PROJECT REPORT
ON
CUSTOMERS’ ATTITUDE AND COMPETITORS’
RESPONSE TOWARDS LAUNCH OF R-JIO
In fulfillment of Graduation in Commerce
By
ARUN KUMAR SINGH
142008
Under the guidance of
PROFESSOR V. K. GANGAL
DEPARTMENT OF APPLIED BUSINESS ECONOMICS
FACULTY OF COMMERCE
DAYALBAGH EDUCATIONAL INSTITUTE,
AGRA-282005
CERTIFICATE
This is to certify that the Industrial Project entitled “CUSTOMER’S ATTITUDE AND COMPETITORS’S
RESPONSE TOWARDS LAUNCH OF R-JIO”, submitted by Mr. Arun Kumar Singh to Dept. of Applied
Business Economics, Faculty of Commerce, Dayalbagh Educational Institute (Deemed University),
Dayalbagh, Agra, for the award of Degree of Bachelor of Commerce, has been completed within stipulated
period in my guidance.
To the best of my knowledge and belief this work has not formed the basis for the award of this or any other
degree or similar title of this or any other university. All references and various sources made use of in this
research project have been duly acknowledged and the thesis of accepted standard of contents and presentation
has been submitted for the consideration of the award of the degree.
Prof. Vijay Kumar Gangal Prof. S. P. Kaushik
(Professor) (Dean & H.O.D)
Dept. of Applied Business Economics,
Faculty of Commerce,
Dayalbagh Educational Institute,
Dayalbagh, Agra
Scanned by CamScanner
STUDENT DECLARATION
This is to declare that this Industrial Project report on “CUSTOMER’S ATTITUDE AND
COMPETITORS’S RESPONSE TOWARDS LAUNCH OF R-JIO” is a record of genuine
work done by me under the guidance of PROFESSOR V. K. GANGAL in the fulfillment of
the requirement for GRADUATION IN COMMERCE.
I declare that this industrial project report is original and not submitted to any other
university before.
Signature of the Student:
Student’s Name : Arun Kumar Singh
Roll No : 142008
ACKNOWLEDGEMENT
I have taken efforts in this project. However, it would not have been possible
without the kind support and help of many individuals. I would like to extend my
sincere thanks to all of them.
I am highly indebted to PROFESSOR VIJAY KUMAR GANGAL, my project
guide for his guidance and constant supervision as well as for providing necessary
information regarding the project & also for his support in completing the project.
I would like to express my gratitude towards my parents & faculty members of
Commerce faculty, Dayalbagh Educational Institute, Agra for their kind co-
operation and encouragement which helped me in completion of this project. I
would like to express my special gratitude and thanks to all my survey audience for
giving me such attention and time.
My thanks and appreciations also go to my classmates in developing the project
and people who have willingly helped me out with their abilities.
-Arun Kumar Singh
CONTENTS
CERTIFICATE
ABSTRACT
DECLARATION
ACKNOWLDGEMENT
CHAPTER 1 - INTRODUCTION TO THE TOPIC
1. INTRODUCTION TO THE INDIAN
TELECOMMUNICATION SECTOR
2. IMPORTANT STATISTICS
3. MAJOR PLAYERS IN THE INDIAN TELECOM SECTOR
4. INTRODUCTION TO RELIANCE JIO
5. COMPANY PROFILE- R-JIO
CHAPTER 2 – RESEARCH SYNTHESIS
1. REVIEW OF LITERATURE
2. RESEARCH GAP
3. NEED OF THE STUDY
4. OBJECTIVES OF THE STUDY
5. RESEARCH METHODOLOGY
6. LIMITATIONS OF THE STUDY
7. SCOPE FOR FURTHER STUDY
CHAPTER 3- ANALYSIS & INTERPRETATION OD DATA
CHAPTER 4- FINDINGS OF THE STUDY
CHAPTER 5- CONCLUSION AND SUGGESTIONS
ANNEXURES –
1. REFERENCES AND BIBLIOGRAPHY
2. QUESTIONNAIRE
CHAPTER 1
INTRODUCTION TO THE
TOPIC
1. INTRODUCTION TO INDIAN TELECOMMUNICATION SECTOR
2. IMPORTANT STATISTICS
3. MAJOR PLAYERS IN INDIAN TELECOM INDUSTRY
4. INTRODUCTION TO R-JIO
5. COMPANY PROFILE- RELIANCE JIO
INTRODUCTION TO INDIAN TELECOMMUNICATION
SECTOR
India is currently the world’s second-largest telecommunications market and has registered strong growth in the
past decade and half. The Indian mobile economy is growing rapidly and will contribute substantially to India’s
Gross Domestic Product (GDP), according to report prepared by GSM Association (GSMA) in collaboration
with the Boston Consulting Group (BCG).
The liberal and reformist policies of the Government of India have been instrumental along with strong
consumer demand in the rapid growth in the Indian telecom sector. The government has enabled easy market
access to telecom equipment and a fair and proactive regulatory framework that has ensured availability of
telecom services to consumer at affordable prices. The deregulation of Foreign Direct Investment (FDI) norms
has made the sector one of the fastest growing and a top five employment opportunity generator in the country.
The Indian telecom sector is expected to generate four million direct and indirect jobs over the next five years
according to estimates by Randstad India. The employment opportunities are expected to be created due to
combination of government’s efforts to increase penetration in rural areas and the rapid increase in smartphone
sales and rising internet usage.
International Data Corporation (IDC) predicts India to overtake US as the second-largest smartphone market
globally by 2017 and to maintain high growth rate over the next few years as people switch to smartphones and
gradually upgrade to 4G.
Driven by strong adoption of data consumption on handheld devices, the total mobile services market revenue
in India is expected to touch US$ 37 billion in 2017, registering a Compound Annual Growth Rate (CAGR) of
5.2 per cent between 2014 and 2017, according to research firm IDC.
According to a report by leading research firm Market Research Store, the Indian telecommunication services
market will likely grow by 10.3 per cent year-on-year to reach US$ 103.9 billion by 2020.
According to the Ericsson Mobility Report India, smartphone subscriptions in India is expected to increase four-
fold to 810 million users by 2021, while the total smartphone traffic is expected to grow seventeen-fold to 4.2
Exabytes (EB) per month by 2021.
According to a study by GSMA, smartphones are expected to account for two out of every three mobile
connections globally by 2020 making India the fourth largest smartphone market. India is expected to lead in
the growth of smartphone adoption globally with an estimated net addition of 350 million by year 2020.## Total
number of smartphone shipments in India stood at 25.8 million units in the quarter ending December 2016, and
smartphone shipments during 2016 stood at 109.1 million units, up by 5.2 per cent year-on-year. Broadband
services user-base in India is expected to grow to 250 million connections by 2017.
IMPORTANT STATISTICS
The total telecom subscribers in India stood at 1,151.78 million as per the telecom subscription data released by
the Telecom Regulatory Authority of India (TRAI) for December 2016. The urban subscription increased from
659.03 million during November 2016 to 683.14 million during December 2016. Further, the rural subscription
also increased from 464.93 million to 468.64 million during the same period.
