‫ﺑﺎﺳﺗﺧﺩﺍﻡ‬ ‫ﺍﻻﺣﺻﺎﺋﻲ‬ ‫ﺍﻟﺗﺣﻠﻳﻝ‬
SPSS
‫ﺳﻠﻁﺎﻥ‬ ‫ﺧﻠﻑ‬ .‫ﺩ‬
1
‫ﺍﻻﺣﺼﺎﺋﻲ‬ ‫ﺍﻟﺘﺤﻠﻴﻞ‬
‫ﺑﺎﺳﺘﺨﺪﺍﻡ‬
SPSS
‫ﻭﺗﺼﻤﻴﻢ‬ ‫ﺇﻋﺪﺍﺩ‬
‫ﺍﻟﺪﻛﺘﻮﺭ‬ ‫ﺍﻻﺳﺘﺎﺫ‬
‫ﺳﻠﻄﺎﻥ‬ ‫ﺳﻠﻤﺎﻥ‬ ‫ﺧﻠﻒ‬
‫ﺳﻠﻤﺎﻥ‬
‫ﺍﻟﻌ‬ ‫ﻭﺑﺤﻮﺙ‬ ‫ﺍﻹﺣﺼﺎء‬ ‫ﻗﺴﻢ‬
‫ﻤ‬
‫ﻠﻴﺎﺕ‬
‫ﺍﻟﻌﻠﻮﻡ‬ ‫ﻛﻠﻴﺔ‬
–
‫ﺳﻌﻮﺩ‬ ‫ﺍﻟﻤﻠﻚ‬ ‫ﺟﺎﻣﻌﺔ‬
ksultan@ksu.edu.sa
https://faculty.ksu.edu.sa/ksultan/home
1439
-
1440
‫ﻫـ‬
2018
-
2019
‫ﻡ‬
‫ﺑﺎﺳﺗﺧﺩﺍﻡ‬ ‫ﺍﻻﺣﺻﺎﺋﻲ‬ ‫ﺍﻟﺗﺣﻠﻳﻝ‬
SPSS
‫ﺩ‬
‫ﺳﻠﻁﺎﻥ‬ ‫ﺧﻠﻑ‬ .
2
‫ﺍﻟﻌﺎﻡ‬ ‫ﺍﻟﻬﺪﻑ‬
‫ﻟﻠ‬
‫ﺪﻭﺭﺓ‬
‫ﻣﻬﺎ‬ ‫ﺗﻨﻤﻴﺔ‬
‫ﺭﺍﺕ‬
‫ﻓﻲ‬ ‫ﺍﻟﻤﺘﺪﺭﺑﻴﻦ‬
‫ﻣﻔﺎﻫﻴﻢ‬
‫ﻭ‬
‫ﺃ‬
‫ﺳﺎﺳﻴﺎﺕ‬
‫ﺍﻹﺣﺼﺎ‬
‫ء‬
‫ﺍﻹﺣﺼﺎﺋﻲ‬ ‫ﺍﻟﺒﺮﻧﺎﻣﺞ‬ ‫ﺑﺎﺳﺘﺨﺪﺍﻡ‬
SPSS
‫ﺫﻟﻚ‬ ‫ﻭﻳﺘﻢ‬
‫ﺍﻟﺘﺎﻟﻴ‬ ‫ﺍﻟﺨﻄﻮﺍﺕ‬ ‫ﺧﻼﻝ‬ ‫ﻣﻦ‬
‫ﺔ‬
:
-
‫ﺍﻟﺒﻴﺎﻧﺎﺕ‬ ‫ﺗﺮﻣﻴﺰ‬
‫ﺍﻟﺪﺭ‬ ‫ﻗﻴﺪ‬
‫ﺍﺳﺔ‬
‫ﺇﻟﻰ‬ ‫ﻭﺇﺩﺧﺎﻟﻬﺎ‬ ‫ﻭﺗﺒﻮﻳﺒﻬﺎ‬
‫ﺍﻟﺤﺎﺳﻮﺏ‬
-
‫ﻭﺍﻻ‬ ‫ﺍﻟﻮﺻﻔﻲ‬ ‫ﺍﻹﺣﺼﺎﺋﻲ‬ ‫ﺍﻟﺘﺤﻠﻴﻞ‬ ‫ﺇﺟﺮﺍء‬
‫ﺍﻟﺒﻴﺎﻧﺎﺕ‬ ‫ﻟﻄﺒﻴﻌﺔ‬ ‫ﺍﻟﻤﻨﺎﺳﺐ‬ ‫ﺳﺘﺪﻻﻟﻲ‬
-
‫ﺍﻟﺪﺭﺍﺳﺔ‬ ‫ﻗﻴﺪ‬ ‫ﺍﻟﻤﺸﻜﻠﺔ‬ ‫ﺣﻮﻝ‬ ‫ﺍﻹﺣﺼﺎﺋﻲ‬ ‫ﺍﻟﺘﻘﺮﻳﺮ‬ ‫ﻛﺘﺎﺑﺔ‬
‫ﻣﺪﻋﻮﻣ‬
ً‫ﺎ‬
‫ﺍﻟﻼﺯﻣﺔ‬ ‫ﺍﻻﺣﺼﺎﺋﻴﺔ‬ ‫ﺑﺎﻻﺧﺘﺒﺎﺭﺍﺕ‬
‫ﺍﻟﺘﻔﺼﻴﻠﻴﺔ‬ ‫ﺍﻷﻫﺪﺍﻑ‬
‫ﻣﻦ‬ ‫ﺍﻻﻧﺘﻬﺎء‬ ‫ﺑﻌﺪ‬
‫ﺍﻟ‬
‫ﺍﻟﺘ‬ ‫ﺒﺮﻧﺎﻣﺞ‬
‫ﺪﺭﻳﺒ‬
‫ﻲ‬
‫ﺍﻟﻤ‬ ‫ﺳﻴﻜﻮﻥ‬
‫ﺘﺪﺭﺏ‬
‫ﻗ‬
‫ﻋﻠﻰ‬ ً‫ﺍ‬‫ﺎﺩﺭ‬
:
1
-
‫ﺍﻻﺣﺼﺎء‬ ‫ﺍﺳﺎﺳﻴﺎﺕ‬ ‫ﻋﻠﻰ‬ ‫ﺍﻟﺘﻌﺮﻑ‬
2
-
‫ﻋﻠﻰ‬ ‫ﺍﻟﺘﻌﺮﻑ‬
‫ﺑﻴﺌﺔ‬
‫ﺑﺮﻧﺎﻣﺞ‬
SPSS
3
-
‫ﺍﻟﺮﺋﻴﺴ‬ ‫ﺍﻷﻭﺍﻣﺮ‬ ‫ﻋﻠﻰ‬ ‫ﺍﻟﺘﻌﺮﻑ‬
‫ﻴ‬
‫ﻟﺒﺮﻧﺎﻣﺞ‬ ‫ﻭﺍﻟﻔﺮﻋﻴﺔ‬ ‫ﺔ‬
SPSS
4
-
‫ﺗﺠﻬ‬
‫ﻴ‬
‫ﻭﺇﺩﺧﺎﻟﻬﺎ‬ ‫ﺍﻟﺒﻴﺎﻧﺎﺕ‬ ‫ﺰ‬
‫ﺍﻟﻰ‬
‫ﺑﺮﻧﺎﻣﺞ‬
SPSS
5
-
‫ﺣﺴﺎﺏ‬
‫ﺑﻌﺾ‬
‫ﻟﻠﺒﻴﺎﻧﺎﺕ‬ ‫ﻭﺍﻻﺳﺘﺪﻻﻟﻴﺔ‬ ‫ﺍﻟﻮﺻﻔﻴﺔ‬ ‫ﺍﻟﻤﺆﺷﺮﺍﺕ‬
‫ﻭﺗﻔﺴﻴﺮﻫﺎ‬
6
-
‫ﺇ‬
‫ﺟﺮﺍء‬
‫ﺍﻻﺧﺘﺒ‬ ‫ﺑﻌﺾ‬
‫ﺍﻟﻤﻨﺎﺳﺒﺔ‬ ‫ﺍﻹﺣﺼﺎﺋﻴﺔ‬ ‫ﺎﺭﺍﺕ‬
‫ﻟ‬
‫ﻠﺒ‬
‫ﻴﺎﻧﺎﺕ‬
.
7
-
‫ﻭ‬ ‫ﻗﺮﺍءﺓ‬
‫ﺍﻹﺣﺼﺎﺋﻴﺔ‬ ‫ﺍﻟﻨﺘﺎﺋﺞ‬ ‫ﺗﻔﺴﻴﺮ‬
‫ﻭ‬
‫ﺇﻋﺪﺍﺩ‬
.‫ﺍﻟﻨﺘﺎﺋﺞ‬ ‫ﻣﻦ‬ ‫ﺍﻹﺣﺼﺎﺋﻲ‬ ‫ﺍﻟﺘﻘﺮﻳﺮ‬
‫ﻣ‬
‫ﺍﻟﺘﺪﺭﻳﺐ‬ ‫ﻮﺿﻮﻋﺎﺕ‬
1
-
‫ﺇﺣﺼﺎﺋﻴﺔ‬ ‫ﻭﻣﻔﺎﻫﻴﻢ‬ ‫ﻣﺼﻄﻠﺤﺎﺕ‬
2
-
‫ﺍﻹﺣﺼﺎﺋﻴﺔ‬ ‫ﺍﻟﻤﻌﺎﻳﻨﺔ‬
3
-
‫ﻟﻘﻴﺎﺱ‬ ‫ﺍﻻﺳﺘﺒﻴﺎﻧﺎﺕ‬ ‫ﻭﺗﺤﻠﻴﻞ‬ ‫ﺗﺼﻤﻴﻢ‬
‫ﺍ‬
‫ﺍﻟﺮﺃﻱ‬ ‫ﺗﺠﺎﻩ‬
4
-
‫ﺍﻟﻤﺮﻛﺰﻳﺔ‬ ‫ﺍﻟﻨﺰﻋﺔ‬ ‫)ﻣﻘﺎﻳﻴﺲ‬ ‫ﺍﻟﻮﺻﻔﻴﺔ‬ ‫ﺍﻹﺣﺼﺎﺋﻴﺔ‬ ‫ﺍﻟﻤﺆﺷﺮﺍﺕ‬
–
(‫ﺍﻟﺘﺸﺘﺖ‬ ‫ﻣﻘﺎﻳﻴﺲ‬
5
-
‫ﻭﺗﺤﻠﻴﻞ‬ ‫ﺗﺼﻤﻴﻢ‬
‫ﺍﻟﻤﻘﻄﻌﻴﺔ‬ ‫ﺍﻟﺠﺪﺍﻭﻝ‬
6
-
‫ﺑﻨﻘﻄﺔ‬ ‫)ﺍﻟﺘﻘﺪﻳﺮ‬ ‫ﺍﻹﺣﺼﺎﺋﻲ‬ ‫ﺍﻻﺳﺘﺪﻻﻝ‬
–
(‫ﺑﻔﺘﺮﺓ‬ ‫ﺍﻟﺘﻘﺪﻳﺮ‬
7
-
‫ﺑﻌﺾ‬
‫ﺍﻟﻘﺮﺍﺭ‬ ‫ﻭﺻﻴﺎﻏﺔ‬ ‫ﺍﻹﺣﺼﺎﺋﻴﺔ‬ ‫ﺍﻻﺧﺘﺒﺎﺭﺍﺕ‬
8
-
‫ﺗﺤ‬
‫ﻠ‬
(‫ﻭﺗﻄﺒﻴﻘﺎﺕ‬ ‫)ﻣﻔﺎﻫﻴﻢ‬ ‫ﺍﻟﺘﺒﺎﻳﻦ‬ ‫ﻴﻞ‬
9
-
‫ﻭﺍﻻﻧﺤﺪﺍﺭ‬ ‫ﺍﻻﺭﺗﺒﺎﻁ‬ ‫ﺗﺤﻠﻴﻞ‬
‫ﺑﺎﺳﺗﺧﺩﺍﻡ‬ ‫ﺍﻻﺣﺻﺎﺋﻲ‬ ‫ﺍﻟﺗﺣﻠﻳﻝ‬
SPSS
‫ﺩ‬
‫ﺳﻠﻁﺎﻥ‬ ‫ﺧﻠﻑ‬ .
3
‫ﺍﻟﺠﺰء‬
‫ﺍﻷﻭﻝ‬
:
‫ﺃﺳﺎﺳﻴﺔ‬ ‫ﻣﻔﺎﻫﻴﻢ‬
‫ﺍﻻﺣﺼﺎء؟‬ ‫ﻋﻠﻢ‬
‫ﺍﻟﺒﻴﺎﻧﺎﺕ‬ ‫ﺟﻤﻊ‬
–
‫ﺗﺒﻮﻳﺐ‬
‫ﺍﻟﺒﻴﺎﻧﺎﺕ‬
–
‫ﺗﺮﻣﻴﺰ‬
‫ﺍﻟﺒﻴﺎﻧﺎ‬
‫ﺕ‬
-
‫ﻋﺮﺽ‬
‫ﺍﻟﺒﻴﺎﻧﺎﺕ‬
–
‫ﺍﺳﺘﻨﺒﺎﻁ‬
–
‫ﺩﻋﻢ‬
‫ﺍﻟﻘﺮﺍﺭ‬ ‫ﺻﺎﻧﻊ‬
–
‫ﻟ‬ ‫ﺍﺧﺘﺒﺎﺭ‬
‫ﻘﺮﺍﺭ‬
‫ﻟﻠﺘﻄﺒﻴﻖ‬ ‫ﻗﺎﺑﻞ‬ ‫ﺻﺎﺋﺐ‬
‫ﺍﻟﺩﺭﺍﺳﺔ‬ ‫ﻣﺟﺗﻣﻊ‬
Population
1
-
‫ﻣﺣﺩﻭﺩ‬ ‫ﻏﻳﺭ‬ ‫ﺍﻭ‬ ‫ﻣﺣﺩﻭﺩ‬
2
-
‫ﻣﺟﻬﻭﻟﺔ‬ ‫ﻣﻌﺎﻟﻡ‬ ‫ﻋﻠﻰ‬ ‫ﻳﺣﺗﻭﻱ‬
)
‫ﻣﻌﻳﺎﺭﻱ‬ ‫ﺍﻧﺣﺭﺍﻑ‬ ‫ﻣﺗﻭﺳﻁ‬
(..
3
-
‫ﺍﻟﻣﺟﺗﻣﻊ؟‬ ‫ﻣﻌﺎﻟﻡ‬ ‫ﻋﻠﻰ‬ ‫ﺍﻟﺗﻌﺭﻑ‬
‫ﻋﺷﻭﺍﺋﻳﺔ‬ ‫ﻋﻳﻧﺔ‬
‫ﻧﻅﺎﻣﻳﺔ‬ ‫ﻁﺭﻕ‬ ‫ﺑﺎﺳﺗﺧﺩﺍﻡ‬
Random Sample
‫ﻣﺧﺗﻠﻔﺔ‬ ‫ﻭﺗﻁﺑﻳﻘﺎﺕ‬ ‫ﻧﻣﺫﺟﺔ‬
Modeling and Different
Applications
‫ﺍﺳﺗﺩﻻﻟﻲ‬ ‫ﺗﺣﻠﻳﻝ‬
Statistical Inference
‫ﻣﻌﻠﻣﻲ‬ ‫ﻻ‬
Non‐parametric
‫ﻣﻌﻠﻣﻲ‬
Parametric
‫ﺗﻘﺩﻳﺭ‬
)
‫ﻧﻘﻁﺔ‬
-
‫ﻓﺗﺭﺓ‬
(
Estimation (Point ‐ Interval)
‫ﻓﺭﺿﻳﺎﺕ‬ ‫ﺃﺧﺗﺑﺎﺭﺍﺕ‬
Hypotheses Testing
‫ﻭﺻﻔﻲ‬ ‫ﺗﺣﻠﻳﻝ‬
Descriptive Statistical
Analysis
‫ﺑﺎﺳﺗﺧﺩﺍﻡ‬ ‫ﺍﻻﺣﺻﺎﺋﻲ‬ ‫ﺍﻟﺗﺣﻠﻳﻝ‬
SPSS
‫ﺩ‬
‫ﺳﻠﻁﺎﻥ‬ ‫ﺧﻠﻑ‬ .
4
)
1
-
1
(
‫ﺍﻟ‬ ‫ﺑﻌﺾ‬
‫ﻤﺼﻄﻠﺤﺎﺕ‬
‫ﺍﻹ‬
‫ﺣﺼﺎﺋﻴﺔ‬
‫ﺍﻟﻤﺼﻄﻠﺤﺎ‬ ‫ﺑﻌﺾ‬ ‫ﻫﻨﺎﻙ‬
‫ﺑﻜﺜﺮﺓ‬ ‫ﺗﺴﺘﺨﺪﻡ‬ ‫ﺍﻟﺘﻲ‬ ‫ﺍﻹﺣﺼﺎﺋﻴﺔ‬ ‫ﺕ‬
‫ﻋﻨﺪ‬
‫ﺗﺤﻠﻴﻞ‬
‫ﺍﻟﺒﻴﺎﻧﺎﺕ‬
‫ﺍﻟﻀﻮء‬ ‫ﻧﻠﻘﻲ‬ ‫ﺳﻮﻑ‬ ،
‫ﻋﻠﻰ‬
‫ﻣﻨﻬﺎ‬ ‫ﺍﻟﺒﻌﺾ‬
‫ﺳﺮﻳﻊ‬ ‫ﺑﺸﻜﻞ‬
‫ﻭ‬
‫ﺍﻟﻤﺘﺨﺼ‬ ‫ﻏﻴﺮ‬ ‫ﻻﺗﻬﻢ‬ ‫ﺍﻟﺘﻲ‬ ‫ﺍﻟﺘﻔﺎﺻﻴﻞ‬ ‫ﻋﻦ‬ ‫ﺑﻌﻴﺪﺍ‬
:‫ﺍﻟﻤﺼﻄﻠﺤﺎﺕ‬ ‫ﻫﺬﻩ‬ ‫ﻭﻣﻦ‬ ‫ﺍﻹﺣﺼﺎء‬ ‫ﻋﻠﻢ‬ ‫ﻓﻲ‬ ‫ﺼﻴﻦ‬

‫ﺍﻟﻤﺠﺘﻤﻊ‬
Population
-
‫ﺍﻟﺒﻜﺎﻟﻮﺭﻳﻮﺱ‬ ‫ﻁﻼﺏ‬ ‫ﻣﺠﺘﻤﻊ‬
‫ﺑ‬
‫ﺳﻌﻮﺩ‬ ‫ﺍﻟﻤﻠﻚ‬ ‫ﺠﺎﻣﻌﺔ‬
-
‫ﺳﻌﻮﺩ‬ ‫ﺍﻟﻤﻠﻚ‬ ‫ﺑﺠﺎﻣﻌﺔ‬ ‫ﺍﻟﺘﺪﺭﻳﺲ‬ ‫ﻫﻴﺌﺔ‬ ‫ﺃﻋﻀﺎء‬ ‫ﻣﺠﺘﻤﻊ‬
-
‫ﺳﻌﻮﺩ‬ ‫ﺍﻟﻤﻠﻚ‬ ‫ﺟﺎﻣﻌﺔ‬ ‫ﻣﻮﻅﻔﻲ‬ ‫ﻣﺠﺘﻤﻊ‬
-
‫ﺳﻌﻮﺩ‬ ‫ﺍﻟﻤﻠﻚ‬ ‫ﺑﺠﺎﻣﻌﺔ‬ ‫ﺍﻟﻌﻠﻴﺎ‬ ‫ﺍﻟﺪﺭﺍﺳﺎﺕ‬ ‫ﻁﻼﺏ‬ ‫ﻣﺠﺘﻤﻊ‬
-
...
‫ﺃﺧﺮﻯ؟‬ ‫ﺍﻣﺜﻠﺔ‬ ‫ﺍﺫﻛﺮ‬

‫ﺍﻟﻜﻤﻲ‬ ‫ﺍﻟﻤﺘﻐﻴﺮ‬
Quantitative variable
-
‫ﺩﺭﺟﺔ‬
‫ﺍﻟﺤﺮﺍﺭ‬
‫ﺓ‬
‫ﺍﻻﺳﺒﻮﻉ‬ ‫ﺍﻳﺎﻡ‬ ‫ﺧﻼﻝ‬
-
‫ﺍﻟﻤﺘﻮﺳﻄﺔ‬ ‫ﺍﻟﻤﺮﺣﻠﺔ‬ ‫ﻓﻲ‬ ‫ﺍﻟﻄﺎﻟﺐ‬ ‫ﻭﺯﻥ‬
-
‫ﻗﻴﺎﺱ‬ ‫ﺍﺧﺘﺒﺎﺭ‬ ‫ﻓﻲ‬ ‫ﺍﻟﻄﺎﻟﺐ‬ ‫ﺩﺭﺟﺎﺕ‬
-
‫ﺍﻟﻤﻮﻅﻒ‬ ‫ﺭﺍﺗﺐ‬
-
...
‫ﺃﺧﺮﻯ؟‬ ‫ﺍﻣﺜﻠﺔ‬ ‫ﺍﺫﻛﺮ‬

‫ﺍﻟﻨﻮﻋﻲ‬ ‫ﺍﻟﻤﺘﻐﻴﺮ‬
Qualitative variable
-
‫ﺍﻟﺪﻡ‬ ‫ﻓﺼﻴﻠﺔ‬
-
‫ﺍﻟﻄﻠﺒﺔ‬ ‫ﺟﻨﺲ‬
-
‫ﺍﻟﺴﻜﺮ‬ ‫ﻣﺮﻳﺾ‬ ‫ﺣﺎﻟﺔ‬
‫)ﻣﺮﺗﻔﻊ‬
–
‫ﻣﻨﺨﻔﺾ‬
–
(‫ﻣﻌﺘﺪﻝ‬
-
‫ﺍﻟﻤﻮﻅﻒ‬ ‫ﺟﻨﺴﻴﺔ‬
-
.
..
‫ﺃﺧﺮﻯ؟‬ ‫ﺍﻣﺜﻠﺔ‬ ‫ﺍﺫﻛﺮ‬

‫ﺍﻟﻌﺸﻮﺍﺋﻴﺔ‬ ‫ﺍﻟﻌﻴﻨﺔ‬
Random Sample
-
‫ﺳﻌﻮﺩ‬ ‫ﺍﻟﻤﻠﻚ‬ ‫ﺟﺎﻣﻌﺔ‬ ‫ﻁﻼﺏ‬ ‫ﻣﻦ‬ ‫ﻋﺸﻮﺍﺋﻴﺔ‬ ‫ﻋﻴﻨﺔ‬
-
‫ﺳﻌﻮﺩ‬ ‫ﺍﻟﻤﻠﻚ‬ ‫ﺟﺎﻣﻌﺔ‬ ‫ﻣﻮﻅﻔﻲ‬ ‫ﻣﻦ‬ ‫ﻋﻴﻨﺔ‬
-
...
‫ﺃﺧﺮﻯ؟‬ ‫ﺍﻣﺜﻠﺔ‬ ‫ﺍﺫﻛﺮ‬
‫ﺑﺎﺳﺗﺧﺩﺍﻡ‬ ‫ﺍﻻﺣﺻﺎﺋﻲ‬ ‫ﺍﻟﺗﺣﻠﻳﻝ‬
SPSS
‫ﺩ‬
‫ﺳﻠﻁﺎﻥ‬ ‫ﺧﻠﻑ‬ .
5

‫ﺍﻟﻤﻌﺎﻳﻨﺔ‬ ‫ﺃﺳﺎﻟﻴﺐ‬
Sampling techniques
-
‫ﻋﻴﻨﺔ‬
‫ﻋﺸﻮﺍﺋﻴﺔ‬
Random Sample
-
‫ﻋﻴﻨﺔ‬
‫ﻁﺒﻘﻴﺔ‬
Stratified Sample
-
‫ﻋﻴﻨﺔ‬
‫ﻣﻨﺘﻈﻤﺔ‬
Systematic Sample
-
‫ﻋﻨﻘﻮﺩﻳﺔ‬ ‫ﻋﻴﻨﺔ‬
Cluster Sample
-
.....
‫ﻣﺜﺎﻝ‬
)
1
(
:‫ﺍﻟﻤﺠﺘﻤﻊ‬
‫ﺩﺭﺟﺎﺕ‬
‫ﻁﻼﺏ‬
‫ﺃﺣﺪ‬
‫ﺍﻟﻤﺴﺘﻮﻳﺎﺕ‬
‫ﻓﻲ‬ ‫ﺍﻟﺪﺭﺍﺳﻴﺔ‬
‫ﻣﻘﺮﺭ‬
‫ﻣﻌﻴﻦ‬
:‫ﻫﻲ‬ ‫ﺍﻟﻤﺠﺘﻤﻊ‬ ‫ﻣﺸﺎﻫﺪﺍﺕ‬
‫ﻛﻴﻒ‬
‫ﺣﺠﻤﻬﺎ‬ ‫ﻋﺸﻮﺍﺋﻴﺔ‬ ‫ﻋﻴﻨﺔ‬ ‫ﻧﺴﺤﺐ‬
10
‫ﻫﺬﺍ‬ ‫ﻣﻦ‬
‫ﺍﻟﻤﺠﺘﻤﻊ؟‬
:‫ﻣﺜﻼ‬
71, 70, 92, 34, 80, 76, 73, 37, 76, 29
= ‫ﺍﻟﻤﺠﺘﻤﻊ‬ ‫ﺣﺠﻢ‬
50
= ‫ﺍﻟﻌﻴﻨﺔ‬ ‫ﺣﺠﻢ‬
10

‫ﻣﻌﺎﻟﻢ‬
(‫)ﻣﻌﻠﻤﺔ‬
Parameter(s)
-
‫ﻣﺘﻮﺳﻂ‬
) ‫ﻣﺜﺎﻝ‬ ‫ﻓﻲ‬ ‫ﺍﻟﻄﻼﺏ‬ ‫ﻋﻼﻣﺎﺕ‬
1
(
-
‫ﺍﻟﻨﺠﺎﺡ‬ ‫ﻧﺴﺒﺔ‬
-
...

‫ﺇﺣﺼﺎء‬
‫ﻩ‬
Statistic
-
‫ﺍﻟﻌﻴﻨﺔ‬ ‫ﻣﺘﻮﺳﻂ‬
:‫ﺍﻟﻌﺸﻮﺍﺋﻴﺔ‬
) ‫ﻣﺜﺎﻝ‬ ‫ﻓﻲ‬ ‫ﺍﻟﻤﺴﺤﻮﺑﺔ‬ ‫ﺍﻟﻌﺸﻮﺍﺋﻴﺔ‬ ‫ﺍﻟﻌﻴﻨﺔ‬ ‫ﻣﺘﻮﺳﻂ‬ ‫ﻣﺜﻞ‬
1
(
-
‫ﺍﻟﻌﺸﻮﺍﺋﻴﺔ‬ ‫ﺍﻟﻌﻴﻨﺔ‬ ‫ﻓﻲ‬ ‫ﺍﻟﻌﻈﻤﻲ‬ ‫ﺍﻟﻘﻴﻤﺔ‬
-
‫ﺍﻟﻌﺸﻮﺍﺋﻴﺔ‬ ‫ﻟﻠﻌﻴﻨﺔ‬ ‫ﺍﻟﻤﻌﻴﺎﺭﻱ‬ ‫ﺍﻻﻧﺤﺮﺍﻑ‬
-
...
63 44 42 60 76
87 30 85 49 74
20 75 61 28 85
63 86 55 40 67
66 97 80 29 37
71 74 88 76 59
30 34 77 87 65
70 46 82 88 78
77 92 38 68 95
64 57 76 90 73
‫ﺑﺎﺳﺗﺧﺩﺍﻡ‬ ‫ﺍﻻﺣﺻﺎﺋﻲ‬ ‫ﺍﻟﺗﺣﻠﻳﻝ‬
SPSS
‫ﺩ‬
‫ﺳﻠﻁﺎﻥ‬ ‫ﺧﻠﻑ‬ .
6
‫ﺍﻹﺣﺼﺎﺋﻴﺔ‬ ‫ﺍﻟﻤﻘﺎﻳﻴﺲ‬
‫ﺍﻟﻮﺻﻔﻴﺔ‬
‫ﻣﺮﻛﺰﻳﺔ‬ ‫ﻧﺰﻋﺔ‬ ‫ﻣﻘﺎﻳﻴﺲ‬
Descriptive Statistical Measures
1
-
‫ﺍ‬
‫ﺍﻟﺤﺴﺎﺑﻲ‬ ‫ﻟﻤﺘﻮﺳﻂ‬
‫ﺍﻟ‬
‫ﺍﻟﻤﺸﺎﻫﺪﺍﺕ‬ ‫ﻣﺠﻤﻮﻉ‬ = ‫ﺍﻟﻤﺸﺎﻫﺪﺍﺕ‬ ‫ﻣﻦ‬ ‫ﻟﻤﺠﻤﻮﻋﺔ‬ ‫ﺍﻟﺤﺴﺎﺑﻲ‬ ‫ﻤﺘﻮﺳﻂ‬
‫ﻣﻘﺴﻮﻣﺎ‬
‫ﻋﺪﺩﻫﺎ‬ ‫ﻋﻠﻰ‬
) ‫ﺑﻤﺜﺎﻝ‬ ‫ﺍﻟﻄﻼﺏ‬ ‫ﺩﺭﺟﺎﺕ‬ ‫ﻓﻲ‬ ‫ﺫﻟﻚ‬ ‫ﻣﺜﺎﻝ‬
1
‫ﺍﻥ‬ ‫ﻧﺠﺪ‬ (
= ‫ﺍﻟﻤﺠﺘﻤﻊ‬ ‫ﻣﺘﻮﺳﻂ‬
65.08
= ‫ﺍﻟﻌﻴﻨﺔ‬ ‫ﻣﺘﻮﺳﻂ‬
63.8
o
‫ﻣﻤﻴﺰﺍﺗﻪ‬
o
‫ﻋﻴﻮﺑﻪ‬
2
-
‫ﺍﻟﻮﺳﻴﻂ‬
‫ﺍﻟﺘﻲ‬ ‫ﺍﻟﻤﺸﺎﻫﺪﺓ‬ ‫ﻫﻮ‬
‫ﻳﺴﺒﻘﻬﺎ‬
50
‫ﺗﺼﺎﻋﺪﻳﺎ‬ ‫ﺍﻟﻤﺮﺗﺒﺔ‬ ‫ﺍﻟﻤﺸﺎﻫﺪﺍﺕ‬ ‫ﻣﻦ‬ %
‫ﺍﻟ‬ ‫ﻓﻲ‬ ‫ﺍﻟﻌﻴﻨﺔ‬ ‫ﻭﺳﻴﻂ‬ ‫ﻓﻤﺜﻼ‬
) ‫ﺭﻗﻢ‬ ‫ﻤﺜﺎﻝ‬
1
‫ﻫﻮ‬ (
72
o
‫ﻣﻤﻴﺰﺍﺗﻪ‬
o
‫ﻋﻴﻮﺑﻪ‬
3
-
‫ﺍﻟﻤﻨﻮﺍﻝ‬
‫ﺗﻜﺮﺍﺭﺍ‬ ‫ﺍﻻﻛﺜﺮ‬ ‫ﺍﻟﻘﻴﻤﺔ‬ ‫ﻫﻮ‬
‫ﺍﻟﻌﻴ‬ ‫ﻓﻲ‬ ‫ﺫﻟﻚ‬ ‫ﻣﺜﺎﻝ‬
‫ﺑ‬ ‫ﺍﻟﻤﺴﺤﻮﺑﺔ‬ ‫ﻨﺔ‬
‫ﻤﺜﺎﻝ‬
1
‫ﻫﻲ‬ ‫ﺍﻟﻤﻨﻮﺍﻝ‬
76
.
o
‫ﻣﻤﻴﺰﺍﺗﻪ‬
o
‫ﻋﻴﻮﺑﻪ‬
4
-
‫ﺍﻟﺮﺑﻴﻌﻴﺎﺕ‬
–
‫ﺍﻟﻌﺸﻴﺮﺍﺕ‬
–
‫ﺍﻟﻤﺌﻴﻨﺎﺕ‬
‫ﺑﻤﺜﺎﻝ‬ ‫ﺍﻟﻌﺸﻮﺍﺋﻴﺔ‬ ‫ﻟﻠﻌﻴﻨﺔ‬ ‫ﺍﻟﺮﺑﻴﻌﻴﺎﺕ‬ ‫ﻓﻤﺜﻼ‬
1
‫ﻫﻲ‬
= ‫ﺍﻻﻭﻝ‬ ‫ﺍﻟﺮﺑﻴﻊ‬
45.25
‫ﺍ‬ ‫ﺍﻟﺮﺑﻴﻊ‬
= ‫ﻟﺜﺎﻧﻲ‬
75
‫=ﺍﻟﻮﺳﻴﻂ‬
=‫ﺍﻟﺜﺎﻟﺚ‬ ‫ﺍﻟﺮﺑﻴﻊ‬
76
‫ﺑﺎﺳﺗﺧﺩﺍﻡ‬ ‫ﺍﻻﺣﺻﺎﺋﻲ‬ ‫ﺍﻟﺗﺣﻠﻳﻝ‬
SPSS
‫ﺩ‬
‫ﺳﻠﻁﺎﻥ‬ ‫ﺧﻠﻑ‬ .
7
‫ﻣﻘﺎﻳﻴﺲ‬
‫ﺍﻟ‬
‫ﺘﺸﺘﺖ‬
1
-
‫ﺍﻟﺘﺒﺎﻳﻦ‬
‫ﺍﻟﺤﺴﺎﺑﻲ‬ ‫ﺍﻟﻮﺳﻂ‬ ‫ﻋﻦ‬ ‫ﻟﻠﻤﺸﺎﻫﺪﺍﺕ‬ ‫ﺍﻻﻧﺤﺮﺍﻓﺎﺕ‬ ‫ﻣﺮﺑﻌﺎﺕ‬ ‫ﻣﺘﻮﺳﻂ‬ ‫ﻳﻘﻴﺲ‬
‫ﺑﻤﺜﺎﻝ‬ ‫ﺍﻟﻌﺸﻮﺍﺋﻴﺔ‬ ‫ﻟﻠﻌﻴﻨﺔ‬
(1)
= ‫ﺍﻟﺘﺒﺎﻳﻦ‬ :
483.0667
2
-
‫ﺍﻟﻤﻌﻴﺎﺭﻱ‬ ‫ﺍﻻﻧﺤﺮﺍﻑ‬
:
‫ﻟﻠﺘﺒﺎﻳﻦ‬ ‫ﺍﻟﺘﺮﺑﻴﻌﻲ‬ ‫ﺍﻟﺠﺬﺭ‬ ‫ﻫﻮ‬
‫ﻓﻤﺜﻼ‬
‫ﻓﻲ‬
‫ﻣﺜﺎﻝ‬
1
:‫ﻫﻮ‬ ‫ﺍﻟﻤﻌﻴﺎﺭﻱ‬ ‫ﺍﻻﻧﺤﺮﺍﻑ‬ ‫ﻓﺎﻥ‬
21.97878
3
-
‫ﺍﻟﺮﺑﻴﻌﻲ‬ ‫ﺍﻟﻤﺪﻱ‬ ‫ﻧﺼﻒ‬
‫ﺍﻟﺜﺎﻟﺚ‬ ‫)ﺍﻟﺮﺑﻴﻊ‬ =
–
‫ﺍﻟﺮﺑﻴﻊ‬
(‫ﺍﻻﻭﻝ‬
‫ﻋﻠﻰ‬ ‫ﻣﻘﺴﻮﻣﺎ‬
2
4
-
‫ﺍﻻﺧﺘﻼﻑ‬ ‫ﻣﻌﺎﻣﻞ‬
‫ﺍﻟﻤﻌﻴﺎﺭﻱ‬ ‫ﺍﻻﻧﺤﺮﺍﻑ‬ =
‫ﻣﻘﺴﻮﻣﺎ‬
‫ﺍﻟﻤﺘﻮﺳﻂ‬ ‫ﻋﻠﻰ‬
‫ﺍﻟﺸﻜﻞ‬ ‫ﻣﻘﺎﻳﻴﺲ‬
1
-
‫ﺍﻻﻟﺘﻮﺍء‬ ‫ﻣﻌﺎﻣﻞ‬
2
-
‫ﻣﻌﺎﻣﻞ‬
‫ﺍﻟﺘﻔﻠﻄﺢ‬
‫ﻣﺨﺘﻠﻔﺔ‬ ‫ﺍﺣﺼﺎﺋﻴﺔ‬ ‫ﺭﺳﻮﻣﺎﺕ‬
‫ﺑﻴﺎﻧﻴﺔ‬ ‫)ﺍﻋﻤﺪﺓ‬
–
‫ﺩﺍﺋﺮﻳﺔ‬ ‫ﺍﺷﻜﺎﻝ‬
–
‫ﻭﻣﻨﺤﻨﻴﺎﺕ‬ ‫ﺧﻄﻮﻁ‬
-
‫ﺗﻜﺮﺍﺭﻱ‬ ‫ﻣﺪﺭﺝ‬
–
‫ﺻﻨﺪﻭ‬ ‫ﺭﺳﻢ‬
‫ﻗﻲ‬
-
(.....
‫ﻣﺜﺎﻝ‬ ‫ﻟﻤﺸﺎﻫﺪﺍﺕ‬ ‫ﺍﻟﺼﻨﺪﻭﻗﻲ‬ ‫ﺍﻟﺮﺳﻢ‬ ‫ﺫﻟﻚ‬ ‫ﻣﺜﺎﻝ‬
)
1
(
‫ﺑﺎﺳﺗﺧﺩﺍﻡ‬ ‫ﺍﻻﺣﺻﺎﺋﻲ‬ ‫ﺍﻟﺗﺣﻠﻳﻝ‬
SPSS
‫ﺩ‬
‫ﺳﻠﻁﺎﻥ‬ ‫ﺧﻠﻑ‬ .
8
‫ﻣﻘﻄﻌﻴﺔ‬ ‫ﺟﺪﺍﻭﻝ‬
‫ﺍﻭ‬ ‫ﻅﺎﻫﺮﺗﻴﻦ‬ ‫ﻣﺸﺎﻫﺪﺍﺕ‬ ‫ﻳﻠﺨﺺ‬ ‫ﺟﺪﻭﻝ‬ :
‫ﺃﻛﺜﺮ‬
‫ﺍﻟﺨﺎﺻﻴﺔ‬
A
n
A
…
2
A
1
A
‫ﺍﻟﺨﺎﺻﻴﺔ‬
B
‫ﺗﻜﺮﺍﺭﺍﺕ‬
‫ﺗﻜﺮﺍﺭﺍﺕ‬
‫ﺗﻜﺮﺍﺭﺍﺕ‬
‫ﺗﻜﺮﺍﺭﺍﺕ‬
1
B
‫ﺗﻜﺮﺍﺭﺍﺕ‬
‫ﺗﻜﺮﺍﺭﺍﺕ‬
‫ﺗﻜﺮﺍﺭﺍﺕ‬
‫ﺗﻜﺮﺍﺭﺍﺕ‬
2
B
….
….
….
….
.
‫ﺗﻜﺮﺍﺭﺍﺕ‬
‫ﺗﻜﺮﺍﺭﺍﺕ‬
‫ﺗﻜﺮﺍﺭﺍﺕ‬
‫ﺗ‬
‫ﻜﺮﺍﺭﺍﺕ‬
m
B
‫ﺍﻻﺳﺘﺪﻻﻟﻲ‬ ‫ﺍﻹﺣﺼﺎء‬
Statistical Inference
-
‫ﺑﻨﻘﻄﺔ‬ ‫ﺍﻟﺘﻘﺪﻳﺮ‬
Point Estimation
-
‫ﺑﻔﺘﺮﺓ‬ ‫ﺍﻟﺘﻘﺪﻳﺮ‬
Interval Estimation
-
‫ﺍﻟﻔﺮﺿﻴﺎﺕ‬ ‫ﺍﺧﺘﺒﺎﺭﺍﺕ‬
Hypotheses Testing
-
‫ﺍﻟﺘﺒﺎﻳﻦ‬ ‫ﺗﺤﻠﻴﻞ‬
Analysis of Variance (ANOVA)
-
‫ﺍﻻﺭﺗﺒﺎﻁ‬ ‫ﺗﺤﻠﻴﻞ‬
Correlation Analysis
-
‫ﺍﻻﻧﺤﺪﺍﺭ‬ ‫ﺗﺤﻠﻴﻞ‬
Regression Analysis
-
‫ﺍﻟﻼﻣﻌﻠﻤﻴﺔ‬ ‫ﺍﻟﻄﺮﻕ‬
Nonparametric Methods
‫ﺑﺎﺳﺗﺧﺩﺍﻡ‬ ‫ﺍﻻﺣﺻﺎﺋﻲ‬ ‫ﺍﻟﺗﺣﻠﻳﻝ‬
SPSS
‫ﺩ‬
‫ﺳﻠﻁﺎﻥ‬ ‫ﺧﻠﻑ‬ .
9
)
2
-
1
‫ﺑﺎﻟﺒﺮﻧﺎﻣﺞ‬ ‫ﺍﻟﺘﻌﺮﻳﻒ‬ (
SPSS
SPSS
‫ﻫﻲ‬
‫ﺍﻟﻼﺗﻴﻨﻴﺔ‬ ‫ﻟﻸﺣﺮﻑ‬ ‫ﺍﺧﺘﺼﺎﺭ‬
‫ﻟـ‬ ‫ﺍﻷﻭﻟﻰ‬
"‫ﺍﻻﺟﺘﻤﺎﻋﻴﺔ‬ ‫ﻟﻠﻌﻠﻮﻡ‬ ‫ﺍﻹﺣﺼﺎﺋﻴﺔ‬ ‫"ﺍﻟﺤﺰﻣﺔ‬
Statistical Package for Social Science
‫ﻣﺘﻜﺎﻣﻠﺔ‬ ‫ﻮﺑﻴﺔ‬‫ﺣﺎﺳ‬ ‫ﺣﺰﻣﺔ‬ ‫ﻭﻫﻲ‬
‫ﻭﺗﺤﻠﻴ‬ ‫ﺍﻟﺒﻴﺎﻧﺎﺕ‬ ‫ﻹﺩﺧﺎﻝ‬
‫ﻠﻬﺎ‬
.
‫ﺘﺨﺪﻡ‬‫ﻭﺗﺴ‬
‫ﻋﻠﻰ‬ ‫ﺘﻤﻞ‬‫ﺗﺸ‬ ‫ﺍﻟﺘﻲ‬ ‫ﺍﻟﻌﻠﻤﻴﺔ‬ ‫ﺍﻟﺒﺤﻮﺙ‬ ‫ﺟﻤﻴﻊ‬ ‫ﻓﻲ‬ ‫ﻋﺎﺩﺓ‬
‫ﺍﻟﺒﻴﺎﻧﺎﺕ‬ ‫ﻣﻦ‬ ‫ﺍﻟﻌﺪﻳﺪ‬
‫ﺍﻟﺮﻗﻤﻴﺔ‬
‫ﺻﻔﻴﺔ‬‫ﻭﺍﻟﻮ‬
،
‫ﻭﻻ‬
‫ﺗﻘﺘﺼﺮ‬
‫ﻟﻬﺬﺍ‬ ً‫ﻼ‬‫ﺻ‬‫ﺃ‬ ‫ﺸﺌﺖ‬‫ﺃﻧ‬ ‫ﺃﻧﻬﺎ‬ ‫ﻣﻦ‬ ‫ﺑﺎﻟﺮﻏﻢ‬ ‫ﻓﻘﻂ‬ ‫ﺍﻻﺟﺘﻤﺎﻋﻴﺔ‬ ‫ﺍﻟﺒﺤﻮﺙ‬ ‫ﻋﻠﻰ‬
‫ﺍﻟﻐﺮﺽ‬
‫ﺘﻤﺎﻟﻬﺎ‬ ‫ﺍﺷ‬ ‫ﻭﻟﻜﻦ‬
ً‫ﺎ‬‫)ﺗﻘﺮﻳﺒ‬ ‫ﺎﺋﻴﺔ‬ ‫ﺍﻹﺣﺼ‬ ‫ﺍﻻﺧﺘﺒﺎﺭﺍﺕ‬ ‫ﻣﻌﻈﻢ‬ ‫ﻋﻠﻰ‬
(
‫ﺍﻟﺒﻴﺎﻧﺎﺕ‬ ‫ﻣﻌﺎﻟﺠﺔ‬ ‫ﻋﻠﻰ‬ ‫ﺍﻟﻔﺎﺋﻘﺔ‬ ‫ﻭﻗﺪﺭﺗﻬﺎ‬
‫ﻭﺗﻮﺍﻓﻘﻬﺎ‬
‫ﺃﺩﺍ‬ ‫ﻣﻨﻬﺎ‬ ‫ﺟﻌﻞ‬ ‫ﻬﻮﺭﺓ‬ ‫ﺍﻟﻤﺸ‬ ‫ﺍﻟﺒﺮﻣﺠﻴﺎﺕ‬ ‫ﻣﻌﻈﻢ‬ ‫ﻣﻊ‬
‫ﺍﻟﺒﺤﻮﺙ‬ ‫ﺃﻧﻮﺍﻉ‬ ‫ﺘﻰ‬ ‫ﺷ‬ ‫ﻟﺘﺤﻠﻴﻞ‬ ‫ﻓﺎﻋﻠﺔ‬ ‫ﺓ‬
‫ﺍ‬
‫ﻟﻌﻠﻤﻴﺔ‬
.
‫ﺘﻄﻴﻊ‬ ‫ﻭﻳﺴ‬
SPSS
‫ﻗﺮﺍءﺓ‬
‫ﻭ‬ ‫ﺍﻟﻤﻠﻔﺎﺕ‬ ‫ﺃﻧﻮﺍﻉ‬ ‫ﻣﻌﻈﻢ‬ ‫ﻣﻦ‬ ‫ﺍﻟﺒﻴﺎﻧﺎﺕ‬
‫ﻳ‬
‫ﺗﻘﺎﺭﻳﺮ‬ ‫ﻫﻴﺌﺔ‬ ‫ﻋﻠﻰ‬ ‫ﺍﻟﻨﺘﺎﺋﺞ‬ ‫ﻻﺳﺘﺨﺮﺍﺝ‬ ‫ﺴﺘﺨﺪﻣﻬﺎ‬
‫ﻋﻠﻰ‬ ‫ﺃﻭ‬ ‫ﺑﻴﺎﻧﻴﺔ‬ ‫ﺃﺷﻜﺎﻝ‬ ‫ﺃﻭ‬ ‫ﺇﺣﺼﺎﺋﻴﺔ‬
‫ﺃﻭ‬ ‫ﺑﺴﻴﻂ‬ ً‫ﺎ‬‫ﻭﺻﻔﻴ‬ ‫ﺇﺣﺼﺎء‬ ‫ﺃﻭ‬ ‫ﺍﻋﺘﺪﺍﻟﻲ‬ ‫ﺗﻮﺯﻳﻊ‬ ‫ﺷﻜﻞ‬
‫ﻣﺮﻛﺐ‬
‫ﺍﻟﺤﺰﻣﺔ‬ ‫ﻭﺗﺴﺘﻄﻴﻊ‬
‫ﺗﺒﺴﻴﻂ‬
‫ﺍﻹﺣﺼﺎﺋﻲ‬ ‫ﺍﻟﺘﺤﻠﻴﻞ‬
‫ﺑﺸﻜﻞ‬
‫ﻣﻨﺎﺳﺐ‬
‫ﺳﻮﺍء‬ ‫ﺣﺪ‬ ‫ﻋﻠﻰ‬ ‫ﻭﺍﻟﺨﺒﻴﺮ‬ ‫ﺍﻟﻤﺒﺘﺪﺉ‬ ‫ﻟﻠﺒﺎﺣﺚ‬
.
‫ﻟﺤﺰﻣﺔ‬ ‫ﻣﺨﺘﻠﻔﺔ‬ ‫ﺇﺻﺪﺍﺭﺍﺕ‬ ‫ﻳﻮﺟﺪ‬
SPSS
‫ﺃﺣﺪﺛﻬﺎ‬
‫ﻫﻮ‬
IBM SPSS Statistics-25
‫ﺍﻟﺬﻱ‬
.‫ﺍﻷﺧﻴﺮﺓ‬ ‫ﺍﻵﻭﻧﺔ‬ ‫ﻓﻲ‬ ‫ﻅﻬﺮ‬
 SPSS 15.1 - November 2006
 SPSS 16.2 - April 2008
 SPSS Statistics 17.1 - December 2008
 PASW Statistics 17.3 - September 2009
 PASW Statistics 18.0 - August 2009
 PASW Statistics 18.1 - December 2009
 PASW Statistics 18.2 - April 2010
 IBM SPSS Statistics 19 – October 2010
 IBM SPSS Statistics 20– October 2011
 IBM SPSS Statistics 21– February 2013
 IBM SPSS Statistics 22– February 2014
 IBM SPSS Statistics 23– March 2015
 IBM SPSS Statistics 24– March 2016
 IBM SPSS Statistics 25– August 2017
‫ﺃﻥ‬ ‫ﻭﻧﻼﺣﻆ‬
PASW
‫ﻓﻲ‬
‫ﺍﻻﺻﺪﺍﺭﺍﺕ‬
17
‫ﻭ‬
18
‫ﻫﻲ‬
‫ﺍﺧﺘﺼﺎﺭ‬
‫ﻟـ‬
‫ﺍﻟﺘﻨﺒﺆ‬ ‫ﺍﻟﺘﺤﻠﻴﻞ‬ ‫ﺑﺮﻧﺎﻣﺞ‬
‫ﻱ‬
Predictive Analytical Software
‫ﺑﺎﺳﺗﺧﺩﺍﻡ‬ ‫ﺍﻻﺣﺻﺎﺋﻲ‬ ‫ﺍﻟﺗﺣﻠﻳﻝ‬
SPSS
‫ﺩ‬
‫ﺳﻠﻁﺎﻥ‬ ‫ﺧﻠﻑ‬ .
10
‫ﺍﻟﻌﻠﻤﻲ‬ ‫ﻣﺤﺘﻮﺍﻫﺎ‬ ‫ﻓﻲ‬ ‫ﻛﺜﻴﺮﺍ‬ ‫ﺗﺨﺘﻠﻒ‬ ‫ﻻ‬ ‫ﺍﻟﺒﺮﻧﺎﻣﺞ‬ ‫ﻣﻦ‬ ‫ﺍﻟﺴﺎﺑﻘﺔ‬ ‫ﺍﻹﺻﺪﺍﺭﺍﺕ‬ ‫ﺇﻥ‬
‫ﺍﻷﺳﺎﺳﻴﺔ‬ ‫ﺍﻹﺣﺼﺎﺋﻴﺔ‬ ‫ﻭﺍﻟﻌﻤﻠﻴﺎﺕ‬
‫ﻋﻦ‬
‫ﺍﻹﺻﺪﺍﺭﺍﺕ‬
‫ﺍﻟﺤﺪﻳﺜ‬
‫ﺔ‬
‫ﻭﻣﻌﻈﻢ‬
‫ﺍﺳﺘﺨﺪﺍﻡ‬ ‫ﻓﻲ‬ ‫ﺗﻈﻬﺮ‬ ‫ﺍﻻﺧﺘﻼﻓﺎﺕ‬
‫ﺍﻟﺘﺤﺴﻴﻨﺎﺕ‬ ‫ﻭﺑﻌﺾ‬ ‫ﺍﻟﻨﻬﺎﺋﻴﺔ‬ ‫ﻭﺍﻟﻤﺨﺮﺟﺎﺕ‬ ‫ﺍﻟﻨﻮﺍﻓﺬ‬ ‫ﺃﺷﻜﺎﻝ‬
‫ﺍﻟﺒﻴﺎﻧﻴﺔ‬ ‫ﺍﻷﺷﻜﺎﻝ‬ ‫ﻓﻲ‬
‫ﺍﻟﻤﺘﻘﺪﻡ‬ ‫ﺍﻟﺘﺤﻠﻴﻞ‬ ‫ﻓﻲ‬ ‫ﺇﺿﺎﻓﺎﺕ‬ ‫ﻫﻨﺎﻙ‬ ‫ﺑﺎﻟﻄﺒﻊ‬ ‫ﻟﻜﻦ‬
Advanced Analysis
.
)
3
-
1
‫ﻓﻲ‬ ‫ﺍﻟﺮﺋﻴﺴﻲ‬ ‫ﺍﻟﻘﻮﺍﺋﻢ‬ ‫ﺷﺮﻳﻂ‬ (
SPSS
‫ﺑﺮﻧﺎﻣﺞ‬ ‫ﺃﻥ‬ ‫ﻫﻨﺎ‬ ‫ﻧﻔﺘﺮﺽ‬
SPSS
‫ﻭﻟﺘﺸﻐﻴﻠﻪ‬ ‫ﺟﻬﺎﺯﻙ‬ ‫ﻋﻠﻰ‬ ‫ﻣﻮﺟﻮﺩ‬
‫ﺍﺿﻐﻂ‬
" ‫ﺃﻭ‬ " ‫ﺍﺑﺪﺃ‬ " ‫ﺍﻟﺒﺪء‬ ‫ﺯﺭ‬ ‫ﻓﻮﻕ‬
Start
‫ﻣ‬ "
‫ﺷﺎﺷﺔ‬ ‫ﻦ‬
‫ﺑﺮﺍﻣﺞ‬ " ‫ﺍﺧﺘﺮ‬ ‫ﺍﻟﻨﻮﺍﻓﺬ‬ ‫ﺗﺸﻐﻴﻞ‬
Programs
"
‫ﺍﺿﻐﻂ‬
‫ﺃﻳﻘﻮﻧﺔ‬ ‫ﻓﻮﻕ‬
"
IBM SPSS Statistics 25
"
‫ﻓ‬
‫ﻓﺮﻋﻴﺔ‬ ‫ﻗﺎﺋﻤﺔ‬ ‫ﺘﻈﻬﺮ‬
‫ﺛﻢ‬
‫ﺍﺧﺘ‬
‫ﻴﺎﺭ‬
"
BM SPSS Statistics 25
"
‫ﺍﻟﺘﺎﻟﻴﺔ‬ ‫ﺍﻟﺸﺎﺷﺔ‬ ‫ﻓﺘﺢ‬ ‫ﻓﻴﺘﻢ‬
‫ﺗﺴﻤ‬ ‫ﻭﺍﻟﺘﻲ‬
‫ﻰ‬
‫ﺍﻟﺒﻴﺎﻧﺎﺕ‬ ‫ﻣﺤﺮﺭ‬ ‫ﻧﺎﻓﺬﺓ‬
)
Data Editor
.(
‫ﻣﻦ‬ ‫ﻣﻜﻮﻧﺔ‬ ‫ﻋﻤﻞ‬ ‫ﻭﺭﻗﺔ‬ ‫ﻫﻮ‬ ‫ﺍﻟﺒﻴﺎﻧﺎﺕ‬ ‫ﻣﺤﺮﺭ‬ ‫ﺃﻥ‬ ‫ﻻﺣﻆ‬
‫ﻣﻠﻔﺎﺕ‬ ‫ﻭﺗﺤﺮﻳﺮ‬ ‫ﻹﻧﺸﺎء‬ ‫ﺗﺴﺘﺨﺪﻡ‬ ‫ﻭﺍﻷﻋﻤﺪﺓ‬ ‫ﺍﻟﺼﻔﻮﻑ‬ ‫ﻣﻦ‬ ‫ﺷﺒﻜﺔ‬
) ‫ﺣﺎﻟﺔ‬ ‫ﻳﻤﺜﻞ‬ ‫ﺻﻒ‬ ‫ﻛﻞ‬ ‫ﻓﺎﻥ‬ ‫ﺍﻟﺒﻴﺎﻧﺎﺕ‬ ‫ﻣﺤﺮﺭ‬ ‫ﻭﻓﻲ‬ .‫ﺍﻟﺒﻴﺎﻧﺎﺕ‬
Case
(
‫ﺑﺎﺳﺗﺧﺩﺍﻡ‬ ‫ﺍﻻﺣﺻﺎﺋﻲ‬ ‫ﺍﻟﺗﺣﻠﻳﻝ‬
SPSS
‫ﺩ‬
‫ﺳﻠﻁﺎﻥ‬ ‫ﺧﻠﻑ‬ .
11
) ‫ﺍﻟﻤﺘﻐﻴﺮﺍﺕ‬ ‫ﻓﺘﻤﺜﻞ‬ ‫ﺍﻷﻋﻤﺪﺓ‬ ‫ﺃﻣﺎ‬
Variables
) ‫ﺑﺎﻟﺨﻼﻳﺎ‬ ‫ﻭﺍﻟﻌﻤﻮﺩ‬ ‫ﺍﻟﺼﻒ‬ ‫ﺑﻴﻦ‬ ‫ﺍﻟﺘﻘﺎﻁﻊ‬ ‫ﻧﻘﺎﻁ‬ ‫ﻭﺗﺴﻤﻰ‬ .(
Cells
‫ﻳﻮﺟﺪ‬ ‫ﻛﻤﺎ‬ .(
‫ﺍﻟﻌﻨﻮﺍﻥ‬ ‫ﺷﺮﻳﻂ‬ ‫ﺍﻟﺒﻴﺎﻧﺎﺕ‬ ‫ﻣﺤﺮﺭ‬ ‫ﺷﺎﺷﺔ‬ ‫ﺃﻋﻠﻰ‬ ‫ﻓﻲ‬
‫ﺍﻟﺒﻴﺎﻧﺎﺕ‬ ‫ﻣﺤﺮﺭ‬ ‫ﺷﺎﺷﺔ‬ ‫ﺃﺳﻔﻞ‬ ‫ﻭﻓﻲ‬ ‫ﺍﻟﺒﻴﺎﻧﺎﺕ‬ ‫ﻣﺤﺮﺭ‬ ‫ﻭﺷﺮﻳﻂ‬ ‫ﺍﻟﻘﻮﺍﺋﻢ‬ ‫ﻭﺷﺮﻳﻂ‬
) ‫ﺍﻟﺒﻴﺎﻧﺎﺕ‬ ‫ﻋﺮﺽ‬ ‫ﻳﻮﺟﺪ‬
Data View
‫ﻟﻌﺮﺽ‬ (
‫ﺍﻟﺒﻴﺎﻧﺎﺕ‬
‫ﺍﻟﻤﺘﻐﻴﺮﺍﺕ‬ ‫ﻋﺮﺽ‬ ‫ﻳﻮﺟﺪ‬ ‫ﻭﻛﺬﻟﻚ‬
)
Variable View
‫ﺍﻟﻤﺘﻐﻴﺮﺍﺕ‬ ‫ﺧﺼﺎﺋﺺ‬ ‫ﻟﻌﺮﺽ‬ (
‫)ﺍﺳﻢ‬
‫ﺍﻟﺮﺃﺳﻴﺔ‬ ‫ﺍﻟﺘﻤﺮﻳﺮ‬ ‫ﺃﺷﺮﻁﺔ‬ ‫ﻧﺸﺎﻫﺪ‬ ‫ﻭﻛﻤﺎ‬ ( ...‫ﻭ‬ ‫ﻭﻧﻮﻋﻪ‬ ‫ﺍﻟﻤﺘﻐﻴﺮ‬
‫ﻭ‬ ‫ﺍﻷﻳﻤﻦ‬ ‫ﺍﻟﺠﺎﻧﺐ‬ ‫ﻋﻠﻰ‬ ‫ﻭﺍﻷﻓﻘﻴﺔ‬
.‫ﺍﻟﺒﻴﺎﻧﺎﺕ‬ ‫ﻣﺤﺮﺭ‬ ‫ﻟﺸﺎﺷﺔ‬ ‫ﺍﻟﺴﻔﻠﻲ‬ ‫ﺍﻟﺠﻬﺔ‬
‫ﺍﻷﺩﻭﺍﺕ‬ ‫ﺷﺮﻳﻂ‬ ‫ﻣﻜﻮﻧﺎﺕ‬ ‫ﺇﻟﻰ‬ ‫ﺳﻨﺸﻴﺮ‬ ‫ﺍﻟﺒﻴﺎﻧﺎﺕ‬ ‫ﺇﺩﺧﺎﻝ‬ ‫ﻛﻴﻔﻴﺔ‬ ‫ﻓﻲ‬ ‫ﺍﻟﺒﺪء‬ ‫ﻭﻗﺒﻞ‬
‫)ﺷﺮﻳﻂ‬
‫ﺍﻟﺒﻴﺎﻧﺎﺕ‬ ‫ﻣﺤﺮﺭ‬
Data Editor
‫ﻭ‬ (
:‫ﺍﻟﺘﺎﻟﻲ‬ ‫ﺑﺎﻟﺸﻜﻞ‬ ‫ﺍﻟﻤﻮﺿﺢ‬
:‫ﺍﻟﺘﺎﻟﻲ‬ ‫ﺍﻟﺠﺪﻝ‬ ‫ﻓﻲ‬ ‫ﺃﻫﻤﻬﺎ‬ ‫ﺗﺴﺘﻌﺮﺽ‬ ‫ﻭﺳﻮﻑ‬ ‫ﺍﻷﻭﺍﻣﺮ‬ ‫ﻗﺎﺋﻤﺔ‬ ‫ﻳﺤﺘﻮﻱ‬ ‫ﺍﻟﺸﺮﻳﻂ‬ ‫ﻣﻦ‬ ‫ﺍﻷﻭﻝ‬ ‫ﺍﻟﺼﻒ‬
‫ﺍﻷﻣﺮ‬
‫ﺍﻟﻮﻅﺎﺋﻒ‬
File
‫ﻣﻠﻒ‬
‫)ﺣﻔﻆ‬ ‫ﺍﻟﻤﻠﻔﺎﺕ‬ ‫ﺇﺩﺍﺭﺓ‬
–
‫ﻗ‬
‫ﺮﺍءﺓ‬
–
(.... ‫ﻁﺒﺎﻋﺔ‬
Edit
‫ﺗﺤﺮﻳﺮ‬
‫)ﻧﺴﺦ‬ ‫ﺍﻟﻤﻠﻒ‬ ‫ﺗﺤﺮﻳﺮ‬
-
‫ﻗ‬
‫ﺺ‬
–
‫ﻟﺼﻖ‬
–
‫ﺇ‬
‫ﺿﺎﻓﺔ‬
‫ﻣﺘﻐﻴﺮﺍﺕ‬
–
‫ﺣﺎﻻﺕ‬ ‫ﺇﺿﺎﻓﺔ‬
-
(.... ‫ﻟﻠﻜﺘﺎﺑﺔ‬ ‫ﺗﻮﺻﻴﻔﺎﺕ‬
View
‫ﻋﺮﺽ‬
‫ﺍﻟﻤﺨﺘﻠﻔﺔ‬ ‫ﺍﻟﻌﺮﺽ‬ ‫ﺃﺳﺎﻟﻴﺐ‬ ‫ﻓﻲ‬ ‫ﻟﻠﺘﺤﻜﻢ‬
Data
‫ﺑﻴﺎﻧﺎﺕ‬
‫ﺃﻭ‬ ‫ﺟﺪﻳﺪ‬ ‫ﻣﺘﻐﻴﺮ‬ ‫ﺇﺩﺧﺎﻝ‬ ‫ﻣﺜﻞ‬ ‫ﺍﻟﺒﻴﺎﻧﺎﺕ‬ ‫ﻓﻲ‬ ‫ﺍﻟﺘﺤﻜﻢ‬
‫ﺣﺎﻟﺔ‬
‫ﺟﺪﻳﺪﺓ‬
‫ﺇﺟﺮﺍ‬ ‫ﺃﻭ‬
‫ﺗﺮﺗﻴﺐ‬ ‫ء‬
‫ﺃﻭ‬ ‫ﺗﺼﺎﻋﺪﻱ‬
‫ﺗﻨﺎﺯﻟﻲ‬
،‫ﻣﻠﻔﺎﺕ‬ ‫ﻭﺩﻣﺞ‬ ‫ﻓﺼﻞ‬ ،
،‫ﻋﺸﻮﺍﺋﻴﺔ‬ ‫ﻋﻴﻨﺔ‬ ‫ﺍﺧﺘﻴﺎﺭ‬
‫ﻭﻫﻜﺬﺍ‬
.
....
Transform
‫ﻣﻌﺎﻟﺠﺔ‬
‫ﻣﺨﺘﻠﻔﺔ‬ ‫ﻭﺇﺣﺼﺎﺋﻴﺔ‬ ‫ﻭﻣﻨﻄﻘﻴﺔ‬ ‫ﺣﺴﺎﺑﻴﺔ‬ ‫ﻋﻤﻠﻴﺎﺕ‬
‫ﺑﺎﺳﺗﺧﺩﺍﻡ‬ ‫ﺍﻻﺣﺻﺎﺋﻲ‬ ‫ﺍﻟﺗﺣﻠﻳﻝ‬
SPSS
‫ﺩ‬
‫ﺳﻠﻁﺎﻥ‬ ‫ﺧﻠﻑ‬ .
12
Analyze
‫ﺗﺤﻠﻴﻞ‬
‫ﺍﻟﺮﺋﻴﺲ‬ ‫ﺍﻟﻬﺪﻑ‬ ‫ﻭﻫﻮ‬ ‫ﻟﻠﺒﻴﺎﻧﺎﺕ‬ ‫ﺍﻟﻤﻨﺎﺳﺐ‬ ‫ﺍﻹﺣﺼﺎﺋﻲ‬ ‫ﺍﻟﺘﺤﻠﻴﻞ‬ ‫ﻹﺟﺮﺍء‬
‫ﻣﻦ‬
‫ﻭﻳﺸﻤﻞ‬ ‫ﻛﻠﻪ‬ ‫ﺍﻟﺒﺮﻧﺎﻣﺞ‬
‫ﺍﻟﻜﺜﻴﺮ‬
‫ﺗﻐﻄﻲ‬ ‫ﺍﻟﻔﺮﻋﻴﺔ‬ ‫ﺍﻟﺨﻴﺎﺭﺍﺕ‬ ‫ﻣﻦ‬
‫ﺍﻷﺳﺎ‬ ‫ﻣﻌﻈﻢ‬
‫ﻟﻴﺐ‬
‫ﺍﻹﺣﺼﺎﺋﻴﺔ‬ ‫ﻭﺍﻟﻄﺮﻕ‬
Graph
‫ﺍﻟﺮﺳﻢ‬
‫ﺍﻟﺒﻴﺎﻧﻴﺔ‬ ‫ﺍﻷﻋﻤﺪﺓ‬ ‫)ﻣﺜﻞ‬ ‫ﺑﻴﺎﻧﻴﺎ‬ ‫ﺍﻟﺒﻴﺎﻧﺎﺕ‬ ‫ﺗﻤﺜﻴﻞ‬
–
‫ﺍﻟﺘﻜﺮﺍﺭﻱ‬ ‫ﺍﻟﻤﺪﺭﺝ‬
–
‫ﺍ‬
‫ﻟﺮﺳﻢ‬
(..... ‫ﺍﻟﺪﺍﺋﺮﻱ‬
Utilities
‫ﺍﻟﻔﻮﺍﺋﺪ‬ ‫ﺑﻌﺾ‬
‫ﺍﻟﺒﺮﻧﺎﻣﺞ‬ ‫ﺣﻮﻝ‬ ‫ﻣﺘﻨﻮﻋﺔ‬ ‫ﻭﻓﻮﺍﺋﺪ‬ ‫ﺗﻘﻨﻴﺎﺕ‬
Direct marketing
‫ﺍﻟﻤﺒﺎﺷﺮ‬ ‫ﺍﻟﺘﺴﻮﻳﻖ‬
‫ﻋﻤ‬ ‫ﻓﻲ‬ ‫ﺗﺴﺎﻋﺪ‬ ‫ﺧﺎﺻﺔ‬ ‫ﻭﻣﻬﺎﺭﺍﺕ‬ ‫ﺃﺳﺎﻟﻴﺐ‬
‫ﻟﻠﻤﻨﺘﺠﺎﺕ‬ ‫ﺍﻟﺘﺴﻮﻳﻖ‬ ‫ﻠﻴﺔ‬
Utilities – Add-ons
‫ﺇﺻﺪﺍﺭﺍﺕ‬ ‫ﺣﻮﻝ‬ ‫ﻭﺍﻟﻤﻌﻠﻮﻣﺎﺕ‬ ‫ﺍﻟﺨﺎﺻﺔ‬ ‫ﻭﺍﻟﺘﻄﺒﻴﻘﺎﺕ‬ ‫ﺍﻟﻌﻤﻠﻴﺎﺕ‬ ‫ﺑﻌﺾ‬
SPSS
Windows
‫ﻭﻳﻨﺪﻭﺯ‬ ‫ﺑﻨﻮﺍﻓﺬ‬ ‫ﺧﺎﺻﺔ‬ ‫ﺃﻭﺍﻣﺮ‬
help
‫ﻣﺴﺎﻋﺪﺓ‬
:‫ﻛﺎﻟﺘﺎﻟﻲ‬ ‫ﺃﻳﻘﻮﻧﺎﺕ‬ ‫ﻗﺎﺋﻤﺔ‬ ‫ﻓﻴﺤﺘﻮﻱ‬ ‫ﺍﻟﺸﺮﻳﻂ‬ ‫ﻣﻦ‬ ‫ﺍﻟﺜﺎﻧﻲ‬ ‫ﺍﻟﺼﻒ‬ ‫ﺃﻣﺎ‬
‫ﺍﻷﻳﻘﻮﻧﺔ‬
‫ﺍﻟﻌﻨﻮﺍﻥ‬
‫ﺍﻟﻮﻅﻴﻔﺔ‬
Open File
‫ﻣﺨﺰﻥ‬ ‫ﻣﻠﻒ‬ ‫ﻓﺘﺢ‬
Save File
‫ﻣﻠﻒ‬ ‫ﺗﺨﺰﻳﻦ‬
Print File
‫ﻣﻠﻒ‬ ‫ﻁﺒﺎﻋﺔ‬
Dialog Recall
‫ﺗﻢ‬ ‫ﺍﻟﺘﻲ‬ ‫ﺍﻹﺟﺮﺍءﺍﺕ‬ ‫ﻣﻦ‬ ‫ﻣﺠﻤﻮﻋﺔ‬ ‫ﺁﺧﺮ‬ ‫ﺇﻅﻬﺎﺭ‬
‫ﺍﺳﺘﺨﺪﺍﻣﻬﺎ‬
Undo
‫ﺗﻨﻔﻴﺬﻫﺎ‬ ‫ﺗﻢ‬ ‫ﻋﻤﻠﻴﺔ‬ ‫ﺁﺧﺮ‬ ‫ﻋﻦ‬ ‫ﺗﺮﺍﺟﻊ‬
‫ﺑﺎﺳﺗﺧﺩﺍﻡ‬ ‫ﺍﻻﺣﺻﺎﺋﻲ‬ ‫ﺍﻟﺗﺣﻠﻳﻝ‬
SPSS
‫ﺩ‬
‫ﺳﻠﻁﺎﻥ‬ ‫ﺧﻠﻑ‬ .
13
Redo
‫ﻋﻨﻬﺎ‬ ‫ﺗﺮﺍﺟﻌﺖ‬ ‫ﻋﻤﻠﻴﺔ‬ ‫ﺁﺧﺮ‬ ‫ﻋﻦ‬ ‫ﺍﻟﺮﺟﻮﻉ‬
Go to Case
(‫ﺻﻒ‬ ) ‫ﺣﺎﻟﺔ‬ ‫ﺇﻟﻰ‬ ‫ﺍﻻﻧﺘﻘﺎﻝ‬
Variable
‫ﻣﺎ‬ ‫ﻣﺘﻐﻴﺮ‬ ‫ﻋﻦ‬ ‫ﻣﻌﻠﻮﻣﺎﺕ‬ ‫ﺇﻋﻄﺎء‬
Variables
‫ﺍﻟﻤﺘﻐﻴﺮﺍﺕ‬ ‫ﻋﻦ‬ ‫ﻣﻌﻠﻮﻣﺎﺕ‬ ‫ﺇﻋﻄﺎء‬
Find
‫ﺑﺤﺚ‬
Insert Case
‫ﺍﻟﻤﻠﻒ‬ ‫ﺇﻟﻰ‬ ‫ﺟﺪﻳﺪﺓ‬ ‫ﺣﺎﻻﺕ‬ ‫ﺇﺩﺭﺍﺝ‬
Insert Variable
‫ﺍﻟﻤﻠﻒ‬ ‫ﺇﻟﻰ‬ ‫ﺟﺪﻳﺪ‬ ‫ﻣﺘﻐﻴﺮ‬ ‫ﺇﺩﺭﺍﺝ‬
Split File
‫ﺟﺰﺃﻳﻦ‬ ‫ﺇﻟﻰ‬ ‫ﺍﻟﻤﻠﻒ‬ ‫ﺷﻄﺮ‬
Weight Cases
‫ﻟﻠﺤﺎﻻﺕ‬ ‫ﺃﻭﺯﺍﻥ‬ ‫ﺇﻋﻄﺎء‬
Select Cases
‫ﺣﺎﻻ‬ ‫ﻣﺠﻤﻮﻋﺔ‬ ‫ﺍﺧﺘﻴﺎﺭ‬
‫ﺕ‬
Value Labels
‫ﺍﻟﻘﻴﻢ‬ ( ‫ﺩﻻﻻﺕ‬ ) ‫ﻋﻨﺎﻭﻳﻦ‬ (‫ﺇﺧﻔﺎء‬ ‫ﺃﻭ‬ ) ‫ﺇﻅﻬﺎﺭ‬
‫ﺍﻭ‬
‫ﺍﻷ‬
‫ﻛﻮﺍﺩ‬
Use variable sets
‫ﺍﻟﻤﺘﻐﻴﺮﺍﺕ‬ ‫ﻣﻦ‬ ‫ﻣﺠﻤﻮﻋﺎﺕ‬ ‫ﺍﺳﺘﺨﺪﺍﻡ‬
Show all variables
‫ﺍﻟﻤﺘﻐﻴﺮﺍﺕ‬ ‫ﺟﻤﻴﻊ‬ ‫ﺇﻅﻬﺎﺭ‬
Spell Check
‫ﺍﻷ‬ ‫ﺗﺼﻮﻳﺐ‬
‫ﺍﻟﻠﻐﻮﻳﺔ‬ ‫ﺧﻄﺎء‬
:‫ﻣﻼﺣﻈﺔ‬
‫ﺍﻟﻤﺴﺎﺭ‬ ‫ﻧﺘﺒﻊ‬ ‫ﺍﻟﺴﺎﺑﻖ‬ ‫ﺍﻟﻘﻮﺍﺋﻢ‬ ‫ﺷﺮﻳﻂ‬ ‫ﺗﻜﺒﻴﺮ‬ ‫ﺃﺭﺩﻧﺎ‬ ‫ﺇﺫﺍ‬
View Toolbars Customize Large Buttons
‫ﺑﺎﺳﺗﺧﺩﺍﻡ‬ ‫ﺍﻻﺣﺻﺎﺋﻲ‬ ‫ﺍﻟﺗﺣﻠﻳﻝ‬
SPSS
‫ﺩ‬
‫ﺳﻠﻁﺎﻥ‬ ‫ﺧﻠﻑ‬ .
14
)
4
-
1
‫ﻓﻲ‬ ‫ﺍﻟﺒﻴﺎﻧﺎﺕ‬ ‫ﻭﺇﺩﺧﺎﻝ‬ ‫ﺍﻟﻤﺘﻐﻴﺮﺍﺕ‬ ‫ﺗﻌﺮﻳﻒ‬ ‫ﻛﻴﻔﻴﺔ‬ (
SPSS
:‫ﻫﻤﺎ‬ ‫ﺃﺳﺎﺳﻴﻴﻦ‬ ‫ﺧﻴﺎﺭﻳﻦ‬ ‫ﻋﻠﻰ‬ ‫ﺃﺧﺮﻫﺎ‬ ‫ﻓﻲ‬ ‫ﺍﻟﺒﻴﺎﻧﺎﺕ‬ ‫ﺇﺩﺧﺎﻝ‬ ‫ﺻﻔﺤﺔ‬ ‫ﺗﺤﺘﻮﻱ‬
-
‫ﻋﺮﺽ‬
‫ﺍﻟﺒﻴﺎﻧﺎﺕ‬
Data view
-
‫ﺍﻟﻤ‬ ‫ﻋﺮﺽ‬
‫ﺘﻐﻴﺮ‬
Variable view
‫ﻋﻠﻰ‬ ‫ﺑﺎﻟﻀﻐﻂ‬
Variable View
‫ﺗﻈﻬﺮ‬
:‫ﻭﻫﻲ‬ ‫ﺍﻟﻤﺘﻐﻴﺮﺍﺕ‬ ‫ﻋﺮﺽ‬ ‫ﺣﻘﻮﻝ‬
:‫ﺍﻟﻤﺘﻐﻴﺮﺍﺕ‬ ‫ﻋﺮﺽ‬ ‫ﺣﻘﻮﻝ‬ ‫ﻭﻅﺎﺋﻒ‬ ‫ﺗﻮﺿﺢ‬ ‫ﺍﻟﺘﺎﻟﻴﺔ‬ ‫ﺍﻟﻘﺎﺋﻤﺔ‬
)
1
(
‫ﺍﻟﺤﻘﻞ‬
Name
:
:‫ﺍﻟﺘﺎﻟﻲ‬ ‫ﻭﻧﻼﺣﻆ‬ ‫ﺍﻟﻤﺘﻐﻴﺮ‬ ‫ﺍﺳﻢ‬ ‫ﻟﺘﻌﺮﻳﻒ‬ ‫ﻳﺴﺘﺨﺪﻡ‬
-
‫ﻳﻜﻮﻥ‬ ‫ﺃﻥ‬ ‫ﻓﻴﻤﻜﻦ‬ ‫ﺍﻟﺒﺎﻗﻲ‬ ‫ﺃﻣﺎ‬ ‫ﺑﺤﺮﻑ‬ ‫ﺗﺒﺪﺃ‬ ‫ﺃﻥ‬ ‫ﻳﺠﺐ‬ ‫ﺍﻟﻤﺘﻐﻴﺮﺍﺕ‬ ‫ﺃﺳﻤﺎء‬
‫ﺣﺮﻭﻑ‬
‫ﺃﻭ‬
‫ﺃﺭﻗﺎﻡ‬
‫ﺃﻭ‬
‫ﻧﻘﻄﺔ‬
،# ‫ﺃﻭ‬ ،@ ‫ﺃﻭ‬
‫ﺃﻭ‬
-
‫ﺃﻭ‬ ،
$-
‫ﻳﺠﺐ‬ ‫ﺍﻟﻤﺘﻐﻴﺮﺍﺕ‬ ‫ﻭﺃﺳﻤﺎء‬
‫ﺃﻻ‬
‫ﺗﻨﺘﻬﻲ‬
‫ﺑﻨﻘﻄﺔ‬
.
-
‫ﻳﺠﺐ‬
‫ﺃﻻ‬
‫ﺍﻻﺳﻢ‬ ‫ﺿﻤﻦ‬ ‫ﻳﻮﺟﺪ‬
‫ﺃﻭ‬ ‫ﻓﺮﺍﻍ‬
:‫)ﻣﺜﻞ‬ ‫ﺍﻟﺨﺎﺻﺔ‬ ‫ﺍﻹﺷﺎﺭﺍﺕ‬ ‫ﻣﻦ‬ ‫ﺃﻱ‬
،!
،‫؟‬
.(*
)
2
(
‫ﺍﻟﻤﺘﻐﻴﺮ‬ ‫ﻧﻮﻉ‬
Type
:
‫ﻭﻋﺪﺩ‬
‫ﺍﻟﻤﺘﻐ‬ ‫ﺗﻤﺜﻞ‬ ‫ﺍﻟﺘﻲ‬ ‫ﺍﻷﺭﻗﺎﻡ‬ ‫ﺃﻭ‬ ‫ﺍﻟﺤﺮﻭﻑ‬
‫)ﻣﺜﻞ‬ ‫ﺍﻟﻤﺘﻐﻴﺮ‬ ‫ﻧﻮﻉ‬ ‫ﺗﺤﺪﻳﺪ‬ ‫ﻳﺘﻢ‬ :‫ﻴﺮ‬
‫ﻋﺪﺩ‬
–
‫ﺍﺳﻢ‬
–
(‫ﺗﺎﺭﻳﺦ‬
‫ﺍﻟﺘ‬ ‫ﺍﻟﺤﻮﺍﺭ‬ ‫ﻣﺮﺑﻊ‬ ‫ﻣﻦ‬ ،
:‫ﺎﻟﻲ‬
‫ﺑﺎﺳﺗﺧﺩﺍﻡ‬ ‫ﺍﻻﺣﺻﺎﺋﻲ‬ ‫ﺍﻟﺗﺣﻠﻳﻝ‬
SPSS
‫ﺩ‬
‫ﺳﻠﻁﺎﻥ‬ ‫ﺧﻠﻑ‬ .
15
‫ﻋﺪﺩ‬ ‫ﺗﺤﺪﻳﺪ‬ ‫ﻳﺘﻢ‬ ‫ﻛﻤﺎ‬ ‫ﺍﻟﻤﺘﻐﻴﺮ‬ ‫ﻧﻮﻉ‬ ‫ﻋﻠﻰ‬ ‫ﺍﻟﻌﺮﺽ‬ ‫ﻫﺬﺍ‬ ‫ﻳﻌﺘﻤﺪ‬ ‫ﺣﻴﺚ‬ ‫ﺍﻟﻤﺘﻐﻴﺮ‬ ‫ﺃﺭﻗﺎﻡ‬ ‫ﺃﻭ‬ ‫ﺣﺮﻭﻑ‬ ‫ﻋﺮﺽ‬ ‫ﺗﺤﺪﻳﺪ‬ ‫ﺃﻳﻀﺎ‬ ‫ﻳﺘﻢ‬
‫ﻣﻦ‬
‫ﺍﻻ‬
.‫ﻟﺬﻟﻚ‬ ‫ﺿﺮﻭﺭﺓ‬ ‫ﻫﻨﺎﻙ‬ ‫ﻛﺎﻥ‬ ‫ﺇﺫﺍ‬ ‫ﺍﻟﻜﻤﻴﺔ‬ ‫ﺍﻟﻤﺘﻐﻴﺮﺍﺕ‬ ‫ﻓﻲ‬ ‫ﺍﻟﻌﺸﺮﻳﺔ‬ ‫ﺭﻗﺎﻡ‬
)
3
(
‫ﺍﻟﻤﻤﻴﺰ‬
Label
‫ﺍﻟﻤﺘﻐﻴﺮ‬ ‫ﻟﺘﻤﻴﻴﺰ‬ ‫ﻳﺴﺘﺨﺪﻡ‬ :
‫ﻟﻠﻤﺘﻐﻴﺮ‬ ‫ﺗﻌﺮﻳﻒ‬ ‫ﻛﺘﺎﺑﺔ‬ ‫ﻣﺜﻞ‬
‫ﻣﻼﺣﻈﺎﺕ‬ ‫ﺍﻭ‬
)
4
(
‫ﺍﻟﻘﻴ‬
‫ﻢ‬
Values
‫ﺗﺴﺘ‬ :
:‫ﻛﺎﻟﺘﺎﻟﻲ‬ ‫ﺍﻻﺳﻤﻲ‬ ‫ﺃﻭ‬ ‫ﺍﻟﺘﺮﺗﻴﺒﻲ‬ ‫ﺍﻟﻤﺘﻐﻴﺮ‬ ‫ﻋﻨﺎﺻﺮ‬ ‫ﻟﺘﻌﺮﻳﻒ‬ ‫ﺨﺪﻡ‬
‫ﺍﻟﻤﺮﺑﻊ‬ ‫ﻓﻲ‬
‫ﻳﺘﻢ‬ ‫ﺍﻟﺘﺎﻟﻲ‬
.(‫ﺗﺮﺗﻴﺒﻴﺔ‬ ‫)ﺻﻔﺔ‬ ‫ﺃﻭ‬ ‫ﺍﺳﻢ‬ ‫ﻟﺘﻤﺜﻞ‬ ‫ﻣﻌﻴﻨﺔ‬ ‫ﻗﻴﻤﺔ‬ ‫ﺇﻋﻄﺎء‬
)
5
(
‫ﺍﻟﺒﻴﺎﻧﺎﺕ‬
‫ﺍﻟﻤﻔﻘﻮﺩ‬
‫ﺓ‬
Missing
‫ﺍﻟﻘﻴﻢ‬ ‫ﺑﺪﻭﻥ‬ ‫ﺍﻟﺘﺤﻠﻴﻞ‬ ‫ﺇﺟﺮﺍء‬ ‫ﺃﻭ‬ ‫ﺍﻟﺒﻴﺎﻧﺎﺕ‬ ‫ﻓﻲ‬ ‫ﺍﻟﻤﻔﻘﻮﺩﺓ‬ ‫ﺍﻟﻘﻴﻢ‬ ‫ﻟﻤﻌﺎﻟﺠﺔ‬ ‫ﺗﺴﺘﺨﺪﻡ‬ :
.‫ﺍﻟﻤﻔﻘﻮﺩﺓ‬
)
6
(
‫ﺍﻟﻌﻤﻮﺩ‬ ‫ﻋﺮﺽ‬
Columns
‫ﻳﺴﺘﺨ‬ :
‫ﺑﺎﻟﻌﺮﺽ‬ ‫ﺍﻟﺘﺤﻜﻢ‬ ‫ﻳﻤﻜﻦ‬ ‫ﺣﻴﺚ‬ ‫ﺍﻟﻤﺘﻐﻴﺮ‬ ‫ﻳﻤﺜﻞ‬ ‫ﺍﻟﺬﻱ‬ ‫ﺍﻟﻌﻤﻮﺩ‬ ‫ﻋﺮﺽ‬ ‫ﻟﺘﺤﺪﻳﺪ‬ ‫ﺪﻡ‬
.‫ﺍﻟﺘﻄﺒﻴﻘﺎﺕ‬ ‫ﺑﺤﺴﺐ‬ ‫ﺍﻟﻤﻨﺎﺳﺐ‬
)
7
(
‫ﺍﻟﻤﻮﻗﻊ‬
Align
:
‫)ﻭﺳﻂ‬ ‫ﺍﻟﺨﻼﻳﺎ‬ ‫ﺩﺍﺧﻞ‬ ‫ﺍﻟﺒﻴﺎﻧﺎﺕ‬ (‫)ﻣﻮﻗﻊ‬ ‫ﻣﻮﺿﻊ‬ ‫ﻟﺘﺤﺪﻳﺪ‬ ‫ﻳﺴﺘﺨﺪﻡ‬
–
‫ﻳﺴﺎﺭ‬ ‫ﻫﺎﻣﺶ‬
–
‫ﻫﺎﻣﺶ‬
:‫ﻛﺎﻟﺘﺎﻟﻲ‬ (‫ﻳﻤﻴﻦ‬
)
8
(
‫ﺍﻟﻤﺘﻐﻴﺮ‬ ‫ﻗﻴﺎﺱ‬ ‫ﺃﺳﻠﻮﺏ‬
Measure
‫ﻗﻴﺎﺱ‬ ‫ﻧﻮﻉ‬ ‫ﻟﺘﺤﺪﻳﺪ‬ ‫ﻳﺴﺘﺨﺪﻡ‬ :
‫ﻭﻫﻮ‬ ‫ﺍﻟﻤﺘﻐﻴﺮ‬
‫ﺛ‬ ‫ﺍﺣﺪ‬
:‫ﻫﻲ‬ ‫ﺧﻴﺎﺭﺍﺕ‬ ‫ﻼﺛﺔ‬
‫ﺑﺎﺳﺗﺧﺩﺍﻡ‬ ‫ﺍﻻﺣﺻﺎﺋﻲ‬ ‫ﺍﻟﺗﺣﻠﻳﻝ‬
SPSS
‫ﺩ‬
‫ﺳﻠﻁﺎﻥ‬ ‫ﺧﻠﻑ‬ .
16
)
9
(
‫ﺩﻭﺭ‬
‫ﺍﻟﻤﺘﻐﻴﺮ‬
‫ﻓﻲ‬
‫ﺍﻟﺪﺭﺍﺳﺔ‬
Role
:
)
‫ﻣﺪﺧﻞ‬
–
‫ﻣﺨﺮﺝ‬
(
‫ﺍﻟﺒﻴﺎﻧﺎﺕ‬ ‫ﻣﺤﺮﺭ‬ ‫ﻟﺸﺎﺷﺔ‬ ‫ﺃﺧﺮﻯ‬ ‫ﻣﺮﺓ‬ ‫ﻭﺑﺎﻟﻌﻮﺩﺓ‬
Data view
‫ﻭﺗﻮﺻﻴ‬ ‫ﺗﻌﺮﻳﻔﻬﺎ‬ ‫ﺗﻢ‬ ‫ﺍﻟﺘﻲ‬ ‫ﺍﻟﻤﺘﻐﻴﺮﺍﺕ‬ ‫ﺑﻴﺎﻧﺎﺕ‬ ‫ﻭﺇﺩﺧﺎﻝ‬
‫ﻓﻲ‬ ‫ﻔﻬﺎ‬
‫ﻟﻬﺎ‬ ‫ﺍﻟﻤﺨﺼﺼﺔ‬ ‫ﺍﻷﻋﻤﺪﺓ‬
‫ﻧﻼﺣﻆ‬
:‫ﺍﻟﺘﺎﻟﻲ‬

‫ﻋﻨﺪﻣﺎ‬
‫ﺗﻔﺘﺢ‬
SPSS
‫ﻓﺄﻧﺖ‬
‫ﻣﺤﺮﺭ‬ ‫ﻋﻠﻰ‬ ‫ﺗﺪﺧﻞ‬ ً‫ﺎ‬‫ﺁﻟﻴ‬
.‫ﺍﻟﺒﻴﺎﻧﺎﺕ‬
‫ﺍ‬ ‫ﻭﻳﻤﻜﻨﻚ‬
‫ﻟﺘﺤﺮﻳﺮ‬ ‫ﺳﺘﺨﺪﺍﻣﻪ‬
‫ﺍﻟﺒﻴﺎﻧﺎﺕ‬
‫ﺃﻣﺎ‬
‫ﻓﺘﺤﺖ‬ ‫ﺇﺫﺍ‬
ً‫ﺎ‬‫ﻗﺪﻳﻤ‬ ‫ﻣﻠﻔﺎ‬
‫ﺍﻷﻋﻤﺪﺓ‬ ‫ﻻﺣﻆ‬ .‫ﺫﻛﺮﻫﺎ‬ ‫ﺗﻢ‬ ‫ﺍﻟﺘﻲ‬ ‫ﺍﻟﻘﻮﺍﻋﺪ‬ ‫ﺑﻨﻔﺲ‬ ‫ﺗﻮﺻﻴﻔﻪ‬ ‫ﻭﺗﻐﻴﺮ‬ ‫ﺃﺧﺮﻯ‬ ‫ﻣﺮﺓ‬ ‫ﻣﻌﻪ‬ ‫ﺍﻟﺘﻌﺎﻣﻞ‬ ‫ﻓﺘﺴﺘﻄﻴﻊ‬
‫ﻟﻠﻤﺘﻐﻴﺮﺍﺕ‬ ‫ﻣﺨﺼﺼﺔ‬ ‫ﺃﻧﻬﺎ‬ ‫)ﻭﺗﺬﻛﺮ‬
(
..... ‫ﺍﻻﺗﺠﺎﻩ‬ ‫ﻭﻗﻴﺎﺱ‬ ‫ﺍﻻﺟﺘﻤﺎﻋﻴﺔ‬ ‫ﻭﺍﻟﺤﺎﻟﺔ‬ ‫)ﺍﻟﻨﻮﻉ‬ ‫ﻣﺜﻞ‬
‫ﻭﺍﻟﺼﻔﻮﻑ‬ ،(
‫ﻣﺨﺼﺼﺔ‬ ‫ﺃﻧﻬﺎ‬ ‫ﻭﺗﺬﻛﺮ‬
‫)ﺃﻓ‬ ‫ﺍﻟﺪﺭﺍﺳﺔ‬ ‫ﻟﺤﺎﻻﺕ‬
‫ﺭﻗﻢ‬ ‫ﺍﻻﺳﺘﻤﺎﺭﺓ‬ :‫ﻓﻤﺜﻼ‬ ‫ﺍﻟﻌﻴﻨﺔ‬ ‫ﺮﺍﺩ‬
1
‫ﻭﺭﻗﻢ‬ ‫ﺍﻷﻭﻝ‬ ‫ﺍﻟﺼﻒ‬ ‫ﻓﻲ‬ ‫ﺗﻔﺮﻍ‬
2
،‫ﺍﻟﺜﺎﻧﻲ‬ ‫ﺍﻟﺼﻒ‬ ‫ﻓﻲ‬
‫ﻭﻫﻜﺬﺍ‬
‫ﺍﻟﺜﺎﻧﻲ‬ ‫ﻟﻠﻤﺘﻐﻴﺮ‬ ‫ﻭﺍﻟﺜﺎﻧﻲ‬ ‫ﺍﻷﻭﻝ‬ ‫ﻟﻠﻤﺘﻐﻴﺮ‬ ‫ﻣﺨﺼﺺ‬ ‫ﻛﻠﻪ‬ ‫ﺍﻷﻭﻝ‬ ‫ﺍﻟﻌﻤﻮﺩ‬ ‫ﺃﻥ‬ ‫ﺣﻴﺚ‬ (...
‫ﻭﺍﻟﺼﻒ‬
‫ﺭﻗﻢ‬ ‫ﻟﻠﻤﺴﺘﺠﻴﺐ‬ ‫ﻣﺨﺼﺺ‬ ‫ﻛﻠﻪ‬ ‫ﺍﻷﻭﻝ‬
1
‫ﺭﻗﻢ‬ ‫ﻟﻠﻤﺴﺘﺠﻴﺐ‬ ‫ﻭﺍﻟﺜﺎﻧﻲ‬
2
.‫ﻭﻫﻜﺬﺍ‬

‫ﺍﻟﺒﻴﺎﻧﺎﺕ‬ ‫ﺇﺩﺧﺎﻝ‬ ‫ﻋﻨﺪ‬
‫ﻣﺜﻼ‬
‫ﺍﻷ‬ ‫ﺍﻟﺨﻠﻴﺔ‬ ‫ﻓﻲ‬
‫ﺃﻁﺒﻊ‬ ‫ﻭﻟﻰ‬
34
‫ﺍﻹﺩﺧﺎﻝ‬ ‫ﻣﻔﺘﺎﺡ‬ ‫ﺍﺿﻐﻂ‬ ‫ﺛﻢ‬
Enter
‫ﺍﻟﺒﺮﻧﺎﻣﺞ‬ ‫ﺃﻥ‬ ‫ﻻﺣﻆ‬
‫ﺍﻻﻓﺘﺮﺍﺿﻲ‬ ‫ﺍﻟﻤﺘﻐﻴﺮ‬ ‫ﺍﺳﻢ‬ ‫ﻳﻀﻊ‬
Var00001
‫ﻭﺍﻟﺬﻱ‬ ‫ﻣﺴﺒﻘﺎ‬ ً‫ﺎ‬‫ﻣﻌﺮﻓ‬ ‫ﺍﻟﻤﺘﻐﻴﺮ‬ ‫ﻳﻜﻦ‬ ‫ﻟﻢ‬ ‫ﺇﻥ‬
‫ﻗﻴﻤﺎ‬ ‫ﺃﺩﺧﻞ‬ ‫ﺛﻢ‬ ‫ﺍﻟﺸﺎﺷﺔ‬ ‫ﺃﻋﻠﻰ‬ ‫ﻓﻲ‬ ‫ﻳﻈﻬﺮ‬
‫ﻣﺜﻞ‬ ‫ﺍﻷﻭﻟﻰ‬ ‫ﺍﻟﺨﻠﻴﺔ‬ ‫ﺃﺳﻔﻞ‬ ‫ﺃﺧﺮﻯ‬ ‫ﺧﻼﻳﺎ‬ ‫ﻓﻲ‬ ‫ﺃﺧﺮﻯ‬
22
،
23
‫ﻛﻞ‬ ‫ﻭﺑﻌﺪ‬ ،
‫ﺍﺿﻐﻂ‬ ‫ﺇﺩﺧﺎﻝ‬ ‫ﻋﻤﻠﻴﺔ‬
Enter
‫ﺣﺘﻰ‬ ‫ﻭﻫﻜﺬﺍ‬
‫ﻟﻠﺪﺭﺍﺳﺔ‬ ‫ﺍﻟﻤﻄﻠﻮﺑﺔ‬ ‫ﺍﻟﺒﻴﺎﻧﺎﺕ‬ ‫ﺟﻤﻴﻊ‬ ‫ﺇﺩﺧﺎﻝ‬ ‫ﻳﺘﻢ‬
.

‫ﺍﻟﻤﻔﻘﻮﺩﺓ‬ ‫ﺍﻟﻘﻴﻢ‬ ‫ﺧﻠﻴﺔ‬
Missing
‫ﻧﻘﻄﺔ‬ ‫ﻫﻴﺌﺔ‬ ‫ﻋﻠﻰ‬
(.)

‫ﻟﺘﺴﻤﻴﺔ‬
‫ﻣﺜﻞ‬ ( ‫ﺑﻚ‬ ‫)ﺧﺎﺹ‬ ‫ﻣﻨﺎﺳﺐ‬ ‫ﺑﺎﺳﻢ‬ ‫ﺍﻻﻓﺘﺮﺍﺿﻲ‬ ‫ﺍﻻﺳﻢ‬ ‫ﺍﺳﺘﺒﺪﺍﻝ‬ ‫ﻳﺠﺐ‬ ‫ﺍﻟﻤﺘﻐﻴﺮﺍﺕ‬
:
Age, Gender subject, Attitude1, Attitude2, etc.
،
‫ﻭﻹﺟﺮﺍء‬
‫ﺫﻟﻚ‬
:
‫ﺍﺿﻐﻂ‬
‫ﺍﻟﻤﺘﻐﻴﺮ‬ ‫ﺍﺳﻢ‬ ‫ﻋﻠﻰ‬ ‫ﻣﺮﺗﻴﻦ‬
Var001
‫ﺍﻟﺼﻒ‬ ‫ﻓﻲ‬ ‫ﺧﻠﻴﺔ‬ ‫ﺃﻱ‬ ‫ﻓﻲ‬ ‫ﺍﻟﻤﺆﺷﺮ‬ ‫ﺃﻭﺿﻊ‬ ‫ﺍﻷﻭﻝ‬ ‫ﺍﻟﻌﻤﻮﺩ‬ ‫ﺃﻋﻠﻰ‬ ‫ﻓﻲ‬
‫ﺍﻻﻓﺘﺮﺍﺿﻲ‬ ‫ﺍﻻﺳﻢ‬ ‫ﻣﺴﺢ‬، ‫ﺍﻷﻭﻝ‬
00001
Var
‫ﺑـــ‬ ‫ﻭﺍﺳﺘﺒﺪﺍﻟﻪ‬
Age

‫ﺍﻟــ‬ ‫ﺗﺨﺒﺮ‬ ‫ﺃﻥ‬ ‫ﺗﺤﺘﺎﺝ‬
SPSS
‫ﺍﻟﻤﺘﻐﻴﺮﺍﺕ‬ ‫ﻁﺒﻴﻌﺔ‬ ‫ﻋﻦ‬
‫ﻗﺒﻞ‬ ‫ﺇﺩﺧﺎﻟﻬﺎ‬ ‫ﺍﻟﻤﺮﺍﺩ‬
‫ﻋﻤﻠﻴﺔ‬
‫ﺍﻹﺩﺧﺎﻝ‬
.
‫ﻟﻚ‬ ‫ﻳﺴﻬﻞ‬ ‫ﻭﻫﺬﺍ‬
‫ﺍﻟﻤﺘﻐﻴﺮﺍﺕ‬ ‫ﻫﺬﻩ‬ ‫ﻣﻊ‬ ‫ﺍﻟﺘﻌﺎﻣﻞ‬
.‫ﻻﺣﻘﺎ‬
‫ﻭﻳﻤﻜﻦ‬
‫ﻋ‬ ‫ﻣﻔﺼﻞ‬ ‫ﺷﺮﺡ‬ ‫ﻭﺿﻊ‬ ‫ﻛﺬﻟﻚ‬
‫ﻣﺎﻫﻴﺔ‬ ‫ﻦ‬
‫ﻟﻜﻲ‬ ‫ﺍﻟﻤﺘﻐﻴﺮ‬
‫ﻓﻬﻢ‬ ‫ﻳﺴﻬﻞ‬
‫ﺃﻥ‬ ‫ﺇﺫ‬ ‫ﺍﺳﺘﺨﺮﺍﺟﻬﺎ‬ ‫ﻋﻨﺪ‬ ‫ﺍﻟﻨﺘﺎﺋﺞ‬
.‫ﻟﻠﻤﺘﻐﻴﺮﺍﺕ‬ ‫ﺗﻔﺼﻴﻠﻲ‬ ‫ﺷﺮﺡ‬ ‫ﺍﻟﻨﺘﺎﺋﺞ‬ ‫ﻣﻊ‬ ‫ﻳﺨﺮﺝ‬ ‫ﺍﻟﺒﺮﻧﺎﻣﺞ‬

.‫ﺍﻛﺴﻞ‬ ‫ﻣﻠﻒ‬ ‫ﻣﻦ‬ ‫ﺍﻟﺒﻴﺎﻧﺎﺕ‬ ‫ﺗﺤﻤﻴﻞ‬ ‫ﻳﻤﻜﻦ‬
‫ﺑﺎﺳﺗﺧﺩﺍﻡ‬ ‫ﺍﻻﺣﺻﺎﺋﻲ‬ ‫ﺍﻟﺗﺣﻠﻳﻝ‬
SPSS
‫ﺩ‬
‫ﺳﻠﻁﺎﻥ‬ ‫ﺧﻠﻑ‬ .
17

‫ﺍﻟﻤﻠﻒ‬ ‫ﺣﻔﻆ‬
:
‫ﺍﻟﻨﻮﺍﻓﺬ‬ ‫ﺗﻄﺒﻴﻘﺎﺕ‬ ‫ﻓﻲ‬ ‫ﺍﻟﻤﻠﻒ‬ ‫ﺣﻔﻆ‬ ‫ﺧﻄﻮﺍﺕ‬ ‫ﻧﻔﺲ‬ ‫ﺗﺴﺘﺨﺪﻡ‬
‫ﺍﻷﺧﺮﻯ‬

‫ﺍﻟﻤﻔﻘﻮﺩ‬ ‫ﺍﻟﻘﻴﻢ‬
‫ﺓ‬
Missing Values :
‫ﻳﺴﺘﺨﺪﻡ‬
‫ﺧﻴﺎﺭ‬
‫ﺍﻟﻘﻴﻢ‬
‫ﺍﻟﻤ‬
‫ﻔﻘﻮﺩﺓ‬
‫ﻫﻨﺎﻙ‬ ‫ﻳﻜﻮﻥ‬ ‫ﻻ‬ ‫ﻋﻨﺪﻣﺎ‬
‫ﻋﺒﺎﺭﺓ‬ ‫ﻋﻠﻰ‬ ‫ﺍﻹﺟﺎﺑﺔ‬ ‫ﺍﻟﻤﺴﺘﺠﻴﺐ‬ ‫ﻳﺮﻓﺾ‬ ‫ﻋﻨﺪﻣﺎ‬ ‫ﺃﻭ‬ ‫ﺇﺟﺎﺑﺔ‬
‫ﻫﺬﻩ‬ ‫ﺑﻌﻼﺝ‬ ‫ﺍﻟﺒﺮﻧﺎﻣﺞ‬ ‫ﻭﻳﻘﻮﻡ‬ ‫ﻣﻌﻴﻨﺔ‬
‫ﻗﻴﻤﺔ‬ ‫ﻟﻬﺎ‬ ‫ﻳﺪﺧﻞ‬ ‫ﻻ‬ ‫ﻭﺍﻟﺘﻲ‬ ‫ﺍﻟﻤﺘﺮﻭﻛﺔ‬ ‫ﺑﺎﻟﻘﻴﻢ‬ ‫ﺗﻌﺮﻳﻔﻪ‬ ‫ﺣﺎﻟﺔ‬ ‫ﻓﻲ‬ ‫ﺇﺣﺼﺎﺋﻴﺎ‬ ‫ﺍﻟﻤﺸﻜﻠﺔ‬
‫ﻣﻌﻴﻨﺔ‬
‫ﻧﻘﻄﺔ‬ ‫ﻫﻴﺌﺔ‬ ‫ﻋﻠﻰ‬ ‫ﺍﻟﺒﻴﺎﻧﺎﺕ‬ ‫ﻣﺤﺮﺭ‬ ‫ﻓﻲ‬ ‫ﻓﺘﻈﻬﺮ‬
.
‫ﺍﻟﺒﻴﺎﻧﺎﺕ‬ ‫ﺗﺮﻣﻴﺰ‬
:
‫ﺍﻟﺒﻴ‬ ‫ﺗﺮﻣﻴﺰ‬ ‫ﻋﻤﻠﻴﺔ‬ ‫ﺇﻥ‬
‫ﻋﺒﺎﺭﺓ‬ ‫ﻫﻲ‬ ‫ﺎﻧﺎﺕ‬
‫ﺗﻬﻴﺌﺔ‬ ‫ﻋﻦ‬
‫ﺑﺤﺜﻴﺔ‬ ‫ﺃﺩﻭﺍﺕ‬ ‫ﻛﺎﻧﺖ‬ ‫ﺳﻮﺍء‬ ‫ﺍﻟﺒﻴﺎﻧﺎﺕ‬
‫ﺑﻴﺎﻧﺎﺕ‬ ‫ﺃﻭ‬ ‫ﻭﺍﻟﻤﻘﺎﺑﻼﺕ‬ ‫ﻛﺎﻻﺳﺘﺒﻴﺎﻧﺎﺕ‬
‫ﻣﻌﻠﻮﻣﺎﺗﻴﺔ‬
‫ﺍ‬ ‫ﻣﺜﻞ‬
‫ﺗﺴﺘﻄﻴﻊ‬ ‫ﻛﻲ‬ ‫ﻭﺍﻻﺳﺘﻘﺼﺎء‬ ‫ﺍﻟﻤﺴﺢ‬ ‫ﺩﻭﺍﺕ‬
‫ﻣﻌﻬﺎ‬ ‫ﺍﻟﺘﻌﺎﻣﻞ‬ ‫ﺍﻟﺤﺎﺳﻮﺑﻴﺔ‬ ‫ﺍﻟﺒﺮﺍﻣﺞ‬
‫ﻭﻓﻬﻢ‬
‫ﻣﺤﺘﻮﺍﻫﺎ‬
‫ﺑﺄﻥ‬ ‫ﻭﺫﻟﻚ‬
(‫ﻏﺎﻟﺒﺎ‬ ‫)ﺭﻗﻤﻴﺎ‬ ‫ﻣﻌﻴﻨﺎ‬ ّ‫ﺍ‬‫ﺗﺮﻣﻴﺰ‬ ‫ﻣﺘﻐﻴﺮ‬ ‫ﻛﻞ‬ ‫ﻳﻌﻄﻰ‬
‫ﻟﻠﺒﺮﻧﺎﻣﺞ‬ ‫ﻣﻌﻴﻨﺎ‬ ‫ﻣﺆﺷﺮﺍ‬ ‫ﻳﻌﻨﻲ‬
.
‫ﻣﺜﻞ‬ ‫ﺍﻻﺳﻤﻴﺔ‬ ‫ﺍﻟﺒﻴﺎﻧﺎﺕ‬ ‫ﺑﻴﻦ‬ ‫ﺍﻟﺘﻔﺮﻳﻖ‬ ‫ﻭﻳﺠﺐ‬
‫ﻭﺃﻧﺜﻰ‬ ‫ﺫﻛﺮ‬
‫ﻭﻧﻌﻢ‬
‫ﻭﻻ‬
،
‫ﺍﻟﺘﺮﺗﻴﺒﻴﺔ‬ ‫ﻭﺍﻟﺒﻴﺎﻧﺎﺕ‬
‫ﻣﺜﻞ‬
‫ﻭﻣﻮﺍﻓ‬ ‫ﻣﻮﺍﻓﻖ‬
‫ﺟﺪﺍ‬ ‫ﻣﻮﺍﻓﻖ‬ ‫ﻭﻏﻴﺮ‬ ‫ﻣﻮﺍﻓﻖ‬ ‫ﻭﻏﻴﺮ‬ ‫ﺟﺪﺍ‬ ‫ﻖ‬
‫ﻓﻤﺜﻼ‬ .
‫ﻟﻠﺬﻛﺮ‬ ‫ﻳﺮﻣﺰ‬
‫ﺑـ‬
1
‫ﺑـ‬ ‫ﻭﺍﻷﻧﺜﻰ‬
2
=‫ﺟﺪﺍ‬ ‫ﻣﻮﺍﻓﻖ‬ ‫ﺍﻻﺗﺠﺎﻩ‬ ‫ﻗﻴﺎﺱ‬ ‫ﻭﻓﻲ‬ ،‫ﺍﻟﻌﻜﺲ‬ ‫ﺃﻭ‬
5
،
=‫ﻣﻮﺍﻓﻖ‬
4
‫ﻻ‬ ،
‫ﺃﺩﺭﻯ‬
=
3
=‫ﺍﺭﻓﺾ‬
2
‫ﺍﺭﻓﺾ‬ ،
=‫ﺑﺸﺪﺓ‬
1
.
) ‫ﺗﻄﺒﻴﻖ‬
1
(
‫ﺍﻟ‬
‫ﺃﻋ‬ ‫ﺗﻤﺜﻞ‬ ‫ﺍﻟﺘﺎﻟﻴﺔ‬ ‫ﺒﻴﺎﻧﺎﺕ‬
‫ﻤﺎﺭ‬
10
‫ﺍﻟﻌﻤﺮ‬ ‫ﺑﺤﺴﺐ‬ ‫ﻣﻮﺯﻋﻴﻦ‬ ‫ﻣﻮﻅﻔﻴﻦ‬
‫ﻭﺍﻟﻨﻮﻉ‬
‫ﻭﺍﻟﻤﺴﺘﻮﻯ‬
‫ﺍﻟﺪﺭﺍﺳﻲ‬
‫ﻡ‬
1
2
3
4
5
6
7
8
9
10
‫ﺍﻟﻌﻤﺮ‬
26
21
18
35
41
22
22
31
19
26
‫ﺍﻟﻨﻮﻉ‬
‫ﺃﻧﺜﻰ‬
‫ﺃﻧﺜﻰ‬
‫ﺫﻛﺮ‬
‫ﺫﻛﺮ‬
‫ﺃﻧﺜﻰ‬
‫ﺫﻛﺮ‬
‫ﺫﻛﺮ‬
‫ﺃﻧﺜﻰ‬
‫ﺫﻛﺮ‬
‫ﺫﻛﺮ‬
‫ﺍﻟﺘﻌﻠﻴﻤﻲ‬ ‫ﺍﻟﻤﺴﺘﻮﻯ‬
‫ﺟﺎﻣﻌﻲ‬
‫ﺛﺎﻧﻮﻱ‬
‫ﺛﺎﻧﻮﻱ‬
‫ﺍﺑﺘﺪﺍﺋﻲ‬
‫ﺟﺎﻣﻌﻲ‬
‫ﺟﺎﻣﻌﻲ‬
‫ﺛﺎﻧﻮﻱ‬
‫ﺍﺑﺘﺪﺍ‬
‫ﺋﻲ‬
‫ﺟﺎﻣﻌﻲ‬
‫ﺟﺎﻣﻌﻲ‬
‫ﺑﻴﺎﻧﺎﺕ‬ ‫ﻟﻤﺤﺮﺭ‬ ‫ﺍﻟﺒﻴﺎﻧﺎﺕ‬ ‫ﻫﺬﻩ‬ ‫ﺇﺩﺧﺎﻝ‬ ‫ﺍﻟﻤﻄﻠﻮﺏ‬
SPSS
:‫ﺍﻟﺨﻄﻮﺍﺕ‬
1
-
:‫ﻛﺎﻟﺘﺎﻟﻲ‬ ‫ﻟﻬﺎ‬ ‫ﺍﻟﻤﻨﺎﺳﺒﺔ‬ ‫ﻭﺍﻟﻤﻘﺎﻳﻴﺲ‬ ‫ﺍﻟﺪﺭﺍﺳﺔ‬ ‫ﻣﺘﻐﻴﺮﺍﺕ‬ ‫ﺃﻧﻮﺍﻉ‬ ‫ﻧﺤﺪﺩ‬
-
‫ﺍﻟﻤﺴﻠﺴﻞ‬
‫ﻗﻴﺎﺱ‬ ‫ﻟﻪ‬
‫ﻛﻤﻲ‬
Scale
‫ﺑﺎﺳﺗﺧﺩﺍﻡ‬ ‫ﺍﻻﺣﺻﺎﺋﻲ‬ ‫ﺍﻟﺗﺣﻠﻳﻝ‬
SPSS
‫ﺩ‬
‫ﺳﻠﻁﺎﻥ‬ ‫ﺧﻠﻑ‬ .
18
-
‫ﺍﻟﻌﻤﺮ‬
Age
‫ﻛﻤﻲ‬ ‫ﻗﻴﺎﺱ‬ ‫ﻟﻪ‬
Scale
-
‫ﺍﻟﻨﻮﻉ‬
Gender
‫ﺍﺳﻤﻲ‬ ‫ﻗﻴﺎﺱ‬ ‫ﻟﻪ‬
Nominal
-
‫ﺍﻟﺘﻌﻠﻴﻤﻲ‬ ‫ﺍﻟﻤﺴﺘﻮﻯ‬
Education
‫ﺗﺮ‬ ‫ﻗﻴﺎﺱ‬ ‫ﻟﻪ‬
‫ﺗﻴﺒﻲ‬
Ordinal
2
-
‫ﺍﻟﻜﻤﻲ‬ ‫ﺍﻟﻤﺘﻐﻴﺮ‬
Age
‫ﺗﻌﺮﻳﻒ‬ ‫ﺇﻟﻰ‬ ‫ﻳﺤﺘﺎﺝ‬ ‫ﻻ‬
Values
3
-
‫ﻤﻲ‬‫ﺍﻻﺳ‬ ‫ﻟﻠﻤﺘﻐﻴﺮ‬
Gender
‫ﺍﺧﺘﻴﺎﺭ‬ ‫ﻳﻤﻜﻦ‬
1
‫ﺍﻟﺬﻛﺮ‬ ‫ﻋﻠﻰ‬ ‫ﻟﺘﺪﻝ‬
Male
‫ﻭ‬
2
‫ﺍﻷﻧﺜﻰ‬ ‫ﻋﻠﻰ‬ ‫ﻟﺘﺪﻝ‬
Female
‫ﺍﻟﺘﺮﺗﻴﺒﻲ‬ ‫ﻭﻟﻠﻤﺘﻐﻴﺮ‬ .(‫ﻤﻲ‬ ‫ﺍﺳ‬ ‫ﻣﺘﻐﻴﺮ‬ ‫ﻷﻧﻪ‬ ‫ﻳﻬﻢ‬ ‫ﻻ‬ ‫)ﺍﻟﺘﺮﺗﻴﺐ‬ ‫ﺍﻟﻌﻜﺲ‬ ‫ﺃﻭ‬
Education
‫ﺍﺧﺘﻴﺎﺭ‬ ‫ﻳﻤﻜﻦ‬
3
‫ﻋﻠﻲ‬ ‫ﻟﺘﺪﻝ‬
University
‫ﻭ‬
2
‫ﻋﻠﻲ‬ ‫ﻟﺘﺪﻝ‬
Secondary
‫ﻭ‬
1
‫ﻟﺘﺪﻝ‬
‫ﻋﻠﻰ‬
Primary
)
‫ﻣﻬﻢ‬ ‫ﻫﻨﺎ‬ ‫ﺍﻟﺘﺮﺗﻴﺐ‬
‫ﻣﺘﻐﻴﺮ‬ ‫ﻷﻧﻪ‬
(‫ﺗﺮﺗﻴﺒﻲ‬
.
:‫ﻛﺎﻟﺘﺎﻟﻲ‬ ‫ﺫﻟﻚ‬ ‫ﻭﻳﺘﻢ‬
4
-
:‫ﺍﻟﺘﺎﻟﻴﺔ‬ ‫ﺍﻟﺘﻮﺻﻴﻔﺎﺕ‬ ‫ﻋﻠﻰ‬ ‫ﻧﺤﺼﻞ‬ ‫ﺍﻟﺜﻼﺛﺔ‬ ‫ﺍﻟﻤﺘﻐﻴﺮﺍﺕ‬ ‫ﺗﻌﺮﻳﻒ‬ ‫ﺑﻌﺪ‬
‫ﺇﺻﺪﺍﺭ‬ ‫ﻛﺎﻥ‬ ‫ﺇﺫﺍ‬ ‫ﺍﻟﻌﺮﺑﻴﺔ‬ ‫ﺑﺎﻟﻠﻐﺔ‬ ‫ﺍﻟﺴﺎﺑﻘﺔ‬ ‫ﺍﻟﺘﻌﺮﻳﻔﺎﺕ‬ ‫ﺇﺟﺮﺍء‬ ‫ﻭﻳﻤﻜﻦ‬
SPSS
.‫ﺫﻟﻚ‬ ‫ﻳﺪﻋﻢ‬
‫ﺑﺎﺳﺗﺧﺩﺍﻡ‬ ‫ﺍﻻﺣﺻﺎﺋﻲ‬ ‫ﺍﻟﺗﺣﻠﻳﻝ‬
SPSS
‫ﺩ‬
‫ﺳﻠﻁﺎﻥ‬ ‫ﺧﻠﻑ‬ .
19
5
-
‫ﺇﻟﻰ‬ ‫ﺍﻵﻥ‬ ‫ﻧﺘﺤﻮﻝ‬
Data View
‫ﺍﻟ‬ ‫ﻹﺩﺧﺎﻝ‬
:‫ﻛﺎﻟﺘﺎﻟﻲ‬ ‫ﺒﻴﺎﻧﺎﺕ‬
6
-
‫ﺃﻳﻘﻮﻧﺔ‬ ‫ﻋﻠﻲ‬ ‫ﻧﻀﻐﻂ‬
:‫ﻋﻠﻲ‬ ‫ﻓﻨﺤﺼﻞ‬
7
-
‫ﺑﺎﻻﺳﻢ‬ ‫ﺍﻟﻤﻠﻒ‬ ‫ﺣﻔﻆ‬ ‫ﻳﺘﻢ‬ ‫ﺫﻟﻚ‬ ‫ﺑﻌﺪ‬
Data-1.sav
‫ﺃﻭ‬
Data-1.xls
‫ﺇﻏﻼﻕ‬ ‫ﻳﻤﻜﻦ‬
SPSS
‫ﻣﻦ‬ ‫ﻛﻞ‬ ‫ﻭﺍﺳﺘﺪﻋﺎء‬
Data-1.sav
‫ﻭ‬
Data-1.xls
.
:‫ﻣﻼﺣﻈﺔ‬
‫ﻟﻤﺤﺮﺭ‬ ‫ﺮﺓ‬ ‫ﻣﺒﺎﺷ‬ ‫ﺘﺪﻋﺎﺋﻬﺎ‬ ‫ﻭﺍﺳ‬ ‫ﻞ‬ ‫ﺍﻛﺴ‬ ‫ﻣﻠﻒ‬ ‫ﻓﻲ‬ ‫ﺃﻭﻻ‬ ‫ﺍﻟﺒﻴﺎﻧﺎﺕ‬ ‫ﺇﺩﺧﺎﻝ‬ ‫ﻳﻤﻜﻦ‬
SPSS
‫ﺍﻟﻼ‬ ‫ﻴﻒ‬ ‫ﺍﻟﺘﻮﺻ‬ ‫ﻭﺇﺟﺮﺍء‬
‫ﺑﻌﺪ‬ ‫ﺯﻡ‬
.‫ﺍﻻﺳﺘﺪﻋﺎء‬
‫ﺑﺎﺳﺗﺧﺩﺍﻡ‬ ‫ﺍﻻﺣﺻﺎﺋﻲ‬ ‫ﺍﻟﺗﺣﻠﻳﻝ‬
SPSS
‫ﺩ‬
‫ﺳﻠﻁﺎﻥ‬ ‫ﺧﻠﻑ‬ .
20
)
5
-
1
(
‫ﺍﻟﻤﺘﻐﻴﺮﺍﺕ‬ ‫ﺗﺮﻣﻴﺰ‬ ‫ﺇﻋﺎﺩﺓ‬
Recode
‫ﯾ‬ ‫ـث‬‫ـ‬ ‫ـﺎت‬‫ـ‬‫ﻧ‬‫ـﺎ‬‫ـ‬ ‫اﻟ‬ ‫ﻣﻠﻒ‬ ‫ﻓﻲ‬ ً‫ﺎ‬‫ـ‬‫ـ‬ ‫ـﺎﻟ‬‫ـ‬‫ﺣ‬ ‫د‬ ‫ﺟ‬ ‫ﻣ‬ ‫ر‬ ‫ﻐ‬ ‫ط‬ ‫ﺗ‬‫ر‬‫ﻣ‬ ‫ـد‬‫ـ‬‫ﯾ‬‫ـد‬‫ـ‬‫ﺟ‬ ‫ر‬ ‫ﻐ‬ ‫ﻣ‬ ‫ﺗ‬ ‫ـﺔ‬‫ـ‬ ‫ﻠ‬ ‫ﻋ‬ ‫ﻫﻲ‬ ‫ات‬
‫ر‬ ‫ﻐ‬ ‫اﻟ‬ ‫ز‬ ‫ﺗرﻣ‬ ‫ـﺎدة‬‫ـ‬‫ﻋ‬‫إ‬
‫ﺎس‬ ‫ﻟﻠﻘ‬ ‫ﻗﺎﺑﻠﺔ‬ ‫أ‬ ‫ﺔ‬ ‫ات‬
‫ر‬ ‫ﻐ‬ ‫ﻣ‬ ‫ﻞ‬ ‫ﺗ‬
Scale Variable
‫ﺔ‬ ‫ـﻔ‬‫ـ‬‫ـ‬‫ـ‬‫ـ‬‫ـ‬‫ـ‬‫ـ‬‫ـ‬‫ـ‬‫ـ‬‫ـ‬‫ـ‬‫ـ‬‫ﺻ‬‫و‬ ‫ات‬
‫ر‬ ‫ﻐ‬ ‫ﻣ‬ ‫إﻟﻰ‬
Nominal Variable
‫أﻣﺎ‬ .
‫ﻐ‬ ‫اﻟ‬ ‫ﻒ‬ ‫ـ‬‫ـ‬‫ـ‬ ‫ﺗ‬
‫ﺎت‬ ‫ـ‬‫ـ‬‫ـ‬ ‫ﻣ‬ ‫ﻋدد‬ ‫س‬ ‫ﻌ‬ ‫دﯾد‬ ‫اﻟ‬ ‫ر‬ ‫ﻐ‬ ‫اﻟ‬ ‫أن‬ ‫إﻻ‬ ‫ات‬
‫ر‬ ‫ﻐ‬ ‫اﻟ‬ ‫ز‬ ‫ﺗرﻣ‬ ‫إﻋﺎدة‬ ‫ﺔ‬ ‫ﻠ‬ ‫ﻟﻌ‬ ‫ـﺎﺑﻬﺔ‬‫ـ‬‫ـ‬ ‫ﻣ‬ ‫ﺔ‬ ‫ﻠ‬ ‫ﻋ‬ ‫ﻓﻬﻲ‬ ‫ات‬
‫ر‬
.‫ل‬ ‫اﻟ‬ ‫ﺔ‬ ‫ﺎو‬ ‫ﻣ‬ ‫ات‬
‫ر‬ ‫ﻓ‬ ‫ﻋﻠﻰ‬ ‫ر‬ ‫ﻐ‬ ‫اﻟ‬ ‫ﻒ‬ ‫ﺗ‬ ‫و‬ ‫ﻒ‬ ‫اﻟ‬
‫اﻷﻣر‬ ‫دم‬
Recode
‫ﻋ‬ ‫ة‬
‫ر‬‫ﺎ‬ ‫ﻋ‬ ‫أو‬ ‫ﻒ‬ ‫ﻟﻠ‬ ‫ﺎت‬ ‫ﻣ‬ ‫ﻋ‬ ‫ة‬
‫ر‬‫ﺎ‬ ‫ﻋ‬ ‫ر‬ ‫ﻐ‬ ‫اﻟ‬ ‫ﻗ‬ ‫ن‬ ‫ﺗ‬ ‫ث‬ ‫ﺟدﯾد‬ ‫ر‬ ‫ﻐ‬ ‫ﻣ‬ ‫ﻟ‬
‫ﺗ‬ ‫ﻟ‬ ‫ـدد‬‫ـ‬‫ـ‬‫ـ‬ ‫ﻣ‬ ‫ﻗ‬
‫اﻷﻣر‬ ‫ـﺎر‬‫ـ‬‫ـ‬‫ـ‬ ‫ـﺎﺧ‬‫ـ‬‫ـ‬‫ـ‬ ‫ـ‬‫ـ‬‫ـ‬‫ـ‬‫ﻟ‬‫ذ‬ ‫و‬ .‫ـﻔﻲ‬‫ـ‬‫ـ‬‫ـ‬‫ـ‬‫ـ‬‫ـ‬‫ـ‬‫ـ‬‫ـ‬‫ـ‬‫ـ‬‫ـ‬‫ـ‬‫ﺻ‬‫و‬ ‫ر‬ ‫ﻐ‬ ‫ﻣ‬ ‫إﻟﻰ‬ ‫ﻲ‬ ‫اﻟ‬ ‫ر‬ ‫ﻐ‬ ‫اﻟ‬ ‫ـﻞ‬‫ـ‬‫ـ‬‫ـ‬
Recode
‫ـﺔ‬‫ـ‬‫ـ‬‫ـ‬ ‫ـﺎﺋ‬‫ـ‬‫ـ‬‫ـ‬‫ﻗ‬ ‫ﻣ‬
Transform
.‫ﺎﻟﻲ‬ ‫اﻟ‬ ‫ﻞ‬ ‫اﻟ‬ ‫ﻓﻲ‬ ‫ﺎ‬
‫ﺑﺎﺳﺗﺧﺩﺍﻡ‬ ‫ﺍﻻﺣﺻﺎﺋﻲ‬ ‫ﺍﻟﺗﺣﻠﻳﻝ‬
SPSS
‫ﺩ‬
‫ﺳﻠﻁﺎﻥ‬ ‫ﺧﻠﻑ‬ .
21
‫ر‬ ‫ﻐ‬ ‫اﻟ‬ ‫ﻧﻔس‬ ‫ﻓﻲ‬ ‫دﯾد‬ ‫اﻟ‬ ‫ز‬ ‫رﻣ‬ ‫اﻟ‬ ‫ـﻊ‬‫ـ‬‫ـ‬‫ـ‬‫ﺿ‬‫و‬ ‫اﻷول‬ ‫ﺎر‬ ‫اﻟ‬ ‫ﺔ‬ ‫ـ‬‫ـ‬‫ـ‬‫ـ‬‫ﺳ‬‫ا‬ ‫ﺑ‬ ‫ث‬ ‫ﺣ‬ ، ‫ﺎر‬ ‫ﺧ‬ ‫إﻟﻰ‬ ‫ز‬ ‫رﻣ‬ ‫اﻟ‬ ‫إﻋﺎدة‬ ‫أﻣر‬ ‫ﻞ‬ ‫ـ‬‫ـ‬‫ـ‬‫ـ‬ ‫و‬
‫ﻣ‬ ‫ـ‬‫ـ‬‫ـ‬‫ـ‬‫ﺳ‬‫ﺎ‬ ‫دﯾدة‬ ‫اﻟ‬ ‫ز‬ ‫رﻣ‬ ‫اﻟ‬ ‫ﻗ‬ ‫ـﻊ‬‫ـ‬‫ـ‬‫ـ‬‫ﺿ‬‫و‬ ‫ﯾ‬ ‫ﺣ‬ ‫ﻓﻲ‬ ، ‫ـﺎﺑ‬‫ـ‬‫ـ‬‫ـ‬ ‫اﻟ‬
‫ﺎ‬ ‫ﻟدﯾ‬ ‫أن‬ ‫ﻔرض‬ ‫ﻟ‬ .‫ﺎﻧﻲ‬ ‫اﻟ‬ ‫ﺎر‬ ‫اﻟ‬ ‫دام‬ ‫ـ‬‫ـ‬‫ـ‬‫ـ‬‫ﺳ‬‫ا‬ ‫د‬ ‫ﻋ‬ ‫ﺟدﯾد‬ ‫ر‬ ‫ﻐ‬
‫ﺔ‬ ‫ﺎﻟ‬ ‫اﻟ‬ ‫اﻟﻔئﺎت‬ ‫ب‬ ‫دﯾد‬ ‫اﻟ‬ ‫ر‬ ‫ﻐ‬ ‫اﻟ‬ ‫ﺔ‬ ‫ﻗ‬ ‫ن‬ ‫ﺗ‬ ‫ث‬ ‫ﻼب‬ ‫اﻟ‬ ‫ن‬‫ز‬ ‫ﻟ‬ ‫ﻔﻲ‬ ‫ﺗ‬ ‫ر‬ ‫ﻐ‬ ‫ﻣ‬ ‫ﺗ‬ ‫ﻓﻲ‬ ‫ﺔ‬ ‫ﻏ‬
‫اﻟر‬
‫دﯾد‬ ‫اﻟ‬ ‫ر‬ ‫ﻐ‬ ‫اﻟ‬ ‫ﻗ‬
‫ﺎﺑ‬ ‫اﻟ‬ ‫ر‬ ‫ﻐ‬ ‫اﻟ‬ ‫ﻗ‬
50 1
51 60 2
61 70 3
70 4




