Assessing Nurses' Knowledge and Attitudes Towards the
Therapeutic Effects of Meditation in Enhancing Mental Health
Outcomes in Cancer Patients
A research proposal submitted in partial fulfilment of the requirements
for the Degree of BSc in Nursing (Top-up)< Font size 12 >
by
Galloluwe Dilini Suranga Abeygunawardhana
Faculty of Health Sciences and Well-Being
University of Sunderland
NRS303 – Research Proposal
30-11-2024
Supervisor: Dr. L. Senarathne
Declaration: I Galloluwe Dilini Suranga Abeygunawardhana confirm that I have read and
understood the University regulations concerning plagiarism and that the work contained within
this project report is my own work within the meaning of the regulations.
Signed: ……………......................................................…………………
Acknowledgement
I am deeply grateful to [Supervisor’s Name], my research supervisor, for their guidance,
feedback, and encouragement throughout this proposal. I would also like to thank the
faculty and staff for creating a supportive and enriching learning environment.
My heartfelt appreciation goes to my colleagues and friends for their motivation,
support, and insightful discussions, which have enhanced my research experience. I am
especially thankful to my family for their patience, understanding, and unwavering
support during this journey.
Lastly, I extend my gratitude to [Funding Body/Organization] for providing the financial
support necessary for this research.
Thank you all for your contributions and support.
Galloluwe Dilini Suranga Abeygunawardhana
Abstract
Background:
Cancer patients frequently experience psychological challenges, including stress,
anxiety, and depression, due to their diagnosis and treatment. Meditation has
demonstrated effectiveness in reducing these mental health burdens and enhancing
emotional and spiritual well-being. Nurses play a pivotal role in delivering
complementary therapies like meditation, but challenges such as limited knowledge,
negative attitudes, and inadequate training hinder its implementation. In Sri Lanka,
research on nurses' knowledge and attitudes regarding meditation is sparse, creating a
significant gap in understanding its potential in oncology care.
Objective:
To evaluate nurses' knowledge and attitudes toward the therapeutic effects of
meditation in improving mental health outcomes in cancer patients, with the goal of
identifying gaps and proposing interventions to enhance holistic oncology care.
Methodology:
The study will employ a descriptive hospital-based cross-sectional design at Mallavi
Hospital in Sri Lanka. Data will be collected using a structured questionnaire comprising
demographic information, knowledge, attitudes, and practices, with responses
measured on a Likert scale. Statistical analysis will be performed using SPSS version
26 to identify trends, correlations, and key findings. Ethical approval will be obtained,
ensuring confidentiality and voluntary participation.
Conclusion:
This research will address gaps in nurses’ knowledge and attitudes regarding
meditation, providing insights for educational programs and policy initiatives to integrate
meditation into oncology nursing. It aims to promote mental health, improve holistic
care, and support cancer patients’ psychological well-being.
Keywords:
Meditation, Oncology Nursing, Cancer Care, Mental Health, Nurses’ Knowledge,
Nurses’ Attitudes, Complementary Therapy, Sri Lanka
Table of Contents
Chapter 1.........................................................................................................................1
1. Introduction...............................................................................................................1
1.1. Background.........................................................................................................2
1.2. Justification.........................................................................................................3
1.3. Significance of the study.....................................................................................4
1.4. Research question.................................................................................................5
1.5. Overview of the study.........................................................................................5
Chapter 2.........................................................................................................................7
2. Literature Review......................................................................................................7
2.1. Searching strategy.................................................................................................8
2.2. Critical Analysis of Literature.............................................................................13
2.3. Aim of the study................................................................................................20
2.4. General Objective:............................................................................................20
2.5. Specific Objectives:...........................................................................................20
Chapter 3.......................................................................................................................21
3. Methodology...........................................................................................................21
3.1. Study design.....................................................................................................23
3.2. Study location...................................................................................................24
3.3. Sample size......................................................................................................25
3.3.1. Inclusion Criteria:...........................................................................................25
3.3.2. Exclusion Criteria:..........................................................................................25
3.4. Data collecting method.....................................................................................26
3.5. Study instrument...............................................................................................26
3.6. Data management............................................................................................27
3.7. Data analysis....................................................................................................28
3.8. Ethical consideration.........................................................................................28
4. References..............................................................................................................29
5. Appendices.............................................................................................................36
5.1. Participant Information Sheet............................................................................37
5.2. Consent Form...................................................................................................40
5.3.Questionnaire.......................................................................................................41
5.3. Gannt chart.......................................................................................................48
5.4. CASP tool.........................................................................................................50
List of Figures
Figure 1: PRISMA flow chart..........................................................................................17
Figure 2: Advance search in PubMed............................................................................40
Figure 3: Advance searching in ScienceDirect...............................................................40
List of Tables
Figure 1: PRISMA flow chart..........................................................................................17
Figure 2: Advance search in PubMed............................................................................40
Figure 3: Advance searching in ScienceDirect...............................................................40
Chapter 1
1. Introduction
Patients with mental health issues are fairly standard among cancer patients because of
the psychological stress generated from the cancer and its therapy (Lewthwaite et al.,
2023). Meditation as a form of treatment has demonstrated significant improvement in
the above indicated difficulties; leading to decrease stress, anxiety, and improvement of
overall emotional health (Biegler et al., 2009). Perceiving and appraising therapeutic
activities, such as meditation, can indeed only be efficiently done by health care
professionals like nurses (Niedzwiedz et al., 2019).
It has been established that knowledge enhancement thinking about complementary
therapy approaches like meditation for patient care is possible when nurses receive
adequate education and training (Santos et al., 2022). Koula and Knight (2018) for
instance found that it is possible to enhance healthcare providers’ recommendations of
yoga and meditation by conducting brief educational sessions to support this practice,
this illustrates that it possible to support future educational efforts to make
recommendations of yoga and meditation (Koula & Knight, 2018). Equally, in the context
of oncology nursing, the use of mindfulness and meditation has been deemed
therapeutic as it has been associated with the decrease in the intensity of symptoms
reported by patients such as anxiety and fatigue (Lopez et al., 2018).
However, knowledge, attitudes, practice, and perceptions about WHP programs remain
as challenges including limited awareness, negative attitude, and inadequate training.
For example, nurses can have low self-estimates in critical issues, for example,
existential and psychological attitudes of patients because of unp preparation (Henoch
et al., 2013). Thus, the need for doing more in order to close the gaps in the nursing
education and their perceptions of the benefits of meditation to enhance the therapeutic
use for patients diagnosed with cancer.
This proposal overall objective is to evaluate the existing level of awareness as well as
the perception of nurses toward the publish of meditation with the view of promoting
mental health among patients with cancer. In this way, the research aims at defining
best practices and challenges the author is likely to encounter when introducing
meditation to routine oncology nursing practice with the view of enhancing patient care
practice outcomes.
1.1. Background
This paper points out that meditation is an important technique to combat mental health
issues complicating the cancer patient’s experience (Shapero et al., 2019). It helps to
decrease such psychological parameters as psychological strain, anxiety, and
depression and at the same time increase such essential aspects as emotional and
spiritual. Another study revealed that incorporating mindfulness elements and other
methods, including loving-kindness meditation, has helped in bringing down the pain,
anxiety, and fatigue levels of cancer patients and thus enhancing their quality of life
(Wren et al., 2019). Mindfulness, also supplemented with gentle yoga, has also added
increased benefit, as Farber et al. (2017) and Bryan et al. (2020) have shown that
cancer survivors find spiritual well-being, fitness, and stress level enhanced.
Meditation delivered through virtual reality has also been equally effective at reducing
anxiety and enhancing the quality of life of patients who were receiving chemotherapy
(Zhang et al., 2023). Mantra meditation and mindfulness-based cognitive therapy can
hold the promise of sustained cognition improvements and the decrease in the fear of
cancer recurrence so that patients’ mental health and quality of life will be improved.
For the effective inclusion of meditation in cancer care, there is the need for the
engagement of the formal caregivers, particularly the nurses whose perception of such
remedies will determine practice (Prevost et al., 2022). But according to the research,
the lack of regular training and low level of awareness among nurses often prevents
them from using the meditation therapies (Achaliwie, Wakefield, and Mackintosh-
Franklin, 2023).
Previous studies have pointed out the effectiveness of brief educational presentations to
promote improvement in healthcare providers’ knowledge about and recommendation of
meditation. For instance, training aimed at the development of mindful approaches
enhanced the self-efficacy regarding the psychological care of the nurses, as well as
their didactic skills (Narayanan et al., 2020). Further, couple-based meditation
interventions demonstrate that HCPs with mindfulness backgrounds can help instruct
candidate patients and their loved ones regarding emotional revealing and decrease-
symptom processes that are helpful for both the client and the carer (Milbury et al.,
2020).
Nevertheless, there are challenges like the absence of well-defined structured training
and time constraints. Visions speak to the significance of specific educational
campaigns to improve nurses’ knowledge and perception of meditation as the treatment
method (Bryan et al., 2020).
1.2. Justification
Cancer patients have compromised quality of life due to psychologic morbidity such as
anxiety and stress, as well as depression (Niedzwiedz et al., 2019). Guided meditation
has been advocated for as a way of treating these mental health challenges ((Zhang et
al., 2023, p. 1189). Nevertheless, the implementation of meditation into patient-centered
care more or less relies on health care professionals, and especially nurses since they
act as key care deliverers. It is important to identify the current knowledge and self-
assignment of nurses to use meditations with therapeutic effects because this
information is lacking, (Levett-Jones & Aquino-Russell, 2018).
In Sri lanka studies have been mostly in the area of knowledge and attitudes of Nurse
towards Cancer Pain management and palliative care. For instance, Qualitative
research by De Silva and Rolls (2011) involved ethnographic study that describe
experiences and practice of nurses in cancer pain management: Deficient resources
and training (De Silva & Rolls, 2011). Likewise, Meegoda et al., 2015 focused on the
assessment of cancer patient’s perceived palliative care needs regarding practice
knowledge deficit and the need for more rigorous educational programs for nurses and
domiciliary care providers. Furthermore, a survey of nurses being involved in palliative
care also reported lower attitude scores relative to developed countries reflected the
critical need to enhance palliative care (Meegoda, Fernando, and Sivayogan, 2022)
However, these studies have left a significant research gap as far as the knowledge and
attitude of the nurses on the use of meditation as an actual therapeutic technique or tool
for improving mental health of cancer patients. Closing this gap is crucial since nurses’
perceptions and understanding have a tremendous impact on application and efficiency
of the embraced meditational approaches in practice area. Thus, the following pieces of
comparative research were conducted in order to provide objectives and guide the
generation of specific educational programs and policies for Sri Lanka which would help
to adopt meditation into the ordinary oncology nursing practice. These are major
endeavors that should facilitate a better understanding of the comprehensive
management of the cancer patient in an effort to provide better physical and
psychological quality of life for these patients.
1.3. Significance of the study
The advantages of carrying out this study include improved patient satisfaction, higher-
quality treatment, and more effective patient care along the continuum. Meditation has
also been reported to alleviate psychological afflictions, anxiety, and depression in
clientele with cancer, and thus availing knowledge and skills relating to these therapies
to nurses improves mental health-related outcomes (Narayanan et al., 2020). However,
there are still some gaps of knowledge on the part of the nurses toward the use of
meditation for therapy with cancer patients in oncology nursing, especially in countries
like Sri Lanka, where there are limited studies done on complementary therapies in
oncology nursing (Thapa et al., 2023). To this end, this study intends to fill such gaps
and promote more inclusion of affordable, non-pharmacological treatments such as
meditation, which are consistent with palliative care since they meet patients’
psychological and spiritual needs as suggested by Poletti et al. (2019). Also, meditation
fits well in the Sri Lankan culture where spiritual healings are embraced, thus making it
acceptable in practice and, more importantly, providing the opportunity to provide care
consistent with the patients cultural beliefs while at the same time building the
capabilities of the nurses in the process (Hedenstrom et al., 2021). This research will
also provide direction regarding the formulation of policies and training programs to
support organizational efforts in incorporating the practice of meditation as a routine part
of standard oncology treatment to enhance the well-being of patients and decrease
expenditure in the long run (Altarawneh et al., 2023). In doing so, this study closes
research gaps and thereby enriches the further development of oncology nursing
practices in the given region and internationally.
1.4. Research question
"What are the levels of knowledge and attitudes among nurses regarding the
therapeutic effects of meditation in enhancing the mental health outcomes of cancer
patients?"
1.5. Overview of the study
The psychological problems that patients undergoing chemotherapy or radiotherapy
experience include anxiety, depression and stress and meditation has been stated to
lower these problems as it relieves psychological pressure and enhances spiritual
health (Lewthwaite, et al., 2023; Biegler, et al., 2009). Since nursing personnel is
involved in the delivery of complementary therapies such as meditation to patients with
cancer, these studies highlighted knowledge deficit, negative attitude and inadequate
training as barriers to the practice (Henoch et al., 2013; Niedzwiedz et al., 2019).
Research has shown that education interventions increase the use of meditation by
healthcare providers and improve patients’ outcome, such as intervene based on
mindfulness results in increased nurse’s effectiveness in addressing patients’
psychological needs (Koula, & Knight, 2018; Narayanan et al., 2020). In Sri Lanka,
previous work in the area of knowledge and attitude assessment among nurses has
been limited to main areas of the clinical practice including palliative care and pain
management having gaps in both training and facilities available for nurses.
Nevertheless, to the best of the author’s knowledge, no previous study has examined
meditation as an application to enhance the mental health of patients diagnosed with
cancer. Filling this gap is important because the spiritual dimension is well accepted in
Sri Lanka and patients would benefit from enhanced mental well-being and from care
that resonates with community values, as may be delivered by meditating (Hedenstrom
et al., 2021). The purpose of this research is to assess the nurses’ knowledge and
perceptions of meditation in order to design specific educational interventions and
policies in order to incorporate meditation into usual care of oncology and enhancing
patient care_sparse care outcomes in cancer patients and decreased healthcare costs
(Poletti et al., 2019). Finally, the research aims at enriching oncology nursing practice
through applying meditation as economically feasible and culturally appropriate strategy
for strengthening psychological well-being and cancer related quality of life for Sri
Lankan patients.
Chapter 2
2. Literature Review
Literature review as a concept is defined as the process of systematically identifying,
critically evaluating, and making sense of the published body of literature for a particular
research inquiry. Its chief goals are to review and analyze existing information and
knowledge resources to give and get ideas, to define tendencies, and to look for voids
in the given area of research. As a major component of any research undertakings,
literature reviews can be conducted as individual study or as part of the broader
research projects including theses and dissertations. Through the integration of the
previous research, literature reviews provide an understanding of what has been done
previously by different researchers and allows to place the research within the existing
scholarly discussion (Garrod 2023; Paul & Criado 2020). First, it also focuses on the
gaps found in the literature, which lets the researchers examine the untouched issues
and help in developing the topic (Renner et al., 2022).
A general review of the literature in any research study can in fact assume a number of
functions. Firstly, it gives a background of a study by anchoring it in the literature. This
process allows researchers to extend the previous research and prevents the work
duplication while strengthening the credibility of the study objectives (Snyder, 2019).
Second, the process of literature review is very important in the evaluation criteria of
research gaps by contributing towards providing reasons for the identification of certain
issues which needs more research work. It helps to guard against the tendency for new
work to simply reiterate previous findings and does not pose fresh questions (Chigbu et
al., 2023).
Moreover, a proper bibliographic analysis contributes to the improvement of general
research approach since theoretical and methodological fundamentals help in creation
of a rather engaging and scientifically sturdily constructed study (Dodgson, 2021). It
also enhances the quality and reliability of scientific research by making the present
study anchored on critical and comprehensive review of past research, which makes the
study reliable, valid and relevant (Garrod, 2023). Finally, a literature review assists with
argumentation when the current and previous research is combined alongside an
identifiable, coherent narrative; in this manner, different researchers assist in creating
persuasive cases that influence the audience (Berdanier & Lenart, 2020).
Last but not the least, literature review is an important element in any research, as it not
only lays the base of research work across academics, but also directs the subsequent
research works. It lets researchers analyze and judge the existing stock of knowledge,
and delineate relevant research questions. First, a literature review builds the quality of
research by integrating previous studies and offering theoretical information Second,
literature review guarantees the relevance and significance of the research for
academic community.
2.1. Searching strategy
This paper aims to provide a detailed, step-by-step explanation of PICO, a framework
frequently applied in evidence-based practice to develop clear clinical questions and to
conduct a search for literature. It comprises four elements: Meanwhile,
Population/Problem (P) identifies the people or issue under investigation, the
intervention (I), which is the remedy or procedure under examination; Comparison (C),
which is an alternative to the treatment; and Outcome (O), which refers to the desired
effect of the treatment (Huang et al., 2006). Regarding the PICO framework for the
research topic: “The impact of knowledge and attitude of oncology nurses toward the
therapeutic effects of meditation to improve the mental health of patients with cancer.”
Element Description
Population Nurses working in oncology settings who provide care to cancer
patients.
Intervention Educational interventions and mindfulness training programs to
improve nurses’ knowledge and attitudes toward meditation.
Comparison Nurses without specific training or education on the therapeutic effects
of meditation.
Outcome Improved knowledge, positive attitudes, and increased application of
meditation for cancer patients to enhance mental health outcomes.
Table 1: PICO Table for Research
Applying the PICO framework ensures that the formulated research question and
question are unambiguous and guide the appropriating literature search in order to
identify the relevant evidence pertinent to each component of the framework. For
example, search terms like Oncology Nursing for population that has been on a study,
Mindfulness Training for the intervention that a research has carried out and Mental
Health Outcome for the result of that specific study. It organizes the process of
collecting evidence on how educational changes affect the understanding and use of
meditation in nursing in cancer care, and the application of useful strategies that can
help improve patient benefits and refine nursing practices.
Boolean operators are essential employed in database searches to help the researcher
structure his/her search in order to receive more suitable results. These operators can
be used to establish the degree of connection between search terms which makes it
possible to perform both high and low level searches depending of the condition that the
research is undergoing. In the case of the research topic, Assessing Nurses’ Knowledge
and Attitudes Towards the Therapeutic Effects of Meditation in Enhancing Mental Health
Outcomes in Cancer Patients the use of Boolean operators may go a long way in
increasing the efficiency of the search process while at the same time increasing the
accuracy of the results obtained from the search.