In addition, the total wireless subscriber base increased from 1,099.51 million during November 2016 to
1,127.37 million during December 2016. However, the wireline subscriber base declined from 24.44 million to
24.40 million during the same period.
Meanwhile, the number of broadband subscribers increased from 218.27 million during November 2016 to
236.09 million during December 2016.
MAJOR PLAYERS IN INDIAN TELECOM INDUSTRY
 Airtel
Corporate office – New Delhi | Establishment – 1986 |
Bharti Airtel Limited is India’s largest telecom company headquartered in New Delhi. Founded by Sunil Mittal
in 1986 the company is fourth largest mobile operator in the world. Products offered by company includes
mobile commerce, 2G, 3G and 4G wireless services, fixed line services, IPTV, high speed DSL broadband,
DTH and enterprise services.
 Vodafone
Corporate office – London, United Kingdom | Establishment – 1991 |
Vodafone is a leading global telecommunications company with operations in over 30 countries. Headquartered
in London, the company ranks amongst the top 4 telecom companies globally in terms of subscribers and
revenues. Company owns 45% of Verizon Wireless, the largest mobile telecom company in the US measured
by subscribers.
 Idea
Corporate office – Mumbai, Maharashtra | Establishment – 1995 |
An Aditya Birla Group Company with over 121 million customers . Idea is India among of the top 5 telecom
companies which is offering 2G and 3G services with a traffic of about 1.5 billion minutes a day.
 Reliance
Corporate office – Navi Mumbai, Maharashtra | Establishment – 2004 |
Reliance Communications a flagship company of Reliance Group was established in 2004 and is the second
largest telecom operator in India. Headquartered in Navi Mumbai, the company has more than 150 million
subscribers. The company’s product offerings include wireless, broadband, national and international long
distance services.
 Aircel
Corporate office – Chennai, Tamilnadu | Establishment – 1999 |
Aircel group provides messaging, wireless voice and data services in India. It is a joint venture between Sindya
Securities & Investments Private Limited and Maxis Communications Berhad of Malaysia.
 BSNL
Corporate office – New Delhi | Establishment – 2000 |
Bharat Sanchar Nigam Limited is a state-owned telecommunications service provider established on 15
September 2000. It is the fourth largest mobile telephony provider and largest provider of fixed telephony in
India.
 Tata docomo
Corporate office – New Delhi | Establishment – 2008 |
A Tata Group company providing cellular service on the GSM, CDMA and platform . It is among the top
telecom companies in India and the first Indian telecom company to launch 3G services in India.
 MTNL
Corporate office – New Delhi | Establishment – 1986 |
Mahanagar Telephone Nigam Limited is an Indian state-owned telecommunications company headquartered in
New Delhi. MTNL provides services in New Delhi and Mumbai in India and Mauritius in Africa. It was
incorporated in the year 1986.
 Telenor
Corporate office – Gurgaon, India | Establishment – 2009 |
Uninor is an Indian mobile service provider based in Gurgaon. It is a Telenor Group company offering mobile
data and voice services based on the GSM platform. The company has over three crore subscribers in Goa,
Gujarat, Andhra Pradesh, Uttarkhand, Bihar, Uttar Pradesh, Jharkhand and Maharashtra.
INTRODUCTION TO R-JIO
Jio is a Mumbai-based provider of 4G internet, mobile telephony, broadband services, and digital services in
India. Formerly known as Infotel Broadband Services Limited, Jio provides 4G services on a pan-India level
using LTE technology. The telecom leg of Reliance Industries Limited, it was incorporated in 2007.
The services were beta-launched to Jio's partners and employees on 27 December, 2015 on the eve of 83rd birth
anniversary of late Dhirubhai Ambani, founder of Reliance Industries. On September 5, 2016, Jio commercially
launched its 4G services. With its minimal data & voice tariffs, it has started a near rear revolution in the
telecom industry.
COMPANY PROFILE- RELIANCE JIO
Jio's headquarters in RCP, Navi Mumbai
Formerly called
 Infotel Broadband Services Limited (2009 - 2013)
 Reliance Jio Infocomm Limited (2013 - 2015)
Type Subsidiary
Industry Telecommunications
Headquarters
Navi Mumbai, Maharashtra, India
Key people
Sanjay Mashruwalla (Managing Director)
Jyotindra Thacker (Head of IT)
Akash Ambani (Chief of Strategy)
Parent
Reliance Industries
Subsidiaries LYF
Website
www.jio.com
CHAPTER 2
RESEARCH SYNTHESIS
1. REVIEW OF LITERATURE
2. REVIEW OF ARTICLES
3. RESEARCH GAP
4. NEED OF THE STUDY
5. OBJECTIVES OF THE STUDY
6. RESEARCH METHODOLOGY
7. LIMITATIONS OF THE STUDY
8. SCOPE FOR FURTHER STUDY
RESEARCH PAPERS
SR.
NO.
AUTHOR YEAR
TITLE OF THE
PAPER
OBJECTIVES FINDINGS/ CONCLUSION
1 Arun Prasath , R. 2016 A Study on Consumer
Attitude Towards
Mobile Phone Service
Providers in Tamil
Nadu
To study the consumers’ attitude
towards various service offered
by mobile service provider
In this research 133 respondents WERE
male and 67 respondents are female. The
majority of the respondents Were in this
research of Rs 10,000 to Rs 15, 000
income category. Depends upon the
income basis they were using prepaid and
post paid connections. Among the
respondents Vodafone customers are
highly satisfied. Majority respondents are
having prepaid sim cards. The respondents
feel the poor call drop facility in the Aircel
and Airtel network. Customers are highly
satisfied with the VAS (Value Added
Service) in Airtel and Vodafone network.
The respondents satisfied in the good
customer are service in Aircel services.
Majority of the respondents said that the
sales promotion offer were good in Airtel,
Aircel and Vodafone. The consumer feel
that the voice clarity in Vodafone and
BSNL networks.
2 Rodrigues, Sean 2015 A study to understand
the market potential of
reliance JIO 4g
services in Dahisar east
area of
Mumbai
To study and analyze the
customer’s preference for 4G
Services.
 One of the major reason quite a lot
retailers do not sell reliance
services its because they get less
margin when compares to other
network providers.
 Reliance needs to put a lot of effort
into improving the connectivity
issue that most of the customers
face.
3 Pandiya Dinesh
& Brajesh
Kumar
2014 A Study of Customer
satisfaction on
Telecom
Service Providers
To probe the customers’
satisfaction on cellular services
on the basis of some fourteen
such service counts that the
cellular service providers offered
to the customers in the present
market scenario
The study indicates that the customers
have shown their satisfaction on GPRS
service (3.34), festival offer service (3.32),
free roaming service (3.29), validity
service (3.21), bonus service (3.36) and
online recharge service (4.5). However the
customers have re ected their
dissatisfaction with the service quality of
network (2.9), customer care (2.94), SMS
packs (2.74), free talk time (3.16),
connection charges (3.71), Ease of
availability of the retailer selling recharge
coupon (3.12), Ease of availability of
retailers transferring recharge voucher
(3.06). As far as the performances of the
cellular service providers are concerned,
the performances of Vodafone and
Reliance were found to be satisfactory
whereas the performances of BSNL and
Airtel were found to be dissatisfactory
since the overall satisfaction scores of the
customers of these latter brands were
below the standard i.e. 3.19. Moreover, out
of two performers i.e. Vodafone and
Reliance, the customers of Vodafone were
found to be more satisfied than the
customers of Reliance.