‫دﯾد‬ ‫اﻟ‬ ‫ر‬ ‫ﻐ‬ ‫اﻟ‬ ‫ـ‬‫ـ‬‫ـ‬‫ـ‬‫ﺳ‬‫ا‬ ‫ن‬ ‫ـ‬‫ـ‬‫ـ‬‫ـ‬‫ﺳ‬‫و‬
"
‫ن‬‫ز‬ ‫اﻟ‬ ‫ﻓئﺎت‬
"
‫ـﻐط‬‫ـ‬‫ـ‬‫ـ‬ ‫ﺎﻟ‬ ‫و‬ .
‫ﻋﻠﻰ‬
Recode
‫ﺔ‬ ‫ﻗﺎﺋ‬ ‫ﻣ‬
Transform
‫ﺎر‬ ‫اﺧ‬‫و‬
Into
Different Variable
.‫ﺎﻟﻲ‬ ‫اﻟ‬ ‫ار‬ ‫اﻟ‬ ‫ﻣرﻊ‬ ‫ﻬر‬
‫ﺑﺎﺳﺗﺧﺩﺍﻡ‬ ‫ﺍﻻﺣﺻﺎﺋﻲ‬ ‫ﺍﻟﺗﺣﻠﻳﻝ‬
SPSS
‫ﺩ‬
‫ﺳﻠﻁﺎﻥ‬ ‫ﺧﻠﻑ‬ .
22
)
6
-
1
‫ﺍﻟﺒﻴﺎﻧﺎﺕ‬ ‫ﻟﺘﺠﻬﻴﺰ‬ ‫ﺍﻟﻌﻤﻠﻴﺎﺕ‬ ‫ﺑﻌﺾ‬ (

‫ﺍﻟﺘﺼﺎﻋﺪﻱ‬ ‫ﺍﻟﺘﺮﺗﻴﺐ‬ ‫ﻹﺟﺮﺍء‬
Sort Ascending
‫ﻭﺍﻟﺘﻨﺎﺯ‬
‫ﻟﻲ‬
Sort Descending
‫ﻟﻘﻴﻢ‬
‫ﻣﺘﻐﻴﺮ‬
‫ﻧﺜﺒﺖ‬ ‫ﻓﻘﻂ‬
‫ﺍﻟﻤﻄﻠﻮ‬ ‫ﺍﻟﻤﺘﻐﻴﺮ‬ ‫ﺍﺳﻢ‬ ‫ﻋﻨﺪ‬ ‫ﺍﻟﻤﺤﺮﻙ‬
‫ﻭﻧﻀﻐﻂ‬ ‫ﺗﻨﺎﺯﻟﻴﺎ‬ ‫ﺃﻭ‬ ‫ﺗﺼﺎﻋﺪﻳﺎ‬ ‫ﺗﺮﺗﻴﺒﻪ‬ ‫ﺏ‬
‫ﻋﻠﻰ‬
‫ﻓﻴﻈﻬﺮ‬ ‫ﻟﻠﻔﺎﺭﺓ‬ ‫ﺍﻟﻴﻤﻨﻰ‬ ‫ﺍﻟﺠﻬﺔ‬
‫ﻧ‬ ‫ﺍﺧﺘﻴﺎﺭ‬ ‫ﻳﻤﻜﻦ‬ ‫ﺣﻴﺚ‬
(‫ﺗﻨﺎﺯﻟﻴﺎ‬ ‫ﺃﻭ‬ ‫)ﺗﺼﺎﻋﺪﻳﺎ‬ ‫ﺍﻟﺘﺮﺗﻴﺐ‬ ‫ﻮﻉ‬
‫ﻓﻲ‬ ‫ﺍﻟﻌﻤﺮ‬ ‫ﺗﺮﺗﻴﺐ‬ ‫ﻳﻤﻜﻦ‬ ‫ﺫﻟﻚ‬ ‫ﻣﺜﺎﻝ‬
) ‫ﺍﻟﺘﻄﺒﻴﻖ‬
1
‫ﺃﻭ‬ ‫ﺗﻨﺎﺯﻟﻴﺎ‬ (
‫ﺗﺼﺎﻋﺪﻳﺎ‬
.‫ﺃﺑﺠﺪﻳﺎ‬ ‫ﺍﻟﻮﺻﻔﻴﺔ‬ ‫ﺍﻟﻤﺘﻐﻴﺮﺍﺕ‬ ‫ﺗﺮﺗﻴﺐ‬ ‫ﻳﻤﻜﻦ‬ ‫ﻛﻤﺎ‬

‫ﺍﻟﺼﻔﻮﻑ‬ ‫ﻋﻠﻲ‬ ‫ﻭﻣﻨﻄﻘﻴﺔ‬ ‫ﺣﺴﺎﺑﻴﺔ‬ ‫ﻋﻤﻠﻴﺎﺕ‬ ‫ﺇﺟﺮﺍء‬
‫ﺧﻼﻝ‬ ‫ﻣﻦ‬ ‫ﺟﺪﻳﺪﺓ‬ ‫ﺃﻋﻤﺪﺓ‬ ‫ﻓﻲ‬ ‫ﺍﻟﻨﺘﻴﺠﺔ‬ ‫ﻭﺗﺨﺰﻳﻦ‬ ‫ﻭﺍﻷﻋﻤﺪﺓ‬
‫ﺍﻟﻤﺴﺎﺭ‬
compute variable
Transform 
‫ﺇﺟﺮﺍء‬ ‫ﻓﻴﻪ‬ ‫ﻳﺘﻢ‬ ‫ﺍﻟﺬﻱ‬ ‫ﺍﻟﺘﺎﻟﻲ‬ ‫ﺍﻟﺤﻮﺍﺭ‬ ‫ﻣﺮﺑﻊ‬ ‫ﻋﻠﻰ‬ ‫ﻓﻨﺤﺼﻞ‬
.‫ﺍﻟﻤﻄﻠﻮﺑﺔ‬ ‫ﺍﻟﻌﻤﻠﻴﺎﺕ‬
‫ﺑﺎﺳﺗﺧﺩﺍﻡ‬ ‫ﺍﻻﺣﺻﺎﺋﻲ‬ ‫ﺍﻟﺗﺣﻠﻳﻝ‬
SPSS
‫ﺩ‬
‫ﺳﻠﻁﺎﻥ‬ ‫ﺧﻠﻑ‬ .
23
:‫ﻣﻼﺣﻈﺔ‬
‫ﺍﻟﺤﻮﺍﺭ‬ ‫ﻣﺮﺑﻊ‬ ‫ﻳﺤﺘﻮﻱ‬
Compute Variable
‫ﻋﻠﻰ‬
‫ﻋﻼﻗﺎﺕ‬ ‫ﻭﺭﻣﻮﺯ‬ ‫ﺣﺴﺎﺑﻴﺔ‬ ‫ﻭﺭﻣﻮﺯ‬ ‫ﺃﺭﻗﺎﻡ‬ ‫ﻋﻠﻰ‬ ‫ﺗﺤﺘﻮﻱ‬ ‫ﺣﺎﺳﺒﺔ‬ ‫ﺁﻟﺔ‬
‫ﻭﺭ‬
‫ﻭﺫﻟﻚ‬ ‫ﻳﺪﻭﻳﺔ‬ ‫ﺣﺎﺳﺒﺔ‬ ‫ﺃﻳﺔ‬ ‫ﻣﺜﻞ‬ ‫ﺍﻟﺤﺎﺳﺒﺔ‬ ‫ﻫﺬﻩ‬ ‫ﺍﺳﺘﺨﺪﺍﻡ‬ ‫ﻭﻳﻤﻜﻦ‬ .‫ﻣﻨﻄﻘﻴﺔ‬ ‫ﻣﻮﺯ‬
‫ﺑﻀﻐﻂ‬
‫ﺍﻟﺠﺪﻭﻝ‬ ‫ﻭﻳﺒﻴﻦ‬ .‫ﺍﻟﻔﺄﺭﺓ‬ ‫ﺑﺎﺳﺘﺨﺪﺍﻡ‬ ‫ﺍﻟﺰﺭ‬
:‫ﺍﻟﺤﺎﺳﺒﺔ‬ ‫ﺍﻵﻟﺔ‬ ‫ﻓﻲ‬ ‫ﺍﻟﻤﺴﺘﺨﺪﻣﺔ‬ ‫ﺍﻟﺮﻣﻮﺯ‬ ‫ﺍﻟﺘﺎﻟﻲ‬
‫ﺑﺎﺳﺗﺧﺩﺍﻡ‬ ‫ﺍﻻﺣﺻﺎﺋﻲ‬ ‫ﺍﻟﺗﺣﻠﻳﻝ‬
SPSS
‫ﺩ‬
‫ﺳﻠﻁﺎﻥ‬ ‫ﺧﻠﻑ‬ .
24

‫ﺍﻟﻤﻔﻘ‬ ‫ﺍﻟﻘﻴﻢ‬ ‫ﻣﻌﺎﻟﺠﺔ‬
:‫ﺍﻟﺘﺎﻟﻲ‬ ‫ﺍﻟﻤﺴﺎﺭ‬ ‫ﺑﺎﺳﺘﺨﺪﺍﻡ‬ ‫ﺫﻟﻚ‬ ‫ﻳﺘﻢ‬ :‫ﻮﺩﺓ‬
.‫ﺍﻟﻤﻔﻘﻮﺩﺓ‬ ‫ﺍﻟﻘﻴﻢ‬ ‫ﻟﻤﻌﺎﻟﺠﺔ‬ ‫ﺁﻟﻴﺔ‬ ‫ﺗﺤﺪﻳﺪ‬ ‫ﻓﻴﻪ‬ ‫ﻳﺘﻢ‬ ‫ﺍﻟﺬﻱ‬ ‫ﺍﻟﺘﺎﻟﻲ‬ ‫ﺍﻟﺤﻮﺍﺭ‬ ‫ﻣﺮﺑﻊ‬ ‫ﻓﻴﻈﻬﺮ‬
‫ﺍﻟﺤﺴﺎﺑﻴﺔ‬ ‫ﺍﻟﺮﻣﻮﺯ‬
‫ﺍﻟﻌﻼﻗﺎﺕ‬ ‫ﺭﻣﻮﺯ‬
‫ﺍﻟﻤﻨﻄﻘﻴﺔ‬ ‫ﺍﻟﺮﻣﻮﺯ‬
‫ﺍﻟﺮﻣﺰ‬
‫ﺍﻟﻌﻤﻠﻴﺔ‬
‫ﺍﻟﺮﻣﺰ‬
‫ﺍﻟﻌﻤﻠﻴﺔ‬
‫ﺍﻟﺮﻣﺰ‬
‫ﺍﻟﻌﻤﻠﻴﺔ‬
+
‫ﺍﻟﺠﻤﻊ‬
<
‫ﻣ‬ ‫ﺍﻗﻞ‬
‫ﻦ‬
&
‫ﺃﻭ‬
and
‫ﺍﻟﻌﻼﻗﺎﺕ‬ ‫ﺟﻤﻴﻊ‬ ‫ﺗﻜﻮﻥ‬ ‫ﺃﻥ‬ ‫ﻳﺠﺐ‬
‫ﺻﺤﻴﺤﺔ‬ -
‫ﺍﻟﻄﺮﺡ‬
>
‫ﻣﻦ‬ ‫ﺍﻛﺒﺮ‬
*
‫ﺍﻟﻀﺮﺏ‬
<=
‫ﻳﺴﺎﻭﻱ‬ ‫ﺃﻭ‬ ‫ﺍﻗﻞ‬
|
‫ﺃﻭ‬
or
‫ﺃﻥ‬ ‫ﻳﺠﺐ‬ ‫ﺍﻟﻌﻼﻗﺎﺕ‬ ‫ﻣﻦ‬ ‫ﻭﺍﺣﺪﺓ‬
‫ﺻﺤﻴﺤﺔ‬ ‫ﺗﻜﻮﻥ‬ /
‫ﺍﻟﻘﺴﻤﺔ‬
>=
‫ﻳﺴﺎﻭﻱ‬ ‫ﺃﻭ‬ ‫ﺍﻛﺒﺮ‬
**
‫ﺍﻷﺱ‬
=
‫ﻳﺴﺎﻭﻱ‬
~
‫ﺃﻭ‬
not
‫ﺍﻟﻨﻔﻲ‬ ‫ﺗﻔﻴﺪ‬
( )
‫ﺗﺮﺗﻴﺐ‬
‫ﺍﻟﻌﻤﻠﻴﺎﺕ‬
~=
‫ﻳﺴﺎﻭﻱ‬ ‫ﻻ‬
‫ﺑﺎﺳﺗﺧﺩﺍﻡ‬ ‫ﺍﻻﺣﺻﺎﺋﻲ‬ ‫ﺍﻟﺗﺣﻠﻳﻝ‬
SPSS
‫ﺩ‬
‫ﺳﻠﻁﺎﻥ‬ ‫ﺧﻠﻑ‬ .
25

:‫ﻣﺤﺪﺩ‬ ‫ﺑﺈﻁﺎﺭ‬ ‫ﺍﻟﺪﺭﺍﺳﺔ‬ ‫ﻣﺠﺘﻤﻊ‬ ‫ﻣﻦ‬ ‫ﻋﺸﻮﺍﺋﻴﺔ‬ ‫ﻋﻴﻨﺔ‬ ‫ﺍﺧﺘﻴﺎﺭ‬
‫ﺍﺳﺘﺨﺪﺍﻡ‬ ‫ﻳﻤﻜﻦ‬
SPSS
:‫ﺍﻟﺘﺎﻟﻲ‬ ‫ﺍﻟﻤﺴﺎﺭ‬ ‫ﺧﻼﻝ‬ ‫ﻣﻦ‬ ‫ﻣﺤﺪﺩ‬ ‫ﺇﻁﺎﺭ‬ ‫ﻟﻪ‬ ‫ﻣﺠﺘﻤﻊ‬ ‫ﻣﻦ‬ ‫ﻋﺸﻮﺍﺋﻴﺔ‬ ‫ﻋﻴﻨﺔ‬ ‫ﻟﺘﺤﺪﻳﺪ‬
Data  Select cases  Random sample of cases …
:‫ﺍﻵﺗﻴﺔ‬ ‫ﺍﻟﺸﺎﺷﺔ‬ ‫ﻓﺘﻈﻬﺮ‬
‫ﻋﻠﻰ‬ ‫ﻧﻀﻐﻂ‬ ‫ﺛﻢ‬
sample
:‫ﻛﺎﻟﺘﺎﻟﻲ‬ ‫ﺍﻟﻌﻴﻨﺔ‬ ‫ﺣﺠﻢ‬ ‫ﺗﺤﺪﻳﺪ‬ ‫ﻓﻴﻬﺎ‬ ‫ﻳﺘﻢ‬ ‫ﺍﻟﺘﻲ‬ ‫ﺍﻟﺸﺎﺷﺔ‬ ‫ﻓﺘﻈﻬﺮ‬
‫ﻧﻀﻐﻂ‬
Continue
:‫ﻫﻲ‬ ‫ﺣﺎﻻﺕ‬ ‫ﺛﻼﺙ‬ ‫ﻭﻫﻨﺎﻙ‬ ‫ﺍﻟﻨﺘﺎﺋﺞ‬ ‫ﺗﺨﺰﻳﻦ‬ ‫ﻁﺮﻳﻘﺔ‬ ‫ﻻﺧﺘﻴﺎﺭ‬ ‫ﺍﻟﺴﺎﺑﻘﺔ‬ ‫ﻟﻠﺸﺎﺷﺔ‬ ‫ﻓﻨﺮﺟﻊ‬
-
Filler out unselected cases
‫ﺣﻴ‬ :
‫ﻣﻠﻒ‬ ‫ﻣﻦ‬ ‫ﺣﺬﻓﻬﺎ‬ ‫ﻋﺪﻡ‬ ‫ﻣﻊ‬ ‫ﺍﻟﻤﺨﺘﺎﺭﺓ‬ ‫ﻏﻴﺮ‬ ‫ﺍﻟﺤﺎﻻﺕ‬ ‫ﺷﻄﺐ‬ ‫ﻫﻨﺎ‬ ‫ﻳﺘﻢ‬ ‫ﺚ‬
‫ﺍﻟﺒﻴﺎﻧﺎﺕ‬
-
Copy selected cases to a new dataset
‫ﺟﺪﻳﺪ‬ ‫ﺑﻴﺎﻧﺎﺕ‬ ‫ﺑﻤﻠﻒ‬ ‫ﺍﻟﻤﺨﺘﺎﺭﺓ‬ ‫ﺍﻟﺤﺎﻻﺕ‬ ‫ﻧﺴﺦ‬ ‫ﻫﻨﺎ‬ ‫ﻳﺘﻢ‬ ‫ﺣﻴﺚ‬ :
-
Delete unselected cases
‫ﺍﻟﺒﻴﺎﻧﺎﺕ‬ ‫ﻣﻦ‬ ‫ﺗﻤﺎﻣﺎ‬ ‫ﺍﻟﻤﺨﺘﺎﺭﺓ‬ ‫ﻏﻴﺮ‬ ‫ﺍﻟﺤﺎﻻﺕ‬ ‫ﺣﺬﻑ‬ ‫ﻳﺘﻢ‬ ‫ﺣﻴﺚ‬ :
‫ﺑﺎﺳﺗﺧﺩﺍﻡ‬ ‫ﺍﻻﺣﺻﺎﺋﻲ‬ ‫ﺍﻟﺗﺣﻠﻳﻝ‬
SPSS
‫ﺩ‬
‫ﺳﻠﻁﺎﻥ‬ ‫ﺧﻠﻑ‬ .
26

‫ﺍﻟﺒﻴ‬ ‫ﻣﻠﻔﺎﺕ‬ ‫ﻋﻠﻰ‬ ‫ﻣﺨﺘﻠﻔﺔ‬ ‫ﻋﻤﻠﻴﺎﺕ‬
‫ﺎﻧﺎﺕ‬
-
‫ﺟﺪﻳﺪ‬ ‫ﻣﻠﻒ‬ ‫ﻣﻦ‬ ‫ﻗﺪﻳﻢ‬ ‫ﻟﻤﻠﻒ‬ ‫ﺟﺪﻳﺪﺓ‬ ‫ﺣﺎﻻﺕ‬ ‫ﺇﺿﺎﻓﺔ‬
DataMerge Files add cases
-
‫ﺟﺪﻳﺪ‬ ‫ﻣﻠﻒ‬ ‫ﻣﻦ‬ ‫ﻗﺪﻳﻢ‬ ‫ﻟﻤﻠﻒ‬ ‫ﺟﺪﻳﺪﺓ‬ ‫ﻣﺘﻐﻴﺮﺍﺕ‬ ‫ﺇﺿﺎﻓﺔ‬
Data Merge Files add variables
-
‫ﺍﻟﻤﺘﻐﻴﺮﺍﺕ‬ ‫ﺃﺣﺪ‬ ‫ﺑﺤﺴﺐ‬ ‫ﻣﻠﻔﺎﺕ‬ ‫ﻋﺪﺓ‬ ‫ﺍﻟﻰ‬ ‫ﻗﺪﻳﻢ‬ ‫ﻣﻠﻒ‬ ‫ﻓﺼﻞ‬
Data split into files
‫ﺗﺪﺭﻳﺐ‬
)
1
(
‫ﺍﻟﻤ‬ ‫ﻓﻲ‬ ‫ﺍﻟﺒﻴﺎﻧﺎﺕ‬ ‫ﺍﺳﺘﺨﺪﻡ‬
‫ﻠﻒ‬
Application1.xls
‫ﺍﻟﻘﻴﻢ‬ ‫ﺍﺳﺘﻜﻤﺎﻝ‬ ‫ﻋﻠﻰ‬ ‫ﻭﺍﻟﺘﺪﺭﻳﺐ‬ ‫ﻋﺸﻮﺍﺋﻴﺔ‬ ‫ﻋﻴﻨﺔ‬ ‫ﺍﺧﺘﻴﺎﺭ‬ ‫ﻋﻠﻰ‬ ‫ﻟﻠﺘﺪﺭﻳﺐ‬
.‫ﺍﻟﻤﻔﻘﻮﺩﺓ‬
‫ﻣﺘﻐﻴﺮﺍﺕ‬ ‫ﺍﻭ‬ ‫ﺣﺎﻻﺕ‬ ‫ﺇﺿﺎﻓﺔ‬ ‫ﺍﻭ‬ ‫ﺍﻟﻤﻠﻒ‬ ‫ﻓﺼﻞ‬ ‫ﻋﻠﻰ‬ ‫ﻭﻛﺬﻟﻚ‬
)
7
-
1
‫ﺍﻟﻨﺘﺎﺋﺞ‬ ‫ﻋﺮﺽ‬ ‫ﺷﺎﺷﺔ‬ (
‫ﺍﻟﺒﻴﺎﻧﺎﺕ‬ ‫ﻣﺤﺮﺭ‬ ‫ﺷﺎﺷﺔ‬ ‫ﻓﻲ‬ ‫ﺍﻟﻨﺘﺎﺋﺞ‬ ‫ﺍﺳﺘﻘﺒﺎﻝ‬ ‫ﺍﻟﺴﺎﺑﻘﺔ‬ ‫ﺍﻟﻌﻤﻠﻴﺎﺕ‬ ‫ﻣﻌﻈﻢ‬ ‫ﻓﻲ‬ ‫ﺗﻢ‬ ‫ﺍﻵﻥ‬ ‫ﺣﺘﻰ‬
،‫ﻧﻔﺴﻬﺎ‬
‫ﺍﻟﺘﻄ‬ ‫ﺑﻌﺾ‬ ‫ﻓﻲ‬ ‫ﻭﻟﻜﻦ‬
‫ﺒﻴﻘﺎﺕ‬
‫ﺗﺤﺘﺎﺝ‬ ‫ﺍﻟﻨﺘﺎﺋﺞ‬ ‫ﻛﺎﻧﺖ‬ ‫ﺇﺫﺍ‬ ‫ﺗﻠﻘﺎﺋﻴﺎ‬ ‫ﺗﻈﻬﺮ‬ ‫ﺍﻟﺸﺎﺷﺔ‬ ‫ﻫﺬﻩ‬ .‫ﺍﻟﻨﺘﺎﺋﺞ‬ ‫ﻋﺮﺽ‬ ‫ﺷﺎﺷﺔ‬ ‫ﺗﺴﻤﻰ‬ ‫ﺑﺬﻟﻚ‬ ‫ﺧﺎﺻﺔ‬ ‫ﺷﺎﺷﺔ‬ ‫ﻓﻲ‬ ‫ﺍﻟﺒﻴﺎﻧﺎﺕ‬ ‫ﺗﻈﻬﺮ‬
‫ﺍﻟﺘﻘﺮﻳﺮ‬ ‫ﺇﻋﺪﺍﺩ‬ ‫ﺃﺛﻨﺎء‬ ‫ﻭﻭﺭﺩ‬ ‫ﻟﻤﻠﻒ‬ ‫ﻭﻟﺼﻖ‬ ‫ﻧﺴﺦ‬ ‫ﺃﻭ‬ ‫ﺍﻛﺴﻞ‬ ‫ﻭﺭﻗﺔ‬ ‫ﺇﻟﻰ‬ ‫ﺍﻟﻨﺘﺎﺋﺞ‬ ‫ﺗﺼﺪﻳﺮ‬ ‫ﻳﻤﻜﻦ‬ ‫ﻭﻣﻨﻬﺎ‬ ‫ﺟﺪﻳﺪﺓ‬ ‫ﻟﺸﺎﺷﺔ‬
.‫ﻟﻠﺪﺭﺍﺳﺔ‬ ‫ﺍﻹﺣﺼﺎﺋﻲ‬
‫ﺑﺎﺳﺗﺧﺩﺍﻡ‬ ‫ﺍﻻﺣﺻﺎﺋﻲ‬ ‫ﺍﻟﺗﺣﻠﻳﻝ‬
SPSS
‫ﺩ‬
‫ﺳﻠﻁﺎﻥ‬ ‫ﺧﻠﻑ‬ .
27
‫ﺗ‬
‫ﻄﺒﻴﻖ‬
)
2
(
‫ﺗﻮﺯﻳﻊ‬ ‫ﺍﻟﻤﻄﻠﻮﺏ‬
‫ﺍﻻﺳﺘﺒﺎﻧﺔ‬
‫ﺍﻟﺘﺎﻟﻴﺔ‬
‫ﻣﻔﺮﺩﺍﺗﻬﺎ‬ ‫ﻋﺪﺩ‬ ‫ﻋﻴﻨﺔ‬ ‫ﻋﻠﻰ‬
40
‫ﻣﻦ‬
‫ﺍﻟﻤﺘﺪﺭﺑﻴﻦ‬
‫ﻓﻲ‬ ‫ﻭﺗﻔﺮﻳﻐﻬﺎ‬
SPSS
.
‫ﺍﺳﺘﺒﻴﺎﻥ‬
:(‫)ﺍﺧﺘﻴﺎﺭﻱ‬ ‫ﺍﻻﺳﻢ‬
:‫ﺷﺨﺼﻴﺔ‬ ‫ﻣﻌﻠﻮﻣﺎﺕ‬ :‫ﺃﻭﻻ‬
1
-
‫ﺍﻟﻤ‬
‫ﺍﻟﺪﺭﺍﺳﻲ‬ ‫ﺴﺘﻮﻯ‬
:
1
‫ﺍﻻﻭﻝ‬
2
‫ﺍﻟﺜﺎﻧﻲ‬
3
‫ﺍﻟﺜﺎﻟﺚ‬
4
‫ﺍﻟﺮﺍﺑﻊ‬
5
‫ﺍﻟﺨﺎﻣﺲ‬
6
‫ﺍﻟﺴﺎﺩﺱ‬
7
‫ﺍﻟﺴﺎﺑﻊ‬
8
‫ﺍﻟﺜﺎﻣﻦ‬
2
-
‫ﺍﻟﻌﻤﺮ‬
:
1
‫ﻣﻦ‬ ‫ﺍﻗﻞ‬
20
2
20
-
25
3
26
‫ﻓﺎﻛﺜﺮ‬
3
-
‫ﺍﻟ‬
‫ﻤ‬
‫ﺍﻟﺘﺮﺍﻛﻤ‬ ‫ﻌﺪﻝ‬
‫ﻲ‬
‫ﺍﻟﺘﺮﺍﻛﻤ‬ ‫ﺍﻟﻤﻌﺪﻝ‬
‫ﻲ‬
‫ﺍﻟﺤﺎﻟﻲ‬
‫ﺍﻟﺘﺮﺍﻛﻤ‬ ‫ﺍﻟﻤﻌﺪﻝ‬
‫ﻲ‬
‫ﺍﻟﺴﺎﺑﻖ‬ ‫ﺍﻟﻌﺎﻡ‬
‫ﺍﻻﺳﺘﺒﻴﺎﻥ‬ ‫ﻣﺤﺎﻭﺭ‬ :‫ﺛﺎﻧﻴﺎ‬
‫ﺣﺪﺩ‬ ‫)ﻓﻀﻼ‬
‫ﺭﺃﻳﻚ‬
‫ﺍﻣﺎﻡ‬
‫ﻛﻞ‬
(‫ﻓﻘﺮﺓ‬
‫ﺃﻭﺍﻓﻖ‬
‫ﺑﺸﺪﺓ‬ ‫ﺃﻭﺍﻓﻖ‬ ‫ﻣﺤﺎﻳﺪ‬ ‫ﺍﺭﻓﺾ‬ ‫ﺍﺭﻓﻖ‬
‫ﺑﺸﺪﺓ‬ ‫ﺍﻟﻔﻘﺮﺓ‬ ‫ﻡ‬
‫ﺍﺳﺘﺨﺪﺍﻡ‬
‫ﺩﺭﺍﺳﺘﻲ‬ ‫ﻓﻲ‬ ‫ﻳﺴﺎﻋﺪﻧﻲ‬ ‫ﺍﻻﻧﺘﺮﻧﺖ‬ 1
‫ﻣﺸﻜﻼﺕ‬ ‫ﻣﻨﺎﻗﺸﺔ‬
‫ﺍﻟﺪﺍﺭﺳﺔ‬
‫ﻣﻊ‬
‫ﺍ‬ ‫ﺍﻟﻤﺮﺷﺪ‬
‫ﻻﻛﺎﺩﻳﻤﻲ‬
‫ﺣﻠﻬ‬ ‫ﻓﻲ‬ ‫ﻳﺴﺎﻋﺪ‬
‫ﺎ‬ 2
‫ﺍﻟﺤﺪﻳﺜﺔ‬ ‫ﺍﻟﺘﻮﺍﺻﻞ‬ ‫ﻭﺳﺎﺋﻞ‬ ‫ﺍﺳﺘﺨﺪﺍﻡ‬
‫ﻳﺴﺎﻋﺪ‬
‫ﻓﻲ‬
‫ﺍﻟﺪﺭﺍﺳﺔ‬ 3
‫ﺍﻟﺘﺪﺭﻳﺲ‬ ‫ﻗﺎﻋﺎﺕ‬ ‫ﺩﺍﺧﻞ‬ ‫ﺍﻟﺘﻘﻮﻳﻢ‬ ‫ﺃﺳﺎﻟﻴﺐ‬
‫ﺍﻟﻄﺎﻟﺐ‬ ‫ﺗﻔﻴﺪ‬ 4
‫ﺑﺎﺳﺗﺧﺩﺍﻡ‬ ‫ﺍﻻﺣﺻﺎﺋﻲ‬ ‫ﺍﻟﺗﺣﻠﻳﻝ‬
SPSS
‫ﺩ‬
‫ﺳﻠﻁﺎﻥ‬ ‫ﺧﻠﻑ‬ .
28
‫ﺍﻟﺘﻨﻔﻴﺬ‬ ‫ﻁﺮﻳﻘﺔ‬
:
1
-
:‫ﻟﻠﻤﺘﻐﻴﺮﺍﺕ‬ ‫ﺍﻟﺘﺮﻣﻴﺰ‬ ‫ﺑﻌﻤﻠﻴﺔ‬ ‫ﻧﻘﻮﻡ‬
:‫ﺃﻭﻻ‬
‫ﺍﻟ‬ ‫ﻣﺘﻐﻴﺮ‬
‫ﺍﻟﺪﺭﺍﺳﻲ‬ ‫ﻤﺴﺘﻮﻯ‬
:
1
‫ﺍﻟﻲ‬
8 ‫ﺍﻟﺪﺭﺍﺳﻲ‬ ‫ﺍﻟﻤﺴﺘﻮﻯ‬
:‫ﺛﺎﻧﻴﺎ‬
‫ﺍﻟﻌﻤﺮ‬
‫ﺃﻛ‬
‫ﻣﻦ‬ ‫ﺜﺮ‬
26 20
-
25 ‫ﻣﻦ‬ ‫ﺍﻗﻞ‬
20 ‫ﺍﻟﺨﺒﺮﺓ‬
3 2 1 ‫ﺍﻟﺘﺼﻨﻴﻒ‬
‫ﺑﻴﺎﻧﺎﺕ‬ ‫ﺗﻔﺮﻳﻎ‬ ‫ﻳﺘﻢ‬ :‫ﺛﺎﻟﺜﺎ‬
‫ﺍﻷﺳﺌﻠﺔ‬
:‫ﺍﻟﺘﺎﻟﻲ‬ ‫ﻟﻠﺘﺼﻨﻴﻒ‬ ً‫ﺎ‬‫ﻭﻓﻘ‬
‫ﺍﻟﺘﺼﻨﻴﻒ‬
‫ﺑﺸﺪﺓ‬ ‫ﻣﻮﺍﻓﻖ‬
‫ﻣﻮﺍﻓﻖ‬
‫ﻣﺤﺎﻳﺪ‬
‫ﻣﻌﺎﺭﺽ‬
‫ﺑﺸﺪﺓ‬ ‫ﻣﻌﺎﺭﺽ‬
‫ﺍﻟﺪﺭﺟﺔ‬
5
4
3
2
1
2
-
:‫ﻛﺎﻟﺘﺎﻟﻲ‬ ‫ﺍﻟﺪﺭﺍﺳﺔ‬ ‫ﺃﺳﺌﻠﺔ‬ ‫ﻟﻤﺘﻐﻴﺮﺍﺕ‬ ‫ﺃﺳﻤﺎء‬ ‫ﻧﻌﻄﻲ‬
Age, GPA_now , GPA_last year
،
Level
،
Q4, Q3,Q2, Q1
3
-
‫ﻧﺤﺪﺩ‬
:‫ﻛﺎﻟﺘﺎﻟﻲ‬ ‫ﺍﻟﻤﺘﻐﻴﺮﺍﺕ‬ ‫ﻭﺻﻒ‬
‫؟؟؟؟؟‬
:‫ﻛﺎﻟﺘﺎﻟﻲ‬ ‫ﺍﻟﻤﺘﻐﻴﺮﺍﺕ‬ ‫ﻣﺤﺮﺭ‬ ‫ﺷﺎﺷﺔ‬ ‫ﺗﻈﻬﺮ‬ ‫ﺍﻟﺒﻴﺎﻧﺎﺕ‬ ‫ﺗﻔﺮﻳﻎ‬ ‫ﺑﻌﺪ‬
‫ﺑﺎﺳﺗﺧﺩﺍﻡ‬ ‫ﺍﻻﺣﺻﺎﺋﻲ‬ ‫ﺍﻟﺗﺣﻠﻳﻝ‬
SPSS
‫ﺩ‬
‫ﺳﻠﻁﺎﻥ‬ ‫ﺧﻠﻑ‬ .
29
‫ﻋﻠﻰ‬ ‫ﺑﺎﻟﻀﻐﻂ‬ ‫ﺍﻟﺘﺮﻣﻴﺰ‬ ‫ﺑﺎﺳﺘﺨﺪﺍﻡ‬ ‫ﺍﻟﺘﻔﺮﻳﻎ‬ ‫ﺑﻌﺪ‬ ‫ﺍﻟﺒﻴﺎﻧﺎﺕ‬ ‫ﺗﺤﻮﻳﻞ‬ ‫ﻭﻳﻤﻜﻦ‬
-
‫ﺍﻭﻝ‬
20
‫ﺑﻴﺎﻥ‬
:‫ﻛﺎﻟﺘﺎﻟﻲ‬
‫ﺑﻚ‬ ‫ﺧﺎﺹ‬ ‫ﺍﺧﺘﻴﺎﺭﻱ‬ ‫ﺑﺎﺳﻢ‬ ‫ﺍﻟﻤﻠﻒ‬ ‫ﺗﺨﺰﻳﻦ‬ ‫ﺗﻨﺴﻰ‬ ‫ﻻ‬ :‫ﻣﻼﺣﻈﺔ‬
.
) ‫ﺗﻄﺒﻴﻖ‬
1
(
:
‫ﺍﻟﻤﻠﻒ‬ ‫ﺑﻴﺎﻧﺎﺕ‬ ‫ﺣﻠﻞ‬
questionnaire.sav
‫ﻣﺴﺘﺨﺪﻣﺎ‬
‫ﻟﻴﻜﺮﺕ‬ ‫ﻣﻘﻴﺎﺱ‬
Likert Scale
:‫ﺍﻟﺘﺎﻟﻲ‬ ‫ﺍﻟﻨﺤﻮ‬ ‫ﻋﻠﻰ‬
‫ﺍﻟﺛﻼﺛﻲ‬ ‫ﻟﻳﻛﺭﺕ‬ ‫ﻣﻘﻳﺎﺱ‬ ‫ﺗﺣﻠﻳﻝ‬ ‫ﻣﺅﺷﺭﺍﺕ‬
‫ﻣﻭﺍﻓﻖ‬ ‫ﻏﻳﺭ‬
1‐1.66
‫ﺍﺩﺭ‬ ‫ﻻ‬
‫ﻱ‬
1.67‐2.33
‫ﻣﻭﺍﻓﻖ‬
2.34‐3
‫ﺍﻟﺧﻣﺎﺳﻲ‬ ‫ﻟﻳﻛﺭﺕ‬ ‫ﻣﻘﻳﺎﺱ‬ ‫ﺗﺣﻠﻳﻝ‬ ‫ﻣﺅﺷﺭﺍﺕ‬
‫ﺑﺷﺩﺓ‬ ‫ﻣﻭﺍﻓﻖ‬ ‫ﻏﻳﺭ‬
1‐1.79
‫ﻣﻭﺍﻓﻖ‬ ‫ﻏﻳﺭ‬
1.80‐2.59
‫ﺍﺩﺭ‬ ‫ﻻ‬
‫ﻱ‬
2.60‐3.39
‫ﻣﻭﺍﻓﻖ‬
3.4‐4.19
‫ﺑﺷﺩﺓ‬ ‫ﻣﻭﺍﻓﻖ‬
4.20‐5
‫ﺑﺎﺳﺗﺧﺩﺍﻡ‬ ‫ﺍﻻﺣﺻﺎﺋﻲ‬ ‫ﺍﻟﺗﺣﻠﻳﻝ‬
SPSS
‫ﺩ‬
‫ﺳﻠﻁﺎﻥ‬ ‫ﺧﻠﻑ‬ .
30
‫ﺍﺳﺘﺒﻴﺎﻥ‬
:(‫)ﺍﺧﺘﻴﺎﺭﻱ‬ ‫ﺍﻻﺳﻢ‬
:‫ﺷﺨﺼﻴﺔ‬ ‫ﻣﻌﻠﻮﻣﺎﺕ‬ :‫ﺃﻭﻻ‬
1
-
‫ﺍﻟﻤ‬
:‫ﺍﻟﻌﻠﻤﻴﺔ‬ ‫ﺮﺗﺒﺔ‬
1
‫ﻣﺴﺎﻋﺪ‬ ‫ﺃﺳﺘﺎﺫ‬
2
‫ﻣﺸﺎﺭﻙ‬ ‫ﺃﺳﺘﺎﺫ‬
3
‫ﺍﺳﺘﺎﺫ‬
2
-
:‫ﺍﻟﺘﺪﺭﻳﺴﻴﺔ‬ ‫ﺍﻟﺨﺒﺮﺓ‬
1
‫ﻣﻦ‬ ‫ﺍﻗﻞ‬
5
‫ﺳﻨﻮﺍﺕ‬
2
5
-
10
‫ﺳﻨ‬
‫ﻮﺍﺕ‬
3
‫ﻣﻦ‬ ‫ﺃﻛﺜﺮ‬
10
‫ﺳﻨﻮﺍﺕ‬
3
-
‫ﺍﻟﺮﺍﺗﺐ‬
‫ﺍﻟﻌ‬ ‫ﺑﺪﺍﻳﺔ‬ ‫ﻋﻨﺪ‬
‫ﻤﻞ‬
‫ﺍﻟﺤﺎﻟﻲ‬ ‫ﺍﻟﺮﺍﺗﺐ‬
‫ﺍﻻﺳﺘﺒﻴﺎﻥ‬ ‫ﻣﺤﺎﻭﺭ‬ :‫ﺛﺎﻧﻴﺎ‬
‫ﺣﺪﺩ‬ ‫)ﻓﻀﻼ‬
‫ﺭﺃﻳﻚ‬
‫ﻛﻞ‬ ‫ﺍﻣﺎﻡ‬
(‫ﻓﻘﺮﺓ‬
‫ﻣﻌﺎﺭﺽ‬
‫ﺑﺸﺪﺓ‬
‫ﻣﻌﺎﺭﺽ‬ ‫ﻣﺤﺎﻳﺪ‬ ‫ﻣﻮﺍﻓﻖ‬
‫ﻣﻮﺍﻓﻖ‬
‫ﺑﺸﺪﺓ‬
‫ﺍﻟﻔﻘﺮﺓ‬ ‫ﻡ‬
‫ﺍﺳﺘﺨﺪﺍﻡ‬
‫ﻭﻅﻴﻔﺘﻲ‬ ‫ﻣﻬﺎﻡ‬ ‫ﻓﻲ‬ ‫ﻳﺴﺎﻋﺪ‬ ‫ﺍﻻﻧﺘﺮﻧﺖ‬ 1
‫ﻳﺴﺎﻋﺪ‬ ‫ﺍﻟﺘﻮﺍﺻﻞ‬ ‫ﻭﺳﺎﺋﻞ‬ ‫ﺍﺳﺘﺨﺪﺍﻡ‬
‫ﻓﻲ‬
‫ﺍﻟﻌﻠﻤﻲ‬ ‫ﺍﻟﺒﺤﺚ‬ 2
‫ﺍ‬ ‫ﻗﺎﻋﺎﺕ‬ ‫ﺩﺍﺧﻞ‬ ‫ﺍﻟﺘﻘﻮﻳﻢ‬ ‫ﺃﺳﺎﻟﻴﺐ‬
‫ﻟﺘﺪﺭﻳﺲ‬
‫ﺍﻟﻄﺎﻟﺐ‬ ‫ﺗﻔﻴﺪ‬ 3
‫ﺍﻻﺳﺘﺒﺎﻧﺎﺕ‬ ‫ﺻﻼﺣﻴﺔ‬ ‫ﺩﺭﺍﺳﺔ‬ ‫ﻳﻤﻜﻦ‬ :‫ﻣﻼﺣﻈﺔ‬
Questionnaire Reliability Analysis
‫ﺑﺎﺳﺗﺧﺩﺍﻡ‬ ‫ﺍﻻﺣﺻﺎﺋﻲ‬ ‫ﺍﻟﺗﺣﻠﻳﻝ‬
SPSS
‫ﺩ‬
‫ﺳﻠﻁﺎﻥ‬ ‫ﺧﻠﻑ‬ .
31
‫ﺍﻟﺜﺎﻧﻲ‬ ‫ﺍﻟﺠﺰء‬
‫ﺑﺎﺳﺘﺨﺪﺍﻡ‬ ‫ﺍﻟﻮﺻﻔﻲ‬ ‫ﺍﻹﺣﺼﺎء‬
SPSS
)
2
-
1
(
‫ﻟﻠﻤﺘﻐﻴﺮﺍﺕ‬ ‫ﺍﻹﺣﺼﺎﺋﻴﺔ‬ ‫ﺍﻟﻤﻘﺎﻳﻴﺲ‬ ‫ﺇﻳﺠﺎﺩ‬
1
‫ﺍﻟﻤﺮﻛﺰﻳﺔ‬ ‫ﺍﻟﻨﺰﻋﺔ‬ ‫ﻣﻘﺎﻳﻴﺲ‬ .
(Measures of Central Tendency)
-
‫ﺍﻟﺤﺴﺎﺑﻲ‬ ‫ﺍﻟﻮﺳﻂ‬
mean
‫ﻫﻮ‬
‫ﻋﻦ‬ ‫ﻭﻋﺒﺎﺭﺓ‬ ‫ﻟﻠﺒﻴﺎﻧﺎﺕ‬ ‫ﺟﻴﺪ‬ ‫ﻣﻤﺜﻞ‬
.‫ﻋﺪﺩﻫﺎ‬ ‫ﻋﻠﻰ‬ ‫ﺍﻟﻌﺪﺩﻳﺔ‬ ‫ﺍﻟﻤﺸﺎﻫﺪﺍﺕ‬ ‫ﻣﺠﻤﻮﻉ‬ ‫ﺗﻘﺴﻴﻢ‬
-
‫ﺍﻟﻮﺳﻴﻂ‬
Median
‫ﻟﻠﺒﻴﺎﻧﺎﺕ‬ ‫ﻣﻜﺎﻧﻲ‬ ‫ﻣﺘﻮﺳﻂ‬ ‫ﻫﻮ‬
‫ﺣ‬
‫ﻳﻤﺜﻞ‬ ‫ﻴﺚ‬
‫ﻋﻨﻬﺎ‬ ‫ﻳﻘﻞ‬ ‫ﺍﻟﺘﻲ‬ ‫ﺍﻟﻘﻴﻤﺔ‬
50
‫ﺍﻟﻌﻴﻨﺔ‬ ‫ﻣﻔﺮﺩﺍﺕ‬ ‫ﻣﻦ‬ %
‫ﺗﺼﺎﻋﺪﻳﺎ‬ ‫ﺍﻟﻤﺮﺗﺒﺔ‬
.
-
‫ﺍﻟﻤﻨﻮﺍﻝ‬
Mode:
‫ﻫﻮ‬
.‫ﺗﻜﺮﺍﺭﺍ‬ ‫ﺍﻷﻛﺜﺮ‬ ‫ﺍﻟﻘﻴﻤﺔ‬
2
‫ﺍﻟﺘﺸﺘﺖ‬ ‫ﻣﻘﺎﻳﻴﺲ‬ .
(Measures of Dispersion)
-
‫ﺍﻟﻤﻌﻴﺎﺭﻱ‬ ‫ﺍﻻﻧﺤﺮﺍﻑ‬
Standard Deviation
‫ﺍﻟ‬ ‫ﺗﺸﺘﺖ‬ ‫ﻣﻘﺪﺍﺭ‬
‫ﻤﺸﺎﻫﺪﺍﺕ‬
‫ﻋﻦ‬
‫ﻣﻘﺎﺳﺎ‬ ‫ﺍﻟﺤﺴﺎﺑﻲ‬ ‫ﻭﺳﻄﻬﺎ‬
.‫ﻧﻔﺴﻬﺎ‬ ‫ﺍﻟﻤﺘﻐﻴﺮ‬ ‫ﺑﻮﺣﺪﺍﺕ‬
-
‫ﺍﻟﺘﺒﺎﻳﻦ‬
Variance
‫ﺍﻟﻤﻌﻴﺎﺭﻱ‬ ‫ﺍﻻﻧﺤﺮﺍﻑ‬ ‫ﻣﺮﺑﻊ‬
-
‫ﺍﻟﻤﺪﻯ‬
Range
‫ﺑﻴﻦ‬ ‫ﺍﻟﻔﺮﻕ‬
‫ﺃ‬
‫ﻭ‬ ‫ﻗﻴﻤﺔ‬ ‫ﻛﺒﺮ‬
‫ﺃ‬
‫ﺻﻐﺮ‬
‫ﺍﻟﺒﻴﺎﻧﺎﺕ‬ ‫ﻓﻲ‬ ‫ﻣﺸﺎﻫﺪﺓ‬
.
-
‫ﻗﻴﻤﺔ‬ ‫ﺍﻗﻞ‬
Minimum
-
‫ﺃﻛﺒﺮ‬
‫ﻗﻴﻤﺔ‬
Maximum
-
‫ﺍ‬
‫ﺍﻟﻤﻌﻴﺎﺭﻱ‬ ‫ﻟﺨﻄﺄ‬
S.E.mean
‫ﻓﻲ‬ ‫ﺍﻟﻤﻮﺟﻮﺩ‬ ‫ﺍﻟﺨﻄﺄ‬ ‫ﻣﻘﺪﺍﺭ‬
‫ﺗﻘﺪﻳﺮ‬
‫ﺍﻟﺤﺴﺎﺑﻲ‬ ‫ﺍﻟﻮﺳﻂ‬
‫ﻋﻴﻨﺔ‬ ‫ﺑﺎﺳﺘﺨﺪﺍﻡ‬
‫ﻟ‬ ‫ﻛﺘﻘﺪﻳﺮ‬ ‫ﺍﻟﺤﺴﺎﺑﻲ‬ ‫ﺍﻟﻮﺳﻂ‬ ‫ﺩﻗﺔ‬ ‫ﻋﻠﻰ‬ ‫ﺩﻻﻟﺔ‬ ‫ﻭﻫﻮ‬
‫ﻠ‬
‫ﻮﺳﻂ‬
‫ﺍﻟﺤﺴﺎﺑﻲ‬
.‫ﺍﻟﻤﺠﺘﻤﻊ‬
3
‫ﺍﻟﺘﻮﺯﻳﻊ‬ ‫ﺷﻜﻞ‬.
Distribution shape
-
‫ﺍﻻﻟﺘﻮﺍء‬
Skewness
:
‫ﻳﻌﻄﻰ‬
‫ﺗﻤﺮﻛﺰ‬ ‫ﻋﻦ‬ ‫ﻓﻜﺮﺓ‬ ‫ﺍﻻﻟﺘﻮﺍء‬ ‫ﻣﻘﻴﺎﺱ‬
‫ﻣﺸﺎﻫﺪﺍﺕ‬
‫ﻛ‬ ‫ﻣﺎ‬ ‫ﻓﺈﺫﺍ‬ ‫ﺍﻟﻤﺘﻐﻴﺮ‬
‫ﻫﺬﺍ‬ ‫ﻗﻴﻢ‬ ‫ﺎﻧﺖ‬
‫ﻧﺤﻮ‬ ‫ﻣﻠﺘﻮ‬ ‫ﺍﻟﻤﺘﻐﻴﺮ‬ ‫ﻫﺬﺍ‬ ‫ﺗﻮﺯﻳﻊ‬ ‫ﻓﺎﻥ‬ ‫ﺍﻟﻜﺒﻴﺮﺓ‬ ‫ﺍﻟﻘﻴﻢ‬ ‫ﺑﺎﺗﺠﺎﻩ‬ ‫ﺗﻤﺮﻛﺰﻫﺎ‬ ‫ﻣﻦ‬ ‫ﺃﻛﺜﺮ‬ ‫ﺍﻟﺼﻐﻴﺮﺓ‬ ‫ﺍﻟﻘﻴﻢ‬ ‫ﺑﺎﺗﺠﺎﻩ‬ ‫ﺗﺘﻤﺮﻛﺰ‬ ‫ﺍﻟﻤﺘﻐﻴﺮ‬
ً‫ﺎ‬‫ﺳﺎﻟﺒ‬ ‫ﻳﻜﻮﻥ‬ ‫ﺍﻻﻟﺘﻮﺍء‬ ‫ﻫﺬﺍ‬ ‫ﻓﺎﻥ‬ ‫ﺍﻟﻌﻜﺲ‬ ‫ﻛﺎﻥ‬ ‫ﺇﺫﺍ‬ ‫ﺃﻣﺎ‬ .‫ﻣﻮﺟﺒﺔ‬ ‫ﺍﻻﻟﺘﻮﺍء‬ ‫ﻗﻴﻤﺔ‬ ‫ﻭﺗﻜﻮﻥ‬ ‫ﺍﻻﻟﺘﻮﺍء‬ ‫ﻣﻮﺟﺐ‬ ‫ﻭﻳﺴﻤﻰ‬ ‫ﺍﻟﻴﻤﻴﻦ‬
‫ﺍﻻﻟﺘﻮﺍء‬ ‫ﻗﻴﻤﺔ‬ ‫ﻭﺗﻜﻮﻥ‬ ‫ﺍﻟﻴﺴﺎﺭ‬ ‫ﻧﺤﻮ‬ ٍ‫ﻮ‬‫ﻣﻠﺘ‬ ‫ﺃﻭ‬
‫ﻳﻜﻮﻥ‬ ‫ﺍﻟﺘﻮﺯﻳﻊ‬ ‫ﻓﺎﻥ‬ ً‫ﺍ‬‫ﺻﻔﺮ‬ ‫ﺍﻻﻟﺘﻮﺍء‬ ‫ﻣﻌﺎﻣﻞ‬ ‫ﻗﻴﻤﺔ‬ ‫ﻛﺎﻧﺖ‬ ‫ﺇﺫﺍ‬ ‫ﺃﻣﺎ‬ .‫ﺳﺎﻟﺒﺔ‬
.ً‫ﺎ‬‫ﻁﺒﻴﻌﻴ‬
‫ﺑﺎﺳﺗﺧﺩﺍﻡ‬ ‫ﺍﻻﺣﺻﺎﺋﻲ‬ ‫ﺍﻟﺗﺣﻠﻳﻝ‬
SPSS
‫ﺩ‬
‫ﺳﻠﻁﺎﻥ‬ ‫ﺧﻠﻑ‬ .
32
-
‫ﺃﻭ‬ ‫ﺍﻟﺘﻔﻠﻄﺢ‬
‫ﺍﻟﺘﻔﺮﻁﺢ‬
Kurtosis
‫ﺩﺭﺟﺔ‬ ‫ﺃﻳﻀﺎ‬ ‫ﻳﻤﺜﻞ‬ ‫ﻫﻮ‬ ‫ﻭ‬ ‫ﺍﻟﻤﺘﻐﻴﺮ‬ ‫ﻫﺬﺍ‬ ‫ﻁﺮﻓﻲ‬ ‫ﻋﻠﻰ‬ ‫ﺍﻟﻘﻴﻢ‬ ‫ﺗﻜﺮﺍﺭﺍﺕ‬ ‫ﻳﻤﺜﻞ‬ :
‫ﻗﻴﻤﺔ‬ ‫ﻛﺎﻧﺖ‬ ‫ﻓﺈﺫﺍ‬ .‫ﺍﻟﻄﺒﻴﻌﻲ‬ ‫ﻟﻠﺘﻮﺯﻳﻊ‬ ‫ﺑﺎﻟﻨﺴﺒﺔ‬ ‫ﺍﻟﺘﻮﺯﻳﻊ‬ ‫ﻗﻤﺔ‬ ‫ﻋﻠﻮ‬
‫ﺍﻟﺘﻔﻠﻄﺢ‬
‫ﻣﻨﺨ‬ ‫ﻗﻤﺔ‬ ‫ﻟﻠﺘﻮﺯﻳﻊ‬ ‫ﻛﺎﻧﺖ‬ ‫ﻛﺒﻴﺮﺓ‬
‫ﻔﻀﺔ‬
‫ﻭﻳﺴﻤﻰ‬
‫ﺃﻭ‬ ‫ﻣﺪﺑﺒﺎ‬ ‫ﺍﻟﺘﻮﺯﻳﻊ‬ ‫ﻭﻳﺴﻤﻰ‬ ‫ﻋﺎﻟﻴﺔ‬ ‫ﻗﻤﺔ‬ ‫ﻟﻠﺘﻮﺯﻳﻊ‬ ‫ﻓﺎﻥ‬ ‫ﺻﻐﻴﺮﺓ‬ ‫ﺍﻟﺘﻔﻠﻄﺢ‬ ‫ﻗﻴﻤﺔ‬ ‫ﻛﺎﻧﺖ‬ ‫ﺇﺫﺍ‬ ‫ﺇﻣﺎ‬ ،‫ﺍﻟﺘﻔﻠﻄﺢ‬ ‫ﻛﺒﻴﺮ‬ ‫ﺍﻟﺘﻮﺯﻳﻊ‬
.‫ﺍﻟﺘﻔﻠﻄﺢ‬ ‫ﻗﻠﻴﻞ‬
:‫ﻣﻼﺣﻈﺔ‬
-
‫ﻫﻮ‬ ‫ﺍﻻﻟﺘﻮﺍء‬ ‫ﻣﻌﺎﻣﻞ‬
‫ﺍﻧﺤﺮﺍﻑ‬ ‫ﻗﻴﻤﺔ‬ ‫ﻭﻟﻪ‬ ‫ﻣﺘﻤﺎﺛﻞ‬ ‫ﺍﻟﻄﺒﻴﻌﻲ‬ ‫ﺍﻟﺘﻮﺯﻳﻊ‬ .‫ﺍﻟﺘﻮﺯﻳﻊ‬ ‫ﻓﻲ‬ ‫ﺍﻟﺘﻤﺎﺛﻞ‬ ‫ﻟﻌﺪﻡ‬ ‫ﻣﻘﻴﺎﺱ‬
0
‫ﻭﺍﻟﺘﻮﺯﻳﻊ‬ .
‫ﺍﻟ‬ ‫ﺍﻹﻳﺠﺎﺑﻲ‬ ‫ﺍﻻﻧﺤﺮﺍﻑ‬ ‫ﺫﻭ‬
‫ﺫﻳﻞ‬ ‫ﻟﻪ‬ ‫ﻜﺒﻴﺮ‬
‫ﺍﻟﺴﺎﻟﺐ‬ ‫ﺍﻻﻧﺤﺮﺍﻑ‬ ‫ﺫﻭ‬ ‫ﺍﻟﺘﻮﺯﻳﻊ‬ .‫ﺍﻟﻴﻤﻴﻦ‬ ‫ﻧﺎﺣﻴﺔ‬ ‫ﻣﻦ‬ ‫ﻁﻮﻳﻞ‬
‫ﺫﻳﻞ‬ ‫ﻟﻪ‬ ‫ﺍﻟﻜﺒﻴﺮ‬
‫ﻁﻮﻳﻞ‬
‫ﺃﻛﺜﺮ‬ ‫ﻭﻟﺪﻗﺔ‬ .‫ﺍﻟﻴﺴﺎﺭ‬ ‫ﻧﺎﺣﻴﺔ‬ ‫ﻣﻦ‬
‫ﻗﻴﻤﺔ‬ ‫ﺃﺧﺬ‬ ‫ﻳﺘﻢ‬
‫ﻟﻼﻟﺘﻮﺍ‬ ‫ﺍﻟﻤﻌﻴﺎﺭﻱ‬ ‫ﺍﻟﺨﻄﺄ‬
‫ء‬
-
‫ﺍﻟﺘﻔﺮﻁﺢ‬
‫ﻫ‬
‫ﻮ‬
‫ﻭﻳﺸﻴﺮ‬ .‫ﺻﻔﺮ‬ ‫ﻫﻲ‬ ‫ﺍﻟﺘﻔﺮﻁﺢ‬ ‫ﺇﺣﺼﺎء‬ ‫ﻗﻴﻤﺔ‬ ،‫ﺍﻟﻄﺒﻴﻌﻲ‬ ‫ﻟﻠﺘﻮﺯﻳﻊ‬ .‫ﺍﻟﻤﺘﻄﺮﻓﺔ‬ ‫ﺍﻟﻘﻴﻢ‬ ‫ﻭﺟﻮﺩ‬ ‫ﻟﻤﺪﻯ‬ ‫ﻣﻘﻴﺎﺱ‬
‫ﺍﻹﻳﺠﺎﺑﻲ‬ ‫ﺍﻟﺘﻔﺮﻁﺢ‬
‫ﺍﻟﻄﺒﻴﻌﻲ‬ ‫ﺍﻟﺘﻮﺯﻳﻊ‬ ‫ﻣﻦ‬ ‫ﺎ‬ً‫ﻓ‬‫ﺗﻄﺮ‬ ‫ﺃﻛﺜﺮ‬ ‫ﺗﻈﻬﺮ‬ ‫ﺍﻟﺒﻴﺎﻧﺎﺕ‬ ‫ﺃﻥ‬ ‫ﺇﻟﻰ‬
‫ﺍﻟﺘﻔﺮﻁﺢ‬ ‫ﻳﺸﻴﺮ‬ . (‫ﺗﺸﺘﺖ‬ ‫)ﺍﻛﺜﺮ‬
‫ﺍﻟﺴﺎﻟﺐ‬
‫ﺍﻟﻄﺒﻴﻌﻲ‬ ‫ﺍﻟﺘﻮﺯﻳﻊ‬ ‫ﻣﻦ‬ ‫ﺎ‬ً‫ﻓ‬‫ﺗﻄﺮ‬ ‫ﺃﻗﻞ‬ ‫ﻣﺘﻄﺮﻓﺔ‬ ‫ﻗﻴﻢ‬ ‫ﻋﻠﻰ‬ ‫ﺗﺤﺘﻮﻱ‬ ‫ﺍﻟﺒﻴﺎﻧﺎﺕ‬ ‫ﺃﻥ‬ ‫ﺇﻟﻰ‬
(‫ﺗﺸﺘﺖ‬ ‫)ﺍﻗﻞ‬
-
‫ﺃﻛﺜﺮ‬ ‫ﻭﻟﺪﻗﺔ‬
‫ﻗﻴﻤﺔ‬ ‫ﺃﺧﺬ‬ ‫ﻳﺘﻢ‬
‫ﻟﻼﻟﺘﻮﺍ‬ ‫ﺍﻟﻤﻌﻴﺎﺭﻱ‬ ‫ﺍﻟﺨﻄﺄ‬
‫ء‬
:‫ﻳﻠﻲ‬ ‫ﻛﻤﺎ‬ ‫ﻭﺍﻟﺘﻔﺮﻁﺢ‬
‫ﺑﺎﺳﺗﺧﺩﺍﻡ‬ ‫ﺍﻻﺣﺻﺎﺋﻲ‬ ‫ﺍﻟﺗﺣﻠﻳﻝ‬
SPSS
‫ﺩ‬
‫ﺳﻠﻁﺎﻥ‬ ‫ﺧﻠﻑ‬ .
33
‫ﺍﻟﻤﻌﺎﻣﻞ‬
‫ﺍﻟﻤﻌﻴﺎﺭ‬
‫ﺍﻻﺗﺠﺎﻩ‬
‫ﺍﻻﻟﺘﻮﺍء‬
‫ﺍﻟﻤﻄﻠﻘﺔ‬ ‫ﺍﻟﻘﻴﻤﻴﺔ‬
‫ﻟﻼﻟﺘﻮﺍء‬
‫ﻣﻦ‬ ‫ﺍﻛﺒﺮ‬
3
‫ﺍﺿﻌﺎﻑ‬
‫ﺍﻟﺨﻄﺄ‬
‫ﺍﻟﻤﻌﻴﺎﺭﻱ‬
‫ﻟﻼﻟﺘﻮﺍء‬
‫ﻳ‬
‫ﻭﺗﺤﺪﺩ‬ ‫ﺍﻟﺘﻮﺍء‬ ‫ﻮﺟﺪ‬
‫ﺍﺗﺠﺎﻫﻪ‬ ‫ﺍﺷﺎﺭﺗﻪ‬
‫ﺍﻟﺘﻔﺮﻁﺢ‬
‫ﺍﻟﻤﻄﻠﻘﺔ‬ ‫ﺍﻟﻘﻴﻤﻴﺔ‬
‫ﻟﻠﺘﻔﺮﻁﺢ‬
‫ﻣﻦ‬ ‫ﺍﻛﺒﺮ‬
3
‫ﺍﺿﻌﺎﻑ‬
‫ﺍﻟﺨﻄﺄ‬
‫ﺍﻟﻤﻌﻴﺎﺭﻱ‬
‫ﻟﻠﺘﻔﺮﻁﺢ‬
‫ﻳ‬
‫ﻭﺗﺤﺪﺩ‬ ‫ﺗﻔﺮﻁﺢ‬ ‫ﻮﺟﺪ‬
‫ﺍﺗﺠﺎﻫﻪ‬ ‫ﺍﺷﺎﺭﺗﻪ‬
-
‫ﺍﻟﺮﺑﻴﻌﻴﺎﺕ‬
Quartiles
‫ﻓﻮﺍﺻﻞ‬ ‫ﺛﻼﺛﺔ‬ ‫ﻋﻦ‬ ‫ﻋﺒﺎﺭﺓ‬ ‫ﻭﻫﻲ‬
‫ﺃﺭﺑﺎﻉ‬ ‫ﺃﺭﺑﻌﺔ‬ ‫ﺇﻟﻰ‬ ‫ﺍﻟﺒﻴﺎﻧﺎﺕ‬ ‫ﺗﻘﺴﻴﻢ‬
‫ﻣﺘﺴﺎﻭﻳ‬
‫ﺔ‬
-
‫ﺍﻟﻤﺌﻴﻨﺎﺕ‬
Percentile(s)
‫ﻫﻲ‬
‫ﻋﻦ‬ ‫ﻋﺒﺎﺭﺓ‬
99
‫ﻓﺎﺻﻞ‬
‫ﺇﻟﻰ‬ ‫ﺍﻟﺒﻴﺎﻧﺎﺕ‬ ‫ﺗﻘﺴﻴﻢ‬
.‫ﻣﺘﺴﺎﻭﻳﺔ‬ ‫ﺟﺰء‬ ‫ﻣﺎﺋﺔ‬
‫ﻭﺟﻤﻴﻊ‬ ‫ﺍﻟﺘﻄﺒﻴﻘﺎﺕ‬ ‫ﻓﻲ‬ ‫ﺘﺨﺪﺍﻣﺎ‬‫ﺍﺳ‬ ‫ﻭﺃﻛﺜﺮﻫﺎ‬ ‫ﺃﻫﻤﻬﺎ‬ ‫ﻫﻨﺎ‬ ‫ﺘﻌﺮﺽ‬‫ﻧﺴ‬ ‫ﻮﻑ‬‫ﺳ‬ ‫ﻟﻠﺒﻴﺎﻧﺎﺕ‬ ‫ﻔﻲ‬‫ﺍﻟﻮﺻ‬ ‫ﻟﻠﺘﺤﻠﻴﻞ‬ ‫ﺇﺟﺮﺍءﺍﺕ‬ ‫ﻋﺪﺓ‬ ‫ﻫﻨﺎﻙ‬
‫ﺍﻟﺨﻴﺎﺭ‬ ‫ﺗﺤﺖ‬ ‫ﻣﻮﺟﻮﺩ‬ ‫ﺍﻹﺟﺮﺍءﺍﺕ‬ ‫ﻫﺬﻩ‬
Analyze
:‫ﻛﺎﻟﺘﺎﻟﻲ‬
‫ﺑﺎﺳﺗﺧﺩﺍﻡ‬ ‫ﺍﻻﺣﺻﺎﺋﻲ‬ ‫ﺍﻟﺗﺣﻠﻳﻝ‬
SPSS
‫ﺩ‬
‫ﺳﻠﻁﺎﻥ‬ ‫ﺧﻠﻑ‬ .
34
)
2
-
2
(
‫ﺍﻟﺘﻘﺎﺭﻳﺮ‬
Reports
:‫ﻫﻲ‬ ‫ﻓﺮﻋﻴﺔ‬ ‫ﺇﺟﺮﺍءﺍﺕ‬ ‫ﻋﺪﺓ‬ ‫ﺍﻹﺟﺮﺍء‬ ‫ﻫﺬﺍ‬ ‫ﺗﺤﺖ‬ ‫ﻳﻨﺪﺭﺝ‬
‫ﺍ‬ ‫ﻳﻤﻜﻦ‬
‫ﺍﻟﻤﺆﺷﺮﺍﺕ‬ ‫ﻻﺳﺘﺨﺮﺍﺝ‬ ‫ﺍﻹﺟﺮﺍء‬ ‫ﻫﺬﺍ‬ ‫ﺳﺘﺨﺪﻡ‬
‫ﻟﻠﺒﻴﺎﻧﺎﺕ‬ ‫ﺍﻟﻮﺻﻔﻴﺔ‬
‫ﺍﻟﻤﻮﺟﻮﺩﺓ‬
‫ﺑ‬
‫ﺻﻔﻮﻑ‬ ‫ﻣﻦ‬ ‫ﻣﻜﻮﻧﺔ‬ ‫ﻣﺘﻘﺎﻁﻌﺔ‬ ‫ﺠﺪﺍﻭﻝ‬
.‫ﻭﺃﻋﻤﺪﺓ‬
‫ﺗﻄﺒﻴﻖ‬
)
3
(
‫ﺑﻴﺎﻧﺎﺕ‬ ‫ﻓﻲ‬
‫ﺍﻟﻤﻠﻒ‬
Application-2.sav
‫ﺣﻤﻠ‬ ‫ﻣﻦ‬ ‫ﺍﻟﻔﺌﺎﺕ‬ ‫ﻟﺒﻌﺾ‬ ‫ﺍﻹﺣﺼﺎﺋﻴﺔ‬ ‫ﺍﻟﻤﻘﺎﻳﻴﺲ‬ ‫ﺑﻌﺾ‬ ‫ﺇﺟﺮﺍء‬ ‫ﺃﺭﺩﻧﺎ‬ ‫ﺇﺫﺍ‬
‫ﺔ‬
‫ﻣﻦ‬ ‫ﺍﻗﻞ‬ ‫ﺧﺒﺮﺓ‬ ‫ﺳﻨﻮﺍﺕ‬ ‫ﺍﻟﺬﻳﻦ‬ ‫ﺃﻭ‬ ‫ﺍﻟﺒﻜﺎﻟﻮﺭﻳﻮﺱ‬ ‫ﺣﻤﻠﺔ‬ ‫ﺃﻭ‬ ‫ﻣﺜﻼ‬ ‫ﺍﻟﻤﺎﺟﺴﺘﻴﺮ‬
5
‫ﺑﻜﺎﻟﻮﺭﻳﻮﺱ‬ ‫ﺍﻟﻌﻠﻤﻴﺔ‬ ‫ﻣﺆﻫﻼﺗﻬﻢ‬ ‫ﺍﻟﺬﻳﻦ‬ ‫ﺃﻭ‬ ‫ﺳﻨﻮﺍﺕ‬
‫ﻣﻦ‬ ‫ﺍﻟﺘﻌﻠﻴﻢ‬ ‫ﻓﻲ‬ ‫ﻭﺧﺪﻣﺘﻬﻢ‬
5
‫ﺇﻟﻰ‬ ‫ﺳﻨﻮﺍﺕ‬
10
‫ﺑﻴﻦ‬ ‫ﺗﻘﺎﻁﻊ‬ ‫ﻟﻜﻞ‬ ‫ﺍﻹﺣﺼﺎﺋﻴﺔ‬ ‫ﺍﻟﻤﻘﺎﻳﻴﺲ‬ ‫ﺇﺟﺮﺍء‬ ‫ﺃﺭﺩﻧﺎ‬ ‫ﺃﻭ‬ ‫ﺳﻨﻮﺍﺕ‬
‫ﺍﻟﺨﺒﺮﺓ‬ ‫ﻓﺌﺎﺕ‬
‫ﺍﻟﻤﺆﻫﻞ‬ ‫ﻭﻓﺌﺎﺕ‬
‫ﺍﻟﻌﻠﻤﻲ‬
‫ﻧﺘﺒﻊ‬
:‫ﺍﻟﺘﺎﻟﻴﺔ‬ ‫ﺍﻟﺨﻄﻮﺍﺕ‬
1
-
‫ﺍﻟﻘﺎﺋﻤﺔ‬ ‫ﻣﻦ‬
Analyze
‫ﻧﺨﺘﺎﺭ‬
Report
‫ﺍﺧﺘﺮ‬ ‫ﻓﺮﻋﻴﺔ‬ ‫ﻗﺎﺋﻤﺔ‬ ‫ﻟﺘﻈﻬﺮ‬
OLAP Cubes
‫ﺍﺧﺘﺼﺎﺭ‬ ‫ﻭﻫﻲ‬
‫ﻟـ‬
Online Analytical Processing Cubes
.(‫ﺍﻟﻜﻤﻲ‬ ‫ﻟﻠﻤﺤﺘﻮﻯ‬ ‫ﺍﻟﺘﻔﺎﻋﻠﻲ‬ ‫ﺍﻟﺘﺤﻠﻴﻞ‬ ‫)ﻋﻤﻠﻴﺎﺕ‬
‫ﺑﺎﺳﺗﺧﺩﺍﻡ‬ ‫ﺍﻻﺣﺻﺎﺋﻲ‬ ‫ﺍﻟﺗﺣﻠﻳﻝ‬
SPSS
‫ﺩ‬
‫ﺳﻠﻁﺎﻥ‬ ‫ﺧﻠﻑ‬ .
35
2
-
‫ﺃﺳﻔﻞ‬ ‫ﺍﻟﻤﺴﺘﻄﻴﻞ‬ ‫ﻓﻲ‬ ‫ﺍﺩﺧﻞ‬
Summary Variable(s)
‫ﺍﻟﻤﺘﻐﻴﺮ‬
"
Salary_1
‫ﻭﺍﻟﻤﺘﻐﻴﺮ‬ "
"
Salary now
‫ﻭﺍﺩﺧﻞ‬ "
‫ﺍﻟﻤﺴﺘﻄﻴﻞ‬ ‫ﻓﻲ‬
‫ﺃﺳﻔﻞ‬
Grouping Variable (s)
ُ" ‫ﻭﺍﻟﻤﺘﻐﻴﺮﺍﻥ‬
Education
" ‫ﻭ‬ "
Experience
‫ﻛﻤﺎ‬ "
‫ﻧ‬
‫ﻼﺣﻆ‬
.‫ﺑﺎﻟﺸﻜﻞ‬
3
-
‫ﻋﻠﻰ‬ ‫ﺍﺿﻐﻂ‬
Statistics...
:‫ﺍﻟﺘﺎﻟﻲ‬ ‫ﺍﻟﺤﻮﺍﺭ‬ ‫ﻣﺮﺑﻊ‬ ‫ﻟﻴﻈﻬﺮ‬
‫ﺑﺎﺳﺗﺧﺩﺍﻡ‬ ‫ﺍﻻﺣﺻﺎﺋﻲ‬ ‫ﺍﻟﺗﺣﻠﻳﻝ‬
SPSS
‫ﺩ‬
‫ﺳﻠﻁﺎﻥ‬ ‫ﺧﻠﻑ‬ .
36
‫ﺗ‬ ‫ﺍﻟﺘﻲ‬ ‫ﺍﻹﺣﺼﺎﺋﻴﺔ‬ ‫ﺍﻟﻤﻘﺎﻳﻴﺲ‬ ‫ﺍﺧﺘﺮ‬
‫ﺍﻟﺪﺭﺍﺳﺔ‬ ‫ﻗﻴﺪ‬ ‫ﻟﻠﻤﺸﻜﻠﺔ‬ ‫ﻣﻨﺎﺳﺒﺔ‬ ‫ﺮﺍﻫﺎ‬
‫ﺍﻟﺤﺴﺎﺑﻲ‬ ‫ﺍﻟﻮﺳﻂ‬ ‫ﻣﺜﻞ‬
Mean
‫ﺍﻟﻤﻌﻴﺎﺭﻱ‬ ‫ﻭﺍﻻﻧﺤﺮﺍﻑ‬
Standard Deviation
‫ﻗﻴﻤﺔ‬ ‫ﺍﻗﻞ‬ ‫ﻭ‬
Minimum
‫ﻗﻴﻤﺔ‬ ‫ﻭﺍﻛﺒﺮ‬
Maximum
‫ﻭﺍﻟﻤﺠﻤﻮﻉ‬
Sum
‫ﺍﻟﺤﺎﻻﺕ‬ ‫ﻭﻋﺪﺩ‬
Number of Cases
‫ﺃﺳﻔﻞ‬ ‫ﺍﻟﻤﺴﺘﻄﻴﻞ‬ ‫ﻓﻲ‬ ‫ﺍﺩﺧﻠﻬﺎ‬ ‫ﺛﻢ‬ ‫ﻭﻏﻴﺮﻫﺎ‬
Cell Statistics
‫ﺍﺿﻐﻂ‬ ‫ﺛﻢ‬
Continue
‫ﺇﻟﻰ‬ ‫ﻟﺘﻌﻮﺩ‬
‫ﺍﻟﺴﺎﺑﻖ‬ ‫ﺍﻟﺤﻮﺍﺭ‬ ‫ﻣﺮﺑﻊ‬
OLAP Cubes
.
4
-
‫ﻟﻠﺠﺪ‬ ‫ﻋﻨﻮﺍﻥ‬ ‫ﻛﺘﺎﺑﺔ‬ ‫ﺃﺭﺩﺕ‬ ‫ﺇﺫﺍ‬
‫ﻋﻠﻰ‬ ‫ﺍﺿﻐﻂ‬ ‫ﻭﻝ‬
Title
:‫ﺍﻟﺘﺎﻟﻲ‬ ‫ﺍﻟﺤﻮﺍﺭ‬ ‫ﻣﺮﺑﻊ‬ ‫ﻓﻴﻈﻬﺮ‬
‫ﻋﻠﻰ‬ ‫ﺣﺎﻝ‬ ‫ﻛﻞ‬ ‫ﻋﻠﻰ‬ ‫ﺍﺿﻐﻂ‬ ‫ﻭﺇﻻ‬ ‫ﺃﺭﺩﺕ‬ ‫ﺇﺫﺍ‬ ‫ﻣﻨﺎﺳﺐ‬ ‫ﻋﻨﻮﺍﻥ‬ ‫ﺍﻛﺘﺐ‬
Continue
‫ﺛﻢ‬
Ok
‫ﺑﺎﺳﺗﺧﺩﺍﻡ‬ ‫ﺍﻻﺣﺻﺎﺋﻲ‬ ‫ﺍﻟﺗﺣﻠﻳﻝ‬
SPSS
‫ﺩ‬
‫ﺳﻠﻁﺎﻥ‬ ‫ﺧﻠﻑ‬ .
37
:‫ﺍﻟﺘﺎﻟﻴﺔ‬ ‫ﺍﻟﻨﺘﺎﺋﺞ‬ ‫ﻟﺘﻈﻬﺮ‬
OLAP Cubes
Education Level: Total
Experience: Total
Sum N Mean Std. Deviation % of Total Sum % of Total N
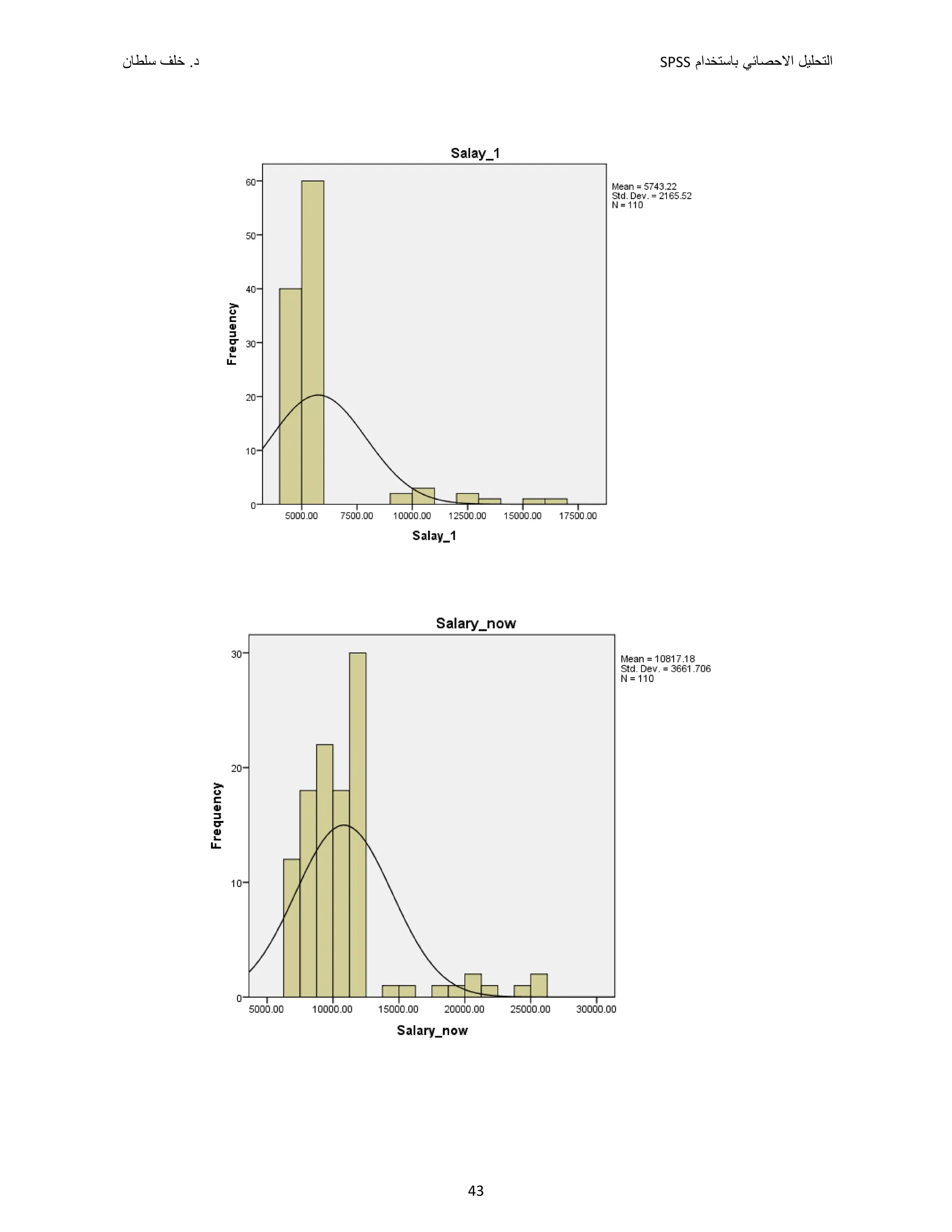
Salay_1 631754.00 110 5743.2182 2165.51998 100.0% 100.0%
Salary_now 1189890.00 110 10817.1818 3661.70570 100.0% 100.0%
‫ﺑﺪﺍﻳﺔ‬ ‫ﻓﻲ‬ ‫ﺍﻟﺮﻭﺍﺗﺐ‬ ‫ﻣﺘﻮﺳﻂ‬ ‫ﺍﻟﺴﺎﺑﻖ‬ ‫ﺍﻟﺠﺪﻭﻝ‬ ‫ﻓﻲ‬
‫ﺍﻟﻌﻤﻞ‬
5743.22
‫ﻭﺣﺎﻟﻴﺎ‬
10817.19
‫ﻭﻫﺬﺍ‬ ‫ﻣﺠﺘﻤﻌﺔ‬ ‫ﺍﻟﻄﺒﻘﺎﺕ‬ ‫ﻟﻜﻞ‬
.‫ﺍﻹﺣﺼﺎﺋﻴﺔ‬ ‫ﺍﻟﻤﻘﺎﻳﻴﺲ‬ ‫ﺑﺎﻗﻲ‬ ‫ﻋﻠﻰ‬ ‫ﻳﻨﻄﺒﻖ‬
‫ﻭﻟﻜ‬
‫ﺍﻟﻨﺘﺎﺋﺞ‬ ‫ﻋﻠﻰ‬ ‫ﻣﺘﺘﺎﻟﻴﺘﻴﻦ‬ ‫ﻣﺮﺗﻴﻦ‬ ‫ﻧﻀﻐﻂ‬ ‫ﻓﺈﻧﻨﺎ‬ ‫ﻓﻘﻂ‬ ‫ﺍﻟﺒﻜﺎﻟﻮﺭﻳﻮﺱ‬ ‫ﺣﻤﻠﺔ‬ ‫ﻟﺮﻭﺍﺗﺐ‬ ‫ﺍﻟﺤﺴﺎﺑﻲ‬ ‫ﺍﻟﻤﺘﻮﺳﻂ‬ ‫ﺇﻳﺠﺎﺩ‬ ‫ﺃﺭﺩﺕ‬ ‫ﺇﺫﺍ‬ ‫ﻦ‬
‫ﺍﻟﺘﺎﻟﻲ‬ ‫ﺍﻟﺸﻜﻞ‬ ‫ﻟﻴﻈﻬﺮ‬ (‫ﺍﻟﺘﻔﺎﻋﻠﻴﺔ‬ ‫ﺍﻟﻌﻤﻠﻴﺎﺕ‬ :‫ﺍﻟﺘﺴﻤﻴﺔ‬ ‫ﺳﺒﺐ‬ ‫)ﻭﻫﺬﺍ‬
:
" ‫ﻟﻠﻤﺘﻐﻴﺮ‬ ‫ﺍﻟﻤﻘﺎﺑﻞ‬ ‫ﺍﻟﺴﻬﻢ‬ ‫ﻋﻠﻰ‬ ‫ﺍﺿﻐﻂ‬
Edu
‫ﺍﺧﺘﺮ‬ ‫ﺛﻢ‬ "
Master
‫ﺑﺪﺍﻳ‬ ‫ﻓﻲ‬ ‫ﺍﻟﻤﺎﺟﺴﺘﻴﺮ‬ ‫ﺣﻤﻠﺔ‬ ‫ﺭﻭﺍﺗﺐ‬ ‫ﻣﻌﺪﻝ‬ ‫ﺃﻥ‬ ‫ﺗﻼﺣﻆ‬
‫ﺔ‬
‫ﻳﺴﺎﻭﻱ‬ ‫ﺍﻟﻌﻤﻞ‬
5749.16
.‫﷼‬
‫ﺑﺎ‬
‫ﻟ‬
‫ﻤﺜﻞ‬
‫ﺍﻹﺣﺼﺎﺋﻴﺔ‬ ‫ﺍﻟﻤﻘﺎﻳﻴﺲ‬ ‫ﺇﻳﺠﺎﺩ‬ ‫ﺃﺭﺩﻧﺎ‬ ‫ﺇﺫﺍ‬
‫ﻟﺮﻭﺍﺗﺐ‬
‫ﺧﺒﺮﺗﻬﻢ‬ ‫ﺍﻟﺬﻳﻦ‬ ‫ﺍﻟﺒﻜﺎﻟﻮﺭﻳﻮﺱ‬ ‫ﻟﺤﻤﻠﺔ‬
5
-
10
‫ﺍﻟﻨﺘﺎﺋﺞ‬ ‫ﻋﻠﻰ‬ ‫ﻧﻀﻐﻂ‬
‫ﻟﻠﻤﺘﻐﻴﺮ‬ ‫ﺍﻟﻤﻘﺎﺑﻞ‬ ‫ﺍﻟﺴﻬﻢ‬ ‫ﺯﺭ‬ ‫ﻋﻠﻰ‬ ‫ﻧﻀﻐﻂ‬ ‫ﺛﻢ‬ ‫ﻣﺘﺘﺎﻟﻴﺘﻴﻦ‬ ‫ﺿﻐﻄﺘﻴﻦ‬
Exp
" ‫ﻭﻧﺨﺘﺎﺭ‬ ‫ﺍﻟﺨﺒﺮﺓ‬
5
-
10
"
‫ﻣﺘﻮﺳﻂ‬ ‫ﻋﻠﻰ‬ ‫ﻓﻨﺤﺼﻞ‬
‫ﺍﻟﺮﻭﺍﺗﺐ‬
10675.19
.
‫ﺗﺪﺭﻳﺐ‬
-
‫ﺍ‬ ‫ﻳﻤﻜﻦ‬
‫ﺟﺮﺍء‬
case summaries
‫ﻟﺒﻴﺎﻧﺎﺕ‬
Application-3.sav
-
‫ﺍﺟﺮﺍء‬ ‫ﻳﻤﻜﻦ‬
OLAP analysis
‫ﺍﻟﻤﺪﺍﺭﺱ‬ ‫ﻟﺒﻴﺎﻧﺎﺕ‬
schools.sav
‫ﺑﺎﺳﺗﺧﺩﺍﻡ‬ ‫ﺍﻻﺣﺻﺎﺋﻲ‬ ‫ﺍﻟﺗﺣﻠﻳﻝ‬
SPSS
‫ﺩ‬
‫ﺳﻠﻁﺎﻥ‬ ‫ﺧﻠﻑ‬ .
38
)
3
-
2
‫ﺍﻟﻮﺻﻔﻲ‬ ‫ﺍﻹﺣﺼﺎء‬ (
Descriptive Statistics
‫ﺍﻟﻤﺴﺎﺭ‬ ‫ﺑﺎﺳﺘﺨﺪﺍﻡ‬ ‫ﺍﻟﻮﺻﻔﻲ‬ ‫ﺍﻹﺣﺼﺎء‬ ‫ﺗﻨﻔﻴﺬ‬ ‫ﻳﺘﻢ‬
Analyze  Descriptive Statistics
‫ﺍﻟﺘﺎﻟﻴﺔ‬ ‫ﺑﺎﻟﺸﺎﺷﺔ‬ ‫ﻣﻮﺿﺢ‬ ‫ﻫﻮ‬ ‫ﻛﻤﺎ‬
)
1
-
3
-
2
‫ﺍﻟﻤﻘﻄﻌﻲ‬ ‫ﺍﻟﺠﺪﻭﻝ‬ ‫ﺇﻧﺸﺎء‬ (
Crosstabs
‫ﻹﻧﺸﺎء‬
‫ﺍﻟ‬ ‫ﺍﻟﺠﺪﻭﻝ‬
‫ﻤ‬
‫ﻘ‬
:‫ﺍﻟﺘﺎﻟﻴﺔ‬ ‫ﺍﻟﺨﻄﻮﺍﺕ‬ ‫ﺍﺗﺒﻊ‬ ‫ﻄﻌﻲ‬
1
.
‫ﺍﻟﻘﺎﺋﻤﺔ‬ ‫ﻣﻦ‬
Analyze
‫ﺍﺧﺘﺮ‬
Descriptive Statistics
‫ﺍﺧﺘﺮ‬ ‫ﺍﻟﻔﺮﻋﻴﺔ‬ ‫ﺍﻟﻘﺎﺋﻤﺔ‬ ‫ﻭﻣﻦ‬
Crosstabs
‫ﺑﺎﻟﺸﻜﻞ‬ ‫ﻛﻤﺎ‬
‫ﺍﻟﺘﺎﻟﻲ‬
‫ﻓﻴﻈﻬﺮ‬
‫ﺍﻟﺤﻮﺍﺭ‬ ‫ﻣﺮﺑﻊ‬
Crosstabs
‫ﺑﺎﺳﺗﺧﺩﺍﻡ‬ ‫ﺍﻻﺣﺻﺎﺋﻲ‬ ‫ﺍﻟﺗﺣﻠﻳﻝ‬
SPSS
‫ﺩ‬
‫ﺳﻠﻁﺎﻥ‬ ‫ﺧﻠﻑ‬ .
39
2
.
‫"ﺍﻟﻤﺆﻫﻞ‬ ‫ﻣﺘﻐﻴﺮ‬ ‫ﺍﺩﺧﻞ‬
"‫ﺍﻟﻌﻠﻤﻲ‬
‫ﺃﺳﻔﻞ‬ ‫ﺍﻟﻤﺴﺘﻄﻴﻞ‬ ‫ﻓﻲ‬
Row(s)
‫ﺃﺳﻔﻞ‬ ‫ﺍﻟﻤﺴﺘﻄﻴﻞ‬ ‫ﻓﻲ‬ " ‫ﺍﻟﺨﺒﺮﺓ‬ " ‫ﻭﻣﺘﻐﻴﺮ‬
Column(s)
‫ﺑﺠﺎﻧﺐ‬ ‫ﺍﻟﻤﺮﺑﻊ‬ ‫ﺩﺍﺧﻞ‬ ‫ﺍﺿﻐﻂ‬
Display clustered bar charts
‫ﺍﻟﺰﺭ‬ ‫ﻋﻠﻰ‬ ‫ﺍﺿﻐﻂ‬ ‫ﺛﻢ‬ ،
Cells
‫ﻣﺮﺑﻊ‬ ‫ﻳﻈﻬﺮ‬
:‫ﺍﻟﺘﺎﻟﻲ‬ ‫ﺍﻟﺤﻮﺍﺭ‬
3
.
‫ﺑﺠﺎﻧﺐ‬ ‫ﺍﻟﻤﻮﺟﻮﺩﺓ‬ ‫ﺍﻟﻤﺮﺑﻌﺎﺕ‬ ‫ﺩﺍﺧﻞ‬ ‫ﺍﺿﻐﻂ‬
Row
‫ﻭ‬
Column
‫ﺍﻟﻤﺴﺘﻄﻴﻞ‬ ‫ﻓﻲ‬
Percentage
‫ﻋﻠﻰ‬ ‫ﺍﺿﻐﻂ‬ ‫ﺛﻢ‬ .
Continue
‫ﺍﺿﻐﻂ‬ ‫ﺛﻢ‬
Ok
:‫ﺍﻟﺘﺎﻟﻴﺔ‬ ‫ﺍﻟﻨﺘﺎﺋﺞ‬ ‫ﺗﻈﻬﺮ‬
‫ﺑﺎﺳﺗﺧﺩﺍﻡ‬ ‫ﺍﻻﺣﺻﺎﺋﻲ‬ ‫ﺍﻟﺗﺣﻠﻳﻝ‬
SPSS
‫ﺩ‬
‫ﺳﻠﻁﺎﻥ‬ ‫ﺧﻠﻑ‬ .
40
Education Level * Experience Cross tabulation
Experience Total
<5 50-10 >10
Education Level
Bachelor
Count 12 32 9 53
% within Education Level 22.6% 60.4% 17.0% 100.0%
% within Experience 35.3% 58.2% 42.9% 48.2%
% of Total 10.9% 29.1% 8.2% 48.2%
Master
Count 22 23 12 57
% within Education Level 38.6% 40.4% 21.1% 100.0%
% within Experience 64.7% 41.8% 57.1% 51.8%
% of Total 20.0% 20.9% 10.9% 51.8%
Total
Count 34 55 21 110
% within Education Level 30.9% 50.0% 19.1% 100.0%
% within Experience 100.0% 100.0% 100.0% 100.0%
% of Total 30.9% 50.0% 19.1% 100.0%
4.
‫ﺑﺎﺳﺗﺧﺩﺍﻡ‬ ‫ﺍﻻﺣﺻﺎﺋﻲ‬ ‫ﺍﻟﺗﺣﻠﻳﻝ‬
SPSS
‫ﺩ‬
‫ﺳﻠﻁﺎﻥ‬ ‫ﺧﻠﻑ‬ .
41
4
‫ﻧﻼﺣﻆ‬ ‫ﺍﻟﺴﺎﺑﻘﺔ‬ ‫ﺍﻟﻨﺘﺎﺋﺞ‬ ‫ﻣﻦ‬ .
‫ﺍﻧﻪ‬
"‫"ﺍﻟﺒﻜﺎﻟﻮﺭﻳﻮﺱ‬ ‫ﺗﻘﺎﻁﻊ‬ ‫ﺍﻷﻭﻟﻰ‬ ‫ﺍﻟﺨﻠﻴﺔ‬ ‫ﻓﻲ‬ ‫ﺍﻟﻘﻴﻢ‬ ‫ﺍﻟﻤﺜﺎﻝ‬ ‫ﺳﺒﻴﻞ‬ ‫ﻋﻠﻰ‬ ‫ﻗﻴﻢ‬ ‫ﺛﻼﺙ‬ ‫ﺧﻠﻴﺔ‬ ‫ﻛﻞ‬ ‫ﻓﻲ‬
‫ﻣﻦ‬ ‫"ﺍﻗﻞ‬ ‫ﻣﻊ‬
5
‫ﺳﻨﻮﺍﺕ‬
"
‫ﺍﻟﺮﻗﻢ‬
12
‫ﻋﻠﻰ‬ ‫ﻳﺪﻝ‬
‫ﻋﺪﺩ‬
‫ﻣﻦ‬ ‫ﺃﻗﻞ‬ ‫ﺍﻟﺘﺪﺭﻳﺐ‬ ‫ﻓﻲ‬ ‫ﻭﺧﺒﺮﺗﻬﻢ‬ ‫ﺍﻟﺒﻜﺎﻟﻮﺭﻳﻮﺱ‬ ‫ﺣﻤﻠﺔ‬
5
‫ﻭﺍﻟﻨﺴﺒﺔ‬ ‫ﺳﻨﻮﺍﺕ‬
26.6
‫ﻭﺧﺒﺮﺗﻬ‬ ‫ﺍﻟﺒﻜﺎﻟﻮﺭﻳﻮﺱ‬ ‫ﺣﻤﻠﺔ‬ ‫ﻧﺴﺒﺔ‬ ‫ﺃﻥ‬ ‫ﺗﻌﻨﻲ‬ %
‫ﻣﻦ‬ ‫ﺃﻗﻞ‬ ‫ﺍﻟﺘﺪﺭﻳﺲ‬ ‫ﻓﻲ‬ ‫ﻢ‬
5
‫ﺗﺴﺎﻭﻱ‬ ‫ﺳﻨﻮﺍﺕ‬
26.6
‫ﻭﺍﻟﻨﺴﺒﺔ‬ %
35.3
%
‫ﻣﻦ‬ ‫ﺃﻗﻞ‬ ‫ﻭﺧﺒﺮﺗﻬﻢ‬ ‫ﻟﺪﻳﻬﻢ‬ ‫ﺍﻟﺘﺪﺭﻳﺲ‬ ‫ﻭﺧﺒﺮﺓ‬ ‫ﺍﻟﺒﻜﺎﻟﻮﺭﻳﻮﺱ‬ ‫ﺣﻤﻠﺔ‬ ‫ﻧﺴﺒﺔ‬ ‫ﺃﻥ‬ ‫ﺗﻌﻨﻲ‬
5
‫ﺗﺴﺎﻭﻱ‬ ‫ﺳﻨﻮﺍﺕ‬
35.3
‫ﻫﻨﺎﻙ‬ ‫ﺃﻥ‬ ‫ﺃﻱ‬ %
.‫ﺍﻟﻌﻤﻮﺩ‬ ‫ﺿﻤﻦ‬ ‫ﻟﻠﻤﺸﺎﻫﺪﺍﺕ‬ ‫ﻣﺌﻮﻳﺔ‬ ‫ﻭﻧﺴﺒﺔ‬ ‫ﺍﻟﺼﻒ‬ ‫ﺿﻤﻦ‬ ‫ﻣﺌﻮﻳﺔ‬ ‫ﻧﺴﺒﺔ‬
5
‫ﻟﻨﺎ‬ ‫ﻳﻨﺘﺞ‬ ‫ﻛﻤﺎ‬ .
‫ﻣﺨ‬
‫ﺃﻋﻤﺪﺓ‬ ‫ﻄﻂ‬
‫ﺍﻟﺘﻜﺮﺍﺭ‬
‫ﺍﻟﺒﻴﺎﻧﻴ‬
‫ﺔ‬
.
‫ﺗﺪﺭﻳﺐ‬
‫ﻳ‬
‫ﺍﺟﺮﺍء‬ ‫ﻤﻜﻦ‬
Crosstabs analysis
‫ﺍﻟﻤﺪﺍﺭﺱ‬ ‫ﻟﺒﻴﺎﻧﺎﺕ‬
schools.sav
)
2
-
3
-
2
‫ﺍﻹﺟﺮﺍء‬ ‫ﺍﺳﺘﺨﺪﺍﻡ‬ (
Frequencies
1
.
‫ﺍﻟﻘﻮﺍﺋﻢ‬ ‫ﺷﺮﻳﻂ‬ ‫ﻣﻦ‬
Analyze
‫ﺍﺧﺘﺮ‬
Descriptive Statistics
‫ﺍﺧﺘﺮ‬ ‫ﺍﻟﻔﺮﻋﻴﺔ‬ ‫ﺍﻟﻘﺎﺋﻤﺔ‬ ‫ﻭﻣﻦ‬
Frequencies
:‫ﺍﻟﺘﺎﻟﻲ‬ ‫ﺍﻟﺤﻮﺍﺭ‬ ‫ﻣﺮﺑﻊ‬ ‫ﻳﻨﺘﺞ‬ ‫ﺑﺎﻟﺸﻜﻞ‬ ‫ﻣﻮﺿﺢ‬ ‫ﻫﻮ‬ ‫ﻛﻤﺎ‬
‫ﺍﻟﻤﺘﻐﻴﺮ‬ ‫ﻣﺜﻼ‬ ‫ﻧﺨﺘﺎﺭ‬
Salary_1
‫ﻭﺍﻟﻤﺘﻐﻴﺮ‬
Salary now
‫ﺍﻟﺴﺎﺑﻖ‬ ‫ﺍﻟﻤﺮﺑﻊ‬ ‫ﺩﺍﺧﻞ‬
2
.
‫ﺍﻟﺰﺭ‬ ‫ﻋﻠﻰ‬ ‫ﺍﺿﻐﻂ‬
Statistics
:‫ﺍﻟﺘﺎﻟﻲ‬ ‫ﺍﻟﺤﻮﺍﺭ‬ ‫ﻣﺮﺑﻊ‬ ‫ﻳﻈﻬﺮ‬
‫ﺑﺎﺳﺗﺧﺩﺍﻡ‬ ‫ﺍﻻﺣﺻﺎﺋﻲ‬ ‫ﺍﻟﺗﺣﻠﻳﻝ‬
SPSS
‫ﺩ‬
‫ﺳﻠﻁﺎﻥ‬ ‫ﺧﻠﻑ‬ .
42
3
-
‫ﻋﻠﻰ‬ ‫ﺍﺿﻐﻂ‬
‫ﺍﻟﻤﻄﻠﻮﺑﺔ‬ ‫ﺍﻹﺣﺼﺎءﺍﺕ‬ ‫ﺟﻤﻴﻊ‬
‫ﻟﺪﺭﺍﺳﺘﻚ‬
‫ﺛﻢ‬
‫ﻋﻠﻰ‬ ‫ﺍﺿﻐﻂ‬
Continue
‫ﺍﻟﺤﻮﺍﺭ‬ ‫ﻣﺮﺑﻊ‬ ‫ﺇﻟﻰ‬ ‫ﻧﺮﺟﻊ‬
‫ﺍﻟﺰﺭ‬ ‫ﻋﻠﻰ‬ ‫ﺍﺿﻐﻂ‬ :‫ﺍﻟﺴﺎﺑﻖ‬
Charts
:‫ﺍﻟﺘﺎﻟﻲ‬ ‫ﺍﻟﺤﻮﺍﺭ‬ ‫ﻣﺮﺑﻊ‬ ‫ﻳﻈﻬﺮ‬
4
-
‫ﻋﻠﻰ‬ ‫ﺍﺿﻐﻂ‬
Histograms
‫ﻭ‬ ‫ﻭ‬
‫ﺍﻟﻤﺮﺑﻊ‬ ‫ﺩﺍﺧﻞ‬
With normal curve
‫ﺛﻢ‬
Continue
‫ﺍﻟﺤﻮﺍﺭ‬ ‫ﻟﻤﺮﺑﻊ‬ ‫ﻧﺮﺟﻊ‬
Frequency
‫ﻋﻠﻰ‬ ‫ﺍﺿﻐﻂ‬
Ok
‫ﺍﻟﻨﺘﺎﺋﺞ‬ ‫ﺗﻈﻬﺮ‬
:‫ﻳﻠﻲ‬ ‫ﻛﻤﺎ‬
Statistics
Salay_1 Salary_now
N
Valid 110 110
Missing 0 0
Mean 5743.2182 10817.1818
Std. Error of Mean 206.47423 349.12994
Median 5303.5000 10152.0000
Mode 4172.00a 6517.00a
Std. Deviation 2165.51998 3661.70570
Variance 4689476.778 13408088.646
Skewness 2.970 2.275
Std. Error of Skewness .230 .230
Kurtosis 9.080 6.023
Std. Error of Kurtosis .457 .457
Range 11976.00 19483.00
Minimum 4044.00 6517.00
Maximum 16020.00 26000.00
Percentiles
25 4614.2500 8566.2500
50 5303.5000 10152.0000
75 5736.7500 11743.0000
a. Multiple modes exist. The smallest value is shown
‫ﺑﺎﺳﺗﺧﺩﺍﻡ‬ ‫ﺍﻻﺣﺻﺎﺋﻲ‬ ‫ﺍﻟﺗﺣﻠﻳﻝ‬
SPSS
‫ﺩ‬
‫ﺳﻠﻁﺎﻥ‬ ‫ﺧﻠﻑ‬ .
43
‫ﺑﺎﺳﺗﺧﺩﺍﻡ‬ ‫ﺍﻻﺣﺻﺎﺋﻲ‬ ‫ﺍﻟﺗﺣﻠﻳﻝ‬
SPSS
‫ﺩ‬
‫ﺳﻠﻁﺎﻥ‬ ‫ﺧﻠﻑ‬ .
44
)
3
-
3
-
2
‫ﺍﻻﺟﺮﺍء‬ ‫ﺍﺳﺘﺨﺪﺍﻡ‬ (
Descriptive
:‫ﻳﻠﻲ‬ ‫ﻛﻤﺎ‬ ‫ﺃﻳﻀﺎ‬ ‫ﺍﻹﺣﺼﺎﺋﻴﺔ‬ ‫ﺍﻟﻤﻘﺎﻳﻴﺲ‬ ‫ﺑﻌﺾ‬ ‫ﻹﻳﺠﺎﺩ‬ ‫ﺍﻟﺨﻴﺎﺭ‬ ‫ﻫﺬﺍ‬ ‫ﻳﺴﺘﺨﺪﻡ‬
1
‫ﺍﻟﻘﺎﺋﻤﺔ‬ ‫ﻣﻦ‬ ‫ﻧﺨﺘﺎﺭ‬ .
Analyze
‫ﺍﻟﺨﻴﺎﺭ‬
Descriptive Statistics
‫ﺍﻟﺨﻴﺎﺭ‬ ‫ﺍﻟﻔﺮﻋﻴﺔ‬ ‫ﺍﻟﻘﺎﺋﻤﺔ‬ ‫ﻭﻣﻦ‬
Descriptive
:‫ﺍﻟﺘﺎﻟﻲ‬ ‫ﺍﻟﺤﻮﺍﺭ‬ ‫ﻣﺮﺑﻊ‬ ‫ﻳﻈﻬﺮ‬
2
" ‫ﺍﻟﻤﺘﻐﻴﺮﺍﺕ‬ ‫ﻧﺪﺧﻞ‬ .
Salary_now
" ‫ﻭ‬ "
Salary_1
‫ﺃﺳﻔﻞ‬ ‫ﺍﻟﻤﺴﺘﻄﻴﻞ‬ ‫ﺩﺍﺧﻞ‬ "
Variable(s)
3
‫ﺍﻟﺰﺭ‬ ‫ﻋﻠﻰ‬ ‫ﺍﺿﻐﻂ‬ .
Option
:‫ﺍﻟﺘﺎﻟﻲ‬ ‫ﺍﻟﺤﻮﺍﺭ‬ ‫ﻣﺮﺑﻊ‬ ‫ﻟﻴﻈﻬﺮ‬
‫ﺑﺎﺳﺗﺧﺩﺍﻡ‬ ‫ﺍﻻﺣﺻﺎﺋﻲ‬ ‫ﺍﻟﺗﺣﻠﻳﻝ‬
SPSS
‫ﺩ‬
‫ﺳﻠﻁﺎﻥ‬ ‫ﺧﻠﻑ‬ .
45
5
-
‫ﺍﻟﻤﻘﺎﻳﻴﺲ‬ ‫ﺍﺧﺘﺮ‬
،‫ﺍﻟﻤﻄﻠﻮﺑﺔ‬
‫ﻋﻠﻰ‬ ‫ﺍﺿﻐﻂ‬ ‫ﺛﻢ‬
Continue
‫ﺍﻟﺤﻮﺍﺭ‬ ‫ﻟﻤﺮﺑﻊ‬ ‫ﻟﻨﻌﻮﺩ‬
Descriptive
.
6
-
‫ﺑﺠﺎﻧﺐ‬ ‫ﺍﻟﻤﺮﺑﻊ‬ ‫ﺩﺍﺧﻞ‬ ‫ﺍﺿﻐﻂ‬
Save standardized values as variables
‫)ﻟﻴﺤﻮﻝ‬
‫ﺇﻟﻰ‬ ‫ﺍﻟﺒﻴﺎﻧﺎﺕ‬
‫ﺍﺿﻐﻂ‬ ‫ﺛﻢ‬ (‫ﻣﻌﻴﺎﺭﻳﺔ‬ ‫ﻗﻴﻢ‬
Ok
:‫ﺍﻟﺘﺎﻟﻴﺔ‬ ‫ﺍﻟﻨﺘﺎﺋﺞ‬ ‫ﺗﻈﻬﺮ‬
Descriptive Statistics
N Minimum Maximum Mean Std. Deviation Skewness
Statistic Statistic Statistic Statistic Statistic Statistic Std. Error
Salay_1 110 4044.00 16020.00 5743.2182 2165.51998 2.970 .230
Salary_now 110 6517.00 26000.00 10817.1818 3661.70570 2.275 .230
Valid N (listwise) 110
7
-
‫ﺍﻟﻌﻼﻗﺔ‬ ‫ﻭﻓﻖ‬ ‫ﺍﻟﻤﻌﻴﺎﺭﻳﺔ‬ ‫ﺍﻟﻘﻴﻢ‬ ‫ﺣﺴﺎﺏ‬ ‫ﻳﺘﻢ‬
x
Z




‫ﺣﻴﺚ‬
x
، ‫ﺍﻟﻤﺪﺧﻠﺔ‬ ‫ﺍﻟﻘﻴﻤﺔ‬ ‫ﻫﻲ‬

‫ﺍﻟﻤﺘﻮﺳﻂ‬ ‫ﻫﻲ‬
‫ﻟﻠﻤﺘﻐﻴﺮ‬ ‫ﺍﻟﺤﺴﺎﺑﻲ‬
x
،

‫ﻟﻠﻤﺘﻐﻴﺮ‬ ‫ﺍﻟﻤﻌﻴﺎﺭﻱ‬ ‫ﺍﻻﻧﺤﺮﺍﻑ‬ ‫ﻫﻮ‬
x
‫ﻣﻠﻒ‬ ‫ﻧﻬﺎﻳﺔ‬ ‫ﻓﻲ‬ ‫ﻋﺎﺩﺓ‬ ‫ﺗﻈﻬﺮ‬ ‫ﺍﻟﻤﻌﻴﺎﺭﻳﺔ‬ ‫ﻭﺍﻟﻘﻴﻢ‬
:‫ﻳﻠﻲ‬ ‫ﻛﻤﺎ‬ ‫ﺍﻟﺒﻴﺎﻧﺎﺕ‬ ‫ﻣﻠﻒ‬ ‫ﻣﻦ‬ ‫ﺟﺰء‬ ‫ﻭﻫﺬﺍ‬ ‫ﺍﻟﺒﻴﺎﻧﺎﺕ‬
‫ﺑﺎﺳﺗﺧﺩﺍﻡ‬ ‫ﺍﻻﺣﺻﺎﺋﻲ‬ ‫ﺍﻟﺗﺣﻠﻳﻝ‬
SPSS
‫ﺩ‬
‫ﺳﻠﻁﺎﻥ‬ ‫ﺧﻠﻑ‬ .
46
‫ﺗﺪﺭﻳﺐ‬
‫ﺍﺟﺮﺍء‬ ‫ﻳﻤﻜﻦ‬
Descriptive
‫ﺍﻟﻤﺪﺍﺭﺱ‬ ‫ﻟﺒﻴﺎﻧﺎﺕ‬
schools.sav
)
2
-
3
-
5
(
‫ﺍﻹﺟﺮﺍء‬ ‫ﺍﺳﺘﺨﺪﺍﻡ‬
Explore
( ‫ﺍﻟﺒﻴﺎﻧﺎﺕ‬ ‫)ﻣﺴﺘﻜﺸﻒ‬
‫ﻹ‬ ‫ﺍﻟﺨﻴﺎﺭ‬ ‫ﻫﺬﺍ‬ ‫ﻳﺴﺘﺨﺪﻡ‬
‫ﻧﺤﺼﻞ‬ ‫ﻭﻛﻤﺎ‬ ،‫ﺃﻛﺜﺮ‬ ‫ﺃﻭ‬ ‫ﺁﺧﺮ‬ ‫ﻣﺘﻐﻴﺮ‬ ‫ﻟﺘﺼﻨﻴﻒ‬ ‫ﻭﻓﻘﺎ‬ ‫ﺃﻛﺜﺮ‬ ‫ﺃﻭ‬ ‫ﻟﻤﺘﻐﻴﺮ‬ ‫ﺍﻹﺣﺼﺎﺋﻴﺔ‬ ‫ﺍﻟﻤﻘﺎﻳﻴﺲ‬ ‫ﺑﻌﺾ‬ ‫ﻳﺠﺎﺩ‬
‫ﺍﻟﺒﻴﺎﻧ‬ ‫ﺍﻟﺮﺳﻮﻡ‬ ‫ﺑﻌﺾ‬ ‫ﻋﻠﻰ‬ ‫ﻣﻨﻪ‬
‫ﻭﻏﻴﺮﻫﺎ‬ ‫ﺍﻟﺒﻴﺎﻧﺎﺕ‬ ‫ﺗﻠﺨﻴﺺ‬ ‫ﻭﻋﻤﻠﻴﺔ‬ ‫ﻴﺔ‬
.
‫ﻟﻠﺘﻌﺮﻑ‬
‫ﺍﻻﺟﺮﺍء‬ ‫ﻋﻠﻰ‬
:‫ﻳﻠﻲ‬ ‫ﻣﺎ‬ ‫ﻧﺘﺒﻊ‬
1
.
‫ﺍﻟﻘﺎﺋﻤﺔ‬ ‫ﻣﻦ‬
Analyze
‫ﻧﺨﺘﺎﺭ‬
Descriptive Statistics
‫ﻧﺨﺘﺎﺭ‬ ‫ﺍﻟﻔﺮﻋﻴﺔ‬ ‫ﺍﻟﻘﺎﺋﻤﺔ‬ ‫ﻭﻣﻦ‬
Explore
‫ﻓﻴﻈﻬﺮ‬
:‫ﺍﻟﺘﺎﻟﻲ‬ ‫ﺍﻟﺤﻮﺍﺭ‬ ‫ﻣﺮﺑﻊ‬
2
.
" ‫ﺍﻟﻤﺘﻐﻴﺮ‬ ‫ﻧﺪﺧﻞ‬
Salary_now
”
‫ﻓﻲ‬
‫ﺃﺳﻔﻞ‬ ‫ﺍﻟﻤﺴﺘﻄﻴﻞ‬
Dependent List
" ‫ﻭﺍﻟﻤﺘﻐﻴﺮ‬
Gender
‫ﻓﻲ‬ "
‫ﺃﺳﻔﻞ‬ ‫ﺍﻟﻤﺴﺘﻄﻴﻞ‬
Factor List
‫ﺍﻟﻤﺴﺘﻄﻴﻞ‬ ‫ﺩﺍﺧﻞ‬ ‫ﺧﻴﺎﺭﺍﺕ‬ ‫ﻋﺪﺓ‬ ‫ﻭﺟﻮﺩ‬ ‫ﻻﺣﻆ‬ )
Display
‫ﻭﻫﻲ‬
Both
‫ﻭ‬
Statistics
‫ﻭ‬
Plots
‫ﺃﻭ‬ ‫ﺍﻟﺒﻴﺎﻧﻲ‬ ‫ﺍﻟﺮﺳﻢ‬ ‫ﺃﻭ‬ ‫ﺍﻹﺣﺼﺎءﺍﺕ‬ ‫ﺍﺧﺘﻴﺎﺭ‬ ‫ﺗﻌﻨﻲ‬ ‫ﻭﻫﻲ‬
‫ﻛﻠﻴﻬﻤﺎ‬ ‫ﻧﺨﺘﺎﺭ‬ ‫ﺳﻮﻑ‬ ، ‫ﻛﻠﻴﻬﻤﺎ‬
Both
‫ﻋﻠﻰ‬ ‫ﻧﻀﻐﻂ‬ ‫(ﺛﻢ‬
Statistics
:‫ﺍﻟﺘﺎﻟﻲ‬ ‫ﺍﻟﺤﻮﺍﺭ‬ ‫ﻣﺮﺑﻊ‬ ‫ﻟﻴﻈﻬﺮ‬
‫ﺑﺎﺳﺗﺧﺩﺍﻡ‬ ‫ﺍﻻﺣﺻﺎﺋﻲ‬ ‫ﺍﻟﺗﺣﻠﻳﻝ‬
SPSS
‫ﺩ‬
‫ﺳﻠﻁﺎﻥ‬ ‫ﺧﻠﻑ‬ .
47
3
.
‫ﺍﺧﺘﺮ‬
Descriptive
‫ﻭ‬ (‫ﺍﻟﻮﺻﻔﻴﺔ‬ ‫)ﺍﻹﺣﺼﺎءﺍﺕ‬
M-Estimators
‫ﺍﻟﺘﻲ‬ ‫ﺍﻟﻤﺮﻛﺰﻳﺔ‬ ‫ﺍﻟﻨﺰﻋﺔ‬ ‫ﻟﻤﻘﺎﻳﻴﺲ‬ ‫)ﺗﻘﺪﻳﺮ‬
‫ﻭ‬ (‫ﺍﻟﺸﺎﺫﺓ‬ ‫ﺃﻭ‬ ‫ﺍﻟﻤﺘﻄﺮﻓﺔ‬ ‫ﺑﺎﻟﻘﻴﻢ‬ ‫ﺗﺘﺄﺛﺮ‬ ‫ﻻ‬
Outliers
‫ﻭﺍﺳﺘﺨﺮ‬ ‫ﺷﺎﺫﺓ‬ ‫ﻗﻴﻢ‬ ‫ﻫﻨﺎﻙ‬ ‫ﻛﺎﻧﺖ‬ ‫ﺇﺫﺍ‬ ‫ﻣﺎ‬ ‫)ﺗﺤﺪﻳﺪ‬
‫ﺧﻤﺲ‬ ‫ﺍﻛﺒﺮ‬ ‫ﺍﺝ‬
‫ﺍﺧﺘﺮ‬ ‫ﻭ‬ ‫ﺍﻷﺧﺮﻯ‬ ‫ﺍﻻﺧﺘﺒﺎﺭﺍﺕ‬ ‫ﻋﻠﻰ‬ ‫ﺗﺆﺛﺮ‬ ‫ﻻ‬ ‫ﺣﺘﻰ‬ ‫ﺍﻟﺒﻴﺎﻧﺎﺕ‬ ‫ﻣﻦ‬ ‫ﻟﺤﺬﻓﻬﺎ‬ ‫ﺗﻤﻬﻴﺪﺍ‬ ‫ﻭﺫﻟﻚ‬ ،‫ﺷﺎﺫﺓ‬ ‫ﻗﻴﻢ‬ ‫ﺧﻤﺲ‬ ‫ﻭﺍﻗﻞ‬ ‫ﻗﻴﻢ‬
‫ﺍﻟﺨﻴﺎﺭ‬ ‫ﻛﺬﻟﻚ‬
Percentiles
‫ﻋﻠﻰ‬ ‫ﺍﺿﻐﻂ‬ ‫ﺛﻢ‬ (‫ﺍﻟﻤﺌﻴﻨﺎﺕ‬ ‫)ﻭﺗﻌﻨﻲ‬
Continue
‫ﺍﻟﺤﻮﺍﺭ‬ ‫ﻟﻤﺮﺑﻊ‬ ‫ﻟﺘﻌﻮﺩ‬
Explore
.
4
.
‫ﺍﻟﺰﺭ‬ ‫ﻋﻠﻰ‬ ‫ﺍﺿﻐﻂ‬
Plots
:‫ﺍﻟﺘﺎﻟﻲ‬ ‫ﺍﻟﺤﻮﺍﺭ‬ ‫ﻣﺮﺑﻊ‬ ‫ﻟﻴﻈﻬﺮ‬
5
.
‫ﻋﻠﻰ‬ ‫ﺍﺿﻐﻂ‬
Factor level together
‫ﺍﻟﻤﺴﺘﻄﻴﻞ‬ ‫ﻣﻦ‬ ‫ﻭ‬
Descriptive
‫ﻳﻤﻜﻦ‬
‫ﺍﺧﺘ‬
‫ﻴﺎﺭ‬
Stem-and-leaf
‫ﺍ‬
‫ﻭ‬
Histogram
‫ﻋﻠﻰ‬ ‫ﺍﺿﻐﻂ‬ ‫ﺛﻢ‬
Continue
‫ﺍﻟﺤﻮﺍﺭ‬ ‫ﻟﻤﺮﺑﻊ‬ ‫ﺛﺎﻧﻴﺔ‬ ‫ﻣﺮﺓ‬ ‫ﻟﺘﻌﻮﺩ‬
Explore
‫ﺍﺿﻐﻂ‬ ،
Ok
‫ﻟﺘﻈﻬﺮ‬
.‫ﺍﻟﻨﺘﺎﺋﺞ‬
‫ﺑﺎﺳﺗﺧﺩﺍﻡ‬ ‫ﺍﻻﺣﺻﺎﺋﻲ‬ ‫ﺍﻟﺗﺣﻠﻳﻝ‬
SPSS
‫ﺩ‬
‫ﺳﻠﻁﺎﻥ‬ ‫ﺧﻠﻑ‬ .
48
Box plot
‫ﺑﺎﺳﺗﺧﺩﺍﻡ‬ ‫ﺍﻻﺣﺻﺎﺋﻲ‬ ‫ﺍﻟﺗﺣﻠﻳﻝ‬
SPSS
‫ﺩ‬
‫ﺳﻠﻁﺎﻥ‬ ‫ﺧﻠﻑ‬ .
49
:‫ﺍﻟﻨﺘﺎﺋﺞ‬ ‫ﺗﻔﺴﻴﺮ‬
‫ﺍﻟﺘﺎﻟﻲ‬ ‫ﺍﻟﺠﺪﻭﻝ‬
.‫ﻣﺜﻞ‬ ‫ﺍﻟﺠﺪﻳﺪﺓ‬ ‫ﺍﻹﺣﺼﺎﺋﻴﺔ‬ ‫ﺍﻟﻤﻘﺎﻳﻴﺲ‬ ‫ﺑﻌﺾ‬ ‫ﻳﻈﻬﺮ‬
95% Confidence interval for mean
‫ﺩﻗﺔ‬ ‫ﺑﻨﺴﺒﺔ‬ ‫ﺍﻟﺤﺴﺎﺑﻲ‬ ‫ﻟﻠﻮﺳﻂ‬ ‫ﺍﻟﺜﻘﺔ‬ ‫ﻓﺘﺮﺓ‬ ‫ﺗﻌﻨﻲ‬ ‫ﻭﻫﻲ‬
95
‫ﻛﻞ‬ ‫ﻭﺍﻹﻧﺎﺙ‬ ‫ﺍﻟﺬﻛﻮﺭ‬ ‫ﻣﻦ‬ ‫ﻟﻜﻞ‬ ‫ﻭﺫﻟﻚ‬ ‫ﺃﻋﻠﻰ‬ ‫ﻭﺣﺪ‬ ‫ﺃﺩﻧﻰ‬ ‫ﺣﺪ‬ ‫ﻭﻟﻬﺎ‬ %
.‫ﺣﺪﺓ‬ ‫ﻋﻠﻰ‬
5% Trimmed Mean
‫ﺍﻛﺒﺮ‬ ‫ﺍﺳﺘﺒﻌﺎﺩ‬ ‫ﺑﻌﺪ‬ ‫ﺣﺴﺎﺑﻪ‬ ‫ﻳﺘﻢ‬ ‫ﺍﻟﺬﻱ‬ ‫ﺍﻟﺤﺴﺎﺑﻲ‬ ‫ﺍﻟﻮﺳﻂ‬ ‫ﻭﻫﻮ‬
5
‫ﻭﺍﺻﻐﺮ‬ %
5
‫ﺍﺳﺘﺒﻌﺎ‬ ‫ﻳﺘﻢ‬ ‫ﺣﺘﻰ‬ %
.‫ﺍﻟﺸﺎﺫﺓ‬ ‫ﺍﻟﻘﻴﻢ‬ ‫ﺩ‬
Interquartile Range
.‫ﺍﻷﻭﻝ‬ ‫ﻭﺍﻟﺮﺑﻴﻊ‬ ‫ﺍﻟﺜﺎﻟﺚ‬ ‫ﺍﻟﺮﺑﻴﻊ‬ ‫ﻗﻴﻤﺘﻲ‬ ‫ﺑﻴﻦ‬ ‫ﺍﻟﻔﺮﻕ‬ ‫ﻭﻫﻮ‬ ‫ﺍﻟﺮﺑﻴﻌﻲ‬ ‫ﺍﻟﻤﺪﻯ‬ ‫ﺗﻤﺜﻞ‬
.‫ﺍﻟﺠﺰء‬ ‫ﻫﺬﺍ‬ ‫ﺑﺪﺍﻳﺔ‬ ‫ﻓﻲ‬ ‫ﺷﺮﺣﻬﺎ‬ ‫ﺗﻢ‬ ‫ﻗﺪ‬ ‫ﺍﻹﺣﺼﺎءﺍﺕ‬ ‫ﺑﺎﻗﻲ‬ ‫ﺃﻥ‬ ‫ﻻﺣﻆ‬
1
.
‫ﺍﻟﻤﺴﺘﻄﻴﻞ‬ ‫ﺩﺍﺧﻞ‬ ‫ﻳﻘﻊ‬ ‫ﺍﻟﺬﻱ‬ ‫ﺍﻷﻓﻘﻲ‬ ‫ﺑﺎﻟﺨﻂ‬ ‫ﻳﻤﺜﻞ‬ (‫ﺍﻟﺜﺎﻧﻲ‬ ‫)ﺍﻟﺮﺑﻴﻊ‬ ‫ﺍﻟﻮﺳﻴﻂ‬
2
.
‫ﺍﻟﻤﺌﻴﻦ‬
25
‫ﺑﺎﻟ‬ ‫ﻳﻤﺜﻞ‬ (‫ﺍﻷﻭﻝ‬ ‫)ﺍﻟﺮﺑﻴﻊ‬
‫ﺍﻟﻤﺴﺘﻄﻴﻞ‬ ‫ﻣﻦ‬ ‫ﺍﻟﺴﻔﻠﻲ‬ ‫ﺨﻂ‬
‫)ﻗﺎﻋﺪﺓ‬
(‫ﺍﻟﻤﺴﺘﻄﻴﻞ‬
.
3
.
‫ﺍﻟﻤﺌﻴﻦ‬
75
‫ﺍﻟﻤﺴﺘﻄﻴﻞ‬ ‫ﻣﻦ‬ ‫ﺍﻟﻌﻠﻮﻱ‬ ‫ﺑﺎﻟﺤﺪ‬ ‫ﻳﻤﺜﻞ‬ (‫ﺍﻟﺜﺎﻟﺚ‬ ‫)ﺍﻟﺮﺑﻴﻊ‬
‫)ﻗﻤﺔ‬
.(‫ﺍﻟﻤﺴﺘﻄﻴﻞ‬
4
.
‫ﺃﻥ‬ ‫ﻧﻼﺣﻆ‬
50
‫ﺑﻴﻦ‬ ‫ﺍﻟﻔﺮﻕ‬ ‫ﻭﻫﻮ‬ ‫ﺍﻟﺮﺑﻴﻌﻲ‬ ‫ﺍﻟﻤﺪﻯ‬ ‫ﺣﺴﺎﺏ‬ ‫ﻳﻤﻜﻦ‬ ‫ﻭﻛﺬﻟﻚ‬ ‫ﺍﻟﺼﻨﺪﻭﻕ‬ ‫ﺩﺍﺧﻞ‬ ‫ﻳﻘﻊ‬ ‫ﺍﻟﺒﻴﺎﻧﺎﺕ‬ ‫ﻣﻦ‬ %
.‫ﺍﻷﻭﻝ‬ ‫ﻭﺍﻟﺮﺑﻴﻊ‬ ‫ﺍﻟﺜﺎﻟﺚ‬ ‫ﺍﻟﺮﺑﻴﻊ‬
5
.
‫ﺍﻟﻤ‬ ‫ﺃﺳﻔﻞ‬ ‫ﻳﻘﻊ‬ ‫ﺍﻟﺬﻱ‬ ‫ﺍﻟﺴﻔﻠﻲ‬ ‫ﺍﻟﺨﻂ‬
‫ﻳﻤﺜﻞ‬ ‫ﺴﺘﻄﻴﻞ‬
‫ﺃﺻﻐﺮ‬
‫ﺷﺎﺫﺓ‬ ‫ﻗﻴﻤﺎ‬ ‫ﺗﻤﺜﻞ‬ ‫ﻻ‬ ‫ﻭﺍﻟﺘﻲ‬ ‫ﺍﻟﻘﻴﻢ‬
6
.
‫ﻳﻤﺜﻞ‬ ‫ﺍﻟﻤﺴﺘﻄﻴﻞ‬ ‫ﺃﻋﻠﻰ‬ ‫ﻳﻘﻊ‬ ‫ﺍﻟﺬﻱ‬ ‫ﺍﻟﻌﻠﻮﻱ‬ ‫ﺍﻟﺨﻂ‬
‫ﺃﻛﺒﺮ‬
‫ﺷﺎﺫﺓ‬ ‫ﻗﻴﻤﺎ‬ ‫ﺗﻤﺜﻞ‬ ‫ﻻ‬ ‫ﻭﺍﻟﺘﻲ‬ ‫ﺍﻟﻘﻴﻢ‬
7
.
‫ﺍﻟﻘﻴﻤﺔ‬ ‫ﻧﻮﻉ‬ ‫ﺣﺴﺐ‬ ‫ﻧﺠﻤﺔ‬ ‫ﺃﻭ‬ ‫ﺻﻐﻴﺮﺓ‬ ‫ﺑﺪﺍﺋﺮﺓ‬ ‫ﺗﻤﺜﻞ‬ ‫ﻋﺎﺩﺓ‬ ‫ﻭﺍﻟﺘﻲ‬ ‫ﺍﻟﺼﻨﺪﻭﻕ‬ ‫ﺷﻜﻞ‬ ‫ﻓﻲ‬ ‫ﻭﺍﺭﺩﺓ‬ ‫ﻏﻴﺮ‬ ‫ﺍﻟﺸﺎﺫﺓ‬ ‫ﺍﻟﻘﻴﻢ‬
:‫ﺍﻟﺸﺎﺫﺓ‬ ‫ﺍﻟﻘﻴﻢ‬ ‫ﻣﻦ‬ ‫ﻧﻮﻋﺎﻥ‬ ‫ﻫﻨﺎﻙ‬ ‫ﺍﻟﻘﺼﻮﻯ‬ ‫ﺍﻟﺸﺎﺫﺓ‬

