RushesLog
Name of editor Zoe Beesley
Title of production Breakthrough
Date 20/03/19
Shotno. File type Duration File name Possibilitiesand
limitationsof
shots
Where stored
1 Videofile 00.00.10 DSC_2762.MOV Filmedwell.Crop
out shakinessat
start of clip.
Documents>media>Yr
13>film>footage
2 Videofile 00.00.10 DSC_2762.MOV Filmedwell.Crop
out shakinessat
start of clip.
Documents>media>Yr
13>film>footage
3 Videofile 00.00.10 DSC_2716.MOV Filmedwell.Crop
out shakinessat
start of clip.
Documents>media>Yr
13>film>footage
4 Videofile 00.00.05 DSC_2738.MOV Filmedwell.Crop
to settimings.
Documents>media>Yr
13>film>footage
5 Videofile 00.00.05 DSC_2735.MOV Filmedwell.Crop
to settimings.
Documents>media>Yr
13>film>footage
6 Videofile 00.00.05 DSC_2734.MOV Filmedwell.Crop
to settimings.
Documents>media>Yr
13>film>footage
7 Videofile 00.00.05 DSC_2737.MOV Filmedwell.Crop
to settimings.
Documents>media>Yr
13>film>footage
8 Videofile 00.00.05 DSC_2732.MOV Filmedwell. Crop
to settimings.
Documents>media>Yr
13>film>footage
9 Videofile 00.00.06 DSC_2726.MOV Filmedwell.Crop
to settimings.
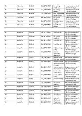
Documents>media>Yr
13>film>footage
10 Videofile 00.00.08 DSC_2725.MOV Filmedwell.Crop
to settimings.
Documents>media>Yr
13>film>footage
11 Videofile 00.00.14 DSC_2727.MOV Filmedwell.Crop
to settimings.
Documents>media>Yr
13>film>footage
12 Videofile 00.00.10 DSC_2728.MOV Filmedwell.Crop
to settimings.
Documents>media>Yr
13>film>footage
13 Videofile 00.00.05 DSC_2729.MOV Filmedwell.Crop
to settimings.
Documents>media>Yr
13>film>footage
14 Videofile 00.00.05 DSC_2730.MOV Filmedwell.Crop
to settimings.
Documents>media>Yr
13>film>footage
15 Videofile 00.00.05 DSC_2731.MOV Filmedwell.Crop
to settimings.
Documents>media>Yr
13>film>footage
16 Videofile 00.00.16 DSC_2721.MOV Bit shaky.Edit
out wind.
Documents>media>Yr
13>film>footage
17 Videofile 00.00.03 DSC_2722.MOV Crop to timings. Documents>media>Yr
13>film>footage
18 Videofile 00.00.06 DSC_2723.MOV Editout wind. Documents>media>Yr
13>film>footage
19 Videofile 00.00.18 DSC_2724.MOV Crop to timings.
Centralise.
Documents>media>Yr
13>film>footage
20 Videofile 00.00.40 DSC_2799.MOV Speedup
gradually.
Documents>media>Yr
13>film>footage
21 Videofile 00.00.15 DSC_2741.MOV Crop to timings. Documents>media>Yr
13>film>footage
22 Videofile 00.00.40 DSC_2745.MOV Cut intosections
for increase in
paper.
Documents>media>Yr
13>film>footage
23 Videofile 00.00.04 DSC_2748.MOV No editing
needed.
Documents>media>Yr
13>film>footage
24 Videofile 00.00.05 DSC_2747.MOV No editing
needed.
Documents>media>Yr
13>film>footage
25 Videofile 00.00.04 DSC_2784.MOV No editing
needed.
Documents>media>Yr
13>film>footage
26 Videofile 00.00.04 DSC_2785.MOV Crop to timings. Documents>media>Yr
13>film>footage
27 Videofile 00.00.03 DSC_2786.MOV No editing
needed.