4 Anand Shankar
Raja, M.
2014 A Study on Customer
Satisfaction Towards
BSNL With Special
Reference to the City
of Coimbatore
 To find out the customer
satisfaction towards
BSNL in Coimbatore
 To analyze the factors
in uencing the use of
cellular service
 The means to know about BSNL
shows that 45% of the
respondents are known to this
product by their friends,
40% by advertisements and 15%
by their relatives.
 The nature of usage shows that
55% of the respondents
use 2G sim and other 45% use 3G
sim.
 The maximum number of
respondents is satisfied with the
Add-on service provided by BSNL
5 Ramadhani,
Nshakabatenda .
&. Vaishali
B.Satpute
2014 A Study on Consumer
Perception towards
Adoption of 4G
Mobile Technologies
in Rwanda
 To study awareness of
4G technology in
mobiles & internet users
in Rwanda
 To study the perception
of mobile & internet
users towards adoption
of 4G technology in
Rwanda
 To study the factors
affecting behavioral
intentions (BI) of mobile
& internet users in
Rwanda towards
adoption of 4G
technology
 4G technology is considered to be
a better option to present 3G
technology, as the speed of
internet, web browsing is not
satisfactory to most of the
respondents
 Irrespective of age & class of
respondents, the factors under
study i.e. PU, PEH, ATD & Price
has shown a significant impact on
Intention (BI) of respondents
towards adoption of 4G services in
Rwanda.
 Price has a major impact on
adoption of 4G technology in
Kigali city, as most of the
respondents are students & as
compare to 3G, they are expecting
the new 4G technology will be not
an economical affair for them.
6 Bhukya, Ramulu
and Dr. Sapna
Singh
2013 Brand preference of
students towards
choosing
cellular service
providers in Hyderabad
city
 To study the attributes
considered by students
while choosing a
particular cellular service
provider
 To identify the factors
influencing the choice of
service provider among
students.
Various attributes considered
important and crucial for selection of
service provider are Network
Coverage, Tariff plans and Customer
Services by both male and female
students. According to the students the
important factors are friends followed
by advertisement and family members
next only comes in Dealer and
Relatives. It is noted that Brand
Loyalty is the least considered
attributes among students.
7 Kavitha, T.N.R. 2012 A Study On Customer
Satisfaction Towards
VODAFONE With
Special Reference to
Dharampuri [District]
 To study the satisfaction
level of the respondents
towards the service
provided by Vodafone.
 Forty eight per cent of respondents
are feeling highly satisfied with
Vodafone network.
 Thirty eight per cent of
respondents are feeling satisfied
with Vodafone customer care.
 Forty eight per cent of respondents
are feel satisfied with Vodafone
other sim card.
 Sixty two per cent of respondents
are feeling satisfied with Vodafone
call cost.
 Fifty eight per cent of respondents
are feeling satisfied with Vodafone
mobile internet.
 Forty two per cent of respondents
are feeling dissatisfied with
Vodafone 3G plans
8 Ramesh, M. 2012 Consumer Behaviour
Towards Mobile Tele
Services: A Case Study
At Visakhapatnam City
 To study the choice of
brands by the consumers
and the reasons for the
same and
 To evaluate the
respondents perception
on cellular services.
 48 percent of the respondents agree
with the statement that cell phone
is cheaper mode of
communication.
 82.5 percent of both the male and
female respondents are satisfied
with their mobile
services.
 Majority of the respondents (30
Percent) opinion that billing pattern
offered by the
mobile services is fair.
 Majority of the respondents (60
percent) are satisfied with the
advertisement given by
mobile services.
9 Rajeshwari, M.
and J. Jayaprada
2011 A study on consumer
brand loyalty and
consumer shift towards
mobile service
providers with special
reference to Tata
Docomo services ltd
 To study the consumer
loyalty towards mobile
service providers (SIM
card changing behavior)
 To study awareness of
TATA DOCOMO
services in the market.
 To study the consumer
perception of TATA
DOCOMO services.
 Shift behavior is more rampant
among student community and
least among business people as
business people want to be more
connected because of their business
network.
 It is found that the reasons for not
changing SIM cards are losing
connectivity with friends, brand
loyalty satisfaction with present
service, same network benefits and
Sms packages of present SIM
cards.
 57 (23%) of the respondents have
shown their willingness to shift
towards Tata Docomo, incase if
they want to change. 50 (20%)
people want to shift to Airtel.
 It was found that 215 (86 %) of
respondents are aware of Tata
Docomo mobile services and
Remaining 35 (14 %) respondents
are not aware of Tata Docomo.
10 Selvarasu, A.
and Loganathan
2006 GSM Mobile Service
in Telecom Sector: An
Ontology of Quality of
Service
To analyze various factors
responsible for customer
satisfaction in GSM mobile
service market
Researcher identified that the important
factors in influencing the customer
satisfaction in GSM mobile service market
are basic services, net work performance,
value added services, recharging
comfortability, customer care support and
internet support.
11 Ray, Subhasis
and Avishek
Sarkar
2006 Analysing influence of
Brand Vis-à- vis. Price
in Indian Mobile
industry
To study the relationship
between brand and price in
telecom industry
Researcher examined the influence of the
brand name in customer loyalty. They
identified that there is a significant
positive impact of brand name of the
service provider on the customer
loyalty.
12 Banumathy, S.
and Kalaivani
2006 Customers’ Attitude
Towards Cell Phone
Services in
Communication
System
 To identify the factors
affecting preference of
customers towards
cellular services
 To analyze level of
satisfaction in respect of
different service
providers
The given study revealed that majority of
respondents form the services provided by
the mobile services. The important reasons
for choosing cell phone are facility to
identify the missed calls, more
convenience and low cost. The level of
satisfaction among the consumers is found
to be as higher in the case of Aircel
and BSNL, whereas, it is lesser in the case
of Reliance and Airtel
13 Anita Seth,
Kiran Momaya
and H.M.Gupta.
2005 An Exploratory
Investigation of
Customer Loyalty and
Retention in Cellular
Mobile Comm.
 To study the various
factors responsible for
non-switching
 To study the various
factors responsible for
customer switching
Researcher mentioned that the important
reasons for non-switching from one
service provider to another are the cost and
energy involved in informing so many
people about change in their number,
confusion regarding the service offerings
and complex tariff plans provided by other
competitors, whereas, the reason for
switching is dissatisfaction with their
current service providers owing to the
hidden costs and other factors
14 Inger Roos, Bo
Edvardsson and
Gustafsson
2004 Customers Switching
Patterns in competitive
and non-competitive
service Industries
To study the trend and reasons
for switching of customers in
several industries
Researchers identified that the switching
options are comparatively new to
Telecommunication customers in the
Nordic countries. This affects switching
behaviour. The market has been turbulent
for the same reasons, which in turn
encourages low offers from new
competitors. From the traditional
Government owned telecommunications
company’s point of view, customers can
only partly switch and therefore perceive
the network to constitute switching
barriers.
