶˇˈ˃ˎ˟ːˋˌ˒˓ˑˈˍ˕˕ˑˌǡˇˎˢ˓ˈ˃ˎ˪ˊ˃˙˪˫ˢˍˑˆˑːˈˑ˄˘˪ˇː˪ˊː˃ːːˢˊ˓˪ˊǦ 
ːˋ˘ˆ˃ˎ˖ˊˈˌǡ˜ˑˇ˃ˡ˕˟ˊˏˑˆ˖˓ˑˊ˅ǯˢˊ˃˕ˋ˙˪ˎˋˌˍˑˏ˒ˎˈˍ˔˒˓ˑ˄ˎˈˏǤ 
ʞ˓ˋˍˎ˃ˇ˪˅˕˃ˍˋ˘˒˓ˑˈˍ˕˪˅ˏˑˉː˃ː˃˅ˈ˔˕ˋ˚ˋˏ˃ˎˑǤ 
ʢˉˈ˄˃ˆ˃˕ˑ˓ˑˍ˪˅˒ˑ˔˒˪ˎ˟ʠˎ˃˅˖˕ˋ˙˟ˍˋˌˏ˪˔˟ˍˋˌˏˈ˕ˑˇˋ˚ːˋˌ 
˙ˈː˕˓˅˪ˇˇ˪ˎ˖ˑ˔˅˪˕ˋȋʙˋ˫˅˔˟ˍ˃ˑ˄ˎǤȌ˒˓ˑ˅ˑˇˋ˕˟ˏ˪˔˟ˍˋˌˑˆˎˢˇǦˍˑːǦ 
ˍ˖˓˔˪ːˇˋ˅˪ˇ˖˃ˎ˟ːˋ˘˪ˍˑˎˈˍ˕ˋ˅ːˋ˘˕˅ˑ˓˚ˋ˘˒˓ˑˈˍ˕˪˅Ǽʐ˪˄ˎ˪ˑ˕ˈˍ˃ 
ʤʤʶ˔˕ˑˎ˪˕˕ˢǽ˅˓˃ˏˍ˃˘ʑ˔ˈ˖ˍ˓˃˫ː˔˟ˍˑ˫˃ˍ˙˪˫Ǽʕˋ˅ˋǡˍːˋˆˑǨǽǤ2ʏˍ˕ˋ˅Ǧ 
ːˋˏˋ˖˚˃˔ːˋˍ˃ˏˋ˙˟ˑˆˑˊˏ˃ˆ˃ːːˢ˦ːˈˎˋ˛ˈ˛ˍ˪ˎ˟ː˪˄˪˄ˎ˪ˑ˕ˈˍ˃˓˪ǡ 
˃ˌ˄˃ˆ˃˕ˑ˕˅ˑ˓˚ˋ˘˒ˈˇ˃ˆˑˆ˪˅Ǥʏ˒ˈ˓ˈˏˑˉ˙ˢˏˋˊ˃ˊ˅ˋ˚˃ˌ˔˕˃ˡ˕˟˕˪ 
ˊːˋ˘ǡˍˑˏ˖˅ˇ˃ˎˑ˔ˢː˃ˇˋ˘ː˖˕ˋˇ˪˕ˈˌȋ˃˪ːˍˑˎˋǡː˃˅˪˕˟˪˫˘˄˃˕˟ˍ˪˅Ȍ 
ː˃ ˑ˓ˋˆ˪ː˃ˎ˟ː˪ ˪ˇˈ˫ǡ ˊ˃ˎ˖˚ˋ˕ˋ ˏˑˉˎˋ˅ˑ˔˕˪ ˕˃ ˄˃ˉ˃ːːˢ ˍˑˉːˑˆˑ 
ˊ˃ˇˎˢˇˑ˔ˢˆːˈːːˢ˔˒˪ˎ˟ːˑ˫ǡˇ˪ˌ˔ːˑˍˑ˓ˋ˔ːˑ˫ˏˈ˕ˋǤ3 
2 Положення про міський огляд-конкурс індивідуальних і колективних творчих проектів 
«Бібліотека ХХІ» століття» в рамках Всеукраїнської акції «Живи, книго!» (http://sasl.at.ua/ 
index/0-16). 
3 Підсумки міського огляду-конкурсу творчих проектів «Бібліотека ХХІ століття» (2008 рік: 
http://sasl.at.ua/board/2-1-0-47; 2009 рік: http://sasl.at.ua/board/2-1-0-145; 2010 рік: http:// 
sasl.at.ua/news/viznacheno_peremozhciv_miskogo_ogljadu_konkursu_biblioteka_khkhi_ 
stolittja_v_ramkakh_vseukrajinskoji_akciji_zhivi_knigo/2010-05-14-49). 
ʓʓˋˋ˅˅ǤˇǤˇˑˑˇˇ˃˃˕˕ˑˑˍˍͷͷ 
50 ШБІЦ № 2/2014
Бібліотечна робота Інформаційна культура 
Навчальне проектування в курсі 
«Основи інформаційної культури» 
ʞˑ˛˕ˑ˅˘ˑˏˇˑ˅˒˓ˑ˅˃ˇˉˈːːˢ˅ˊ˃ˆ˃ˎ˟ːˑˑ˔˅˪˕ː˪˘ː˃˅˚˃ˎ˟ːˋ˘ 
ˊ˃ˍˎ˃ˇ˃˘ˏǤʠˎ˃˅˖˕ˋ˚˃˔˒ˈ˙˪˃ˎ˟ːˑˆˑˍ˖˓˔˖ˇˎˢ˗ˑ˓ˏ˖˅˃ːːˢ˪ː˗ˑ˓Ǧ 
ˏ˃˙˪ˌːˑ˫ ˆ˓˃ˏˑ˕ːˑ˔˕˪ ˛ˍˑˎˢ˓˪˅ ˔˕˃ˎˋ ˓ˈˊ˖ˎ˟˕˃˕ˋ ˏˑː˪˕ˑ˓ˋːˆ˖ǡ 
˒˓ˑ˅ˈˇˈːˑˆˑˏ˪˔˟ˍˑˡˏˈ˕ˑˇˋ˚ːˑˡ˔ˎ˖ˉ˄ˑˡǡ˜ˑˇˑ˔˗ˑ˓ˏˑ˅˃ːˑ˔˕˪ 
ː˃˅˚˃ˎ˟ːˑǦ˪ː˗ˑ˓ˏ˃˙˪ˌːˋ˘˖ˏ˪ː˟˖˚ː˪˅˖˒˓ˑ˙ˈ˔˪˅ˋ˅˚ˈːːˢːˋˏˋ 
˔˖˔˒˪ˎ˟ːˑǦˆ˖ˏ˃ː˪˕˃˓ːˋ˘ˇˋ˔˙ˋ˒ˎ˪ːȋͳͻͻͻ˓˪ˍȌǤʜ˃˕ˑˌ˚˃˔ː˃˅˚˃ˎ˟Ǧ 
ːˑ˫˒˓ˑˆ˓˃ˏˋ˕˃ˍˑˆˑˍ˖˓˔˖˅ʢˍ˓˃˫ː˪ːˈ˪˔ː˖˅˃ˎˑǤʜ˃˕ˑˏ˪˔˕˟˖ʟˑ˔˪˫ 
˅ˉˈ˅˒˓ˑ˅˃ˇˉ˖˅˃ˎˋ˔ˢˍ˖˓˔ˋˊ˪ː˗ˑ˓ˏ˃˙˪ˌːˑ˫ˍ˖ˎ˟˕˖˓ˋǡ˓ˑˊ˓ˑ˄ˎˈː˪ 
ː˃˖ˍˑ˅˙ˢˏˋ ˕˃ ˄˪˄ˎ˪ˑ˕ˈˍ˃˓ˢˏˋǦ˒˓˃ˍ˕ˋˍ˃ˏˋǤͶ ʠ˃ˏˈ ˙˪ ˒˓ˑˆ˓˃ˏˋ 
˄˖ˎˑ˅ˊˢ˕ˑˊ˃ˑ˔ːˑ˅˖˒˪ˇ˚˃˔˖ˍˎ˃ˇ˃ːːˢː˃˅˚˃ˎ˟ːˑ˫˒˓ˑˆ˓˃ˏˋˍ˖˓˔˖ 
ˊ˃˅ˋ˄ˑ˓ˑˏǼʝ˔ːˑ˅ˋ˪ː˗ˑ˓ˏ˃˙˪ˌːˑ˫ˍ˖ˎ˟˕˖˓ˋǽǡˢˍ˖˄˖ˎˑ˃˒˓ˑ˄ˑǦ 
˅˃ːˑ˔˒ˑ˚˃˕ˍ˖˅ͳͲȂͳͳǦ˘ǡˊˆˑˇˑˏȄ˖ͷǦ˘˪ͻǦ˘ˍˎ˃˔˃˘ʖʝʧʶȂʶʶʶ˔˕Ǥ 
͒Ͷǡ˃˒˪ˊː˪˛ˈ˃ˇ˃˒˕ˑ˅˃ːˑˇˎˢ˅ˋ˅˚ˈːːˢ˒ˈ˓˛ˑˍ˖˓˔ːˋˍ˃ˏˋˎ˪˙ˈˡͷǤ 
ʜ˃˅˚˃ˎ˟ːˑǦ˕ˈˏ˃˕ˋ˚ːˋˌ ˒ˎ˃ː ˍ˖˓˔˖ Ǽʝ˔ːˑ˅ˋ ˪ː˗ˑ˓ˏ˃˙˪ˌːˑ˫ 
ˍ˖ˎ˟˕˖˓ˋǽˇˎˢ˖˚ː˪˅ˎ˪˙ˈˡː˃˅ˈˇˈːˑː˃ˍˑˏ˒˃ˍ˕Ǧˇˋ˔ˍ˖ 
ʐ˃ˆ˃˕ˑ˓˪˚ː˃ ˒˓˃ˍ˕ˋˍ˃ ˅ˋˍˑ˓ˋ˔˕˃ːːˢ ˒˓ˑˈˍ˕ːˋ˘ ˕ˈ˘ːˑˎˑˆ˪ˌ 
˖˗ˑ˓ˏ˖˅˃ːː˪ˏˈˇ˪˃Ǧ˕˃˪ː˗ˑ˓ˏ˃˙˪ˌːˑ˫ˆ˓˃ˏˑ˕ːˑ˔˕˪˛ˍˑˎˢ˓˪˅˒˪ˇ˚˃˔ 
˅ˋ˅˚ˈːːˢˍ˖˓˔˖Ǽʝ˔ːˑ˅ˋ˪ː˗ˑ˓ˏ˃˙˪ˌːˑ˫ˍ˖ˎ˟˕˖˓ˋǽǡ˃˕˃ˍˑˉ˕˓ˈː˪ːǦ 
ˆˑ˅˃ˇ˪ˢˎ˟ː˪˔˕˟ˊ˃˒˓ˑˆ˓˃ˏˑˡǼ
–‡Ž̺ʜ˃˅˚˃ːːˢˇˎˢˏ˃ˌ˄˖˕ː˟ˑˆˑǽ 
ˇ˃ˡ˕˟˒˪ˇ˔˕˃˅ˋ˒ˑˇ˪ˎˋ˕ˋ˔ˢː˃˄˖˕ˋˏˇˑ˔˅˪ˇˑˏ˪ˌˑˆˑ˓ˈˊ˖ˎ˟˕˃˕˃ˏˋǤ 
ʔ˗ˈˍ˕ˋ˅ːˋˏˏˈ˕ˑˇˑˏ˖˓ˈ˃ˎ˪ˊ˃˙˪˫ˊ˃˅ˇ˃ː˟ˍ˖˓˔˖˜ˑˇˑ˗ˑ˓ˏ˖Ǧ 
˅˃ːːˢˍˎˡ˚ˑ˅ˋ˘˪ː˗ˑ˓ˏ˃˙˪ˌːˋ˘ˍˑˏ˒ˈ˕ˈː˕ːˑ˔˕ˈˌ˖˚ː˪˅˅ˋˊː˃˚ˈːˑ 
ː˃˅˚˃ˎ˟ːˈ˒˓ˑˈˍ˕˖˅˃ːːˢǡˢˍˈˊ˃˔˕ˑ˔ˑ˅˖˦˕˟˔ˢˢˍˈˎˈˏˈː˕ˑˍ˓ˈˏˑˆˑ 
ˊ˃ːˢ˕˕ˢǢ ˢˍ ˒˓ˑˈˍ˕ː˃ ˗ˑ˓ˏ˃ ˖˓ˑˍ˖Ǣ ˢˍ ˒˓ˑˈˍ˕ǡ ˓ˑˊ˓˃˘ˑ˅˃ːˋˌ ː˃ 
˅ˋ˅˚ˈːːˢˑˍ˓ˈˏˑ˫˕ˈˏˋǢˢˍ˒˓ˑˈˍ˕ǡ˔˃ˏˑ˔˕˪ˌːˑ˓ˑˊ˓ˑ˄ˎˈːˋˌ˪˅ˋǦ 
ˍˑː˃ːˋˌ˖˚ːˢˏˋǤ 
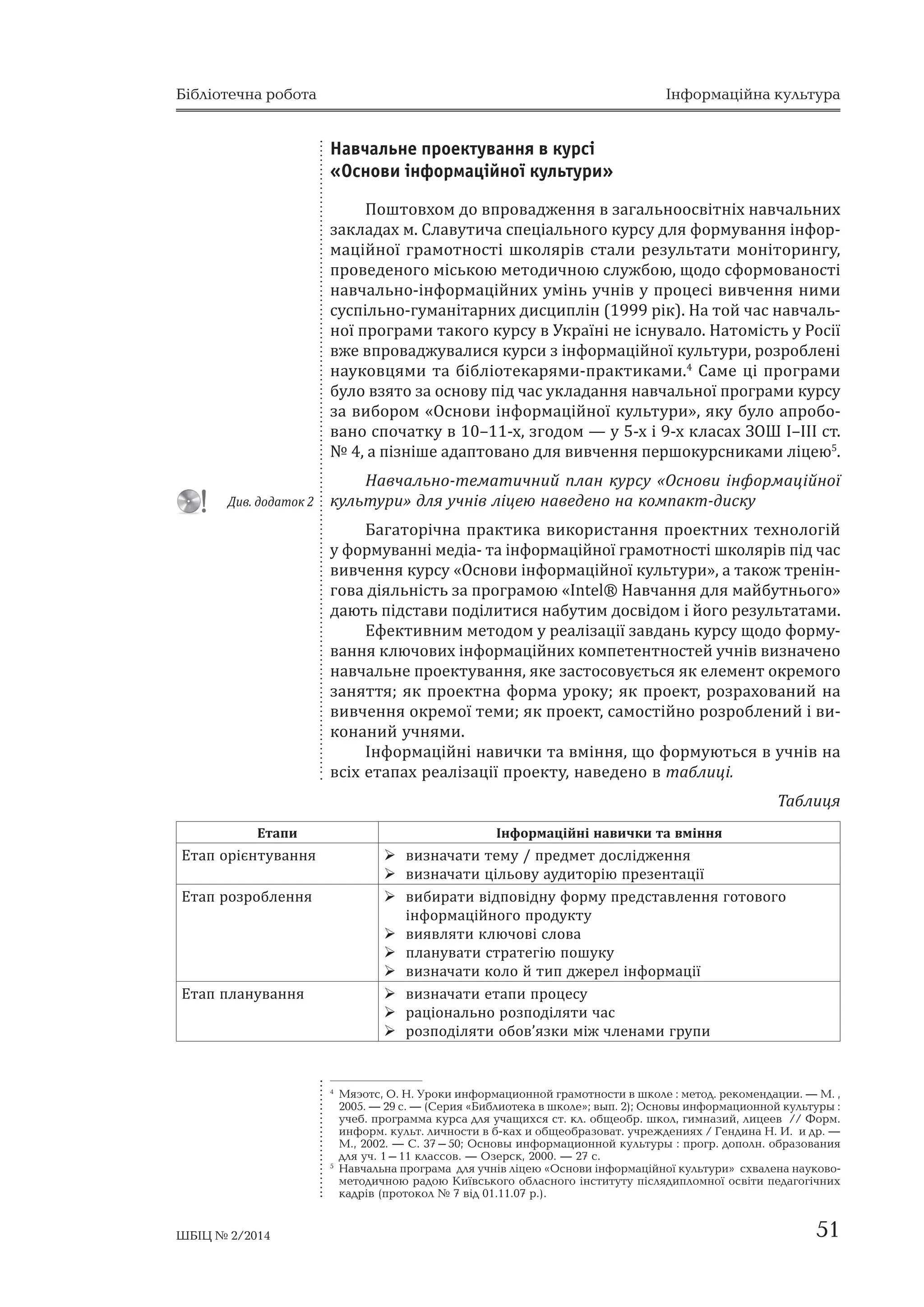
ʶː˗ˑ˓ˏ˃˙˪ˌː˪ː˃˅ˋ˚ˍˋ˕˃˅ˏ˪ːːˢǡ˜ˑ˗ˑ˓ˏ˖ˡ˕˟˔ˢ˅˖˚ː˪˅ː˃ 
˅˔˪˘ˈ˕˃˒˃˘˓ˈ˃ˎ˪ˊ˃˙˪˫˒˓ˑˈˍ˕˖ǡː˃˅ˈˇˈːˑ˅˕˃˄ˎˋ˙˪Ǥ 
ʡ˃˄ˎˋ˙ˢ 
ʓʓˋˋ˅˅ǤˇǤˇˑˑˇˇ˃˃˕˕ˑˑˍˍͷ͸ 
ʔ˕˃˒ˋ ʶː˗ˑ˓ˏ˃˙˪ˌː˪ː˃˅ˋ˚ˍˋ˕˃˅ˏ˪ːːˢ 
ʔ˕˃˒ˑ˓˪˦ː˕˖˅˃ːːˢ ¾ ˅ˋˊː˃˚˃˕ˋ˕ˈˏ˖Ȁ˒˓ˈˇˏˈ˕ˇˑ˔ˎ˪ˇˉˈːːˢ 
¾ ˅ˋˊː˃˚˃˕ˋ˙˪ˎ˟ˑ˅˖˃˖ˇˋ˕ˑ˓˪ˡ˒˓ˈˊˈː˕˃˙˪˫ 
ʔ˕˃˒˓ˑˊ˓ˑ˄ˎˈːːˢ ¾ ˅ˋ˄ˋ˓˃˕ˋ˅˪ˇ˒ˑ˅˪ˇː˖˗ˑ˓ˏ˖˒˓ˈˇ˔˕˃˅ˎˈːːˢˆˑ˕ˑ˅ˑˆˑ 
˪ː˗ˑ˓ˏ˃˙˪ˌːˑˆˑ˒˓ˑˇ˖ˍ˕˖ 
¾ ˅ˋˢ˅ˎˢ˕ˋˍˎˡ˚ˑ˅˪˔ˎˑ˅˃ 
¾ ˒ˎ˃ː˖˅˃˕ˋ˔˕˓˃˕ˈˆ˪ˡ˒ˑ˛˖ˍ˖ 
¾ ˅ˋˊː˃˚˃˕ˋˍˑˎˑˌ˕ˋ˒ˇˉˈ˓ˈˎ˪ː˗ˑ˓ˏ˃˙˪˫ 
ʔ˕˃˒˒ˎ˃ː˖˅˃ːːˢ ¾ ˅ˋˊː˃˚˃˕ˋˈ˕˃˒ˋ˒˓ˑ˙ˈ˔˖ 
¾ ˓˃˙˪ˑː˃ˎ˟ːˑ˓ˑˊ˒ˑˇ˪ˎˢ˕ˋ˚˃˔ 
¾ ˓ˑˊ˒ˑˇ˪ˎˢ˕ˋˑ˄ˑ˅ǯˢˊˍˋˏ˪ˉ˚ˎˈː˃ˏˋˆ˓˖˒ˋ 
4 Мяэотс, О. Н. Уроки информационной грамотности в школе : метод. рекомендации. — М. , 
2005. — 29 с. — (Серия «Библиотека в школе»; вып. 2); Основы информационной культуры : 
учеб. программа курса для учащихся ст. кл. общеобр. школ, гимназий, лицеев // Форм. 
информ. культ. личности в б-ках и общеобразоват. учреждениях / Гендина Н. И. и др. — 
М., 2002. — С. 37–50; Основы информационной культуры : прогр. дополн. образования 
для уч. 1–11 классов. — Озерск, 2000. — 27 с. 
5 Навчальна програма для учнів ліцею «Основи інформаційної культури» схвалена науково- 
методичною радою Київського обласного інституту післядипломної освіти педагогічних 
кадрів (протокол № 7 від 01.11.07 р.). 
