There are three Important securities in the capital market.
Bonds / Debentures
Preference shares
Equity shares
Securities and their valuation
What is a security ?
A legal representation of the right to receive prospective future benefits under
stated conditions – Investments ; W.F Sharpe, G.J Alexander, J.V Bailey
What is a capital market ?
Bond / Debenture valuation
Face value
Coupon rate
Maturity date
Redemption value
Market value
Bond with maturity period
Bond holder receives two types of cash flows
Periodic interest income
Maturity Value
Following formula helps to determine the value of the bond
INT1
INT2
INTn
+Bn
Pm
= + +-------+
(1+kd
) (1+kd
) (1+kd
)n
Pm = 
n
t=1
Ci
(1+ i)t
Pp
(1+ i)n
+
Pm = The current market price of the bond/debenture
Ci = The annual coupon payment for bond i
i = The prevailing yield to maturity for this bond issue
Pp = The par value of the bond
n = The number of years to maturity
Suppose an investor is considering to purchase a five-
year, Rs.1000 par value bond ,Bearing a nominal rate of
interest of 7%. The prevailing yield to maturity for this
bond (required rate of return) is 8%. What should he be
willing to pay now to purchase the bond if it matures at
par?
B0 = 70/(1.08)1
+70/(1.08)2
+70/(1.08)3
+70/(1.08)4
+70/(1.08)5
= 64.81 + 60.01 + 55.568 + 51.45 + 47.64
Bo
= 960.51
The government is proposing to sell a 5-years bond of Rs1000
at 8% rate of interest per annum. The bond amount will be
amortized equally over it’s life. If an investor has a minimum
required rate of return 7% what would be the bond’s present
value for him?
Amortizing value per year = 1000 / 5 = 200 per each.
The amount of interest + Amortizing value
1st
year 1000 x 8% = RS. 80.00 + 200 = 280
2nd
year (1000-200) x8% = RS.64.00 + 200 =264
3rd
year (800-200) x8% = RS.48.00 + 200 =248
4th
year (600-200) x8% =RS.32.00 + 200 =232
5th
year (400-200) x8% =RS.16.00 +200 =216
Bo =RS. 1025.66
Semi-annual interest payment
In practice, it is quite common to pay interest on bonds /
debentures semiannually
Pm = 
2n
t=1
Ci /2
(1+i /2)t
Pp
(1+i /2)2n
+
A Ten-year bond of RS.1000 has an annual rate of interest of
12% the interest is paid half-yearly. If the required rate of
return is 16%, what is the value of the bond?
210 (120)/2 1000
Bo =  +
T=1 (1+0.16/2) t
(1+0.16/2)210
Bo =609.818 +10000.215
Bo =589.08 + 215 = RS.804.08
Perpetual Bonds
Bonds, which will never mature, are known as perpetual
bonds.
Assume that a bond will pay RS.80 interest annually in
to perpetuity what would be its Value
If the current yield is 7%?
If the current yield is 8%?
If the current yield is 12%?
INT 80
Bo = = = RS.1142.85
Kd
0.07
Assume a bond pays 10% interest for 20 years and has a
par or maturity value of Rs. 1000. The interest rate in the
market place is assumed to be 12%.
Bo = 747 + 104
Bo =RS. 851
If the price of Bond less than 851 better to purchase Otherwise
better to reject.
Marvin Ranaweera is a knowledge investor who is
always looking for a sound company to include in
his portfolio of stocks and bonds. Being somewhat
risk-averse, his main objective is to buy stock in
firms that are mature and well-established in their
respective industries. Wal-Mart (International
company) is one of the stocks Marvin is currently
considering for inclusion in his portfolio.
Wal-Mart has four major areas of business:
traditional Wal-Mart discount stores, Super-
centers, Sam's Clubs, and international operations.
Although Wal-Mart was established over 50 years
ago, it continues to achieve growth through
expansion.
The Super-center concept, which combines groceries and
general merchandise, is extreme success as 75 new Super-
centers were opened last year alone. Another 95 will be
opening over the next two years.