ARTICLES
SR.
NO
AUTHOR TOPIC PUBLISHING DETAILS CONCLUSION
1
Jai Bhatia and
Adwait Rao Palepu
Reliance JIO- Predatory Pricing
or Predatory Behaviour
Published in Political and Economic
Weekly on 24 Sep, 2016
The author suggested that rather than
pricing of R-JIO, the behavior of R-JIO is
predatory. This conclusion was backed
by various facts like using of photograph
of Prime Minster of India in the
advertisement of R-JIO, expectations of
management to earn most of its revenue
from data rather than voice, company’s
statement that it will create 100 million
customers in shortest duration of time, etc
2 Kalyan Parbat
Reliance JIO effect : Grim future
for small telcos like Aircel,
Telenor
Published in Economic Times on 03
September, 2016
Analysts protend a grim future for small
moperators such as Aircel, Tata
Teleservices, Telenor India as Reliance
unveils what may well be the world’s
may well the world’s cheapest data plans.
The conclusion given by author was
backed by the views of analysts of HSBC
and Deutsche Bank
3
Amit Bapna, Ravi
Balakrishnan and
Shephali Bhatt
The war over data has a new
enemy- Reliance JIO
Published in Economic Times on 23
November, 2016
The author has suggested that data by
itself, could well earn the moniker for
being the most ubiquitous term used by
chief executives across categories.
4 Kalyan Parbat
Vodafone most vulnerable to
JIO’s disruptive pricing :
ANALYSTS
Published in Economic Times on 22
November,2016
According to analysts, Vodafone doesn’t
appear to have taken JIO’s entry too
seriously and is clearly lagging behind,
and so far from rolling out a comparable
pan-India 4G network. This view was
backed by Edelweiss and analysts at
Motiwal Oswal
5 Upasana Jain
Reliance JIO free offer impact on
rivals likely by Q3: ANALYSTS
Published on LiveMint.com on 25
October, 2016
Analysts have expressed possibility that
the impact of freebies being offered by
R-JIO will show its impact on the market
by year end. Morgan and Stanley have
backed this view.
RESEARCH GAP
All the studies reviewed by the researcher under this research are conducted either to analyze the response of
market or perspective of customers towards the launch of a particular product. No study has been that
comprehensive to include both the aspects under a single umbrella. The given study conducted by the researcher
has covered both- competitors’ response as well as customers’ attitude towards launch of R-JIO.
NEED FOR STUDY
Telecommunication industry is one of the major industries in India contributing quite a fortune towards GDP.
Thus anything which may have a significant impact over this industry is of utmost importance.
R-JIO has been triumphantly launched all over India offering telecommunication services at substantially lower
rates as compared to its competitors. This has started a new phase of competition in the market. Launch of R-
JIO is being seen as one of the biggest technological revolution in the telecom industry. From a phase of voice
utility, it has shifted the focus of customer towards data utility. Telecommunication industry is expected to
experience a new level of cost efficiency and market penetration with such new rates.
Also, R-JIO is being seen as a significant threat to its competitors. It is seen that since the launch of R-JIO, all
the major players in the market have responded to the aggressive marketing tactics of R-JIO in one way or the
other. Players like BSNL, IDEA & Airtel have decided to launch new cheaper plans. Vodafone have increased
the validity of its plans. RCOM & Aircel have announced their merger. Also in the near future, major plans are
expected to be launched by these businesses. All this has induced the need to conduct this study.
On the other hand, since the day R-JIO started its operations there are rumors in the market that R-JIO is not
performing as per its promises. It is being said that procedure for obtaining and initiating R-JIO simcard is quite
a hectic process. That is why there is need to conduct a study to analyze consumers’ perspective & satisfaction
level for R-JIO.
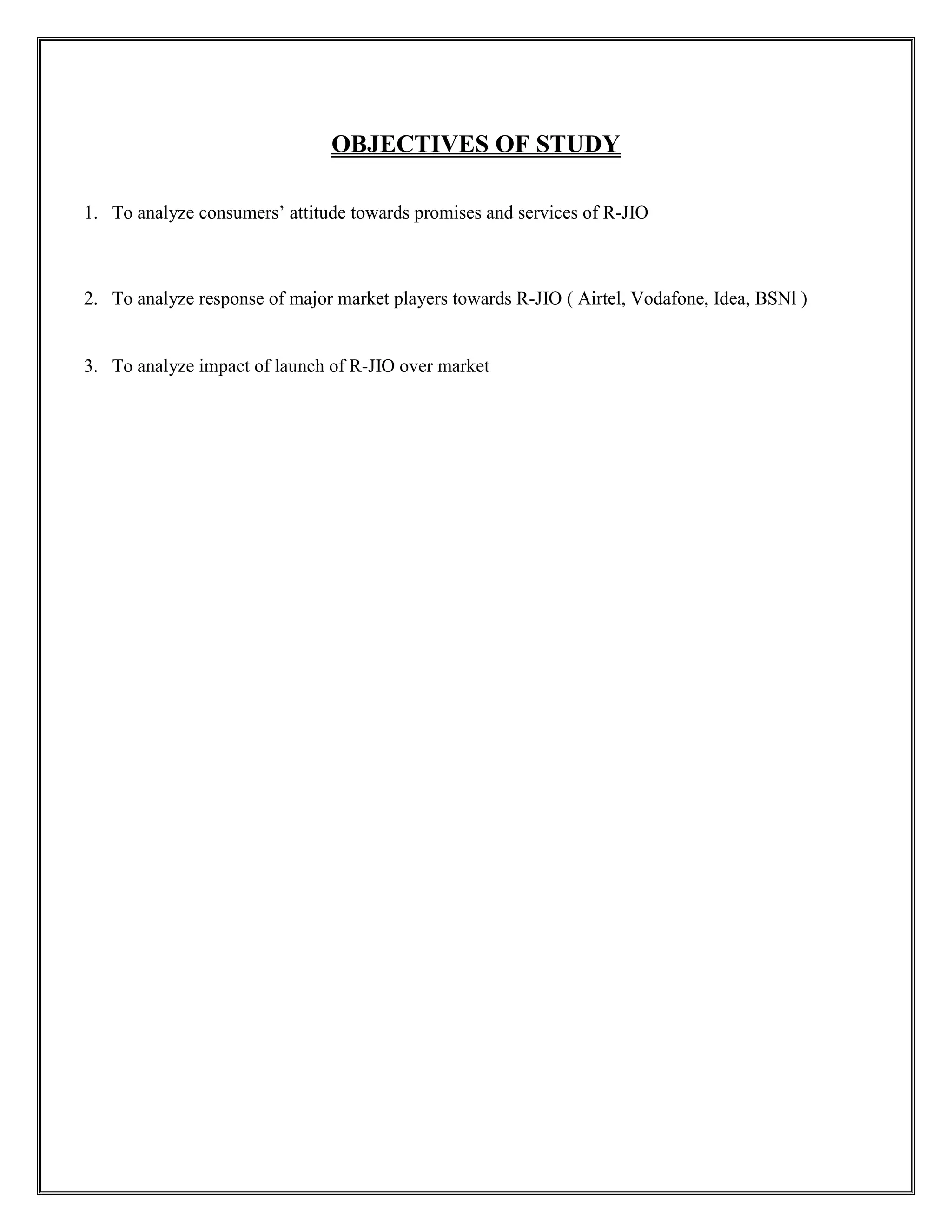
OBJECTIVES OF STUDY
1. To analyze consumers’ attitude towards promises and services of R-JIO
2. To analyze response of major market players towards R-JIO ( Airtel, Vodafone, Idea, BSNl )
3. To analyze impact of launch of R-JIO over market
RESEARCH METHODOLOGY
TYPE Analytical research
METHOD OF DATA COLLECTION Field survey & secondary sources
SAMPLING TYPE Convenient sampling
SAMPLE SIZE 200 R-JIO users
AREA Agra city
SOURCES OF DATA
Secondary and primary data have been used by the researcher for the fulfillment of stated objectives.