‫ﻗﻴﻤ‬
‫ﻣﻄﻠﻘﺔ‬ ‫ﺷﺎﺫﺓ‬ ‫ﺔ‬
(extremes)
) ‫ﻋﻦ‬ ‫ﺗﺰﻳﺪ‬ ‫ﻣﺴﺎﻓﺔ‬ ‫ﺍﻟﻤﺴﺘﻄﻴﻞ‬ ‫ﻗﺎﻋﺪﺓ‬ ‫ﻋﻦ‬ ‫ﺗﺒﻌﺪ‬ ‫ﺍﻟﺘﻲ‬ ‫ﺍﻟﻘﻴﻤﺔ‬ ‫ﻫﻲ‬ :
3
×
‫ﺍﺭﺗﻔﺎﻉ‬
( * ) ‫ﺑﻨﺠﻤﺔ‬ ‫ﻋﻠﻴﻬﺎ‬ ‫ﻭﻳﺴﺘﺪﻝ‬ (‫ﺍﻟﻤﺴﺘﻄﻴﻞ‬

‫ﻣﺤﻠﻴﺔ‬ ‫ﺷﺎﺫﺓ‬ ‫ﻗﻴﻤﺔ‬
(outliers)
) ‫ﺗﺴﺎﻭﻱ‬ ‫ﻣﺴﺎﻓﺔ‬ ‫ﺍﻟﻤﺴﺘﻄﻴﻞ‬ ‫ﻗﺎﻋﺪﺓ‬ ‫ﻋﻦ‬ ‫ﺗﺒﻌﺪ‬ ‫ﺍﻟﺘﻲ‬ ‫ﺍﻟﻘﻴﻤﺔ‬ ‫ﻭﻫﻲ‬ :
1.5
×
‫ﺍﺭﺗﻔﺎﻉ‬
) ‫ﺻﻐﻴﺮﺓ‬ ‫ﺑﺪﺍﺋﺮﺓ‬ ‫ﻋﻠﻴﻬﺎ‬ ‫ﻭﻳﺴﺘﺪﻝ‬ (‫ﺍﻟﻤﺴﺘﻄﻴﻞ‬
o
(
.
‫ﺑﺎﺳﺗﺧﺩﺍﻡ‬ ‫ﺍﻻﺣﺻﺎﺋﻲ‬ ‫ﺍﻟﺗﺣﻠﻳﻝ‬
SPSS
‫ﺩ‬
‫ﺳﻠﻁﺎﻥ‬ ‫ﺧﻠﻑ‬ .
50
:‫ﻣﻼﺣﻈﺔ‬
:‫ﻛﺎﻟﺘﺎﻟﻲ‬ ‫ﺍﻻﻟﺘﻮﺍء‬ ‫ﺇﺷﺎﺭﺓ‬ ‫ﺑﻤﻌﺮﻓﺔ‬ ‫ﻭﺫﻟﻚ‬ ‫ﺍﻟﺘﻮﺯﻳﻊ‬ ‫ﺷﻜﻞ‬ ‫ﺩﺭﺍﺳﺔ‬ ‫ﻓﻲ‬ ‫ﺍﻟﺼﻨﺪﻭﻕ‬ ‫ﺷﻜﻞ‬ ‫ﻳﻔﻴﺪ‬
1
.
.‫ﻣﻌﺘﺪﻝ‬ ‫ﺍﻟﺘﻮﺯﻳﻊ‬ ‫ﻳﻜﻮﻥ‬ ‫ﺍﻟﻤﺴﺘﻄﻴﻞ‬ ‫ﻭﺳﻂ‬ ‫ﻓﻲ‬ ‫ﻳﻘﻊ‬ ‫ﺍﻟﻮﺳﻴﻂ‬ ‫ﻛﺎﻥ‬ ‫ﺇﺫﺍ‬
2
.
‫ﺍﻟﺒﻴﺎﻧ‬ ‫ﻣﻦ‬ ‫ﻛﺜﻴﺮﺓ‬ ً‫ﺎ‬‫ﻗﻴﻤ‬ ‫ﺃﻥ‬ ‫ﺃﻱ‬ ‫ﺍﻻﻟﺘﻮﺍء‬ ‫ﻣﻮﺟﺐ‬ ‫ﺃﻱ‬ ‫ﺍﻟﻴﻤﻴﻦ‬ ‫ﺇﻟﻰ‬ ‫ﻣﻠﺘﻮﻳﺎ‬ ‫ﻳﻜﻮﻥ‬ ‫ﺍﻟﺘﻮﺯﻳﻊ‬ ‫ﻓﺎﻥ‬ ‫ﺍﻟﻤﺴﺘﻄﻴﻞ‬ ‫ﻟﻘﺎﻋﺪﺓ‬ ‫ﺃﻗﺮﺏ‬ ‫ﺍﻟﻮﺳﻴﻂ‬ ‫ﻛﺎﻥ‬ ‫ﺇﺫﺍ‬
‫ﺎﺕ‬
.‫ﻣﻨﺨﻔﻀﺔ‬ ‫ﺗﻜﻮﻥ‬
3
.
‫ﺍﻟﺒﻴﺎﻧﺎﺕ‬ ‫ﻣﻦ‬ ‫ﻛﺜﻴﺮﺓ‬ ً‫ﺎ‬‫ﻗﻴﻤ‬ ‫ﺃﻥ‬ ‫ﺃﻱ‬ ‫ﺍﻻﻟﺘﻮﺍء‬ ‫ﺳﺎﻟﺐ‬ ‫ﺃﻱ‬ ‫ﺍﻟﻴﺴﺎﺭ‬ ‫ﺇﻟﻰ‬ ‫ﻣﻠﺘﻮﻳﺎ‬ ‫ﻳﻜﻮﻥ‬ ‫ﺍﻟﺘﻮﺯﻳﻊ‬ ‫ﻓﺎﻥ‬ ‫ﺍﻟﻤﺴﺘﻄﻴﻞ‬ ‫ﻗﻤﺔ‬ ‫ﺇﻟﻰ‬ ‫ﺃﻗﺮﺏ‬ ‫ﺍﻟﻮﺳﻴﻂ‬ ‫ﻛﺎﻥ‬ ‫ﺇﺫﺍ‬
.‫ﻋﺎﻟﻴﺔ‬ ‫ﺗﻜﻮﻥ‬
‫ﺃﻥ‬ ‫ﻧﻼﺣﻆ‬ ‫ﺑﺎﻹﻧﺎﺙ‬ ‫ﺍﻟﻤﺘﻌﻠﻖ‬ ‫ﺍﻟﻤﺴﺘﻄﻴﻞ‬ ‫ﺍﻟﻤﺜﺎﻝ‬ ‫ﺳﺒﻴﻞ‬ ‫ﻋﻠﻰ‬ ‫ﺃﺧﺬﻧﺎ‬ ‫ﺇﺫﺍ‬
1
.
‫ﺃﻛﺒﺮ‬
‫ﻳﺴﺎﻭﻱ؟‬ ‫ﺭﺍﺗﺐ‬
2
.
‫ﺃﺻﻐﺮ‬
‫ﻳﺴﺎﻭﻱ؟‬ ‫ﺭﺍﺗﺐ‬
3
.
‫ﻳ‬ ‫ﺍﻷﻭﻝ‬ ‫ﺍﻟﺮﺑﻴﻊ‬
‫ﺴﺎﻭﻱ؟‬
4
.
‫ﺍﻟﺜﺎﻧﻲ‬ ‫ﺍﻟﺮﺑﻴﻊ‬
‫)ﺍﻟﻮﺳﻴﻂ‬
(
‫ﻳﺴﺎﻭﻱ؟‬
5
.
‫ﻳﺴﺎﻭﻱ؟‬ ‫ﺍﻟﺜﺎﻟﺚ‬ ‫ﺍﻟﺮﺑﻴﻊ‬
6
.
‫ﺍﻟﻮﺳﻴﻂ‬
‫ﺃﻗﺮﺏ‬
.‫ﺍﻟﻴﻤﻴﻦ‬ ‫ﺇﻟﻰ‬ ً‫ﺎ‬‫ﻣﻠﺘﻮﻳ‬ ‫ﺍﻟﺘﻮﺯﻳﻊ‬ ‫ﺷﻜﻞ‬ ‫ﻳﻜﻮﻥ‬ ‫ﻟﺬﻟﻚ‬ ‫ﺍﻷﻭﻝ‬ ‫ﺍﻟﺮﺑﻴﻊ‬ ‫ﺇﻟﻰ‬
7
.
.‫ﺷﺎﺫﺓ‬ ‫ﻗﻴﻢ‬ ‫ﺗﻮﺟﺪ‬ ‫ﻻ‬
‫ﺗﺪﺭﻳﺐ‬
‫ﺍﺟﺮﺍء‬ ‫ﻳﻤﻜﻦ‬
Explore
‫ﺍﻟﻤﺪﺍﺭﺱ‬ ‫ﻟﺒﻴﺎﻧﺎﺕ‬
schools.sav
‫ﺑﺎﺳﺗﺧﺩﺍﻡ‬ ‫ﺍﻻﺣﺻﺎﺋﻲ‬ ‫ﺍﻟﺗﺣﻠﻳﻝ‬
SPSS
‫ﺩ‬
‫ﺳﻠﻁﺎﻥ‬ ‫ﺧﻠﻑ‬ .
51
‫ﺍ‬ ‫ﺍﻟﺠﺰء‬
‫ﻟﺜﺎﻟﺚ‬
‫ﺍﻹ‬ ‫ﺍﻻﺳﺘﺪﻻﻝ‬ ‫ﻓﻲ‬ ‫ﻣﻘﺪﻣﺔ‬
‫ﺣﺼﺎﺋﻲ‬
Introduction to Statistical inference
‫ﻗﺴﻤﻴﻦ‬ ‫ﺇﻟﻰ‬ ‫ﺍﻹﺣﺼﺎﺋﻲ‬ ‫ﺍﻻﺳﺘﺪﻻﻝ‬ ‫ﻁﺮﻕ‬ ‫ﺗﻨﻘﺴﻢ‬
1
-
:‫ﺍﻟﺘﻘﺪﻳﺮ‬ ‫ﻁﺮﻕ‬
Estimation
:‫ﻫﻤﺎ‬ ‫ﻗﺴﻤﻴﻦ‬ ‫ﺇﻟﻰ‬ ‫ﻭﺗﻨﻘﺴﻢ‬
1
-
1
‫ﺑﻨﻘﻄﺔ‬ ‫ﺍﻟﺘﻘﺪﻳﺮ‬
Point Estimation
‫ﻣﺘﻮﺳﻂ‬ ‫ﺗﻘﺪﻳﺮ‬
–
‫ﺗﺒﺎﻳﻦ‬
–
‫ﻧﺴﺒﺔ‬
2
-
1
‫ﺑﻔﺘﺮﺓ‬ ‫ﺍﻟﺘﻘﺪﻳﺮ‬
Interval estimation
‫ﻣﺘﻮﺳﻂ‬
–
‫ﺗﺒﺎﻳﻦ‬
-
‫ﻧﺴﺒﺔ‬
2
-
‫ﺍﻹﺣ‬ ‫ﺍﻟﻔﺮﺿﻴﺎﺕ‬ ‫ﺍﺧﺘﺒﺎﺭﺍﺕ‬
‫ﺼﺎﺋﻴﺔ‬
Statistical Hypotheses Testing
‫ﺍﻟﻔﺮﺿﻴﺔ‬ ‫ﺗﻌﺮﻳﻒ‬
Hypothesis
‫ﻫﻲ‬ ‫ﺍﻟﻔﺮﺿﻴﺔ‬
‫ﻋﺒﺎﺭﺓ‬
‫ﺍﻟﺪﺭﺍﺳﺔ‬ ‫ﻗﻴﺪ‬ ‫ﺍﻟﻤﺠﺘﻤﻊ‬ ‫ﺣﻮﻝ‬ ‫ﺻﻴﺎﻏﺘﻬﺎ‬ ‫ﻳﻤﻜﻦ‬ ‫ﺟﻤﻠﺔ‬
‫ﺃﻭ‬
(‫)ﻣﺆﺷﺮﺍﺗﻪ‬ ‫ﻣﻌﺎﻟﻤﻪ‬
‫ﺍﻟﻔﺮﺿﻴﺔ‬ ‫ﺇﻟﻰ‬ ‫ﻭﺗﻨﻘﺴﻢ‬ .
‫ﺍﻟﻤﺒﺪﺋﻴﺔ‬
‫)ﻓﺮﺿﻴﺔ‬
‫ﺍﻟﻌﺪ‬
‫ﻡ‬
H0
،(
‫ﺍﻟﺒﺪﻳﻠﺔ‬ ‫ﻭﺍﻟﻔﺮﺿﻴﺔ‬
H1
.
‫ﺍﻹﺣﺻﺎﺋﻲ‬ ‫ﺍﻻﺳﺗﺩﻻﻝ‬
Statistical
Inference
‫ﺍﻟﻔﺭﺿﻳﺎﺕ‬ ‫ﺍﺧﺗﺑﺎﺭﺍﺕ‬
Hypotheses
Testing
‫ﻻﻣﻌﻠﻣﻳﺔ‬ ‫ﺍﺧﺗﺑﺎﺭﺍﺕ‬
Nonparametric
Tests
‫ﻣﻌﻠﻣﻳﺔ‬ ‫ﺍﺧﺗﺑﺎﺭﺍﺕ‬
Parametric Tests
‫ﺍﻟﺗﻘﺩﻳﺭ‬
Estimation
‫ﺑﻔﺗﺭﺓ‬ ‫ﺗﻘﺩﻳﺭ‬
Interval Estimation
‫ﺑﻧﻘﻁﺔ‬ ‫ﺗﻘﺩﻳﺭ‬
Point Estimation
‫ﺑﺎﺳﺗﺧﺩﺍﻡ‬ ‫ﺍﻻﺣﺻﺎﺋﻲ‬ ‫ﺍﻟﺗﺣﻠﻳﻝ‬
SPSS
‫ﺩ‬
‫ﺳﻠﻁﺎﻥ‬ ‫ﺧﻠﻑ‬ .
52
‫ﺍﻟﻤﺒﺪﺋﻴﺔ‬ ‫ﺍﻟﻔﺮﺿﻴﺔ‬
)
H0
(
s
Null Hypothesi
‫ﻭﻧﺠﺮﻱ‬ ‫ﺍﻟﻤﺠﺘﻤﻊ‬ ‫ﺣﻮﻝ‬ ‫ﻓﺮﺿﻴﺔ‬ ‫ﻫﻲ‬
‫ﺍﻻﺧﺘﺒﺎﺭ‬
‫ﻋﻠﻴﻬﺎ‬
‫ﻋﻴﻨﺔ‬ ‫ﻣﻦ‬ ‫ﺑﻴﺎﻧﺎﺕ‬ ‫ﺑﺎﺳﺘﺨﺪﺍﻡ‬
‫ﺍﻟﻤﺠﺘﻤﻊ‬ ‫ﻣﻦ‬ ‫ﻣﺴﺤﻮﺑﺔ‬
‫ﺇﻟﻰ‬ ‫ﻭﺗﺸﻴﺮ‬
‫ﺑﺎﻟﻤﺠ‬ ‫ﺍﻟﺨﺎﺻﺔ‬ ‫ﺍﻟﻤﻌﻠﻮﻣﺎﺕ‬ ‫ﺑﻴﻦ‬ ‫ﻣﻌﻨﻮﻳﺔ‬ ‫ﻓﺮﻭﻕ‬ ‫ﺗﻮﺟﺪ‬ ‫ﻻ‬ ‫ﺍﻧﻪ‬
‫ﺑﺎﻟﻌﻴﻨﺔ‬ ‫ﺍﻟﻤﻮﺟﻮﺩﺓ‬ ‫ﻭﺍﻟﻤﻌﻠﻮﻣﺎﺕ‬ ‫ﺘﻤﻊ‬
‫ﻭﺟﺪﺕ‬ ‫ﺇﻥ‬ ‫ﺍﻟﻔﺮﻭﻕ‬ ‫ﻭﺍﻥ‬
‫ﻧﺎﺗﺠﺔ‬ ‫ﻓﻬﻲ‬
‫ﻓﺮﻕ‬ ‫ﻭﻻ‬ ‫ﺍﻟﺼﺪﻓﺔ‬ ‫ﻋﻦ‬
‫ﺣﻘﻴﻘﻲ‬
‫ﺑﻴﻨﻬﻤﺎ‬
‫ﻭﻧﺮﻓﻀﻬﺎ‬ ‫ﻣﻨﻬﺎ‬ ‫ﻧﻨﻄﻠﻖ‬ ‫ﺍﻟﺘﻲ‬ ‫ﺍﻟﻔﺮﺿﻴﺔ‬ ‫ﻭﻫﻲ‬
‫ﺩﻻﺋﻞ‬ ‫ﺗﺘﻮﻓﺮ‬ ‫ﻋﻨﺪﻣﺎ‬
‫ﺻﺤﺘﻬﺎ‬ ‫ﻋﺪﻡ‬ ‫ﻋﻠﻰ‬
‫ﻛﻠﻤﺔ‬ ‫ﻭﺗﻌﻨﻲ‬ ‫ﻧﻘﺒﻠﻬﺎ‬ ‫ﺫﻟﻚ‬ ‫ﻭﺧﻼﻑ‬
Null
‫ﻓﺮﻕ‬ ‫ﻳﻮﺟﺪ‬ ‫ﻻ‬ ‫ﺍﻧﻪ‬
(‫ﺍﻟﺼﻔﺮ‬ ‫ﻳﺴﺎﻭﻱ‬ ‫)ﺍﻟﻔﺮﻕ‬ ‫ﻣﻌﻨﻮﻳﺔ‬
‫ﺑﻴﻦ‬
‫ﺍﺧﺘ‬ ‫ﻓﻲ‬ ‫ﻧﺮﻏﺐ‬ ‫ﺍﻟﺘﻲ‬ ‫ﻭﺍﻟﻤﻌﻠﻮﻣﺔ‬ ‫ﺑﺎﻟﻤﺠﺘﻤﻊ‬ ‫ﺍﻟﻤﻮﺟﻮﺩ‬ ‫ﺍﻟﻤﻌﻠﻮﻣﺔ‬
‫ﺒ‬
.(‫ﺍﻟﻌﻴﻨﺔ‬ ‫ﻣﻦ‬ ‫)ﻣﻌﻠﻮﻣﺔ‬ ‫ﺎﺭﻫﺎ‬
‫ﺍﻟﺒﺪﻳﻠﺔ‬ ‫ﺍﻟﻔﺮﺿﻴﺔ‬
Alternative Hypothesis (H1)
‫ﺍﻟﻔﺮﺿﻴﺔ‬ ‫ﻫﻲ‬
‫ﺍﻟﻌﺪﻡ‬ ‫ﻟﻔﺮﺿﻴﺔ‬ ‫ﻛﺒﺪﻳﻞ‬ ‫ﺍﻟﺒﺎﺣﺚ‬ ‫ﻳﻀﻌﻬﺎ‬ ‫ﺍﻟﺘﻲ‬
‫ﻋﻨﺪﻣﺎ‬ ‫ﻭﻧﻘﺒﻠﻬﺎ‬
‫ﻟﻴﺴﺖ‬ ‫ﺑﺎﻋﺘﺒﺎﺭﻫﺎ‬ ‫ﺍﻟﻌﺪﻡ‬ ‫ﻓﺮﺿﻴﺔ‬ ‫ﻧﺮﻓﺾ‬
‫ﺻ‬
‫ﺍﻟﻤﻌﻠﻮﻣﺎﺕ‬ ‫ﻋﻠﻰ‬ ‫ﺑﻨﺎء‬ ‫ﺤﻴﺤﺔ‬
‫ﺍﻟﻤﺴﺘ‬
‫ﺨﻠﺼﺔ‬
.‫ﺍﻟﻌﻴﻨﺔ‬ ‫ﻣﻦ‬
‫ﺍﻟﻤﻌﻨﻮﻳﺔ‬ ‫ﻣﺴﺘﻮﻯ‬
Level of Significance
‫ﻋﻨﺪ‬ (‫ﺍﻟﺒﺎﺣﺚ‬ ‫)ﻳﺤﺪﺩﻩ‬ ‫ﻣﻌﻴﻦ‬ ‫ﺧﻄﺄ‬ ‫ﻧﺴﺒﺔ‬ ‫ﻋﻦ‬ ‫ﻋﺒﺎﺭﺓ‬ ‫ﻫﻮ‬ ‫ﺍﻹﺣﺼﺎﺋﻴﺔ‬ ‫ﺍﻻﺧﺘﺒﺎﺭﺍﺕ‬ ‫ﻓﻲ‬ ‫ﺍﻟﻤﻌﻨﻮﻳﺔ‬ ‫ﻣﺴﺘﻮﻯ‬ ‫ﺇﻥ‬
‫ﺭﻓﻀﻪ‬
‫ﺻﺤﻴﺤﺔ‬ ‫ﻭﻫﻲ‬ ‫ﺍﻟﻤﺒﺪﺋﻴﺔ‬ ‫ﻟﻠﻔﺮﺿﻴﺔ‬
‫ﺑﺎﻟﺨﻄﺄ‬ ‫ﻳﻌﺮﻑ‬ ‫ﺍﻟﺨﻄﺄ‬ ‫ﻭﻫﺬﺍ‬ ‫ﺻﺤﻴﺤﺔ‬ ‫ﻭﻫﻲ‬ ‫ﺍﻟﻤﺒﺪﺋﻴﺔ‬ ‫ﺍﻟﻔﺮﺿﻴﺔ‬ ‫ﻳﺮﻓﺾ‬ ‫ﺃﻧﻪ‬ ‫ﺑﻤﻌﻨﻰ‬
.‫ﺍﻟﻤﻌﻨﻮﻳﺔ‬ ‫ﻣﺴﺘﻮﻯ‬ ‫ﺃﺣﻴﺎﻧﺎ‬ ‫ﻭﻳﺴﻤﻰ‬ ‫ﺍﻷﻭﻝ‬ ‫ﺍﻟﻨﻮﻉ‬ ‫ﻣﻦ‬
‫ﺍﻹﺣﺼﺎﺋﻴﺔ‬ ‫ﺍﻻﺧﺘﺒﺎﺭﺍﺕ‬ ‫ﺃﻗﺴﺎﻡ‬
1
-
) ‫ﻣﻌﻠﻤﻴﺔ‬ ‫ﺍﺧﺘﺒﺎﺭﺍﺕ‬
‫ﺑﺎﺭﺍ‬
(‫ﻣﺘﺮﻳﺔ‬
Tests
Parametric
‫ﻭﺍﺧ‬ ‫ﺍﻟﻤﺠﺘﻤﻌﺎﺕ‬ ‫ﻟﻤﻌﺎﻟﻢ‬ ‫ﺍﻻﺧﺘﺒﺎﺭﺍﺕ‬ ‫ﻫﺬﻩ‬ ‫ﺗﺴﺘﺨﺪﻡ‬
‫ﺍ‬ ‫ﻟﻤﺠﺘﻤﻊ‬ ‫ﺍﻻﺣﺘﻤﺎﻟﻲ‬ ‫ﺍﻟﺘﻮﺯﻳﻊ‬ ‫ﻣﻌﺮﻓﺔ‬ ‫ﺇﻟﻰ‬ ‫ﺍﺳﺘﻨﺎﺩﺍ‬ ‫ﺘﺒﺎﺭﻫﺎ‬
‫ﺍﻟﺬﻱ‬ ‫ﻟﺪﺭﺍﺳﺔ‬
.‫ﻣﻨﻪ‬ ‫ﺍﻟﻌﻴﻨﺔ‬ ‫ﺳﺤﺐ‬ ‫ﺗﻢ‬
:‫ﻣﻨﻬﺎ‬ ‫ﺍﻟﻤﻌﻠﻤﻴﺔ‬ ‫ﺍﻻﺧﺘﺒﺎﺭﺍﺕ‬ ‫ﺗﻄﺒﻴﻖ‬ ‫ﻳﺘﻢ‬ ‫ﺣﺘﻰ‬ ‫ﺗﻮﺍﻓﺮﻫﺎ‬ ‫ﻣﻦ‬ ‫ﻻﺑﺪ‬ ‫ﻧﻈﺎﻣﻴﺔ‬ ‫ﺷﺮﻭﻁ‬ ‫ﻋﺪﺓ‬ ‫ﺃﻳﻀﺎ‬ ‫ﻭﻫﻨﺎﻙ‬

‫ﺍﻻﻋﺘﺪﺍﻟﻴﺔ‬
:
) ‫ﻛﺒﻴﺮ‬ ‫ﺍﻟﻌﻴﻨﺎﺕ‬ ‫ﺣﺠﻢ‬ ‫ﻳﻜﻮﻥ‬ ‫ﻋﻨﺪﻣﺎ‬ ‫ﻋﻨﻪ‬ ‫ﺍﻻﺳﺘﻐﻨﺎء‬ ‫ﻳﻤﻜﻦ‬ ‫ﺍﻟﺸﺮﻁ‬ ‫ﻫﺬﺍ‬
‫ﺃﻛﺒﺮ‬
‫ﻣﻦ‬
30
.(‫ﻣﺸﺎﻫﺪﺓ‬

‫ﺍﻟﺘﺠﺎﻧﺲ‬
:
‫)ﺍﺧﺘﺒﺎﺭ‬
‫ﻣﻨﻪ‬ ‫ﺍﻟﺘﺤﻘﻖ‬ ‫ﻣﻦ‬ ‫ﻭﻻﺑﺪ‬ (‫ﺍﻟﺘﺒﺎﻳﻦ‬ ‫ﻟﺘﺴﺎﻭﻱ‬ ‫ﻟﻴﻔﻨﻲ‬
.

‫ﺍﻻﺳﺘﻘﻼﻝ‬
‫ﻫﺬﺍ‬ :
‫ﻳﺄﺧﺬﻩ‬ ‫ﺍﻟﺸﺮﻁ‬
.‫ﻣﻨﻪ‬ ‫ﺍﻟﺘﺤﻘﻖ‬ ‫ﻳﺠﺐ‬ ‫ﻭﻻ‬ ‫ﺍﻟﺘﺠﺮﺑﺔ‬ ‫ﺗﺼﻤﻴﻢ‬ ‫ﻋﻨﺪ‬ ‫ﺍﻻﻋﺘﺒﺎﺭ‬ ‫ﻓﻲ‬ ‫ﺍﻟﺒﺎﺣﺚ‬

‫ﺍﻟﻌﺸﻮﺍﺋ‬
‫ﻴﺔ‬
‫ﻫﺬﺍ‬ :
‫ﻳﺄﺧﺬﻩ‬ ‫ﺍﻟﺸﺮﻁ‬
‫ﻓﻲ‬ ‫ﺍﻟﺒﺎﺣﺚ‬
.‫ﻣﻨﻪ‬ ‫ﺍﻟﺘﺤﻘﻖ‬ ‫ﻳﺠﺐ‬ ‫ﻭﻻ‬ ‫ﺍﻟﺘﺠﺮﺑﺔ‬ ‫ﺗﺼﻤﻴﻢ‬ ‫ﻋﻨﺪ‬ ‫ﺍﻻﻋﺘﺒﺎﺭ‬

‫ﺍﻟﺒﻴﺎﻧﺎﺕ‬
‫ﺍﻟ‬
‫ﻜﻤﻴﺔ‬
‫ﺍﻟﺸﺮﻁ‬ ‫ﻫﺬﺍ‬ :
‫ﻳﺄ‬
‫ﺧﺬﻩ‬
.‫ﻣﻨﻪ‬ ‫ﺍﻟﺘﺤﻘﻖ‬ ‫ﻳﺠﺐ‬ ‫ﻭﻻ‬ ‫ﺍﻟﺘﺠﺮﺑﺔ‬ ‫ﺗﺼﻤﻴﻢ‬ ‫ﻋﻨﺪ‬ ‫ﺑﺎﻻﻋﺘﺒﺎﺭ‬ ‫ﺍﻟﺒﺎﺣﺚ‬
‫ﺑﺎﺳﺗﺧﺩﺍﻡ‬ ‫ﺍﻻﺣﺻﺎﺋﻲ‬ ‫ﺍﻟﺗﺣﻠﻳﻝ‬
SPSS
‫ﺩ‬
‫ﺳﻠﻁﺎﻥ‬ ‫ﺧﻠﻑ‬ .
53
‫ﺍﻻﺳﺘﻐﻨﺎء‬ ‫ﻭﻳﻤﻜﻦ‬ (‫ﺍﻻﺧﺘﺒﺎﺭ‬ ‫)ﺣﺴﺐ‬ ‫ﺑﻌﻀﻬﺎ‬ ‫ﺃﻭ‬ ‫ﺟﻤﻴﻌﺎ‬ ‫ﺍﻟﺸﺮﻭﻁ‬ ‫ﻫﺬﻩ‬ ‫ﻟﺘﻮﺍﻓﺮ‬ ‫ﺗﺤﺘﺎﺝ‬ ‫ﺍﻟﻤﻌﻠﻤﻴﺔ‬ ‫ﺍﻻﺧﺘﺒﺎﺭﺍﺕ‬ ‫ﺑﻌﺾ‬ ‫ﺇﻥ‬
‫ﺑﻌﻀﻬﺎ‬ ‫ﻋﻦ‬
‫ﻋﺪﺩﺍ‬ ‫ﺍﻟﺪﻭﺭﺓ‬ ‫ﻫﺬﻩ‬ ‫ﺧﻼﻝ‬ ‫ﻧﻘﺪﻡ‬ ‫ﻭﺳﻮﻑ‬
‫ﻭﺍﻟﺸ‬ ‫ﺍﺳﺘﺨﺪﺍﻣﻬﺎ‬ ‫ﻭﺑﻴﺎﻥ‬ ‫ﺍﻟﻤﻌﻠﻤﻴﺔ‬ ‫ﺍﻻﺧﺘﺒﺎﺭﺍﺕ‬ ‫ﻣﻦ‬
‫ﺍﻟﻮﺍﺟﺐ‬ ‫ﺮﻭﻁ‬
.‫ﻣﻨﻬﺎ‬ ‫ﻛﻞ‬ ‫ﻓﻲ‬ ‫ﺗﻮﺍﻓﺮﻫﺎ‬
2
-
(‫)ﻻﺑﺎﺭﺍﻣﺘﺮﻳﺔ‬ ‫ﻻﻣﻌﻠﻤﻴﺔ‬ ‫ﺍﺧﺘﺒﺎﺭﺍﺕ‬
Nonparametric Tests
‫ﻛﻤﺎ‬ .‫ﺍﻟﺪﺭﺍﺳﺔ‬ ‫ﻋﻴﻨﺔ‬ ‫ﻣﻨﻪ‬ ‫ﺍﻟﻤﺴﺤﻮﺏ‬ ‫ﺍﻟﻤﺠﺘﻤﻊ‬ ‫ﺗﻮﺯﻳﻊ‬ ‫ﺣﻮﻝ‬ ‫ﻣﻌﻠﻮﻣﺎﺕ‬ ‫ﺃﻱ‬ ‫ﻫﻨﺎﻙ‬ ‫ﻳﻜﻮﻥ‬ ‫ﻻ‬ ‫ﻋﻨﺪﻣﺎ‬ ‫ﺍﻻﺧﺘﺒﺎﺭﺍﺕ‬ ‫ﻫﺬﻩ‬ ‫ﺗﺴﺘﺨﺪﻡ‬
‫ﺍﻻﻋﺘﺒﺎﺭ‬ ‫ﻓﻲ‬ ‫ﺗﺆﺧﺬ‬ ‫ﺃﻥ‬ ‫ﻳﺠﺐ‬ ‫ﻭﺍﻟﻌﺸﻮﺍﺋﻴﺔ‬ ‫ﺍﻻﺳﺘﻘﻼﻝ‬ ‫ﻣﺜﻞ‬ ‫ﺷﺮﻭﻁ‬ ‫ﻫﻨﺎﻙ‬ ‫ﺍﻥ‬
‫ﺗﺼﻤﻴ‬ ‫ﻋﻨﺪ‬
‫ﻢ‬
.‫ﺇﺣﺼﺎﺋﻴﺔ‬ ‫ﺩﺭﺍﺳﺔ‬ ‫ﺃﻱ‬
‫ﻭﺍﻟﻼﻣﻌﻠﻤﻴﺔ‬ ‫ﺍﻟﻤﻌﻠﻤﻴﺔ‬ ‫ﺍﻻﺧﺘﺒﺎﺭﺍﺕ‬ ‫ﺑﻴﻦ‬ ‫ﻣﻘﺎﺭﻧﺔ‬ ‫ﻳﻤﺜﻞ‬ ‫ﺍﻟﺘﺎﻟﻲ‬ ‫ﺍﻟﺠﺪﻭﻝ‬
‫ﺍﻟﻤﻘﺎﺭﻧﺔ‬ ‫ﻭﺟﻪ‬
‫ﺍﻟﻤﻌﻠﻤﻲ‬ ‫ﺍﻻﺧﺘﺒﺎﺭ‬
‫ﺍﻟﻼﻣﻌﻠﻤﻲ‬ ‫ﺍﻻﺧﺘﺒﺎﺭ‬
‫ﺍﻻﺳﺘﺨﺪﺍﻡ‬
‫ﺑﻤﻌﺎﻟﻢ‬ ‫ﺍﻟﻤﺘﻌﻠﻘﺔ‬ ‫ﺍﻟﻔﺮﺿﻴﺎﺕ‬ ‫ﺻﺤﺔ‬ ‫ﻣﻦ‬ ‫ﺍﻟﺘﺤﻘﻖ‬
‫ﻣﺤﺪﺩﺓ‬ ‫ﺗﻮﺯﻳﻌﺎﺕ‬ ‫ﻟﻬﺎ‬ ‫ﻣﺠﺘﻤﻌﺎﺕ‬
‫ﺍﻟﻤﺘﻌﻠﻘﺔ‬ ‫ﺍﻟﻔﺮﺿﻴﺎﺕ‬ ‫ﺻﺤﺔ‬ ‫ﻣﻦ‬ ‫ﺍﻟﺘﺤﻘﻖ‬
‫ﻟﻬﺎ‬ ‫ﻟﻴﺲ‬ ‫ﺑﻤﺠﺘﻤﻌﺎﺕ‬
‫ﻣﺤﺪﺩﺓ‬ ‫ﺗﻮﺯﻳﻌﺎﺕ‬
‫ﺍﻟﻨﻈﺎﻣﻴﺔ‬ ‫ﺍﻟﺸﺮﻭﻁ‬
‫ﺍﺧﺘﺒﺎﺭﺍﺕ‬ ‫)ﻫﻨﺎﻙ‬
‫ﻋﻦ‬ ‫ﺗﺴﺘﻐﻨﻲ‬
‫ﻫﺬﻩ‬ ‫ﺑﻌﺾ‬
(‫ﺍﻟﺸﺮﻭﻁ‬
) ‫ﺍﻻﻋﺘﺪﺍﻟﻴﺔ‬
‫ﺣﺠﻢ‬ ‫ﺃﻭ‬
(‫ﻛﺒﻴﺮﺓ‬ ‫ﻋﻴﻨﺎﺕ‬
‫ﺍﻟﻌﺸﻮﺍﺋﻴﺔ‬
‫ﺍﻟﺘﺠﺎﻧﺲ‬
‫ﺍﻻﺳﺘﻘﻼﻝ‬
‫ﻛﻤﻴﺔ‬ ‫ﻗﻴﺎﺳﺎﺕ‬
‫ﺍﻟﺘﻮﺯﻳﻊ‬ ‫ﻋﻠﻰ‬ ‫ﺷﺮﻭﻁ‬ ‫ﻫﻨﺎﻙ‬ ‫ﻟﻴﺲ‬
‫ﺻﻐﻴﺮﺓ‬ ‫ﻋﻴﻨﺎﺕ‬
(‫ﺍﻟﺘﻮﺯﻳﻊ‬ ‫ﻣﻌﺮﻓﺔ‬ ‫ﻋﺪﻡ‬ ‫ﺣﺎﻟﺔ‬ ‫)ﻓﻲ‬
‫ﺑﻌﺾ‬
‫ﺍﻻﺧﺘﺒﺎﺭﺍﺕ‬
‫ﻓﻲ‬ ‫ﺍﻟﻤﻤﻜﻨﺔ‬
SPSS
- One-Sample T Test
- Independent samples T Test
- Paired Samples T Test
- One-Way ANOVA
- Two-Way ANOVA
- Chi-Square Test
- Binomial Test
- Runs
- 1-Sample K-S
- 2-Sample K-S
- 2-Independent Samples
- K-Independent Samples
- 2-Related Samples
- K-Related Samples
‫ﺑﺎﺳﺗﺧﺩﺍﻡ‬ ‫ﺍﻻﺣﺻﺎﺋﻲ‬ ‫ﺍﻟﺗﺣﻠﻳﻝ‬
SPSS
‫ﺩ‬
‫ﺳﻠﻁﺎﻥ‬ ‫ﺧﻠﻑ‬ .
54
‫ﺍﻟﺸ‬ ‫ﺑﻌﺾ‬ ‫ﻣﻦ‬ ‫ﺍﻟﺘﺤﻘﻖ‬ ‫ﻁﺮﻕ‬
(‫)ﺍﻟﺒﺎﺭﺍﻣﺘﺮﻳﺔ‬ ‫ﺍﻟﻤﻌﻠﻤﻴﺔ‬ ‫ﺍﻻﺧﺘﺒﺎﺭﺍﺕ‬ ‫ﻓﻲ‬ ‫ﺍﻟﻨﻈﺎﻣﻴﺔ‬ ‫ﺮﻭﻁ‬
‫ﺍﻻﻋﺘﺪﺍﻟﻴﺔ‬ ‫ﺍﺧﺘﺒﺎﺭﺍﺕ‬
Normality Tests
(‫ﺍﻟﻄﺒﻴﻌﻲ‬ ‫ﻟﻠﺘﻮﺯﻳﻊ‬ ‫ﺍﻟﺒﻴﺎﻧﺎﺕ‬ ‫ﻣﻼﺋﻤﺔ‬ ‫)ﻣﺪﻯ‬
‫ﺧﻼﻝ‬ ‫ﻣﻦ‬ ‫ﺍﻟﻄﺒﻴﻌﻲ‬ ‫ﻟﻠﺘﻮﺯﻳﻊ‬ ‫ﺍﻟﺒﻴﺎﻧﺎﺕ‬ ‫ﻣﻼﺋﻤﺔ‬ ‫ﻣﺪﻯ‬ ‫ﻋﻦ‬ ‫ﺍﻟﻜﺸﻒ‬ ‫ﻳﺘﻢ‬
‫ﻋﺪﺓ‬
:‫ﻣﻨﻬﺎ‬ ‫ﺍﺧﺘﺒﺎﺭﺍﺕ‬
1
-
‫ﻛﻮﻟﻤﻮﺟﺮﻭﻑ‬ ‫ﺍﺧﺘﺒﺎﺭ‬
–
‫ﺳﻤﻴﺮﻧﻮﻑ‬
2
-
‫ﺷﺎﺑﻴﺮﻭ‬ ‫ﺍﺧﺘﺒﺎﺭ‬
–
‫ﻭﻳﻠﻚ‬
3
-
‫ﺍﻟﺮﺳﻢ‬
Q-Q
‫ﻋﻠﻰ‬ ‫ﻧﺘﻌﺮﻑ‬ ‫ﻭﺳﻮﻑ‬ .‫ﺍﻟﺪﺭﺍﺳﺔ‬ ‫ﻗﻴﺪ‬ ‫ﻣﺠﺘﻤﻊ‬ ‫ﻣﻦ‬ ‫ﻣﺴﺤﻮﺑﺔ‬ ‫ﺍﻟﺪﺭﺍﺳﺔ‬ ‫ﻗﻴﺪ‬ ‫ﺍﻟﻌﻴﻨﺔ‬ ‫ﻛﺎﻧﺖ‬ ‫ﺇﺫﺍ‬ ‫ﻣﺎ‬ ‫ﻟﻤﻌﺮﻓﺔ‬ ‫ﺍﻷﺳﺎﻟﻴﺐ‬ ‫ﻫﺬﻩ‬ ‫ﺗﺴﺘﺨﺪﻡ‬
.‫ﺍﻟﺘﺎﻟﻲ‬ ‫ﺍﻟﻤﺜﺎﻝ‬ ‫ﻣﻦ‬ ‫ﺍﻻﺧﺘﺒﺎﺭ‬ ‫ﺧﻄﻮﺍﺕ‬
) ‫ﺗﻄﺒﻴﻖ‬
4
(
‫ﺍﻟﻜﻠﻴﺎﺕ‬ ‫ﺑﺈﺣﺪﻯ‬ ‫ﺍﻹﺣﺼﺎء‬ ‫ﻣﻘﺮﺭ‬ ‫ﻓﻲ‬ ‫ﺍﻟﻄﻼﺏ‬ ‫ﺩﺭﺟﺎﺕ‬ ‫ﻣﻦ‬ ‫ﻋﺸﻮﺍﺋﻴﺔ‬ ‫ﻋﻴﻨﺔ‬ ‫ﺗﻤﺜﻞ‬ ‫ﺍﻟﺘﺎﻟﻴﺔ‬ ‫ﺍﻟﺒﻴﺎﻧﺎﺕ‬
15, 11, 8, 10, 12, 16, 14, 3, 11, 15, 10, 16, 7, 10, 15
‫ﻣﺠﺘﻤﻊ‬ ‫ﻣﻦ‬ ‫ﻣﺴﺤﻮﺑﺔ‬ ‫ﺍﻟﻌﻴﻨﺔ‬ ‫ﻫﺬﻩ‬ ‫ﻫﻞ‬
‫ﻁ‬
‫ﺒﻴﻌﻲ؟‬
(‫)ﺩﻻﻟﺔ‬ ‫ﻣﻌﻨﻮﻳﺔ‬ ‫ﻣﺴﺘﻮﻯ‬ ‫ﺍﺳﺘﺨﺪﻡ‬
5
.%
‫ﺍﻟﺨﻄﻮﺍﺕ‬
1
-
‫ﺍﻟﻔﺮﺿﻴﺎﺕ‬ ‫ﺻﻴﺎﻏﺔ‬
(‫ﺍﻟﻌﺪﻡ‬ ‫)ﻓﺮﺽ‬ ‫ﺍﻟﺼﻔﺮﻱ‬ ‫ﺍﻟﻔﺮﺽ‬
0
H
:
‫ﺍﻟﻄﺒﻴﻌﻲ‬ ‫ﻟﻠﺘﻮﺯﻳﻊ‬ ‫ﻳﺨﻀﻊ‬ ‫ﻣﺠﺘﻤﻊ‬ ‫ﻣﻦ‬ ‫ﻣﺴﺤﻮﺑﺔ‬ ‫ﺍﻟﺒﻴﺎﻧﺎﺕ‬
‫ﺍﻟﺒﺪﻳﻞ‬ ‫ﺍﻟﻔﺮﺽ‬
1
H
:
‫ﺍﻟﻄﺒﻴﻌﻲ‬ ‫ﻟﻠﺘﻮﺯﻳﻊ‬ ‫ﻳﺨﻀﻊ‬ ‫ﻻ‬ ‫ﻣﺠﺘﻤﻊ‬ ‫ﻣﻦ‬ ‫ﻣﺴﺤﻮﺑﺔ‬ ‫ﺍﻟﺒﻴﺎﻧﺎﺕ‬
2
-
:‫ﺍﻻﺧﺘﺒﺎﺭ‬ ‫ﻭﺇﺟﺮﺍء‬ ‫ﺍﻟﺒﻴﺎﻧﺎﺕ‬ ‫ﺇﺩﺧﺎﻝ‬
‫ﺍﻟﺒﻴﺎﻧﺎﺕ‬ ‫ﻧﺪﺧﻞ‬
‫ﺇﻟﻰ‬
‫ﺑﺮﻧﺎﻣﺞ‬
SPSS
:‫ﺍﻟﺘﺎﻟﻲ‬ ‫ﺍﻟﻤﺴﺎﺭ‬ ‫ﻭﻧﺨﺘﺎﺭ‬
Analyze  Descriptive Statistics  Explore
‫ﺑﺎﺳﺗﺧﺩﺍﻡ‬ ‫ﺍﻻﺣﺻﺎﺋﻲ‬ ‫ﺍﻟﺗﺣﻠﻳﻝ‬
SPSS
‫ﺩ‬
‫ﺳﻠﻁﺎﻥ‬ ‫ﺧﻠﻑ‬ .
55
‫ﺍﻟﻤﺮﺑﻊ‬ ‫ﻓﻲ‬ ‫ﺍﻟﺒﻴﺎﻧﺎﺕ‬ ‫ﻋﻠﻰ‬ ‫ﻳﺤﺘﻮﻱ‬ ‫ﺍﻟﺬﻱ‬ ‫ﺍﻟﻤﺘﻐﻴﺮ‬ ‫ﻧﺪﺧﻞ‬
Dependent List
‫ﻋﻠﻰ‬ ‫ﻧﻀﻐﻂ‬ ‫ﺛﻢ‬
Plot
‫ﺍﻟﻤﺮﺑﻊ‬ ‫ﻓﻴﻈﻬﺮ‬
:‫ﺍﻟﺘﺎﻟﻲ‬ ‫ﺍﻟﻔﺮﻋﻲ‬
‫ﻧﺨﺘﺎﺭ‬
Normal plots with tests
‫ﻭﻧﻀﻐﻂ‬
Continue
‫ﻧﻀﻐﻂ‬ ‫ﺛﻦ‬ ‫ﺍﻷﺻﻠﻲ‬ ‫ﻟﻠﻤﺮﺑﻊ‬ ‫ﻓﻨﺮﺟﻊ‬
OK
.‫ﺍﻟﻨﺘﺎﺋﺞ‬ ‫ﻓﺘﻈﻬﺮ‬
‫ﺑﺎﺳﺗﺧﺩﺍﻡ‬ ‫ﺍﻻﺣﺻﺎﺋﻲ‬ ‫ﺍﻟﺗﺣﻠﻳﻝ‬
SPSS
‫ﺩ‬
‫ﺳﻠﻁﺎﻥ‬ ‫ﺧﻠﻑ‬ .
56
‫ﻧﺨﺘﺎﺭ‬
‫ﺍﻟﻨﺘﺎﺋﺞ‬ ‫ﻣﻦ‬
‫ﻛﻮﻟﻤﻮﺟﺮﻭﻑ‬ ‫ﺍﺧﺘﺒﺎﺭ‬ ‫ﻳﻈﻬﺮ‬ ‫ﺍﻟﺬﻱ‬ ‫ﺍﻟﺘﺎﻟﻲ‬ ‫ﺍﻟﺠﺪﻭﻝ‬
–
‫ﻭﻳﻠﻚ‬ ‫ﺷﺎﺑﻴﺮﻭ‬ ‫ﺍﺧﺘﺒﺎﺭ‬ ‫ﻭﻛﺬﻟﻚ‬ ‫ﺳﻤﻴﺮﻧﻮﻑ‬
Tests of Normality
Kolmogorov-Smirnova Shapiro-Wilk
Statistic df Sig. Statistic df Sig.
Marks .156 15 .200* .921 15 .202
*. This is a lower bound of the true significance.
a. Lilliefors Significance Correction
‫ﺍﻟﺸﻜﻞ‬ ‫ﻳﻤﺜﻞ‬ ‫ﺍﻟﺬﻱ‬ ‫ﺍﻟﺘﺎﻟﻲ‬ ‫ﻭﺍﻟﺸﻜﻞ‬
Q-Q
3
-
‫ﻋ‬ ‫ﺍﻟﺘﻌﻠﻴﻖ‬
:‫ﻭﺍﻟﻘﺮﺍﺭ‬ ‫ﺍﻟﻨﺘﺎﺋﺞ‬ ‫ﻠﻰ‬
‫ﻗﻴﻤﺔ‬ ‫ﺃﻥ‬ ‫ﻫﻨﺎ‬ ‫ﻧﻼﺣﻆ‬
p-value (sig)=0.2
‫ﻭﺍﻥ‬ ‫ﻛﻮﻟﻤﻮﺟﺮﻭﻑ‬ ‫ﺍﺧﺘﺒﺎﺭ‬ ‫ﻓﻲ‬
p-value (sig)=0.202
‫ﻓﻲ‬
‫ﺷﺎﺑﻴﺮﻭ‬ ‫ﺍﺧﺘﺒﺎﺭ‬
–
‫ﻭﻳﻠﻚ‬
‫ﻣﻦ‬ ‫ﺍﻛﺒﺮ‬ ‫ﺍﻟﻘﻴﻢ‬ ‫ﻭﻫﺬﻩ‬
0.05
‫ﺍ‬ ‫)ﻣﺴﺘﻮﻱ‬
(‫ﻣﺴﺒﻘﺎ‬ ‫ﺍﻟﺒﺎﺣﺚ‬ ‫ﺣﺪﺩﻩ‬ ‫ﺍﻟﺬﻱ‬ ‫ﻟﻤﻌﻨﻮﻳﺔ‬
‫ﻓﺎﻥ‬ ‫ﻟﺬﻟﻚ‬
‫ﻗﺒﻮﻝ‬ ‫ﻫﻮ‬ ‫ﻫﻨﺎ‬ ‫ﺍﻟﻘﺮﺍﺭ‬
H0
‫ﻣﺠﺘ‬ ‫ﻣﻦ‬ ‫ﻣﺴﺤﻮﺑﺔ‬ ‫ﺍﻟﺒﻴﺎﻧﺎﺕ‬ ‫ﺃﻥ‬ ‫ﺃﻱ‬ ،
‫ﺍﻟﺸﻜﻞ‬ ‫ﻭﺑﻔﺤﺺ‬ .‫ﺍﻟﻄﺒﻴﻌﻲ‬ ‫ﻟﻠﺘﻮﺯﻳﻊ‬ ‫ﻳﺨﻀﻊ‬ ‫ﻤﻊ‬
Q-
Q
‫ﻟﻘﺒﻮﻝ‬ ‫ﻳﺪﻋﻢ‬ ‫ﻣﻤﺎ‬ ‫ﺍﻟﻤﺴﺘﻘﻴﻢ‬ ‫ﺍﻟﺨﻂ‬ ‫ﻋﻦ‬ ‫ﺑﺴﻴﻄﺔ‬ ‫ﺍﺧﺘﻼﻓﺎﺕ‬ ‫ﻫﻨﺎﻙ‬ ‫ﻧﻼﺣﻆ‬
H0
.
‫ﻣﻼﺣﻈﺎﺕ‬
1
-
‫ﻳﺴﺎﻭﻯ‬ ‫ﺃﻭ‬ ‫ﻣﻦ‬ ‫ﺍﻛﺒﺮ‬ ‫ﺍﻟﺪﺭﺍﺳﺔ‬ ‫ﻋﻴﻨﺔ‬ ‫ﺣﺠﻢ‬ ‫ﻛﺎﻥ‬ ‫ﻁﺎﻟﻤﺎ‬ ‫ﺍﻻﻋﺘﺪﺍﻟﻴﺔ‬ ‫ﺍﺧﺘﺒﺎﺭ‬ ‫ﻋﻦ‬ ‫ﺍﻻﺳﺘﻐﻨﺎء‬ ‫ﻳﻤﻜﻦ‬
30
‫ﻭﺫﻟﻚ‬ ‫ﻣﺸﺎﻫﺪﺓ‬
.‫ﺍﻟﻤﺮﻛﺰﻳﺔ‬ ‫ﺍﻟﻨﻬﺎﻳﺔ‬ ‫ﻧﻈﺮﻳﺔ‬ ‫ﺑﻤﻮﺟﺐ‬
Observed Value
15
10
5
Expected
Normal
2
1
0
-1
-2
Normal Q-Q Plot of Marks
‫ﺑﺎﺳﺗﺧﺩﺍﻡ‬ ‫ﺍﻻﺣﺻﺎﺋﻲ‬ ‫ﺍﻟﺗﺣﻠﻳﻝ‬
SPSS
‫ﺩ‬
‫ﺳﻠﻁﺎﻥ‬ ‫ﺧﻠﻑ‬ .
57
2
-
‫ﺃﺧﺮ‬ ‫ﻁﺮﻳﻘﺔ‬ ‫ﻳﻮﺟﺪ‬
‫ﻛﻮﻟﻤﻮﺟﺮﻭﻑ‬ ‫ﺑﺎﺳﺘﺨﺪﺍﻡ‬ ‫ﺍﻻﻋﺘﺪﺍﻟﻴﺔ‬ ‫ﻻﺧﺘﺒﺎﺭ‬ ‫ﻯ‬
–
‫ﺗﻨﻔﻴﺬﻫﺎ‬ ‫ﻭﻳﻤﻜﻦ‬ ‫ﺳﻤﻴﺮﻧﻮﻑ‬
‫ﺑ‬
‫ﺍﻟﻤﺴﺎﺭ‬ ‫ﺈﺗﺒﺎﻉ‬
Analyze  Nonparametric Tests  Legacy Dialog  1-sample K-S
‫ﺍﻟﺘﺎﻟﻲ‬ ‫ﺍﻟﺤﻮﺍﺭ‬ ‫ﻣﺮﺑﻊ‬ ‫ﻋﻠﻰ‬ ‫ﻧﺤﺼﻞ‬
‫ﺍﻟﺪﺭﺟﺎﺕ‬ ‫ﻣﺘﻐﻴﺮ‬ ‫ﻧﻨﻘﻞ‬
Marks
‫ﺍﻟﻤﺮﺑﻊ‬ ‫ﺩﺍﺧﻞ‬
Test variable List
‫ﻧﺨﺘﺎﺭ‬ ‫ﺛﻢ‬
Normal
‫ﺗﺤﺖ‬
Test
distribution
‫ﻭﻧﻀﻐﻂ‬
OK
‫ﻋﻠﻰ‬ ‫ﻓﻨﺤﺼﻞ‬
One-Sample Kolmogorov-Smirnov Test
Marks
N 15
Normal Parametersa,b Mean 11.5333
Std. Deviation 3.73911
Most Extreme Differences Absolute .156
Positive .116
Negative -.156
Test Statistic .156
Asymp. Sig. (2-tailed) .200c,d
a. Test distribution is Normal.
b. Calculated from data.
c. Lilliefors Significance Correction.
d. This is a lower bound of the true significance.
‫ﺃﻥ‬ ‫ﺃﻳﻀﺎ‬ ‫ﻧﻼﺣﻆ‬ ‫ﺍﻟﺠﺪﻭﻝ‬ ‫ﻣﻦ‬
Asymp sig (2-tailled)= 0.200
‫ﻣﻦ‬ ‫ﺍﻛﺒﺮ‬ ‫ﻭﻫﻲ‬
5
‫ﺗﺘﺒﻊ‬ ‫ﺍﻟﺪﺭﺟﺎﺕ‬ ‫ﻓﺎﻥ‬ ‫ﻭﺑﺎﻟﺘﺎﻟﻲ‬ %
.‫ﺍﻟﻄﺒﻴﻌﻲ‬ ‫ﺍﻟﺘﻮﺯﻳﻊ‬
‫ﺑﺎﺳﺗﺧﺩﺍﻡ‬ ‫ﺍﻻﺣﺻﺎﺋﻲ‬ ‫ﺍﻟﺗﺣﻠﻳﻝ‬
SPSS
‫ﺩ‬
‫ﺳﻠﻁﺎﻥ‬ ‫ﺧﻠﻑ‬ .
58
‫ﺑﻴﻦ‬ ‫ﺍﻟﺘﺠﺎﻧﺲ‬ ‫ﺷﺮﻁ‬ ‫ﺍﺧﺘﺒﺎﺭ‬
:‫ﺍﻟﻌﻴﻨﺎﺕ‬
Homogeneity of variance test
‫ﺑﺎﺧﺘﺒﺎﺭ‬ ‫ﺃﻳﻀﺎ‬ ‫ﻫﺬﺍ‬ ‫ﻭﻳﻌﺮﻑ‬
‫ﻟﻴﻔﻨﻲ‬
Levene's Test
‫ﻭﻧﺮ‬ ‫ﻋﻴﻨﺎﺕ‬ ‫ﻋﺪﺓ‬ ‫ﻟﺪﻳﻨﺎ‬ ‫ﻳﻜﻮﻥ‬ ‫ﻋﻨﺪﻣﺎ‬ ‫ﺍﻻﺧﺘﺒﺎﺭ‬ ‫ﻫﺬﺍ‬ ‫ﺍﺳﺘﺨﺪﺍﻡ‬ ‫ﻳﺘﻢ‬
‫ﺍﻟﻌﻴﻨﺎﺕ‬ ‫ﻫﺬﻩ‬ ‫ﺗﺠﺎﻧﺲ‬ ‫ﺍﺧﺘﺒﺎﺭ‬ ‫ﻓﻲ‬ ‫ﻏﺐ‬
‫ﻧﻘﻮﻡ‬ ‫ﻭﺳﻮﻑ‬
:‫ﺍﻟﺘﺎﻟﻲ‬ ‫ﺍﻟﺘﺪﺭﻳﺐ‬ ‫ﺧﻼﻝ‬ ‫ﻣﻦ‬ ‫ﺍﻻﺧﺘﺒﺎﺭ‬ ‫ﺑﺘﻮﺿﻴﺢ‬
) ‫ﺗﻄﺒﻴﻖ‬
5
(
‫ﻣﻘﺮ‬ ‫ﻓﻲ‬ ‫ﻣﺨﺘﻠﻔﺔ‬ ‫ﺷﻌﺐ‬ ‫ﺛﻼﺙ‬ ‫ﻁﻼﺏ‬ ‫ﺩﺭﺟﺎﺕ‬ ‫ﻳﻤﺜﻞ‬ ‫ﺍﻟﺘﺎﻟﻲ‬ ‫ﺍﻟﺠﺪﻭﻝ‬
‫ﺑﻜﻠﻴﺔ‬ ‫ﺍﻹﺣﺼﺎء‬ ‫ﺭ‬
‫ﺍﻹﺩﺍﺭﻳﺔ‬ ‫ﺍﻟﻌﻠﻮﻡ‬
‫ﻓﻲ‬ ‫ﻭﻧﺮﻏﺐ‬
‫ﻣﻌﻨﻮﻳﺔ‬ ‫ﻣﺴﺘﻮﻯ‬ ‫ﻋﻨﺪ‬ ‫ﻣﺘﺠﺎﻧﺴﺔ‬ ‫ﺍﻟﺸﻌﺐ‬ ‫ﻫﺬﻩ‬ ‫ﻁﻼﺏ‬ ‫ﺩﺭﺟﺎﺕ‬ ‫ﻛﺎﻧﺖ‬ ‫ﺇﺫﺍ‬ ‫ﻣﺎ‬ ‫ﺍﺧﺘﺒﺎﺭ‬
5
.%
‫ﺷﻌﺒﺔ‬
1
‫ﺷﻌﺒﺔ‬
2
‫ﺷﻌﺒﺔ‬
3
18
15
10
12
10
12
8
8
15
5
14
20
10
3
18
16
18
17
11
10
19
4
14
14
10
7
10
:‫ﺍﻟﺘﻨﻔﻴﺬ‬ ‫ﺧﻄﻮﺍﺕ‬
1
-
:‫ﺍﻟﻔﺮﺿﻴﺎﺕ‬ ‫ﺻﻴﺎﻏﺔ‬
H0
‫ﻣﺘﺠﺎﻧﺴﺔ‬ ‫ﺍﻟﺜﻼﺙ‬ ‫ﺍﻟﺸﻌﺐ‬ ‫ﻁﻼﺏ‬ ‫ﺩﺭﺟﺎﺕ‬ :
H1
‫ﻣﺘﺠﺎﻧﺴﺔ‬ ‫ﻏﻴﺮ‬ ‫ﺍﻟﺜﻼﺙ‬ ‫ﺍﻟﺸﻌﺐ‬ ‫ﻁﻼﺏ‬ ‫ﺩﺭﺟﺎﺕ‬ :
‫ﺑﺎﺳﺗﺧﺩﺍﻡ‬ ‫ﺍﻻﺣﺻﺎﺋﻲ‬ ‫ﺍﻟﺗﺣﻠﻳﻝ‬
SPSS
‫ﺩ‬
‫ﺳﻠﻁﺎﻥ‬ ‫ﺧﻠﻑ‬ .
59
2
-
:‫ﺍﻻﺧﺘﺒﺎﺭ‬ ‫ﻭﺗﻨﻔﻴﺬ‬ ‫ﺍﻟﺒﻴﺎﻧﺎﺕ‬ ‫ﺇﺩﺧﺎﻝ‬
‫ﺑﺮﻧﺎﻣﺞ‬ ‫ﻓﻲ‬ ‫ﻫﻨﺎ‬ ‫ﺍﻟﺒﻴﺎﻧﺎﺕ‬ ‫ﺇﺩﺧﺎﻝ‬ ‫ﻳﺘﻢ‬
SPSS
‫ﺩﺭﺟﺎﺕ‬ ‫ﺍﻷﻭﻝ‬ ‫ﺍﻟﻌﻤﻮﺩ‬ ‫ﻳﻤﺜﻞ‬ ‫ﺣﻴﺚ‬ ،‫ﻣﺨﺘﻠﻔﻴﻦ‬ ‫ﻋﻤﻮﺩﻳﻦ‬ ‫ﻓﻲ‬
‫ﺑﺎ‬ ‫ﻛﻤﺎ‬ ‫ﻁﺎﻟﺐ‬ ‫ﻟﻜﻞ‬ ‫ﺍﻟﺸﻌﺒﺔ‬ ‫ﺭﻗﻢ‬ ‫ﺍﻟﺜﺎﻧﻲ‬ ‫ﺍﻟﻌﻤﻮﺩ‬ ‫ﻭﻳﻤﺜﻞ‬ ،‫ﺍﻟﻄﻼﺏ‬
:‫ﺍﻟﺘﺎﻟﻲ‬ ‫ﻟﺸﻜﻞ‬
:‫ﺍﻟﺘﺎﻟﻲ‬ ‫ﺍﻟﻤﺴﺎﺭ‬ ‫ﻧﺨﺘﺎﺭ‬ ‫ﺛﻢ‬
Analyze  Compare Means  One-way ANOVA
‫ﺍﻟﺤﻮﺍﺭ‬ ‫ﻣﺮﺑﻊ‬ ‫ﻓﻴﻈﻬﺮ‬
‫ﺍﻻﺗﻲ‬
‫ﺑﺎﺳﺗﺧﺩﺍﻡ‬ ‫ﺍﻻﺣﺻﺎﺋﻲ‬ ‫ﺍﻟﺗﺣﻠﻳﻝ‬
SPSS
‫ﺩ‬
‫ﺳﻠﻁﺎﻥ‬ ‫ﺧﻠﻑ‬ .
60
‫ﺍﻟﻤﺮﺑﻊ‬ ‫ﻓﻲ‬ ‫ﺍﻟﺪﺭﺟﺎﺕ‬ ‫ﻋﻤﻮﺩ‬ ‫ﻧﺪﺧﻞ‬
Dependent List
‫ﺍﻟﻤﺮﺑﻊ‬ ‫ﻓﻲ‬ ‫ﺍﻟﻤﺠﻤﻮﻋﺎﺕ‬ ‫ﻭﻋﻤﻮﺩ‬
Factor
‫ﻧﻀﻐﻂ‬ ‫ﺛﻢ‬
option
‫ﻣﻨﻪ‬ ‫ﻧﺨﺘﺎﺭ‬ ‫ﻓﺮﻋﻲ‬ ‫ﺣﻮﺍﺭ‬ ‫ﻣﺮﺑﺢ‬ ‫ﻓﻴﻈﻬﺮ‬
‫ﻧﻀﻐﻂ‬ ‫ﺛﻢ‬
continue
‫ﻓﻨﺮﺟﻊ‬
‫ﻟﻤ‬
‫ﺍﻷﺳﺎﺳﻲ‬ ‫ﺍﻟﺤﻮﺍﺭ‬ ‫ﺮﺑﻊ‬
‫ﻭﻧﻀﻐﻂ‬
OK
‫ﻓﻘﻂ‬ ‫ﺍﻟﻤﺮﺣﻠﺔ‬ ‫ﻫﺬﻩ‬ ‫ﻓﻲ‬ ‫ﺍﻟﻨﺘﺎﺋﺞ‬ ‫ﻣﻦ‬ ‫ﻧﺨﺘﺎﺭ‬ .‫ﺍﻟﻨﺘﺎﺋﺞ‬ ‫ﻓﺘﻈﻬﺮ‬
‫ﺍﻟﺠﺪﻭﻝ‬
Test
of Homogeneity of Variance
‫ﻋﻨﺪ‬ ً‫ﺎ‬‫ﻻﺣﻘ‬ ‫ﺗﻔﺴﻴﺮﻩ‬ ‫ﻳﺘﻢ‬ ‫ﻭﺳﻮﻑ‬ ‫ﺍﻵﻥ‬ ‫ﺑﻪ‬ ‫ﻧﻬﺘﻢ‬ ‫ﻻ‬ ‫ﺍﻟﺘﺒﺎﻳﻦ‬ ‫ﺗﺤﻠﻴﻞ‬ ‫ﺟﺪﻭﻝ‬ .
.‫ﻭﺍﺣﺪ‬ ‫ﺍﺗﺠﺎﻩ‬ ‫ﻓﻲ‬ ‫ﺍﻟﺘﺒﺎﻳﻦ‬ ‫ﺗﺤﻠﻴﻞ‬ ‫ﻋﻦ‬ ‫ﺍﻟﺤﺪﻳﺚ‬
3
-
‫ﻳﻤﻜﻦ‬ :‫ﻭﺍﻟﻘﺮﺍﺭ‬ ‫ﺍﻟﻨﺘﺎﺋﺞ‬ ‫ﻋﻠﻰ‬ ‫ﺍﻟﺘﻌﻠﻴﻖ‬
‫ﻛﺎﻟﺘﺎﻟﻲ‬ ‫ﻭﺗﻔﺴﻴﺮﻫﺎ‬ ‫ﺍﻟﻨﺘﺎﺋﺞ‬ ‫ﺗﻔﺮﻳﻎ‬
‫ﻟﻴﻔﻨﻲ‬ ‫ﺇﺣﺼﺎﺋﻴﺔ‬
Levene’ Statistic
) ‫ﺍﻟﺤﺮﻳﺔ‬ ‫ﺩﺭﺟﺎﺕ‬
1
(
‫ﺍﻟﺤﺮﻳﺔ‬ ‫ﺩﺭﺟﺎﺕ‬
)
2
(
P-value (sig)
‫ﺍﻟﻘﻴﻤﺔ‬
‫ﺍﻻﺣﺘﻤﺎﻟﻴﺔ‬
0.176
2
24
0.839
‫ﻗﻴﻤﺔ‬ ‫ﺃﻥ‬ ‫ﺍﻟﺠﺪﻭﻝ‬ ‫ﻣﻦ‬ ‫ﻧﻼﺣﻆ‬
p-value=0.839
‫ﻣﻦ‬ ‫ﺑﻜﺜﻴﺮ‬ ‫ﺍﻛﺒﺮ‬ ‫ﻭﻫﻲ‬
0.05
‫ﺗﺤﺪﻳﺪﻩ‬ ‫ﺗﻢ‬ ‫ﺍﻟﺬﻱ‬ ‫ﺍﻟﻤﻌﻨﻮﻳﺔ‬ ‫)ﻣﺴﺘﻮﻯ‬
‫ﺍﻟﻘﺮﺍ‬ ‫ﻓﺎﻥ‬ ‫ﻭﺑﺎﻟﺘﺎﻟﻲ‬ (‫ﻣﺴﺒﻘﺎ‬
‫ﻗﺒﻮﻝ‬ ‫ﻫﻮ‬ ‫ﺭ‬
H0
.‫ﻣﺘﺠﺎﻧﺴﺔ‬ ‫ﺍﻟﺜﻼﺛﺔ‬ ‫ﺍﻟﺸﻌﺐ‬ ‫ﻁﻼﺏ‬ ‫ﺩﺭﺟﺎﺕ‬ ‫ﺃﻥ‬ ‫ﺃﻱ‬ ،
Test of Homogeneity of Variances
Marks
Levene Statistic Df1 df2 Sig.
0.176 2 24 0.839
‫ﺑﺎﺳﺗﺧﺩﺍﻡ‬ ‫ﺍﻻﺣﺻﺎﺋﻲ‬ ‫ﺍﻟﺗﺣﻠﻳﻝ‬
SPSS
‫ﺩ‬
‫ﺳﻠﻁﺎﻥ‬ ‫ﺧﻠﻑ‬ .
61
‫ﺍﻟ‬ ‫ﺍﻟﺠﺰء‬
‫ﺮﺍﺑﻊ‬
‫ﺍﻟﻤﻌﻠﻤﻴﺔ‬ ‫ﺍﻻﺧﺘﺒﺎﺭﺍﺕ‬
Parametric Tests
)
1
-
4
‫ﻣﻘﺪﻣﺔ‬ (
‫ﺑﺮﻧﺎﻣ‬ ‫ﻓﻲ‬ ‫ﺍﻟﻤﻮﺟﻮﺩﺓ‬ ‫ﺍﻟﻤﻌﻠﻤﻴﺔ‬ ‫ﺍﻻﺧﺘﺒﺎﺭﺍﺕ‬ ‫ﺑﻌﺾ‬ ‫ﺍﻟﺠﺰء‬ ‫ﻫﺬﺍ‬ ‫ﻓﻲ‬ ‫ﻧﻮﺿﺢ‬ ‫ﺳﻮﻑ‬
‫ﺞ‬
SPSS
‫ﻭ‬ ‫ﺍﻟﻤﻌﻠﻤﻴﺔ‬ ‫ﺍﻹﺣﺼﺎﺋﻴﺔ‬ ‫ﺍﻻﺧﺘﺒﺎﺭﺍﺕ‬ ‫ﺑﻌﺾ‬ ‫ﻳﻤﺜﻞ‬ ‫ﺍﻟﺘﺎﻟﻲ‬ ‫ﺍﻟﺠﺪﻭﻝ‬
‫ﺍﺳﺘﺨﺪﺍﻣﻬﺎ‬
‫ﻭﺧﺼﺎﺋﺼﻬﺎ‬
‫ﺍﻻﺧﺘﺒﺎﺭ‬
‫ﺍﻻﺳﺘﺨﺪﺍﻡ‬
‫ﺍﻟﺸﺮﻭﻁ‬
One Sample T Test
(One sample)
‫ﻓﺮﺿﻴﺎﺕ‬ ‫ﺻﺤﺔ‬ ‫ﻣﻦ‬ ‫ﺍﻟﺘﺤﻘﻖ‬
‫ﻁﺒﻴﻌﻲ‬ ‫ﻣﺠﺘﻤﻊ‬ ‫ﻣﺘﻮﺳﻂ‬ ‫ﺣﻮﻝ‬
‫ﻳﺤﺪﺩﻩ‬ ‫ﻣﻌﻨﻮﻳﺔ‬ ‫ﻣﺴﺘﻮﻯ‬ ‫ﻋﻨﺪ‬
‫ﺍﻟﺒﺎﺣﺚ‬
‫ﺍﻻﻋﺘﺪﺍﻟﻴﺔ‬
–
‫ﺍﻟﻌﺸﻮﺍﺋﻴﺔ‬
–
‫ﻗ‬
‫ﻴﺎﺳﺎﺕ‬
‫ﻛﻤﻴﺔ‬
Independent samples T Test
(Two Independent samples)
‫ﻣﺘﻮﺳﻄﻲ‬ ‫ﺗﺴﺎﻭﻯ‬ ‫ﻣﻦ‬ ‫ﺍﻟﺘﺤﻘﻖ‬
‫ﻣﺠﺘﻤﻌﻴﻦ‬
‫ﺍﻻﻋﺘﺪﺍﻟﻴﺔ‬
–
‫ﺍﻟﻌﺸﻮﺍﺋﻴﺔ‬
-
‫ﺍﻻﺳﺘﻘﻼﻝ‬
–
‫ﻛﻤﻴﺔ‬ ‫ﻗﻴﺎﺳﺎﺕ‬
Paired-Sample T test
(two related samples)
‫ﻣﺠﻤﻮﻋﺔ‬ ‫ﻋﻠﻰ‬ ‫ﻣﺎ‬ ‫ﻣﻌﺎﻟﺠﺔ‬ ‫ﺗﺄﺛﻴﺮ‬
‫ﺍﻟﻘﻴﺎﺱ‬ ‫ﺑﺘﻜﺮﺍﺭ‬ ‫ﻭﺫﻟﻚ‬ ‫ﺗﺠﺮﻳﺒﻴﺔ‬
‫ﺍﻟﻤﻌﺎﻟﺠﺔ‬ ‫ﻭﺑﻌﺪ‬ ‫ﻗﺒﻞ‬
‫ﺍﻭ‬
‫ﻋﻴﻨﺘﺎﻥ‬
‫ﻣﺮﺗﺒﻄﺘﺎﻥ‬
‫ﺍﻻﻋﺘﺪﺍﻟﻴﺔ‬
–
‫ﺍﻟﻌﺸﻮﺍﺋﻴﺔ‬
–
‫ﻛﻤﻴﺔ‬ ‫ﻗﻴﺎﺳﺎﺕ‬
One-Way ANOVA
(More than two independent samples)
‫ﺃﻛﺜﺮ‬ ‫ﻣﺘﻮﺳﻄﺎﺕ‬ ‫ﺑﻴﻦ‬ ‫ﻟﻠﻤﻘﺎﺭﻧﺔ‬
‫ﻋﻴﻨﺘﻴﻦ‬ ‫ﻣﻦ‬
‫ﺍﻻﻋﺘﺪﺍﻟﻴﺔ‬
–
‫ﺍﻟﻌﺸﻮﺍﺋﻴﺔ‬
-
‫ﺍﻻﺳﺘﻘﻼﻝ‬
–
‫ﺍﻟﺘﺠﺎﻧﺲ‬
-
‫ﻗ‬
‫ﻛﻤﻴﺔ‬ ‫ﻴﺎﺳﺎﺕ‬
‫ﻣﻼﺣﻈﺎﺕ‬
1
-
‫ﻣﻦ‬ ‫ﺃﻛﺜﺮ‬ ‫ﻋﻴﻨﺔ‬ ‫ﻛﻞ‬ ‫ﻓﻲ‬ ‫ﻫﻨﺎﻙ‬ ‫ﻳﻜﻮﻥ‬ ‫ﻋﻨﺪﻣﺎ‬ ‫ﺍﻻﻋﺘﺪﺍﻟﻴﺔ‬ ‫ﺷﺮﻁ‬ ‫ﻋﻦ‬ ‫ﺍﻻﺳﺘﻐﻨﺎء‬ ‫ﻳﻤﻜﻦ‬
30
‫ﻣﺸﺎﻫﺪ‬
،‫ﺓ‬
2
-
‫ﺍﻟﺘﺒﺎﻳﻦ‬ ‫ﺗﺤﻠﻴﻞ‬ ‫ﻓﻲ‬ ‫ﻧﺮﻏﺐ‬ ‫ﻋﻨﺪﻣﺎ‬ ‫ﻓﻘﻂ‬ ‫ﺍﻟﺘﺠﺎﻧﺲ‬ ‫ﺷﺮﻁ‬ ‫ﺍﺧﺘﺒﺎﺭ‬ ‫ﻳﺘﻢ‬
(‫ﺍﻟﺘﺠﺎﻧﺲ‬ ‫ﺷﺮﻁ‬ ‫ﺑﺪﻭﻥ‬ ‫ﺍﻟﻤﺰﺩﻭﺟﺔ‬ ‫ﺍﻟﻤﻘﺎﺭﻧﺎﺕ‬ ‫ﺍﺟﺮﺍء‬ ‫)ﻭﻳﻤﻜﻦ‬
3
-
(‫)ﻋﻴﻨﺎﺕ‬ ‫ﻋﻴﻨﺔ‬ ‫ﺗﺼﻤﻴﻢ‬ ‫ﻋﻨﺪ‬ ‫ﺍﻻﻋﺘﺒﺎﺭ‬ ‫ﻓﻲ‬ ‫ﻳﺄﺧﺬﻫﺎ‬ ‫ﺃﻥ‬ ‫ﻳﺠﺐ‬ ‫ﺍﻟﺒﺎﺣﺚ‬ ‫ﻻﻥ‬ ‫ﺍﺧﺘﺒﺎﺭﻫﺎ‬ ‫ﻳﺘﻢ‬ ‫ﻻ‬ ‫ﺍﻷﺧﺮﻯ‬ ‫ﺍﻟﺸﺮﻭﻁ‬
.‫ﺍﻟﺪﺭﺍﺳﺔ‬
‫ﺑﺎﺳﺗﺧﺩﺍﻡ‬ ‫ﺍﻻﺣﺻﺎﺋﻲ‬ ‫ﺍﻟﺗﺣﻠﻳﻝ‬
SPSS
‫ﺩ‬
‫ﺳﻠﻁﺎﻥ‬ ‫ﺧﻠﻑ‬ .
62
)
2
-
4
‫ﺕ‬ "‫ﺍﺧﺘﺒﺎﺭ‬ (
‫ﻟﻤﺘﻮﺳﻂ‬ "
‫ﻣﺠﺘﻤﻊ‬
One Sample T Test
‫ﺍﺧﺘﺒﺎﺭ‬ ‫ﻓﻲ‬ ‫ﺍﻟﺒﺎﺣﺚ‬ ‫ﻳﺮﻏﺐ‬ ‫ﻋﻨﺪﻣﺎ‬ ‫ﺍﻻﺧﺘﺒﺎﺭ‬ ‫ﻫﺬﺍ‬ ‫ﻳﺴﺘﺨﺪﻡ‬
‫ﺇﺫﺍ‬ ‫ﻣﺎ‬
‫ﻣﺎ‬ ‫ﻗﻴﻤﺔ‬ ‫ﻳﺴﺎﻭﻱ‬ ‫ﺍﻟﻤﺠﺘﻤﻊ‬ ‫ﻣﺘﻮﺳﻂ‬ ‫ﻛﺎﻥ‬
‫ﻣﺒﻨﻴﺔ‬ ‫ﺍﻟﻘﻴﻤﺔ‬ ‫ﻭﻫﺬﻩ‬
:‫ﺍﻟﺘﺎﻟﻲ‬ ‫ﺍﻟﺘﺪﺭﻳﺐ‬ ‫ﺧﻼﻝ‬ ‫ﻣﻦ‬ ‫ﺍﻻﺧﺘﺒﺎﺭ‬ ‫ﺧﻄﻮﺍﺕ‬ ‫ﻧﻮﺿﺢ‬ ‫ﻭﺳﻮﻑ‬ .‫ﻭﻋﻤﻠﻴﺔ‬ ‫ﻧﻈﺮﻳﺔ‬ ‫ﺍﻋﺘﺒﺎﺭﺍﺕ‬ ‫ﻋﻠﻰ‬
) ‫ﺗﻄﺒﻴﻖ‬
6
(
‫ﻣﻦ‬ ‫ﻋﻴﻨﺔ‬ ‫ﺃﻋﻤﺎﺭ‬ ‫ﺗﻤﺜﻞ‬ ‫ﺍﻟﺘﺎﻟﻴﺔ‬ ‫ﺍﻟﺒﻴﺎﻧﺎﺕ‬
10
‫ﻧﻮﻉ‬ ‫ﻣﻦ‬ ‫ﻟﻠﺴﻴﺎﺭﺍﺕ‬ ‫ﺑﻄﺎﺭﻳﺎﺕ‬
.‫ﻣﺎ‬
‫ﻫﻞ‬
‫ﻫﺬﺍ‬ ‫ﻣﻦ‬ ‫ﺍﻟﺒﻄﺎﺭﻳﺔ‬ ‫ﻋﻤﺮ‬ ‫ﻣﺘﻮﺳﻂ‬ ‫ﺃﻥ‬ ‫ﺗﺮﻯ‬
‫ﻫﻮ‬ ‫ﺍﻟﻨﻮﻉ‬
22
‫ﻣﻌﻨﻮﻳﺔ‬ ‫ﻣﺴﺘﻮﻯ‬ ‫ﺍﺳﺘﺨﺪﻡ‬ ‫ﺷﻬﺮ؟‬
1
.%
24, 21, 19, 27, 26, 20, 18, 17, 22, 21
‫ﺍﻟﺘﻨﻔﻴﺬ‬ ‫ﺧﻄﻮﺍﺕ‬
1
-
:‫ﺍﻟﻔﺮﺿﻴﺎﺕ‬ ‫ﺻﻴﺎﻏﺔ‬
H0
= ‫ﺍﻟﻨﻮﻉ‬ ‫ﻫﺬﺍ‬ ‫ﻣﻦ‬ ‫ﺍﻟﺒﻄﺎﺭﻳﺔ‬ ‫ﻋﻤﺮ‬ ‫ﻣﺘﻮﺳﻂ‬ :
22
ً‫ﺍ‬‫ﺷﻬﺮ‬
H1
‫ﻳﺴﺎﻭﻱ‬ ‫ﻻ‬ ‫ﺍﻟﻨﻮﻉ‬ ‫ﻫﺬﺍ‬ ‫ﻣﻦ‬ ‫ﺍﻟﺒﻄﺎﺭﻳﺔ‬ ‫ﻋﻤﺮ‬ ‫ﻣﺘﻮﺳﻂ‬ :
22
ً‫ﺍ‬‫ﺷﻬﺮ‬
2
-
:‫ﺍﻻﺧﺘﺒﺎﺭ‬ ‫ﻭﺗﻨﻔﻴﺬ‬ ‫ﺍﻟﺒﻴﺎﻧﺎﺕ‬ ‫ﺇﺩﺧﺎﻝ‬
‫ﺃﻋ‬ ‫ﺇﺩﺧﺎﻝ‬ ‫ﺑﻌﺪ‬
‫ﺩﺍﺧﻞ‬ ‫ﺍﻟﺒﻄﺎﺭﻳﺎﺕ‬ ‫ﻤﺎﺭ‬
SPSS
‫ﺍﻟﻤﺘﻐﻴﺮ‬ ‫ﺑﺎﺳﻢ‬
Age
‫ﺍﻟﺘﺎﻟﻲ‬ ‫ﺍﻟﻤﺴﺎﺭ‬ ‫ﻧﺨﺘﺎﺭ‬ ‫ﻣﺜﻼ‬
Analyze  Compare Means  One-sample T Tests
‫ﺍﻟﺘﺎﻟﻲ‬ ‫ﺍﻟﺤﻮﺍﺭ‬ ‫ﻣﺮﺑﻊ‬ ‫ﻟﻨﺎ‬ ‫ﻳﻈﻬﺮ‬
‫ﺑﺎﺳﺗﺧﺩﺍﻡ‬ ‫ﺍﻻﺣﺻﺎﺋﻲ‬ ‫ﺍﻟﺗﺣﻠﻳﻝ‬
SPSS
‫ﺩ‬
‫ﺳﻠﻁﺎﻥ‬ ‫ﺧﻠﻑ‬ .
63
‫ﺍﻟﻤﺘﻐﻴﺮ‬ ‫ﻧﻨﻘﻞ‬
Age
‫ﺍﻟﻤﺮﺑﻊ‬ ‫ﺇﻟﻰ‬
Test Variable (s)
‫ﺍﻟﻤﺘﻮﺳﻂ‬ ‫ﻗﻴﻤﺔ‬ ‫ﻧﻜﺘﺐ‬ ‫ﺛﻢ‬
22
‫ﺍﻟﻤﺮﺑﻊ‬ ‫ﻓﻲ‬ ‫ﺍﺧﺘﺒﺎﺭﻫﺎ‬ ‫ﺍﻟﻤﻄﻠﻮﺏ‬
Test values
‫ﻧ‬ ‫ﺛﻢ‬ ،
‫ﻀﻐﻂ‬
OK
:‫ﺍﻟﺘﺎﻟﻲ‬ ‫ﺍﻟﺠﺪﻭﻝ‬ ‫ﻣﻨﻬﺎ‬ ‫ﻧﺨﺘﺎﺭ‬ ‫ﻧﺘﺎﺋﺞ‬ ‫ﻋﻠﻰ‬ ‫ﻓﻨﺤﺼﻞ‬
3
-
‫ﻭﺍﻟﻘﺮﺍﺭ‬ ‫ﺍﻟﻨﺘﺎﺋﺞ‬ ‫ﻋﻠﻰ‬ ‫ﺍﻟﺘﻌﻠﻴﻖ‬
:‫ﺃﻥ‬ ‫ﻧﺠﺪ‬ ‫ﺍﻟﺴﺎﺑﻖ‬ ‫ﺍﻟﻨﺘﺎﺋﺞ‬ ‫ﺟﺪﻭﻝ‬ ‫ﻣﻦ‬
-
‫ﻗﻴﻤﺔ‬
t =- 0.478
-
‫ﺍﻟﺤﺮﻳﺔ‬ ‫ﺩﺭﺟﺎﺕ‬
df = 9
-
‫ﺍﺣﺘﻤﺎﻝ‬
‫ﺍﻟﺨﻄﺄ‬
p-value = sig(2-tailled) = 0.644
-
‫ﺍﺧﺘﺒﺎﺭﻫﺎ‬ ‫ﺍﻟﻤﻄﻠﻮﺏ‬ ‫ﻭﺍﻟﻘﻴﻤﺔ‬ ‫ﺍﻟﻌﻴﻨﺔ‬ ‫ﻣﺘﻮﺳﻂ‬ ‫ﺑﻴﻦ‬ ‫ﺍﻟﻔﺮﻕ‬
Mean Difference=-.500
-
95
‫ﻫﻲ‬ ‫ﻟﻠﻔﺮﻕ‬ ‫ﺛﻘﺔ‬ ‫ﻓﺘﺮﺓ‬ %
(-2.87,1.87)
‫ﻗﻴﻤﺔ‬ ‫ﺃﻥ‬ ‫ﻭﺣﻴﺚ‬
p-value
‫ﺃﻛﺒﺮ‬
‫ﺍﻟﻘﺮﺍﺭ‬ ‫ﻓﺎﻥ‬ ‫ﺍﻟﺒﺎﺣﺚ‬ ‫ﺣﺪﺩﻩ‬ ‫ﺍﻟﺬﻱ‬ ‫ﺍﻟﻤﻌﻨﻮﻳﺔ‬ ‫ﻣﺴﺘﻮﻯ‬ ‫ﻗﻴﻤﺔ‬ ‫ﻣﻦ‬
‫ﻭﻋ‬
‫ﺪﻡ‬
‫ﺍﻟﻔﺮﺽ‬ ‫ﺭﻓﺾ‬
H0
‫ﻫﺬﺍ‬ ‫ﻣﻦ‬ ‫ﺍﻟﺒﻄﺎﺭﻳﺔ‬ ‫ﻋﻤﺮ‬ ‫ﻣﺘﻮﺳﻂ‬ ‫ﺃﻥ‬ ‫ﺃﻱ‬
‫ﻳﺴﺎﻭﻱ‬ ‫ﺍﻟﻨﻮﻉ‬
22
.‫ﺷﻬﺮ‬
‫ﻗﻴﻤﺔ‬ ‫ﺃﻥ‬ ‫ﺣﻴﺚ‬ :‫ﺍﻟﺤﻘﻴﻘﻲ‬ ‫ﺍﻟﻤﺘﻮﺳﻂ‬ ‫ﺍﺗﺠﺎﻩ‬ ‫ﻭﻟﺘﺤﺪﻳﺪ‬
Mean Difference =-.500
‫ﻗﻴﻤﺔ‬ ‫ﻭﻫﻲ‬
‫ﺳﺎﻟﺒﺔ‬
‫ﺍﻟﺤﻘﻴﻘﻲ‬ ‫ﺍﻟﻔﺮﻕ‬ ‫ﻓﺎﻥ‬
‫ﺍ‬
‫ﻗﻞ‬
‫ﻣﻦ‬
22
‫ﺑﺎﺣﺘﻤﺎﻝ‬ ً‫ﺍ‬‫ﺷﻬﺮ‬
‫ﺻﻐﻴﺮ‬
‫ﻣﻘﺪﺍﺭﻩ‬
p-value/2=0.322
‫ﻣﻼﺣﻈﺔ‬
‫ﻳﺒﻴﻦ‬
‫ﺍﻟﺠﺪﻭﻝ‬
‫ﺃﻥ‬
‫ﻓﺘﺮﺓ‬
‫ﺛﻘﺔ‬
‫ﺍﻻﺧﺘﺒﺎﺭ‬
)
-2.87, 1.87)
،
‫ﻭﻫﻲ‬
‫ﻧﻔﺴﻬﺎ‬
‫ﻧ‬ ‫ﻓﺈﻧﻨﺎ‬ ‫ﺍﻟﺼﻔﺮ‬ ‫ﺗﺤﺘﻮﻱ‬
‫ﻘﺒﻞ‬
H0
.
‫ﺑﺎﺳﺗﺧﺩﺍﻡ‬ ‫ﺍﻻﺣﺻﺎﺋﻲ‬ ‫ﺍﻟﺗﺣﻠﻳﻝ‬
SPSS
‫ﺩ‬
‫ﺳﻠﻁﺎﻥ‬ ‫ﺧﻠﻑ‬ .
64
)
3
-
4
‫ﻋﻴﻨﺘﻴﻦ‬ ‫ﺣﺎﻟﺔ‬ ‫ﻓﻲ‬ ‫ﻣﺠﺘﻤﻌﻴﻦ‬ ‫ﻣﺘﻮﺳﻄﻲ‬ ‫ﺑﻴﻦ‬ ‫ﻟﻠﻤﻘﺎﺭﻧﺔ‬ "‫"ﺕ‬ ‫ﺍﺧﺘﺒﺎﺭ‬ (
)
3
-
4
-
1
‫ﺣﺎﻟﺔ‬ (
‫ﻋﻴﻨﺘﻴﻦ‬
‫ﻣﺴﺘﻘﻠﺘﻴﻦ‬
Two Samples T Test
‫ﻣﻨﺎﺳﺐ‬ ‫ﺍﻻﺧﺘﺒﺎﺭ‬ ‫ﻫﺬﺍ‬ ‫ﻓﺎﻥ‬ ‫ﻣﺘﻮﺍﻓﺮﺓ‬ ‫ﺍﻟﻨﻈﺎﻣﻴﺔ‬ ‫ﺍﻟﺸﺮﻭﻁ‬ ‫ﻭﻛﺎﻧﺖ‬ ‫ﻣﺠﺘﻤﻌﻴﻦ‬ ‫ﻣﺘﻮﺳﻄﻲ‬ ‫ﺑﻴﻦ‬ ‫ﺍﻟﻤﻘﺎﺭﻧﺔ‬ ‫ﻓﻲ‬ ‫ﺍﻟﺒﺎﺣﺚ‬ ‫ﻳﺮﻏﺐ‬ ‫ﻋﻨﺪﻣﺎ‬
‫ﻣﻦ‬ ‫ﺍﻟﻨﻮﻉ‬ ‫ﻟﻬﺬﺍ‬
.‫ﺍﻟﻤﻘﺎﺭﻧﺎﺕ‬
:‫ﺍﻟﺘﺎﻟﻲ‬ ‫ﺍﻟﺘﺪﺭﻳﺐ‬ ‫ﺧﻼﻝ‬ ‫ﻣﻦ‬ ‫ﺍﻻﺧﺘﺒﺎﺭ‬ ‫ﻫﺬﺍ‬ ‫ﻧﻨﺎﻗﺶ‬ ‫ﺳﻮﻑ‬
) ‫ﺗﻄﺒﻴﻖ‬
7
(
‫ﺑﺎﻟﻤﻠﻒ‬ ‫ﺍﻟﻤﻮﺟﻮﺩﺓ‬ ‫ﺍﻟﺒﻴﺎﻧﺎﺕ‬
Application-7
‫ﻓﻲ‬ ‫ﻭﺍﻟﻄﺎﻟﺒﺎﺕ‬ ‫ﺍﻟﻄﻼﺏ‬ ‫ﺩﺭﺟﺎﺕ‬ ‫ﻣﻦ‬ ‫ﻣﺴﺘﻘﻠﺘﻴﻦ‬ ‫ﻋﺸﻮﺍﺋﻴﺘﻴﻦ‬ ‫ﻋﻴﻨﺘﻴﻦ‬ ‫ﺗﻤﺜﻞ‬
‫ﺑﻜﻠﻴﺔ‬ ‫ﺍﻹﺣﺼﺎء‬ ‫ﻣﻘﺮﺭ‬
‫ﺍﻹﺩﺍﺭﻳﺔ‬ ‫ﺍﻟﻌﻠﻮﻡ‬
‫ﺗﺮ‬ ‫ﻫﻞ‬
‫ﻯ‬
‫ﺑﻴﻦ‬ ‫ﻣﻌﻨﻮﻱ‬ ‫ﺍﺧﺘﻼﻑ‬
‫ﻣﺘﻮﺳﻂ‬
‫ﻭ‬ ‫ﺍﻟﻄﻼﺏ‬ ‫ﺩﺭﺟﺎﺕ‬
‫ﺩﺭﺟﺎﺕ‬ ‫ﻣﺘﻮﺳﻂ‬
‫ﺍﻟﻄﺎﻟﺒﺎﺕ‬
‫ﻣﻌﻨﻮﻳﺔ‬ ‫ﻣﺴﺘﻮﻯ‬ ‫ﻋﻨﺪ‬
5
‫؟‬%
‫ﺍﻟﺘﻨﻔﻴﺬ‬ ‫ﺧﻄﻮﺍﺕ‬
1
.
:‫ﺍﻟﻔﺮﺿﻴﺎﺕ‬ ‫ﺻﻴﺎﻏﺔ‬
H0
‫ﺍﻹﺣﺼﺎء‬ ‫ﻣﻘﺮﺭ‬ ‫ﻓﻲ‬ ‫ﺍﻟﻄﻼﺏ‬ ‫ﺩﺭﺟﺎﺕ‬ ‫ﻣﺘﻮﺳﻂ‬ :
‫ﺍﻟﻄﺎﻟﺒﺎﺕ‬ ‫ﺩﺭﺟﺎﺕ‬ ‫ﻣﺘﻮﺳﻂ‬ ‫ﻳﺴﺎﻭﻱ‬
H1
‫ﺍﻟﻄﺎﻟﺒﺎﺕ‬ ‫ﺩﺭﺟﺎﺕ‬ ‫ﻣﺘﻮﺳﻂ‬ ‫ﻳﺴﺎﻭﻱ‬ ‫ﻻ‬ ‫ﺍﻹﺣﺼﺎء‬ ‫ﻣﻘﺮﺭ‬ ‫ﻓﻲ‬ ‫ﺍﻟﻄﻼﺏ‬ ‫ﺩﺭﺟﺎﺕ‬ ‫ﻣﺘﻮﺳﻂ‬ :
2
.
‫ﺍﻻﺧﺘﺒﺎﺭ‬ ‫ﻭﺗﻨﻔﻴﺬ‬ ‫ﺍﻟﺒﻴﺎﻧﺎﺕ‬ ‫ﺇﺩﺧﺎﻝ‬
‫ﺑﺮﻧﺎﻣﺞ‬ ‫ﻓﻲ‬ ‫ﺍﻟﺪﺭﺟﺎﺕ‬ ‫ﺇﺩﺧﺎﻝ‬ ‫ﻳﺘﻢ‬
SPSS
‫ﻓﻲ‬
‫ﺍﻟﻌﻤﻮﺩ‬ :‫ﻋﻤﻮﺩﻳﻦ‬
‫ﺍﻟﺪﺭ‬ ‫ﻳﻤﺜﻞ‬ ‫ﺍﻷﻭﻝ‬
‫ﺍﻻﻛﻮﺍﺩ‬ ‫ﻳﻤﺜﻞ‬ ‫ﺍﻟﺜﺎﻧﻲ‬ ‫ﻭﺍﻟﻌﻤﻮﺩ‬ ‫ﺟﺎﺕ‬
‫ﻭﻫﺬﻩ‬
‫)ﻣ‬ ‫ﺍﻟﺒﺎﺣﺚ‬ ‫ﻳﺤﺪﺩﻫﺎ‬ ‫ﺍﻻﻛﻮﺍﺩ‬
‫ﺍﻟﻜﻮﺩ‬ ‫ﺗﺄﺧﺬ‬ ‫ﺍﻟﻄﺎﻟﺐ‬ ‫ﺩﺭﺟﺔ‬ ‫ﺜﻼ‬
1
‫ﺍﻟﻜﻮﺩ‬ ‫ﺗﺄﺧﺬ‬ ‫ﺍﻟﻄﺎﻟﺒﺔ‬ ‫ﺩﺭﺟﺔ‬ ‫ﺑﻴﻨﻤﺎ‬
2
:‫ﻛﺎﻟﺘﺎﻟﻲ‬ ، (
‫ﺑﺎﺳﺗﺧﺩﺍﻡ‬ ‫ﺍﻻﺣﺻﺎﺋﻲ‬ ‫ﺍﻟﺗﺣﻠﻳﻝ‬
SPSS
‫ﺩ‬
‫ﺳﻠﻁﺎﻥ‬ ‫ﺧﻠﻑ‬ .
65
‫ﺍﻟﻤﺴﺎﺭ‬ ‫ﻧﺘﺒﻊ‬ ‫ﺗﻢ‬
Analyze  Compare Means  Independent-Samples T Test
:‫ﺍﻟﺘﺎﻟﻲ‬ ‫ﺍﻟﺤﻮﺍﺭ‬ ‫ﻣﺮﺑﻊ‬ ‫ﻋﻠﻰ‬ ‫ﻓﻨﺤﺼﻞ‬
‫ﺍﻟﺪﺭﺟﺎﺕ‬ ‫ﻣﺘﻐﻴﺮ‬ ‫ﻧﺨﺘﺎﺭ‬
Marks
‫ﺍﻟﻤﺮﺑﻊ‬ ‫ﻓﻲ‬
Test Variables
‫ﺍﻻﻛﻮﺍﺩ‬ ‫ﻣﺘﻐﻴﺮ‬ ‫ﺛﻢ‬
G
‫ﺩﺍﺧﻞ‬
Grouping Variable
‫ﻣﺮﺑﻊ‬ ‫ﻓﻴﻈﻬﺮ‬
‫ﺑﺎﺧﺘﻴﺎﺭ‬ ‫ﻫﻨﺎ‬ ‫ﻧﻘﻮﻡ‬
Define Groups
‫ﻋﻠﻰ‬ ‫ﻓﻨﺤﺼﻞ‬
‫ﻫﻨﺎ‬ ‫ﻧﺨﺘﺎﺭ‬
1
‫ﻧﺨﺘﺎﺭ‬ ‫ﻭ‬ ،(‫ﺍﻟﻄﻼﺏ‬ ‫)ﺩﺭﺟﺎﺕ‬ ‫ﺍﻷﻭﻟﻰ‬ ‫ﻟﻠﻤﺠﻮﻋﺔ‬
2
‫ﻧﻀﻐﻂ‬ ‫ﺛﻢ‬ (‫ﺍﻟﻄﺎﻟﺒﺎﺕ‬ ‫)ﺩﺭﺟﺎﺕ‬ ‫ﺍﻟﺜﺎﻧﻴﺔ‬ ‫ﻟﻠﻤﺠﻮﻋﺔ‬
continue
‫ﺛﻢ‬ ‫ﺍﻷﺳﺎﺳﻲ‬ ‫ﺍﻟﺤﻮﺍﺭ‬ ‫ﻟﻤﺮﺑﻊ‬ ‫ﻓﻨﺮﺟﻊ‬
OK
:‫ﺍﻟﺘﺎﻟﻴﺔ‬ ‫ﺍﻟﻨﺘﺎﺋﺞ‬ ‫ﻓﻨﻈﻬﺮ‬
Group Statistics
G N Mean Std. Deviation Std. Error Mean
Marks
1 35 64.6857 21.66289 3.66170
2 33 64.4545 20.30254 3.53422
‫ﺑﺎﺳﺗﺧﺩﺍﻡ‬ ‫ﺍﻻﺣﺻﺎﺋﻲ‬ ‫ﺍﻟﺗﺣﻠﻳﻝ‬
SPSS
‫ﺩ‬
‫ﺳﻠﻁﺎﻥ‬ ‫ﺧﻠﻑ‬ .
66
Levene's Test for Equality of
Variances
F Sig. t df
Sig. (2-
tailed)
Mean
Difference
Std. Error
Difference
95% Confidence
Interval of the
Difference
Lower Upper
Equal
variance
s
assumed
.085 .771 .045 66 .964 0.231 5.099 -9.949 10.412
Equal
variance
s not
assumed
.045 65.998 .964 0.231 5.089 -9.930 10.392
3
.
‫ﻭﺍﻟﻘﺮﺍﺭ‬ ‫ﺍﻟﻨﺘﺎﺋﺞ‬ ‫ﻋﻠﻰ‬ ‫ﺍﻟﺘﻌﻠﻴﻖ‬
:‫ﺍﻟﺘﺎﻟﻲ‬ ‫ﻧﻼﺣﻆ‬ ‫ﺍﻟﻨﺘﺎﺋﺞ‬ ‫ﺟﺪﺍﻭﻝ‬ ‫ﻣﻦ‬
1
-
‫ﺑﻌﻨﻮﺍﻥ‬ ‫ﺍﻷﻭﻝ‬ ‫ﺍﻟﺠﺪﻭﻝ‬
Group Statistics
‫ﺍﻟﻄ‬ ‫ﺩﺭﺟﺎﺕ‬ ‫ﺣﻮﻝ‬ ‫ﺍﻟﻮﺻﻔﻴﺔ‬ ‫ﺍﻹﺣﺼﺎءﺍﺕ‬ ‫ﺑﻌﺾ‬ ‫ﻳﻈﻬﺮ‬
‫ﻭﺩﺭﺟﺎﺕ‬ ‫ﻼﺏ‬
‫ﺍﻟﻄﺎ‬
‫ﻣﺜﻞ‬ ‫ﻟﺒﺎﺕ‬
‫ﺍﻟﻤﺘﻮﺳﻂ‬
‫ﻭﺍﻻﻧﺤﺮﺍﻑ‬
‫ﺍﻟﻤﻌﻴﺎﺭﻱ‬
.‫ﺍﻟﻤﻌﻴﺎﺭﻱ‬ ‫ﻭﺍﻟﺨﻄﺄ‬
2
-
:‫ﻣﻨﻬﺎ‬ ‫ﻧﺘﺎﺋﺞ‬ ‫ﻋﺪﺓ‬ ‫ﻳﻈﻬﺮ‬ ‫ﻭﻫﻨﺎ‬ ‫ﺍﻟﻤﻬﻢ‬ ‫ﻭﻫﻮ‬ ‫ﺍﻟﺜﺎﻧﻲ‬ ‫ﺍﻟﺠﺪﻭﻝ‬
‫ﺃﻥ‬ ‫ﻧﺠﺪ‬ ‫ﻟﻠﺘﺠﺎﻧﺲ‬ ‫ﻟﻔﻴﻨﻲ‬ ‫ﺍﺧﺘﺒﺎﺭ‬
p-value = 0.771
‫ﺗﺠﺎﻧﺲ‬ ‫ﻳﺆﻛﺪ‬ ‫ﻭﻫﺬﺍ‬
‫ﻓﻲ‬ ‫ﻭﺍﻟﻄﺎﻟﺒﺎﺕ‬ ‫ﺍﻟﻄﻼﺏ‬ ‫ﺩﺭﺟﺎﺕ‬
‫ﻣﻘﺮﺭ‬
‫ﻹﺣﺼﺎء‬ ‫ﺍ‬
‫ﺍﺧﺘﺒﺎﺭ‬ ‫ﻟﺘﻔﺴﻴﺮ‬ ‫ﺍﻷﻭﻟﻰ‬ ‫ﺍﻟﺤﺎﻟﺔ‬ ‫ﻫﻨﺎ‬ ‫ﻧﻌﺘﺒﺮ‬ ‫ﺳﻮﻑ‬ ‫ﻭﺑﺎﻟﺘﺎﻟﻲ‬
T
‫ﻭ‬
‫ﻫﻲ‬
Equal variances assumed
،
‫ﺃﻥ‬ ‫ﺣﻴﺚ‬
p-value
= 0.964
‫ﺍﻟﻔﺮﺽ‬ ‫ﻧﻘﺒﻞ‬ ‫ﻳﺠﻌﻠﻨﺎ‬ ‫ﺍﻟﺬﻱ‬ ‫ﺍﻷﻣﺮ‬ ‫ﺍﻟﺤﺎﻟﺔ‬ ‫ﻫﺬﻩ‬ ‫ﻓﻲ‬
H0
‫ﺍﻟﻄﻼﺏ‬ ‫ﺩﺭﺟﺎﺕ‬ ‫ﺑﻴﻦ‬ ‫ﻣﻌﻨﻮﻳﺔ‬ ‫ﻓﺮﻭﻕ‬ ‫ﺗﻮﺟﺪ‬ ‫ﻻ‬ ‫ﺍﻧﻪ‬ ‫ﺃﻱ‬ ،
.‫ﺍﻹﺣﺼﺎء‬ ‫ﻣﻘﺮﺭ‬ ‫ﻓﻲ‬ ‫ﻭﺍﻟﻄﺎﻟﺒﺎﺕ‬
:‫ﻣﻼﺣﻈﺔ‬
‫ﺭﻓﺾ‬ ‫ﻫﻮ‬ ‫ﺍﻟﻘﺮﺍﺭ‬ ‫ﻛﺎﻥ‬ ‫ﻟﻮ‬ ‫ﺍﻟﺴﺎﺑﻖ‬ ‫ﺍﻟﺘﺪﺭﻳﺐ‬ ‫ﻓﻲ‬
H0
‫ﺍﻟ‬ ‫ﺩﺭﺟﺎﺕ‬ ‫ﺑﻴﻦ‬ ‫ﺣﻘﻴﻘﺔ‬ ‫ﻓﺮﻭﻕ‬ ‫ﺗﻮﺟﺪ‬ ‫ﺍﻧﻪ‬ ‫ﺃﻱ‬ ،
‫ﻭﺩﺭﺟﺎﺕ‬ ‫ﻄﻼﺏ‬
‫ﻣﺘﻮﺳﻂ‬ ‫ﻟﻪ‬ ‫)ﺃﻳﻬﻤﺎ‬ ‫ﻟﻠﺪﺭﺟﺎﺕ‬ ‫ﺍﻟﻌﺎﻡ‬ ‫ﺍﻻﺗﺠﺎﻩ‬ ‫ﺗﺤﺪﻳﺪ‬ ‫ﻳﻠﺰﻡ‬ ‫ﻓﺎﻧﻪ‬ ‫ﺍﻟﻄﺎﻟﺒﺎﺕ‬
‫ﺃﻛﺒﺮ‬
‫ﺍﻻﺗﺠﺎﻩ‬ ‫ﻭﻳﻜﻮﻥ‬ .‫ﺍﻟﻤﺠﺘﻤﻌﺎﺕ‬ ‫ﻣﺴﺘﻮﻯ‬ ‫ﻋﻠﻰ‬ (
‫ﻣﻘﺪﺍﺭﻩ‬ ‫ﺑﺎﺣﺘﻤﺎﻝ‬ ‫ﺍﻷﻛﺒﺮ‬ ‫ﺍﻟﻌﻴﻨﺔ‬ ‫ﻣﺘﻮﺳﻂ‬ ‫ﻳﻘﺎﺑﻞ‬ ‫ﺍﻟﺬﻱ‬ ‫ﺍﻟﺪﺭﺍﺳﺔ‬ ‫ﻣﺠﺘﻤﻊ‬ ‫ﻧﻔﺴﻪ‬ ‫ﻫﻮ‬ ‫ﺍﻟﻌﺎﻡ‬
p-value/2
‫ﻣﻮﺟﻮﺩ‬ ‫ﺍﻟﺼﻔﺮ‬ ‫ﺃﻳﻀﺎ‬ .
‫ﻟﻘﺒﻮﻝ‬ ‫ﻳﺆﺩﻱ‬ ‫ﻣﻤﺎ‬ ‫ﺍﻟﻔﺮﻭﻕ‬ ‫ﻓﺘﺮﺓ‬ ‫ﺿﻤﻦ‬
H0
.
‫ﺑﺎﺳﺗﺧﺩﺍﻡ‬ ‫ﺍﻻﺣﺻﺎﺋﻲ‬ ‫ﺍﻟﺗﺣﻠﻳﻝ‬
SPSS
‫ﺩ‬
‫ﺳﻠﻁﺎﻥ‬ ‫ﺧﻠﻑ‬ .
67
)
3
-
4
-
2
‫ﻏﻴﺮ‬ ‫ﻋﻴﻨﺘﻴﻦ‬ ‫ﺣﺎﻟﺔ‬ (
‫ﻣﺴﺘﻘﻠﺘﻴﻦ‬
Sample T test
-
Paired
‫ﻓﻲ‬ ‫ﺍﺳﺘﺨﺪﻣﻨﺎ‬
‫ﺍﻻﺧﺘﺒﺎﺭ‬
‫ﺍﻟﺴﺎﺑﻖ‬
‫ﻋﻴﻨﺘﻴﻦ‬ ‫ﺑﻴﻦ‬ ‫ﺍﻟﻔﺮﻕ‬
‫ﺑﻤﻌﻨ‬ ‫ﻣﺴﺘﻘﻠﺘﻴﻦ‬
‫ﻰ‬
‫ﺍﻷﻭﻟﻰ‬ ‫ﺍﻟﻌﻴﻨﺔ‬ ‫ﻣﻔﺮﺩﺍﺕ‬ ‫ﺃﻥ‬
‫ﺍﻟﻤﺠﺘﻤﻊ‬ ‫ﻣﻦ‬ ‫)ﻣﺴﺤﻮﺑﺔ‬
(‫ﺍﻻﻭﻝ‬
‫ﻣﺴﺘﻘﻠﺔ‬
‫ﺍﻟﺜﺎﻧﻴﺔ‬ ‫ﺍﻟﻌﻴﻨﺔ‬ ‫ﻣﻔﺮﺩﺍﺕ‬ ‫ﻋﻦ‬
(‫ﺍﻟﺜﺎﻧﻲ‬ ‫ﺍﻟﻤﺠﺘﻤﻊ‬ ‫ﻣﻦ‬ ‫)ﻣﺴﺤﻮﺑﺔ‬
‫ﻓﻲ‬ ‫ﻳﺤﺪﺙ‬ ‫ﻗﺪ‬ ‫ﻭﻟﻜﻦ‬ .
‫ﺗﻄﺒﻴﻘﺎﺕ‬ ‫ﺑﻌﺾ‬
‫ﺍﻟ‬
‫ﺤﻴﺎﺓ‬
.‫ﺃﺯﻭﺍﺝ‬ ‫ﺷﻜﻞ‬ ‫ﻋﻠﻰ‬ ‫ﺗﻜﻮﻥ‬ ‫ﺍﻟﻤﺸﺎﻫﺪﺍﺕ‬ ‫ﺃﻥ‬ ‫ﺍﻟﻌﻤﻠﻴﺔ‬
‫ﻣﺆﺛﺮ‬ ‫ﺗﺄﺛﻴﺮ‬ ‫ﺗﺤﺖ‬ ‫ﻧﻔﺴﻬﺎ‬ ‫ﺍﻟﻌﻴﻨﺔ‬ ‫ﻫﺬﻩ‬ ‫ﻧﻀﻊ‬ ‫ﺛﻢ‬ ‫ﻟﻬﺎ‬ ‫ﻣﺸﺎﻫﺪﺍﺕ‬ ‫ﻋﻠﻰ‬ ‫ﻭﺣﺼﻠﻨﺎ‬ ‫ﻋﻴﻨﺔ‬ ‫ﺃﺧﺬﻧﺎ‬ ‫ﺇﺫﺍ‬ ‫ﻓﻤﺜﻼ‬
‫ﻣﺎ‬
‫ﺛﺎﻧﻴﺔ‬ ‫ﻣﺮﺓ‬ ‫ﻧﻌﻮﺩ‬ ‫ﺛﻢ‬
‫ﻟﻬﺎ‬ ‫ﻣﺸﺎﻫﺪﺍﺕ‬ ‫ﻋﻠﻰ‬ ‫ﻭﻧﺤﺼﻞ‬
.‫ﺍﻟﺘﺄﺛﻴﺮ‬ ‫ﺑﻌﺪ‬
‫ﻓﻲ‬ ‫ﺍﻟﻤﻔﺮﺩﺍﺕ‬ ‫ﻟﻨﻔﺲ‬ ‫ﺍﻟﻘﺮﺍءﺗﻴﻦ‬ ‫ﻣﺠﻤﻮﻋﺘﻲ‬ ‫ﺑﻴﻦ‬ ‫ﺍﻟﻤﻘﺎﺭﻧﺔ‬ ‫ﺍﺧﺘﺒﺎﺭﺍﺕ‬ ‫ﻭﺑﺈﺟﺮﺍء‬
‫ﺍﻟﻌ‬
‫ﻭﺍﻟﺜﺎﻧﻴﺔ‬ ‫ﺍﻷﻭﻟﻰ‬ ‫ﺍﻟﻤﺮﺓ‬ ‫ﻓﻲ‬ ‫ﻴﻨﺔ‬
(‫ﺍﻟﺘﺄﺛﻴﺮ‬ ‫ﻭﺑﻌﺪ‬ ‫)ﻗﺒﻞ‬
‫ﺍﺳﺘﻨﺘﺎﺝ‬ ‫ﻳﻤﻜﻨﻨﺎ‬
‫ﺣﺠﻢ‬
‫ﺍﻟﺤﺎﻟﺔ‬ ‫ﻫﺬﻩ‬ ‫ﻭﻓﻲ‬ ‫ﺍﻟﻌﻴﻨﺔ‬ ‫ﻣﻔﺮﺩﺍﺕ‬ ‫ﻋﻠﻰ‬ ‫ﺍﻟﻤﺆﺛﺮ‬
‫ﻣﻘﺪﺍﺭﻳﻦ‬ ‫ﺑﻴﻦ‬ ‫ﺍﻟﻔﺮﻕ‬ ‫ﻧﺪﺭﺱ‬
‫ﻏﻴﺮ‬
‫ﺍﻷﻭﻟﻰ‬ ‫ﺍﻟﻘﺮﺍءﺍﺕ‬ ‫ﻣﺘﻮﺳﻂ‬ ‫ﻭﻫﻤﺎ‬ ‫ﺑﻌﻀﻬﻤﺎ‬ ‫ﻋﻦ‬ ‫ﻣﺴﺘﻘﻠﻴﻦ‬
(‫ﺍﻟﺘﺄﺛﻴﺮ‬ ‫)ﻗﺒﻞ‬
‫ﻭﻣﺘﻮﺳﻂ‬
‫ﺍﻟﺜﺎﻧﻴﺔ‬ ‫ﺍﻟﻘﺮﺍءﺍﺕ‬
(‫ﺍﻟﺘﺄﺛﻴﺮ‬ ‫)ﺑﻌﺪ‬
،
‫ﺍﺧﺘﺒﺎﺭ‬ ‫ﺍﺳﺘﺨﺪﺍﻡ‬ ‫ﻭﻳﻤﻜﻦ‬
‫ﺕ‬
‫ﻛ‬
‫ﻤﺎ‬
:‫ﺍﻟﺘﺎﻟﻲ‬ ‫ﺑﺎﻟﻤﺜﺎﻝ‬
‫ﺗﺪﺭﻳﺐ‬
‫ﺳﺒﻌﺔ‬ ‫ﻣﻦ‬ ‫ﻣﺠﻤﻮﻋﺔ‬ ‫ﻟﺪﻳﻨﺎ‬ ‫ﻛﺎﻥ‬ ‫ﺇﺫﺍ‬
‫ﻛﺎﻧﺖ‬ ‫ﺃﺷﺨﺎﺹ‬
‫ﺃﻭﺯﺍﻧﻬﻢ‬
(‫)ﻛﻢ‬
‫ﺍﻟﺤﻤﻴﺔ‬ ‫ﻭﺑﻌﺪ‬ ‫ﻗﺒﻞ‬
(‫ﺍﻟﻮﺯﻥ‬ ‫ﻹﻧﻘﺎﺹ‬ ‫)ﺗﺠﺮﺑﺔ‬
‫ﺷﻬﺮ‬ ‫ﻟﻤﺪﺓ‬
‫ﻛﺎﻟﺘﺎﻟﻲ‬
:
‫ﺍﻟﺸﺨﺺ‬ ‫ﺭﻗﻢ‬
‫ﺍﻟﺤﻤﻴﺔ‬ ‫ﻗﺒﻞ‬ ‫ﺍﻟﻮﺯﻥ‬
‫ﺍﻟﺤﻤﻴﺔ‬ ‫ﺑﻌﺪ‬ ‫ﺍﻟﻮﺯﻥ‬
1
62
53
2
82
73
3
77
65
4
57
55
5
62
67
6
90
85
7
82
79
‫ﺍﻟﺤﻤ‬ ‫ﻧﻈﺎﻡ‬ ‫ﻓﻬﻞ‬
‫ﻴﺔ‬
‫ﻋﻠﻰ‬ ‫ﺗﺄﺛﻴﺮ‬ ‫ﻟﻪ‬
‫ﻣﻌﻨ‬ ‫ﻣﺴﺘﻮﻯ‬ ‫ﻋﻨﺪ‬ ‫ﺍﻟﻮﺯﻥ‬
‫ﻮﻳﺔ‬
5
%
‫؟‬
:‫ﺍﻻﺧﺘﺒﺎﺭ‬ ‫ﺧﻄﻮﺍﺕ‬
1
-
‫ﺑﺮﻧﺎﻣﺞ‬ ‫ﺍﻟﻰ‬ ‫ﺍﻟﺒﻴﺎﻧﺎﺕ‬ ‫ﻧﺪﺧﻞ‬
SPSS
‫ﺑﺎﻟﺸﻜﻞ‬ ‫ﻛﻤﺎ‬
‫ﺑﺎﺳﺗﺧﺩﺍﻡ‬ ‫ﺍﻻﺣﺻﺎﺋﻲ‬ ‫ﺍﻟﺗﺣﻠﻳﻝ‬
SPSS
‫ﺩ‬
‫ﺳﻠﻁﺎﻥ‬ ‫ﺧﻠﻑ‬ .
68
3
-
:‫ﺍﻟﻔﺮﺿﻴﺎﺕ‬ ‫ﺻﻴﺎﻏﺔ‬
H0
‫ﻻ‬ ‫ﺍﻟﺤﻤﻴﺔ‬ :
‫ﺍﻟﺤﻤﻴﺔ‬ ‫ﻭﺑﻌﺪ‬ ‫ﻗﺒﻞ‬ ‫ﺍﻟﻮﺯﻥ‬ ‫ﻓﺮﻕ‬ ‫)ﻣﺘﻮﺳﻂ‬ ‫ﺍﻟﻮﺯﻥ‬ ‫ﺍﻧﻘﺎﺹ‬ ‫ﻓﻲ‬ ‫ﺗﻔﻴﺪ‬
‫ﺻﻔﺮ‬ ‫ﻳﺴﺎﻭﻱ‬
(
H1
‫ﻭﺑ‬ ‫ﻗﺒﻞ‬ ‫ﺍﻟﻮﺯﻥ‬ ‫ﻓﺮﻕ‬ ‫)ﻣﺘﻮﺳﻂ‬ ‫ﺍﻟﻮﺯﻥ‬ ‫ﺍﻧﻘﺎﺹ‬ ‫ﻓﻲ‬ ‫ﺗﻔﻴﺪ‬ ‫ﺍﻟﺤﻤﻴﺔ‬ :
‫ﻻ‬ ‫ﺍﻟﺤﻤﻴﺔ‬ ‫ﻌﺪ‬
‫ﻳ‬
(‫ﺻﻔﺮ‬ ‫ﺴﺎﻭﻱ‬
4
-
:‫ﺍﻟﺘﺎﻟﻲ‬ ‫ﺍﻟﻤﺴﺎﺭ‬ ‫ﻧﺘﺒﻊ‬ ‫ﺍﻟﺒﻴﺎﻧﺎﺕ‬ ‫ﺍﺩﺧﺎﻝ‬ ‫ﺑﻌﺪ‬
Analyze  Compare means  Paired Samples T test
:‫ﻳﻠﻲ‬ ‫ﻛﻤﺎ‬ ‫ﺣﻘﻮﻟﻪ‬ ‫ﺗﻌﺒﺌﺔ‬ ‫ﻳﺘﻢ‬ ‫ﺣﻮﺍﺭ‬ ‫ﻣﺮﺑﻊ‬ ‫ﻓﻴﻈﻬﺮ‬
‫ﻧﻀﻐﻂ‬ ‫ﺛﻢ‬
OK
:‫ﺍﻟﺘﺎﻟﻴﺔ‬ ‫ﺍﻟﻨﺘﺎﺋﺞ‬ ‫ﻓﺘﻈﻬﺮ‬
Paired Samples Statistics
Mean N Std. Deviation Std. Error Mean
Pair 1
‫ﺍﻟﺣﻣﻳﺔ_ﻗﺑﻝ‬ 73.1429 7 12.68107 4.79299
‫ﺍﻟﺣﻣﻳﺔ_ﺑﻌﺩ‬ 68.1429 7 11.82411 4.46909
Paired Samples Correlations
N Correlation Sig.
Pair 1 ‫ﺍﻟﺣﻣﻳﺔ_ﻗﺑﻝ‬ & ‫ﺍﻟﺣﻣﻳﺔ_ﺑﻌﺩ‬ 7 .895 .007
‫ﺑﺎﺳﺗﺧﺩﺍﻡ‬ ‫ﺍﻻﺣﺻﺎﺋﻲ‬ ‫ﺍﻟﺗﺣﻠﻳﻝ‬
SPSS
‫ﺩ‬
‫ﺳﻠﻁﺎﻥ‬ ‫ﺧﻠﻑ‬ .
69
Paired Samples Test
Paired Differences
t df
Sig. (2-
tailed)
Mean
Std.
Deviation
Std.
Error
Mean
95% Confidence
Interval of the
Difference
Lower Upper
Pair
1
‫ﻗﺑﻝ_ﺍﻟﺣﻣﻳﺔ‬
-
‫ﺑﻌﺩ_ﺍﻟﺣﻣﻳﺔ‬ 5.00000 5.68624 2.14920 -.25890 10.25890 2.326 6 .059
5
-
‫ﻭﺍﻟﻘﺮﺍﺭ‬ ‫ﺍﻟﺘﺤﻠﻴﻞ‬
‫ﻗﻴﻤﺔ‬ ‫ﺍﻥ‬ ‫ﻧﺠﺪ‬ ‫ﺍﻟﻨﺘﺎﺋﺞ‬ ‫ﻣﻦ‬
p-value=0.059>0.05
‫ﻋﺪﻡ‬ ‫ﻋﻠﻰ‬ ‫ﻳﺪﻝ‬ ‫ﻣﻤﺎ‬
‫ﺭﻓﺾ‬
H0
‫ﻣﻌﻨﻮﻱ‬ ‫ﺗﺄﺛﻴﺮ‬ ‫ﻟﻬﺎ‬ ‫ﻟﻴﺲ‬ ‫ﺍﻟﺤﻤﻴﺔ‬ ‫ﺍﻥ‬ ‫ﺃﻱ‬
‫ﻋﻠﻰ‬
‫ﺇﻧﻘﺎﺹ‬
.‫ﺍﻟﻮﺯﻥ‬
)
4
-
4
‫ﻣﺠﺘﻤﻌﺎﺕ‬ ‫ﻋﺪﺓ‬ ‫ﻣﺘﻮﺳﻄﺎﺕ‬ ‫ﺑﻴﻦ‬ ‫ﺍﻟﻤﻘﺎﺭﻧﺔ‬ ‫ﺍﺧﺘﺒﺎﺭ‬ (
‫ﻭﺍﺣﺪ‬ ‫ﺍﺗﺠﺎﻩ‬ ‫ﻓﻲ‬ ‫ﺍﻟﺘﺒﺎﻳﻦ‬ ‫ﺗﺤﻠﻴﻞ‬
One-Way ANOVA
‫ﺍﻟﺤﺎﻟﺔ‬ ‫ﻫﺬﻩ‬ ‫ﻓﻲ‬ ‫ﺍﻟﺘﺒﺎﻳﻦ‬ ‫ﺗﺤﻠﻴﻞ‬ ‫ﻳﺴﺘﺨﺪﻡ‬
‫ﻟ‬
‫ﻋ‬ ‫ﻋﻴﻨﺎﺕ‬ ‫ﺑﺎﺳﺘﺨﺪﺍﻡ‬ ‫ﻭﺫﻟﻚ‬ ‫ﻣﺘﺠﺎﻧﺴﺔ‬ ‫ﻣﺠﺘﻤﻌﺎﺕ‬ ‫ﻋﺪﺓ‬ ‫ﻣﺘﻮﺳﻄﺎﺕ‬ ‫ﺑﻴﻦ‬ ‫ﻠﻤﻘﺎﺭﻧﺔ‬
‫ﺸﻮﺍﺋﻴﺔ‬
‫ﻋﺪﺓ‬ ‫ﻣﻦ‬ ‫ﻭﻣﺘﺠﺎﻧﺴﺔ‬ ‫ﻣﺴﺘﻘﻠﺔ‬
‫ﻣﺠﺘﻤﻌﺎﺕ‬
‫ﻗﻴﺪ‬
:‫ﻣﻨﻬﺎ‬ ‫ﻭﺍﺣﺪ‬ ‫ﺍﺗﺠﺎﻩ‬ ‫ﻓﻲ‬ ‫ﺍﻟﺘﺒﺎﻳﻦ‬ ‫ﺗﺤﻠﻴﻞ‬ ‫ﻟﺘﻄﺒﻴﻘﺎﺕ‬ ‫ﺃﻣﺜﻠﺔ‬ ‫ﻋﺪﺓ‬ ‫ﻭﻫﻨﺎﻙ‬ ‫ﺍﻟﺪﺭﺍﺳﺔ‬
1
-
‫ﺍﻷﺳﻤﺪﺓ‬ ‫ﻣﻦ‬ ‫ﺃﻧﻮﺍﻉ‬ ‫ﻋﺪﺓ‬ ‫ﺑﺎﺳﺘﺨﺪﺍﻡ‬ ‫ﻣﻌﻴﻦ‬ ‫ﻟﻤﺤﺼﻮﻝ‬ ‫ﺍﻹﻧﺘﺎﺟﻴﺔ‬ ‫ﺑﻴﻦ‬ ‫ﺍﻟﻤﻘﺎﺭﻧﺔ‬
2
-
‫ﺗﺄﺛ‬ ‫ﺑﻴﻦ‬ ‫ﺍﻟﻤﻘﺎﺭﻧﺔ‬
‫ﻣ‬ ‫ﻣﺮﺽ‬ ‫ﻟﻌﻼﺝ‬ ‫ﻣﺨﺘﻠﻔﺔ‬ ‫ﺃﺩﻭﻳﺔ‬ ‫ﻋﺪﺓ‬ ‫ﻴﺮ‬
‫ﻌ‬
‫ﻴﻦ‬
3
-
‫ﺩﺭﺟﺎﺕ‬ ‫ﺑﻴﻦ‬ ‫ﺍﻟﻤﻘﺎﺭﻧﺔ‬
‫ﺍﻟﻄﻼﺏ‬
‫ﺑ‬
‫ﻣﻌﻴﻦ‬ ‫ﻤﻘﺮﺭ‬
‫ﻣﻦ‬ ‫ﻣﻜﻮﻥ‬
‫ﻣﺨﺘﻠﻔﺔ‬ ‫ﺷﻌﺐ‬ ‫ﻋﺪﺓ‬
.‫ﺍﻟﻤﺨﺘﻠﻔﺔ‬ ‫ﺍﻟﺘﻄﺒﻴﻘﺎﺕ‬ ‫ﻣﻦ‬ ‫ﻭﻫﻜﺬﺍ‬ ...
‫ﻣﻔﺮ‬ ‫ﻣﻦ‬ ‫ﻣﻔﺮﺩﺓ‬ ‫ﻟﻜﻞ‬ ‫ﻛﺎﻥ‬ ‫ﺇﺫﺍ‬ ‫ﺍﻷﺣﺎﺩﻱ‬ ‫ﺍﻟﺘﺒﺎﻳﻦ‬ ‫ﺑﺘﺤﻠﻴﻞ‬ ‫ﺍﻟﺘﺒﺎﻳﻦ‬ ‫ﺗﺤﻠﻴﻞ‬ ‫ﻭﻳﺴﻤﻰ‬
‫ﻣﺘﻐﻴﺮﻳﻦ‬ ‫ﻋﻠﻰ‬ ‫ﻋﻼﻣﺔ‬ ‫ﺍﻟﻌﻴﻨﺔ‬ ‫ﺩﺍﺕ‬
‫ﻳﺴﻤﻰ‬ ‫ﺍﻷﻭﻝ‬
‫ﺍﻟﻌﺎﻣﻠﻲ‬ ‫ﺍﻟﻤﺘﻐﻴﺮ‬
Factor
‫ﺍﻟﻤﺘﻐﻴﺮ‬ ‫ﺃﻭ‬
‫ﺍﻟﻤﺴﺘﻘﻞ‬
Independent Variable
‫ﺍﻻﺳﻤﻲ‬ ‫ﺍﻟﻨﻮﻉ‬ ‫ﻣﻦ‬ ‫ﻣﺘﻐﻴﺮ‬ ‫ﻭﻫﻮ‬
Nominal
‫ﺃﻭ‬
‫ﺍﻟﺘﺮﺗﻴﺒﻲ‬
Ordinal
‫ﺍﻟﻤﺤﺪﺩﺓ‬ ‫ﺍﻟﻔﺌﺎﺕ‬ ‫ﻣﻦ‬ ‫ﻋﺪﺩ‬ ‫ﻭﻟﻪ‬
‫ﻣﻦ‬ ‫ﻋﺪﺩ‬ ‫ﺇﻟﻰ‬ ‫ﺍﻟﻜﻠﻴﺔ‬ ‫ﺍﻟﻌﻴﻨﺔ‬ ‫ﺗﻘﺴﻴﻢ‬ ‫ﺳﻴﺘﻢ‬ ‫ﺧﻼﻟﻪ‬ ‫ﻣﻦ‬ ‫ﺍﻟﺬﻱ‬ ‫ﺍﻟﻤﺘﻐﻴﺮ‬ ‫ﻭﻫﻮ‬
‫ﻣ‬ ‫ﻣﻘﺎﺭﻧﺔ‬ ‫ﻳﺮﺍﺩ‬ ‫ﺍﻟﺘﻲ‬ ‫ﺍﻟﻌﻴﻨﺎﺕ‬
‫ﺘ‬
‫ﺍﻟﺘﺎﺑﻊ‬ ‫ﺑﺎﻟﻤﺘﻐﻴﺮ‬ ‫ﻳﺴﻤﻰ‬ ‫ﺍﻟﺬﻱ‬ ‫ﺍﻵﺧﺮ‬ ‫ﺍﻟﻤﺘﻐﻴﺮ‬ ‫ﺃﻣﺎ‬ .‫ﻮﺳﻄﺎﺗﻬﺎ‬
Dependent Variable
‫ﻓﻬﻮ‬
‫ﺍﻟﻤﺘﺼﻞ‬ ‫ﺍﻟﻜﻤﻲ‬ ‫ﺍﻟﻨﻮﻉ‬ ‫ﻣﻦ‬ ‫ﻣﺘﻐﻴﺮ‬
‫ﺳﻴ‬ ‫ﺍﻟﺬﻱ‬ ‫ﺍﻟﻤﺘﻐﻴﺮ‬ ‫ﻭﻫﻮ‬
.‫ﺍﻟﻌﺎﻣﻠﻲ‬ ‫ﺍﻟﻤﺘﻐﻴﺮ‬ ‫ﻓﺌﺎﺕ‬ ‫ﻣﻦ‬ ‫ﻓﺌﺔ‬ ‫ﻟﻜﻞ‬ ‫ﻣﺘﻮﺳﻄﻪ‬ ‫ﻣﺴﺎﻭﺍﺓ‬ ‫ﻓﺤﺺ‬ ‫ﺘﻢ‬
‫ﺍﻟﻤﺘﻐﻴﺮ‬ ‫ﻓﺌﺎﺕ‬ ‫ﻣﻦ‬ ‫ﻓﺌﺔ‬ ‫ﻛﻞ‬ ‫ﻓﻲ‬ ‫ﺍﻟﺘﺎﺑﻊ‬ ‫ﺍﻟﻤﺘﻐﻴﺮ‬ ‫ﻳﺴﻤﻰ‬ ‫ﻛﻤﻲ‬ ‫ﻣﺘﻐﻴﺮ‬ ‫ﻣﺘﻮﺳﻄﺎﺕ‬ ‫ﻣﻘﺎﺭﻧﺔ‬ ‫ﻫﻮ‬ ‫ﺍﻟﺘﺒﺎﻳﻦ‬ ‫ﺗﺤﻠﻴﻞ‬ ‫ﻣﻦ‬ ‫ﺍﻷﺳﺎﺱ‬ ‫ﻭﺍﻟﻬﺪﻑ‬
‫ﺍﻟﻌﺎﻣﻠﻲ‬
Factor
‫ﻭﻓﺤﺺ‬
‫ﻣﻘﺎﺑﻞ‬ ‫ﻣﺘﺴﺎﻭﻳﺔ‬ ‫ﺍﻟﻤﺘﻮﺳﻄﺎﺕ‬ ‫ﻫﺬﻩ‬ ‫ﻛﺎﻧﺖ‬ ‫ﺇﺫﺍ‬ ‫ﻣﺎ‬
‫ﺍﻷﻗﻞ‬ ‫ﻋﻠﻰ‬ ‫ﻣﺘﺴﺎﻭﻳﻴﻦ‬ ‫ﻏﻴﺮ‬ ‫ﻣﺘﻮﺳﻄﻴﻦ‬
‫ﻓﺈﺫﺍ‬
‫ﺗﻘﻮﻝ‬ ‫ﺍﻟﺘﻲ‬ ‫ﺍﻟﻔﺮﺿﻴﺔ‬ ‫ﺭﻓﻀﺖ‬
‫ﻣﺘﻮﺳﻄﺎﺕ‬ ‫ﺇﻥ‬
‫ﻣﺘﺴﺎﻭﻳﺔ‬ ‫ﺍﻟﻤﺘﻮﺳﻄﺎﺕ‬ ‫ﻫﺬﻩ‬ ‫ﻣﻦ‬ ‫ﺃﻱ‬ ‫ﻫﻨﺎ‬ ‫ﺍﻟﺴﺆﺍﻝ‬ ‫ﻓﺎﻥ‬ .‫ﻣﺘﺴﺎﻭﻳﺔ‬ ‫ﺍﻟﻔﺌﺎﺕ‬ ‫ﻫﺬﻩ‬
‫ﺍﻟﺒﻌﺪﻳﺔ‬ ‫ﺍﻟﻤﻘﺎﺭﻧﺎﺕ‬ ‫ﺗﺴﺘﺨﺪﻡ‬ ‫ﻣﺘﺴﺎﻭﻳﺔ؟‬ ‫ﻏﻴﺮ‬ ‫ﻭﺃﻳﻬﺎ‬
Post Hoc
‫ﻣﻦ‬ ‫ﺯﻭﺟﻴﻦ‬ ‫ﻟﻜﻞ‬ ‫ﺍﻟﺘﺎﺑﻊ‬ ‫ﺍﻟﻤﺘﻐﻴﺮ‬ ‫ﻣﺘﻮﺳﻄﺎﺕ‬ ‫ﻟﻤﻘﺎﺭﻧﺔ‬
‫ﻋﺪﺩ‬ ‫ﻓﺎﻥ‬ ‫ﺛﻼﺛﺔ‬ ‫ﺍﻟﻔﺌﺎﺕ‬ ‫ﻋﺪﺩ‬ ‫ﻛﺎﻥ‬ ‫ﻓﺈﺫﺍ‬ ‫ﺣﺪﻩ‬ ‫ﻋﻠﻰ‬ ‫ﺍﻟﻤﺘﻐﻴﺮﺍﺕ‬
‫ﺍﻟﻤﻘﺎﺭﻧﺎﺕ‬
‫ﻣﻘﺎﺭﻧﺎﺕ‬ ‫ﺛﻼﺙ‬ ‫ﺍﻟﺒﻌﺪﻳﺔ‬
‫ﺍﻟﻤﺠﻤﻮﻋﺔ‬ ‫ﺑﻴﻦ‬ ‫ﺍﻟﻤﻘﺎﺭﻧﺔ‬
‫ﺍﻟﺜﺎﻧﻴﺔ‬ ‫ﺍﻟﻤﺠﻤﻮﻋﺔ‬ ‫ﺑﻴﻦ‬ ‫ﻭﺍﻟﻤﻘﺎﺭﻧﺔ‬ ‫ﻭﺍﻟﺜﺎﻧﻴﺔ‬ ‫ﺍﻷﻭﻟﻰ‬
،‫ﻭﺍﻟﺜﺎﻟﺜﺔ‬
.‫ﻭﻫﻜﺬﺍ‬ ‫ﻭﺍﻟﺜﺎﻟﺜﺔ‬ ‫ﺍﻷﻭﻟﻰ‬ ‫ﺍﻟﻤﺠﻤﻮﻋﺔ‬ ‫ﺑﻴﻦ‬ ‫ﻭﺍﻟﻤﻘﺎﺭﻧﺔ‬
‫ﺑﺎﺳﺗﺧﺩﺍﻡ‬ ‫ﺍﻻﺣﺻﺎﺋﻲ‬ ‫ﺍﻟﺗﺣﻠﻳﻝ‬
SPSS
‫ﺩ‬
‫ﺳﻠﻁﺎﻥ‬ ‫ﺧﻠﻑ‬ .
70
) ‫ﺗﻄﺒﻴﻖ‬
8
(
‫ﺍﻟﻤﻘﺎﻭﻣﺔ‬ ‫ﻟﺪﺭﺍﺳﺔ‬
resistance
‫ﻣﻦ‬ ‫ﻷﻧﻮﺍﻉ‬
‫ﺍﻟﻜﻬﺮﺑﺎﺋﻴﺔ‬ ‫ﺍﻟﺘﻮﺻﻴﻼﺕ‬ ‫ﺃﺳﻼﻙ‬
‫ﺍﻧﺘﺎﺝ‬ ‫ﻣﻦ‬ (‫ﺍﻟﻤﻮﺍﺻﻔﺎﺕ‬ ‫)ﻧﻔﺲ‬
4
‫ﺷﺮﻛﺎﺕ‬
‫ﻣﺨﺘﻠﻔﺔ‬
‫ﺗﻢ‬
‫ﻛﻞ‬ ‫ﻣﻦ‬ ‫ﻋﺸﻮﺍﺋﻴﺔ‬ ‫ﻋﻴﻨﺔ‬ ‫ﺍﺧﺘﻴﺎﺭ‬
‫ﺷﺮﻛﺔ‬
‫ﻭﻗﻴﺴﺖ‬
‫ﻣﻨﺎﺳﺒﺔ‬ ‫)ﺑﻮﺣﺪﺍﺕ‬ ‫ﺍﻟﺴﻠﻚ‬ ‫ﻣﻦ‬ ‫ﺍﻟﻄﻮﻝ‬ ‫ﻟﻮﺣﺪﺓ‬ ‫ﺍﻟﻤﻘﺎﻭﻣﺔ‬
‫ﻓﺤﺼﻠﻨﺎ‬ ،(
:‫ﺍﻟﺘﺎﻟﻲ‬ ‫ﺍﻟﺠﺪﻭﻝ‬ ‫ﻓﻲ‬ ‫ﺍﻟﻤﺒﻴﻨﺔ‬ ‫ﺍﻟﺒﻴﺎﻧﺎﺕ‬ ‫ﻋﻠﻰ‬
‫ﺍﻟﻤﺨﺘﻠﻔﺔ‬ ‫ﺍﻟﻌﻴﻨﺎﺕ‬ ‫ﻣﻘﺎﻭﻣﺎﺕ‬
‫ﺍﻟﺸﺮﻛﺎﺕ‬
2.9
3
2.8
1
2.7
3
2.6
2.9
2
3.2
3.5
3.2
3
2.6
2.7
2.3
2.5
2.4
4
‫ﺍﻷﺳﻼ‬ ‫ﻣﻘﺎﻭﻣﺔ‬ ‫ﻣﺘﻮﺳﻄﺎﺕ‬ ‫ﺑﻴﻦ‬ ‫ﻣﻌﻨﻮﻳﺔ‬ ‫ﻓﺮﻭﻕ‬ ‫ﻫﻨﺎﻙ‬ ‫ﻫﻞ‬
‫ﺍﻟﻤﺨﺘﻠﻔﺔ‬ ‫ﺍﻟﺸﺮﻛﺎﺕ‬ ‫ﻫﺬﻩ‬ ‫ﺇﻧﺘﺎﺝ‬ ‫ﻣﻦ‬ ‫ﻙ‬
‫؟‬
‫ﺍﻟﺘﻨﻔﻴﺬ‬ ‫ﺧﻄﻮﺍﺕ‬
1
-
‫ﺍﻟﻔﺮﺿﻴﺎﺕ‬
H0
:
‫ﻷﻧﻮﺍﻉ‬ ‫ﺍﻟﻤﻘﺎﻭﻣﺔ‬ ‫ﻣﺘﻮﺳﻄﺎﺕ‬
‫ﺍﻷﺳﻼﻙ‬
‫ﻣﺘﺴﺎﻭﻳﺔ‬ ‫ﺍﻟﻤﺨﺘﻠﻔﺔ‬
.
H1
.‫ﺍﻷﺳﻼﻙ‬ ‫ﻣﻦ‬ ‫ﻧﻮﻋﻴﻦ‬ ‫ﻣﻘﺎﻭﻣﺔ‬ ‫ﻣﺘﻮﺳﻄﻲ‬ ‫ﺑﻴﻦ‬ ‫ﺍﻷﻗﻞ‬ ‫ﻋﻠﻰ‬ ‫ﺍﺧﺘﻼﻑ‬ ‫ﻳﻮﺟﺪ‬ :
2
-
‫ﺍﻻ‬ ‫ﻭﺗﻨﻔﻴﺬ‬ ‫ﺍﻟﺒﻴﺎﻧﺎﺕ‬ ‫ﺇﺩﺧﺎﻝ‬
‫ﺧﺘﺒﺎﺭ‬
‫ﺑﺮﻧﺎﻣﺞ‬ ‫ﻓﻲ‬ ‫ﺍﻷﺣﺎﺩﻱ‬ ‫ﺍﻟﺘﺒﺎﻳﻦ‬ ‫ﺗﺤﻠﻴﻞ‬ ‫ﻓﻲ‬ ‫ﺍﻟﺒﻴﺎﻧﺎﺕ‬ ‫ﺇﺩﺧﺎﻝ‬ ‫ﻳﺘﻢ‬
SPSS
:‫ﻛﺎﻟﺘﺎﻟﻲ‬
‫ﺑﺎﺳﺗﺧﺩﺍﻡ‬ ‫ﺍﻻﺣﺻﺎﺋﻲ‬ ‫ﺍﻟﺗﺣﻠﻳﻝ‬
SPSS
‫ﺩ‬
‫ﺳﻠﻁﺎﻥ‬ ‫ﺧﻠﻑ‬ .
71
‫ﺍﻷﺳﻼﻙ‬ ‫ﻣﻘﺎﻭﻣﺔ‬ ‫ﻳﻤﺜﻞ‬ ‫ﺍﻟﺬﻱ‬ ‫ﺍﻷﻭﻝ‬ ‫ﺍﻟﻤﺘﻐﻴﺮ‬ ‫ﺗﺤﺖ‬ ‫ﺍﻟﻤﺨﺘﻠﻔﺔ‬ ‫ﺍﻟﻌﻴﻨﺎﺕ‬ ‫ﺟﻤﻴﻊ‬ ‫ﻣﺸﺎﻫﺪﺍﺕ‬ ‫ﺇﺩﺧﺎﻝ‬ ‫ﻳﺘﻢ‬ ‫ﺣﻴﺚ‬
(‫)ﺍﻟﻤﻘﺎﻭﻣﺔ‬
‫ﺃﻣﺎ‬
‫ﺍﻟﺜﺎﻧﻲ‬ ‫ﺍﻟﻤﺘﻐﻴﺮ‬
(‫)ﺍﻟﺸﺮﻛﺎﺕ‬
‫ﺇﺩﺧ‬ ‫ﺑﻌﺪ‬ .‫ﻟﻠﺴﻠﻚ‬ ‫ﺍﻟﻤﻨﺘﺠﺔ‬ ‫ﺍﻟﺸﺮﻛﺔ‬ ‫ﻳﻮﺿﺢ‬ ‫ﻛﻮﺩ‬ ‫ﻋﻦ‬ ‫ﻋﺒﺎﺭﺓ‬ ‫ﻓﻬﻮ‬
‫ﺍﻟﻤﺴﺎﺭ‬ ‫ﻧﺘﺒﻊ‬ ‫ﺍﻟﺒﻴﺎﻧﺎﺕ‬ ‫ﺎﻝ‬
:‫ﺍﻟﺘﺎﻟﻲ‬
Analyze  Compare Means  one-way ANOVA
‫ﺍﻟﺤﻮﺍﺭ‬ ‫ﻣﺮﺑﻊ‬ ‫ﻓﻴﻈﻬﺮ‬
‫ﺍﻷﺳ‬
‫ﺍﻟﺘﺎﻟﻲ‬ ‫ﺎﺳﻲ‬
:
‫ﺍﻟﻤﻘﺎﻭﻣﺎﺕ‬ ‫ﻣﺘﻐﻴﺮ‬ ‫ﺍﻵﻥ‬ ‫ﻧﻨﻘﻞ‬
resistance
‫ﺍﻟﻤﺮﺑﻊ‬ ‫ﺇﻟﻰ‬
Dependent variable List
‫ﺍﻻﻛﻮﺍﺩ‬ ‫ﻭﻣﺘﻐﻴﺮ‬
Company
‫ﺍﻟﻤﺮﺑﻊ‬ ‫ﺇﻟﻰ‬
Factor
‫ﺛﻢ‬
‫ﻧﻀﻐﻂ‬
options
‫ﺍﺧﺘﺒﺎﺭ‬ ‫ﻟﺘﻨﺸﻴﻂ‬
‫ﺍﻟﺘ‬
‫ﺠﺎﻧﺲ‬
‫ﺑﺎﺳﺗﺧﺩﺍﻡ‬ ‫ﺍﻻﺣﺻﺎﺋﻲ‬ ‫ﺍﻟﺗﺣﻠﻳﻝ‬
SPSS
‫ﺩ‬
‫ﺳﻠﻁﺎﻥ‬ ‫ﺧﻠﻑ‬ .
72
‫ﻧﻀﻐﻂ‬ ‫ﺛﻢ‬
Post Hoc
.‫ﻟﻠﻨﺘﺎﺋﺞ‬ ‫ﺍﻟﻤﻄﻠﻮﺏ‬ ‫ﺍﻟﻤﻌﻨﻮﻳﺔ‬ ‫ﻣﺴﺘﻮﻯ‬ ‫ﻭﺍﺧﺘﻴﺎﺭ‬ ‫ﺍﻟﺒﻌﺪﻳﺔ‬ ‫ﺍﻻﺧﺘﺒﺎﺭﺍﺕ‬ ‫ﻟﺘﻨﺸﻴﻂ‬
‫ﺍﺧﺘﺒﺎﺭ‬ ‫ﺍﺧﺘﻴﺎﺭ‬ ‫ﺗﻢ‬ ‫ﻧﻼﺣﻆ‬
LSD
‫ﻭﺑﺎﻟﻀﻐﻂ‬ (‫)ﻣﺜﻨﻰ‬ ‫ﺍﻟﻤﺨﺘﻠﻔﺔ‬ ‫ﺍﻟﻤﺠﻤﻮﻋﺎﺕ‬ ‫ﺑﻴﻦ‬ ‫ﺍﻟﺒﻌﺪﻳﺔ‬ ‫ﺍﻟﻤﻘﺎﺭﻧﺎﺕ‬ ‫ﺍﺧﺘﺒﺎﺭﺍﺕ‬ ‫ﻛﺄﺣﺪ‬
‫ﻋﻠﻰ‬
continue
‫ﻧﻀﻐﻂ‬ ‫ﺛﻢ‬ ‫ﺍﻷﺳﺎﺳﻲ‬ ‫ﺍﻟﺤﻮﺍﺭ‬ ‫ﻣﺮﺟﻊ‬ ‫ﺇﻟﻰ‬ ‫ﻧﺮﺟﻊ‬
OK
‫ﺍﻟﻨﺘﺎﺋﺞ‬ ‫ﻓﺘﻈﻬﺮ‬
:‫ﻛﺎﻟﺘﺎﻟﻲ‬
Test of Homogeneity of Variances
‫ﺍﻟﻣﻘﺎﻭﻣﺔ‬
Levene Statistic df1 df2 Sig.
.905 3 11 .470
ANOVA
‫ﺍﻟﻣﻘﺎﻭﻣﺔ‬
Sum of Squares df Mean Square F Sig.
Between Groups 1.224 3 .408 16.029 .000
Within Groups .280 11 .025
Total 1.504 14
‫ﺗﺸﻴ‬
‫ﺑﻴﻦ‬ ‫ﻣﻌﻨﻮﻳﺔ‬ ‫ﺍﺧﺘﻼﻓﺎﺕ‬ ‫ﻟﻮﺟﻮﺩ‬ ‫ﺍﻟﺠﺪﻭﻝ‬ ‫ﻫﺬﺍ‬ ‫ﻧﺘﺎﺋﺞ‬ ‫ﺮ‬
‫ﺃﻧﻮﺍﻉ‬
‫ﻣﻦ‬ ‫ﺍﻗﻞ‬ ‫ﻣﻌﻨﻮﻳﺔ‬ ‫ﻣﺴﺘﻮﻯ‬ ‫ﻋﻨﺪ‬ ‫ﺍﻟﺴﻠﻚ‬
0.01
:‫ﺍﻟﺘﺎﻟﻲ‬ ‫ﻧﺴﺘﻨﺞ‬ ‫ﺍﻟﻤﺘﻌﺪﺩﺓ‬ ‫ﺍﻟﻤﻘﺎﺭﻧﺎﺕ‬ ‫ﺟﺪﻭﻝ‬ ‫ﻣﻦ‬ ‫ﺃﻣﺎ‬
‫ﺑﺎﺳﺗﺧﺩﺍﻡ‬ ‫ﺍﻻﺣﺻﺎﺋﻲ‬ ‫ﺍﻟﺗﺣﻠﻳﻝ‬
SPSS
‫ﺩ‬
‫ﺳﻠﻁﺎﻥ‬ ‫ﺧﻠﻑ‬ .
73
Multiple Comparisons
Dependent Variable: ‫ﺍﻟﻣﻘﺎﻭﻣﺔ‬
LSD
(I) ‫ﺍﻟﺷﺭﻛﺎﺕ‬ (J) ‫ﺍﻟﺷﺭﻛﺎﺕ‬ Mean
Difference (I-J)
Std. Error Sig. 95% Confidence Interval
Lower Bound Upper Bound
1.00
2.00 .10000 .12185 .429 -.1682 .3682
3.00 -.40000* .13027 .011 -.6867 -.1133
4.00 .40000* .11652 .006 .1436 .6564
2.00
1.00 -.10000 .12185 .429 -.3682 .1682
3.00 -.50000* .12185 .002 -.7682 -.2318
4.00 .30000* .10703 .017 .0644 .5356
3.00
1.00 .40000* .13027 .011 .1133 .6867
2.00 .50000* .12185 .002 .2318 .7682
4.00 .80000* .11652 .000 .5436 1.0564
4.00
1.00 -.40000* .11652 .006 -.6564 -.1436
2.00 -.30000* .10703 .017 -.5356 -.0644
3.00 -.80000* .11652 .000 -1.0564 -.5436
*. The mean difference is significant at the 0.05 level.
‫ﺍﻟﺠﺪﻭﻝ‬ ‫ﻫﺬﺍ‬ ‫ﻣﻦ‬ ‫ﻭﻧﻼﺣﻆ‬
:‫ﺍﻟﺘﺎﻟﻲ‬ ‫ﺍﻟﻨﺤﻮ‬ ‫ﻋﻠﻰ‬ ‫ﺍﻟﻤﺨﺘﻠﻔﺔ‬ ‫ﺍﻻﺳﻼﻙ‬ ‫ﺍﻧﻮﺍﻉ‬ ‫ﺑﻴﻦ‬ ‫ﻣﻌﻨﻮﻳﺔ‬ ‫ﻓﺮﻭﻕ‬ ‫ﺗﻮﺟﺪ‬ ‫ﺍﻧﻪ‬
1
-
‫ﺍﻟﺸﺮﻛﺔ‬ ‫ﺃﺳﻼﻙ‬ ‫ﻣﻘﺎﻭﻣﺔ‬
1
‫ﺃﺻﻐﺮ‬
‫ﺍﺳﻼﻙ‬ ‫ﻣﻘﺎﻣﺔ‬ ‫ﻣﻦ‬
‫ﺍﻟﺸﺮﻛﺔ‬
3
2
-
‫ﺃﺳﻼﻙ‬ ‫ﻣﻘﺎﻭﻣﺔ‬
‫ﺍﻟﺸﺮﻛﺔ‬
1
‫ﺃﺻﻐﺮ‬
‫ﺍﺳﻼﻙ‬ ‫ﻣﻘﺎﻣﺔ‬ ‫ﻣﻦ‬
‫ﺍﻟﺸﺮﻛﺔ‬
4
3
-
‫ﺍﻟﺸﺮﻛﺔ‬ ‫ﺃﺳﻼﻙ‬ ‫ﻣﻘﺎﻭﻣﺔ‬
2
‫ﺃﺻﻐﺮ‬
‫ﺍﺳﻼﻙ‬ ‫ﻣﻘﺎﻣﺔ‬ ‫ﻣﻦ‬
‫ﺍﻟﺸﺮﻛﺔ‬
3
4
-
‫ﺍﻟﺸﺮﻛﺔ‬ ‫ﺃﺳﻼﻙ‬ ‫ﻣﻘﺎﻭﻣﺔ‬
2
‫ﺃﻛﺒﺮ‬
‫ﺍﺳﻼﻙ‬ ‫ﻣﻘﺎﻣﺔ‬ ‫ﻣﻦ‬
‫ﺍﻟﺸﺮﻛﺔ‬
4
5
-
‫ﺍﻟﺸﺮﻛﺔ‬ ‫ﺃﺳﻼﻙ‬ ‫ﻣﻘﺎﻭﻣﺔ‬
3
‫ﺃﺻﻐﺮ‬
‫ﺍﺳﻼﻙ‬ ‫ﻣﻘﺎﻣﺔ‬ ‫ﻣﻦ‬
‫ﺍﻟﺸﺮﻛﺔ‬
4
:‫ﻣﻼﺣﻈﺔ‬
‫ﺍﺧﺘﺒﺎﺭ‬ ‫ﺍﺧﺘﻴﺎﺭ‬ ‫ﻳﺘﻢ‬
‫ﺍﻟﺒﻌﺪﻳﺔ‬ ‫ﺍﻟﻤﻘﺎﺭﻧﺎﺕ‬
‫ﺍﻟﺘﺒﺎ‬ ‫ﺗﺴﺎﻭﻱ‬ ‫ﺃﺳﺎﺱ‬ ‫ﻋﻠﻰ‬
:‫ﺣﺎﻟﺘﻴﻦ‬ ‫ﻭﻧﺠﺪ‬ ‫ﻳﻦ‬
1
-
‫ﻧﺴﺘﺨﺪﻡ‬ :‫ﺍﻟﺘﺒﺎﻳﻦ‬ ‫ﺗﺴﺎﻭﻱ‬
LSD
‫ﺍﻭ‬ ،
Tukey
‫ﺍﻭ‬ ،
Scheffe
2
-
‫ﻧﺴﺘﺨﺪﻡ‬ :‫ﺍﻟﺘﺒﺎﻳﻦ‬ ‫ﺗﺴﺎﻭﻱ‬ ‫ﻋﺪﻡ‬
Dunett's C
‫ﺍﻭ‬ ،
Dunnett's T3
‫ﺑﺎﺳﺗﺧﺩﺍﻡ‬ ‫ﺍﻻﺣﺻﺎﺋﻲ‬ ‫ﺍﻟﺗﺣﻠﻳﻝ‬
SPSS
‫ﺩ‬
‫ﺳﻠﻁﺎﻥ‬ ‫ﺧﻠﻑ‬ .
74
‫ﺍﻟ‬ ‫ﺍﻟﺠﺰء‬
‫ﺨﺎﻣﺲ‬
‫ﺍﻟﻼﻣﻌﻠﻤﻴﺔ‬ ‫ﺍﻻﺧﺘﺒﺎﺭﺍﺕ‬
Nonparametric Tests
)
5
-
1
(
‫ﻣﻘﺪﻣﺔ‬
‫ﺍﻟﻤﻮ‬ ‫ﺍﻟﻼﻣﻌﻠﻤﻴﺔ‬ ‫ﺍﻻﺧﺘﺒﺎﺭﺍﺕ‬ ‫ﺑﻌﺾ‬ ‫ﻫﻨﺎ‬ ‫ﻧﺴﺘﻌﺮﺽ‬ ‫ﺳﻮﻑ‬
‫ﻓﻲ‬ ‫ﺟﻮﺩﺓ‬
SPSS
.
‫ﺍ‬ ‫ﺍﻻﺧﺘﺒﺎﺭﺍﺕ‬ ‫ﺑﻌﺾ‬ ‫ﻳﻤﺜﻞ‬ ‫ﺍﻟﺘﺎﻟﻲ‬ ‫ﺍﻟﺠﺪﻭﻝ‬
‫ﺍﻟﻼﻣ‬ ‫ﻹﺣﺼﺎﺋﻴﺔ‬
‫ﻭ‬ ‫ﻌﻠﻤﻴﺔ‬
‫ﻓﻮﺍﺋﺪﻫﺎ‬
‫ﻭﺧﺼﺎﺋﺼﻬﺎ‬
‫ﺍﻻﺧﺘﺒﺎﺭ‬
‫ﺍﻻﺳﺘﺨﺪﺍﻡ‬
Chi – Square Test
‫ﺍﺳﺘﻘﻼﻝ‬ ‫ﻻﺧﺘﺒﺎﺭ‬
‫ﻭﺗﺠﺎﻧﺲ‬
‫ﺍﻟﻈﻮﺍﻫﺮ‬
–
‫ﻟﻌﻴﻨﺔ‬ ‫ﺍﺣﺘﻤﺎﻟﻲ‬ ‫ﺗﻮﺯﻳﻊ‬ ‫ﻣﻼﺋﻤﺔ‬
‫ﻋﺸﻮﺍﺋﻴﺔ‬
Binomial Test
‫ﻅﺎﻫﺮﺗﻴﻦ‬ ‫ﻧﺴﺐ‬ ‫ﺗﻄﺎﺑﻖ‬ ‫ﻻﺧﺘﺒﺎﺭ‬
Runs Test
‫ﻻﺧﺘﺒﺎﺭ‬
‫ﺍﻟﻌﺸﻮﺍﺋﻴﺔ‬
One-Sample K-S Test
‫ﻋﺸﻮﺍﺋﻴﺔ‬ ‫ﻟﻌﻴﻨﺔ‬ ‫ﺍﺣﺘﻤﺎﻟﻲ‬ ‫ﺗﻮﺯﻳﻊ‬ ‫ﻣﻼﺋﻤﺔ‬ ‫ﻻﺧﺘﺒﺎﺭ‬
Two Independent Samples
‫ﻣﺴﺘﻘﻠﻴﻦ‬ ‫ﻣﺠﺘﻤﻌﻴﻦ‬ ‫ﺣﻮﻝ‬ ‫ﻓﺮﺿﻴﺎﺕ‬ ‫ﺻﺤﺔ‬ ‫ﻣﻦ‬ ‫ﺍﻟﺘﺤﻘﻖ‬
Two Related Samples
‫ﻟﻈﺎﻫﺮﺓ‬ ‫ﻣﺨﺘﻠﻔﻴﻦ‬ ‫ﻗﻴﺎﺳﻴﻦ‬ ‫ﻓﻲ‬ ‫ﺍﻟﻔﺮﻭﻕ‬ ‫ﺣﻮﻝ‬ ‫ﻓﺮﺿﻴﺎﺕ‬ ‫ﺻﺤﺔ‬ ‫ﻣﻦ‬ ‫ﺍﻟﺘﺤﻘﻖ‬
‫ﻭﺍﺣﺪﺓ‬
(‫ﻣﺴﺘﻘﻠﻴﻦ‬ ‫ﻏﻴﺮ‬ ‫)ﻣﺠﺘﻤﻌﻴﻦ‬
K Independent Samples
‫ﻋ‬ ‫ﺣﻮﻝ‬ ‫ﻓﺮﺿﻴﺎﺕ‬ ‫ﺻﺤﺔ‬ ‫ﻣﻦ‬ ‫ﺍﻟﺘﺤﻘﻖ‬
‫ﻣﺠﺘﻤﻌ‬ ‫ﺪﺓ‬
‫ﺎﺕ‬
‫ﻣﺴﺘﻘﻠ‬
‫ﺔ‬
K Related Samples
‫ﺍﻟﻈﺎﻫﺮ‬ ‫ﻟﻨﻔﺲ‬ ‫ﻗﻴﺎﺳﺎﺕ‬ ‫ﻋﺪﺓ‬ ‫ﺑﻴﻦ‬ ‫ﺍﻟﻔﺮﻭﻕ‬ ‫ﺣﻮﻝ‬ ‫ﻓﺮﺿﻴﺎﺕ‬ ‫ﺻﺤﺔ‬ ‫ﻣﻦ‬ ‫ﺍﻟﺘﺤﻘﻖ‬
‫ﺓ‬
(‫ﻣﺴﺘﻘﻠﺔ‬ ‫ﻏﻴﺮ‬ ‫ﻣﺠﺘﻤﻌﺎﺕ‬ ‫)ﻋﺪﺓ‬
‫ﺑﺎﺳﺗﺧﺩﺍﻡ‬ ‫ﺍﻻﺣﺻﺎﺋﻲ‬ ‫ﺍﻟﺗﺣﻠﻳﻝ‬
SPSS
‫ﺩ‬
‫ﺳﻠﻁﺎﻥ‬ ‫ﺧﻠﻑ‬ .
75
)
5
-
2
‫ﺍﺧﺘﺒﺎﺭ‬ (
‫ﺫﻱ‬
‫ﺍﻟﺤﺪﻳﻦ‬
Test
Binomial
) ‫ﺗﻄﺒﻴﻖ‬
9
(
‫ﻓﻲ‬ ‫ﺍﻟﺒﻴﺎﻧﺎﺕ‬
‫ﺍﻟﻤﻠﻒ‬
Application-9.sav
‫ﺗﻤﺜﻞ‬
‫ﻣﻌﻠﻮﻣﺎﺕ‬
40
‫ﻏﻴﺮ‬ ‫ﺍﻟﻌﺎﻣﻠﻴﻦ‬ ‫ﻧﺴﺒﺔ‬ ‫ﻫﻞ‬ .‫ﺍﻟﺸﺮﻛﺎﺕ‬ ‫ﺇﺣﺪﻯ‬ ‫ﻓﻲ‬ ‫ﻣﻮﻅﻒ‬
‫ﻣﻌﻨﻮﻳﺔ‬ ‫ﻣﺴﺘﻮﻯ‬ ‫ﺍﺳﺘﺨﺪﻡ‬ ‫ﺍﻟﺸﺮﻛﺔ؟‬ ‫ﻓﻲ‬ ‫ﺍﻟﺴﻌﻮﺩﻳﻴﻦ‬ ‫ﺍﻟﻌﺎﻣﻠﻴﻦ‬ ‫ﻧﺴﺒﺔ‬ ‫ﺗﺴﺎﻭﻯ‬ ‫ﺍﻟﺴﻌﻮﺩﻳﻴﻦ‬
5
.%
:‫ﺍﻟﺘﻨﻔﻴﺬ‬ ‫ﺧﻄﻮﺍﺕ‬
1
-
‫ﺍﻟﻔﺮﺿﻴﺎﺕ‬ ‫ﺻﻴﺎﻏﺔ‬
H0
‫ﺍﻟﺴﻌﻮﺩﻳﻴﻦ‬ ‫ﺍﻟﻌﺎﻣﻠﻴﻦ‬ ‫ﻧﺴﺒﺔ‬ ‫ﺗﺴﺎﻭﻯ‬ ‫ﺍﻟﺴﻌﻮﺩﻳﻴﻦ‬ ‫ﻏﻴﺮ‬ ‫ﺍﻟﻌﺎﻣﻠﻴﻦ‬ ‫ﻧﺴﺒﺔ‬ :
H1
‫ﺍﻟﺴﻌﻮﺩﻳﻴ‬ ‫ﻏﻴﺮ‬ ‫ﺍﻟﻌﺎﻣﻠﻴﻦ‬ ‫ﻧﺴﺒﺔ‬ :
‫ﺍﻟﺴﻌﻮﺩﻳﻴﻦ‬ ‫ﺍﻟﻌﺎﻣﻠﻴﻦ‬ ‫ﻧﺴﺒﺔ‬ ‫ﺗﺴﺎﻭﻯ‬ ‫ﻻ‬ ‫ﻦ‬
2
-
‫ﺍﻻﺧﺘﺒﺎﺭ‬ ‫ﻭﺗﻨﻔﻴﺬ‬ ‫ﺍﻟﺒﻴﺎﻧﺎﺕ‬ ‫ﺇﺩﺧﺎﻝ‬
‫ﺇﻟﻰ‬ ‫ﺍﻟﺒﻴﺎﻧﺎﺕ‬ ‫ﻧﺪﺧﻞ‬
SPSS
‫ﺍﻟﻤﻠﻒ‬ ‫ﻣﻦ‬
Application-9.sav
:‫ﺍﻟﺘﺎﻟﻲ‬ ‫ﺍﻟﻤﺴﺎﺭ‬ ‫ﻧﺨﺘﺎﺭ‬ ‫ﺛﻢ‬
Analyze  Nonparametric TestsLegacy Dialogs Binomial…
:‫ﺍﻟﺘﺎﻟﻲ‬ ‫ﺍﻟﺤﻮﺍﺭ‬ ‫ﻣﺮﺑﻊ‬ ‫ﻓﻴﻈﻬﺮ‬
‫ﺍﻟﻤﺘﻐﻴﺮ‬ ‫ﻧﻨﻘﻞ‬
Nationality
‫ﻟﻠﻤﺮﺑ‬
‫ﻊ‬
Test Variable List:
‫ﻧﻀﻐﻂ‬ ‫ﺛﻢ‬
OK
:‫ﺍﻟﺘﺎﻟﻴﺔ‬ ‫ﺍﻟﻨﺘﺎﺋﺞ‬ ‫ﻋﻠﻰ‬ ‫ﻓﻨﺤﺼﻞ‬
‫ﺑﺎﺳﺗﺧﺩﺍﻡ‬ ‫ﺍﻻﺣﺻﺎﺋﻲ‬ ‫ﺍﻟﺗﺣﻠﻳﻝ‬
SPSS
‫ﺩ‬
‫ﺳﻠﻁﺎﻥ‬ ‫ﺧﻠﻑ‬ .
76
3
-
‫ﺍﻟﻘﺮﺍﺭ‬ ‫ﻭﺍﺗﺨﺎﺫ‬ ‫ﺍﻟﺘﻌﻠﻴﻖ‬
‫ﺟ‬ ‫ﻣﻦ‬
‫ﻧﺠﺪ‬ ‫ﺍﻟﻨﺘﺎﺋﺞ‬ ‫ﺪﻭﻝ‬
‫ﺃﻥ‬
p-value = 0.636
‫ﺃﻛ‬ ‫ﻭﻫﻲ‬
‫ﺒ‬
‫ﻣﻦ‬ ‫ﺮ‬
5
‫ﺃﻱ‬ ، %
‫ﺃﻥ‬
‫ﻧﻘﺒﻞ‬ ‫ﺃﻥ‬ ‫ﻫﻮ‬ ‫ﺍﻟﻘﺮﺍﺭ‬
H0
‫ﻳﺆﻛﺪ‬ ‫ﻭﻫﺬﺍ‬
.‫ﺍﻟﺸﺮﻛﺔ‬ ‫ﻓﻲ‬ ‫ﻭﺍﻷﺟﺎﻧﺐ‬ ‫ﺍﻟﺴﻌﻮﺩﻳﻴﻦ‬ ‫ﻧﺴﺒﺔ‬ ‫ﺑﻴﻦ‬ ‫ﻣﻌﻨﻮﻱ‬ ‫ﺍﺧﺘﻼﻑ‬ ‫ﻭﺟﻮﺩ‬ ‫ﻋﺪﻡ‬
)
5
-
3
‫ﻣﺴﺘﻘﻠﺘﻴﻦ‬ ‫ﻋﻴﻨﺘﻴﻦ‬ ‫ﺍﺧﺘﺒﺎﺭﺍﺕ‬ (
amples Tests
S
Independent
Two
‫ﻟ‬
‫ﺑﻴ‬ ‫ﻠﻤﻘﺎﺭﻧﺔ‬
‫ﺍﺧﺘﺒﺎﺭﺍﺕ‬ ‫ﺃﺭﺑﻌﺔ‬ ‫ﻳﻮﺟﺪ‬ ‫ﺍﻟﻤﻌﻠﻤﻴﺔ‬ ‫ﺍﻻﺧﺘﺒﺎﺭﺍﺕ‬ ‫ﺷﺮﻭﻁ‬ ‫ﺗﺤﻘﻖ‬ ‫ﻻ‬ ‫ﻋﻨﺪﻣﺎ‬ ‫ﻣﺴﺘﻘﻠﻴﻦ‬ ‫ﻣﺠﺘﻤﻌﻴﻦ‬ ‫ﻦ‬
‫ﻣﺘﺎﺣﺔ‬ ‫ﻻﻣﻌﻠﻤﻴﺔ‬
‫ﺑﺮﻧﺎﻣﺞ‬ ‫ﻓﻲ‬
SPSS
‫ﺍﻻﺧﺘﺒﺎﺭ‬
‫ﺍﻻﺳﺘﺨﺪﺍﻡ‬
‫ﻭﺍﻟﻤﻌﺎﻳﻨﺔ‬ ‫ﺍﻟﺘﺠﺮﺑﺔ‬ ‫ﺗﺼﻤﻴﻢ‬
‫ﻭﻳﺘﻨﻲ‬ ‫ﻣﺎﻥ‬
Mann-Whiney
)
‫ﻻﺧﺘﺒﺎﺭ‬ ‫ﻻﻣﻌﻠﻤﻲ‬ ‫ﺑﺪﻳﻞ‬
T
(
‫ﻣﺠﻤﻮﻋﺘﻴﻦ‬ ‫ﺑﻴﻦ‬ ‫ﻓﺮﻭﻕ‬
:‫ﻣﺠﻤﻮﻋﺘﻴﻦ‬
‫ﺗﺠﺮﻳﺒﻴ‬
‫ﺔ‬
‫ﻭﺿﺎﺑﻄﺔ‬
‫ﻛﻮﻟﻤﻮﺟﺮﻭ‬
‫ﻑ‬
–
‫ﺳﻤﻴﺮﻧﻮﻑ‬
Komogorov –Smirnov Z
‫ﺍﻟﻌﻴﻨﺘﻴﻦ‬ ‫ﻛﺎﻧﺖ‬ ‫ﺇﺫﺍ‬ ‫ﻣﺎ‬ ‫ﺍﺧﺘﺒﺎﺭ‬
‫ﻟﻬﻤﺎ‬ ‫ﻣﺠﺘﻤﻌﻴﻦ‬ ‫ﻣﻦ‬ ‫ﻣﺴﺤﻮﺑﺘﻴﻦ‬
‫ﺍﻟﺘﻮﺯﻳﻊ‬ ‫ﻧﻔﺲ‬
:‫ﻣﺠﻤﻮﻋﺘﻴﻦ‬
‫ﺗﺠﺮﻳﺒﻴ‬
‫ﺔ‬
‫ﻭﺿﺎﺑﻄﺔ‬
‫ﻣﻮﺳﺰ‬
Moses
‫ﻣﺠﻤﻮﻋﺘﻴﻦ‬ ‫ﺑﻴﻦ‬ ‫ﻓﺮﻭﻕ‬
:‫ﻣﺠﻤﻮﻋﺘﻴﻦ‬
‫ﺗﺠﺮﻳﺒﻴ‬
‫ﺔ‬
‫ﻭﺿﺎﺑﻄﺔ‬
‫ﻭﻭﻟﺪ‬
-
‫ﻭﻟﻔﻮﺗﻴﺰ‬
Wald-Wolfowitze
‫ﺍﻟﻌﻴﻨﺘﻴﻦ‬ ‫ﻛﺎﻧﺖ‬ ‫ﺇﺫﺍ‬ ‫ﻣﺎ‬ ‫ﺍﺧﺘﺒﺎﺭ‬
‫ﻣﺠﺘﻤﻌﻴ‬ ‫ﻣﻦ‬ ‫ﻣﺴﺤﻮﺑﺘﻴﻦ‬
‫ﻟﻬﻤﺎ‬ ‫ﻦ‬
‫ﺍﻟﺘﻮﺯﻳﻊ‬ ‫ﻧﻔﺲ‬
:‫ﻣﺠﻤﻮﻋﺘﻴﻦ‬
‫ﺗﺠﺮﻳﺒﻴ‬
‫ﺔ‬
‫ﻭﺿﺎﺑﻄﺔ‬
Binomial Test
Category N Observed Prop. Test Prop. Exact Sig. (2-
tailed)
Nationality
Group 1 Saudi 22 .55 .50 .636
Group 2 Non Saudi 18 .45
Total 40 1.00
‫ﺑﺎﺳﺗﺧﺩﺍﻡ‬ ‫ﺍﻻﺣﺻﺎﺋﻲ‬ ‫ﺍﻟﺗﺣﻠﻳﻝ‬
SPSS
‫ﺩ‬
‫ﺳﻠﻁﺎﻥ‬ ‫ﺧﻠﻑ‬ .
77
)
5
-
3
-
1
(
‫ﻭﻳﺘﻨﻲ‬ ‫ﻣﺎﻥ‬ ‫ﺍﺧﺘﺒﺎﺭ‬
Whitney Test
–
Mann
‫ﻣﺎﻥ‬ ‫ﺍﺧﺘﺒﺎﺭ‬ ‫ﻳﻌﺘﺒﺮ‬
–
‫ﻻﺧﺘﺒﺎﺭ‬ ‫ﺍﻟﻼﻣﻌﻠﻤﻲ‬ ‫ﺍﻟﺒﺪﻳﻞ‬ ‫ﻫﻮ‬ ‫ﻭﻳﺘﻨﻲ‬
T
.‫ﺍﻟﻤﻌﻠﻤﻲ‬ ‫ﺍﻻﺧﺘﺒﺎﺭ‬ ‫ﺷﺮﻭﻁ‬ ‫ﺗﺘﻮﻓﺮ‬ ‫ﻻ‬ ‫ﻋﻨﺪﻣﺎ‬ ‫ﻣﺴﺘﻘﻠﺘﻴﻦ‬ ‫ﻟﻌﻴﻨﺘﻴﻦ‬
) ‫ﺗﻄﺒﻴﻖ‬
10
(
‫ﺑﺎﻟﻤﻠﻒ‬ ‫ﺍﻟﻤﻮﺟﻮﺩﺓ‬ ‫ﺍﻟﺒﻴﺎﻧﺎﺕ‬
Application-10.sav
‫ﺗﻤﺜﻞ‬
‫ﺍﻟﻄﻼﺏ‬ ‫ﺩﺭﺟﺎﺕ‬ ‫ﻣﻦ‬ ‫ﻣﺴﺘﻘﻠﺘﻴﻦ‬ ‫ﻋﺸﻮﺍﺋﻴﺘﻴﻦ‬ ‫ﻋﻴﻨﺘﻴﻦ‬
‫ﺑﻤﻘﺮ‬ ‫ﻭﺍﻟﻄﺎﻟﺒﺎﺕ‬
‫ﺍﻹﺩﺍﺭﻳﺔ‬ ‫ﺍﻟﻌﻠﻮﻡ‬ ‫ﺑﻜﻠﻴﺔ‬ ‫ﺍﻹﺣﺼﺎء‬ ‫ﺭ‬
‫ﺍﻟﻄﻼﺏ‬ ‫ﺩﺭﺟﺎﺕ‬ ‫ﻭﺳﻴﻂ‬ ‫ﺑﻴﻦ‬ ‫ﻣﻌﻨﻮﻱ‬ ‫ﺍﺧﺘﻼﻑ‬ ‫ﻳﻮﺟﺪ‬ ‫ﺍﻧﻪ‬ ‫ﺗﺮﻯ‬ ‫ﻫﻞ‬
‫ﻓﻲ‬ ‫ﺍﻟﻄﺎﻟﺒﺎﺕ‬ ‫ﺩﺭﺟﺎﺕ‬ ‫ﻭﻭﺳﻴﻂ‬
‫ﺍﻟ‬
‫ﻣﻌﻨﻮﻳﺔ‬ ‫ﻣﺴﺘﻮﻯ‬ ‫ﻋﻨﺪ‬ ‫ﻤﻘﺮﺭ‬
5
‫؟‬%
‫ﺍﻟﺘﻨﻔﻴﺬ‬ ‫ﺧﻄﻮﺍﺕ‬
1
.
:‫ﺍﻟﻔﺮﺿﻴﺎﺕ‬ ‫ﺻﻴﺎﻏﺔ‬
H0
‫ﺍﻟﻄ‬ ‫ﺩﺭﺟﺎﺕ‬ ‫ﻭﺳﻴﻂ‬ :
‫ﺍﻟﻄﺎﻟﺒﺎﺕ‬ ‫ﺩﺭﺟﺎﺕ‬ ‫ﻭﺳﻴﻂ‬ ‫ﻳﺴﺎﻭﻱ‬ ‫ﺍﻹﺣﺼﺎء‬ ‫ﻣﻘﺮﺭ‬ ‫ﻓﻲ‬ ‫ﻼﺏ‬
H1
‫ﺍﻟﻄﺎﻟﺒﺎﺕ‬ ‫ﺩﺭﺟﺎﺕ‬ ‫ﻭﺳﻴﻂ‬ ‫ﻳﺴﺎﻭﻱ‬ ‫ﻻ‬ ‫ﺍﻹﺣﺼﺎء‬ ‫ﻣﻘﺮﺭ‬ ‫ﻓﻲ‬ ‫ﺍﻟﻄﻼﺏ‬ ‫ﺩﺭﺟﺎﺕ‬ ‫ﻭﺳﻴﻂ‬ :
2
.
‫ﺍﻻﺧﺘﺒﺎﺭ‬ ‫ﻭﺗﻨﻔﻴﺬ‬ ‫ﺍﻟﺒﻴﺎﻧﺎﺕ‬ ‫ﺇﺩﺧﺎﻝ‬
‫ﺑﺮﻧﺎﻣﺞ‬ ‫ﻓﻲ‬ ‫ﺍﻟﺪﺭﺟﺎﺕ‬ ‫ﺇﺩﺧﺎﻝ‬ ‫ﻳﺘﻢ‬
SPSS
،‫ﺍﻷﻛﻮﺍﺩ‬ ‫ﻳﻤﺜﻞ‬ ‫ﺍﻟﺜﺎﻧﻲ‬ ‫ﻭﺍﻟﻌﻤﻮﺩ‬ ‫ﺍﻟﺪﺭﺟﺎﺕ‬ ‫ﻳﻤﺜﻞ‬ ‫ﺍﻷﻭﻝ‬ ‫ﺍﻟﻌﻤﻮﺩ‬ :‫ﻋﻤﻮﺩﻳﻦ‬ ‫ﻓﻲ‬
‫ﺍﻻﻛﻮﺍﺩ‬ ‫ﻭﻫﺬﻩ‬
‫ﺍﻟﻜﻮﺩ‬ ‫ﺗﺄﺧﺬ‬ ‫ﺍﻟﻄﺎﻟﺐ‬ ‫ﺩﺭﺟﺔ‬ ‫)ﻣﺜﻼ‬ ‫ﺍﻟﺒﺎﺣﺚ‬ ‫ﻳﺤﺪﺩﻫﺎ‬
1
‫ﺍﻟﻜﻮﺩ‬ ‫ﺗﺄﺧﺬ‬ ‫ﺍﻟﻄﺎﻟﺒﺔ‬ ‫ﺩﺭﺟﺔ‬ ‫ﺑﻴﻨﻤﺎ‬
2
:‫ﻳﻠﻲ‬ ‫ﻛﻤﺎ‬ ، (
‫ﺍﻟﻤﺴﺎﺭ‬ ‫ﻧﺘﺒﻊ‬ ‫ﺗﻢ‬
Analyze  Nonparametric Tests Legacy Dialogs2 Independent Samples
:‫ﺍﻟﺘﺎﻟﻲ‬ ‫ﺍﻟﺤﻮﺍﺭ‬ ‫ﻣﺮﺑﻊ‬ ‫ﻋﻠﻰ‬ ‫ﻓﻨﺤﺼﻞ‬
‫ﺑﺎﺳﺗﺧﺩﺍﻡ‬ ‫ﺍﻻﺣﺻﺎﺋﻲ‬ ‫ﺍﻟﺗﺣﻠﻳﻝ‬
SPSS
‫ﺩ‬
‫ﺳﻠﻁﺎﻥ‬ ‫ﺧﻠﻑ‬ .
78
‫ﺍﻟﺪﺭﺟﺎﺕ‬ ‫ﻣﺘﻐﻴﺮ‬ ‫ﻧﻨﻘﻞ‬
Marks
‫ﺍﻟﻤﺮﺑﻊ‬ ‫ﻓﻲ‬
List Test Variable
‫ﺍﻻﻛﻮﺍﺩ‬ ‫ﻣﺘﻐﻴﺮ‬ ‫ﺛﻢ‬
G
‫ﺩﺍﺧﻞ‬
Grouping Variable
‫ﺍﻟﻤﺮﺑﻊ‬ ‫ﻓﻴﻈﻬﺮ‬
‫ﺛﻢ‬
‫ﺑﺎﺧﺘﻴﺎﺭ‬ ‫ﻧﻘﻮﻡ‬
Define Groups
‫ﻋﻠﻰ‬ ‫ﻓﻨﺤﺼﻞ‬
‫ﻫﻨﺎ‬ ‫ﻧﺨﺘﺎﺭ‬
1
،(‫ﺍﻟﻄﻼﺏ‬ ‫)ﺩﺭﺟﺎﺕ‬ ‫ﺍﻷﻭﻟﻰ‬ ‫ﻟﻠﻤﺠﻮﻋﺔ‬
‫ﻭﻧﺨﺘﺎﺭ‬
2
‫ﻧﻀﻐﻂ‬ ‫ﺛﻢ‬ (‫ﺍﻟﻄﺎﻟﺒﺎﺕ‬ ‫)ﺩﺭﺟﺎﺕ‬ ‫ﺍﻟﺜﺎﻧﻴﺔ‬ ‫ﻟﻠﻤﺠﻮﻋﺔ‬
continue
‫ﻓﻨﺮﺟﻊ‬
‫ﺛﻢ‬ ‫ﺍﻷﺳﺎﺳﻲ‬ ‫ﺍﻟﺤﻮﺍﺭ‬ ‫ﻟﻤﺮﺑﻊ‬
OK
Ranks
G N Mean Rank Sum of Ranks
Marks
1 35 34.69 1214.00
2 33 34.30 1132.00
Total 68
Test Statisticsa
Marks
Mann-Whitney U 571.000
Wilcoxon W 1132.000
Z -.080
Asymp. Sig. (2-tailed) .936
a. Grouping Variable: G
‫ﺑﺎﺳﺗﺧﺩﺍﻡ‬ ‫ﺍﻻﺣﺻﺎﺋﻲ‬ ‫ﺍﻟﺗﺣﻠﻳﻝ‬
SPSS
‫ﺩ‬
‫ﺳﻠﻁﺎﻥ‬ ‫ﺧﻠﻑ‬ .
79
3
.
‫ﻭﺍﻟﻘﺮﺍﺭ‬ ‫ﺍﻟﻨﺘﺎﺋﺞ‬ ‫ﻋﻠﻰ‬ ‫ﺍﻟﺘﻌﻠﻴﻖ‬
‫ﺟﺪﺍﻭ‬ ‫ﻣﻦ‬
:‫ﺍﻟﺘﺎﻟﻲ‬ ‫ﻧﻼﺣﻆ‬ ‫ﺍﻟﻨﺘﺎﺋﺞ‬ ‫ﻝ‬
-
‫ﺑﻌﻨﻮﺍﻥ‬ ‫ﺍﻷﻭﻝ‬ ‫ﺍﻟﺠﺪﻭﻝ‬
Ranks
‫ﻭﺩﺭﺟﺎﺕ‬ ‫ﺍﻟﻄﻼﺏ‬ ‫ﺩﺭﺟﺎﺕ‬ ‫ﻭﺳﻴﻂ‬ ‫ﺣﻮﻝ‬ ‫ﺍﻹﺣﺼﺎءﺍﺕ‬ ‫ﺑﻌﺾ‬ ‫ﻳﻈﻬﺮ‬
.‫ﺍﻟﺮﺗﺐ‬ ‫ﻭﻣﺠﻤﻮﻉ‬ ‫ﺍﻟﺮﺗﺒﺔ‬ ‫ﻣﺜﻞ‬ ‫ﺍﻟﻄﺎﻟﺒﺎﺕ‬
-
‫ﺃﻥ‬ ‫ﻭﻳﻈﻬﺮ‬ ‫ﺍﻟﻤﻬﻢ‬ ‫ﻭﻫﻮ‬ ‫ﺍﻟﺜﺎﻧﻲ‬ ‫ﺍﻟﺠﺪﻭﻝ‬
p-value = 0.936
‫ﻗﺒﻮﻝ‬ ‫ﻳﺆﻛﺪ‬ ‫ﻭﻫﺬﺍ‬
H0
‫ﺍﻟﻘﺮﺍﺭ‬ ‫ﺃﻥ‬ ‫ﺃﻱ‬ ،
‫ﻭﺳﻴﻂ‬ ‫ﺑﻴﻦ‬ ‫ﻣﻌﻨﻮﻱ‬ ‫ﺍﺧﺘﻼﻑ‬ ‫ﻳﻮﺟﺪ‬ ‫ﻻ‬ ‫ﺍﻧﻪ‬ ‫ﻫﻮ‬ ‫ﻫﻨﺎ‬
‫ﻋﻨﺪ‬ ‫ﺍﻟﻄﺎﻟﺒﺎﺕ‬ ‫ﺩﺭﺟﺎﺕ‬ ‫ﻭﻭﺳﻴﻂ‬ ‫ﺍﻟﻄﻼﺏ‬ ‫ﺩﺭﺟﺎﺕ‬
‫ﻣﺴﺘﻮﻯ‬
5
. %
:‫ﻣﻼﺣﻈﺔ‬
‫ﺭﻓﺾ‬ ‫ﻫﻮ‬ ‫ﺍﻟﻘﺮﺍﺭ‬ ‫ﻛﺎﻥ‬ ‫ﻟﻮ‬ ‫ﺍﻟﺴﺎﺑﻖ‬ ‫ﺍﻟﺘﺪﺭﻳﺐ‬ ‫ﻓﻲ‬
H0
‫ﺍﻟﻄﺎﻟﺒﺎﺕ‬ ‫ﻭﺩﺭﺟﺎﺕ‬ ‫ﺍﻟﻄﻼﺏ‬ ‫ﺩﺭﺟﺎﺕ‬ ‫ﺑﻴﻦ‬ ‫ﺣﻘﻴﻘﺔ‬ ‫ﻓﺮﻭﻕ‬ ‫ﺗﻮﺟﺪ‬ ‫ﺍﻧﻪ‬ ‫ﺃﻱ‬ ،
‫ﻣﺘﻮﺳﻂ‬ ‫ﻟﻪ‬ ‫)ﺃﻳﻬﻤﺎ‬ ‫ﻟﻠﺪﺭﺟﺎﺕ‬ ‫ﺍﻟﻌﺎﻡ‬ ‫ﺍﻻﺗﺠﺎﻩ‬ ‫ﺗﺤﺪﻳﺪ‬ ‫ﻳﻠﺰﻡ‬ ‫ﻓﺎﻧﻪ‬
‫ﺃﻛﺒﺮ‬
‫ﺍﻟ‬ ‫ﺍﻟﻤﺠﺘﻤﻊ‬ ‫ﻭﻳﻜﻮﻥ‬ .‫ﺍﻟﻤﺠﺘﻤﻌﺎﺕ‬ ‫ﻣﺴﺘﻮﻯ‬ ‫ﻋﻠﻰ‬ (
‫ﻟﻪ‬ ‫ﺬﻱ‬
‫ﺃﻛﺒﺮ‬
‫ﻭﺳﻴﻂ‬
‫ﺃﻛﺒﺮ‬ ‫ﻳﻘﺎﺑﻞ‬ ‫ﺍﻟﺬﻱ‬ ‫ﻧﻔﺴﻪ‬ ‫ﻫﻮ‬
‫ﺑﺎﺣﺘﻤﺎﻝ‬ ‫ﺭﺗﺒﺔ‬
‫ﻣﻘﺪﺍﺭﻩ‬
p-value/2
‫ﻭﺍﻟﻌﻜﺲ‬
.
)
5
-
3
-
2
‫ﻋﺪﺩ‬ ‫ﺍﺧﺘﺒﺎﺭﺍﺕ‬ (
K
‫ﺍﻟﻤﺴﺘﻘﻠﺔ‬ ‫ﺍﻟﻌﻴﻨﺎﺕ‬ ‫ﻣﻦ‬
K. Independent Samples Tests
‫ﺍﻻﺧﺘﺒﺎﺭ‬
‫ﺍﻻﺳﺘﺨﺪﺍﻡ‬
‫ﻭﺍﻟﻤﻌﺎﻳﻨﺔ‬ ‫ﺍﻟﺘﺠﺮﺑﺔ‬ ‫ﺗﺼﻤﻴﻢ‬
‫ﻭﺍﻟﺲ‬ ‫ﻛﺮﻭﺳﻜﺎﻝ‬
‫)ﺑﺪﻳﻞ‬
‫ﻻ‬
‫ﺑﺎﺭﺍ‬
‫ﺍﻟﺘﺒﺎﻳﻦ‬ ‫ﻟﺘﺤﻠﻴﻞ‬ ‫ﻣﺘﺮﻱ‬
‫ﻭﺍﺣﺪ‬ ‫ﺍﺗﺠﺎﻩ‬ ‫ﻓﻲ‬
ANOVA
(
‫ﺍ‬
‫ﻋﺪﺓ‬ (‫)ﻭﺳﻴﻂ‬ ‫ﻣﺘﻮﺳﻂ‬ ‫ﺧﺘﺒﺎﺭ‬
‫ﻣﺴﺘﻘﻠﺔ‬ ‫ﻣﺠﺘﻤﻌﺎﺕ‬
‫ﺃﻭ‬
‫ﻧﻔﺲ‬ ‫ﺗﺘﺒﻊ‬ ‫ﻋﻴﻨﺎﺕ‬ ‫ﻋﺪﺓ‬ ‫ﻓﺤﺺ‬
‫ﺍﻟﺘﻮﺯﻳﻊ‬
‫ﻣﺘﻌﺪﺩﺓ‬ ‫ﻣﺠﻤﻮﻋﺎﺕ‬
‫ﺍﻟﻮﺳﻴﻂ‬
‫ﻣﺴﺘﻘﻠﺔ‬ ‫ﻣﺠﺘﻤﻌﺎﺕ‬ ‫ﻋﺪﺓ‬ ‫ﻭﺳﻴﻂ‬
‫ﻣﺘﻌﺪﺩﺓ‬ ‫ﻣﺠﻤﻮﻋﺎﺕ‬
‫ﺗﺮﺑﺴﺘﺮﺍ‬ ‫ﺟﻮﻧﻜﻴﻴﺮﻱ‬
Jonckheere Terpstra
‫ﻭﺍﻟﺲ‬ ‫ﻛﺮﻭﺳﻜﺎﻝ‬ ‫ﺍﺳﺘﺨﺪﺍﻡ‬ ‫ﻧﻔﺲ‬
‫ﻣﺘﻌﺪﺩﺓ‬ ‫ﻣﺠﻤﻮﻋﺎﺕ‬
‫ﺑﺎﺳﺗﺧﺩﺍﻡ‬ ‫ﺍﻻﺣﺻﺎﺋﻲ‬ ‫ﺍﻟﺗﺣﻠﻳﻝ‬
SPSS
‫ﺩ‬
‫ﺳﻠﻁﺎﻥ‬ ‫ﺧﻠﻑ‬ .
80
:‫ﻭﻫﻮ‬ ‫ﺍﻻﺧﺘﺒﺎﺭﺍﺕ‬ ‫ﻫﺬﻩ‬ ‫ﻷﻫﻢ‬ ‫ﻓﻘﻂ‬ ‫ﻧﻌﺮﺽ‬ ‫ﻭﺳﻮﻑ‬
‫ﻛﺮ‬ ‫ﺍﺧﺘﺒﺎﺭ‬
‫ﻭﺍﻟﺲ‬ ‫ﻭﺳﻜﺎﻝ‬
Kruskal-Wallis Test
‫ﻻﺧﺘﺒﺎﺭ‬ ‫ﺍﻟﻼﻣﻌﻠﻤﻲ‬ ‫ﺍﻟﺒﺪﻳﻞ‬ ‫ﻫﻮ‬ ‫ﻭﺍﻟﺲ‬ ‫ﻛﺮﻭﺳﻜﺎﻝ‬ ‫ﺍﺧﺘﺒﺎﺭ‬ ‫ﻳﻌﺘﺒﺮ‬
ANOVA
‫ﺗﻮﺍﻓﺮ‬ ‫ﻋﺪﻡ‬ ‫ﺣﺎﻟﺔ‬ ‫ﻓﻲ‬ ‫ﻭﺍﺣﺪ‬ ‫ﺍﺗﺠﺎﻩ‬ ‫ﻓﻲ‬
.‫ﺍﻟﺸﺮﻭﻁ‬
) ‫ﺗﻄﺒﻴﻖ‬
1
1
(
‫ﺍﻟﻤﺴ‬ ‫ﻓﻲ‬ ‫ﻭﻣﺘﺴﺎﻭﻳﺔ‬ ‫ﻣﺘﺠﺎﻭﺭﺓ‬ ‫ﺍﻷﺭﺽ‬ ‫ﻗﻄﻊ‬ ‫ﻣﻦ‬ ‫ﻣﺠﻤﻮﻋﺎﺕ‬ ‫ﻋﻠﻰ‬ ً‫ﺎ‬‫ﻋﺸﻮﺍﺋﻴ‬ ‫ﺍﻟﺴﻤﺎﺩ‬ ‫ﻣﻦ‬ ‫ﺃﻧﻮﺍﻉ‬ ‫ﺛﻼﺛﺔ‬ ‫ﺗﻮﺯﻳﻊ‬ ‫ﺗﻢ‬
‫ﺎﺣﺔ‬
‫ﻧ‬ ‫ﺑﻨﻔﺲ‬ ‫ﻭﻣﺰﺭﻭﻋﺔ‬
‫ﺍﻟﻘﻤﺢ‬ ‫ﻮﻉ‬
‫ﻁﺮ‬ ‫ﻓﻲ‬ ‫ﻭﻣﺘﺸﺎﺑﻬﺔ‬
‫ﺍﻷﺧﺮﻯ‬ ‫ﺍﻟﻈﺮﻭﻑ‬ ‫ﺟﻤﻴﻊ‬ ‫ﻭﻓﻲ‬ ‫ﺍﻟﺮﻱ‬ ‫ﻳﻘﺔ‬
(‫)ﺍﻟﻨﺎﺗﺞ‬ ‫ﺍﻟﻤﺤﺼﻮﻝ‬ ‫ﻓﻜﺎﻥ‬
:‫ﻛﺎﻟﺘﺎﻟﻲ‬ ‫ﺑﺎﻟﻄﻦ‬
64
87
76
78
81
84
‫ﺍﻷﻭﻝ‬ ‫ﺍﻟﺴﻤﺎﺩ‬ ‫ﺑﺎﺳﺘﺨﺪﺍﻡ‬ ‫ﺍﻹﻧﺘﺎﺝ‬
69
74
72
75
62
51
70
‫ﺍﻟﺜﺎﻧﻲ‬ ‫ﺍﻟﺴﻤﺎﺩ‬ ‫ﺑﺎﺳﺘﺨﺪﺍﻡ‬ ‫ﺍﻹﻧﺘﺎﺝ‬
52
59
62
66
79
57
‫ﺍﻟﺜﺎﻟﺚ‬ ‫ﺍﻟﺴﻤﺎﺩ‬ ‫ﺑﺎﺳﺘﺨﺪﺍﻡ‬ ‫ﺍﻹﻧﺘﺎﺝ‬
‫ﺍﺳﺘﺨﺪﻡ‬
‫ﻣﻌﻨﻮﻳﺔ‬ ‫ﺑﻤﺴﺘﻮﻯ‬ ‫ﻭﺍﻟﺲ‬ ‫ﻛﺮﺳﻜﺎﻝ‬ ‫ﺍﺧﺘﺒﺎﺭ‬
5
.‫ﺍﻟﻘﻤﺢ‬ ‫ﺇﻧﺘﺎﺟﻴﺔ‬ ‫ﻋﻠﻰ‬ ‫ﺍﻟﺴﻤﺎﺩ‬ ‫ﻧﻮﻉ‬ ‫ﺗﺄﺛﻴﺮ‬ ‫ﻻﺧﺘﺒﺎﺭ‬ ،%
:‫ﺍﻟﺘﻨﻔﻴﺬ‬ ‫ﺧﻄﻮﺍﺕ‬
1
-
‫ﺍﻟﻔﺮﺿﻴﺎﺕ‬ ‫ﺻﻴﺎﻏﺔ‬
H0
‫ﺍﻟﻤﺨﺘﻠﻒ‬ ‫ﺍﻟﺴﻤﺎﺩ‬ ‫ﺑﺎﺳﺘﺨﺪﺍﻡ‬ ‫ﻣﺘﺴﺎﻭﻱ‬ ‫ﺍﻟﻘﻤﺢ‬ ‫ﺇﻧﺘﺎﺝ‬ ‫ﻣﺘﻮﺳﻂ‬ :
H1
‫ﺍﻟﺴﻤﺎﺩ‬ ‫ﻣﻦ‬ ‫ﻧﻮﻋﻴﻦ‬ ‫ﺑﻴﻦ‬ ‫ﺍﻷﻗﻞ‬ ‫ﻋﻠﻰ‬ ‫ﺍﻟﻤﺨﺘﻠﻒ‬ ‫ﺍﻟﺴﻤﺎﺩ‬ ‫ﺑﺎﺳﺘﺨﺪﺍﻡ‬ ‫ﻣﺘﺴﺎﻭﻱ‬ ‫ﻏﻴﺮ‬ ‫ﺍﻟﻘﻤﺢ‬ ‫ﺇﻧﺘﺎﺝ‬ ‫ﻣﺘﻮﺳﻂ‬ :
2
-
‫ﺇﺩ‬
‫ﺍﻻﺧﺘﺒﺎﺭ‬ ‫ﻭﺗﻨﻔﻴﺬ‬ ‫ﺍﻟﺒﻴﺎﻧﺎﺕ‬ ‫ﺧﺎﻝ‬
‫ﺑﺮﻧﺎﻣﺞ‬ ‫ﻓﻲ‬ ‫ﺍﻟﺒﻴﺎﻧﺎﺕ‬ ‫ﻧﺪﺧﻞ‬
SPSS
‫ﺑﺎﺳﻢ‬ ‫ﻋﻤﻮﺩ‬ ‫ﻓﻲ‬ ‫ﺍﻹﻧﺘﺎﺝ‬ ‫ﺇﺩﺧﺎﻝ‬ ‫ﻳﺘﻢ‬ ‫ﻣﺴﺘﻘﻠﺔ‬ ‫ﻣﺨﺘﻠﻔﺔ‬ ‫ﻋﻴﻨﺎﺕ‬ ‫ﺛﻼﺙ‬ ‫ﻟﺪﻳﻨﺎ‬ ‫ﺍﻧﻪ‬ ‫ﻭﺣﻴﺚ‬
Product
‫ﻭﻟﺘﺤﺪﻳﺪ‬
‫ﻟﻺﻧﺘﺎﺝ‬ ‫ﺍﻟﻤﺴﺘﺨﺪﻡ‬ ‫ﺍﻟﺴﻤﺎﺩ‬ ‫ﻧﻮﻉ‬ ‫ﻋﻠﻰ‬ ‫ﺗﺪﺧﻞ‬ ‫ﺍﻟﺘﻲ‬ ‫ﺍﻻﻛﻮﺍﺩ‬
Code
‫ﺍﻟﻜﻮﺩ‬ ‫ﻧﺴﺘﺨﺪﻡ‬ ‫ﺳﻮﻑ‬
1
‫ﻟﻠﺴﻤﺎﺩ‬
‫ﻭﺍﻟﻜﻮﺩ‬ ،‫ﺍﻷﻭﻝ‬
2
‫ﺍﻟﺜﺎﻧ‬ ‫ﻟﻠﺴﻤﺎﺩ‬
‫ﻭﺍﻟﻜﻮﺩ‬ ،‫ﻲ‬
3
:‫ﻛﺎﻟﺘﺎﻟﻲ‬ ‫ﺍﻟﺜﺎﻟﺚ‬ ‫ﻟﻠﺴﻤﺎﺩ‬
‫ﺑﺎﺳﺗﺧﺩﺍﻡ‬ ‫ﺍﻻﺣﺻﺎﺋﻲ‬ ‫ﺍﻟﺗﺣﻠﻳﻝ‬
SPSS
‫ﺩ‬
‫ﺳﻠﻁﺎﻥ‬ ‫ﺧﻠﻑ‬ .
81
‫ﺍﻟﻤﺴﺎﺭ‬ ‫ﻧﺨﺘﺎﺭ‬ ‫ﺛﻢ‬
Analyze  Nonparametric Tests Legacy Dialogs K Independent Samples
:‫ﺍﻟﺘﺎﻟﻲ‬ ‫ﺍﻟﺤﻮﺍﺭ‬ ‫ﻣﺮﺑﻊ‬ ‫ﻳﻈﻬﺮ‬ ‫ﺛﻢ‬
‫ﺍﻟﻤﺘﻐﻴﺮ‬ ‫ﺍﻧﻘﻞ‬
product
‫ﺍﻟﻤﺮﺑﻊ‬ ‫ﺇﻟﻰ‬
Test Variable List
‫ﻭﺍﻟﻤﺘﻐﻴﺮ‬
Codes
‫ﺍﻟﻤﺮﺑﻊ‬ ‫ﺇﻟﻰ‬
Grouping
Variable
‫ﻭﺍﺧﺘﺒﺎﺭ‬
Kruskal-Wallis Test
‫ﺍﻟﺘﺎﻟﻲ‬ ‫ﻓﻴﻈﻬﺮ‬
‫ﺑﺎﺳﺗﺧﺩﺍﻡ‬ ‫ﺍﻻﺣﺻﺎﺋﻲ‬ ‫ﺍﻟﺗﺣﻠﻳﻝ‬
SPSS
‫ﺩ‬
‫ﺳﻠﻁﺎﻥ‬ ‫ﺧﻠﻑ‬ .
82
‫ﻋﻠﻰ‬ ‫ﻧﻀﻐﻂ‬
Define Range
‫ﻋﻠﻰ‬ ‫ﻓﻨﺤﺼﻞ‬
‫ﻓﻲ‬ ‫ﻛﻮﺩ‬ ‫ﺃﺻﻐﺮ‬ ‫ﻧﺪﺧﻞ‬
Minimum
‫ﻭﺃﻛﺒﺮ‬
‫ﻓﻲ‬ ‫ﻛﻮﺩ‬
Maximum
‫ﺛﻢ‬
Continue
‫ﺛﻢ‬ ‫ﺍﻷﺳﺎﺳﻲ‬ ‫ﺍﻟﺤﻮﺍﺭ‬ ‫ﻟﻤﺮﺑﻊ‬ ‫ﻓﻨﺮﺟﻊ‬
‫ﻧﻀﻐﻂ‬
OK
:‫ﺍﻟﺘﺎﻟﻴﺔ‬ ‫ﺍﻟﻨﺘﺎﺋﺞ‬ ‫ﻋﻠﻰ‬ ‫ﻓﻨﺤﺼﻞ‬
Ranks
Code N Mean Rank
Product
1 6 15.00
2 7 8.79
3 6 6.42
Total 19
‫ﺑﺎﺳﺗﺧﺩﺍﻡ‬ ‫ﺍﻻﺣﺻﺎﺋﻲ‬ ‫ﺍﻟﺗﺣﻠﻳﻝ‬
SPSS
‫ﺩ‬
‫ﺳﻠﻁﺎﻥ‬ ‫ﺧﻠﻑ‬ .
83
3
-
‫ﺍﻟﻘﺮﺍﺭ‬ ‫ﻭﺍﺗﺨﺎﺫ‬ ‫ﺍﻟﻨﺘﺎﺋﺞ‬ ‫ﻋﻠﻰ‬ ‫ﺍﻟﺘﻌﻠﻴﻖ‬