Sam's clubs have also seen success as 99 Pace stores (Pace is
one of Sam's former Competitors) were converted to Sam's
stores in 1995. In addition to taking over competitor stores,
Sam's also opened 22 new stores of its own.
Internationally, the picture is equally as rosy. In Canada, 122
former Woolco stores were converted to Wal-Mart discount
stores. Expansion has reached Mexico and Hong Kong as
well, as 24 Clubs and Super-centers and 3 "Value Clubs" were
Wal-Mart plans to continue its reign as the world's largest
retailer through expansion by developing the previously
discussed 95 Wal-Mart discount stores, 12 new Super-centers
and 9 new Sam's Clubs. Internationally, 20 to 25 new stores
will be built in Hong Kong, China, Argentina, Brazil and
Canada.
In order to determine if Wal-Mart is a "good buy," Marvin has
to perform several analyses. First, he must calculate the
returns on Wal-Mart's common stock over the past eight
quarters as an indicator of how the stock might perform over
the next year. He must then calculate the standard deviation of
the stock as a proxy for its risk. To aid in his calculation,
Marvin has gathered the following stock price and dividend
data.
Quarterly Stock Prices
Quarter
Closing
Price
June 2006 55.01
March 2006 61.22
Dec. 2005 57.41
Sept. 2005 49.32
June 2005 48.54
March 2005 50.16
Dec. 2004 52.69
Sept. 2004 47.67
Quarterly Dividend Payments
Date
Dividend
Payment
Jun.19, 2006 0.08
Mar.20, 2006 0.08
Dec. 19, 2005 0.07
Sept.19, 2005 0.07
Jun.20, 2005 0.07
Mar.21, 2005 0.07
Dec. 20, 2004 0.06
Sept.13, 2004 0.06
Calculate the returns for each of the seven quarters.
Calculate the standard deviation of the returns from question 1.
Marvin has decided to reduce his risk through diversification. In
which way he can diversify away his risk? What is the ideal
number of securities he should maintain in his portfolio? Justify
your answer with valid reasons.
Bond maturity and interest rate risk
The value of a bond depends upon the interest rate. As
interest rate changes, the value of a bond also varies. There
is an inverse relationship between the value of a bond and
the interest rate. The value will decline when the interest
rate rises and vice-versa. The intensity of interest rate risk
would be higher on bonds with long maturities than those
in short periods. Using the following three types of bonds
can identify this situation.
Bond 5Y.B 10Y.B Perp.B
Interest Rate 7% 7% 7%
Maturity Value 1000 1000 Perpetuity
Int.Rate Value 5Y.B Value 10 Y.B Perp.B
4 1134 1244 1750
5 1087 1155 1400
6 1042 1073 1167
7 1000 1000 1000
8 961 933 875
9 922 871 778
10 886 816 700
Preference share valuation
P0 = Dp / Kd
Assume that a preference share pays Rs.12 dividend
annually. What is the value of share if the current required
rate of return is 10%.
P0 = 12 / 0.1
=120
Equity share valuation
One of the most widely used equity valuation model is the
Dividend Discounting model (DDM).The DDM defines the
intrinsic value of a share as the present value of future
dividend. There are several valuation of the DDM because
of different assumptions about the growth rate of dividend
and its relationship to the discount rate used to calculate
present value.
Zero growth model
Constant growth model / Normal growth model
Super normal growth model
Zero growth model
This Model assumes that dividend will be constant
over time, so that growth is Zero, and that the
investors required rate of return is constant.
This implies:
D1
=D2
= D3
= D constant.
P0 = D/(1+r)1
+ D/(1+r)2
+D/(1+r)3
+ ………. + D/(1+r)n
P0 = D/ Ke
Assume that the dividend per share is estimated to be Rs.
4 per year, and indefinite.The investor requires 20% of
return.Find the intrinsic value of the equity share.
P0 = 4 / .20 = Rs. 20
Constant growth model
This model assumes that dividends will grow at a constant rate
every year. If we use “g” for the constant growth rate, we can
show the dividend one year from now as (D1
).
D1
= D0
(1+g)
D2
= Do (1+g) * (1+g) = Do (1+g)2
Dt = Do (1+g) t
P0 = D1 / (Ke – g)
If an investor has a share whose current cash dividend is
Rs.6, the constant compound rate is 15% per year and the
required rate of return is 24% find the Value of the
equity share.