Primary data has been collected from field survey with the help of a structured questionnaire filled by 200 R-
JIO users. Secondary data sources include:
1. Online articles- www.quora.com
www.economictimes.com
www.timesofindia.com
www.hindu.com
2. Websites- www.trai.gov.in
www.vodafone.in
www.airtel_live.in
www.idea.co.in & others
OBJECTIVE WISE DESCRIPTION OF METHODOLOGY
Objective 1- To analyze consumers’ attitude towards promises and services of R-JIO
In order to fulfill the above mentioned objective, the researcher has collected primary data from field survey
with the help of self-structured questionnaire. This questionnaire has been exclusively filled by 200 R-JIO
customers. Statistical tools used during the study are weighted average & percentage.
Objective 2- To analyze response of major market players towards R-JIO ( Airtel, Vodafone, Idea,)
In order to fulfill the above stated objective, the researcher has used secondary data collected from above
mentioned sources. Official websites of various service providers have been used to obtain information about
their offers and plans as well as to make a comparative study between the services provided by JIO and its
competitors.
Objective 3- To analyze impact of launch of R-JIO over market
To fulfill the above stated objective, the researcher has made an attempt to analyze the impact of launch
of R-JIO over the market with the help of TREND analysis and Time Series regression analysis of subscriber
base & market share of R-JIO AND ITS COMPETITORS. Information regarding change in customer base &
market share has been obtained from annual reports of TRAI.
STATISTICAL TOOLS
Tools for analysis
1. Weighted Mean
2. Percentage
3. Trend analysis & Correlation
4. Time series regression analysis
Tools for presentation of data
1. Bar graph
2. Pie chart
3. Line graph
4. Tabulation
LIMITATIONS OF STUDY
1. Lack of quantitative data – Exact quantitative data for this study are not explicitly available.
Researcher has to resort to best available sources to collect data implicitly. Accuracy of study is subject
to level of rationality in selection of source and accuracy in interpretation by researcher.
2. Lack of authentic sources of data- Though researcher has tried to maintain the sanctity of research to
greatest extent possible but still lack of certified sources of data limits the scope of validity of this
research.
3. Limited scope of study- This study covers only the response of competitors towards R-JIO. It doesn’t
include the analysis of impact of R-JIO over the financial condition of respective businesses.
SCOPE FOR FURTHER STUDY
1. Profitability analysis of R-JIO
2. Impact of R-JIO over the profitability of its competitors
3. Impact of R-JIO over telecom industry in India in long run
CHAPTER 3
ANALYSIS AND
INTERPRETATION
OFDATA
OBJECTIVE 1
OBJECTIVE STATEMENT- To analyze consumers’ attitude towards promises and services of
R-JIO
METHODOLOGY- In order to fulfill the above mentioned objective, the researcher has
collected primary data from field survey of 200 JIO users with the help of self-structured
questionnaire.
ANALYSIS
QUESTION 1
Which is/are your current service providers other than R-JIO?
SERVICE
PROVIDER
IDEA RELIANCE VODAFONE AIRTEL NONE
NUMBER OF
USERS
59 11 32 88 20
59
11
32
88
20
0
10
20
30
40
50
60
70
80
90
100
IDEA
RELIANCE
VODAFONE
AIRTEL
NONE
INTERPRETATION- Most of the respondents avail services of other service providers too
other than Reliance Jio. Majority of them are Airtel users followed by Idea, Vodafone and
Reliance Telecom. 10% of the respondents are exclusive users of Reliance Jio who are not
availing services of any other service providers.
QUESTION 2
How long have you been using R
TIME PERIOD
LESS THAN 1 MONTH
1-3 MONTH
MORE THAN 3 MONTH
INTERPRETATION- Almost half of the respondents have been
than 3 months. Also, a healthy proportion of respondents have been availing services of Reliance
Jio since 1-3 months. So, it can be interpreted that
awareness and experience of Reliance Jio.
49%
DISTRIBUTION OF USERS ON BASIS OF TIME
How long have you been using R-JIO?
TIME PERIOD
DISTRIBUTION OF USERS ON BASIS OF
TIME PERIOD
LESS THAN 1 MONTH 31
71
MONTHS 98
Almost half of the respondents have been using Reliance Jio since more
Also, a healthy proportion of respondents have been availing services of Reliance
So, it can be interpreted that majority of respondents are well of
awareness and experience of Reliance Jio.
15%
36%
DISTRIBUTION OF USERS ON BASIS OF TIME
PERIOD
LESS THAN 1 MONTH
1-3 MONTH
MORE THAN 3 MONTHS
DISTRIBUTION OF USERS ON BASIS OF
TIME PERIOD
Reliance Jio since more
Also, a healthy proportion of respondents have been availing services of Reliance
majority of respondents are well off with the
DISTRIBUTION OF USERS ON BASIS OF TIME
LESS THAN 1 MONTH
3 MONTH
MORE THAN 3 MONTHS
QUESTION 3-
Are you still using your last SIM CARD?
OPTIONS
YES, I AM USING BOTH CARDS SIDE BY SIDE
NO, I HAVE SWITCHED TO R
INTERPRETATION- Majority of respondents are still using their old sim cards side by side
implying that they have not yet fully switched to Reliance Jio for all the purposes. It shows that
customers on major note are reluctant to
phase.
13%
Are you still using your last SIM CARD?
RESPONSES
YES, I AM USING BOTH CARDS SIDE BY SIDE 175
NO, I HAVE SWITCHED TO R-JIO 25
Majority of respondents are still using their old sim cards side by side
implying that they have not yet fully switched to Reliance Jio for all the purposes. It shows that
customers on major note are reluctant to completely switch to a new service provider
87%
YES, I AM USING BOTH CARDS SIDE
BY SIDE
NO, I HAVE SWITCHED TO R
RESPONSES
Majority of respondents are still using their old sim cards side by side
implying that they have not yet fully switched to Reliance Jio for all the purposes. It shows that
switch to a new service provider in early
YES, I AM USING BOTH CARDS SIDE
NO, I HAVE SWITCHED TO R-JIO
QUESTION 4
Is R-JIO your primary choice or secondary choice?