ШБІЦ № 2/2014 51
Бібліотечна робота Інформаційна культура 
ʖ˃ˍ˪ː˚ˈːːˢ˕˃˄ˎˋ˙˪ 
ʔ˕˃˒ˋ ʶː˗ˑ˓ˏ˃˙˪ˌː˪ː˃˅ˋ˚ˍˋ˕˃˅ˏ˪ːːˢ 
ʔ˕˃˒˓ˈ˃ˎ˪ˊ˃˙˪˫ ¾ ˊː˃˘ˑˇˋ˕ˋ˓ˈ˔˖˓˔ˋ˅˪ˇ˒ˑ˅˪ˇːˑˇˑˑ˄˓˃ːˑ˫˕ˈˏˋ 
¾ ˅ˋˢ˅ˎˢ˕ˋ˪ː˗ˑ˓ˏ˃˙˪ˡˊ˕ˈˏˋ 
¾ ˒˓ˑ˅ˑˇˋ˕ˋˑ˒ˋ˕˖˅˃ːːˢǡ˄˓˃˕ˋ˖˚˃˔˕˟˖ˇˑ˔ˎ˪ˇːˋ˙˟ˍˋ˘ 
ˈˍ˔ˍ˖˓˔˪ˢ˘ǡˊˇ˪ˌ˔ːˡ˅˃˕ˋ˪ː˛˪ˊˑ˅ː˪˛ː˪ˇˑ˔ˎ˪ˇˉˈːːˢ 
ʖ˄ˋ˓˃ːːˢ˪ː˗ˑ˓ˏ˃˙˪˫ ¾ ˅ˋ˄ˋ˓˃˕ˋ˓ˈˎˈ˅˃ː˕ː˖ȋ˜ˑ˅˪ˇ˒ˑ˅˪ˇ˃˦ˊ˃˒ˋ˕˖Ȍ˪ː˗ˑ˓ˏ˃˙˪ˡ 
¾ ˅ˋˊː˃˚˃˕ˋ˓˪˅ˈː˟˅˃ˉˎˋ˅ˑ˔˕˪ˇˉˈ˓ˈˎ˪ː˗ˑ˓ˏ˃˙˪˫ȋː˃ˇ˕ˑ 
˒˓ˑ˔˕˪ǡː˃ˇ˕ˑ˔ˍˎ˃ˇː˪˃˄ˑː˃ˌ˄˪ˎ˟˛˅ˇ˃ˎ˪Ȍ 
¾ ˔ˑ˓˕˖˅˃˕ˋ˪ː˗ˑ˓ˏ˃˙˪ˡ 
¾ ˓ˑˊ˒˪ˊː˃˅˃˕ˋ˗˃ˍ˕ˋǡ˓ˑˊˇ˖ˏˋ˕˃˅ˋˏˋ˔ˈˎ 
ʠ˕˅ˑ˓ˈːːˢ˅ˎ˃˔ːˑˆˑ 
˪ː˗ˑ˓ˏ˃˙˪ˌːˑˆˑ˒˓ˑˇ˖ˍ˕˖ 
¾ ˊˆˑ˓˕˃˕ˋ˪ː˗ˑ˓ˏ˃˙˪ˡ˛ˎˢ˘ˑˏ˅ˈˇˈːːˢˊ˃˒ˋ˔˪˅ǡˍˑː˔˒ˈˍ˕˪˅ǡ 
˅ˋ˒ˋ˔ˑˍ˃˄ˑˊ˃ˇˑ˒ˑˏˑˆˑˡː˃ˑ˚ːˋ˘˗ˑ˓ˏǣ˔˘ˈˏǡˆ˓˃˗˪ˍ˪˅ǡ 
ˈ˔ˍ˪ˊ˪˅˕ˑ˜ˑ 
¾ ˓ˑˊ˕˃˛ˑ˅˖˅˃˕ˋˇ˃ː˪˅ˎˑˆ˪˚ːˑˏ˖˒ˑ˓ˢˇˍ˖ 
¾ ˍ˓ˋ˕ˋ˚ːˑ˒ˈ˓ˈˑ˔ˏˋ˔ˎˡ˅˃˕ˋˑˇˈ˓ˉ˃ː˖˪ː˗ˑ˓ˏ˃˙˪ˡǡ 
˅ˋˍˎ˃ˇ˃˕ˋ˫˫˔˅ˑ˫ˏˋ˔ˎˑ˅˃ˏˋ 
¾ ˓ˈˇ˃ˆ˖˅˃˕ˋ˕ˈˍ˔˕ˋ 
¾ ˆ˓˃ˏˑ˕ːˑˑ˗ˑ˓ˏˎˢ˕ˋ˪ː˗ˑ˓ˏ˃˙˪ˌːˋˌ˒˓ˑˇ˖ˍ˕ 
ʔ˕˃˒˒˓ˈˊˈː˕˃˙˪˫˓ˈˊ˖ˎ˟Ǧ 
˕˃˕˪˅˒˓ˑˈˍ˕˖ 
¾ ˆˑ˕˖˅˃˕ˋ˔ˢˇˑ˃ˍ˕ˋ˅ːˑ˫˒˓ˈˊˈː˕˃˙˪˫˓ˈˊ˖ˎ˟˕˃˕˪˅˓ˑ˄ˑ˕ˋ 
¾ ˅ˋˍˎ˃ˇ˃˕ˋ˪ː˗ˑ˓ˏ˃˙˪ˡ˒ˈ˓ˈˇ˛ˋ˓ˑˍˋˏˊ˃ˆ˃ˎˑˏǡ˅˪ˇˑ˄˓˃Ǧ 
ˉ˃˕ˋ˪ː˗ˑ˓ˏ˃˙˪ˡ˖˗ˑ˓ˏ˃˕˪ǡˇˑ˔˕˖˒ːˑˏ˖ˇˎˢ˃˖ˇˋ˕ˑ˓˪˫Ǣ 
ˇˑ˙˪ˎ˟ːˑ˅ˋˍˑ˓ˋ˔˕ˑ˅˖˅˃˕ˋ˕ˈ˘ː˪ˍ˖ 
ʔ˕˃˒ˑ˙˪ːˡ˅˃ːːˢ˒˓ˑˈˍ˕˖ ¾ ˔˒˓ˋˌˏ˃˕ˋˊ˅ˑ˓ˑ˕ːˋˌˊ˅ǯˢˊˑˍ˅˪ˇ˪ː˛ˋ˘ȋ˖˚ː˪˅ǡ˖˚ˋ˕ˈǦ 
ˎ˪˅ǡ˄˪˄ˎ˪ˑ˕ˈˍ˃˓˪˅Ȍ 
¾ ˔˃ˏˑ˔˕˪ˌːˑ˃ː˃ˎ˪ˊ˖˅˃˕ˋ˕˃ˑ˙˪ːˡ˅˃˕ˋ˓ˈˊ˖ˎ˟˕˃˕ˋ 
˔˅ˑ˦˫ˇ˪ˢˎ˟ːˑ˔˕˪ 
¾ ˓ˑ˄ˋ˕ˋ˅ˋ˔ːˑ˅ˍˋǡ˒ˑ˓˪˅ːˡ˅˃˕ˋǡ˖ˊ˃ˆ˃ˎ˟ːˡ˅˃˕ˋ 
ʔ˕˃˒˅ˋˍˑ˓ˋ˔˕˃ːːˢ 
˓ˈˊ˖ˎ˟˕˃˕˪˅˓ˑ˄ˑ˕ˋ 
ː˃ˇ˒˓ˑˈˍ˕ˑˏ 
¾ ˃ː˃ˎ˪ˊ˖˅˃˕ˋˊ˅ˑ˓ˑ˕ːˋˌˊ˅ǯˢˊˑˍ˪ˑ˙˪ːˍˋ 
¾ ˅ˋˍˑ˓ˋ˔˕ˑ˅˖˅˃˕ˋˇ˃ː˪ˑ˙˪ːˡ˅˃ːːˢˇˎˢː˃˔˕˖˒ːˑ˫˓ˑ˄ˑ˕ˋ 
¾ ˊ˃˔˕ˑ˔ˑ˅˖˅˃˕ˋː˃˄˖˕˪ˊː˃ːːˢ˅˓˪ˊːˑˏ˃ː˪˕ːˋ˘ 
ːˑ˅ˋ˘˔ˋ˕˖˃˙˪ˢ˘ 
¾ ˅ˋˊː˃˚˃˕ˋˍˑˎˑ˪ː˛ˋ˘ː˃˅˚˃ˎ˟ːˋ˘˒˓ˈˇˏˈ˕˪˅ǡˇˈˏˑˉː˃ 
˅ˋˍˑ˓ˋ˔˕˃˕ˋː˃˄˖˕˪ː˃˅ˋ˚ˍˋ 
¾ ˒ˑˏ˪˔˕ˋ˕ˋ˪ː˗ˑ˓ˏ˃˙˪ˌːˋˌ˒˓ˑˇ˖ˍ˕˖˒ˑ˓˕˗ˈˎ˟ˑ˔ˑ˄ˋ˔˕ˋ˘ 
ˇˑ˔ˢˆːˈː˟ȋ˒ˑ˓˕˗ˑˎ˪ˑȌ 
На шляху до власного проекту 
ʝ˔˅˪˕ː˪ˊ˃˅ˇ˃ːːˢ˒˓ˑˈˍ˕ːˑ˫˕ˈ˘ːˑˎˑˆ˪˫Ȅ˒˓ˑ˄˖ˇˋ˕ˋ˅˖˚ː˪˅ 
˪ː˕ˈ˓ˈ˔ˇˑ˒ˑ˛˖ˍˑ˅ˑ˫˓ˑ˄ˑ˕ˋǡ˔˕˅ˑ˓ˋ˕ˋˇˎˢ˙˟ˑˆˑ˕˃ˍ˪˒˔ˋ˘ˑˎˑˆ˪˚ː˪ 
˕˃ˇˋˇ˃ˍ˕ˋ˚ː˪˖ˏˑ˅ˋǡˢˍ˪˄˔˒˓ˋˢˎˋ˗ˑ˓ˏ˖˅˃ːːˡ˪ː˗ˑ˓ˏ˃˙˪ˌːˑ˫ 
ˍ˖ˎ˟˕˖˓ˋ˛ˍˑˎˢ˓˪˅Ȅ˓ˑˊ˅ˋ˕ˍ˖˅ˏ˪ː˟˪ː˃˅ˋ˚ˑˍǡːˈˑ˄˘˪ˇːˋ˘ˇˎˢ 
˅ˋˍˑː˃ːːˢːˈ˔˕˃ːˇ˃˓˕ːˋ˘ˊ˃˅ˇ˃ː˟Ǣː˃˅˚ˋ˕ˋ˔˃ˏˑ˔˕˪ˌːˑˇˑ˔ˎ˪ˇˉ˖Ǧ 
˅˃˕ˋ ˍˑːˍ˓ˈ˕ː˖ ː˃˖ˍˑ˅˖ ˒˓ˑ˄ˎˈˏ˖ǡ ˖ ˓ˈˊ˖ˎ˟˕˃˕˪ ˚ˑˆˑ ˖˚ˈː˟ ˏ˃˦ 
ˑ˕˓ˋˏ˃˕ˋ ːˑ˅˖ ˪ː˗ˑ˓ˏ˃˙˪ˡǤ ʑˋˍˑ˓ˋ˔˕˃ːːˢ ˏˈ˕ˑˇ˖ ˒˓ˑˈˍ˕˪˅ ˒˪ˇ 
˚˃˔ˏˑˇˈˎˡ˅˃ːːˢ˄˪˄ˎ˪ˑ˕ˈ˚ːˋ˘ˊ˃ːˢ˕˟ˇˈ˕˃ˎ˟ːˑˑ˒ˋ˔˃ːˑ˅˔˕˃˕˕˪ 
ʑǤʐǤ ʏː˕ˋ˒ˑ˅ˑ˫ Ǽʜˈ˕˓˃ˇˋ˙˪ˌː˪ ˏˑˇˈˎ˪ ˒˓ˑ˅ˈˇˈːːˢ ˄˪˄ˎ˪ˑ˕ˈ˚ːˋ˘ 
˖˓ˑˍ˪˅ǽǤ͸ ʟˈˊ˖ˎ˟˕˃˕ˑˏ ˖˒˓ˑ˅˃ˇˉˈːːˢ ˕˃ˍˋ˘ ˏˑˇˈˎˈˌ ˏ˃˦ ˔˕˃˕ˋ 
6 Антипова, В. Б. Нетрадиционные модели проведения библиотечных уроков // Школьная 
библиотека. — 2006. — № 4. — С. 32–39. — Режим доступу: http://schoollibrary.ioso.ru/ 
index.php?news_id=496. — Назва з екрана. — Дата звернення 29.01.2014. 
52 ШБІЦ № 2/2014
Бібліотечна робота Інформаційна культура 
ːˈˎˋ˛ˈ˗ˑ˓ˏ˖˅˃ːːˢː˃˅ˋ˚ˑˍ˪ː˗ˑ˓ˏ˃˙˪ˌːˑǦ˒ˑ˛˖ˍˑ˅ˑ˫ˇ˪ˢˎ˟ːˑ˔˕˪ǡ 
˃ˌː˃˄˖˕˕ˢˊː˃ː˟˪ˊ˕ˈˏˋˇˑ˔ˎ˪ˇˉˈːːˢǤ 
ʓˑ ˒˓ˑˈˍ˕ːˑ˫ ˇ˪ˢˎ˟ːˑ˔˕˪ ˇ˪˕ˈˌ ˔ˎ˪ˇ ˊ˃ˎ˖˚˃˕ˋ ˒ˑˈ˕˃˒ːˑǤ ʜ˃ 
˒ˈ˓˛ˑˏ˖ ˈ˕˃˒˪Ȅ ˅ˋ˅˚ˈːːˢ ˖˚ː˪˅Ȅ ˒ˑ˕˓˪˄ːˑ ˒˓ˑ˅ˈ˔˕ˋ ˃ːˍˈ˕˖Ǧ 
˅˃ːːˢ ˊ ˏˈ˕ˑˡ ˅ˋˢ˅ˎˈːːˢ ˓˪˅ːˢ ˔˗ˑ˓ˏˑ˅˃ːˑ˔˕˪ ˅ˏ˪ː˟ ˪ ː˃˅ˋǦ 
˚ˑˍǡːˈˑ˄˘˪ˇːˋ˘ˇˎˢˊˇ˪ˌ˔ːˈːːˢ˒ˑ˛˖ˍˑ˅ˑǦˇˑ˔ˎ˪ˇːˋ˙˟ˍˑ˫˓ˑ˄ˑ˕ˋǡ 
˃˔˃ˏˈǣ˖ˏ˪ːːˢ˔˃ˏˑ˔˕˪ˌːˑˊˇˑ˄˖˅˃˕ˋ˪ː˗ˑ˓ˏ˃˙˪ˡǡ˓˪˅ˈː˟˅ˑˎˑˇ˪ːːˢ 
ˍˑˏ˒ǯˡ˕ˈ˓ːˋˏˋ˕ˈ˘ːˑˎˑˆ˪ˢˏˋˌ˕Ǥ˪ːǤ 
ʜ˃˔˕˖˒ːˋˌˈ˕˃˒Ȅ˗ˑ˓ˏ˖˅˃ːːˢː˃˅ˋ˚ˑˍ˓ˑ˄ˑ˕ˋ˅ˍˑˏ˃ːˇ˪Ǥʓˎˢ 
˙˟ˑˆˑˇ˪˕ˢˏ˔ˎ˪ˇˊ˃˒˓ˑ˒ˑː˖˅˃˕ˋːˈ˅ˈˎˋ˚ˍ˪˕˅ˑ˓˚˪ˊ˃˅ˇ˃ːːˢǡ˔˒ˑ˚˃˕ˍ˖ 
˪ːˇˋ˅˪ˇ˖˃ˎ˟ː˪ǡ˃ˇ˃ˎ˪ˌˆ˓˖˒ˑ˅˪Ǥʜ˃˒˓ˋˍˎ˃ˇǡ˅ˋ˅˚˃ˡ˚ˋ˕ˈˏ˖Ǽʚˡˇˋː˃ 
˅˪ː˗ˑ˓ˏ˃˙˪ˌːˑˏ˖˒˓ˑ˔˕ˑ˓˪ǽǡˊˑˍ˓ˈˏ˃˒ˋ˕˃ːːˢǼʞ˓˃˅ˑː˃˪ː˗ˑ˓ˏ˃Ǧ 
˙˪ˡǽǡ˖˚ː˪ˑ˕˓ˋˏ˖ˡ˕˟ˊ˃˅ˇ˃ːːˢǣˑˊː˃ˌˑˏˋ˅˛ˋ˔˟˪ˊ˅˪ˇ˒ˑ˅˪ˇːˋˏˋ 
˒ˑˎˑˉˈːːˢˏˋʙˑː˅ˈː˙˪˫ʝʝʜ˒˓ˑ˒˓˃˅˃ˇˋ˕ˋːˋǡʙˑː˔˕ˋ˕˖˙˪˫ʢˍ˓˃˫ːˋǡ 
ʖ˃ˍˑː˖ʢˍ˓˃˫ːˋǼʞ˓ˑˑ˘ˑ˓ˑː˖ˇˋ˕ˋː˔˕˅˃ǽǡ˒˓ˑ˅ˈ˔˕ˋːˈ˅ˈˎˋ˚ˍˈˇˑǦ 
˔ˎ˪ˇˉˈːːˢ˕˃ː˃˒ˋ˔˃˕ˋ˕˅˪˓Ǧ˓ˑˊˇ˖ˏǼʮˏ˃ˡ˒˓˃˅ˑː˃˪ː˗ˑ˓ˏ˃˙˪ˡǽǤ 
ʝ˔ˍ˪ˎ˟ˍˋ ˕ˈˏ˃ Ǽʶː˗ˑ˓ˏ˃˙˪ˌː˃ ˪ː˗˓˃˔˕˓˖ˍ˕˖˓˃ǽ ˇˎˢ ˇ˪˕ˈˌ 
˅ˋˢ˅ˎˢ˦˕˟˔ˢˇˈ˜ˑ˔ˍˎ˃ˇːˑˡǡ˒˓ˑ˒ˑː˖˦ˏˑ˅ˋ˅˚ˋ˕ˋ˙ˈ˒ˋ˕˃ːːˢː˃ 
˒˓ˋˍˎ˃ˇ˪˪ː˗ˑ˓ˏ˃˙˪ˌːˑ˫˪ː˗˓˃˔˕˓˖ˍ˕˖˓ˋ˔˅ˑˆˑˏ˪˔˕˃Ǥʝ˄ǯ˦ˇː˖˦ˏˑ 
˖˚ː˪˅ ˖ ˆ˓˖˒ˋ ˇˎˢ ˒˪ˇˆˑ˕ˑ˅ˍˋ ˅˪ˇ˒ˑ˅˪ˇːˋ˘ ˒ˑ˅˪ˇˑˏˎˈː˟ǣ ˒˓ˑ ˔ˋǦ 
˔˕ˈˏ˖ ˄˪˄ˎ˪ˑ˕ˈˍǢ ˒˓ˑ ˪ː˗ˑ˓ˏ˃˙˪ˌː˪ ˔ˎ˖ˉ˄ˋǡ ˃˓˘˪˅ˋǡ ˏ˖ˊˈ˫Ǣ ˒˓ˑ 
˒ˑˎ˪ˆ˓˃˗˪˚ː˪ ˖˔˕˃ːˑ˅ˋǢ ˒˓ˑ ˓ˈˇ˃ˍ˙˪˫ ˊ˃˔ˑ˄˪˅ ˏ˃˔ˑ˅ˑ˫ ˪ː˗ˑ˓ˏ˃˙˪˫Ǥ 
ʖ˅˪˕ˋ˒˓ˑ˅ˋˍˑː˃ː˖˓ˑ˄ˑ˕˖ˊ˃˔ˎ˖˘ˑ˅˖˦ˏˑː˃ː˃˔˕˖˒ːˑˏ˖ˊ˃ːˢ˕˕˪Ǥ 
ʡ˃ˍˋˏ˚ˋːˑˏ˖ˇ˪˕ˈˌ˗ˑ˓ˏ˖˦˕˟˔ˢˊ˃ˆ˃ˎ˟ːˈ˖ˢ˅ˎˈːːˢ˒˓ˑ˔ˍˎ˃ˇˑ˅˪ 
˪ː˗ˑ˓ˏ˃˙˪ˌːˋ˘˓ˈ˔˖˓˔˪˅ˍ˓˃˫ːˋǤ 
ʓ˃ˎ˪˅˪ˇ˒˓˃˙˟ˑ˅˖˦ˏˑˊ˖˚ːˢˏˋ˃ˎˆˑ˓ˋ˕ˏ˓ˑ˄ˑ˕ˋː˃ˇ˒˓ˑˈˍ˕ˑˏ 
ː˃ˏ˃˕ˈ˓˪˃ˎ˪ˑˇː˪˦˫ː˃˅˚˃ˎ˟ːˑ˫˕ˈˏˋǤʞ˓ˋˏ˪˓ˑˏǡ˒˪ˇ˚˃˔˅ˋ˅˚ˈːːˢ 
˕ˈˏˋǼʞˈ˓˪ˑˇˋ˚ː˪˅ˋˇ˃ːːˢȄˇˉˈ˓ˈˎˑˑ˒ˈ˓˃˕ˋ˅ːˑ˫˪ː˗ˑ˓ˏ˃˙˪˫ǽː˃ 
˒ˈ˓˛ˑˏ˖ˊ˃ːˢ˕˕˪ˇ˪˕ˋˑ˕˓ˋˏ˖ˡ˕˟ˊː˃ːːˢ˒˓ˑ˒ˈ˓˪ˑˇˋ˚ː˪˅ˋˇ˃ːːˢǡ 
˫˘˅ˋˇˑ˅˖˔˕˓˖ˍ˕˖˓˖ǡˑ˔ˑ˄ˎˋ˅ˑ˔˕˪ˌ˕Ǥ˪ːǤʜ˃˔˕˖˒ːˈˊ˃ːˢ˕˕ˢȄ˒˓˃ˍǦ 
˕ˋ˚ːˈȄˇˑ˙˪ˎ˟ːˑ˒˓ˑ˅ˈ˔˕ˋ˖˗ˑ˓ˏ˪ː˃˅˚˃ˎ˟ːˑˆˑ˒˓ˑˈˍ˕˖ Ǽʠ˃ˏ˔ˑ˄˪ 
ˉ˖˓ː˃ˎ˪˔˕ǽǤʢ˚ː˪ˑ˄ǯ˦ˇː˖ˡ˕˟˔ˢ˅˚ˑ˕ˋ˓ˋˆ˓˖˒ˋǡˑ˄ˋ˓˃ˡ˕˟ˍˈ˓˪˅ːˋˍ˪˅ǡ 
ˇ˪ˡ˕˟ˊ˃˪ː˔˕˓˖ˍ˙˪˦ˡǤʙˑˉː˃ˆ˓˖˒˃ˑˇˈ˓ˉ˖˦˔˅˪ˌˍˑˏ˒ˎˈˍ˕ˉ˖˓ː˃ˎ˪˅ǡ 
˃˕˃ˍˑˉˊ˃˅ˇ˃ːːˢǡˢˍˈ˅ˋˍˑː˖˦ˍˑˎˈˍ˕ˋ˅ːˑǡ˕˃˒˓ˈˊˈː˕˖˦ˌˑˆˑ˓ˈˊ˖ˎ˟Ǧ 
˕˃˕ˋ˒ˈ˓ˈˇˍˎ˃˔ˑˏǤʓ˪˕ˋˏ˃ˡ˕˟˓ˑˊ˓ˑ˄ˋ˕ˋ˕ˈˍ˔˕˒˓ˈˇ˔˕˃˅ˎˈːːˢˉ˖˓Ǧ 
ː˃ˎ˖˖˅ˋˊː˃˚ˈː˪ˌˇˎˢˆ˓˖˒ˋ˗ˑ˓ˏ˪ǣ˪ː˕ˈ˓˅ǯˡˊ˓ˈˇ˃ˍ˕ˑ˓ˑˏˉ˖˓ː˃ˎ˖ǡ 
˅ˋ˔˕˖˒˖ː˃˔ˈˍ˙˪˫Ǽʐ˪ˑˎˑˆ˪ˢǽː˃˖ˍˑ˅ˑˆˑ˕ˑ˅˃˓ˋ˔˕˅˃ʛ˃ˎˑ˫˃ˍ˃ˇˈˏ˪˫ 
ː˃˖ˍǡˊ˃ˏ˪˕ˍˋˇˎˢˎ˪˙ˈˌ˔˟ˍˑ˫ˆ˃ˊˈ˕ˋǡ˓ˈ˒ˑ˓˕˃ˉ˖ˊ˪˛ˍ˪ˎ˟ːˑ˫˄˪˄ˎ˪ˑ˕ˈˍˋ 
ȋˊ˃˅ˇ˃ːːˢˑ˄ˋ˓˃ˡ˕˟˛ˎˢ˘ˑˏˉˈ˓ˈ˄ˍ˖˅˃ːːˢȌǤʢ˕ˈˍ˔˕˪ˏ˃ˡ˕˟˄˖˕ˋ˒ˑǦ 
˔ˋˎ˃ːːˢː˃ː˃ˌ˙˪ˍ˃˅˪˛˪˒˖˄ˎ˪ˍ˃˙˪˫ˊˉ˖˓ː˃ˎ˖Ǥʓˎˢ˙˟ˑˆˑːˈˑ˄˘˪ˇːˑǡ 
ˑˊː˃ˌˑˏˋ˅˛ˋ˔˟˪ˊ˒ˈ˓˪ˑˇˋ˚ːˋˏ˅ˋˇ˃ːːˢˏǡˇ˃˕ˋˌˑˏ˖˘˃˓˃ˍ˕ˈ˓ˋ˔˕ˋˍ˖ǡ 
˅ˋ˄˓˃˕ˋˇˈˍ˪ˎ˟ˍ˃ː˃ˌ˙˪ˍ˃˅˪˛ˋ˘˒˖˄ˎ˪ˍ˃˙˪ˌȋˊˑˆˎˢˇ˖ː˃˗ˑ˓ˏ˖˒˓ˈˇǦ 
˔˕˃˅ˎˈːːˢ˅ˋˇ˃ːːˢȌǡ˔ˍˎ˃˔˕ˋː˃ːˋ˘˃ː˃ˎ˪˕ˋ˚ː˪˄˪˄ˎ˪ˑˆ˓˃˗˪˚ː˪ˑ˒ˋ˔ˋǤ 
ʞ˪ˇ˚˃˔ˊ˃˘ˋ˔˕˖˕˅ˑ˓˚ˋ˘˓ˑ˄˪˕˖˚ː˪˅˚˃˕˟˔ˢ˃ː˃ˎ˪ˊ˖˅˃˕ˋ˔˅ˑˡ 
ˇ˪ˢˎ˟ː˪˔˕˟ǡ ˇ˪ˢˎ˟ː˪˔˕˟ ˆ˓˖˒ˋ ˕˃ ˑˍ˓ˈˏˑˆˑ ˫˫ ˚ˎˈː˃Ǥ ʓˈ˕˃ˎ˟ːˋˌ 
˃ː˃ˎ˪ˊ˅ˋˍˑː˃ːˑ˫˓ˑ˄ˑ˕ˋˇ˃˦ˏˑˉˎˋ˅˪˔˕˟˔˗ˑ˓ˏ˖˅˃˕ˋ˅ˇ˪˕ˈˌ˒ˑǦ 
˚˃˕ˍˑ˅˪˖ˢ˅ˎˈːːˢ˒˓ˑ˕ˈ˘ːˑˎˑˆ˪ˡ˒˓ˑˈˍ˕ːˑ˫ˇ˪ˢˎ˟ːˑ˔˕˪Ǥ 
ʝ˒ˋ˔ː˃˅˚˃ˎ˟ːˑˆˑ˒˓ˑˈˍ˕˖Ǽʠ˃ˏ˔ˑ˄˪ˉ˖˓ː˃ˎ˪˔˕ǽ˪ˊˍ˖˓˔˖Ǽʝ˔ːˑ- 
˅ˋ ˪ː˗ˑ˓ˏ˃˙˪ˌːˑ˫ ˍ˖ˎ˟˕˖˓ˋǽ ˇˎˢ ˖˚ː˪˅ ʶ ˍ˖˓˔˖ ȋ;Ǧˆˑ ˍˎ˃˔˖Ȍ ˎ˪˙ˈˡ 
ˊ˕ˈˏˋǼʞˈ˓˪ˑˇˋ˚ː˪˅ˋˇ˃ːːˢȄˇˉˈ˓ˈˎˑˑ˒ˈ˓˃˕ˋ˅ːˑ˫˪ː˗ˑ˓ˏ˃˙˪˫ǽ 
ː˃˅ˈˇˈːˑː˃ˍˑˏ˒˃ˍ˕Ǧˇˋ˔ˍ˖ 
ʔ˕˃˒ˋ 
ː˃˅˚˃ːːˢ˖˚ː˪˅ 
˒˓ˑˈˍ˕˖˅˃ːːˡ 
ʓʓˋˋ˅˅ǤˇǤˇˑˑˇˇ˃˃˕˕ˑˑˍˍͷ͹ 