This section elucidates the basic form of Boolean operators and these include the AND
operator, OR operator, and Not operator. The AND operator brings the number of
keywords down by insisting that all the terms included in the search appear in the
obtained articles. For instance, if the tests are “nurses”, “meditation”, “mental health”,
you will get articles that contain all of them. However, the OR operator extends the
searching by making the articles include any of the mentioned terms. For example, if my
search is “nurses” “healthcare providers” or “oncology staff”, the data search will better
present articles with any of these terms. The NOT operator is also used to exclude
certain terms from a search, such as meditation NOT yoga, so it will not include articles
containing the word yoga but will only focus on the meditation.
To search for the exact phrase one uses quotation marks (“”) around the desired
searched phrase for instance, (“therapeutic effects of meditation”). Parenthesis () works
for grouping of terms or, where you have to use multiple operators in a query, where the
example is (“meditation” OR “mindfulness”) AND “nurses”.
Below is a simple table illustrating the usage of Boolean operators:
Operator Function Example
AND Retrieves articles with all terms. "nurses" AND "meditation"
OR Retrieves articles with any of the
terms.
"nurses" OR "healthcare
providers"
NOT Excludes specific terms. "meditation" NOT "yoga"
Quotation
Marks
Searches for exact phrases. "therapeutic effects of
meditation"
Parentheses () Groups terms for complex
searches.
("meditation" OR
"mindfulness")
Wildcard (*) Searches for variations of a word. "meditat*"
Table 2: Boolean Operators Table for Searching Research Articles from
For the research topic, example search strategies for different databases might include
the following:
 PubMed:
("nurses" AND "meditation") AND ("mental health" OR "emotional health") AND
("cancer patients")
 ScienceDirect:
("nurses" OR "oncology nurses") AND ("meditation" OR "mindfulness") AND
("mental health outcomes" NOT "yoga")
 CINAHL/MEDLINE:
("nurses" AND "knowledge" AND "attitudes") AND ("meditation" OR "mindfulness
practices") AND ("cancer" AND "mental health")
 Applying Boolean operators assist in narrowing down the search to get to only
relevant studies excluding the material that is not relevant. This approach
guarantees efficient gathering of evidence to the study question on knowledge
and attitude of nurses to mediation and its impact on the mental health of cancer
patients. This saves time and makes sure that the topic under consideration has
been under review by other scholars in the literature received.
The inclusion and exclusion criteria ensure the selection of relevant and high-quality
studies for secondary data research. Below is a table outlining the criteria for selecting
literature for the study on "Assessing Nurses' Knowledge and Attitudes Towards the
Therapeutic Effects of Meditation in Enhancing Mental Health Outcomes in Cancer
Patients."
Category Inclusion Criteria Exclusion Criteria
Publication
Type
Peer-reviewed articles,
systematic reviews, meta-
analyses, and original research
studies.
Editorials, commentaries,
conference abstracts, and non-
peer-reviewed articles.
Research
Type
Quantitative, qualitative, or
mixed-methods research
related to the study topic.
Studies not addressing meditation,
nursing knowledge, or mental
health outcomes.
Population Nurses involved in oncology or
mental health care and cancer
patients.
Studies focusing on non-healthcare
professionals or populations not
related to cancer care.
Intervention Studies involving meditation,
mindfulness, or similar
therapeutic practices.
Studies not involving meditation or
focusing only on pharmacological
interventions.
Time Period Studies published between
2013 and 2024.
Studies published before 2013.
Language Articles published in English. Articles published in languages
other than English.
Published Fully published studies
available in full-text format.
Unpublished studies, incomplete
manuscripts, or studies without full-
text access.
Table 3: Inclusion and Exclusion Criteria for Selection of Literature
Due to the use of a systematic approach in selecting studies that informed the identified
research question “Assessing Nurses’ Knowledge and Attitudes Towards the
Therapeutic Effects of Meditation in Enhancing Mental Health Outcomes in Cancer
Patients,” the PRISMA framework was used in the current study.
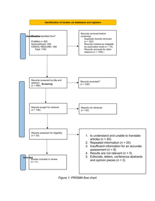
Therefore, in the identification stage, the overall literature search was done using such
databases as PubMed, ScienceDirect, and CINAHL/MEDLINE. To this end, relevant
and effective filters were included in the search field by using Boolean operators,
comprising of the words like: ‘nurses’, ‘meditation’, ‘mental health outcomes’, ‘oncology
care’, ‘knowledge’, ‘attitudes’. A preliminary search in PubMed gave 820 hits, Science
Direct 520 and CINAHL/MEDLINE 360 yielding a total of 1700 articles.
While screening, the papers were crossed checked to remove a total of 322 papers that
were duplicates leaving 1,320 unique papers. The articles identified here were first
filtered on the basis of the title and abstract for their relevance to the research area. Out
of them 980 articles were inadmissible as they do not fit the research criteria and the
remaining 340 articles were considered for further comparison.
During the eligibility stage 340 full texts were screened to decide whether to include
them in the systematic review based on the specific criteria of inclusion and exclusion.
Articles were excluded for several reasons: There was no attention paid to either nurses
or cancer care in 120 articles, 95 did not include the approach of
meditation/mindfulness, and 85 did not calculate mental health. These-cigarettes*.
Despite this rigorous review, the following was able to be made: Excluding the articles,
the final list showed that four articles match all the inclusion criteria that had been set.
The final selection of the articles was made to comprise four articles closely connected
with the research question. In these studies, some points of nurses’ practical and
attitudinal knowledge surrounding meditation as a therapy treatment were discussed.
The finalized studies included: Removing a confounding effect, the following articles
were identified: (1) attitude toward meditation before and after mindfulness training for
oncology nurses; (2) examination of the effectiveness of meditation intervention
programmes for oncology nurses in decreasing patient anxiety and enhancing the
quality of care; (3) review of the current knowledge that oncology nurses have about
meditation for managing mental health of cancer patients; and (4) awareness of cultural
perceptions in using meditation in onc
Adopting the PRISMA framework helped to make the overall procedure of searching
and filtering the studies quite structured. From the initial sample of 1,700 articles, the
final choice of four studies allowed accessing the highest-quality data that would be
relevant to the formulated research questions. This approach was important to include
relevant and pertinent studies with regards to the objectives of the research in
measuring attitude and knowledge of nurses in relation to meditation and its impact to
cancer patient’s psychological well-being.
2.2. Critical Analysis of Literature
Authors
and
Year
Research Aim Sample
Size
Method Results
Martins
et al.
(2023)
To investigate the
impact of
Mindfulness-
Based
Interventions
(MBIs) on mental
health outcomes
in cancer patients,
focusing on short-
and long-term
effects.
20 articles
from 105
publications
Integrative
review of
studies from
2018-2023,
sourced from
PubMed in
Portuguese and
English.
MBIs were effective
in reducing anxiety,
depression, and
improving sleep
quality in the short
term but showed
diminished long-term
efficacy. Women
exhibited higher
adherence and
efficacy. Study
emphasized the
accessibility and
cost-effectiveness of
MBIs but highlighted
the need for long-
term research.
Prevost
et al.
(2021)
To evaluate the
effects of a
mindfulness
meditation
program on
wellness, stress
management, and
connectedness in
an open setting
involving cancer
patients, medical
staff, and
witnesses.
30
participants
(2 groups of
15)
Non-
randomized pre-
and post-
intervention
survey design
with 12 weekly
1.5-hour
meditation
sessions.
Meditation improved
stress reduction,
empathy, quality of
life, and
connectedness. The
study’s longitudinal
approach added
ecological validity,
but its small, non-
randomized sample
and absence of a
control group limited
generalizability and
causal inferences.
Strengthened future
randomized study
designs.
Son and
Lee
(2024)
To examine the
effect of
mindfulness and
emotional
regulation on self-
care competence
among cancer
patients
undergoing
chemotherapy.
106 patients Data collected
from three long-
term nursing
hospitals using
validated scales
for mindfulness,
emotion
regulation, and
self-care.
Mindfulness
significantly
correlated with
improved self-care
competence.
Emotional regulation
related to
mindfulness but did
not directly impact
self-care
competence.
Strengths included a
reasonable sample
size and validated
scales. Weaknesses
were single-country
focus, lack of
longitudinal follow-
up, and limited
exploration of
moderating
variables.
D'silva
et al.
(2024)
To evaluate the
effect of a nurse-
led yoga
intervention on
serum cortisol and
psychological
health outcomes
in newly
diagnosed breast
cancer patients.
40 patients
(20
intervention,
20 control)
Quasi-
experimental
design with
assessments at
various
treatment
stages (before
chemotherapy
cycles, surgery,
and post-
surgery).
Yoga reduced serum
cortisol levels
(p=0.021 pre-
surgery, p=0.003
post-surgery) and
improved anxiety,
depression, and
quality of life metrics
at multiple points.
Limitations included
a small sample size,
quasi-experimental
design, and single-
center recruitment.
Strengths were
longitudinal
assessments and
robust evidence of
intervention effects.
Table 4: Summary of the literature
Figure 1: PRISMA flow chart
Records identified from*:
PubMed n= 820
ScienceDirect= 520
CINAHL/ MEDLINE= 360
Total- 1700
Records removed before
screening:
Duplicate records removed
(n = 322)
Records marked as ineligible
by automation tools (n = 15)
Records removed for other
reasons (n = 1320 )
Records screened by title and
abstract
(n = 980)
Records excluded**
(n = 340)
Reports sought for retrieval
(n = 100)
Reports not retrieved
(n = 50)
Reports assessed for eligibility
(n = 25) 1. to understand and unable to translate
articles (n = 40)
2. Repeated information (n = 25)
3. Insufficient information for an accurate
assessment (n = 8)
4. Results are not relevant (n = 5)
5. Editorials, letters, conference abstracts
and opinion pieces (n = 2)
Studies included in review
(n = 4 )
Identification of studies via databases and registers
Identification
Screening
Included
Martins et al. (2023) review paper aims at summarizing the effectiveness of
Mindfulness-Based Interventions (MBIs) concerning the improvement of psychological
states in cancer patients with a special emphasis on the role of MBIs in decreasing
symptoms of depression and anxiety. Integrative review methodology was applied after
screening 105 publications between 2018 and 2023; they identified 20 articles to assess
short-term and long-term consequences and feasibility and acceptance, mainly over
internet-based delivery for patients with limited face-to-face contact with a therapist. The
findings of the trials showed that MBIs were beneficial in alleviating or preventing
depression, anxiety, and sleep disturbances in the short term, but not in the long term.
Women also scored higher than men in terms of the MBIs adherence and efficacy of the
intervention. Examining the method used in the study, this paper finds the following
merits: The research used a systematic approach in article selection, and the studies
from the databases in Portuguese and English were included. However, the selection of
only 20 articles for the study may act as a limitation to the generalization of the results
obtained. Exclusion of reviews and books, which was helpful in focusing the study,
might have led to exclusion of wider contextual analysis. The use of secondary data and
the absence of work on the creation of a primary research design weaken the capacity
to identify the main phenomena causing the identified effects. However, the study
cannot be without some limitations; yet, the report it offers is important in highlighting
the availability, cost efficiency, and generalizability of the MBIs in cancer care at different
cancer phases. However, it establishes the requirement for future long-term research,
which will compare the results of long-term interventions, including those including
expenses per client and benefits that would have been, irrespective of gender, thereby
filling an important void of existing psycho-oncology.
Prevost et al. (2021) provide a sample of a mindfulness meditation program in a
naturalistic context with cancer patients and staff and other bystanders. They include
assessment of the wellness, stress, and connectedness improvements resulting from
the program and identify a plan for parameters of future randomized trials. The pilot
study employed a quasi-experimental design in which a pre- and post-intervention
survey was administered with the participants (n = 30, equal in two groups) who
voluntarily attended a total of 12 weekly, 1.5-hour meditation sessions. Participants’
improvement in stress levels, quality of life, mindfulness, empathy, and perceptions of
changes in well-being formed the assessment of outcomes. The conclusion underlined
the possibility of making meditation to increase the individual efficiency, evolve
compassion, and improve the quality of life; the application of “group meditation” as a
concept that can contribute to the formation of togetherness among the participants.
When critiquing the study, it is important to note that its longitudinal scope, as well as
the sampling of the participants (the patients and the medical personnel, as well as the
witnesses), added to its ecological validity. But the study could not be generalized
because of the small and unconventional sample and has a possibility of sample bias.
First, the lack of a control group also limits possibilities of using the results for causal
analysis of the consequences of the intervention. Nevertheless, these limitations were
well understood in the course of the study design; the study demonstrated how to
identify tools and modalities for subsequent randomized trials that would be useful in
extending understanding of how shared meditation can help to narrow gaps between
patients and caregivers and enhance more inclusive ways of attending to suffering.
Fortunately, this area of review had good studies; however, future research may further
its findings by employing a superior sampling of subjects, especially randomized
individuals, and comparing groups more effectively.
In the investigation of Son and Lee (2024), the authors investigate the mindfulness and
emotional regulation effects on self-care competency in cancer patients receiving
chemotherapy. Performed in three facilities of long-term nursing hospitals, the study
employed the Mindfulness Scale, the Korean Version of the Difficulties in Emotion
Regulation Scale, and the Self-As-Care Inventory Scale. As expected, it was shown that
there was a positive correlation between the level of mindfulness and competency with
regard to self-care; however, emotional regulation was shown to have a connection with
the level of mindfulness, but there was no direct effect on competency with self-care.
Each of the findings implied that promoting patients’ mindfulness could improve the
patients’ self-regulatory capacity during treatment. The study has strengths in
methodology in using well-developed scales and a reasonable sample size for statistical
tests, which supports the conclusion derived from the study. Huge potential also has the
lack of inclusive intervention effectiveness across different client contexts; sampling only
hospitals of one country also restrains generality; moreover, there is no long-term
follow-up to clarify further lasting effects of mindfulness promoting self-care
competence. Further, the study does not reveal potential variables that could moderate
the relationship between such variables, for instance, cultural or demographic factors. At
the same time, such an approach used in the present study—identification of
mindfulness as an essential aspect—suggests practical recommendations for the
further enhancement of mindfulness-based interventions to enhance patients’ self-
management during chemotherapy, as a crucial element of cancer survivorship. Thus,
further research opportunities are to consider various populations and examine results
over a longer timeframe.
The work under analysis by D’silva et al. (2024) assesses the effectiveness of a nurse-
led yoga protocol on serum cortisol and psychosocial well-being of newly diagnosed
breast cancer patients. Using a quasi-experimental design, 40 patients (20 intervention,
20 control) with stage II–IV breast cancer, free of metastasis and inflammatory
diseases, were assessed at multiple points: before cycles of chemotherapy, they were
asked about the time before surgery, and two months after surgery. Antecedently and
consequent to surgery, the study indicated relatively reduced serum cortisol levels in the
subjects who underwent the interventional program: pre-surgical (p = 0.021) and two
months post-surgical (p = 0.003). On a similar note, the manifested improvements in the
subjects’ anxiety and/or depression levels during and after the interventional process (p
= 0.001). QL metrics were also better at different levels of treatment that interfered with
chemotherapy regimens and two months after surgery (p=0.001). The work establishes
the feasibility of yoga as an adjunct, non-drug, nursing intervention that could be
incorporated into traditional treatment for breast cancer. However, the research is
weakened by a lack of random selection of participants, a low number of participants,
and a quasi-experimental study design, which causes a weak internal validity and
modest possibilities to make strong generalizations. Furthermore, the targeting of only
one center for participant recruitment is likely to cause potential selection bias.
Therefore, strengths of the study include having multiple points of assessment and a
longitudinal design, which enabled the researchers to establish the extent of the effects
of the intervention in the long run. However, to affirm these discoveries and research the
long-term effects of the nurse-led yoga intervention in cancer care, future studies need
to include larger randomized samples of diverse participants.
2.3. Aim of the study
The aim of this study is to evaluate the level of knowledge of the nurses and their
attitudes towards to using meditation complimenting cancer treatment to improve mental
health of the cancer patient. The present study aims at exploring gaps in knowledge,
attitudes and perceived practitioner competency of oncology nurses related to
meditation with the purpose of developing specific educational initiatives and
interventions that would facilitate implementation of meditation into nursing practices;
hence enhancing holistic care and psychological well-being of cancer patients.
2.4. General Objective:
To evaluate the knowledge and attitudes of nurses towards the therapeutic effects of
meditation in improving the mental health outcomes of cancer patients, with the aim of
enhancing holistic care in oncology nursing.
2.5. Specific Objectives:
To assess the existing level of knowledge among nurses about the therapeutic effects of
meditation on the mental health of cancer patients.
To evaluate nurses' attitudes and perceptions toward integrating meditation as a
complementary therapy in oncology care.
To identify barriers and opportunities for implementing meditation-based interventions in
routine nursing practice for cancer care.
Chapter 3
3. Methodology
Based on the research topic, the best methodology that should be adopted is a mixed-
methods approach. This approach is a mixture of qualitative and quantitative research
approaches, which offer rich information on subject matter (Taherdoost, 2022). The use
of quantitative data means that actual numbers can be obtained to show trends, and
these findings will reveal the areas of limited knowledge among the nurses. On the
other hand, the qualitative approaches aim at explaining the underlying attitudes or
rather perceptions that the nurses have towards the meditation based interventions for
use in the oncology department; information that is essential in the identification of the
barriers and enablers to change.
A questionnaire having structured questions as well as a Likert scale is best suited to
measure knowledge and attitudes for which quantitative methodologies are best suited.
For example, Chacko (2021) shows how quantitative features can be employed in
evaluating the level of knowledge and perceived attitudes of the nursing students
through implementing the descriptive survey research design, which is statistically
quantifiable. In the same vein, Bakrani et al. (2023) stress the role of employing
psychometric tools in assessing knowledge, attitudes, and practices in the healthcare
context because they provide valid and reliable results. Quantitative methods also
enable the researchers to capture broad patterns when it comes to relationships; for
instance, Munir et al. (2022) established that attitudes and practices of the nurses
enhanced after organized educational sessions.