P0=D1/(Ke–g) =6(1+0.15)/(0.24–0.15) =6.9/0.09=76.67
Current dividend is Rs.2.30, required rate of return is 13%,
constant growth rate is 5%. Find the Value. Rs. 30.19
The dividends of HPT over the last five years have been as
follows. Year Dividend (Rs.)
1998 150,000
1999 192,000
2000 206,000
2001 245,000
2002 262,550
The company entirely financed by 100,000equity shares.
Expected rate of return on equity share is 24%.
You are required to calculate,
The growth rate over the last four years
The value of equity share?
D0
= 150,000, D4
=262,550
D0
(1+g)4
= D4
150,000 (1+g)4
= 262,550
(1+g)4
= 262,550/150,000 ; (1+g)4
= (1.75033)1/4
g = (1.75033)1/4
-1 = g = 1.1502 -1 =g = 0.15 = 15%
P0
= D5
= 2.6255(1+0.15) = 3.019325 = Rs.33.55
ke
– g 0.24 - 0.15 0.09
The model is based as following assumptions
 The required rate of return (K) must be greater than the growth
rate
Ke g
 The initial dividend must be greater than zero
Do
 O
 The relationship between K and g is assumed to be constant and
perpetual.
Super normal growth
Suppose that a company’s expected dividend is Rs. 2. It is
expected to grow at 15% for next 3 years and then at a rate of
8% indefinitely. The required rate of return is 12%. What is the
price of the share today?
Step 1
Calculation of present value of the first three years dividends.
Year Dividends Discount factor PV of the
At 12% dividends
1 2(1+.15)1
= 2.30 0.893 2.05
2 2(1+.15)2
= 2.65 0.797 2.11
3 2(1+.15)3
=3.04 0.712 2.16
-----------
PV of the share during super growth period 6.32
Step 2
Finding the price of share at the beginning of the constant
growth period.
P3 = D4 = 3.04 (1+08) = 82.08
Ke – g = 0.12 - 0.08
Discount P3 back present
Po = P3 = 82.08 = 58.42
(1+ke)3
(1.12)3
Value of the share today 6.32 + 58.42 = 64.74
Lanka pharmaceuticals is currently paying a dividend of Rs.2.00 per
share, which is not expected to change. Investors require a rate of
return of 20% to invest in a stock with the riskiness of Lanka
pharmaceuticals. Calculate the intrinsic value of the stock.
D0/k = 2.00/0.20 = Rs.10.00
Richter construction company is currently paying a dividend of Rs.2.00
per share, which is expected to grow at a constant rate of 7% per year.
Investors require a rate of return of 16% to invest in stocks with this
degree of riskiness. Calculate the implied price of Richter.
D1 = D0(1+g) = 2.14
P0 = D1/(ke-g) = Rs.23.78
Bandula legal services is currently selling for Rs.60.00 per share and
is expected to pay a dividend of Rs.3.00. The expected growth rate in
dividends is 8% for the foreseeable future. Calculate the required rate
of return for this stock.
ke = (D1/P0) +g =(3.00/60.00) + 0.08 = 13%
Finch restaurant has been undergoing rapid growth for the last few
years. The current dividend of Rs.2.00 per share is expected to
continue to grow at the rapid rate of 20% a year for the next three
years. After that time Finch is expected to slow down, with the
dividend growing at a more normal rate of 7% a year for the
indefinite future. Because of the risk involved in such rapid growth,
the required rate of return on this stock is 22%. Calculate the implied
price for Finch.
D1 = 2.00(1+0.20) = 2.40 0.820 1.97
D2 = 2.00(1+0.20)2
= 2.88 0.672 1.94
D3 = 2.00(1+0.20)3
= 3.46 0.551 1.91
5.82
P3 = [3.46(1.07)] / 0.22 – 0.07)
PV at the end of year 3 = 24.68
PV at time period zero = 24.68(0.551) = 13.60
V0 = 5.82 + 13.60 = 19.42
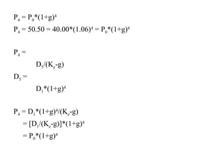
The next dividend for the Golden growth company will be Rs. 4.00 per
share. Investors require a 16% return on companies such as Golden.