‫ﺍﻟﺠﺪﻭﻝ‬ ‫ﻣﻦ‬
Test statistics
‫ﺇﺣﺼﺎء‬ ‫ﻗﻴﻤﺔ‬ ‫ﺃﻥ‬ ‫ﻧﻼﺣﻆ‬
‫ﻛﺄﻱ‬
‫ﺑﻠﻐﺖ‬ ‫ﺍﻟﺘﺮﺑﻴﻌﻴﺔ‬
7.509
‫ﺑﺎﺣﺘﻤﺎﻝ‬
p-
value = 0.023
‫ﻭﻫﻲ‬
‫ﺃﺻﻐﺮ‬
‫ﻣﻦ‬
5
‫ﺭﻓﺾ‬ ‫ﻫﻮ‬ ‫ﻫﻨﺎ‬ ‫ﺍﻟﻘﺮﺍﺭ‬ ‫ﻳﻜﻮﻥ‬ ‫ﻟﺬﻟﻚ‬ %
H0
‫ﺍﻟﻘﻤﺢ‬ ‫ﺇﻧﺘﺎﺟﻴﺔ‬ ‫ﺃﻥ‬ ‫ﺃﻱ‬ ،
.‫ﺍﻟﺴﻤﺎﺩ‬ ‫ﻧﻮﻉ‬ ‫ﻋﻠﻰ‬ ‫ﺗﻌﺘﻤﺪ‬

‫ﻓﺎﻧﻪ‬ (‫ﻣﺨﺘﻠﻒ‬ ‫ﺇﻧﺘﺎﺝ‬ ‫ﺗﻌﻄﻲ‬ ‫ﺍﻟﺘﻲ‬ ‫ﺍﻷﺳﻤﺪﺓ‬ ‫ﺃﻧﻮﺍﻉ‬ ‫ﻫﻲ‬ ‫)ﻣﺎ‬ ‫ﺍﻻﺧﺘﻼﻑ‬ ‫ﻣﺼﺪﺭ‬ ‫ﻋﻠﻰ‬ ‫ﻧﺘﻌﺮﻑ‬ ‫ﺃﻥ‬ ‫ﻫﻨﺎ‬ ‫ﺃﺭﺩﻧﺎ‬ ‫ﺇﺫﺍ‬
‫"ﻣﺎﻥ‬ ‫ﺍﺧﺘﺒﺎﺭ‬ ‫ﺇﺟﺮﺍء‬ ‫ﻳﻠﺰﻡ‬
-
‫ﺍﻷﺳ‬ ‫ﻣﻦ‬ ‫ﺯﻭﺝ‬ ‫ﻛﻞ‬ ‫ﻋﻠﻰ‬ "‫ﻭﻳﺘﻨﻲ‬
‫ﺃﺳﻠﻮﺏ‬ ‫ﺃﻥ‬ ‫ﺣﻴﺚ‬ ‫ﺣﺪﺓ‬ ‫ﻋﻠﻰ‬ ‫ﻤﺪﺓ‬
Post Hoc
.‫ﺍﻟﻼﻣﻌﻠﻤﻴﺔ‬ ‫ﻟﻼﺧﺘﺒﺎﺭﺍﺕ‬ ‫ﻣﺘﻮﺍﻓﺮ‬ ‫ﻏﻴﺮ‬
Test Statisticsa,b
Product
Chi-Square 7.502
df 2
Asymp. Sig. .023
a. Kruskal Wallis Test
b. Grouping Variable:
Code
‫ﺑﺎﺳﺗﺧﺩﺍﻡ‬ ‫ﺍﻻﺣﺻﺎﺋﻲ‬ ‫ﺍﻟﺗﺣﻠﻳﻝ‬
SPSS
‫ﺩ‬
‫ﺳﻠﻁﺎﻥ‬ ‫ﺧﻠﻑ‬ .
84
‫ﺍﻟ‬ ‫ﺍﻟﺠﺰء‬
‫ﺴﺎﺩﺱ‬
‫ﺍﻻﺭﺗﺒﺎﻁ‬
‫ﻭﺍﻻﻧﺤﺪﺍﺭ‬
Correlation and Regression
)
1
-
6
(
‫ﺍﻻﺭﺗﺒﺎﻁ‬
Correlation
‫ﻣﺘﻐﻴﺮﻳﻦ‬ ‫ﺑﻴﻦ‬ ‫ﺍﻟﻌﻼﻗﺔ‬ ‫ﻋﻠﻰ‬ ‫ﺍﻻﺭﺗﺒﺎﻁ‬ ‫ﻳﻄﻠﻖ‬
‫ﺍﻛﺜﺮ‬ ‫ﺍﻭ‬
‫ﻣﺎﺩﺓ‬ ‫ﻓﻲ‬ ‫ﻭﺩﺭﺟﺘﻪ‬ ‫ﺍﻟﻔﻴﺰﻳﺎء‬ ‫ﻣﺎﺩﺓ‬ ‫ﻓﻲ‬ ‫ﺍﻟﻄﺎﻟﺐ‬ ‫ﺩﺭﺟﺔ‬ ‫ﺑﻴﻦ‬ ‫ﺍﻟﻌﻼﻗﺔ‬ ‫ﻣﺜﻞ‬
‫ﻣﻌﺪ‬ ‫ﺑﻴﻦ‬ ‫ﺍﻟﻌﻼﻗﺔ‬ ‫ﺃﻭ‬ ‫ﺍﻟﺮﻳﺎﺿﻴﺎﺕ‬
‫ﻭﻫﻨﺎﻙ‬ ‫ﻭﺍﺳﺘﻬﻼﻛﻪ‬ ‫ﺍﻟﻔﺮﺩ‬ ‫ﺩﺧﻞ‬ ‫ﺑﻴﻦ‬ ‫ﺍﻟﻌﻼﻗﺔ‬ ‫ﺃﻭ‬ ‫ﺍﻟﺪﺭﺍﺳﺔ‬ ‫ﺳﺎﻋﺎﺕ‬ ‫ﻭﻋﺪﺩ‬ ‫ﺍﻟﺪﺭﺍﺳﺔ‬ ‫ﻓﻲ‬ ‫ﻟﻪ‬
...‫ﺍﻟﻌﻼﻗﺎﺕ‬ ‫ﻣﻦ‬ ‫ﻛﺜﻴﺮ‬
‫ﺍﻟﻘﻴﻢ‬ ‫ﻭﻳﺄﺧﺬ‬ ‫ﺍﻻﺭﺗﺒﺎﻁ‬ ‫ﻣﻌﺎﻣﻞ‬ ‫ﻳﺴﻤﻰ‬ ‫ﺑﻤﻘﻴﺎﺱ‬ ‫ﺍﻟﻌﻼﻗﺎﺕ‬ ‫ﺗﻠﻚ‬ ‫ﻭﺗﻘﺎﺱ‬
‫ﻣﻦ‬
–
1
‫ﺇﻟﻰ‬
1
.

‫ﺗﺴﺎﻭﻱ‬ ‫ﺍﻻﺭﺗﺒﺎﻁ‬ ‫ﻣﻌﺎﻣﻞ‬ ‫ﻗﻴﻤﺔ‬ ‫ﻛﺎﻧﺖ‬ ‫ﺇﺫﺍ‬ ً‫ﺎ‬‫ﺗﺎﻣ‬ ً‫ﺎ‬‫ﻁﺮﺩﻳ‬ ‫ﺍﻻﺭﺗﺒﺎﻁ‬ ‫ﻳﻜﻮﻥ‬
1

ً‫ﺎ‬‫ﺗﺎﻣ‬ ً‫ﺎ‬‫ﻋﻜﺴﻴ‬ ‫ﺍﻻﺭﺗﺒﺎﻁ‬ ‫ﻳﻜﻮﻥ‬
‫ﺗﺴﺎﻭﻱ‬ ‫ﺍﻻﺭﺗﺒﺎﻁ‬ ‫ﻣﻌﺎﻣﻞ‬ ‫ﻗﻴﻤﺔ‬ ‫ﻛﺎﻧﺖ‬ ‫ﺇﺫﺍ‬
-
1

.‫ﺻﻔﺮ‬ ‫ﺗﺴﺎﻭﻱ‬ ‫ﺍﻻﺭﺗﺒﺎﻁ‬ ‫ﻣﻌﺎﻣﻞ‬ ‫ﻗﻴﻤﺔ‬ ‫ﻛﺎﻧﺖ‬ ‫ﺇﺫﺍ‬ ‫ﺍﺭﺗﺒﺎﻁ‬ ‫ﻳﻮﺟﺪ‬ ‫ﻻ‬

.ً‫ﺎ‬‫ﻗﻮﻳ‬ ‫ﺍﻻﺭﺗﺒﺎﻁ‬ ‫ﻛﺎﻥ‬ ‫ﺍﻟﻮﺍﺣﺪ‬ ‫ﻣﻦ‬ ‫ﻗﺮﻳﺒﺔ‬ ‫ﺍﻻﺭﺗﺒﺎﻁ‬ ‫ﻟﻤﻌﺎﻣﻞ‬ ‫ﺍﻟﻤﻄﻠﻘﺔ‬ ‫ﺍﻟﻘﻴﻤﺔ‬ ‫ﻛﺎﻧﺖ‬ ‫ﻛﻠﻤﺎ‬

.ً‫ﺎ‬‫ﺿﻌﻴﻔ‬ ‫ﺍﻻﺭﺗﺒﺎﻁ‬ ‫ﻛﺎﻥ‬ ‫ﺍﻟﺼﻔﺮ‬ ‫ﻣﻦ‬ ‫ﻗﺮﻳﺒﺔ‬ ‫ﺍﻻﺭﺗﺒﺎﻁ‬ ‫ﻟﻤﻌﺎﻣﻞ‬ ‫ﺍﻟﻤﻄﻠﻘﺔ‬ ‫ﺍﻟﻘﻴﻤﺔ‬ ‫ﻛﺎﻧﺖ‬ ‫ﻛﻠﻤﺎ‬
‫ﺍﺳ‬ ‫ﻭﻳﻤﻜﻦ‬
:‫ﻣﻨﻬﺎ‬ ‫ﻧﺬﻛﺮ‬ ‫ﻁﺮﻕ‬ ‫ﺑﻌﺪﺓ‬ ‫ﻣﺘﻐﻴﺮﻳﻦ‬ ‫ﺑﻴﻦ‬ ‫ﺍﻻﺭﺗﺒﺎﻁ‬ ‫ﻣﻌﺎﻣﻞ‬ ‫ﺘﺨﺪﺍﻡ‬
1
.
‫ﺑﻴﺮﺳﻮﻥ‬ ‫ﻣﻌﺎﻣﻞ‬
(Pearson)
‫ﺍﻻﺭﺗﺒﺎﻁ‬ ‫ﻣﻌﺎﻣﻞ‬ ‫ﺇﻳﺠﺎﺩ‬ ‫ﻣﺜﻞ‬ ‫ﻛﻤﻲ‬ ‫ﺑﻤﻘﻴﺎﺱ‬ ‫ﻣﻘﺎﺳﺎ‬ ‫ﺍﻟﻤﺘﻐﻴﺮﻳﻦ‬ ‫ﻛﻼ‬ ‫ﻛﺎﻥ‬ ‫ﺇﺫﺍ‬ ‫ﻳﺴﺘﺨﺪﻡ‬ :
‫ﻭﺍﻻﺳﺘﻬﻼﻙ‬ ‫ﺍﻟﺪﺧﻞ‬ ‫ﺑﻴﻦ‬
2
.
‫ﺳﺒﻴﺮﻣﺎﻥ‬ ‫ﻣﻌﺎﻣﻞ‬
(Spearman)
‫ﺇﻳﺠ‬ ‫ﻣﺜﻞ‬ ‫ﺗﺮﺗﻴﺒﻲ‬ ‫ﺑﻤﻘﻴﺎﺱ‬ ‫ﻣﻘﺎﺳﺎ‬ ‫ﺍﻟﻤﺘﻐﻴﺮﻳﻦ‬ ‫ﻣﻦ‬ ‫ﻛﻼ‬ ‫ﻛﺎﻥ‬ ‫ﺇﺫﺍ‬ ‫ﻳﺴﺘﺨﺪﻡ‬ :
‫ﺍﻟﻌﻼﻗﺔ‬ ‫ﺎﺩ‬
‫ﻣﺮﺗﻔﻊ‬ ) ‫ﺍﻟﺪﺧﻞ‬ ‫ﻣﺴﺘﻮﻯ‬ ‫ﺑﻴﻦ‬
–
‫ﻣﺘﻮﺳﻂ‬
–
‫ﻣﻦ‬ ‫ﺍﻛﺜﺮ‬ )‫ﺍﻟﻴﻮﻣﻴﺔ‬ ‫ﺍﻟﻌﻤﻞ‬ ‫ﺳﺎﻋﺎﺕ‬ ‫ﻭﻋﺪﺩ‬ (‫ﻣﻨﺨﻔﺾ‬
8
‫ﺳﺎﻋﺎﺕ‬
–
‫ﻣﻦ‬
5
‫ﺇﻟﻰ‬ ‫ﺳﺎﻋﺎﺕ‬
8
–
‫ﻣﻦ‬ ‫ﺍﻗﻞ‬
5
.‫ﺃﻳﻀﺎ‬ ‫ﺍﻟﻜﻤﻴﺔ‬ ‫ﺍﻟﻤﺘﻐﻴﺮﺍﺕ‬ ‫ﺣﺎﻟﺔ‬ ‫ﻓﻲ‬ ‫ﺳﺒﻴﺮﻣﺎﻥ‬ ‫ﻣﻘﻴﺎﺱ‬ ‫ﺍﺳﺘﺨﺪﺍﻡ‬ ‫ﻳﻤﻜﻦ‬ ‫ﻛﻤﺎ‬ (‫ﺳﺎﻋﺎﺕ‬
3
.
‫ﺗﺎﻭ‬ ‫ﻛﺎﻧﺪﻝ‬ ‫ﻣﻌﺎﻣﻞ‬
(Kandell,s tau)
‫ﻭﺑﻨ‬ ‫ﺳﺒﻴﺮﻣﺎﻥ‬ ‫ﻣﻌﺎﻣﻞ‬ ‫ﻣﺜﻞ‬ ‫ﻳﺴﺘﺨﺪﻡ‬ :
.‫ﺍﻟﺸﺮﻭﻁ‬ ‫ﻔﺲ‬
4
.
‫ﻓﺎﻱ‬ ‫ﻣﻌﺎﻣﻞ‬
(Phi)
‫ﺍﻟﺠﻨﺲ‬ ‫ﺑﻴﻦ‬ ‫ﺍﻟﻌﻼﻗﺔ‬ ‫ﺇﻳﺠﺎﺩ‬ ‫ﻣﺜﻞ‬ ‫ﺍﺳﻤﻲ‬ ‫ﺑﻤﻘﻴﺎﺱ‬ ‫ﻣﻘﺎﺳﺎﻥ‬ ‫ﺍﻟﻤﺘﻐﻴﺮﺍﻥ‬ ‫ﻛﺎﻥ‬ ‫ﺇﺫﺍ‬ ‫ﻳﺴﺘﺨﺪﻡ‬ :
‫ﺫﻛﺮ‬ )
–
‫ﻣﺘﻌﻠﻢ‬ ) ‫ﻭﺍﻟﺘﻌﻠﻢ‬ ( ‫ﺃﻧﺜﻰ‬
–
.(‫ﻣﺘﻌﻠﻢ‬ ‫ﻏﻴﺮ‬
‫ﻛﻤﻲ‬
scale
‫ﺗﺮﺗﻴﺒﻲ‬
Ordinal
‫ﺍﺳﻤﻲ‬
Nominal
‫ﻛﻤﻲ‬
scale
‫ﺑﻴﺮﺳﻮﻥ‬
Pearson
‫ﺳﺒﻴﺮﻣﺎﻥ‬
Spearman
‫ﺗﺮﺗﻴﺒﻲ‬
Ordinal
‫ﺗ‬ ‫ﻛﻨﺪﺍﻝ‬
‫ﺎﻭ‬
Kendall
‫ﺭﻭ‬ ‫ﺳﺒﻴﺮﻣﺎﻥ‬
Spearman
‫ﺟﺎﻣﺎ‬
Gamma
‫ﺍﺳﻤﻲ‬
Nominal
‫ﺍﻳﺘﺎ‬
Eta
‫ﻓﺎﻱ‬
Phi
‫ﺍﻟﺘﻮﺍﻓﻖ‬ ‫ﻣﻌﺎﻣﻞ‬
Contingency Coefficient
‫ﻟﻤﺪﺍ‬
Lambda
‫ﺑﺎﺳﺗﺧﺩﺍﻡ‬ ‫ﺍﻻﺣﺻﺎﺋﻲ‬ ‫ﺍﻟﺗﺣﻠﻳﻝ‬
SPSS
‫ﺩ‬
‫ﺳﻠﻁﺎﻥ‬ ‫ﺧﻠﻑ‬ .
85
) ‫ﺗﻄﺒﻴﻖ‬
12
(
‫ﺍﻟﺘﺎﻟﻲ‬ ‫ﺍﻟﺠﺪﻭﻝ‬
Application-12.sav
‫ﻳ‬
‫ﺑﻴﺎﻧﺎﺕ‬ ‫ﻤﺜﻞ‬
10
‫ﺍﻹﺩﺍﺭﻳﺔ‬ ‫ﺍﻟﻌﻠﻮﻡ‬ ‫ﺑﻜﻠﻴﺔ‬ ‫ﻁﻼﺏ‬
i Gender Marital
Status
Credit Hours Math Stat Account Economics
1 F M 14 70 80 73 75
2 M S 12 65 70 55 60
3 M S 12 70 77 66 50
4 M M 14 80 85 70 75
5 M S 13 75 80 81 85
6 F S 16 85 85 85 90
7 F M 17 90 92 98 95
8 M M 18 95 95 94 90
9 M S 15 80 85 92 90
10 F S 14 75 77 85 80
‫ﺩﺭ‬ ‫ﺍﻟﻤﻄﻠﻮﺏ‬
.‫ﺃﻛﺜﺮ‬ ‫ﺃﻭ‬ ‫ﻣﺘﻐﻴﺮﻳﻦ‬ ‫ﺑﻴﻦ‬ ‫ﺍﻻﺭﺗﺒﺎﻁ‬ ‫ﻣﻌﺎﻣﻞ‬ ‫ﺍﺳﺔ‬
1
-
‫ﺍﻟﺘﻲ‬ ‫ﺍﻟﻔﺮﺿﻴﺔ‬ ‫ﻭﻻﺧﺘﺒﺎﺭ‬ ‫ﻭﺍﻹﺣﺼﺎء‬ ‫ﺍﻟﺮﻳﺎﺿﻴﺎﺕ‬ ‫ﻓﻲ‬ ‫ﺍﻟﻄﺎﻟﺐ‬ ‫ﺩﺭﺟﺘﻲ‬ ‫ﻛﻞ‬ ‫ﺑﻴﻦ‬ ‫ﻟﻼﺭﺗﺒﺎﻁ‬ ‫ﺑﻴﺮﺳﻮﻥ‬ ‫ﻣﻌﺎﻣﻞ‬ ‫ﻹﻳﺠﺎﺩ‬
‫ﺗﻘﻮﻝ‬
" ‫ﺍﻹﺣﺼﺎء‬ ‫ﻭﻋﻼﻣﺔ‬ ‫ﺍﻟﺮﻳﺎﺿﻴﺎﺕ‬ ‫ﻋﻼﻣﺔ‬ ‫ﺑﻴﻦ‬ ‫ﺍﺭﺗﺒﺎﻁ‬ ‫ﻳﻮﺟﺪ‬ ‫ﻻ‬ ‫"ﺑﺄﻧﻪ‬
:‫ﺍﻟﺘﺎﻟﻴﺔ‬ ‫ﺍﻟﺨﻄﻮﺍﺕ‬ ‫ﺍﺗﺒﻊ‬
1
-
‫ﺍﻟﻘﺎﺋﻤﺔ‬ ‫ﻣﻦ‬
Analyze
‫ﺍﺧﺘﺮ‬
Correlate
‫ﻭﻣﻦ‬
‫ﺍﺧﺘﺮ‬ ‫ﺍﻟﻔﺮﻋﻴﺔ‬ ‫ﺍﻟﻘﺎﺋﻤﺔ‬
Bivariate
:‫ﺍﻟﺘﺎﻟﻲ‬ ‫ﺑﺎﻟﺸﻜﻞ‬ ‫ﻛﻤﺎ‬
‫ﺑﺎﺳﺗﺧﺩﺍﻡ‬ ‫ﺍﻻﺣﺻﺎﺋﻲ‬ ‫ﺍﻟﺗﺣﻠﻳﻝ‬
SPSS
‫ﺩ‬
‫ﺳﻠﻁﺎﻥ‬ ‫ﺧﻠﻑ‬ .
86
2
-
" ‫ﺍﻟﻤﺘﻐﻴﺮﻳﻦ‬ ‫ﺍﺩﺧﻞ‬
Math
" ‫ﻭ‬ "
Stat
‫ﺍﻟﻤﺴﺘﻄﻴﻞ‬ ‫ﺩﺍﺧﻞ‬ "
Variables
3
-
‫ﺍﻟﻤﺮﺑﻊ‬ ‫ﻓﻲ‬ ‫ﺗﻀﻐﻂ‬ ‫ﺃﻥ‬ ‫ﻋﻠﻴﻚ‬ ‫ﺍﻻﺭﺗﺒﺎﻁ‬ ‫ﻟﻤﻌﺎﻣﻞ‬ ‫ﺁﺧﺮ‬ ‫ﻣﻘﻴﺎﺱ‬ ‫ﺍﺧﺘﻴﺎﺭ‬ ‫ﺃﺭﺩﺕ‬ ‫ﻭﺇﺫﺍ‬ ‫ﺑﻴﺮﺳﻮﻥ‬ ‫ﺍﺭﺗﺒﺎﻁ‬ ‫ﻣﻌﺎﻣﻞ‬ ‫ﺍﺧﺘﻴﺎﺭ‬
‫ﺑﺠﺎﻧﺐ‬ ‫ﺍﻟﻤﺮﺑﻊ‬ ‫ﺃﻥ‬ ‫ﻻﺣﻆ‬ ‫ﻛﺬﻟﻚ‬ ،‫ﺑﺠﺎﻧﺒﻪ‬ ‫ﺍﻟﺬﻱ‬
Flag significant correlations
‫ﺑﺪﺍﺧﻠﻪ‬ ‫ﻣﻮﺟﻮﺩ‬ ‫ﺃﻱ‬ ‫ﻧﺸﻂ‬
‫ﻋﺮﺽ‬ ‫ﺃﻱ‬ ‫ﻣﻘﺒﻮﻝ‬ ‫ﺍﺭﺗﺒﺎﻁ‬ ‫ﻣﻌﺎﻣﻞ‬ ‫ﻟﻬﺎ‬ ‫ﺍﻟﺬﻱ‬ ‫ﺍﻟﻤﺘﻐﻴﺮﺍﺕ‬ ‫ﻋﻠﻰ‬ ‫ﻧﺠﻤﺘﻴﻦ‬ ‫ﺃﻭ‬ ‫ﻧﺠﻤﺔ‬ ‫ﻭﺿﻊ‬ ‫ﻭﻓﺎﺋﺪﺗﻪ‬ "‫"ﺻﺢ‬ ‫ﺇﺷﺎﺭﺓ‬
‫ﺍﻟﻤﻌﻨﻮﻳﺔ‬ ‫ﻣﺴﺘﻮﻯ‬
‫ﺛﻢ‬ ‫ﺍﻹﺣﺼﺎﺋﻴﺔ‬
‫ﺍﺿﻐﻂ‬
Ok
:‫ﺍﻟﺘﺎﻟﻴﺔ‬ ‫ﺍﻟﻨﺘﺎﺋﺞ‬ ‫ﻋﻠﻰ‬ ‫ﺗﺤﺼﻞ‬
Correlations
Math Stat
Math
Pearson Correlation 1 .959**
Sig. (2-tailed) .000
N 10 10
Stat
Pearson Correlation .959** 1
Sig. (2-tailed) .000
N 10 10
**. Correlation is significant at the 0.01 level (2-tailed).
‫ﺃﻥ‬ ‫ﺍﻟﻤﻌﺎﻣﻼﺕ‬ ‫ﻣﺼﻔﻮﻓﺔ‬ ‫ﻓﻲ‬ ‫ﺍﻟﻮﺍﺭﺩﺓ‬ ‫ﺍﻟﻨﺘﺎﺋﺞ‬ ‫ﻣﻦ‬ ‫ﻧﻼﺣﻆ‬
2.tailed Significance = 0.000
‫ﻣﻦ‬ ‫ﺃﻗﻞ‬ ‫ﻭﻫﻮ‬
0.05
‫ﻋﻼﻣﺎﺕ‬ ‫ﺑﻴﻦ‬ ‫ﻗﻮﻱ‬ ‫ﺍﺭﺗﺒﺎﻁ‬ ‫ﻫﻨﺎﻙ‬ ‫ﺃﻥ‬ ‫ﻋﻠﻰ‬ ‫ﻳﺪﻝ‬ ‫ﻭﻫﺬﺍ‬
‫ﻭﻳﺴﺎﻭﻱ‬ ‫ﻭﺍﻟﻔﻴﺰﻳﺎء‬ ‫ﺍﻟﺮﻳﺎﺿﻴﺎﺕ‬
0.959
‫ﺍﺭﺗﺒﺎﻁ‬ ‫ﻭﺟﻮﺩ‬ ‫ﻋﺪﻡ‬ ‫ﻋﻠﻰ‬ ‫ﺗﻨﺺ‬ ‫ﺍﻟﺘﻲ‬ ‫ﺍﻟﺼﻔﺮﻳﺔ‬ ‫ﺍﻟﻔﺮﺿﻴﺔ‬ ‫ﺭﻓﺾ‬ ‫ﻋﻠﻴﻨﺎ‬ ‫ﺃﻱ‬
.‫ﻭﺍﻟﺮﻳﺎﺿﻴﺎﺕ‬ ‫ﺍﻹﺣﺼﺎء‬ ‫ﺩﺭﺟﺎﺕ‬ ‫ﺑﻴﻦ‬
‫ﺍﻻﺭﺗﺒﺎﻁ‬ ‫ﻣﻌﺎﻣﻼﺕ‬ ‫ﻣﺼﻔﻮﻓﺔ‬ ‫ﺇﻳﺠﺎﺩ‬
‫ﺍ‬ ‫ﻣﻌﺎﻣﻼﺕ‬ ‫ﻔﻮﻓﺔ‬ ‫ﻣﺼ‬
‫ﺍﻟﻤﺘﻐﻴﺮﺍﺕ‬ ‫ﻣﻦ‬ ‫ﺯﻭﺟﻴﻦ‬ ‫ﻛﻞ‬ ‫ﺑﻴﻦ‬ ‫ﺍﻻﺭﺗﺒﺎﻁ‬ ‫ﻣﻌﺎﻣﻼﺕ‬ ‫ﻋﺮﺽ‬ ‫ﻓﻴﻬﺎ‬ ‫ﻳﺘﻢ‬ ‫ﻔﻮﻓﺔ‬ ‫ﻣﺼ‬ ‫ﻫﻲ‬ ‫ﻻﺭﺗﺒﺎﻁ‬
‫ﺘﻄﻴﻞ‬ ‫ﻣﺴ‬ ‫ﺩﺍﺧﻞ‬ ‫ﺍﻟﻤﺘﻐﻴﺮﺍﺕ‬ ‫ﺟﻤﻴﻊ‬ ‫ﺍﺩﺧﻞ‬ ،‫ﺫﻟﻚ‬ ‫ﻭﻹﻳﺠﺎﺩ‬
Variables
‫ﻓﻲ‬
‫ﺍﻟﺤﻮﺍﺭ‬ ‫ﻣﺮﺑﻊ‬
Bivariate Correlations
:‫ﺍﻟﺘﺎﻟﻲ‬ ‫ﺍﻟﺸﻜﻞ‬ ‫ﻓﻲ‬ ‫ﻛﻤﺎ‬
‫ﺑﺎﺳﺗﺧﺩﺍﻡ‬ ‫ﺍﻻﺣﺻﺎﺋﻲ‬ ‫ﺍﻟﺗﺣﻠﻳﻝ‬
SPSS
‫ﺩ‬
‫ﺳﻠﻁﺎﻥ‬ ‫ﺧﻠﻑ‬ .
87
‫ﻧﻀﻐﻂ‬ ‫ﺛﻢ‬
OK
‫ﻧﺤﺼﻞ‬
:‫ﺍﻟﺘﺎﻟﻴﺔ‬ ‫ﺍﻻﺭﺗﺒﺎﻁ‬ ‫ﻣﺼﻔﻮﻓﺔ‬ ‫ﻋﻠﻰ‬
Correlations
Math Stat Acc Ecn
Math
Pearson Correlation 1 .959** .833** .780**
Sig. (2-tailed) .000 .003 .008
N 10 10 10 10
Stat
Pearson Correlation .959** 1 .811** .746*
Sig. (2-tailed) .000 .004 .013
N 10 10 10 10
Acc
Pearson Correlation .833** .811** 1 .890**
Sig. (2-tailed) .003 .004 .001
N 10 10 10 10
Ecn
Pearson Correlation .780** .746* .890** 1
Sig. (2-tailed) .008 .013 .001
N 10 10 10 10
**. Correlation is significant at the 0.01 level (2-tailed).
*. Correlation is significant at the 0.05 level (2-tailed).
‫ﺩﻻﻟﺔ‬ ‫ﻣﺴﺘﻮﻯ‬ ‫ﻋﻨﺪ‬ ‫ﺑﻌﻀﻬﺎ‬ ‫ﻣﺘﻐﻴﺮﻳﻦ‬ ‫ﻛﻞ‬ ‫ﺑﻴﻦ‬ ‫ﻗﻮﻱ‬ ‫ﺍﺭﺗﺒﺎﻁ‬ ‫ﻋﻼﻗﺔ‬ ‫ﺗﻮﺟﺪ‬ ‫ﺃﻧﻪ‬ ‫ﻧﺠﺪ‬ ‫ﺍﻻﺭﺗﺒﺎﻁ‬ ‫ﻣﻌﺎﻣﻼﺕ‬ ‫ﻣﺼﻔﻮﻓﺔ‬ ‫ﻣﻦ‬
0.01
‫ﻣﻌﻨﻮﻳﺔ‬ ‫ﻣﺴﺘﻮﻯ‬ ‫ﻋﻨﺪ‬ ‫ﺍﻵﺧﺮ‬ ‫ﻭﺑﻌﻀﻬﺎ‬
0.05
)
2
-
6
(
‫ﻧﻤﻮﺫﺝ‬
‫ﺍﻟﺒﺴﻴﻂ‬ ‫ﺍﻟﺨﻄﻲ‬ ‫ﺍﻻﻧﺤﺪﺍﺭ‬
on Model
Simple Linear Regressi
‫ﺍﻟﻤﺘﻐﻴﺮ‬ ‫ﻳﺴﻤﻰ‬ ‫ﺁﺧﺮ‬ ‫ﻣﺘﻐﻴﺮ‬ ‫ﺧﻼﻝ‬ ‫ﻣﻦ‬ ،‫ﺍﻟﺘﺎﺑﻊ‬ ‫ﺍﻟﻤﺘﻐﻴﺮ‬ ‫ﻳﺴﻤﻰ‬ ،‫ﻣﺘﻐﻴﺮ‬ ‫ﺑﻘﻴﻤﺔ‬ ‫ﻟﻠﺘﻨﺒﺆ‬ ‫ﺍﻟﺨﻄﻲ‬ ‫ﺍﻻﻧﺤﺪﺍﺭ‬ ‫ﺗﺤﻠﻴﻞ‬ ‫ﻳﺴﺘﺨﺪﻡ‬
‫ﺍﻟﺼﻮﺭﺓ‬ ‫ﻓﻲ‬ ‫ﺍﻟﻤﺴﺘﻘﻞ‬
Y A BX E
  
‫ﺣﻴﺚ‬
Y
،‫ﺍﻟﺘﺎﺑﻊ‬ ‫ﺍﻟﻤﺘﻐﻴﺮ‬ ‫ﻫﻮ‬
X
‫ﺍﻟﻤﺴﺘﻘﻞ‬ ‫ﺍﻟﻤﺘﻐﻴﺮ‬ ‫ﻫﻮ‬
،
E
‫ﻋﺸﻮﺍﺋﻲ‬ ‫ﺧﻄﺎ‬
) ‫ﺗﻄﺒﻴﻖ‬
13
(
‫ﻣﻘﺮﺭ‬ ‫ﻓﻲ‬ ‫ﻟﻠﻄﺎﻟﺐ‬ ‫ﺍﻟﺪﺭﺍﺳﻲ‬ ‫ﺍﻟﺘﺤﺼﻴﻞ‬ ‫ﻋﻠﻰ‬ ‫ﺍﻟﺪﺭﺍﺳﺔ‬ ‫ﺳﺎﻋﺎﺕ‬ ‫ﺃﺛﺮ‬ ‫ﻫﻮ‬ ‫ﻣﺎ‬ ‫ﺍﻟﺴﺎﺑﻖ‬ ‫ﺍﻹﺩﺍﺭﻳﺔ‬ ‫ﺍﻟﻌﻠﻮﻡ‬ ‫ﻛﻠﻴﺔ‬ ‫ﺑﻴﺎﻧﺎﺕ‬ ‫ﻣﺜﺎﻝ‬ ‫ﻓﻲ‬
‫ﺍﻹﺣﺼﺎء؟‬
:‫ﻛﺎﻟﺘﺎﻟﻲ‬ ‫ﺍﻟﺒﺴﻴﻂ‬ ‫ﺍﻟﺨﻄﻲ‬ ‫ﺍﻻﻧﺤﺪﺍﺭ‬ ‫ﺗﺤﻠﻴﻞ‬ ‫ﻧﺠﺮﻱ‬ ‫ﺍﻟﺴﺆﺍﻝ‬ ‫ﻫﺬﺍ‬ ‫ﻋﻠﻰ‬ ‫ﻟﻠﺠﻮﺍﺏ‬
1
‫ﺍﻟﻘﺎﺋﻤﺔ‬ ‫ﻣﻦ‬.
Analyze
‫ﻧﺨﺘﺎﺭ‬
Regression
‫ﻧﺨﺘﺎﺭ‬ ‫ﺍﻟﻔﺮﻋﻴﺔ‬ ‫ﺍﻟﻘﺎﺋﻤﺔ‬ ‫ﻣﻦ‬ ‫ﺛﻢ‬
Linear
:‫ﺍﻟﺘﺎﻟﻲ‬ ‫ﺍﻟﺤﻮﺍﺭ‬ ‫ﻣﺮﺑﻊ‬ ‫ﻓﻴﻈﻬﺮ‬
‫ﺑﺎﺳﺗﺧﺩﺍﻡ‬ ‫ﺍﻻﺣﺻﺎﺋﻲ‬ ‫ﺍﻟﺗﺣﻠﻳﻝ‬
SPSS
‫ﺩ‬
‫ﺳﻠﻁﺎﻥ‬ ‫ﺧﻠﻑ‬ .
88
2
" ‫ﺍﻟﻤﺘﻐﻴﺮ‬ ‫ﺍﻧﻘﻞ‬ .
H
‫ﺍﻟﻤﺴﺘﻄﻴﻞ‬ ‫ﺇﻟﻰ‬ "
Independent (s)
ٍ" ‫ﻭﺍﻟﻤﺘﻐﻴﺮ‬
Stat
‫ﺍﻟﻤﺴﺘﻄﻴﻞ‬ ‫ﺩﺍﺧﻞ‬ "
Dependent
‫ﺛﻢ‬
‫ﺍﺿﻐﻂ‬
Ok
.‫ﺍﻟﻨﺘﺎﺋﺞ‬ ‫ﻓﺘﻈﻬﺮ‬
:‫ﺍﻟﻨﺘﺎﺋﺞ‬ ‫ﺗﺤﻠﻴﻞ‬
1
-
‫ﻫﻲ‬ ‫ﺍﻟﻤﻄﻠﻮﺑﺔ‬ ‫ﺍﻻﻧﺤﺪﺍﺭ‬ ‫ﻣﻌﺎﺩﻟﺔ‬
33.34 3.397
Stat H
 
2
-
‫ﺍﻟﺘﺤﺪﻳﺪ‬ ‫ﻣﻌﺎﻣﻞ‬
2
R
‫ﻭﺗﺴﺎﻭﻱ‬
0.0.85
.‫ﺟﻴﺪﺓ‬ ‫ﺍﻟﺘﻨﺒﺆ‬ ‫ﺃﻭ‬ ‫ﺍﻻﻧﺤﺪﺍﺭ‬ ‫ﻣﻌﺎﺩﻟﺔ‬ ‫ﺃﻥ‬ ‫ﻋﻠﻰ‬ ‫ﻳﺪﻝ‬ ‫ﻭﻫﺬﺍ‬ ‫ﻣﺮﺗﻔﻌﺔ‬ ‫ﻭﻫﻲ‬
3
-
‫ﻣﻦ‬ ‫ﺃﻗﻞ‬ ‫ﻣﻌﻨﻮﻳﺔ‬ ‫ﻣﺴﺘﻮﻯ‬ ‫ﻋﻨﺪ‬ ‫ﺇﺣﺼﺎﺋﻴﺎ‬ ‫ﻣﻌﻨﻮﻳﺔ‬ ‫ﺃﻧﻬﺎ‬ ‫ﻳﻈﻬﺮ‬ ‫ﺍﻟﻤﻌﺎﻣﻼﺕ‬ ‫ﻣﻌﻨﻮﻳﺔ‬ ‫ﺍﺧﺘﺒﺎﺭ‬
0.01
4
-
‫ﺟﻴﺪ‬ ‫ﻣﺠﻤﻠﻪ‬ ‫ﻓﻲ‬ ‫ﺍﻟﻨﻤﻮﺫﺝ‬ ‫ﺃﻥ‬ ‫ﻳﻈﻬﺮ‬ ‫ﺍﻻﻧﺤﺪﺍﺭ‬ ‫ﻟﻤﻌﺎﺩﻟﺔ‬ ‫ﺎﺣﺐ‬ ‫ﺍﻟﻤﺼ‬ ‫ﺍﻟﺘﺒﺎﻳﻦ‬ ‫ﺗﺤﻠﻴﻞ‬ ‫ﺟﺪﻭﻝ‬
‫ﻗﻴﻤﺔ‬ ‫ﺑﻠﻐﺖ‬
Sig. =
0.000
‫ﻣﻦ‬ ‫ﺍﻗﻞ‬ ‫ﻭﻫﻲ‬
0.01
‫ﺍﻻﻧﺤﺪﺍﺭ‬ ‫ﻣﻌﺎﺩﻟﺔ‬ ‫ﻗﺒﻮﻝ‬ ‫ﻳﻌﻨﻲ‬ ‫ﻭﻫﺬﺍ‬
.
‫ﺑﺎﺳﺗﺧﺩﺍﻡ‬ ‫ﺍﻻﺣﺻﺎﺋﻲ‬ ‫ﺍﻟﺗﺣﻠﻳﻝ‬
SPSS
‫ﺩ‬
‫ﺳﻠﻁﺎﻥ‬ ‫ﺧﻠﻑ‬ .
89
)
3
-
6
(
‫ﻧﻤﻮﺫﺝ‬
‫ﺍﻟﺨﻄﻲ‬ ‫ﺍﻻﻧﺤﺪﺍﺭ‬
‫ﺍﻟﻤﺘﻌﺪﺩ‬
Multiple Linear Regression Models
‫ﻟﻠﺘﻨﺒﺆ‬ ‫ﺍﻟﺨﻄﻲ‬ ‫ﺍﻻﻧﺤﺪﺍﺭ‬ ‫ﺗﺤﻠﻴﻞ‬ ‫ﻳﺴﺘﺨﺪﻡ‬
‫ﺍﻟﺘﺎﺑ‬ ‫ﺍﻟﻤﺘﻐﻴﺮ‬ ‫ﻳﺴﻤﻰ‬ ،‫ﻣﺘﻐﻴﺮ‬ ‫ﺑﻘﻴﻤﺔ‬
(‫ﺍﻻﺳﺘﺠﺎﺑﺔ‬ ‫ﻣﺘﻐﻴﺮ‬ ‫)ﺍﻭ‬ ‫ﻊ‬
‫ﺧﻼﻝ‬ ‫ﻣﻦ‬ ،
‫ﻋﺪﺓ‬
‫ﻣﺘﻐﻴ‬
‫ﺮ‬
‫ﺍﺕ‬
‫ﻣﺘﻌﺪﺩﺓ‬
‫ﺗ‬
‫ﺍﻟﻤﺘﻐﻴﺮ‬ ‫ﺴﻤﻰ‬
‫ﺍﺕ‬
‫ﺍﻟﻤﺴﺘﻘﻠ‬
‫ﺔ‬
‫ﺍﻟﺼﻮﺭﺓ‬ ‫ﻓﻲ‬
0 1 1 2 2 ... k k
Y B B X B X B X E
     
‫ﺣﻴﺚ‬
Y
،‫ﺍﻟﺘﺎﺑﻊ‬ ‫ﺍﻟﻤﺘﻐﻴﺮ‬ ‫ﻫﻮ‬
1 2
, ,... ,
k
X X X
‫ﻫ‬
‫ﻲ‬
‫ﺍﻟﻤﺘﻐﻴﺮ‬
‫ﺍﺕ‬
‫ﺍﻟﻤﺴﺘﻘﻠ‬
‫ﺔ‬
،
E
‫ﻋﺸﻮﺍﺋﻲ‬ ‫ﺧﻄﺎ‬
) ‫ﺗﻄﺒﻴﻖ‬
14
(
‫ﺗﺒﻴﻊ‬
‫ﺃﺣﺪ‬
‫ﺍﻟ‬
‫ﺍﻟﺼﻨﺎﻋﻴﺔ‬ ‫ﺸﺮﻛﺎﺕ‬
‫ﻣﻨﺘﺠﻬﺎ‬
‫ﻋﺸﺮﺓ‬ ‫ﺧﻤﺲ‬ ‫ﻓﻲ‬
‫ﺍﻟﺠﺪﻭﻝ‬ ،‫ﺍﻟﻤﻨﻄﻘﺔ‬ ‫ﺑﻤﺒﻴﻌﺎﺕ‬ ‫ﺑﺎﻟﺘﻨﺒﺆ‬ ‫ﻭﺗﻬﺘﻢ‬ ،‫ﺗﺴﻮﻳﻘﻴﺔ‬ ‫ﻣﻨﻄﻘﺔ‬
‫ﺍﻟﻤﻨﺎﻁﻖ‬ ‫ﻓﻲ‬ ‫ﺍﻟﻤﺒﻴﻌﺎﺕ‬ ‫ﻳﻮﺿﺢ‬ ‫ﺍﻟﺘﺎﻟﻲ‬
)
Y
(
=‫)ﺑﺎﻟﻜﺮﻭﺯ‬
12
‫ﺩﺭﺯﻳﻨﺔ‬
،(
) ‫ﺍﻟﻤﺠﺘﻤﻊ‬ ‫ﺣﺠﻢ‬
X1
،‫ﺍﻷﺷﺨﺎﺹ‬ ‫ﺑﺄﻻﻑ‬ (
‫ﻭﺩﺧﻞ‬
‫ﺍﻟﻤﻨﻄﻘﺔ‬ ‫ﻓﻲ‬ ‫ﺑﻪ‬ ‫ﺍﻟﻤﺼﺮﺡ‬ ‫ﺍﻟﻔﺮﺩ‬
)
X2
(
.
‫ﺑ‬ ‫ﺍﻟﻤﻄﻠﻮﺏ‬
.‫ﻋﻤﻠﻴﺎ‬ ‫ﻣﻨﻪ‬ ‫ﺍﻻﺳﺘﻔﺎﺩﺓ‬ ‫ﻭﻛﻴﻔﻴﺔ‬ ،‫ﺍﻟﻨﻤﻮﺫﺝ‬ ‫ﻛﻔﺎء‬ ‫ﻓﺤﺺ‬ ‫ﻣﻊ‬ ،‫ﺗﻨﺒﺆﻱ‬ ‫ﺍﻧﺤﺪﺍﺭ‬ ‫ﻧﻤﻮﺫﺝ‬ ‫ﻨﺎء‬
1
-
‫ﺍﻟﻰ‬ ‫ﺍﻟﺒﻴﺎﻧﺎﺕ‬ ‫ﺍﺩﺧﺎﻝ‬
SPSS
2
-
‫ﺍﻟﻤﺪﺧﻼﺕ‬ ‫ﻭﺗﺤﺪﻳﺪ‬ ‫ﺍﻻﻧﺤﺪﺍﺭ‬ ‫ﻣﺴﺎﺭ‬ ‫ﺍﺳﺘﺨﺪﺍﻡ‬
3
-
‫ﺍﻟﻤﺨﺮﺟﺎﺕ‬ ‫ﻁﺒﺎﻋﺔ‬
4
-
‫ﺍﻟﻨﺘﺎﺋﺞ‬ ‫ﺗﻔﺴﻴﺮ‬
5
-
‫ﺍﻟﻤﺘﺪﺭﺑﻴﻦ‬ ‫ﻣﻊ‬ ‫ﺍﻟﻨﺘﺎﺋﺞ‬ ‫ﻣﻨﺎﻗﺸﺔ‬
‫رﻗﻢ‬
‫اﻟﻤﻨﻄﻘﺔ‬
Y
‫ﻌﺎت‬ ‫اﻟﻤﺒ‬
‫ﺣﺠﻢ‬
‫اﻟﻤﺠﺘﻤﻊ‬
x1
‫دﺧﻞ‬
‫اﻟﻔﺮد‬
x2
1 162 274 2450
2 120 180 3254
3 223 375 3802
4 131 205 2838
5 67 86 2347
6 169 265 3782
7 81 98 3008
8 192 330 2450
9 116 195 2137
10 55 53 2560
11 252 430 4020
12 232 372 4427
13 144 236 2660
14 103 157 2088
15 212 370 2605
‫ﺑﺎﺳﺗﺧﺩﺍﻡ‬ ‫ﺍﻻﺣﺻﺎﺋﻲ‬ ‫ﺍﻟﺗﺣﻠﻳﻝ‬
SPSS
‫ﺩ‬
‫ﺳﻠﻁﺎﻥ‬ ‫ﺧﻠﻑ‬ .
90
Model Summary
Model R R Square
Adjusted R
Square
Std. Error of the
Estimate
1 .999a .999 .999 2.177
a. Predictors: (Constant), ‫ﺍﻟﻔﺭﺩ_ﺩﺧﻝ‬, ‫ﺍﻟﻣﺟﺗﻣﻊ_ﺣﺟﻡ‬
ANOVAa
Model Sum of Squares df Mean Square F Sig.
1 Regression 53844.716 2 26922.358 5679.466 .000b
Residual 56.884 12 4.740
Total 53901.600 14
a. Dependent Variable: ‫ﺍﻟﻣﺑﻳﻌﺎﺕ‬
b. Predictors: (Constant), ‫ﺍﻟﻔﺭﺩ_ﺩﺧﻝ‬, ‫ﺍﻟﻣﺟﺗﻣﻊ_ﺣﺟﻡ‬
Coefficientsa
Model
Unstandardized
Coefficients
Standardized
Coefficients
t Sig.
95.0% Confidence
Interval for B
B
Std.
Error Beta
Lower
Bound
Upper
Bound
1 (Constant) 3.453 2.431 1.420 .181 -1.843 8.749
‫ﺣﺟﻡ_ﺍﻟﻣﺟﺗﻣﻊ‬ .496 .006 .934 81.924 .000 .483 .509
‫ﺩﺧﻝ_ﺍﻟﻔﺭﺩ‬ .009 .001 .108 9.502 .000 .007 .011
a. Dependent Variable: ‫ﺍﻟﻣﺑﻳﻌﺎﺕ‬
‫ﻧﻤﻮ‬
‫ﺫﺝ‬
:‫ﻫﻮ‬ ‫ﺍﻟﺤﺎﻟﺔ‬ ‫ﻫﺬﻩ‬ ‫ﻓﻲ‬ ‫ﺍﻟﻤﺘﻌﺪﺩ‬ ‫ﺍﻻﻧﺤﺪﺍﺭ‬
3.453 0.496 * 0.01*
Sales Population Size Income
  
‫ﺑﺎﺳﺗﺧﺩﺍﻡ‬ ‫ﺍﻻﺣﺻﺎﺋﻲ‬ ‫ﺍﻟﺗﺣﻠﻳﻝ‬
SPSS
‫ﺩ‬
‫ﺳﻠﻁﺎﻥ‬ ‫ﺧﻠﻑ‬ .
91

التحليل الإحصائي spss جديد SPSS التحليل الاحصائي باستخدامSPSS التحليل الاحصائي باستخدامSPSS التحليل الاحصائي باستخدام.pdf