PURPOSE
CALLING
NETSURFING
VIDEO CALLING
SMS SERVICE
OTHER LIKE NET BANKING, ETC
0
20
40
60
80
100
120
140
160
180
200
CALLING NETSURFING
79
161
121
39
JIO your primary choice or secondary choice?
PURPOSE PRIMARY
CALLING 79
NETSURFING 161
VIDEO CALLING 155
SMS SERVICE 138
OTHER LIKE NET BANKING, ETC 97
NETSURFING VIDEO
CALLING
SMS SERVICE OTHER LIKE
NET
BANKING, ETC
155
138
97
45
62
103
SECONDARY
121
39
45
62
103
SECONDARY
PRIMARY
INTERPRETATION- It can be interpreted that degree of preference towards Reliance Jio
differs from purpose to purpose. When it comes to net surfing, video calling & sms service,
Reliance Jio is the primary choice of majority of customers. However, in case of calling and
subsidiary purposes, majority of respondents prefer other service providers over Reliance Jio.
PURPOSES PRIMARY VS SECONDARY
CALLING SECONDARY
NETSURFING PRIMARY
VIDEO CALLING PRIMARY
SMS SERVICE PRIMARY
OTHER LIKE NET BANKING, ETC TOUGH CALL
QUESTION 5
Do you use inbuilt applications of R
OPTIONS
YES
NO
40%
DO YOU USE INBUILD APPLICATIONS OF R
Do you use inbuilt applications of R-JIO?
RESPONSE
121
79
DO YOU USE INBUILD APPLICATIONS OF R
RESPONSE
60%
DO YOU USE INBUILD APPLICATIONS OF R-JIO?
YES
NO
If YES, then which applications do you use?
APPLICATION
JIO CINEMA
JIO TV
JIO MUSIC
JIO MAGS
JIO XPRESS
JIO CHAT
JIO CLOUD
JIO 4G VOICE
JIO MONEY
A JIO
JIO SWITCH
JIO NET
NUMBER OF CUSTOMERS USING JIO APPLICATIONS
JIO NET JIO SWITCH
JIO CHAT JIO XPRESS
If YES, then which applications do you use?
APPLICATION
NUMBER OF CUSTOMERS USING JIO
APPLICATIONS
JIO CINEMA 32
74
JIO MUSIC 31
JIO MAGS 12
JIO XPRESS
JIO CHAT
JIO CLOUD
JIO 4G VOICE 59
JIO MONEY
28
JIO SWITCH
JIO NET 48
NUMBER OF CUSTOMERS USING JIO APPLICATIONS
32
31
12
3
9
0
2
28
0
48
JIO SWITCH A JIO JIO MONEY JIO 4G VOICE
JIO XPRESS JIO MAGS JIO MUSIC JIO TV
NUMBER OF CUSTOMERS USING JIO
APPLICATIONS
32
74
31
12
3
9
0
59
2
28
0
48
74
59
48
JIO CLOUD
JIO CINEMA
INTERPRETATION- It can be interpreted that JIO APPLICATIONS are not that much
popular among the respondents. A major section of respondents i.e. 40% is non-user of JIO
applications. Even the respondents who use these applications are exposed to limited apps only.
Among the users, JIO NET, JIO 4G VOICES & JIO TV have maximum popularity whereas JIO
SWITCH, JIO MONEY, JIO CLOUD, JIO XPRESS & JIO CHAT have minimal usage.
QUESTION 6
How is your experience regarding given aspects of R-JIO services as compared to other
service providers?
ASPECTS OF
SERVICE OF R -
JIO
PEOPLE
GRADING
THE
ASPECT
AS
EXCELLE
NT ( FAR
BETTER)
PEOPLE
GRADING
THE
ASPECT
AS GOOD
(SOMEWH
AT
BETTER)
PEOPLE
GRADING
THE
ASPECT AS
AVERAGE
(EQUILIKE
LY)
PEOPLE
GRADING
THE
ASPECT
AS POOR
(SOMEWH
AT
WORSE)
PEOPLE
GRADIN
G THE
ASPECT
AS VERY
POOR
(FAR
WORSE)
WEIGHTED
AVERAGE OF
PREFERENCE
/GRADE
CONNECTIVITY 11 59 121 9 0 3.36
INTERNET SPEED 29 51 115 5 0 3.52
RECHARGE
PLANS
68 92 15 25 0 4.015
SMS SERVICES 45 85 68 2 0 3.865
INBUILT
APPLICATIONS
40 92 48 20 0 3.76
VALUE ADDED
SERVICES
24 48 105 18 5 3.34
CUSTOMER CARE 0 72 58 44 26 2.88
OVERALL 10 125 58 7 0 3.69
WEIGHTS
ASSIGNED
5 4 3 2 1 ---
0 20 40 60 80 100 120 140
CONNECTIVITY
INTERNET SPEED
RECHARGE PLANS
SMS SERVICES
INBUILT APPLICATIONS
VALUE ADDED SERVICES
CUSTOMER CARE
OVERALL
VERY POOR (FAR WORSE)
POOR (SOMEWHAT WORSE)
AVERAGE (EQUILIKELY)
GOOD (SOMEWHAT BETTER)
EXCELLENT ( FAR BETTER)
INTERPRETATION- On an average, the experience rating of respondents regarding
various aspects of JIO ranges between average and good.
ASPECTS OF SERVICE
OF R -JIO
CONNECTIVITY
INTERNET SPEED
0%
20%
40%
60%
80%
100%
11
29
68
45
59
51
92
85
121 115
15 68
9 5
25
2
On an average, the experience rating of respondents regarding
various aspects of JIO ranges between average and good.
EXPERIENCE STATUS OF RESPONDENTS
On an average, respondents’ satisfaction level with
connectivity of R-JIO has been average. They have been
fairly satisfied with the connectivity of R JIO when
compared with its competitors.
On an average, respondents are quite satisfied with the
internet speed of R- JIO. A weighted average of 3.52 states
that respondents feels that the internet speed of R
slightly better than its competitors.
40
24
0 10
92
48
72
125
48
105
58
58
20 18
44
7
VERY POOR (FAR WORSE)
POOR (SOMEWHAT WORSE)
AVERAGE (EQUILIKELY)
GOOD (SOMEWHAT BETTER)
EXCELLENT ( FAR BETTER)
On an average, the experience rating of respondents regarding
EXPERIENCE STATUS OF RESPONDENTS
an average, respondents’ satisfaction level with
JIO has been average. They have been
fairly satisfied with the connectivity of R JIO when
On an average, respondents are quite satisfied with the
weighted average of 3.52 states
that respondents feels that the internet speed of R- JIO is
VERY POOR (FAR WORSE)
POOR (SOMEWHAT WORSE)
AVERAGE (EQUILIKELY)
GOOD (SOMEWHAT BETTER)
EXCELLENT ( FAR BETTER)
RECHARGE PLANS
On an average, respondents experience have been good
with the recharge plans of R-JIO. With a weighted average
of 4.015, it can be interpreted that in perspective of
respondents, R JIO has clear edge over it’s competitors
when it comes to recharge plans.