On the other hand, the qualitative methodologies attempt to explore the subjective world
of the nurses. They bring a lot of value when used to tackle issues that are sensitive to
touch with cultural acceptability, self-perception, and perception from other
professionals on the subject of meditation. In their study, they employed the focus group
interviews to understand nursing students’ experiences and perceptions in clinical
settings (Ozan, Akbas, & Karadağ, 2019). Like the study presented in this paper, Doyle
et al. (2020) also point out that nursing knowledge can be advanced using proper
qualitative descriptive studies that describe participants’ perceptions, beliefs, or
experiences in depth, which might be crucial when exploring the oncology nurses’
perceptions or willingness to consider using meditation, which is a complementary
therapy in oncology settings.
As the research is based on a difficult topic, the most appropriate method is the so-
called mixed research, since it combines the quantitative approach, which provides a
wide range of numerical data, with the qualitative approach, which offers close in-depth
analysis of qualitative data. Lim et al. (2020) acknowledge the benefits of integrating
both approaches when investigating clinical problems more effectively. Self-
administered questionnaires using both quantitative cross-sectional surveys and
qualitative face-to-face interviews have been used in the health care field for measuring
knowledge, attitude, and influencing factors and therefore provide a richness of data
that is not found in using one method alone. In the present research, Hashish et al.
(2019) employed a concurrent triangulation design, and its rationale is based on the
concurrent data collection of both quantitative and qualitative data to evaluate
perception and view the factors that influence the patient safety attitude among nursing
students. It also allowed a simultaneous and detailed examination of quantitative
patterns and qualitative data sources.
For this research, the quantitative approach would involve the use of quantitative
surveys to collect data from a large sample of oncology nurses concerning meditation
knowledge & attitudes. This can be followed by emphasis on the quantitative results by
qualitative means such as focus groups or in-depth interviews in an attempt to establish
cultural and contextual end-user impressions. But more importantly, it guarantees
methodological triangulation for producing accurate results as well as identifying
educational interventions and policies to instill meditation practice as a standard
protocol for oncology nurses. Thus, by utilizing both methods, the present research
intends to provide comprehensive insight into the outlined gaps in the awareness and
attitudes toward meditation among the nurses and to advance the mental health support
for the clients with cancer.
3.1. Study design
In this research, the most appropriate method to use is a descriptive, hospital based
cross-sectional survey design. This design allows the assessment of nurses’ knowledge
and attitudes of the therapeutic benefits of meditation, in a specific hospital, at a certain
point in time. This type of research is favored by the nursing science due to its
effectiveness in terms of time required for data collection and opportunity to gather the
information on the defined population at a certain point in time. That is why these
qualities makes them useful in identifying the existing knowledge gaps and attitude of
nurses in health related facilities.
Cross sectional research design is for this purpose one of the most effective ones since
it offers an opportunity to describe current state of knowledge and attitudes in a quite
detail. For example, Alperen and Şahin (2022) employed this approach to assess and
evaluate knowledge and adherence of the nurses relating to evidence-based nursing
they developed the understanding of their competency level and scopes of
improvement. Likewise, Gurung and Ghimire (2020) conducted a descriptive cross-
sectional study to determine knowledge and attitude of the nurses working at teaching
hospital regarding patients rights which establish the findings of this study enhances
understanding professional practice in nursing.
Such as cross-sectional strategy is also exceptionally advantageous for conducting the
hospital-based research. Rahimi (2020) and Yazid et al. (2023) also mentioned such a
study, stating that cross-sectional designs are best suited to the hospital, where the
situation may not allow the use of longitudinal ones. These studies stress the
applicability of data gathering that does not cause the disruption of the hospital
environment. In addition, it also enables a systematic manner of gathering numerical
data by means of questionnaires or like scaled questionnaires. For instance, Guillari et
al., (2020) applied this method in establishing nurses’ knowledge, attitudes, and
practices concerning patient safety, a way of enhancing their training needs.
This approach is particularly helpful to the nursing research since it offers a stringent
analysis of factors that impact on such perceptions including training; culture, and
practicality. For instance, Ünver and Yeniğün (2020) used cross-sectional research
design to measure the attitude of the nurses working in surgical units towards patient
safety; which shows that cross-sectional design is useful in evaluating professional
attitudes and behaviour.
However, in the current study, the descriptive cross-sectional design shall seek to use
structured, self-administered questionnaires with the nurses at Mallavi Hospital. The
questionnaires will contain questions on demographic characteristics, awareness about
meditation, perceived therapeutic role of meditation, and perceived facilitators and
barriers to this type of therapy. Quantitative data collection and analysis methods will be
used to assess strengths and weaknesses of nurses’ knowledge and attitudes.
This methodology is more applicable in the context when the primary aim is to assess
knowledge and practices as of the moment and in this way, to reveal distinct problem
areas without much difficulty. It is cost-friendly, fast and easy to implement especially in
a hospital such as Mallavi Hospital. However, similar works secondary to this in the field
of nursing have also pointed out the usefulness of this paradigm to examine
professional know-ledge and orientation; therefore, it is the best approach to this
research.
3.2. Study location
The study will be a cross-sectional, hospital-based survey conducted in Mallavi
Hospital, which is a government hospital in Mallavi in the northern province of Sri Lanka.
The hospital is under the provincial administration of the Jaffna province of the Sri
Lankan provincial government. The health facility had a bed capacity of 144 beds as of
2010 and is among the biggest hospitals in the area. It is sometimes called the Mallavi
Peripheral Unit or Mallavi District Hospital, which shows that this institution is equipped
with the first and second levels of care because it serves as a medical center for people
who live in the surrounding areas. Mallavi Hospital has a very crucial place in serving its
health care needs, especially the patients suffering from cancer who sometimes need
physiotherapy and chemotherapy, but in most cases maybe they need someone to talk
to and share, or maybe they want to laugh. The institution has a strong implementation
and clinical laboratory where analysis of nurses’ knowledge and attitudes towards the
psychotherapeutic benefits of meditation on the mental health of cancer patients will
benefit from. This is also important with regards to the choice of this hospital, as this
study seeks to explore the role and use of complementary therapies such as meditation
as they apply to rural Sri Lanka and patient care values. This makes Mallavi Hospital an
ideal and suitable place for the research envisaged in this study.
3.3. Sample size
It should however be noted that in this particular study, a sample size will not be
determined in a conventional statistical way. In its place, convenience sampling
technique shall be used to identify the participants. This approach is quite realistic and
effective in that all the available and willing to contribute to data collection during data
collection period in Mallavi Hospital nursing professionals will be included. Convenience
sampling is common in cross-sectional studies conducted in hospitals with aims at
having easy samples from a pool of patients without using complicated techniques. This
method is thus in tune with the study goal of determining the knowledge and attitudes
amongst the nurses and enabled the researcher to gather data in light of the limited
time and resources. Although this approach may reduce generation of theory, it is
suitable for formative studies such as this one that seeks to build initial understandings
of the topic.
3.3.1. Inclusion Criteria:
Registered nurses currently employed at Mallavi Hospital.
Nurses who are directly involved in the care of cancer patients.
Nurses with at least six months of clinical experience in oncology or general nursing.
Nurses who can understand and respond to the study questionnaire in the required
language.
Nurses who voluntarily consent to participate in the study.
3.3.2. Exclusion Criteria:
Nurses on extended leave (e.g., maternity leave, medical leave) during the data
collection period.
Nurses who are exclusively working in administrative roles and are not involved in direct
patient care.
Nursing students or trainees who do not hold a registered nursing position.
Nurses with less than six months of professional experience.
Nurses who decline to participate or withdraw consent during the study.
3.4. Data collecting method
The data for this study will be collected using a structured, self-completed questionnaire
which has both closed and open-ended questions from the nurses working at Mallavi
Hospital. The questionnaire will consist of three sections: self-reported basic
demographic data: age, gender, years of experience, education level, and position,
knowledge testing (questions on the effects of meditation on mental health outcomes of
patients with cancer and an option with multiple choices and Likert markers), and
attitude testing (Likert-marked statements about the inclusion of meditation in oncology
nursing). Relevance and reliability of questionnaires will be tested in front of a small
number of nurses who will provide feedbacks and necessary modifications will be made
regarding the clarity of questions to be posed. The questionnaire will be administered
during shift breaks or at other times that have prior consent that would not interfere with
patient care; the participants will take about 20-30 minutes to complete the
questionnaire and return it inside a sealed envelope to ensure anonymity is maintained.
The researcher will also be present on site and is ready to answer any question
concerning the study. The approach used will guarantee candid and truthful results as
against hired impartial individuals hired in other methods All information that will be
collected will be preserved and used only for analysis to avoid identification of the
candidate and to enhance confidentiality at all times.
3.5. Study instrument
The study tool is a self-developed, structured questionnaire intended to assess the
awareness and perceptions of the nurses to meditation treatment in improving the
psychological status of the cancer patients. It has three main divisions. Section A: User
Profile includes a total of 10 questions that are multiple choice type questions about the
participant details like age, gender, education level, experience, field of work, and if they
have practice or training in meditation. Section B: Knowledge part includes 10 multiple
choice questions which are designed to evaluate the degree of the nurses’ knowledge
about meditation as a tool in mental health, benefits of practicing it for cancer patients,
mindfulness exercises and potential limitations. This section also assesses what is
known concerning the time-span and efficacy of meditation for targeted reference
groups. In the Attitude Section, 5 Likert scale options from ‘Strongly Disagree’ and
‘Strongly Agree’ were used to rate 10 statements addressing the effectiveness of
meditation and the suitability of integrating meditation to nursing with focus in oncology,
and formal training required for implementation of meditation practice into nursing
profession. Finally, to assess the extent to which the Practice Section practices
meditation in patient care, offers resources, educates patients, and collaborate with
other health professionals they have used 5-point Likert scale (Never to Always) across
ten statements – all related to the use of meditation in patient nursing. This systematic
tool ensures that satisfactory data is collected and is also related to the aims of the
study to adequate thoroughness.
3.6. Data management
Concerning data management in this study the following steps will be taken in order to
enhance accuracy, confidentiality and integrity of the data collected. Upon completion
and checking of each questionnaire all questionnaires will be stored in locked cabinets
and back up electronic copies will be stored on password protected media only for the
research team to access. Electronic coding files will be routinely checked for errors or
inconsistencies to ensure maximum accuracy in case data is entered into statistical
software such as SPSS. Participant demographic information, knowledge, attitude and
practice data will be sorted and de-identified to ensure anonymity of respondents. All the
responses obtained using Likert scale will be quantitatively coded as numbers for easy
managerial analysis Any participants who give additional written feedback will have their
responses transcribed and qualitatively analyzed. All responses will be reported in a non
identifiable formula hence we will not be reporting any specific personal observation.
The collected data will be stored according to the policy of institutions for a certain
period and then destroyed after the completion of the given study.
3.7. Data analysis
Data analysis for this study shall use Statistical Package for Social Sciences (SPSS)
version 26, which is well endorsed for research work. Percentage, frequency tables,
mean and standard deviation will be employed in quantitative descriptions of the results
of the socio-demographic data as well as the responses to the knowledge, attitude and
practice questions. The composite scores from the Likert scale responses for attitudes
and practices will be summarized by mean scores and standard deviations, in order to
detect average trends and perceptions. Analytical data will involve chi-square or t-tests
which would be used to determine if there is a correlation between demographic data
and knowledge or attitudes to meditation; years of experience, received training.
Correlation analysis will also be performed to see how nurses’ attitude affects their
reported practice of meditation regarding patients. The results will be described
previously in tables and graphs to enhance interpretation to give the whole picture of the
data with reference to the set objectives of the research.
3.8. Ethical consideration
Ethical considerations for this study will be meticulously addressed to ensure the
protection of participants' rights and adherence to research integrity standards. It shall
be important to get permission from an ethical committee/clearance from the
Sunderland University Ethical Review Board before administering the questionnaires. All
the learners will be provided with detailed information regarding the study’s purpose,
activities, and individual learner rights, including their right to withdraw from research at
any time. It should also be understood that the participants will provide written informed
consent and therefore; are willing volunteers. Confidentiality shall be achieved through
removing identification details from the information to be collected and both the paper
and electronic records. Therefore, to attain the highest ethical standards explitate in the
research process, it will need ethical approval and the above measure.
4. References
Achaliwie, F., Wakefield, A.B. and Mackintosh-Franklin, C. (2023). Does education
improve nurses’ knowledge, attitudes, skills, and practice in relation to pain
management? An integrative review. Pain Management Nursing, 24(3).
doi:https://doi.org/10.1016/j.pmn.2022.12.002.
Ambushe, S.A., Awoke, N., Demissie, B.W. and Tekalign, T. (2023). Holistic Nursing
Care Practice and Associated Factors among Nurses in Public Hospitals of Wolaita
zone, South Ethiopia. BMC Nursing, [online] 22(1). Available at:
https://bmcnurs.biomedcentral.com/articles/10.1186/s12912-023-01517-0.
Aysu ALPEREN and Ayşegül OKSAY ŞAHİN (2022). Investigation of Nurses’
Knowledge and Attitudes About Evidence-Based Nursing: A Descriptive and Cross-
Sectional Study. Turkiye Klinikleri Journal of Nursing Sciences, [online] 14(1), pp.149–
159. doi:https://doi.org/10.5336/nurses.2021-82436.
Bakrani, Z., Estebsari, F., Hosseini, M., Nasiri, M. and Latifi, M. (2023). The
development and psychometric evaluation of nurses’ knowledge, attitude and practice
regarding elder abuse. Working with Older People. doi:https://doi.org/10.1108/wwop-05-
2022-0021.
Biegler, K.A., Alejandro Chaoul, M. and Cohen, L. (2009). Cancer, cognitive impairment,
and meditation. Acta Oncologica, 48(1), pp.18–26.
doi:https://doi.org/10.1080/02841860802415535.
Bryan, S., Zipp, G. and Breitkreuz, D. (2021). The Effects of Mindfulness Meditation and
Gentle Yoga on Spiritual Well-Being in Cancer Survivors: A Pilot Study. Alternative
Therapies in Health and Medicine, [online] 27(3), pp.32–38. Available at:
https://pubmed.ncbi.nlm.nih.gov/33128538/.
Chacko, S.A. (2021). Assessment of Knowledge and Attitude on Palliative Care among
Student Nurses in Selected College of Nursing, New Delhi. International Journal of
Nursing & Midwifery Research, 07(03), pp.36–41.
doi:https://doi.org/10.24321/2455.9318.202024.
De Silva, B.S.S. and Rolls, C. (2011). Attitudes, beliefs, and practices of Sri Lankan
nurses toward cancer pain management: An ethnographic study. Nursing & Health
Sciences, 13(4), pp.419–424. doi:https://doi.org/10.1111/j.1442-2018.2011.00635.x.
Dodgson, J.E. (2021). Critical Analysis: the Often-Missing Step in Conducting Literature
Review Research. Journal of Human Lactation, 37(1), pp.27–32.
doi:https://doi.org/10.1177/0890334420977815.
Doyle, L., McCabe, C., Keogh, B., Brady, A. and McCann, M. (2020). An Overview of
the Qualitative Descriptive Design within Nursing Research. Journal of Research in
Nursing, [online] 25(5), pp.443–455. doi:https://doi.org/10.1177/1744987119880234.
D'silva, F., Kaini, C., Kaje, Arunthejaus, Shetty, P., Souza, C. and Kumar, S. (2024).
Efficacy of a Nurse-led Yoga Intervention on Serum Cortisol and Psychological Health
Outcomes of Patients with Breast Cancer. [online] CXV(3). Available at:
https://www.tnaijournal-nji.com/admin/assets/article/pdf/13460_pdf.pdf.
Durgun Ozan, Y., Duman, M. and Çiçek, Ö. (2019). Nursing Students’ Experiences on
Assessing the Sexuality of Patients: Mixed Method Study. Sexuality and Disability,
37(4), pp.613–623. doi:https://doi.org/10.1007/s11195-019-09567-6.
Edgar, T.W. and Manz, D.O. (2017). Convenience Sampling - an Overview |
ScienceDirect Topics. [online] Sciencedirect. Available at:
https://www.sciencedirect.com/topics/computer-science/convenience-sampling.
Fang, Z. and Fang, Z. (2021). Writing a Literature Review. Semantic Scholar, [online]
pp.126–145. doi:https://doi.org/10.4324/9781003131618-9.
Garrod, B. (2023). What Makes a Good Critical Literature Review Paper? Tourism and
Hospitality, 4(1), pp.141–147. doi:https://doi.org/10.3390/tourhosp4010008.
Golzar, J., Tajik, O. and Noor, S. (2022). Convenience sampling. [online]
ResearchGate. Available at:
https://www.researchgate.net/publication/366390016_Convenience_Sampling.
Gurung, T. and Neupane, S. (2020). Knowledge and Attitude Regarding Patients Right
among Nurses in a Teaching Hospital: A Descriptive Cross-sectional Study. Journal of
Nepal Medical Association, 58(222). doi:https://doi.org/10.31729/jnma.4661.
Hashish, E.A.A., Aljuaid, W. and Almuzaini, O. (2020). Saudi Nursing Students Attitudes
Towards Patient Safety and The Influencing Factors. A Quantitative and Qualitative
study at the College of Nursing-Jeddah. International Journal of Nursing Education and
Research, 8(1), p.53. doi:https://doi.org/10.5958/2454-2660.2020.00011.3.
Henneghan, A.M., Becker, H., Phillips, C. and Kesler, S. (2021). Sustained effects of
mantra meditation compared to music listening on neurocognitive outcomes of breast
cancer survivors: A brief report of a randomized control trial. Journal of Psychosomatic
Research, [online] 150, p.110628. doi:https://doi.org/10.1016/j.jpsychores.2021.110628.
Henoch, I., Danielson, E., Strang, S., Browall, M. and Melin-Johansson, C. (2013).