ШБІЦ № 2/2014 53
Бібліотечна робота Інформаційна культура 
ʞˑ˔˕˖˒ˑ˅ˑ˖˔ˍˎ˃ˇːˡˡ˚ˋˊ˃˅ˇ˃ːːˢǡ˒˓ˑ˒ˑː˖˦ˏˑˇ˪˕ˢˏˑ˄ǯ˦ˇː˃Ǧ 
˕ˋ˔ˢ˅ˆ˓˖˒ˋ˕˃˅ˋˍˑː˃˕ˋˍˑˎˈˍ˕ˋ˅ːˋˌ˕˅ˑ˓˚ˋˌ˒˓ˑˈˍ˕ˊ˃˦ˇˋːˋˏ 
˃ˎˆˑ˓ˋ˕ˏˑˏǤʓˎˢ˙˟ˑˆˑˑ˄ˋ˓˃˦ˏˑˑˇː˖ˊː˃ˌ˔ˍˎ˃ˇː˪˛ˋ˘˕ˈˏˍ˖˓˔˖Ǥ 
ʜ˃˒˓ˋˍˎ˃ˇǡ ˅ˋ˅˚˃ˡ˚ˋ ˇˑ˅˪ˇˍˑ˅˪ ˅ˋˇ˃ːːˢ ˢˍ ˇˉˈ˓ˈˎˑ ˗˃ˍ˕ˑˆ˓˃Ǧ 
˗˪˚ːˑ˫ ˪ː˗ˑ˓ˏ˃˙˪˫ǡ ˖˚ː˪ ˊ˃˔˅ˑˡˡ˕˟ ˃ˎˆˑ˓ˋ˕ˏ ˗˃ˍ˕ˑˆ˓˃˗˪˚ːˑˆˑ 
˒ˑ˛˖ˍ˖˚ˈ˓ˈˊ˅ˋˍˑː˃ːːˢ˒˓ˑˈˍ˕˖ǼʨˑǫʓˈǫʙˑˎˋǫǽǤ 
ʜ˃ː˃˅˚˃ˎ˟ːˋ˘ˊ˃ːˢ˕˕ˢ˘˪˅˒ˑˊ˃˖˓ˑ˚ː˪ˌ˓ˑ˄ˑ˕˪ː˃ˇ˒˓ˑˈˍ˕ˑˏ 
ˇ˪˕ˋˍ˓ˑˍˊ˃ˍ˓ˑˍˑˏˑ˒˃ːˑ˅˖ˡ˕˟˒˓ˑˈˍ˕ː˖˕ˈ˘ːˑˎˑˆ˪ˡǡˍˑ˓ˋ˔˕˖ˡǦ 
˚ˋ˔˟˓ˑ˄ˑ˚ˋˏˊˑ˛ˋ˕ˑˏˇˎˢ˖˚ːˢǼʮˍ˓ˑˊ˓ˑ˄ˋ˕ˋ˅ˎ˃˔ːˋˌ˒˓ˑˈˍ˕ǽǤ 
ʜ˃ˊ˃˅ˈ˓˛˃ˎ˟ːˑˏ˖ˈ˕˃˒˪ˇ˪˕ˢˏ˒˓ˑ˒ˑː˖˦˕˟˔ˢ˔˃ˏˑ˔˕˪ˌːˑ˓ˑˊ- 
˓ˑ˄ˋ˕ˋ˕˃ˊ˃˘ˋ˔˕ˋ˕ˋ˒˓ˑˈˍ˕Ǥʙˑˉˈː˖˚ˈː˟˔˃ˏˑ˄ˋ˓˃˦˒˓ˑˈˍ˕ǡː˃ˇ 
ˢˍˋˏˌˑˏ˖˘ˑ˕˪ˎˑ˔ˢ˄˒˓˃˙ˡ˅˃˕ˋǣˇˑ˔ˎ˪ˇːˋ˙˟ˍˋˌǡ˪ː˗ˑ˓ˏ˃˙˪ˌːˋˌǡ 
˕˅ˑ˓˚ˋˌ˚ˋ˒˓˃ˍ˕ˋˍˑǦˑ˓˪˦ː˕ˑ˅˃ːˋˌǤʓ˪˕ˋ˃ˍ˕ˋ˅ːˑ˔˒˪ˎˍ˖ˡ˕˟˔ˢˏ˪ˉ 
˔ˑ˄ˑˡǡ˅ˋˢ˅ˎˢˡ˕˟˔˒˪ˎ˟ː˪˪ː˕ˈ˓ˈ˔ˋ˪˅˕˃ˍˋˌ˔˒ˑ˔˪˄ˑ˄ǯ˦ˇː˖ˡ˕˟˔ˢ 
˅ˆ˓˖˒ˋǡ˒˃˓ˋ˚ˋ˅ˋ˓˪˛˖ˡ˕˟˒˓˃˙ˡ˅˃˕ˋ˔˃ˏˑ˔˕˪ˌːˑǤʡˈˏˋ˒˓ˑˈˍǦ 
˕˪˅˖˚ː˪˕˃ˍˑˉˑ˄ˋ˓˃ˡ˕˟˔˃ˏˑ˔˕˪ˌːˑǡ˒˓ˑ˕ˈˏˑˉ˖˕˟˔ˍˑ˓ˋ˔˕˃˕ˋ˔ˢ 
ˌˊ˃˒˓ˑ˒ˑːˑ˅˃ːˋˏˋ˅˚ˋ˕ˈˎˈˏǤ 
ʑ˃˓˕ˑ ˊ˃ˊː˃˚ˋ˕ˋǡ ˜ˑǡ ˑ˄ˋ˓˃ˡ˚ˋ ˕ˈˏˋ ˇˎˢ ˒˓ˑˈˍ˕ːˋ˘ ˓ˑ˄˪˕ǡ 
ˇ˪˕ˋ ː˃ˇ˃ˡ˕˟ ˒ˈ˓ˈ˅˃ˆ˖ ˚˃˔˕˪˛ˈ ˑ˔ˑ˄ˋ˔˕ˋˏ ˪ː˕ˈ˓ˈ˔˃ˏǡ ˓˪ˇ˛ˈ Ȅ 
˒ˑ˅ǯˢˊ˃ːˋˏ˪ˊ˅ˋ˅˚ˈːːˢˏː˃˅˚˃ˎ˟ːˋ˘˒˓ˈˇˏˈ˕˪˅Ǥ 
ʡ˖˕ˊ˃˅ˇ˃ːːˢ˒ˈˇ˃ˆˑˆ˃Ȅːˈː˃˅ǯˢˊ˖˅˃˕ˋ˔˅ˑˡˇ˖ˏˍ˖ǡˏˑˉː˃ 
ˎˋ˛ˈˇˑ˒ˑˏˑˆ˕ˋ˔˗ˑ˓ˏ˖ˎˡ˅˃˕ˋˑ˄˓˃ː˖˕ˈˏ˖ǡ˒˪ˇˍ˃ˊ˃˕ˋˏˑˉˎˋ˅˪ 
ˇˉˈ˓ˈˎ˃ˊ˄ˑ˓˖˪ː˗ˑ˓ˏ˃˙˪˫˕ˑ˜ˑǤʒˑˎˑ˅ːˈǡ˜ˑ˄˕ˈˏ˃˒˓ˑˈˍ˕˖˄˖ˎ˃ǡ 
˒ˈ˓ˈˇ˖˔˪ˏǡ˙˪ˍ˃˅ˑˡˇˎˢ˔˃ˏˑ˫ˇˋ˕ˋːˋǡ˜ˑ˦˄ˈˊ˖ˏˑ˅ːˑˡˊ˃˒ˑ˓˖ˍˑˡ 
˖˔˒˪˛ːˑˆˑ˓ˈˊ˖ˎ˟˕˃˕˖Ǥ 
ʝ˓˪˦ː˕ˑ˅ː˪ː˃ˊ˅ˋ˖˚ː˪˅˔˟ˍˋ˘˒˓ˑˈˍ˕˪˅ː˃˅ˈˇˈːˑː˃ˍˑˏ˒˃ˍ˕Ǧ 
ˇˋ˔ˍ˖ 
Проект як подія 
ʞˈ˓˛˃˔˒˓ˑ˄˃˅˒˓ˑ˅˃ˇˉˈːːˢ˒˓ˑˈˍ˕ːˑ˫˕ˈ˘ːˑˎˑˆ˪˫˄˖ˎ˃ˊˇ˪ˌǦ 
˔ːˈː˃˒˪ˇ˚˃˔˃˒˓ˑ˄˃˙˪˫˒˓ˑˆ˓˃ˏˋǼʝ˔ːˑ˅ˋ˪ː˗ˑ˓ˏ˃˙˪ˌːˑ˫ˍ˖ˎ˟˕˖Ǧ 
˓ˋǽˊ˖˚ːˢˏˋͳͲǦˆˑˍˎ˃˔˖ʖʝʧʶȂʶʶʶ˔˕Ǥ͒ͶǤʞ˓˃ˆː˖˚ˋ˔˒˓ˢˏ˖˅˃˕ˋ 
ˑ˒˃ː˖˅˃ːːˢˊˏ˪˔˕˖˒˓ˑˆ˓˃ˏˋ˅˒˓˃ˍ˕ˋ˚ː˖˒ˎˑ˜ˋː˖ǡ˃˄ˋ˔˗ˑ˓ˏ˖Ǧ 
˅˃˕ˋ ˅ ˔˕˃˓˛ˑˍˎ˃˔ːˋˍ˪˅ ˖ˏ˪ːːˢ ˔˃ˏˑ˔˕˪ˌːˑ ˍˑː˔˕˓˖ˡ˅˃˕ˋ ˔˅ˑ˫ 
ˊː˃ːːˢǡ˅˪ˎ˟ːˑˑ˓˪˦ː˕˖˅˃˕ˋ˔ˢ˅˪ː˗ˑ˓ˏ˃˙˪ˌːˑˏ˖˒˓ˑ˔˕ˑ˓˪ǡˑ˔ːˑ˅Ǧ 
ːˋˏ ˏˈ˕ˑˇˑˏ ː˃˅˚˃ːːˢ ˖˚ː˪˅ ͳͲǦˆˑ ˍˎ˃˔˖ ˒˓˃˅ːˋ˚ˑˆˑ ˒˓ˑ˗˪ˎˡ 
˅ˋ˄˓˃ˎˋˏˈ˕ˑˇ˒˓ˑˈˍ˕˖Ǥʡˑˇ˪ˊ˖˔˪˘˓˪ˊːˑˏ˃ː˪˕ːˋ˘˅ˋˇ˪˅˒˓ˑˈˍ˕˪˅ 
˓˃ˊˑˏ˪ˊˇ˪˕˟ˏˋ˄˖ˎˑˑ˄˓˃ːˑˍˑˎˈˍ˕ˋ˅ːˋˌˇˑ˔ˎ˪ˇːˋ˙˟ˍˋˌ˒˓ˑˈˍ˕ 
˒ˑ˛˖ˍ˖Ǽʛˑˇˈˎ˪ː˃˅˚˃ˎ˟ːˑǦ˪ː˗ˑ˓ˏ˃˙˪ˌːˑˆˑˊ˃˄ˈˊ˒ˈ˚ˈːːˢ˅ˋ˅˚ˈːǦ 
ːˢ ˒˓˃˅ˑˊː˃˅˔˕˅˃ ˅ ˛ˍˑˎ˪ǽǤ ʛˈ˕ˑˇˋˍ˃ ˙˟ˑˆˑ ˒˓ˑˈˍ˕˖ ˇˈ˕˃ˎ˟ːˑ 
ˑ˒ˋ˔˃ː˃ ˅ ˖ˍˎ˃ˇˈːˑˏ˖ ˃˅˕ˑ˓ˑˏ ˒ˑ˔˪˄ːˋˍ˖ Ǽʞˑ˛˖ˍ ˑ˒˕ˋˏ˃ˎ˟ːˋ˘ 
˕ˈ˘ːˑˎˑˆ˪ˌ˄˪˄ˎ˪ˑ˕ˈ˚ːˑǦ˄˪˄ˎ˪ˑˆ˓˃˗˪˚ːˑ˫ˑ˔˅˪˕ˋ˛ˍˑˎˢ˓˪˅ǽ͹ǡ˃˕˃ˍˑˉ 
˖˔˒ˈ˙˪˃ˎ˟ːˑˏ˖˅ˋ˒˖˔ˍ˖ˆ˃ˊˈ˕ˋǼʧˍ˪ˎ˟ːˋˌ˔˅˪˕ǽ8Ǥ 
7 Пошук оптимальних технологій бібліотечно-бібліографічної освіти школярів / Коло- 
сай Л. А. — Славутич, 2000. — С. 17–21. 
8 Колосай, Л. Пошук оптимальних технологій бібліотечно-бібліографічної освіти школярів : 
практичний посібник для керівників середніх закладів освіти, методистів з бібліотечних 
фондів, шкільних бібліотекарів / Лідія Колосай // Шкільний світ. — 2001. — № 10 (бере- 
зень). — С. 1–23. 
ʓʓˋˋ˅˅ǤˇǤˇˑˑˇˇ˃˃˕˕ˑˑˍˍͷͺ 
ʓʓˋˋ˅˅ǤˇǤˇˑˑˇˇ˃˃˕˕ˑˑˍˍͷͻ 
ʞˈ˓˛ˋˌ 
ˇˑ˔ˎ˪ˇːˋ˙˟ˍˋˌ 
˒˓ˑˈˍ˕ 
˔˕˃˓˛ˑˍˎ˃˔ːˋˍ˪˅ 
54 ШБІЦ № 2/2014
Бібліотечна робота Інформаційна культура 
ʏ˒˓ˑ˄˖ˡ˚ˋ˒˓ˑˆ˓˃ˏ˖ˍ˖˓˔˖Ǽʝ˔ːˑ˅ˋ˪ː˗ˑ˓ˏ˃˙˪ˌːˑ˫ˍ˖ˎ˟˕˖˓ˋǽ 
ˊ ˖˚ːˢˏˋ ˒ǯˢ˕ˋ˘ ˍˎ˃˔˪˅ ʖʝʧ ʶȂʶʶʶ ˔˕Ǥ͒ Ͷǡ ˊ ˏˈ˕ˑˡ ˒ˑˆˎˋ˄ˎˈːːˢ 
ˊː˃ː˟˒˓ˑ˒ˈ˓˪ˑˇˋ˚ː˪˅ˋˇ˃ːːˢǡˇˋ˕ˢ˚˖ˉ˖˓ː˃ˎ˪˔˕ˋˍ˖ǡ˒ˑ˛˖ˍ˖ˎ˪˕ˈǦ 
˓˃˕˖˓ːˋ˘ˑ˄ˇ˃˓˖˅˃ː˟˪ˊ˃ˎ˖˚ˈːːˢˇ˪˕ˈˌˇˑ˒˓ˑ˙ˈ˔˖˕˅ˑ˓ˈːːˢ˄˖ˎˑ 
˅ˋˍˑː˃ːˑ ˒˓˃ˍ˕ˋˍˑǦˑ˓˪˦ː˕ˑ˅˃ːˋˌ ˒˓ˑˈˍ˕ Ǽʠ˃ˏ ˔ˑ˄˪ ˉ˖˓ː˃ˎ˪˔˕ǽǡ 
˒˪ˇ˔˖ˏˍˑˏˢˍˑˆˑ˔˕˃˅˛ˍ˪ˎ˟ːˋˌˍˑːˍ˖˓˔˒ˈ˓˪ˑˇˋ˚ːˋ˘˅ˋˇ˃ː˟ǡ˅ˋǦ 
ˆˑ˕ˑ˅ˎˈːˋ˘˖˚ːˢˏˋǤʑ˪ˇ˒ˑ˅˪ˇːˑˇˑ˓ˑˊ˓ˑ˄ˎˈːˑˆˑʞˑˎˑˉˈːːˢ˒˓ˑ 
˛ˍ˪ˎ˟ːˋˌˍˑːˍ˖˓˔Ǽʠ˃ˏ˔ˑ˄˪ˉ˖˓ː˃ˎ˪˔˕ǽͻ˒ˈ˓ˈˇ˄˃˚ˈːˑǡ˜ˑˍˑˉˈː 
ˍˎ˃˔ǡ ˢˍˋˌ ˄ˈ˓ˈ ˖˚˃˔˕˟ ˖ ˍˑːˍ˖˓˔˪ǡ ˏ˃˦ ˅ˋˊː˃˚ˋ˕ˋ ˅ˋˇ ˍˑːˍ˖˓˔Ǧ 
ːˑ˫ ˓ˑ˄ˑ˕ˋ ȋˆ˃ˊˈ˕˃ǡ ˉ˖˓ː˃ˎȌǡ ˑ˄˓˃˕ˋ ˫˫ ː˃ˊ˅˖ǡ ˚ˎˈː˪˅ ˓ˈˇˍˑˎˈˆ˪˫ǡ 
˘˖ˇˑˉːˋˍ˃ǡ ˓ˈˇ˃ˍ˕ˑ˓˃Ǣ ˊ˪˄˓˃˕ˋ ˅˪ˇ˒ˑ˅˪ˇːˋˌ ˏ˃˕ˈ˓˪˃ˎǡ ˊˇ˪ˌ˔ːˋ˕ˋ 
ˌˑˆˑˑ˒˓˃˙ˡ˅˃ːːˢ˕˃˒˪ˇˆˑ˕˖˅˃˕ˋˇˑ˅ˋ˒˖˔ˍ˖Ǥ 
ʝ˄ˑ˅ǯˢˊˍˑ˅ˋˏ ˊ˃˅ˇ˃ːːˢˏ ˇˎˢ ˅˔˪˘ ˖˚˃˔ːˋˍ˪˅ ˍˑːˍ˖˓˔˖ 
˄˖ˎ˃˒˪ˇˆˑ˕ˑ˅ˍ˃ǣ 
¾ ˒ˈ˓ˈˇˑ˅ˑ˫˔˕˃˕˕˪Ǽʮˏ˃ˡ˒˓˃˅ˑː˃˪ː˗ˑ˓ˏ˃˙˪ˡǽǢ 
¾ ˑˆˎˢˇ˖˙˪ˍ˃˅ˋ˘˒˖˄ˎ˪ˍ˃˙˪ˌ˪ˊˇˋ˕ˢ˚ˋ˘ˆ˃ˊˈ˕˪ˉ˖˓ː˃ˎ˪˅Ǣ 
¾ ˃ːˑ˕˃˙˪ˌ ː˃ ːˑ˅˪ ˍːˋˉˍˋǡ ˜ˑ ː˃ˇ˪ˌ˛ˎˋ ˇˑ Ǽʖˑˎˑ˕ˑˆˑ 
˗ˑːˇ˖ǽ ˛ˍ˪ˎ˟ːˑ˫ ˄˪˄ˎ˪ˑ˕ˈˍˋ ȋ˗ˑːˇ ˇˑ˅˪ˇˍˑ˅ˋ˘ ˅ˋˇ˃ː˟ǡ 
˒˓ˋˇ˄˃ːˋ˘ˊ˃˄˃˕˟ˍ˪˅˔˟ˍ˪ˍˑ˛˕ˋȌǢ 
¾ ˊ˃ˏ˪˕ˑˍ˒˓ˑˊ˃ːˢ˕˕ˢˊ˪ː˗ˑ˓ˏ˃˙˪ˌːˑ˫ˍ˖ˎ˟˕˖˓ˋǢ 
¾ ˪ː˗ˑ˓ˏ˃˙˪˫˒˓ˑ˔˕˃ːˊ˄ˈ˓ˈˉˈːːˢ˛ˍ˪ˎ˟ːˋ˘˒˪ˇ˓˖˚ːˋˍ˪˅ 
˖ˍˎ˃˔˪Ǥ 
ʓˑ ˓ˑˊˆˎˢˇ˖ ˍˑːˍ˖˓˔ːˑˆˑ ˉ˖˓˪ ˒ǯˢ˕ˋˍˎ˃˔ːˋˍˋ ˒˓ˈˇ˔˕˃˅ˋˎˋ 
ˑ˓ˋˆ˪ː˃ˎ˟ː˪˓ˑ˄ˑ˕ˋǡˢˍ˪ˊ˃˔˅˪ˇ˚ˋˎˋǡ˜ˑ˅˘ˑˇ˪˒˓ˑˈˍ˕ːˑ˫ˇ˪ˢˎ˟ːˑ˔˕˪ǡ 
˒˪ˇˆˑ˕ˑ˅ˍˋˏ˃˕ˈ˓˪˃ˎ˪˅ˇˑ˒˖˄ˎ˪ˍ˃˙˪˫˖˔˅ˑ˫˘ˆ˃ˊˈ˕˃˘˪ˉ˖˓ː˃ˎ˃˘˖˚ː˪ 
ːˈ ˎˋ˛ˈ ˊ˃˔˅ˑ˫ˎˋ ˄˃ˊˑ˅˪ ˊː˃ːːˢ ˔˒ˈ˙ˋ˗˪ˍˋ ˒ˈ˓˪ˑˇˋ˚ːˋ˘ ˅ˋˇ˃ː˟ 
ː˃ ˒˓˃ˍ˕ˋ˙˪ǡ ˃ ˌ ː˃˅˚ˋˎˋ˔ˢ ˊˇ˪ˌ˔ːˡ˅˃˕ˋ ˪ː˗ˑ˓ˏ˃˙˪ˌːˋˌ ˒ˑ˛˖ˍǡ 
˃ː˃ˎ˪ˊ˖˅˃˕ˋˇˉˈ˓ˈˎ˃˪ː˗ˑ˓ˏ˃˙˪˫ǡ˔˕˅ˑ˓ˡ˅˃˕ˋ˅ˎ˃˔ː˪˪ː˗ˑ˓ˏ˃˙˪ˌː˪ 
˒˓ˑˇ˖ˍ˕ˋǤʞ˪ˇ˚˃˔˒˓ˈˊˈː˕˃˙˪˫˒˓ˑˈˍ˕ːˋ˘˓ˑ˄˪˕˒ǯˢ˕ˋˍˎ˃˔ːˋˍˋ˒˓ˑǦ 
ˇˈˏˑː˔˕˓˖˅˃ˎˋ˅ˏ˪ːːˢ˃˓ˆ˖ˏˈː˕ˑ˅˃ːˑ˒˓ˈˇ˔˕˃˅ˎˢ˕ˋ˓ˈˊ˖ˎ˟˕˃˕ˋ 
˔˅ˑ˦˫ˇ˪ˢˎ˟ːˑ˔˕˪ǡ˒˓˃˙ˡ˅˃˕ˋ˅ˍˑˏ˃ːˇ˪Ǥ 
ʞ˪ˇ˚˃˔ˑ˒˃ː˖˅˃ːːˢˍ˖˓˔˖Ǽʝ˔ːˑ˅ˋ˪ː˗ˑ˓ˏ˃˙˪ˌːˑ˫ˍ˖ˎ˟˕˖˓ˋǽ 
˖˚ː˪ʶˍ˖˓˔˖ȋͺǦˌˍˎ˃˔Ȍˎ˪˙ˈˡ˅ˋˍˑː˃ˎˋ˕˅ˑ˓˚ˋˌ˒˓ˑˈˍ˕ǡː˃˅˚˃ˎ˟ːˑˡ 
ˏˈ˕ˑˡ ˢˍˑˆˑ ˄˖ˎˑ ˑ˄˓˃ːˑ ˅ˋ˅˚ˈːːˢ ˇˑ˅˪ˇˍˑ˅ˋ˘ ˅ˋˇ˃ː˟ ˢˍ ˇˉˈǦ 
˓ˈˎ ˗˃ˍ˕ˑˆ˓˃˗˪˚ːˑ˫ ˪ː˗ˑ˓ˏ˃˙˪˫ǡ ˑˊː˃ˌˑˏˎˈːːˢ ˊ ˇˑ˅˪ˇˍˑ˅ˋˏˋ 
˅ˋˇ˃ːːˢˏˋǡ ː˃ˢ˅ːˋˏˋ ˅ ˄˪˄ˎ˪ˑ˕ˈ˙˪ ˎ˪˙ˈˡǡ ˒˪ˇˆˑ˕ˑ˅ˍ˃ ˒˖˕˪˅ːˋˍ˃ 
ˈː˙ˋˍˎˑ˒ˈˇˋ˔˕˃ Ǽʨˑǫ ʓˈǫ ʙˑˎˋǫǽǤ ʢ ˘ˑˇ˪ ˒˓ˑˈˍ˕ːˑ˫ ˇ˪ˢˎ˟ːˑ˔˕˪ 
ˎ˪˙ˈ˫˔˕ˋ ˊ˃˔˅ˑ˫ˎˋ ˕ˈ˘ːˑˎˑˆ˪ˡ ˍ˅˃ˎ˪˗˪ˍˑ˅˃ːˑˆˑ ˗˃ˍ˕ˑˆ˓˃˗˪˚ːˑˆˑ 
˒ˑ˛˖ˍ˖ǡː˃˅˚ˋˎˋ˔ˢ˔˕˅ˑ˓ˡ˅˃˕ˋ˅ˎ˃˔ːˋˌ˪ː˗ˑ˓ˏ˃˙˪ˌːˋˌ˒˓ˑˇ˖ˍ˕ǡ 
ˢˍˋˌ˄˃ˊ˖˦˕˟˔ˢː˃ˊː˃ːːˢ˘ǣ 
¾ ˇˑˍ˖ˏˈː˕ˑˊː˃˅˔˕˅˃Ȅ˒˓ˑˍːˋˉˍ˖ˢˍ˓˪ˊːˑ˅ˋˇˇˑˍ˖ˏˈːǦ 
˕˃ǡ˒˓ˑ˓˪ˊːˑˏ˃ː˪˕ː˪˔˕˟˅ˋˇ˃ː˟ǡˊ˃ˎˈˉːˑ˅˪ˇ˒˓ˋˊː˃˚ˈːːˢǡ˒˓ˑ˫˘ 
ˑ˔ˑ˄ˎˋ˅ˑ˔˕˪Ǣ˄˪˄ˎ˪ˑˆ˓˃˗˪˚ːˋˌˑ˒ˋ˔ǡ˃ːˑ˕˃˙˪ˡǢ 
¾ ˖ˍ˓˃˫ː˔˟ˍˑ˫ˏˑ˅ˋȄˊˎ˪ːˆ˅˪˔˕ˋˍˋ˕ˈˍ˔˕˖ǡ˔˕ˋˎ˪˅ˏˑ˅ˎˈːːˢǡ 
ˊ˅ǯˢˊːˑˆˑˏˑ˅ˎˈːːˢǡ˒˓ˑ˅ˋˏˑˆˋˇˑ˔˕˅ˑ˓ˈːːˢ˅ˎ˃˔ːˋ˘˅ˋ˔ˎˑ˅ˎˡǦ 
˅˃ː˟ǡ˒˓ˑˑ˔ˑ˄ˎˋ˅ˑ˔˕˪ˌ˔˒ˑ˔ˑ˄ˋ˙ˋ˕˖˅˃ːːˢ˕ˑ˜ˑǢ 
¾ ˪ː˗ˑ˓ˏ˃˕ˋˍˋȄ˒˓ˑˍˑˏ˒ǯˡ˕ˈ˓ǡˌˑˆˑˏˑˉˎˋ˅ˑ˔˕˪˅˒ˑ˛˖ˍ˖ 
˕˃ ˑ˄˓ˑ˄ˎˈːː˪ ˪ː˗ˑ˓ˏ˃˙˪˫Ǣ ˒˓ˑ ˪ː˗ˑ˓ˏ˃˙˪ˌːˑǦ˒ˑ˛˖ˍˑ˅˪ ˔ˋ˔˕ˈǦ 
ˏˋǡ˪ː˕ˈ˓ːˈ˕Ǥ 
9 Положення про шкільний конкурс «Сам собі журналіст» // Школа. — 2006. — № 1. — 
С. 91. 