  • 1.
    ‫ﺑﺎﺳﺗﺧﺩﺍﻡ‬ ‫ﺍﻻﺣﺻﺎﺋﻲ‬ ‫ﺍﻟﺗﺣﻠﻳﻝ‬ SPSS ‫ﺳﻠﻁﺎﻥ‬‫ﺧﻠﻑ‬ .‫ﺩ‬ 1 ‫ﺍﻻﺣﺼﺎﺋﻲ‬ ‫ﺍﻟﺘﺤﻠﻴﻞ‬ ‫ﺑﺎﺳﺘﺨﺪﺍﻡ‬ SPSS ‫ﻭﺗﺼﻤﻴﻢ‬ ‫ﺇﻋﺪﺍﺩ‬ ‫ﺍﻟﺪﻛﺘﻮﺭ‬ ‫ﺍﻻﺳﺘﺎﺫ‬ ‫ﺳﻠﻄﺎﻥ‬ ‫ﺳﻠﻤﺎﻥ‬ ‫ﺧﻠﻒ‬ ‫ﺳﻠﻤﺎﻥ‬ ‫ﺍﻟﻌ‬ ‫ﻭﺑﺤﻮﺙ‬ ‫ﺍﻹﺣﺼﺎء‬ ‫ﻗﺴﻢ‬ ‫ﻤ‬ ‫ﻠﻴﺎﺕ‬ ‫ﺍﻟﻌﻠﻮﻡ‬ ‫ﻛﻠﻴﺔ‬ – ‫ﺳﻌﻮﺩ‬ ‫ﺍﻟﻤﻠﻚ‬ ‫ﺟﺎﻣﻌﺔ‬ ksultan@ksu.edu.sa https://faculty.ksu.edu.sa/ksultan/home 1439 - 1440 ‫ﻫـ‬ 2018 - 2019 ‫ﻡ‬
  • 2.
    ‫ﺑﺎﺳﺗﺧﺩﺍﻡ‬ ‫ﺍﻻﺣﺻﺎﺋﻲ‬ ‫ﺍﻟﺗﺣﻠﻳﻝ‬ SPSS ‫ﺩ‬ ‫ﺳﻠﻁﺎﻥ‬‫ﺧﻠﻑ‬ . 2 ‫ﺍﻟﻌﺎﻡ‬ ‫ﺍﻟﻬﺪﻑ‬ ‫ﻟﻠ‬ ‫ﺪﻭﺭﺓ‬ ‫ﻣﻬﺎ‬ ‫ﺗﻨﻤﻴﺔ‬ ‫ﺭﺍﺕ‬ ‫ﻓﻲ‬ ‫ﺍﻟﻤﺘﺪﺭﺑﻴﻦ‬ ‫ﻣﻔﺎﻫﻴﻢ‬ ‫ﻭ‬ ‫ﺃ‬ ‫ﺳﺎﺳﻴﺎﺕ‬ ‫ﺍﻹﺣﺼﺎ‬ ‫ء‬ ‫ﺍﻹﺣﺼﺎﺋﻲ‬ ‫ﺍﻟﺒﺮﻧﺎﻣﺞ‬ ‫ﺑﺎﺳﺘﺨﺪﺍﻡ‬ SPSS ‫ﺫﻟﻚ‬ ‫ﻭﻳﺘﻢ‬ ‫ﺍﻟﺘﺎﻟﻴ‬ ‫ﺍﻟﺨﻄﻮﺍﺕ‬ ‫ﺧﻼﻝ‬ ‫ﻣﻦ‬ ‫ﺔ‬ : - ‫ﺍﻟﺒﻴﺎﻧﺎﺕ‬ ‫ﺗﺮﻣﻴﺰ‬ ‫ﺍﻟﺪﺭ‬ ‫ﻗﻴﺪ‬ ‫ﺍﺳﺔ‬ ‫ﺇﻟﻰ‬ ‫ﻭﺇﺩﺧﺎﻟﻬﺎ‬ ‫ﻭﺗﺒﻮﻳﺒﻬﺎ‬ ‫ﺍﻟﺤﺎﺳﻮﺏ‬ - ‫ﻭﺍﻻ‬ ‫ﺍﻟﻮﺻﻔﻲ‬ ‫ﺍﻹﺣﺼﺎﺋﻲ‬ ‫ﺍﻟﺘﺤﻠﻴﻞ‬ ‫ﺇﺟﺮﺍء‬ ‫ﺍﻟﺒﻴﺎﻧﺎﺕ‬ ‫ﻟﻄﺒﻴﻌﺔ‬ ‫ﺍﻟﻤﻨﺎﺳﺐ‬ ‫ﺳﺘﺪﻻﻟﻲ‬ - ‫ﺍﻟﺪﺭﺍﺳﺔ‬ ‫ﻗﻴﺪ‬ ‫ﺍﻟﻤﺸﻜﻠﺔ‬ ‫ﺣﻮﻝ‬ ‫ﺍﻹﺣﺼﺎﺋﻲ‬ ‫ﺍﻟﺘﻘﺮﻳﺮ‬ ‫ﻛﺘﺎﺑﺔ‬ ‫ﻣﺪﻋﻮﻣ‬ ً‫ﺎ‬ ‫ﺍﻟﻼﺯﻣﺔ‬ ‫ﺍﻻﺣﺼﺎﺋﻴﺔ‬ ‫ﺑﺎﻻﺧﺘﺒﺎﺭﺍﺕ‬ ‫ﺍﻟﺘﻔﺼﻴﻠﻴﺔ‬ ‫ﺍﻷﻫﺪﺍﻑ‬ ‫ﻣﻦ‬ ‫ﺍﻻﻧﺘﻬﺎء‬ ‫ﺑﻌﺪ‬ ‫ﺍﻟ‬ ‫ﺍﻟﺘ‬ ‫ﺒﺮﻧﺎﻣﺞ‬ ‫ﺪﺭﻳﺒ‬ ‫ﻲ‬ ‫ﺍﻟﻤ‬ ‫ﺳﻴﻜﻮﻥ‬ ‫ﺘﺪﺭﺏ‬ ‫ﻗ‬ ‫ﻋﻠﻰ‬ ً‫ﺍ‬‫ﺎﺩﺭ‬ : 1 - ‫ﺍﻻﺣﺼﺎء‬ ‫ﺍﺳﺎﺳﻴﺎﺕ‬ ‫ﻋﻠﻰ‬ ‫ﺍﻟﺘﻌﺮﻑ‬ 2 - ‫ﻋﻠﻰ‬ ‫ﺍﻟﺘﻌﺮﻑ‬ ‫ﺑﻴﺌﺔ‬ ‫ﺑﺮﻧﺎﻣﺞ‬ SPSS 3 - ‫ﺍﻟﺮﺋﻴﺴ‬ ‫ﺍﻷﻭﺍﻣﺮ‬ ‫ﻋﻠﻰ‬ ‫ﺍﻟﺘﻌﺮﻑ‬ ‫ﻴ‬ ‫ﻟﺒﺮﻧﺎﻣﺞ‬ ‫ﻭﺍﻟﻔﺮﻋﻴﺔ‬ ‫ﺔ‬ SPSS 4 - ‫ﺗﺠﻬ‬ ‫ﻴ‬ ‫ﻭﺇﺩﺧﺎﻟﻬﺎ‬ ‫ﺍﻟﺒﻴﺎﻧﺎﺕ‬ ‫ﺰ‬ ‫ﺍﻟﻰ‬ ‫ﺑﺮﻧﺎﻣﺞ‬ SPSS 5 - ‫ﺣﺴﺎﺏ‬ ‫ﺑﻌﺾ‬ ‫ﻟﻠﺒﻴﺎﻧﺎﺕ‬ ‫ﻭﺍﻻﺳﺘﺪﻻﻟﻴﺔ‬ ‫ﺍﻟﻮﺻﻔﻴﺔ‬ ‫ﺍﻟﻤﺆﺷﺮﺍﺕ‬ ‫ﻭﺗﻔﺴﻴﺮﻫﺎ‬ 6 - ‫ﺇ‬ ‫ﺟﺮﺍء‬ ‫ﺍﻻﺧﺘﺒ‬ ‫ﺑﻌﺾ‬ ‫ﺍﻟﻤﻨﺎﺳﺒﺔ‬ ‫ﺍﻹﺣﺼﺎﺋﻴﺔ‬ ‫ﺎﺭﺍﺕ‬ ‫ﻟ‬ ‫ﻠﺒ‬ ‫ﻴﺎﻧﺎﺕ‬ . 7 - ‫ﻭ‬ ‫ﻗﺮﺍءﺓ‬ ‫ﺍﻹﺣﺼﺎﺋﻴﺔ‬ ‫ﺍﻟﻨﺘﺎﺋﺞ‬ ‫ﺗﻔﺴﻴﺮ‬ ‫ﻭ‬ ‫ﺇﻋﺪﺍﺩ‬ .‫ﺍﻟﻨﺘﺎﺋﺞ‬ ‫ﻣﻦ‬ ‫ﺍﻹﺣﺼﺎﺋﻲ‬ ‫ﺍﻟﺘﻘﺮﻳﺮ‬ ‫ﻣ‬ ‫ﺍﻟﺘﺪﺭﻳﺐ‬ ‫ﻮﺿﻮﻋﺎﺕ‬ 1 - ‫ﺇﺣﺼﺎﺋﻴﺔ‬ ‫ﻭﻣﻔﺎﻫﻴﻢ‬ ‫ﻣﺼﻄﻠﺤﺎﺕ‬ 2 - ‫ﺍﻹﺣﺼﺎﺋﻴﺔ‬ ‫ﺍﻟﻤﻌﺎﻳﻨﺔ‬ 3 - ‫ﻟﻘﻴﺎﺱ‬ ‫ﺍﻻﺳﺘﺒﻴﺎﻧﺎﺕ‬ ‫ﻭﺗﺤﻠﻴﻞ‬ ‫ﺗﺼﻤﻴﻢ‬ ‫ﺍ‬ ‫ﺍﻟﺮﺃﻱ‬ ‫ﺗﺠﺎﻩ‬ 4 - ‫ﺍﻟﻤﺮﻛﺰﻳﺔ‬ ‫ﺍﻟﻨﺰﻋﺔ‬ ‫)ﻣﻘﺎﻳﻴﺲ‬ ‫ﺍﻟﻮﺻﻔﻴﺔ‬ ‫ﺍﻹﺣﺼﺎﺋﻴﺔ‬ ‫ﺍﻟﻤﺆﺷﺮﺍﺕ‬ – (‫ﺍﻟﺘﺸﺘﺖ‬ ‫ﻣﻘﺎﻳﻴﺲ‬ 5 - ‫ﻭﺗﺤﻠﻴﻞ‬ ‫ﺗﺼﻤﻴﻢ‬ ‫ﺍﻟﻤﻘﻄﻌﻴﺔ‬ ‫ﺍﻟﺠﺪﺍﻭﻝ‬ 6 - ‫ﺑﻨﻘﻄﺔ‬ ‫)ﺍﻟﺘﻘﺪﻳﺮ‬ ‫ﺍﻹﺣﺼﺎﺋﻲ‬ ‫ﺍﻻﺳﺘﺪﻻﻝ‬ – (‫ﺑﻔﺘﺮﺓ‬ ‫ﺍﻟﺘﻘﺪﻳﺮ‬ 7 - ‫ﺑﻌﺾ‬ ‫ﺍﻟﻘﺮﺍﺭ‬ ‫ﻭﺻﻴﺎﻏﺔ‬ ‫ﺍﻹﺣﺼﺎﺋﻴﺔ‬ ‫ﺍﻻﺧﺘﺒﺎﺭﺍﺕ‬ 8 - ‫ﺗﺤ‬ ‫ﻠ‬ (‫ﻭﺗﻄﺒﻴﻘﺎﺕ‬ ‫)ﻣﻔﺎﻫﻴﻢ‬ ‫ﺍﻟﺘﺒﺎﻳﻦ‬ ‫ﻴﻞ‬ 9 - ‫ﻭﺍﻻﻧﺤﺪﺍﺭ‬ ‫ﺍﻻﺭﺗﺒﺎﻁ‬ ‫ﺗﺤﻠﻴﻞ‬
  • 3.
    ‫ﺑﺎﺳﺗﺧﺩﺍﻡ‬ ‫ﺍﻻﺣﺻﺎﺋﻲ‬ ‫ﺍﻟﺗﺣﻠﻳﻝ‬ SPSS ‫ﺩ‬ ‫ﺳﻠﻁﺎﻥ‬‫ﺧﻠﻑ‬ . 3 ‫ﺍﻟﺠﺰء‬ ‫ﺍﻷﻭﻝ‬ : ‫ﺃﺳﺎﺳﻴﺔ‬ ‫ﻣﻔﺎﻫﻴﻢ‬ ‫ﺍﻻﺣﺼﺎء؟‬ ‫ﻋﻠﻢ‬ ‫ﺍﻟﺒﻴﺎﻧﺎﺕ‬ ‫ﺟﻤﻊ‬ – ‫ﺗﺒﻮﻳﺐ‬ ‫ﺍﻟﺒﻴﺎﻧﺎﺕ‬ – ‫ﺗﺮﻣﻴﺰ‬ ‫ﺍﻟﺒﻴﺎﻧﺎ‬ ‫ﺕ‬ - ‫ﻋﺮﺽ‬ ‫ﺍﻟﺒﻴﺎﻧﺎﺕ‬ – ‫ﺍﺳﺘﻨﺒﺎﻁ‬ – ‫ﺩﻋﻢ‬ ‫ﺍﻟﻘﺮﺍﺭ‬ ‫ﺻﺎﻧﻊ‬ – ‫ﻟ‬ ‫ﺍﺧﺘﺒﺎﺭ‬ ‫ﻘﺮﺍﺭ‬ ‫ﻟﻠﺘﻄﺒﻴﻖ‬ ‫ﻗﺎﺑﻞ‬ ‫ﺻﺎﺋﺐ‬ ‫ﺍﻟﺩﺭﺍﺳﺔ‬ ‫ﻣﺟﺗﻣﻊ‬ Population 1 - ‫ﻣﺣﺩﻭﺩ‬ ‫ﻏﻳﺭ‬ ‫ﺍﻭ‬ ‫ﻣﺣﺩﻭﺩ‬ 2 - ‫ﻣﺟﻬﻭﻟﺔ‬ ‫ﻣﻌﺎﻟﻡ‬ ‫ﻋﻠﻰ‬ ‫ﻳﺣﺗﻭﻱ‬ ) ‫ﻣﻌﻳﺎﺭﻱ‬ ‫ﺍﻧﺣﺭﺍﻑ‬ ‫ﻣﺗﻭﺳﻁ‬ (.. 3 - ‫ﺍﻟﻣﺟﺗﻣﻊ؟‬ ‫ﻣﻌﺎﻟﻡ‬ ‫ﻋﻠﻰ‬ ‫ﺍﻟﺗﻌﺭﻑ‬ ‫ﻋﺷﻭﺍﺋﻳﺔ‬ ‫ﻋﻳﻧﺔ‬ ‫ﻧﻅﺎﻣﻳﺔ‬ ‫ﻁﺭﻕ‬ ‫ﺑﺎﺳﺗﺧﺩﺍﻡ‬ Random Sample ‫ﻣﺧﺗﻠﻔﺔ‬ ‫ﻭﺗﻁﺑﻳﻘﺎﺕ‬ ‫ﻧﻣﺫﺟﺔ‬ Modeling and Different Applications ‫ﺍﺳﺗﺩﻻﻟﻲ‬ ‫ﺗﺣﻠﻳﻝ‬ Statistical Inference ‫ﻣﻌﻠﻣﻲ‬ ‫ﻻ‬ Non‐parametric ‫ﻣﻌﻠﻣﻲ‬ Parametric ‫ﺗﻘﺩﻳﺭ‬ ) ‫ﻧﻘﻁﺔ‬ - ‫ﻓﺗﺭﺓ‬ ( Estimation (Point ‐ Interval) ‫ﻓﺭﺿﻳﺎﺕ‬ ‫ﺃﺧﺗﺑﺎﺭﺍﺕ‬ Hypotheses Testing ‫ﻭﺻﻔﻲ‬ ‫ﺗﺣﻠﻳﻝ‬ Descriptive Statistical Analysis
  • 4.
    ‫ﺑﺎﺳﺗﺧﺩﺍﻡ‬ ‫ﺍﻻﺣﺻﺎﺋﻲ‬ ‫ﺍﻟﺗﺣﻠﻳﻝ‬ SPSS ‫ﺩ‬ ‫ﺳﻠﻁﺎﻥ‬‫ﺧﻠﻑ‬ . 4 ) 1 - 1 ( ‫ﺍﻟ‬ ‫ﺑﻌﺾ‬ ‫ﻤﺼﻄﻠﺤﺎﺕ‬ ‫ﺍﻹ‬ ‫ﺣﺼﺎﺋﻴﺔ‬ ‫ﺍﻟﻤﺼﻄﻠﺤﺎ‬ ‫ﺑﻌﺾ‬ ‫ﻫﻨﺎﻙ‬ ‫ﺑﻜﺜﺮﺓ‬ ‫ﺗﺴﺘﺨﺪﻡ‬ ‫ﺍﻟﺘﻲ‬ ‫ﺍﻹﺣﺼﺎﺋﻴﺔ‬ ‫ﺕ‬ ‫ﻋﻨﺪ‬ ‫ﺗﺤﻠﻴﻞ‬ ‫ﺍﻟﺒﻴﺎﻧﺎﺕ‬ ‫ﺍﻟﻀﻮء‬ ‫ﻧﻠﻘﻲ‬ ‫ﺳﻮﻑ‬ ، ‫ﻋﻠﻰ‬ ‫ﻣﻨﻬﺎ‬ ‫ﺍﻟﺒﻌﺾ‬ ‫ﺳﺮﻳﻊ‬ ‫ﺑﺸﻜﻞ‬ ‫ﻭ‬ ‫ﺍﻟﻤﺘﺨﺼ‬ ‫ﻏﻴﺮ‬ ‫ﻻﺗﻬﻢ‬ ‫ﺍﻟﺘﻲ‬ ‫ﺍﻟﺘﻔﺎﺻﻴﻞ‬ ‫ﻋﻦ‬ ‫ﺑﻌﻴﺪﺍ‬ :‫ﺍﻟﻤﺼﻄﻠﺤﺎﺕ‬ ‫ﻫﺬﻩ‬ ‫ﻭﻣﻦ‬ ‫ﺍﻹﺣﺼﺎء‬ ‫ﻋﻠﻢ‬ ‫ﻓﻲ‬ ‫ﺼﻴﻦ‬  ‫ﺍﻟﻤﺠﺘﻤﻊ‬ Population - ‫ﺍﻟﺒﻜﺎﻟﻮﺭﻳﻮﺱ‬ ‫ﻁﻼﺏ‬ ‫ﻣﺠﺘﻤﻊ‬ ‫ﺑ‬ ‫ﺳﻌﻮﺩ‬ ‫ﺍﻟﻤﻠﻚ‬ ‫ﺠﺎﻣﻌﺔ‬ - ‫ﺳﻌﻮﺩ‬ ‫ﺍﻟﻤﻠﻚ‬ ‫ﺑﺠﺎﻣﻌﺔ‬ ‫ﺍﻟﺘﺪﺭﻳﺲ‬ ‫ﻫﻴﺌﺔ‬ ‫ﺃﻋﻀﺎء‬ ‫ﻣﺠﺘﻤﻊ‬ - ‫ﺳﻌﻮﺩ‬ ‫ﺍﻟﻤﻠﻚ‬ ‫ﺟﺎﻣﻌﺔ‬ ‫ﻣﻮﻅﻔﻲ‬ ‫ﻣﺠﺘﻤﻊ‬ - ‫ﺳﻌﻮﺩ‬ ‫ﺍﻟﻤﻠﻚ‬ ‫ﺑﺠﺎﻣﻌﺔ‬ ‫ﺍﻟﻌﻠﻴﺎ‬ ‫ﺍﻟﺪﺭﺍﺳﺎﺕ‬ ‫ﻁﻼﺏ‬ ‫ﻣﺠﺘﻤﻊ‬ - ... ‫ﺃﺧﺮﻯ؟‬ ‫ﺍﻣﺜﻠﺔ‬ ‫ﺍﺫﻛﺮ‬  ‫ﺍﻟﻜﻤﻲ‬ ‫ﺍﻟﻤﺘﻐﻴﺮ‬ Quantitative variable - ‫ﺩﺭﺟﺔ‬ ‫ﺍﻟﺤﺮﺍﺭ‬ ‫ﺓ‬ ‫ﺍﻻﺳﺒﻮﻉ‬ ‫ﺍﻳﺎﻡ‬ ‫ﺧﻼﻝ‬ - ‫ﺍﻟﻤﺘﻮﺳﻄﺔ‬ ‫ﺍﻟﻤﺮﺣﻠﺔ‬ ‫ﻓﻲ‬ ‫ﺍﻟﻄﺎﻟﺐ‬ ‫ﻭﺯﻥ‬ - ‫ﻗﻴﺎﺱ‬ ‫ﺍﺧﺘﺒﺎﺭ‬ ‫ﻓﻲ‬ ‫ﺍﻟﻄﺎﻟﺐ‬ ‫ﺩﺭﺟﺎﺕ‬ - ‫ﺍﻟﻤﻮﻅﻒ‬ ‫ﺭﺍﺗﺐ‬ - ... ‫ﺃﺧﺮﻯ؟‬ ‫ﺍﻣﺜﻠﺔ‬ ‫ﺍﺫﻛﺮ‬  ‫ﺍﻟﻨﻮﻋﻲ‬ ‫ﺍﻟﻤﺘﻐﻴﺮ‬ Qualitative variable - ‫ﺍﻟﺪﻡ‬ ‫ﻓﺼﻴﻠﺔ‬ - ‫ﺍﻟﻄﻠﺒﺔ‬ ‫ﺟﻨﺲ‬ - ‫ﺍﻟﺴﻜﺮ‬ ‫ﻣﺮﻳﺾ‬ ‫ﺣﺎﻟﺔ‬ ‫)ﻣﺮﺗﻔﻊ‬ – ‫ﻣﻨﺨﻔﺾ‬ – (‫ﻣﻌﺘﺪﻝ‬ - ‫ﺍﻟﻤﻮﻅﻒ‬ ‫ﺟﻨﺴﻴﺔ‬ - . .. ‫ﺃﺧﺮﻯ؟‬ ‫ﺍﻣﺜﻠﺔ‬ ‫ﺍﺫﻛﺮ‬  ‫ﺍﻟﻌﺸﻮﺍﺋﻴﺔ‬ ‫ﺍﻟﻌﻴﻨﺔ‬ Random Sample - ‫ﺳﻌﻮﺩ‬ ‫ﺍﻟﻤﻠﻚ‬ ‫ﺟﺎﻣﻌﺔ‬ ‫ﻁﻼﺏ‬ ‫ﻣﻦ‬ ‫ﻋﺸﻮﺍﺋﻴﺔ‬ ‫ﻋﻴﻨﺔ‬ - ‫ﺳﻌﻮﺩ‬ ‫ﺍﻟﻤﻠﻚ‬ ‫ﺟﺎﻣﻌﺔ‬ ‫ﻣﻮﻅﻔﻲ‬ ‫ﻣﻦ‬ ‫ﻋﻴﻨﺔ‬ - ... ‫ﺃﺧﺮﻯ؟‬ ‫ﺍﻣﺜﻠﺔ‬ ‫ﺍﺫﻛﺮ‬
  • 5.
    ‫ﺑﺎﺳﺗﺧﺩﺍﻡ‬ ‫ﺍﻻﺣﺻﺎﺋﻲ‬ ‫ﺍﻟﺗﺣﻠﻳﻝ‬ SPSS ‫ﺩ‬ ‫ﺳﻠﻁﺎﻥ‬‫ﺧﻠﻑ‬ . 5  ‫ﺍﻟﻤﻌﺎﻳﻨﺔ‬ ‫ﺃﺳﺎﻟﻴﺐ‬ Sampling techniques - ‫ﻋﻴﻨﺔ‬ ‫ﻋﺸﻮﺍﺋﻴﺔ‬ Random Sample - ‫ﻋﻴﻨﺔ‬ ‫ﻁﺒﻘﻴﺔ‬ Stratified Sample - ‫ﻋﻴﻨﺔ‬ ‫ﻣﻨﺘﻈﻤﺔ‬ Systematic Sample - ‫ﻋﻨﻘﻮﺩﻳﺔ‬ ‫ﻋﻴﻨﺔ‬ Cluster Sample - ..... ‫ﻣﺜﺎﻝ‬ ) 1 ( :‫ﺍﻟﻤﺠﺘﻤﻊ‬ ‫ﺩﺭﺟﺎﺕ‬ ‫ﻁﻼﺏ‬ ‫ﺃﺣﺪ‬ ‫ﺍﻟﻤﺴﺘﻮﻳﺎﺕ‬ ‫ﻓﻲ‬ ‫ﺍﻟﺪﺭﺍﺳﻴﺔ‬ ‫ﻣﻘﺮﺭ‬ ‫ﻣﻌﻴﻦ‬ :‫ﻫﻲ‬ ‫ﺍﻟﻤﺠﺘﻤﻊ‬ ‫ﻣﺸﺎﻫﺪﺍﺕ‬ ‫ﻛﻴﻒ‬ ‫ﺣﺠﻤﻬﺎ‬ ‫ﻋﺸﻮﺍﺋﻴﺔ‬ ‫ﻋﻴﻨﺔ‬ ‫ﻧﺴﺤﺐ‬ 10 ‫ﻫﺬﺍ‬ ‫ﻣﻦ‬ ‫ﺍﻟﻤﺠﺘﻤﻊ؟‬ :‫ﻣﺜﻼ‬ 71, 70, 92, 34, 80, 76, 73, 37, 76, 29 = ‫ﺍﻟﻤﺠﺘﻤﻊ‬ ‫ﺣﺠﻢ‬ 50 = ‫ﺍﻟﻌﻴﻨﺔ‬ ‫ﺣﺠﻢ‬ 10  ‫ﻣﻌﺎﻟﻢ‬ (‫)ﻣﻌﻠﻤﺔ‬ Parameter(s) - ‫ﻣﺘﻮﺳﻂ‬ ) ‫ﻣﺜﺎﻝ‬ ‫ﻓﻲ‬ ‫ﺍﻟﻄﻼﺏ‬ ‫ﻋﻼﻣﺎﺕ‬ 1 ( - ‫ﺍﻟﻨﺠﺎﺡ‬ ‫ﻧﺴﺒﺔ‬ - ...  ‫ﺇﺣﺼﺎء‬ ‫ﻩ‬ Statistic - ‫ﺍﻟﻌﻴﻨﺔ‬ ‫ﻣﺘﻮﺳﻂ‬ :‫ﺍﻟﻌﺸﻮﺍﺋﻴﺔ‬ ) ‫ﻣﺜﺎﻝ‬ ‫ﻓﻲ‬ ‫ﺍﻟﻤﺴﺤﻮﺑﺔ‬ ‫ﺍﻟﻌﺸﻮﺍﺋﻴﺔ‬ ‫ﺍﻟﻌﻴﻨﺔ‬ ‫ﻣﺘﻮﺳﻂ‬ ‫ﻣﺜﻞ‬ 1 ( - ‫ﺍﻟﻌﺸﻮﺍﺋﻴﺔ‬ ‫ﺍﻟﻌﻴﻨﺔ‬ ‫ﻓﻲ‬ ‫ﺍﻟﻌﻈﻤﻲ‬ ‫ﺍﻟﻘﻴﻤﺔ‬ - ‫ﺍﻟﻌﺸﻮﺍﺋﻴﺔ‬ ‫ﻟﻠﻌﻴﻨﺔ‬ ‫ﺍﻟﻤﻌﻴﺎﺭﻱ‬ ‫ﺍﻻﻧﺤﺮﺍﻑ‬ - ... 63 44 42 60 76 87 30 85 49 74 20 75 61 28 85 63 86 55 40 67 66 97 80 29 37 71 74 88 76 59 30 34 77 87 65 70 46 82 88 78 77 92 38 68 95 64 57 76 90 73
  • 6.
    ‫ﺑﺎﺳﺗﺧﺩﺍﻡ‬ ‫ﺍﻻﺣﺻﺎﺋﻲ‬ ‫ﺍﻟﺗﺣﻠﻳﻝ‬ SPSS ‫ﺩ‬ ‫ﺳﻠﻁﺎﻥ‬‫ﺧﻠﻑ‬ . 6 ‫ﺍﻹﺣﺼﺎﺋﻴﺔ‬ ‫ﺍﻟﻤﻘﺎﻳﻴﺲ‬ ‫ﺍﻟﻮﺻﻔﻴﺔ‬ ‫ﻣﺮﻛﺰﻳﺔ‬ ‫ﻧﺰﻋﺔ‬ ‫ﻣﻘﺎﻳﻴﺲ‬ Descriptive Statistical Measures 1 - ‫ﺍ‬ ‫ﺍﻟﺤﺴﺎﺑﻲ‬ ‫ﻟﻤﺘﻮﺳﻂ‬ ‫ﺍﻟ‬ ‫ﺍﻟﻤﺸﺎﻫﺪﺍﺕ‬ ‫ﻣﺠﻤﻮﻉ‬ = ‫ﺍﻟﻤﺸﺎﻫﺪﺍﺕ‬ ‫ﻣﻦ‬ ‫ﻟﻤﺠﻤﻮﻋﺔ‬ ‫ﺍﻟﺤﺴﺎﺑﻲ‬ ‫ﻤﺘﻮﺳﻂ‬ ‫ﻣﻘﺴﻮﻣﺎ‬ ‫ﻋﺪﺩﻫﺎ‬ ‫ﻋﻠﻰ‬ ) ‫ﺑﻤﺜﺎﻝ‬ ‫ﺍﻟﻄﻼﺏ‬ ‫ﺩﺭﺟﺎﺕ‬ ‫ﻓﻲ‬ ‫ﺫﻟﻚ‬ ‫ﻣﺜﺎﻝ‬ 1 ‫ﺍﻥ‬ ‫ﻧﺠﺪ‬ ( = ‫ﺍﻟﻤﺠﺘﻤﻊ‬ ‫ﻣﺘﻮﺳﻂ‬ 65.08 = ‫ﺍﻟﻌﻴﻨﺔ‬ ‫ﻣﺘﻮﺳﻂ‬ 63.8 o ‫ﻣﻤﻴﺰﺍﺗﻪ‬ o ‫ﻋﻴﻮﺑﻪ‬ 2 - ‫ﺍﻟﻮﺳﻴﻂ‬ ‫ﺍﻟﺘﻲ‬ ‫ﺍﻟﻤﺸﺎﻫﺪﺓ‬ ‫ﻫﻮ‬ ‫ﻳﺴﺒﻘﻬﺎ‬ 50 ‫ﺗﺼﺎﻋﺪﻳﺎ‬ ‫ﺍﻟﻤﺮﺗﺒﺔ‬ ‫ﺍﻟﻤﺸﺎﻫﺪﺍﺕ‬ ‫ﻣﻦ‬ % ‫ﺍﻟ‬ ‫ﻓﻲ‬ ‫ﺍﻟﻌﻴﻨﺔ‬ ‫ﻭﺳﻴﻂ‬ ‫ﻓﻤﺜﻼ‬ ) ‫ﺭﻗﻢ‬ ‫ﻤﺜﺎﻝ‬ 1 ‫ﻫﻮ‬ ( 72 o ‫ﻣﻤﻴﺰﺍﺗﻪ‬ o ‫ﻋﻴﻮﺑﻪ‬ 3 - ‫ﺍﻟﻤﻨﻮﺍﻝ‬ ‫ﺗﻜﺮﺍﺭﺍ‬ ‫ﺍﻻﻛﺜﺮ‬ ‫ﺍﻟﻘﻴﻤﺔ‬ ‫ﻫﻮ‬ ‫ﺍﻟﻌﻴ‬ ‫ﻓﻲ‬ ‫ﺫﻟﻚ‬ ‫ﻣﺜﺎﻝ‬ ‫ﺑ‬ ‫ﺍﻟﻤﺴﺤﻮﺑﺔ‬ ‫ﻨﺔ‬ ‫ﻤﺜﺎﻝ‬ 1 ‫ﻫﻲ‬ ‫ﺍﻟﻤﻨﻮﺍﻝ‬ 76 . o ‫ﻣﻤﻴﺰﺍﺗﻪ‬ o ‫ﻋﻴﻮﺑﻪ‬ 4 - ‫ﺍﻟﺮﺑﻴﻌﻴﺎﺕ‬ – ‫ﺍﻟﻌﺸﻴﺮﺍﺕ‬ – ‫ﺍﻟﻤﺌﻴﻨﺎﺕ‬ ‫ﺑﻤﺜﺎﻝ‬ ‫ﺍﻟﻌﺸﻮﺍﺋﻴﺔ‬ ‫ﻟﻠﻌﻴﻨﺔ‬ ‫ﺍﻟﺮﺑﻴﻌﻴﺎﺕ‬ ‫ﻓﻤﺜﻼ‬ 1 ‫ﻫﻲ‬ = ‫ﺍﻻﻭﻝ‬ ‫ﺍﻟﺮﺑﻴﻊ‬ 45.25 ‫ﺍ‬ ‫ﺍﻟﺮﺑﻴﻊ‬ = ‫ﻟﺜﺎﻧﻲ‬ 75 ‫=ﺍﻟﻮﺳﻴﻂ‬ =‫ﺍﻟﺜﺎﻟﺚ‬ ‫ﺍﻟﺮﺑﻴﻊ‬ 76
  • 7.
    ‫ﺑﺎﺳﺗﺧﺩﺍﻡ‬ ‫ﺍﻻﺣﺻﺎﺋﻲ‬ ‫ﺍﻟﺗﺣﻠﻳﻝ‬ SPSS ‫ﺩ‬ ‫ﺳﻠﻁﺎﻥ‬‫ﺧﻠﻑ‬ . 7 ‫ﻣﻘﺎﻳﻴﺲ‬ ‫ﺍﻟ‬ ‫ﺘﺸﺘﺖ‬ 1 - ‫ﺍﻟﺘﺒﺎﻳﻦ‬ ‫ﺍﻟﺤﺴﺎﺑﻲ‬ ‫ﺍﻟﻮﺳﻂ‬ ‫ﻋﻦ‬ ‫ﻟﻠﻤﺸﺎﻫﺪﺍﺕ‬ ‫ﺍﻻﻧﺤﺮﺍﻓﺎﺕ‬ ‫ﻣﺮﺑﻌﺎﺕ‬ ‫ﻣﺘﻮﺳﻂ‬ ‫ﻳﻘﻴﺲ‬ ‫ﺑﻤﺜﺎﻝ‬ ‫ﺍﻟﻌﺸﻮﺍﺋﻴﺔ‬ ‫ﻟﻠﻌﻴﻨﺔ‬ (1) = ‫ﺍﻟﺘﺒﺎﻳﻦ‬ : 483.0667 2 - ‫ﺍﻟﻤﻌﻴﺎﺭﻱ‬ ‫ﺍﻻﻧﺤﺮﺍﻑ‬ : ‫ﻟﻠﺘﺒﺎﻳﻦ‬ ‫ﺍﻟﺘﺮﺑﻴﻌﻲ‬ ‫ﺍﻟﺠﺬﺭ‬ ‫ﻫﻮ‬ ‫ﻓﻤﺜﻼ‬ ‫ﻓﻲ‬ ‫ﻣﺜﺎﻝ‬ 1 :‫ﻫﻮ‬ ‫ﺍﻟﻤﻌﻴﺎﺭﻱ‬ ‫ﺍﻻﻧﺤﺮﺍﻑ‬ ‫ﻓﺎﻥ‬ 21.97878 3 - ‫ﺍﻟﺮﺑﻴﻌﻲ‬ ‫ﺍﻟﻤﺪﻱ‬ ‫ﻧﺼﻒ‬ ‫ﺍﻟﺜﺎﻟﺚ‬ ‫)ﺍﻟﺮﺑﻴﻊ‬ = – ‫ﺍﻟﺮﺑﻴﻊ‬ (‫ﺍﻻﻭﻝ‬ ‫ﻋﻠﻰ‬ ‫ﻣﻘﺴﻮﻣﺎ‬ 2 4 - ‫ﺍﻻﺧﺘﻼﻑ‬ ‫ﻣﻌﺎﻣﻞ‬ ‫ﺍﻟﻤﻌﻴﺎﺭﻱ‬ ‫ﺍﻻﻧﺤﺮﺍﻑ‬ = ‫ﻣﻘﺴﻮﻣﺎ‬ ‫ﺍﻟﻤﺘﻮﺳﻂ‬ ‫ﻋﻠﻰ‬ ‫ﺍﻟﺸﻜﻞ‬ ‫ﻣﻘﺎﻳﻴﺲ‬ 1 - ‫ﺍﻻﻟﺘﻮﺍء‬ ‫ﻣﻌﺎﻣﻞ‬ 2 - ‫ﻣﻌﺎﻣﻞ‬ ‫ﺍﻟﺘﻔﻠﻄﺢ‬ ‫ﻣﺨﺘﻠﻔﺔ‬ ‫ﺍﺣﺼﺎﺋﻴﺔ‬ ‫ﺭﺳﻮﻣﺎﺕ‬ ‫ﺑﻴﺎﻧﻴﺔ‬ ‫)ﺍﻋﻤﺪﺓ‬ – ‫ﺩﺍﺋﺮﻳﺔ‬ ‫ﺍﺷﻜﺎﻝ‬ – ‫ﻭﻣﻨﺤﻨﻴﺎﺕ‬ ‫ﺧﻄﻮﻁ‬ - ‫ﺗﻜﺮﺍﺭﻱ‬ ‫ﻣﺪﺭﺝ‬ – ‫ﺻﻨﺪﻭ‬ ‫ﺭﺳﻢ‬ ‫ﻗﻲ‬ - (..... ‫ﻣﺜﺎﻝ‬ ‫ﻟﻤﺸﺎﻫﺪﺍﺕ‬ ‫ﺍﻟﺼﻨﺪﻭﻗﻲ‬ ‫ﺍﻟﺮﺳﻢ‬ ‫ﺫﻟﻚ‬ ‫ﻣﺜﺎﻝ‬ ) 1 (
  • 8.
    ‫ﺑﺎﺳﺗﺧﺩﺍﻡ‬ ‫ﺍﻻﺣﺻﺎﺋﻲ‬ ‫ﺍﻟﺗﺣﻠﻳﻝ‬ SPSS ‫ﺩ‬ ‫ﺳﻠﻁﺎﻥ‬‫ﺧﻠﻑ‬ . 8 ‫ﻣﻘﻄﻌﻴﺔ‬ ‫ﺟﺪﺍﻭﻝ‬ ‫ﺍﻭ‬ ‫ﻅﺎﻫﺮﺗﻴﻦ‬ ‫ﻣﺸﺎﻫﺪﺍﺕ‬ ‫ﻳﻠﺨﺺ‬ ‫ﺟﺪﻭﻝ‬ : ‫ﺃﻛﺜﺮ‬ ‫ﺍﻟﺨﺎﺻﻴﺔ‬ A n A … 2 A 1 A ‫ﺍﻟﺨﺎﺻﻴﺔ‬ B ‫ﺗﻜﺮﺍﺭﺍﺕ‬ ‫ﺗﻜﺮﺍﺭﺍﺕ‬ ‫ﺗﻜﺮﺍﺭﺍﺕ‬ ‫ﺗﻜﺮﺍﺭﺍﺕ‬ 1 B ‫ﺗﻜﺮﺍﺭﺍﺕ‬ ‫ﺗﻜﺮﺍﺭﺍﺕ‬ ‫ﺗﻜﺮﺍﺭﺍﺕ‬ ‫ﺗﻜﺮﺍﺭﺍﺕ‬ 2 B …. …. …. …. . ‫ﺗﻜﺮﺍﺭﺍﺕ‬ ‫ﺗﻜﺮﺍﺭﺍﺕ‬ ‫ﺗﻜﺮﺍﺭﺍﺕ‬ ‫ﺗ‬ ‫ﻜﺮﺍﺭﺍﺕ‬ m B ‫ﺍﻻﺳﺘﺪﻻﻟﻲ‬ ‫ﺍﻹﺣﺼﺎء‬ Statistical Inference - ‫ﺑﻨﻘﻄﺔ‬ ‫ﺍﻟﺘﻘﺪﻳﺮ‬ Point Estimation - ‫ﺑﻔﺘﺮﺓ‬ ‫ﺍﻟﺘﻘﺪﻳﺮ‬ Interval Estimation - ‫ﺍﻟﻔﺮﺿﻴﺎﺕ‬ ‫ﺍﺧﺘﺒﺎﺭﺍﺕ‬ Hypotheses Testing - ‫ﺍﻟﺘﺒﺎﻳﻦ‬ ‫ﺗﺤﻠﻴﻞ‬ Analysis of Variance (ANOVA) - ‫ﺍﻻﺭﺗﺒﺎﻁ‬ ‫ﺗﺤﻠﻴﻞ‬ Correlation Analysis - ‫ﺍﻻﻧﺤﺪﺍﺭ‬ ‫ﺗﺤﻠﻴﻞ‬ Regression Analysis - ‫ﺍﻟﻼﻣﻌﻠﻤﻴﺔ‬ ‫ﺍﻟﻄﺮﻕ‬ Nonparametric Methods
  • 9.
    ‫ﺑﺎﺳﺗﺧﺩﺍﻡ‬ ‫ﺍﻻﺣﺻﺎﺋﻲ‬ ‫ﺍﻟﺗﺣﻠﻳﻝ‬ SPSS ‫ﺩ‬ ‫ﺳﻠﻁﺎﻥ‬‫ﺧﻠﻑ‬ . 9 ) 2 - 1 ‫ﺑﺎﻟﺒﺮﻧﺎﻣﺞ‬ ‫ﺍﻟﺘﻌﺮﻳﻒ‬ ( SPSS SPSS ‫ﻫﻲ‬ ‫ﺍﻟﻼﺗﻴﻨﻴﺔ‬ ‫ﻟﻸﺣﺮﻑ‬ ‫ﺍﺧﺘﺼﺎﺭ‬ ‫ﻟـ‬ ‫ﺍﻷﻭﻟﻰ‬ "‫ﺍﻻﺟﺘﻤﺎﻋﻴﺔ‬ ‫ﻟﻠﻌﻠﻮﻡ‬ ‫ﺍﻹﺣﺼﺎﺋﻴﺔ‬ ‫"ﺍﻟﺤﺰﻣﺔ‬ Statistical Package for Social Science ‫ﻣﺘﻜﺎﻣﻠﺔ‬ ‫ﻮﺑﻴﺔ‬‫ﺣﺎﺳ‬ ‫ﺣﺰﻣﺔ‬ ‫ﻭﻫﻲ‬ ‫ﻭﺗﺤﻠﻴ‬ ‫ﺍﻟﺒﻴﺎﻧﺎﺕ‬ ‫ﻹﺩﺧﺎﻝ‬ ‫ﻠﻬﺎ‬ . ‫ﺘﺨﺪﻡ‬‫ﻭﺗﺴ‬ ‫ﻋﻠﻰ‬ ‫ﺘﻤﻞ‬‫ﺗﺸ‬ ‫ﺍﻟﺘﻲ‬ ‫ﺍﻟﻌﻠﻤﻴﺔ‬ ‫ﺍﻟﺒﺤﻮﺙ‬ ‫ﺟﻤﻴﻊ‬ ‫ﻓﻲ‬ ‫ﻋﺎﺩﺓ‬ ‫ﺍﻟﺒﻴﺎﻧﺎﺕ‬ ‫ﻣﻦ‬ ‫ﺍﻟﻌﺪﻳﺪ‬ ‫ﺍﻟﺮﻗﻤﻴﺔ‬ ‫ﺻﻔﻴﺔ‬‫ﻭﺍﻟﻮ‬ ، ‫ﻭﻻ‬ ‫ﺗﻘﺘﺼﺮ‬ ‫ﻟﻬﺬﺍ‬ ً‫ﻼ‬‫ﺻ‬‫ﺃ‬ ‫ﺸﺌﺖ‬‫ﺃﻧ‬ ‫ﺃﻧﻬﺎ‬ ‫ﻣﻦ‬ ‫ﺑﺎﻟﺮﻏﻢ‬ ‫ﻓﻘﻂ‬ ‫ﺍﻻﺟﺘﻤﺎﻋﻴﺔ‬ ‫ﺍﻟﺒﺤﻮﺙ‬ ‫ﻋﻠﻰ‬ ‫ﺍﻟﻐﺮﺽ‬ ‫ﺘﻤﺎﻟﻬﺎ‬ ‫ﺍﺷ‬ ‫ﻭﻟﻜﻦ‬ ً‫ﺎ‬‫)ﺗﻘﺮﻳﺒ‬ ‫ﺎﺋﻴﺔ‬ ‫ﺍﻹﺣﺼ‬ ‫ﺍﻻﺧﺘﺒﺎﺭﺍﺕ‬ ‫ﻣﻌﻈﻢ‬ ‫ﻋﻠﻰ‬ ( ‫ﺍﻟﺒﻴﺎﻧﺎﺕ‬ ‫ﻣﻌﺎﻟﺠﺔ‬ ‫ﻋﻠﻰ‬ ‫ﺍﻟﻔﺎﺋﻘﺔ‬ ‫ﻭﻗﺪﺭﺗﻬﺎ‬ ‫ﻭﺗﻮﺍﻓﻘﻬﺎ‬ ‫ﺃﺩﺍ‬ ‫ﻣﻨﻬﺎ‬ ‫ﺟﻌﻞ‬ ‫ﻬﻮﺭﺓ‬ ‫ﺍﻟﻤﺸ‬ ‫ﺍﻟﺒﺮﻣﺠﻴﺎﺕ‬ ‫ﻣﻌﻈﻢ‬ ‫ﻣﻊ‬ ‫ﺍﻟﺒﺤﻮﺙ‬ ‫ﺃﻧﻮﺍﻉ‬ ‫ﺘﻰ‬ ‫ﺷ‬ ‫ﻟﺘﺤﻠﻴﻞ‬ ‫ﻓﺎﻋﻠﺔ‬ ‫ﺓ‬ ‫ﺍ‬ ‫ﻟﻌﻠﻤﻴﺔ‬ . ‫ﺘﻄﻴﻊ‬ ‫ﻭﻳﺴ‬ SPSS ‫ﻗﺮﺍءﺓ‬ ‫ﻭ‬ ‫ﺍﻟﻤﻠﻔﺎﺕ‬ ‫ﺃﻧﻮﺍﻉ‬ ‫ﻣﻌﻈﻢ‬ ‫ﻣﻦ‬ ‫ﺍﻟﺒﻴﺎﻧﺎﺕ‬ ‫ﻳ‬ ‫ﺗﻘﺎﺭﻳﺮ‬ ‫ﻫﻴﺌﺔ‬ ‫ﻋﻠﻰ‬ ‫ﺍﻟﻨﺘﺎﺋﺞ‬ ‫ﻻﺳﺘﺨﺮﺍﺝ‬ ‫ﺴﺘﺨﺪﻣﻬﺎ‬ ‫ﻋﻠﻰ‬ ‫ﺃﻭ‬ ‫ﺑﻴﺎﻧﻴﺔ‬ ‫ﺃﺷﻜﺎﻝ‬ ‫ﺃﻭ‬ ‫ﺇﺣﺼﺎﺋﻴﺔ‬ ‫ﺃﻭ‬ ‫ﺑﺴﻴﻂ‬ ً‫ﺎ‬‫ﻭﺻﻔﻴ‬ ‫ﺇﺣﺼﺎء‬ ‫ﺃﻭ‬ ‫ﺍﻋﺘﺪﺍﻟﻲ‬ ‫ﺗﻮﺯﻳﻊ‬ ‫ﺷﻜﻞ‬ ‫ﻣﺮﻛﺐ‬ ‫ﺍﻟﺤﺰﻣﺔ‬ ‫ﻭﺗﺴﺘﻄﻴﻊ‬ ‫ﺗﺒﺴﻴﻂ‬ ‫ﺍﻹﺣﺼﺎﺋﻲ‬ ‫ﺍﻟﺘﺤﻠﻴﻞ‬ ‫ﺑﺸﻜﻞ‬ ‫ﻣﻨﺎﺳﺐ‬ ‫ﺳﻮﺍء‬ ‫ﺣﺪ‬ ‫ﻋﻠﻰ‬ ‫ﻭﺍﻟﺨﺒﻴﺮ‬ ‫ﺍﻟﻤﺒﺘﺪﺉ‬ ‫ﻟﻠﺒﺎﺣﺚ‬ . ‫ﻟﺤﺰﻣﺔ‬ ‫ﻣﺨﺘﻠﻔﺔ‬ ‫ﺇﺻﺪﺍﺭﺍﺕ‬ ‫ﻳﻮﺟﺪ‬ SPSS ‫ﺃﺣﺪﺛﻬﺎ‬ ‫ﻫﻮ‬ IBM SPSS Statistics-25 ‫ﺍﻟﺬﻱ‬ .‫ﺍﻷﺧﻴﺮﺓ‬ ‫ﺍﻵﻭﻧﺔ‬ ‫ﻓﻲ‬ ‫ﻅﻬﺮ‬  SPSS 15.1 - November 2006  SPSS 16.2 - April 2008  SPSS Statistics 17.1 - December 2008  PASW Statistics 17.3 - September 2009  PASW Statistics 18.0 - August 2009  PASW Statistics 18.1 - December 2009  PASW Statistics 18.2 - April 2010  IBM SPSS Statistics 19 – October 2010  IBM SPSS Statistics 20– October 2011  IBM SPSS Statistics 21– February 2013  IBM SPSS Statistics 22– February 2014  IBM SPSS Statistics 23– March 2015  IBM SPSS Statistics 24– March 2016  IBM SPSS Statistics 25– August 2017 ‫ﺃﻥ‬ ‫ﻭﻧﻼﺣﻆ‬ PASW ‫ﻓﻲ‬ ‫ﺍﻻﺻﺪﺍﺭﺍﺕ‬ 17 ‫ﻭ‬ 18 ‫ﻫﻲ‬ ‫ﺍﺧﺘﺼﺎﺭ‬ ‫ﻟـ‬ ‫ﺍﻟﺘﻨﺒﺆ‬ ‫ﺍﻟﺘﺤﻠﻴﻞ‬ ‫ﺑﺮﻧﺎﻣﺞ‬ ‫ﻱ‬ Predictive Analytical Software
  • 10.
    ‫ﺑﺎﺳﺗﺧﺩﺍﻡ‬ ‫ﺍﻻﺣﺻﺎﺋﻲ‬ ‫ﺍﻟﺗﺣﻠﻳﻝ‬ SPSS ‫ﺩ‬ ‫ﺳﻠﻁﺎﻥ‬‫ﺧﻠﻑ‬ . 10 ‫ﺍﻟﻌﻠﻤﻲ‬ ‫ﻣﺤﺘﻮﺍﻫﺎ‬ ‫ﻓﻲ‬ ‫ﻛﺜﻴﺮﺍ‬ ‫ﺗﺨﺘﻠﻒ‬ ‫ﻻ‬ ‫ﺍﻟﺒﺮﻧﺎﻣﺞ‬ ‫ﻣﻦ‬ ‫ﺍﻟﺴﺎﺑﻘﺔ‬ ‫ﺍﻹﺻﺪﺍﺭﺍﺕ‬ ‫ﺇﻥ‬ ‫ﺍﻷﺳﺎﺳﻴﺔ‬ ‫ﺍﻹﺣﺼﺎﺋﻴﺔ‬ ‫ﻭﺍﻟﻌﻤﻠﻴﺎﺕ‬ ‫ﻋﻦ‬ ‫ﺍﻹﺻﺪﺍﺭﺍﺕ‬ ‫ﺍﻟﺤﺪﻳﺜ‬ ‫ﺔ‬ ‫ﻭﻣﻌﻈﻢ‬ ‫ﺍﺳﺘﺨﺪﺍﻡ‬ ‫ﻓﻲ‬ ‫ﺗﻈﻬﺮ‬ ‫ﺍﻻﺧﺘﻼﻓﺎﺕ‬ ‫ﺍﻟﺘﺤﺴﻴﻨﺎﺕ‬ ‫ﻭﺑﻌﺾ‬ ‫ﺍﻟﻨﻬﺎﺋﻴﺔ‬ ‫ﻭﺍﻟﻤﺨﺮﺟﺎﺕ‬ ‫ﺍﻟﻨﻮﺍﻓﺬ‬ ‫ﺃﺷﻜﺎﻝ‬ ‫ﺍﻟﺒﻴﺎﻧﻴﺔ‬ ‫ﺍﻷﺷﻜﺎﻝ‬ ‫ﻓﻲ‬ ‫ﺍﻟﻤﺘﻘﺪﻡ‬ ‫ﺍﻟﺘﺤﻠﻴﻞ‬ ‫ﻓﻲ‬ ‫ﺇﺿﺎﻓﺎﺕ‬ ‫ﻫﻨﺎﻙ‬ ‫ﺑﺎﻟﻄﺒﻊ‬ ‫ﻟﻜﻦ‬ Advanced Analysis . ) 3 - 1 ‫ﻓﻲ‬ ‫ﺍﻟﺮﺋﻴﺴﻲ‬ ‫ﺍﻟﻘﻮﺍﺋﻢ‬ ‫ﺷﺮﻳﻂ‬ ( SPSS ‫ﺑﺮﻧﺎﻣﺞ‬ ‫ﺃﻥ‬ ‫ﻫﻨﺎ‬ ‫ﻧﻔﺘﺮﺽ‬ SPSS ‫ﻭﻟﺘﺸﻐﻴﻠﻪ‬ ‫ﺟﻬﺎﺯﻙ‬ ‫ﻋﻠﻰ‬ ‫ﻣﻮﺟﻮﺩ‬ ‫ﺍﺿﻐﻂ‬ " ‫ﺃﻭ‬ " ‫ﺍﺑﺪﺃ‬ " ‫ﺍﻟﺒﺪء‬ ‫ﺯﺭ‬ ‫ﻓﻮﻕ‬ Start ‫ﻣ‬ " ‫ﺷﺎﺷﺔ‬ ‫ﻦ‬ ‫ﺑﺮﺍﻣﺞ‬ " ‫ﺍﺧﺘﺮ‬ ‫ﺍﻟﻨﻮﺍﻓﺬ‬ ‫ﺗﺸﻐﻴﻞ‬ Programs " ‫ﺍﺿﻐﻂ‬ ‫ﺃﻳﻘﻮﻧﺔ‬ ‫ﻓﻮﻕ‬ " IBM SPSS Statistics 25 " ‫ﻓ‬ ‫ﻓﺮﻋﻴﺔ‬ ‫ﻗﺎﺋﻤﺔ‬ ‫ﺘﻈﻬﺮ‬ ‫ﺛﻢ‬ ‫ﺍﺧﺘ‬ ‫ﻴﺎﺭ‬ " BM SPSS Statistics 25 " ‫ﺍﻟﺘﺎﻟﻴﺔ‬ ‫ﺍﻟﺸﺎﺷﺔ‬ ‫ﻓﺘﺢ‬ ‫ﻓﻴﺘﻢ‬ ‫ﺗﺴﻤ‬ ‫ﻭﺍﻟﺘﻲ‬ ‫ﻰ‬ ‫ﺍﻟﺒﻴﺎﻧﺎﺕ‬ ‫ﻣﺤﺮﺭ‬ ‫ﻧﺎﻓﺬﺓ‬ ) Data Editor .( ‫ﻣﻦ‬ ‫ﻣﻜﻮﻧﺔ‬ ‫ﻋﻤﻞ‬ ‫ﻭﺭﻗﺔ‬ ‫ﻫﻮ‬ ‫ﺍﻟﺒﻴﺎﻧﺎﺕ‬ ‫ﻣﺤﺮﺭ‬ ‫ﺃﻥ‬ ‫ﻻﺣﻆ‬ ‫ﻣﻠﻔﺎﺕ‬ ‫ﻭﺗﺤﺮﻳﺮ‬ ‫ﻹﻧﺸﺎء‬ ‫ﺗﺴﺘﺨﺪﻡ‬ ‫ﻭﺍﻷﻋﻤﺪﺓ‬ ‫ﺍﻟﺼﻔﻮﻑ‬ ‫ﻣﻦ‬ ‫ﺷﺒﻜﺔ‬ ) ‫ﺣﺎﻟﺔ‬ ‫ﻳﻤﺜﻞ‬ ‫ﺻﻒ‬ ‫ﻛﻞ‬ ‫ﻓﺎﻥ‬ ‫ﺍﻟﺒﻴﺎﻧﺎﺕ‬ ‫ﻣﺤﺮﺭ‬ ‫ﻭﻓﻲ‬ .‫ﺍﻟﺒﻴﺎﻧﺎﺕ‬ Case (
  • 11.
    ‫ﺑﺎﺳﺗﺧﺩﺍﻡ‬ ‫ﺍﻻﺣﺻﺎﺋﻲ‬ ‫ﺍﻟﺗﺣﻠﻳﻝ‬ SPSS ‫ﺩ‬ ‫ﺳﻠﻁﺎﻥ‬‫ﺧﻠﻑ‬ . 11 ) ‫ﺍﻟﻤﺘﻐﻴﺮﺍﺕ‬ ‫ﻓﺘﻤﺜﻞ‬ ‫ﺍﻷﻋﻤﺪﺓ‬ ‫ﺃﻣﺎ‬ Variables ) ‫ﺑﺎﻟﺨﻼﻳﺎ‬ ‫ﻭﺍﻟﻌﻤﻮﺩ‬ ‫ﺍﻟﺼﻒ‬ ‫ﺑﻴﻦ‬ ‫ﺍﻟﺘﻘﺎﻁﻊ‬ ‫ﻧﻘﺎﻁ‬ ‫ﻭﺗﺴﻤﻰ‬ .( Cells ‫ﻳﻮﺟﺪ‬ ‫ﻛﻤﺎ‬ .( ‫ﺍﻟﻌﻨﻮﺍﻥ‬ ‫ﺷﺮﻳﻂ‬ ‫ﺍﻟﺒﻴﺎﻧﺎﺕ‬ ‫ﻣﺤﺮﺭ‬ ‫ﺷﺎﺷﺔ‬ ‫ﺃﻋﻠﻰ‬ ‫ﻓﻲ‬ ‫ﺍﻟﺒﻴﺎﻧﺎﺕ‬ ‫ﻣﺤﺮﺭ‬ ‫ﺷﺎﺷﺔ‬ ‫ﺃﺳﻔﻞ‬ ‫ﻭﻓﻲ‬ ‫ﺍﻟﺒﻴﺎﻧﺎﺕ‬ ‫ﻣﺤﺮﺭ‬ ‫ﻭﺷﺮﻳﻂ‬ ‫ﺍﻟﻘﻮﺍﺋﻢ‬ ‫ﻭﺷﺮﻳﻂ‬ ) ‫ﺍﻟﺒﻴﺎﻧﺎﺕ‬ ‫ﻋﺮﺽ‬ ‫ﻳﻮﺟﺪ‬ Data View ‫ﻟﻌﺮﺽ‬ ( ‫ﺍﻟﺒﻴﺎﻧﺎﺕ‬ ‫ﺍﻟﻤﺘﻐﻴﺮﺍﺕ‬ ‫ﻋﺮﺽ‬ ‫ﻳﻮﺟﺪ‬ ‫ﻭﻛﺬﻟﻚ‬ ) Variable View ‫ﺍﻟﻤﺘﻐﻴﺮﺍﺕ‬ ‫ﺧﺼﺎﺋﺺ‬ ‫ﻟﻌﺮﺽ‬ ( ‫)ﺍﺳﻢ‬ ‫ﺍﻟﺮﺃﺳﻴﺔ‬ ‫ﺍﻟﺘﻤﺮﻳﺮ‬ ‫ﺃﺷﺮﻁﺔ‬ ‫ﻧﺸﺎﻫﺪ‬ ‫ﻭﻛﻤﺎ‬ ( ...‫ﻭ‬ ‫ﻭﻧﻮﻋﻪ‬ ‫ﺍﻟﻤﺘﻐﻴﺮ‬ ‫ﻭ‬ ‫ﺍﻷﻳﻤﻦ‬ ‫ﺍﻟﺠﺎﻧﺐ‬ ‫ﻋﻠﻰ‬ ‫ﻭﺍﻷﻓﻘﻴﺔ‬ .‫ﺍﻟﺒﻴﺎﻧﺎﺕ‬ ‫ﻣﺤﺮﺭ‬ ‫ﻟﺸﺎﺷﺔ‬ ‫ﺍﻟﺴﻔﻠﻲ‬ ‫ﺍﻟﺠﻬﺔ‬ ‫ﺍﻷﺩﻭﺍﺕ‬ ‫ﺷﺮﻳﻂ‬ ‫ﻣﻜﻮﻧﺎﺕ‬ ‫ﺇﻟﻰ‬ ‫ﺳﻨﺸﻴﺮ‬ ‫ﺍﻟﺒﻴﺎﻧﺎﺕ‬ ‫ﺇﺩﺧﺎﻝ‬ ‫ﻛﻴﻔﻴﺔ‬ ‫ﻓﻲ‬ ‫ﺍﻟﺒﺪء‬ ‫ﻭﻗﺒﻞ‬ ‫)ﺷﺮﻳﻂ‬ ‫ﺍﻟﺒﻴﺎﻧﺎﺕ‬ ‫ﻣﺤﺮﺭ‬ Data Editor ‫ﻭ‬ ( :‫ﺍﻟﺘﺎﻟﻲ‬ ‫ﺑﺎﻟﺸﻜﻞ‬ ‫ﺍﻟﻤﻮﺿﺢ‬ :‫ﺍﻟﺘﺎﻟﻲ‬ ‫ﺍﻟﺠﺪﻝ‬ ‫ﻓﻲ‬ ‫ﺃﻫﻤﻬﺎ‬ ‫ﺗﺴﺘﻌﺮﺽ‬ ‫ﻭﺳﻮﻑ‬ ‫ﺍﻷﻭﺍﻣﺮ‬ ‫ﻗﺎﺋﻤﺔ‬ ‫ﻳﺤﺘﻮﻱ‬ ‫ﺍﻟﺸﺮﻳﻂ‬ ‫ﻣﻦ‬ ‫ﺍﻷﻭﻝ‬ ‫ﺍﻟﺼﻒ‬ ‫ﺍﻷﻣﺮ‬ ‫ﺍﻟﻮﻅﺎﺋﻒ‬ File ‫ﻣﻠﻒ‬ ‫)ﺣﻔﻆ‬ ‫ﺍﻟﻤﻠﻔﺎﺕ‬ ‫ﺇﺩﺍﺭﺓ‬ – ‫ﻗ‬ ‫ﺮﺍءﺓ‬ – (.... ‫ﻁﺒﺎﻋﺔ‬ Edit ‫ﺗﺤﺮﻳﺮ‬ ‫)ﻧﺴﺦ‬ ‫ﺍﻟﻤﻠﻒ‬ ‫ﺗﺤﺮﻳﺮ‬ - ‫ﻗ‬ ‫ﺺ‬ – ‫ﻟﺼﻖ‬ – ‫ﺇ‬ ‫ﺿﺎﻓﺔ‬ ‫ﻣﺘﻐﻴﺮﺍﺕ‬ – ‫ﺣﺎﻻﺕ‬ ‫ﺇﺿﺎﻓﺔ‬ - (.... ‫ﻟﻠﻜﺘﺎﺑﺔ‬ ‫ﺗﻮﺻﻴﻔﺎﺕ‬ View ‫ﻋﺮﺽ‬ ‫ﺍﻟﻤﺨﺘﻠﻔﺔ‬ ‫ﺍﻟﻌﺮﺽ‬ ‫ﺃﺳﺎﻟﻴﺐ‬ ‫ﻓﻲ‬ ‫ﻟﻠﺘﺤﻜﻢ‬ Data ‫ﺑﻴﺎﻧﺎﺕ‬ ‫ﺃﻭ‬ ‫ﺟﺪﻳﺪ‬ ‫ﻣﺘﻐﻴﺮ‬ ‫ﺇﺩﺧﺎﻝ‬ ‫ﻣﺜﻞ‬ ‫ﺍﻟﺒﻴﺎﻧﺎﺕ‬ ‫ﻓﻲ‬ ‫ﺍﻟﺘﺤﻜﻢ‬ ‫ﺣﺎﻟﺔ‬ ‫ﺟﺪﻳﺪﺓ‬ ‫ﺇﺟﺮﺍ‬ ‫ﺃﻭ‬ ‫ﺗﺮﺗﻴﺐ‬ ‫ء‬ ‫ﺃﻭ‬ ‫ﺗﺼﺎﻋﺪﻱ‬ ‫ﺗﻨﺎﺯﻟﻲ‬ ،‫ﻣﻠﻔﺎﺕ‬ ‫ﻭﺩﻣﺞ‬ ‫ﻓﺼﻞ‬ ، ،‫ﻋﺸﻮﺍﺋﻴﺔ‬ ‫ﻋﻴﻨﺔ‬ ‫ﺍﺧﺘﻴﺎﺭ‬ ‫ﻭﻫﻜﺬﺍ‬ . .... Transform ‫ﻣﻌﺎﻟﺠﺔ‬ ‫ﻣﺨﺘﻠﻔﺔ‬ ‫ﻭﺇﺣﺼﺎﺋﻴﺔ‬ ‫ﻭﻣﻨﻄﻘﻴﺔ‬ ‫ﺣﺴﺎﺑﻴﺔ‬ ‫ﻋﻤﻠﻴﺎﺕ‬
  • 12.
    ‫ﺑﺎﺳﺗﺧﺩﺍﻡ‬ ‫ﺍﻻﺣﺻﺎﺋﻲ‬ ‫ﺍﻟﺗﺣﻠﻳﻝ‬ SPSS ‫ﺩ‬ ‫ﺳﻠﻁﺎﻥ‬‫ﺧﻠﻑ‬ . 12 Analyze ‫ﺗﺤﻠﻴﻞ‬ ‫ﺍﻟﺮﺋﻴﺲ‬ ‫ﺍﻟﻬﺪﻑ‬ ‫ﻭﻫﻮ‬ ‫ﻟﻠﺒﻴﺎﻧﺎﺕ‬ ‫ﺍﻟﻤﻨﺎﺳﺐ‬ ‫ﺍﻹﺣﺼﺎﺋﻲ‬ ‫ﺍﻟﺘﺤﻠﻴﻞ‬ ‫ﻹﺟﺮﺍء‬ ‫ﻣﻦ‬ ‫ﻭﻳﺸﻤﻞ‬ ‫ﻛﻠﻪ‬ ‫ﺍﻟﺒﺮﻧﺎﻣﺞ‬ ‫ﺍﻟﻜﺜﻴﺮ‬ ‫ﺗﻐﻄﻲ‬ ‫ﺍﻟﻔﺮﻋﻴﺔ‬ ‫ﺍﻟﺨﻴﺎﺭﺍﺕ‬ ‫ﻣﻦ‬ ‫ﺍﻷﺳﺎ‬ ‫ﻣﻌﻈﻢ‬ ‫ﻟﻴﺐ‬ ‫ﺍﻹﺣﺼﺎﺋﻴﺔ‬ ‫ﻭﺍﻟﻄﺮﻕ‬ Graph ‫ﺍﻟﺮﺳﻢ‬ ‫ﺍﻟﺒﻴﺎﻧﻴﺔ‬ ‫ﺍﻷﻋﻤﺪﺓ‬ ‫)ﻣﺜﻞ‬ ‫ﺑﻴﺎﻧﻴﺎ‬ ‫ﺍﻟﺒﻴﺎﻧﺎﺕ‬ ‫ﺗﻤﺜﻴﻞ‬ – ‫ﺍﻟﺘﻜﺮﺍﺭﻱ‬ ‫ﺍﻟﻤﺪﺭﺝ‬ – ‫ﺍ‬ ‫ﻟﺮﺳﻢ‬ (..... ‫ﺍﻟﺪﺍﺋﺮﻱ‬ Utilities ‫ﺍﻟﻔﻮﺍﺋﺪ‬ ‫ﺑﻌﺾ‬ ‫ﺍﻟﺒﺮﻧﺎﻣﺞ‬ ‫ﺣﻮﻝ‬ ‫ﻣﺘﻨﻮﻋﺔ‬ ‫ﻭﻓﻮﺍﺋﺪ‬ ‫ﺗﻘﻨﻴﺎﺕ‬ Direct marketing ‫ﺍﻟﻤﺒﺎﺷﺮ‬ ‫ﺍﻟﺘﺴﻮﻳﻖ‬ ‫ﻋﻤ‬ ‫ﻓﻲ‬ ‫ﺗﺴﺎﻋﺪ‬ ‫ﺧﺎﺻﺔ‬ ‫ﻭﻣﻬﺎﺭﺍﺕ‬ ‫ﺃﺳﺎﻟﻴﺐ‬ ‫ﻟﻠﻤﻨﺘﺠﺎﺕ‬ ‫ﺍﻟﺘﺴﻮﻳﻖ‬ ‫ﻠﻴﺔ‬ Utilities – Add-ons ‫ﺇﺻﺪﺍﺭﺍﺕ‬ ‫ﺣﻮﻝ‬ ‫ﻭﺍﻟﻤﻌﻠﻮﻣﺎﺕ‬ ‫ﺍﻟﺨﺎﺻﺔ‬ ‫ﻭﺍﻟﺘﻄﺒﻴﻘﺎﺕ‬ ‫ﺍﻟﻌﻤﻠﻴﺎﺕ‬ ‫ﺑﻌﺾ‬ SPSS Windows ‫ﻭﻳﻨﺪﻭﺯ‬ ‫ﺑﻨﻮﺍﻓﺬ‬ ‫ﺧﺎﺻﺔ‬ ‫ﺃﻭﺍﻣﺮ‬ help ‫ﻣﺴﺎﻋﺪﺓ‬ :‫ﻛﺎﻟﺘﺎﻟﻲ‬ ‫ﺃﻳﻘﻮﻧﺎﺕ‬ ‫ﻗﺎﺋﻤﺔ‬ ‫ﻓﻴﺤﺘﻮﻱ‬ ‫ﺍﻟﺸﺮﻳﻂ‬ ‫ﻣﻦ‬ ‫ﺍﻟﺜﺎﻧﻲ‬ ‫ﺍﻟﺼﻒ‬ ‫ﺃﻣﺎ‬ ‫ﺍﻷﻳﻘﻮﻧﺔ‬ ‫ﺍﻟﻌﻨﻮﺍﻥ‬ ‫ﺍﻟﻮﻅﻴﻔﺔ‬ Open File ‫ﻣﺨﺰﻥ‬ ‫ﻣﻠﻒ‬ ‫ﻓﺘﺢ‬ Save File ‫ﻣﻠﻒ‬ ‫ﺗﺨﺰﻳﻦ‬ Print File ‫ﻣﻠﻒ‬ ‫ﻁﺒﺎﻋﺔ‬ Dialog Recall ‫ﺗﻢ‬ ‫ﺍﻟﺘﻲ‬ ‫ﺍﻹﺟﺮﺍءﺍﺕ‬ ‫ﻣﻦ‬ ‫ﻣﺠﻤﻮﻋﺔ‬ ‫ﺁﺧﺮ‬ ‫ﺇﻅﻬﺎﺭ‬ ‫ﺍﺳﺘﺨﺪﺍﻣﻬﺎ‬ Undo ‫ﺗﻨﻔﻴﺬﻫﺎ‬ ‫ﺗﻢ‬ ‫ﻋﻤﻠﻴﺔ‬ ‫ﺁﺧﺮ‬ ‫ﻋﻦ‬ ‫ﺗﺮﺍﺟﻊ‬
  • 13.
    ‫ﺑﺎﺳﺗﺧﺩﺍﻡ‬ ‫ﺍﻻﺣﺻﺎﺋﻲ‬ ‫ﺍﻟﺗﺣﻠﻳﻝ‬ SPSS ‫ﺩ‬ ‫ﺳﻠﻁﺎﻥ‬‫ﺧﻠﻑ‬ . 13 Redo ‫ﻋﻨﻬﺎ‬ ‫ﺗﺮﺍﺟﻌﺖ‬ ‫ﻋﻤﻠﻴﺔ‬ ‫ﺁﺧﺮ‬ ‫ﻋﻦ‬ ‫ﺍﻟﺮﺟﻮﻉ‬ Go to Case (‫ﺻﻒ‬ ) ‫ﺣﺎﻟﺔ‬ ‫ﺇﻟﻰ‬ ‫ﺍﻻﻧﺘﻘﺎﻝ‬ Variable ‫ﻣﺎ‬ ‫ﻣﺘﻐﻴﺮ‬ ‫ﻋﻦ‬ ‫ﻣﻌﻠﻮﻣﺎﺕ‬ ‫ﺇﻋﻄﺎء‬ Variables ‫ﺍﻟﻤﺘﻐﻴﺮﺍﺕ‬ ‫ﻋﻦ‬ ‫ﻣﻌﻠﻮﻣﺎﺕ‬ ‫ﺇﻋﻄﺎء‬ Find ‫ﺑﺤﺚ‬ Insert Case ‫ﺍﻟﻤﻠﻒ‬ ‫ﺇﻟﻰ‬ ‫ﺟﺪﻳﺪﺓ‬ ‫ﺣﺎﻻﺕ‬ ‫ﺇﺩﺭﺍﺝ‬ Insert Variable ‫ﺍﻟﻤﻠﻒ‬ ‫ﺇﻟﻰ‬ ‫ﺟﺪﻳﺪ‬ ‫ﻣﺘﻐﻴﺮ‬ ‫ﺇﺩﺭﺍﺝ‬ Split File ‫ﺟﺰﺃﻳﻦ‬ ‫ﺇﻟﻰ‬ ‫ﺍﻟﻤﻠﻒ‬ ‫ﺷﻄﺮ‬ Weight Cases ‫ﻟﻠﺤﺎﻻﺕ‬ ‫ﺃﻭﺯﺍﻥ‬ ‫ﺇﻋﻄﺎء‬ Select Cases ‫ﺣﺎﻻ‬ ‫ﻣﺠﻤﻮﻋﺔ‬ ‫ﺍﺧﺘﻴﺎﺭ‬ ‫ﺕ‬ Value Labels ‫ﺍﻟﻘﻴﻢ‬ ( ‫ﺩﻻﻻﺕ‬ ) ‫ﻋﻨﺎﻭﻳﻦ‬ (‫ﺇﺧﻔﺎء‬ ‫ﺃﻭ‬ ) ‫ﺇﻅﻬﺎﺭ‬ ‫ﺍﻭ‬ ‫ﺍﻷ‬ ‫ﻛﻮﺍﺩ‬ Use variable sets ‫ﺍﻟﻤﺘﻐﻴﺮﺍﺕ‬ ‫ﻣﻦ‬ ‫ﻣﺠﻤﻮﻋﺎﺕ‬ ‫ﺍﺳﺘﺨﺪﺍﻡ‬ Show all variables ‫ﺍﻟﻤﺘﻐﻴﺮﺍﺕ‬ ‫ﺟﻤﻴﻊ‬ ‫ﺇﻅﻬﺎﺭ‬ Spell Check ‫ﺍﻷ‬ ‫ﺗﺼﻮﻳﺐ‬ ‫ﺍﻟﻠﻐﻮﻳﺔ‬ ‫ﺧﻄﺎء‬ :‫ﻣﻼﺣﻈﺔ‬ ‫ﺍﻟﻤﺴﺎﺭ‬ ‫ﻧﺘﺒﻊ‬ ‫ﺍﻟﺴﺎﺑﻖ‬ ‫ﺍﻟﻘﻮﺍﺋﻢ‬ ‫ﺷﺮﻳﻂ‬ ‫ﺗﻜﺒﻴﺮ‬ ‫ﺃﺭﺩﻧﺎ‬ ‫ﺇﺫﺍ‬ View Toolbars Customize Large Buttons
  • 14.
    ‫ﺑﺎﺳﺗﺧﺩﺍﻡ‬ ‫ﺍﻻﺣﺻﺎﺋﻲ‬ ‫ﺍﻟﺗﺣﻠﻳﻝ‬ SPSS ‫ﺩ‬ ‫ﺳﻠﻁﺎﻥ‬‫ﺧﻠﻑ‬ . 14 ) 4 - 1 ‫ﻓﻲ‬ ‫ﺍﻟﺒﻴﺎﻧﺎﺕ‬ ‫ﻭﺇﺩﺧﺎﻝ‬ ‫ﺍﻟﻤﺘﻐﻴﺮﺍﺕ‬ ‫ﺗﻌﺮﻳﻒ‬ ‫ﻛﻴﻔﻴﺔ‬ ( SPSS :‫ﻫﻤﺎ‬ ‫ﺃﺳﺎﺳﻴﻴﻦ‬ ‫ﺧﻴﺎﺭﻳﻦ‬ ‫ﻋﻠﻰ‬ ‫ﺃﺧﺮﻫﺎ‬ ‫ﻓﻲ‬ ‫ﺍﻟﺒﻴﺎﻧﺎﺕ‬ ‫ﺇﺩﺧﺎﻝ‬ ‫ﺻﻔﺤﺔ‬ ‫ﺗﺤﺘﻮﻱ‬ - ‫ﻋﺮﺽ‬ ‫ﺍﻟﺒﻴﺎﻧﺎﺕ‬ Data view - ‫ﺍﻟﻤ‬ ‫ﻋﺮﺽ‬ ‫ﺘﻐﻴﺮ‬ Variable view ‫ﻋﻠﻰ‬ ‫ﺑﺎﻟﻀﻐﻂ‬ Variable View ‫ﺗﻈﻬﺮ‬ :‫ﻭﻫﻲ‬ ‫ﺍﻟﻤﺘﻐﻴﺮﺍﺕ‬ ‫ﻋﺮﺽ‬ ‫ﺣﻘﻮﻝ‬ :‫ﺍﻟﻤﺘﻐﻴﺮﺍﺕ‬ ‫ﻋﺮﺽ‬ ‫ﺣﻘﻮﻝ‬ ‫ﻭﻅﺎﺋﻒ‬ ‫ﺗﻮﺿﺢ‬ ‫ﺍﻟﺘﺎﻟﻴﺔ‬ ‫ﺍﻟﻘﺎﺋﻤﺔ‬ ) 1 ( ‫ﺍﻟﺤﻘﻞ‬ Name : :‫ﺍﻟﺘﺎﻟﻲ‬ ‫ﻭﻧﻼﺣﻆ‬ ‫ﺍﻟﻤﺘﻐﻴﺮ‬ ‫ﺍﺳﻢ‬ ‫ﻟﺘﻌﺮﻳﻒ‬ ‫ﻳﺴﺘﺨﺪﻡ‬ - ‫ﻳﻜﻮﻥ‬ ‫ﺃﻥ‬ ‫ﻓﻴﻤﻜﻦ‬ ‫ﺍﻟﺒﺎﻗﻲ‬ ‫ﺃﻣﺎ‬ ‫ﺑﺤﺮﻑ‬ ‫ﺗﺒﺪﺃ‬ ‫ﺃﻥ‬ ‫ﻳﺠﺐ‬ ‫ﺍﻟﻤﺘﻐﻴﺮﺍﺕ‬ ‫ﺃﺳﻤﺎء‬ ‫ﺣﺮﻭﻑ‬ ‫ﺃﻭ‬ ‫ﺃﺭﻗﺎﻡ‬ ‫ﺃﻭ‬ ‫ﻧﻘﻄﺔ‬ ،# ‫ﺃﻭ‬ ،@ ‫ﺃﻭ‬ ‫ﺃﻭ‬ - ‫ﺃﻭ‬ ، $- ‫ﻳﺠﺐ‬ ‫ﺍﻟﻤﺘﻐﻴﺮﺍﺕ‬ ‫ﻭﺃﺳﻤﺎء‬ ‫ﺃﻻ‬ ‫ﺗﻨﺘﻬﻲ‬ ‫ﺑﻨﻘﻄﺔ‬ . - ‫ﻳﺠﺐ‬ ‫ﺃﻻ‬ ‫ﺍﻻﺳﻢ‬ ‫ﺿﻤﻦ‬ ‫ﻳﻮﺟﺪ‬ ‫ﺃﻭ‬ ‫ﻓﺮﺍﻍ‬ :‫)ﻣﺜﻞ‬ ‫ﺍﻟﺨﺎﺻﺔ‬ ‫ﺍﻹﺷﺎﺭﺍﺕ‬ ‫ﻣﻦ‬ ‫ﺃﻱ‬ ،! ،‫؟‬ .(* ) 2 ( ‫ﺍﻟﻤﺘﻐﻴﺮ‬ ‫ﻧﻮﻉ‬ Type : ‫ﻭﻋﺪﺩ‬ ‫ﺍﻟﻤﺘﻐ‬ ‫ﺗﻤﺜﻞ‬ ‫ﺍﻟﺘﻲ‬ ‫ﺍﻷﺭﻗﺎﻡ‬ ‫ﺃﻭ‬ ‫ﺍﻟﺤﺮﻭﻑ‬ ‫)ﻣﺜﻞ‬ ‫ﺍﻟﻤﺘﻐﻴﺮ‬ ‫ﻧﻮﻉ‬ ‫ﺗﺤﺪﻳﺪ‬ ‫ﻳﺘﻢ‬ :‫ﻴﺮ‬ ‫ﻋﺪﺩ‬ – ‫ﺍﺳﻢ‬ – (‫ﺗﺎﺭﻳﺦ‬ ‫ﺍﻟﺘ‬ ‫ﺍﻟﺤﻮﺍﺭ‬ ‫ﻣﺮﺑﻊ‬ ‫ﻣﻦ‬ ، :‫ﺎﻟﻲ‬
  • 15.
    ‫ﺑﺎﺳﺗﺧﺩﺍﻡ‬ ‫ﺍﻻﺣﺻﺎﺋﻲ‬ ‫ﺍﻟﺗﺣﻠﻳﻝ‬ SPSS ‫ﺩ‬ ‫ﺳﻠﻁﺎﻥ‬‫ﺧﻠﻑ‬ . 15 ‫ﻋﺪﺩ‬ ‫ﺗﺤﺪﻳﺪ‬ ‫ﻳﺘﻢ‬ ‫ﻛﻤﺎ‬ ‫ﺍﻟﻤﺘﻐﻴﺮ‬ ‫ﻧﻮﻉ‬ ‫ﻋﻠﻰ‬ ‫ﺍﻟﻌﺮﺽ‬ ‫ﻫﺬﺍ‬ ‫ﻳﻌﺘﻤﺪ‬ ‫ﺣﻴﺚ‬ ‫ﺍﻟﻤﺘﻐﻴﺮ‬ ‫ﺃﺭﻗﺎﻡ‬ ‫ﺃﻭ‬ ‫ﺣﺮﻭﻑ‬ ‫ﻋﺮﺽ‬ ‫ﺗﺤﺪﻳﺪ‬ ‫ﺃﻳﻀﺎ‬ ‫ﻳﺘﻢ‬ ‫ﻣﻦ‬ ‫ﺍﻻ‬ .‫ﻟﺬﻟﻚ‬ ‫ﺿﺮﻭﺭﺓ‬ ‫ﻫﻨﺎﻙ‬ ‫ﻛﺎﻥ‬ ‫ﺇﺫﺍ‬ ‫ﺍﻟﻜﻤﻴﺔ‬ ‫ﺍﻟﻤﺘﻐﻴﺮﺍﺕ‬ ‫ﻓﻲ‬ ‫ﺍﻟﻌﺸﺮﻳﺔ‬ ‫ﺭﻗﺎﻡ‬ ) 3 ( ‫ﺍﻟﻤﻤﻴﺰ‬ Label ‫ﺍﻟﻤﺘﻐﻴﺮ‬ ‫ﻟﺘﻤﻴﻴﺰ‬ ‫ﻳﺴﺘﺨﺪﻡ‬ : ‫ﻟﻠﻤﺘﻐﻴﺮ‬ ‫ﺗﻌﺮﻳﻒ‬ ‫ﻛﺘﺎﺑﺔ‬ ‫ﻣﺜﻞ‬ ‫ﻣﻼﺣﻈﺎﺕ‬ ‫ﺍﻭ‬ ) 4 ( ‫ﺍﻟﻘﻴ‬ ‫ﻢ‬ Values ‫ﺗﺴﺘ‬ : :‫ﻛﺎﻟﺘﺎﻟﻲ‬ ‫ﺍﻻﺳﻤﻲ‬ ‫ﺃﻭ‬ ‫ﺍﻟﺘﺮﺗﻴﺒﻲ‬ ‫ﺍﻟﻤﺘﻐﻴﺮ‬ ‫ﻋﻨﺎﺻﺮ‬ ‫ﻟﺘﻌﺮﻳﻒ‬ ‫ﺨﺪﻡ‬ ‫ﺍﻟﻤﺮﺑﻊ‬ ‫ﻓﻲ‬ ‫ﻳﺘﻢ‬ ‫ﺍﻟﺘﺎﻟﻲ‬ .(‫ﺗﺮﺗﻴﺒﻴﺔ‬ ‫)ﺻﻔﺔ‬ ‫ﺃﻭ‬ ‫ﺍﺳﻢ‬ ‫ﻟﺘﻤﺜﻞ‬ ‫ﻣﻌﻴﻨﺔ‬ ‫ﻗﻴﻤﺔ‬ ‫ﺇﻋﻄﺎء‬ ) 5 ( ‫ﺍﻟﺒﻴﺎﻧﺎﺕ‬ ‫ﺍﻟﻤﻔﻘﻮﺩ‬ ‫ﺓ‬ Missing ‫ﺍﻟﻘﻴﻢ‬ ‫ﺑﺪﻭﻥ‬ ‫ﺍﻟﺘﺤﻠﻴﻞ‬ ‫ﺇﺟﺮﺍء‬ ‫ﺃﻭ‬ ‫ﺍﻟﺒﻴﺎﻧﺎﺕ‬ ‫ﻓﻲ‬ ‫ﺍﻟﻤﻔﻘﻮﺩﺓ‬ ‫ﺍﻟﻘﻴﻢ‬ ‫ﻟﻤﻌﺎﻟﺠﺔ‬ ‫ﺗﺴﺘﺨﺪﻡ‬ : .‫ﺍﻟﻤﻔﻘﻮﺩﺓ‬ ) 6 ( ‫ﺍﻟﻌﻤﻮﺩ‬ ‫ﻋﺮﺽ‬ Columns ‫ﻳﺴﺘﺨ‬ : ‫ﺑﺎﻟﻌﺮﺽ‬ ‫ﺍﻟﺘﺤﻜﻢ‬ ‫ﻳﻤﻜﻦ‬ ‫ﺣﻴﺚ‬ ‫ﺍﻟﻤﺘﻐﻴﺮ‬ ‫ﻳﻤﺜﻞ‬ ‫ﺍﻟﺬﻱ‬ ‫ﺍﻟﻌﻤﻮﺩ‬ ‫ﻋﺮﺽ‬ ‫ﻟﺘﺤﺪﻳﺪ‬ ‫ﺪﻡ‬ .‫ﺍﻟﺘﻄﺒﻴﻘﺎﺕ‬ ‫ﺑﺤﺴﺐ‬ ‫ﺍﻟﻤﻨﺎﺳﺐ‬ ) 7 ( ‫ﺍﻟﻤﻮﻗﻊ‬ Align : ‫)ﻭﺳﻂ‬ ‫ﺍﻟﺨﻼﻳﺎ‬ ‫ﺩﺍﺧﻞ‬ ‫ﺍﻟﺒﻴﺎﻧﺎﺕ‬ (‫)ﻣﻮﻗﻊ‬ ‫ﻣﻮﺿﻊ‬ ‫ﻟﺘﺤﺪﻳﺪ‬ ‫ﻳﺴﺘﺨﺪﻡ‬ – ‫ﻳﺴﺎﺭ‬ ‫ﻫﺎﻣﺶ‬ – ‫ﻫﺎﻣﺶ‬ :‫ﻛﺎﻟﺘﺎﻟﻲ‬ (‫ﻳﻤﻴﻦ‬ ) 8 ( ‫ﺍﻟﻤﺘﻐﻴﺮ‬ ‫ﻗﻴﺎﺱ‬ ‫ﺃﺳﻠﻮﺏ‬ Measure ‫ﻗﻴﺎﺱ‬ ‫ﻧﻮﻉ‬ ‫ﻟﺘﺤﺪﻳﺪ‬ ‫ﻳﺴﺘﺨﺪﻡ‬ : ‫ﻭﻫﻮ‬ ‫ﺍﻟﻤﺘﻐﻴﺮ‬ ‫ﺛ‬ ‫ﺍﺣﺪ‬ :‫ﻫﻲ‬ ‫ﺧﻴﺎﺭﺍﺕ‬ ‫ﻼﺛﺔ‬
  • 16.
    ‫ﺑﺎﺳﺗﺧﺩﺍﻡ‬ ‫ﺍﻻﺣﺻﺎﺋﻲ‬ ‫ﺍﻟﺗﺣﻠﻳﻝ‬ SPSS ‫ﺩ‬ ‫ﺳﻠﻁﺎﻥ‬‫ﺧﻠﻑ‬ . 16 ) 9 ( ‫ﺩﻭﺭ‬ ‫ﺍﻟﻤﺘﻐﻴﺮ‬ ‫ﻓﻲ‬ ‫ﺍﻟﺪﺭﺍﺳﺔ‬ Role : ) ‫ﻣﺪﺧﻞ‬ – ‫ﻣﺨﺮﺝ‬ ( ‫ﺍﻟﺒﻴﺎﻧﺎﺕ‬ ‫ﻣﺤﺮﺭ‬ ‫ﻟﺸﺎﺷﺔ‬ ‫ﺃﺧﺮﻯ‬ ‫ﻣﺮﺓ‬ ‫ﻭﺑﺎﻟﻌﻮﺩﺓ‬ Data view ‫ﻭﺗﻮﺻﻴ‬ ‫ﺗﻌﺮﻳﻔﻬﺎ‬ ‫ﺗﻢ‬ ‫ﺍﻟﺘﻲ‬ ‫ﺍﻟﻤﺘﻐﻴﺮﺍﺕ‬ ‫ﺑﻴﺎﻧﺎﺕ‬ ‫ﻭﺇﺩﺧﺎﻝ‬ ‫ﻓﻲ‬ ‫ﻔﻬﺎ‬ ‫ﻟﻬﺎ‬ ‫ﺍﻟﻤﺨﺼﺼﺔ‬ ‫ﺍﻷﻋﻤﺪﺓ‬ ‫ﻧﻼﺣﻆ‬ :‫ﺍﻟﺘﺎﻟﻲ‬  ‫ﻋﻨﺪﻣﺎ‬ ‫ﺗﻔﺘﺢ‬ SPSS ‫ﻓﺄﻧﺖ‬ ‫ﻣﺤﺮﺭ‬ ‫ﻋﻠﻰ‬ ‫ﺗﺪﺧﻞ‬ ً‫ﺎ‬‫ﺁﻟﻴ‬ .‫ﺍﻟﺒﻴﺎﻧﺎﺕ‬ ‫ﺍ‬ ‫ﻭﻳﻤﻜﻨﻚ‬ ‫ﻟﺘﺤﺮﻳﺮ‬ ‫ﺳﺘﺨﺪﺍﻣﻪ‬ ‫ﺍﻟﺒﻴﺎﻧﺎﺕ‬ ‫ﺃﻣﺎ‬ ‫ﻓﺘﺤﺖ‬ ‫ﺇﺫﺍ‬ ً‫ﺎ‬‫ﻗﺪﻳﻤ‬ ‫ﻣﻠﻔﺎ‬ ‫ﺍﻷﻋﻤﺪﺓ‬ ‫ﻻﺣﻆ‬ .‫ﺫﻛﺮﻫﺎ‬ ‫ﺗﻢ‬ ‫ﺍﻟﺘﻲ‬ ‫ﺍﻟﻘﻮﺍﻋﺪ‬ ‫ﺑﻨﻔﺲ‬ ‫ﺗﻮﺻﻴﻔﻪ‬ ‫ﻭﺗﻐﻴﺮ‬ ‫ﺃﺧﺮﻯ‬ ‫ﻣﺮﺓ‬ ‫ﻣﻌﻪ‬ ‫ﺍﻟﺘﻌﺎﻣﻞ‬ ‫ﻓﺘﺴﺘﻄﻴﻊ‬ ‫ﻟﻠﻤﺘﻐﻴﺮﺍﺕ‬ ‫ﻣﺨﺼﺼﺔ‬ ‫ﺃﻧﻬﺎ‬ ‫)ﻭﺗﺬﻛﺮ‬ ( ..... ‫ﺍﻻﺗﺠﺎﻩ‬ ‫ﻭﻗﻴﺎﺱ‬ ‫ﺍﻻﺟﺘﻤﺎﻋﻴﺔ‬ ‫ﻭﺍﻟﺤﺎﻟﺔ‬ ‫)ﺍﻟﻨﻮﻉ‬ ‫ﻣﺜﻞ‬ ‫ﻭﺍﻟﺼﻔﻮﻑ‬ ،( ‫ﻣﺨﺼﺼﺔ‬ ‫ﺃﻧﻬﺎ‬ ‫ﻭﺗﺬﻛﺮ‬ ‫)ﺃﻓ‬ ‫ﺍﻟﺪﺭﺍﺳﺔ‬ ‫ﻟﺤﺎﻻﺕ‬ ‫ﺭﻗﻢ‬ ‫ﺍﻻﺳﺘﻤﺎﺭﺓ‬ :‫ﻓﻤﺜﻼ‬ ‫ﺍﻟﻌﻴﻨﺔ‬ ‫ﺮﺍﺩ‬ 1 ‫ﻭﺭﻗﻢ‬ ‫ﺍﻷﻭﻝ‬ ‫ﺍﻟﺼﻒ‬ ‫ﻓﻲ‬ ‫ﺗﻔﺮﻍ‬ 2 ،‫ﺍﻟﺜﺎﻧﻲ‬ ‫ﺍﻟﺼﻒ‬ ‫ﻓﻲ‬ ‫ﻭﻫﻜﺬﺍ‬ ‫ﺍﻟﺜﺎﻧﻲ‬ ‫ﻟﻠﻤﺘﻐﻴﺮ‬ ‫ﻭﺍﻟﺜﺎﻧﻲ‬ ‫ﺍﻷﻭﻝ‬ ‫ﻟﻠﻤﺘﻐﻴﺮ‬ ‫ﻣﺨﺼﺺ‬ ‫ﻛﻠﻪ‬ ‫ﺍﻷﻭﻝ‬ ‫ﺍﻟﻌﻤﻮﺩ‬ ‫ﺃﻥ‬ ‫ﺣﻴﺚ‬ (... ‫ﻭﺍﻟﺼﻒ‬ ‫ﺭﻗﻢ‬ ‫ﻟﻠﻤﺴﺘﺠﻴﺐ‬ ‫ﻣﺨﺼﺺ‬ ‫ﻛﻠﻪ‬ ‫ﺍﻷﻭﻝ‬ 1 ‫ﺭﻗﻢ‬ ‫ﻟﻠﻤﺴﺘﺠﻴﺐ‬ ‫ﻭﺍﻟﺜﺎﻧﻲ‬ 2 .‫ﻭﻫﻜﺬﺍ‬  ‫ﺍﻟﺒﻴﺎﻧﺎﺕ‬ ‫ﺇﺩﺧﺎﻝ‬ ‫ﻋﻨﺪ‬ ‫ﻣﺜﻼ‬ ‫ﺍﻷ‬ ‫ﺍﻟﺨﻠﻴﺔ‬ ‫ﻓﻲ‬ ‫ﺃﻁﺒﻊ‬ ‫ﻭﻟﻰ‬ 34 ‫ﺍﻹﺩﺧﺎﻝ‬ ‫ﻣﻔﺘﺎﺡ‬ ‫ﺍﺿﻐﻂ‬ ‫ﺛﻢ‬ Enter ‫ﺍﻟﺒﺮﻧﺎﻣﺞ‬ ‫ﺃﻥ‬ ‫ﻻﺣﻆ‬ ‫ﺍﻻﻓﺘﺮﺍﺿﻲ‬ ‫ﺍﻟﻤﺘﻐﻴﺮ‬ ‫ﺍﺳﻢ‬ ‫ﻳﻀﻊ‬ Var00001 ‫ﻭﺍﻟﺬﻱ‬ ‫ﻣﺴﺒﻘﺎ‬ ً‫ﺎ‬‫ﻣﻌﺮﻓ‬ ‫ﺍﻟﻤﺘﻐﻴﺮ‬ ‫ﻳﻜﻦ‬ ‫ﻟﻢ‬ ‫ﺇﻥ‬ ‫ﻗﻴﻤﺎ‬ ‫ﺃﺩﺧﻞ‬ ‫ﺛﻢ‬ ‫ﺍﻟﺸﺎﺷﺔ‬ ‫ﺃﻋﻠﻰ‬ ‫ﻓﻲ‬ ‫ﻳﻈﻬﺮ‬ ‫ﻣﺜﻞ‬ ‫ﺍﻷﻭﻟﻰ‬ ‫ﺍﻟﺨﻠﻴﺔ‬ ‫ﺃﺳﻔﻞ‬ ‫ﺃﺧﺮﻯ‬ ‫ﺧﻼﻳﺎ‬ ‫ﻓﻲ‬ ‫ﺃﺧﺮﻯ‬ 22 ، 23 ‫ﻛﻞ‬ ‫ﻭﺑﻌﺪ‬ ، ‫ﺍﺿﻐﻂ‬ ‫ﺇﺩﺧﺎﻝ‬ ‫ﻋﻤﻠﻴﺔ‬ Enter ‫ﺣﺘﻰ‬ ‫ﻭﻫﻜﺬﺍ‬ ‫ﻟﻠﺪﺭﺍﺳﺔ‬ ‫ﺍﻟﻤﻄﻠﻮﺑﺔ‬ ‫ﺍﻟﺒﻴﺎﻧﺎﺕ‬ ‫ﺟﻤﻴﻊ‬ ‫ﺇﺩﺧﺎﻝ‬ ‫ﻳﺘﻢ‬ .  ‫ﺍﻟﻤﻔﻘﻮﺩﺓ‬ ‫ﺍﻟﻘﻴﻢ‬ ‫ﺧﻠﻴﺔ‬ Missing ‫ﻧﻘﻄﺔ‬ ‫ﻫﻴﺌﺔ‬ ‫ﻋﻠﻰ‬ (.)  ‫ﻟﺘﺴﻤﻴﺔ‬ ‫ﻣﺜﻞ‬ ( ‫ﺑﻚ‬ ‫)ﺧﺎﺹ‬ ‫ﻣﻨﺎﺳﺐ‬ ‫ﺑﺎﺳﻢ‬ ‫ﺍﻻﻓﺘﺮﺍﺿﻲ‬ ‫ﺍﻻﺳﻢ‬ ‫ﺍﺳﺘﺒﺪﺍﻝ‬ ‫ﻳﺠﺐ‬ ‫ﺍﻟﻤﺘﻐﻴﺮﺍﺕ‬ : Age, Gender subject, Attitude1, Attitude2, etc. ، ‫ﻭﻹﺟﺮﺍء‬ ‫ﺫﻟﻚ‬ : ‫ﺍﺿﻐﻂ‬ ‫ﺍﻟﻤﺘﻐﻴﺮ‬ ‫ﺍﺳﻢ‬ ‫ﻋﻠﻰ‬ ‫ﻣﺮﺗﻴﻦ‬ Var001 ‫ﺍﻟﺼﻒ‬ ‫ﻓﻲ‬ ‫ﺧﻠﻴﺔ‬ ‫ﺃﻱ‬ ‫ﻓﻲ‬ ‫ﺍﻟﻤﺆﺷﺮ‬ ‫ﺃﻭﺿﻊ‬ ‫ﺍﻷﻭﻝ‬ ‫ﺍﻟﻌﻤﻮﺩ‬ ‫ﺃﻋﻠﻰ‬ ‫ﻓﻲ‬ ‫ﺍﻻﻓﺘﺮﺍﺿﻲ‬ ‫ﺍﻻﺳﻢ‬ ‫ﻣﺴﺢ‬، ‫ﺍﻷﻭﻝ‬ 00001 Var ‫ﺑـــ‬ ‫ﻭﺍﺳﺘﺒﺪﺍﻟﻪ‬ Age  ‫ﺍﻟــ‬ ‫ﺗﺨﺒﺮ‬ ‫ﺃﻥ‬ ‫ﺗﺤﺘﺎﺝ‬ SPSS ‫ﺍﻟﻤﺘﻐﻴﺮﺍﺕ‬ ‫ﻁﺒﻴﻌﺔ‬ ‫ﻋﻦ‬ ‫ﻗﺒﻞ‬ ‫ﺇﺩﺧﺎﻟﻬﺎ‬ ‫ﺍﻟﻤﺮﺍﺩ‬ ‫ﻋﻤﻠﻴﺔ‬ ‫ﺍﻹﺩﺧﺎﻝ‬ . ‫ﻟﻚ‬ ‫ﻳﺴﻬﻞ‬ ‫ﻭﻫﺬﺍ‬ ‫ﺍﻟﻤﺘﻐﻴﺮﺍﺕ‬ ‫ﻫﺬﻩ‬ ‫ﻣﻊ‬ ‫ﺍﻟﺘﻌﺎﻣﻞ‬ .‫ﻻﺣﻘﺎ‬ ‫ﻭﻳﻤﻜﻦ‬ ‫ﻋ‬ ‫ﻣﻔﺼﻞ‬ ‫ﺷﺮﺡ‬ ‫ﻭﺿﻊ‬ ‫ﻛﺬﻟﻚ‬ ‫ﻣﺎﻫﻴﺔ‬ ‫ﻦ‬ ‫ﻟﻜﻲ‬ ‫ﺍﻟﻤﺘﻐﻴﺮ‬ ‫ﻓﻬﻢ‬ ‫ﻳﺴﻬﻞ‬ ‫ﺃﻥ‬ ‫ﺇﺫ‬ ‫ﺍﺳﺘﺨﺮﺍﺟﻬﺎ‬ ‫ﻋﻨﺪ‬ ‫ﺍﻟﻨﺘﺎﺋﺞ‬ .‫ﻟﻠﻤﺘﻐﻴﺮﺍﺕ‬ ‫ﺗﻔﺼﻴﻠﻲ‬ ‫ﺷﺮﺡ‬ ‫ﺍﻟﻨﺘﺎﺋﺞ‬ ‫ﻣﻊ‬ ‫ﻳﺨﺮﺝ‬ ‫ﺍﻟﺒﺮﻧﺎﻣﺞ‬  .‫ﺍﻛﺴﻞ‬ ‫ﻣﻠﻒ‬ ‫ﻣﻦ‬ ‫ﺍﻟﺒﻴﺎﻧﺎﺕ‬ ‫ﺗﺤﻤﻴﻞ‬ ‫ﻳﻤﻜﻦ‬
  • 17.
    ‫ﺑﺎﺳﺗﺧﺩﺍﻡ‬ ‫ﺍﻻﺣﺻﺎﺋﻲ‬ ‫ﺍﻟﺗﺣﻠﻳﻝ‬ SPSS ‫ﺩ‬ ‫ﺳﻠﻁﺎﻥ‬‫ﺧﻠﻑ‬ . 17  ‫ﺍﻟﻤﻠﻒ‬ ‫ﺣﻔﻆ‬ : ‫ﺍﻟﻨﻮﺍﻓﺬ‬ ‫ﺗﻄﺒﻴﻘﺎﺕ‬ ‫ﻓﻲ‬ ‫ﺍﻟﻤﻠﻒ‬ ‫ﺣﻔﻆ‬ ‫ﺧﻄﻮﺍﺕ‬ ‫ﻧﻔﺲ‬ ‫ﺗﺴﺘﺨﺪﻡ‬ ‫ﺍﻷﺧﺮﻯ‬  ‫ﺍﻟﻤﻔﻘﻮﺩ‬ ‫ﺍﻟﻘﻴﻢ‬ ‫ﺓ‬ Missing Values : ‫ﻳﺴﺘﺨﺪﻡ‬ ‫ﺧﻴﺎﺭ‬ ‫ﺍﻟﻘﻴﻢ‬ ‫ﺍﻟﻤ‬ ‫ﻔﻘﻮﺩﺓ‬ ‫ﻫﻨﺎﻙ‬ ‫ﻳﻜﻮﻥ‬ ‫ﻻ‬ ‫ﻋﻨﺪﻣﺎ‬ ‫ﻋﺒﺎﺭﺓ‬ ‫ﻋﻠﻰ‬ ‫ﺍﻹﺟﺎﺑﺔ‬ ‫ﺍﻟﻤﺴﺘﺠﻴﺐ‬ ‫ﻳﺮﻓﺾ‬ ‫ﻋﻨﺪﻣﺎ‬ ‫ﺃﻭ‬ ‫ﺇﺟﺎﺑﺔ‬ ‫ﻫﺬﻩ‬ ‫ﺑﻌﻼﺝ‬ ‫ﺍﻟﺒﺮﻧﺎﻣﺞ‬ ‫ﻭﻳﻘﻮﻡ‬ ‫ﻣﻌﻴﻨﺔ‬ ‫ﻗﻴﻤﺔ‬ ‫ﻟﻬﺎ‬ ‫ﻳﺪﺧﻞ‬ ‫ﻻ‬ ‫ﻭﺍﻟﺘﻲ‬ ‫ﺍﻟﻤﺘﺮﻭﻛﺔ‬ ‫ﺑﺎﻟﻘﻴﻢ‬ ‫ﺗﻌﺮﻳﻔﻪ‬ ‫ﺣﺎﻟﺔ‬ ‫ﻓﻲ‬ ‫ﺇﺣﺼﺎﺋﻴﺎ‬ ‫ﺍﻟﻤﺸﻜﻠﺔ‬ ‫ﻣﻌﻴﻨﺔ‬ ‫ﻧﻘﻄﺔ‬ ‫ﻫﻴﺌﺔ‬ ‫ﻋﻠﻰ‬ ‫ﺍﻟﺒﻴﺎﻧﺎﺕ‬ ‫ﻣﺤﺮﺭ‬ ‫ﻓﻲ‬ ‫ﻓﺘﻈﻬﺮ‬ . ‫ﺍﻟﺒﻴﺎﻧﺎﺕ‬ ‫ﺗﺮﻣﻴﺰ‬ : ‫ﺍﻟﺒﻴ‬ ‫ﺗﺮﻣﻴﺰ‬ ‫ﻋﻤﻠﻴﺔ‬ ‫ﺇﻥ‬ ‫ﻋﺒﺎﺭﺓ‬ ‫ﻫﻲ‬ ‫ﺎﻧﺎﺕ‬ ‫ﺗﻬﻴﺌﺔ‬ ‫ﻋﻦ‬ ‫ﺑﺤﺜﻴﺔ‬ ‫ﺃﺩﻭﺍﺕ‬ ‫ﻛﺎﻧﺖ‬ ‫ﺳﻮﺍء‬ ‫ﺍﻟﺒﻴﺎﻧﺎﺕ‬ ‫ﺑﻴﺎﻧﺎﺕ‬ ‫ﺃﻭ‬ ‫ﻭﺍﻟﻤﻘﺎﺑﻼﺕ‬ ‫ﻛﺎﻻﺳﺘﺒﻴﺎﻧﺎﺕ‬ ‫ﻣﻌﻠﻮﻣﺎﺗﻴﺔ‬ ‫ﺍ‬ ‫ﻣﺜﻞ‬ ‫ﺗﺴﺘﻄﻴﻊ‬ ‫ﻛﻲ‬ ‫ﻭﺍﻻﺳﺘﻘﺼﺎء‬ ‫ﺍﻟﻤﺴﺢ‬ ‫ﺩﻭﺍﺕ‬ ‫ﻣﻌﻬﺎ‬ ‫ﺍﻟﺘﻌﺎﻣﻞ‬ ‫ﺍﻟﺤﺎﺳﻮﺑﻴﺔ‬ ‫ﺍﻟﺒﺮﺍﻣﺞ‬ ‫ﻭﻓﻬﻢ‬ ‫ﻣﺤﺘﻮﺍﻫﺎ‬ ‫ﺑﺄﻥ‬ ‫ﻭﺫﻟﻚ‬ (‫ﻏﺎﻟﺒﺎ‬ ‫)ﺭﻗﻤﻴﺎ‬ ‫ﻣﻌﻴﻨﺎ‬ ّ‫ﺍ‬‫ﺗﺮﻣﻴﺰ‬ ‫ﻣﺘﻐﻴﺮ‬ ‫ﻛﻞ‬ ‫ﻳﻌﻄﻰ‬ ‫ﻟﻠﺒﺮﻧﺎﻣﺞ‬ ‫ﻣﻌﻴﻨﺎ‬ ‫ﻣﺆﺷﺮﺍ‬ ‫ﻳﻌﻨﻲ‬ . ‫ﻣﺜﻞ‬ ‫ﺍﻻﺳﻤﻴﺔ‬ ‫ﺍﻟﺒﻴﺎﻧﺎﺕ‬ ‫ﺑﻴﻦ‬ ‫ﺍﻟﺘﻔﺮﻳﻖ‬ ‫ﻭﻳﺠﺐ‬ ‫ﻭﺃﻧﺜﻰ‬ ‫ﺫﻛﺮ‬ ‫ﻭﻧﻌﻢ‬ ‫ﻭﻻ‬ ، ‫ﺍﻟﺘﺮﺗﻴﺒﻴﺔ‬ ‫ﻭﺍﻟﺒﻴﺎﻧﺎﺕ‬ ‫ﻣﺜﻞ‬ ‫ﻭﻣﻮﺍﻓ‬ ‫ﻣﻮﺍﻓﻖ‬ ‫ﺟﺪﺍ‬ ‫ﻣﻮﺍﻓﻖ‬ ‫ﻭﻏﻴﺮ‬ ‫ﻣﻮﺍﻓﻖ‬ ‫ﻭﻏﻴﺮ‬ ‫ﺟﺪﺍ‬ ‫ﻖ‬ ‫ﻓﻤﺜﻼ‬ . ‫ﻟﻠﺬﻛﺮ‬ ‫ﻳﺮﻣﺰ‬ ‫ﺑـ‬ 1 ‫ﺑـ‬ ‫ﻭﺍﻷﻧﺜﻰ‬ 2 =‫ﺟﺪﺍ‬ ‫ﻣﻮﺍﻓﻖ‬ ‫ﺍﻻﺗﺠﺎﻩ‬ ‫ﻗﻴﺎﺱ‬ ‫ﻭﻓﻲ‬ ،‫ﺍﻟﻌﻜﺲ‬ ‫ﺃﻭ‬ 5 ، =‫ﻣﻮﺍﻓﻖ‬ 4 ‫ﻻ‬ ، ‫ﺃﺩﺭﻯ‬ = 3 =‫ﺍﺭﻓﺾ‬ 2 ‫ﺍﺭﻓﺾ‬ ، =‫ﺑﺸﺪﺓ‬ 1 . ) ‫ﺗﻄﺒﻴﻖ‬ 1 ( ‫ﺍﻟ‬ ‫ﺃﻋ‬ ‫ﺗﻤﺜﻞ‬ ‫ﺍﻟﺘﺎﻟﻴﺔ‬ ‫ﺒﻴﺎﻧﺎﺕ‬ ‫ﻤﺎﺭ‬ 10 ‫ﺍﻟﻌﻤﺮ‬ ‫ﺑﺤﺴﺐ‬ ‫ﻣﻮﺯﻋﻴﻦ‬ ‫ﻣﻮﻅﻔﻴﻦ‬ ‫ﻭﺍﻟﻨﻮﻉ‬ ‫ﻭﺍﻟﻤﺴﺘﻮﻯ‬ ‫ﺍﻟﺪﺭﺍﺳﻲ‬ ‫ﻡ‬ 1 2 3 4 5 6 7 8 9 10 ‫ﺍﻟﻌﻤﺮ‬ 26 21 18 35 41 22 22 31 19 26 ‫ﺍﻟﻨﻮﻉ‬ ‫ﺃﻧﺜﻰ‬ ‫ﺃﻧﺜﻰ‬ ‫ﺫﻛﺮ‬ ‫ﺫﻛﺮ‬ ‫ﺃﻧﺜﻰ‬ ‫ﺫﻛﺮ‬ ‫ﺫﻛﺮ‬ ‫ﺃﻧﺜﻰ‬ ‫ﺫﻛﺮ‬ ‫ﺫﻛﺮ‬ ‫ﺍﻟﺘﻌﻠﻴﻤﻲ‬ ‫ﺍﻟﻤﺴﺘﻮﻯ‬ ‫ﺟﺎﻣﻌﻲ‬ ‫ﺛﺎﻧﻮﻱ‬ ‫ﺛﺎﻧﻮﻱ‬ ‫ﺍﺑﺘﺪﺍﺋﻲ‬ ‫ﺟﺎﻣﻌﻲ‬ ‫ﺟﺎﻣﻌﻲ‬ ‫ﺛﺎﻧﻮﻱ‬ ‫ﺍﺑﺘﺪﺍ‬ ‫ﺋﻲ‬ ‫ﺟﺎﻣﻌﻲ‬ ‫ﺟﺎﻣﻌﻲ‬ ‫ﺑﻴﺎﻧﺎﺕ‬ ‫ﻟﻤﺤﺮﺭ‬ ‫ﺍﻟﺒﻴﺎﻧﺎﺕ‬ ‫ﻫﺬﻩ‬ ‫ﺇﺩﺧﺎﻝ‬ ‫ﺍﻟﻤﻄﻠﻮﺏ‬ SPSS :‫ﺍﻟﺨﻄﻮﺍﺕ‬ 1 - :‫ﻛﺎﻟﺘﺎﻟﻲ‬ ‫ﻟﻬﺎ‬ ‫ﺍﻟﻤﻨﺎﺳﺒﺔ‬ ‫ﻭﺍﻟﻤﻘﺎﻳﻴﺲ‬ ‫ﺍﻟﺪﺭﺍﺳﺔ‬ ‫ﻣﺘﻐﻴﺮﺍﺕ‬ ‫ﺃﻧﻮﺍﻉ‬ ‫ﻧﺤﺪﺩ‬ - ‫ﺍﻟﻤﺴﻠﺴﻞ‬ ‫ﻗﻴﺎﺱ‬ ‫ﻟﻪ‬ ‫ﻛﻤﻲ‬ Scale
  • 18.
    ‫ﺑﺎﺳﺗﺧﺩﺍﻡ‬ ‫ﺍﻻﺣﺻﺎﺋﻲ‬ ‫ﺍﻟﺗﺣﻠﻳﻝ‬ SPSS ‫ﺩ‬ ‫ﺳﻠﻁﺎﻥ‬‫ﺧﻠﻑ‬ . 18 - ‫ﺍﻟﻌﻤﺮ‬ Age ‫ﻛﻤﻲ‬ ‫ﻗﻴﺎﺱ‬ ‫ﻟﻪ‬ Scale - ‫ﺍﻟﻨﻮﻉ‬ Gender ‫ﺍﺳﻤﻲ‬ ‫ﻗﻴﺎﺱ‬ ‫ﻟﻪ‬ Nominal - ‫ﺍﻟﺘﻌﻠﻴﻤﻲ‬ ‫ﺍﻟﻤﺴﺘﻮﻯ‬ Education ‫ﺗﺮ‬ ‫ﻗﻴﺎﺱ‬ ‫ﻟﻪ‬ ‫ﺗﻴﺒﻲ‬ Ordinal 2 - ‫ﺍﻟﻜﻤﻲ‬ ‫ﺍﻟﻤﺘﻐﻴﺮ‬ Age ‫ﺗﻌﺮﻳﻒ‬ ‫ﺇﻟﻰ‬ ‫ﻳﺤﺘﺎﺝ‬ ‫ﻻ‬ Values 3 - ‫ﻤﻲ‬‫ﺍﻻﺳ‬ ‫ﻟﻠﻤﺘﻐﻴﺮ‬ Gender ‫ﺍﺧﺘﻴﺎﺭ‬ ‫ﻳﻤﻜﻦ‬ 1 ‫ﺍﻟﺬﻛﺮ‬ ‫ﻋﻠﻰ‬ ‫ﻟﺘﺪﻝ‬ Male ‫ﻭ‬ 2 ‫ﺍﻷﻧﺜﻰ‬ ‫ﻋﻠﻰ‬ ‫ﻟﺘﺪﻝ‬ Female ‫ﺍﻟﺘﺮﺗﻴﺒﻲ‬ ‫ﻭﻟﻠﻤﺘﻐﻴﺮ‬ .(‫ﻤﻲ‬ ‫ﺍﺳ‬ ‫ﻣﺘﻐﻴﺮ‬ ‫ﻷﻧﻪ‬ ‫ﻳﻬﻢ‬ ‫ﻻ‬ ‫)ﺍﻟﺘﺮﺗﻴﺐ‬ ‫ﺍﻟﻌﻜﺲ‬ ‫ﺃﻭ‬ Education ‫ﺍﺧﺘﻴﺎﺭ‬ ‫ﻳﻤﻜﻦ‬ 3 ‫ﻋﻠﻲ‬ ‫ﻟﺘﺪﻝ‬ University ‫ﻭ‬ 2 ‫ﻋﻠﻲ‬ ‫ﻟﺘﺪﻝ‬ Secondary ‫ﻭ‬ 1 ‫ﻟﺘﺪﻝ‬ ‫ﻋﻠﻰ‬ Primary ) ‫ﻣﻬﻢ‬ ‫ﻫﻨﺎ‬ ‫ﺍﻟﺘﺮﺗﻴﺐ‬ ‫ﻣﺘﻐﻴﺮ‬ ‫ﻷﻧﻪ‬ (‫ﺗﺮﺗﻴﺒﻲ‬ . :‫ﻛﺎﻟﺘﺎﻟﻲ‬ ‫ﺫﻟﻚ‬ ‫ﻭﻳﺘﻢ‬ 4 - :‫ﺍﻟﺘﺎﻟﻴﺔ‬ ‫ﺍﻟﺘﻮﺻﻴﻔﺎﺕ‬ ‫ﻋﻠﻰ‬ ‫ﻧﺤﺼﻞ‬ ‫ﺍﻟﺜﻼﺛﺔ‬ ‫ﺍﻟﻤﺘﻐﻴﺮﺍﺕ‬ ‫ﺗﻌﺮﻳﻒ‬ ‫ﺑﻌﺪ‬ ‫ﺇﺻﺪﺍﺭ‬ ‫ﻛﺎﻥ‬ ‫ﺇﺫﺍ‬ ‫ﺍﻟﻌﺮﺑﻴﺔ‬ ‫ﺑﺎﻟﻠﻐﺔ‬ ‫ﺍﻟﺴﺎﺑﻘﺔ‬ ‫ﺍﻟﺘﻌﺮﻳﻔﺎﺕ‬ ‫ﺇﺟﺮﺍء‬ ‫ﻭﻳﻤﻜﻦ‬ SPSS .‫ﺫﻟﻚ‬ ‫ﻳﺪﻋﻢ‬
  • 19.
    ‫ﺑﺎﺳﺗﺧﺩﺍﻡ‬ ‫ﺍﻻﺣﺻﺎﺋﻲ‬ ‫ﺍﻟﺗﺣﻠﻳﻝ‬ SPSS ‫ﺩ‬ ‫ﺳﻠﻁﺎﻥ‬‫ﺧﻠﻑ‬ . 19 5 - ‫ﺇﻟﻰ‬ ‫ﺍﻵﻥ‬ ‫ﻧﺘﺤﻮﻝ‬ Data View ‫ﺍﻟ‬ ‫ﻹﺩﺧﺎﻝ‬ :‫ﻛﺎﻟﺘﺎﻟﻲ‬ ‫ﺒﻴﺎﻧﺎﺕ‬ 6 - ‫ﺃﻳﻘﻮﻧﺔ‬ ‫ﻋﻠﻲ‬ ‫ﻧﻀﻐﻂ‬ :‫ﻋﻠﻲ‬ ‫ﻓﻨﺤﺼﻞ‬ 7 - ‫ﺑﺎﻻﺳﻢ‬ ‫ﺍﻟﻤﻠﻒ‬ ‫ﺣﻔﻆ‬ ‫ﻳﺘﻢ‬ ‫ﺫﻟﻚ‬ ‫ﺑﻌﺪ‬ Data-1.sav ‫ﺃﻭ‬ Data-1.xls ‫ﺇﻏﻼﻕ‬ ‫ﻳﻤﻜﻦ‬ SPSS ‫ﻣﻦ‬ ‫ﻛﻞ‬ ‫ﻭﺍﺳﺘﺪﻋﺎء‬ Data-1.sav ‫ﻭ‬ Data-1.xls . :‫ﻣﻼﺣﻈﺔ‬ ‫ﻟﻤﺤﺮﺭ‬ ‫ﺮﺓ‬ ‫ﻣﺒﺎﺷ‬ ‫ﺘﺪﻋﺎﺋﻬﺎ‬ ‫ﻭﺍﺳ‬ ‫ﻞ‬ ‫ﺍﻛﺴ‬ ‫ﻣﻠﻒ‬ ‫ﻓﻲ‬ ‫ﺃﻭﻻ‬ ‫ﺍﻟﺒﻴﺎﻧﺎﺕ‬ ‫ﺇﺩﺧﺎﻝ‬ ‫ﻳﻤﻜﻦ‬ SPSS ‫ﺍﻟﻼ‬ ‫ﻴﻒ‬ ‫ﺍﻟﺘﻮﺻ‬ ‫ﻭﺇﺟﺮﺍء‬ ‫ﺑﻌﺪ‬ ‫ﺯﻡ‬ .‫ﺍﻻﺳﺘﺪﻋﺎء‬
  • 20.
    ‫ﺑﺎﺳﺗﺧﺩﺍﻡ‬ ‫ﺍﻻﺣﺻﺎﺋﻲ‬ ‫ﺍﻟﺗﺣﻠﻳﻝ‬ SPSS ‫ﺩ‬ ‫ﺳﻠﻁﺎﻥ‬‫ﺧﻠﻑ‬ . 20 ) 5 - 1 ( ‫ﺍﻟﻤﺘﻐﻴﺮﺍﺕ‬ ‫ﺗﺮﻣﻴﺰ‬ ‫ﺇﻋﺎﺩﺓ‬ Recode ‫ﯾ‬ ‫ـث‬‫ـ‬ ‫ـﺎت‬‫ـ‬‫ﻧ‬‫ـﺎ‬‫ـ‬ ‫اﻟ‬ ‫ﻣﻠﻒ‬ ‫ﻓﻲ‬ ً‫ﺎ‬‫ـ‬‫ـ‬ ‫ـﺎﻟ‬‫ـ‬‫ﺣ‬ ‫د‬ ‫ﺟ‬ ‫ﻣ‬ ‫ر‬ ‫ﻐ‬ ‫ط‬ ‫ﺗ‬‫ر‬‫ﻣ‬ ‫ـد‬‫ـ‬‫ﯾ‬‫ـد‬‫ـ‬‫ﺟ‬ ‫ر‬ ‫ﻐ‬ ‫ﻣ‬ ‫ﺗ‬ ‫ـﺔ‬‫ـ‬ ‫ﻠ‬ ‫ﻋ‬ ‫ﻫﻲ‬ ‫ات‬ ‫ر‬ ‫ﻐ‬ ‫اﻟ‬ ‫ز‬ ‫ﺗرﻣ‬ ‫ـﺎدة‬‫ـ‬‫ﻋ‬‫إ‬ ‫ﺎس‬ ‫ﻟﻠﻘ‬ ‫ﻗﺎﺑﻠﺔ‬ ‫أ‬ ‫ﺔ‬ ‫ات‬ ‫ر‬ ‫ﻐ‬ ‫ﻣ‬ ‫ﻞ‬ ‫ﺗ‬ Scale Variable ‫ﺔ‬ ‫ـﻔ‬‫ـ‬‫ـ‬‫ـ‬‫ـ‬‫ـ‬‫ـ‬‫ـ‬‫ـ‬‫ـ‬‫ـ‬‫ـ‬‫ـ‬‫ـ‬‫ﺻ‬‫و‬ ‫ات‬ ‫ر‬ ‫ﻐ‬ ‫ﻣ‬ ‫إﻟﻰ‬ Nominal Variable ‫أﻣﺎ‬ . ‫ﻐ‬ ‫اﻟ‬ ‫ﻒ‬ ‫ـ‬‫ـ‬‫ـ‬ ‫ﺗ‬ ‫ﺎت‬ ‫ـ‬‫ـ‬‫ـ‬ ‫ﻣ‬ ‫ﻋدد‬ ‫س‬ ‫ﻌ‬ ‫دﯾد‬ ‫اﻟ‬ ‫ر‬ ‫ﻐ‬ ‫اﻟ‬ ‫أن‬ ‫إﻻ‬ ‫ات‬ ‫ر‬ ‫ﻐ‬ ‫اﻟ‬ ‫ز‬ ‫ﺗرﻣ‬ ‫إﻋﺎدة‬ ‫ﺔ‬ ‫ﻠ‬ ‫ﻟﻌ‬ ‫ـﺎﺑﻬﺔ‬‫ـ‬‫ـ‬ ‫ﻣ‬ ‫ﺔ‬ ‫ﻠ‬ ‫ﻋ‬ ‫ﻓﻬﻲ‬ ‫ات‬ ‫ر‬ .‫ل‬ ‫اﻟ‬ ‫ﺔ‬ ‫ﺎو‬ ‫ﻣ‬ ‫ات‬ ‫ر‬ ‫ﻓ‬ ‫ﻋﻠﻰ‬ ‫ر‬ ‫ﻐ‬ ‫اﻟ‬ ‫ﻒ‬ ‫ﺗ‬ ‫و‬ ‫ﻒ‬ ‫اﻟ‬ ‫اﻷﻣر‬ ‫دم‬ Recode ‫ﻋ‬ ‫ة‬ ‫ر‬‫ﺎ‬ ‫ﻋ‬ ‫أو‬ ‫ﻒ‬ ‫ﻟﻠ‬ ‫ﺎت‬ ‫ﻣ‬ ‫ﻋ‬ ‫ة‬ ‫ر‬‫ﺎ‬ ‫ﻋ‬ ‫ر‬ ‫ﻐ‬ ‫اﻟ‬ ‫ﻗ‬ ‫ن‬ ‫ﺗ‬ ‫ث‬ ‫ﺟدﯾد‬ ‫ر‬ ‫ﻐ‬ ‫ﻣ‬ ‫ﻟ‬ ‫ﺗ‬ ‫ﻟ‬ ‫ـدد‬‫ـ‬‫ـ‬‫ـ‬ ‫ﻣ‬ ‫ﻗ‬ ‫اﻷﻣر‬ ‫ـﺎر‬‫ـ‬‫ـ‬‫ـ‬ ‫ـﺎﺧ‬‫ـ‬‫ـ‬‫ـ‬ ‫ـ‬‫ـ‬‫ـ‬‫ـ‬‫ﻟ‬‫ذ‬ ‫و‬ .‫ـﻔﻲ‬‫ـ‬‫ـ‬‫ـ‬‫ـ‬‫ـ‬‫ـ‬‫ـ‬‫ـ‬‫ـ‬‫ـ‬‫ـ‬‫ـ‬‫ـ‬‫ﺻ‬‫و‬ ‫ر‬ ‫ﻐ‬ ‫ﻣ‬ ‫إﻟﻰ‬ ‫ﻲ‬ ‫اﻟ‬ ‫ر‬ ‫ﻐ‬ ‫اﻟ‬ ‫ـﻞ‬‫ـ‬‫ـ‬‫ـ‬ Recode ‫ـﺔ‬‫ـ‬‫ـ‬‫ـ‬ ‫ـﺎﺋ‬‫ـ‬‫ـ‬‫ـ‬‫ﻗ‬ ‫ﻣ‬ Transform .‫ﺎﻟﻲ‬ ‫اﻟ‬ ‫ﻞ‬ ‫اﻟ‬ ‫ﻓﻲ‬ ‫ﺎ‬
  • 21.
    ‫ﺑﺎﺳﺗﺧﺩﺍﻡ‬ ‫ﺍﻻﺣﺻﺎﺋﻲ‬ ‫ﺍﻟﺗﺣﻠﻳﻝ‬ SPSS ‫ﺩ‬ ‫ﺳﻠﻁﺎﻥ‬‫ﺧﻠﻑ‬ . 21 ‫ر‬ ‫ﻐ‬ ‫اﻟ‬ ‫ﻧﻔس‬ ‫ﻓﻲ‬ ‫دﯾد‬ ‫اﻟ‬ ‫ز‬ ‫رﻣ‬ ‫اﻟ‬ ‫ـﻊ‬‫ـ‬‫ـ‬‫ـ‬‫ﺿ‬‫و‬ ‫اﻷول‬ ‫ﺎر‬ ‫اﻟ‬ ‫ﺔ‬ ‫ـ‬‫ـ‬‫ـ‬‫ـ‬‫ﺳ‬‫ا‬ ‫ﺑ‬ ‫ث‬ ‫ﺣ‬ ، ‫ﺎر‬ ‫ﺧ‬ ‫إﻟﻰ‬ ‫ز‬ ‫رﻣ‬ ‫اﻟ‬ ‫إﻋﺎدة‬ ‫أﻣر‬ ‫ﻞ‬ ‫ـ‬‫ـ‬‫ـ‬‫ـ‬ ‫و‬ ‫ﻣ‬ ‫ـ‬‫ـ‬‫ـ‬‫ـ‬‫ﺳ‬‫ﺎ‬ ‫دﯾدة‬ ‫اﻟ‬ ‫ز‬ ‫رﻣ‬ ‫اﻟ‬ ‫ﻗ‬ ‫ـﻊ‬‫ـ‬‫ـ‬‫ـ‬‫ﺿ‬‫و‬ ‫ﯾ‬ ‫ﺣ‬ ‫ﻓﻲ‬ ، ‫ـﺎﺑ‬‫ـ‬‫ـ‬‫ـ‬ ‫اﻟ‬ ‫ﺎ‬ ‫ﻟدﯾ‬ ‫أن‬ ‫ﻔرض‬ ‫ﻟ‬ .‫ﺎﻧﻲ‬ ‫اﻟ‬ ‫ﺎر‬ ‫اﻟ‬ ‫دام‬ ‫ـ‬‫ـ‬‫ـ‬‫ـ‬‫ﺳ‬‫ا‬ ‫د‬ ‫ﻋ‬ ‫ﺟدﯾد‬ ‫ر‬ ‫ﻐ‬ ‫ﺔ‬ ‫ﺎﻟ‬ ‫اﻟ‬ ‫اﻟﻔئﺎت‬ ‫ب‬ ‫دﯾد‬ ‫اﻟ‬ ‫ر‬ ‫ﻐ‬ ‫اﻟ‬ ‫ﺔ‬ ‫ﻗ‬ ‫ن‬ ‫ﺗ‬ ‫ث‬ ‫ﻼب‬ ‫اﻟ‬ ‫ن‬‫ز‬ ‫ﻟ‬ ‫ﻔﻲ‬ ‫ﺗ‬ ‫ر‬ ‫ﻐ‬ ‫ﻣ‬ ‫ﺗ‬ ‫ﻓﻲ‬ ‫ﺔ‬ ‫ﻏ‬ ‫اﻟر‬ ‫دﯾد‬ ‫اﻟ‬ ‫ر‬ ‫ﻐ‬ ‫اﻟ‬ ‫ﻗ‬ ‫ﺎﺑ‬ ‫اﻟ‬ ‫ر‬ ‫ﻐ‬ ‫اﻟ‬ ‫ﻗ‬ 50 1 51 60 2 61 70 3 70 4     ‫دﯾد‬ ‫اﻟ‬ ‫ر‬ ‫ﻐ‬ ‫اﻟ‬ ‫ـ‬‫ـ‬‫ـ‬‫ـ‬‫ﺳ‬‫ا‬ ‫ن‬ ‫ـ‬‫ـ‬‫ـ‬‫ـ‬‫ﺳ‬‫و‬ " ‫ن‬‫ز‬ ‫اﻟ‬ ‫ﻓئﺎت‬ " ‫ـﻐط‬‫ـ‬‫ـ‬‫ـ‬ ‫ﺎﻟ‬ ‫و‬ . ‫ﻋﻠﻰ‬ Recode ‫ﺔ‬ ‫ﻗﺎﺋ‬ ‫ﻣ‬ Transform ‫ﺎر‬ ‫اﺧ‬‫و‬ Into Different Variable .‫ﺎﻟﻲ‬ ‫اﻟ‬ ‫ار‬ ‫اﻟ‬ ‫ﻣرﻊ‬ ‫ﻬر‬
  • 22.