Training Intervention for Health Care Staff in the Provision of Existential Support to
Patients With Cancer: A Randomized, Controlled Study. Journal of Pain and Symptom
Management, 46(6), pp.785–794.
doi:https://doi.org/10.1016/j.jpainsymman.2013.01.013.
Jheffany bin Yazid, Azliha Minai Rajab, Suzana Yusof and Angga Wilandika (2023).
Assessing Malaysian Nurses’ Knowledge of Blood Transfusion Procedures and
Identifying Knowledge Gaps: A cross-sectional study. Environment-behaviour
proceedings journal, 8(25), pp.225–231. doi:https://doi.org/10.21834/e-bpj.v8i25.4825.
Kim-Soon, N., Abdulmaged, A.I., Mostafa, S.A., Mohammed, M.A., Musbah, F.A., Ali,
R.R. and Geman, O. (2021). A framework for analyzing the relationships between
cancer patient satisfaction, nurse care, patient attitude, and nurse attitude in healthcare
systems. Journal of Ambient Intelligence and Humanized Computing.
doi:https://doi.org/10.1007/s12652-020-02888-x.
Koula, M.J. and Knight, J.M. (2018). Increasing provider awareness of and
recommendations for yoga and meditation classes for cancer patients. Supportive Care
in Cancer, 26(10), pp.3635–3640. doi:https://doi.org/10.1007/s00520-018-4220-3.
Lim, E., Wynaden, D., Baughman, F. and Heslop, K. (2020). Realising the potential of Q
methodology in nursing research. Collegian. [online]
doi:https://doi.org/10.1016/j.colegn.2020.08.004.
Lopez, G., Chaoul, A., Powers-James, C., Spelman, A., Wei, Q., Engle, R., Hashmi, Y.,
Bruera, E. and Cohen, L. (2018). A Pragmatic Evaluation of Symptom Distress After
Group Meditation for Cancer Patients and Caregivers: A Preliminary Report. Journal of
Pain and Symptom Management, 55(5), pp.1321-1326.e1.
doi:https://doi.org/10.1016/j.jpainsymman.2018.01.018.
Martins, G.B., Puziski, A.S., Costa, M.C.C., Alves, R.I. and Santiago, T.G. (2023). The
impact of mindfulness on mental health in cancer patients: an integrative review.
Brazilian Journal of Health Review, 6(5), pp.23592–23601.
doi:https://doi.org/10.34119/bjhrv6n5-415.
Meegoda, L., Fernando, S. and Sivayogan, I. (2022). Perceived Palliative Care Needs
of Cancer Patients, Nurses and Domiciliary Care Providers at a National Cancer
Referral Facility, Sri-Lanka. Journal of Pioneering Medical Sciences, 5(2), 46-50.
[online] doi:https://doi.org/N/A.
Milbury, K., Weathers, S.-P., Durrani, S., Li, Y., Whisenant, M., Li, J., Lim, B., Weinberg,
J.S., Kesler, S.R., Cohen, L. and Bruera, E. (2020). Online Couple-Based Meditation
Intervention for Patients With Primary or Metastatic Brain Tumors and Their Partners:
Results of a Pilot Randomized Controlled Trial. Journal of Pain and Symptom
Management, [online] 59(6), pp.1260–1267.
doi:https://doi.org/10.1016/j.jpainsymman.2020.02.004.
Munir, S., Johnson, J., Smith, A., O'dwyer, R., Masaba, A., Elawad, K., Ahmad, S.,
Abdulla, E., Al Qudah, M. and Phil, M. (2022). Assessing Nurse’s Attitudes and Practice
After participating in a Vaccination Training Program: A Quantitative Study. Middle East
Journal of Nursing, [online] 16(2), pp.3–15.
doi:https://doi.org/10.5742/MEJN2021.9378022.
Narayanan, S., Reddy, A., Lopez, G., Liu, W., Wu, J., Liu, D., Manzano, J., Williams,
J.L., Mallaiah, S., George, M., Amaram, J., Subramaniam, B., Cohen, L. and Bruera, E.
(2020). Randomized Feasibility Study of Meditative Practices in Hospitalized Cancer
Patients. Integrative Cancer Therapies, [online] 19, p.1534735420909903.
doi:https://doi.org/10.1177/1534735420909903.
Niedzwiedz, C.L., Knifton, L., Robb, K.A., Katikireddi, S.V. and Smith, D.J. (2019).
Depression and Anxiety among People Living with and beyond cancer: a Growing
Clinical and Research Priority. BMC Cancer, 19(1). doi:https://doi.org/10.1186/s12885-
019-6181-4.
Parajuli, J.P. (2020). Significance of Literature Review in the Research of Social
Sciences. Journal of Population and Development, 1(1), pp.96–102.
doi:https://doi.org/10.3126/jpd.v1i1.33108.
Park, S., Sato, Y., Takita, Y., Tamura, N., Ninomiya, A., Kosugi, T., Sado, M.,
Nakagawa, A., Takahashi, M., Hayashida, T. and Fujisawa, D. (2020). Mindfulness-
Based Cognitive Therapy for Psychological Distress, Fear of Cancer Recurrence,
Fatigue, Spiritual Well-Being, and Quality of Life in Patients With Breast Cancer—A
Randomized Controlled Trial. Journal of Pain and Symptom Management, [online]
60(2), pp.381–389. doi:https://doi.org/10.1016/j.jpainsymman.2020.02.017.
Paul, J. and Criado, A.R. (2020). The art of writing literature review: What do we know
and what do we need to know? International Business Review, [online] 29(4).
doi:https://doi.org/10.1016/j.ibusrev.2020.101717.
Prevost, V., Clarisse, B., Leconte, A., Delorme, C., Benoit, S. and Tran, T. (2021).
Meditation involving people with cancer, medical staff and witnesses: a pilot study
exploring improvement in wellness and connectedness. BMJ Open, [online] 11(11),
p.e048164. doi:https://doi.org/10.1136/bmjopen-2020-048164.
Prevost, V., Lefevre-Arbogast, S., Leconte, A., Delorme, C., Benoit, S., Tran, T. and
Clarisse, B. (2022). Shared meditation involving cancer patients, health professionals
and third persons is relevant and improves well-being: IMPLIC pilot study. BMC
Complementary Medicine and Therapies, 22(1). doi:https://doi.org/10.1186/s12906-022-
03599-w.
Pubrica.com. (2019). Why is it important to do a literature review in research? [online]
Available at: https://pubrica.com/academy/research/why-is-it-important-to-do-a-
literature-review-in-research/?utm_source=chatgpt.com [Accessed 27 Nov. 2024].
Rahimi, H. (2020). The Effect of Job Nature on Job Adjustment of Nurses in Hospital
Affiliated to Kashan University of Medical Sciences. Journal of Ergonomics, 8(2), pp.17–
25. doi:https://doi.org/10.30699/jergon.8.2.17.
Renner, A., Muller, J. and Theissler, A. (2022). State-of-the-art on writing a literature
review: An overview of types and components. 2022 IEEE Global Engineering
Education Conference (EDUCON).
doi:https://doi.org/10.1109/educon52537.2022.9766503.
Santos, O.P.D., Melly, P., Hilfiker, R., Giacomino, K., Perruchoud, E., Verloo, H. and
Pereira, F. (2022). Effectiveness of Educational Interventions to Increase Skills in
Evidence-Based Practice among Nurses: The EDITcare Systematic Review. Healthcare
(Basel, Switzerland), [online] 10(11), p.2204.
doi:https://doi.org/10.3390/healthcare10112204.
Shapero, B.G., Greenberg, J., Pedrelli, P., de Jong, M. and Desbordes, G. (2019).
Mindfulness-Based Interventions in Psychiatry. FOCUS, [online] 16(1), pp.32–39.
doi:https://doi.org/10.1176/appi.focus.20170039.
Snyder, H. (2019). Literature review as a research methodology: An overview and
guidelines. Journal of Business Research, [online] 104(1), pp.333–339. Available at:
https://www.sciencedirect.com/science/article/pii/S0148296319304564.
Son, S. and Lee, S. (2024). The Effect of Mindfulness and Emotional Regulation on
Self-care Competence Among Cancer Patients Undergoing Chemotherapy. Cancer
Nursing. doi:https://doi.org/10.1097/ncc.0000000000001400.
Taherdoost, H. (2022). What are different research approaches? Comprehensive review
of qualitative, quantitative, and mixed method research, their applications, types, and
limitations. Journal of Management Science & Engineering Research, [online] 5(1),
pp.53–63. doi:https://doi.org/10.30564/jmser.v5i1.4538.
van der Riet, P., Levett-Jones, T. and Aquino-Russell, C. (2018). The effectiveness of
mindfulness meditation for nurses and nursing students: An integrated literature review.
Nurse Education Today, [online] 65, pp.201–211.
doi:https://doi.org/10.1016/j.nedt.2018.03.018.
What Is the Point of a Literature Review, Anyway?! (2020). So, You Have to Write a
Literature Review: A Guided Workbook for Engineers, pp.11–17.
doi:https://doi.org/10.1002/9781119555063.ch2.
Wren, A.A., Shelby, R.A., Soo, M.S., Huysmans, Z., Jarosz, J.A. and Keefe, F.J. (2019).
Preliminary efficacy of a lovingkindness meditation intervention for patients undergoing
biopsy and breast cancer surgery: A randomized controlled pilot study. Supportive Care
in Cancer, 27(9), pp.3583–3592. doi:https://doi.org/10.1007/s00520-019-4657-z.
Zhang, B., Jin, X., Kuang, X., Shen, B., Qiu, D., Peng, J., Chen, E., Dai, X., Chen, X.
and Wong, C.L. (2023). Effects of a Virtual Reality-Based Meditation Intervention on
Anxiety and Depression Among Patients With Acute Leukemia During Induction
Chemotherapy. Cancer Nursing, Publish Ahead of Print.
doi:https://doi.org/10.1097/ncc.0000000000001206.
Zhang, D., Lee, E.K.P., Mak, E.C.W., Ho, C.Y. and Wong, S.Y.S. (2021). Mindfulness-
based interventions: An overall review. British Medical Bulletin, [online] 138(1), pp.41–
57. doi:https://doi.org/10.1093/bmb/ldab005.
5. Appendices
Figure 2: Advance search in PubMed
Figure 3: Advance searching in ScienceDirect
5.1. Participant Information Sheet
Study Title:
Assessing Nurses' Knowledge and Attitudes Towards the Therapeutic Effects of
Meditation in Enhancing Mental Health Outcomes in Cancer Patients
What is the purpose of the study?
The purpose of this study is to understand how much nurses know about meditation and
their attitudes toward using it as a therapy to help cancer patients improve their mental
health. This will help identify gaps in knowledge and attitudes and suggest ways to
better integrate meditation into nursing practices.
Why have I been approached?
You have been approached because you are a registered nurse working at Mallavi
Hospital and may be involved in caring for cancer patients. Your experiences and views
are valuable for understanding how meditation can be used as a complementary
therapy in oncology care.
Who can take part in the study?
Registered nurses currently employed at Mallavi Hospital who have experience in
providing care to cancer patients can take part in the study. If you are not involved in
direct patient care or do not meet the inclusion criteria, you do not need to take part in
this study.
Do I have to take part?
No, participation in this study is entirely voluntary. You are free to decide whether or not
to take part, and your decision will not affect your work or professional relationships in
any way.
What will happen if I don’t want to carry on with the study?
If you decide to withdraw from the study, you can do so at any time without giving a
reason. Any data you have provided up until the point of withdrawal will be securely
destroyed and not used in the study.
What will happen to me if I take part?
If you choose to participate, you will be asked to complete a questionnaire that includes
questions about your knowledge and attitudes toward meditation. This will take
approximately 20-30 minutes. You may also be invited to participate in a follow-up
discussion to explore your views in more detail.
What are the possible disadvantages and risks of taking part?
There are no physical risks involved in this study. However, answering questions about
your professional knowledge and attitudes may cause minor discomfort if you feel
uncertain about the subject. You can skip any question you do not feel comfortable
answering.
What are the possible benefits of taking part?
By participating, you will contribute to research that aims to improve mental health
support for cancer patients through better integration of meditation into nursing care.
This may also lead to better training and educational opportunities for nurses in the
future.
What if something goes wrong?
If you experience any discomfort during the study or have concerns about participating,
you can contact the researcher or supervisor for support. If necessary, you will be
referred to appropriate support services.
Will my information be kept confidential?
Yes, all information you provide will be kept strictly confidential. Your responses will be
anonymized, and no identifiable information will appear in the study’s results or
publications. Data will be securely stored on password-protected systems and
destroyed after the study is complete.
What will happen to the results of the research study?
The findings of this study will be used for academic purposes, such as a dissertation,
and may also be published in nursing or healthcare journals. Participants will not be
identifiable in any publications or presentations of the results.
Who is organizing and funding the research?
This study is being conducted by a student researcher from the University of
Sunderland as part of an academic program.
Who has reviewed the study?
The study has been reviewed and approved by the University of Sunderland Ethics
Committee.
Who should I contact for further information?
For more information, you can contact:
Name: Galloluwe Dilini Suranga Abeygunawardhana
Student no: 239740043
Supervisor name: Dr. L. Senarathne
5.2. Consent Form
Study title:
Participant code: [leave blank on your example]
I am…
I have read and understood the attached study information and, by signing below, I
consent to participate in this study.
I understand that I have the right to withdraw from the study without giving a reason at
any time during the study itself.
I understand that I also have the right to change my mind about participating in the
study for a short period after the study has concluded.
Signed: _____________________________________________________
Print name: ______________________________________________________
(Your name, along with your participant code is important to help match your data from
two questionnaires. It will not be used for any purpose other than this.)
Date: __________________________
Witnessed by: ________________________________________________________
Print name: __________________________________________________________
Date: __________________________
5.3.Questionnaire
SELF- ADMINISTERED QUESTIONNAIRE
Serial No: ………………………. Date: ………………….
Assessing Nurses' Knowledge and Attitudes Towards the
Therapeutic Effects of Meditation in Enhancing Mental Health
Outcomes in Cancer Patients
Questionnaire
ID:....................(For official use only)
SECTION A: SOCIO-DEMOGRAPHIC INFORMATION
1. What is your age?
o A. 20–30 years
o B. 31–40 years
o C. 41–50 years
o D. 51 years and above
2. What is your gender?
o A. Male
o B. Female
o C. Prefer not to say
3. What is your highest level of education?
o A. Diploma
o B. Bachelor's Degree
o C. Master's Degree
o D. Other (Specify)
4. How many years of nursing experience do you have?
o A. Less than 1 year
o B. 1–5 years
o C. 6–10 years
o D. More than 10 years
5. What is your current area of work?
o A. Oncology
o B. General Nursing
o C. Intensive Care Unit (ICU)
o D. Other (Specify)
6. Have you ever received formal training in meditation or mindfulness
techniques?
o A. Yes
o B. No
7. Do you currently provide care to cancer patients?
o A. Yes
o B. No
8. Do you personally practice meditation or mindfulness?
o A. Yes, regularly
o B. Occasionally
o C. Rarely
o D. Never
9. What is your employment status?
o A. Permanent
o B. Contractual
o C. Part-time
o D. Other (Specify)
10.What is your primary language of communication at work?
 A. Tamil
 B. Sinhala
 C. English
 D. Other
SECTION B: Knowledge Section
1. What is meditation primarily known for?
o A. Physical exercise
o B. Stress management and relaxation
o C. Medication substitute
o D. Spiritual practice only
2. What are the benefits of meditation in mental health? (Choose the best
option)
o A. Reduces anxiety and depression
o B. Enhances physical stamina
o C. Improves communication skills
o D. None of the above
3. How does mindfulness meditation benefit cancer patients?
o A. Increases physical endurance
o B. Reduces stress, anxiety, and emotional distress
o C. Cures cancer
o D. Improves memory
4. Which of the following is a key aspect of mindfulness meditation?
o A. Controlling emotions
o B. Focusing on the present moment
o C. Eliminating all thoughts
o D. Enhancing physical strength
5. What is the role of meditation in cancer care?
o A. It is the primary treatment for cancer
o B. It complements medical treatments by improving mental health
o C. It replaces chemotherapy
o D. It has no role in cancer care
6. Can meditation reduce the side effects of cancer treatments like
chemotherapy?
o A. Yes, by reducing anxiety and stress
o B. No, it has no impact on treatment side effects
o C. Only when combined with medication
o D. Not proven scientifically
7. Which mental health outcome is most associated with meditation?
o A. Increased physical activity
o B. Improved emotional well-being
o C. Reduced appetite
o D. Enhanced sleep patterns
8. What is the recommended duration for a mindfulness meditation session to
observe benefits?
o A. 5–10 minutes
o B. 20–30 minutes
o C. 1–2 hours
o D. Over 2 hours
9. Which group of patients is meditation most effective for?
o A. Cancer patients
o B. Patients with cardiovascular issues
o C. Patients with mental health disorders
o D. All of the above
10.Which of the following is a barrier to implementing meditation in cancer
care?
 A. Lack of knowledge among nurses
 B. Limited patient interest
 C. Absence of structured programs
 D. All of the above
Attitude Section (Likert Scale)
Statements Strongly
Disagree
Disagree Neutra
l
Agree Strongly
Agree
1. Meditation is an effective
complementary therapy for
improving mental health
outcomes in cancer patients.
2. Meditation helps reduce
psychological distress such as
anxiety and depression in
cancer patients.
3. Incorporating meditation
into nursing care enhances
holistic patient outcomes.
4. Nurses should recommend
meditation as part of cancer
care.
5. Meditation aligns with the
spiritual and cultural needs of
patients in Sri Lanka.
6. Meditation is suitable for
patients undergoing intensive
cancer treatments such as
chemotherapy or radiation
therapy.
7. Nurses should receive
formal training on the
therapeutic use of meditation.
8. Meditation is a time-efficient
and practical intervention for
routine nursing care.
9. I believe meditation could
positively impact patients'
mental and emotional well-
being.
10. Meditation should be an
integral part of nursing
education and professional
development.
Practice Section (Likert Scale)
Statements Never Rarely Sometimes Ofte
n
Always
1. I recommend meditation or
mindfulness techniques to my
patients.
2. I encourage patients to try
meditation to manage mental health
challenges.
3. I assist patients in practicing
meditation techniques when
appropriate.
4. I provide information or resources
about meditation programs to cancer
patients.
5. I collaborate with other healthcare
professionals to incorporate
meditation into care plans.
6. I actively seek training or
resources to enhance my
understanding of meditation in
oncology care.
7. I educate patients on the mental
health benefits of meditation.
8. I integrate mindfulness or
meditation into my nursing care for
cancer patients.
9. I include meditation as part of
interventions to address cancer
patients’ emotional well-being.
10. I document meditation or
mindfulness activities as part of
nursing interventions in the patient
care plan.
5.3. Gannt chart
Activity September October November December January February
2024 2024 2024 2024 2025 2025
1 2 3 4 1 2 3 4 1 2 3 4 1 2 3 4 1 2 3 4 1 2 3 4
Decide topic
Assess for
feasibility
Literature
review
Preparation of
research
proposal
Developing a
data collection
instrument
Ethical
clearance
Data collection
Data entry
Data analysis
Writing
the
final report
5.4. CASP tool

Sample Research project, done for a uni student

  • 1.
    Assessing Nurses' Knowledgeand Attitudes Towards the Therapeutic Effects of Meditation in Enhancing Mental Health Outcomes in Cancer Patients A research proposal submitted in partial fulfilment of the requirements for the Degree of BSc in Nursing (Top-up)< Font size 12 > by Galloluwe Dilini Suranga Abeygunawardhana Faculty of Health Sciences and Well-Being University of Sunderland NRS303 – Research Proposal 30-11-2024 Supervisor: Dr. L. Senarathne Declaration: I Galloluwe Dilini Suranga Abeygunawardhana confirm that I have read and understood the University regulations concerning plagiarism and that the work contained within this project report is my own work within the meaning of the regulations. Signed: ……………......................................................…………………
  • 2.
    Acknowledgement I am deeplygrateful to [Supervisor’s Name], my research supervisor, for their guidance, feedback, and encouragement throughout this proposal. I would also like to thank the faculty and staff for creating a supportive and enriching learning environment. My heartfelt appreciation goes to my colleagues and friends for their motivation, support, and insightful discussions, which have enhanced my research experience. I am especially thankful to my family for their patience, understanding, and unwavering support during this journey. Lastly, I extend my gratitude to [Funding Body/Organization] for providing the financial support necessary for this research. Thank you all for your contributions and support. Galloluwe Dilini Suranga Abeygunawardhana
  • 3.
    Abstract Background: Cancer patients frequentlyexperience psychological challenges, including stress, anxiety, and depression, due to their diagnosis and treatment. Meditation has demonstrated effectiveness in reducing these mental health burdens and enhancing emotional and spiritual well-being. Nurses play a pivotal role in delivering complementary therapies like meditation, but challenges such as limited knowledge, negative attitudes, and inadequate training hinder its implementation. In Sri Lanka, research on nurses' knowledge and attitudes regarding meditation is sparse, creating a significant gap in understanding its potential in oncology care. Objective: To evaluate nurses' knowledge and attitudes toward the therapeutic effects of meditation in improving mental health outcomes in cancer patients, with the goal of identifying gaps and proposing interventions to enhance holistic oncology care. Methodology: The study will employ a descriptive hospital-based cross-sectional design at Mallavi Hospital in Sri Lanka. Data will be collected using a structured questionnaire comprising demographic information, knowledge, attitudes, and practices, with responses measured on a Likert scale. Statistical analysis will be performed using SPSS version 26 to identify trends, correlations, and key findings. Ethical approval will be obtained, ensuring confidentiality and voluntary participation. Conclusion: This research will address gaps in nurses’ knowledge and attitudes regarding meditation, providing insights for educational programs and policy initiatives to integrate meditation into oncology nursing. It aims to promote mental health, improve holistic care, and support cancer patients’ psychological well-being.
  • 4.
    Keywords: Meditation, Oncology Nursing,Cancer Care, Mental Health, Nurses’ Knowledge, Nurses’ Attitudes, Complementary Therapy, Sri Lanka
  • 5.
    Table of Contents Chapter1.........................................................................................................................1 1. Introduction...............................................................................................................1 1.1. Background.........................................................................................................2 1.2. Justification.........................................................................................................3 1.3. Significance of the study.....................................................................................4 1.4. Research question.................................................................................................5 1.5. Overview of the study.........................................................................................5 Chapter 2.........................................................................................................................7 2. Literature Review......................................................................................................7 2.1. Searching strategy.................................................................................................8 2.2. Critical Analysis of Literature.............................................................................13 2.3. Aim of the study................................................................................................20 2.4. General Objective:............................................................................................20 2.5. Specific Objectives:...........................................................................................20 Chapter 3.......................................................................................................................21 3. Methodology...........................................................................................................21 3.1. Study design.....................................................................................................23 3.2. Study location...................................................................................................24 3.3. Sample size......................................................................................................25 3.3.1. Inclusion Criteria:...........................................................................................25 3.3.2. Exclusion Criteria:..........................................................................................25 3.4. Data collecting method.....................................................................................26 3.5. Study instrument...............................................................................................26 3.6. Data management............................................................................................27
  • 6.
    3.7. Data analysis....................................................................................................28 3.8.Ethical consideration.........................................................................................28 4. References..............................................................................................................29 5. Appendices.............................................................................................................36 5.1. Participant Information Sheet............................................................................37 5.2. Consent Form...................................................................................................40 5.3.Questionnaire.......................................................................................................41 5.3. Gannt chart.......................................................................................................48 5.4. CASP tool.........................................................................................................50 List of Figures Figure 1: PRISMA flow chart..........................................................................................17 Figure 2: Advance search in PubMed............................................................................40 Figure 3: Advance searching in ScienceDirect...............................................................40 List of Tables Figure 1: PRISMA flow chart..........................................................................................17 Figure 2: Advance search in PubMed............................................................................40 Figure 3: Advance searching in ScienceDirect...............................................................40
  • 7.
    Chapter 1 1. Introduction Patientswith mental health issues are fairly standard among cancer patients because of the psychological stress generated from the cancer and its therapy (Lewthwaite et al., 2023). Meditation as a form of treatment has demonstrated significant improvement in the above indicated difficulties; leading to decrease stress, anxiety, and improvement of overall emotional health (Biegler et al., 2009). Perceiving and appraising therapeutic activities, such as meditation, can indeed only be efficiently done by health care professionals like nurses (Niedzwiedz et al., 2019). It has been established that knowledge enhancement thinking about complementary therapy approaches like meditation for patient care is possible when nurses receive adequate education and training (Santos et al., 2022). Koula and Knight (2018) for instance found that it is possible to enhance healthcare providers’ recommendations of yoga and meditation by conducting brief educational sessions to support this practice, this illustrates that it possible to support future educational efforts to make recommendations of yoga and meditation (Koula & Knight, 2018). Equally, in the context of oncology nursing, the use of mindfulness and meditation has been deemed therapeutic as it has been associated with the decrease in the intensity of symptoms reported by patients such as anxiety and fatigue (Lopez et al., 2018). However, knowledge, attitudes, practice, and perceptions about WHP programs remain as challenges including limited awareness, negative attitude, and inadequate training. For example, nurses can have low self-estimates in critical issues, for example, existential and psychological attitudes of patients because of unp preparation (Henoch et al., 2013). Thus, the need for doing more in order to close the gaps in the nursing education and their perceptions of the benefits of meditation to enhance the therapeutic use for patients diagnosed with cancer. This proposal overall objective is to evaluate the existing level of awareness as well as the perception of nurses toward the publish of meditation with the view of promoting mental health among patients with cancer. In this way, the research aims at defining
  • 8.
    best practices andchallenges the author is likely to encounter when introducing meditation to routine oncology nursing practice with the view of enhancing patient care practice outcomes. 1.1. Background This paper points out that meditation is an important technique to combat mental health issues complicating the cancer patient’s experience (Shapero et al., 2019). It helps to decrease such psychological parameters as psychological strain, anxiety, and depression and at the same time increase such essential aspects as emotional and spiritual. Another study revealed that incorporating mindfulness elements and other methods, including loving-kindness meditation, has helped in bringing down the pain, anxiety, and fatigue levels of cancer patients and thus enhancing their quality of life (Wren et al., 2019). Mindfulness, also supplemented with gentle yoga, has also added increased benefit, as Farber et al. (2017) and Bryan et al. (2020) have shown that cancer survivors find spiritual well-being, fitness, and stress level enhanced. Meditation delivered through virtual reality has also been equally effective at reducing anxiety and enhancing the quality of life of patients who were receiving chemotherapy (Zhang et al., 2023). Mantra meditation and mindfulness-based cognitive therapy can hold the promise of sustained cognition improvements and the decrease in the fear of cancer recurrence so that patients’ mental health and quality of life will be improved. For the effective inclusion of meditation in cancer care, there is the need for the engagement of the formal caregivers, particularly the nurses whose perception of such remedies will determine practice (Prevost et al., 2022). But according to the research, the lack of regular training and low level of awareness among nurses often prevents them from using the meditation therapies (Achaliwie, Wakefield, and Mackintosh- Franklin, 2023). Previous studies have pointed out the effectiveness of brief educational presentations to promote improvement in healthcare providers’ knowledge about and recommendation of meditation. For instance, training aimed at the development of mindful approaches enhanced the self-efficacy regarding the psychological care of the nurses, as well as their didactic skills (Narayanan et al., 2020). Further, couple-based meditation
  • 9.
    interventions demonstrate thatHCPs with mindfulness backgrounds can help instruct candidate patients and their loved ones regarding emotional revealing and decrease- symptom processes that are helpful for both the client and the carer (Milbury et al., 2020). Nevertheless, there are challenges like the absence of well-defined structured training and time constraints. Visions speak to the significance of specific educational campaigns to improve nurses’ knowledge and perception of meditation as the treatment method (Bryan et al., 2020). 1.2. Justification Cancer patients have compromised quality of life due to psychologic morbidity such as anxiety and stress, as well as depression (Niedzwiedz et al., 2019). Guided meditation has been advocated for as a way of treating these mental health challenges ((Zhang et al., 2023, p. 1189). Nevertheless, the implementation of meditation into patient-centered care more or less relies on health care professionals, and especially nurses since they act as key care deliverers. It is important to identify the current knowledge and self- assignment of nurses to use meditations with therapeutic effects because this information is lacking, (Levett-Jones & Aquino-Russell, 2018). In Sri lanka studies have been mostly in the area of knowledge and attitudes of Nurse towards Cancer Pain management and palliative care. For instance, Qualitative research by De Silva and Rolls (2011) involved ethnographic study that describe experiences and practice of nurses in cancer pain management: Deficient resources and training (De Silva & Rolls, 2011). Likewise, Meegoda et al., 2015 focused on the assessment of cancer patient’s perceived palliative care needs regarding practice knowledge deficit and the need for more rigorous educational programs for nurses and domiciliary care providers. Furthermore, a survey of nurses being involved in palliative care also reported lower attitude scores relative to developed countries reflected the critical need to enhance palliative care (Meegoda, Fernando, and Sivayogan, 2022) However, these studies have left a significant research gap as far as the knowledge and attitude of the nurses on the use of meditation as an actual therapeutic technique or tool for improving mental health of cancer patients. Closing this gap is crucial since nurses’
  • 10.
    perceptions and understandinghave a tremendous impact on application and efficiency of the embraced meditational approaches in practice area. Thus, the following pieces of comparative research were conducted in order to provide objectives and guide the generation of specific educational programs and policies for Sri Lanka which would help to adopt meditation into the ordinary oncology nursing practice. These are major endeavors that should facilitate a better understanding of the comprehensive management of the cancer patient in an effort to provide better physical and psychological quality of life for these patients. 1.3. Significance of the study The advantages of carrying out this study include improved patient satisfaction, higher- quality treatment, and more effective patient care along the continuum. Meditation has also been reported to alleviate psychological afflictions, anxiety, and depression in clientele with cancer, and thus availing knowledge and skills relating to these therapies to nurses improves mental health-related outcomes (Narayanan et al., 2020). However, there are still some gaps of knowledge on the part of the nurses toward the use of meditation for therapy with cancer patients in oncology nursing, especially in countries like Sri Lanka, where there are limited studies done on complementary therapies in oncology nursing (Thapa et al., 2023). To this end, this study intends to fill such gaps and promote more inclusion of affordable, non-pharmacological treatments such as meditation, which are consistent with palliative care since they meet patients’ psychological and spiritual needs as suggested by Poletti et al. (2019). Also, meditation fits well in the Sri Lankan culture where spiritual healings are embraced, thus making it acceptable in practice and, more importantly, providing the opportunity to provide care consistent with the patients cultural beliefs while at the same time building the capabilities of the nurses in the process (Hedenstrom et al., 2021). This research will also provide direction regarding the formulation of policies and training programs to support organizational efforts in incorporating the practice of meditation as a routine part of standard oncology treatment to enhance the well-being of patients and decrease expenditure in the long run (Altarawneh et al., 2023). In doing so, this study closes research gaps and thereby enriches the further development of oncology nursing practices in the given region and internationally.
  • 11.
    1.4. Research question "Whatare the levels of knowledge and attitudes among nurses regarding the therapeutic effects of meditation in enhancing the mental health outcomes of cancer patients?" 1.5. Overview of the study The psychological problems that patients undergoing chemotherapy or radiotherapy experience include anxiety, depression and stress and meditation has been stated to lower these problems as it relieves psychological pressure and enhances spiritual health (Lewthwaite, et al., 2023; Biegler, et al., 2009). Since nursing personnel is involved in the delivery of complementary therapies such as meditation to patients with cancer, these studies highlighted knowledge deficit, negative attitude and inadequate training as barriers to the practice (Henoch et al., 2013; Niedzwiedz et al., 2019). Research has shown that education interventions increase the use of meditation by healthcare providers and improve patients’ outcome, such as intervene based on mindfulness results in increased nurse’s effectiveness in addressing patients’ psychological needs (Koula, & Knight, 2018; Narayanan et al., 2020). In Sri Lanka, previous work in the area of knowledge and attitude assessment among nurses has been limited to main areas of the clinical practice including palliative care and pain management having gaps in both training and facilities available for nurses. Nevertheless, to the best of the author’s knowledge, no previous study has examined meditation as an application to enhance the mental health of patients diagnosed with cancer. Filling this gap is important because the spiritual dimension is well accepted in Sri Lanka and patients would benefit from enhanced mental well-being and from care that resonates with community values, as may be delivered by meditating (Hedenstrom et al., 2021). The purpose of this research is to assess the nurses’ knowledge and perceptions of meditation in order to design specific educational interventions and policies in order to incorporate meditation into usual care of oncology and enhancing patient care_sparse care outcomes in cancer patients and decreased healthcare costs (Poletti et al., 2019). Finally, the research aims at enriching oncology nursing practice through applying meditation as economically feasible and culturally appropriate strategy
  • 12.
    for strengthening psychologicalwell-being and cancer related quality of life for Sri Lankan patients.
  • 13.
    Chapter 2 2. LiteratureReview Literature review as a concept is defined as the process of systematically identifying, critically evaluating, and making sense of the published body of literature for a particular research inquiry. Its chief goals are to review and analyze existing information and knowledge resources to give and get ideas, to define tendencies, and to look for voids in the given area of research. As a major component of any research undertakings, literature reviews can be conducted as individual study or as part of the broader research projects including theses and dissertations. Through the integration of the previous research, literature reviews provide an understanding of what has been done previously by different researchers and allows to place the research within the existing scholarly discussion (Garrod 2023; Paul & Criado 2020). First, it also focuses on the gaps found in the literature, which lets the researchers examine the untouched issues and help in developing the topic (Renner et al., 2022). A general review of the literature in any research study can in fact assume a number of functions. Firstly, it gives a background of a study by anchoring it in the literature. This process allows researchers to extend the previous research and prevents the work duplication while strengthening the credibility of the study objectives (Snyder, 2019). Second, the process of literature review is very important in the evaluation criteria of research gaps by contributing towards providing reasons for the identification of certain issues which needs more research work. It helps to guard against the tendency for new work to simply reiterate previous findings and does not pose fresh questions (Chigbu et al., 2023). Moreover, a proper bibliographic analysis contributes to the improvement of general research approach since theoretical and methodological fundamentals help in creation of a rather engaging and scientifically sturdily constructed study (Dodgson, 2021). It also enhances the quality and reliability of scientific research by making the present study anchored on critical and comprehensive review of past research, which makes the study reliable, valid and relevant (Garrod, 2023). Finally, a literature review assists with
  • 14.
    argumentation when thecurrent and previous research is combined alongside an identifiable, coherent narrative; in this manner, different researchers assist in creating persuasive cases that influence the audience (Berdanier & Lenart, 2020). Last but not the least, literature review is an important element in any research, as it not only lays the base of research work across academics, but also directs the subsequent research works. It lets researchers analyze and judge the existing stock of knowledge, and delineate relevant research questions. First, a literature review builds the quality of research by integrating previous studies and offering theoretical information Second, literature review guarantees the relevance and significance of the research for academic community. 2.1. Searching strategy This paper aims to provide a detailed, step-by-step explanation of PICO, a framework frequently applied in evidence-based practice to develop clear clinical questions and to conduct a search for literature. It comprises four elements: Meanwhile, Population/Problem (P) identifies the people or issue under investigation, the intervention (I), which is the remedy or procedure under examination; Comparison (C), which is an alternative to the treatment; and Outcome (O), which refers to the desired effect of the treatment (Huang et al., 2006). Regarding the PICO framework for the research topic: “The impact of knowledge and attitude of oncology nurses toward the therapeutic effects of meditation to improve the mental health of patients with cancer.” Element Description Population Nurses working in oncology settings who provide care to cancer patients. Intervention Educational interventions and mindfulness training programs to improve nurses’ knowledge and attitudes toward meditation. Comparison Nurses without specific training or education on the therapeutic effects of meditation. Outcome Improved knowledge, positive attitudes, and increased application of meditation for cancer patients to enhance mental health outcomes.