ʙˑːˍ˖˓˔ˇˎˢ 
˒ǯˢ˕ˋˍˎ˃˔ːˋˍ˪˅ 
Ǽʠ˃ˏ˔ˑ˄˪ 
ˉ˖˓ː˃ˎ˪˔˕ǽ 
ʡ˅ˑ˓˚ˋˌ˒˓ˑˈˍ˕ 
ˎ˪˙ˈ˫˔˕˪˅Ǽʨˑǫʓˈǫ 
ʙˑˎˋǫǽ 
ШБІЦ № 2/2014 55

Поперечна Л. Бібліотечні проекти

  • 1.
    БІБЛІОТЕЧНА РОБОТА ІНФОРМАЦІЙНАКУЛЬТУРА Лідія ПОПЕРЕЧНА, головний редактор журналу «Шкільний бібліотечно-інформаційний центр», відмінник освіти України ʶˇˈː˕ˋ˗˪ˍ˃˙˪ˌːˈ˅˪ˍːˑǣ ʞ˪ˇ˔ˋ˔˕ˈˏ˃Ȅ˄˪˄ˎ˪ˑ˕ˈ˚ːˑǦ˪ː˗ˑ˓ˏ˃˙˪ˌːˈ ˑ˄˔ˎ˖ˆˑ˅˖˅˃ːːˢ ʑˋˇ˪ː˗ˑ˓ˏ˃˙˪˫Ȅ˗˃˘ˑ˅˃ ʑˋˇˇˑˍ˖ˏˈː˕˃Ȅ˔˕˃˕˕ˢ ʧˋ˗˓ˇˑˍ˖ˏˈː˕˃ȄͳͳͲǤͲʹʹǤͲͲͲ ͳͳͲǤͲʹ͹ǤͲͲͲ ʖǦ˒ˑˏ˪ˉ˪ːːˑ˅˃˙˪ˌːˋ˘ˑ˔˅˪˕ː˪˘˕ˈ˘ːˑˎˑˆ˪ˌǡˊ˃˒ˑˊˋ˚ˈːˋ˘ˊ˪˛ˍ˪ˎ˟ːˑ˫˒˓˃ˍ˕ˋˍˋǡ˄˪˄ˎ˪ˑ˕ˈ- ˍ˃˓˪˅˔ˈ˚˃˔˕˪˛ˈˑ˄ˋ˓˃ˡ˕˟ˏˈ˕ˑˇː˃˅˚˃ˎ˟ːˋ˘˒˓ˑˈˍ˕˪˅ˢˍˑˇˋː˪ˊː˃ˌˈ˗ˈˍ˕ˋ˅ː˪˛ˋ˘ ˊ˃˔ˑ˄˪˅˗ˑ˓ˏ˖˅˃ːːˢˏˈˇ˪˃Ǧ˕˃˪ː˗ˑ˓ˏ˃˙˪ˌːˑ˫ˆ˓˃ˏˑ˕ːˑ˔˕˪˔˖˚˃˔ːˋ˘ˇ˪˕ˈˌǤ Через бібліотечні проекти до медіа- та інформаційної грамотності Ǽʑ˚ˋˏˑ˔ˢːˈˊ˃˓˃ˇˋ˛ˍˑˎˋǡ ˃ˇˎˢˉˋ˕˕ˢǽ ʠˈːˈˍ˃ ʐ˪˄ˎ˪ˑ˕ˈ˚ː˪˖˔˕˃ːˑ˅ˋˊ˃ˆ˃ˎ˟ːˑˑ˔˅˪˕ː˪˘ː˃˅˚˃ˎ˟ːˋ˘ˊ˃ˍˎ˃ˇ˪˅ ˊ˃˅ˉˇˋ˄˖ˎˋˌ˄˖ˇ˖˕˟˒˓ˋ˚ˈ˕ːˋˏˋˇˑ˒˓ˑ˙ˈ˔˪˅˗ˑ˓ˏ˖˅˃ːːˢˑ˔ˑǦ ˄ˋ˔˕ˑ˔˕˪Ǥʠ˟ˑˆˑˇː˪ˑ˓˪˦ː˕ˋ˓ˑˏ˖˅ˋˊː˃˚ˈːː˪˫˘˒˓˪ˑ˓ˋ˕ˈ˕ːˋ˘ˊ˃˅ˇ˃ː˟ ˏ˃ˡ˕˟˔˕˃˕ˋ˄˃ˊˑ˅˪ˊ˃˔˃ˇˋˇˈ˓ˉ˃˅ːˋ˘ˑ˔˅˪˕ː˪˘˔˕˃ːˇ˃˓˕˪˅ǡ˖˕ˑˏ˖ ˚ˋ˔ˎ˪ǣ˒ˈ˓ˈˑ˓˪˦ː˕˃˙˪ˢˑ˔˅˪˕ˋˊ˪ˊː˃ːː˦˅ˑ˫˒˃˓˃ˇˋˆˏˋː˃ˇ˪ˢˎ˟ː˪˔ː˖ǡ ˍˑˏ˒ˈ˕ˈː˕ː˪˔ːˋˌ˒˪ˇ˘˪ˇˇˑˊˏ˪˔˕˖ˑ˔˅˪˕ˋǡ˗ˑ˓ˏ˖˅˃ːːˢˆˑ˕ˑ˅ːˑ˔˕˪ ˛ˍˑˎˢ˓˪˅ˊ˃˔˕ˑ˔ˑ˅˖˅˃˕ˋː˃˄˖˕˪ˊː˃ːːˢǡ˖ˏ˪ːːˢǡː˃˅ˋ˚ˍˋ˕˃˔˒ˑ˔ˑ˄ˋ ˇ˪ˢˎ˟ːˑ˔˕˪˅˒˓˃ˍ˕ˋ˚ːˑˏ˖ˉˋ˕˕˪Ǥʟˈ˃ˎ˪ˊ˖˅˃˕ˋˊ˃˅ˇ˃ːːˢǡˊ˃ˍ˓˪˒ˎˈː˪ ˅˔˕˃ːˇ˃˓˕˃˘ǡˏˑˉː˃ˊ˃˖ˏˑ˅ˋǡˢˍ˜ˑː˃˅˚˃ˎ˟ːˑǦ˅ˋ˘ˑ˅ːˋˌ˒˓ˑ˙ˈ˔ ˖˛ˍˑˎ˪˄˖ˇˈ˔˒˓ˢˏˑ˅˃ːˑː˃˓ˑˊ˅ˋ˕ˑˍ˃ˍ˕ˋ˅ːˑ˔˕˪ǡ˔˃ˏˑ˔˕˪ˌːˑ˔˕˪ǡ ˕˅ˑ˓˚ˋ˘ ˏˑˉˎˋ˅ˑ˔˕ˈˌ ˍˑˉːˑˆˑ ˛ˍˑˎˢ˓˃ǡ ˑ˔ˍ˪ˎ˟ˍˋ ˔˖˔˒˪ˎ˟˔˕˅ˑ ˒ˑ˕˓ˈ˄˖˦ˑ˔ˑ˄ˋ˔˕ˑ˔˕ˈˌǡˊˇ˃˕ːˋ˘˔˅˪ˇˑˏˑˇ˪ˢ˕ˋǡ˒˓ˋˌˏ˃˕ˋ˅ˎ˃˔ː˪ ˓˪˛ˈːːˢǡ˛˅ˋˇˍˑ˃ˇ˃˒˕˖˅˃˕ˋ˔ˢˇˑˊˏ˪ːǤʶː˛ˋˏˋ˔ˎˑ˅˃ˏˋǡˇˎˢˉˋ˕Ǧ ˕˦˅ˑˆˑ˖˔˒˪˘˖ːˈˑ˄˘˪ˇː˪ːˈ˔˃ˏ˪ˊː˃ːːˢǡ˃˅ˏ˪ːːˢ˫˘ˊ˃˔˕ˑ˔ˑ˅˖˅˃˕ˋ ˅˪ˇ˒ˑ˅˪ˇːˑˇˑˍˑːˍ˓ˈ˕ːˑ˫ˉˋ˕˕˦˅ˑ˫˔ˋ˕˖˃˙˪˫Ǥ ʢ ˊ˅ǯˢˊˍ˖ ˊ ˙ˋˏ ˑ˔ˑǦ ˄ˎˋ˅ˑˆˑˊː˃˚ˈːːˢː˃˄˖˅˃˦ ˑ˓ˆ˃ː˪ˊ˃˙˪ˢ ˪ː˗ˑ˓ˏ˃˙˪ˌǦ ːˑ˫ ˑ˔˅˪˕ˋ ˕˃ ˒˪ˇ˅ˋ˜ˈːːˢ ˪ː˗ˑ˓ˏ˃˙˪ˌːˑ˫ ˍ˖ˎ˟˕˖˓ˋ ˛ˍˑˎˢ˓˃ǡ ˃ˇˉˈ ˪ː˗ˑ˓ˏ˃Ǧ ˙˪ˢ˅˔˖˚˃˔ːˋ˘˖ˏˑ˅˃˘˓ˑˊǦ ˅ˋ˕ˍ˖ ˔˖˔˒˪ˎ˟˔˕˅˃Ȅ ˑˇː˃ ˊ ˆˑˎˑ˅ːˋ˘ ˎˡˇ˔˟ˍˋ˘ ˙˪ːǦ ːˑ˔˕ˈˌǡ ˅˃ˉˎˋ˅ˋˌ ˓ˈ˔˖˓˔ ˌˑˆˑ ˉˋ˕˕˦ˊ˃˄ˈˊ˒ˈ˚ˈːːˢǤ Діяльнісний підхід спрямований на розвиток умінь і навичок учня, застосування здобутих знань у практичних ситуаціях, пошук шляхів інтеграції до соціокультурного та природного середовища (Державний стандарт базової і повної загальної середньої освіти) 48 ШБІЦ № 2/2014
  • 2.
    Бібліотечна робота Інформаційнакультура ʑˑˇːˑ˚˃˔ ˖ ˄˃ˊˑ˅ˑˏ˖ ː˃˅˚˃ˎ˟ːˑˏ˖ ˒ˎ˃ː˪ ˅˪ˇ˔˖˕ːˢ ˇˋ˔˙ˋ˒ˎ˪ː˃ǡ ˢˍ˃˄ː˃˅˚˃ˎ˃ˇ˪˕ˈˌ˖˚ˋ˕ˋ˔ˢˊ˃ːˑ˅ˋ˘˔˖˔˒˪ˎ˟ːˋ˘˖ˏˑ˅Ǥʏˍˎ˃˔ˋ˚ː˪ ˒˪ˇ˘ˑˇˋˇˑ˄˪˄ˎ˪ˑ˕ˈ˚ːˑǦ˄˪˄ˎ˪ˑˆ˓˃˗˪˚ːˑ˫ˑ˔˅˪˕ˋ˛ˍˑˎˢ˓˪˅˔˟ˑˆˑˇː˪ ˅ˉˈːˈ˔˒˓˃˙˟ˑ˅˖ˡ˕˟Ǥ ʶːːˑ˅˃˙˪ˌːˋˌ ˒ˑ˛˖ˍ ːˑ˅ˋ˘ ˊ˃˔ˑ˄˪˅ ˪ː˗ˑ˓ˏ˃˙˪ˌːˑ˫ ˑ˔˅˪˕ˋǡ ˑ˔ˑ˄ˎˋ˅ˑ ˃ˍ˕˖˃ˎ˪ˊˑ˅˃ːˑ˫ ˊ ˖˒˓ˑ˅˃ˇˉˈːːˢˏ ˖ ˛ˍ˪ˎ˟ː˖ ˒˓˃ˍ˕ˋˍ˖ ˏˈˇ˪˃ˑ˔˅˪˕ˋǡ˒˓ˋˊ˅ˑˇˋ˕˟ˇˑ˓ˑˊ˖ˏ˪ːːˢ˕ˑˆˑǡ˜ˑː˃ˏ˒ˑ˕˓˪˄ː˪ˇ˪Ǧ ˢˎ˟ː˪ǡ ˆ˓˖˒ˑ˅˪ǡ ˪ˆ˓ˑ˅˪ǡ ˓ˑˎ˟ˑ˅˪ǡ ˒˓˃ˍ˕ˋˍˑǦˑ˓˪˦ː˕ˑ˅˃ː˪ǡ ˒˓ˑ˄ˎˈˏː˪ǡ ˓ˈ˗ˎˈˍ˔ˋ˅ː˪˕˃˪ː˛˪˗ˑ˓ˏˋˌˏˈ˕ˑˇˋː˃˅˚˃ːːˢǤʏˍ˕ˋ˅ː˪ˏˈ˕ˑˇˋ ˒ˈ˓ˈ˕˅ˑ˓ˡˡ˕˟˖˚ːˢː˃˔˖˄ǯ˦ˍ˕˒ˈˇ˃ˆˑˆ˪˚ːˑˆˑ˒˓ˑ˙ˈ˔˖ǡ˔ˈ˓ˈˇːˋ˘ ˅ˋˇ˪ˎˢˡ˕˟ˇˑ˔ˎ˪ˇːˋ˙˟ˍˋˌȋ˖˚ˈː˟Ǧ˖˚ˈːˋˌǦ˕ˈˑ˓ˈ˕ˋˍȌ˪ˏˈ˕ˑˇ˒˓ˑǦ ˈˍ˕˪˅ȋ˖˚ˈː˟Ǧ˒˓˃ˍ˕ˋ˚ːˋˌˇ˪ˢ˚ȌǤʝ˄ˋˇ˅˃˅ˑːˋ˔˒˓ˢˏˑ˅˃ː˪ː˃˓ˑˊǦ ˅ˋ˕ˑˍ˅˖˚ː˪˅˕˅ˑ˓˚ˋ˘ˊˇ˪˄ːˑ˔˕ˈˌ˪˦ˏˈ˕ˑˇ˃ˏˋ˛˖ˍ˃ː˟Ǥ Переваги методу проектів ʛˈ˕ˑˇ ˒˓ˑˈˍ˕˪˅ ːˈ ˦ ˒˓ˋː˙ˋ˒ˑ˅ˑ ːˑ˅ˋˏ ˖ ˔˅˪˕ˑ˅˪ˌ ˒ˈˇ˃ˆˑǦ ˆ˪˙˪Ǥ ʘˑˆˑ ː˃ˊˋ˅˃ˡ˕˟ ˕˃ˍˑˉ ˏˈ˕ˑˇˑˏ ˒˓ˑ˄ˎˈˏ ˃˄ˑ ː˃˅˚˃ːːˢˏ ˚ˈ˓ˈˊˇ˪ˢˎ˟ː˪˔˕˟Ǥ Ǽʢ˔ˈǡ ˜ˑ ˢ ˒˪ˊː˃ˡǡ ˢ ˊː˃ˡǡ ˇˎˢ ˚ˑˆˑ ˙ˈ ˏˈː˪ ˒ˑ˕˓˪˄ːˑ ˌ ˇˈ ˕˃ ˢˍ ˢ ˏˑˉ˖ ˙˪ ˊː˃ːːˢ ˊ˃˔˕ˑ˔˖˅˃˕ˋǽȄ ˑ˔ːˑ˅ː˃ ˕ˈˊ˃ ˔˖˚˃˔ːˑˆˑ ˓ˑˊ˖ˏ˪ːːˢˏˈ˕ˑˇ˖˒˓ˑˈˍ˕˪˅ǡˢˍ˃ˌ˒˓ˋ˅˃˄ˎˡ˦˄˃ˆ˃˕ˑˑ˔˅˪˕ː˪˘˔ˋǦ ˔˕ˈˏ˖˒ˑ˛˖ˍ˃˘˓ˑˊ˖ˏːˑˆˑ˄˃ˎ˃ː˔˖ˏ˪ˉ˃ˍ˃ˇˈˏ˪˚ːˋˏˋˊː˃ːːˢˏˋ ˕˃˒˓˃ˆˏ˃˕ˋ˚ːˋˏˋ˅ˏ˪ːːˢˏˋǤ ʑ ˑ˔ːˑ˅˪ ˙˟ˑˆˑ ˏˈ˕ˑˇ˖Ȅ ˓ˑˊ˅ˋ˕ˑˍ ˒˪ˊː˃˅˃ˎ˟ːˋ˘ ː˃˅ˋ˚ˑˍ ˛ˍˑˎˢ˓˪˅ǡ ˖ˏ˪ːːˢ ˔˃ˏˑ˔˕˪ˌːˑ ˍˑː˔˕˓˖ˡ˅˃˕ˋ ˔˅ˑ˫ ˊː˃ːːˢ ˕˃ ˑ˓˪Ǧ ˦ː˕˖˅˃˕ˋ˔ˢ˅˪ː˗ˑ˓ˏ˃˙˪ˌːˑˏ˖˒˓ˑ˔˕ˑ˓˪Ǥ ʛˈ˕ˑˇ ˒˓ˑˈˍ˕˪˅ ˔˒˓ˢˏˑ˅˃ːˋˌ ː˃ ˔˃ˏˑ˔˕˪ˌː˖ ˪ːˇˋ˅˪ˇ˖˃ˎ˟ː˖ǡ ˒˃˓ː˖˃˄ˑˆ˓˖˒ˑ˅˖ˇ˪ˢˎ˟ː˪˔˕˟˖˚ː˪˅Ǣ˅˪ːˊ˃˅ˉˇˋ˒˓ˋ˒˖˔ˍ˃˦˅ˋ˓˪˛ˈːǦ ːˢ˒ˈ˅ːˑ˫˒˓ˑ˄ˎˈˏˋǡˢˍ˃˒ˈ˓ˈˇ˄˃˚˃˦ǡˊˑˇːˑˆˑ˄ˑˍ˖ǡ˅ˋˍˑ˓ˋ˔˕˃ːːˢ ˓˪ˊːˑˏ˃ː˪˕ːˋ˘ ˏˈ˕ˑˇ˪˅ǡ ˊ˃˔ˑ˄˪˅ ː˃˅˚˃ːːˢǡ ˃ ˊ ˪ː˛ˑˆˑȄ ˪ː˕ˈˆ˓˖Ǧ ˅˃ːːˢ ˊː˃ː˟ǡ ˖ˏ˪ː˟ ˪ˊ ˓˪ˊːˋ˘ ˆ˃ˎ˖ˊˈˌ ː˃˖ˍˋǡ ˕ˈ˘ː˪ˍˋǡ ˕ˈ˘ːˑˎˑˆ˪˫ǡ ˕˅ˑ˓˚ˋ˘ˆ˃ˎ˖ˊˈˌǤ ʟˈˊ˖ˎ˟˕˃˕˅ˋˍˑː˃ːˋ˘˒˓ˑˈˍ˕˪˅ˏ˃˦˄˖˕ˋǼ˅˪ˇ˚˖˕ːˋˏǽǡ˕ˑ˄˕ˑǡ ˢˍ˜ˑ˙ˈ˕ˈˑ˓ˈ˕ˋ˚ː˃˒˓ˑ˄ˎˈˏ˃ǡ˔ˎ˪ˇˊ˃˒˓ˑ˒ˑː˖˅˃˕ˋˍˑːˍ˓ˈ˕ːˈ˫˫ ˅ˋ˓˪˛ˈːːˢǡ ˢˍ˜ˑ ˒˓˃ˍ˕ˋ˚ː˃Ȅ ˍˑːˍ˓ˈ˕ːˋˌ ˓ˈˊ˖ˎ˟˕˃˕ǡ ˆˑ˕ˑ˅ˋˌ ˇˑ˅˒˓ˑ˅˃ˇˉˈːːˢǤ ʟˑˎ˟ ˒ˈˇ˃ˆˑˆ˃ ˅ ˒˓ˑˈˍ˕ːˑˏ˖ ː˃˅˚˃ːː˪ ˔˖˕˕˦˅ˑ ˊˏ˪ːˡ˦˕˟˔ˢǤ ʖ˓ˈ˕˓˃ː˔ˎˢ˕ˑ˓˃ˊː˃ː˟˅˪ː˒ˈ˓ˈ˕˅ˑ˓ˡ˦˕˟˔ˢː˃˒˃˓˕ːˈ˓˃˕˃ˏ˖ˇ˓ˑˆˑ ː˃˔˕˃˅ːˋˍ˃ˇ˪˕ˈˌǤʞ˓ˑˈˍ˕ǡˢˍˋˌ˓ˈ˃ˎ˪ˊ˖ˡ˕˟˖˚ː˪ǡ˅ˋˍˎˋˍ˃˦˅ːˋ˘ ˈː˕˖ˊ˪˃ˊˏǡˊ˃˘ˑ˒ˎˡ˦ǡ˪ˇˈ˅˪ˇ˔ˈ˓˙ˢǤʐ˖ˇ˟Ǧˢˍ˖ˇ˪ˡǡ˜ˑ˅ˋˍˑː˖˦˕˟˔ˢ ˪ːˇˋ˅˪ˇ˖˃ˎ˟ːˑǡ˖ˆ˓˖˒˪ǡˊ˃˒˪ˇ˕˓ˋˏˍˋ˒ˈˇ˃ˆˑˆ˃˃˄ˑ˪ː˛ˋ˘ˎˡˇˈˌǡ ˇ˪˕ˋ˅˚˃˕˟˔ˢ˔˃ˏˑ˔˕˪ˌːˑ˒ˎ˃ː˖˅˃˕ˋǡ˅ˋˍˑː˖˅˃˕ˋǡ˃ː˃ˎ˪ˊ˖˅˃˕ˋˌˑ˙˪Ǧ ːˡ˅˃˕ˋǤʖ˅˪˔ːˑǡ˅ˑːˋˏ˃ˡ˕˟˚˪˕ˍˑ˓ˑˊ˖ˏ˪˕ˋǡˇˎˢ˚ˑˆˑ˙ˈ˓ˑ˄ˎˢ˕˟ǡ ˕ˑ˄˕ˑˏˈ˕˖˒˓ˑˈˍ˕˖Ǥ ʛˈ˕ˑˇ˒˓ˑˈˍ˕˪˅ǡˊ˃˅ˋˊː˃˚ˈːːˢˏǼʢˍ˓˃˫ː˔˟ˍˑˆˑ˒ˈˇ˃ˆˑˆ˪˚ːˑˆˑ ˔ˎˑ˅ːˋˍ˃ǽǡȄ ˙ˈ ˑ˓ˆ˃ː˪ˊ˃˙˪ˢ ː˃˅˚˃ːːˢǡ ˊ˃ ˢˍˑ˫ ˖˚ː˪ ː˃˄˖˅˃ˡ˕˟ ˊː˃ː˟˪ː˃˅ˋ˚ˑˍ˖˒˓ˑ˙ˈ˔˪˒ˎ˃ː˖˅˃ːːˢˌ˅ˋˍˑː˃ːːˢ˒˓˃ˍ˕ˋ˚ːˋ˘ ˊ˃˅ˇ˃ː˟Ȅ˒˓ˑˈˍ˕˪˅ǡˢˍ˪˒ˑ˔˕˖˒ˑ˅ˑ˖˔ˍˎ˃ˇːˡˡ˕˟˔ˢǤͳ 1 Гончаренко, С. Український педагогічний словник. — К., 1997. — С. 205. ШБІЦ № 2/2014 49
  • 3.