Golden’s dividend increases by 6% every year. Based on the dividend
growth model, what is the value of Golden’s stock today? What is the
value in four years?
P0 = D1/ (Ke – g)
= 4/ (.16 - .06)
= Rs.40.00
Dividend in four years
= D1 * (1+g)3
= Rs.4.764
Price in four years;
P4 = [D4(1+g)]/(Ke-g) = [4.764*1.06]/(.16-.06)
= Rs.50.50
P4 = P0*(1+g)4
P4 = 50.50 = 40.00*(1.06)4
= P0*(1+g)4
P4 =
D5/(Ke-g)
D5 =
D1*(1+g)4
P4 = D1*(1+g)4
/(Ke-g)
= [D1/(Ke-g)]*(1+g)4
= P0*(1+g)4
The last dividend was Rs.2.00. The dividend is expected to grow
steadily at 8%. The required return is 16%. Calculate the current price
and price in five years.
P0 = D1/(Ke-g)
= 2(1.08)/(.16-.08) = Rs.27.00
D5 = D0(1+g)5
= 2(1.08)5
= 2.9387
P5 = D5(1+g)/(Ke-g)
= Rs.39.67
P5 = P0(1+g)5
= Rs.39.67
What is growth rate?
Earnings next year = Ear. this year + Ret. Ear. This year * R.on
Ret.Ear.
g = Retention ratio * Return on retained earnings
Julian enterprises just reported earnings of Rs.2 million. It plans to
retain 40% of its earnings The historical ROE has been 0.16, a figure
that is expected to continue into the future. How much will earnings
grow over the coming year?
Firm will retain =
2 million * 40% = 800000
The anticipated increase in earnings =
800000 * 0.16 = 128000
The percentage growth in earnings =
Change in earnings / Total earnings = 128000/2Mi. = 0.064
So earnings in one year will be
2Million * 1.064 = 2128000
g = retention ratio * Return on retained earnings
0.4 * 0.16 = 0.064
Consider the above example, has 1000000 shares of outstanding. The
stock is selling at Rs.10.00. What is the required return on share?
Pay-out ratio =
1-0.40 = 0.60
Earnings a year from now =
2000000 *1.064 = 2128000
Dividend =
2128000 * 0.60 = 1276800
DPS =
1276800/1000000 = 1.28
r = (Div / P0) + g
(1.28/10) + 0.064 = 0.192
Growth opportunities
The company pays all of its earnings to share holders as dividends
EPS = DPS
A company of this type called a cash cow
Value of a share when firm acts as a cash cow
EPS/r = DPS/r
Growth opportunities means, the opportunities to invest in profitable
projects.
Suppose a company retains the entire dividend at date 1 in order to
invest in a project. The NPV (per share) of the project as of date 0
(NPVGO)
What is the price of a share at date 0 if the firm decides to take on the
project at date 1?
The share price must now be
EPS/r +NPVGO
Saroja company expects to earn Rs.1 million per year in perpetuity if
it undertakes no new investment opportunities. There are 100000
shares outstanding. The firm will have an opportunity at date 1 to
spend Rs.1000000 in new marketing campaign. The new campaign
will increase earnings in every subsequent period by Rs.210000. This
is a 21% return per year on the project. The firms discount rate is 10%.
What is the value per share before and after deciding to accept the
marketing campaign?
Value of share when acts as a cash cow
EPS/r = 10/0.1 = Rs.100
The value of marketing campaign as of date 1
-1000000 + 210000/0.1 = 1100000
Value of marketing campaign at date 0
1100000/1.1 = 100000
The NPVGO per share is =
1000000/100000 = Rs.10
Price per share
EPS/r + NPVGO = Rs.110
Straight NPV basis
Dividend in all subsequent periods are
1000000 + 210000 = 1210000
DPS =
1210000/100000 = 12.10
Price per share at date 1 =
12.10/0.1 = 121
Price per share at date 0 =
121/1.1 = 110

Security Valuation lecture note for undergraduate students

  • 1.