  • 15.
    Table 1: PICOTable for Research Applying the PICO framework ensures that the formulated research question and question are unambiguous and guide the appropriating literature search in order to identify the relevant evidence pertinent to each component of the framework. For example, search terms like Oncology Nursing for population that has been on a study, Mindfulness Training for the intervention that a research has carried out and Mental Health Outcome for the result of that specific study. It organizes the process of collecting evidence on how educational changes affect the understanding and use of meditation in nursing in cancer care, and the application of useful strategies that can help improve patient benefits and refine nursing practices. Boolean operators are essential employed in database searches to help the researcher structure his/her search in order to receive more suitable results. These operators can be used to establish the degree of connection between search terms which makes it possible to perform both high and low level searches depending of the condition that the research is undergoing. In the case of the research topic, Assessing Nurses’ Knowledge and Attitudes Towards the Therapeutic Effects of Meditation in Enhancing Mental Health Outcomes in Cancer Patients the use of Boolean operators may go a long way in increasing the efficiency of the search process while at the same time increasing the accuracy of the results obtained from the search. This section elucidates the basic form of Boolean operators and these include the AND operator, OR operator, and Not operator. The AND operator brings the number of keywords down by insisting that all the terms included in the search appear in the obtained articles. For instance, if the tests are “nurses”, “meditation”, “mental health”, you will get articles that contain all of them. However, the OR operator extends the searching by making the articles include any of the mentioned terms. For example, if my search is “nurses” “healthcare providers” or “oncology staff”, the data search will better present articles with any of these terms. The NOT operator is also used to exclude certain terms from a search, such as meditation NOT yoga, so it will not include articles containing the word yoga but will only focus on the meditation.
  • 16.
    To search forthe exact phrase one uses quotation marks (“”) around the desired searched phrase for instance, (“therapeutic effects of meditation”). Parenthesis () works for grouping of terms or, where you have to use multiple operators in a query, where the example is (“meditation” OR “mindfulness”) AND “nurses”. Below is a simple table illustrating the usage of Boolean operators: Operator Function Example AND Retrieves articles with all terms. "nurses" AND "meditation" OR Retrieves articles with any of the terms. "nurses" OR "healthcare providers" NOT Excludes specific terms. "meditation" NOT "yoga" Quotation Marks Searches for exact phrases. "therapeutic effects of meditation" Parentheses () Groups terms for complex searches. ("meditation" OR "mindfulness") Wildcard (*) Searches for variations of a word. "meditat*" Table 2: Boolean Operators Table for Searching Research Articles from For the research topic, example search strategies for different databases might include the following:  PubMed: ("nurses" AND "meditation") AND ("mental health" OR "emotional health") AND ("cancer patients")  ScienceDirect: ("nurses" OR "oncology nurses") AND ("meditation" OR "mindfulness") AND ("mental health outcomes" NOT "yoga")  CINAHL/MEDLINE: ("nurses" AND "knowledge" AND "attitudes") AND ("meditation" OR "mindfulness practices") AND ("cancer" AND "mental health")  Applying Boolean operators assist in narrowing down the search to get to only relevant studies excluding the material that is not relevant. This approach
  • 17.
    guarantees efficient gatheringof evidence to the study question on knowledge and attitude of nurses to mediation and its impact on the mental health of cancer patients. This saves time and makes sure that the topic under consideration has been under review by other scholars in the literature received. The inclusion and exclusion criteria ensure the selection of relevant and high-quality studies for secondary data research. Below is a table outlining the criteria for selecting literature for the study on "Assessing Nurses' Knowledge and Attitudes Towards the Therapeutic Effects of Meditation in Enhancing Mental Health Outcomes in Cancer Patients." Category Inclusion Criteria Exclusion Criteria Publication Type Peer-reviewed articles, systematic reviews, meta- analyses, and original research studies. Editorials, commentaries, conference abstracts, and non- peer-reviewed articles. Research Type Quantitative, qualitative, or mixed-methods research related to the study topic. Studies not addressing meditation, nursing knowledge, or mental health outcomes. Population Nurses involved in oncology or mental health care and cancer patients. Studies focusing on non-healthcare professionals or populations not related to cancer care. Intervention Studies involving meditation, mindfulness, or similar therapeutic practices. Studies not involving meditation or focusing only on pharmacological interventions. Time Period Studies published between 2013 and 2024. Studies published before 2013. Language Articles published in English. Articles published in languages other than English. Published Fully published studies available in full-text format. Unpublished studies, incomplete manuscripts, or studies without full- text access.
  • 18.
    Table 3: Inclusionand Exclusion Criteria for Selection of Literature Due to the use of a systematic approach in selecting studies that informed the identified research question “Assessing Nurses’ Knowledge and Attitudes Towards the Therapeutic Effects of Meditation in Enhancing Mental Health Outcomes in Cancer Patients,” the PRISMA framework was used in the current study. Therefore, in the identification stage, the overall literature search was done using such databases as PubMed, ScienceDirect, and CINAHL/MEDLINE. To this end, relevant and effective filters were included in the search field by using Boolean operators, comprising of the words like: ‘nurses’, ‘meditation’, ‘mental health outcomes’, ‘oncology care’, ‘knowledge’, ‘attitudes’. A preliminary search in PubMed gave 820 hits, Science Direct 520 and CINAHL/MEDLINE 360 yielding a total of 1700 articles. While screening, the papers were crossed checked to remove a total of 322 papers that were duplicates leaving 1,320 unique papers. The articles identified here were first filtered on the basis of the title and abstract for their relevance to the research area. Out of them 980 articles were inadmissible as they do not fit the research criteria and the remaining 340 articles were considered for further comparison. During the eligibility stage 340 full texts were screened to decide whether to include them in the systematic review based on the specific criteria of inclusion and exclusion. Articles were excluded for several reasons: There was no attention paid to either nurses or cancer care in 120 articles, 95 did not include the approach of meditation/mindfulness, and 85 did not calculate mental health. These-cigarettes*. Despite this rigorous review, the following was able to be made: Excluding the articles, the final list showed that four articles match all the inclusion criteria that had been set. The final selection of the articles was made to comprise four articles closely connected with the research question. In these studies, some points of nurses’ practical and attitudinal knowledge surrounding meditation as a therapy treatment were discussed. The finalized studies included: Removing a confounding effect, the following articles were identified: (1) attitude toward meditation before and after mindfulness training for oncology nurses; (2) examination of the effectiveness of meditation intervention
  • 19.
    programmes for oncologynurses in decreasing patient anxiety and enhancing the quality of care; (3) review of the current knowledge that oncology nurses have about meditation for managing mental health of cancer patients; and (4) awareness of cultural perceptions in using meditation in onc Adopting the PRISMA framework helped to make the overall procedure of searching and filtering the studies quite structured. From the initial sample of 1,700 articles, the final choice of four studies allowed accessing the highest-quality data that would be relevant to the formulated research questions. This approach was important to include relevant and pertinent studies with regards to the objectives of the research in measuring attitude and knowledge of nurses in relation to meditation and its impact to cancer patient’s psychological well-being. 2.2. Critical Analysis of Literature Authors and Year Research Aim Sample Size Method Results Martins et al. (2023) To investigate the impact of Mindfulness- Based Interventions (MBIs) on mental health outcomes in cancer patients, focusing on short- and long-term effects. 20 articles from 105 publications Integrative review of studies from 2018-2023, sourced from PubMed in Portuguese and English. MBIs were effective in reducing anxiety, depression, and improving sleep quality in the short term but showed diminished long-term efficacy. Women exhibited higher adherence and efficacy. Study emphasized the accessibility and cost-effectiveness of MBIs but highlighted
  • 20.
    the need forlong- term research. Prevost et al. (2021) To evaluate the effects of a mindfulness meditation program on wellness, stress management, and connectedness in an open setting involving cancer patients, medical staff, and witnesses. 30 participants (2 groups of 15) Non- randomized pre- and post- intervention survey design with 12 weekly 1.5-hour meditation sessions. Meditation improved stress reduction, empathy, quality of life, and connectedness. The study’s longitudinal approach added ecological validity, but its small, non- randomized sample and absence of a control group limited generalizability and causal inferences. Strengthened future randomized study designs. Son and Lee (2024) To examine the effect of mindfulness and emotional regulation on self- care competence among cancer patients undergoing chemotherapy. 106 patients Data collected from three long- term nursing hospitals using validated scales for mindfulness, emotion regulation, and self-care. Mindfulness significantly correlated with improved self-care competence. Emotional regulation related to mindfulness but did not directly impact self-care competence. Strengths included a
  • 21.
    reasonable sample size andvalidated scales. Weaknesses were single-country focus, lack of longitudinal follow- up, and limited exploration of moderating variables. D'silva et al. (2024) To evaluate the effect of a nurse- led yoga intervention on serum cortisol and psychological health outcomes in newly diagnosed breast cancer patients. 40 patients (20 intervention, 20 control) Quasi- experimental design with assessments at various treatment stages (before chemotherapy cycles, surgery, and post- surgery). Yoga reduced serum cortisol levels (p=0.021 pre- surgery, p=0.003 post-surgery) and improved anxiety, depression, and quality of life metrics at multiple points. Limitations included a small sample size, quasi-experimental design, and single- center recruitment. Strengths were longitudinal assessments and robust evidence of intervention effects. Table 4: Summary of the literature
  • 23.
    Figure 1: PRISMAflow chart Records identified from*: PubMed n= 820 ScienceDirect= 520 CINAHL/ MEDLINE= 360 Total- 1700 Records removed before screening: Duplicate records removed (n = 322) Records marked as ineligible by automation tools (n = 15) Records removed for other reasons (n = 1320 ) Records screened by title and abstract (n = 980) Records excluded** (n = 340) Reports sought for retrieval (n = 100) Reports not retrieved (n = 50) Reports assessed for eligibility (n = 25) 1. to understand and unable to translate articles (n = 40) 2. Repeated information (n = 25) 3. Insufficient information for an accurate assessment (n = 8) 4. Results are not relevant (n = 5) 5. Editorials, letters, conference abstracts and opinion pieces (n = 2) Studies included in review (n = 4 ) Identification of studies via databases and registers Identification Screening Included
  • 24.
    Martins et al.(2023) review paper aims at summarizing the effectiveness of Mindfulness-Based Interventions (MBIs) concerning the improvement of psychological states in cancer patients with a special emphasis on the role of MBIs in decreasing symptoms of depression and anxiety. Integrative review methodology was applied after screening 105 publications between 2018 and 2023; they identified 20 articles to assess short-term and long-term consequences and feasibility and acceptance, mainly over internet-based delivery for patients with limited face-to-face contact with a therapist. The findings of the trials showed that MBIs were beneficial in alleviating or preventing depression, anxiety, and sleep disturbances in the short term, but not in the long term. Women also scored higher than men in terms of the MBIs adherence and efficacy of the intervention. Examining the method used in the study, this paper finds the following merits: The research used a systematic approach in article selection, and the studies from the databases in Portuguese and English were included. However, the selection of only 20 articles for the study may act as a limitation to the generalization of the results obtained. Exclusion of reviews and books, which was helpful in focusing the study, might have led to exclusion of wider contextual analysis. The use of secondary data and the absence of work on the creation of a primary research design weaken the capacity to identify the main phenomena causing the identified effects. However, the study cannot be without some limitations; yet, the report it offers is important in highlighting the availability, cost efficiency, and generalizability of the MBIs in cancer care at different cancer phases. However, it establishes the requirement for future long-term research, which will compare the results of long-term interventions, including those including expenses per client and benefits that would have been, irrespective of gender, thereby filling an important void of existing psycho-oncology. Prevost et al. (2021) provide a sample of a mindfulness meditation program in a naturalistic context with cancer patients and staff and other bystanders. They include assessment of the wellness, stress, and connectedness improvements resulting from the program and identify a plan for parameters of future randomized trials. The pilot study employed a quasi-experimental design in which a pre- and post-intervention survey was administered with the participants (n = 30, equal in two groups) who voluntarily attended a total of 12 weekly, 1.5-hour meditation sessions. Participants’
  • 25.
    improvement in stresslevels, quality of life, mindfulness, empathy, and perceptions of changes in well-being formed the assessment of outcomes. The conclusion underlined the possibility of making meditation to increase the individual efficiency, evolve compassion, and improve the quality of life; the application of “group meditation” as a concept that can contribute to the formation of togetherness among the participants. When critiquing the study, it is important to note that its longitudinal scope, as well as the sampling of the participants (the patients and the medical personnel, as well as the witnesses), added to its ecological validity. But the study could not be generalized because of the small and unconventional sample and has a possibility of sample bias. First, the lack of a control group also limits possibilities of using the results for causal analysis of the consequences of the intervention. Nevertheless, these limitations were well understood in the course of the study design; the study demonstrated how to identify tools and modalities for subsequent randomized trials that would be useful in extending understanding of how shared meditation can help to narrow gaps between patients and caregivers and enhance more inclusive ways of attending to suffering. Fortunately, this area of review had good studies; however, future research may further its findings by employing a superior sampling of subjects, especially randomized individuals, and comparing groups more effectively. In the investigation of Son and Lee (2024), the authors investigate the mindfulness and emotional regulation effects on self-care competency in cancer patients receiving chemotherapy. Performed in three facilities of long-term nursing hospitals, the study employed the Mindfulness Scale, the Korean Version of the Difficulties in Emotion Regulation Scale, and the Self-As-Care Inventory Scale. As expected, it was shown that there was a positive correlation between the level of mindfulness and competency with regard to self-care; however, emotional regulation was shown to have a connection with the level of mindfulness, but there was no direct effect on competency with self-care. Each of the findings implied that promoting patients’ mindfulness could improve the patients’ self-regulatory capacity during treatment. The study has strengths in methodology in using well-developed scales and a reasonable sample size for statistical tests, which supports the conclusion derived from the study. Huge potential also has the lack of inclusive intervention effectiveness across different client contexts; sampling only
  • 26.
    hospitals of onecountry also restrains generality; moreover, there is no long-term follow-up to clarify further lasting effects of mindfulness promoting self-care competence. Further, the study does not reveal potential variables that could moderate the relationship between such variables, for instance, cultural or demographic factors. At the same time, such an approach used in the present study—identification of mindfulness as an essential aspect—suggests practical recommendations for the further enhancement of mindfulness-based interventions to enhance patients’ self- management during chemotherapy, as a crucial element of cancer survivorship. Thus, further research opportunities are to consider various populations and examine results over a longer timeframe. The work under analysis by D’silva et al. (2024) assesses the effectiveness of a nurse- led yoga protocol on serum cortisol and psychosocial well-being of newly diagnosed breast cancer patients. Using a quasi-experimental design, 40 patients (20 intervention, 20 control) with stage II–IV breast cancer, free of metastasis and inflammatory diseases, were assessed at multiple points: before cycles of chemotherapy, they were asked about the time before surgery, and two months after surgery. Antecedently and consequent to surgery, the study indicated relatively reduced serum cortisol levels in the subjects who underwent the interventional program: pre-surgical (p = 0.021) and two months post-surgical (p = 0.003). On a similar note, the manifested improvements in the subjects’ anxiety and/or depression levels during and after the interventional process (p = 0.001). QL metrics were also better at different levels of treatment that interfered with chemotherapy regimens and two months after surgery (p=0.001). The work establishes the feasibility of yoga as an adjunct, non-drug, nursing intervention that could be incorporated into traditional treatment for breast cancer. However, the research is weakened by a lack of random selection of participants, a low number of participants, and a quasi-experimental study design, which causes a weak internal validity and modest possibilities to make strong generalizations. Furthermore, the targeting of only one center for participant recruitment is likely to cause potential selection bias. Therefore, strengths of the study include having multiple points of assessment and a longitudinal design, which enabled the researchers to establish the extent of the effects of the intervention in the long run. However, to affirm these discoveries and research the
  • 27.
    long-term effects ofthe nurse-led yoga intervention in cancer care, future studies need to include larger randomized samples of diverse participants. 2.3. Aim of the study The aim of this study is to evaluate the level of knowledge of the nurses and their attitudes towards to using meditation complimenting cancer treatment to improve mental health of the cancer patient. The present study aims at exploring gaps in knowledge, attitudes and perceived practitioner competency of oncology nurses related to meditation with the purpose of developing specific educational initiatives and interventions that would facilitate implementation of meditation into nursing practices; hence enhancing holistic care and psychological well-being of cancer patients. 2.4. General Objective: To evaluate the knowledge and attitudes of nurses towards the therapeutic effects of meditation in improving the mental health outcomes of cancer patients, with the aim of enhancing holistic care in oncology nursing. 2.5. Specific Objectives: To assess the existing level of knowledge among nurses about the therapeutic effects of meditation on the mental health of cancer patients. To evaluate nurses' attitudes and perceptions toward integrating meditation as a complementary therapy in oncology care. To identify barriers and opportunities for implementing meditation-based interventions in routine nursing practice for cancer care.
  • 28.