    Бібліотечна робота Інформаційнакультура ʞ˓˃ˍ˕ˋˍ˃ ˓ˈ˃ˎ˪ˊ˃˙˪˫ ˅ ˊ˃ˆ˃ˎ˟ːˑˑ˔˅˪˕ː˪ˌ ˛ˍˑˎ˪ ˖˔˒˪˛ːˋ˘ ː˃Ǧ ˅˚˃ˎ˟ːˋ˘ ˪ ˔ˑ˙˪˃ˎ˟ːˋ˘ ˒˓ˑˈˍ˕˪˅ ˇ˃˦ ˒˪ˇ˔˕˃˅ˋ ˔˕˅ˈ˓ˇˉ˖˅˃˕ˋǡ ˜ˑ ˔˃ˏˈˏˈ˕ˑˇ˕˅ˑ˓˚ˋ˘˖˚ː˪˅˔˟ˍˋ˘˒˓ˑˈˍ˕˪˅ˊ˃˄ˈˊ˒ˈ˚˖˦˗ˑ˓ˏ˖˅˃ːːˢ ː˃˅ˋ˚ˑˍˏˋ˔ˎˈːːˢ˅ˋ˔ˑˍˑˆˑ˓˪˅ːˢǡˊ˄˖ˇˉ˖˦˒˪ˊː˃˅˃ˎ˟ː˪˪ː˕ˈ˓ˈ˔ˋ ˖˚ː˪˅ǡ˔˒ˑː˖ˍ˃˦ˇˑˊ˃˔˕ˑ˔˖˅˃ːːˢː˃˄˖˕ˋ˘ˊː˃ː˟ǡ˖ˏ˪ː˟˪ː˃˅ˋ˚ˑˍ ˖˅ˋ˓˪˛ˈːː˪˒˓˃ˍ˕ˋ˚ːˋ˘ˊ˃˅ˇ˃ː˟ǡ˜ˑ˅ˋːˋˍ˃ˡ˕˟˒˪ˇ˚˃˔ː˃˅˚˃ːːˢ ˕˃˅˒ˑ˅˔ˢˍˇˈːː˪ˌ˒˓˃ˍ˕ˋ˙˪Ǥ ʓˈ˕˃ˎ˟ː˪˛ˈ ˒˓ˑ ː˃˅˚˃ˎ˟ː˪ ˒˓ˑˈˍ˕ˋ ˚ˋ˕˃ˌ˕ˈ ˅ ː˃˅ˈˇˈː˪ˌ ː˃ ˍˑˏ˒˃ˍ˕Ǧˇˋ˔ˍ˖ ˒˓ˈˊˈː˕˃˙˪˫ Ǽʜ˃˅˚˃ˎ˟ː˪ ˒˓ˑˈˍ˕ˋǤ ʨˑ ˏˑˉˈ ˄˖˕ˋ˙˪ˍ˃˅˪˛ˈǫǽ Навчальний проект у бібліотечній практиці ʠ˟ˑˆˑˇː˪˅˔ˈ˄˪ˎ˟˛ˈ˄˪˄ˎ˪ˑ˕ˈˍ˃˓˪˅ǡˑ˄ˋ˓˃ˡ˚ˋˊ˃˔ˑ˄ˋ˓ˈ˃ˎ˪ˊ˃˙˪˫ ˔˅ˑ˫˘ ˗˖ːˍ˙˪ˌǡ ˊˑˍ˓ˈˏ˃ ˑ˔˅˪˕ː˟ˑ˫ ˕˃ ˅ˋ˘ˑ˅ːˑ˫ǡ ː˃ˇ˃ˡ˕˟ ˒ˈ˓ˈ˅˃ˆ˖ ˄˪˄ˎ˪ˑ˕ˈ˚ːˑˏ˖˒˓ˑˈˍ˕˖˅˃ːːˡǤʠ˅˪ˇ˚ˈːːˢ˕ˑˆˑȄ˚ˋ˔ˎˈːː˪˒˖˄ˎ˪Ǧ ˍ˃˙˪˫˗˃˘ˑ˅ˋ˘˒ˈ˓˪ˑˇˋ˚ːˋ˘˅ˋˇ˃ː˟Ǥʞ˓ˑˈˍ˕ˋǡ˓ˑˊ˓ˑ˄ˎˈː˪ˌ˖˔˒˪˛ːˑ ˓ˈ˃ˎ˪ˊˑ˅˃ː˪˄˪˄ˎ˪ˑ˕ˈ˚ːˋˏˋ˒˓˃˙˪˅ːˋˍ˃ˏˋǡˑ˘ˑ˒ˎˡˡ˕˟˓˪ˊː˪ː˃˒˓ˢǦ ˏˋ ˄˪˄ˎ˪ˑ˕ˈ˚ːˑ˫ ˇ˪ˢˎ˟ːˑ˔˕˪ǣ ˅˪ˇ ˖˒˓˃˅ˎ˪ːːˢ ˇˑ ˑˍ˓ˈˏˋ˘ ˃˔˒ˈˍ˕˪˅ ˄˪˄ˎ˪ˑ˕ˈ˚ːˑˆˑˑ˄˔ˎ˖ˆˑ˅˖˅˃ːːˢǤʞ˓˃˙ˡˡ˚ˋ˅˔˒ˈ˙ˋ˗˪˚ːˋ˘˖ˏˑ˅˃˘ǡ ː˃ˎ˃ˆˑˇˉ˖ˡ˚ˋ˒˃˓˕ːˈ˓˔˟ˍ˖˅ˊ˃˦ˏˑˇ˪ˡˊ˖˔˪ˏ˃˖˚˃˔ːˋˍ˃ˏˋˑ˔˅˪˕Ǧ ː˟ˑˆˑ ˒˓ˑ˙ˈ˔˖ǡ ˛ˍ˪ˎ˟ː˪ ˄˪˄ˎ˪ˑ˕ˈˍˋ ˏ˃ˡ˕˟ ˖ː˪ˍ˃ˎ˟ː˪ ˏˑˉˎˋ˅ˑ˔˕˪ ˇˎˢ ˓ˈ˃ˎ˪ˊ˃˙˪˫ ˔ˑ˙˪˃ˎ˟ːˋ˘ǡ ˅ˋ˘ˑ˅ːˋ˘ ˪ ː˃˅˚˃ˎ˟ːˋ˘ ˒˓ˑˈˍ˕˪˅Ǥ ʓˎˢ ˅ˋˍˑː˃ːːˢˍˑˉːˑˆˑːˑ˅ˑˆˑ˒˓ˑˈˍ˕˖ȋˊ˃ˇ˖ˏ˃ːˑˆˑ˔˃ˏˑˡˇˋ˕ˋːˑˡǡ ˆ˓˖˒ˑˡǡˍˎ˃˔ˑˏǡ˔˃ˏˑ˔˕˪ˌːˑ˃˄ˑˊ˃˖˚˃˔˕ˡ˄˪˄ˎ˪ˑ˕ˈˍ˃˓ˢȌ˅ˋ˓˪˛˖Ǧ ˡ˕˟˔ˢˍ˪ˎ˟ˍ˃˙˪ˍ˃˅ˋ˘ǡˍˑ˓ˋ˔ːˋ˘˪˒ˑ˅ǯˢˊ˃ːˋ˘˪ˊ˓ˈ˃ˎ˟ːˋˏˉˋ˕˕ˢˏ ˊ˃˅ˇ˃ː˟Ǥʨˑ˄ˇˑˏˑˆ˕ˋ˔ˢ˖˔˒˪˘˖ǡˇ˪˕ˢˏ˜ˑ˓˃ˊ˖ˇˑ˅ˑˇˋ˕˟˔ˢˇˑ˄˖˅˃˕ˋ ːˈˑ˄˘˪ˇː˪ˊː˃ːːˢ˕˃ˊ˫˘ˇˑ˒ˑˏˑˆˑˡ˅ˋˍˑː˖˅˃˕ˋˍˑːˍ˓ˈ˕ː˖˓ˑ˄ˑ˕˖Ǥ ʶˇˈ˃ˎ˟ːˋˌ˒˓ˑˈˍ˕˕ˑˌǡˇˎˢ˓ˈ˃ˎ˪ˊ˃˙˪˫ˢˍˑˆˑːˈˑ˄˘˪ˇː˪ˊː˃ːːˢˊ˓˪ˊǦ ːˋ˘ˆ˃ˎ˖ˊˈˌǡ˜ˑˇ˃ˡ˕˟ˊˏˑˆ˖˓ˑˊ˅ǯˢˊ˃˕ˋ˙˪ˎˋˌˍˑˏ˒ˎˈˍ˔˒˓ˑ˄ˎˈˏǤ ʞ˓ˋˍˎ˃ˇ˪˅˕˃ˍˋ˘˒˓ˑˈˍ˕˪˅ˏˑˉː˃ː˃˅ˈ˔˕ˋ˚ˋˏ˃ˎˑǤ ʢˉˈ˄˃ˆ˃˕ˑ˓ˑˍ˪˅˒ˑ˔˒˪ˎ˟ʠˎ˃˅˖˕ˋ˙˟ˍˋˌˏ˪˔˟ˍˋˌˏˈ˕ˑˇˋ˚ːˋˌ ˙ˈː˕˓˅˪ˇˇ˪ˎ˖ˑ˔˅˪˕ˋȋʙˋ˫˅˔˟ˍ˃ˑ˄ˎǤȌ˒˓ˑ˅ˑˇˋ˕˟ˏ˪˔˟ˍˋˌˑˆˎˢˇǦˍˑːǦ ˍ˖˓˔˪ːˇˋ˅˪ˇ˖˃ˎ˟ːˋ˘˪ˍˑˎˈˍ˕ˋ˅ːˋ˘˕˅ˑ˓˚ˋ˘˒˓ˑˈˍ˕˪˅Ǽʐ˪˄ˎ˪ˑ˕ˈˍ˃ ʤʤʶ˔˕ˑˎ˪˕˕ˢǽ˅˓˃ˏˍ˃˘ʑ˔ˈ˖ˍ˓˃˫ː˔˟ˍˑ˫˃ˍ˙˪˫Ǽʕˋ˅ˋǡˍːˋˆˑǨǽǤ2ʏˍ˕ˋ˅Ǧ ːˋˏˋ˖˚˃˔ːˋˍ˃ˏˋ˙˟ˑˆˑˊˏ˃ˆ˃ːːˢ˦ːˈˎˋ˛ˈ˛ˍ˪ˎ˟ː˪˄˪˄ˎ˪ˑ˕ˈˍ˃˓˪ǡ ˃ˌ˄˃ˆ˃˕ˑ˕˅ˑ˓˚ˋ˘˒ˈˇ˃ˆˑˆ˪˅Ǥʏ˒ˈ˓ˈˏˑˉ˙ˢˏˋˊ˃ˊ˅ˋ˚˃ˌ˔˕˃ˡ˕˟˕˪ ˊːˋ˘ǡˍˑˏ˖˅ˇ˃ˎˑ˔ˢː˃ˇˋ˘ː˖˕ˋˇ˪˕ˈˌȋ˃˪ːˍˑˎˋǡː˃˅˪˕˟˪˫˘˄˃˕˟ˍ˪˅Ȍ ː˃ ˑ˓ˋˆ˪ː˃ˎ˟ː˪ ˪ˇˈ˫ǡ ˊ˃ˎ˖˚ˋ˕ˋ ˏˑˉˎˋ˅ˑ˔˕˪ ˕˃ ˄˃ˉ˃ːːˢ ˍˑˉːˑˆˑ ˊ˃ˇˎˢˇˑ˔ˢˆːˈːːˢ˔˒˪ˎ˟ːˑ˫ǡˇ˪ˌ˔ːˑˍˑ˓ˋ˔ːˑ˫ˏˈ˕ˋǤ3 2 Положення про міський огляд-конкурс індивідуальних і колективних творчих проектів «Бібліотека ХХІ» століття» в рамках Всеукраїнської акції «Живи, книго!» (http://sasl.at.ua/ index/0-16). 3 Підсумки міського огляду-конкурсу творчих проектів «Бібліотека ХХІ століття» (2008 рік: http://sasl.at.ua/board/2-1-0-47; 2009 рік: http://sasl.at.ua/board/2-1-0-145; 2010 рік: http:// sasl.at.ua/news/viznacheno_peremozhciv_miskogo_ogljadu_konkursu_biblioteka_khkhi_ stolittja_v_ramkakh_vseukrajinskoji_akciji_zhivi_knigo/2010-05-14-49). ʓʓˋˋ˅˅ǤˇǤˇˑˑˇˇ˃˃˕˕ˑˑˍˍͷͷ 50 ШБІЦ № 2/2014
  • 4.
    Бібліотечна робота Інформаційнакультура Навчальне проектування в курсі «Основи інформаційної культури» ʞˑ˛˕ˑ˅˘ˑˏˇˑ˅˒˓ˑ˅˃ˇˉˈːːˢ˅ˊ˃ˆ˃ˎ˟ːˑˑ˔˅˪˕ː˪˘ː˃˅˚˃ˎ˟ːˋ˘ ˊ˃ˍˎ˃ˇ˃˘ˏǤʠˎ˃˅˖˕ˋ˚˃˔˒ˈ˙˪˃ˎ˟ːˑˆˑˍ˖˓˔˖ˇˎˢ˗ˑ˓ˏ˖˅˃ːːˢ˪ː˗ˑ˓Ǧ ˏ˃˙˪ˌːˑ˫ ˆ˓˃ˏˑ˕ːˑ˔˕˪ ˛ˍˑˎˢ˓˪˅ ˔˕˃ˎˋ ˓ˈˊ˖ˎ˟˕˃˕ˋ ˏˑː˪˕ˑ˓ˋːˆ˖ǡ ˒˓ˑ˅ˈˇˈːˑˆˑˏ˪˔˟ˍˑˡˏˈ˕ˑˇˋ˚ːˑˡ˔ˎ˖ˉ˄ˑˡǡ˜ˑˇˑ˔˗ˑ˓ˏˑ˅˃ːˑ˔˕˪ ː˃˅˚˃ˎ˟ːˑǦ˪ː˗ˑ˓ˏ˃˙˪ˌːˋ˘˖ˏ˪ː˟˖˚ː˪˅˖˒˓ˑ˙ˈ˔˪˅ˋ˅˚ˈːːˢːˋˏˋ ˔˖˔˒˪ˎ˟ːˑǦˆ˖ˏ˃ː˪˕˃˓ːˋ˘ˇˋ˔˙ˋ˒ˎ˪ːȋͳͻͻͻ˓˪ˍȌǤʜ˃˕ˑˌ˚˃˔ː˃˅˚˃ˎ˟Ǧ ːˑ˫˒˓ˑˆ˓˃ˏˋ˕˃ˍˑˆˑˍ˖˓˔˖˅ʢˍ˓˃˫ː˪ːˈ˪˔ː˖˅˃ˎˑǤʜ˃˕ˑˏ˪˔˕˟˖ʟˑ˔˪˫ ˅ˉˈ˅˒˓ˑ˅˃ˇˉ˖˅˃ˎˋ˔ˢˍ˖˓˔ˋˊ˪ː˗ˑ˓ˏ˃˙˪ˌːˑ˫ˍ˖ˎ˟˕˖˓ˋǡ˓ˑˊ˓ˑ˄ˎˈː˪ ː˃˖ˍˑ˅˙ˢˏˋ ˕˃ ˄˪˄ˎ˪ˑ˕ˈˍ˃˓ˢˏˋǦ˒˓˃ˍ˕ˋˍ˃ˏˋǤͶ ʠ˃ˏˈ ˙˪ ˒˓ˑˆ˓˃ˏˋ ˄˖ˎˑ˅ˊˢ˕ˑˊ˃ˑ˔ːˑ˅˖˒˪ˇ˚˃˔˖ˍˎ˃ˇ˃ːːˢː˃˅˚˃ˎ˟ːˑ˫˒˓ˑˆ˓˃ˏˋˍ˖˓˔˖ ˊ˃˅ˋ˄ˑ˓ˑˏǼʝ˔ːˑ˅ˋ˪ː˗ˑ˓ˏ˃˙˪ˌːˑ˫ˍ˖ˎ˟˕˖˓ˋǽǡˢˍ˖˄˖ˎˑ˃˒˓ˑ˄ˑǦ ˅˃ːˑ˔˒ˑ˚˃˕ˍ˖˅ͳͲȂͳͳǦ˘ǡˊˆˑˇˑˏȄ˖ͷǦ˘˪ͻǦ˘ˍˎ˃˔˃˘ʖʝʧʶȂʶʶʶ˔˕Ǥ ͒Ͷǡ˃˒˪ˊː˪˛ˈ˃ˇ˃˒˕ˑ˅˃ːˑˇˎˢ˅ˋ˅˚ˈːːˢ˒ˈ˓˛ˑˍ˖˓˔ːˋˍ˃ˏˋˎ˪˙ˈˡͷǤ ʜ˃˅˚˃ˎ˟ːˑǦ˕ˈˏ˃˕ˋ˚ːˋˌ ˒ˎ˃ː ˍ˖˓˔˖ Ǽʝ˔ːˑ˅ˋ ˪ː˗ˑ˓ˏ˃˙˪ˌːˑ˫ ˍ˖ˎ˟˕˖˓ˋǽˇˎˢ˖˚ː˪˅ˎ˪˙ˈˡː˃˅ˈˇˈːˑː˃ˍˑˏ˒˃ˍ˕Ǧˇˋ˔ˍ˖ ʐ˃ˆ˃˕ˑ˓˪˚ː˃ ˒˓˃ˍ˕ˋˍ˃ ˅ˋˍˑ˓ˋ˔˕˃ːːˢ ˒˓ˑˈˍ˕ːˋ˘ ˕ˈ˘ːˑˎˑˆ˪ˌ ˖˗ˑ˓ˏ˖˅˃ːː˪ˏˈˇ˪˃Ǧ˕˃˪ː˗ˑ˓ˏ˃˙˪ˌːˑ˫ˆ˓˃ˏˑ˕ːˑ˔˕˪˛ˍˑˎˢ˓˪˅˒˪ˇ˚˃˔ ˅ˋ˅˚ˈːːˢˍ˖˓˔˖Ǽʝ˔ːˑ˅ˋ˪ː˗ˑ˓ˏ˃˙˪ˌːˑ˫ˍ˖ˎ˟˕˖˓ˋǽǡ˃˕˃ˍˑˉ˕˓ˈː˪ːǦ ˆˑ˅˃ˇ˪ˢˎ˟ː˪˔˕˟ˊ˃˒˓ˑˆ˓˃ˏˑˡǼ
  • 5.