    There are threeImportant securities in the capital market. Bonds / Debentures Preference shares Equity shares Securities and their valuation What is a security ? A legal representation of the right to receive prospective future benefits under stated conditions – Investments ; W.F Sharpe, G.J Alexander, J.V Bailey What is a capital market ?
  • 2.
    Bond / Debenturevaluation Face value Coupon rate Maturity date Redemption value Market value
  • 3.
    Bond with maturityperiod Bond holder receives two types of cash flows Periodic interest income Maturity Value Following formula helps to determine the value of the bond INT1 INT2 INTn +Bn Pm = + +-------+ (1+kd ) (1+kd ) (1+kd )n
  • 4.
    Pm =  n t=1 Ci (1+i)t Pp (1+ i)n + Pm = The current market price of the bond/debenture Ci = The annual coupon payment for bond i i = The prevailing yield to maturity for this bond issue Pp = The par value of the bond n = The number of years to maturity
  • 5.
    Suppose an investoris considering to purchase a five- year, Rs.1000 par value bond ,Bearing a nominal rate of interest of 7%. The prevailing yield to maturity for this bond (required rate of return) is 8%. What should he be willing to pay now to purchase the bond if it matures at par? B0 = 70/(1.08)1 +70/(1.08)2 +70/(1.08)3 +70/(1.08)4 +70/(1.08)5 = 64.81 + 60.01 + 55.568 + 51.45 + 47.64 Bo = 960.51
  • 6.
    The government isproposing to sell a 5-years bond of Rs1000 at 8% rate of interest per annum. The bond amount will be amortized equally over it’s life. If an investor has a minimum required rate of return 7% what would be the bond’s present value for him? Amortizing value per year = 1000 / 5 = 200 per each. The amount of interest + Amortizing value 1st year 1000 x 8% = RS. 80.00 + 200 = 280 2nd year (1000-200) x8% = RS.64.00 + 200 =264 3rd year (800-200) x8% = RS.48.00 + 200 =248 4th year (600-200) x8% =RS.32.00 + 200 =232 5th year (400-200) x8% =RS.16.00 +200 =216 Bo =RS. 1025.66
  • 7.
    Semi-annual interest payment Inpractice, it is quite common to pay interest on bonds / debentures semiannually Pm =  2n t=1 Ci /2 (1+i /2)t Pp (1+i /2)2n + A Ten-year bond of RS.1000 has an annual rate of interest of 12% the interest is paid half-yearly. If the required rate of return is 16%, what is the value of the bond? 210 (120)/2 1000 Bo =  + T=1 (1+0.16/2) t (1+0.16/2)210
  • 8.
    Bo =609.818 +10000.215 Bo=589.08 + 215 = RS.804.08 Perpetual Bonds Bonds, which will never mature, are known as perpetual bonds. Assume that a bond will pay RS.80 interest annually in to perpetuity what would be its Value If the current yield is 7%? If the current yield is 8%? If the current yield is 12%?
  • 9.
    INT 80 Bo == = RS.1142.85 Kd 0.07 Assume a bond pays 10% interest for 20 years and has a par or maturity value of Rs. 1000. The interest rate in the market place is assumed to be 12%. Bo = 747 + 104 Bo =RS. 851 If the price of Bond less than 851 better to purchase Otherwise better to reject.
  • 10.
    Marvin Ranaweera isa knowledge investor who is always looking for a sound company to include in his portfolio of stocks and bonds. Being somewhat risk-averse, his main objective is to buy stock in firms that are mature and well-established in their respective industries. Wal-Mart (International company) is one of the stocks Marvin is currently considering for inclusion in his portfolio. Wal-Mart has four major areas of business: traditional Wal-Mart discount stores, Super- centers, Sam's Clubs, and international operations. Although Wal-Mart was established over 50 years ago, it continues to achieve growth through expansion.
  • 11.