SMS SERVICES
On an average, the experience of respondents with sms
services of R JIO has been near to good. It can be
interpreted that R JIO is perceived to have edge over its
competitors when it comes to sms services.
INBUILT
APPLICATIONS
On an average, respondents are positive towards inbuilt
applications of R-JIO. A weighted average of 3.76 shows
that the respondents’ experience with R-JIO has been near
to good.
VALUE ADDED
SERVICES
On an average, respondents’ satisfaction level with VAS of
R-JIO has been average. In respondents’ perspective, VAS
of R JIO are at par with its competitors.
CUSTOMER CARE
On an average, respondents don’t appear to be pretty
satisfied with customer care responses of R JIO. A
weighted average of 2.88 clearly implies that R JIO is worse
than its competitors when it comes to customer care
services.
OVERALL
On an average, respondents experience with R-JIO has
been near to good. A weighted average of 3.69 states that
RESPONDENTS FEELS THAT R JIO IS SOMEWHAT
BETTER THAN ITS COMPETITORS when compared in
totality.
QUESTION 7
According to you, what are the best things about R
OPTIONS
NUMBE
R OF
PEOPLE
ASSIGNI
NG
RANK 1
NUMBE
R OF
PEOPLE
ASSIGNI
NG
RANK 2
MINIMAL
COST
130 30
FASTER 4G
NETWORK
50 110
COMPREHEN
SIVE INBUILT
APPLICATION
S
20 30
VALUE
ADDED
SERVICES
0 10
CUSTOMER
CARE
RESPONSE
AND
AVAILABILIT
Y
0 20
0%
10%
20%
30%
40%
50%
60%
70%
80%
90%
100%
RANK 1 RANK 2
According to you, what are the best things about R-JIO?
NUMBE
R OF
PEOPLE
ASSIGNI
RANK 2
NUMBE
R OF
PEOPLE
ASSIGNI
NG
RANK 3
NUMBE
R OF
PEOPLE
ASSIGNI
NG
RANK 4
NUMBE
R OF
PEOPLE
ASSIGNI
NG
RANK 5
WEIGHTED
AVERAGE
OF
PREFEREN
CES
20 10 10 4.3
10 10 20 4
120 30 0 3.2
20 120 50 1.95
30 30 120 1.75
RANK 3 RANK 4 RANK 5
CUSTOMER CARE RESPONSE
AND AVAILABILITY
VALUE ADDED SERVICES
COMPREHENSIVE INBUILT
APPLICATIONS
FASTER 4G NETWORK
MINIMAL COST
WEIGHTED
AVERAGE
OF
PREFEREN
CES
FINAL
RANK
ASSIGN
ED
4.3
1
4
2
3.2
3
1.95
4
1.75
5
CUSTOMER CARE RESPONSE
AND AVAILABILITY
VALUE ADDED SERVICES
COMPREHENSIVE INBUILT
APPLICATIONS
FASTER 4G NETWORK
MINIMAL COST
INTERPRETATION- On an average, minimal cost of R JO services is the foremost reason
for positive perception of respondents towards R
comprehensive inbuilt applications, & value added services of R JIO. Customer response is
least preferred reason for positive attitude of respondents.
0%
10%
20%
30%
40%
50%
60%
70%
80%
90%
100%
On an average, minimal cost of R JO services is the foremost reason
for positive perception of respondents towards R-JIO. It is followed by faster 4G network,
comprehensive inbuilt applications, & value added services of R JIO. Customer response is
least preferred reason for positive attitude of respondents.
On an average, minimal cost of R JO services is the foremost reason
faster 4G network,
comprehensive inbuilt applications, & value added services of R JIO. Customer response is
RANK 5
RANK 4
RANK 3
RANK 2
RANK 1
QUESTION 8
Do you face any problems with R
OPTIONS
YES
NO
MAYBE
If YES, then which problems do you face?
PROBLEMS
CALL DROP
POOR NETWORK
SLOWER INTERNET
OTHERS
11%
DO YOU FACE ANY PROBLEM WITH R
Do you face any problems with R-JIO services?
DO YOU FACE ANY PROBLEM WITH R
SERVICES?
143
22
35
If YES, then which problems do you face?
NUMBER OF CUSTOMERS FACING VARIOUS
PROBLEMS
110
129
139
3
71%
18%
DO YOU FACE ANY PROBLEM WITH R-JIO SERVICES?
FACE ANY PROBLEM WITH R-JIO
SERVICES?
NUMBER OF CUSTOMERS FACING VARIOUS
JIO SERVICES?
YES
NO
MAYBE
INTERPRETATION- Majority of respondents faces certain problems with services of R-
JIO. Slower internet speed is the most commonly faced problem among the respondents. It is
followed by poor network and call drops. The reason for the given problems is huge traffic
over the limited spectrum of JIO. According to a study of TRAI, per user internet usage over
JIO is much more than other networks. It leads to huge traffic over the network which
ultimately raises the above problems. However, with purchase of more spectrums, JIO is
expected to solve these issues pretty soon.
0
20
40
60
80
100
120
140
160
CALL DROP POOR
NETWORK
SLOWER
INTERNET
OTHERS
NUMBER OF CUSTOMERS FACING VARIOUS
PROBLEMS
NUMBER OF CUSTOMERS FACING
VARIOUS PROBLEMS
QUESTION 9
Will you suggest R-JIO to others?
OPTIONS
YES
NO
MAY BE
INTERPRETATION- Majority of respondents are satisfied enough with R
suggest it to others. Only around 10% of the respondents solicited against suggesting JIO to
others. It fairly implies growth prospect for R
10%
WILL YOU SUGGEST R
JIO to others?
RESPONSE
151
19
30
Majority of respondents are satisfied enough with R-JIO that they could
suggest it to others. Only around 10% of the respondents solicited against suggesting JIO to
fairly implies growth prospect for R-JIO in the future.
75%
15%
WILL YOU SUGGEST R-JIO TO OTHERS?
JIO that they could
suggest it to others. Only around 10% of the respondents solicited against suggesting JIO to
YES
NO
MAY BE
OBJECTIVE 2
OBJECTIVE STATEMENT- To analyze response of major market players towards R-JIO (Airtel, Vodafone,
Idea)
METHODOLOGY- In order to fulfill the above stated objective, the researcher has used secondary data
collected from official websites of various service providers to make a comparative study between the services
provided by competitors of JIO before and after the launch of the service.