    –‡Ž̺ʜ˃˅˚˃ːːˢˇˎˢˏ˃ˌ˄˖˕ː˟ˑˆˑǽ ˇ˃ˡ˕˟˒˪ˇ˔˕˃˅ˋ˒ˑˇ˪ˎˋ˕ˋ˔ˢː˃˄˖˕ˋˏˇˑ˔˅˪ˇˑˏ˪ˌˑˆˑ˓ˈˊ˖ˎ˟˕˃˕˃ˏˋǤ ʔ˗ˈˍ˕ˋ˅ːˋˏˏˈ˕ˑˇˑˏ˖˓ˈ˃ˎ˪ˊ˃˙˪˫ˊ˃˅ˇ˃ː˟ˍ˖˓˔˖˜ˑˇˑ˗ˑ˓ˏ˖Ǧ ˅˃ːːˢˍˎˡ˚ˑ˅ˋ˘˪ː˗ˑ˓ˏ˃˙˪ˌːˋ˘ˍˑˏ˒ˈ˕ˈː˕ːˑ˔˕ˈˌ˖˚ː˪˅˅ˋˊː˃˚ˈːˑ ː˃˅˚˃ˎ˟ːˈ˒˓ˑˈˍ˕˖˅˃ːːˢǡˢˍˈˊ˃˔˕ˑ˔ˑ˅˖˦˕˟˔ˢˢˍˈˎˈˏˈː˕ˑˍ˓ˈˏˑˆˑ ˊ˃ːˢ˕˕ˢǢ ˢˍ ˒˓ˑˈˍ˕ː˃ ˗ˑ˓ˏ˃ ˖˓ˑˍ˖Ǣ ˢˍ ˒˓ˑˈˍ˕ǡ ˓ˑˊ˓˃˘ˑ˅˃ːˋˌ ː˃ ˅ˋ˅˚ˈːːˢˑˍ˓ˈˏˑ˫˕ˈˏˋǢˢˍ˒˓ˑˈˍ˕ǡ˔˃ˏˑ˔˕˪ˌːˑ˓ˑˊ˓ˑ˄ˎˈːˋˌ˪˅ˋǦ ˍˑː˃ːˋˌ˖˚ːˢˏˋǤ ʶː˗ˑ˓ˏ˃˙˪ˌː˪ː˃˅ˋ˚ˍˋ˕˃˅ˏ˪ːːˢǡ˜ˑ˗ˑ˓ˏ˖ˡ˕˟˔ˢ˅˖˚ː˪˅ː˃ ˅˔˪˘ˈ˕˃˒˃˘˓ˈ˃ˎ˪ˊ˃˙˪˫˒˓ˑˈˍ˕˖ǡː˃˅ˈˇˈːˑ˅˕˃˄ˎˋ˙˪Ǥ ʡ˃˄ˎˋ˙ˢ ʓʓˋˋ˅˅ǤˇǤˇˑˑˇˇ˃˃˕˕ˑˑˍˍͷ͸ ʔ˕˃˒ˋ ʶː˗ˑ˓ˏ˃˙˪ˌː˪ː˃˅ˋ˚ˍˋ˕˃˅ˏ˪ːːˢ ʔ˕˃˒ˑ˓˪˦ː˕˖˅˃ːːˢ ¾ ˅ˋˊː˃˚˃˕ˋ˕ˈˏ˖Ȁ˒˓ˈˇˏˈ˕ˇˑ˔ˎ˪ˇˉˈːːˢ ¾ ˅ˋˊː˃˚˃˕ˋ˙˪ˎ˟ˑ˅˖˃˖ˇˋ˕ˑ˓˪ˡ˒˓ˈˊˈː˕˃˙˪˫ ʔ˕˃˒˓ˑˊ˓ˑ˄ˎˈːːˢ ¾ ˅ˋ˄ˋ˓˃˕ˋ˅˪ˇ˒ˑ˅˪ˇː˖˗ˑ˓ˏ˖˒˓ˈˇ˔˕˃˅ˎˈːːˢˆˑ˕ˑ˅ˑˆˑ ˪ː˗ˑ˓ˏ˃˙˪ˌːˑˆˑ˒˓ˑˇ˖ˍ˕˖ ¾ ˅ˋˢ˅ˎˢ˕ˋˍˎˡ˚ˑ˅˪˔ˎˑ˅˃ ¾ ˒ˎ˃ː˖˅˃˕ˋ˔˕˓˃˕ˈˆ˪ˡ˒ˑ˛˖ˍ˖ ¾ ˅ˋˊː˃˚˃˕ˋˍˑˎˑˌ˕ˋ˒ˇˉˈ˓ˈˎ˪ː˗ˑ˓ˏ˃˙˪˫ ʔ˕˃˒˒ˎ˃ː˖˅˃ːːˢ ¾ ˅ˋˊː˃˚˃˕ˋˈ˕˃˒ˋ˒˓ˑ˙ˈ˔˖ ¾ ˓˃˙˪ˑː˃ˎ˟ːˑ˓ˑˊ˒ˑˇ˪ˎˢ˕ˋ˚˃˔ ¾ ˓ˑˊ˒ˑˇ˪ˎˢ˕ˋˑ˄ˑ˅ǯˢˊˍˋˏ˪ˉ˚ˎˈː˃ˏˋˆ˓˖˒ˋ 4 Мяэотс, О. Н. Уроки информационной грамотности в школе : метод. рекомендации. — М. , 2005. — 29 с. — (Серия «Библиотека в школе»; вып. 2); Основы информационной культуры : учеб. программа курса для учащихся ст. кл. общеобр. школ, гимназий, лицеев // Форм. информ. культ. личности в б-ках и общеобразоват. учреждениях / Гендина Н. И. и др. — М., 2002. — С. 37–50; Основы информационной культуры : прогр. дополн. образования для уч. 1–11 классов. — Озерск, 2000. — 27 с. 5 Навчальна програма для учнів ліцею «Основи інформаційної культури» схвалена науково- методичною радою Київського обласного інституту післядипломної освіти педагогічних кадрів (протокол № 7 від 01.11.07 р.). ШБІЦ № 2/2014 51
  • 6.
    Бібліотечна робота Інформаційнакультура ʖ˃ˍ˪ː˚ˈːːˢ˕˃˄ˎˋ˙˪ ʔ˕˃˒ˋ ʶː˗ˑ˓ˏ˃˙˪ˌː˪ː˃˅ˋ˚ˍˋ˕˃˅ˏ˪ːːˢ ʔ˕˃˒˓ˈ˃ˎ˪ˊ˃˙˪˫ ¾ ˊː˃˘ˑˇˋ˕ˋ˓ˈ˔˖˓˔ˋ˅˪ˇ˒ˑ˅˪ˇːˑˇˑˑ˄˓˃ːˑ˫˕ˈˏˋ ¾ ˅ˋˢ˅ˎˢ˕ˋ˪ː˗ˑ˓ˏ˃˙˪ˡˊ˕ˈˏˋ ¾ ˒˓ˑ˅ˑˇˋ˕ˋˑ˒ˋ˕˖˅˃ːːˢǡ˄˓˃˕ˋ˖˚˃˔˕˟˖ˇˑ˔ˎ˪ˇːˋ˙˟ˍˋ˘ ˈˍ˔ˍ˖˓˔˪ˢ˘ǡˊˇ˪ˌ˔ːˡ˅˃˕ˋ˪ː˛˪ˊˑ˅ː˪˛ː˪ˇˑ˔ˎ˪ˇˉˈːːˢ ʖ˄ˋ˓˃ːːˢ˪ː˗ˑ˓ˏ˃˙˪˫ ¾ ˅ˋ˄ˋ˓˃˕ˋ˓ˈˎˈ˅˃ː˕ː˖ȋ˜ˑ˅˪ˇ˒ˑ˅˪ˇ˃˦ˊ˃˒ˋ˕˖Ȍ˪ː˗ˑ˓ˏ˃˙˪ˡ ¾ ˅ˋˊː˃˚˃˕ˋ˓˪˅ˈː˟˅˃ˉˎˋ˅ˑ˔˕˪ˇˉˈ˓ˈˎ˪ː˗ˑ˓ˏ˃˙˪˫ȋː˃ˇ˕ˑ ˒˓ˑ˔˕˪ǡː˃ˇ˕ˑ˔ˍˎ˃ˇː˪˃˄ˑː˃ˌ˄˪ˎ˟˛˅ˇ˃ˎ˪Ȍ ¾ ˔ˑ˓˕˖˅˃˕ˋ˪ː˗ˑ˓ˏ˃˙˪ˡ ¾ ˓ˑˊ˒˪ˊː˃˅˃˕ˋ˗˃ˍ˕ˋǡ˓ˑˊˇ˖ˏˋ˕˃˅ˋˏˋ˔ˈˎ ʠ˕˅ˑ˓ˈːːˢ˅ˎ˃˔ːˑˆˑ ˪ː˗ˑ˓ˏ˃˙˪ˌːˑˆˑ˒˓ˑˇ˖ˍ˕˖ ¾ ˊˆˑ˓˕˃˕ˋ˪ː˗ˑ˓ˏ˃˙˪ˡ˛ˎˢ˘ˑˏ˅ˈˇˈːːˢˊ˃˒ˋ˔˪˅ǡˍˑː˔˒ˈˍ˕˪˅ǡ ˅ˋ˒ˋ˔ˑˍ˃˄ˑˊ˃ˇˑ˒ˑˏˑˆˑˡː˃ˑ˚ːˋ˘˗ˑ˓ˏǣ˔˘ˈˏǡˆ˓˃˗˪ˍ˪˅ǡ ˈ˔ˍ˪ˊ˪˅˕ˑ˜ˑ ¾ ˓ˑˊ˕˃˛ˑ˅˖˅˃˕ˋˇ˃ː˪˅ˎˑˆ˪˚ːˑˏ˖˒ˑ˓ˢˇˍ˖ ¾ ˍ˓ˋ˕ˋ˚ːˑ˒ˈ˓ˈˑ˔ˏˋ˔ˎˡ˅˃˕ˋˑˇˈ˓ˉ˃ː˖˪ː˗ˑ˓ˏ˃˙˪ˡǡ ˅ˋˍˎ˃ˇ˃˕ˋ˫˫˔˅ˑ˫ˏˋ˔ˎˑ˅˃ˏˋ ¾ ˓ˈˇ˃ˆ˖˅˃˕ˋ˕ˈˍ˔˕ˋ ¾ ˆ˓˃ˏˑ˕ːˑˑ˗ˑ˓ˏˎˢ˕ˋ˪ː˗ˑ˓ˏ˃˙˪ˌːˋˌ˒˓ˑˇ˖ˍ˕ ʔ˕˃˒˒˓ˈˊˈː˕˃˙˪˫˓ˈˊ˖ˎ˟Ǧ ˕˃˕˪˅˒˓ˑˈˍ˕˖ ¾ ˆˑ˕˖˅˃˕ˋ˔ˢˇˑ˃ˍ˕ˋ˅ːˑ˫˒˓ˈˊˈː˕˃˙˪˫˓ˈˊ˖ˎ˟˕˃˕˪˅˓ˑ˄ˑ˕ˋ ¾ ˅ˋˍˎ˃ˇ˃˕ˋ˪ː˗ˑ˓ˏ˃˙˪ˡ˒ˈ˓ˈˇ˛ˋ˓ˑˍˋˏˊ˃ˆ˃ˎˑˏǡ˅˪ˇˑ˄˓˃Ǧ ˉ˃˕ˋ˪ː˗ˑ˓ˏ˃˙˪ˡ˖˗ˑ˓ˏ˃˕˪ǡˇˑ˔˕˖˒ːˑˏ˖ˇˎˢ˃˖ˇˋ˕ˑ˓˪˫Ǣ ˇˑ˙˪ˎ˟ːˑ˅ˋˍˑ˓ˋ˔˕ˑ˅˖˅˃˕ˋ˕ˈ˘ː˪ˍ˖ ʔ˕˃˒ˑ˙˪ːˡ˅˃ːːˢ˒˓ˑˈˍ˕˖ ¾ ˔˒˓ˋˌˏ˃˕ˋˊ˅ˑ˓ˑ˕ːˋˌˊ˅ǯˢˊˑˍ˅˪ˇ˪ː˛ˋ˘ȋ˖˚ː˪˅ǡ˖˚ˋ˕ˈǦ ˎ˪˅ǡ˄˪˄ˎ˪ˑ˕ˈˍ˃˓˪˅Ȍ ¾ ˔˃ˏˑ˔˕˪ˌːˑ˃ː˃ˎ˪ˊ˖˅˃˕ˋ˕˃ˑ˙˪ːˡ˅˃˕ˋ˓ˈˊ˖ˎ˟˕˃˕ˋ ˔˅ˑ˦˫ˇ˪ˢˎ˟ːˑ˔˕˪ ¾ ˓ˑ˄ˋ˕ˋ˅ˋ˔ːˑ˅ˍˋǡ˒ˑ˓˪˅ːˡ˅˃˕ˋǡ˖ˊ˃ˆ˃ˎ˟ːˡ˅˃˕ˋ ʔ˕˃˒˅ˋˍˑ˓ˋ˔˕˃ːːˢ ˓ˈˊ˖ˎ˟˕˃˕˪˅˓ˑ˄ˑ˕ˋ ː˃ˇ˒˓ˑˈˍ˕ˑˏ ¾ ˃ː˃ˎ˪ˊ˖˅˃˕ˋˊ˅ˑ˓ˑ˕ːˋˌˊ˅ǯˢˊˑˍ˪ˑ˙˪ːˍˋ ¾ ˅ˋˍˑ˓ˋ˔˕ˑ˅˖˅˃˕ˋˇ˃ː˪ˑ˙˪ːˡ˅˃ːːˢˇˎˢː˃˔˕˖˒ːˑ˫˓ˑ˄ˑ˕ˋ ¾ ˊ˃˔˕ˑ˔ˑ˅˖˅˃˕ˋː˃˄˖˕˪ˊː˃ːːˢ˅˓˪ˊːˑˏ˃ː˪˕ːˋ˘ ːˑ˅ˋ˘˔ˋ˕˖˃˙˪ˢ˘ ¾ ˅ˋˊː˃˚˃˕ˋˍˑˎˑ˪ː˛ˋ˘ː˃˅˚˃ˎ˟ːˋ˘˒˓ˈˇˏˈ˕˪˅ǡˇˈˏˑˉː˃ ˅ˋˍˑ˓ˋ˔˕˃˕ˋː˃˄˖˕˪ː˃˅ˋ˚ˍˋ ¾ ˒ˑˏ˪˔˕ˋ˕ˋ˪ː˗ˑ˓ˏ˃˙˪ˌːˋˌ˒˓ˑˇ˖ˍ˕˖˒ˑ˓˕˗ˈˎ˟ˑ˔ˑ˄ˋ˔˕ˋ˘ ˇˑ˔ˢˆːˈː˟ȋ˒ˑ˓˕˗ˑˎ˪ˑȌ На шляху до власного проекту ʝ˔˅˪˕ː˪ˊ˃˅ˇ˃ːːˢ˒˓ˑˈˍ˕ːˑ˫˕ˈ˘ːˑˎˑˆ˪˫Ȅ˒˓ˑ˄˖ˇˋ˕ˋ˅˖˚ː˪˅ ˪ː˕ˈ˓ˈ˔ˇˑ˒ˑ˛˖ˍˑ˅ˑ˫˓ˑ˄ˑ˕ˋǡ˔˕˅ˑ˓ˋ˕ˋˇˎˢ˙˟ˑˆˑ˕˃ˍ˪˒˔ˋ˘ˑˎˑˆ˪˚ː˪ ˕˃ˇˋˇ˃ˍ˕ˋ˚ː˪˖ˏˑ˅ˋǡˢˍ˪˄˔˒˓ˋˢˎˋ˗ˑ˓ˏ˖˅˃ːːˡ˪ː˗ˑ˓ˏ˃˙˪ˌːˑ˫ ˍ˖ˎ˟˕˖˓ˋ˛ˍˑˎˢ˓˪˅Ȅ˓ˑˊ˅ˋ˕ˍ˖˅ˏ˪ː˟˪ː˃˅ˋ˚ˑˍǡːˈˑ˄˘˪ˇːˋ˘ˇˎˢ ˅ˋˍˑː˃ːːˢːˈ˔˕˃ːˇ˃˓˕ːˋ˘ˊ˃˅ˇ˃ː˟Ǣː˃˅˚ˋ˕ˋ˔˃ˏˑ˔˕˪ˌːˑˇˑ˔ˎ˪ˇˉ˖Ǧ ˅˃˕ˋ ˍˑːˍ˓ˈ˕ː˖ ː˃˖ˍˑ˅˖ ˒˓ˑ˄ˎˈˏ˖ǡ ˖ ˓ˈˊ˖ˎ˟˕˃˕˪ ˚ˑˆˑ ˖˚ˈː˟ ˏ˃˦ ˑ˕˓ˋˏ˃˕ˋ ːˑ˅˖ ˪ː˗ˑ˓ˏ˃˙˪ˡǤ ʑˋˍˑ˓ˋ˔˕˃ːːˢ ˏˈ˕ˑˇ˖ ˒˓ˑˈˍ˕˪˅ ˒˪ˇ ˚˃˔ˏˑˇˈˎˡ˅˃ːːˢ˄˪˄ˎ˪ˑ˕ˈ˚ːˋ˘ˊ˃ːˢ˕˟ˇˈ˕˃ˎ˟ːˑˑ˒ˋ˔˃ːˑ˅˔˕˃˕˕˪ ʑǤʐǤ ʏː˕ˋ˒ˑ˅ˑ˫ Ǽʜˈ˕˓˃ˇˋ˙˪ˌː˪ ˏˑˇˈˎ˪ ˒˓ˑ˅ˈˇˈːːˢ ˄˪˄ˎ˪ˑ˕ˈ˚ːˋ˘ ˖˓ˑˍ˪˅ǽǤ͸ ʟˈˊ˖ˎ˟˕˃˕ˑˏ ˖˒˓ˑ˅˃ˇˉˈːːˢ ˕˃ˍˋ˘ ˏˑˇˈˎˈˌ ˏ˃˦ ˔˕˃˕ˋ 6 Антипова, В. Б. Нетрадиционные модели проведения библиотечных уроков // Школьная библиотека. — 2006. — № 4. — С. 32–39. — Режим доступу: http://schoollibrary.ioso.ru/ index.php?news_id=496. — Назва з екрана. — Дата звернення 29.01.2014. 52 ШБІЦ № 2/2014
  • 7.
    Бібліотечна робота Інформаційнакультура ːˈˎˋ˛ˈ˗ˑ˓ˏ˖˅˃ːːˢː˃˅ˋ˚ˑˍ˪ː˗ˑ˓ˏ˃˙˪ˌːˑǦ˒ˑ˛˖ˍˑ˅ˑ˫ˇ˪ˢˎ˟ːˑ˔˕˪ǡ ˃ˌː˃˄˖˕˕ˢˊː˃ː˟˪ˊ˕ˈˏˋˇˑ˔ˎ˪ˇˉˈːːˢǤ ʓˑ ˒˓ˑˈˍ˕ːˑ˫ ˇ˪ˢˎ˟ːˑ˔˕˪ ˇ˪˕ˈˌ ˔ˎ˪ˇ ˊ˃ˎ˖˚˃˕ˋ ˒ˑˈ˕˃˒ːˑǤ ʜ˃ ˒ˈ˓˛ˑˏ˖ ˈ˕˃˒˪Ȅ ˅ˋ˅˚ˈːːˢ ˖˚ː˪˅Ȅ ˒ˑ˕˓˪˄ːˑ ˒˓ˑ˅ˈ˔˕ˋ ˃ːˍˈ˕˖Ǧ ˅˃ːːˢ ˊ ˏˈ˕ˑˡ ˅ˋˢ˅ˎˈːːˢ ˓˪˅ːˢ ˔˗ˑ˓ˏˑ˅˃ːˑ˔˕˪ ˅ˏ˪ː˟ ˪ ː˃˅ˋǦ ˚ˑˍǡːˈˑ˄˘˪ˇːˋ˘ˇˎˢˊˇ˪ˌ˔ːˈːːˢ˒ˑ˛˖ˍˑ˅ˑǦˇˑ˔ˎ˪ˇːˋ˙˟ˍˑ˫˓ˑ˄ˑ˕ˋǡ ˃˔˃ˏˈǣ˖ˏ˪ːːˢ˔˃ˏˑ˔˕˪ˌːˑˊˇˑ˄˖˅˃˕ˋ˪ː˗ˑ˓ˏ˃˙˪ˡǡ˓˪˅ˈː˟˅ˑˎˑˇ˪ːːˢ ˍˑˏ˒ǯˡ˕ˈ˓ːˋˏˋ˕ˈ˘ːˑˎˑˆ˪ˢˏˋˌ˕Ǥ˪ːǤ ʜ˃˔˕˖˒ːˋˌˈ˕˃˒Ȅ˗ˑ˓ˏ˖˅˃ːːˢː˃˅ˋ˚ˑˍ˓ˑ˄ˑ˕ˋ˅ˍˑˏ˃ːˇ˪Ǥʓˎˢ ˙˟ˑˆˑˇ˪˕ˢˏ˔ˎ˪ˇˊ˃˒˓ˑ˒ˑː˖˅˃˕ˋːˈ˅ˈˎˋ˚ˍ˪˕˅ˑ˓˚˪ˊ˃˅ˇ˃ːːˢǡ˔˒ˑ˚˃˕ˍ˖ ˪ːˇˋ˅˪ˇ˖˃ˎ˟ː˪ǡ˃ˇ˃ˎ˪ˌˆ˓˖˒ˑ˅˪Ǥʜ˃˒˓ˋˍˎ˃ˇǡ˅ˋ˅˚˃ˡ˚ˋ˕ˈˏ˖Ǽʚˡˇˋː˃ ˅˪ː˗ˑ˓ˏ˃˙˪ˌːˑˏ˖˒˓ˑ˔˕ˑ˓˪ǽǡˊˑˍ˓ˈˏ˃˒ˋ˕˃ːːˢǼʞ˓˃˅ˑː˃˪ː˗ˑ˓ˏ˃Ǧ ˙˪ˡǽǡ˖˚ː˪ˑ˕˓ˋˏ˖ˡ˕˟ˊ˃˅ˇ˃ːːˢǣˑˊː˃ˌˑˏˋ˅˛ˋ˔˟˪ˊ˅˪ˇ˒ˑ˅˪ˇːˋˏˋ ˒ˑˎˑˉˈːːˢˏˋʙˑː˅ˈː˙˪˫ʝʝʜ˒˓ˑ˒˓˃˅˃ˇˋ˕ˋːˋǡʙˑː˔˕ˋ˕˖˙˪˫ʢˍ˓˃˫ːˋǡ ʖ˃ˍˑː˖ʢˍ˓˃˫ːˋǼʞ˓ˑˑ˘ˑ˓ˑː˖ˇˋ˕ˋː˔˕˅˃ǽǡ˒˓ˑ˅ˈ˔˕ˋːˈ˅ˈˎˋ˚ˍˈˇˑǦ ˔ˎ˪ˇˉˈːːˢ˕˃ː˃˒ˋ˔˃˕ˋ˕˅˪˓Ǧ˓ˑˊˇ˖ˏǼʮˏ˃ˡ˒˓˃˅ˑː˃˪ː˗ˑ˓ˏ˃˙˪ˡǽǤ ʝ˔ˍ˪ˎ˟ˍˋ ˕ˈˏ˃ Ǽʶː˗ˑ˓ˏ˃˙˪ˌː˃ ˪ː˗˓˃˔˕˓˖ˍ˕˖˓˃ǽ ˇˎˢ ˇ˪˕ˈˌ ˅ˋˢ˅ˎˢ˦˕˟˔ˢˇˈ˜ˑ˔ˍˎ˃ˇːˑˡǡ˒˓ˑ˒ˑː˖˦ˏˑ˅ˋ˅˚ˋ˕ˋ˙ˈ˒ˋ˕˃ːːˢː˃ ˒˓ˋˍˎ˃ˇ˪˪ː˗ˑ˓ˏ˃˙˪ˌːˑ˫˪ː˗˓˃˔˕˓˖ˍ˕˖˓ˋ˔˅ˑˆˑˏ˪˔˕˃Ǥʝ˄ǯ˦ˇː˖˦ˏˑ ˖˚ː˪˅ ˖ ˆ˓˖˒ˋ ˇˎˢ ˒˪ˇˆˑ˕ˑ˅ˍˋ ˅˪ˇ˒ˑ˅˪ˇːˋ˘ ˒ˑ˅˪ˇˑˏˎˈː˟ǣ ˒˓ˑ ˔ˋǦ ˔˕ˈˏ˖ ˄˪˄ˎ˪ˑ˕ˈˍǢ ˒˓ˑ ˪ː˗ˑ˓ˏ˃˙˪ˌː˪ ˔ˎ˖ˉ˄ˋǡ ˃˓˘˪˅ˋǡ ˏ˖ˊˈ˫Ǣ ˒˓ˑ ˒ˑˎ˪ˆ˓˃˗˪˚ː˪ ˖˔˕˃ːˑ˅ˋǢ ˒˓ˑ ˓ˈˇ˃ˍ˙˪˫ ˊ˃˔ˑ˄˪˅ ˏ˃˔ˑ˅ˑ˫ ˪ː˗ˑ˓ˏ˃˙˪˫Ǥ ʖ˅˪˕ˋ˒˓ˑ˅ˋˍˑː˃ː˖˓ˑ˄ˑ˕˖ˊ˃˔ˎ˖˘ˑ˅˖˦ˏˑː˃ː˃˔˕˖˒ːˑˏ˖ˊ˃ːˢ˕˕˪Ǥ ʡ˃ˍˋˏ˚ˋːˑˏ˖ˇ˪˕ˈˌ˗ˑ˓ˏ˖˦˕˟˔ˢˊ˃ˆ˃ˎ˟ːˈ˖ˢ˅ˎˈːːˢ˒˓ˑ˔ˍˎ˃ˇˑ˅˪ ˪ː˗ˑ˓ˏ˃˙˪ˌːˋ˘˓ˈ˔˖˓˔˪˅ˍ˓˃˫ːˋǤ ʓ˃ˎ˪˅˪ˇ˒˓˃˙˟ˑ˅˖˦ˏˑˊ˖˚ːˢˏˋ˃ˎˆˑ˓ˋ˕ˏ˓ˑ˄ˑ˕ˋː˃ˇ˒˓ˑˈˍ˕ˑˏ ː˃ˏ˃˕ˈ˓˪˃ˎ˪ˑˇː˪˦˫ː˃˅˚˃ˎ˟ːˑ˫˕ˈˏˋǤʞ˓ˋˏ˪˓ˑˏǡ˒˪ˇ˚˃˔˅ˋ˅˚ˈːːˢ ˕ˈˏˋǼʞˈ˓˪ˑˇˋ˚ː˪˅ˋˇ˃ːːˢȄˇˉˈ˓ˈˎˑˑ˒ˈ˓˃˕ˋ˅ːˑ˫˪ː˗ˑ˓ˏ˃˙˪˫ǽː˃ ˒ˈ˓˛ˑˏ˖ˊ˃ːˢ˕˕˪ˇ˪˕ˋˑ˕˓ˋˏ˖ˡ˕˟ˊː˃ːːˢ˒˓ˑ˒ˈ˓˪ˑˇˋ˚ː˪˅ˋˇ˃ːːˢǡ ˫˘˅ˋˇˑ˅˖˔˕˓˖ˍ˕˖˓˖ǡˑ˔ˑ˄ˎˋ˅ˑ˔˕˪ˌ˕Ǥ˪ːǤʜ˃˔˕˖˒ːˈˊ˃ːˢ˕˕ˢȄ˒˓˃ˍǦ ˕ˋ˚ːˈȄˇˑ˙˪ˎ˟ːˑ˒˓ˑ˅ˈ˔˕ˋ˖˗ˑ˓ˏ˪ː˃˅˚˃ˎ˟ːˑˆˑ˒˓ˑˈˍ˕˖ Ǽʠ˃ˏ˔ˑ˄˪ ˉ˖˓ː˃ˎ˪˔˕ǽǤʢ˚ː˪ˑ˄ǯ˦ˇː˖ˡ˕˟˔ˢ˅˚ˑ˕ˋ˓ˋˆ˓˖˒ˋǡˑ˄ˋ˓˃ˡ˕˟ˍˈ˓˪˅ːˋˍ˪˅ǡ ˇ˪ˡ˕˟ˊ˃˪ː˔˕˓˖ˍ˙˪˦ˡǤʙˑˉː˃ˆ˓˖˒˃ˑˇˈ˓ˉ˖˦˔˅˪ˌˍˑˏ˒ˎˈˍ˕ˉ˖˓ː˃ˎ˪˅ǡ ˃˕˃ˍˑˉˊ˃˅ˇ˃ːːˢǡˢˍˈ˅ˋˍˑː˖˦ˍˑˎˈˍ˕ˋ˅ːˑǡ˕˃˒˓ˈˊˈː˕˖˦ˌˑˆˑ˓ˈˊ˖ˎ˟Ǧ ˕˃˕ˋ˒ˈ˓ˈˇˍˎ˃˔ˑˏǤʓ˪˕ˋˏ˃ˡ˕˟˓ˑˊ˓ˑ˄ˋ˕ˋ˕ˈˍ˔˕˒˓ˈˇ˔˕˃˅ˎˈːːˢˉ˖˓Ǧ ː˃ˎ˖˖˅ˋˊː˃˚ˈː˪ˌˇˎˢˆ˓˖˒ˋ˗ˑ˓ˏ˪ǣ˪ː˕ˈ˓˅ǯˡˊ˓ˈˇ˃ˍ˕ˑ˓ˑˏˉ˖˓ː˃ˎ˖ǡ ˅ˋ˔˕˖˒˖ː˃˔ˈˍ˙˪˫Ǽʐ˪ˑˎˑˆ˪ˢǽː˃˖ˍˑ˅ˑˆˑ˕ˑ˅˃˓ˋ˔˕˅˃ʛ˃ˎˑ˫˃ˍ˃ˇˈˏ˪˫ ː˃˖ˍǡˊ˃ˏ˪˕ˍˋˇˎˢˎ˪˙ˈˌ˔˟ˍˑ˫ˆ˃ˊˈ˕ˋǡ˓ˈ˒ˑ˓˕˃ˉ˖ˊ˪˛ˍ˪ˎ˟ːˑ˫˄˪˄ˎ˪ˑ˕ˈˍˋ ȋˊ˃˅ˇ˃ːːˢˑ˄ˋ˓˃ˡ˕˟˛ˎˢ˘ˑˏˉˈ˓ˈ˄ˍ˖˅˃ːːˢȌǤʢ˕ˈˍ˔˕˪ˏ˃ˡ˕˟˄˖˕ˋ˒ˑǦ ˔ˋˎ˃ːːˢː˃ː˃ˌ˙˪ˍ˃˅˪˛˪˒˖˄ˎ˪ˍ˃˙˪˫ˊˉ˖˓ː˃ˎ˖Ǥʓˎˢ˙˟ˑˆˑːˈˑ˄˘˪ˇːˑǡ ˑˊː˃ˌˑˏˋ˅˛ˋ˔˟˪ˊ˒ˈ˓˪ˑˇˋ˚ːˋˏ˅ˋˇ˃ːːˢˏǡˇ˃˕ˋˌˑˏ˖˘˃˓˃ˍ˕ˈ˓ˋ˔˕ˋˍ˖ǡ ˅ˋ˄˓˃˕ˋˇˈˍ˪ˎ˟ˍ˃ː˃ˌ˙˪ˍ˃˅˪˛ˋ˘˒˖˄ˎ˪ˍ˃˙˪ˌȋˊˑˆˎˢˇ˖ː˃˗ˑ˓ˏ˖˒˓ˈˇǦ ˔˕˃˅ˎˈːːˢ˅ˋˇ˃ːːˢȌǡ˔ˍˎ˃˔˕ˋː˃ːˋ˘˃ː˃ˎ˪˕ˋ˚ː˪˄˪˄ˎ˪ˑˆ˓˃˗˪˚ː˪ˑ˒ˋ˔ˋǤ ʞ˪ˇ˚˃˔ˊ˃˘ˋ˔˕˖˕˅ˑ˓˚ˋ˘˓ˑ˄˪˕˖˚ː˪˅˚˃˕˟˔ˢ˃ː˃ˎ˪ˊ˖˅˃˕ˋ˔˅ˑˡ ˇ˪ˢˎ˟ː˪˔˕˟ǡ ˇ˪ˢˎ˟ː˪˔˕˟ ˆ˓˖˒ˋ ˕˃ ˑˍ˓ˈˏˑˆˑ ˫˫ ˚ˎˈː˃Ǥ ʓˈ˕˃ˎ˟ːˋˌ ˃ː˃ˎ˪ˊ˅ˋˍˑː˃ːˑ˫˓ˑ˄ˑ˕ˋˇ˃˦ˏˑˉˎˋ˅˪˔˕˟˔˗ˑ˓ˏ˖˅˃˕ˋ˅ˇ˪˕ˈˌ˒ˑǦ ˚˃˕ˍˑ˅˪˖ˢ˅ˎˈːːˢ˒˓ˑ˕ˈ˘ːˑˎˑˆ˪ˡ˒˓ˑˈˍ˕ːˑ˫ˇ˪ˢˎ˟ːˑ˔˕˪Ǥ ʝ˒ˋ˔ː˃˅˚˃ˎ˟ːˑˆˑ˒˓ˑˈˍ˕˖Ǽʠ˃ˏ˔ˑ˄˪ˉ˖˓ː˃ˎ˪˔˕ǽ˪ˊˍ˖˓˔˖Ǽʝ˔ːˑ- ˅ˋ ˪ː˗ˑ˓ˏ˃˙˪ˌːˑ˫ ˍ˖ˎ˟˕˖˓ˋǽ ˇˎˢ ˖˚ː˪˅ ʶ ˍ˖˓˔˖ ȋ;Ǧˆˑ ˍˎ˃˔˖Ȍ ˎ˪˙ˈˡ ˊ˕ˈˏˋǼʞˈ˓˪ˑˇˋ˚ː˪˅ˋˇ˃ːːˢȄˇˉˈ˓ˈˎˑˑ˒ˈ˓˃˕ˋ˅ːˑ˫˪ː˗ˑ˓ˏ˃˙˪˫ǽ ː˃˅ˈˇˈːˑː˃ˍˑˏ˒˃ˍ˕Ǧˇˋ˔ˍ˖ ʔ˕˃˒ˋ ː˃˅˚˃ːːˢ˖˚ː˪˅ ˒˓ˑˈˍ˕˖˅˃ːːˡ ʓʓˋˋ˅˅ǤˇǤˇˑˑˇˇ˃˃˕˕ˑˑˍˍͷ͹ ШБІЦ № 2/2014 53
  • 8.
    Бібліотечна робота Інформаційнакультура ʞˑ˔˕˖˒ˑ˅ˑ˖˔ˍˎ˃ˇːˡˡ˚ˋˊ˃˅ˇ˃ːːˢǡ˒˓ˑ˒ˑː˖˦ˏˑˇ˪˕ˢˏˑ˄ǯ˦ˇː˃Ǧ ˕ˋ˔ˢ˅ˆ˓˖˒ˋ˕˃˅ˋˍˑː˃˕ˋˍˑˎˈˍ˕ˋ˅ːˋˌ˕˅ˑ˓˚ˋˌ˒˓ˑˈˍ˕ˊ˃˦ˇˋːˋˏ ˃ˎˆˑ˓ˋ˕ˏˑˏǤʓˎˢ˙˟ˑˆˑˑ˄ˋ˓˃˦ˏˑˑˇː˖ˊː˃ˌ˔ˍˎ˃ˇː˪˛ˋ˘˕ˈˏˍ˖˓˔˖Ǥ ʜ˃˒˓ˋˍˎ˃ˇǡ ˅ˋ˅˚˃ˡ˚ˋ ˇˑ˅˪ˇˍˑ˅˪ ˅ˋˇ˃ːːˢ ˢˍ ˇˉˈ˓ˈˎˑ ˗˃ˍ˕ˑˆ˓˃Ǧ ˗˪˚ːˑ˫ ˪ː˗ˑ˓ˏ˃˙˪˫ǡ ˖˚ː˪ ˊ˃˔˅ˑˡˡ˕˟ ˃ˎˆˑ˓ˋ˕ˏ ˗˃ˍ˕ˑˆ˓˃˗˪˚ːˑˆˑ ˒ˑ˛˖ˍ˖˚ˈ˓ˈˊ˅ˋˍˑː˃ːːˢ˒˓ˑˈˍ˕˖ǼʨˑǫʓˈǫʙˑˎˋǫǽǤ ʜ˃ː˃˅˚˃ˎ˟ːˋ˘ˊ˃ːˢ˕˕ˢ˘˪˅˒ˑˊ˃˖˓ˑ˚ː˪ˌ˓ˑ˄ˑ˕˪ː˃ˇ˒˓ˑˈˍ˕ˑˏ ˇ˪˕ˋˍ˓ˑˍˊ˃ˍ˓ˑˍˑˏˑ˒˃ːˑ˅˖ˡ˕˟˒˓ˑˈˍ˕ː˖˕ˈ˘ːˑˎˑˆ˪ˡǡˍˑ˓ˋ˔˕˖ˡǦ ˚ˋ˔˟˓ˑ˄ˑ˚ˋˏˊˑ˛ˋ˕ˑˏˇˎˢ˖˚ːˢǼʮˍ˓ˑˊ˓ˑ˄ˋ˕ˋ˅ˎ˃˔ːˋˌ˒˓ˑˈˍ˕ǽǤ ʜ˃ˊ˃˅ˈ˓˛˃ˎ˟ːˑˏ˖ˈ˕˃˒˪ˇ˪˕ˢˏ˒˓ˑ˒ˑː˖˦˕˟˔ˢ˔˃ˏˑ˔˕˪ˌːˑ˓ˑˊ- ˓ˑ˄ˋ˕ˋ˕˃ˊ˃˘ˋ˔˕ˋ˕ˋ˒˓ˑˈˍ˕Ǥʙˑˉˈː˖˚ˈː˟˔˃ˏˑ˄ˋ˓˃˦˒˓ˑˈˍ˕ǡː˃ˇ ˢˍˋˏˌˑˏ˖˘ˑ˕˪ˎˑ˔ˢ˄˒˓˃˙ˡ˅˃˕ˋǣˇˑ˔ˎ˪ˇːˋ˙˟ˍˋˌǡ˪ː˗ˑ˓ˏ˃˙˪ˌːˋˌǡ ˕˅ˑ˓˚ˋˌ˚ˋ˒˓˃ˍ˕ˋˍˑǦˑ˓˪˦ː˕ˑ˅˃ːˋˌǤʓ˪˕ˋ˃ˍ˕ˋ˅ːˑ˔˒˪ˎˍ˖ˡ˕˟˔ˢˏ˪ˉ ˔ˑ˄ˑˡǡ˅ˋˢ˅ˎˢˡ˕˟˔˒˪ˎ˟ː˪˪ː˕ˈ˓ˈ˔ˋ˪˅˕˃ˍˋˌ˔˒ˑ˔˪˄ˑ˄ǯ˦ˇː˖ˡ˕˟˔ˢ ˅ˆ˓˖˒ˋǡ˒˃˓ˋ˚ˋ˅ˋ˓˪˛˖ˡ˕˟˒˓˃˙ˡ˅˃˕ˋ˔˃ˏˑ˔˕˪ˌːˑǤʡˈˏˋ˒˓ˑˈˍǦ ˕˪˅˖˚ː˪˕˃ˍˑˉˑ˄ˋ˓˃ˡ˕˟˔˃ˏˑ˔˕˪ˌːˑǡ˒˓ˑ˕ˈˏˑˉ˖˕˟˔ˍˑ˓ˋ˔˕˃˕ˋ˔ˢ ˌˊ˃˒˓ˑ˒ˑːˑ˅˃ːˋˏˋ˅˚ˋ˕ˈˎˈˏǤ ʑ˃˓˕ˑ ˊ˃ˊː˃˚ˋ˕ˋǡ ˜ˑǡ ˑ˄ˋ˓˃ˡ˚ˋ ˕ˈˏˋ ˇˎˢ ˒˓ˑˈˍ˕ːˋ˘ ˓ˑ˄˪˕ǡ ˇ˪˕ˋ ː˃ˇ˃ˡ˕˟ ˒ˈ˓ˈ˅˃ˆ˖ ˚˃˔˕˪˛ˈ ˑ˔ˑ˄ˋ˔˕ˋˏ ˪ː˕ˈ˓ˈ˔˃ˏǡ ˓˪ˇ˛ˈ Ȅ ˒ˑ˅ǯˢˊ˃ːˋˏ˪ˊ˅ˋ˅˚ˈːːˢˏː˃˅˚˃ˎ˟ːˋ˘˒˓ˈˇˏˈ˕˪˅Ǥ ʡ˖˕ˊ˃˅ˇ˃ːːˢ˒ˈˇ˃ˆˑˆ˃Ȅːˈː˃˅ǯˢˊ˖˅˃˕ˋ˔˅ˑˡˇ˖ˏˍ˖ǡˏˑˉː˃ ˎˋ˛ˈˇˑ˒ˑˏˑˆ˕ˋ˔˗ˑ˓ˏ˖ˎˡ˅˃˕ˋˑ˄˓˃ː˖˕ˈˏ˖ǡ˒˪ˇˍ˃ˊ˃˕ˋˏˑˉˎˋ˅˪ ˇˉˈ˓ˈˎ˃ˊ˄ˑ˓˖˪ː˗ˑ˓ˏ˃˙˪˫˕ˑ˜ˑǤʒˑˎˑ˅ːˈǡ˜ˑ˄˕ˈˏ˃˒˓ˑˈˍ˕˖˄˖ˎ˃ǡ ˒ˈ˓ˈˇ˖˔˪ˏǡ˙˪ˍ˃˅ˑˡˇˎˢ˔˃ˏˑ˫ˇˋ˕ˋːˋǡ˜ˑ˦˄ˈˊ˖ˏˑ˅ːˑˡˊ˃˒ˑ˓˖ˍˑˡ ˖˔˒˪˛ːˑˆˑ˓ˈˊ˖ˎ˟˕˃˕˖Ǥ ʝ˓˪˦ː˕ˑ˅ː˪ː˃ˊ˅ˋ˖˚ː˪˅˔˟ˍˋ˘˒˓ˑˈˍ˕˪˅ː˃˅ˈˇˈːˑː˃ˍˑˏ˒˃ˍ˕Ǧ ˇˋ˔ˍ˖ Проект як подія ʞˈ˓˛˃˔˒˓ˑ˄˃˅˒˓ˑ˅˃ˇˉˈːːˢ˒˓ˑˈˍ˕ːˑ˫˕ˈ˘ːˑˎˑˆ˪˫˄˖ˎ˃ˊˇ˪ˌǦ ˔ːˈː˃˒˪ˇ˚˃˔˃˒˓ˑ˄˃˙˪˫˒˓ˑˆ˓˃ˏˋǼʝ˔ːˑ˅ˋ˪ː˗ˑ˓ˏ˃˙˪ˌːˑ˫ˍ˖ˎ˟˕˖Ǧ ˓ˋǽˊ˖˚ːˢˏˋͳͲǦˆˑˍˎ˃˔˖ʖʝʧʶȂʶʶʶ˔˕Ǥ͒ͶǤʞ˓˃ˆː˖˚ˋ˔˒˓ˢˏ˖˅˃˕ˋ ˑ˒˃ː˖˅˃ːːˢˊˏ˪˔˕˖˒˓ˑˆ˓˃ˏˋ˅˒˓˃ˍ˕ˋ˚ː˖˒ˎˑ˜ˋː˖ǡ˃˄ˋ˔˗ˑ˓ˏ˖Ǧ ˅˃˕ˋ ˅ ˔˕˃˓˛ˑˍˎ˃˔ːˋˍ˪˅ ˖ˏ˪ːːˢ ˔˃ˏˑ˔˕˪ˌːˑ ˍˑː˔˕˓˖ˡ˅˃˕ˋ ˔˅ˑ˫ ˊː˃ːːˢǡ˅˪ˎ˟ːˑˑ˓˪˦ː˕˖˅˃˕ˋ˔ˢ˅˪ː˗ˑ˓ˏ˃˙˪ˌːˑˏ˖˒˓ˑ˔˕ˑ˓˪ǡˑ˔ːˑ˅Ǧ ːˋˏ ˏˈ˕ˑˇˑˏ ː˃˅˚˃ːːˢ ˖˚ː˪˅ ͳͲǦˆˑ ˍˎ˃˔˖ ˒˓˃˅ːˋ˚ˑˆˑ ˒˓ˑ˗˪ˎˡ ˅ˋ˄˓˃ˎˋˏˈ˕ˑˇ˒˓ˑˈˍ˕˖Ǥʡˑˇ˪ˊ˖˔˪˘˓˪ˊːˑˏ˃ː˪˕ːˋ˘˅ˋˇ˪˅˒˓ˑˈˍ˕˪˅ ˓˃ˊˑˏ˪ˊˇ˪˕˟ˏˋ˄˖ˎˑˑ˄˓˃ːˑˍˑˎˈˍ˕ˋ˅ːˋˌˇˑ˔ˎ˪ˇːˋ˙˟ˍˋˌ˒˓ˑˈˍ˕ ˒ˑ˛˖ˍ˖Ǽʛˑˇˈˎ˪ː˃˅˚˃ˎ˟ːˑǦ˪ː˗ˑ˓ˏ˃˙˪ˌːˑˆˑˊ˃˄ˈˊ˒ˈ˚ˈːːˢ˅ˋ˅˚ˈːǦ ːˢ ˒˓˃˅ˑˊː˃˅˔˕˅˃ ˅ ˛ˍˑˎ˪ǽǤ ʛˈ˕ˑˇˋˍ˃ ˙˟ˑˆˑ ˒˓ˑˈˍ˕˖ ˇˈ˕˃ˎ˟ːˑ ˑ˒ˋ˔˃ː˃ ˅ ˖ˍˎ˃ˇˈːˑˏ˖ ˃˅˕ˑ˓ˑˏ ˒ˑ˔˪˄ːˋˍ˖ Ǽʞˑ˛˖ˍ ˑ˒˕ˋˏ˃ˎ˟ːˋ˘ ˕ˈ˘ːˑˎˑˆ˪ˌ˄˪˄ˎ˪ˑ˕ˈ˚ːˑǦ˄˪˄ˎ˪ˑˆ˓˃˗˪˚ːˑ˫ˑ˔˅˪˕ˋ˛ˍˑˎˢ˓˪˅ǽ͹ǡ˃˕˃ˍˑˉ ˖˔˒ˈ˙˪˃ˎ˟ːˑˏ˖˅ˋ˒˖˔ˍ˖ˆ˃ˊˈ˕ˋǼʧˍ˪ˎ˟ːˋˌ˔˅˪˕ǽ8Ǥ 7 Пошук оптимальних технологій бібліотечно-бібліографічної освіти школярів / Коло- сай Л. А. — Славутич, 2000. — С. 17–21. 8 Колосай, Л. Пошук оптимальних технологій бібліотечно-бібліографічної освіти школярів : практичний посібник для керівників середніх закладів освіти, методистів з бібліотечних фондів, шкільних бібліотекарів / Лідія Колосай // Шкільний світ. — 2001. — № 10 (бере- зень). — С. 1–23. ʓʓˋˋ˅˅ǤˇǤˇˑˑˇˇ˃˃˕˕ˑˑˍˍͷͺ ʓʓˋˋ˅˅ǤˇǤˇˑˑˇˇ˃˃˕˕ˑˑˍˍͷͻ ʞˈ˓˛ˋˌ ˇˑ˔ˎ˪ˇːˋ˙˟ˍˋˌ ˒˓ˑˈˍ˕ ˔˕˃˓˛ˑˍˎ˃˔ːˋˍ˪˅ 54 ШБІЦ № 2/2014
  • 9.