    Chapter 3 3. Methodology Basedon the research topic, the best methodology that should be adopted is a mixed- methods approach. This approach is a mixture of qualitative and quantitative research approaches, which offer rich information on subject matter (Taherdoost, 2022). The use of quantitative data means that actual numbers can be obtained to show trends, and these findings will reveal the areas of limited knowledge among the nurses. On the other hand, the qualitative approaches aim at explaining the underlying attitudes or rather perceptions that the nurses have towards the meditation based interventions for use in the oncology department; information that is essential in the identification of the barriers and enablers to change. A questionnaire having structured questions as well as a Likert scale is best suited to measure knowledge and attitudes for which quantitative methodologies are best suited. For example, Chacko (2021) shows how quantitative features can be employed in evaluating the level of knowledge and perceived attitudes of the nursing students through implementing the descriptive survey research design, which is statistically quantifiable. In the same vein, Bakrani et al. (2023) stress the role of employing psychometric tools in assessing knowledge, attitudes, and practices in the healthcare context because they provide valid and reliable results. Quantitative methods also enable the researchers to capture broad patterns when it comes to relationships; for instance, Munir et al. (2022) established that attitudes and practices of the nurses enhanced after organized educational sessions. On the other hand, the qualitative methodologies attempt to explore the subjective world of the nurses. They bring a lot of value when used to tackle issues that are sensitive to touch with cultural acceptability, self-perception, and perception from other professionals on the subject of meditation. In their study, they employed the focus group interviews to understand nursing students’ experiences and perceptions in clinical settings (Ozan, Akbas, & Karadağ, 2019). Like the study presented in this paper, Doyle et al. (2020) also point out that nursing knowledge can be advanced using proper
  • 29.
    qualitative descriptive studiesthat describe participants’ perceptions, beliefs, or experiences in depth, which might be crucial when exploring the oncology nurses’ perceptions or willingness to consider using meditation, which is a complementary therapy in oncology settings. As the research is based on a difficult topic, the most appropriate method is the so- called mixed research, since it combines the quantitative approach, which provides a wide range of numerical data, with the qualitative approach, which offers close in-depth analysis of qualitative data. Lim et al. (2020) acknowledge the benefits of integrating both approaches when investigating clinical problems more effectively. Self- administered questionnaires using both quantitative cross-sectional surveys and qualitative face-to-face interviews have been used in the health care field for measuring knowledge, attitude, and influencing factors and therefore provide a richness of data that is not found in using one method alone. In the present research, Hashish et al. (2019) employed a concurrent triangulation design, and its rationale is based on the concurrent data collection of both quantitative and qualitative data to evaluate perception and view the factors that influence the patient safety attitude among nursing students. It also allowed a simultaneous and detailed examination of quantitative patterns and qualitative data sources. For this research, the quantitative approach would involve the use of quantitative surveys to collect data from a large sample of oncology nurses concerning meditation knowledge & attitudes. This can be followed by emphasis on the quantitative results by qualitative means such as focus groups or in-depth interviews in an attempt to establish cultural and contextual end-user impressions. But more importantly, it guarantees methodological triangulation for producing accurate results as well as identifying educational interventions and policies to instill meditation practice as a standard protocol for oncology nurses. Thus, by utilizing both methods, the present research intends to provide comprehensive insight into the outlined gaps in the awareness and attitudes toward meditation among the nurses and to advance the mental health support for the clients with cancer.
  • 30.
    3.1. Study design Inthis research, the most appropriate method to use is a descriptive, hospital based cross-sectional survey design. This design allows the assessment of nurses’ knowledge and attitudes of the therapeutic benefits of meditation, in a specific hospital, at a certain point in time. This type of research is favored by the nursing science due to its effectiveness in terms of time required for data collection and opportunity to gather the information on the defined population at a certain point in time. That is why these qualities makes them useful in identifying the existing knowledge gaps and attitude of nurses in health related facilities. Cross sectional research design is for this purpose one of the most effective ones since it offers an opportunity to describe current state of knowledge and attitudes in a quite detail. For example, Alperen and Şahin (2022) employed this approach to assess and evaluate knowledge and adherence of the nurses relating to evidence-based nursing they developed the understanding of their competency level and scopes of improvement. Likewise, Gurung and Ghimire (2020) conducted a descriptive cross- sectional study to determine knowledge and attitude of the nurses working at teaching hospital regarding patients rights which establish the findings of this study enhances understanding professional practice in nursing. Such as cross-sectional strategy is also exceptionally advantageous for conducting the hospital-based research. Rahimi (2020) and Yazid et al. (2023) also mentioned such a study, stating that cross-sectional designs are best suited to the hospital, where the situation may not allow the use of longitudinal ones. These studies stress the applicability of data gathering that does not cause the disruption of the hospital environment. In addition, it also enables a systematic manner of gathering numerical data by means of questionnaires or like scaled questionnaires. For instance, Guillari et al., (2020) applied this method in establishing nurses’ knowledge, attitudes, and practices concerning patient safety, a way of enhancing their training needs. This approach is particularly helpful to the nursing research since it offers a stringent analysis of factors that impact on such perceptions including training; culture, and practicality. For instance, Ünver and Yeniğün (2020) used cross-sectional research
  • 31.
    design to measurethe attitude of the nurses working in surgical units towards patient safety; which shows that cross-sectional design is useful in evaluating professional attitudes and behaviour. However, in the current study, the descriptive cross-sectional design shall seek to use structured, self-administered questionnaires with the nurses at Mallavi Hospital. The questionnaires will contain questions on demographic characteristics, awareness about meditation, perceived therapeutic role of meditation, and perceived facilitators and barriers to this type of therapy. Quantitative data collection and analysis methods will be used to assess strengths and weaknesses of nurses’ knowledge and attitudes. This methodology is more applicable in the context when the primary aim is to assess knowledge and practices as of the moment and in this way, to reveal distinct problem areas without much difficulty. It is cost-friendly, fast and easy to implement especially in a hospital such as Mallavi Hospital. However, similar works secondary to this in the field of nursing have also pointed out the usefulness of this paradigm to examine professional know-ledge and orientation; therefore, it is the best approach to this research. 3.2. Study location The study will be a cross-sectional, hospital-based survey conducted in Mallavi Hospital, which is a government hospital in Mallavi in the northern province of Sri Lanka. The hospital is under the provincial administration of the Jaffna province of the Sri Lankan provincial government. The health facility had a bed capacity of 144 beds as of 2010 and is among the biggest hospitals in the area. It is sometimes called the Mallavi Peripheral Unit or Mallavi District Hospital, which shows that this institution is equipped with the first and second levels of care because it serves as a medical center for people who live in the surrounding areas. Mallavi Hospital has a very crucial place in serving its health care needs, especially the patients suffering from cancer who sometimes need physiotherapy and chemotherapy, but in most cases maybe they need someone to talk to and share, or maybe they want to laugh. The institution has a strong implementation and clinical laboratory where analysis of nurses’ knowledge and attitudes towards the psychotherapeutic benefits of meditation on the mental health of cancer patients will
  • 32.
    benefit from. Thisis also important with regards to the choice of this hospital, as this study seeks to explore the role and use of complementary therapies such as meditation as they apply to rural Sri Lanka and patient care values. This makes Mallavi Hospital an ideal and suitable place for the research envisaged in this study. 3.3. Sample size It should however be noted that in this particular study, a sample size will not be determined in a conventional statistical way. In its place, convenience sampling technique shall be used to identify the participants. This approach is quite realistic and effective in that all the available and willing to contribute to data collection during data collection period in Mallavi Hospital nursing professionals will be included. Convenience sampling is common in cross-sectional studies conducted in hospitals with aims at having easy samples from a pool of patients without using complicated techniques. This method is thus in tune with the study goal of determining the knowledge and attitudes amongst the nurses and enabled the researcher to gather data in light of the limited time and resources. Although this approach may reduce generation of theory, it is suitable for formative studies such as this one that seeks to build initial understandings of the topic. 3.3.1. Inclusion Criteria: Registered nurses currently employed at Mallavi Hospital. Nurses who are directly involved in the care of cancer patients. Nurses with at least six months of clinical experience in oncology or general nursing. Nurses who can understand and respond to the study questionnaire in the required language. Nurses who voluntarily consent to participate in the study. 3.3.2. Exclusion Criteria: Nurses on extended leave (e.g., maternity leave, medical leave) during the data collection period.
  • 33.
    Nurses who areexclusively working in administrative roles and are not involved in direct patient care. Nursing students or trainees who do not hold a registered nursing position. Nurses with less than six months of professional experience. Nurses who decline to participate or withdraw consent during the study. 3.4. Data collecting method The data for this study will be collected using a structured, self-completed questionnaire which has both closed and open-ended questions from the nurses working at Mallavi Hospital. The questionnaire will consist of three sections: self-reported basic demographic data: age, gender, years of experience, education level, and position, knowledge testing (questions on the effects of meditation on mental health outcomes of patients with cancer and an option with multiple choices and Likert markers), and attitude testing (Likert-marked statements about the inclusion of meditation in oncology nursing). Relevance and reliability of questionnaires will be tested in front of a small number of nurses who will provide feedbacks and necessary modifications will be made regarding the clarity of questions to be posed. The questionnaire will be administered during shift breaks or at other times that have prior consent that would not interfere with patient care; the participants will take about 20-30 minutes to complete the questionnaire and return it inside a sealed envelope to ensure anonymity is maintained. The researcher will also be present on site and is ready to answer any question concerning the study. The approach used will guarantee candid and truthful results as against hired impartial individuals hired in other methods All information that will be collected will be preserved and used only for analysis to avoid identification of the candidate and to enhance confidentiality at all times. 3.5. Study instrument The study tool is a self-developed, structured questionnaire intended to assess the awareness and perceptions of the nurses to meditation treatment in improving the psychological status of the cancer patients. It has three main divisions. Section A: User Profile includes a total of 10 questions that are multiple choice type questions about the
  • 34.
    participant details likeage, gender, education level, experience, field of work, and if they have practice or training in meditation. Section B: Knowledge part includes 10 multiple choice questions which are designed to evaluate the degree of the nurses’ knowledge about meditation as a tool in mental health, benefits of practicing it for cancer patients, mindfulness exercises and potential limitations. This section also assesses what is known concerning the time-span and efficacy of meditation for targeted reference groups. In the Attitude Section, 5 Likert scale options from ‘Strongly Disagree’ and ‘Strongly Agree’ were used to rate 10 statements addressing the effectiveness of meditation and the suitability of integrating meditation to nursing with focus in oncology, and formal training required for implementation of meditation practice into nursing profession. Finally, to assess the extent to which the Practice Section practices meditation in patient care, offers resources, educates patients, and collaborate with other health professionals they have used 5-point Likert scale (Never to Always) across ten statements – all related to the use of meditation in patient nursing. This systematic tool ensures that satisfactory data is collected and is also related to the aims of the study to adequate thoroughness. 3.6. Data management Concerning data management in this study the following steps will be taken in order to enhance accuracy, confidentiality and integrity of the data collected. Upon completion and checking of each questionnaire all questionnaires will be stored in locked cabinets and back up electronic copies will be stored on password protected media only for the research team to access. Electronic coding files will be routinely checked for errors or inconsistencies to ensure maximum accuracy in case data is entered into statistical software such as SPSS. Participant demographic information, knowledge, attitude and practice data will be sorted and de-identified to ensure anonymity of respondents. All the responses obtained using Likert scale will be quantitatively coded as numbers for easy managerial analysis Any participants who give additional written feedback will have their responses transcribed and qualitatively analyzed. All responses will be reported in a non identifiable formula hence we will not be reporting any specific personal observation. The collected data will be stored according to the policy of institutions for a certain period and then destroyed after the completion of the given study.
  • 35.
    3.7. Data analysis Dataanalysis for this study shall use Statistical Package for Social Sciences (SPSS) version 26, which is well endorsed for research work. Percentage, frequency tables, mean and standard deviation will be employed in quantitative descriptions of the results of the socio-demographic data as well as the responses to the knowledge, attitude and practice questions. The composite scores from the Likert scale responses for attitudes and practices will be summarized by mean scores and standard deviations, in order to detect average trends and perceptions. Analytical data will involve chi-square or t-tests which would be used to determine if there is a correlation between demographic data and knowledge or attitudes to meditation; years of experience, received training. Correlation analysis will also be performed to see how nurses’ attitude affects their reported practice of meditation regarding patients. The results will be described previously in tables and graphs to enhance interpretation to give the whole picture of the data with reference to the set objectives of the research. 3.8. Ethical consideration Ethical considerations for this study will be meticulously addressed to ensure the protection of participants' rights and adherence to research integrity standards. It shall be important to get permission from an ethical committee/clearance from the Sunderland University Ethical Review Board before administering the questionnaires. All the learners will be provided with detailed information regarding the study’s purpose, activities, and individual learner rights, including their right to withdraw from research at any time. It should also be understood that the participants will provide written informed consent and therefore; are willing volunteers. Confidentiality shall be achieved through removing identification details from the information to be collected and both the paper and electronic records. Therefore, to attain the highest ethical standards explitate in the research process, it will need ethical approval and the above measure.
  • 36.
    4. References Achaliwie, F.,Wakefield, A.B. and Mackintosh-Franklin, C. (2023). Does education improve nurses’ knowledge, attitudes, skills, and practice in relation to pain management? An integrative review. Pain Management Nursing, 24(3). doi:https://doi.org/10.1016/j.pmn.2022.12.002. Ambushe, S.A., Awoke, N., Demissie, B.W. and Tekalign, T. (2023). Holistic Nursing Care Practice and Associated Factors among Nurses in Public Hospitals of Wolaita zone, South Ethiopia. BMC Nursing, [online] 22(1). Available at: https://bmcnurs.biomedcentral.com/articles/10.1186/s12912-023-01517-0. Aysu ALPEREN and Ayşegül OKSAY ŞAHİN (2022). Investigation of Nurses’ Knowledge and Attitudes About Evidence-Based Nursing: A Descriptive and Cross- Sectional Study. Turkiye Klinikleri Journal of Nursing Sciences, [online] 14(1), pp.149– 159. doi:https://doi.org/10.5336/nurses.2021-82436. Bakrani, Z., Estebsari, F., Hosseini, M., Nasiri, M. and Latifi, M. (2023). The development and psychometric evaluation of nurses’ knowledge, attitude and practice regarding elder abuse. Working with Older People. doi:https://doi.org/10.1108/wwop-05- 2022-0021. Biegler, K.A., Alejandro Chaoul, M. and Cohen, L. (2009). Cancer, cognitive impairment, and meditation. Acta Oncologica, 48(1), pp.18–26. doi:https://doi.org/10.1080/02841860802415535. Bryan, S., Zipp, G. and Breitkreuz, D. (2021). The Effects of Mindfulness Meditation and Gentle Yoga on Spiritual Well-Being in Cancer Survivors: A Pilot Study. Alternative Therapies in Health and Medicine, [online] 27(3), pp.32–38. Available at: https://pubmed.ncbi.nlm.nih.gov/33128538/. Chacko, S.A. (2021). Assessment of Knowledge and Attitude on Palliative Care among Student Nurses in Selected College of Nursing, New Delhi. International Journal of Nursing & Midwifery Research, 07(03), pp.36–41. doi:https://doi.org/10.24321/2455.9318.202024.
  • 37.
    De Silva, B.S.S.and Rolls, C. (2011). Attitudes, beliefs, and practices of Sri Lankan nurses toward cancer pain management: An ethnographic study. Nursing & Health Sciences, 13(4), pp.419–424. doi:https://doi.org/10.1111/j.1442-2018.2011.00635.x. Dodgson, J.E. (2021). Critical Analysis: the Often-Missing Step in Conducting Literature Review Research. Journal of Human Lactation, 37(1), pp.27–32. doi:https://doi.org/10.1177/0890334420977815. Doyle, L., McCabe, C., Keogh, B., Brady, A. and McCann, M. (2020). An Overview of the Qualitative Descriptive Design within Nursing Research. Journal of Research in Nursing, [online] 25(5), pp.443–455. doi:https://doi.org/10.1177/1744987119880234. D'silva, F., Kaini, C., Kaje, Arunthejaus, Shetty, P., Souza, C. and Kumar, S. (2024). Efficacy of a Nurse-led Yoga Intervention on Serum Cortisol and Psychological Health Outcomes of Patients with Breast Cancer. [online] CXV(3). Available at: https://www.tnaijournal-nji.com/admin/assets/article/pdf/13460_pdf.pdf. Durgun Ozan, Y., Duman, M. and Çiçek, Ö. (2019). Nursing Students’ Experiences on Assessing the Sexuality of Patients: Mixed Method Study. Sexuality and Disability, 37(4), pp.613–623. doi:https://doi.org/10.1007/s11195-019-09567-6. Edgar, T.W. and Manz, D.O. (2017). Convenience Sampling - an Overview | ScienceDirect Topics. [online] Sciencedirect. Available at: https://www.sciencedirect.com/topics/computer-science/convenience-sampling. Fang, Z. and Fang, Z. (2021). Writing a Literature Review. Semantic Scholar, [online] pp.126–145. doi:https://doi.org/10.4324/9781003131618-9. Garrod, B. (2023). What Makes a Good Critical Literature Review Paper? Tourism and Hospitality, 4(1), pp.141–147. doi:https://doi.org/10.3390/tourhosp4010008. Golzar, J., Tajik, O. and Noor, S. (2022). Convenience sampling. [online] ResearchGate. Available at: https://www.researchgate.net/publication/366390016_Convenience_Sampling.
  • 38.
    Gurung, T. andNeupane, S. (2020). Knowledge and Attitude Regarding Patients Right among Nurses in a Teaching Hospital: A Descriptive Cross-sectional Study. Journal of Nepal Medical Association, 58(222). doi:https://doi.org/10.31729/jnma.4661. Hashish, E.A.A., Aljuaid, W. and Almuzaini, O. (2020). Saudi Nursing Students Attitudes Towards Patient Safety and The Influencing Factors. A Quantitative and Qualitative study at the College of Nursing-Jeddah. International Journal of Nursing Education and Research, 8(1), p.53. doi:https://doi.org/10.5958/2454-2660.2020.00011.3. Henneghan, A.M., Becker, H., Phillips, C. and Kesler, S. (2021). Sustained effects of mantra meditation compared to music listening on neurocognitive outcomes of breast cancer survivors: A brief report of a randomized control trial. Journal of Psychosomatic Research, [online] 150, p.110628. doi:https://doi.org/10.1016/j.jpsychores.2021.110628. Henoch, I., Danielson, E., Strang, S., Browall, M. and Melin-Johansson, C. (2013). Training Intervention for Health Care Staff in the Provision of Existential Support to Patients With Cancer: A Randomized, Controlled Study. Journal of Pain and Symptom Management, 46(6), pp.785–794. doi:https://doi.org/10.1016/j.jpainsymman.2013.01.013. Jheffany bin Yazid, Azliha Minai Rajab, Suzana Yusof and Angga Wilandika (2023). Assessing Malaysian Nurses’ Knowledge of Blood Transfusion Procedures and Identifying Knowledge Gaps: A cross-sectional study. Environment-behaviour proceedings journal, 8(25), pp.225–231. doi:https://doi.org/10.21834/e-bpj.v8i25.4825. Kim-Soon, N., Abdulmaged, A.I., Mostafa, S.A., Mohammed, M.A., Musbah, F.A., Ali, R.R. and Geman, O. (2021). A framework for analyzing the relationships between cancer patient satisfaction, nurse care, patient attitude, and nurse attitude in healthcare systems. Journal of Ambient Intelligence and Humanized Computing. doi:https://doi.org/10.1007/s12652-020-02888-x. Koula, M.J. and Knight, J.M. (2018). Increasing provider awareness of and recommendations for yoga and meditation classes for cancer patients. Supportive Care in Cancer, 26(10), pp.3635–3640. doi:https://doi.org/10.1007/s00520-018-4220-3.