    ‫ﺑﺎﺳﺗﺧﺩﺍﻡ‬ ‫ﺍﻻﺣﺻﺎﺋﻲ‬ ‫ﺍﻟﺗﺣﻠﻳﻝ‬ SPSS ‫ﺩ‬ ‫ﺳﻠﻁﺎﻥ‬‫ﺧﻠﻑ‬ . 22 ) 6 - 1 ‫ﺍﻟﺒﻴﺎﻧﺎﺕ‬ ‫ﻟﺘﺠﻬﻴﺰ‬ ‫ﺍﻟﻌﻤﻠﻴﺎﺕ‬ ‫ﺑﻌﺾ‬ (  ‫ﺍﻟﺘﺼﺎﻋﺪﻱ‬ ‫ﺍﻟﺘﺮﺗﻴﺐ‬ ‫ﻹﺟﺮﺍء‬ Sort Ascending ‫ﻭﺍﻟﺘﻨﺎﺯ‬ ‫ﻟﻲ‬ Sort Descending ‫ﻟﻘﻴﻢ‬ ‫ﻣﺘﻐﻴﺮ‬ ‫ﻧﺜﺒﺖ‬ ‫ﻓﻘﻂ‬ ‫ﺍﻟﻤﻄﻠﻮ‬ ‫ﺍﻟﻤﺘﻐﻴﺮ‬ ‫ﺍﺳﻢ‬ ‫ﻋﻨﺪ‬ ‫ﺍﻟﻤﺤﺮﻙ‬ ‫ﻭﻧﻀﻐﻂ‬ ‫ﺗﻨﺎﺯﻟﻴﺎ‬ ‫ﺃﻭ‬ ‫ﺗﺼﺎﻋﺪﻳﺎ‬ ‫ﺗﺮﺗﻴﺒﻪ‬ ‫ﺏ‬ ‫ﻋﻠﻰ‬ ‫ﻓﻴﻈﻬﺮ‬ ‫ﻟﻠﻔﺎﺭﺓ‬ ‫ﺍﻟﻴﻤﻨﻰ‬ ‫ﺍﻟﺠﻬﺔ‬ ‫ﻧ‬ ‫ﺍﺧﺘﻴﺎﺭ‬ ‫ﻳﻤﻜﻦ‬ ‫ﺣﻴﺚ‬ (‫ﺗﻨﺎﺯﻟﻴﺎ‬ ‫ﺃﻭ‬ ‫)ﺗﺼﺎﻋﺪﻳﺎ‬ ‫ﺍﻟﺘﺮﺗﻴﺐ‬ ‫ﻮﻉ‬ ‫ﻓﻲ‬ ‫ﺍﻟﻌﻤﺮ‬ ‫ﺗﺮﺗﻴﺐ‬ ‫ﻳﻤﻜﻦ‬ ‫ﺫﻟﻚ‬ ‫ﻣﺜﺎﻝ‬ ) ‫ﺍﻟﺘﻄﺒﻴﻖ‬ 1 ‫ﺃﻭ‬ ‫ﺗﻨﺎﺯﻟﻴﺎ‬ ( ‫ﺗﺼﺎﻋﺪﻳﺎ‬ .‫ﺃﺑﺠﺪﻳﺎ‬ ‫ﺍﻟﻮﺻﻔﻴﺔ‬ ‫ﺍﻟﻤﺘﻐﻴﺮﺍﺕ‬ ‫ﺗﺮﺗﻴﺐ‬ ‫ﻳﻤﻜﻦ‬ ‫ﻛﻤﺎ‬  ‫ﺍﻟﺼﻔﻮﻑ‬ ‫ﻋﻠﻲ‬ ‫ﻭﻣﻨﻄﻘﻴﺔ‬ ‫ﺣﺴﺎﺑﻴﺔ‬ ‫ﻋﻤﻠﻴﺎﺕ‬ ‫ﺇﺟﺮﺍء‬ ‫ﺧﻼﻝ‬ ‫ﻣﻦ‬ ‫ﺟﺪﻳﺪﺓ‬ ‫ﺃﻋﻤﺪﺓ‬ ‫ﻓﻲ‬ ‫ﺍﻟﻨﺘﻴﺠﺔ‬ ‫ﻭﺗﺨﺰﻳﻦ‬ ‫ﻭﺍﻷﻋﻤﺪﺓ‬ ‫ﺍﻟﻤﺴﺎﺭ‬ compute variable Transform  ‫ﺇﺟﺮﺍء‬ ‫ﻓﻴﻪ‬ ‫ﻳﺘﻢ‬ ‫ﺍﻟﺬﻱ‬ ‫ﺍﻟﺘﺎﻟﻲ‬ ‫ﺍﻟﺤﻮﺍﺭ‬ ‫ﻣﺮﺑﻊ‬ ‫ﻋﻠﻰ‬ ‫ﻓﻨﺤﺼﻞ‬ .‫ﺍﻟﻤﻄﻠﻮﺑﺔ‬ ‫ﺍﻟﻌﻤﻠﻴﺎﺕ‬
  • 23.
    ‫ﺑﺎﺳﺗﺧﺩﺍﻡ‬ ‫ﺍﻻﺣﺻﺎﺋﻲ‬ ‫ﺍﻟﺗﺣﻠﻳﻝ‬ SPSS ‫ﺩ‬ ‫ﺳﻠﻁﺎﻥ‬‫ﺧﻠﻑ‬ . 23 :‫ﻣﻼﺣﻈﺔ‬ ‫ﺍﻟﺤﻮﺍﺭ‬ ‫ﻣﺮﺑﻊ‬ ‫ﻳﺤﺘﻮﻱ‬ Compute Variable ‫ﻋﻠﻰ‬ ‫ﻋﻼﻗﺎﺕ‬ ‫ﻭﺭﻣﻮﺯ‬ ‫ﺣﺴﺎﺑﻴﺔ‬ ‫ﻭﺭﻣﻮﺯ‬ ‫ﺃﺭﻗﺎﻡ‬ ‫ﻋﻠﻰ‬ ‫ﺗﺤﺘﻮﻱ‬ ‫ﺣﺎﺳﺒﺔ‬ ‫ﺁﻟﺔ‬ ‫ﻭﺭ‬ ‫ﻭﺫﻟﻚ‬ ‫ﻳﺪﻭﻳﺔ‬ ‫ﺣﺎﺳﺒﺔ‬ ‫ﺃﻳﺔ‬ ‫ﻣﺜﻞ‬ ‫ﺍﻟﺤﺎﺳﺒﺔ‬ ‫ﻫﺬﻩ‬ ‫ﺍﺳﺘﺨﺪﺍﻡ‬ ‫ﻭﻳﻤﻜﻦ‬ .‫ﻣﻨﻄﻘﻴﺔ‬ ‫ﻣﻮﺯ‬ ‫ﺑﻀﻐﻂ‬ ‫ﺍﻟﺠﺪﻭﻝ‬ ‫ﻭﻳﺒﻴﻦ‬ .‫ﺍﻟﻔﺄﺭﺓ‬ ‫ﺑﺎﺳﺘﺨﺪﺍﻡ‬ ‫ﺍﻟﺰﺭ‬ :‫ﺍﻟﺤﺎﺳﺒﺔ‬ ‫ﺍﻵﻟﺔ‬ ‫ﻓﻲ‬ ‫ﺍﻟﻤﺴﺘﺨﺪﻣﺔ‬ ‫ﺍﻟﺮﻣﻮﺯ‬ ‫ﺍﻟﺘﺎﻟﻲ‬
  • 24.
    ‫ﺑﺎﺳﺗﺧﺩﺍﻡ‬ ‫ﺍﻻﺣﺻﺎﺋﻲ‬ ‫ﺍﻟﺗﺣﻠﻳﻝ‬ SPSS ‫ﺩ‬ ‫ﺳﻠﻁﺎﻥ‬‫ﺧﻠﻑ‬ . 24  ‫ﺍﻟﻤﻔﻘ‬ ‫ﺍﻟﻘﻴﻢ‬ ‫ﻣﻌﺎﻟﺠﺔ‬ :‫ﺍﻟﺘﺎﻟﻲ‬ ‫ﺍﻟﻤﺴﺎﺭ‬ ‫ﺑﺎﺳﺘﺨﺪﺍﻡ‬ ‫ﺫﻟﻚ‬ ‫ﻳﺘﻢ‬ :‫ﻮﺩﺓ‬ .‫ﺍﻟﻤﻔﻘﻮﺩﺓ‬ ‫ﺍﻟﻘﻴﻢ‬ ‫ﻟﻤﻌﺎﻟﺠﺔ‬ ‫ﺁﻟﻴﺔ‬ ‫ﺗﺤﺪﻳﺪ‬ ‫ﻓﻴﻪ‬ ‫ﻳﺘﻢ‬ ‫ﺍﻟﺬﻱ‬ ‫ﺍﻟﺘﺎﻟﻲ‬ ‫ﺍﻟﺤﻮﺍﺭ‬ ‫ﻣﺮﺑﻊ‬ ‫ﻓﻴﻈﻬﺮ‬ ‫ﺍﻟﺤﺴﺎﺑﻴﺔ‬ ‫ﺍﻟﺮﻣﻮﺯ‬ ‫ﺍﻟﻌﻼﻗﺎﺕ‬ ‫ﺭﻣﻮﺯ‬ ‫ﺍﻟﻤﻨﻄﻘﻴﺔ‬ ‫ﺍﻟﺮﻣﻮﺯ‬ ‫ﺍﻟﺮﻣﺰ‬ ‫ﺍﻟﻌﻤﻠﻴﺔ‬ ‫ﺍﻟﺮﻣﺰ‬ ‫ﺍﻟﻌﻤﻠﻴﺔ‬ ‫ﺍﻟﺮﻣﺰ‬ ‫ﺍﻟﻌﻤﻠﻴﺔ‬ + ‫ﺍﻟﺠﻤﻊ‬ < ‫ﻣ‬ ‫ﺍﻗﻞ‬ ‫ﻦ‬ & ‫ﺃﻭ‬ and ‫ﺍﻟﻌﻼﻗﺎﺕ‬ ‫ﺟﻤﻴﻊ‬ ‫ﺗﻜﻮﻥ‬ ‫ﺃﻥ‬ ‫ﻳﺠﺐ‬ ‫ﺻﺤﻴﺤﺔ‬ - ‫ﺍﻟﻄﺮﺡ‬ > ‫ﻣﻦ‬ ‫ﺍﻛﺒﺮ‬ * ‫ﺍﻟﻀﺮﺏ‬ <= ‫ﻳﺴﺎﻭﻱ‬ ‫ﺃﻭ‬ ‫ﺍﻗﻞ‬ | ‫ﺃﻭ‬ or ‫ﺃﻥ‬ ‫ﻳﺠﺐ‬ ‫ﺍﻟﻌﻼﻗﺎﺕ‬ ‫ﻣﻦ‬ ‫ﻭﺍﺣﺪﺓ‬ ‫ﺻﺤﻴﺤﺔ‬ ‫ﺗﻜﻮﻥ‬ / ‫ﺍﻟﻘﺴﻤﺔ‬ >= ‫ﻳﺴﺎﻭﻱ‬ ‫ﺃﻭ‬ ‫ﺍﻛﺒﺮ‬ ** ‫ﺍﻷﺱ‬ = ‫ﻳﺴﺎﻭﻱ‬ ~ ‫ﺃﻭ‬ not ‫ﺍﻟﻨﻔﻲ‬ ‫ﺗﻔﻴﺪ‬ ( ) ‫ﺗﺮﺗﻴﺐ‬ ‫ﺍﻟﻌﻤﻠﻴﺎﺕ‬ ~= ‫ﻳﺴﺎﻭﻱ‬ ‫ﻻ‬
  • 25.
    ‫ﺑﺎﺳﺗﺧﺩﺍﻡ‬ ‫ﺍﻻﺣﺻﺎﺋﻲ‬ ‫ﺍﻟﺗﺣﻠﻳﻝ‬ SPSS ‫ﺩ‬ ‫ﺳﻠﻁﺎﻥ‬‫ﺧﻠﻑ‬ . 25  :‫ﻣﺤﺪﺩ‬ ‫ﺑﺈﻁﺎﺭ‬ ‫ﺍﻟﺪﺭﺍﺳﺔ‬ ‫ﻣﺠﺘﻤﻊ‬ ‫ﻣﻦ‬ ‫ﻋﺸﻮﺍﺋﻴﺔ‬ ‫ﻋﻴﻨﺔ‬ ‫ﺍﺧﺘﻴﺎﺭ‬ ‫ﺍﺳﺘﺨﺪﺍﻡ‬ ‫ﻳﻤﻜﻦ‬ SPSS :‫ﺍﻟﺘﺎﻟﻲ‬ ‫ﺍﻟﻤﺴﺎﺭ‬ ‫ﺧﻼﻝ‬ ‫ﻣﻦ‬ ‫ﻣﺤﺪﺩ‬ ‫ﺇﻁﺎﺭ‬ ‫ﻟﻪ‬ ‫ﻣﺠﺘﻤﻊ‬ ‫ﻣﻦ‬ ‫ﻋﺸﻮﺍﺋﻴﺔ‬ ‫ﻋﻴﻨﺔ‬ ‫ﻟﺘﺤﺪﻳﺪ‬ Data  Select cases  Random sample of cases … :‫ﺍﻵﺗﻴﺔ‬ ‫ﺍﻟﺸﺎﺷﺔ‬ ‫ﻓﺘﻈﻬﺮ‬ ‫ﻋﻠﻰ‬ ‫ﻧﻀﻐﻂ‬ ‫ﺛﻢ‬ sample :‫ﻛﺎﻟﺘﺎﻟﻲ‬ ‫ﺍﻟﻌﻴﻨﺔ‬ ‫ﺣﺠﻢ‬ ‫ﺗﺤﺪﻳﺪ‬ ‫ﻓﻴﻬﺎ‬ ‫ﻳﺘﻢ‬ ‫ﺍﻟﺘﻲ‬ ‫ﺍﻟﺸﺎﺷﺔ‬ ‫ﻓﺘﻈﻬﺮ‬ ‫ﻧﻀﻐﻂ‬ Continue :‫ﻫﻲ‬ ‫ﺣﺎﻻﺕ‬ ‫ﺛﻼﺙ‬ ‫ﻭﻫﻨﺎﻙ‬ ‫ﺍﻟﻨﺘﺎﺋﺞ‬ ‫ﺗﺨﺰﻳﻦ‬ ‫ﻁﺮﻳﻘﺔ‬ ‫ﻻﺧﺘﻴﺎﺭ‬ ‫ﺍﻟﺴﺎﺑﻘﺔ‬ ‫ﻟﻠﺸﺎﺷﺔ‬ ‫ﻓﻨﺮﺟﻊ‬ - Filler out unselected cases ‫ﺣﻴ‬ : ‫ﻣﻠﻒ‬ ‫ﻣﻦ‬ ‫ﺣﺬﻓﻬﺎ‬ ‫ﻋﺪﻡ‬ ‫ﻣﻊ‬ ‫ﺍﻟﻤﺨﺘﺎﺭﺓ‬ ‫ﻏﻴﺮ‬ ‫ﺍﻟﺤﺎﻻﺕ‬ ‫ﺷﻄﺐ‬ ‫ﻫﻨﺎ‬ ‫ﻳﺘﻢ‬ ‫ﺚ‬ ‫ﺍﻟﺒﻴﺎﻧﺎﺕ‬ - Copy selected cases to a new dataset ‫ﺟﺪﻳﺪ‬ ‫ﺑﻴﺎﻧﺎﺕ‬ ‫ﺑﻤﻠﻒ‬ ‫ﺍﻟﻤﺨﺘﺎﺭﺓ‬ ‫ﺍﻟﺤﺎﻻﺕ‬ ‫ﻧﺴﺦ‬ ‫ﻫﻨﺎ‬ ‫ﻳﺘﻢ‬ ‫ﺣﻴﺚ‬ : - Delete unselected cases ‫ﺍﻟﺒﻴﺎﻧﺎﺕ‬ ‫ﻣﻦ‬ ‫ﺗﻤﺎﻣﺎ‬ ‫ﺍﻟﻤﺨﺘﺎﺭﺓ‬ ‫ﻏﻴﺮ‬ ‫ﺍﻟﺤﺎﻻﺕ‬ ‫ﺣﺬﻑ‬ ‫ﻳﺘﻢ‬ ‫ﺣﻴﺚ‬ :
  • 26.
    ‫ﺑﺎﺳﺗﺧﺩﺍﻡ‬ ‫ﺍﻻﺣﺻﺎﺋﻲ‬ ‫ﺍﻟﺗﺣﻠﻳﻝ‬ SPSS ‫ﺩ‬ ‫ﺳﻠﻁﺎﻥ‬‫ﺧﻠﻑ‬ . 26  ‫ﺍﻟﺒﻴ‬ ‫ﻣﻠﻔﺎﺕ‬ ‫ﻋﻠﻰ‬ ‫ﻣﺨﺘﻠﻔﺔ‬ ‫ﻋﻤﻠﻴﺎﺕ‬ ‫ﺎﻧﺎﺕ‬ - ‫ﺟﺪﻳﺪ‬ ‫ﻣﻠﻒ‬ ‫ﻣﻦ‬ ‫ﻗﺪﻳﻢ‬ ‫ﻟﻤﻠﻒ‬ ‫ﺟﺪﻳﺪﺓ‬ ‫ﺣﺎﻻﺕ‬ ‫ﺇﺿﺎﻓﺔ‬ DataMerge Files add cases - ‫ﺟﺪﻳﺪ‬ ‫ﻣﻠﻒ‬ ‫ﻣﻦ‬ ‫ﻗﺪﻳﻢ‬ ‫ﻟﻤﻠﻒ‬ ‫ﺟﺪﻳﺪﺓ‬ ‫ﻣﺘﻐﻴﺮﺍﺕ‬ ‫ﺇﺿﺎﻓﺔ‬ Data Merge Files add variables - ‫ﺍﻟﻤﺘﻐﻴﺮﺍﺕ‬ ‫ﺃﺣﺪ‬ ‫ﺑﺤﺴﺐ‬ ‫ﻣﻠﻔﺎﺕ‬ ‫ﻋﺪﺓ‬ ‫ﺍﻟﻰ‬ ‫ﻗﺪﻳﻢ‬ ‫ﻣﻠﻒ‬ ‫ﻓﺼﻞ‬ Data split into files ‫ﺗﺪﺭﻳﺐ‬ ) 1 ( ‫ﺍﻟﻤ‬ ‫ﻓﻲ‬ ‫ﺍﻟﺒﻴﺎﻧﺎﺕ‬ ‫ﺍﺳﺘﺨﺪﻡ‬ ‫ﻠﻒ‬ Application1.xls ‫ﺍﻟﻘﻴﻢ‬ ‫ﺍﺳﺘﻜﻤﺎﻝ‬ ‫ﻋﻠﻰ‬ ‫ﻭﺍﻟﺘﺪﺭﻳﺐ‬ ‫ﻋﺸﻮﺍﺋﻴﺔ‬ ‫ﻋﻴﻨﺔ‬ ‫ﺍﺧﺘﻴﺎﺭ‬ ‫ﻋﻠﻰ‬ ‫ﻟﻠﺘﺪﺭﻳﺐ‬ .‫ﺍﻟﻤﻔﻘﻮﺩﺓ‬ ‫ﻣﺘﻐﻴﺮﺍﺕ‬ ‫ﺍﻭ‬ ‫ﺣﺎﻻﺕ‬ ‫ﺇﺿﺎﻓﺔ‬ ‫ﺍﻭ‬ ‫ﺍﻟﻤﻠﻒ‬ ‫ﻓﺼﻞ‬ ‫ﻋﻠﻰ‬ ‫ﻭﻛﺬﻟﻚ‬ ) 7 - 1 ‫ﺍﻟﻨﺘﺎﺋﺞ‬ ‫ﻋﺮﺽ‬ ‫ﺷﺎﺷﺔ‬ ( ‫ﺍﻟﺒﻴﺎﻧﺎﺕ‬ ‫ﻣﺤﺮﺭ‬ ‫ﺷﺎﺷﺔ‬ ‫ﻓﻲ‬ ‫ﺍﻟﻨﺘﺎﺋﺞ‬ ‫ﺍﺳﺘﻘﺒﺎﻝ‬ ‫ﺍﻟﺴﺎﺑﻘﺔ‬ ‫ﺍﻟﻌﻤﻠﻴﺎﺕ‬ ‫ﻣﻌﻈﻢ‬ ‫ﻓﻲ‬ ‫ﺗﻢ‬ ‫ﺍﻵﻥ‬ ‫ﺣﺘﻰ‬ ،‫ﻧﻔﺴﻬﺎ‬ ‫ﺍﻟﺘﻄ‬ ‫ﺑﻌﺾ‬ ‫ﻓﻲ‬ ‫ﻭﻟﻜﻦ‬ ‫ﺒﻴﻘﺎﺕ‬ ‫ﺗﺤﺘﺎﺝ‬ ‫ﺍﻟﻨﺘﺎﺋﺞ‬ ‫ﻛﺎﻧﺖ‬ ‫ﺇﺫﺍ‬ ‫ﺗﻠﻘﺎﺋﻴﺎ‬ ‫ﺗﻈﻬﺮ‬ ‫ﺍﻟﺸﺎﺷﺔ‬ ‫ﻫﺬﻩ‬ .‫ﺍﻟﻨﺘﺎﺋﺞ‬ ‫ﻋﺮﺽ‬ ‫ﺷﺎﺷﺔ‬ ‫ﺗﺴﻤﻰ‬ ‫ﺑﺬﻟﻚ‬ ‫ﺧﺎﺻﺔ‬ ‫ﺷﺎﺷﺔ‬ ‫ﻓﻲ‬ ‫ﺍﻟﺒﻴﺎﻧﺎﺕ‬ ‫ﺗﻈﻬﺮ‬ ‫ﺍﻟﺘﻘﺮﻳﺮ‬ ‫ﺇﻋﺪﺍﺩ‬ ‫ﺃﺛﻨﺎء‬ ‫ﻭﻭﺭﺩ‬ ‫ﻟﻤﻠﻒ‬ ‫ﻭﻟﺼﻖ‬ ‫ﻧﺴﺦ‬ ‫ﺃﻭ‬ ‫ﺍﻛﺴﻞ‬ ‫ﻭﺭﻗﺔ‬ ‫ﺇﻟﻰ‬ ‫ﺍﻟﻨﺘﺎﺋﺞ‬ ‫ﺗﺼﺪﻳﺮ‬ ‫ﻳﻤﻜﻦ‬ ‫ﻭﻣﻨﻬﺎ‬ ‫ﺟﺪﻳﺪﺓ‬ ‫ﻟﺸﺎﺷﺔ‬ .‫ﻟﻠﺪﺭﺍﺳﺔ‬ ‫ﺍﻹﺣﺼﺎﺋﻲ‬
  • 27.
    ‫ﺑﺎﺳﺗﺧﺩﺍﻡ‬ ‫ﺍﻻﺣﺻﺎﺋﻲ‬ ‫ﺍﻟﺗﺣﻠﻳﻝ‬ SPSS ‫ﺩ‬ ‫ﺳﻠﻁﺎﻥ‬‫ﺧﻠﻑ‬ . 27 ‫ﺗ‬ ‫ﻄﺒﻴﻖ‬ ) 2 ( ‫ﺗﻮﺯﻳﻊ‬ ‫ﺍﻟﻤﻄﻠﻮﺏ‬ ‫ﺍﻻﺳﺘﺒﺎﻧﺔ‬ ‫ﺍﻟﺘﺎﻟﻴﺔ‬ ‫ﻣﻔﺮﺩﺍﺗﻬﺎ‬ ‫ﻋﺪﺩ‬ ‫ﻋﻴﻨﺔ‬ ‫ﻋﻠﻰ‬ 40 ‫ﻣﻦ‬ ‫ﺍﻟﻤﺘﺪﺭﺑﻴﻦ‬ ‫ﻓﻲ‬ ‫ﻭﺗﻔﺮﻳﻐﻬﺎ‬ SPSS . ‫ﺍﺳﺘﺒﻴﺎﻥ‬ :(‫)ﺍﺧﺘﻴﺎﺭﻱ‬ ‫ﺍﻻﺳﻢ‬ :‫ﺷﺨﺼﻴﺔ‬ ‫ﻣﻌﻠﻮﻣﺎﺕ‬ :‫ﺃﻭﻻ‬ 1 - ‫ﺍﻟﻤ‬ ‫ﺍﻟﺪﺭﺍﺳﻲ‬ ‫ﺴﺘﻮﻯ‬ : 1 ‫ﺍﻻﻭﻝ‬ 2 ‫ﺍﻟﺜﺎﻧﻲ‬ 3 ‫ﺍﻟﺜﺎﻟﺚ‬ 4 ‫ﺍﻟﺮﺍﺑﻊ‬ 5 ‫ﺍﻟﺨﺎﻣﺲ‬ 6 ‫ﺍﻟﺴﺎﺩﺱ‬ 7 ‫ﺍﻟﺴﺎﺑﻊ‬ 8 ‫ﺍﻟﺜﺎﻣﻦ‬ 2 - ‫ﺍﻟﻌﻤﺮ‬ : 1 ‫ﻣﻦ‬ ‫ﺍﻗﻞ‬ 20 2 20 - 25 3 26 ‫ﻓﺎﻛﺜﺮ‬ 3 - ‫ﺍﻟ‬ ‫ﻤ‬ ‫ﺍﻟﺘﺮﺍﻛﻤ‬ ‫ﻌﺪﻝ‬ ‫ﻲ‬ ‫ﺍﻟﺘﺮﺍﻛﻤ‬ ‫ﺍﻟﻤﻌﺪﻝ‬ ‫ﻲ‬ ‫ﺍﻟﺤﺎﻟﻲ‬ ‫ﺍﻟﺘﺮﺍﻛﻤ‬ ‫ﺍﻟﻤﻌﺪﻝ‬ ‫ﻲ‬ ‫ﺍﻟﺴﺎﺑﻖ‬ ‫ﺍﻟﻌﺎﻡ‬ ‫ﺍﻻﺳﺘﺒﻴﺎﻥ‬ ‫ﻣﺤﺎﻭﺭ‬ :‫ﺛﺎﻧﻴﺎ‬ ‫ﺣﺪﺩ‬ ‫)ﻓﻀﻼ‬ ‫ﺭﺃﻳﻚ‬ ‫ﺍﻣﺎﻡ‬ ‫ﻛﻞ‬ (‫ﻓﻘﺮﺓ‬ ‫ﺃﻭﺍﻓﻖ‬ ‫ﺑﺸﺪﺓ‬ ‫ﺃﻭﺍﻓﻖ‬ ‫ﻣﺤﺎﻳﺪ‬ ‫ﺍﺭﻓﺾ‬ ‫ﺍﺭﻓﻖ‬ ‫ﺑﺸﺪﺓ‬ ‫ﺍﻟﻔﻘﺮﺓ‬ ‫ﻡ‬ ‫ﺍﺳﺘﺨﺪﺍﻡ‬ ‫ﺩﺭﺍﺳﺘﻲ‬ ‫ﻓﻲ‬ ‫ﻳﺴﺎﻋﺪﻧﻲ‬ ‫ﺍﻻﻧﺘﺮﻧﺖ‬ 1 ‫ﻣﺸﻜﻼﺕ‬ ‫ﻣﻨﺎﻗﺸﺔ‬ ‫ﺍﻟﺪﺍﺭﺳﺔ‬ ‫ﻣﻊ‬ ‫ﺍ‬ ‫ﺍﻟﻤﺮﺷﺪ‬ ‫ﻻﻛﺎﺩﻳﻤﻲ‬ ‫ﺣﻠﻬ‬ ‫ﻓﻲ‬ ‫ﻳﺴﺎﻋﺪ‬ ‫ﺎ‬ 2 ‫ﺍﻟﺤﺪﻳﺜﺔ‬ ‫ﺍﻟﺘﻮﺍﺻﻞ‬ ‫ﻭﺳﺎﺋﻞ‬ ‫ﺍﺳﺘﺨﺪﺍﻡ‬ ‫ﻳﺴﺎﻋﺪ‬ ‫ﻓﻲ‬ ‫ﺍﻟﺪﺭﺍﺳﺔ‬ 3 ‫ﺍﻟﺘﺪﺭﻳﺲ‬ ‫ﻗﺎﻋﺎﺕ‬ ‫ﺩﺍﺧﻞ‬ ‫ﺍﻟﺘﻘﻮﻳﻢ‬ ‫ﺃﺳﺎﻟﻴﺐ‬ ‫ﺍﻟﻄﺎﻟﺐ‬ ‫ﺗﻔﻴﺪ‬ 4
  • 28.
    ‫ﺑﺎﺳﺗﺧﺩﺍﻡ‬ ‫ﺍﻻﺣﺻﺎﺋﻲ‬ ‫ﺍﻟﺗﺣﻠﻳﻝ‬ SPSS ‫ﺩ‬ ‫ﺳﻠﻁﺎﻥ‬‫ﺧﻠﻑ‬ . 28 ‫ﺍﻟﺘﻨﻔﻴﺬ‬ ‫ﻁﺮﻳﻘﺔ‬ : 1 - :‫ﻟﻠﻤﺘﻐﻴﺮﺍﺕ‬ ‫ﺍﻟﺘﺮﻣﻴﺰ‬ ‫ﺑﻌﻤﻠﻴﺔ‬ ‫ﻧﻘﻮﻡ‬ :‫ﺃﻭﻻ‬ ‫ﺍﻟ‬ ‫ﻣﺘﻐﻴﺮ‬ ‫ﺍﻟﺪﺭﺍﺳﻲ‬ ‫ﻤﺴﺘﻮﻯ‬ : 1 ‫ﺍﻟﻲ‬ 8 ‫ﺍﻟﺪﺭﺍﺳﻲ‬ ‫ﺍﻟﻤﺴﺘﻮﻯ‬ :‫ﺛﺎﻧﻴﺎ‬ ‫ﺍﻟﻌﻤﺮ‬ ‫ﺃﻛ‬ ‫ﻣﻦ‬ ‫ﺜﺮ‬ 26 20 - 25 ‫ﻣﻦ‬ ‫ﺍﻗﻞ‬ 20 ‫ﺍﻟﺨﺒﺮﺓ‬ 3 2 1 ‫ﺍﻟﺘﺼﻨﻴﻒ‬ ‫ﺑﻴﺎﻧﺎﺕ‬ ‫ﺗﻔﺮﻳﻎ‬ ‫ﻳﺘﻢ‬ :‫ﺛﺎﻟﺜﺎ‬ ‫ﺍﻷﺳﺌﻠﺔ‬ :‫ﺍﻟﺘﺎﻟﻲ‬ ‫ﻟﻠﺘﺼﻨﻴﻒ‬ ً‫ﺎ‬‫ﻭﻓﻘ‬ ‫ﺍﻟﺘﺼﻨﻴﻒ‬ ‫ﺑﺸﺪﺓ‬ ‫ﻣﻮﺍﻓﻖ‬ ‫ﻣﻮﺍﻓﻖ‬ ‫ﻣﺤﺎﻳﺪ‬ ‫ﻣﻌﺎﺭﺽ‬ ‫ﺑﺸﺪﺓ‬ ‫ﻣﻌﺎﺭﺽ‬ ‫ﺍﻟﺪﺭﺟﺔ‬ 5 4 3 2 1 2 - :‫ﻛﺎﻟﺘﺎﻟﻲ‬ ‫ﺍﻟﺪﺭﺍﺳﺔ‬ ‫ﺃﺳﺌﻠﺔ‬ ‫ﻟﻤﺘﻐﻴﺮﺍﺕ‬ ‫ﺃﺳﻤﺎء‬ ‫ﻧﻌﻄﻲ‬ Age, GPA_now , GPA_last year ، Level ، Q4, Q3,Q2, Q1 3 - ‫ﻧﺤﺪﺩ‬ :‫ﻛﺎﻟﺘﺎﻟﻲ‬ ‫ﺍﻟﻤﺘﻐﻴﺮﺍﺕ‬ ‫ﻭﺻﻒ‬ ‫؟؟؟؟؟‬ :‫ﻛﺎﻟﺘﺎﻟﻲ‬ ‫ﺍﻟﻤﺘﻐﻴﺮﺍﺕ‬ ‫ﻣﺤﺮﺭ‬ ‫ﺷﺎﺷﺔ‬ ‫ﺗﻈﻬﺮ‬ ‫ﺍﻟﺒﻴﺎﻧﺎﺕ‬ ‫ﺗﻔﺮﻳﻎ‬ ‫ﺑﻌﺪ‬
  • 29.
    ‫ﺑﺎﺳﺗﺧﺩﺍﻡ‬ ‫ﺍﻻﺣﺻﺎﺋﻲ‬ ‫ﺍﻟﺗﺣﻠﻳﻝ‬ SPSS ‫ﺩ‬ ‫ﺳﻠﻁﺎﻥ‬‫ﺧﻠﻑ‬ . 29 ‫ﻋﻠﻰ‬ ‫ﺑﺎﻟﻀﻐﻂ‬ ‫ﺍﻟﺘﺮﻣﻴﺰ‬ ‫ﺑﺎﺳﺘﺨﺪﺍﻡ‬ ‫ﺍﻟﺘﻔﺮﻳﻎ‬ ‫ﺑﻌﺪ‬ ‫ﺍﻟﺒﻴﺎﻧﺎﺕ‬ ‫ﺗﺤﻮﻳﻞ‬ ‫ﻭﻳﻤﻜﻦ‬ - ‫ﺍﻭﻝ‬ 20 ‫ﺑﻴﺎﻥ‬ :‫ﻛﺎﻟﺘﺎﻟﻲ‬ ‫ﺑﻚ‬ ‫ﺧﺎﺹ‬ ‫ﺍﺧﺘﻴﺎﺭﻱ‬ ‫ﺑﺎﺳﻢ‬ ‫ﺍﻟﻤﻠﻒ‬ ‫ﺗﺨﺰﻳﻦ‬ ‫ﺗﻨﺴﻰ‬ ‫ﻻ‬ :‫ﻣﻼﺣﻈﺔ‬ . ) ‫ﺗﻄﺒﻴﻖ‬ 1 ( : ‫ﺍﻟﻤﻠﻒ‬ ‫ﺑﻴﺎﻧﺎﺕ‬ ‫ﺣﻠﻞ‬ questionnaire.sav ‫ﻣﺴﺘﺨﺪﻣﺎ‬ ‫ﻟﻴﻜﺮﺕ‬ ‫ﻣﻘﻴﺎﺱ‬ Likert Scale :‫ﺍﻟﺘﺎﻟﻲ‬ ‫ﺍﻟﻨﺤﻮ‬ ‫ﻋﻠﻰ‬ ‫ﺍﻟﺛﻼﺛﻲ‬ ‫ﻟﻳﻛﺭﺕ‬ ‫ﻣﻘﻳﺎﺱ‬ ‫ﺗﺣﻠﻳﻝ‬ ‫ﻣﺅﺷﺭﺍﺕ‬ ‫ﻣﻭﺍﻓﻖ‬ ‫ﻏﻳﺭ‬ 1‐1.66 ‫ﺍﺩﺭ‬ ‫ﻻ‬ ‫ﻱ‬ 1.67‐2.33 ‫ﻣﻭﺍﻓﻖ‬ 2.34‐3 ‫ﺍﻟﺧﻣﺎﺳﻲ‬ ‫ﻟﻳﻛﺭﺕ‬ ‫ﻣﻘﻳﺎﺱ‬ ‫ﺗﺣﻠﻳﻝ‬ ‫ﻣﺅﺷﺭﺍﺕ‬ ‫ﺑﺷﺩﺓ‬ ‫ﻣﻭﺍﻓﻖ‬ ‫ﻏﻳﺭ‬ 1‐1.79 ‫ﻣﻭﺍﻓﻖ‬ ‫ﻏﻳﺭ‬ 1.80‐2.59 ‫ﺍﺩﺭ‬ ‫ﻻ‬ ‫ﻱ‬ 2.60‐3.39 ‫ﻣﻭﺍﻓﻖ‬ 3.4‐4.19 ‫ﺑﺷﺩﺓ‬ ‫ﻣﻭﺍﻓﻖ‬ 4.20‐5
  • 30.
    ‫ﺑﺎﺳﺗﺧﺩﺍﻡ‬ ‫ﺍﻻﺣﺻﺎﺋﻲ‬ ‫ﺍﻟﺗﺣﻠﻳﻝ‬ SPSS ‫ﺩ‬ ‫ﺳﻠﻁﺎﻥ‬‫ﺧﻠﻑ‬ . 30 ‫ﺍﺳﺘﺒﻴﺎﻥ‬ :(‫)ﺍﺧﺘﻴﺎﺭﻱ‬ ‫ﺍﻻﺳﻢ‬ :‫ﺷﺨﺼﻴﺔ‬ ‫ﻣﻌﻠﻮﻣﺎﺕ‬ :‫ﺃﻭﻻ‬ 1 - ‫ﺍﻟﻤ‬ :‫ﺍﻟﻌﻠﻤﻴﺔ‬ ‫ﺮﺗﺒﺔ‬ 1 ‫ﻣﺴﺎﻋﺪ‬ ‫ﺃﺳﺘﺎﺫ‬ 2 ‫ﻣﺸﺎﺭﻙ‬ ‫ﺃﺳﺘﺎﺫ‬ 3 ‫ﺍﺳﺘﺎﺫ‬ 2 - :‫ﺍﻟﺘﺪﺭﻳﺴﻴﺔ‬ ‫ﺍﻟﺨﺒﺮﺓ‬ 1 ‫ﻣﻦ‬ ‫ﺍﻗﻞ‬ 5 ‫ﺳﻨﻮﺍﺕ‬ 2 5 - 10 ‫ﺳﻨ‬ ‫ﻮﺍﺕ‬ 3 ‫ﻣﻦ‬ ‫ﺃﻛﺜﺮ‬ 10 ‫ﺳﻨﻮﺍﺕ‬ 3 - ‫ﺍﻟﺮﺍﺗﺐ‬ ‫ﺍﻟﻌ‬ ‫ﺑﺪﺍﻳﺔ‬ ‫ﻋﻨﺪ‬ ‫ﻤﻞ‬ ‫ﺍﻟﺤﺎﻟﻲ‬ ‫ﺍﻟﺮﺍﺗﺐ‬ ‫ﺍﻻﺳﺘﺒﻴﺎﻥ‬ ‫ﻣﺤﺎﻭﺭ‬ :‫ﺛﺎﻧﻴﺎ‬ ‫ﺣﺪﺩ‬ ‫)ﻓﻀﻼ‬ ‫ﺭﺃﻳﻚ‬ ‫ﻛﻞ‬ ‫ﺍﻣﺎﻡ‬ (‫ﻓﻘﺮﺓ‬ ‫ﻣﻌﺎﺭﺽ‬ ‫ﺑﺸﺪﺓ‬ ‫ﻣﻌﺎﺭﺽ‬ ‫ﻣﺤﺎﻳﺪ‬ ‫ﻣﻮﺍﻓﻖ‬ ‫ﻣﻮﺍﻓﻖ‬ ‫ﺑﺸﺪﺓ‬ ‫ﺍﻟﻔﻘﺮﺓ‬ ‫ﻡ‬ ‫ﺍﺳﺘﺨﺪﺍﻡ‬ ‫ﻭﻅﻴﻔﺘﻲ‬ ‫ﻣﻬﺎﻡ‬ ‫ﻓﻲ‬ ‫ﻳﺴﺎﻋﺪ‬ ‫ﺍﻻﻧﺘﺮﻧﺖ‬ 1 ‫ﻳﺴﺎﻋﺪ‬ ‫ﺍﻟﺘﻮﺍﺻﻞ‬ ‫ﻭﺳﺎﺋﻞ‬ ‫ﺍﺳﺘﺨﺪﺍﻡ‬ ‫ﻓﻲ‬ ‫ﺍﻟﻌﻠﻤﻲ‬ ‫ﺍﻟﺒﺤﺚ‬ 2 ‫ﺍ‬ ‫ﻗﺎﻋﺎﺕ‬ ‫ﺩﺍﺧﻞ‬ ‫ﺍﻟﺘﻘﻮﻳﻢ‬ ‫ﺃﺳﺎﻟﻴﺐ‬ ‫ﻟﺘﺪﺭﻳﺲ‬ ‫ﺍﻟﻄﺎﻟﺐ‬ ‫ﺗﻔﻴﺪ‬ 3 ‫ﺍﻻﺳﺘﺒﺎﻧﺎﺕ‬ ‫ﺻﻼﺣﻴﺔ‬ ‫ﺩﺭﺍﺳﺔ‬ ‫ﻳﻤﻜﻦ‬ :‫ﻣﻼﺣﻈﺔ‬ Questionnaire Reliability Analysis
  • 31.
    ‫ﺑﺎﺳﺗﺧﺩﺍﻡ‬ ‫ﺍﻻﺣﺻﺎﺋﻲ‬ ‫ﺍﻟﺗﺣﻠﻳﻝ‬ SPSS ‫ﺩ‬ ‫ﺳﻠﻁﺎﻥ‬‫ﺧﻠﻑ‬ . 31 ‫ﺍﻟﺜﺎﻧﻲ‬ ‫ﺍﻟﺠﺰء‬ ‫ﺑﺎﺳﺘﺨﺪﺍﻡ‬ ‫ﺍﻟﻮﺻﻔﻲ‬ ‫ﺍﻹﺣﺼﺎء‬ SPSS ) 2 - 1 ( ‫ﻟﻠﻤﺘﻐﻴﺮﺍﺕ‬ ‫ﺍﻹﺣﺼﺎﺋﻴﺔ‬ ‫ﺍﻟﻤﻘﺎﻳﻴﺲ‬ ‫ﺇﻳﺠﺎﺩ‬ 1 ‫ﺍﻟﻤﺮﻛﺰﻳﺔ‬ ‫ﺍﻟﻨﺰﻋﺔ‬ ‫ﻣﻘﺎﻳﻴﺲ‬ . (Measures of Central Tendency) - ‫ﺍﻟﺤﺴﺎﺑﻲ‬ ‫ﺍﻟﻮﺳﻂ‬ mean ‫ﻫﻮ‬ ‫ﻋﻦ‬ ‫ﻭﻋﺒﺎﺭﺓ‬ ‫ﻟﻠﺒﻴﺎﻧﺎﺕ‬ ‫ﺟﻴﺪ‬ ‫ﻣﻤﺜﻞ‬ .‫ﻋﺪﺩﻫﺎ‬ ‫ﻋﻠﻰ‬ ‫ﺍﻟﻌﺪﺩﻳﺔ‬ ‫ﺍﻟﻤﺸﺎﻫﺪﺍﺕ‬ ‫ﻣﺠﻤﻮﻉ‬ ‫ﺗﻘﺴﻴﻢ‬ - ‫ﺍﻟﻮﺳﻴﻂ‬ Median ‫ﻟﻠﺒﻴﺎﻧﺎﺕ‬ ‫ﻣﻜﺎﻧﻲ‬ ‫ﻣﺘﻮﺳﻂ‬ ‫ﻫﻮ‬ ‫ﺣ‬ ‫ﻳﻤﺜﻞ‬ ‫ﻴﺚ‬ ‫ﻋﻨﻬﺎ‬ ‫ﻳﻘﻞ‬ ‫ﺍﻟﺘﻲ‬ ‫ﺍﻟﻘﻴﻤﺔ‬ 50 ‫ﺍﻟﻌﻴﻨﺔ‬ ‫ﻣﻔﺮﺩﺍﺕ‬ ‫ﻣﻦ‬ % ‫ﺗﺼﺎﻋﺪﻳﺎ‬ ‫ﺍﻟﻤﺮﺗﺒﺔ‬ . - ‫ﺍﻟﻤﻨﻮﺍﻝ‬ Mode: ‫ﻫﻮ‬ .‫ﺗﻜﺮﺍﺭﺍ‬ ‫ﺍﻷﻛﺜﺮ‬ ‫ﺍﻟﻘﻴﻤﺔ‬ 2 ‫ﺍﻟﺘﺸﺘﺖ‬ ‫ﻣﻘﺎﻳﻴﺲ‬ . (Measures of Dispersion) - ‫ﺍﻟﻤﻌﻴﺎﺭﻱ‬ ‫ﺍﻻﻧﺤﺮﺍﻑ‬ Standard Deviation ‫ﺍﻟ‬ ‫ﺗﺸﺘﺖ‬ ‫ﻣﻘﺪﺍﺭ‬ ‫ﻤﺸﺎﻫﺪﺍﺕ‬ ‫ﻋﻦ‬ ‫ﻣﻘﺎﺳﺎ‬ ‫ﺍﻟﺤﺴﺎﺑﻲ‬ ‫ﻭﺳﻄﻬﺎ‬ .‫ﻧﻔﺴﻬﺎ‬ ‫ﺍﻟﻤﺘﻐﻴﺮ‬ ‫ﺑﻮﺣﺪﺍﺕ‬ - ‫ﺍﻟﺘﺒﺎﻳﻦ‬ Variance ‫ﺍﻟﻤﻌﻴﺎﺭﻱ‬ ‫ﺍﻻﻧﺤﺮﺍﻑ‬ ‫ﻣﺮﺑﻊ‬ - ‫ﺍﻟﻤﺪﻯ‬ Range ‫ﺑﻴﻦ‬ ‫ﺍﻟﻔﺮﻕ‬ ‫ﺃ‬ ‫ﻭ‬ ‫ﻗﻴﻤﺔ‬ ‫ﻛﺒﺮ‬ ‫ﺃ‬ ‫ﺻﻐﺮ‬ ‫ﺍﻟﺒﻴﺎﻧﺎﺕ‬ ‫ﻓﻲ‬ ‫ﻣﺸﺎﻫﺪﺓ‬ . - ‫ﻗﻴﻤﺔ‬ ‫ﺍﻗﻞ‬ Minimum - ‫ﺃﻛﺒﺮ‬ ‫ﻗﻴﻤﺔ‬ Maximum - ‫ﺍ‬ ‫ﺍﻟﻤﻌﻴﺎﺭﻱ‬ ‫ﻟﺨﻄﺄ‬ S.E.mean ‫ﻓﻲ‬ ‫ﺍﻟﻤﻮﺟﻮﺩ‬ ‫ﺍﻟﺨﻄﺄ‬ ‫ﻣﻘﺪﺍﺭ‬ ‫ﺗﻘﺪﻳﺮ‬ ‫ﺍﻟﺤﺴﺎﺑﻲ‬ ‫ﺍﻟﻮﺳﻂ‬ ‫ﻋﻴﻨﺔ‬ ‫ﺑﺎﺳﺘﺨﺪﺍﻡ‬ ‫ﻟ‬ ‫ﻛﺘﻘﺪﻳﺮ‬ ‫ﺍﻟﺤﺴﺎﺑﻲ‬ ‫ﺍﻟﻮﺳﻂ‬ ‫ﺩﻗﺔ‬ ‫ﻋﻠﻰ‬ ‫ﺩﻻﻟﺔ‬ ‫ﻭﻫﻮ‬ ‫ﻠ‬ ‫ﻮﺳﻂ‬ ‫ﺍﻟﺤﺴﺎﺑﻲ‬ .‫ﺍﻟﻤﺠﺘﻤﻊ‬ 3 ‫ﺍﻟﺘﻮﺯﻳﻊ‬ ‫ﺷﻜﻞ‬. Distribution shape - ‫ﺍﻻﻟﺘﻮﺍء‬ Skewness : ‫ﻳﻌﻄﻰ‬ ‫ﺗﻤﺮﻛﺰ‬ ‫ﻋﻦ‬ ‫ﻓﻜﺮﺓ‬ ‫ﺍﻻﻟﺘﻮﺍء‬ ‫ﻣﻘﻴﺎﺱ‬ ‫ﻣﺸﺎﻫﺪﺍﺕ‬ ‫ﻛ‬ ‫ﻣﺎ‬ ‫ﻓﺈﺫﺍ‬ ‫ﺍﻟﻤﺘﻐﻴﺮ‬ ‫ﻫﺬﺍ‬ ‫ﻗﻴﻢ‬ ‫ﺎﻧﺖ‬ ‫ﻧﺤﻮ‬ ‫ﻣﻠﺘﻮ‬ ‫ﺍﻟﻤﺘﻐﻴﺮ‬ ‫ﻫﺬﺍ‬ ‫ﺗﻮﺯﻳﻊ‬ ‫ﻓﺎﻥ‬ ‫ﺍﻟﻜﺒﻴﺮﺓ‬ ‫ﺍﻟﻘﻴﻢ‬ ‫ﺑﺎﺗﺠﺎﻩ‬ ‫ﺗﻤﺮﻛﺰﻫﺎ‬ ‫ﻣﻦ‬ ‫ﺃﻛﺜﺮ‬ ‫ﺍﻟﺼﻐﻴﺮﺓ‬ ‫ﺍﻟﻘﻴﻢ‬ ‫ﺑﺎﺗﺠﺎﻩ‬ ‫ﺗﺘﻤﺮﻛﺰ‬ ‫ﺍﻟﻤﺘﻐﻴﺮ‬ ً‫ﺎ‬‫ﺳﺎﻟﺒ‬ ‫ﻳﻜﻮﻥ‬ ‫ﺍﻻﻟﺘﻮﺍء‬ ‫ﻫﺬﺍ‬ ‫ﻓﺎﻥ‬ ‫ﺍﻟﻌﻜﺲ‬ ‫ﻛﺎﻥ‬ ‫ﺇﺫﺍ‬ ‫ﺃﻣﺎ‬ .‫ﻣﻮﺟﺒﺔ‬ ‫ﺍﻻﻟﺘﻮﺍء‬ ‫ﻗﻴﻤﺔ‬ ‫ﻭﺗﻜﻮﻥ‬ ‫ﺍﻻﻟﺘﻮﺍء‬ ‫ﻣﻮﺟﺐ‬ ‫ﻭﻳﺴﻤﻰ‬ ‫ﺍﻟﻴﻤﻴﻦ‬ ‫ﺍﻻﻟﺘﻮﺍء‬ ‫ﻗﻴﻤﺔ‬ ‫ﻭﺗﻜﻮﻥ‬ ‫ﺍﻟﻴﺴﺎﺭ‬ ‫ﻧﺤﻮ‬ ٍ‫ﻮ‬‫ﻣﻠﺘ‬ ‫ﺃﻭ‬ ‫ﻳﻜﻮﻥ‬ ‫ﺍﻟﺘﻮﺯﻳﻊ‬ ‫ﻓﺎﻥ‬ ً‫ﺍ‬‫ﺻﻔﺮ‬ ‫ﺍﻻﻟﺘﻮﺍء‬ ‫ﻣﻌﺎﻣﻞ‬ ‫ﻗﻴﻤﺔ‬ ‫ﻛﺎﻧﺖ‬ ‫ﺇﺫﺍ‬ ‫ﺃﻣﺎ‬ .‫ﺳﺎﻟﺒﺔ‬ .ً‫ﺎ‬‫ﻁﺒﻴﻌﻴ‬
  • 32.
    ‫ﺑﺎﺳﺗﺧﺩﺍﻡ‬ ‫ﺍﻻﺣﺻﺎﺋﻲ‬ ‫ﺍﻟﺗﺣﻠﻳﻝ‬ SPSS ‫ﺩ‬ ‫ﺳﻠﻁﺎﻥ‬‫ﺧﻠﻑ‬ . 32 - ‫ﺃﻭ‬ ‫ﺍﻟﺘﻔﻠﻄﺢ‬ ‫ﺍﻟﺘﻔﺮﻁﺢ‬ Kurtosis ‫ﺩﺭﺟﺔ‬ ‫ﺃﻳﻀﺎ‬ ‫ﻳﻤﺜﻞ‬ ‫ﻫﻮ‬ ‫ﻭ‬ ‫ﺍﻟﻤﺘﻐﻴﺮ‬ ‫ﻫﺬﺍ‬ ‫ﻁﺮﻓﻲ‬ ‫ﻋﻠﻰ‬ ‫ﺍﻟﻘﻴﻢ‬ ‫ﺗﻜﺮﺍﺭﺍﺕ‬ ‫ﻳﻤﺜﻞ‬ : ‫ﻗﻴﻤﺔ‬ ‫ﻛﺎﻧﺖ‬ ‫ﻓﺈﺫﺍ‬ .‫ﺍﻟﻄﺒﻴﻌﻲ‬ ‫ﻟﻠﺘﻮﺯﻳﻊ‬ ‫ﺑﺎﻟﻨﺴﺒﺔ‬ ‫ﺍﻟﺘﻮﺯﻳﻊ‬ ‫ﻗﻤﺔ‬ ‫ﻋﻠﻮ‬ ‫ﺍﻟﺘﻔﻠﻄﺢ‬ ‫ﻣﻨﺨ‬ ‫ﻗﻤﺔ‬ ‫ﻟﻠﺘﻮﺯﻳﻊ‬ ‫ﻛﺎﻧﺖ‬ ‫ﻛﺒﻴﺮﺓ‬ ‫ﻔﻀﺔ‬ ‫ﻭﻳﺴﻤﻰ‬ ‫ﺃﻭ‬ ‫ﻣﺪﺑﺒﺎ‬ ‫ﺍﻟﺘﻮﺯﻳﻊ‬ ‫ﻭﻳﺴﻤﻰ‬ ‫ﻋﺎﻟﻴﺔ‬ ‫ﻗﻤﺔ‬ ‫ﻟﻠﺘﻮﺯﻳﻊ‬ ‫ﻓﺎﻥ‬ ‫ﺻﻐﻴﺮﺓ‬ ‫ﺍﻟﺘﻔﻠﻄﺢ‬ ‫ﻗﻴﻤﺔ‬ ‫ﻛﺎﻧﺖ‬ ‫ﺇﺫﺍ‬ ‫ﺇﻣﺎ‬ ،‫ﺍﻟﺘﻔﻠﻄﺢ‬ ‫ﻛﺒﻴﺮ‬ ‫ﺍﻟﺘﻮﺯﻳﻊ‬ .‫ﺍﻟﺘﻔﻠﻄﺢ‬ ‫ﻗﻠﻴﻞ‬ :‫ﻣﻼﺣﻈﺔ‬ - ‫ﻫﻮ‬ ‫ﺍﻻﻟﺘﻮﺍء‬ ‫ﻣﻌﺎﻣﻞ‬ ‫ﺍﻧﺤﺮﺍﻑ‬ ‫ﻗﻴﻤﺔ‬ ‫ﻭﻟﻪ‬ ‫ﻣﺘﻤﺎﺛﻞ‬ ‫ﺍﻟﻄﺒﻴﻌﻲ‬ ‫ﺍﻟﺘﻮﺯﻳﻊ‬ .‫ﺍﻟﺘﻮﺯﻳﻊ‬ ‫ﻓﻲ‬ ‫ﺍﻟﺘﻤﺎﺛﻞ‬ ‫ﻟﻌﺪﻡ‬ ‫ﻣﻘﻴﺎﺱ‬ 0 ‫ﻭﺍﻟﺘﻮﺯﻳﻊ‬ . ‫ﺍﻟ‬ ‫ﺍﻹﻳﺠﺎﺑﻲ‬ ‫ﺍﻻﻧﺤﺮﺍﻑ‬ ‫ﺫﻭ‬ ‫ﺫﻳﻞ‬ ‫ﻟﻪ‬ ‫ﻜﺒﻴﺮ‬ ‫ﺍﻟﺴﺎﻟﺐ‬ ‫ﺍﻻﻧﺤﺮﺍﻑ‬ ‫ﺫﻭ‬ ‫ﺍﻟﺘﻮﺯﻳﻊ‬ .‫ﺍﻟﻴﻤﻴﻦ‬ ‫ﻧﺎﺣﻴﺔ‬ ‫ﻣﻦ‬ ‫ﻁﻮﻳﻞ‬ ‫ﺫﻳﻞ‬ ‫ﻟﻪ‬ ‫ﺍﻟﻜﺒﻴﺮ‬ ‫ﻁﻮﻳﻞ‬ ‫ﺃﻛﺜﺮ‬ ‫ﻭﻟﺪﻗﺔ‬ .‫ﺍﻟﻴﺴﺎﺭ‬ ‫ﻧﺎﺣﻴﺔ‬ ‫ﻣﻦ‬ ‫ﻗﻴﻤﺔ‬ ‫ﺃﺧﺬ‬ ‫ﻳﺘﻢ‬ ‫ﻟﻼﻟﺘﻮﺍ‬ ‫ﺍﻟﻤﻌﻴﺎﺭﻱ‬ ‫ﺍﻟﺨﻄﺄ‬ ‫ء‬ - ‫ﺍﻟﺘﻔﺮﻁﺢ‬ ‫ﻫ‬ ‫ﻮ‬ ‫ﻭﻳﺸﻴﺮ‬ .‫ﺻﻔﺮ‬ ‫ﻫﻲ‬ ‫ﺍﻟﺘﻔﺮﻁﺢ‬ ‫ﺇﺣﺼﺎء‬ ‫ﻗﻴﻤﺔ‬ ،‫ﺍﻟﻄﺒﻴﻌﻲ‬ ‫ﻟﻠﺘﻮﺯﻳﻊ‬ .‫ﺍﻟﻤﺘﻄﺮﻓﺔ‬ ‫ﺍﻟﻘﻴﻢ‬ ‫ﻭﺟﻮﺩ‬ ‫ﻟﻤﺪﻯ‬ ‫ﻣﻘﻴﺎﺱ‬ ‫ﺍﻹﻳﺠﺎﺑﻲ‬ ‫ﺍﻟﺘﻔﺮﻁﺢ‬ ‫ﺍﻟﻄﺒﻴﻌﻲ‬ ‫ﺍﻟﺘﻮﺯﻳﻊ‬ ‫ﻣﻦ‬ ‫ﺎ‬ً‫ﻓ‬‫ﺗﻄﺮ‬ ‫ﺃﻛﺜﺮ‬ ‫ﺗﻈﻬﺮ‬ ‫ﺍﻟﺒﻴﺎﻧﺎﺕ‬ ‫ﺃﻥ‬ ‫ﺇﻟﻰ‬ ‫ﺍﻟﺘﻔﺮﻁﺢ‬ ‫ﻳﺸﻴﺮ‬ . (‫ﺗﺸﺘﺖ‬ ‫)ﺍﻛﺜﺮ‬ ‫ﺍﻟﺴﺎﻟﺐ‬ ‫ﺍﻟﻄﺒﻴﻌﻲ‬ ‫ﺍﻟﺘﻮﺯﻳﻊ‬ ‫ﻣﻦ‬ ‫ﺎ‬ً‫ﻓ‬‫ﺗﻄﺮ‬ ‫ﺃﻗﻞ‬ ‫ﻣﺘﻄﺮﻓﺔ‬ ‫ﻗﻴﻢ‬ ‫ﻋﻠﻰ‬ ‫ﺗﺤﺘﻮﻱ‬ ‫ﺍﻟﺒﻴﺎﻧﺎﺕ‬ ‫ﺃﻥ‬ ‫ﺇﻟﻰ‬ (‫ﺗﺸﺘﺖ‬ ‫)ﺍﻗﻞ‬ - ‫ﺃﻛﺜﺮ‬ ‫ﻭﻟﺪﻗﺔ‬ ‫ﻗﻴﻤﺔ‬ ‫ﺃﺧﺬ‬ ‫ﻳﺘﻢ‬ ‫ﻟﻼﻟﺘﻮﺍ‬ ‫ﺍﻟﻤﻌﻴﺎﺭﻱ‬ ‫ﺍﻟﺨﻄﺄ‬ ‫ء‬ :‫ﻳﻠﻲ‬ ‫ﻛﻤﺎ‬ ‫ﻭﺍﻟﺘﻔﺮﻁﺢ‬
  • 33.
    ‫ﺑﺎﺳﺗﺧﺩﺍﻡ‬ ‫ﺍﻻﺣﺻﺎﺋﻲ‬ ‫ﺍﻟﺗﺣﻠﻳﻝ‬ SPSS ‫ﺩ‬ ‫ﺳﻠﻁﺎﻥ‬‫ﺧﻠﻑ‬ . 33 ‫ﺍﻟﻤﻌﺎﻣﻞ‬ ‫ﺍﻟﻤﻌﻴﺎﺭ‬ ‫ﺍﻻﺗﺠﺎﻩ‬ ‫ﺍﻻﻟﺘﻮﺍء‬ ‫ﺍﻟﻤﻄﻠﻘﺔ‬ ‫ﺍﻟﻘﻴﻤﻴﺔ‬ ‫ﻟﻼﻟﺘﻮﺍء‬ ‫ﻣﻦ‬ ‫ﺍﻛﺒﺮ‬ 3 ‫ﺍﺿﻌﺎﻑ‬ ‫ﺍﻟﺨﻄﺄ‬ ‫ﺍﻟﻤﻌﻴﺎﺭﻱ‬ ‫ﻟﻼﻟﺘﻮﺍء‬ ‫ﻳ‬ ‫ﻭﺗﺤﺪﺩ‬ ‫ﺍﻟﺘﻮﺍء‬ ‫ﻮﺟﺪ‬ ‫ﺍﺗﺠﺎﻫﻪ‬ ‫ﺍﺷﺎﺭﺗﻪ‬ ‫ﺍﻟﺘﻔﺮﻁﺢ‬ ‫ﺍﻟﻤﻄﻠﻘﺔ‬ ‫ﺍﻟﻘﻴﻤﻴﺔ‬ ‫ﻟﻠﺘﻔﺮﻁﺢ‬ ‫ﻣﻦ‬ ‫ﺍﻛﺒﺮ‬ 3 ‫ﺍﺿﻌﺎﻑ‬ ‫ﺍﻟﺨﻄﺄ‬ ‫ﺍﻟﻤﻌﻴﺎﺭﻱ‬ ‫ﻟﻠﺘﻔﺮﻁﺢ‬ ‫ﻳ‬ ‫ﻭﺗﺤﺪﺩ‬ ‫ﺗﻔﺮﻁﺢ‬ ‫ﻮﺟﺪ‬ ‫ﺍﺗﺠﺎﻫﻪ‬ ‫ﺍﺷﺎﺭﺗﻪ‬ - ‫ﺍﻟﺮﺑﻴﻌﻴﺎﺕ‬ Quartiles ‫ﻓﻮﺍﺻﻞ‬ ‫ﺛﻼﺛﺔ‬ ‫ﻋﻦ‬ ‫ﻋﺒﺎﺭﺓ‬ ‫ﻭﻫﻲ‬ ‫ﺃﺭﺑﺎﻉ‬ ‫ﺃﺭﺑﻌﺔ‬ ‫ﺇﻟﻰ‬ ‫ﺍﻟﺒﻴﺎﻧﺎﺕ‬ ‫ﺗﻘﺴﻴﻢ‬ ‫ﻣﺘﺴﺎﻭﻳ‬ ‫ﺔ‬ - ‫ﺍﻟﻤﺌﻴﻨﺎﺕ‬ Percentile(s) ‫ﻫﻲ‬ ‫ﻋﻦ‬ ‫ﻋﺒﺎﺭﺓ‬ 99 ‫ﻓﺎﺻﻞ‬ ‫ﺇﻟﻰ‬ ‫ﺍﻟﺒﻴﺎﻧﺎﺕ‬ ‫ﺗﻘﺴﻴﻢ‬ .‫ﻣﺘﺴﺎﻭﻳﺔ‬ ‫ﺟﺰء‬ ‫ﻣﺎﺋﺔ‬ ‫ﻭﺟﻤﻴﻊ‬ ‫ﺍﻟﺘﻄﺒﻴﻘﺎﺕ‬ ‫ﻓﻲ‬ ‫ﺘﺨﺪﺍﻣﺎ‬‫ﺍﺳ‬ ‫ﻭﺃﻛﺜﺮﻫﺎ‬ ‫ﺃﻫﻤﻬﺎ‬ ‫ﻫﻨﺎ‬ ‫ﺘﻌﺮﺽ‬‫ﻧﺴ‬ ‫ﻮﻑ‬‫ﺳ‬ ‫ﻟﻠﺒﻴﺎﻧﺎﺕ‬ ‫ﻔﻲ‬‫ﺍﻟﻮﺻ‬ ‫ﻟﻠﺘﺤﻠﻴﻞ‬ ‫ﺇﺟﺮﺍءﺍﺕ‬ ‫ﻋﺪﺓ‬ ‫ﻫﻨﺎﻙ‬ ‫ﺍﻟﺨﻴﺎﺭ‬ ‫ﺗﺤﺖ‬ ‫ﻣﻮﺟﻮﺩ‬ ‫ﺍﻹﺟﺮﺍءﺍﺕ‬ ‫ﻫﺬﻩ‬ Analyze :‫ﻛﺎﻟﺘﺎﻟﻲ‬
  • 34.
    ‫ﺑﺎﺳﺗﺧﺩﺍﻡ‬ ‫ﺍﻻﺣﺻﺎﺋﻲ‬ ‫ﺍﻟﺗﺣﻠﻳﻝ‬ SPSS ‫ﺩ‬ ‫ﺳﻠﻁﺎﻥ‬‫ﺧﻠﻑ‬ . 34 ) 2 - 2 ( ‫ﺍﻟﺘﻘﺎﺭﻳﺮ‬ Reports :‫ﻫﻲ‬ ‫ﻓﺮﻋﻴﺔ‬ ‫ﺇﺟﺮﺍءﺍﺕ‬ ‫ﻋﺪﺓ‬ ‫ﺍﻹﺟﺮﺍء‬ ‫ﻫﺬﺍ‬ ‫ﺗﺤﺖ‬ ‫ﻳﻨﺪﺭﺝ‬ ‫ﺍ‬ ‫ﻳﻤﻜﻦ‬ ‫ﺍﻟﻤﺆﺷﺮﺍﺕ‬ ‫ﻻﺳﺘﺨﺮﺍﺝ‬ ‫ﺍﻹﺟﺮﺍء‬ ‫ﻫﺬﺍ‬ ‫ﺳﺘﺨﺪﻡ‬ ‫ﻟﻠﺒﻴﺎﻧﺎﺕ‬ ‫ﺍﻟﻮﺻﻔﻴﺔ‬ ‫ﺍﻟﻤﻮﺟﻮﺩﺓ‬ ‫ﺑ‬ ‫ﺻﻔﻮﻑ‬ ‫ﻣﻦ‬ ‫ﻣﻜﻮﻧﺔ‬ ‫ﻣﺘﻘﺎﻁﻌﺔ‬ ‫ﺠﺪﺍﻭﻝ‬ .‫ﻭﺃﻋﻤﺪﺓ‬ ‫ﺗﻄﺒﻴﻖ‬ ) 3 ( ‫ﺑﻴﺎﻧﺎﺕ‬ ‫ﻓﻲ‬ ‫ﺍﻟﻤﻠﻒ‬ Application-2.sav ‫ﺣﻤﻠ‬ ‫ﻣﻦ‬ ‫ﺍﻟﻔﺌﺎﺕ‬ ‫ﻟﺒﻌﺾ‬ ‫ﺍﻹﺣﺼﺎﺋﻴﺔ‬ ‫ﺍﻟﻤﻘﺎﻳﻴﺲ‬ ‫ﺑﻌﺾ‬ ‫ﺇﺟﺮﺍء‬ ‫ﺃﺭﺩﻧﺎ‬ ‫ﺇﺫﺍ‬ ‫ﺔ‬ ‫ﻣﻦ‬ ‫ﺍﻗﻞ‬ ‫ﺧﺒﺮﺓ‬ ‫ﺳﻨﻮﺍﺕ‬ ‫ﺍﻟﺬﻳﻦ‬ ‫ﺃﻭ‬ ‫ﺍﻟﺒﻜﺎﻟﻮﺭﻳﻮﺱ‬ ‫ﺣﻤﻠﺔ‬ ‫ﺃﻭ‬ ‫ﻣﺜﻼ‬ ‫ﺍﻟﻤﺎﺟﺴﺘﻴﺮ‬ 5 ‫ﺑﻜﺎﻟﻮﺭﻳﻮﺱ‬ ‫ﺍﻟﻌﻠﻤﻴﺔ‬ ‫ﻣﺆﻫﻼﺗﻬﻢ‬ ‫ﺍﻟﺬﻳﻦ‬ ‫ﺃﻭ‬ ‫ﺳﻨﻮﺍﺕ‬ ‫ﻣﻦ‬ ‫ﺍﻟﺘﻌﻠﻴﻢ‬ ‫ﻓﻲ‬ ‫ﻭﺧﺪﻣﺘﻬﻢ‬ 5 ‫ﺇﻟﻰ‬ ‫ﺳﻨﻮﺍﺕ‬ 10 ‫ﺑﻴﻦ‬ ‫ﺗﻘﺎﻁﻊ‬ ‫ﻟﻜﻞ‬ ‫ﺍﻹﺣﺼﺎﺋﻴﺔ‬ ‫ﺍﻟﻤﻘﺎﻳﻴﺲ‬ ‫ﺇﺟﺮﺍء‬ ‫ﺃﺭﺩﻧﺎ‬ ‫ﺃﻭ‬ ‫ﺳﻨﻮﺍﺕ‬ ‫ﺍﻟﺨﺒﺮﺓ‬ ‫ﻓﺌﺎﺕ‬ ‫ﺍﻟﻤﺆﻫﻞ‬ ‫ﻭﻓﺌﺎﺕ‬ ‫ﺍﻟﻌﻠﻤﻲ‬ ‫ﻧﺘﺒﻊ‬ :‫ﺍﻟﺘﺎﻟﻴﺔ‬ ‫ﺍﻟﺨﻄﻮﺍﺕ‬ 1 - ‫ﺍﻟﻘﺎﺋﻤﺔ‬ ‫ﻣﻦ‬ Analyze ‫ﻧﺨﺘﺎﺭ‬ Report ‫ﺍﺧﺘﺮ‬ ‫ﻓﺮﻋﻴﺔ‬ ‫ﻗﺎﺋﻤﺔ‬ ‫ﻟﺘﻈﻬﺮ‬ OLAP Cubes ‫ﺍﺧﺘﺼﺎﺭ‬ ‫ﻭﻫﻲ‬ ‫ﻟـ‬ Online Analytical Processing Cubes .(‫ﺍﻟﻜﻤﻲ‬ ‫ﻟﻠﻤﺤﺘﻮﻯ‬ ‫ﺍﻟﺘﻔﺎﻋﻠﻲ‬ ‫ﺍﻟﺘﺤﻠﻴﻞ‬ ‫)ﻋﻤﻠﻴﺎﺕ‬
  • 35.
    ‫ﺑﺎﺳﺗﺧﺩﺍﻡ‬ ‫ﺍﻻﺣﺻﺎﺋﻲ‬ ‫ﺍﻟﺗﺣﻠﻳﻝ‬ SPSS ‫ﺩ‬ ‫ﺳﻠﻁﺎﻥ‬‫ﺧﻠﻑ‬ . 35 2 - ‫ﺃﺳﻔﻞ‬ ‫ﺍﻟﻤﺴﺘﻄﻴﻞ‬ ‫ﻓﻲ‬ ‫ﺍﺩﺧﻞ‬ Summary Variable(s) ‫ﺍﻟﻤﺘﻐﻴﺮ‬ " Salary_1 ‫ﻭﺍﻟﻤﺘﻐﻴﺮ‬ " " Salary now ‫ﻭﺍﺩﺧﻞ‬ " ‫ﺍﻟﻤﺴﺘﻄﻴﻞ‬ ‫ﻓﻲ‬ ‫ﺃﺳﻔﻞ‬ Grouping Variable (s) ُ" ‫ﻭﺍﻟﻤﺘﻐﻴﺮﺍﻥ‬ Education " ‫ﻭ‬ " Experience ‫ﻛﻤﺎ‬ " ‫ﻧ‬ ‫ﻼﺣﻆ‬ .‫ﺑﺎﻟﺸﻜﻞ‬ 3 - ‫ﻋﻠﻰ‬ ‫ﺍﺿﻐﻂ‬ Statistics... :‫ﺍﻟﺘﺎﻟﻲ‬ ‫ﺍﻟﺤﻮﺍﺭ‬ ‫ﻣﺮﺑﻊ‬ ‫ﻟﻴﻈﻬﺮ‬
  • 36.
    ‫ﺑﺎﺳﺗﺧﺩﺍﻡ‬ ‫ﺍﻻﺣﺻﺎﺋﻲ‬ ‫ﺍﻟﺗﺣﻠﻳﻝ‬ SPSS ‫ﺩ‬ ‫ﺳﻠﻁﺎﻥ‬‫ﺧﻠﻑ‬ . 36 ‫ﺗ‬ ‫ﺍﻟﺘﻲ‬ ‫ﺍﻹﺣﺼﺎﺋﻴﺔ‬ ‫ﺍﻟﻤﻘﺎﻳﻴﺲ‬ ‫ﺍﺧﺘﺮ‬ ‫ﺍﻟﺪﺭﺍﺳﺔ‬ ‫ﻗﻴﺪ‬ ‫ﻟﻠﻤﺸﻜﻠﺔ‬ ‫ﻣﻨﺎﺳﺒﺔ‬ ‫ﺮﺍﻫﺎ‬ ‫ﺍﻟﺤﺴﺎﺑﻲ‬ ‫ﺍﻟﻮﺳﻂ‬ ‫ﻣﺜﻞ‬ Mean ‫ﺍﻟﻤﻌﻴﺎﺭﻱ‬ ‫ﻭﺍﻻﻧﺤﺮﺍﻑ‬ Standard Deviation ‫ﻗﻴﻤﺔ‬ ‫ﺍﻗﻞ‬ ‫ﻭ‬ Minimum ‫ﻗﻴﻤﺔ‬ ‫ﻭﺍﻛﺒﺮ‬ Maximum ‫ﻭﺍﻟﻤﺠﻤﻮﻉ‬ Sum ‫ﺍﻟﺤﺎﻻﺕ‬ ‫ﻭﻋﺪﺩ‬ Number of Cases ‫ﺃﺳﻔﻞ‬ ‫ﺍﻟﻤﺴﺘﻄﻴﻞ‬ ‫ﻓﻲ‬ ‫ﺍﺩﺧﻠﻬﺎ‬ ‫ﺛﻢ‬ ‫ﻭﻏﻴﺮﻫﺎ‬ Cell Statistics ‫ﺍﺿﻐﻂ‬ ‫ﺛﻢ‬ Continue ‫ﺇﻟﻰ‬ ‫ﻟﺘﻌﻮﺩ‬ ‫ﺍﻟﺴﺎﺑﻖ‬ ‫ﺍﻟﺤﻮﺍﺭ‬ ‫ﻣﺮﺑﻊ‬ OLAP Cubes . 4 - ‫ﻟﻠﺠﺪ‬ ‫ﻋﻨﻮﺍﻥ‬ ‫ﻛﺘﺎﺑﺔ‬ ‫ﺃﺭﺩﺕ‬ ‫ﺇﺫﺍ‬ ‫ﻋﻠﻰ‬ ‫ﺍﺿﻐﻂ‬ ‫ﻭﻝ‬ Title :‫ﺍﻟﺘﺎﻟﻲ‬ ‫ﺍﻟﺤﻮﺍﺭ‬ ‫ﻣﺮﺑﻊ‬ ‫ﻓﻴﻈﻬﺮ‬ ‫ﻋﻠﻰ‬ ‫ﺣﺎﻝ‬ ‫ﻛﻞ‬ ‫ﻋﻠﻰ‬ ‫ﺍﺿﻐﻂ‬ ‫ﻭﺇﻻ‬ ‫ﺃﺭﺩﺕ‬ ‫ﺇﺫﺍ‬ ‫ﻣﻨﺎﺳﺐ‬ ‫ﻋﻨﻮﺍﻥ‬ ‫ﺍﻛﺘﺐ‬ Continue ‫ﺛﻢ‬ Ok
  • 37.
    ‫ﺑﺎﺳﺗﺧﺩﺍﻡ‬ ‫ﺍﻻﺣﺻﺎﺋﻲ‬ ‫ﺍﻟﺗﺣﻠﻳﻝ‬ SPSS ‫ﺩ‬ ‫ﺳﻠﻁﺎﻥ‬‫ﺧﻠﻑ‬ . 37 :‫ﺍﻟﺘﺎﻟﻴﺔ‬ ‫ﺍﻟﻨﺘﺎﺋﺞ‬ ‫ﻟﺘﻈﻬﺮ‬ OLAP Cubes Education Level: Total Experience: Total Sum N Mean Std. Deviation % of Total Sum % of Total N Salay_1 631754.00 110 5743.2182 2165.51998 100.0% 100.0% Salary_now 1189890.00 110 10817.1818 3661.70570 100.0% 100.0% ‫ﺑﺪﺍﻳﺔ‬ ‫ﻓﻲ‬ ‫ﺍﻟﺮﻭﺍﺗﺐ‬ ‫ﻣﺘﻮﺳﻂ‬ ‫ﺍﻟﺴﺎﺑﻖ‬ ‫ﺍﻟﺠﺪﻭﻝ‬ ‫ﻓﻲ‬ ‫ﺍﻟﻌﻤﻞ‬ 5743.22 ‫ﻭﺣﺎﻟﻴﺎ‬ 10817.19 ‫ﻭﻫﺬﺍ‬ ‫ﻣﺠﺘﻤﻌﺔ‬ ‫ﺍﻟﻄﺒﻘﺎﺕ‬ ‫ﻟﻜﻞ‬ .‫ﺍﻹﺣﺼﺎﺋﻴﺔ‬ ‫ﺍﻟﻤﻘﺎﻳﻴﺲ‬ ‫ﺑﺎﻗﻲ‬ ‫ﻋﻠﻰ‬ ‫ﻳﻨﻄﺒﻖ‬ ‫ﻭﻟﻜ‬ ‫ﺍﻟﻨﺘﺎﺋﺞ‬ ‫ﻋﻠﻰ‬ ‫ﻣﺘﺘﺎﻟﻴﺘﻴﻦ‬ ‫ﻣﺮﺗﻴﻦ‬ ‫ﻧﻀﻐﻂ‬ ‫ﻓﺈﻧﻨﺎ‬ ‫ﻓﻘﻂ‬ ‫ﺍﻟﺒﻜﺎﻟﻮﺭﻳﻮﺱ‬ ‫ﺣﻤﻠﺔ‬ ‫ﻟﺮﻭﺍﺗﺐ‬ ‫ﺍﻟﺤﺴﺎﺑﻲ‬ ‫ﺍﻟﻤﺘﻮﺳﻂ‬ ‫ﺇﻳﺠﺎﺩ‬ ‫ﺃﺭﺩﺕ‬ ‫ﺇﺫﺍ‬ ‫ﻦ‬ ‫ﺍﻟﺘﺎﻟﻲ‬ ‫ﺍﻟﺸﻜﻞ‬ ‫ﻟﻴﻈﻬﺮ‬ (‫ﺍﻟﺘﻔﺎﻋﻠﻴﺔ‬ ‫ﺍﻟﻌﻤﻠﻴﺎﺕ‬ :‫ﺍﻟﺘﺴﻤﻴﺔ‬ ‫ﺳﺒﺐ‬ ‫)ﻭﻫﺬﺍ‬ : " ‫ﻟﻠﻤﺘﻐﻴﺮ‬ ‫ﺍﻟﻤﻘﺎﺑﻞ‬ ‫ﺍﻟﺴﻬﻢ‬ ‫ﻋﻠﻰ‬ ‫ﺍﺿﻐﻂ‬ Edu ‫ﺍﺧﺘﺮ‬ ‫ﺛﻢ‬ " Master ‫ﺑﺪﺍﻳ‬ ‫ﻓﻲ‬ ‫ﺍﻟﻤﺎﺟﺴﺘﻴﺮ‬ ‫ﺣﻤﻠﺔ‬ ‫ﺭﻭﺍﺗﺐ‬ ‫ﻣﻌﺪﻝ‬ ‫ﺃﻥ‬ ‫ﺗﻼﺣﻆ‬ ‫ﺔ‬ ‫ﻳﺴﺎﻭﻱ‬ ‫ﺍﻟﻌﻤﻞ‬ 5749.16 .‫﷼‬ ‫ﺑﺎ‬ ‫ﻟ‬ ‫ﻤﺜﻞ‬ ‫ﺍﻹﺣﺼﺎﺋﻴﺔ‬ ‫ﺍﻟﻤﻘﺎﻳﻴﺲ‬ ‫ﺇﻳﺠﺎﺩ‬ ‫ﺃﺭﺩﻧﺎ‬ ‫ﺇﺫﺍ‬ ‫ﻟﺮﻭﺍﺗﺐ‬ ‫ﺧﺒﺮﺗﻬﻢ‬ ‫ﺍﻟﺬﻳﻦ‬ ‫ﺍﻟﺒﻜﺎﻟﻮﺭﻳﻮﺱ‬ ‫ﻟﺤﻤﻠﺔ‬ 5 - 10 ‫ﺍﻟﻨﺘﺎﺋﺞ‬ ‫ﻋﻠﻰ‬ ‫ﻧﻀﻐﻂ‬ ‫ﻟﻠﻤﺘﻐﻴﺮ‬ ‫ﺍﻟﻤﻘﺎﺑﻞ‬ ‫ﺍﻟﺴﻬﻢ‬ ‫ﺯﺭ‬ ‫ﻋﻠﻰ‬ ‫ﻧﻀﻐﻂ‬ ‫ﺛﻢ‬ ‫ﻣﺘﺘﺎﻟﻴﺘﻴﻦ‬ ‫ﺿﻐﻄﺘﻴﻦ‬ Exp " ‫ﻭﻧﺨﺘﺎﺭ‬ ‫ﺍﻟﺨﺒﺮﺓ‬ 5 - 10 " ‫ﻣﺘﻮﺳﻂ‬ ‫ﻋﻠﻰ‬ ‫ﻓﻨﺤﺼﻞ‬ ‫ﺍﻟﺮﻭﺍﺗﺐ‬ 10675.19 . ‫ﺗﺪﺭﻳﺐ‬ - ‫ﺍ‬ ‫ﻳﻤﻜﻦ‬ ‫ﺟﺮﺍء‬ case summaries ‫ﻟﺒﻴﺎﻧﺎﺕ‬ Application-3.sav - ‫ﺍﺟﺮﺍء‬ ‫ﻳﻤﻜﻦ‬ OLAP analysis ‫ﺍﻟﻤﺪﺍﺭﺱ‬ ‫ﻟﺒﻴﺎﻧﺎﺕ‬ schools.sav
  • 38.
    ‫ﺑﺎﺳﺗﺧﺩﺍﻡ‬ ‫ﺍﻻﺣﺻﺎﺋﻲ‬ ‫ﺍﻟﺗﺣﻠﻳﻝ‬ SPSS ‫ﺩ‬ ‫ﺳﻠﻁﺎﻥ‬‫ﺧﻠﻑ‬ . 38 ) 3 - 2 ‫ﺍﻟﻮﺻﻔﻲ‬ ‫ﺍﻹﺣﺼﺎء‬ ( Descriptive Statistics ‫ﺍﻟﻤﺴﺎﺭ‬ ‫ﺑﺎﺳﺘﺨﺪﺍﻡ‬ ‫ﺍﻟﻮﺻﻔﻲ‬ ‫ﺍﻹﺣﺼﺎء‬ ‫ﺗﻨﻔﻴﺬ‬ ‫ﻳﺘﻢ‬ Analyze  Descriptive Statistics ‫ﺍﻟﺘﺎﻟﻴﺔ‬ ‫ﺑﺎﻟﺸﺎﺷﺔ‬ ‫ﻣﻮﺿﺢ‬ ‫ﻫﻮ‬ ‫ﻛﻤﺎ‬ ) 1 - 3 - 2 ‫ﺍﻟﻤﻘﻄﻌﻲ‬ ‫ﺍﻟﺠﺪﻭﻝ‬ ‫ﺇﻧﺸﺎء‬ ( Crosstabs ‫ﻹﻧﺸﺎء‬ ‫ﺍﻟ‬ ‫ﺍﻟﺠﺪﻭﻝ‬ ‫ﻤ‬ ‫ﻘ‬ :‫ﺍﻟﺘﺎﻟﻴﺔ‬ ‫ﺍﻟﺨﻄﻮﺍﺕ‬ ‫ﺍﺗﺒﻊ‬ ‫ﻄﻌﻲ‬ 1 . ‫ﺍﻟﻘﺎﺋﻤﺔ‬ ‫ﻣﻦ‬ Analyze ‫ﺍﺧﺘﺮ‬ Descriptive Statistics ‫ﺍﺧﺘﺮ‬ ‫ﺍﻟﻔﺮﻋﻴﺔ‬ ‫ﺍﻟﻘﺎﺋﻤﺔ‬ ‫ﻭﻣﻦ‬ Crosstabs ‫ﺑﺎﻟﺸﻜﻞ‬ ‫ﻛﻤﺎ‬ ‫ﺍﻟﺘﺎﻟﻲ‬ ‫ﻓﻴﻈﻬﺮ‬ ‫ﺍﻟﺤﻮﺍﺭ‬ ‫ﻣﺮﺑﻊ‬ Crosstabs
  • 39.
    ‫ﺑﺎﺳﺗﺧﺩﺍﻡ‬ ‫ﺍﻻﺣﺻﺎﺋﻲ‬ ‫ﺍﻟﺗﺣﻠﻳﻝ‬ SPSS ‫ﺩ‬ ‫ﺳﻠﻁﺎﻥ‬‫ﺧﻠﻑ‬ . 39 2 . ‫"ﺍﻟﻤﺆﻫﻞ‬ ‫ﻣﺘﻐﻴﺮ‬ ‫ﺍﺩﺧﻞ‬ "‫ﺍﻟﻌﻠﻤﻲ‬ ‫ﺃﺳﻔﻞ‬ ‫ﺍﻟﻤﺴﺘﻄﻴﻞ‬ ‫ﻓﻲ‬ Row(s) ‫ﺃﺳﻔﻞ‬ ‫ﺍﻟﻤﺴﺘﻄﻴﻞ‬ ‫ﻓﻲ‬ " ‫ﺍﻟﺨﺒﺮﺓ‬ " ‫ﻭﻣﺘﻐﻴﺮ‬ Column(s) ‫ﺑﺠﺎﻧﺐ‬ ‫ﺍﻟﻤﺮﺑﻊ‬ ‫ﺩﺍﺧﻞ‬ ‫ﺍﺿﻐﻂ‬ Display clustered bar charts ‫ﺍﻟﺰﺭ‬ ‫ﻋﻠﻰ‬ ‫ﺍﺿﻐﻂ‬ ‫ﺛﻢ‬ ، Cells ‫ﻣﺮﺑﻊ‬ ‫ﻳﻈﻬﺮ‬ :‫ﺍﻟﺘﺎﻟﻲ‬ ‫ﺍﻟﺤﻮﺍﺭ‬ 3 . ‫ﺑﺠﺎﻧﺐ‬ ‫ﺍﻟﻤﻮﺟﻮﺩﺓ‬ ‫ﺍﻟﻤﺮﺑﻌﺎﺕ‬ ‫ﺩﺍﺧﻞ‬ ‫ﺍﺿﻐﻂ‬ Row ‫ﻭ‬ Column ‫ﺍﻟﻤﺴﺘﻄﻴﻞ‬ ‫ﻓﻲ‬ Percentage ‫ﻋﻠﻰ‬ ‫ﺍﺿﻐﻂ‬ ‫ﺛﻢ‬ . Continue ‫ﺍﺿﻐﻂ‬ ‫ﺛﻢ‬ Ok :‫ﺍﻟﺘﺎﻟﻴﺔ‬ ‫ﺍﻟﻨﺘﺎﺋﺞ‬ ‫ﺗﻈﻬﺮ‬
  • 40.
    ‫ﺑﺎﺳﺗﺧﺩﺍﻡ‬ ‫ﺍﻻﺣﺻﺎﺋﻲ‬ ‫ﺍﻟﺗﺣﻠﻳﻝ‬ SPSS ‫ﺩ‬ ‫ﺳﻠﻁﺎﻥ‬‫ﺧﻠﻑ‬ . 40 Education Level * Experience Cross tabulation Experience Total <5 50-10 >10 Education Level Bachelor Count 12 32 9 53 % within Education Level 22.6% 60.4% 17.0% 100.0% % within Experience 35.3% 58.2% 42.9% 48.2% % of Total 10.9% 29.1% 8.2% 48.2% Master Count 22 23 12 57 % within Education Level 38.6% 40.4% 21.1% 100.0% % within Experience 64.7% 41.8% 57.1% 51.8% % of Total 20.0% 20.9% 10.9% 51.8% Total Count 34 55 21 110 % within Education Level 30.9% 50.0% 19.1% 100.0% % within Experience 100.0% 100.0% 100.0% 100.0% % of Total 30.9% 50.0% 19.1% 100.0% 4.
  • 41.
    ‫ﺑﺎﺳﺗﺧﺩﺍﻡ‬ ‫ﺍﻻﺣﺻﺎﺋﻲ‬ ‫ﺍﻟﺗﺣﻠﻳﻝ‬ SPSS ‫ﺩ‬ ‫ﺳﻠﻁﺎﻥ‬‫ﺧﻠﻑ‬ . 41 4 ‫ﻧﻼﺣﻆ‬ ‫ﺍﻟﺴﺎﺑﻘﺔ‬ ‫ﺍﻟﻨﺘﺎﺋﺞ‬ ‫ﻣﻦ‬ . ‫ﺍﻧﻪ‬ "‫"ﺍﻟﺒﻜﺎﻟﻮﺭﻳﻮﺱ‬ ‫ﺗﻘﺎﻁﻊ‬ ‫ﺍﻷﻭﻟﻰ‬ ‫ﺍﻟﺨﻠﻴﺔ‬ ‫ﻓﻲ‬ ‫ﺍﻟﻘﻴﻢ‬ ‫ﺍﻟﻤﺜﺎﻝ‬ ‫ﺳﺒﻴﻞ‬ ‫ﻋﻠﻰ‬ ‫ﻗﻴﻢ‬ ‫ﺛﻼﺙ‬ ‫ﺧﻠﻴﺔ‬ ‫ﻛﻞ‬ ‫ﻓﻲ‬ ‫ﻣﻦ‬ ‫"ﺍﻗﻞ‬ ‫ﻣﻊ‬ 5 ‫ﺳﻨﻮﺍﺕ‬ " ‫ﺍﻟﺮﻗﻢ‬ 12 ‫ﻋﻠﻰ‬ ‫ﻳﺪﻝ‬ ‫ﻋﺪﺩ‬ ‫ﻣﻦ‬ ‫ﺃﻗﻞ‬ ‫ﺍﻟﺘﺪﺭﻳﺐ‬ ‫ﻓﻲ‬ ‫ﻭﺧﺒﺮﺗﻬﻢ‬ ‫ﺍﻟﺒﻜﺎﻟﻮﺭﻳﻮﺱ‬ ‫ﺣﻤﻠﺔ‬ 5 ‫ﻭﺍﻟﻨﺴﺒﺔ‬ ‫ﺳﻨﻮﺍﺕ‬ 26.6 ‫ﻭﺧﺒﺮﺗﻬ‬ ‫ﺍﻟﺒﻜﺎﻟﻮﺭﻳﻮﺱ‬ ‫ﺣﻤﻠﺔ‬ ‫ﻧﺴﺒﺔ‬ ‫ﺃﻥ‬ ‫ﺗﻌﻨﻲ‬ % ‫ﻣﻦ‬ ‫ﺃﻗﻞ‬ ‫ﺍﻟﺘﺪﺭﻳﺲ‬ ‫ﻓﻲ‬ ‫ﻢ‬ 5 ‫ﺗﺴﺎﻭﻱ‬ ‫ﺳﻨﻮﺍﺕ‬ 26.6 ‫ﻭﺍﻟﻨﺴﺒﺔ‬ % 35.3 % ‫ﻣﻦ‬ ‫ﺃﻗﻞ‬ ‫ﻭﺧﺒﺮﺗﻬﻢ‬ ‫ﻟﺪﻳﻬﻢ‬ ‫ﺍﻟﺘﺪﺭﻳﺲ‬ ‫ﻭﺧﺒﺮﺓ‬ ‫ﺍﻟﺒﻜﺎﻟﻮﺭﻳﻮﺱ‬ ‫ﺣﻤﻠﺔ‬ ‫ﻧﺴﺒﺔ‬ ‫ﺃﻥ‬ ‫ﺗﻌﻨﻲ‬ 5 ‫ﺗﺴﺎﻭﻱ‬ ‫ﺳﻨﻮﺍﺕ‬ 35.3 ‫ﻫﻨﺎﻙ‬ ‫ﺃﻥ‬ ‫ﺃﻱ‬ % .‫ﺍﻟﻌﻤﻮﺩ‬ ‫ﺿﻤﻦ‬ ‫ﻟﻠﻤﺸﺎﻫﺪﺍﺕ‬ ‫ﻣﺌﻮﻳﺔ‬ ‫ﻭﻧﺴﺒﺔ‬ ‫ﺍﻟﺼﻒ‬ ‫ﺿﻤﻦ‬ ‫ﻣﺌﻮﻳﺔ‬ ‫ﻧﺴﺒﺔ‬ 5 ‫ﻟﻨﺎ‬ ‫ﻳﻨﺘﺞ‬ ‫ﻛﻤﺎ‬ . ‫ﻣﺨ‬ ‫ﺃﻋﻤﺪﺓ‬ ‫ﻄﻂ‬ ‫ﺍﻟﺘﻜﺮﺍﺭ‬ ‫ﺍﻟﺒﻴﺎﻧﻴ‬ ‫ﺔ‬ . ‫ﺗﺪﺭﻳﺐ‬ ‫ﻳ‬ ‫ﺍﺟﺮﺍء‬ ‫ﻤﻜﻦ‬ Crosstabs analysis ‫ﺍﻟﻤﺪﺍﺭﺱ‬ ‫ﻟﺒﻴﺎﻧﺎﺕ‬ schools.sav ) 2 - 3 - 2 ‫ﺍﻹﺟﺮﺍء‬ ‫ﺍﺳﺘﺨﺪﺍﻡ‬ ( Frequencies 1 . ‫ﺍﻟﻘﻮﺍﺋﻢ‬ ‫ﺷﺮﻳﻂ‬ ‫ﻣﻦ‬ Analyze ‫ﺍﺧﺘﺮ‬ Descriptive Statistics ‫ﺍﺧﺘﺮ‬ ‫ﺍﻟﻔﺮﻋﻴﺔ‬ ‫ﺍﻟﻘﺎﺋﻤﺔ‬ ‫ﻭﻣﻦ‬ Frequencies :‫ﺍﻟﺘﺎﻟﻲ‬ ‫ﺍﻟﺤﻮﺍﺭ‬ ‫ﻣﺮﺑﻊ‬ ‫ﻳﻨﺘﺞ‬ ‫ﺑﺎﻟﺸﻜﻞ‬ ‫ﻣﻮﺿﺢ‬ ‫ﻫﻮ‬ ‫ﻛﻤﺎ‬ ‫ﺍﻟﻤﺘﻐﻴﺮ‬ ‫ﻣﺜﻼ‬ ‫ﻧﺨﺘﺎﺭ‬ Salary_1 ‫ﻭﺍﻟﻤﺘﻐﻴﺮ‬ Salary now ‫ﺍﻟﺴﺎﺑﻖ‬ ‫ﺍﻟﻤﺮﺑﻊ‬ ‫ﺩﺍﺧﻞ‬ 2 . ‫ﺍﻟﺰﺭ‬ ‫ﻋﻠﻰ‬ ‫ﺍﺿﻐﻂ‬ Statistics :‫ﺍﻟﺘﺎﻟﻲ‬ ‫ﺍﻟﺤﻮﺍﺭ‬ ‫ﻣﺮﺑﻊ‬ ‫ﻳﻈﻬﺮ‬
  • 42.
    ‫ﺑﺎﺳﺗﺧﺩﺍﻡ‬ ‫ﺍﻻﺣﺻﺎﺋﻲ‬ ‫ﺍﻟﺗﺣﻠﻳﻝ‬ SPSS ‫ﺩ‬ ‫ﺳﻠﻁﺎﻥ‬‫ﺧﻠﻑ‬ . 42 3 - ‫ﻋﻠﻰ‬ ‫ﺍﺿﻐﻂ‬ ‫ﺍﻟﻤﻄﻠﻮﺑﺔ‬ ‫ﺍﻹﺣﺼﺎءﺍﺕ‬ ‫ﺟﻤﻴﻊ‬ ‫ﻟﺪﺭﺍﺳﺘﻚ‬ ‫ﺛﻢ‬ ‫ﻋﻠﻰ‬ ‫ﺍﺿﻐﻂ‬ Continue ‫ﺍﻟﺤﻮﺍﺭ‬ ‫ﻣﺮﺑﻊ‬ ‫ﺇﻟﻰ‬ ‫ﻧﺮﺟﻊ‬ ‫ﺍﻟﺰﺭ‬ ‫ﻋﻠﻰ‬ ‫ﺍﺿﻐﻂ‬ :‫ﺍﻟﺴﺎﺑﻖ‬ Charts :‫ﺍﻟﺘﺎﻟﻲ‬ ‫ﺍﻟﺤﻮﺍﺭ‬ ‫ﻣﺮﺑﻊ‬ ‫ﻳﻈﻬﺮ‬ 4 - ‫ﻋﻠﻰ‬ ‫ﺍﺿﻐﻂ‬ Histograms ‫ﻭ‬ ‫ﻭ‬ ‫ﺍﻟﻤﺮﺑﻊ‬ ‫ﺩﺍﺧﻞ‬ With normal curve ‫ﺛﻢ‬ Continue ‫ﺍﻟﺤﻮﺍﺭ‬ ‫ﻟﻤﺮﺑﻊ‬ ‫ﻧﺮﺟﻊ‬ Frequency ‫ﻋﻠﻰ‬ ‫ﺍﺿﻐﻂ‬ Ok ‫ﺍﻟﻨﺘﺎﺋﺞ‬ ‫ﺗﻈﻬﺮ‬ :‫ﻳﻠﻲ‬ ‫ﻛﻤﺎ‬ Statistics Salay_1 Salary_now N Valid 110 110 Missing 0 0 Mean 5743.2182 10817.1818 Std. Error of Mean 206.47423 349.12994 Median 5303.5000 10152.0000 Mode 4172.00a 6517.00a Std. Deviation 2165.51998 3661.70570 Variance 4689476.778 13408088.646 Skewness 2.970 2.275 Std. Error of Skewness .230 .230 Kurtosis 9.080 6.023 Std. Error of Kurtosis .457 .457 Range 11976.00 19483.00 Minimum 4044.00 6517.00 Maximum 16020.00 26000.00 Percentiles 25 4614.2500 8566.2500 50 5303.5000 10152.0000 75 5736.7500 11743.0000 a. Multiple modes exist. The smallest value is shown
  • 43.
  • 44.
    ‫ﺑﺎﺳﺗﺧﺩﺍﻡ‬ ‫ﺍﻻﺣﺻﺎﺋﻲ‬ ‫ﺍﻟﺗﺣﻠﻳﻝ‬ SPSS ‫ﺩ‬ ‫ﺳﻠﻁﺎﻥ‬‫ﺧﻠﻑ‬ . 44 ) 3 - 3 - 2 ‫ﺍﻻﺟﺮﺍء‬ ‫ﺍﺳﺘﺨﺪﺍﻡ‬ ( Descriptive :‫ﻳﻠﻲ‬ ‫ﻛﻤﺎ‬ ‫ﺃﻳﻀﺎ‬ ‫ﺍﻹﺣﺼﺎﺋﻴﺔ‬ ‫ﺍﻟﻤﻘﺎﻳﻴﺲ‬ ‫ﺑﻌﺾ‬ ‫ﻹﻳﺠﺎﺩ‬ ‫ﺍﻟﺨﻴﺎﺭ‬ ‫ﻫﺬﺍ‬ ‫ﻳﺴﺘﺨﺪﻡ‬ 1 ‫ﺍﻟﻘﺎﺋﻤﺔ‬ ‫ﻣﻦ‬ ‫ﻧﺨﺘﺎﺭ‬ . Analyze ‫ﺍﻟﺨﻴﺎﺭ‬ Descriptive Statistics ‫ﺍﻟﺨﻴﺎﺭ‬ ‫ﺍﻟﻔﺮﻋﻴﺔ‬ ‫ﺍﻟﻘﺎﺋﻤﺔ‬ ‫ﻭﻣﻦ‬ Descriptive :‫ﺍﻟﺘﺎﻟﻲ‬ ‫ﺍﻟﺤﻮﺍﺭ‬ ‫ﻣﺮﺑﻊ‬ ‫ﻳﻈﻬﺮ‬ 2 " ‫ﺍﻟﻤﺘﻐﻴﺮﺍﺕ‬ ‫ﻧﺪﺧﻞ‬ . Salary_now " ‫ﻭ‬ " Salary_1 ‫ﺃﺳﻔﻞ‬ ‫ﺍﻟﻤﺴﺘﻄﻴﻞ‬ ‫ﺩﺍﺧﻞ‬ " Variable(s) 3 ‫ﺍﻟﺰﺭ‬ ‫ﻋﻠﻰ‬ ‫ﺍﺿﻐﻂ‬ . Option :‫ﺍﻟﺘﺎﻟﻲ‬ ‫ﺍﻟﺤﻮﺍﺭ‬ ‫ﻣﺮﺑﻊ‬ ‫ﻟﻴﻈﻬﺮ‬
  • 45.
    ‫ﺑﺎﺳﺗﺧﺩﺍﻡ‬ ‫ﺍﻻﺣﺻﺎﺋﻲ‬ ‫ﺍﻟﺗﺣﻠﻳﻝ‬ SPSS ‫ﺩ‬ ‫ﺳﻠﻁﺎﻥ‬‫ﺧﻠﻑ‬ . 45 5 - ‫ﺍﻟﻤﻘﺎﻳﻴﺲ‬ ‫ﺍﺧﺘﺮ‬ ،‫ﺍﻟﻤﻄﻠﻮﺑﺔ‬ ‫ﻋﻠﻰ‬ ‫ﺍﺿﻐﻂ‬ ‫ﺛﻢ‬ Continue ‫ﺍﻟﺤﻮﺍﺭ‬ ‫ﻟﻤﺮﺑﻊ‬ ‫ﻟﻨﻌﻮﺩ‬ Descriptive . 6 - ‫ﺑﺠﺎﻧﺐ‬ ‫ﺍﻟﻤﺮﺑﻊ‬ ‫ﺩﺍﺧﻞ‬ ‫ﺍﺿﻐﻂ‬ Save standardized values as variables ‫)ﻟﻴﺤﻮﻝ‬ ‫ﺇﻟﻰ‬ ‫ﺍﻟﺒﻴﺎﻧﺎﺕ‬ ‫ﺍﺿﻐﻂ‬ ‫ﺛﻢ‬ (‫ﻣﻌﻴﺎﺭﻳﺔ‬ ‫ﻗﻴﻢ‬ Ok :‫ﺍﻟﺘﺎﻟﻴﺔ‬ ‫ﺍﻟﻨﺘﺎﺋﺞ‬ ‫ﺗﻈﻬﺮ‬ Descriptive Statistics N Minimum Maximum Mean Std. Deviation Skewness Statistic Statistic Statistic Statistic Statistic Statistic Std. Error Salay_1 110 4044.00 16020.00 5743.2182 2165.51998 2.970 .230 Salary_now 110 6517.00 26000.00 10817.1818 3661.70570 2.275 .230 Valid N (listwise) 110 7 - ‫ﺍﻟﻌﻼﻗﺔ‬ ‫ﻭﻓﻖ‬ ‫ﺍﻟﻤﻌﻴﺎﺭﻳﺔ‬ ‫ﺍﻟﻘﻴﻢ‬ ‫ﺣﺴﺎﺏ‬ ‫ﻳﺘﻢ‬ x Z     ‫ﺣﻴﺚ‬ x ، ‫ﺍﻟﻤﺪﺧﻠﺔ‬ ‫ﺍﻟﻘﻴﻤﺔ‬ ‫ﻫﻲ‬  ‫ﺍﻟﻤﺘﻮﺳﻂ‬ ‫ﻫﻲ‬ ‫ﻟﻠﻤﺘﻐﻴﺮ‬ ‫ﺍﻟﺤﺴﺎﺑﻲ‬ x ،  ‫ﻟﻠﻤﺘﻐﻴﺮ‬ ‫ﺍﻟﻤﻌﻴﺎﺭﻱ‬ ‫ﺍﻻﻧﺤﺮﺍﻑ‬ ‫ﻫﻮ‬ x ‫ﻣﻠﻒ‬ ‫ﻧﻬﺎﻳﺔ‬ ‫ﻓﻲ‬ ‫ﻋﺎﺩﺓ‬ ‫ﺗﻈﻬﺮ‬ ‫ﺍﻟﻤﻌﻴﺎﺭﻳﺔ‬ ‫ﻭﺍﻟﻘﻴﻢ‬ :‫ﻳﻠﻲ‬ ‫ﻛﻤﺎ‬ ‫ﺍﻟﺒﻴﺎﻧﺎﺕ‬ ‫ﻣﻠﻒ‬ ‫ﻣﻦ‬ ‫ﺟﺰء‬ ‫ﻭﻫﺬﺍ‬ ‫ﺍﻟﺒﻴﺎﻧﺎﺕ‬
  • 46.
    ‫ﺑﺎﺳﺗﺧﺩﺍﻡ‬ ‫ﺍﻻﺣﺻﺎﺋﻲ‬ ‫ﺍﻟﺗﺣﻠﻳﻝ‬ SPSS ‫ﺩ‬ ‫ﺳﻠﻁﺎﻥ‬‫ﺧﻠﻑ‬ . 46 ‫ﺗﺪﺭﻳﺐ‬ ‫ﺍﺟﺮﺍء‬ ‫ﻳﻤﻜﻦ‬ Descriptive ‫ﺍﻟﻤﺪﺍﺭﺱ‬ ‫ﻟﺒﻴﺎﻧﺎﺕ‬ schools.sav ) 2 - 3 - 5 ( ‫ﺍﻹﺟﺮﺍء‬ ‫ﺍﺳﺘﺨﺪﺍﻡ‬ Explore ( ‫ﺍﻟﺒﻴﺎﻧﺎﺕ‬ ‫)ﻣﺴﺘﻜﺸﻒ‬ ‫ﻹ‬ ‫ﺍﻟﺨﻴﺎﺭ‬ ‫ﻫﺬﺍ‬ ‫ﻳﺴﺘﺨﺪﻡ‬ ‫ﻧﺤﺼﻞ‬ ‫ﻭﻛﻤﺎ‬ ،‫ﺃﻛﺜﺮ‬ ‫ﺃﻭ‬ ‫ﺁﺧﺮ‬ ‫ﻣﺘﻐﻴﺮ‬ ‫ﻟﺘﺼﻨﻴﻒ‬ ‫ﻭﻓﻘﺎ‬ ‫ﺃﻛﺜﺮ‬ ‫ﺃﻭ‬ ‫ﻟﻤﺘﻐﻴﺮ‬ ‫ﺍﻹﺣﺼﺎﺋﻴﺔ‬ ‫ﺍﻟﻤﻘﺎﻳﻴﺲ‬ ‫ﺑﻌﺾ‬ ‫ﻳﺠﺎﺩ‬ ‫ﺍﻟﺒﻴﺎﻧ‬ ‫ﺍﻟﺮﺳﻮﻡ‬ ‫ﺑﻌﺾ‬ ‫ﻋﻠﻰ‬ ‫ﻣﻨﻪ‬ ‫ﻭﻏﻴﺮﻫﺎ‬ ‫ﺍﻟﺒﻴﺎﻧﺎﺕ‬ ‫ﺗﻠﺨﻴﺺ‬ ‫ﻭﻋﻤﻠﻴﺔ‬ ‫ﻴﺔ‬ . ‫ﻟﻠﺘﻌﺮﻑ‬ ‫ﺍﻻﺟﺮﺍء‬ ‫ﻋﻠﻰ‬ :‫ﻳﻠﻲ‬ ‫ﻣﺎ‬ ‫ﻧﺘﺒﻊ‬ 1 . ‫ﺍﻟﻘﺎﺋﻤﺔ‬ ‫ﻣﻦ‬ Analyze ‫ﻧﺨﺘﺎﺭ‬ Descriptive Statistics ‫ﻧﺨﺘﺎﺭ‬ ‫ﺍﻟﻔﺮﻋﻴﺔ‬ ‫ﺍﻟﻘﺎﺋﻤﺔ‬ ‫ﻭﻣﻦ‬ Explore ‫ﻓﻴﻈﻬﺮ‬ :‫ﺍﻟﺘﺎﻟﻲ‬ ‫ﺍﻟﺤﻮﺍﺭ‬ ‫ﻣﺮﺑﻊ‬ 2 . " ‫ﺍﻟﻤﺘﻐﻴﺮ‬ ‫ﻧﺪﺧﻞ‬ Salary_now ” ‫ﻓﻲ‬ ‫ﺃﺳﻔﻞ‬ ‫ﺍﻟﻤﺴﺘﻄﻴﻞ‬ Dependent List " ‫ﻭﺍﻟﻤﺘﻐﻴﺮ‬ Gender ‫ﻓﻲ‬ " ‫ﺃﺳﻔﻞ‬ ‫ﺍﻟﻤﺴﺘﻄﻴﻞ‬ Factor List ‫ﺍﻟﻤﺴﺘﻄﻴﻞ‬ ‫ﺩﺍﺧﻞ‬ ‫ﺧﻴﺎﺭﺍﺕ‬ ‫ﻋﺪﺓ‬ ‫ﻭﺟﻮﺩ‬ ‫ﻻﺣﻆ‬ ) Display ‫ﻭﻫﻲ‬ Both ‫ﻭ‬ Statistics ‫ﻭ‬ Plots ‫ﺃﻭ‬ ‫ﺍﻟﺒﻴﺎﻧﻲ‬ ‫ﺍﻟﺮﺳﻢ‬ ‫ﺃﻭ‬ ‫ﺍﻹﺣﺼﺎءﺍﺕ‬ ‫ﺍﺧﺘﻴﺎﺭ‬ ‫ﺗﻌﻨﻲ‬ ‫ﻭﻫﻲ‬ ‫ﻛﻠﻴﻬﻤﺎ‬ ‫ﻧﺨﺘﺎﺭ‬ ‫ﺳﻮﻑ‬ ، ‫ﻛﻠﻴﻬﻤﺎ‬ Both ‫ﻋﻠﻰ‬ ‫ﻧﻀﻐﻂ‬ ‫(ﺛﻢ‬ Statistics :‫ﺍﻟﺘﺎﻟﻲ‬ ‫ﺍﻟﺤﻮﺍﺭ‬ ‫ﻣﺮﺑﻊ‬ ‫ﻟﻴﻈﻬﺮ‬
  • 47.
    ‫ﺑﺎﺳﺗﺧﺩﺍﻡ‬ ‫ﺍﻻﺣﺻﺎﺋﻲ‬ ‫ﺍﻟﺗﺣﻠﻳﻝ‬ SPSS ‫ﺩ‬ ‫ﺳﻠﻁﺎﻥ‬‫ﺧﻠﻑ‬ . 47 3 . ‫ﺍﺧﺘﺮ‬ Descriptive ‫ﻭ‬ (‫ﺍﻟﻮﺻﻔﻴﺔ‬ ‫)ﺍﻹﺣﺼﺎءﺍﺕ‬ M-Estimators ‫ﺍﻟﺘﻲ‬ ‫ﺍﻟﻤﺮﻛﺰﻳﺔ‬ ‫ﺍﻟﻨﺰﻋﺔ‬ ‫ﻟﻤﻘﺎﻳﻴﺲ‬ ‫)ﺗﻘﺪﻳﺮ‬ ‫ﻭ‬ (‫ﺍﻟﺸﺎﺫﺓ‬ ‫ﺃﻭ‬ ‫ﺍﻟﻤﺘﻄﺮﻓﺔ‬ ‫ﺑﺎﻟﻘﻴﻢ‬ ‫ﺗﺘﺄﺛﺮ‬ ‫ﻻ‬ Outliers ‫ﻭﺍﺳﺘﺨﺮ‬ ‫ﺷﺎﺫﺓ‬ ‫ﻗﻴﻢ‬ ‫ﻫﻨﺎﻙ‬ ‫ﻛﺎﻧﺖ‬ ‫ﺇﺫﺍ‬ ‫ﻣﺎ‬ ‫)ﺗﺤﺪﻳﺪ‬ ‫ﺧﻤﺲ‬ ‫ﺍﻛﺒﺮ‬ ‫ﺍﺝ‬ ‫ﺍﺧﺘﺮ‬ ‫ﻭ‬ ‫ﺍﻷﺧﺮﻯ‬ ‫ﺍﻻﺧﺘﺒﺎﺭﺍﺕ‬ ‫ﻋﻠﻰ‬ ‫ﺗﺆﺛﺮ‬ ‫ﻻ‬ ‫ﺣﺘﻰ‬ ‫ﺍﻟﺒﻴﺎﻧﺎﺕ‬ ‫ﻣﻦ‬ ‫ﻟﺤﺬﻓﻬﺎ‬ ‫ﺗﻤﻬﻴﺪﺍ‬ ‫ﻭﺫﻟﻚ‬ ،‫ﺷﺎﺫﺓ‬ ‫ﻗﻴﻢ‬ ‫ﺧﻤﺲ‬ ‫ﻭﺍﻗﻞ‬ ‫ﻗﻴﻢ‬ ‫ﺍﻟﺨﻴﺎﺭ‬ ‫ﻛﺬﻟﻚ‬ Percentiles ‫ﻋﻠﻰ‬ ‫ﺍﺿﻐﻂ‬ ‫ﺛﻢ‬ (‫ﺍﻟﻤﺌﻴﻨﺎﺕ‬ ‫)ﻭﺗﻌﻨﻲ‬ Continue ‫ﺍﻟﺤﻮﺍﺭ‬ ‫ﻟﻤﺮﺑﻊ‬ ‫ﻟﺘﻌﻮﺩ‬ Explore . 4 . ‫ﺍﻟﺰﺭ‬ ‫ﻋﻠﻰ‬ ‫ﺍﺿﻐﻂ‬ Plots :‫ﺍﻟﺘﺎﻟﻲ‬ ‫ﺍﻟﺤﻮﺍﺭ‬ ‫ﻣﺮﺑﻊ‬ ‫ﻟﻴﻈﻬﺮ‬ 5 . ‫ﻋﻠﻰ‬ ‫ﺍﺿﻐﻂ‬ Factor level together ‫ﺍﻟﻤﺴﺘﻄﻴﻞ‬ ‫ﻣﻦ‬ ‫ﻭ‬ Descriptive ‫ﻳﻤﻜﻦ‬ ‫ﺍﺧﺘ‬ ‫ﻴﺎﺭ‬ Stem-and-leaf ‫ﺍ‬ ‫ﻭ‬ Histogram ‫ﻋﻠﻰ‬ ‫ﺍﺿﻐﻂ‬ ‫ﺛﻢ‬ Continue ‫ﺍﻟﺤﻮﺍﺭ‬ ‫ﻟﻤﺮﺑﻊ‬ ‫ﺛﺎﻧﻴﺔ‬ ‫ﻣﺮﺓ‬ ‫ﻟﺘﻌﻮﺩ‬ Explore ‫ﺍﺿﻐﻂ‬ ، Ok ‫ﻟﺘﻈﻬﺮ‬ .‫ﺍﻟﻨﺘﺎﺋﺞ‬
  • 48.
  • 49.
    ‫ﺑﺎﺳﺗﺧﺩﺍﻡ‬ ‫ﺍﻻﺣﺻﺎﺋﻲ‬ ‫ﺍﻟﺗﺣﻠﻳﻝ‬ SPSS ‫ﺩ‬ ‫ﺳﻠﻁﺎﻥ‬‫ﺧﻠﻑ‬ . 49 :‫ﺍﻟﻨﺘﺎﺋﺞ‬ ‫ﺗﻔﺴﻴﺮ‬ ‫ﺍﻟﺘﺎﻟﻲ‬ ‫ﺍﻟﺠﺪﻭﻝ‬ .‫ﻣﺜﻞ‬ ‫ﺍﻟﺠﺪﻳﺪﺓ‬ ‫ﺍﻹﺣﺼﺎﺋﻴﺔ‬ ‫ﺍﻟﻤﻘﺎﻳﻴﺲ‬ ‫ﺑﻌﺾ‬ ‫ﻳﻈﻬﺮ‬ 95% Confidence interval for mean ‫ﺩﻗﺔ‬ ‫ﺑﻨﺴﺒﺔ‬ ‫ﺍﻟﺤﺴﺎﺑﻲ‬ ‫ﻟﻠﻮﺳﻂ‬ ‫ﺍﻟﺜﻘﺔ‬ ‫ﻓﺘﺮﺓ‬ ‫ﺗﻌﻨﻲ‬ ‫ﻭﻫﻲ‬ 95 ‫ﻛﻞ‬ ‫ﻭﺍﻹﻧﺎﺙ‬ ‫ﺍﻟﺬﻛﻮﺭ‬ ‫ﻣﻦ‬ ‫ﻟﻜﻞ‬ ‫ﻭﺫﻟﻚ‬ ‫ﺃﻋﻠﻰ‬ ‫ﻭﺣﺪ‬ ‫ﺃﺩﻧﻰ‬ ‫ﺣﺪ‬ ‫ﻭﻟﻬﺎ‬ % .‫ﺣﺪﺓ‬ ‫ﻋﻠﻰ‬ 5% Trimmed Mean ‫ﺍﻛﺒﺮ‬ ‫ﺍﺳﺘﺒﻌﺎﺩ‬ ‫ﺑﻌﺪ‬ ‫ﺣﺴﺎﺑﻪ‬ ‫ﻳﺘﻢ‬ ‫ﺍﻟﺬﻱ‬ ‫ﺍﻟﺤﺴﺎﺑﻲ‬ ‫ﺍﻟﻮﺳﻂ‬ ‫ﻭﻫﻮ‬ 5 ‫ﻭﺍﺻﻐﺮ‬ % 5 ‫ﺍﺳﺘﺒﻌﺎ‬ ‫ﻳﺘﻢ‬ ‫ﺣﺘﻰ‬ % .‫ﺍﻟﺸﺎﺫﺓ‬ ‫ﺍﻟﻘﻴﻢ‬ ‫ﺩ‬ Interquartile Range .‫ﺍﻷﻭﻝ‬ ‫ﻭﺍﻟﺮﺑﻴﻊ‬ ‫ﺍﻟﺜﺎﻟﺚ‬ ‫ﺍﻟﺮﺑﻴﻊ‬ ‫ﻗﻴﻤﺘﻲ‬ ‫ﺑﻴﻦ‬ ‫ﺍﻟﻔﺮﻕ‬ ‫ﻭﻫﻮ‬ ‫ﺍﻟﺮﺑﻴﻌﻲ‬ ‫ﺍﻟﻤﺪﻯ‬ ‫ﺗﻤﺜﻞ‬ .‫ﺍﻟﺠﺰء‬ ‫ﻫﺬﺍ‬ ‫ﺑﺪﺍﻳﺔ‬ ‫ﻓﻲ‬ ‫ﺷﺮﺣﻬﺎ‬ ‫ﺗﻢ‬ ‫ﻗﺪ‬ ‫ﺍﻹﺣﺼﺎءﺍﺕ‬ ‫ﺑﺎﻗﻲ‬ ‫ﺃﻥ‬ ‫ﻻﺣﻆ‬ 1 . ‫ﺍﻟﻤﺴﺘﻄﻴﻞ‬ ‫ﺩﺍﺧﻞ‬ ‫ﻳﻘﻊ‬ ‫ﺍﻟﺬﻱ‬ ‫ﺍﻷﻓﻘﻲ‬ ‫ﺑﺎﻟﺨﻂ‬ ‫ﻳﻤﺜﻞ‬ (‫ﺍﻟﺜﺎﻧﻲ‬ ‫)ﺍﻟﺮﺑﻴﻊ‬ ‫ﺍﻟﻮﺳﻴﻂ‬ 2 . ‫ﺍﻟﻤﺌﻴﻦ‬ 25 ‫ﺑﺎﻟ‬ ‫ﻳﻤﺜﻞ‬ (‫ﺍﻷﻭﻝ‬ ‫)ﺍﻟﺮﺑﻴﻊ‬ ‫ﺍﻟﻤﺴﺘﻄﻴﻞ‬ ‫ﻣﻦ‬ ‫ﺍﻟﺴﻔﻠﻲ‬ ‫ﺨﻂ‬ ‫)ﻗﺎﻋﺪﺓ‬ (‫ﺍﻟﻤﺴﺘﻄﻴﻞ‬ . 3 . ‫ﺍﻟﻤﺌﻴﻦ‬ 75 ‫ﺍﻟﻤﺴﺘﻄﻴﻞ‬ ‫ﻣﻦ‬ ‫ﺍﻟﻌﻠﻮﻱ‬ ‫ﺑﺎﻟﺤﺪ‬ ‫ﻳﻤﺜﻞ‬ (‫ﺍﻟﺜﺎﻟﺚ‬ ‫)ﺍﻟﺮﺑﻴﻊ‬ ‫)ﻗﻤﺔ‬ .(‫ﺍﻟﻤﺴﺘﻄﻴﻞ‬ 4 . ‫ﺃﻥ‬ ‫ﻧﻼﺣﻆ‬ 50 ‫ﺑﻴﻦ‬ ‫ﺍﻟﻔﺮﻕ‬ ‫ﻭﻫﻮ‬ ‫ﺍﻟﺮﺑﻴﻌﻲ‬ ‫ﺍﻟﻤﺪﻯ‬ ‫ﺣﺴﺎﺏ‬ ‫ﻳﻤﻜﻦ‬ ‫ﻭﻛﺬﻟﻚ‬ ‫ﺍﻟﺼﻨﺪﻭﻕ‬ ‫ﺩﺍﺧﻞ‬ ‫ﻳﻘﻊ‬ ‫ﺍﻟﺒﻴﺎﻧﺎﺕ‬ ‫ﻣﻦ‬ % .‫ﺍﻷﻭﻝ‬ ‫ﻭﺍﻟﺮﺑﻴﻊ‬ ‫ﺍﻟﺜﺎﻟﺚ‬ ‫ﺍﻟﺮﺑﻴﻊ‬ 5 . ‫ﺍﻟﻤ‬ ‫ﺃﺳﻔﻞ‬ ‫ﻳﻘﻊ‬ ‫ﺍﻟﺬﻱ‬ ‫ﺍﻟﺴﻔﻠﻲ‬ ‫ﺍﻟﺨﻂ‬ ‫ﻳﻤﺜﻞ‬ ‫ﺴﺘﻄﻴﻞ‬ ‫ﺃﺻﻐﺮ‬ ‫ﺷﺎﺫﺓ‬ ‫ﻗﻴﻤﺎ‬ ‫ﺗﻤﺜﻞ‬ ‫ﻻ‬ ‫ﻭﺍﻟﺘﻲ‬ ‫ﺍﻟﻘﻴﻢ‬ 6 . ‫ﻳﻤﺜﻞ‬ ‫ﺍﻟﻤﺴﺘﻄﻴﻞ‬ ‫ﺃﻋﻠﻰ‬ ‫ﻳﻘﻊ‬ ‫ﺍﻟﺬﻱ‬ ‫ﺍﻟﻌﻠﻮﻱ‬ ‫ﺍﻟﺨﻂ‬ ‫ﺃﻛﺒﺮ‬ ‫ﺷﺎﺫﺓ‬ ‫ﻗﻴﻤﺎ‬ ‫ﺗﻤﺜﻞ‬ ‫ﻻ‬ ‫ﻭﺍﻟﺘﻲ‬ ‫ﺍﻟﻘﻴﻢ‬ 7 . ‫ﺍﻟﻘﻴﻤﺔ‬ ‫ﻧﻮﻉ‬ ‫ﺣﺴﺐ‬ ‫ﻧﺠﻤﺔ‬ ‫ﺃﻭ‬ ‫ﺻﻐﻴﺮﺓ‬ ‫ﺑﺪﺍﺋﺮﺓ‬ ‫ﺗﻤﺜﻞ‬ ‫ﻋﺎﺩﺓ‬ ‫ﻭﺍﻟﺘﻲ‬ ‫ﺍﻟﺼﻨﺪﻭﻕ‬ ‫ﺷﻜﻞ‬ ‫ﻓﻲ‬ ‫ﻭﺍﺭﺩﺓ‬ ‫ﻏﻴﺮ‬ ‫ﺍﻟﺸﺎﺫﺓ‬ ‫ﺍﻟﻘﻴﻢ‬ :‫ﺍﻟﺸﺎﺫﺓ‬ ‫ﺍﻟﻘﻴﻢ‬ ‫ﻣﻦ‬ ‫ﻧﻮﻋﺎﻥ‬ ‫ﻫﻨﺎﻙ‬ ‫ﺍﻟﻘﺼﻮﻯ‬ ‫ﺍﻟﺸﺎﺫﺓ‬  ‫ﻗﻴﻤ‬ ‫ﻣﻄﻠﻘﺔ‬ ‫ﺷﺎﺫﺓ‬ ‫ﺔ‬ (extremes) ) ‫ﻋﻦ‬ ‫ﺗﺰﻳﺪ‬ ‫ﻣﺴﺎﻓﺔ‬ ‫ﺍﻟﻤﺴﺘﻄﻴﻞ‬ ‫ﻗﺎﻋﺪﺓ‬ ‫ﻋﻦ‬ ‫ﺗﺒﻌﺪ‬ ‫ﺍﻟﺘﻲ‬ ‫ﺍﻟﻘﻴﻤﺔ‬ ‫ﻫﻲ‬ : 3 × ‫ﺍﺭﺗﻔﺎﻉ‬ ( * ) ‫ﺑﻨﺠﻤﺔ‬ ‫ﻋﻠﻴﻬﺎ‬ ‫ﻭﻳﺴﺘﺪﻝ‬ (‫ﺍﻟﻤﺴﺘﻄﻴﻞ‬  ‫ﻣﺤﻠﻴﺔ‬ ‫ﺷﺎﺫﺓ‬ ‫ﻗﻴﻤﺔ‬ (outliers) ) ‫ﺗﺴﺎﻭﻱ‬ ‫ﻣﺴﺎﻓﺔ‬ ‫ﺍﻟﻤﺴﺘﻄﻴﻞ‬ ‫ﻗﺎﻋﺪﺓ‬ ‫ﻋﻦ‬ ‫ﺗﺒﻌﺪ‬ ‫ﺍﻟﺘﻲ‬ ‫ﺍﻟﻘﻴﻤﺔ‬ ‫ﻭﻫﻲ‬ : 1.5 × ‫ﺍﺭﺗﻔﺎﻉ‬ ) ‫ﺻﻐﻴﺮﺓ‬ ‫ﺑﺪﺍﺋﺮﺓ‬ ‫ﻋﻠﻴﻬﺎ‬ ‫ﻭﻳﺴﺘﺪﻝ‬ (‫ﺍﻟﻤﺴﺘﻄﻴﻞ‬ o ( .
  • 50.