    The Super-center concept,which combines groceries and general merchandise, is extreme success as 75 new Super- centers were opened last year alone. Another 95 will be opening over the next two years. Sam's clubs have also seen success as 99 Pace stores (Pace is one of Sam's former Competitors) were converted to Sam's stores in 1995. In addition to taking over competitor stores, Sam's also opened 22 new stores of its own. Internationally, the picture is equally as rosy. In Canada, 122 former Woolco stores were converted to Wal-Mart discount stores. Expansion has reached Mexico and Hong Kong as well, as 24 Clubs and Super-centers and 3 "Value Clubs" were
  • 12.
    Wal-Mart plans tocontinue its reign as the world's largest retailer through expansion by developing the previously discussed 95 Wal-Mart discount stores, 12 new Super-centers and 9 new Sam's Clubs. Internationally, 20 to 25 new stores will be built in Hong Kong, China, Argentina, Brazil and Canada. In order to determine if Wal-Mart is a "good buy," Marvin has to perform several analyses. First, he must calculate the returns on Wal-Mart's common stock over the past eight quarters as an indicator of how the stock might perform over the next year. He must then calculate the standard deviation of the stock as a proxy for its risk. To aid in his calculation, Marvin has gathered the following stock price and dividend data.
  • 13.
    Quarterly Stock Prices Quarter Closing Price June2006 55.01 March 2006 61.22 Dec. 2005 57.41 Sept. 2005 49.32 June 2005 48.54 March 2005 50.16 Dec. 2004 52.69 Sept. 2004 47.67 Quarterly Dividend Payments Date Dividend Payment Jun.19, 2006 0.08 Mar.20, 2006 0.08 Dec. 19, 2005 0.07 Sept.19, 2005 0.07 Jun.20, 2005 0.07 Mar.21, 2005 0.07 Dec. 20, 2004 0.06 Sept.13, 2004 0.06
  • 14.
    Calculate the returnsfor each of the seven quarters. Calculate the standard deviation of the returns from question 1. Marvin has decided to reduce his risk through diversification. In which way he can diversify away his risk? What is the ideal number of securities he should maintain in his portfolio? Justify your answer with valid reasons.
  • 15.
    Bond maturity andinterest rate risk The value of a bond depends upon the interest rate. As interest rate changes, the value of a bond also varies. There is an inverse relationship between the value of a bond and the interest rate. The value will decline when the interest rate rises and vice-versa. The intensity of interest rate risk would be higher on bonds with long maturities than those in short periods. Using the following three types of bonds can identify this situation. Bond 5Y.B 10Y.B Perp.B Interest Rate 7% 7% 7% Maturity Value 1000 1000 Perpetuity
  • 16.
    Int.Rate Value 5Y.BValue 10 Y.B Perp.B 4 1134 1244 1750 5 1087 1155 1400 6 1042 1073 1167 7 1000 1000 1000 8 961 933 875 9 922 871 778 10 886 816 700
  • 17.
    Preference share valuation P0= Dp / Kd Assume that a preference share pays Rs.12 dividend annually. What is the value of share if the current required rate of return is 10%. P0 = 12 / 0.1 =120
  • 18.
    Equity share valuation Oneof the most widely used equity valuation model is the Dividend Discounting model (DDM).The DDM defines the intrinsic value of a share as the present value of future dividend. There are several valuation of the DDM because of different assumptions about the growth rate of dividend and its relationship to the discount rate used to calculate present value. Zero growth model Constant growth model / Normal growth model Super normal growth model
  • 19.
    Zero growth model ThisModel assumes that dividend will be constant over time, so that growth is Zero, and that the investors required rate of return is constant. This implies: D1 =D2 = D3 = D constant. P0 = D/(1+r)1 + D/(1+r)2 +D/(1+r)3 + ………. + D/(1+r)n P0 = D/ Ke Assume that the dividend per share is estimated to be Rs. 4 per year, and indefinite.The investor requires 20% of return.Find the intrinsic value of the equity share.
  • 20.
    P0 = 4/ .20 = Rs. 20 Constant growth model This model assumes that dividends will grow at a constant rate every year. If we use “g” for the constant growth rate, we can show the dividend one year from now as (D1 ). D1 = D0 (1+g) D2 = Do (1+g) * (1+g) = Do (1+g)2 Dt = Do (1+g) t P0 = D1 / (Ke – g) If an investor has a share whose current cash dividend is Rs.6, the constant compound rate is 15% per year and the required rate of return is 24% find the Value of the equity share.