Documents>media>Yr
13>film>footage
28 Videofile 00.00.04 DSC_2787.MOV Bit shakybut
usable.
Documents>media>Yr
13>film>footage
29 Videofile 00.00.08 DSC_2782.MOV Crop to timings.
Editout wind.
Documents>media>Yr
13>film>footage
30 Videofile 00.00.03 DSC_2864.MOV Bit shakybut
usable.
Documents>media>Yr
13>film>footage
31 Videofile 00.00.05 DSC_2836.MOV May needtobe
brightened.
Documents>media>Yr
13>film>footage
32 Videofile 00.00.04 DSC_2837.MOV No editing
needed.
Documents>media>Yr
13>film>footage
33 Videofile 00.00.06 DSC_2831.MOV Crop to timings. Documents>media>Yr
13>film>footage
34 Videofile 00.00.13 DSC_2827.MOV Crop to timings. Documents>media>Yr
13>film>footage
35 Videofile 00.00.07 DSC_2829.MOV Crop to timings.
May needtobe
brightened.
Documents>media>Yr
13>film>footage
36 Videofile 00.00.28 DSC_2838.MOV Crop to right
section.
Documents>media>Yr
13>film>footage
37 Videofile 00.00.05 DSC_2794.MOV May needtobe
brightened.
Documents>media>Yr
13>film>footage
38 Videofile 00.00.06 DSC_2791.MOV Zoomin and
crop to timings.
Documents>media>Yr
13>film>footage
39 Videofile 00.00.06 DSC_2845.MOV Crop to timings. Documents>media>Yr
13>film>footage
40 Videofile 00.00.42 DSC_2847.MOV Crop to bestcoin
drop.
Documents>media>Yr
13>film>footage
41 Videofile 00.00.14 DSC_2770.MOV Crop to timings. Documents>media>Yr
13>film>footage
42 Videofile 00.00.06 DSC_2771.MOV No editing
needed.
Documents>media>Yr
13>film>footage
43 Videofile 00.00.04 DSC_2773.MOV No editing
needed.
Documents>media>Yr
13>film>footage
44 Videofile 00.00.05 DSC_2774.MOV No editing
needed.
Documents>media>Yr
13>film>footage
45 Videofile 00.00.03 DSC_2776.MOV No editing
needed.
Documents>media>Yr
13>film>footage
46 Videofile 00.00.04 DSC_2855.MOV No editing
needed.
Documents>media>Yr
13>film>footage
47 Videofile 00.00.08 DSC_2856.MOV Crop to envelope
beingopened.
Documents>media>Yr
13>film>footage
48 Videofile 00.00.03 DSC_2857.MOV No editing
needed.
Documents>media>Yr
13>film>footage
49 Videofile 00.00.10 DSC_2777.MOV Bit outof focus
on parts.
Documents>media>Yr
13>film>footage
50 Videofile 00.00.05 DSC_2849.MOV Zoomto fill
screen.
Documents>media>Yr
13>film>footage
51 Videofile 00.00.08 DSC_2751.MOV Crop shorter. Documents>media>Yr
13>film>footage
52 Videofile 00.00.04 DSC_2754.MOV No editing
needed.
Documents>media>Yr
13>film>footage
53 Videofile 00.00.03 DSC_2755.MOV Crop shorter. Documents>media>Yr
13>film>footage
54 Videofile 00.00.04 DSC_2752.MOV Crop shorter. Documents>media>Yr
13>film>footage
55 Videofile 00.00.10 DSC_2762.MOV Cut outshaky
parts.
Documents>media>Yr
13>film>footage
56 Videofile 00.00.27 DSC_2876.MOV Crop to
eliminate
shakiness.
Documents>media>Yr
13>film>footage
57 Videofile 00.00.23 DSC_2933.MOV Crop to show
rightside of leaf.
Documents>media>Yr
13>film>footage
58 Videofile 00.00.13 DSC_2934.MOV Crop to ending
whensuncomes
through.