    ‫ﺑﺎﺳﺗﺧﺩﺍﻡ‬ ‫ﺍﻻﺣﺻﺎﺋﻲ‬ ‫ﺍﻟﺗﺣﻠﻳﻝ‬ SPSS ‫ﺩ‬ ‫ﺳﻠﻁﺎﻥ‬‫ﺧﻠﻑ‬ . 50 :‫ﻣﻼﺣﻈﺔ‬ :‫ﻛﺎﻟﺘﺎﻟﻲ‬ ‫ﺍﻻﻟﺘﻮﺍء‬ ‫ﺇﺷﺎﺭﺓ‬ ‫ﺑﻤﻌﺮﻓﺔ‬ ‫ﻭﺫﻟﻚ‬ ‫ﺍﻟﺘﻮﺯﻳﻊ‬ ‫ﺷﻜﻞ‬ ‫ﺩﺭﺍﺳﺔ‬ ‫ﻓﻲ‬ ‫ﺍﻟﺼﻨﺪﻭﻕ‬ ‫ﺷﻜﻞ‬ ‫ﻳﻔﻴﺪ‬ 1 . .‫ﻣﻌﺘﺪﻝ‬ ‫ﺍﻟﺘﻮﺯﻳﻊ‬ ‫ﻳﻜﻮﻥ‬ ‫ﺍﻟﻤﺴﺘﻄﻴﻞ‬ ‫ﻭﺳﻂ‬ ‫ﻓﻲ‬ ‫ﻳﻘﻊ‬ ‫ﺍﻟﻮﺳﻴﻂ‬ ‫ﻛﺎﻥ‬ ‫ﺇﺫﺍ‬ 2 . ‫ﺍﻟﺒﻴﺎﻧ‬ ‫ﻣﻦ‬ ‫ﻛﺜﻴﺮﺓ‬ ً‫ﺎ‬‫ﻗﻴﻤ‬ ‫ﺃﻥ‬ ‫ﺃﻱ‬ ‫ﺍﻻﻟﺘﻮﺍء‬ ‫ﻣﻮﺟﺐ‬ ‫ﺃﻱ‬ ‫ﺍﻟﻴﻤﻴﻦ‬ ‫ﺇﻟﻰ‬ ‫ﻣﻠﺘﻮﻳﺎ‬ ‫ﻳﻜﻮﻥ‬ ‫ﺍﻟﺘﻮﺯﻳﻊ‬ ‫ﻓﺎﻥ‬ ‫ﺍﻟﻤﺴﺘﻄﻴﻞ‬ ‫ﻟﻘﺎﻋﺪﺓ‬ ‫ﺃﻗﺮﺏ‬ ‫ﺍﻟﻮﺳﻴﻂ‬ ‫ﻛﺎﻥ‬ ‫ﺇﺫﺍ‬ ‫ﺎﺕ‬ .‫ﻣﻨﺨﻔﻀﺔ‬ ‫ﺗﻜﻮﻥ‬ 3 . ‫ﺍﻟﺒﻴﺎﻧﺎﺕ‬ ‫ﻣﻦ‬ ‫ﻛﺜﻴﺮﺓ‬ ً‫ﺎ‬‫ﻗﻴﻤ‬ ‫ﺃﻥ‬ ‫ﺃﻱ‬ ‫ﺍﻻﻟﺘﻮﺍء‬ ‫ﺳﺎﻟﺐ‬ ‫ﺃﻱ‬ ‫ﺍﻟﻴﺴﺎﺭ‬ ‫ﺇﻟﻰ‬ ‫ﻣﻠﺘﻮﻳﺎ‬ ‫ﻳﻜﻮﻥ‬ ‫ﺍﻟﺘﻮﺯﻳﻊ‬ ‫ﻓﺎﻥ‬ ‫ﺍﻟﻤﺴﺘﻄﻴﻞ‬ ‫ﻗﻤﺔ‬ ‫ﺇﻟﻰ‬ ‫ﺃﻗﺮﺏ‬ ‫ﺍﻟﻮﺳﻴﻂ‬ ‫ﻛﺎﻥ‬ ‫ﺇﺫﺍ‬ .‫ﻋﺎﻟﻴﺔ‬ ‫ﺗﻜﻮﻥ‬ ‫ﺃﻥ‬ ‫ﻧﻼﺣﻆ‬ ‫ﺑﺎﻹﻧﺎﺙ‬ ‫ﺍﻟﻤﺘﻌﻠﻖ‬ ‫ﺍﻟﻤﺴﺘﻄﻴﻞ‬ ‫ﺍﻟﻤﺜﺎﻝ‬ ‫ﺳﺒﻴﻞ‬ ‫ﻋﻠﻰ‬ ‫ﺃﺧﺬﻧﺎ‬ ‫ﺇﺫﺍ‬ 1 . ‫ﺃﻛﺒﺮ‬ ‫ﻳﺴﺎﻭﻱ؟‬ ‫ﺭﺍﺗﺐ‬ 2 . ‫ﺃﺻﻐﺮ‬ ‫ﻳﺴﺎﻭﻱ؟‬ ‫ﺭﺍﺗﺐ‬ 3 . ‫ﻳ‬ ‫ﺍﻷﻭﻝ‬ ‫ﺍﻟﺮﺑﻴﻊ‬ ‫ﺴﺎﻭﻱ؟‬ 4 . ‫ﺍﻟﺜﺎﻧﻲ‬ ‫ﺍﻟﺮﺑﻴﻊ‬ ‫)ﺍﻟﻮﺳﻴﻂ‬ ( ‫ﻳﺴﺎﻭﻱ؟‬ 5 . ‫ﻳﺴﺎﻭﻱ؟‬ ‫ﺍﻟﺜﺎﻟﺚ‬ ‫ﺍﻟﺮﺑﻴﻊ‬ 6 . ‫ﺍﻟﻮﺳﻴﻂ‬ ‫ﺃﻗﺮﺏ‬ .‫ﺍﻟﻴﻤﻴﻦ‬ ‫ﺇﻟﻰ‬ ً‫ﺎ‬‫ﻣﻠﺘﻮﻳ‬ ‫ﺍﻟﺘﻮﺯﻳﻊ‬ ‫ﺷﻜﻞ‬ ‫ﻳﻜﻮﻥ‬ ‫ﻟﺬﻟﻚ‬ ‫ﺍﻷﻭﻝ‬ ‫ﺍﻟﺮﺑﻴﻊ‬ ‫ﺇﻟﻰ‬ 7 . .‫ﺷﺎﺫﺓ‬ ‫ﻗﻴﻢ‬ ‫ﺗﻮﺟﺪ‬ ‫ﻻ‬ ‫ﺗﺪﺭﻳﺐ‬ ‫ﺍﺟﺮﺍء‬ ‫ﻳﻤﻜﻦ‬ Explore ‫ﺍﻟﻤﺪﺍﺭﺱ‬ ‫ﻟﺒﻴﺎﻧﺎﺕ‬ schools.sav
  • 51.
    ‫ﺑﺎﺳﺗﺧﺩﺍﻡ‬ ‫ﺍﻻﺣﺻﺎﺋﻲ‬ ‫ﺍﻟﺗﺣﻠﻳﻝ‬ SPSS ‫ﺩ‬ ‫ﺳﻠﻁﺎﻥ‬‫ﺧﻠﻑ‬ . 51 ‫ﺍ‬ ‫ﺍﻟﺠﺰء‬ ‫ﻟﺜﺎﻟﺚ‬ ‫ﺍﻹ‬ ‫ﺍﻻﺳﺘﺪﻻﻝ‬ ‫ﻓﻲ‬ ‫ﻣﻘﺪﻣﺔ‬ ‫ﺣﺼﺎﺋﻲ‬ Introduction to Statistical inference ‫ﻗﺴﻤﻴﻦ‬ ‫ﺇﻟﻰ‬ ‫ﺍﻹﺣﺼﺎﺋﻲ‬ ‫ﺍﻻﺳﺘﺪﻻﻝ‬ ‫ﻁﺮﻕ‬ ‫ﺗﻨﻘﺴﻢ‬ 1 - :‫ﺍﻟﺘﻘﺪﻳﺮ‬ ‫ﻁﺮﻕ‬ Estimation :‫ﻫﻤﺎ‬ ‫ﻗﺴﻤﻴﻦ‬ ‫ﺇﻟﻰ‬ ‫ﻭﺗﻨﻘﺴﻢ‬ 1 - 1 ‫ﺑﻨﻘﻄﺔ‬ ‫ﺍﻟﺘﻘﺪﻳﺮ‬ Point Estimation ‫ﻣﺘﻮﺳﻂ‬ ‫ﺗﻘﺪﻳﺮ‬ – ‫ﺗﺒﺎﻳﻦ‬ – ‫ﻧﺴﺒﺔ‬ 2 - 1 ‫ﺑﻔﺘﺮﺓ‬ ‫ﺍﻟﺘﻘﺪﻳﺮ‬ Interval estimation ‫ﻣﺘﻮﺳﻂ‬ – ‫ﺗﺒﺎﻳﻦ‬ - ‫ﻧﺴﺒﺔ‬ 2 - ‫ﺍﻹﺣ‬ ‫ﺍﻟﻔﺮﺿﻴﺎﺕ‬ ‫ﺍﺧﺘﺒﺎﺭﺍﺕ‬ ‫ﺼﺎﺋﻴﺔ‬ Statistical Hypotheses Testing ‫ﺍﻟﻔﺮﺿﻴﺔ‬ ‫ﺗﻌﺮﻳﻒ‬ Hypothesis ‫ﻫﻲ‬ ‫ﺍﻟﻔﺮﺿﻴﺔ‬ ‫ﻋﺒﺎﺭﺓ‬ ‫ﺍﻟﺪﺭﺍﺳﺔ‬ ‫ﻗﻴﺪ‬ ‫ﺍﻟﻤﺠﺘﻤﻊ‬ ‫ﺣﻮﻝ‬ ‫ﺻﻴﺎﻏﺘﻬﺎ‬ ‫ﻳﻤﻜﻦ‬ ‫ﺟﻤﻠﺔ‬ ‫ﺃﻭ‬ (‫)ﻣﺆﺷﺮﺍﺗﻪ‬ ‫ﻣﻌﺎﻟﻤﻪ‬ ‫ﺍﻟﻔﺮﺿﻴﺔ‬ ‫ﺇﻟﻰ‬ ‫ﻭﺗﻨﻘﺴﻢ‬ . ‫ﺍﻟﻤﺒﺪﺋﻴﺔ‬ ‫)ﻓﺮﺿﻴﺔ‬ ‫ﺍﻟﻌﺪ‬ ‫ﻡ‬ H0 ،( ‫ﺍﻟﺒﺪﻳﻠﺔ‬ ‫ﻭﺍﻟﻔﺮﺿﻴﺔ‬ H1 . ‫ﺍﻹﺣﺻﺎﺋﻲ‬ ‫ﺍﻻﺳﺗﺩﻻﻝ‬ Statistical Inference ‫ﺍﻟﻔﺭﺿﻳﺎﺕ‬ ‫ﺍﺧﺗﺑﺎﺭﺍﺕ‬ Hypotheses Testing ‫ﻻﻣﻌﻠﻣﻳﺔ‬ ‫ﺍﺧﺗﺑﺎﺭﺍﺕ‬ Nonparametric Tests ‫ﻣﻌﻠﻣﻳﺔ‬ ‫ﺍﺧﺗﺑﺎﺭﺍﺕ‬ Parametric Tests ‫ﺍﻟﺗﻘﺩﻳﺭ‬ Estimation ‫ﺑﻔﺗﺭﺓ‬ ‫ﺗﻘﺩﻳﺭ‬ Interval Estimation ‫ﺑﻧﻘﻁﺔ‬ ‫ﺗﻘﺩﻳﺭ‬ Point Estimation
  • 52.
    ‫ﺑﺎﺳﺗﺧﺩﺍﻡ‬ ‫ﺍﻻﺣﺻﺎﺋﻲ‬ ‫ﺍﻟﺗﺣﻠﻳﻝ‬ SPSS ‫ﺩ‬ ‫ﺳﻠﻁﺎﻥ‬‫ﺧﻠﻑ‬ . 52 ‫ﺍﻟﻤﺒﺪﺋﻴﺔ‬ ‫ﺍﻟﻔﺮﺿﻴﺔ‬ ) H0 ( s Null Hypothesi ‫ﻭﻧﺠﺮﻱ‬ ‫ﺍﻟﻤﺠﺘﻤﻊ‬ ‫ﺣﻮﻝ‬ ‫ﻓﺮﺿﻴﺔ‬ ‫ﻫﻲ‬ ‫ﺍﻻﺧﺘﺒﺎﺭ‬ ‫ﻋﻠﻴﻬﺎ‬ ‫ﻋﻴﻨﺔ‬ ‫ﻣﻦ‬ ‫ﺑﻴﺎﻧﺎﺕ‬ ‫ﺑﺎﺳﺘﺨﺪﺍﻡ‬ ‫ﺍﻟﻤﺠﺘﻤﻊ‬ ‫ﻣﻦ‬ ‫ﻣﺴﺤﻮﺑﺔ‬ ‫ﺇﻟﻰ‬ ‫ﻭﺗﺸﻴﺮ‬ ‫ﺑﺎﻟﻤﺠ‬ ‫ﺍﻟﺨﺎﺻﺔ‬ ‫ﺍﻟﻤﻌﻠﻮﻣﺎﺕ‬ ‫ﺑﻴﻦ‬ ‫ﻣﻌﻨﻮﻳﺔ‬ ‫ﻓﺮﻭﻕ‬ ‫ﺗﻮﺟﺪ‬ ‫ﻻ‬ ‫ﺍﻧﻪ‬ ‫ﺑﺎﻟﻌﻴﻨﺔ‬ ‫ﺍﻟﻤﻮﺟﻮﺩﺓ‬ ‫ﻭﺍﻟﻤﻌﻠﻮﻣﺎﺕ‬ ‫ﺘﻤﻊ‬ ‫ﻭﺟﺪﺕ‬ ‫ﺇﻥ‬ ‫ﺍﻟﻔﺮﻭﻕ‬ ‫ﻭﺍﻥ‬ ‫ﻧﺎﺗﺠﺔ‬ ‫ﻓﻬﻲ‬ ‫ﻓﺮﻕ‬ ‫ﻭﻻ‬ ‫ﺍﻟﺼﺪﻓﺔ‬ ‫ﻋﻦ‬ ‫ﺣﻘﻴﻘﻲ‬ ‫ﺑﻴﻨﻬﻤﺎ‬ ‫ﻭﻧﺮﻓﻀﻬﺎ‬ ‫ﻣﻨﻬﺎ‬ ‫ﻧﻨﻄﻠﻖ‬ ‫ﺍﻟﺘﻲ‬ ‫ﺍﻟﻔﺮﺿﻴﺔ‬ ‫ﻭﻫﻲ‬ ‫ﺩﻻﺋﻞ‬ ‫ﺗﺘﻮﻓﺮ‬ ‫ﻋﻨﺪﻣﺎ‬ ‫ﺻﺤﺘﻬﺎ‬ ‫ﻋﺪﻡ‬ ‫ﻋﻠﻰ‬ ‫ﻛﻠﻤﺔ‬ ‫ﻭﺗﻌﻨﻲ‬ ‫ﻧﻘﺒﻠﻬﺎ‬ ‫ﺫﻟﻚ‬ ‫ﻭﺧﻼﻑ‬ Null ‫ﻓﺮﻕ‬ ‫ﻳﻮﺟﺪ‬ ‫ﻻ‬ ‫ﺍﻧﻪ‬ (‫ﺍﻟﺼﻔﺮ‬ ‫ﻳﺴﺎﻭﻱ‬ ‫)ﺍﻟﻔﺮﻕ‬ ‫ﻣﻌﻨﻮﻳﺔ‬ ‫ﺑﻴﻦ‬ ‫ﺍﺧﺘ‬ ‫ﻓﻲ‬ ‫ﻧﺮﻏﺐ‬ ‫ﺍﻟﺘﻲ‬ ‫ﻭﺍﻟﻤﻌﻠﻮﻣﺔ‬ ‫ﺑﺎﻟﻤﺠﺘﻤﻊ‬ ‫ﺍﻟﻤﻮﺟﻮﺩ‬ ‫ﺍﻟﻤﻌﻠﻮﻣﺔ‬ ‫ﺒ‬ .(‫ﺍﻟﻌﻴﻨﺔ‬ ‫ﻣﻦ‬ ‫)ﻣﻌﻠﻮﻣﺔ‬ ‫ﺎﺭﻫﺎ‬ ‫ﺍﻟﺒﺪﻳﻠﺔ‬ ‫ﺍﻟﻔﺮﺿﻴﺔ‬ Alternative Hypothesis (H1) ‫ﺍﻟﻔﺮﺿﻴﺔ‬ ‫ﻫﻲ‬ ‫ﺍﻟﻌﺪﻡ‬ ‫ﻟﻔﺮﺿﻴﺔ‬ ‫ﻛﺒﺪﻳﻞ‬ ‫ﺍﻟﺒﺎﺣﺚ‬ ‫ﻳﻀﻌﻬﺎ‬ ‫ﺍﻟﺘﻲ‬ ‫ﻋﻨﺪﻣﺎ‬ ‫ﻭﻧﻘﺒﻠﻬﺎ‬ ‫ﻟﻴﺴﺖ‬ ‫ﺑﺎﻋﺘﺒﺎﺭﻫﺎ‬ ‫ﺍﻟﻌﺪﻡ‬ ‫ﻓﺮﺿﻴﺔ‬ ‫ﻧﺮﻓﺾ‬ ‫ﺻ‬ ‫ﺍﻟﻤﻌﻠﻮﻣﺎﺕ‬ ‫ﻋﻠﻰ‬ ‫ﺑﻨﺎء‬ ‫ﺤﻴﺤﺔ‬ ‫ﺍﻟﻤﺴﺘ‬ ‫ﺨﻠﺼﺔ‬ .‫ﺍﻟﻌﻴﻨﺔ‬ ‫ﻣﻦ‬ ‫ﺍﻟﻤﻌﻨﻮﻳﺔ‬ ‫ﻣﺴﺘﻮﻯ‬ Level of Significance ‫ﻋﻨﺪ‬ (‫ﺍﻟﺒﺎﺣﺚ‬ ‫)ﻳﺤﺪﺩﻩ‬ ‫ﻣﻌﻴﻦ‬ ‫ﺧﻄﺄ‬ ‫ﻧﺴﺒﺔ‬ ‫ﻋﻦ‬ ‫ﻋﺒﺎﺭﺓ‬ ‫ﻫﻮ‬ ‫ﺍﻹﺣﺼﺎﺋﻴﺔ‬ ‫ﺍﻻﺧﺘﺒﺎﺭﺍﺕ‬ ‫ﻓﻲ‬ ‫ﺍﻟﻤﻌﻨﻮﻳﺔ‬ ‫ﻣﺴﺘﻮﻯ‬ ‫ﺇﻥ‬ ‫ﺭﻓﻀﻪ‬ ‫ﺻﺤﻴﺤﺔ‬ ‫ﻭﻫﻲ‬ ‫ﺍﻟﻤﺒﺪﺋﻴﺔ‬ ‫ﻟﻠﻔﺮﺿﻴﺔ‬ ‫ﺑﺎﻟﺨﻄﺄ‬ ‫ﻳﻌﺮﻑ‬ ‫ﺍﻟﺨﻄﺄ‬ ‫ﻭﻫﺬﺍ‬ ‫ﺻﺤﻴﺤﺔ‬ ‫ﻭﻫﻲ‬ ‫ﺍﻟﻤﺒﺪﺋﻴﺔ‬ ‫ﺍﻟﻔﺮﺿﻴﺔ‬ ‫ﻳﺮﻓﺾ‬ ‫ﺃﻧﻪ‬ ‫ﺑﻤﻌﻨﻰ‬ .‫ﺍﻟﻤﻌﻨﻮﻳﺔ‬ ‫ﻣﺴﺘﻮﻯ‬ ‫ﺃﺣﻴﺎﻧﺎ‬ ‫ﻭﻳﺴﻤﻰ‬ ‫ﺍﻷﻭﻝ‬ ‫ﺍﻟﻨﻮﻉ‬ ‫ﻣﻦ‬ ‫ﺍﻹﺣﺼﺎﺋﻴﺔ‬ ‫ﺍﻻﺧﺘﺒﺎﺭﺍﺕ‬ ‫ﺃﻗﺴﺎﻡ‬ 1 - ) ‫ﻣﻌﻠﻤﻴﺔ‬ ‫ﺍﺧﺘﺒﺎﺭﺍﺕ‬ ‫ﺑﺎﺭﺍ‬ (‫ﻣﺘﺮﻳﺔ‬ Tests Parametric ‫ﻭﺍﺧ‬ ‫ﺍﻟﻤﺠﺘﻤﻌﺎﺕ‬ ‫ﻟﻤﻌﺎﻟﻢ‬ ‫ﺍﻻﺧﺘﺒﺎﺭﺍﺕ‬ ‫ﻫﺬﻩ‬ ‫ﺗﺴﺘﺨﺪﻡ‬ ‫ﺍ‬ ‫ﻟﻤﺠﺘﻤﻊ‬ ‫ﺍﻻﺣﺘﻤﺎﻟﻲ‬ ‫ﺍﻟﺘﻮﺯﻳﻊ‬ ‫ﻣﻌﺮﻓﺔ‬ ‫ﺇﻟﻰ‬ ‫ﺍﺳﺘﻨﺎﺩﺍ‬ ‫ﺘﺒﺎﺭﻫﺎ‬ ‫ﺍﻟﺬﻱ‬ ‫ﻟﺪﺭﺍﺳﺔ‬ .‫ﻣﻨﻪ‬ ‫ﺍﻟﻌﻴﻨﺔ‬ ‫ﺳﺤﺐ‬ ‫ﺗﻢ‬ :‫ﻣﻨﻬﺎ‬ ‫ﺍﻟﻤﻌﻠﻤﻴﺔ‬ ‫ﺍﻻﺧﺘﺒﺎﺭﺍﺕ‬ ‫ﺗﻄﺒﻴﻖ‬ ‫ﻳﺘﻢ‬ ‫ﺣﺘﻰ‬ ‫ﺗﻮﺍﻓﺮﻫﺎ‬ ‫ﻣﻦ‬ ‫ﻻﺑﺪ‬ ‫ﻧﻈﺎﻣﻴﺔ‬ ‫ﺷﺮﻭﻁ‬ ‫ﻋﺪﺓ‬ ‫ﺃﻳﻀﺎ‬ ‫ﻭﻫﻨﺎﻙ‬  ‫ﺍﻻﻋﺘﺪﺍﻟﻴﺔ‬ : ) ‫ﻛﺒﻴﺮ‬ ‫ﺍﻟﻌﻴﻨﺎﺕ‬ ‫ﺣﺠﻢ‬ ‫ﻳﻜﻮﻥ‬ ‫ﻋﻨﺪﻣﺎ‬ ‫ﻋﻨﻪ‬ ‫ﺍﻻﺳﺘﻐﻨﺎء‬ ‫ﻳﻤﻜﻦ‬ ‫ﺍﻟﺸﺮﻁ‬ ‫ﻫﺬﺍ‬ ‫ﺃﻛﺒﺮ‬ ‫ﻣﻦ‬ 30 .(‫ﻣﺸﺎﻫﺪﺓ‬  ‫ﺍﻟﺘﺠﺎﻧﺲ‬ : ‫)ﺍﺧﺘﺒﺎﺭ‬ ‫ﻣﻨﻪ‬ ‫ﺍﻟﺘﺤﻘﻖ‬ ‫ﻣﻦ‬ ‫ﻭﻻﺑﺪ‬ (‫ﺍﻟﺘﺒﺎﻳﻦ‬ ‫ﻟﺘﺴﺎﻭﻱ‬ ‫ﻟﻴﻔﻨﻲ‬ .  ‫ﺍﻻﺳﺘﻘﻼﻝ‬ ‫ﻫﺬﺍ‬ : ‫ﻳﺄﺧﺬﻩ‬ ‫ﺍﻟﺸﺮﻁ‬ .‫ﻣﻨﻪ‬ ‫ﺍﻟﺘﺤﻘﻖ‬ ‫ﻳﺠﺐ‬ ‫ﻭﻻ‬ ‫ﺍﻟﺘﺠﺮﺑﺔ‬ ‫ﺗﺼﻤﻴﻢ‬ ‫ﻋﻨﺪ‬ ‫ﺍﻻﻋﺘﺒﺎﺭ‬ ‫ﻓﻲ‬ ‫ﺍﻟﺒﺎﺣﺚ‬  ‫ﺍﻟﻌﺸﻮﺍﺋ‬ ‫ﻴﺔ‬ ‫ﻫﺬﺍ‬ : ‫ﻳﺄﺧﺬﻩ‬ ‫ﺍﻟﺸﺮﻁ‬ ‫ﻓﻲ‬ ‫ﺍﻟﺒﺎﺣﺚ‬ .‫ﻣﻨﻪ‬ ‫ﺍﻟﺘﺤﻘﻖ‬ ‫ﻳﺠﺐ‬ ‫ﻭﻻ‬ ‫ﺍﻟﺘﺠﺮﺑﺔ‬ ‫ﺗﺼﻤﻴﻢ‬ ‫ﻋﻨﺪ‬ ‫ﺍﻻﻋﺘﺒﺎﺭ‬  ‫ﺍﻟﺒﻴﺎﻧﺎﺕ‬ ‫ﺍﻟ‬ ‫ﻜﻤﻴﺔ‬ ‫ﺍﻟﺸﺮﻁ‬ ‫ﻫﺬﺍ‬ : ‫ﻳﺄ‬ ‫ﺧﺬﻩ‬ .‫ﻣﻨﻪ‬ ‫ﺍﻟﺘﺤﻘﻖ‬ ‫ﻳﺠﺐ‬ ‫ﻭﻻ‬ ‫ﺍﻟﺘﺠﺮﺑﺔ‬ ‫ﺗﺼﻤﻴﻢ‬ ‫ﻋﻨﺪ‬ ‫ﺑﺎﻻﻋﺘﺒﺎﺭ‬ ‫ﺍﻟﺒﺎﺣﺚ‬
  • 53.
    ‫ﺑﺎﺳﺗﺧﺩﺍﻡ‬ ‫ﺍﻻﺣﺻﺎﺋﻲ‬ ‫ﺍﻟﺗﺣﻠﻳﻝ‬ SPSS ‫ﺩ‬ ‫ﺳﻠﻁﺎﻥ‬‫ﺧﻠﻑ‬ . 53 ‫ﺍﻻﺳﺘﻐﻨﺎء‬ ‫ﻭﻳﻤﻜﻦ‬ (‫ﺍﻻﺧﺘﺒﺎﺭ‬ ‫)ﺣﺴﺐ‬ ‫ﺑﻌﻀﻬﺎ‬ ‫ﺃﻭ‬ ‫ﺟﻤﻴﻌﺎ‬ ‫ﺍﻟﺸﺮﻭﻁ‬ ‫ﻫﺬﻩ‬ ‫ﻟﺘﻮﺍﻓﺮ‬ ‫ﺗﺤﺘﺎﺝ‬ ‫ﺍﻟﻤﻌﻠﻤﻴﺔ‬ ‫ﺍﻻﺧﺘﺒﺎﺭﺍﺕ‬ ‫ﺑﻌﺾ‬ ‫ﺇﻥ‬ ‫ﺑﻌﻀﻬﺎ‬ ‫ﻋﻦ‬ ‫ﻋﺪﺩﺍ‬ ‫ﺍﻟﺪﻭﺭﺓ‬ ‫ﻫﺬﻩ‬ ‫ﺧﻼﻝ‬ ‫ﻧﻘﺪﻡ‬ ‫ﻭﺳﻮﻑ‬ ‫ﻭﺍﻟﺸ‬ ‫ﺍﺳﺘﺨﺪﺍﻣﻬﺎ‬ ‫ﻭﺑﻴﺎﻥ‬ ‫ﺍﻟﻤﻌﻠﻤﻴﺔ‬ ‫ﺍﻻﺧﺘﺒﺎﺭﺍﺕ‬ ‫ﻣﻦ‬ ‫ﺍﻟﻮﺍﺟﺐ‬ ‫ﺮﻭﻁ‬ .‫ﻣﻨﻬﺎ‬ ‫ﻛﻞ‬ ‫ﻓﻲ‬ ‫ﺗﻮﺍﻓﺮﻫﺎ‬ 2 - (‫)ﻻﺑﺎﺭﺍﻣﺘﺮﻳﺔ‬ ‫ﻻﻣﻌﻠﻤﻴﺔ‬ ‫ﺍﺧﺘﺒﺎﺭﺍﺕ‬ Nonparametric Tests ‫ﻛﻤﺎ‬ .‫ﺍﻟﺪﺭﺍﺳﺔ‬ ‫ﻋﻴﻨﺔ‬ ‫ﻣﻨﻪ‬ ‫ﺍﻟﻤﺴﺤﻮﺏ‬ ‫ﺍﻟﻤﺠﺘﻤﻊ‬ ‫ﺗﻮﺯﻳﻊ‬ ‫ﺣﻮﻝ‬ ‫ﻣﻌﻠﻮﻣﺎﺕ‬ ‫ﺃﻱ‬ ‫ﻫﻨﺎﻙ‬ ‫ﻳﻜﻮﻥ‬ ‫ﻻ‬ ‫ﻋﻨﺪﻣﺎ‬ ‫ﺍﻻﺧﺘﺒﺎﺭﺍﺕ‬ ‫ﻫﺬﻩ‬ ‫ﺗﺴﺘﺨﺪﻡ‬ ‫ﺍﻻﻋﺘﺒﺎﺭ‬ ‫ﻓﻲ‬ ‫ﺗﺆﺧﺬ‬ ‫ﺃﻥ‬ ‫ﻳﺠﺐ‬ ‫ﻭﺍﻟﻌﺸﻮﺍﺋﻴﺔ‬ ‫ﺍﻻﺳﺘﻘﻼﻝ‬ ‫ﻣﺜﻞ‬ ‫ﺷﺮﻭﻁ‬ ‫ﻫﻨﺎﻙ‬ ‫ﺍﻥ‬ ‫ﺗﺼﻤﻴ‬ ‫ﻋﻨﺪ‬ ‫ﻢ‬ .‫ﺇﺣﺼﺎﺋﻴﺔ‬ ‫ﺩﺭﺍﺳﺔ‬ ‫ﺃﻱ‬ ‫ﻭﺍﻟﻼﻣﻌﻠﻤﻴﺔ‬ ‫ﺍﻟﻤﻌﻠﻤﻴﺔ‬ ‫ﺍﻻﺧﺘﺒﺎﺭﺍﺕ‬ ‫ﺑﻴﻦ‬ ‫ﻣﻘﺎﺭﻧﺔ‬ ‫ﻳﻤﺜﻞ‬ ‫ﺍﻟﺘﺎﻟﻲ‬ ‫ﺍﻟﺠﺪﻭﻝ‬ ‫ﺍﻟﻤﻘﺎﺭﻧﺔ‬ ‫ﻭﺟﻪ‬ ‫ﺍﻟﻤﻌﻠﻤﻲ‬ ‫ﺍﻻﺧﺘﺒﺎﺭ‬ ‫ﺍﻟﻼﻣﻌﻠﻤﻲ‬ ‫ﺍﻻﺧﺘﺒﺎﺭ‬ ‫ﺍﻻﺳﺘﺨﺪﺍﻡ‬ ‫ﺑﻤﻌﺎﻟﻢ‬ ‫ﺍﻟﻤﺘﻌﻠﻘﺔ‬ ‫ﺍﻟﻔﺮﺿﻴﺎﺕ‬ ‫ﺻﺤﺔ‬ ‫ﻣﻦ‬ ‫ﺍﻟﺘﺤﻘﻖ‬ ‫ﻣﺤﺪﺩﺓ‬ ‫ﺗﻮﺯﻳﻌﺎﺕ‬ ‫ﻟﻬﺎ‬ ‫ﻣﺠﺘﻤﻌﺎﺕ‬ ‫ﺍﻟﻤﺘﻌﻠﻘﺔ‬ ‫ﺍﻟﻔﺮﺿﻴﺎﺕ‬ ‫ﺻﺤﺔ‬ ‫ﻣﻦ‬ ‫ﺍﻟﺘﺤﻘﻖ‬ ‫ﻟﻬﺎ‬ ‫ﻟﻴﺲ‬ ‫ﺑﻤﺠﺘﻤﻌﺎﺕ‬ ‫ﻣﺤﺪﺩﺓ‬ ‫ﺗﻮﺯﻳﻌﺎﺕ‬ ‫ﺍﻟﻨﻈﺎﻣﻴﺔ‬ ‫ﺍﻟﺸﺮﻭﻁ‬ ‫ﺍﺧﺘﺒﺎﺭﺍﺕ‬ ‫)ﻫﻨﺎﻙ‬ ‫ﻋﻦ‬ ‫ﺗﺴﺘﻐﻨﻲ‬ ‫ﻫﺬﻩ‬ ‫ﺑﻌﺾ‬ (‫ﺍﻟﺸﺮﻭﻁ‬ ) ‫ﺍﻻﻋﺘﺪﺍﻟﻴﺔ‬ ‫ﺣﺠﻢ‬ ‫ﺃﻭ‬ (‫ﻛﺒﻴﺮﺓ‬ ‫ﻋﻴﻨﺎﺕ‬ ‫ﺍﻟﻌﺸﻮﺍﺋﻴﺔ‬ ‫ﺍﻟﺘﺠﺎﻧﺲ‬ ‫ﺍﻻﺳﺘﻘﻼﻝ‬ ‫ﻛﻤﻴﺔ‬ ‫ﻗﻴﺎﺳﺎﺕ‬ ‫ﺍﻟﺘﻮﺯﻳﻊ‬ ‫ﻋﻠﻰ‬ ‫ﺷﺮﻭﻁ‬ ‫ﻫﻨﺎﻙ‬ ‫ﻟﻴﺲ‬ ‫ﺻﻐﻴﺮﺓ‬ ‫ﻋﻴﻨﺎﺕ‬ (‫ﺍﻟﺘﻮﺯﻳﻊ‬ ‫ﻣﻌﺮﻓﺔ‬ ‫ﻋﺪﻡ‬ ‫ﺣﺎﻟﺔ‬ ‫)ﻓﻲ‬ ‫ﺑﻌﺾ‬ ‫ﺍﻻﺧﺘﺒﺎﺭﺍﺕ‬ ‫ﻓﻲ‬ ‫ﺍﻟﻤﻤﻜﻨﺔ‬ SPSS - One-Sample T Test - Independent samples T Test - Paired Samples T Test - One-Way ANOVA - Two-Way ANOVA - Chi-Square Test - Binomial Test - Runs - 1-Sample K-S - 2-Sample K-S - 2-Independent Samples - K-Independent Samples - 2-Related Samples - K-Related Samples
  • 54.
    ‫ﺑﺎﺳﺗﺧﺩﺍﻡ‬ ‫ﺍﻻﺣﺻﺎﺋﻲ‬ ‫ﺍﻟﺗﺣﻠﻳﻝ‬ SPSS ‫ﺩ‬ ‫ﺳﻠﻁﺎﻥ‬‫ﺧﻠﻑ‬ . 54 ‫ﺍﻟﺸ‬ ‫ﺑﻌﺾ‬ ‫ﻣﻦ‬ ‫ﺍﻟﺘﺤﻘﻖ‬ ‫ﻁﺮﻕ‬ (‫)ﺍﻟﺒﺎﺭﺍﻣﺘﺮﻳﺔ‬ ‫ﺍﻟﻤﻌﻠﻤﻴﺔ‬ ‫ﺍﻻﺧﺘﺒﺎﺭﺍﺕ‬ ‫ﻓﻲ‬ ‫ﺍﻟﻨﻈﺎﻣﻴﺔ‬ ‫ﺮﻭﻁ‬ ‫ﺍﻻﻋﺘﺪﺍﻟﻴﺔ‬ ‫ﺍﺧﺘﺒﺎﺭﺍﺕ‬ Normality Tests (‫ﺍﻟﻄﺒﻴﻌﻲ‬ ‫ﻟﻠﺘﻮﺯﻳﻊ‬ ‫ﺍﻟﺒﻴﺎﻧﺎﺕ‬ ‫ﻣﻼﺋﻤﺔ‬ ‫)ﻣﺪﻯ‬ ‫ﺧﻼﻝ‬ ‫ﻣﻦ‬ ‫ﺍﻟﻄﺒﻴﻌﻲ‬ ‫ﻟﻠﺘﻮﺯﻳﻊ‬ ‫ﺍﻟﺒﻴﺎﻧﺎﺕ‬ ‫ﻣﻼﺋﻤﺔ‬ ‫ﻣﺪﻯ‬ ‫ﻋﻦ‬ ‫ﺍﻟﻜﺸﻒ‬ ‫ﻳﺘﻢ‬ ‫ﻋﺪﺓ‬ :‫ﻣﻨﻬﺎ‬ ‫ﺍﺧﺘﺒﺎﺭﺍﺕ‬ 1 - ‫ﻛﻮﻟﻤﻮﺟﺮﻭﻑ‬ ‫ﺍﺧﺘﺒﺎﺭ‬ – ‫ﺳﻤﻴﺮﻧﻮﻑ‬ 2 - ‫ﺷﺎﺑﻴﺮﻭ‬ ‫ﺍﺧﺘﺒﺎﺭ‬ – ‫ﻭﻳﻠﻚ‬ 3 - ‫ﺍﻟﺮﺳﻢ‬ Q-Q ‫ﻋﻠﻰ‬ ‫ﻧﺘﻌﺮﻑ‬ ‫ﻭﺳﻮﻑ‬ .‫ﺍﻟﺪﺭﺍﺳﺔ‬ ‫ﻗﻴﺪ‬ ‫ﻣﺠﺘﻤﻊ‬ ‫ﻣﻦ‬ ‫ﻣﺴﺤﻮﺑﺔ‬ ‫ﺍﻟﺪﺭﺍﺳﺔ‬ ‫ﻗﻴﺪ‬ ‫ﺍﻟﻌﻴﻨﺔ‬ ‫ﻛﺎﻧﺖ‬ ‫ﺇﺫﺍ‬ ‫ﻣﺎ‬ ‫ﻟﻤﻌﺮﻓﺔ‬ ‫ﺍﻷﺳﺎﻟﻴﺐ‬ ‫ﻫﺬﻩ‬ ‫ﺗﺴﺘﺨﺪﻡ‬ .‫ﺍﻟﺘﺎﻟﻲ‬ ‫ﺍﻟﻤﺜﺎﻝ‬ ‫ﻣﻦ‬ ‫ﺍﻻﺧﺘﺒﺎﺭ‬ ‫ﺧﻄﻮﺍﺕ‬ ) ‫ﺗﻄﺒﻴﻖ‬ 4 ( ‫ﺍﻟﻜﻠﻴﺎﺕ‬ ‫ﺑﺈﺣﺪﻯ‬ ‫ﺍﻹﺣﺼﺎء‬ ‫ﻣﻘﺮﺭ‬ ‫ﻓﻲ‬ ‫ﺍﻟﻄﻼﺏ‬ ‫ﺩﺭﺟﺎﺕ‬ ‫ﻣﻦ‬ ‫ﻋﺸﻮﺍﺋﻴﺔ‬ ‫ﻋﻴﻨﺔ‬ ‫ﺗﻤﺜﻞ‬ ‫ﺍﻟﺘﺎﻟﻴﺔ‬ ‫ﺍﻟﺒﻴﺎﻧﺎﺕ‬ 15, 11, 8, 10, 12, 16, 14, 3, 11, 15, 10, 16, 7, 10, 15 ‫ﻣﺠﺘﻤﻊ‬ ‫ﻣﻦ‬ ‫ﻣﺴﺤﻮﺑﺔ‬ ‫ﺍﻟﻌﻴﻨﺔ‬ ‫ﻫﺬﻩ‬ ‫ﻫﻞ‬ ‫ﻁ‬ ‫ﺒﻴﻌﻲ؟‬ (‫)ﺩﻻﻟﺔ‬ ‫ﻣﻌﻨﻮﻳﺔ‬ ‫ﻣﺴﺘﻮﻯ‬ ‫ﺍﺳﺘﺨﺪﻡ‬ 5 .% ‫ﺍﻟﺨﻄﻮﺍﺕ‬ 1 - ‫ﺍﻟﻔﺮﺿﻴﺎﺕ‬ ‫ﺻﻴﺎﻏﺔ‬ (‫ﺍﻟﻌﺪﻡ‬ ‫)ﻓﺮﺽ‬ ‫ﺍﻟﺼﻔﺮﻱ‬ ‫ﺍﻟﻔﺮﺽ‬ 0 H : ‫ﺍﻟﻄﺒﻴﻌﻲ‬ ‫ﻟﻠﺘﻮﺯﻳﻊ‬ ‫ﻳﺨﻀﻊ‬ ‫ﻣﺠﺘﻤﻊ‬ ‫ﻣﻦ‬ ‫ﻣﺴﺤﻮﺑﺔ‬ ‫ﺍﻟﺒﻴﺎﻧﺎﺕ‬ ‫ﺍﻟﺒﺪﻳﻞ‬ ‫ﺍﻟﻔﺮﺽ‬ 1 H : ‫ﺍﻟﻄﺒﻴﻌﻲ‬ ‫ﻟﻠﺘﻮﺯﻳﻊ‬ ‫ﻳﺨﻀﻊ‬ ‫ﻻ‬ ‫ﻣﺠﺘﻤﻊ‬ ‫ﻣﻦ‬ ‫ﻣﺴﺤﻮﺑﺔ‬ ‫ﺍﻟﺒﻴﺎﻧﺎﺕ‬ 2 - :‫ﺍﻻﺧﺘﺒﺎﺭ‬ ‫ﻭﺇﺟﺮﺍء‬ ‫ﺍﻟﺒﻴﺎﻧﺎﺕ‬ ‫ﺇﺩﺧﺎﻝ‬ ‫ﺍﻟﺒﻴﺎﻧﺎﺕ‬ ‫ﻧﺪﺧﻞ‬ ‫ﺇﻟﻰ‬ ‫ﺑﺮﻧﺎﻣﺞ‬ SPSS :‫ﺍﻟﺘﺎﻟﻲ‬ ‫ﺍﻟﻤﺴﺎﺭ‬ ‫ﻭﻧﺨﺘﺎﺭ‬ Analyze  Descriptive Statistics  Explore
  • 55.
    ‫ﺑﺎﺳﺗﺧﺩﺍﻡ‬ ‫ﺍﻻﺣﺻﺎﺋﻲ‬ ‫ﺍﻟﺗﺣﻠﻳﻝ‬ SPSS ‫ﺩ‬ ‫ﺳﻠﻁﺎﻥ‬‫ﺧﻠﻑ‬ . 55 ‫ﺍﻟﻤﺮﺑﻊ‬ ‫ﻓﻲ‬ ‫ﺍﻟﺒﻴﺎﻧﺎﺕ‬ ‫ﻋﻠﻰ‬ ‫ﻳﺤﺘﻮﻱ‬ ‫ﺍﻟﺬﻱ‬ ‫ﺍﻟﻤﺘﻐﻴﺮ‬ ‫ﻧﺪﺧﻞ‬ Dependent List ‫ﻋﻠﻰ‬ ‫ﻧﻀﻐﻂ‬ ‫ﺛﻢ‬ Plot ‫ﺍﻟﻤﺮﺑﻊ‬ ‫ﻓﻴﻈﻬﺮ‬ :‫ﺍﻟﺘﺎﻟﻲ‬ ‫ﺍﻟﻔﺮﻋﻲ‬ ‫ﻧﺨﺘﺎﺭ‬ Normal plots with tests ‫ﻭﻧﻀﻐﻂ‬ Continue ‫ﻧﻀﻐﻂ‬ ‫ﺛﻦ‬ ‫ﺍﻷﺻﻠﻲ‬ ‫ﻟﻠﻤﺮﺑﻊ‬ ‫ﻓﻨﺮﺟﻊ‬ OK .‫ﺍﻟﻨﺘﺎﺋﺞ‬ ‫ﻓﺘﻈﻬﺮ‬
  • 56.
    ‫ﺑﺎﺳﺗﺧﺩﺍﻡ‬ ‫ﺍﻻﺣﺻﺎﺋﻲ‬ ‫ﺍﻟﺗﺣﻠﻳﻝ‬ SPSS ‫ﺩ‬ ‫ﺳﻠﻁﺎﻥ‬‫ﺧﻠﻑ‬ . 56 ‫ﻧﺨﺘﺎﺭ‬ ‫ﺍﻟﻨﺘﺎﺋﺞ‬ ‫ﻣﻦ‬ ‫ﻛﻮﻟﻤﻮﺟﺮﻭﻑ‬ ‫ﺍﺧﺘﺒﺎﺭ‬ ‫ﻳﻈﻬﺮ‬ ‫ﺍﻟﺬﻱ‬ ‫ﺍﻟﺘﺎﻟﻲ‬ ‫ﺍﻟﺠﺪﻭﻝ‬ – ‫ﻭﻳﻠﻚ‬ ‫ﺷﺎﺑﻴﺮﻭ‬ ‫ﺍﺧﺘﺒﺎﺭ‬ ‫ﻭﻛﺬﻟﻚ‬ ‫ﺳﻤﻴﺮﻧﻮﻑ‬ Tests of Normality Kolmogorov-Smirnova Shapiro-Wilk Statistic df Sig. Statistic df Sig. Marks .156 15 .200* .921 15 .202 *. This is a lower bound of the true significance. a. Lilliefors Significance Correction ‫ﺍﻟﺸﻜﻞ‬ ‫ﻳﻤﺜﻞ‬ ‫ﺍﻟﺬﻱ‬ ‫ﺍﻟﺘﺎﻟﻲ‬ ‫ﻭﺍﻟﺸﻜﻞ‬ Q-Q 3 - ‫ﻋ‬ ‫ﺍﻟﺘﻌﻠﻴﻖ‬ :‫ﻭﺍﻟﻘﺮﺍﺭ‬ ‫ﺍﻟﻨﺘﺎﺋﺞ‬ ‫ﻠﻰ‬ ‫ﻗﻴﻤﺔ‬ ‫ﺃﻥ‬ ‫ﻫﻨﺎ‬ ‫ﻧﻼﺣﻆ‬ p-value (sig)=0.2 ‫ﻭﺍﻥ‬ ‫ﻛﻮﻟﻤﻮﺟﺮﻭﻑ‬ ‫ﺍﺧﺘﺒﺎﺭ‬ ‫ﻓﻲ‬ p-value (sig)=0.202 ‫ﻓﻲ‬ ‫ﺷﺎﺑﻴﺮﻭ‬ ‫ﺍﺧﺘﺒﺎﺭ‬ – ‫ﻭﻳﻠﻚ‬ ‫ﻣﻦ‬ ‫ﺍﻛﺒﺮ‬ ‫ﺍﻟﻘﻴﻢ‬ ‫ﻭﻫﺬﻩ‬ 0.05 ‫ﺍ‬ ‫)ﻣﺴﺘﻮﻱ‬ (‫ﻣﺴﺒﻘﺎ‬ ‫ﺍﻟﺒﺎﺣﺚ‬ ‫ﺣﺪﺩﻩ‬ ‫ﺍﻟﺬﻱ‬ ‫ﻟﻤﻌﻨﻮﻳﺔ‬ ‫ﻓﺎﻥ‬ ‫ﻟﺬﻟﻚ‬ ‫ﻗﺒﻮﻝ‬ ‫ﻫﻮ‬ ‫ﻫﻨﺎ‬ ‫ﺍﻟﻘﺮﺍﺭ‬ H0 ‫ﻣﺠﺘ‬ ‫ﻣﻦ‬ ‫ﻣﺴﺤﻮﺑﺔ‬ ‫ﺍﻟﺒﻴﺎﻧﺎﺕ‬ ‫ﺃﻥ‬ ‫ﺃﻱ‬ ، ‫ﺍﻟﺸﻜﻞ‬ ‫ﻭﺑﻔﺤﺺ‬ .‫ﺍﻟﻄﺒﻴﻌﻲ‬ ‫ﻟﻠﺘﻮﺯﻳﻊ‬ ‫ﻳﺨﻀﻊ‬ ‫ﻤﻊ‬ Q- Q ‫ﻟﻘﺒﻮﻝ‬ ‫ﻳﺪﻋﻢ‬ ‫ﻣﻤﺎ‬ ‫ﺍﻟﻤﺴﺘﻘﻴﻢ‬ ‫ﺍﻟﺨﻂ‬ ‫ﻋﻦ‬ ‫ﺑﺴﻴﻄﺔ‬ ‫ﺍﺧﺘﻼﻓﺎﺕ‬ ‫ﻫﻨﺎﻙ‬ ‫ﻧﻼﺣﻆ‬ H0 . ‫ﻣﻼﺣﻈﺎﺕ‬ 1 - ‫ﻳﺴﺎﻭﻯ‬ ‫ﺃﻭ‬ ‫ﻣﻦ‬ ‫ﺍﻛﺒﺮ‬ ‫ﺍﻟﺪﺭﺍﺳﺔ‬ ‫ﻋﻴﻨﺔ‬ ‫ﺣﺠﻢ‬ ‫ﻛﺎﻥ‬ ‫ﻁﺎﻟﻤﺎ‬ ‫ﺍﻻﻋﺘﺪﺍﻟﻴﺔ‬ ‫ﺍﺧﺘﺒﺎﺭ‬ ‫ﻋﻦ‬ ‫ﺍﻻﺳﺘﻐﻨﺎء‬ ‫ﻳﻤﻜﻦ‬ 30 ‫ﻭﺫﻟﻚ‬ ‫ﻣﺸﺎﻫﺪﺓ‬ .‫ﺍﻟﻤﺮﻛﺰﻳﺔ‬ ‫ﺍﻟﻨﻬﺎﻳﺔ‬ ‫ﻧﻈﺮﻳﺔ‬ ‫ﺑﻤﻮﺟﺐ‬ Observed Value 15 10 5 Expected Normal 2 1 0 -1 -2 Normal Q-Q Plot of Marks
  • 57.
    ‫ﺑﺎﺳﺗﺧﺩﺍﻡ‬ ‫ﺍﻻﺣﺻﺎﺋﻲ‬ ‫ﺍﻟﺗﺣﻠﻳﻝ‬ SPSS ‫ﺩ‬ ‫ﺳﻠﻁﺎﻥ‬‫ﺧﻠﻑ‬ . 57 2 - ‫ﺃﺧﺮ‬ ‫ﻁﺮﻳﻘﺔ‬ ‫ﻳﻮﺟﺪ‬ ‫ﻛﻮﻟﻤﻮﺟﺮﻭﻑ‬ ‫ﺑﺎﺳﺘﺨﺪﺍﻡ‬ ‫ﺍﻻﻋﺘﺪﺍﻟﻴﺔ‬ ‫ﻻﺧﺘﺒﺎﺭ‬ ‫ﻯ‬ – ‫ﺗﻨﻔﻴﺬﻫﺎ‬ ‫ﻭﻳﻤﻜﻦ‬ ‫ﺳﻤﻴﺮﻧﻮﻑ‬ ‫ﺑ‬ ‫ﺍﻟﻤﺴﺎﺭ‬ ‫ﺈﺗﺒﺎﻉ‬ Analyze  Nonparametric Tests  Legacy Dialog  1-sample K-S ‫ﺍﻟﺘﺎﻟﻲ‬ ‫ﺍﻟﺤﻮﺍﺭ‬ ‫ﻣﺮﺑﻊ‬ ‫ﻋﻠﻰ‬ ‫ﻧﺤﺼﻞ‬ ‫ﺍﻟﺪﺭﺟﺎﺕ‬ ‫ﻣﺘﻐﻴﺮ‬ ‫ﻧﻨﻘﻞ‬ Marks ‫ﺍﻟﻤﺮﺑﻊ‬ ‫ﺩﺍﺧﻞ‬ Test variable List ‫ﻧﺨﺘﺎﺭ‬ ‫ﺛﻢ‬ Normal ‫ﺗﺤﺖ‬ Test distribution ‫ﻭﻧﻀﻐﻂ‬ OK ‫ﻋﻠﻰ‬ ‫ﻓﻨﺤﺼﻞ‬ One-Sample Kolmogorov-Smirnov Test Marks N 15 Normal Parametersa,b Mean 11.5333 Std. Deviation 3.73911 Most Extreme Differences Absolute .156 Positive .116 Negative -.156 Test Statistic .156 Asymp. Sig. (2-tailed) .200c,d a. Test distribution is Normal. b. Calculated from data. c. Lilliefors Significance Correction. d. This is a lower bound of the true significance. ‫ﺃﻥ‬ ‫ﺃﻳﻀﺎ‬ ‫ﻧﻼﺣﻆ‬ ‫ﺍﻟﺠﺪﻭﻝ‬ ‫ﻣﻦ‬ Asymp sig (2-tailled)= 0.200 ‫ﻣﻦ‬ ‫ﺍﻛﺒﺮ‬ ‫ﻭﻫﻲ‬ 5 ‫ﺗﺘﺒﻊ‬ ‫ﺍﻟﺪﺭﺟﺎﺕ‬ ‫ﻓﺎﻥ‬ ‫ﻭﺑﺎﻟﺘﺎﻟﻲ‬ % .‫ﺍﻟﻄﺒﻴﻌﻲ‬ ‫ﺍﻟﺘﻮﺯﻳﻊ‬
  • 58.
    ‫ﺑﺎﺳﺗﺧﺩﺍﻡ‬ ‫ﺍﻻﺣﺻﺎﺋﻲ‬ ‫ﺍﻟﺗﺣﻠﻳﻝ‬ SPSS ‫ﺩ‬ ‫ﺳﻠﻁﺎﻥ‬‫ﺧﻠﻑ‬ . 58 ‫ﺑﻴﻦ‬ ‫ﺍﻟﺘﺠﺎﻧﺲ‬ ‫ﺷﺮﻁ‬ ‫ﺍﺧﺘﺒﺎﺭ‬ :‫ﺍﻟﻌﻴﻨﺎﺕ‬ Homogeneity of variance test ‫ﺑﺎﺧﺘﺒﺎﺭ‬ ‫ﺃﻳﻀﺎ‬ ‫ﻫﺬﺍ‬ ‫ﻭﻳﻌﺮﻑ‬ ‫ﻟﻴﻔﻨﻲ‬ Levene's Test ‫ﻭﻧﺮ‬ ‫ﻋﻴﻨﺎﺕ‬ ‫ﻋﺪﺓ‬ ‫ﻟﺪﻳﻨﺎ‬ ‫ﻳﻜﻮﻥ‬ ‫ﻋﻨﺪﻣﺎ‬ ‫ﺍﻻﺧﺘﺒﺎﺭ‬ ‫ﻫﺬﺍ‬ ‫ﺍﺳﺘﺨﺪﺍﻡ‬ ‫ﻳﺘﻢ‬ ‫ﺍﻟﻌﻴﻨﺎﺕ‬ ‫ﻫﺬﻩ‬ ‫ﺗﺠﺎﻧﺲ‬ ‫ﺍﺧﺘﺒﺎﺭ‬ ‫ﻓﻲ‬ ‫ﻏﺐ‬ ‫ﻧﻘﻮﻡ‬ ‫ﻭﺳﻮﻑ‬ :‫ﺍﻟﺘﺎﻟﻲ‬ ‫ﺍﻟﺘﺪﺭﻳﺐ‬ ‫ﺧﻼﻝ‬ ‫ﻣﻦ‬ ‫ﺍﻻﺧﺘﺒﺎﺭ‬ ‫ﺑﺘﻮﺿﻴﺢ‬ ) ‫ﺗﻄﺒﻴﻖ‬ 5 ( ‫ﻣﻘﺮ‬ ‫ﻓﻲ‬ ‫ﻣﺨﺘﻠﻔﺔ‬ ‫ﺷﻌﺐ‬ ‫ﺛﻼﺙ‬ ‫ﻁﻼﺏ‬ ‫ﺩﺭﺟﺎﺕ‬ ‫ﻳﻤﺜﻞ‬ ‫ﺍﻟﺘﺎﻟﻲ‬ ‫ﺍﻟﺠﺪﻭﻝ‬ ‫ﺑﻜﻠﻴﺔ‬ ‫ﺍﻹﺣﺼﺎء‬ ‫ﺭ‬ ‫ﺍﻹﺩﺍﺭﻳﺔ‬ ‫ﺍﻟﻌﻠﻮﻡ‬ ‫ﻓﻲ‬ ‫ﻭﻧﺮﻏﺐ‬ ‫ﻣﻌﻨﻮﻳﺔ‬ ‫ﻣﺴﺘﻮﻯ‬ ‫ﻋﻨﺪ‬ ‫ﻣﺘﺠﺎﻧﺴﺔ‬ ‫ﺍﻟﺸﻌﺐ‬ ‫ﻫﺬﻩ‬ ‫ﻁﻼﺏ‬ ‫ﺩﺭﺟﺎﺕ‬ ‫ﻛﺎﻧﺖ‬ ‫ﺇﺫﺍ‬ ‫ﻣﺎ‬ ‫ﺍﺧﺘﺒﺎﺭ‬ 5 .% ‫ﺷﻌﺒﺔ‬ 1 ‫ﺷﻌﺒﺔ‬ 2 ‫ﺷﻌﺒﺔ‬ 3 18 15 10 12 10 12 8 8 15 5 14 20 10 3 18 16 18 17 11 10 19 4 14 14 10 7 10 :‫ﺍﻟﺘﻨﻔﻴﺬ‬ ‫ﺧﻄﻮﺍﺕ‬ 1 - :‫ﺍﻟﻔﺮﺿﻴﺎﺕ‬ ‫ﺻﻴﺎﻏﺔ‬ H0 ‫ﻣﺘﺠﺎﻧﺴﺔ‬ ‫ﺍﻟﺜﻼﺙ‬ ‫ﺍﻟﺸﻌﺐ‬ ‫ﻁﻼﺏ‬ ‫ﺩﺭﺟﺎﺕ‬ : H1 ‫ﻣﺘﺠﺎﻧﺴﺔ‬ ‫ﻏﻴﺮ‬ ‫ﺍﻟﺜﻼﺙ‬ ‫ﺍﻟﺸﻌﺐ‬ ‫ﻁﻼﺏ‬ ‫ﺩﺭﺟﺎﺕ‬ :
  • 59.
    ‫ﺑﺎﺳﺗﺧﺩﺍﻡ‬ ‫ﺍﻻﺣﺻﺎﺋﻲ‬ ‫ﺍﻟﺗﺣﻠﻳﻝ‬ SPSS ‫ﺩ‬ ‫ﺳﻠﻁﺎﻥ‬‫ﺧﻠﻑ‬ . 59 2 - :‫ﺍﻻﺧﺘﺒﺎﺭ‬ ‫ﻭﺗﻨﻔﻴﺬ‬ ‫ﺍﻟﺒﻴﺎﻧﺎﺕ‬ ‫ﺇﺩﺧﺎﻝ‬ ‫ﺑﺮﻧﺎﻣﺞ‬ ‫ﻓﻲ‬ ‫ﻫﻨﺎ‬ ‫ﺍﻟﺒﻴﺎﻧﺎﺕ‬ ‫ﺇﺩﺧﺎﻝ‬ ‫ﻳﺘﻢ‬ SPSS ‫ﺩﺭﺟﺎﺕ‬ ‫ﺍﻷﻭﻝ‬ ‫ﺍﻟﻌﻤﻮﺩ‬ ‫ﻳﻤﺜﻞ‬ ‫ﺣﻴﺚ‬ ،‫ﻣﺨﺘﻠﻔﻴﻦ‬ ‫ﻋﻤﻮﺩﻳﻦ‬ ‫ﻓﻲ‬ ‫ﺑﺎ‬ ‫ﻛﻤﺎ‬ ‫ﻁﺎﻟﺐ‬ ‫ﻟﻜﻞ‬ ‫ﺍﻟﺸﻌﺒﺔ‬ ‫ﺭﻗﻢ‬ ‫ﺍﻟﺜﺎﻧﻲ‬ ‫ﺍﻟﻌﻤﻮﺩ‬ ‫ﻭﻳﻤﺜﻞ‬ ،‫ﺍﻟﻄﻼﺏ‬ :‫ﺍﻟﺘﺎﻟﻲ‬ ‫ﻟﺸﻜﻞ‬ :‫ﺍﻟﺘﺎﻟﻲ‬ ‫ﺍﻟﻤﺴﺎﺭ‬ ‫ﻧﺨﺘﺎﺭ‬ ‫ﺛﻢ‬ Analyze  Compare Means  One-way ANOVA ‫ﺍﻟﺤﻮﺍﺭ‬ ‫ﻣﺮﺑﻊ‬ ‫ﻓﻴﻈﻬﺮ‬ ‫ﺍﻻﺗﻲ‬
  • 60.
    ‫ﺑﺎﺳﺗﺧﺩﺍﻡ‬ ‫ﺍﻻﺣﺻﺎﺋﻲ‬ ‫ﺍﻟﺗﺣﻠﻳﻝ‬ SPSS ‫ﺩ‬ ‫ﺳﻠﻁﺎﻥ‬‫ﺧﻠﻑ‬ . 60 ‫ﺍﻟﻤﺮﺑﻊ‬ ‫ﻓﻲ‬ ‫ﺍﻟﺪﺭﺟﺎﺕ‬ ‫ﻋﻤﻮﺩ‬ ‫ﻧﺪﺧﻞ‬ Dependent List ‫ﺍﻟﻤﺮﺑﻊ‬ ‫ﻓﻲ‬ ‫ﺍﻟﻤﺠﻤﻮﻋﺎﺕ‬ ‫ﻭﻋﻤﻮﺩ‬ Factor ‫ﻧﻀﻐﻂ‬ ‫ﺛﻢ‬ option ‫ﻣﻨﻪ‬ ‫ﻧﺨﺘﺎﺭ‬ ‫ﻓﺮﻋﻲ‬ ‫ﺣﻮﺍﺭ‬ ‫ﻣﺮﺑﺢ‬ ‫ﻓﻴﻈﻬﺮ‬ ‫ﻧﻀﻐﻂ‬ ‫ﺛﻢ‬ continue ‫ﻓﻨﺮﺟﻊ‬ ‫ﻟﻤ‬ ‫ﺍﻷﺳﺎﺳﻲ‬ ‫ﺍﻟﺤﻮﺍﺭ‬ ‫ﺮﺑﻊ‬ ‫ﻭﻧﻀﻐﻂ‬ OK ‫ﻓﻘﻂ‬ ‫ﺍﻟﻤﺮﺣﻠﺔ‬ ‫ﻫﺬﻩ‬ ‫ﻓﻲ‬ ‫ﺍﻟﻨﺘﺎﺋﺞ‬ ‫ﻣﻦ‬ ‫ﻧﺨﺘﺎﺭ‬ .‫ﺍﻟﻨﺘﺎﺋﺞ‬ ‫ﻓﺘﻈﻬﺮ‬ ‫ﺍﻟﺠﺪﻭﻝ‬ Test of Homogeneity of Variance ‫ﻋﻨﺪ‬ ً‫ﺎ‬‫ﻻﺣﻘ‬ ‫ﺗﻔﺴﻴﺮﻩ‬ ‫ﻳﺘﻢ‬ ‫ﻭﺳﻮﻑ‬ ‫ﺍﻵﻥ‬ ‫ﺑﻪ‬ ‫ﻧﻬﺘﻢ‬ ‫ﻻ‬ ‫ﺍﻟﺘﺒﺎﻳﻦ‬ ‫ﺗﺤﻠﻴﻞ‬ ‫ﺟﺪﻭﻝ‬ . .‫ﻭﺍﺣﺪ‬ ‫ﺍﺗﺠﺎﻩ‬ ‫ﻓﻲ‬ ‫ﺍﻟﺘﺒﺎﻳﻦ‬ ‫ﺗﺤﻠﻴﻞ‬ ‫ﻋﻦ‬ ‫ﺍﻟﺤﺪﻳﺚ‬ 3 - ‫ﻳﻤﻜﻦ‬ :‫ﻭﺍﻟﻘﺮﺍﺭ‬ ‫ﺍﻟﻨﺘﺎﺋﺞ‬ ‫ﻋﻠﻰ‬ ‫ﺍﻟﺘﻌﻠﻴﻖ‬ ‫ﻛﺎﻟﺘﺎﻟﻲ‬ ‫ﻭﺗﻔﺴﻴﺮﻫﺎ‬ ‫ﺍﻟﻨﺘﺎﺋﺞ‬ ‫ﺗﻔﺮﻳﻎ‬ ‫ﻟﻴﻔﻨﻲ‬ ‫ﺇﺣﺼﺎﺋﻴﺔ‬ Levene’ Statistic ) ‫ﺍﻟﺤﺮﻳﺔ‬ ‫ﺩﺭﺟﺎﺕ‬ 1 ( ‫ﺍﻟﺤﺮﻳﺔ‬ ‫ﺩﺭﺟﺎﺕ‬ ) 2 ( P-value (sig) ‫ﺍﻟﻘﻴﻤﺔ‬ ‫ﺍﻻﺣﺘﻤﺎﻟﻴﺔ‬ 0.176 2 24 0.839 ‫ﻗﻴﻤﺔ‬ ‫ﺃﻥ‬ ‫ﺍﻟﺠﺪﻭﻝ‬ ‫ﻣﻦ‬ ‫ﻧﻼﺣﻆ‬ p-value=0.839 ‫ﻣﻦ‬ ‫ﺑﻜﺜﻴﺮ‬ ‫ﺍﻛﺒﺮ‬ ‫ﻭﻫﻲ‬ 0.05 ‫ﺗﺤﺪﻳﺪﻩ‬ ‫ﺗﻢ‬ ‫ﺍﻟﺬﻱ‬ ‫ﺍﻟﻤﻌﻨﻮﻳﺔ‬ ‫)ﻣﺴﺘﻮﻯ‬ ‫ﺍﻟﻘﺮﺍ‬ ‫ﻓﺎﻥ‬ ‫ﻭﺑﺎﻟﺘﺎﻟﻲ‬ (‫ﻣﺴﺒﻘﺎ‬ ‫ﻗﺒﻮﻝ‬ ‫ﻫﻮ‬ ‫ﺭ‬ H0 .‫ﻣﺘﺠﺎﻧﺴﺔ‬ ‫ﺍﻟﺜﻼﺛﺔ‬ ‫ﺍﻟﺸﻌﺐ‬ ‫ﻁﻼﺏ‬ ‫ﺩﺭﺟﺎﺕ‬ ‫ﺃﻥ‬ ‫ﺃﻱ‬ ، Test of Homogeneity of Variances Marks Levene Statistic Df1 df2 Sig. 0.176 2 24 0.839
  • 61.
    ‫ﺑﺎﺳﺗﺧﺩﺍﻡ‬ ‫ﺍﻻﺣﺻﺎﺋﻲ‬ ‫ﺍﻟﺗﺣﻠﻳﻝ‬ SPSS ‫ﺩ‬ ‫ﺳﻠﻁﺎﻥ‬‫ﺧﻠﻑ‬ . 61 ‫ﺍﻟ‬ ‫ﺍﻟﺠﺰء‬ ‫ﺮﺍﺑﻊ‬ ‫ﺍﻟﻤﻌﻠﻤﻴﺔ‬ ‫ﺍﻻﺧﺘﺒﺎﺭﺍﺕ‬ Parametric Tests ) 1 - 4 ‫ﻣﻘﺪﻣﺔ‬ ( ‫ﺑﺮﻧﺎﻣ‬ ‫ﻓﻲ‬ ‫ﺍﻟﻤﻮﺟﻮﺩﺓ‬ ‫ﺍﻟﻤﻌﻠﻤﻴﺔ‬ ‫ﺍﻻﺧﺘﺒﺎﺭﺍﺕ‬ ‫ﺑﻌﺾ‬ ‫ﺍﻟﺠﺰء‬ ‫ﻫﺬﺍ‬ ‫ﻓﻲ‬ ‫ﻧﻮﺿﺢ‬ ‫ﺳﻮﻑ‬ ‫ﺞ‬ SPSS ‫ﻭ‬ ‫ﺍﻟﻤﻌﻠﻤﻴﺔ‬ ‫ﺍﻹﺣﺼﺎﺋﻴﺔ‬ ‫ﺍﻻﺧﺘﺒﺎﺭﺍﺕ‬ ‫ﺑﻌﺾ‬ ‫ﻳﻤﺜﻞ‬ ‫ﺍﻟﺘﺎﻟﻲ‬ ‫ﺍﻟﺠﺪﻭﻝ‬ ‫ﺍﺳﺘﺨﺪﺍﻣﻬﺎ‬ ‫ﻭﺧﺼﺎﺋﺼﻬﺎ‬ ‫ﺍﻻﺧﺘﺒﺎﺭ‬ ‫ﺍﻻﺳﺘﺨﺪﺍﻡ‬ ‫ﺍﻟﺸﺮﻭﻁ‬ One Sample T Test (One sample) ‫ﻓﺮﺿﻴﺎﺕ‬ ‫ﺻﺤﺔ‬ ‫ﻣﻦ‬ ‫ﺍﻟﺘﺤﻘﻖ‬ ‫ﻁﺒﻴﻌﻲ‬ ‫ﻣﺠﺘﻤﻊ‬ ‫ﻣﺘﻮﺳﻂ‬ ‫ﺣﻮﻝ‬ ‫ﻳﺤﺪﺩﻩ‬ ‫ﻣﻌﻨﻮﻳﺔ‬ ‫ﻣﺴﺘﻮﻯ‬ ‫ﻋﻨﺪ‬ ‫ﺍﻟﺒﺎﺣﺚ‬ ‫ﺍﻻﻋﺘﺪﺍﻟﻴﺔ‬ – ‫ﺍﻟﻌﺸﻮﺍﺋﻴﺔ‬ – ‫ﻗ‬ ‫ﻴﺎﺳﺎﺕ‬ ‫ﻛﻤﻴﺔ‬ Independent samples T Test (Two Independent samples) ‫ﻣﺘﻮﺳﻄﻲ‬ ‫ﺗﺴﺎﻭﻯ‬ ‫ﻣﻦ‬ ‫ﺍﻟﺘﺤﻘﻖ‬ ‫ﻣﺠﺘﻤﻌﻴﻦ‬ ‫ﺍﻻﻋﺘﺪﺍﻟﻴﺔ‬ – ‫ﺍﻟﻌﺸﻮﺍﺋﻴﺔ‬ - ‫ﺍﻻﺳﺘﻘﻼﻝ‬ – ‫ﻛﻤﻴﺔ‬ ‫ﻗﻴﺎﺳﺎﺕ‬ Paired-Sample T test (two related samples) ‫ﻣﺠﻤﻮﻋﺔ‬ ‫ﻋﻠﻰ‬ ‫ﻣﺎ‬ ‫ﻣﻌﺎﻟﺠﺔ‬ ‫ﺗﺄﺛﻴﺮ‬ ‫ﺍﻟﻘﻴﺎﺱ‬ ‫ﺑﺘﻜﺮﺍﺭ‬ ‫ﻭﺫﻟﻚ‬ ‫ﺗﺠﺮﻳﺒﻴﺔ‬ ‫ﺍﻟﻤﻌﺎﻟﺠﺔ‬ ‫ﻭﺑﻌﺪ‬ ‫ﻗﺒﻞ‬ ‫ﺍﻭ‬ ‫ﻋﻴﻨﺘﺎﻥ‬ ‫ﻣﺮﺗﺒﻄﺘﺎﻥ‬ ‫ﺍﻻﻋﺘﺪﺍﻟﻴﺔ‬ – ‫ﺍﻟﻌﺸﻮﺍﺋﻴﺔ‬ – ‫ﻛﻤﻴﺔ‬ ‫ﻗﻴﺎﺳﺎﺕ‬ One-Way ANOVA (More than two independent samples) ‫ﺃﻛﺜﺮ‬ ‫ﻣﺘﻮﺳﻄﺎﺕ‬ ‫ﺑﻴﻦ‬ ‫ﻟﻠﻤﻘﺎﺭﻧﺔ‬ ‫ﻋﻴﻨﺘﻴﻦ‬ ‫ﻣﻦ‬ ‫ﺍﻻﻋﺘﺪﺍﻟﻴﺔ‬ – ‫ﺍﻟﻌﺸﻮﺍﺋﻴﺔ‬ - ‫ﺍﻻﺳﺘﻘﻼﻝ‬ – ‫ﺍﻟﺘﺠﺎﻧﺲ‬ - ‫ﻗ‬ ‫ﻛﻤﻴﺔ‬ ‫ﻴﺎﺳﺎﺕ‬ ‫ﻣﻼﺣﻈﺎﺕ‬ 1 - ‫ﻣﻦ‬ ‫ﺃﻛﺜﺮ‬ ‫ﻋﻴﻨﺔ‬ ‫ﻛﻞ‬ ‫ﻓﻲ‬ ‫ﻫﻨﺎﻙ‬ ‫ﻳﻜﻮﻥ‬ ‫ﻋﻨﺪﻣﺎ‬ ‫ﺍﻻﻋﺘﺪﺍﻟﻴﺔ‬ ‫ﺷﺮﻁ‬ ‫ﻋﻦ‬ ‫ﺍﻻﺳﺘﻐﻨﺎء‬ ‫ﻳﻤﻜﻦ‬ 30 ‫ﻣﺸﺎﻫﺪ‬ ،‫ﺓ‬ 2 - ‫ﺍﻟﺘﺒﺎﻳﻦ‬ ‫ﺗﺤﻠﻴﻞ‬ ‫ﻓﻲ‬ ‫ﻧﺮﻏﺐ‬ ‫ﻋﻨﺪﻣﺎ‬ ‫ﻓﻘﻂ‬ ‫ﺍﻟﺘﺠﺎﻧﺲ‬ ‫ﺷﺮﻁ‬ ‫ﺍﺧﺘﺒﺎﺭ‬ ‫ﻳﺘﻢ‬ (‫ﺍﻟﺘﺠﺎﻧﺲ‬ ‫ﺷﺮﻁ‬ ‫ﺑﺪﻭﻥ‬ ‫ﺍﻟﻤﺰﺩﻭﺟﺔ‬ ‫ﺍﻟﻤﻘﺎﺭﻧﺎﺕ‬ ‫ﺍﺟﺮﺍء‬ ‫)ﻭﻳﻤﻜﻦ‬ 3 - (‫)ﻋﻴﻨﺎﺕ‬ ‫ﻋﻴﻨﺔ‬ ‫ﺗﺼﻤﻴﻢ‬ ‫ﻋﻨﺪ‬ ‫ﺍﻻﻋﺘﺒﺎﺭ‬ ‫ﻓﻲ‬ ‫ﻳﺄﺧﺬﻫﺎ‬ ‫ﺃﻥ‬ ‫ﻳﺠﺐ‬ ‫ﺍﻟﺒﺎﺣﺚ‬ ‫ﻻﻥ‬ ‫ﺍﺧﺘﺒﺎﺭﻫﺎ‬ ‫ﻳﺘﻢ‬ ‫ﻻ‬ ‫ﺍﻷﺧﺮﻯ‬ ‫ﺍﻟﺸﺮﻭﻁ‬ .‫ﺍﻟﺪﺭﺍﺳﺔ‬
  • 62.
    ‫ﺑﺎﺳﺗﺧﺩﺍﻡ‬ ‫ﺍﻻﺣﺻﺎﺋﻲ‬ ‫ﺍﻟﺗﺣﻠﻳﻝ‬ SPSS ‫ﺩ‬ ‫ﺳﻠﻁﺎﻥ‬‫ﺧﻠﻑ‬ . 62 ) 2 - 4 ‫ﺕ‬ "‫ﺍﺧﺘﺒﺎﺭ‬ ( ‫ﻟﻤﺘﻮﺳﻂ‬ " ‫ﻣﺠﺘﻤﻊ‬ One Sample T Test ‫ﺍﺧﺘﺒﺎﺭ‬ ‫ﻓﻲ‬ ‫ﺍﻟﺒﺎﺣﺚ‬ ‫ﻳﺮﻏﺐ‬ ‫ﻋﻨﺪﻣﺎ‬ ‫ﺍﻻﺧﺘﺒﺎﺭ‬ ‫ﻫﺬﺍ‬ ‫ﻳﺴﺘﺨﺪﻡ‬ ‫ﺇﺫﺍ‬ ‫ﻣﺎ‬ ‫ﻣﺎ‬ ‫ﻗﻴﻤﺔ‬ ‫ﻳﺴﺎﻭﻱ‬ ‫ﺍﻟﻤﺠﺘﻤﻊ‬ ‫ﻣﺘﻮﺳﻂ‬ ‫ﻛﺎﻥ‬ ‫ﻣﺒﻨﻴﺔ‬ ‫ﺍﻟﻘﻴﻤﺔ‬ ‫ﻭﻫﺬﻩ‬ :‫ﺍﻟﺘﺎﻟﻲ‬ ‫ﺍﻟﺘﺪﺭﻳﺐ‬ ‫ﺧﻼﻝ‬ ‫ﻣﻦ‬ ‫ﺍﻻﺧﺘﺒﺎﺭ‬ ‫ﺧﻄﻮﺍﺕ‬ ‫ﻧﻮﺿﺢ‬ ‫ﻭﺳﻮﻑ‬ .‫ﻭﻋﻤﻠﻴﺔ‬ ‫ﻧﻈﺮﻳﺔ‬ ‫ﺍﻋﺘﺒﺎﺭﺍﺕ‬ ‫ﻋﻠﻰ‬ ) ‫ﺗﻄﺒﻴﻖ‬ 6 ( ‫ﻣﻦ‬ ‫ﻋﻴﻨﺔ‬ ‫ﺃﻋﻤﺎﺭ‬ ‫ﺗﻤﺜﻞ‬ ‫ﺍﻟﺘﺎﻟﻴﺔ‬ ‫ﺍﻟﺒﻴﺎﻧﺎﺕ‬ 10 ‫ﻧﻮﻉ‬ ‫ﻣﻦ‬ ‫ﻟﻠﺴﻴﺎﺭﺍﺕ‬ ‫ﺑﻄﺎﺭﻳﺎﺕ‬ .‫ﻣﺎ‬ ‫ﻫﻞ‬ ‫ﻫﺬﺍ‬ ‫ﻣﻦ‬ ‫ﺍﻟﺒﻄﺎﺭﻳﺔ‬ ‫ﻋﻤﺮ‬ ‫ﻣﺘﻮﺳﻂ‬ ‫ﺃﻥ‬ ‫ﺗﺮﻯ‬ ‫ﻫﻮ‬ ‫ﺍﻟﻨﻮﻉ‬ 22 ‫ﻣﻌﻨﻮﻳﺔ‬ ‫ﻣﺴﺘﻮﻯ‬ ‫ﺍﺳﺘﺨﺪﻡ‬ ‫ﺷﻬﺮ؟‬ 1 .% 24, 21, 19, 27, 26, 20, 18, 17, 22, 21 ‫ﺍﻟﺘﻨﻔﻴﺬ‬ ‫ﺧﻄﻮﺍﺕ‬ 1 - :‫ﺍﻟﻔﺮﺿﻴﺎﺕ‬ ‫ﺻﻴﺎﻏﺔ‬ H0 = ‫ﺍﻟﻨﻮﻉ‬ ‫ﻫﺬﺍ‬ ‫ﻣﻦ‬ ‫ﺍﻟﺒﻄﺎﺭﻳﺔ‬ ‫ﻋﻤﺮ‬ ‫ﻣﺘﻮﺳﻂ‬ : 22 ً‫ﺍ‬‫ﺷﻬﺮ‬ H1 ‫ﻳﺴﺎﻭﻱ‬ ‫ﻻ‬ ‫ﺍﻟﻨﻮﻉ‬ ‫ﻫﺬﺍ‬ ‫ﻣﻦ‬ ‫ﺍﻟﺒﻄﺎﺭﻳﺔ‬ ‫ﻋﻤﺮ‬ ‫ﻣﺘﻮﺳﻂ‬ : 22 ً‫ﺍ‬‫ﺷﻬﺮ‬ 2 - :‫ﺍﻻﺧﺘﺒﺎﺭ‬ ‫ﻭﺗﻨﻔﻴﺬ‬ ‫ﺍﻟﺒﻴﺎﻧﺎﺕ‬ ‫ﺇﺩﺧﺎﻝ‬ ‫ﺃﻋ‬ ‫ﺇﺩﺧﺎﻝ‬ ‫ﺑﻌﺪ‬ ‫ﺩﺍﺧﻞ‬ ‫ﺍﻟﺒﻄﺎﺭﻳﺎﺕ‬ ‫ﻤﺎﺭ‬ SPSS ‫ﺍﻟﻤﺘﻐﻴﺮ‬ ‫ﺑﺎﺳﻢ‬ Age ‫ﺍﻟﺘﺎﻟﻲ‬ ‫ﺍﻟﻤﺴﺎﺭ‬ ‫ﻧﺨﺘﺎﺭ‬ ‫ﻣﺜﻼ‬ Analyze  Compare Means  One-sample T Tests ‫ﺍﻟﺘﺎﻟﻲ‬ ‫ﺍﻟﺤﻮﺍﺭ‬ ‫ﻣﺮﺑﻊ‬ ‫ﻟﻨﺎ‬ ‫ﻳﻈﻬﺮ‬
  • 63.
    ‫ﺑﺎﺳﺗﺧﺩﺍﻡ‬ ‫ﺍﻻﺣﺻﺎﺋﻲ‬ ‫ﺍﻟﺗﺣﻠﻳﻝ‬ SPSS ‫ﺩ‬ ‫ﺳﻠﻁﺎﻥ‬‫ﺧﻠﻑ‬ . 63 ‫ﺍﻟﻤﺘﻐﻴﺮ‬ ‫ﻧﻨﻘﻞ‬ Age ‫ﺍﻟﻤﺮﺑﻊ‬ ‫ﺇﻟﻰ‬ Test Variable (s) ‫ﺍﻟﻤﺘﻮﺳﻂ‬ ‫ﻗﻴﻤﺔ‬ ‫ﻧﻜﺘﺐ‬ ‫ﺛﻢ‬ 22 ‫ﺍﻟﻤﺮﺑﻊ‬ ‫ﻓﻲ‬ ‫ﺍﺧﺘﺒﺎﺭﻫﺎ‬ ‫ﺍﻟﻤﻄﻠﻮﺏ‬ Test values ‫ﻧ‬ ‫ﺛﻢ‬ ، ‫ﻀﻐﻂ‬ OK :‫ﺍﻟﺘﺎﻟﻲ‬ ‫ﺍﻟﺠﺪﻭﻝ‬ ‫ﻣﻨﻬﺎ‬ ‫ﻧﺨﺘﺎﺭ‬ ‫ﻧﺘﺎﺋﺞ‬ ‫ﻋﻠﻰ‬ ‫ﻓﻨﺤﺼﻞ‬ 3 - ‫ﻭﺍﻟﻘﺮﺍﺭ‬ ‫ﺍﻟﻨﺘﺎﺋﺞ‬ ‫ﻋﻠﻰ‬ ‫ﺍﻟﺘﻌﻠﻴﻖ‬ :‫ﺃﻥ‬ ‫ﻧﺠﺪ‬ ‫ﺍﻟﺴﺎﺑﻖ‬ ‫ﺍﻟﻨﺘﺎﺋﺞ‬ ‫ﺟﺪﻭﻝ‬ ‫ﻣﻦ‬ - ‫ﻗﻴﻤﺔ‬ t =- 0.478 - ‫ﺍﻟﺤﺮﻳﺔ‬ ‫ﺩﺭﺟﺎﺕ‬ df = 9 - ‫ﺍﺣﺘﻤﺎﻝ‬ ‫ﺍﻟﺨﻄﺄ‬ p-value = sig(2-tailled) = 0.644 - ‫ﺍﺧﺘﺒﺎﺭﻫﺎ‬ ‫ﺍﻟﻤﻄﻠﻮﺏ‬ ‫ﻭﺍﻟﻘﻴﻤﺔ‬ ‫ﺍﻟﻌﻴﻨﺔ‬ ‫ﻣﺘﻮﺳﻂ‬ ‫ﺑﻴﻦ‬ ‫ﺍﻟﻔﺮﻕ‬ Mean Difference=-.500 - 95 ‫ﻫﻲ‬ ‫ﻟﻠﻔﺮﻕ‬ ‫ﺛﻘﺔ‬ ‫ﻓﺘﺮﺓ‬ % (-2.87,1.87) ‫ﻗﻴﻤﺔ‬ ‫ﺃﻥ‬ ‫ﻭﺣﻴﺚ‬ p-value ‫ﺃﻛﺒﺮ‬ ‫ﺍﻟﻘﺮﺍﺭ‬ ‫ﻓﺎﻥ‬ ‫ﺍﻟﺒﺎﺣﺚ‬ ‫ﺣﺪﺩﻩ‬ ‫ﺍﻟﺬﻱ‬ ‫ﺍﻟﻤﻌﻨﻮﻳﺔ‬ ‫ﻣﺴﺘﻮﻯ‬ ‫ﻗﻴﻤﺔ‬ ‫ﻣﻦ‬ ‫ﻭﻋ‬ ‫ﺪﻡ‬ ‫ﺍﻟﻔﺮﺽ‬ ‫ﺭﻓﺾ‬ H0 ‫ﻫﺬﺍ‬ ‫ﻣﻦ‬ ‫ﺍﻟﺒﻄﺎﺭﻳﺔ‬ ‫ﻋﻤﺮ‬ ‫ﻣﺘﻮﺳﻂ‬ ‫ﺃﻥ‬ ‫ﺃﻱ‬ ‫ﻳﺴﺎﻭﻱ‬ ‫ﺍﻟﻨﻮﻉ‬ 22 .‫ﺷﻬﺮ‬ ‫ﻗﻴﻤﺔ‬ ‫ﺃﻥ‬ ‫ﺣﻴﺚ‬ :‫ﺍﻟﺤﻘﻴﻘﻲ‬ ‫ﺍﻟﻤﺘﻮﺳﻂ‬ ‫ﺍﺗﺠﺎﻩ‬ ‫ﻭﻟﺘﺤﺪﻳﺪ‬ Mean Difference =-.500 ‫ﻗﻴﻤﺔ‬ ‫ﻭﻫﻲ‬ ‫ﺳﺎﻟﺒﺔ‬ ‫ﺍﻟﺤﻘﻴﻘﻲ‬ ‫ﺍﻟﻔﺮﻕ‬ ‫ﻓﺎﻥ‬ ‫ﺍ‬ ‫ﻗﻞ‬ ‫ﻣﻦ‬ 22 ‫ﺑﺎﺣﺘﻤﺎﻝ‬ ً‫ﺍ‬‫ﺷﻬﺮ‬ ‫ﺻﻐﻴﺮ‬ ‫ﻣﻘﺪﺍﺭﻩ‬ p-value/2=0.322 ‫ﻣﻼﺣﻈﺔ‬ ‫ﻳﺒﻴﻦ‬ ‫ﺍﻟﺠﺪﻭﻝ‬ ‫ﺃﻥ‬ ‫ﻓﺘﺮﺓ‬ ‫ﺛﻘﺔ‬ ‫ﺍﻻﺧﺘﺒﺎﺭ‬ ) -2.87, 1.87) ، ‫ﻭﻫﻲ‬ ‫ﻧﻔﺴﻬﺎ‬ ‫ﻧ‬ ‫ﻓﺈﻧﻨﺎ‬ ‫ﺍﻟﺼﻔﺮ‬ ‫ﺗﺤﺘﻮﻱ‬ ‫ﻘﺒﻞ‬ H0 .
  • 64.
    ‫ﺑﺎﺳﺗﺧﺩﺍﻡ‬ ‫ﺍﻻﺣﺻﺎﺋﻲ‬ ‫ﺍﻟﺗﺣﻠﻳﻝ‬ SPSS ‫ﺩ‬ ‫ﺳﻠﻁﺎﻥ‬‫ﺧﻠﻑ‬ . 64 ) 3 - 4 ‫ﻋﻴﻨﺘﻴﻦ‬ ‫ﺣﺎﻟﺔ‬ ‫ﻓﻲ‬ ‫ﻣﺠﺘﻤﻌﻴﻦ‬ ‫ﻣﺘﻮﺳﻄﻲ‬ ‫ﺑﻴﻦ‬ ‫ﻟﻠﻤﻘﺎﺭﻧﺔ‬ "‫"ﺕ‬ ‫ﺍﺧﺘﺒﺎﺭ‬ ( ) 3 - 4 - 1 ‫ﺣﺎﻟﺔ‬ ( ‫ﻋﻴﻨﺘﻴﻦ‬ ‫ﻣﺴﺘﻘﻠﺘﻴﻦ‬ Two Samples T Test ‫ﻣﻨﺎﺳﺐ‬ ‫ﺍﻻﺧﺘﺒﺎﺭ‬ ‫ﻫﺬﺍ‬ ‫ﻓﺎﻥ‬ ‫ﻣﺘﻮﺍﻓﺮﺓ‬ ‫ﺍﻟﻨﻈﺎﻣﻴﺔ‬ ‫ﺍﻟﺸﺮﻭﻁ‬ ‫ﻭﻛﺎﻧﺖ‬ ‫ﻣﺠﺘﻤﻌﻴﻦ‬ ‫ﻣﺘﻮﺳﻄﻲ‬ ‫ﺑﻴﻦ‬ ‫ﺍﻟﻤﻘﺎﺭﻧﺔ‬ ‫ﻓﻲ‬ ‫ﺍﻟﺒﺎﺣﺚ‬ ‫ﻳﺮﻏﺐ‬ ‫ﻋﻨﺪﻣﺎ‬ ‫ﻣﻦ‬ ‫ﺍﻟﻨﻮﻉ‬ ‫ﻟﻬﺬﺍ‬ .‫ﺍﻟﻤﻘﺎﺭﻧﺎﺕ‬ :‫ﺍﻟﺘﺎﻟﻲ‬ ‫ﺍﻟﺘﺪﺭﻳﺐ‬ ‫ﺧﻼﻝ‬ ‫ﻣﻦ‬ ‫ﺍﻻﺧﺘﺒﺎﺭ‬ ‫ﻫﺬﺍ‬ ‫ﻧﻨﺎﻗﺶ‬ ‫ﺳﻮﻑ‬ ) ‫ﺗﻄﺒﻴﻖ‬ 7 ( ‫ﺑﺎﻟﻤﻠﻒ‬ ‫ﺍﻟﻤﻮﺟﻮﺩﺓ‬ ‫ﺍﻟﺒﻴﺎﻧﺎﺕ‬ Application-7 ‫ﻓﻲ‬ ‫ﻭﺍﻟﻄﺎﻟﺒﺎﺕ‬ ‫ﺍﻟﻄﻼﺏ‬ ‫ﺩﺭﺟﺎﺕ‬ ‫ﻣﻦ‬ ‫ﻣﺴﺘﻘﻠﺘﻴﻦ‬ ‫ﻋﺸﻮﺍﺋﻴﺘﻴﻦ‬ ‫ﻋﻴﻨﺘﻴﻦ‬ ‫ﺗﻤﺜﻞ‬ ‫ﺑﻜﻠﻴﺔ‬ ‫ﺍﻹﺣﺼﺎء‬ ‫ﻣﻘﺮﺭ‬ ‫ﺍﻹﺩﺍﺭﻳﺔ‬ ‫ﺍﻟﻌﻠﻮﻡ‬ ‫ﺗﺮ‬ ‫ﻫﻞ‬ ‫ﻯ‬ ‫ﺑﻴﻦ‬ ‫ﻣﻌﻨﻮﻱ‬ ‫ﺍﺧﺘﻼﻑ‬ ‫ﻣﺘﻮﺳﻂ‬ ‫ﻭ‬ ‫ﺍﻟﻄﻼﺏ‬ ‫ﺩﺭﺟﺎﺕ‬ ‫ﺩﺭﺟﺎﺕ‬ ‫ﻣﺘﻮﺳﻂ‬ ‫ﺍﻟﻄﺎﻟﺒﺎﺕ‬ ‫ﻣﻌﻨﻮﻳﺔ‬ ‫ﻣﺴﺘﻮﻯ‬ ‫ﻋﻨﺪ‬ 5 ‫؟‬% ‫ﺍﻟﺘﻨﻔﻴﺬ‬ ‫ﺧﻄﻮﺍﺕ‬ 1 . :‫ﺍﻟﻔﺮﺿﻴﺎﺕ‬ ‫ﺻﻴﺎﻏﺔ‬ H0 ‫ﺍﻹﺣﺼﺎء‬ ‫ﻣﻘﺮﺭ‬ ‫ﻓﻲ‬ ‫ﺍﻟﻄﻼﺏ‬ ‫ﺩﺭﺟﺎﺕ‬ ‫ﻣﺘﻮﺳﻂ‬ : ‫ﺍﻟﻄﺎﻟﺒﺎﺕ‬ ‫ﺩﺭﺟﺎﺕ‬ ‫ﻣﺘﻮﺳﻂ‬ ‫ﻳﺴﺎﻭﻱ‬ H1 ‫ﺍﻟﻄﺎﻟﺒﺎﺕ‬ ‫ﺩﺭﺟﺎﺕ‬ ‫ﻣﺘﻮﺳﻂ‬ ‫ﻳﺴﺎﻭﻱ‬ ‫ﻻ‬ ‫ﺍﻹﺣﺼﺎء‬ ‫ﻣﻘﺮﺭ‬ ‫ﻓﻲ‬ ‫ﺍﻟﻄﻼﺏ‬ ‫ﺩﺭﺟﺎﺕ‬ ‫ﻣﺘﻮﺳﻂ‬ : 2 . ‫ﺍﻻﺧﺘﺒﺎﺭ‬ ‫ﻭﺗﻨﻔﻴﺬ‬ ‫ﺍﻟﺒﻴﺎﻧﺎﺕ‬ ‫ﺇﺩﺧﺎﻝ‬ ‫ﺑﺮﻧﺎﻣﺞ‬ ‫ﻓﻲ‬ ‫ﺍﻟﺪﺭﺟﺎﺕ‬ ‫ﺇﺩﺧﺎﻝ‬ ‫ﻳﺘﻢ‬ SPSS ‫ﻓﻲ‬ ‫ﺍﻟﻌﻤﻮﺩ‬ :‫ﻋﻤﻮﺩﻳﻦ‬ ‫ﺍﻟﺪﺭ‬ ‫ﻳﻤﺜﻞ‬ ‫ﺍﻷﻭﻝ‬ ‫ﺍﻻﻛﻮﺍﺩ‬ ‫ﻳﻤﺜﻞ‬ ‫ﺍﻟﺜﺎﻧﻲ‬ ‫ﻭﺍﻟﻌﻤﻮﺩ‬ ‫ﺟﺎﺕ‬ ‫ﻭﻫﺬﻩ‬ ‫)ﻣ‬ ‫ﺍﻟﺒﺎﺣﺚ‬ ‫ﻳﺤﺪﺩﻫﺎ‬ ‫ﺍﻻﻛﻮﺍﺩ‬ ‫ﺍﻟﻜﻮﺩ‬ ‫ﺗﺄﺧﺬ‬ ‫ﺍﻟﻄﺎﻟﺐ‬ ‫ﺩﺭﺟﺔ‬ ‫ﺜﻼ‬ 1 ‫ﺍﻟﻜﻮﺩ‬ ‫ﺗﺄﺧﺬ‬ ‫ﺍﻟﻄﺎﻟﺒﺔ‬ ‫ﺩﺭﺟﺔ‬ ‫ﺑﻴﻨﻤﺎ‬ 2 :‫ﻛﺎﻟﺘﺎﻟﻲ‬ ، (
  • 65.
    ‫ﺑﺎﺳﺗﺧﺩﺍﻡ‬ ‫ﺍﻻﺣﺻﺎﺋﻲ‬ ‫ﺍﻟﺗﺣﻠﻳﻝ‬ SPSS ‫ﺩ‬ ‫ﺳﻠﻁﺎﻥ‬‫ﺧﻠﻑ‬ . 65 ‫ﺍﻟﻤﺴﺎﺭ‬ ‫ﻧﺘﺒﻊ‬ ‫ﺗﻢ‬ Analyze  Compare Means  Independent-Samples T Test :‫ﺍﻟﺘﺎﻟﻲ‬ ‫ﺍﻟﺤﻮﺍﺭ‬ ‫ﻣﺮﺑﻊ‬ ‫ﻋﻠﻰ‬ ‫ﻓﻨﺤﺼﻞ‬ ‫ﺍﻟﺪﺭﺟﺎﺕ‬ ‫ﻣﺘﻐﻴﺮ‬ ‫ﻧﺨﺘﺎﺭ‬ Marks ‫ﺍﻟﻤﺮﺑﻊ‬ ‫ﻓﻲ‬ Test Variables ‫ﺍﻻﻛﻮﺍﺩ‬ ‫ﻣﺘﻐﻴﺮ‬ ‫ﺛﻢ‬ G ‫ﺩﺍﺧﻞ‬ Grouping Variable ‫ﻣﺮﺑﻊ‬ ‫ﻓﻴﻈﻬﺮ‬ ‫ﺑﺎﺧﺘﻴﺎﺭ‬ ‫ﻫﻨﺎ‬ ‫ﻧﻘﻮﻡ‬ Define Groups ‫ﻋﻠﻰ‬ ‫ﻓﻨﺤﺼﻞ‬ ‫ﻫﻨﺎ‬ ‫ﻧﺨﺘﺎﺭ‬ 1 ‫ﻧﺨﺘﺎﺭ‬ ‫ﻭ‬ ،(‫ﺍﻟﻄﻼﺏ‬ ‫)ﺩﺭﺟﺎﺕ‬ ‫ﺍﻷﻭﻟﻰ‬ ‫ﻟﻠﻤﺠﻮﻋﺔ‬ 2 ‫ﻧﻀﻐﻂ‬ ‫ﺛﻢ‬ (‫ﺍﻟﻄﺎﻟﺒﺎﺕ‬ ‫)ﺩﺭﺟﺎﺕ‬ ‫ﺍﻟﺜﺎﻧﻴﺔ‬ ‫ﻟﻠﻤﺠﻮﻋﺔ‬ continue ‫ﺛﻢ‬ ‫ﺍﻷﺳﺎﺳﻲ‬ ‫ﺍﻟﺤﻮﺍﺭ‬ ‫ﻟﻤﺮﺑﻊ‬ ‫ﻓﻨﺮﺟﻊ‬ OK :‫ﺍﻟﺘﺎﻟﻴﺔ‬ ‫ﺍﻟﻨﺘﺎﺋﺞ‬ ‫ﻓﻨﻈﻬﺮ‬ Group Statistics G N Mean Std. Deviation Std. Error Mean Marks 1 35 64.6857 21.66289 3.66170 2 33 64.4545 20.30254 3.53422
  • 66.
    ‫ﺑﺎﺳﺗﺧﺩﺍﻡ‬ ‫ﺍﻻﺣﺻﺎﺋﻲ‬ ‫ﺍﻟﺗﺣﻠﻳﻝ‬ SPSS ‫ﺩ‬ ‫ﺳﻠﻁﺎﻥ‬‫ﺧﻠﻑ‬ . 66 Levene's Test for Equality of Variances F Sig. t df Sig. (2- tailed) Mean Difference Std. Error Difference 95% Confidence Interval of the Difference Lower Upper Equal variance s assumed .085 .771 .045 66 .964 0.231 5.099 -9.949 10.412 Equal variance s not assumed .045 65.998 .964 0.231 5.089 -9.930 10.392 3 . ‫ﻭﺍﻟﻘﺮﺍﺭ‬ ‫ﺍﻟﻨﺘﺎﺋﺞ‬ ‫ﻋﻠﻰ‬ ‫ﺍﻟﺘﻌﻠﻴﻖ‬ :‫ﺍﻟﺘﺎﻟﻲ‬ ‫ﻧﻼﺣﻆ‬ ‫ﺍﻟﻨﺘﺎﺋﺞ‬ ‫ﺟﺪﺍﻭﻝ‬ ‫ﻣﻦ‬ 1 - ‫ﺑﻌﻨﻮﺍﻥ‬ ‫ﺍﻷﻭﻝ‬ ‫ﺍﻟﺠﺪﻭﻝ‬ Group Statistics ‫ﺍﻟﻄ‬ ‫ﺩﺭﺟﺎﺕ‬ ‫ﺣﻮﻝ‬ ‫ﺍﻟﻮﺻﻔﻴﺔ‬ ‫ﺍﻹﺣﺼﺎءﺍﺕ‬ ‫ﺑﻌﺾ‬ ‫ﻳﻈﻬﺮ‬ ‫ﻭﺩﺭﺟﺎﺕ‬ ‫ﻼﺏ‬ ‫ﺍﻟﻄﺎ‬ ‫ﻣﺜﻞ‬ ‫ﻟﺒﺎﺕ‬ ‫ﺍﻟﻤﺘﻮﺳﻂ‬ ‫ﻭﺍﻻﻧﺤﺮﺍﻑ‬ ‫ﺍﻟﻤﻌﻴﺎﺭﻱ‬ .‫ﺍﻟﻤﻌﻴﺎﺭﻱ‬ ‫ﻭﺍﻟﺨﻄﺄ‬ 2 - :‫ﻣﻨﻬﺎ‬ ‫ﻧﺘﺎﺋﺞ‬ ‫ﻋﺪﺓ‬ ‫ﻳﻈﻬﺮ‬ ‫ﻭﻫﻨﺎ‬ ‫ﺍﻟﻤﻬﻢ‬ ‫ﻭﻫﻮ‬ ‫ﺍﻟﺜﺎﻧﻲ‬ ‫ﺍﻟﺠﺪﻭﻝ‬ ‫ﺃﻥ‬ ‫ﻧﺠﺪ‬ ‫ﻟﻠﺘﺠﺎﻧﺲ‬ ‫ﻟﻔﻴﻨﻲ‬ ‫ﺍﺧﺘﺒﺎﺭ‬ p-value = 0.771 ‫ﺗﺠﺎﻧﺲ‬ ‫ﻳﺆﻛﺪ‬ ‫ﻭﻫﺬﺍ‬ ‫ﻓﻲ‬ ‫ﻭﺍﻟﻄﺎﻟﺒﺎﺕ‬ ‫ﺍﻟﻄﻼﺏ‬ ‫ﺩﺭﺟﺎﺕ‬ ‫ﻣﻘﺮﺭ‬ ‫ﻹﺣﺼﺎء‬ ‫ﺍ‬ ‫ﺍﺧﺘﺒﺎﺭ‬ ‫ﻟﺘﻔﺴﻴﺮ‬ ‫ﺍﻷﻭﻟﻰ‬ ‫ﺍﻟﺤﺎﻟﺔ‬ ‫ﻫﻨﺎ‬ ‫ﻧﻌﺘﺒﺮ‬ ‫ﺳﻮﻑ‬ ‫ﻭﺑﺎﻟﺘﺎﻟﻲ‬ T ‫ﻭ‬ ‫ﻫﻲ‬ Equal variances assumed ، ‫ﺃﻥ‬ ‫ﺣﻴﺚ‬ p-value = 0.964 ‫ﺍﻟﻔﺮﺽ‬ ‫ﻧﻘﺒﻞ‬ ‫ﻳﺠﻌﻠﻨﺎ‬ ‫ﺍﻟﺬﻱ‬ ‫ﺍﻷﻣﺮ‬ ‫ﺍﻟﺤﺎﻟﺔ‬ ‫ﻫﺬﻩ‬ ‫ﻓﻲ‬ H0 ‫ﺍﻟﻄﻼﺏ‬ ‫ﺩﺭﺟﺎﺕ‬ ‫ﺑﻴﻦ‬ ‫ﻣﻌﻨﻮﻳﺔ‬ ‫ﻓﺮﻭﻕ‬ ‫ﺗﻮﺟﺪ‬ ‫ﻻ‬ ‫ﺍﻧﻪ‬ ‫ﺃﻱ‬ ، .‫ﺍﻹﺣﺼﺎء‬ ‫ﻣﻘﺮﺭ‬ ‫ﻓﻲ‬ ‫ﻭﺍﻟﻄﺎﻟﺒﺎﺕ‬ :‫ﻣﻼﺣﻈﺔ‬ ‫ﺭﻓﺾ‬ ‫ﻫﻮ‬ ‫ﺍﻟﻘﺮﺍﺭ‬ ‫ﻛﺎﻥ‬ ‫ﻟﻮ‬ ‫ﺍﻟﺴﺎﺑﻖ‬ ‫ﺍﻟﺘﺪﺭﻳﺐ‬ ‫ﻓﻲ‬ H0 ‫ﺍﻟ‬ ‫ﺩﺭﺟﺎﺕ‬ ‫ﺑﻴﻦ‬ ‫ﺣﻘﻴﻘﺔ‬ ‫ﻓﺮﻭﻕ‬ ‫ﺗﻮﺟﺪ‬ ‫ﺍﻧﻪ‬ ‫ﺃﻱ‬ ، ‫ﻭﺩﺭﺟﺎﺕ‬ ‫ﻄﻼﺏ‬ ‫ﻣﺘﻮﺳﻂ‬ ‫ﻟﻪ‬ ‫)ﺃﻳﻬﻤﺎ‬ ‫ﻟﻠﺪﺭﺟﺎﺕ‬ ‫ﺍﻟﻌﺎﻡ‬ ‫ﺍﻻﺗﺠﺎﻩ‬ ‫ﺗﺤﺪﻳﺪ‬ ‫ﻳﻠﺰﻡ‬ ‫ﻓﺎﻧﻪ‬ ‫ﺍﻟﻄﺎﻟﺒﺎﺕ‬ ‫ﺃﻛﺒﺮ‬ ‫ﺍﻻﺗﺠﺎﻩ‬ ‫ﻭﻳﻜﻮﻥ‬ .‫ﺍﻟﻤﺠﺘﻤﻌﺎﺕ‬ ‫ﻣﺴﺘﻮﻯ‬ ‫ﻋﻠﻰ‬ ( ‫ﻣﻘﺪﺍﺭﻩ‬ ‫ﺑﺎﺣﺘﻤﺎﻝ‬ ‫ﺍﻷﻛﺒﺮ‬ ‫ﺍﻟﻌﻴﻨﺔ‬ ‫ﻣﺘﻮﺳﻂ‬ ‫ﻳﻘﺎﺑﻞ‬ ‫ﺍﻟﺬﻱ‬ ‫ﺍﻟﺪﺭﺍﺳﺔ‬ ‫ﻣﺠﺘﻤﻊ‬ ‫ﻧﻔﺴﻪ‬ ‫ﻫﻮ‬ ‫ﺍﻟﻌﺎﻡ‬ p-value/2 ‫ﻣﻮﺟﻮﺩ‬ ‫ﺍﻟﺼﻔﺮ‬ ‫ﺃﻳﻀﺎ‬ . ‫ﻟﻘﺒﻮﻝ‬ ‫ﻳﺆﺩﻱ‬ ‫ﻣﻤﺎ‬ ‫ﺍﻟﻔﺮﻭﻕ‬ ‫ﻓﺘﺮﺓ‬ ‫ﺿﻤﻦ‬ H0 .
  • 67.
    ‫ﺑﺎﺳﺗﺧﺩﺍﻡ‬ ‫ﺍﻻﺣﺻﺎﺋﻲ‬ ‫ﺍﻟﺗﺣﻠﻳﻝ‬ SPSS ‫ﺩ‬ ‫ﺳﻠﻁﺎﻥ‬‫ﺧﻠﻑ‬ . 67 ) 3 - 4 - 2 ‫ﻏﻴﺮ‬ ‫ﻋﻴﻨﺘﻴﻦ‬ ‫ﺣﺎﻟﺔ‬ ( ‫ﻣﺴﺘﻘﻠﺘﻴﻦ‬ Sample T test - Paired ‫ﻓﻲ‬ ‫ﺍﺳﺘﺨﺪﻣﻨﺎ‬ ‫ﺍﻻﺧﺘﺒﺎﺭ‬ ‫ﺍﻟﺴﺎﺑﻖ‬ ‫ﻋﻴﻨﺘﻴﻦ‬ ‫ﺑﻴﻦ‬ ‫ﺍﻟﻔﺮﻕ‬ ‫ﺑﻤﻌﻨ‬ ‫ﻣﺴﺘﻘﻠﺘﻴﻦ‬ ‫ﻰ‬ ‫ﺍﻷﻭﻟﻰ‬ ‫ﺍﻟﻌﻴﻨﺔ‬ ‫ﻣﻔﺮﺩﺍﺕ‬ ‫ﺃﻥ‬ ‫ﺍﻟﻤﺠﺘﻤﻊ‬ ‫ﻣﻦ‬ ‫)ﻣﺴﺤﻮﺑﺔ‬ (‫ﺍﻻﻭﻝ‬ ‫ﻣﺴﺘﻘﻠﺔ‬ ‫ﺍﻟﺜﺎﻧﻴﺔ‬ ‫ﺍﻟﻌﻴﻨﺔ‬ ‫ﻣﻔﺮﺩﺍﺕ‬ ‫ﻋﻦ‬ (‫ﺍﻟﺜﺎﻧﻲ‬ ‫ﺍﻟﻤﺠﺘﻤﻊ‬ ‫ﻣﻦ‬ ‫)ﻣﺴﺤﻮﺑﺔ‬ ‫ﻓﻲ‬ ‫ﻳﺤﺪﺙ‬ ‫ﻗﺪ‬ ‫ﻭﻟﻜﻦ‬ . ‫ﺗﻄﺒﻴﻘﺎﺕ‬ ‫ﺑﻌﺾ‬ ‫ﺍﻟ‬ ‫ﺤﻴﺎﺓ‬ .‫ﺃﺯﻭﺍﺝ‬ ‫ﺷﻜﻞ‬ ‫ﻋﻠﻰ‬ ‫ﺗﻜﻮﻥ‬ ‫ﺍﻟﻤﺸﺎﻫﺪﺍﺕ‬ ‫ﺃﻥ‬ ‫ﺍﻟﻌﻤﻠﻴﺔ‬ ‫ﻣﺆﺛﺮ‬ ‫ﺗﺄﺛﻴﺮ‬ ‫ﺗﺤﺖ‬ ‫ﻧﻔﺴﻬﺎ‬ ‫ﺍﻟﻌﻴﻨﺔ‬ ‫ﻫﺬﻩ‬ ‫ﻧﻀﻊ‬ ‫ﺛﻢ‬ ‫ﻟﻬﺎ‬ ‫ﻣﺸﺎﻫﺪﺍﺕ‬ ‫ﻋﻠﻰ‬ ‫ﻭﺣﺼﻠﻨﺎ‬ ‫ﻋﻴﻨﺔ‬ ‫ﺃﺧﺬﻧﺎ‬ ‫ﺇﺫﺍ‬ ‫ﻓﻤﺜﻼ‬ ‫ﻣﺎ‬ ‫ﺛﺎﻧﻴﺔ‬ ‫ﻣﺮﺓ‬ ‫ﻧﻌﻮﺩ‬ ‫ﺛﻢ‬ ‫ﻟﻬﺎ‬ ‫ﻣﺸﺎﻫﺪﺍﺕ‬ ‫ﻋﻠﻰ‬ ‫ﻭﻧﺤﺼﻞ‬ .‫ﺍﻟﺘﺄﺛﻴﺮ‬ ‫ﺑﻌﺪ‬ ‫ﻓﻲ‬ ‫ﺍﻟﻤﻔﺮﺩﺍﺕ‬ ‫ﻟﻨﻔﺲ‬ ‫ﺍﻟﻘﺮﺍءﺗﻴﻦ‬ ‫ﻣﺠﻤﻮﻋﺘﻲ‬ ‫ﺑﻴﻦ‬ ‫ﺍﻟﻤﻘﺎﺭﻧﺔ‬ ‫ﺍﺧﺘﺒﺎﺭﺍﺕ‬ ‫ﻭﺑﺈﺟﺮﺍء‬ ‫ﺍﻟﻌ‬ ‫ﻭﺍﻟﺜﺎﻧﻴﺔ‬ ‫ﺍﻷﻭﻟﻰ‬ ‫ﺍﻟﻤﺮﺓ‬ ‫ﻓﻲ‬ ‫ﻴﻨﺔ‬ (‫ﺍﻟﺘﺄﺛﻴﺮ‬ ‫ﻭﺑﻌﺪ‬ ‫)ﻗﺒﻞ‬ ‫ﺍﺳﺘﻨﺘﺎﺝ‬ ‫ﻳﻤﻜﻨﻨﺎ‬ ‫ﺣﺠﻢ‬ ‫ﺍﻟﺤﺎﻟﺔ‬ ‫ﻫﺬﻩ‬ ‫ﻭﻓﻲ‬ ‫ﺍﻟﻌﻴﻨﺔ‬ ‫ﻣﻔﺮﺩﺍﺕ‬ ‫ﻋﻠﻰ‬ ‫ﺍﻟﻤﺆﺛﺮ‬ ‫ﻣﻘﺪﺍﺭﻳﻦ‬ ‫ﺑﻴﻦ‬ ‫ﺍﻟﻔﺮﻕ‬ ‫ﻧﺪﺭﺱ‬ ‫ﻏﻴﺮ‬ ‫ﺍﻷﻭﻟﻰ‬ ‫ﺍﻟﻘﺮﺍءﺍﺕ‬ ‫ﻣﺘﻮﺳﻂ‬ ‫ﻭﻫﻤﺎ‬ ‫ﺑﻌﻀﻬﻤﺎ‬ ‫ﻋﻦ‬ ‫ﻣﺴﺘﻘﻠﻴﻦ‬ (‫ﺍﻟﺘﺄﺛﻴﺮ‬ ‫)ﻗﺒﻞ‬ ‫ﻭﻣﺘﻮﺳﻂ‬ ‫ﺍﻟﺜﺎﻧﻴﺔ‬ ‫ﺍﻟﻘﺮﺍءﺍﺕ‬ (‫ﺍﻟﺘﺄﺛﻴﺮ‬ ‫)ﺑﻌﺪ‬ ، ‫ﺍﺧﺘﺒﺎﺭ‬ ‫ﺍﺳﺘﺨﺪﺍﻡ‬ ‫ﻭﻳﻤﻜﻦ‬ ‫ﺕ‬ ‫ﻛ‬ ‫ﻤﺎ‬ :‫ﺍﻟﺘﺎﻟﻲ‬ ‫ﺑﺎﻟﻤﺜﺎﻝ‬ ‫ﺗﺪﺭﻳﺐ‬ ‫ﺳﺒﻌﺔ‬ ‫ﻣﻦ‬ ‫ﻣﺠﻤﻮﻋﺔ‬ ‫ﻟﺪﻳﻨﺎ‬ ‫ﻛﺎﻥ‬ ‫ﺇﺫﺍ‬ ‫ﻛﺎﻧﺖ‬ ‫ﺃﺷﺨﺎﺹ‬ ‫ﺃﻭﺯﺍﻧﻬﻢ‬ (‫)ﻛﻢ‬ ‫ﺍﻟﺤﻤﻴﺔ‬ ‫ﻭﺑﻌﺪ‬ ‫ﻗﺒﻞ‬ (‫ﺍﻟﻮﺯﻥ‬ ‫ﻹﻧﻘﺎﺹ‬ ‫)ﺗﺠﺮﺑﺔ‬ ‫ﺷﻬﺮ‬ ‫ﻟﻤﺪﺓ‬ ‫ﻛﺎﻟﺘﺎﻟﻲ‬ : ‫ﺍﻟﺸﺨﺺ‬ ‫ﺭﻗﻢ‬ ‫ﺍﻟﺤﻤﻴﺔ‬ ‫ﻗﺒﻞ‬ ‫ﺍﻟﻮﺯﻥ‬ ‫ﺍﻟﺤﻤﻴﺔ‬ ‫ﺑﻌﺪ‬ ‫ﺍﻟﻮﺯﻥ‬ 1 62 53 2 82 73 3 77 65 4 57 55 5 62 67 6 90 85 7 82 79 ‫ﺍﻟﺤﻤ‬ ‫ﻧﻈﺎﻡ‬ ‫ﻓﻬﻞ‬ ‫ﻴﺔ‬ ‫ﻋﻠﻰ‬ ‫ﺗﺄﺛﻴﺮ‬ ‫ﻟﻪ‬ ‫ﻣﻌﻨ‬ ‫ﻣﺴﺘﻮﻯ‬ ‫ﻋﻨﺪ‬ ‫ﺍﻟﻮﺯﻥ‬ ‫ﻮﻳﺔ‬ 5 % ‫؟‬ :‫ﺍﻻﺧﺘﺒﺎﺭ‬ ‫ﺧﻄﻮﺍﺕ‬ 1 - ‫ﺑﺮﻧﺎﻣﺞ‬ ‫ﺍﻟﻰ‬ ‫ﺍﻟﺒﻴﺎﻧﺎﺕ‬ ‫ﻧﺪﺧﻞ‬ SPSS ‫ﺑﺎﻟﺸﻜﻞ‬ ‫ﻛﻤﺎ‬
  • 68.
    ‫ﺑﺎﺳﺗﺧﺩﺍﻡ‬ ‫ﺍﻻﺣﺻﺎﺋﻲ‬ ‫ﺍﻟﺗﺣﻠﻳﻝ‬ SPSS ‫ﺩ‬ ‫ﺳﻠﻁﺎﻥ‬‫ﺧﻠﻑ‬ . 68 3 - :‫ﺍﻟﻔﺮﺿﻴﺎﺕ‬ ‫ﺻﻴﺎﻏﺔ‬ H0 ‫ﻻ‬ ‫ﺍﻟﺤﻤﻴﺔ‬ : ‫ﺍﻟﺤﻤﻴﺔ‬ ‫ﻭﺑﻌﺪ‬ ‫ﻗﺒﻞ‬ ‫ﺍﻟﻮﺯﻥ‬ ‫ﻓﺮﻕ‬ ‫)ﻣﺘﻮﺳﻂ‬ ‫ﺍﻟﻮﺯﻥ‬ ‫ﺍﻧﻘﺎﺹ‬ ‫ﻓﻲ‬ ‫ﺗﻔﻴﺪ‬ ‫ﺻﻔﺮ‬ ‫ﻳﺴﺎﻭﻱ‬ ( H1 ‫ﻭﺑ‬ ‫ﻗﺒﻞ‬ ‫ﺍﻟﻮﺯﻥ‬ ‫ﻓﺮﻕ‬ ‫)ﻣﺘﻮﺳﻂ‬ ‫ﺍﻟﻮﺯﻥ‬ ‫ﺍﻧﻘﺎﺹ‬ ‫ﻓﻲ‬ ‫ﺗﻔﻴﺪ‬ ‫ﺍﻟﺤﻤﻴﺔ‬ : ‫ﻻ‬ ‫ﺍﻟﺤﻤﻴﺔ‬ ‫ﻌﺪ‬ ‫ﻳ‬ (‫ﺻﻔﺮ‬ ‫ﺴﺎﻭﻱ‬ 4 - :‫ﺍﻟﺘﺎﻟﻲ‬ ‫ﺍﻟﻤﺴﺎﺭ‬ ‫ﻧﺘﺒﻊ‬ ‫ﺍﻟﺒﻴﺎﻧﺎﺕ‬ ‫ﺍﺩﺧﺎﻝ‬ ‫ﺑﻌﺪ‬ Analyze  Compare means  Paired Samples T test :‫ﻳﻠﻲ‬ ‫ﻛﻤﺎ‬ ‫ﺣﻘﻮﻟﻪ‬ ‫ﺗﻌﺒﺌﺔ‬ ‫ﻳﺘﻢ‬ ‫ﺣﻮﺍﺭ‬ ‫ﻣﺮﺑﻊ‬ ‫ﻓﻴﻈﻬﺮ‬ ‫ﻧﻀﻐﻂ‬ ‫ﺛﻢ‬ OK :‫ﺍﻟﺘﺎﻟﻴﺔ‬ ‫ﺍﻟﻨﺘﺎﺋﺞ‬ ‫ﻓﺘﻈﻬﺮ‬ Paired Samples Statistics Mean N Std. Deviation Std. Error Mean Pair 1 ‫ﺍﻟﺣﻣﻳﺔ_ﻗﺑﻝ‬ 73.1429 7 12.68107 4.79299 ‫ﺍﻟﺣﻣﻳﺔ_ﺑﻌﺩ‬ 68.1429 7 11.82411 4.46909 Paired Samples Correlations N Correlation Sig. Pair 1 ‫ﺍﻟﺣﻣﻳﺔ_ﻗﺑﻝ‬ & ‫ﺍﻟﺣﻣﻳﺔ_ﺑﻌﺩ‬ 7 .895 .007
  • 69.
    ‫ﺑﺎﺳﺗﺧﺩﺍﻡ‬ ‫ﺍﻻﺣﺻﺎﺋﻲ‬ ‫ﺍﻟﺗﺣﻠﻳﻝ‬ SPSS ‫ﺩ‬ ‫ﺳﻠﻁﺎﻥ‬‫ﺧﻠﻑ‬ . 69 Paired Samples Test Paired Differences t df Sig. (2- tailed) Mean Std. Deviation Std. Error Mean 95% Confidence Interval of the Difference Lower Upper Pair 1 ‫ﻗﺑﻝ_ﺍﻟﺣﻣﻳﺔ‬ - ‫ﺑﻌﺩ_ﺍﻟﺣﻣﻳﺔ‬ 5.00000 5.68624 2.14920 -.25890 10.25890 2.326 6 .059 5 - ‫ﻭﺍﻟﻘﺮﺍﺭ‬ ‫ﺍﻟﺘﺤﻠﻴﻞ‬ ‫ﻗﻴﻤﺔ‬ ‫ﺍﻥ‬ ‫ﻧﺠﺪ‬ ‫ﺍﻟﻨﺘﺎﺋﺞ‬ ‫ﻣﻦ‬ p-value=0.059>0.05 ‫ﻋﺪﻡ‬ ‫ﻋﻠﻰ‬ ‫ﻳﺪﻝ‬ ‫ﻣﻤﺎ‬ ‫ﺭﻓﺾ‬ H0 ‫ﻣﻌﻨﻮﻱ‬ ‫ﺗﺄﺛﻴﺮ‬ ‫ﻟﻬﺎ‬ ‫ﻟﻴﺲ‬ ‫ﺍﻟﺤﻤﻴﺔ‬ ‫ﺍﻥ‬ ‫ﺃﻱ‬ ‫ﻋﻠﻰ‬ ‫ﺇﻧﻘﺎﺹ‬ .‫ﺍﻟﻮﺯﻥ‬ ) 4 - 4 ‫ﻣﺠﺘﻤﻌﺎﺕ‬ ‫ﻋﺪﺓ‬ ‫ﻣﺘﻮﺳﻄﺎﺕ‬ ‫ﺑﻴﻦ‬ ‫ﺍﻟﻤﻘﺎﺭﻧﺔ‬ ‫ﺍﺧﺘﺒﺎﺭ‬ ( ‫ﻭﺍﺣﺪ‬ ‫ﺍﺗﺠﺎﻩ‬ ‫ﻓﻲ‬ ‫ﺍﻟﺘﺒﺎﻳﻦ‬ ‫ﺗﺤﻠﻴﻞ‬ One-Way ANOVA ‫ﺍﻟﺤﺎﻟﺔ‬ ‫ﻫﺬﻩ‬ ‫ﻓﻲ‬ ‫ﺍﻟﺘﺒﺎﻳﻦ‬ ‫ﺗﺤﻠﻴﻞ‬ ‫ﻳﺴﺘﺨﺪﻡ‬ ‫ﻟ‬ ‫ﻋ‬ ‫ﻋﻴﻨﺎﺕ‬ ‫ﺑﺎﺳﺘﺨﺪﺍﻡ‬ ‫ﻭﺫﻟﻚ‬ ‫ﻣﺘﺠﺎﻧﺴﺔ‬ ‫ﻣﺠﺘﻤﻌﺎﺕ‬ ‫ﻋﺪﺓ‬ ‫ﻣﺘﻮﺳﻄﺎﺕ‬ ‫ﺑﻴﻦ‬ ‫ﻠﻤﻘﺎﺭﻧﺔ‬ ‫ﺸﻮﺍﺋﻴﺔ‬ ‫ﻋﺪﺓ‬ ‫ﻣﻦ‬ ‫ﻭﻣﺘﺠﺎﻧﺴﺔ‬ ‫ﻣﺴﺘﻘﻠﺔ‬ ‫ﻣﺠﺘﻤﻌﺎﺕ‬ ‫ﻗﻴﺪ‬ :‫ﻣﻨﻬﺎ‬ ‫ﻭﺍﺣﺪ‬ ‫ﺍﺗﺠﺎﻩ‬ ‫ﻓﻲ‬ ‫ﺍﻟﺘﺒﺎﻳﻦ‬ ‫ﺗﺤﻠﻴﻞ‬ ‫ﻟﺘﻄﺒﻴﻘﺎﺕ‬ ‫ﺃﻣﺜﻠﺔ‬ ‫ﻋﺪﺓ‬ ‫ﻭﻫﻨﺎﻙ‬ ‫ﺍﻟﺪﺭﺍﺳﺔ‬ 1 - ‫ﺍﻷﺳﻤﺪﺓ‬ ‫ﻣﻦ‬ ‫ﺃﻧﻮﺍﻉ‬ ‫ﻋﺪﺓ‬ ‫ﺑﺎﺳﺘﺨﺪﺍﻡ‬ ‫ﻣﻌﻴﻦ‬ ‫ﻟﻤﺤﺼﻮﻝ‬ ‫ﺍﻹﻧﺘﺎﺟﻴﺔ‬ ‫ﺑﻴﻦ‬ ‫ﺍﻟﻤﻘﺎﺭﻧﺔ‬ 2 - ‫ﺗﺄﺛ‬ ‫ﺑﻴﻦ‬ ‫ﺍﻟﻤﻘﺎﺭﻧﺔ‬ ‫ﻣ‬ ‫ﻣﺮﺽ‬ ‫ﻟﻌﻼﺝ‬ ‫ﻣﺨﺘﻠﻔﺔ‬ ‫ﺃﺩﻭﻳﺔ‬ ‫ﻋﺪﺓ‬ ‫ﻴﺮ‬ ‫ﻌ‬ ‫ﻴﻦ‬ 3 - ‫ﺩﺭﺟﺎﺕ‬ ‫ﺑﻴﻦ‬ ‫ﺍﻟﻤﻘﺎﺭﻧﺔ‬ ‫ﺍﻟﻄﻼﺏ‬ ‫ﺑ‬ ‫ﻣﻌﻴﻦ‬ ‫ﻤﻘﺮﺭ‬ ‫ﻣﻦ‬ ‫ﻣﻜﻮﻥ‬ ‫ﻣﺨﺘﻠﻔﺔ‬ ‫ﺷﻌﺐ‬ ‫ﻋﺪﺓ‬ .‫ﺍﻟﻤﺨﺘﻠﻔﺔ‬ ‫ﺍﻟﺘﻄﺒﻴﻘﺎﺕ‬ ‫ﻣﻦ‬ ‫ﻭﻫﻜﺬﺍ‬ ... ‫ﻣﻔﺮ‬ ‫ﻣﻦ‬ ‫ﻣﻔﺮﺩﺓ‬ ‫ﻟﻜﻞ‬ ‫ﻛﺎﻥ‬ ‫ﺇﺫﺍ‬ ‫ﺍﻷﺣﺎﺩﻱ‬ ‫ﺍﻟﺘﺒﺎﻳﻦ‬ ‫ﺑﺘﺤﻠﻴﻞ‬ ‫ﺍﻟﺘﺒﺎﻳﻦ‬ ‫ﺗﺤﻠﻴﻞ‬ ‫ﻭﻳﺴﻤﻰ‬ ‫ﻣﺘﻐﻴﺮﻳﻦ‬ ‫ﻋﻠﻰ‬ ‫ﻋﻼﻣﺔ‬ ‫ﺍﻟﻌﻴﻨﺔ‬ ‫ﺩﺍﺕ‬ ‫ﻳﺴﻤﻰ‬ ‫ﺍﻷﻭﻝ‬ ‫ﺍﻟﻌﺎﻣﻠﻲ‬ ‫ﺍﻟﻤﺘﻐﻴﺮ‬ Factor ‫ﺍﻟﻤﺘﻐﻴﺮ‬ ‫ﺃﻭ‬ ‫ﺍﻟﻤﺴﺘﻘﻞ‬ Independent Variable ‫ﺍﻻﺳﻤﻲ‬ ‫ﺍﻟﻨﻮﻉ‬ ‫ﻣﻦ‬ ‫ﻣﺘﻐﻴﺮ‬ ‫ﻭﻫﻮ‬ Nominal ‫ﺃﻭ‬ ‫ﺍﻟﺘﺮﺗﻴﺒﻲ‬ Ordinal ‫ﺍﻟﻤﺤﺪﺩﺓ‬ ‫ﺍﻟﻔﺌﺎﺕ‬ ‫ﻣﻦ‬ ‫ﻋﺪﺩ‬ ‫ﻭﻟﻪ‬ ‫ﻣﻦ‬ ‫ﻋﺪﺩ‬ ‫ﺇﻟﻰ‬ ‫ﺍﻟﻜﻠﻴﺔ‬ ‫ﺍﻟﻌﻴﻨﺔ‬ ‫ﺗﻘﺴﻴﻢ‬ ‫ﺳﻴﺘﻢ‬ ‫ﺧﻼﻟﻪ‬ ‫ﻣﻦ‬ ‫ﺍﻟﺬﻱ‬ ‫ﺍﻟﻤﺘﻐﻴﺮ‬ ‫ﻭﻫﻮ‬ ‫ﻣ‬ ‫ﻣﻘﺎﺭﻧﺔ‬ ‫ﻳﺮﺍﺩ‬ ‫ﺍﻟﺘﻲ‬ ‫ﺍﻟﻌﻴﻨﺎﺕ‬ ‫ﺘ‬ ‫ﺍﻟﺘﺎﺑﻊ‬ ‫ﺑﺎﻟﻤﺘﻐﻴﺮ‬ ‫ﻳﺴﻤﻰ‬ ‫ﺍﻟﺬﻱ‬ ‫ﺍﻵﺧﺮ‬ ‫ﺍﻟﻤﺘﻐﻴﺮ‬ ‫ﺃﻣﺎ‬ .‫ﻮﺳﻄﺎﺗﻬﺎ‬ Dependent Variable ‫ﻓﻬﻮ‬ ‫ﺍﻟﻤﺘﺼﻞ‬ ‫ﺍﻟﻜﻤﻲ‬ ‫ﺍﻟﻨﻮﻉ‬ ‫ﻣﻦ‬ ‫ﻣﺘﻐﻴﺮ‬ ‫ﺳﻴ‬ ‫ﺍﻟﺬﻱ‬ ‫ﺍﻟﻤﺘﻐﻴﺮ‬ ‫ﻭﻫﻮ‬ .‫ﺍﻟﻌﺎﻣﻠﻲ‬ ‫ﺍﻟﻤﺘﻐﻴﺮ‬ ‫ﻓﺌﺎﺕ‬ ‫ﻣﻦ‬ ‫ﻓﺌﺔ‬ ‫ﻟﻜﻞ‬ ‫ﻣﺘﻮﺳﻄﻪ‬ ‫ﻣﺴﺎﻭﺍﺓ‬ ‫ﻓﺤﺺ‬ ‫ﺘﻢ‬ ‫ﺍﻟﻤﺘﻐﻴﺮ‬ ‫ﻓﺌﺎﺕ‬ ‫ﻣﻦ‬ ‫ﻓﺌﺔ‬ ‫ﻛﻞ‬ ‫ﻓﻲ‬ ‫ﺍﻟﺘﺎﺑﻊ‬ ‫ﺍﻟﻤﺘﻐﻴﺮ‬ ‫ﻳﺴﻤﻰ‬ ‫ﻛﻤﻲ‬ ‫ﻣﺘﻐﻴﺮ‬ ‫ﻣﺘﻮﺳﻄﺎﺕ‬ ‫ﻣﻘﺎﺭﻧﺔ‬ ‫ﻫﻮ‬ ‫ﺍﻟﺘﺒﺎﻳﻦ‬ ‫ﺗﺤﻠﻴﻞ‬ ‫ﻣﻦ‬ ‫ﺍﻷﺳﺎﺱ‬ ‫ﻭﺍﻟﻬﺪﻑ‬ ‫ﺍﻟﻌﺎﻣﻠﻲ‬ Factor ‫ﻭﻓﺤﺺ‬ ‫ﻣﻘﺎﺑﻞ‬ ‫ﻣﺘﺴﺎﻭﻳﺔ‬ ‫ﺍﻟﻤﺘﻮﺳﻄﺎﺕ‬ ‫ﻫﺬﻩ‬ ‫ﻛﺎﻧﺖ‬ ‫ﺇﺫﺍ‬ ‫ﻣﺎ‬ ‫ﺍﻷﻗﻞ‬ ‫ﻋﻠﻰ‬ ‫ﻣﺘﺴﺎﻭﻳﻴﻦ‬ ‫ﻏﻴﺮ‬ ‫ﻣﺘﻮﺳﻄﻴﻦ‬ ‫ﻓﺈﺫﺍ‬ ‫ﺗﻘﻮﻝ‬ ‫ﺍﻟﺘﻲ‬ ‫ﺍﻟﻔﺮﺿﻴﺔ‬ ‫ﺭﻓﻀﺖ‬ ‫ﻣﺘﻮﺳﻄﺎﺕ‬ ‫ﺇﻥ‬ ‫ﻣﺘﺴﺎﻭﻳﺔ‬ ‫ﺍﻟﻤﺘﻮﺳﻄﺎﺕ‬ ‫ﻫﺬﻩ‬ ‫ﻣﻦ‬ ‫ﺃﻱ‬ ‫ﻫﻨﺎ‬ ‫ﺍﻟﺴﺆﺍﻝ‬ ‫ﻓﺎﻥ‬ .‫ﻣﺘﺴﺎﻭﻳﺔ‬ ‫ﺍﻟﻔﺌﺎﺕ‬ ‫ﻫﺬﻩ‬ ‫ﺍﻟﺒﻌﺪﻳﺔ‬ ‫ﺍﻟﻤﻘﺎﺭﻧﺎﺕ‬ ‫ﺗﺴﺘﺨﺪﻡ‬ ‫ﻣﺘﺴﺎﻭﻳﺔ؟‬ ‫ﻏﻴﺮ‬ ‫ﻭﺃﻳﻬﺎ‬ Post Hoc ‫ﻣﻦ‬ ‫ﺯﻭﺟﻴﻦ‬ ‫ﻟﻜﻞ‬ ‫ﺍﻟﺘﺎﺑﻊ‬ ‫ﺍﻟﻤﺘﻐﻴﺮ‬ ‫ﻣﺘﻮﺳﻄﺎﺕ‬ ‫ﻟﻤﻘﺎﺭﻧﺔ‬ ‫ﻋﺪﺩ‬ ‫ﻓﺎﻥ‬ ‫ﺛﻼﺛﺔ‬ ‫ﺍﻟﻔﺌﺎﺕ‬ ‫ﻋﺪﺩ‬ ‫ﻛﺎﻥ‬ ‫ﻓﺈﺫﺍ‬ ‫ﺣﺪﻩ‬ ‫ﻋﻠﻰ‬ ‫ﺍﻟﻤﺘﻐﻴﺮﺍﺕ‬ ‫ﺍﻟﻤﻘﺎﺭﻧﺎﺕ‬ ‫ﻣﻘﺎﺭﻧﺎﺕ‬ ‫ﺛﻼﺙ‬ ‫ﺍﻟﺒﻌﺪﻳﺔ‬ ‫ﺍﻟﻤﺠﻤﻮﻋﺔ‬ ‫ﺑﻴﻦ‬ ‫ﺍﻟﻤﻘﺎﺭﻧﺔ‬ ‫ﺍﻟﺜﺎﻧﻴﺔ‬ ‫ﺍﻟﻤﺠﻤﻮﻋﺔ‬ ‫ﺑﻴﻦ‬ ‫ﻭﺍﻟﻤﻘﺎﺭﻧﺔ‬ ‫ﻭﺍﻟﺜﺎﻧﻴﺔ‬ ‫ﺍﻷﻭﻟﻰ‬ ،‫ﻭﺍﻟﺜﺎﻟﺜﺔ‬ .‫ﻭﻫﻜﺬﺍ‬ ‫ﻭﺍﻟﺜﺎﻟﺜﺔ‬ ‫ﺍﻷﻭﻟﻰ‬ ‫ﺍﻟﻤﺠﻤﻮﻋﺔ‬ ‫ﺑﻴﻦ‬ ‫ﻭﺍﻟﻤﻘﺎﺭﻧﺔ‬