  • 21.
    P0=D1/(Ke–g) =6(1+0.15)/(0.24–0.15) =6.9/0.09=76.67 Currentdividend is Rs.2.30, required rate of return is 13%, constant growth rate is 5%. Find the Value. Rs. 30.19 The dividends of HPT over the last five years have been as follows. Year Dividend (Rs.) 1998 150,000 1999 192,000 2000 206,000 2001 245,000 2002 262,550 The company entirely financed by 100,000equity shares. Expected rate of return on equity share is 24%. You are required to calculate, The growth rate over the last four years The value of equity share?
  • 22.
    D0 = 150,000, D4 =262,550 D0 (1+g)4 =D4 150,000 (1+g)4 = 262,550 (1+g)4 = 262,550/150,000 ; (1+g)4 = (1.75033)1/4 g = (1.75033)1/4 -1 = g = 1.1502 -1 =g = 0.15 = 15% P0 = D5 = 2.6255(1+0.15) = 3.019325 = Rs.33.55 ke – g 0.24 - 0.15 0.09
  • 23.
    The model isbased as following assumptions  The required rate of return (K) must be greater than the growth rate Ke g  The initial dividend must be greater than zero Do  O  The relationship between K and g is assumed to be constant and perpetual.
  • 24.
    Super normal growth Supposethat a company’s expected dividend is Rs. 2. It is expected to grow at 15% for next 3 years and then at a rate of 8% indefinitely. The required rate of return is 12%. What is the price of the share today? Step 1 Calculation of present value of the first three years dividends. Year Dividends Discount factor PV of the At 12% dividends 1 2(1+.15)1 = 2.30 0.893 2.05 2 2(1+.15)2 = 2.65 0.797 2.11 3 2(1+.15)3 =3.04 0.712 2.16 ----------- PV of the share during super growth period 6.32
  • 25.
    Step 2 Finding theprice of share at the beginning of the constant growth period. P3 = D4 = 3.04 (1+08) = 82.08 Ke – g = 0.12 - 0.08 Discount P3 back present Po = P3 = 82.08 = 58.42 (1+ke)3 (1.12)3 Value of the share today 6.32 + 58.42 = 64.74
  • 26.
    Lanka pharmaceuticals iscurrently paying a dividend of Rs.2.00 per share, which is not expected to change. Investors require a rate of return of 20% to invest in a stock with the riskiness of Lanka pharmaceuticals. Calculate the intrinsic value of the stock. D0/k = 2.00/0.20 = Rs.10.00 Richter construction company is currently paying a dividend of Rs.2.00 per share, which is expected to grow at a constant rate of 7% per year. Investors require a rate of return of 16% to invest in stocks with this degree of riskiness. Calculate the implied price of Richter. D1 = D0(1+g) = 2.14 P0 = D1/(ke-g) = Rs.23.78
  • 27.
    Bandula legal servicesis currently selling for Rs.60.00 per share and is expected to pay a dividend of Rs.3.00. The expected growth rate in dividends is 8% for the foreseeable future. Calculate the required rate of return for this stock. ke = (D1/P0) +g =(3.00/60.00) + 0.08 = 13% Finch restaurant has been undergoing rapid growth for the last few years. The current dividend of Rs.2.00 per share is expected to continue to grow at the rapid rate of 20% a year for the next three years. After that time Finch is expected to slow down, with the dividend growing at a more normal rate of 7% a year for the indefinite future. Because of the risk involved in such rapid growth, the required rate of return on this stock is 22%. Calculate the implied price for Finch.
  • 28.
    D1 = 2.00(1+0.20)= 2.40 0.820 1.97 D2 = 2.00(1+0.20)2 = 2.88 0.672 1.94 D3 = 2.00(1+0.20)3 = 3.46 0.551 1.91 5.82 P3 = [3.46(1.07)] / 0.22 – 0.07) PV at the end of year 3 = 24.68 PV at time period zero = 24.68(0.551) = 13.60 V0 = 5.82 + 13.60 = 19.42
  • 29.