Documents>media>Yr
13>film>footage
59 Videofile 00.00.29 DSC_2955.MOV Crop to section
that’snot shaky.
Documents>media>Yr
13>film>footage
60 Videofile 00.00.53 DSC_2929.MOV Selectbest
waterdrop.
Documents>media>Yr
13>film>footage
61 Videofile 00.00.52 DSC_2966.MOV Selecttobest
ripple.
Documents>media>Yr
13>film>footage
62 Videofile 00.00.12 DSC_2971.MOV Crop to timings. Documents>media>Yr
13>film>footage
63 Videofile 00.00.04 DSC_2869.MOV No editing
needed.
Documents>media>Yr
13>film>footage
64 Videofile 00.00.24 DSC_2965.MOV Speedup
slightly.
Documents>media>Yr
13>film>footage
65 Videofile 00.00.14 DSC_2968.MOV Slow down. Documents>media>Yr
13>film>footage
66 Videofile 00.00.06 DSC_2969.MOV Slow down. Documents>media>Yr
13>film>footage
67 Videofile 00.00.22 DSC_2957.MOV Crop out
shakiness.
Documents>media>Yr
13>film>footage
68 Videofile 00.00.39 DSC_2959.MOV Use section
that’sin focus.
Documents>media>Yr
13>film>footage
69 Videofile 00.00.12 DSC_2962.MOV Cut outtalking
at end.
Documents>media>Yr
13>film>footage
70 Videofile 00.0043 DSC_2964.MOV Crop downto
timings.
Documents>media>Yr
13>film>footage
71 Videofile 00.00.06 DSC_2723.MOV Slow down. Documents>media>Yr
13>film>footage
72 Videofile 00.00.18 DSC_2724.MOV Crop to better
section.
Documents>media>Yr
13>film>footage
73 Videofile 00.00.42 DSC_2847.MOV Use sectionat
endand slow
down.
Documents>media>Yr
13>film>footage
74 Videofile 00.00.10 DSC_2762.MOV Use better
section.
Documents>media>Yr
13>film>footage

Rushes log 2

  • 1.
    RushesLog Name of editorZoe Beesley Title of production Breakthrough Date 20/03/19 Shotno. File type Duration File name Possibilitiesand limitationsof shots Where stored 1 Videofile 00.00.10 DSC_2762.MOV Filmedwell.Crop out shakinessat start of clip. Documents>media>Yr 13>film>footage 2 Videofile 00.00.10 DSC_2762.MOV Filmedwell.Crop out shakinessat start of clip. Documents>media>Yr 13>film>footage 3 Videofile 00.00.10 DSC_2716.MOV Filmedwell.Crop out shakinessat start of clip. Documents>media>Yr 13>film>footage 4 Videofile 00.00.05 DSC_2738.MOV Filmedwell.Crop to settimings. Documents>media>Yr 13>film>footage 5 Videofile 00.00.05 DSC_2735.MOV Filmedwell.Crop to settimings. Documents>media>Yr 13>film>footage 6 Videofile 00.00.05 DSC_2734.MOV Filmedwell.Crop to settimings. Documents>media>Yr 13>film>footage 7 Videofile 00.00.05 DSC_2737.MOV Filmedwell.Crop to settimings. Documents>media>Yr 13>film>footage 8 Videofile 00.00.05 DSC_2732.MOV Filmedwell. Crop to settimings. Documents>media>Yr 13>film>footage 9 Videofile 00.00.06 DSC_2726.MOV Filmedwell.Crop to settimings. Documents>media>Yr 13>film>footage 10 Videofile 00.00.08 DSC_2725.MOV Filmedwell.Crop to settimings. Documents>media>Yr 13>film>footage 11 Videofile 00.00.14 DSC_2727.MOV Filmedwell.Crop to settimings. Documents>media>Yr 13>film>footage 12 Videofile 00.00.10 DSC_2728.MOV Filmedwell.Crop to settimings. Documents>media>Yr 13>film>footage 13 Videofile 00.00.05 DSC_2729.MOV Filmedwell.Crop to settimings. Documents>media>Yr 13>film>footage 14 Videofile 00.00.05 DSC_2730.MOV Filmedwell.Crop to settimings. Documents>media>Yr 13>film>footage 15 Videofile 00.00.05 DSC_2731.MOV Filmedwell.Crop to settimings. Documents>media>Yr 13>film>footage 16 Videofile 00.00.16 DSC_2721.MOV Bit shaky.Edit out wind. Documents>media>Yr 13>film>footage 17 Videofile 00.00.03 DSC_2722.MOV Crop to timings. Documents>media>Yr 13>film>footage
  • 2.