  • 70.
    ‫ﺑﺎﺳﺗﺧﺩﺍﻡ‬ ‫ﺍﻻﺣﺻﺎﺋﻲ‬ ‫ﺍﻟﺗﺣﻠﻳﻝ‬ SPSS ‫ﺩ‬ ‫ﺳﻠﻁﺎﻥ‬‫ﺧﻠﻑ‬ . 70 ) ‫ﺗﻄﺒﻴﻖ‬ 8 ( ‫ﺍﻟﻤﻘﺎﻭﻣﺔ‬ ‫ﻟﺪﺭﺍﺳﺔ‬ resistance ‫ﻣﻦ‬ ‫ﻷﻧﻮﺍﻉ‬ ‫ﺍﻟﻜﻬﺮﺑﺎﺋﻴﺔ‬ ‫ﺍﻟﺘﻮﺻﻴﻼﺕ‬ ‫ﺃﺳﻼﻙ‬ ‫ﺍﻧﺘﺎﺝ‬ ‫ﻣﻦ‬ (‫ﺍﻟﻤﻮﺍﺻﻔﺎﺕ‬ ‫)ﻧﻔﺲ‬ 4 ‫ﺷﺮﻛﺎﺕ‬ ‫ﻣﺨﺘﻠﻔﺔ‬ ‫ﺗﻢ‬ ‫ﻛﻞ‬ ‫ﻣﻦ‬ ‫ﻋﺸﻮﺍﺋﻴﺔ‬ ‫ﻋﻴﻨﺔ‬ ‫ﺍﺧﺘﻴﺎﺭ‬ ‫ﺷﺮﻛﺔ‬ ‫ﻭﻗﻴﺴﺖ‬ ‫ﻣﻨﺎﺳﺒﺔ‬ ‫)ﺑﻮﺣﺪﺍﺕ‬ ‫ﺍﻟﺴﻠﻚ‬ ‫ﻣﻦ‬ ‫ﺍﻟﻄﻮﻝ‬ ‫ﻟﻮﺣﺪﺓ‬ ‫ﺍﻟﻤﻘﺎﻭﻣﺔ‬ ‫ﻓﺤﺼﻠﻨﺎ‬ ،( :‫ﺍﻟﺘﺎﻟﻲ‬ ‫ﺍﻟﺠﺪﻭﻝ‬ ‫ﻓﻲ‬ ‫ﺍﻟﻤﺒﻴﻨﺔ‬ ‫ﺍﻟﺒﻴﺎﻧﺎﺕ‬ ‫ﻋﻠﻰ‬ ‫ﺍﻟﻤﺨﺘﻠﻔﺔ‬ ‫ﺍﻟﻌﻴﻨﺎﺕ‬ ‫ﻣﻘﺎﻭﻣﺎﺕ‬ ‫ﺍﻟﺸﺮﻛﺎﺕ‬ 2.9 3 2.8 1 2.7 3 2.6 2.9 2 3.2 3.5 3.2 3 2.6 2.7 2.3 2.5 2.4 4 ‫ﺍﻷﺳﻼ‬ ‫ﻣﻘﺎﻭﻣﺔ‬ ‫ﻣﺘﻮﺳﻄﺎﺕ‬ ‫ﺑﻴﻦ‬ ‫ﻣﻌﻨﻮﻳﺔ‬ ‫ﻓﺮﻭﻕ‬ ‫ﻫﻨﺎﻙ‬ ‫ﻫﻞ‬ ‫ﺍﻟﻤﺨﺘﻠﻔﺔ‬ ‫ﺍﻟﺸﺮﻛﺎﺕ‬ ‫ﻫﺬﻩ‬ ‫ﺇﻧﺘﺎﺝ‬ ‫ﻣﻦ‬ ‫ﻙ‬ ‫؟‬ ‫ﺍﻟﺘﻨﻔﻴﺬ‬ ‫ﺧﻄﻮﺍﺕ‬ 1 - ‫ﺍﻟﻔﺮﺿﻴﺎﺕ‬ H0 : ‫ﻷﻧﻮﺍﻉ‬ ‫ﺍﻟﻤﻘﺎﻭﻣﺔ‬ ‫ﻣﺘﻮﺳﻄﺎﺕ‬ ‫ﺍﻷﺳﻼﻙ‬ ‫ﻣﺘﺴﺎﻭﻳﺔ‬ ‫ﺍﻟﻤﺨﺘﻠﻔﺔ‬ . H1 .‫ﺍﻷﺳﻼﻙ‬ ‫ﻣﻦ‬ ‫ﻧﻮﻋﻴﻦ‬ ‫ﻣﻘﺎﻭﻣﺔ‬ ‫ﻣﺘﻮﺳﻄﻲ‬ ‫ﺑﻴﻦ‬ ‫ﺍﻷﻗﻞ‬ ‫ﻋﻠﻰ‬ ‫ﺍﺧﺘﻼﻑ‬ ‫ﻳﻮﺟﺪ‬ : 2 - ‫ﺍﻻ‬ ‫ﻭﺗﻨﻔﻴﺬ‬ ‫ﺍﻟﺒﻴﺎﻧﺎﺕ‬ ‫ﺇﺩﺧﺎﻝ‬ ‫ﺧﺘﺒﺎﺭ‬ ‫ﺑﺮﻧﺎﻣﺞ‬ ‫ﻓﻲ‬ ‫ﺍﻷﺣﺎﺩﻱ‬ ‫ﺍﻟﺘﺒﺎﻳﻦ‬ ‫ﺗﺤﻠﻴﻞ‬ ‫ﻓﻲ‬ ‫ﺍﻟﺒﻴﺎﻧﺎﺕ‬ ‫ﺇﺩﺧﺎﻝ‬ ‫ﻳﺘﻢ‬ SPSS :‫ﻛﺎﻟﺘﺎﻟﻲ‬
  • 71.
    ‫ﺑﺎﺳﺗﺧﺩﺍﻡ‬ ‫ﺍﻻﺣﺻﺎﺋﻲ‬ ‫ﺍﻟﺗﺣﻠﻳﻝ‬ SPSS ‫ﺩ‬ ‫ﺳﻠﻁﺎﻥ‬‫ﺧﻠﻑ‬ . 71 ‫ﺍﻷﺳﻼﻙ‬ ‫ﻣﻘﺎﻭﻣﺔ‬ ‫ﻳﻤﺜﻞ‬ ‫ﺍﻟﺬﻱ‬ ‫ﺍﻷﻭﻝ‬ ‫ﺍﻟﻤﺘﻐﻴﺮ‬ ‫ﺗﺤﺖ‬ ‫ﺍﻟﻤﺨﺘﻠﻔﺔ‬ ‫ﺍﻟﻌﻴﻨﺎﺕ‬ ‫ﺟﻤﻴﻊ‬ ‫ﻣﺸﺎﻫﺪﺍﺕ‬ ‫ﺇﺩﺧﺎﻝ‬ ‫ﻳﺘﻢ‬ ‫ﺣﻴﺚ‬ (‫)ﺍﻟﻤﻘﺎﻭﻣﺔ‬ ‫ﺃﻣﺎ‬ ‫ﺍﻟﺜﺎﻧﻲ‬ ‫ﺍﻟﻤﺘﻐﻴﺮ‬ (‫)ﺍﻟﺸﺮﻛﺎﺕ‬ ‫ﺇﺩﺧ‬ ‫ﺑﻌﺪ‬ .‫ﻟﻠﺴﻠﻚ‬ ‫ﺍﻟﻤﻨﺘﺠﺔ‬ ‫ﺍﻟﺸﺮﻛﺔ‬ ‫ﻳﻮﺿﺢ‬ ‫ﻛﻮﺩ‬ ‫ﻋﻦ‬ ‫ﻋﺒﺎﺭﺓ‬ ‫ﻓﻬﻮ‬ ‫ﺍﻟﻤﺴﺎﺭ‬ ‫ﻧﺘﺒﻊ‬ ‫ﺍﻟﺒﻴﺎﻧﺎﺕ‬ ‫ﺎﻝ‬ :‫ﺍﻟﺘﺎﻟﻲ‬ Analyze  Compare Means  one-way ANOVA ‫ﺍﻟﺤﻮﺍﺭ‬ ‫ﻣﺮﺑﻊ‬ ‫ﻓﻴﻈﻬﺮ‬ ‫ﺍﻷﺳ‬ ‫ﺍﻟﺘﺎﻟﻲ‬ ‫ﺎﺳﻲ‬ : ‫ﺍﻟﻤﻘﺎﻭﻣﺎﺕ‬ ‫ﻣﺘﻐﻴﺮ‬ ‫ﺍﻵﻥ‬ ‫ﻧﻨﻘﻞ‬ resistance ‫ﺍﻟﻤﺮﺑﻊ‬ ‫ﺇﻟﻰ‬ Dependent variable List ‫ﺍﻻﻛﻮﺍﺩ‬ ‫ﻭﻣﺘﻐﻴﺮ‬ Company ‫ﺍﻟﻤﺮﺑﻊ‬ ‫ﺇﻟﻰ‬ Factor ‫ﺛﻢ‬ ‫ﻧﻀﻐﻂ‬ options ‫ﺍﺧﺘﺒﺎﺭ‬ ‫ﻟﺘﻨﺸﻴﻂ‬ ‫ﺍﻟﺘ‬ ‫ﺠﺎﻧﺲ‬
  • 72.
    ‫ﺑﺎﺳﺗﺧﺩﺍﻡ‬ ‫ﺍﻻﺣﺻﺎﺋﻲ‬ ‫ﺍﻟﺗﺣﻠﻳﻝ‬ SPSS ‫ﺩ‬ ‫ﺳﻠﻁﺎﻥ‬‫ﺧﻠﻑ‬ . 72 ‫ﻧﻀﻐﻂ‬ ‫ﺛﻢ‬ Post Hoc .‫ﻟﻠﻨﺘﺎﺋﺞ‬ ‫ﺍﻟﻤﻄﻠﻮﺏ‬ ‫ﺍﻟﻤﻌﻨﻮﻳﺔ‬ ‫ﻣﺴﺘﻮﻯ‬ ‫ﻭﺍﺧﺘﻴﺎﺭ‬ ‫ﺍﻟﺒﻌﺪﻳﺔ‬ ‫ﺍﻻﺧﺘﺒﺎﺭﺍﺕ‬ ‫ﻟﺘﻨﺸﻴﻂ‬ ‫ﺍﺧﺘﺒﺎﺭ‬ ‫ﺍﺧﺘﻴﺎﺭ‬ ‫ﺗﻢ‬ ‫ﻧﻼﺣﻆ‬ LSD ‫ﻭﺑﺎﻟﻀﻐﻂ‬ (‫)ﻣﺜﻨﻰ‬ ‫ﺍﻟﻤﺨﺘﻠﻔﺔ‬ ‫ﺍﻟﻤﺠﻤﻮﻋﺎﺕ‬ ‫ﺑﻴﻦ‬ ‫ﺍﻟﺒﻌﺪﻳﺔ‬ ‫ﺍﻟﻤﻘﺎﺭﻧﺎﺕ‬ ‫ﺍﺧﺘﺒﺎﺭﺍﺕ‬ ‫ﻛﺄﺣﺪ‬ ‫ﻋﻠﻰ‬ continue ‫ﻧﻀﻐﻂ‬ ‫ﺛﻢ‬ ‫ﺍﻷﺳﺎﺳﻲ‬ ‫ﺍﻟﺤﻮﺍﺭ‬ ‫ﻣﺮﺟﻊ‬ ‫ﺇﻟﻰ‬ ‫ﻧﺮﺟﻊ‬ OK ‫ﺍﻟﻨﺘﺎﺋﺞ‬ ‫ﻓﺘﻈﻬﺮ‬ :‫ﻛﺎﻟﺘﺎﻟﻲ‬ Test of Homogeneity of Variances ‫ﺍﻟﻣﻘﺎﻭﻣﺔ‬ Levene Statistic df1 df2 Sig. .905 3 11 .470 ANOVA ‫ﺍﻟﻣﻘﺎﻭﻣﺔ‬ Sum of Squares df Mean Square F Sig. Between Groups 1.224 3 .408 16.029 .000 Within Groups .280 11 .025 Total 1.504 14 ‫ﺗﺸﻴ‬ ‫ﺑﻴﻦ‬ ‫ﻣﻌﻨﻮﻳﺔ‬ ‫ﺍﺧﺘﻼﻓﺎﺕ‬ ‫ﻟﻮﺟﻮﺩ‬ ‫ﺍﻟﺠﺪﻭﻝ‬ ‫ﻫﺬﺍ‬ ‫ﻧﺘﺎﺋﺞ‬ ‫ﺮ‬ ‫ﺃﻧﻮﺍﻉ‬ ‫ﻣﻦ‬ ‫ﺍﻗﻞ‬ ‫ﻣﻌﻨﻮﻳﺔ‬ ‫ﻣﺴﺘﻮﻯ‬ ‫ﻋﻨﺪ‬ ‫ﺍﻟﺴﻠﻚ‬ 0.01 :‫ﺍﻟﺘﺎﻟﻲ‬ ‫ﻧﺴﺘﻨﺞ‬ ‫ﺍﻟﻤﺘﻌﺪﺩﺓ‬ ‫ﺍﻟﻤﻘﺎﺭﻧﺎﺕ‬ ‫ﺟﺪﻭﻝ‬ ‫ﻣﻦ‬ ‫ﺃﻣﺎ‬
  • 73.
    ‫ﺑﺎﺳﺗﺧﺩﺍﻡ‬ ‫ﺍﻻﺣﺻﺎﺋﻲ‬ ‫ﺍﻟﺗﺣﻠﻳﻝ‬ SPSS ‫ﺩ‬ ‫ﺳﻠﻁﺎﻥ‬‫ﺧﻠﻑ‬ . 73 Multiple Comparisons Dependent Variable: ‫ﺍﻟﻣﻘﺎﻭﻣﺔ‬ LSD (I) ‫ﺍﻟﺷﺭﻛﺎﺕ‬ (J) ‫ﺍﻟﺷﺭﻛﺎﺕ‬ Mean Difference (I-J) Std. Error Sig. 95% Confidence Interval Lower Bound Upper Bound 1.00 2.00 .10000 .12185 .429 -.1682 .3682 3.00 -.40000* .13027 .011 -.6867 -.1133 4.00 .40000* .11652 .006 .1436 .6564 2.00 1.00 -.10000 .12185 .429 -.3682 .1682 3.00 -.50000* .12185 .002 -.7682 -.2318 4.00 .30000* .10703 .017 .0644 .5356 3.00 1.00 .40000* .13027 .011 .1133 .6867 2.00 .50000* .12185 .002 .2318 .7682 4.00 .80000* .11652 .000 .5436 1.0564 4.00 1.00 -.40000* .11652 .006 -.6564 -.1436 2.00 -.30000* .10703 .017 -.5356 -.0644 3.00 -.80000* .11652 .000 -1.0564 -.5436 *. The mean difference is significant at the 0.05 level. ‫ﺍﻟﺠﺪﻭﻝ‬ ‫ﻫﺬﺍ‬ ‫ﻣﻦ‬ ‫ﻭﻧﻼﺣﻆ‬ :‫ﺍﻟﺘﺎﻟﻲ‬ ‫ﺍﻟﻨﺤﻮ‬ ‫ﻋﻠﻰ‬ ‫ﺍﻟﻤﺨﺘﻠﻔﺔ‬ ‫ﺍﻻﺳﻼﻙ‬ ‫ﺍﻧﻮﺍﻉ‬ ‫ﺑﻴﻦ‬ ‫ﻣﻌﻨﻮﻳﺔ‬ ‫ﻓﺮﻭﻕ‬ ‫ﺗﻮﺟﺪ‬ ‫ﺍﻧﻪ‬ 1 - ‫ﺍﻟﺸﺮﻛﺔ‬ ‫ﺃﺳﻼﻙ‬ ‫ﻣﻘﺎﻭﻣﺔ‬ 1 ‫ﺃﺻﻐﺮ‬ ‫ﺍﺳﻼﻙ‬ ‫ﻣﻘﺎﻣﺔ‬ ‫ﻣﻦ‬ ‫ﺍﻟﺸﺮﻛﺔ‬ 3 2 - ‫ﺃﺳﻼﻙ‬ ‫ﻣﻘﺎﻭﻣﺔ‬ ‫ﺍﻟﺸﺮﻛﺔ‬ 1 ‫ﺃﺻﻐﺮ‬ ‫ﺍﺳﻼﻙ‬ ‫ﻣﻘﺎﻣﺔ‬ ‫ﻣﻦ‬ ‫ﺍﻟﺸﺮﻛﺔ‬ 4 3 - ‫ﺍﻟﺸﺮﻛﺔ‬ ‫ﺃﺳﻼﻙ‬ ‫ﻣﻘﺎﻭﻣﺔ‬ 2 ‫ﺃﺻﻐﺮ‬ ‫ﺍﺳﻼﻙ‬ ‫ﻣﻘﺎﻣﺔ‬ ‫ﻣﻦ‬ ‫ﺍﻟﺸﺮﻛﺔ‬ 3 4 - ‫ﺍﻟﺸﺮﻛﺔ‬ ‫ﺃﺳﻼﻙ‬ ‫ﻣﻘﺎﻭﻣﺔ‬ 2 ‫ﺃﻛﺒﺮ‬ ‫ﺍﺳﻼﻙ‬ ‫ﻣﻘﺎﻣﺔ‬ ‫ﻣﻦ‬ ‫ﺍﻟﺸﺮﻛﺔ‬ 4 5 - ‫ﺍﻟﺸﺮﻛﺔ‬ ‫ﺃﺳﻼﻙ‬ ‫ﻣﻘﺎﻭﻣﺔ‬ 3 ‫ﺃﺻﻐﺮ‬ ‫ﺍﺳﻼﻙ‬ ‫ﻣﻘﺎﻣﺔ‬ ‫ﻣﻦ‬ ‫ﺍﻟﺸﺮﻛﺔ‬ 4 :‫ﻣﻼﺣﻈﺔ‬ ‫ﺍﺧﺘﺒﺎﺭ‬ ‫ﺍﺧﺘﻴﺎﺭ‬ ‫ﻳﺘﻢ‬ ‫ﺍﻟﺒﻌﺪﻳﺔ‬ ‫ﺍﻟﻤﻘﺎﺭﻧﺎﺕ‬ ‫ﺍﻟﺘﺒﺎ‬ ‫ﺗﺴﺎﻭﻱ‬ ‫ﺃﺳﺎﺱ‬ ‫ﻋﻠﻰ‬ :‫ﺣﺎﻟﺘﻴﻦ‬ ‫ﻭﻧﺠﺪ‬ ‫ﻳﻦ‬ 1 - ‫ﻧﺴﺘﺨﺪﻡ‬ :‫ﺍﻟﺘﺒﺎﻳﻦ‬ ‫ﺗﺴﺎﻭﻱ‬ LSD ‫ﺍﻭ‬ ، Tukey ‫ﺍﻭ‬ ، Scheffe 2 - ‫ﻧﺴﺘﺨﺪﻡ‬ :‫ﺍﻟﺘﺒﺎﻳﻦ‬ ‫ﺗﺴﺎﻭﻱ‬ ‫ﻋﺪﻡ‬ Dunett's C ‫ﺍﻭ‬ ، Dunnett's T3
  • 74.
    ‫ﺑﺎﺳﺗﺧﺩﺍﻡ‬ ‫ﺍﻻﺣﺻﺎﺋﻲ‬ ‫ﺍﻟﺗﺣﻠﻳﻝ‬ SPSS ‫ﺩ‬ ‫ﺳﻠﻁﺎﻥ‬‫ﺧﻠﻑ‬ . 74 ‫ﺍﻟ‬ ‫ﺍﻟﺠﺰء‬ ‫ﺨﺎﻣﺲ‬ ‫ﺍﻟﻼﻣﻌﻠﻤﻴﺔ‬ ‫ﺍﻻﺧﺘﺒﺎﺭﺍﺕ‬ Nonparametric Tests ) 5 - 1 ( ‫ﻣﻘﺪﻣﺔ‬ ‫ﺍﻟﻤﻮ‬ ‫ﺍﻟﻼﻣﻌﻠﻤﻴﺔ‬ ‫ﺍﻻﺧﺘﺒﺎﺭﺍﺕ‬ ‫ﺑﻌﺾ‬ ‫ﻫﻨﺎ‬ ‫ﻧﺴﺘﻌﺮﺽ‬ ‫ﺳﻮﻑ‬ ‫ﻓﻲ‬ ‫ﺟﻮﺩﺓ‬ SPSS . ‫ﺍ‬ ‫ﺍﻻﺧﺘﺒﺎﺭﺍﺕ‬ ‫ﺑﻌﺾ‬ ‫ﻳﻤﺜﻞ‬ ‫ﺍﻟﺘﺎﻟﻲ‬ ‫ﺍﻟﺠﺪﻭﻝ‬ ‫ﺍﻟﻼﻣ‬ ‫ﻹﺣﺼﺎﺋﻴﺔ‬ ‫ﻭ‬ ‫ﻌﻠﻤﻴﺔ‬ ‫ﻓﻮﺍﺋﺪﻫﺎ‬ ‫ﻭﺧﺼﺎﺋﺼﻬﺎ‬ ‫ﺍﻻﺧﺘﺒﺎﺭ‬ ‫ﺍﻻﺳﺘﺨﺪﺍﻡ‬ Chi – Square Test ‫ﺍﺳﺘﻘﻼﻝ‬ ‫ﻻﺧﺘﺒﺎﺭ‬ ‫ﻭﺗﺠﺎﻧﺲ‬ ‫ﺍﻟﻈﻮﺍﻫﺮ‬ – ‫ﻟﻌﻴﻨﺔ‬ ‫ﺍﺣﺘﻤﺎﻟﻲ‬ ‫ﺗﻮﺯﻳﻊ‬ ‫ﻣﻼﺋﻤﺔ‬ ‫ﻋﺸﻮﺍﺋﻴﺔ‬ Binomial Test ‫ﻅﺎﻫﺮﺗﻴﻦ‬ ‫ﻧﺴﺐ‬ ‫ﺗﻄﺎﺑﻖ‬ ‫ﻻﺧﺘﺒﺎﺭ‬ Runs Test ‫ﻻﺧﺘﺒﺎﺭ‬ ‫ﺍﻟﻌﺸﻮﺍﺋﻴﺔ‬ One-Sample K-S Test ‫ﻋﺸﻮﺍﺋﻴﺔ‬ ‫ﻟﻌﻴﻨﺔ‬ ‫ﺍﺣﺘﻤﺎﻟﻲ‬ ‫ﺗﻮﺯﻳﻊ‬ ‫ﻣﻼﺋﻤﺔ‬ ‫ﻻﺧﺘﺒﺎﺭ‬ Two Independent Samples ‫ﻣﺴﺘﻘﻠﻴﻦ‬ ‫ﻣﺠﺘﻤﻌﻴﻦ‬ ‫ﺣﻮﻝ‬ ‫ﻓﺮﺿﻴﺎﺕ‬ ‫ﺻﺤﺔ‬ ‫ﻣﻦ‬ ‫ﺍﻟﺘﺤﻘﻖ‬ Two Related Samples ‫ﻟﻈﺎﻫﺮﺓ‬ ‫ﻣﺨﺘﻠﻔﻴﻦ‬ ‫ﻗﻴﺎﺳﻴﻦ‬ ‫ﻓﻲ‬ ‫ﺍﻟﻔﺮﻭﻕ‬ ‫ﺣﻮﻝ‬ ‫ﻓﺮﺿﻴﺎﺕ‬ ‫ﺻﺤﺔ‬ ‫ﻣﻦ‬ ‫ﺍﻟﺘﺤﻘﻖ‬ ‫ﻭﺍﺣﺪﺓ‬ (‫ﻣﺴﺘﻘﻠﻴﻦ‬ ‫ﻏﻴﺮ‬ ‫)ﻣﺠﺘﻤﻌﻴﻦ‬ K Independent Samples ‫ﻋ‬ ‫ﺣﻮﻝ‬ ‫ﻓﺮﺿﻴﺎﺕ‬ ‫ﺻﺤﺔ‬ ‫ﻣﻦ‬ ‫ﺍﻟﺘﺤﻘﻖ‬ ‫ﻣﺠﺘﻤﻌ‬ ‫ﺪﺓ‬ ‫ﺎﺕ‬ ‫ﻣﺴﺘﻘﻠ‬ ‫ﺔ‬ K Related Samples ‫ﺍﻟﻈﺎﻫﺮ‬ ‫ﻟﻨﻔﺲ‬ ‫ﻗﻴﺎﺳﺎﺕ‬ ‫ﻋﺪﺓ‬ ‫ﺑﻴﻦ‬ ‫ﺍﻟﻔﺮﻭﻕ‬ ‫ﺣﻮﻝ‬ ‫ﻓﺮﺿﻴﺎﺕ‬ ‫ﺻﺤﺔ‬ ‫ﻣﻦ‬ ‫ﺍﻟﺘﺤﻘﻖ‬ ‫ﺓ‬ (‫ﻣﺴﺘﻘﻠﺔ‬ ‫ﻏﻴﺮ‬ ‫ﻣﺠﺘﻤﻌﺎﺕ‬ ‫)ﻋﺪﺓ‬
  • 75.
    ‫ﺑﺎﺳﺗﺧﺩﺍﻡ‬ ‫ﺍﻻﺣﺻﺎﺋﻲ‬ ‫ﺍﻟﺗﺣﻠﻳﻝ‬ SPSS ‫ﺩ‬ ‫ﺳﻠﻁﺎﻥ‬‫ﺧﻠﻑ‬ . 75 ) 5 - 2 ‫ﺍﺧﺘﺒﺎﺭ‬ ( ‫ﺫﻱ‬ ‫ﺍﻟﺤﺪﻳﻦ‬ Test Binomial ) ‫ﺗﻄﺒﻴﻖ‬ 9 ( ‫ﻓﻲ‬ ‫ﺍﻟﺒﻴﺎﻧﺎﺕ‬ ‫ﺍﻟﻤﻠﻒ‬ Application-9.sav ‫ﺗﻤﺜﻞ‬ ‫ﻣﻌﻠﻮﻣﺎﺕ‬ 40 ‫ﻏﻴﺮ‬ ‫ﺍﻟﻌﺎﻣﻠﻴﻦ‬ ‫ﻧﺴﺒﺔ‬ ‫ﻫﻞ‬ .‫ﺍﻟﺸﺮﻛﺎﺕ‬ ‫ﺇﺣﺪﻯ‬ ‫ﻓﻲ‬ ‫ﻣﻮﻅﻒ‬ ‫ﻣﻌﻨﻮﻳﺔ‬ ‫ﻣﺴﺘﻮﻯ‬ ‫ﺍﺳﺘﺨﺪﻡ‬ ‫ﺍﻟﺸﺮﻛﺔ؟‬ ‫ﻓﻲ‬ ‫ﺍﻟﺴﻌﻮﺩﻳﻴﻦ‬ ‫ﺍﻟﻌﺎﻣﻠﻴﻦ‬ ‫ﻧﺴﺒﺔ‬ ‫ﺗﺴﺎﻭﻯ‬ ‫ﺍﻟﺴﻌﻮﺩﻳﻴﻦ‬ 5 .% :‫ﺍﻟﺘﻨﻔﻴﺬ‬ ‫ﺧﻄﻮﺍﺕ‬ 1 - ‫ﺍﻟﻔﺮﺿﻴﺎﺕ‬ ‫ﺻﻴﺎﻏﺔ‬ H0 ‫ﺍﻟﺴﻌﻮﺩﻳﻴﻦ‬ ‫ﺍﻟﻌﺎﻣﻠﻴﻦ‬ ‫ﻧﺴﺒﺔ‬ ‫ﺗﺴﺎﻭﻯ‬ ‫ﺍﻟﺴﻌﻮﺩﻳﻴﻦ‬ ‫ﻏﻴﺮ‬ ‫ﺍﻟﻌﺎﻣﻠﻴﻦ‬ ‫ﻧﺴﺒﺔ‬ : H1 ‫ﺍﻟﺴﻌﻮﺩﻳﻴ‬ ‫ﻏﻴﺮ‬ ‫ﺍﻟﻌﺎﻣﻠﻴﻦ‬ ‫ﻧﺴﺒﺔ‬ : ‫ﺍﻟﺴﻌﻮﺩﻳﻴﻦ‬ ‫ﺍﻟﻌﺎﻣﻠﻴﻦ‬ ‫ﻧﺴﺒﺔ‬ ‫ﺗﺴﺎﻭﻯ‬ ‫ﻻ‬ ‫ﻦ‬ 2 - ‫ﺍﻻﺧﺘﺒﺎﺭ‬ ‫ﻭﺗﻨﻔﻴﺬ‬ ‫ﺍﻟﺒﻴﺎﻧﺎﺕ‬ ‫ﺇﺩﺧﺎﻝ‬ ‫ﺇﻟﻰ‬ ‫ﺍﻟﺒﻴﺎﻧﺎﺕ‬ ‫ﻧﺪﺧﻞ‬ SPSS ‫ﺍﻟﻤﻠﻒ‬ ‫ﻣﻦ‬ Application-9.sav :‫ﺍﻟﺘﺎﻟﻲ‬ ‫ﺍﻟﻤﺴﺎﺭ‬ ‫ﻧﺨﺘﺎﺭ‬ ‫ﺛﻢ‬ Analyze  Nonparametric TestsLegacy Dialogs Binomial… :‫ﺍﻟﺘﺎﻟﻲ‬ ‫ﺍﻟﺤﻮﺍﺭ‬ ‫ﻣﺮﺑﻊ‬ ‫ﻓﻴﻈﻬﺮ‬ ‫ﺍﻟﻤﺘﻐﻴﺮ‬ ‫ﻧﻨﻘﻞ‬ Nationality ‫ﻟﻠﻤﺮﺑ‬ ‫ﻊ‬ Test Variable List: ‫ﻧﻀﻐﻂ‬ ‫ﺛﻢ‬ OK :‫ﺍﻟﺘﺎﻟﻴﺔ‬ ‫ﺍﻟﻨﺘﺎﺋﺞ‬ ‫ﻋﻠﻰ‬ ‫ﻓﻨﺤﺼﻞ‬
  • 76.
    ‫ﺑﺎﺳﺗﺧﺩﺍﻡ‬ ‫ﺍﻻﺣﺻﺎﺋﻲ‬ ‫ﺍﻟﺗﺣﻠﻳﻝ‬ SPSS ‫ﺩ‬ ‫ﺳﻠﻁﺎﻥ‬‫ﺧﻠﻑ‬ . 76 3 - ‫ﺍﻟﻘﺮﺍﺭ‬ ‫ﻭﺍﺗﺨﺎﺫ‬ ‫ﺍﻟﺘﻌﻠﻴﻖ‬ ‫ﺟ‬ ‫ﻣﻦ‬ ‫ﻧﺠﺪ‬ ‫ﺍﻟﻨﺘﺎﺋﺞ‬ ‫ﺪﻭﻝ‬ ‫ﺃﻥ‬ p-value = 0.636 ‫ﺃﻛ‬ ‫ﻭﻫﻲ‬ ‫ﺒ‬ ‫ﻣﻦ‬ ‫ﺮ‬ 5 ‫ﺃﻱ‬ ، % ‫ﺃﻥ‬ ‫ﻧﻘﺒﻞ‬ ‫ﺃﻥ‬ ‫ﻫﻮ‬ ‫ﺍﻟﻘﺮﺍﺭ‬ H0 ‫ﻳﺆﻛﺪ‬ ‫ﻭﻫﺬﺍ‬ .‫ﺍﻟﺸﺮﻛﺔ‬ ‫ﻓﻲ‬ ‫ﻭﺍﻷﺟﺎﻧﺐ‬ ‫ﺍﻟﺴﻌﻮﺩﻳﻴﻦ‬ ‫ﻧﺴﺒﺔ‬ ‫ﺑﻴﻦ‬ ‫ﻣﻌﻨﻮﻱ‬ ‫ﺍﺧﺘﻼﻑ‬ ‫ﻭﺟﻮﺩ‬ ‫ﻋﺪﻡ‬ ) 5 - 3 ‫ﻣﺴﺘﻘﻠﺘﻴﻦ‬ ‫ﻋﻴﻨﺘﻴﻦ‬ ‫ﺍﺧﺘﺒﺎﺭﺍﺕ‬ ( amples Tests S Independent Two ‫ﻟ‬ ‫ﺑﻴ‬ ‫ﻠﻤﻘﺎﺭﻧﺔ‬ ‫ﺍﺧﺘﺒﺎﺭﺍﺕ‬ ‫ﺃﺭﺑﻌﺔ‬ ‫ﻳﻮﺟﺪ‬ ‫ﺍﻟﻤﻌﻠﻤﻴﺔ‬ ‫ﺍﻻﺧﺘﺒﺎﺭﺍﺕ‬ ‫ﺷﺮﻭﻁ‬ ‫ﺗﺤﻘﻖ‬ ‫ﻻ‬ ‫ﻋﻨﺪﻣﺎ‬ ‫ﻣﺴﺘﻘﻠﻴﻦ‬ ‫ﻣﺠﺘﻤﻌﻴﻦ‬ ‫ﻦ‬ ‫ﻣﺘﺎﺣﺔ‬ ‫ﻻﻣﻌﻠﻤﻴﺔ‬ ‫ﺑﺮﻧﺎﻣﺞ‬ ‫ﻓﻲ‬ SPSS ‫ﺍﻻﺧﺘﺒﺎﺭ‬ ‫ﺍﻻﺳﺘﺨﺪﺍﻡ‬ ‫ﻭﺍﻟﻤﻌﺎﻳﻨﺔ‬ ‫ﺍﻟﺘﺠﺮﺑﺔ‬ ‫ﺗﺼﻤﻴﻢ‬ ‫ﻭﻳﺘﻨﻲ‬ ‫ﻣﺎﻥ‬ Mann-Whiney ) ‫ﻻﺧﺘﺒﺎﺭ‬ ‫ﻻﻣﻌﻠﻤﻲ‬ ‫ﺑﺪﻳﻞ‬ T ( ‫ﻣﺠﻤﻮﻋﺘﻴﻦ‬ ‫ﺑﻴﻦ‬ ‫ﻓﺮﻭﻕ‬ :‫ﻣﺠﻤﻮﻋﺘﻴﻦ‬ ‫ﺗﺠﺮﻳﺒﻴ‬ ‫ﺔ‬ ‫ﻭﺿﺎﺑﻄﺔ‬ ‫ﻛﻮﻟﻤﻮﺟﺮﻭ‬ ‫ﻑ‬ – ‫ﺳﻤﻴﺮﻧﻮﻑ‬ Komogorov –Smirnov Z ‫ﺍﻟﻌﻴﻨﺘﻴﻦ‬ ‫ﻛﺎﻧﺖ‬ ‫ﺇﺫﺍ‬ ‫ﻣﺎ‬ ‫ﺍﺧﺘﺒﺎﺭ‬ ‫ﻟﻬﻤﺎ‬ ‫ﻣﺠﺘﻤﻌﻴﻦ‬ ‫ﻣﻦ‬ ‫ﻣﺴﺤﻮﺑﺘﻴﻦ‬ ‫ﺍﻟﺘﻮﺯﻳﻊ‬ ‫ﻧﻔﺲ‬ :‫ﻣﺠﻤﻮﻋﺘﻴﻦ‬ ‫ﺗﺠﺮﻳﺒﻴ‬ ‫ﺔ‬ ‫ﻭﺿﺎﺑﻄﺔ‬ ‫ﻣﻮﺳﺰ‬ Moses ‫ﻣﺠﻤﻮﻋﺘﻴﻦ‬ ‫ﺑﻴﻦ‬ ‫ﻓﺮﻭﻕ‬ :‫ﻣﺠﻤﻮﻋﺘﻴﻦ‬ ‫ﺗﺠﺮﻳﺒﻴ‬ ‫ﺔ‬ ‫ﻭﺿﺎﺑﻄﺔ‬ ‫ﻭﻭﻟﺪ‬ - ‫ﻭﻟﻔﻮﺗﻴﺰ‬ Wald-Wolfowitze ‫ﺍﻟﻌﻴﻨﺘﻴﻦ‬ ‫ﻛﺎﻧﺖ‬ ‫ﺇﺫﺍ‬ ‫ﻣﺎ‬ ‫ﺍﺧﺘﺒﺎﺭ‬ ‫ﻣﺠﺘﻤﻌﻴ‬ ‫ﻣﻦ‬ ‫ﻣﺴﺤﻮﺑﺘﻴﻦ‬ ‫ﻟﻬﻤﺎ‬ ‫ﻦ‬ ‫ﺍﻟﺘﻮﺯﻳﻊ‬ ‫ﻧﻔﺲ‬ :‫ﻣﺠﻤﻮﻋﺘﻴﻦ‬ ‫ﺗﺠﺮﻳﺒﻴ‬ ‫ﺔ‬ ‫ﻭﺿﺎﺑﻄﺔ‬ Binomial Test Category N Observed Prop. Test Prop. Exact Sig. (2- tailed) Nationality Group 1 Saudi 22 .55 .50 .636 Group 2 Non Saudi 18 .45 Total 40 1.00
  • 77.
    ‫ﺑﺎﺳﺗﺧﺩﺍﻡ‬ ‫ﺍﻻﺣﺻﺎﺋﻲ‬ ‫ﺍﻟﺗﺣﻠﻳﻝ‬ SPSS ‫ﺩ‬ ‫ﺳﻠﻁﺎﻥ‬‫ﺧﻠﻑ‬ . 77 ) 5 - 3 - 1 ( ‫ﻭﻳﺘﻨﻲ‬ ‫ﻣﺎﻥ‬ ‫ﺍﺧﺘﺒﺎﺭ‬ Whitney Test – Mann ‫ﻣﺎﻥ‬ ‫ﺍﺧﺘﺒﺎﺭ‬ ‫ﻳﻌﺘﺒﺮ‬ – ‫ﻻﺧﺘﺒﺎﺭ‬ ‫ﺍﻟﻼﻣﻌﻠﻤﻲ‬ ‫ﺍﻟﺒﺪﻳﻞ‬ ‫ﻫﻮ‬ ‫ﻭﻳﺘﻨﻲ‬ T .‫ﺍﻟﻤﻌﻠﻤﻲ‬ ‫ﺍﻻﺧﺘﺒﺎﺭ‬ ‫ﺷﺮﻭﻁ‬ ‫ﺗﺘﻮﻓﺮ‬ ‫ﻻ‬ ‫ﻋﻨﺪﻣﺎ‬ ‫ﻣﺴﺘﻘﻠﺘﻴﻦ‬ ‫ﻟﻌﻴﻨﺘﻴﻦ‬ ) ‫ﺗﻄﺒﻴﻖ‬ 10 ( ‫ﺑﺎﻟﻤﻠﻒ‬ ‫ﺍﻟﻤﻮﺟﻮﺩﺓ‬ ‫ﺍﻟﺒﻴﺎﻧﺎﺕ‬ Application-10.sav ‫ﺗﻤﺜﻞ‬ ‫ﺍﻟﻄﻼﺏ‬ ‫ﺩﺭﺟﺎﺕ‬ ‫ﻣﻦ‬ ‫ﻣﺴﺘﻘﻠﺘﻴﻦ‬ ‫ﻋﺸﻮﺍﺋﻴﺘﻴﻦ‬ ‫ﻋﻴﻨﺘﻴﻦ‬ ‫ﺑﻤﻘﺮ‬ ‫ﻭﺍﻟﻄﺎﻟﺒﺎﺕ‬ ‫ﺍﻹﺩﺍﺭﻳﺔ‬ ‫ﺍﻟﻌﻠﻮﻡ‬ ‫ﺑﻜﻠﻴﺔ‬ ‫ﺍﻹﺣﺼﺎء‬ ‫ﺭ‬ ‫ﺍﻟﻄﻼﺏ‬ ‫ﺩﺭﺟﺎﺕ‬ ‫ﻭﺳﻴﻂ‬ ‫ﺑﻴﻦ‬ ‫ﻣﻌﻨﻮﻱ‬ ‫ﺍﺧﺘﻼﻑ‬ ‫ﻳﻮﺟﺪ‬ ‫ﺍﻧﻪ‬ ‫ﺗﺮﻯ‬ ‫ﻫﻞ‬ ‫ﻓﻲ‬ ‫ﺍﻟﻄﺎﻟﺒﺎﺕ‬ ‫ﺩﺭﺟﺎﺕ‬ ‫ﻭﻭﺳﻴﻂ‬ ‫ﺍﻟ‬ ‫ﻣﻌﻨﻮﻳﺔ‬ ‫ﻣﺴﺘﻮﻯ‬ ‫ﻋﻨﺪ‬ ‫ﻤﻘﺮﺭ‬ 5 ‫؟‬% ‫ﺍﻟﺘﻨﻔﻴﺬ‬ ‫ﺧﻄﻮﺍﺕ‬ 1 . :‫ﺍﻟﻔﺮﺿﻴﺎﺕ‬ ‫ﺻﻴﺎﻏﺔ‬ H0 ‫ﺍﻟﻄ‬ ‫ﺩﺭﺟﺎﺕ‬ ‫ﻭﺳﻴﻂ‬ : ‫ﺍﻟﻄﺎﻟﺒﺎﺕ‬ ‫ﺩﺭﺟﺎﺕ‬ ‫ﻭﺳﻴﻂ‬ ‫ﻳﺴﺎﻭﻱ‬ ‫ﺍﻹﺣﺼﺎء‬ ‫ﻣﻘﺮﺭ‬ ‫ﻓﻲ‬ ‫ﻼﺏ‬ H1 ‫ﺍﻟﻄﺎﻟﺒﺎﺕ‬ ‫ﺩﺭﺟﺎﺕ‬ ‫ﻭﺳﻴﻂ‬ ‫ﻳﺴﺎﻭﻱ‬ ‫ﻻ‬ ‫ﺍﻹﺣﺼﺎء‬ ‫ﻣﻘﺮﺭ‬ ‫ﻓﻲ‬ ‫ﺍﻟﻄﻼﺏ‬ ‫ﺩﺭﺟﺎﺕ‬ ‫ﻭﺳﻴﻂ‬ : 2 . ‫ﺍﻻﺧﺘﺒﺎﺭ‬ ‫ﻭﺗﻨﻔﻴﺬ‬ ‫ﺍﻟﺒﻴﺎﻧﺎﺕ‬ ‫ﺇﺩﺧﺎﻝ‬ ‫ﺑﺮﻧﺎﻣﺞ‬ ‫ﻓﻲ‬ ‫ﺍﻟﺪﺭﺟﺎﺕ‬ ‫ﺇﺩﺧﺎﻝ‬ ‫ﻳﺘﻢ‬ SPSS ،‫ﺍﻷﻛﻮﺍﺩ‬ ‫ﻳﻤﺜﻞ‬ ‫ﺍﻟﺜﺎﻧﻲ‬ ‫ﻭﺍﻟﻌﻤﻮﺩ‬ ‫ﺍﻟﺪﺭﺟﺎﺕ‬ ‫ﻳﻤﺜﻞ‬ ‫ﺍﻷﻭﻝ‬ ‫ﺍﻟﻌﻤﻮﺩ‬ :‫ﻋﻤﻮﺩﻳﻦ‬ ‫ﻓﻲ‬ ‫ﺍﻻﻛﻮﺍﺩ‬ ‫ﻭﻫﺬﻩ‬ ‫ﺍﻟﻜﻮﺩ‬ ‫ﺗﺄﺧﺬ‬ ‫ﺍﻟﻄﺎﻟﺐ‬ ‫ﺩﺭﺟﺔ‬ ‫)ﻣﺜﻼ‬ ‫ﺍﻟﺒﺎﺣﺚ‬ ‫ﻳﺤﺪﺩﻫﺎ‬ 1 ‫ﺍﻟﻜﻮﺩ‬ ‫ﺗﺄﺧﺬ‬ ‫ﺍﻟﻄﺎﻟﺒﺔ‬ ‫ﺩﺭﺟﺔ‬ ‫ﺑﻴﻨﻤﺎ‬ 2 :‫ﻳﻠﻲ‬ ‫ﻛﻤﺎ‬ ، ( ‫ﺍﻟﻤﺴﺎﺭ‬ ‫ﻧﺘﺒﻊ‬ ‫ﺗﻢ‬ Analyze  Nonparametric Tests Legacy Dialogs2 Independent Samples :‫ﺍﻟﺘﺎﻟﻲ‬ ‫ﺍﻟﺤﻮﺍﺭ‬ ‫ﻣﺮﺑﻊ‬ ‫ﻋﻠﻰ‬ ‫ﻓﻨﺤﺼﻞ‬
  • 78.
    ‫ﺑﺎﺳﺗﺧﺩﺍﻡ‬ ‫ﺍﻻﺣﺻﺎﺋﻲ‬ ‫ﺍﻟﺗﺣﻠﻳﻝ‬ SPSS ‫ﺩ‬ ‫ﺳﻠﻁﺎﻥ‬‫ﺧﻠﻑ‬ . 78 ‫ﺍﻟﺪﺭﺟﺎﺕ‬ ‫ﻣﺘﻐﻴﺮ‬ ‫ﻧﻨﻘﻞ‬ Marks ‫ﺍﻟﻤﺮﺑﻊ‬ ‫ﻓﻲ‬ List Test Variable ‫ﺍﻻﻛﻮﺍﺩ‬ ‫ﻣﺘﻐﻴﺮ‬ ‫ﺛﻢ‬ G ‫ﺩﺍﺧﻞ‬ Grouping Variable ‫ﺍﻟﻤﺮﺑﻊ‬ ‫ﻓﻴﻈﻬﺮ‬ ‫ﺛﻢ‬ ‫ﺑﺎﺧﺘﻴﺎﺭ‬ ‫ﻧﻘﻮﻡ‬ Define Groups ‫ﻋﻠﻰ‬ ‫ﻓﻨﺤﺼﻞ‬ ‫ﻫﻨﺎ‬ ‫ﻧﺨﺘﺎﺭ‬ 1 ،(‫ﺍﻟﻄﻼﺏ‬ ‫)ﺩﺭﺟﺎﺕ‬ ‫ﺍﻷﻭﻟﻰ‬ ‫ﻟﻠﻤﺠﻮﻋﺔ‬ ‫ﻭﻧﺨﺘﺎﺭ‬ 2 ‫ﻧﻀﻐﻂ‬ ‫ﺛﻢ‬ (‫ﺍﻟﻄﺎﻟﺒﺎﺕ‬ ‫)ﺩﺭﺟﺎﺕ‬ ‫ﺍﻟﺜﺎﻧﻴﺔ‬ ‫ﻟﻠﻤﺠﻮﻋﺔ‬ continue ‫ﻓﻨﺮﺟﻊ‬ ‫ﺛﻢ‬ ‫ﺍﻷﺳﺎﺳﻲ‬ ‫ﺍﻟﺤﻮﺍﺭ‬ ‫ﻟﻤﺮﺑﻊ‬ OK Ranks G N Mean Rank Sum of Ranks Marks 1 35 34.69 1214.00 2 33 34.30 1132.00 Total 68 Test Statisticsa Marks Mann-Whitney U 571.000 Wilcoxon W 1132.000 Z -.080 Asymp. Sig. (2-tailed) .936 a. Grouping Variable: G
  • 79.
    ‫ﺑﺎﺳﺗﺧﺩﺍﻡ‬ ‫ﺍﻻﺣﺻﺎﺋﻲ‬ ‫ﺍﻟﺗﺣﻠﻳﻝ‬ SPSS ‫ﺩ‬ ‫ﺳﻠﻁﺎﻥ‬‫ﺧﻠﻑ‬ . 79 3 . ‫ﻭﺍﻟﻘﺮﺍﺭ‬ ‫ﺍﻟﻨﺘﺎﺋﺞ‬ ‫ﻋﻠﻰ‬ ‫ﺍﻟﺘﻌﻠﻴﻖ‬ ‫ﺟﺪﺍﻭ‬ ‫ﻣﻦ‬ :‫ﺍﻟﺘﺎﻟﻲ‬ ‫ﻧﻼﺣﻆ‬ ‫ﺍﻟﻨﺘﺎﺋﺞ‬ ‫ﻝ‬ - ‫ﺑﻌﻨﻮﺍﻥ‬ ‫ﺍﻷﻭﻝ‬ ‫ﺍﻟﺠﺪﻭﻝ‬ Ranks ‫ﻭﺩﺭﺟﺎﺕ‬ ‫ﺍﻟﻄﻼﺏ‬ ‫ﺩﺭﺟﺎﺕ‬ ‫ﻭﺳﻴﻂ‬ ‫ﺣﻮﻝ‬ ‫ﺍﻹﺣﺼﺎءﺍﺕ‬ ‫ﺑﻌﺾ‬ ‫ﻳﻈﻬﺮ‬ .‫ﺍﻟﺮﺗﺐ‬ ‫ﻭﻣﺠﻤﻮﻉ‬ ‫ﺍﻟﺮﺗﺒﺔ‬ ‫ﻣﺜﻞ‬ ‫ﺍﻟﻄﺎﻟﺒﺎﺕ‬ - ‫ﺃﻥ‬ ‫ﻭﻳﻈﻬﺮ‬ ‫ﺍﻟﻤﻬﻢ‬ ‫ﻭﻫﻮ‬ ‫ﺍﻟﺜﺎﻧﻲ‬ ‫ﺍﻟﺠﺪﻭﻝ‬ p-value = 0.936 ‫ﻗﺒﻮﻝ‬ ‫ﻳﺆﻛﺪ‬ ‫ﻭﻫﺬﺍ‬ H0 ‫ﺍﻟﻘﺮﺍﺭ‬ ‫ﺃﻥ‬ ‫ﺃﻱ‬ ، ‫ﻭﺳﻴﻂ‬ ‫ﺑﻴﻦ‬ ‫ﻣﻌﻨﻮﻱ‬ ‫ﺍﺧﺘﻼﻑ‬ ‫ﻳﻮﺟﺪ‬ ‫ﻻ‬ ‫ﺍﻧﻪ‬ ‫ﻫﻮ‬ ‫ﻫﻨﺎ‬ ‫ﻋﻨﺪ‬ ‫ﺍﻟﻄﺎﻟﺒﺎﺕ‬ ‫ﺩﺭﺟﺎﺕ‬ ‫ﻭﻭﺳﻴﻂ‬ ‫ﺍﻟﻄﻼﺏ‬ ‫ﺩﺭﺟﺎﺕ‬ ‫ﻣﺴﺘﻮﻯ‬ 5 . % :‫ﻣﻼﺣﻈﺔ‬ ‫ﺭﻓﺾ‬ ‫ﻫﻮ‬ ‫ﺍﻟﻘﺮﺍﺭ‬ ‫ﻛﺎﻥ‬ ‫ﻟﻮ‬ ‫ﺍﻟﺴﺎﺑﻖ‬ ‫ﺍﻟﺘﺪﺭﻳﺐ‬ ‫ﻓﻲ‬ H0 ‫ﺍﻟﻄﺎﻟﺒﺎﺕ‬ ‫ﻭﺩﺭﺟﺎﺕ‬ ‫ﺍﻟﻄﻼﺏ‬ ‫ﺩﺭﺟﺎﺕ‬ ‫ﺑﻴﻦ‬ ‫ﺣﻘﻴﻘﺔ‬ ‫ﻓﺮﻭﻕ‬ ‫ﺗﻮﺟﺪ‬ ‫ﺍﻧﻪ‬ ‫ﺃﻱ‬ ، ‫ﻣﺘﻮﺳﻂ‬ ‫ﻟﻪ‬ ‫)ﺃﻳﻬﻤﺎ‬ ‫ﻟﻠﺪﺭﺟﺎﺕ‬ ‫ﺍﻟﻌﺎﻡ‬ ‫ﺍﻻﺗﺠﺎﻩ‬ ‫ﺗﺤﺪﻳﺪ‬ ‫ﻳﻠﺰﻡ‬ ‫ﻓﺎﻧﻪ‬ ‫ﺃﻛﺒﺮ‬ ‫ﺍﻟ‬ ‫ﺍﻟﻤﺠﺘﻤﻊ‬ ‫ﻭﻳﻜﻮﻥ‬ .‫ﺍﻟﻤﺠﺘﻤﻌﺎﺕ‬ ‫ﻣﺴﺘﻮﻯ‬ ‫ﻋﻠﻰ‬ ( ‫ﻟﻪ‬ ‫ﺬﻱ‬ ‫ﺃﻛﺒﺮ‬ ‫ﻭﺳﻴﻂ‬ ‫ﺃﻛﺒﺮ‬ ‫ﻳﻘﺎﺑﻞ‬ ‫ﺍﻟﺬﻱ‬ ‫ﻧﻔﺴﻪ‬ ‫ﻫﻮ‬ ‫ﺑﺎﺣﺘﻤﺎﻝ‬ ‫ﺭﺗﺒﺔ‬ ‫ﻣﻘﺪﺍﺭﻩ‬ p-value/2 ‫ﻭﺍﻟﻌﻜﺲ‬ . ) 5 - 3 - 2 ‫ﻋﺪﺩ‬ ‫ﺍﺧﺘﺒﺎﺭﺍﺕ‬ ( K ‫ﺍﻟﻤﺴﺘﻘﻠﺔ‬ ‫ﺍﻟﻌﻴﻨﺎﺕ‬ ‫ﻣﻦ‬ K. Independent Samples Tests ‫ﺍﻻﺧﺘﺒﺎﺭ‬ ‫ﺍﻻﺳﺘﺨﺪﺍﻡ‬ ‫ﻭﺍﻟﻤﻌﺎﻳﻨﺔ‬ ‫ﺍﻟﺘﺠﺮﺑﺔ‬ ‫ﺗﺼﻤﻴﻢ‬ ‫ﻭﺍﻟﺲ‬ ‫ﻛﺮﻭﺳﻜﺎﻝ‬ ‫)ﺑﺪﻳﻞ‬ ‫ﻻ‬ ‫ﺑﺎﺭﺍ‬ ‫ﺍﻟﺘﺒﺎﻳﻦ‬ ‫ﻟﺘﺤﻠﻴﻞ‬ ‫ﻣﺘﺮﻱ‬ ‫ﻭﺍﺣﺪ‬ ‫ﺍﺗﺠﺎﻩ‬ ‫ﻓﻲ‬ ANOVA ( ‫ﺍ‬ ‫ﻋﺪﺓ‬ (‫)ﻭﺳﻴﻂ‬ ‫ﻣﺘﻮﺳﻂ‬ ‫ﺧﺘﺒﺎﺭ‬ ‫ﻣﺴﺘﻘﻠﺔ‬ ‫ﻣﺠﺘﻤﻌﺎﺕ‬ ‫ﺃﻭ‬ ‫ﻧﻔﺲ‬ ‫ﺗﺘﺒﻊ‬ ‫ﻋﻴﻨﺎﺕ‬ ‫ﻋﺪﺓ‬ ‫ﻓﺤﺺ‬ ‫ﺍﻟﺘﻮﺯﻳﻊ‬ ‫ﻣﺘﻌﺪﺩﺓ‬ ‫ﻣﺠﻤﻮﻋﺎﺕ‬ ‫ﺍﻟﻮﺳﻴﻂ‬ ‫ﻣﺴﺘﻘﻠﺔ‬ ‫ﻣﺠﺘﻤﻌﺎﺕ‬ ‫ﻋﺪﺓ‬ ‫ﻭﺳﻴﻂ‬ ‫ﻣﺘﻌﺪﺩﺓ‬ ‫ﻣﺠﻤﻮﻋﺎﺕ‬ ‫ﺗﺮﺑﺴﺘﺮﺍ‬ ‫ﺟﻮﻧﻜﻴﻴﺮﻱ‬ Jonckheere Terpstra ‫ﻭﺍﻟﺲ‬ ‫ﻛﺮﻭﺳﻜﺎﻝ‬ ‫ﺍﺳﺘﺨﺪﺍﻡ‬ ‫ﻧﻔﺲ‬ ‫ﻣﺘﻌﺪﺩﺓ‬ ‫ﻣﺠﻤﻮﻋﺎﺕ‬
  • 80.
    ‫ﺑﺎﺳﺗﺧﺩﺍﻡ‬ ‫ﺍﻻﺣﺻﺎﺋﻲ‬ ‫ﺍﻟﺗﺣﻠﻳﻝ‬ SPSS ‫ﺩ‬ ‫ﺳﻠﻁﺎﻥ‬‫ﺧﻠﻑ‬ . 80 :‫ﻭﻫﻮ‬ ‫ﺍﻻﺧﺘﺒﺎﺭﺍﺕ‬ ‫ﻫﺬﻩ‬ ‫ﻷﻫﻢ‬ ‫ﻓﻘﻂ‬ ‫ﻧﻌﺮﺽ‬ ‫ﻭﺳﻮﻑ‬ ‫ﻛﺮ‬ ‫ﺍﺧﺘﺒﺎﺭ‬ ‫ﻭﺍﻟﺲ‬ ‫ﻭﺳﻜﺎﻝ‬ Kruskal-Wallis Test ‫ﻻﺧﺘﺒﺎﺭ‬ ‫ﺍﻟﻼﻣﻌﻠﻤﻲ‬ ‫ﺍﻟﺒﺪﻳﻞ‬ ‫ﻫﻮ‬ ‫ﻭﺍﻟﺲ‬ ‫ﻛﺮﻭﺳﻜﺎﻝ‬ ‫ﺍﺧﺘﺒﺎﺭ‬ ‫ﻳﻌﺘﺒﺮ‬ ANOVA ‫ﺗﻮﺍﻓﺮ‬ ‫ﻋﺪﻡ‬ ‫ﺣﺎﻟﺔ‬ ‫ﻓﻲ‬ ‫ﻭﺍﺣﺪ‬ ‫ﺍﺗﺠﺎﻩ‬ ‫ﻓﻲ‬ .‫ﺍﻟﺸﺮﻭﻁ‬ ) ‫ﺗﻄﺒﻴﻖ‬ 1 1 ( ‫ﺍﻟﻤﺴ‬ ‫ﻓﻲ‬ ‫ﻭﻣﺘﺴﺎﻭﻳﺔ‬ ‫ﻣﺘﺠﺎﻭﺭﺓ‬ ‫ﺍﻷﺭﺽ‬ ‫ﻗﻄﻊ‬ ‫ﻣﻦ‬ ‫ﻣﺠﻤﻮﻋﺎﺕ‬ ‫ﻋﻠﻰ‬ ً‫ﺎ‬‫ﻋﺸﻮﺍﺋﻴ‬ ‫ﺍﻟﺴﻤﺎﺩ‬ ‫ﻣﻦ‬ ‫ﺃﻧﻮﺍﻉ‬ ‫ﺛﻼﺛﺔ‬ ‫ﺗﻮﺯﻳﻊ‬ ‫ﺗﻢ‬ ‫ﺎﺣﺔ‬ ‫ﻧ‬ ‫ﺑﻨﻔﺲ‬ ‫ﻭﻣﺰﺭﻭﻋﺔ‬ ‫ﺍﻟﻘﻤﺢ‬ ‫ﻮﻉ‬ ‫ﻁﺮ‬ ‫ﻓﻲ‬ ‫ﻭﻣﺘﺸﺎﺑﻬﺔ‬ ‫ﺍﻷﺧﺮﻯ‬ ‫ﺍﻟﻈﺮﻭﻑ‬ ‫ﺟﻤﻴﻊ‬ ‫ﻭﻓﻲ‬ ‫ﺍﻟﺮﻱ‬ ‫ﻳﻘﺔ‬ (‫)ﺍﻟﻨﺎﺗﺞ‬ ‫ﺍﻟﻤﺤﺼﻮﻝ‬ ‫ﻓﻜﺎﻥ‬ :‫ﻛﺎﻟﺘﺎﻟﻲ‬ ‫ﺑﺎﻟﻄﻦ‬ 64 87 76 78 81 84 ‫ﺍﻷﻭﻝ‬ ‫ﺍﻟﺴﻤﺎﺩ‬ ‫ﺑﺎﺳﺘﺨﺪﺍﻡ‬ ‫ﺍﻹﻧﺘﺎﺝ‬ 69 74 72 75 62 51 70 ‫ﺍﻟﺜﺎﻧﻲ‬ ‫ﺍﻟﺴﻤﺎﺩ‬ ‫ﺑﺎﺳﺘﺨﺪﺍﻡ‬ ‫ﺍﻹﻧﺘﺎﺝ‬ 52 59 62 66 79 57 ‫ﺍﻟﺜﺎﻟﺚ‬ ‫ﺍﻟﺴﻤﺎﺩ‬ ‫ﺑﺎﺳﺘﺨﺪﺍﻡ‬ ‫ﺍﻹﻧﺘﺎﺝ‬ ‫ﺍﺳﺘﺨﺪﻡ‬ ‫ﻣﻌﻨﻮﻳﺔ‬ ‫ﺑﻤﺴﺘﻮﻯ‬ ‫ﻭﺍﻟﺲ‬ ‫ﻛﺮﺳﻜﺎﻝ‬ ‫ﺍﺧﺘﺒﺎﺭ‬ 5 .‫ﺍﻟﻘﻤﺢ‬ ‫ﺇﻧﺘﺎﺟﻴﺔ‬ ‫ﻋﻠﻰ‬ ‫ﺍﻟﺴﻤﺎﺩ‬ ‫ﻧﻮﻉ‬ ‫ﺗﺄﺛﻴﺮ‬ ‫ﻻﺧﺘﺒﺎﺭ‬ ،% :‫ﺍﻟﺘﻨﻔﻴﺬ‬ ‫ﺧﻄﻮﺍﺕ‬ 1 - ‫ﺍﻟﻔﺮﺿﻴﺎﺕ‬ ‫ﺻﻴﺎﻏﺔ‬ H0 ‫ﺍﻟﻤﺨﺘﻠﻒ‬ ‫ﺍﻟﺴﻤﺎﺩ‬ ‫ﺑﺎﺳﺘﺨﺪﺍﻡ‬ ‫ﻣﺘﺴﺎﻭﻱ‬ ‫ﺍﻟﻘﻤﺢ‬ ‫ﺇﻧﺘﺎﺝ‬ ‫ﻣﺘﻮﺳﻂ‬ : H1 ‫ﺍﻟﺴﻤﺎﺩ‬ ‫ﻣﻦ‬ ‫ﻧﻮﻋﻴﻦ‬ ‫ﺑﻴﻦ‬ ‫ﺍﻷﻗﻞ‬ ‫ﻋﻠﻰ‬ ‫ﺍﻟﻤﺨﺘﻠﻒ‬ ‫ﺍﻟﺴﻤﺎﺩ‬ ‫ﺑﺎﺳﺘﺨﺪﺍﻡ‬ ‫ﻣﺘﺴﺎﻭﻱ‬ ‫ﻏﻴﺮ‬ ‫ﺍﻟﻘﻤﺢ‬ ‫ﺇﻧﺘﺎﺝ‬ ‫ﻣﺘﻮﺳﻂ‬ : 2 - ‫ﺇﺩ‬ ‫ﺍﻻﺧﺘﺒﺎﺭ‬ ‫ﻭﺗﻨﻔﻴﺬ‬ ‫ﺍﻟﺒﻴﺎﻧﺎﺕ‬ ‫ﺧﺎﻝ‬ ‫ﺑﺮﻧﺎﻣﺞ‬ ‫ﻓﻲ‬ ‫ﺍﻟﺒﻴﺎﻧﺎﺕ‬ ‫ﻧﺪﺧﻞ‬ SPSS ‫ﺑﺎﺳﻢ‬ ‫ﻋﻤﻮﺩ‬ ‫ﻓﻲ‬ ‫ﺍﻹﻧﺘﺎﺝ‬ ‫ﺇﺩﺧﺎﻝ‬ ‫ﻳﺘﻢ‬ ‫ﻣﺴﺘﻘﻠﺔ‬ ‫ﻣﺨﺘﻠﻔﺔ‬ ‫ﻋﻴﻨﺎﺕ‬ ‫ﺛﻼﺙ‬ ‫ﻟﺪﻳﻨﺎ‬ ‫ﺍﻧﻪ‬ ‫ﻭﺣﻴﺚ‬ Product ‫ﻭﻟﺘﺤﺪﻳﺪ‬ ‫ﻟﻺﻧﺘﺎﺝ‬ ‫ﺍﻟﻤﺴﺘﺨﺪﻡ‬ ‫ﺍﻟﺴﻤﺎﺩ‬ ‫ﻧﻮﻉ‬ ‫ﻋﻠﻰ‬ ‫ﺗﺪﺧﻞ‬ ‫ﺍﻟﺘﻲ‬ ‫ﺍﻻﻛﻮﺍﺩ‬ Code ‫ﺍﻟﻜﻮﺩ‬ ‫ﻧﺴﺘﺨﺪﻡ‬ ‫ﺳﻮﻑ‬ 1 ‫ﻟﻠﺴﻤﺎﺩ‬ ‫ﻭﺍﻟﻜﻮﺩ‬ ،‫ﺍﻷﻭﻝ‬ 2 ‫ﺍﻟﺜﺎﻧ‬ ‫ﻟﻠﺴﻤﺎﺩ‬ ‫ﻭﺍﻟﻜﻮﺩ‬ ،‫ﻲ‬ 3 :‫ﻛﺎﻟﺘﺎﻟﻲ‬ ‫ﺍﻟﺜﺎﻟﺚ‬ ‫ﻟﻠﺴﻤﺎﺩ‬
  • 81.
    ‫ﺑﺎﺳﺗﺧﺩﺍﻡ‬ ‫ﺍﻻﺣﺻﺎﺋﻲ‬ ‫ﺍﻟﺗﺣﻠﻳﻝ‬ SPSS ‫ﺩ‬ ‫ﺳﻠﻁﺎﻥ‬‫ﺧﻠﻑ‬ . 81 ‫ﺍﻟﻤﺴﺎﺭ‬ ‫ﻧﺨﺘﺎﺭ‬ ‫ﺛﻢ‬ Analyze  Nonparametric Tests Legacy Dialogs K Independent Samples :‫ﺍﻟﺘﺎﻟﻲ‬ ‫ﺍﻟﺤﻮﺍﺭ‬ ‫ﻣﺮﺑﻊ‬ ‫ﻳﻈﻬﺮ‬ ‫ﺛﻢ‬ ‫ﺍﻟﻤﺘﻐﻴﺮ‬ ‫ﺍﻧﻘﻞ‬ product ‫ﺍﻟﻤﺮﺑﻊ‬ ‫ﺇﻟﻰ‬ Test Variable List ‫ﻭﺍﻟﻤﺘﻐﻴﺮ‬ Codes ‫ﺍﻟﻤﺮﺑﻊ‬ ‫ﺇﻟﻰ‬ Grouping Variable ‫ﻭﺍﺧﺘﺒﺎﺭ‬ Kruskal-Wallis Test ‫ﺍﻟﺘﺎﻟﻲ‬ ‫ﻓﻴﻈﻬﺮ‬
  • 82.
    ‫ﺑﺎﺳﺗﺧﺩﺍﻡ‬ ‫ﺍﻻﺣﺻﺎﺋﻲ‬ ‫ﺍﻟﺗﺣﻠﻳﻝ‬ SPSS ‫ﺩ‬ ‫ﺳﻠﻁﺎﻥ‬‫ﺧﻠﻑ‬ . 82 ‫ﻋﻠﻰ‬ ‫ﻧﻀﻐﻂ‬ Define Range ‫ﻋﻠﻰ‬ ‫ﻓﻨﺤﺼﻞ‬ ‫ﻓﻲ‬ ‫ﻛﻮﺩ‬ ‫ﺃﺻﻐﺮ‬ ‫ﻧﺪﺧﻞ‬ Minimum ‫ﻭﺃﻛﺒﺮ‬ ‫ﻓﻲ‬ ‫ﻛﻮﺩ‬ Maximum ‫ﺛﻢ‬ Continue ‫ﺛﻢ‬ ‫ﺍﻷﺳﺎﺳﻲ‬ ‫ﺍﻟﺤﻮﺍﺭ‬ ‫ﻟﻤﺮﺑﻊ‬ ‫ﻓﻨﺮﺟﻊ‬ ‫ﻧﻀﻐﻂ‬ OK :‫ﺍﻟﺘﺎﻟﻴﺔ‬ ‫ﺍﻟﻨﺘﺎﺋﺞ‬ ‫ﻋﻠﻰ‬ ‫ﻓﻨﺤﺼﻞ‬ Ranks Code N Mean Rank Product 1 6 15.00 2 7 8.79 3 6 6.42 Total 19
  • 83.
    ‫ﺑﺎﺳﺗﺧﺩﺍﻡ‬ ‫ﺍﻻﺣﺻﺎﺋﻲ‬ ‫ﺍﻟﺗﺣﻠﻳﻝ‬ SPSS ‫ﺩ‬ ‫ﺳﻠﻁﺎﻥ‬‫ﺧﻠﻑ‬ . 83 3 - ‫ﺍﻟﻘﺮﺍﺭ‬ ‫ﻭﺍﺗﺨﺎﺫ‬ ‫ﺍﻟﻨﺘﺎﺋﺞ‬ ‫ﻋﻠﻰ‬ ‫ﺍﻟﺘﻌﻠﻴﻖ‬  ‫ﺍﻟﺠﺪﻭﻝ‬ ‫ﻣﻦ‬ Test statistics ‫ﺇﺣﺼﺎء‬ ‫ﻗﻴﻤﺔ‬ ‫ﺃﻥ‬ ‫ﻧﻼﺣﻆ‬ ‫ﻛﺄﻱ‬ ‫ﺑﻠﻐﺖ‬ ‫ﺍﻟﺘﺮﺑﻴﻌﻴﺔ‬ 7.509 ‫ﺑﺎﺣﺘﻤﺎﻝ‬ p- value = 0.023 ‫ﻭﻫﻲ‬ ‫ﺃﺻﻐﺮ‬ ‫ﻣﻦ‬ 5 ‫ﺭﻓﺾ‬ ‫ﻫﻮ‬ ‫ﻫﻨﺎ‬ ‫ﺍﻟﻘﺮﺍﺭ‬ ‫ﻳﻜﻮﻥ‬ ‫ﻟﺬﻟﻚ‬ % H0 ‫ﺍﻟﻘﻤﺢ‬ ‫ﺇﻧﺘﺎﺟﻴﺔ‬ ‫ﺃﻥ‬ ‫ﺃﻱ‬ ، .‫ﺍﻟﺴﻤﺎﺩ‬ ‫ﻧﻮﻉ‬ ‫ﻋﻠﻰ‬ ‫ﺗﻌﺘﻤﺪ‬  ‫ﻓﺎﻧﻪ‬ (‫ﻣﺨﺘﻠﻒ‬ ‫ﺇﻧﺘﺎﺝ‬ ‫ﺗﻌﻄﻲ‬ ‫ﺍﻟﺘﻲ‬ ‫ﺍﻷﺳﻤﺪﺓ‬ ‫ﺃﻧﻮﺍﻉ‬ ‫ﻫﻲ‬ ‫)ﻣﺎ‬ ‫ﺍﻻﺧﺘﻼﻑ‬ ‫ﻣﺼﺪﺭ‬ ‫ﻋﻠﻰ‬ ‫ﻧﺘﻌﺮﻑ‬ ‫ﺃﻥ‬ ‫ﻫﻨﺎ‬ ‫ﺃﺭﺩﻧﺎ‬ ‫ﺇﺫﺍ‬ ‫"ﻣﺎﻥ‬ ‫ﺍﺧﺘﺒﺎﺭ‬ ‫ﺇﺟﺮﺍء‬ ‫ﻳﻠﺰﻡ‬ - ‫ﺍﻷﺳ‬ ‫ﻣﻦ‬ ‫ﺯﻭﺝ‬ ‫ﻛﻞ‬ ‫ﻋﻠﻰ‬ "‫ﻭﻳﺘﻨﻲ‬ ‫ﺃﺳﻠﻮﺏ‬ ‫ﺃﻥ‬ ‫ﺣﻴﺚ‬ ‫ﺣﺪﺓ‬ ‫ﻋﻠﻰ‬ ‫ﻤﺪﺓ‬ Post Hoc .‫ﺍﻟﻼﻣﻌﻠﻤﻴﺔ‬ ‫ﻟﻼﺧﺘﺒﺎﺭﺍﺕ‬ ‫ﻣﺘﻮﺍﻓﺮ‬ ‫ﻏﻴﺮ‬ Test Statisticsa,b Product Chi-Square 7.502 df 2 Asymp. Sig. .023 a. Kruskal Wallis Test b. Grouping Variable: Code
  • 84.
    ‫ﺑﺎﺳﺗﺧﺩﺍﻡ‬ ‫ﺍﻻﺣﺻﺎﺋﻲ‬ ‫ﺍﻟﺗﺣﻠﻳﻝ‬ SPSS ‫ﺩ‬ ‫ﺳﻠﻁﺎﻥ‬‫ﺧﻠﻑ‬ . 84 ‫ﺍﻟ‬ ‫ﺍﻟﺠﺰء‬ ‫ﺴﺎﺩﺱ‬ ‫ﺍﻻﺭﺗﺒﺎﻁ‬ ‫ﻭﺍﻻﻧﺤﺪﺍﺭ‬ Correlation and Regression ) 1 - 6 ( ‫ﺍﻻﺭﺗﺒﺎﻁ‬ Correlation ‫ﻣﺘﻐﻴﺮﻳﻦ‬ ‫ﺑﻴﻦ‬ ‫ﺍﻟﻌﻼﻗﺔ‬ ‫ﻋﻠﻰ‬ ‫ﺍﻻﺭﺗﺒﺎﻁ‬ ‫ﻳﻄﻠﻖ‬ ‫ﺍﻛﺜﺮ‬ ‫ﺍﻭ‬ ‫ﻣﺎﺩﺓ‬ ‫ﻓﻲ‬ ‫ﻭﺩﺭﺟﺘﻪ‬ ‫ﺍﻟﻔﻴﺰﻳﺎء‬ ‫ﻣﺎﺩﺓ‬ ‫ﻓﻲ‬ ‫ﺍﻟﻄﺎﻟﺐ‬ ‫ﺩﺭﺟﺔ‬ ‫ﺑﻴﻦ‬ ‫ﺍﻟﻌﻼﻗﺔ‬ ‫ﻣﺜﻞ‬ ‫ﻣﻌﺪ‬ ‫ﺑﻴﻦ‬ ‫ﺍﻟﻌﻼﻗﺔ‬ ‫ﺃﻭ‬ ‫ﺍﻟﺮﻳﺎﺿﻴﺎﺕ‬ ‫ﻭﻫﻨﺎﻙ‬ ‫ﻭﺍﺳﺘﻬﻼﻛﻪ‬ ‫ﺍﻟﻔﺮﺩ‬ ‫ﺩﺧﻞ‬ ‫ﺑﻴﻦ‬ ‫ﺍﻟﻌﻼﻗﺔ‬ ‫ﺃﻭ‬ ‫ﺍﻟﺪﺭﺍﺳﺔ‬ ‫ﺳﺎﻋﺎﺕ‬ ‫ﻭﻋﺪﺩ‬ ‫ﺍﻟﺪﺭﺍﺳﺔ‬ ‫ﻓﻲ‬ ‫ﻟﻪ‬ ...‫ﺍﻟﻌﻼﻗﺎﺕ‬ ‫ﻣﻦ‬ ‫ﻛﺜﻴﺮ‬ ‫ﺍﻟﻘﻴﻢ‬ ‫ﻭﻳﺄﺧﺬ‬ ‫ﺍﻻﺭﺗﺒﺎﻁ‬ ‫ﻣﻌﺎﻣﻞ‬ ‫ﻳﺴﻤﻰ‬ ‫ﺑﻤﻘﻴﺎﺱ‬ ‫ﺍﻟﻌﻼﻗﺎﺕ‬ ‫ﺗﻠﻚ‬ ‫ﻭﺗﻘﺎﺱ‬ ‫ﻣﻦ‬ – 1 ‫ﺇﻟﻰ‬ 1 .  ‫ﺗﺴﺎﻭﻱ‬ ‫ﺍﻻﺭﺗﺒﺎﻁ‬ ‫ﻣﻌﺎﻣﻞ‬ ‫ﻗﻴﻤﺔ‬ ‫ﻛﺎﻧﺖ‬ ‫ﺇﺫﺍ‬ ً‫ﺎ‬‫ﺗﺎﻣ‬ ً‫ﺎ‬‫ﻁﺮﺩﻳ‬ ‫ﺍﻻﺭﺗﺒﺎﻁ‬ ‫ﻳﻜﻮﻥ‬ 1  ً‫ﺎ‬‫ﺗﺎﻣ‬ ً‫ﺎ‬‫ﻋﻜﺴﻴ‬ ‫ﺍﻻﺭﺗﺒﺎﻁ‬ ‫ﻳﻜﻮﻥ‬ ‫ﺗﺴﺎﻭﻱ‬ ‫ﺍﻻﺭﺗﺒﺎﻁ‬ ‫ﻣﻌﺎﻣﻞ‬ ‫ﻗﻴﻤﺔ‬ ‫ﻛﺎﻧﺖ‬ ‫ﺇﺫﺍ‬ - 1  .‫ﺻﻔﺮ‬ ‫ﺗﺴﺎﻭﻱ‬ ‫ﺍﻻﺭﺗﺒﺎﻁ‬ ‫ﻣﻌﺎﻣﻞ‬ ‫ﻗﻴﻤﺔ‬ ‫ﻛﺎﻧﺖ‬ ‫ﺇﺫﺍ‬ ‫ﺍﺭﺗﺒﺎﻁ‬ ‫ﻳﻮﺟﺪ‬ ‫ﻻ‬  .ً‫ﺎ‬‫ﻗﻮﻳ‬ ‫ﺍﻻﺭﺗﺒﺎﻁ‬ ‫ﻛﺎﻥ‬ ‫ﺍﻟﻮﺍﺣﺪ‬ ‫ﻣﻦ‬ ‫ﻗﺮﻳﺒﺔ‬ ‫ﺍﻻﺭﺗﺒﺎﻁ‬ ‫ﻟﻤﻌﺎﻣﻞ‬ ‫ﺍﻟﻤﻄﻠﻘﺔ‬ ‫ﺍﻟﻘﻴﻤﺔ‬ ‫ﻛﺎﻧﺖ‬ ‫ﻛﻠﻤﺎ‬  .ً‫ﺎ‬‫ﺿﻌﻴﻔ‬ ‫ﺍﻻﺭﺗﺒﺎﻁ‬ ‫ﻛﺎﻥ‬ ‫ﺍﻟﺼﻔﺮ‬ ‫ﻣﻦ‬ ‫ﻗﺮﻳﺒﺔ‬ ‫ﺍﻻﺭﺗﺒﺎﻁ‬ ‫ﻟﻤﻌﺎﻣﻞ‬ ‫ﺍﻟﻤﻄﻠﻘﺔ‬ ‫ﺍﻟﻘﻴﻤﺔ‬ ‫ﻛﺎﻧﺖ‬ ‫ﻛﻠﻤﺎ‬ ‫ﺍﺳ‬ ‫ﻭﻳﻤﻜﻦ‬ :‫ﻣﻨﻬﺎ‬ ‫ﻧﺬﻛﺮ‬ ‫ﻁﺮﻕ‬ ‫ﺑﻌﺪﺓ‬ ‫ﻣﺘﻐﻴﺮﻳﻦ‬ ‫ﺑﻴﻦ‬ ‫ﺍﻻﺭﺗﺒﺎﻁ‬ ‫ﻣﻌﺎﻣﻞ‬ ‫ﺘﺨﺪﺍﻡ‬ 1 . ‫ﺑﻴﺮﺳﻮﻥ‬ ‫ﻣﻌﺎﻣﻞ‬ (Pearson) ‫ﺍﻻﺭﺗﺒﺎﻁ‬ ‫ﻣﻌﺎﻣﻞ‬ ‫ﺇﻳﺠﺎﺩ‬ ‫ﻣﺜﻞ‬ ‫ﻛﻤﻲ‬ ‫ﺑﻤﻘﻴﺎﺱ‬ ‫ﻣﻘﺎﺳﺎ‬ ‫ﺍﻟﻤﺘﻐﻴﺮﻳﻦ‬ ‫ﻛﻼ‬ ‫ﻛﺎﻥ‬ ‫ﺇﺫﺍ‬ ‫ﻳﺴﺘﺨﺪﻡ‬ : ‫ﻭﺍﻻﺳﺘﻬﻼﻙ‬ ‫ﺍﻟﺪﺧﻞ‬ ‫ﺑﻴﻦ‬ 2 . ‫ﺳﺒﻴﺮﻣﺎﻥ‬ ‫ﻣﻌﺎﻣﻞ‬ (Spearman) ‫ﺇﻳﺠ‬ ‫ﻣﺜﻞ‬ ‫ﺗﺮﺗﻴﺒﻲ‬ ‫ﺑﻤﻘﻴﺎﺱ‬ ‫ﻣﻘﺎﺳﺎ‬ ‫ﺍﻟﻤﺘﻐﻴﺮﻳﻦ‬ ‫ﻣﻦ‬ ‫ﻛﻼ‬ ‫ﻛﺎﻥ‬ ‫ﺇﺫﺍ‬ ‫ﻳﺴﺘﺨﺪﻡ‬ : ‫ﺍﻟﻌﻼﻗﺔ‬ ‫ﺎﺩ‬ ‫ﻣﺮﺗﻔﻊ‬ ) ‫ﺍﻟﺪﺧﻞ‬ ‫ﻣﺴﺘﻮﻯ‬ ‫ﺑﻴﻦ‬ – ‫ﻣﺘﻮﺳﻂ‬ – ‫ﻣﻦ‬ ‫ﺍﻛﺜﺮ‬ )‫ﺍﻟﻴﻮﻣﻴﺔ‬ ‫ﺍﻟﻌﻤﻞ‬ ‫ﺳﺎﻋﺎﺕ‬ ‫ﻭﻋﺪﺩ‬ (‫ﻣﻨﺨﻔﺾ‬ 8 ‫ﺳﺎﻋﺎﺕ‬ – ‫ﻣﻦ‬ 5 ‫ﺇﻟﻰ‬ ‫ﺳﺎﻋﺎﺕ‬ 8 – ‫ﻣﻦ‬ ‫ﺍﻗﻞ‬ 5 .‫ﺃﻳﻀﺎ‬ ‫ﺍﻟﻜﻤﻴﺔ‬ ‫ﺍﻟﻤﺘﻐﻴﺮﺍﺕ‬ ‫ﺣﺎﻟﺔ‬ ‫ﻓﻲ‬ ‫ﺳﺒﻴﺮﻣﺎﻥ‬ ‫ﻣﻘﻴﺎﺱ‬ ‫ﺍﺳﺘﺨﺪﺍﻡ‬ ‫ﻳﻤﻜﻦ‬ ‫ﻛﻤﺎ‬ (‫ﺳﺎﻋﺎﺕ‬ 3 . ‫ﺗﺎﻭ‬ ‫ﻛﺎﻧﺪﻝ‬ ‫ﻣﻌﺎﻣﻞ‬ (Kandell,s tau) ‫ﻭﺑﻨ‬ ‫ﺳﺒﻴﺮﻣﺎﻥ‬ ‫ﻣﻌﺎﻣﻞ‬ ‫ﻣﺜﻞ‬ ‫ﻳﺴﺘﺨﺪﻡ‬ : .‫ﺍﻟﺸﺮﻭﻁ‬ ‫ﻔﺲ‬ 4 . ‫ﻓﺎﻱ‬ ‫ﻣﻌﺎﻣﻞ‬ (Phi) ‫ﺍﻟﺠﻨﺲ‬ ‫ﺑﻴﻦ‬ ‫ﺍﻟﻌﻼﻗﺔ‬ ‫ﺇﻳﺠﺎﺩ‬ ‫ﻣﺜﻞ‬ ‫ﺍﺳﻤﻲ‬ ‫ﺑﻤﻘﻴﺎﺱ‬ ‫ﻣﻘﺎﺳﺎﻥ‬ ‫ﺍﻟﻤﺘﻐﻴﺮﺍﻥ‬ ‫ﻛﺎﻥ‬ ‫ﺇﺫﺍ‬ ‫ﻳﺴﺘﺨﺪﻡ‬ : ‫ﺫﻛﺮ‬ ) – ‫ﻣﺘﻌﻠﻢ‬ ) ‫ﻭﺍﻟﺘﻌﻠﻢ‬ ( ‫ﺃﻧﺜﻰ‬ – .(‫ﻣﺘﻌﻠﻢ‬ ‫ﻏﻴﺮ‬ ‫ﻛﻤﻲ‬ scale ‫ﺗﺮﺗﻴﺒﻲ‬ Ordinal ‫ﺍﺳﻤﻲ‬ Nominal ‫ﻛﻤﻲ‬ scale ‫ﺑﻴﺮﺳﻮﻥ‬ Pearson ‫ﺳﺒﻴﺮﻣﺎﻥ‬ Spearman ‫ﺗﺮﺗﻴﺒﻲ‬ Ordinal ‫ﺗ‬ ‫ﻛﻨﺪﺍﻝ‬ ‫ﺎﻭ‬ Kendall ‫ﺭﻭ‬ ‫ﺳﺒﻴﺮﻣﺎﻥ‬ Spearman ‫ﺟﺎﻣﺎ‬ Gamma ‫ﺍﺳﻤﻲ‬ Nominal ‫ﺍﻳﺘﺎ‬ Eta ‫ﻓﺎﻱ‬ Phi ‫ﺍﻟﺘﻮﺍﻓﻖ‬ ‫ﻣﻌﺎﻣﻞ‬ Contingency Coefficient ‫ﻟﻤﺪﺍ‬ Lambda
  • 85.
    ‫ﺑﺎﺳﺗﺧﺩﺍﻡ‬ ‫ﺍﻻﺣﺻﺎﺋﻲ‬ ‫ﺍﻟﺗﺣﻠﻳﻝ‬ SPSS ‫ﺩ‬ ‫ﺳﻠﻁﺎﻥ‬‫ﺧﻠﻑ‬ . 85 ) ‫ﺗﻄﺒﻴﻖ‬ 12 ( ‫ﺍﻟﺘﺎﻟﻲ‬ ‫ﺍﻟﺠﺪﻭﻝ‬ Application-12.sav ‫ﻳ‬ ‫ﺑﻴﺎﻧﺎﺕ‬ ‫ﻤﺜﻞ‬ 10 ‫ﺍﻹﺩﺍﺭﻳﺔ‬ ‫ﺍﻟﻌﻠﻮﻡ‬ ‫ﺑﻜﻠﻴﺔ‬ ‫ﻁﻼﺏ‬ i Gender Marital Status Credit Hours Math Stat Account Economics 1 F M 14 70 80 73 75 2 M S 12 65 70 55 60 3 M S 12 70 77 66 50 4 M M 14 80 85 70 75 5 M S 13 75 80 81 85 6 F S 16 85 85 85 90 7 F M 17 90 92 98 95 8 M M 18 95 95 94 90 9 M S 15 80 85 92 90 10 F S 14 75 77 85 80 ‫ﺩﺭ‬ ‫ﺍﻟﻤﻄﻠﻮﺏ‬ .‫ﺃﻛﺜﺮ‬ ‫ﺃﻭ‬ ‫ﻣﺘﻐﻴﺮﻳﻦ‬ ‫ﺑﻴﻦ‬ ‫ﺍﻻﺭﺗﺒﺎﻁ‬ ‫ﻣﻌﺎﻣﻞ‬ ‫ﺍﺳﺔ‬ 1 - ‫ﺍﻟﺘﻲ‬ ‫ﺍﻟﻔﺮﺿﻴﺔ‬ ‫ﻭﻻﺧﺘﺒﺎﺭ‬ ‫ﻭﺍﻹﺣﺼﺎء‬ ‫ﺍﻟﺮﻳﺎﺿﻴﺎﺕ‬ ‫ﻓﻲ‬ ‫ﺍﻟﻄﺎﻟﺐ‬ ‫ﺩﺭﺟﺘﻲ‬ ‫ﻛﻞ‬ ‫ﺑﻴﻦ‬ ‫ﻟﻼﺭﺗﺒﺎﻁ‬ ‫ﺑﻴﺮﺳﻮﻥ‬ ‫ﻣﻌﺎﻣﻞ‬ ‫ﻹﻳﺠﺎﺩ‬ ‫ﺗﻘﻮﻝ‬ " ‫ﺍﻹﺣﺼﺎء‬ ‫ﻭﻋﻼﻣﺔ‬ ‫ﺍﻟﺮﻳﺎﺿﻴﺎﺕ‬ ‫ﻋﻼﻣﺔ‬ ‫ﺑﻴﻦ‬ ‫ﺍﺭﺗﺒﺎﻁ‬ ‫ﻳﻮﺟﺪ‬ ‫ﻻ‬ ‫"ﺑﺄﻧﻪ‬ :‫ﺍﻟﺘﺎﻟﻴﺔ‬ ‫ﺍﻟﺨﻄﻮﺍﺕ‬ ‫ﺍﺗﺒﻊ‬ 1 - ‫ﺍﻟﻘﺎﺋﻤﺔ‬ ‫ﻣﻦ‬ Analyze ‫ﺍﺧﺘﺮ‬ Correlate ‫ﻭﻣﻦ‬ ‫ﺍﺧﺘﺮ‬ ‫ﺍﻟﻔﺮﻋﻴﺔ‬ ‫ﺍﻟﻘﺎﺋﻤﺔ‬ Bivariate :‫ﺍﻟﺘﺎﻟﻲ‬ ‫ﺑﺎﻟﺸﻜﻞ‬ ‫ﻛﻤﺎ‬
  • 86.
    ‫ﺑﺎﺳﺗﺧﺩﺍﻡ‬ ‫ﺍﻻﺣﺻﺎﺋﻲ‬ ‫ﺍﻟﺗﺣﻠﻳﻝ‬ SPSS ‫ﺩ‬ ‫ﺳﻠﻁﺎﻥ‬‫ﺧﻠﻑ‬ . 86 2 - " ‫ﺍﻟﻤﺘﻐﻴﺮﻳﻦ‬ ‫ﺍﺩﺧﻞ‬ Math " ‫ﻭ‬ " Stat ‫ﺍﻟﻤﺴﺘﻄﻴﻞ‬ ‫ﺩﺍﺧﻞ‬ " Variables 3 - ‫ﺍﻟﻤﺮﺑﻊ‬ ‫ﻓﻲ‬ ‫ﺗﻀﻐﻂ‬ ‫ﺃﻥ‬ ‫ﻋﻠﻴﻚ‬ ‫ﺍﻻﺭﺗﺒﺎﻁ‬ ‫ﻟﻤﻌﺎﻣﻞ‬ ‫ﺁﺧﺮ‬ ‫ﻣﻘﻴﺎﺱ‬ ‫ﺍﺧﺘﻴﺎﺭ‬ ‫ﺃﺭﺩﺕ‬ ‫ﻭﺇﺫﺍ‬ ‫ﺑﻴﺮﺳﻮﻥ‬ ‫ﺍﺭﺗﺒﺎﻁ‬ ‫ﻣﻌﺎﻣﻞ‬ ‫ﺍﺧﺘﻴﺎﺭ‬ ‫ﺑﺠﺎﻧﺐ‬ ‫ﺍﻟﻤﺮﺑﻊ‬ ‫ﺃﻥ‬ ‫ﻻﺣﻆ‬ ‫ﻛﺬﻟﻚ‬ ،‫ﺑﺠﺎﻧﺒﻪ‬ ‫ﺍﻟﺬﻱ‬ Flag significant correlations ‫ﺑﺪﺍﺧﻠﻪ‬ ‫ﻣﻮﺟﻮﺩ‬ ‫ﺃﻱ‬ ‫ﻧﺸﻂ‬ ‫ﻋﺮﺽ‬ ‫ﺃﻱ‬ ‫ﻣﻘﺒﻮﻝ‬ ‫ﺍﺭﺗﺒﺎﻁ‬ ‫ﻣﻌﺎﻣﻞ‬ ‫ﻟﻬﺎ‬ ‫ﺍﻟﺬﻱ‬ ‫ﺍﻟﻤﺘﻐﻴﺮﺍﺕ‬ ‫ﻋﻠﻰ‬ ‫ﻧﺠﻤﺘﻴﻦ‬ ‫ﺃﻭ‬ ‫ﻧﺠﻤﺔ‬ ‫ﻭﺿﻊ‬ ‫ﻭﻓﺎﺋﺪﺗﻪ‬ "‫"ﺻﺢ‬ ‫ﺇﺷﺎﺭﺓ‬ ‫ﺍﻟﻤﻌﻨﻮﻳﺔ‬ ‫ﻣﺴﺘﻮﻯ‬ ‫ﺛﻢ‬ ‫ﺍﻹﺣﺼﺎﺋﻴﺔ‬ ‫ﺍﺿﻐﻂ‬ Ok :‫ﺍﻟﺘﺎﻟﻴﺔ‬ ‫ﺍﻟﻨﺘﺎﺋﺞ‬ ‫ﻋﻠﻰ‬ ‫ﺗﺤﺼﻞ‬ Correlations Math Stat Math Pearson Correlation 1 .959** Sig. (2-tailed) .000 N 10 10 Stat Pearson Correlation .959** 1 Sig. (2-tailed) .000 N 10 10 **. Correlation is significant at the 0.01 level (2-tailed). ‫ﺃﻥ‬ ‫ﺍﻟﻤﻌﺎﻣﻼﺕ‬ ‫ﻣﺼﻔﻮﻓﺔ‬ ‫ﻓﻲ‬ ‫ﺍﻟﻮﺍﺭﺩﺓ‬ ‫ﺍﻟﻨﺘﺎﺋﺞ‬ ‫ﻣﻦ‬ ‫ﻧﻼﺣﻆ‬ 2.tailed Significance = 0.000 ‫ﻣﻦ‬ ‫ﺃﻗﻞ‬ ‫ﻭﻫﻮ‬ 0.05 ‫ﻋﻼﻣﺎﺕ‬ ‫ﺑﻴﻦ‬ ‫ﻗﻮﻱ‬ ‫ﺍﺭﺗﺒﺎﻁ‬ ‫ﻫﻨﺎﻙ‬ ‫ﺃﻥ‬ ‫ﻋﻠﻰ‬ ‫ﻳﺪﻝ‬ ‫ﻭﻫﺬﺍ‬ ‫ﻭﻳﺴﺎﻭﻱ‬ ‫ﻭﺍﻟﻔﻴﺰﻳﺎء‬ ‫ﺍﻟﺮﻳﺎﺿﻴﺎﺕ‬ 0.959 ‫ﺍﺭﺗﺒﺎﻁ‬ ‫ﻭﺟﻮﺩ‬ ‫ﻋﺪﻡ‬ ‫ﻋﻠﻰ‬ ‫ﺗﻨﺺ‬ ‫ﺍﻟﺘﻲ‬ ‫ﺍﻟﺼﻔﺮﻳﺔ‬ ‫ﺍﻟﻔﺮﺿﻴﺔ‬ ‫ﺭﻓﺾ‬ ‫ﻋﻠﻴﻨﺎ‬ ‫ﺃﻱ‬ .‫ﻭﺍﻟﺮﻳﺎﺿﻴﺎﺕ‬ ‫ﺍﻹﺣﺼﺎء‬ ‫ﺩﺭﺟﺎﺕ‬ ‫ﺑﻴﻦ‬ ‫ﺍﻻﺭﺗﺒﺎﻁ‬ ‫ﻣﻌﺎﻣﻼﺕ‬ ‫ﻣﺼﻔﻮﻓﺔ‬ ‫ﺇﻳﺠﺎﺩ‬ ‫ﺍ‬ ‫ﻣﻌﺎﻣﻼﺕ‬ ‫ﻔﻮﻓﺔ‬ ‫ﻣﺼ‬ ‫ﺍﻟﻤﺘﻐﻴﺮﺍﺕ‬ ‫ﻣﻦ‬ ‫ﺯﻭﺟﻴﻦ‬ ‫ﻛﻞ‬ ‫ﺑﻴﻦ‬ ‫ﺍﻻﺭﺗﺒﺎﻁ‬ ‫ﻣﻌﺎﻣﻼﺕ‬ ‫ﻋﺮﺽ‬ ‫ﻓﻴﻬﺎ‬ ‫ﻳﺘﻢ‬ ‫ﻔﻮﻓﺔ‬ ‫ﻣﺼ‬ ‫ﻫﻲ‬ ‫ﻻﺭﺗﺒﺎﻁ‬ ‫ﺘﻄﻴﻞ‬ ‫ﻣﺴ‬ ‫ﺩﺍﺧﻞ‬ ‫ﺍﻟﻤﺘﻐﻴﺮﺍﺕ‬ ‫ﺟﻤﻴﻊ‬ ‫ﺍﺩﺧﻞ‬ ،‫ﺫﻟﻚ‬ ‫ﻭﻹﻳﺠﺎﺩ‬ Variables ‫ﻓﻲ‬ ‫ﺍﻟﺤﻮﺍﺭ‬ ‫ﻣﺮﺑﻊ‬ Bivariate Correlations :‫ﺍﻟﺘﺎﻟﻲ‬ ‫ﺍﻟﺸﻜﻞ‬ ‫ﻓﻲ‬ ‫ﻛﻤﺎ‬
  • 87.
    ‫ﺑﺎﺳﺗﺧﺩﺍﻡ‬ ‫ﺍﻻﺣﺻﺎﺋﻲ‬ ‫ﺍﻟﺗﺣﻠﻳﻝ‬ SPSS ‫ﺩ‬ ‫ﺳﻠﻁﺎﻥ‬‫ﺧﻠﻑ‬ . 87 ‫ﻧﻀﻐﻂ‬ ‫ﺛﻢ‬ OK ‫ﻧﺤﺼﻞ‬ :‫ﺍﻟﺘﺎﻟﻴﺔ‬ ‫ﺍﻻﺭﺗﺒﺎﻁ‬ ‫ﻣﺼﻔﻮﻓﺔ‬ ‫ﻋﻠﻰ‬ Correlations Math Stat Acc Ecn Math Pearson Correlation 1 .959** .833** .780** Sig. (2-tailed) .000 .003 .008 N 10 10 10 10 Stat Pearson Correlation .959** 1 .811** .746* Sig. (2-tailed) .000 .004 .013 N 10 10 10 10 Acc Pearson Correlation .833** .811** 1 .890** Sig. (2-tailed) .003 .004 .001 N 10 10 10 10 Ecn Pearson Correlation .780** .746* .890** 1 Sig. (2-tailed) .008 .013 .001 N 10 10 10 10 **. Correlation is significant at the 0.01 level (2-tailed). *. Correlation is significant at the 0.05 level (2-tailed). ‫ﺩﻻﻟﺔ‬ ‫ﻣﺴﺘﻮﻯ‬ ‫ﻋﻨﺪ‬ ‫ﺑﻌﻀﻬﺎ‬ ‫ﻣﺘﻐﻴﺮﻳﻦ‬ ‫ﻛﻞ‬ ‫ﺑﻴﻦ‬ ‫ﻗﻮﻱ‬ ‫ﺍﺭﺗﺒﺎﻁ‬ ‫ﻋﻼﻗﺔ‬ ‫ﺗﻮﺟﺪ‬ ‫ﺃﻧﻪ‬ ‫ﻧﺠﺪ‬ ‫ﺍﻻﺭﺗﺒﺎﻁ‬ ‫ﻣﻌﺎﻣﻼﺕ‬ ‫ﻣﺼﻔﻮﻓﺔ‬ ‫ﻣﻦ‬ 0.01 ‫ﻣﻌﻨﻮﻳﺔ‬ ‫ﻣﺴﺘﻮﻯ‬ ‫ﻋﻨﺪ‬ ‫ﺍﻵﺧﺮ‬ ‫ﻭﺑﻌﻀﻬﺎ‬ 0.05 ) 2 - 6 ( ‫ﻧﻤﻮﺫﺝ‬ ‫ﺍﻟﺒﺴﻴﻂ‬ ‫ﺍﻟﺨﻄﻲ‬ ‫ﺍﻻﻧﺤﺪﺍﺭ‬ on Model Simple Linear Regressi ‫ﺍﻟﻤﺘﻐﻴﺮ‬ ‫ﻳﺴﻤﻰ‬ ‫ﺁﺧﺮ‬ ‫ﻣﺘﻐﻴﺮ‬ ‫ﺧﻼﻝ‬ ‫ﻣﻦ‬ ،‫ﺍﻟﺘﺎﺑﻊ‬ ‫ﺍﻟﻤﺘﻐﻴﺮ‬ ‫ﻳﺴﻤﻰ‬ ،‫ﻣﺘﻐﻴﺮ‬ ‫ﺑﻘﻴﻤﺔ‬ ‫ﻟﻠﺘﻨﺒﺆ‬ ‫ﺍﻟﺨﻄﻲ‬ ‫ﺍﻻﻧﺤﺪﺍﺭ‬ ‫ﺗﺤﻠﻴﻞ‬ ‫ﻳﺴﺘﺨﺪﻡ‬ ‫ﺍﻟﺼﻮﺭﺓ‬ ‫ﻓﻲ‬ ‫ﺍﻟﻤﺴﺘﻘﻞ‬ Y A BX E    ‫ﺣﻴﺚ‬ Y ،‫ﺍﻟﺘﺎﺑﻊ‬ ‫ﺍﻟﻤﺘﻐﻴﺮ‬ ‫ﻫﻮ‬ X ‫ﺍﻟﻤﺴﺘﻘﻞ‬ ‫ﺍﻟﻤﺘﻐﻴﺮ‬ ‫ﻫﻮ‬ ، E ‫ﻋﺸﻮﺍﺋﻲ‬ ‫ﺧﻄﺎ‬ ) ‫ﺗﻄﺒﻴﻖ‬ 13 ( ‫ﻣﻘﺮﺭ‬ ‫ﻓﻲ‬ ‫ﻟﻠﻄﺎﻟﺐ‬ ‫ﺍﻟﺪﺭﺍﺳﻲ‬ ‫ﺍﻟﺘﺤﺼﻴﻞ‬ ‫ﻋﻠﻰ‬ ‫ﺍﻟﺪﺭﺍﺳﺔ‬ ‫ﺳﺎﻋﺎﺕ‬ ‫ﺃﺛﺮ‬ ‫ﻫﻮ‬ ‫ﻣﺎ‬ ‫ﺍﻟﺴﺎﺑﻖ‬ ‫ﺍﻹﺩﺍﺭﻳﺔ‬ ‫ﺍﻟﻌﻠﻮﻡ‬ ‫ﻛﻠﻴﺔ‬ ‫ﺑﻴﺎﻧﺎﺕ‬ ‫ﻣﺜﺎﻝ‬ ‫ﻓﻲ‬ ‫ﺍﻹﺣﺼﺎء؟‬ :‫ﻛﺎﻟﺘﺎﻟﻲ‬ ‫ﺍﻟﺒﺴﻴﻂ‬ ‫ﺍﻟﺨﻄﻲ‬ ‫ﺍﻻﻧﺤﺪﺍﺭ‬ ‫ﺗﺤﻠﻴﻞ‬ ‫ﻧﺠﺮﻱ‬ ‫ﺍﻟﺴﺆﺍﻝ‬ ‫ﻫﺬﺍ‬ ‫ﻋﻠﻰ‬ ‫ﻟﻠﺠﻮﺍﺏ‬ 1 ‫ﺍﻟﻘﺎﺋﻤﺔ‬ ‫ﻣﻦ‬. Analyze ‫ﻧﺨﺘﺎﺭ‬ Regression ‫ﻧﺨﺘﺎﺭ‬ ‫ﺍﻟﻔﺮﻋﻴﺔ‬ ‫ﺍﻟﻘﺎﺋﻤﺔ‬ ‫ﻣﻦ‬ ‫ﺛﻢ‬ Linear :‫ﺍﻟﺘﺎﻟﻲ‬ ‫ﺍﻟﺤﻮﺍﺭ‬ ‫ﻣﺮﺑﻊ‬ ‫ﻓﻴﻈﻬﺮ‬
  • 88.
    ‫ﺑﺎﺳﺗﺧﺩﺍﻡ‬ ‫ﺍﻻﺣﺻﺎﺋﻲ‬ ‫ﺍﻟﺗﺣﻠﻳﻝ‬ SPSS ‫ﺩ‬ ‫ﺳﻠﻁﺎﻥ‬‫ﺧﻠﻑ‬ . 88 2 " ‫ﺍﻟﻤﺘﻐﻴﺮ‬ ‫ﺍﻧﻘﻞ‬ . H ‫ﺍﻟﻤﺴﺘﻄﻴﻞ‬ ‫ﺇﻟﻰ‬ " Independent (s) ٍ" ‫ﻭﺍﻟﻤﺘﻐﻴﺮ‬ Stat ‫ﺍﻟﻤﺴﺘﻄﻴﻞ‬ ‫ﺩﺍﺧﻞ‬ " Dependent ‫ﺛﻢ‬ ‫ﺍﺿﻐﻂ‬ Ok .‫ﺍﻟﻨﺘﺎﺋﺞ‬ ‫ﻓﺘﻈﻬﺮ‬ :‫ﺍﻟﻨﺘﺎﺋﺞ‬ ‫ﺗﺤﻠﻴﻞ‬ 1 - ‫ﻫﻲ‬ ‫ﺍﻟﻤﻄﻠﻮﺑﺔ‬ ‫ﺍﻻﻧﺤﺪﺍﺭ‬ ‫ﻣﻌﺎﺩﻟﺔ‬ 33.34 3.397 Stat H   2 - ‫ﺍﻟﺘﺤﺪﻳﺪ‬ ‫ﻣﻌﺎﻣﻞ‬ 2 R ‫ﻭﺗﺴﺎﻭﻱ‬ 0.0.85 .‫ﺟﻴﺪﺓ‬ ‫ﺍﻟﺘﻨﺒﺆ‬ ‫ﺃﻭ‬ ‫ﺍﻻﻧﺤﺪﺍﺭ‬ ‫ﻣﻌﺎﺩﻟﺔ‬ ‫ﺃﻥ‬ ‫ﻋﻠﻰ‬ ‫ﻳﺪﻝ‬ ‫ﻭﻫﺬﺍ‬ ‫ﻣﺮﺗﻔﻌﺔ‬ ‫ﻭﻫﻲ‬ 3 - ‫ﻣﻦ‬ ‫ﺃﻗﻞ‬ ‫ﻣﻌﻨﻮﻳﺔ‬ ‫ﻣﺴﺘﻮﻯ‬ ‫ﻋﻨﺪ‬ ‫ﺇﺣﺼﺎﺋﻴﺎ‬ ‫ﻣﻌﻨﻮﻳﺔ‬ ‫ﺃﻧﻬﺎ‬ ‫ﻳﻈﻬﺮ‬ ‫ﺍﻟﻤﻌﺎﻣﻼﺕ‬ ‫ﻣﻌﻨﻮﻳﺔ‬ ‫ﺍﺧﺘﺒﺎﺭ‬ 0.01 4 - ‫ﺟﻴﺪ‬ ‫ﻣﺠﻤﻠﻪ‬ ‫ﻓﻲ‬ ‫ﺍﻟﻨﻤﻮﺫﺝ‬ ‫ﺃﻥ‬ ‫ﻳﻈﻬﺮ‬ ‫ﺍﻻﻧﺤﺪﺍﺭ‬ ‫ﻟﻤﻌﺎﺩﻟﺔ‬ ‫ﺎﺣﺐ‬ ‫ﺍﻟﻤﺼ‬ ‫ﺍﻟﺘﺒﺎﻳﻦ‬ ‫ﺗﺤﻠﻴﻞ‬ ‫ﺟﺪﻭﻝ‬ ‫ﻗﻴﻤﺔ‬ ‫ﺑﻠﻐﺖ‬ Sig. = 0.000 ‫ﻣﻦ‬ ‫ﺍﻗﻞ‬ ‫ﻭﻫﻲ‬ 0.01 ‫ﺍﻻﻧﺤﺪﺍﺭ‬ ‫ﻣﻌﺎﺩﻟﺔ‬ ‫ﻗﺒﻮﻝ‬ ‫ﻳﻌﻨﻲ‬ ‫ﻭﻫﺬﺍ‬ .
  • 89.
    ‫ﺑﺎﺳﺗﺧﺩﺍﻡ‬ ‫ﺍﻻﺣﺻﺎﺋﻲ‬ ‫ﺍﻟﺗﺣﻠﻳﻝ‬ SPSS ‫ﺩ‬ ‫ﺳﻠﻁﺎﻥ‬‫ﺧﻠﻑ‬ . 89 ) 3 - 6 ( ‫ﻧﻤﻮﺫﺝ‬ ‫ﺍﻟﺨﻄﻲ‬ ‫ﺍﻻﻧﺤﺪﺍﺭ‬ ‫ﺍﻟﻤﺘﻌﺪﺩ‬ Multiple Linear Regression Models ‫ﻟﻠﺘﻨﺒﺆ‬ ‫ﺍﻟﺨﻄﻲ‬ ‫ﺍﻻﻧﺤﺪﺍﺭ‬ ‫ﺗﺤﻠﻴﻞ‬ ‫ﻳﺴﺘﺨﺪﻡ‬ ‫ﺍﻟﺘﺎﺑ‬ ‫ﺍﻟﻤﺘﻐﻴﺮ‬ ‫ﻳﺴﻤﻰ‬ ،‫ﻣﺘﻐﻴﺮ‬ ‫ﺑﻘﻴﻤﺔ‬ (‫ﺍﻻﺳﺘﺠﺎﺑﺔ‬ ‫ﻣﺘﻐﻴﺮ‬ ‫)ﺍﻭ‬ ‫ﻊ‬ ‫ﺧﻼﻝ‬ ‫ﻣﻦ‬ ، ‫ﻋﺪﺓ‬ ‫ﻣﺘﻐﻴ‬ ‫ﺮ‬ ‫ﺍﺕ‬ ‫ﻣﺘﻌﺪﺩﺓ‬ ‫ﺗ‬ ‫ﺍﻟﻤﺘﻐﻴﺮ‬ ‫ﺴﻤﻰ‬ ‫ﺍﺕ‬ ‫ﺍﻟﻤﺴﺘﻘﻠ‬ ‫ﺔ‬ ‫ﺍﻟﺼﻮﺭﺓ‬ ‫ﻓﻲ‬ 0 1 1 2 2 ... k k Y B B X B X B X E       ‫ﺣﻴﺚ‬ Y ،‫ﺍﻟﺘﺎﺑﻊ‬ ‫ﺍﻟﻤﺘﻐﻴﺮ‬ ‫ﻫﻮ‬ 1 2 , ,... , k X X X ‫ﻫ‬ ‫ﻲ‬ ‫ﺍﻟﻤﺘﻐﻴﺮ‬ ‫ﺍﺕ‬ ‫ﺍﻟﻤﺴﺘﻘﻠ‬ ‫ﺔ‬ ، E ‫ﻋﺸﻮﺍﺋﻲ‬ ‫ﺧﻄﺎ‬ ) ‫ﺗﻄﺒﻴﻖ‬ 14 ( ‫ﺗﺒﻴﻊ‬ ‫ﺃﺣﺪ‬ ‫ﺍﻟ‬ ‫ﺍﻟﺼﻨﺎﻋﻴﺔ‬ ‫ﺸﺮﻛﺎﺕ‬ ‫ﻣﻨﺘﺠﻬﺎ‬ ‫ﻋﺸﺮﺓ‬ ‫ﺧﻤﺲ‬ ‫ﻓﻲ‬ ‫ﺍﻟﺠﺪﻭﻝ‬ ،‫ﺍﻟﻤﻨﻄﻘﺔ‬ ‫ﺑﻤﺒﻴﻌﺎﺕ‬ ‫ﺑﺎﻟﺘﻨﺒﺆ‬ ‫ﻭﺗﻬﺘﻢ‬ ،‫ﺗﺴﻮﻳﻘﻴﺔ‬ ‫ﻣﻨﻄﻘﺔ‬ ‫ﺍﻟﻤﻨﺎﻁﻖ‬ ‫ﻓﻲ‬ ‫ﺍﻟﻤﺒﻴﻌﺎﺕ‬ ‫ﻳﻮﺿﺢ‬ ‫ﺍﻟﺘﺎﻟﻲ‬ ) Y ( =‫)ﺑﺎﻟﻜﺮﻭﺯ‬ 12 ‫ﺩﺭﺯﻳﻨﺔ‬ ،( ) ‫ﺍﻟﻤﺠﺘﻤﻊ‬ ‫ﺣﺠﻢ‬ X1 ،‫ﺍﻷﺷﺨﺎﺹ‬ ‫ﺑﺄﻻﻑ‬ ( ‫ﻭﺩﺧﻞ‬ ‫ﺍﻟﻤﻨﻄﻘﺔ‬ ‫ﻓﻲ‬ ‫ﺑﻪ‬ ‫ﺍﻟﻤﺼﺮﺡ‬ ‫ﺍﻟﻔﺮﺩ‬ ) X2 ( . ‫ﺑ‬ ‫ﺍﻟﻤﻄﻠﻮﺏ‬ .‫ﻋﻤﻠﻴﺎ‬ ‫ﻣﻨﻪ‬ ‫ﺍﻻﺳﺘﻔﺎﺩﺓ‬ ‫ﻭﻛﻴﻔﻴﺔ‬ ،‫ﺍﻟﻨﻤﻮﺫﺝ‬ ‫ﻛﻔﺎء‬ ‫ﻓﺤﺺ‬ ‫ﻣﻊ‬ ،‫ﺗﻨﺒﺆﻱ‬ ‫ﺍﻧﺤﺪﺍﺭ‬ ‫ﻧﻤﻮﺫﺝ‬ ‫ﻨﺎء‬ 1 - ‫ﺍﻟﻰ‬ ‫ﺍﻟﺒﻴﺎﻧﺎﺕ‬ ‫ﺍﺩﺧﺎﻝ‬ SPSS 2 - ‫ﺍﻟﻤﺪﺧﻼﺕ‬ ‫ﻭﺗﺤﺪﻳﺪ‬ ‫ﺍﻻﻧﺤﺪﺍﺭ‬ ‫ﻣﺴﺎﺭ‬ ‫ﺍﺳﺘﺨﺪﺍﻡ‬ 3 - ‫ﺍﻟﻤﺨﺮﺟﺎﺕ‬ ‫ﻁﺒﺎﻋﺔ‬ 4 - ‫ﺍﻟﻨﺘﺎﺋﺞ‬ ‫ﺗﻔﺴﻴﺮ‬ 5 - ‫ﺍﻟﻤﺘﺪﺭﺑﻴﻦ‬ ‫ﻣﻊ‬ ‫ﺍﻟﻨﺘﺎﺋﺞ‬ ‫ﻣﻨﺎﻗﺸﺔ‬ ‫رﻗﻢ‬ ‫اﻟﻤﻨﻄﻘﺔ‬ Y ‫ﻌﺎت‬ ‫اﻟﻤﺒ‬ ‫ﺣﺠﻢ‬ ‫اﻟﻤﺠﺘﻤﻊ‬ x1 ‫دﺧﻞ‬ ‫اﻟﻔﺮد‬ x2 1 162 274 2450 2 120 180 3254 3 223 375 3802 4 131 205 2838 5 67 86 2347 6 169 265 3782 7 81 98 3008 8 192 330 2450 9 116 195 2137 10 55 53 2560 11 252 430 4020 12 232 372 4427 13 144 236 2660 14 103 157 2088 15 212 370 2605
  • 90.
    ‫ﺑﺎﺳﺗﺧﺩﺍﻡ‬ ‫ﺍﻻﺣﺻﺎﺋﻲ‬ ‫ﺍﻟﺗﺣﻠﻳﻝ‬ SPSS ‫ﺩ‬ ‫ﺳﻠﻁﺎﻥ‬‫ﺧﻠﻑ‬ . 90 Model Summary Model R R Square Adjusted R Square Std. Error of the Estimate 1 .999a .999 .999 2.177 a. Predictors: (Constant), ‫ﺍﻟﻔﺭﺩ_ﺩﺧﻝ‬, ‫ﺍﻟﻣﺟﺗﻣﻊ_ﺣﺟﻡ‬ ANOVAa Model Sum of Squares df Mean Square F Sig. 1 Regression 53844.716 2 26922.358 5679.466 .000b Residual 56.884 12 4.740 Total 53901.600 14 a. Dependent Variable: ‫ﺍﻟﻣﺑﻳﻌﺎﺕ‬ b. Predictors: (Constant), ‫ﺍﻟﻔﺭﺩ_ﺩﺧﻝ‬, ‫ﺍﻟﻣﺟﺗﻣﻊ_ﺣﺟﻡ‬ Coefficientsa Model Unstandardized Coefficients Standardized Coefficients t Sig. 95.0% Confidence Interval for B B Std. Error Beta Lower Bound Upper Bound 1 (Constant) 3.453 2.431 1.420 .181 -1.843 8.749 ‫ﺣﺟﻡ_ﺍﻟﻣﺟﺗﻣﻊ‬ .496 .006 .934 81.924 .000 .483 .509 ‫ﺩﺧﻝ_ﺍﻟﻔﺭﺩ‬ .009 .001 .108 9.502 .000 .007 .011 a. Dependent Variable: ‫ﺍﻟﻣﺑﻳﻌﺎﺕ‬ ‫ﻧﻤﻮ‬ ‫ﺫﺝ‬ :‫ﻫﻮ‬ ‫ﺍﻟﺤﺎﻟﺔ‬ ‫ﻫﺬﻩ‬ ‫ﻓﻲ‬ ‫ﺍﻟﻤﺘﻌﺪﺩ‬ ‫ﺍﻻﻧﺤﺪﺍﺭ‬ 3.453 0.496 * 0.01* Sales Population Size Income   
  • 91.