    The next dividendfor the Golden growth company will be Rs. 4.00 per share. Investors require a 16% return on companies such as Golden. Golden’s dividend increases by 6% every year. Based on the dividend growth model, what is the value of Golden’s stock today? What is the value in four years? P0 = D1/ (Ke – g) = 4/ (.16 - .06) = Rs.40.00 Dividend in four years = D1 * (1+g)3 = Rs.4.764 Price in four years; P4 = [D4(1+g)]/(Ke-g) = [4.764*1.06]/(.16-.06) = Rs.50.50
  • 30.
    P4 = P0*(1+g)4 P4= 50.50 = 40.00*(1.06)4 = P0*(1+g)4 P4 = D5/(Ke-g) D5 = D1*(1+g)4 P4 = D1*(1+g)4 /(Ke-g) = [D1/(Ke-g)]*(1+g)4 = P0*(1+g)4
  • 31.
    The last dividendwas Rs.2.00. The dividend is expected to grow steadily at 8%. The required return is 16%. Calculate the current price and price in five years. P0 = D1/(Ke-g) = 2(1.08)/(.16-.08) = Rs.27.00 D5 = D0(1+g)5 = 2(1.08)5 = 2.9387 P5 = D5(1+g)/(Ke-g) = Rs.39.67 P5 = P0(1+g)5 = Rs.39.67
  • 32.
    What is growthrate? Earnings next year = Ear. this year + Ret. Ear. This year * R.on Ret.Ear. g = Retention ratio * Return on retained earnings Julian enterprises just reported earnings of Rs.2 million. It plans to retain 40% of its earnings The historical ROE has been 0.16, a figure that is expected to continue into the future. How much will earnings grow over the coming year?
  • 33.
    Firm will retain= 2 million * 40% = 800000 The anticipated increase in earnings = 800000 * 0.16 = 128000 The percentage growth in earnings = Change in earnings / Total earnings = 128000/2Mi. = 0.064 So earnings in one year will be 2Million * 1.064 = 2128000 g = retention ratio * Return on retained earnings 0.4 * 0.16 = 0.064
  • 34.
    Consider the aboveexample, has 1000000 shares of outstanding. The stock is selling at Rs.10.00. What is the required return on share? Pay-out ratio = 1-0.40 = 0.60 Earnings a year from now = 2000000 *1.064 = 2128000 Dividend = 2128000 * 0.60 = 1276800 DPS = 1276800/1000000 = 1.28 r = (Div / P0) + g (1.28/10) + 0.064 = 0.192
  • 35.
    Growth opportunities The companypays all of its earnings to share holders as dividends EPS = DPS A company of this type called a cash cow Value of a share when firm acts as a cash cow EPS/r = DPS/r Growth opportunities means, the opportunities to invest in profitable projects. Suppose a company retains the entire dividend at date 1 in order to invest in a project. The NPV (per share) of the project as of date 0 (NPVGO)
  • 36.
    What is theprice of a share at date 0 if the firm decides to take on the project at date 1? The share price must now be EPS/r +NPVGO Saroja company expects to earn Rs.1 million per year in perpetuity if it undertakes no new investment opportunities. There are 100000 shares outstanding. The firm will have an opportunity at date 1 to spend Rs.1000000 in new marketing campaign. The new campaign will increase earnings in every subsequent period by Rs.210000. This is a 21% return per year on the project. The firms discount rate is 10%. What is the value per share before and after deciding to accept the marketing campaign?
  • 37.
    Value of sharewhen acts as a cash cow EPS/r = 10/0.1 = Rs.100 The value of marketing campaign as of date 1 -1000000 + 210000/0.1 = 1100000 Value of marketing campaign at date 0 1100000/1.1 = 100000 The NPVGO per share is = 1000000/100000 = Rs.10 Price per share EPS/r + NPVGO = Rs.110
  • 38.
    Straight NPV basis Dividendin all subsequent periods are 1000000 + 210000 = 1210000 DPS = 1210000/100000 = 12.10 Price per share at date 1 = 12.10/0.1 = 121 Price per share at date 0 = 121/1.1 = 110