    18 Videofile 00.00.06DSC_2723.MOV Editout wind. Documents>media>Yr 13>film>footage 19 Videofile 00.00.18 DSC_2724.MOV Crop to timings. Centralise. Documents>media>Yr 13>film>footage 20 Videofile 00.00.40 DSC_2799.MOV Speedup gradually. Documents>media>Yr 13>film>footage 21 Videofile 00.00.15 DSC_2741.MOV Crop to timings. Documents>media>Yr 13>film>footage 22 Videofile 00.00.40 DSC_2745.MOV Cut intosections for increase in paper. Documents>media>Yr 13>film>footage 23 Videofile 00.00.04 DSC_2748.MOV No editing needed. Documents>media>Yr 13>film>footage 24 Videofile 00.00.05 DSC_2747.MOV No editing needed. Documents>media>Yr 13>film>footage 25 Videofile 00.00.04 DSC_2784.MOV No editing needed. Documents>media>Yr 13>film>footage 26 Videofile 00.00.04 DSC_2785.MOV Crop to timings. Documents>media>Yr 13>film>footage 27 Videofile 00.00.03 DSC_2786.MOV No editing needed. Documents>media>Yr 13>film>footage 28 Videofile 00.00.04 DSC_2787.MOV Bit shakybut usable. Documents>media>Yr 13>film>footage 29 Videofile 00.00.08 DSC_2782.MOV Crop to timings. Editout wind. Documents>media>Yr 13>film>footage 30 Videofile 00.00.03 DSC_2864.MOV Bit shakybut usable. Documents>media>Yr 13>film>footage 31 Videofile 00.00.05 DSC_2836.MOV May needtobe brightened. Documents>media>Yr 13>film>footage 32 Videofile 00.00.04 DSC_2837.MOV No editing needed. Documents>media>Yr 13>film>footage 33 Videofile 00.00.06 DSC_2831.MOV Crop to timings. Documents>media>Yr 13>film>footage 34 Videofile 00.00.13 DSC_2827.MOV Crop to timings. Documents>media>Yr 13>film>footage 35 Videofile 00.00.07 DSC_2829.MOV Crop to timings. May needtobe brightened. Documents>media>Yr 13>film>footage 36 Videofile 00.00.28 DSC_2838.MOV Crop to right section. Documents>media>Yr 13>film>footage 37 Videofile 00.00.05 DSC_2794.MOV May needtobe brightened. Documents>media>Yr 13>film>footage 38 Videofile 00.00.06 DSC_2791.MOV Zoomin and crop to timings. Documents>media>Yr 13>film>footage 39 Videofile 00.00.06 DSC_2845.MOV Crop to timings. Documents>media>Yr 13>film>footage 40 Videofile 00.00.42 DSC_2847.MOV Crop to bestcoin drop. Documents>media>Yr 13>film>footage 41 Videofile 00.00.14 DSC_2770.MOV Crop to timings. Documents>media>Yr 13>film>footage 42 Videofile 00.00.06 DSC_2771.MOV No editing needed. Documents>media>Yr 13>film>footage 43 Videofile 00.00.04 DSC_2773.MOV No editing needed. Documents>media>Yr 13>film>footage 44 Videofile 00.00.05 DSC_2774.MOV No editing needed. Documents>media>Yr 13>film>footage
  • 3.