  • 39.
    Lim, E., Wynaden,D., Baughman, F. and Heslop, K. (2020). Realising the potential of Q methodology in nursing research. Collegian. [online] doi:https://doi.org/10.1016/j.colegn.2020.08.004. Lopez, G., Chaoul, A., Powers-James, C., Spelman, A., Wei, Q., Engle, R., Hashmi, Y., Bruera, E. and Cohen, L. (2018). A Pragmatic Evaluation of Symptom Distress After Group Meditation for Cancer Patients and Caregivers: A Preliminary Report. Journal of Pain and Symptom Management, 55(5), pp.1321-1326.e1. doi:https://doi.org/10.1016/j.jpainsymman.2018.01.018. Martins, G.B., Puziski, A.S., Costa, M.C.C., Alves, R.I. and Santiago, T.G. (2023). The impact of mindfulness on mental health in cancer patients: an integrative review. Brazilian Journal of Health Review, 6(5), pp.23592–23601. doi:https://doi.org/10.34119/bjhrv6n5-415. Meegoda, L., Fernando, S. and Sivayogan, I. (2022). Perceived Palliative Care Needs of Cancer Patients, Nurses and Domiciliary Care Providers at a National Cancer Referral Facility, Sri-Lanka. Journal of Pioneering Medical Sciences, 5(2), 46-50. [online] doi:https://doi.org/N/A. Milbury, K., Weathers, S.-P., Durrani, S., Li, Y., Whisenant, M., Li, J., Lim, B., Weinberg, J.S., Kesler, S.R., Cohen, L. and Bruera, E. (2020). Online Couple-Based Meditation Intervention for Patients With Primary or Metastatic Brain Tumors and Their Partners: Results of a Pilot Randomized Controlled Trial. Journal of Pain and Symptom Management, [online] 59(6), pp.1260–1267. doi:https://doi.org/10.1016/j.jpainsymman.2020.02.004. Munir, S., Johnson, J., Smith, A., O'dwyer, R., Masaba, A., Elawad, K., Ahmad, S., Abdulla, E., Al Qudah, M. and Phil, M. (2022). Assessing Nurse’s Attitudes and Practice After participating in a Vaccination Training Program: A Quantitative Study. Middle East Journal of Nursing, [online] 16(2), pp.3–15. doi:https://doi.org/10.5742/MEJN2021.9378022.
  • 40.
    Narayanan, S., Reddy,A., Lopez, G., Liu, W., Wu, J., Liu, D., Manzano, J., Williams, J.L., Mallaiah, S., George, M., Amaram, J., Subramaniam, B., Cohen, L. and Bruera, E. (2020). Randomized Feasibility Study of Meditative Practices in Hospitalized Cancer Patients. Integrative Cancer Therapies, [online] 19, p.1534735420909903. doi:https://doi.org/10.1177/1534735420909903. Niedzwiedz, C.L., Knifton, L., Robb, K.A., Katikireddi, S.V. and Smith, D.J. (2019). Depression and Anxiety among People Living with and beyond cancer: a Growing Clinical and Research Priority. BMC Cancer, 19(1). doi:https://doi.org/10.1186/s12885- 019-6181-4. Parajuli, J.P. (2020). Significance of Literature Review in the Research of Social Sciences. Journal of Population and Development, 1(1), pp.96–102. doi:https://doi.org/10.3126/jpd.v1i1.33108. Park, S., Sato, Y., Takita, Y., Tamura, N., Ninomiya, A., Kosugi, T., Sado, M., Nakagawa, A., Takahashi, M., Hayashida, T. and Fujisawa, D. (2020). Mindfulness- Based Cognitive Therapy for Psychological Distress, Fear of Cancer Recurrence, Fatigue, Spiritual Well-Being, and Quality of Life in Patients With Breast Cancer—A Randomized Controlled Trial. Journal of Pain and Symptom Management, [online] 60(2), pp.381–389. doi:https://doi.org/10.1016/j.jpainsymman.2020.02.017. Paul, J. and Criado, A.R. (2020). The art of writing literature review: What do we know and what do we need to know? International Business Review, [online] 29(4). doi:https://doi.org/10.1016/j.ibusrev.2020.101717. Prevost, V., Clarisse, B., Leconte, A., Delorme, C., Benoit, S. and Tran, T. (2021). Meditation involving people with cancer, medical staff and witnesses: a pilot study exploring improvement in wellness and connectedness. BMJ Open, [online] 11(11), p.e048164. doi:https://doi.org/10.1136/bmjopen-2020-048164. Prevost, V., Lefevre-Arbogast, S., Leconte, A., Delorme, C., Benoit, S., Tran, T. and Clarisse, B. (2022). Shared meditation involving cancer patients, health professionals and third persons is relevant and improves well-being: IMPLIC pilot study. BMC
  • 41.
    Complementary Medicine andTherapies, 22(1). doi:https://doi.org/10.1186/s12906-022- 03599-w. Pubrica.com. (2019). Why is it important to do a literature review in research? [online] Available at: https://pubrica.com/academy/research/why-is-it-important-to-do-a- literature-review-in-research/?utm_source=chatgpt.com [Accessed 27 Nov. 2024]. Rahimi, H. (2020). The Effect of Job Nature on Job Adjustment of Nurses in Hospital Affiliated to Kashan University of Medical Sciences. Journal of Ergonomics, 8(2), pp.17– 25. doi:https://doi.org/10.30699/jergon.8.2.17. Renner, A., Muller, J. and Theissler, A. (2022). State-of-the-art on writing a literature review: An overview of types and components. 2022 IEEE Global Engineering Education Conference (EDUCON). doi:https://doi.org/10.1109/educon52537.2022.9766503. Santos, O.P.D., Melly, P., Hilfiker, R., Giacomino, K., Perruchoud, E., Verloo, H. and Pereira, F. (2022). Effectiveness of Educational Interventions to Increase Skills in Evidence-Based Practice among Nurses: The EDITcare Systematic Review. Healthcare (Basel, Switzerland), [online] 10(11), p.2204. doi:https://doi.org/10.3390/healthcare10112204. Shapero, B.G., Greenberg, J., Pedrelli, P., de Jong, M. and Desbordes, G. (2019). Mindfulness-Based Interventions in Psychiatry. FOCUS, [online] 16(1), pp.32–39. doi:https://doi.org/10.1176/appi.focus.20170039. Snyder, H. (2019). Literature review as a research methodology: An overview and guidelines. Journal of Business Research, [online] 104(1), pp.333–339. Available at: https://www.sciencedirect.com/science/article/pii/S0148296319304564. Son, S. and Lee, S. (2024). The Effect of Mindfulness and Emotional Regulation on Self-care Competence Among Cancer Patients Undergoing Chemotherapy. Cancer Nursing. doi:https://doi.org/10.1097/ncc.0000000000001400.
  • 42.
    Taherdoost, H. (2022).What are different research approaches? Comprehensive review of qualitative, quantitative, and mixed method research, their applications, types, and limitations. Journal of Management Science & Engineering Research, [online] 5(1), pp.53–63. doi:https://doi.org/10.30564/jmser.v5i1.4538. van der Riet, P., Levett-Jones, T. and Aquino-Russell, C. (2018). The effectiveness of mindfulness meditation for nurses and nursing students: An integrated literature review. Nurse Education Today, [online] 65, pp.201–211. doi:https://doi.org/10.1016/j.nedt.2018.03.018. What Is the Point of a Literature Review, Anyway?! (2020). So, You Have to Write a Literature Review: A Guided Workbook for Engineers, pp.11–17. doi:https://doi.org/10.1002/9781119555063.ch2. Wren, A.A., Shelby, R.A., Soo, M.S., Huysmans, Z., Jarosz, J.A. and Keefe, F.J. (2019). Preliminary efficacy of a lovingkindness meditation intervention for patients undergoing biopsy and breast cancer surgery: A randomized controlled pilot study. Supportive Care in Cancer, 27(9), pp.3583–3592. doi:https://doi.org/10.1007/s00520-019-4657-z. Zhang, B., Jin, X., Kuang, X., Shen, B., Qiu, D., Peng, J., Chen, E., Dai, X., Chen, X. and Wong, C.L. (2023). Effects of a Virtual Reality-Based Meditation Intervention on Anxiety and Depression Among Patients With Acute Leukemia During Induction Chemotherapy. Cancer Nursing, Publish Ahead of Print. doi:https://doi.org/10.1097/ncc.0000000000001206. Zhang, D., Lee, E.K.P., Mak, E.C.W., Ho, C.Y. and Wong, S.Y.S. (2021). Mindfulness- based interventions: An overall review. British Medical Bulletin, [online] 138(1), pp.41– 57. doi:https://doi.org/10.1093/bmb/ldab005.
  • 43.
    5. Appendices Figure 2:Advance search in PubMed Figure 3: Advance searching in ScienceDirect
  • 44.
    5.1. Participant InformationSheet Study Title: Assessing Nurses' Knowledge and Attitudes Towards the Therapeutic Effects of Meditation in Enhancing Mental Health Outcomes in Cancer Patients What is the purpose of the study? The purpose of this study is to understand how much nurses know about meditation and their attitudes toward using it as a therapy to help cancer patients improve their mental health. This will help identify gaps in knowledge and attitudes and suggest ways to better integrate meditation into nursing practices. Why have I been approached? You have been approached because you are a registered nurse working at Mallavi Hospital and may be involved in caring for cancer patients. Your experiences and views are valuable for understanding how meditation can be used as a complementary therapy in oncology care. Who can take part in the study? Registered nurses currently employed at Mallavi Hospital who have experience in providing care to cancer patients can take part in the study. If you are not involved in direct patient care or do not meet the inclusion criteria, you do not need to take part in this study. Do I have to take part? No, participation in this study is entirely voluntary. You are free to decide whether or not to take part, and your decision will not affect your work or professional relationships in any way. What will happen if I don’t want to carry on with the study? If you decide to withdraw from the study, you can do so at any time without giving a reason. Any data you have provided up until the point of withdrawal will be securely destroyed and not used in the study.
  • 45.
    What will happento me if I take part? If you choose to participate, you will be asked to complete a questionnaire that includes questions about your knowledge and attitudes toward meditation. This will take approximately 20-30 minutes. You may also be invited to participate in a follow-up discussion to explore your views in more detail. What are the possible disadvantages and risks of taking part? There are no physical risks involved in this study. However, answering questions about your professional knowledge and attitudes may cause minor discomfort if you feel uncertain about the subject. You can skip any question you do not feel comfortable answering. What are the possible benefits of taking part? By participating, you will contribute to research that aims to improve mental health support for cancer patients through better integration of meditation into nursing care. This may also lead to better training and educational opportunities for nurses in the future. What if something goes wrong? If you experience any discomfort during the study or have concerns about participating, you can contact the researcher or supervisor for support. If necessary, you will be referred to appropriate support services. Will my information be kept confidential? Yes, all information you provide will be kept strictly confidential. Your responses will be anonymized, and no identifiable information will appear in the study’s results or publications. Data will be securely stored on password-protected systems and destroyed after the study is complete. What will happen to the results of the research study? The findings of this study will be used for academic purposes, such as a dissertation, and may also be published in nursing or healthcare journals. Participants will not be identifiable in any publications or presentations of the results.
  • 46.
    Who is organizingand funding the research? This study is being conducted by a student researcher from the University of Sunderland as part of an academic program. Who has reviewed the study? The study has been reviewed and approved by the University of Sunderland Ethics Committee. Who should I contact for further information? For more information, you can contact: Name: Galloluwe Dilini Suranga Abeygunawardhana Student no: 239740043 Supervisor name: Dr. L. Senarathne
  • 47.
    5.2. Consent Form Studytitle: Participant code: [leave blank on your example] I am… I have read and understood the attached study information and, by signing below, I consent to participate in this study. I understand that I have the right to withdraw from the study without giving a reason at any time during the study itself. I understand that I also have the right to change my mind about participating in the study for a short period after the study has concluded. Signed: _____________________________________________________ Print name: ______________________________________________________ (Your name, along with your participant code is important to help match your data from two questionnaires. It will not be used for any purpose other than this.) Date: __________________________ Witnessed by: ________________________________________________________ Print name: __________________________________________________________ Date: __________________________
  • 48.
    5.3.Questionnaire SELF- ADMINISTERED QUESTIONNAIRE SerialNo: ………………………. Date: …………………. Assessing Nurses' Knowledge and Attitudes Towards the Therapeutic Effects of Meditation in Enhancing Mental Health Outcomes in Cancer Patients Questionnaire ID:....................(For official use only) SECTION A: SOCIO-DEMOGRAPHIC INFORMATION 1. What is your age? o A. 20–30 years o B. 31–40 years o C. 41–50 years o D. 51 years and above 2. What is your gender? o A. Male o B. Female o C. Prefer not to say 3. What is your highest level of education? o A. Diploma o B. Bachelor's Degree o C. Master's Degree o D. Other (Specify) 4. How many years of nursing experience do you have?
  • 49.
    o A. Lessthan 1 year o B. 1–5 years o C. 6–10 years o D. More than 10 years 5. What is your current area of work? o A. Oncology o B. General Nursing o C. Intensive Care Unit (ICU) o D. Other (Specify) 6. Have you ever received formal training in meditation or mindfulness techniques? o A. Yes o B. No 7. Do you currently provide care to cancer patients? o A. Yes o B. No 8. Do you personally practice meditation or mindfulness? o A. Yes, regularly o B. Occasionally o C. Rarely o D. Never 9. What is your employment status? o A. Permanent o B. Contractual o C. Part-time o D. Other (Specify)
  • 50.
    10.What is yourprimary language of communication at work?  A. Tamil  B. Sinhala  C. English  D. Other SECTION B: Knowledge Section 1. What is meditation primarily known for? o A. Physical exercise o B. Stress management and relaxation o C. Medication substitute o D. Spiritual practice only 2. What are the benefits of meditation in mental health? (Choose the best option) o A. Reduces anxiety and depression o B. Enhances physical stamina o C. Improves communication skills o D. None of the above 3. How does mindfulness meditation benefit cancer patients? o A. Increases physical endurance o B. Reduces stress, anxiety, and emotional distress o C. Cures cancer o D. Improves memory 4. Which of the following is a key aspect of mindfulness meditation? o A. Controlling emotions o B. Focusing on the present moment o C. Eliminating all thoughts o D. Enhancing physical strength
  • 51.
    5. What isthe role of meditation in cancer care? o A. It is the primary treatment for cancer o B. It complements medical treatments by improving mental health o C. It replaces chemotherapy o D. It has no role in cancer care 6. Can meditation reduce the side effects of cancer treatments like chemotherapy? o A. Yes, by reducing anxiety and stress o B. No, it has no impact on treatment side effects o C. Only when combined with medication o D. Not proven scientifically 7. Which mental health outcome is most associated with meditation? o A. Increased physical activity o B. Improved emotional well-being o C. Reduced appetite o D. Enhanced sleep patterns 8. What is the recommended duration for a mindfulness meditation session to observe benefits? o A. 5–10 minutes o B. 20–30 minutes o C. 1–2 hours o D. Over 2 hours 9. Which group of patients is meditation most effective for? o A. Cancer patients o B. Patients with cardiovascular issues o C. Patients with mental health disorders o D. All of the above
  • 52.
    10.Which of thefollowing is a barrier to implementing meditation in cancer care?  A. Lack of knowledge among nurses  B. Limited patient interest  C. Absence of structured programs  D. All of the above Attitude Section (Likert Scale) Statements Strongly Disagree Disagree Neutra l Agree Strongly Agree 1. Meditation is an effective complementary therapy for improving mental health outcomes in cancer patients. 2. Meditation helps reduce psychological distress such as anxiety and depression in cancer patients. 3. Incorporating meditation into nursing care enhances holistic patient outcomes. 4. Nurses should recommend meditation as part of cancer care. 5. Meditation aligns with the spiritual and cultural needs of patients in Sri Lanka. 6. Meditation is suitable for patients undergoing intensive
  • 53.
    cancer treatments suchas chemotherapy or radiation therapy. 7. Nurses should receive formal training on the therapeutic use of meditation. 8. Meditation is a time-efficient and practical intervention for routine nursing care. 9. I believe meditation could positively impact patients' mental and emotional well- being. 10. Meditation should be an integral part of nursing education and professional development. Practice Section (Likert Scale) Statements Never Rarely Sometimes Ofte n Always 1. I recommend meditation or mindfulness techniques to my patients. 2. I encourage patients to try meditation to manage mental health challenges. 3. I assist patients in practicing meditation techniques when appropriate.
  • 54.
    4. I provideinformation or resources about meditation programs to cancer patients. 5. I collaborate with other healthcare professionals to incorporate meditation into care plans. 6. I actively seek training or resources to enhance my understanding of meditation in oncology care. 7. I educate patients on the mental health benefits of meditation. 8. I integrate mindfulness or meditation into my nursing care for cancer patients. 9. I include meditation as part of interventions to address cancer patients’ emotional well-being. 10. I document meditation or mindfulness activities as part of nursing interventions in the patient care plan. 5.3. Gannt chart Activity September October November December January February 2024 2024 2024 2024 2025 2025 1 2 3 4 1 2 3 4 1 2 3 4 1 2 3 4 1 2 3 4 1 2 3 4
  • 55.
    Decide topic Assess for feasibility Literature review Preparationof research proposal Developing a data collection instrument Ethical clearance Data collection Data entry Data analysis Writing the final report
  • 56.