    Бібліотечна робота Інформаційнакультура ʏ˒˓ˑ˄˖ˡ˚ˋ˒˓ˑˆ˓˃ˏ˖ˍ˖˓˔˖Ǽʝ˔ːˑ˅ˋ˪ː˗ˑ˓ˏ˃˙˪ˌːˑ˫ˍ˖ˎ˟˕˖˓ˋǽ ˊ ˖˚ːˢˏˋ ˒ǯˢ˕ˋ˘ ˍˎ˃˔˪˅ ʖʝʧ ʶȂʶʶʶ ˔˕Ǥ͒ Ͷǡ ˊ ˏˈ˕ˑˡ ˒ˑˆˎˋ˄ˎˈːːˢ ˊː˃ː˟˒˓ˑ˒ˈ˓˪ˑˇˋ˚ː˪˅ˋˇ˃ːːˢǡˇˋ˕ˢ˚˖ˉ˖˓ː˃ˎ˪˔˕ˋˍ˖ǡ˒ˑ˛˖ˍ˖ˎ˪˕ˈǦ ˓˃˕˖˓ːˋ˘ˑ˄ˇ˃˓˖˅˃ː˟˪ˊ˃ˎ˖˚ˈːːˢˇ˪˕ˈˌˇˑ˒˓ˑ˙ˈ˔˖˕˅ˑ˓ˈːːˢ˄˖ˎˑ ˅ˋˍˑː˃ːˑ ˒˓˃ˍ˕ˋˍˑǦˑ˓˪˦ː˕ˑ˅˃ːˋˌ ˒˓ˑˈˍ˕ Ǽʠ˃ˏ ˔ˑ˄˪ ˉ˖˓ː˃ˎ˪˔˕ǽǡ ˒˪ˇ˔˖ˏˍˑˏˢˍˑˆˑ˔˕˃˅˛ˍ˪ˎ˟ːˋˌˍˑːˍ˖˓˔˒ˈ˓˪ˑˇˋ˚ːˋ˘˅ˋˇ˃ː˟ǡ˅ˋǦ ˆˑ˕ˑ˅ˎˈːˋ˘˖˚ːˢˏˋǤʑ˪ˇ˒ˑ˅˪ˇːˑˇˑ˓ˑˊ˓ˑ˄ˎˈːˑˆˑʞˑˎˑˉˈːːˢ˒˓ˑ ˛ˍ˪ˎ˟ːˋˌˍˑːˍ˖˓˔Ǽʠ˃ˏ˔ˑ˄˪ˉ˖˓ː˃ˎ˪˔˕ǽͻ˒ˈ˓ˈˇ˄˃˚ˈːˑǡ˜ˑˍˑˉˈː ˍˎ˃˔ǡ ˢˍˋˌ ˄ˈ˓ˈ ˖˚˃˔˕˟ ˖ ˍˑːˍ˖˓˔˪ǡ ˏ˃˦ ˅ˋˊː˃˚ˋ˕ˋ ˅ˋˇ ˍˑːˍ˖˓˔Ǧ ːˑ˫ ˓ˑ˄ˑ˕ˋ ȋˆ˃ˊˈ˕˃ǡ ˉ˖˓ː˃ˎȌǡ ˑ˄˓˃˕ˋ ˫˫ ː˃ˊ˅˖ǡ ˚ˎˈː˪˅ ˓ˈˇˍˑˎˈˆ˪˫ǡ ˘˖ˇˑˉːˋˍ˃ǡ ˓ˈˇ˃ˍ˕ˑ˓˃Ǣ ˊ˪˄˓˃˕ˋ ˅˪ˇ˒ˑ˅˪ˇːˋˌ ˏ˃˕ˈ˓˪˃ˎǡ ˊˇ˪ˌ˔ːˋ˕ˋ ˌˑˆˑˑ˒˓˃˙ˡ˅˃ːːˢ˕˃˒˪ˇˆˑ˕˖˅˃˕ˋˇˑ˅ˋ˒˖˔ˍ˖Ǥ ʝ˄ˑ˅ǯˢˊˍˑ˅ˋˏ ˊ˃˅ˇ˃ːːˢˏ ˇˎˢ ˅˔˪˘ ˖˚˃˔ːˋˍ˪˅ ˍˑːˍ˖˓˔˖ ˄˖ˎ˃˒˪ˇˆˑ˕ˑ˅ˍ˃ǣ ¾ ˒ˈ˓ˈˇˑ˅ˑ˫˔˕˃˕˕˪Ǽʮˏ˃ˡ˒˓˃˅ˑː˃˪ː˗ˑ˓ˏ˃˙˪ˡǽǢ ¾ ˑˆˎˢˇ˖˙˪ˍ˃˅ˋ˘˒˖˄ˎ˪ˍ˃˙˪ˌ˪ˊˇˋ˕ˢ˚ˋ˘ˆ˃ˊˈ˕˪ˉ˖˓ː˃ˎ˪˅Ǣ ¾ ˃ːˑ˕˃˙˪ˌ ː˃ ːˑ˅˪ ˍːˋˉˍˋǡ ˜ˑ ː˃ˇ˪ˌ˛ˎˋ ˇˑ Ǽʖˑˎˑ˕ˑˆˑ ˗ˑːˇ˖ǽ ˛ˍ˪ˎ˟ːˑ˫ ˄˪˄ˎ˪ˑ˕ˈˍˋ ȋ˗ˑːˇ ˇˑ˅˪ˇˍˑ˅ˋ˘ ˅ˋˇ˃ː˟ǡ ˒˓ˋˇ˄˃ːˋ˘ˊ˃˄˃˕˟ˍ˪˅˔˟ˍ˪ˍˑ˛˕ˋȌǢ ¾ ˊ˃ˏ˪˕ˑˍ˒˓ˑˊ˃ːˢ˕˕ˢˊ˪ː˗ˑ˓ˏ˃˙˪ˌːˑ˫ˍ˖ˎ˟˕˖˓ˋǢ ¾ ˪ː˗ˑ˓ˏ˃˙˪˫˒˓ˑ˔˕˃ːˊ˄ˈ˓ˈˉˈːːˢ˛ˍ˪ˎ˟ːˋ˘˒˪ˇ˓˖˚ːˋˍ˪˅ ˖ˍˎ˃˔˪Ǥ ʓˑ ˓ˑˊˆˎˢˇ˖ ˍˑːˍ˖˓˔ːˑˆˑ ˉ˖˓˪ ˒ǯˢ˕ˋˍˎ˃˔ːˋˍˋ ˒˓ˈˇ˔˕˃˅ˋˎˋ ˑ˓ˋˆ˪ː˃ˎ˟ː˪˓ˑ˄ˑ˕ˋǡˢˍ˪ˊ˃˔˅˪ˇ˚ˋˎˋǡ˜ˑ˅˘ˑˇ˪˒˓ˑˈˍ˕ːˑ˫ˇ˪ˢˎ˟ːˑ˔˕˪ǡ ˒˪ˇˆˑ˕ˑ˅ˍˋˏ˃˕ˈ˓˪˃ˎ˪˅ˇˑ˒˖˄ˎ˪ˍ˃˙˪˫˖˔˅ˑ˫˘ˆ˃ˊˈ˕˃˘˪ˉ˖˓ː˃ˎ˃˘˖˚ː˪ ːˈ ˎˋ˛ˈ ˊ˃˔˅ˑ˫ˎˋ ˄˃ˊˑ˅˪ ˊː˃ːːˢ ˔˒ˈ˙ˋ˗˪ˍˋ ˒ˈ˓˪ˑˇˋ˚ːˋ˘ ˅ˋˇ˃ː˟ ː˃ ˒˓˃ˍ˕ˋ˙˪ǡ ˃ ˌ ː˃˅˚ˋˎˋ˔ˢ ˊˇ˪ˌ˔ːˡ˅˃˕ˋ ˪ː˗ˑ˓ˏ˃˙˪ˌːˋˌ ˒ˑ˛˖ˍǡ ˃ː˃ˎ˪ˊ˖˅˃˕ˋˇˉˈ˓ˈˎ˃˪ː˗ˑ˓ˏ˃˙˪˫ǡ˔˕˅ˑ˓ˡ˅˃˕ˋ˅ˎ˃˔ː˪˪ː˗ˑ˓ˏ˃˙˪ˌː˪ ˒˓ˑˇ˖ˍ˕ˋǤʞ˪ˇ˚˃˔˒˓ˈˊˈː˕˃˙˪˫˒˓ˑˈˍ˕ːˋ˘˓ˑ˄˪˕˒ǯˢ˕ˋˍˎ˃˔ːˋˍˋ˒˓ˑǦ ˇˈˏˑː˔˕˓˖˅˃ˎˋ˅ˏ˪ːːˢ˃˓ˆ˖ˏˈː˕ˑ˅˃ːˑ˒˓ˈˇ˔˕˃˅ˎˢ˕ˋ˓ˈˊ˖ˎ˟˕˃˕ˋ ˔˅ˑ˦˫ˇ˪ˢˎ˟ːˑ˔˕˪ǡ˒˓˃˙ˡ˅˃˕ˋ˅ˍˑˏ˃ːˇ˪Ǥ ʞ˪ˇ˚˃˔ˑ˒˃ː˖˅˃ːːˢˍ˖˓˔˖Ǽʝ˔ːˑ˅ˋ˪ː˗ˑ˓ˏ˃˙˪ˌːˑ˫ˍ˖ˎ˟˕˖˓ˋǽ ˖˚ː˪ʶˍ˖˓˔˖ȋͺǦˌˍˎ˃˔Ȍˎ˪˙ˈˡ˅ˋˍˑː˃ˎˋ˕˅ˑ˓˚ˋˌ˒˓ˑˈˍ˕ǡː˃˅˚˃ˎ˟ːˑˡ ˏˈ˕ˑˡ ˢˍˑˆˑ ˄˖ˎˑ ˑ˄˓˃ːˑ ˅ˋ˅˚ˈːːˢ ˇˑ˅˪ˇˍˑ˅ˋ˘ ˅ˋˇ˃ː˟ ˢˍ ˇˉˈǦ ˓ˈˎ ˗˃ˍ˕ˑˆ˓˃˗˪˚ːˑ˫ ˪ː˗ˑ˓ˏ˃˙˪˫ǡ ˑˊː˃ˌˑˏˎˈːːˢ ˊ ˇˑ˅˪ˇˍˑ˅ˋˏˋ ˅ˋˇ˃ːːˢˏˋǡ ː˃ˢ˅ːˋˏˋ ˅ ˄˪˄ˎ˪ˑ˕ˈ˙˪ ˎ˪˙ˈˡǡ ˒˪ˇˆˑ˕ˑ˅ˍ˃ ˒˖˕˪˅ːˋˍ˃ ˈː˙ˋˍˎˑ˒ˈˇˋ˔˕˃ Ǽʨˑǫ ʓˈǫ ʙˑˎˋǫǽǤ ʢ ˘ˑˇ˪ ˒˓ˑˈˍ˕ːˑ˫ ˇ˪ˢˎ˟ːˑ˔˕˪ ˎ˪˙ˈ˫˔˕ˋ ˊ˃˔˅ˑ˫ˎˋ ˕ˈ˘ːˑˎˑˆ˪ˡ ˍ˅˃ˎ˪˗˪ˍˑ˅˃ːˑˆˑ ˗˃ˍ˕ˑˆ˓˃˗˪˚ːˑˆˑ ˒ˑ˛˖ˍ˖ǡː˃˅˚ˋˎˋ˔ˢ˔˕˅ˑ˓ˡ˅˃˕ˋ˅ˎ˃˔ːˋˌ˪ː˗ˑ˓ˏ˃˙˪ˌːˋˌ˒˓ˑˇ˖ˍ˕ǡ ˢˍˋˌ˄˃ˊ˖˦˕˟˔ˢː˃ˊː˃ːːˢ˘ǣ ¾ ˇˑˍ˖ˏˈː˕ˑˊː˃˅˔˕˅˃Ȅ˒˓ˑˍːˋˉˍ˖ˢˍ˓˪ˊːˑ˅ˋˇˇˑˍ˖ˏˈːǦ ˕˃ǡ˒˓ˑ˓˪ˊːˑˏ˃ː˪˕ː˪˔˕˟˅ˋˇ˃ː˟ǡˊ˃ˎˈˉːˑ˅˪ˇ˒˓ˋˊː˃˚ˈːːˢǡ˒˓ˑ˫˘ ˑ˔ˑ˄ˎˋ˅ˑ˔˕˪Ǣ˄˪˄ˎ˪ˑˆ˓˃˗˪˚ːˋˌˑ˒ˋ˔ǡ˃ːˑ˕˃˙˪ˡǢ ¾ ˖ˍ˓˃˫ː˔˟ˍˑ˫ˏˑ˅ˋȄˊˎ˪ːˆ˅˪˔˕ˋˍˋ˕ˈˍ˔˕˖ǡ˔˕ˋˎ˪˅ˏˑ˅ˎˈːːˢǡ ˊ˅ǯˢˊːˑˆˑˏˑ˅ˎˈːːˢǡ˒˓ˑ˅ˋˏˑˆˋˇˑ˔˕˅ˑ˓ˈːːˢ˅ˎ˃˔ːˋ˘˅ˋ˔ˎˑ˅ˎˡǦ ˅˃ː˟ǡ˒˓ˑˑ˔ˑ˄ˎˋ˅ˑ˔˕˪ˌ˔˒ˑ˔ˑ˄ˋ˙ˋ˕˖˅˃ːːˢ˕ˑ˜ˑǢ ¾ ˪ː˗ˑ˓ˏ˃˕ˋˍˋȄ˒˓ˑˍˑˏ˒ǯˡ˕ˈ˓ǡˌˑˆˑˏˑˉˎˋ˅ˑ˔˕˪˅˒ˑ˛˖ˍ˖ ˕˃ ˑ˄˓ˑ˄ˎˈːː˪ ˪ː˗ˑ˓ˏ˃˙˪˫Ǣ ˒˓ˑ ˪ː˗ˑ˓ˏ˃˙˪ˌːˑǦ˒ˑ˛˖ˍˑ˅˪ ˔ˋ˔˕ˈǦ ˏˋǡ˪ː˕ˈ˓ːˈ˕Ǥ 9 Положення про шкільний конкурс «Сам собі журналіст» // Школа. — 2006. — № 1. — С. 91. ʙˑːˍ˖˓˔ˇˎˢ ˒ǯˢ˕ˋˍˎ˃˔ːˋˍ˪˅ Ǽʠ˃ˏ˔ˑ˄˪ ˉ˖˓ː˃ˎ˪˔˕ǽ ʡ˅ˑ˓˚ˋˌ˒˓ˑˈˍ˕ ˎ˪˙ˈ˫˔˕˪˅Ǽʨˑǫʓˈǫ ʙˑˎˋǫǽ ШБІЦ № 2/2014 55
  • 10.
    Бібліотечна робота Інформаційнакультура ʠ˕˅ˑ˓ˡˡ˚ˋ ˒˖˕˪˅ːˋˍ ˈː˙ˋˍˎˑ˒ˈˇˋ˔˕˃ǡ ˖˚ː˪ ˒ˑ˅ˋːː˪ ˚˪˕ˍˑ ˖ˢ˅ˎˢ˕ˋǡˢˍˋˏˏ˃˦˄˖˕ˋˌˑˆˑˊˏ˪˔˕ǡ˔˕˓˖ˍ˕˖˓˃ǡ˅ˋˍˎ˃ˇˏ˃˕ˈ˓˪˃ˎ˖ǡ ˑ˗ˑ˓ˏˎˈːːˢ ˕ˑ˜ˑǤ ʡˑˉ ː˃ ˊ˃ːˢ˕˕ˢ˘ ˪ˊ ˪ː˗ˑ˓ˏ˃˙˪ˌːˑ˫ ˍ˖ˎ˟˕˖˓ˋ ˅ˑːˋ ˅ˋ˅˚˃ˎˋ ˓˪ˊː˪ ˅ˋˇˋ ˇˉˈ˓ˈˎ ˪ː˗ˑ˓ˏ˃˙˪˫ǡ ˑˊː˃ˌˑˏˎˡ˅˃ˎˋ˔˟ ˪ˊ ˓˪ˊːˑˏ˃ː˪˕ːˋˏˋ ˇ˓˖ˍˑ˅˃ːˋˏˋ ˇˉˈ˓ˈˎ˃ˏˋǡ ˅ˋ˅˚˃ˎˋ ˔˕˓˖ˍ˕˖˓˖ ˍːˋˉˍˋ˕˃˫˫ˇˑ˅˪ˇˍˑ˅ˋˌ˃˒˃˓˃˕ǡ˖˚ˋˎˋ˔ˢ˔ˍˎ˃ˇ˃˕ˋ˄˪˄ˎ˪ˑˆ˓˃˗˪˚ː˪ ˑ˒ˋ˔ˋ˕˃˃ːˑ˕˃˙˪˫ː˃ˍːˋˉˍˋǡ˅˪ˇ˒˓˃˙˟ˑ˅˖˅˃ˎˋ˃ˎˆˑ˓ˋ˕ˏ˪ː˗ˑ˓Ǧ ˏ˃˙˪ˌːˑˆˑ˒ˑ˛˖ˍ˖Ǥ ʝ˒ˋ˔ː˃˅˚˃ˎ˟ːˑˆˑ˒˓ˑˈˍ˕˖Ǽʨˑǫʓˈǫʙˑˎˋǫǽˊ˕ˈˏˋǼʓˑ˅˪ˇˍˑ˅˪ ˅ˋˇ˃ːːˢȄ ˇˉˈ˓ˈˎˑ ˗˃ˍ˕ˑˆ˓˃˗˪˚ːˑ˫ ˪ː˗ˑ˓ˏ˃˙˪˫ǽǡ ˒˓ˈˊˈː˕˃˙˪ˢ ˇˑˌˑˆˑˊ˃˘ˋ˔˕˖ǡ˃˕˃ˍˑˉˑˍ˓ˈˏ˪˒˓ˑˈˍ˕ː˪˓ˑ˄ˑ˕ˋ˖˚ː˪˅ː˃˅ˈˇˈːˑ ː˃ˍˑˏ˒˃ˍ˕Ǧˇˋ˔ˍ˖ ʖǦ˒ˑˏ˪ˉ˒˪ˇ˔˖ˏˍˑ˅ˋ˘˪ːˇˋ˅˪ˇ˖˃ˎ˟ːˋ˘˒˓ˑˈˍ˕˪˅ǡˢˍ˪˓ˑˊ˓ˑ˄ˋǦ ˎˋ˕˃˖˔˒˪˛ːˑˊ˃˘ˋ˔˕ˋˎˋ˒ˈ˓˛ˑˍ˖˓˔ːˋˍˋˎ˪˙ˈˡʹͲͲͷȀʹͲͲ͸ːǤ˓Ǥǡ ˏˑˉː˃ː˃ˊ˅˃˕ˋ˕˃ˍ˪ǣǼʠˎ˃˅˖˕ˋ˚Ȅː˃˛ˇ˪ˏǽǡǼʞ˓ˋ˒ǯˢ˕˟ˇˑ˪˒˪˔ˎˢ ʦˑ˓ːˑ˄ˋˎˢǽǡǼʨˑ˅˪ˏˈː˪˕˅ˑ˫ˏǽǡǼʓˋˊ˃ˌːː˃˛ˑ˫ˑ˔ˈˎ˪ǽǡǼʛˑˇ˃ʤʤʶ ˔˕ˑˎ˪˕˕ˢǽǡǼʛˑˇˈˎ˟ʠˎ˃˅˖˕ˋ˙˟ˍˑˆˑˊ˃˅ˑˇ˖ˊ˅ˋ˓ˑ˄ˎˈːːˢˏˑ˓ˑˊˋ˅˃ dzʔ˔ˍ˪ˏˑdzǽǡ Ǽʞ˃˓˃ːˑ˓ˏ˃ˎ˟ː˪ ˢ˅ˋ˜˃ ˅ ˉˋ˕˕˪ ˎˡˇˈˌǽǡ Ǽʖ˅˪ˇˍˋ ˒˓ˋǦ ˌ˛ˑ˅ˇˑː˃˔˕ˈˎˈ˗ˑːǽ˕ˑ˜ˑǤ ʞ˓ˑˈˍ˕ˋ ˊ ˍ˖˓˔˖ Ǽʶː˗ˑ˓ˏ˃˙˪ˌː˃ ˍ˖ˎ˟˕˖˓˃ǽ ˔˕˃ˡ˕˟ ˇˑ˔ˋ˕˟ ˈ˗ˈˍ˕ˋ˅ːˋˏ˔˒ˑ˔ˑ˄ˑˏˍˑˏ˒ˎˈˍ˔ːˑˆˑ˅ˋ˅˚ˈːːˢ˕˪˦˫˚ˋ˪ː˛ˑ˫˕ˈˏˋǡ ː˃˅ˍˑˎˑˢˍˑ˫ˍˑː˙ˈː˕˓˖˦˕˟˔ˢ˖˅˃ˆ˃˖˚ː˪˅Ǣˑ˔ːˑ˅ː˪˅ˋˇˋ˖˚ː˪˅˔˟ˍˋ˘ ˓ˑ˄˪˕˄˖ˇ˖ˡ˕˟˔ˢː˃ˉˋ˅ˑˏ˖˕˃ˉˋ˕˕˦˅ˑˏ˖ˏ˃˕ˈ˓˪˃ˎ˪Ǣ˃ˍ˙ˈː˕˖˦˕˟˔ˢ ˖˅˃ˆ˃ː˃˔˒˪ˎ˟ː˪ˌˇ˪ˢˎ˟ːˑ˔˕˪ˇ˪˕ˈˌǡː˃˔˕ˑ˔˖ːˍ˃˘ˏ˪ˉːˋˏˋǡː˃˫˘ ˖ˏ˪ːːˢ˘˅ˋ˓˪˛˖˅˃˕ˋ˓˪ˊːˑˏ˃ː˪˕ː˪˪ː˗ˑ˓ˏ˃˙˪ˌːˑǦ˒ˑ˛˖ˍˑ˅˪ˊ˃˅ˇ˃ːǦ ːˢǡˢˍ˪ˊ˖˔˕˓˪˚˃ˡ˕˟˔ˢ˅˓ˈ˃ˎ˟ːˑˏ˖ˉˋ˕˕˪Ǥʞ˓ˋ˦ˏːˑ˅˪ˇˊː˃˚ˋ˕ˋǡ˜ˑ ˇˑ ˒˓ˑˈˍ˕ːˑ˫ ˇ˪ˢˎ˟ːˑ˔˕˪ ˖˚ː˪˅ ˚˃˔˕ˑ ˇˑˎ˖˚˃ˡ˕˟˔ˢ ˔˕˃˓˛˪ ˄˓˃˕ˋ ˌ˔ˈ˔˕˓ˋǡ˄˃˕˟ˍˋǤʖˑˍ˓ˈˏ˃˄˃˕˟ˍˋ˖˚ˈːˋ˙˪ǡˍˑ˕˓˃˒˓˃˙ˡ˅˃ˎ˃ː˃ˇ ˒˓ˑˈˍ˕ˑˏǼʓˋˊ˃ˌːː˃˛ˑ˫ˑ˔ˈˎ˪ǽǡ˅ˋ˓˪˛ˋˎˋ˅˕˪ˎˋ˕ˋˊ˃ˇ˖ˏˇˑː˟ˍˋ ˅ˉˋ˕˕ˢǡˊˏ˪ːˋ˅˛ˋˇˋˊ˃ˌː˔˅ˑ˦˫ˍ˅˃˓˕ˋ˓ˋǤ ʞ˖˄ˎ˪˚ːˋˌˊ˃˘ˋ˔˕˒˓ˑˈˍ˕˪˅˔˕˃˦˔˅ˑ˦˓˪ˇːˋˏ˒˪ˇ˔˖ˏˍˑˏ˓ˑ˄ˑ˕ˋ ˇ˪˕ˈˌ ː˃ˇ ˅ˋ˅˚ˈːːˢˏ ˍ˖˓˔˖ǡ ˓ˈˊ˖ˎ˟˕˃˕ˋ ˊ˃˘ˋ˔˕˖ ˊ˃˓˃˘ˑ˅˖ˡ˕˟˔ˢ ˢˍˊ˃ˎ˪ˍˊ˃ː˃˅˚˃ˎ˟ːˋˌ˓˪ˍǤ ʜ˃˄˖˕ˋˌˇˑ˔˅˪ˇˇ˃˦˒˓˃˅ˑ˔˕˅ˈ˓ˇˉ˖˅˃˕ˋǡ˜ˑ˔˃ˏˈˏˈ˕ˑˇ˒˓ˑǦ ˈˍ˕˪˅ǡ˒ˑ˓ˢˇ˪ˊ˪ː˛ˋˏˋ˃ˍ˕ˋ˅ːˋˏˋˏˈ˕ˑˇ˃ˏˋː˃˅˚˃ːːˢ˕˃˓ˑˊ˅ˋ˕ˍ˖ ˅˔˪˘˖˚˃˔ːˋˍ˪˅ː˃˅˚˃ˎ˟ːˑǦ˅ˋ˘ˑ˅ːˑˆˑ˒˓ˑ˙ˈ˔˖ǡ˔˒˓ˋˢ˦ˈ˗ˈˍ˕ˋ˅ːˑˏ˖ ˊ˃˔˅ˑ˦ːːˡ˔ˍˎ˃ˇːˋ˘˕ˈˑ˓ˈ˕ˋ˚ːˋ˘ˊː˃ː˟˪˗ˑ˓ˏ˖˅˃ːːˡ˪ː˗ˑ˓ˏ˃Ǧ ˙˪ˌːˋ˘ˍˑˏ˒ˈ˕ˈː˕ːˑ˔˕ˈˌǤ ʓˋ˅Ǥˇˑˇ˃˕ˑʓˍˋ˅ͷǤ ˇˑˇ˃˕ˍˋͼȂͷͶ ʶːˇˋ˅˪ˇ˖˃ˎ˟ː˪ ˖˚ː˪˅˔˟ˍ˪˒˓ˑˈˍ˕ˋ 56 ШБІЦ № 2/2014