    45 Videofile 00.00.03DSC_2776.MOV No editing needed. Documents>media>Yr 13>film>footage 46 Videofile 00.00.04 DSC_2855.MOV No editing needed. Documents>media>Yr 13>film>footage 47 Videofile 00.00.08 DSC_2856.MOV Crop to envelope beingopened. Documents>media>Yr 13>film>footage 48 Videofile 00.00.03 DSC_2857.MOV No editing needed. Documents>media>Yr 13>film>footage 49 Videofile 00.00.10 DSC_2777.MOV Bit outof focus on parts. Documents>media>Yr 13>film>footage 50 Videofile 00.00.05 DSC_2849.MOV Zoomto fill screen. Documents>media>Yr 13>film>footage 51 Videofile 00.00.08 DSC_2751.MOV Crop shorter. Documents>media>Yr 13>film>footage 52 Videofile 00.00.04 DSC_2754.MOV No editing needed. Documents>media>Yr 13>film>footage 53 Videofile 00.00.03 DSC_2755.MOV Crop shorter. Documents>media>Yr 13>film>footage 54 Videofile 00.00.04 DSC_2752.MOV Crop shorter. Documents>media>Yr 13>film>footage 55 Videofile 00.00.10 DSC_2762.MOV Cut outshaky parts. Documents>media>Yr 13>film>footage 56 Videofile 00.00.27 DSC_2876.MOV Crop to eliminate shakiness. Documents>media>Yr 13>film>footage 57 Videofile 00.00.23 DSC_2933.MOV Crop to show rightside of leaf. Documents>media>Yr 13>film>footage 58 Videofile 00.00.13 DSC_2934.MOV Crop to ending whensuncomes through. Documents>media>Yr 13>film>footage 59 Videofile 00.00.29 DSC_2955.MOV Crop to section that’snot shaky. Documents>media>Yr 13>film>footage 60 Videofile 00.00.53 DSC_2929.MOV Selectbest waterdrop. Documents>media>Yr 13>film>footage 61 Videofile 00.00.52 DSC_2966.MOV Selecttobest ripple. Documents>media>Yr 13>film>footage 62 Videofile 00.00.12 DSC_2971.MOV Crop to timings. Documents>media>Yr 13>film>footage 63 Videofile 00.00.04 DSC_2869.MOV No editing needed. Documents>media>Yr 13>film>footage 64 Videofile 00.00.24 DSC_2965.MOV Speedup slightly. Documents>media>Yr 13>film>footage 65 Videofile 00.00.14 DSC_2968.MOV Slow down. Documents>media>Yr 13>film>footage 66 Videofile 00.00.06 DSC_2969.MOV Slow down. Documents>media>Yr 13>film>footage 67 Videofile 00.00.22 DSC_2957.MOV Crop out shakiness. Documents>media>Yr 13>film>footage 68 Videofile 00.00.39 DSC_2959.MOV Use section that’sin focus. Documents>media>Yr 13>film>footage
  • 4.
    69 Videofile 00.00.12DSC_2962.MOV Cut outtalking at end. Documents>media>Yr 13>film>footage 70 Videofile 00.0043 DSC_2964.MOV Crop downto timings. Documents>media>Yr 13>film>footage 71 Videofile 00.00.06 DSC_2723.MOV Slow down. Documents>media>Yr 13>film>footage 72 Videofile 00.00.18 DSC_2724.MOV Crop to better section. Documents>media>Yr 13>film>footage 73 Videofile 00.00.42 DSC_2847.MOV Use sectionat endand slow down. Documents>media>Yr 13>film>footage 74 Videofile 00.00.10 DSC_2762.MOV Use better section. Documents>media>Yr 13>film>footage