ANALYSIS
COMPARATIVE STUDY OF SELECTED PLANS OF AIRTEL BEFORE AND AFTER
LAUNCH OF JIO
 Plan 1
FEATURES
OFFERINGS
BEFORE ARRIVAL
OF JIO
OFFERINGS AFTER
ARRIVAL OF JIO
ANALYSIS OF CHANGE IN
PLAN
PLAN MRP 1599 1494
PRICE REDUCED BY ALMOST
6.5%
VALIDITY 28 DAYS 28 DAYS NO CHANGE
VOICE
CALLING
UNLIMITED UNLIMITED NO CHANGE
DATA 5 GB (4G) 5 GB (4G) NO CHANGE
SMS UNLIMITED UNLIMITED NO CHANGE
 Plan 2
FEATURES OFFERINGS
BEFORE ARRIVAL
OF JIO
OFFERINGS AFTER
ARRIVAL OF JIO
ANALYSIS OF CHANGE IN
PLAN
PLAN MRP 1999 1846
PRICE REDUCED BY MORE
THAN 7.5%
VALIDITY 28 DAYS 28 DAYS NO CHANGE
CALLING UNLIMITED UNLIMITED NO CHANGE
DATA 10 GB (4G) 10 GB (4G) NO CHANGE
SMS UNLIMITED UNLIMITED NO CHANGE
 Plan 3 (Special)
FEATURES
OFFERINGS
BEFORE ARRIVAL
OF JIO
OFFERINGS AFTER
ARRIVAL OF JIO
ANALYSIS OF CHANGE IN
PLAN
PLAN MRP 1199 349
PRICE REDUCED BY ALMOST
71 %
VALIDITY 28 DAYS 28 DAYS NO CHANGE
CALLING UNLIMITED UNLIMITED NO CHANGE
DATA 1 GB (4G) 1 GB (4G) NO CHANGE
SMS UNLIMITED UNLIMITED NO CHANGE
OTHER BENEFITS-
Data worth Rs. 9000 for 12 months to an user who joins Airtel 4G network. Earlier no such benefit was given.
COMPARATIVE STUDY OF SELECTED PLANS OF VODAFONE BEFORE AND
AFTER LAUNCH OF JIO
 Plan 1
FEATURES
OFFERINGS
BEFORE ARRIVAL
OF JIO
OFFERINGS AFTER
ARRIVAL OF JIO
ANALYSIS OF CHANGE IN
PLAN
PLAN MRP 499 499 NO CHANGE
VALIDITY 30 DAYS 28 DAYS NO CHANGE
VOICE
CALLING
700 MINS 700 MINS ALMOST NO CHANGE
DATA 1 GB (3G) 2 GB (3G/4G)
DATA INCREASED BY 100%
(ALSO 4G DATA AVAILBALE IN
CASE OF 4G PHONE)
SMS 500 - NO SMS BENEFITS
 Plan 2
FEATURES OFFERINGS
BEFORE ARRIVAL
OF JIO
OFFERINGS AFTER
ARRIVAL OF JIO
ANALYSIS OF CHANGE IN
PLAN
PLAN MRP 999 998 ALMOST NO CHANGE
VALIDITY 30 DAYS 28 DAYS ALMOST NO CHANGE
VOICE
CALLING
2000 MINS 2000 MINS NO CHANGE
DATA 3 GB (3G) 6 GB (3G/4G) DATA INCREASED BY 100%
(ALSO 4G DATA AVAILBALE IN
CASE OF 4G PHONE)
SMS 500 - NO SMS BENEFITS
OTHER SPECIAL OFFERS-
 Now offers 4GB 4G data at Rs 250 and 22 GB for Rs 999
 Super hour offer- Unlimited 3G/4G data for an hour at Rs 16, unlimited local calls at Rs 7
 Double data plan- On recharge of 1 GB 4G data pack & above get 2x data
COMPARATIVE STUDY OF SELECTED PLANS OF IDEA BEFORE AND AFTER
LAUNCH OF JIO
 Plan 1
FEATURES
OFFERINGS
BEFORE ARRIVAL
OF JIO
OFFERINGS AFTER
ARRIVAL OF JIO
ANALYSIS OF CHANGE IN
PLAN
PLAN MRP 698 649
PRICE REDUCED BY ALMOST
6.5%
VALIDITY 28 DAYS 28 DAYS NO CHANGE
VOICE
CALLING
UNLIMITED I2I
CALLS
-
VOICE CALLING BENEFIT HAS
BEEN REMOVED
DATA 3 GB(2G) 3 GB (4G)
SAME QUANTITY OF DATA IS
PROVIDED IN 4G RATHER THAN
2G
SMS 3000 -
SMS BENEFIT HAS BEEN
REMOVED
 Plan 2
FEATURES
OFFERINGS
BEFORE ARRIVAL
OF JIO
OFFERINGS AFTER
ARRIVAL OF JIO
ANALYSIS OF CHANGE IN
PLAN
PLAN MRP 1749 1498
PRICE REDUCED BY MORE
THAN 14%
VALIDITY 28 DAYS 28 DAYS NO CHANGE
VOICE
CALLING
UNLIMITED LOCAL
CALLS
-
VOICE CALLING BENEFIT HAS
BEEN REMOVED
DATA 5 GB(2G)
15 GB (4G)
AND POST THIS
USERS WILL BE
ABLE TO AVAIL
ADDITIONAL DATA
AT Rs 51 PER GB
EVERY MONTH
DATA QUANTITY INCREASED
DRASTICALLY BY 200%
INCLUDING EXTRA BENEFITS
SMS 3000 -
SMS BENEFIT HAS BEEN
REMOVED
OTHER BENEFITS-
 New 4G handset will get an additional 3gb data with unlimited calls
 All this will fetch free data worth Rs 9000 for a year on a new 4g handset
INTERPRETATION
All the major service providers have responded to the minimal pricing policy of Reliance Jio. In order to tackle
competition from R-JIO various service providers are adopting varied policies. Some service providers are
focusing on reducing the price of their plans to attract customers while others are adopting the policy of
introducing special packs to hold their position in the market.
From the given analysis of plans, it can be easily interpreted that ARITEL BHARTI has responded most
aggressively towards the competition being imposed by R-JIO. It has reduced the prices of its major plans by
great extent.
When it comes to VODAFONE, it is clearly visible that instead of reducing the price of its major packs,
it has increased the data offering by up to 100%.
Idea Cellular too has responded towards R-JIO by increasing the size of its offerings. Idea has focused
more on data offering rather than voice calling benefits and SMS benefits. In its major plans, it has replaced sms
benefits and calling benefits with more quantity of data.
Apart from this, all the service providers have introduced other special offers also to attract its customers
as included in the above data.
From the given analysis, it can be said that the Indian telecom sector is shifting towards a new trend. In
the inception, telecom players used to focus on voice calling services to beat the competition and earn revenues.
Afterwards the industry witnessed the trend of focusing on data services as a major medium of earning revenue.
And now with the entry of JIO, all the telecom service providers have thrashed their data charges to great
extent. Thus in the very near future, it is strongly expected that the industry will look towards VALUE ADDED
SERVICES for generating profits and winning competition.
OBJECTIVE 3
OBJECTIVE STATEMENT- To analyze the impact of launch of R-JIO over market
METHODOLOGY- To fulfill the above stated objective, the researcher has made an attempt to analyze the
impact of launch of R-JIO over the market with the help of TREND analysis (ORDINARY LEAST SQUARE
METHOD) of customer base of R-JIO AND ITS COMPETITORS.
ANALYSIS
TREND OF NET ADDITION IN SUBSCRIBER BASE AFTER ENTRY OF
RELIANCE JIO
MONTHS
NET
ADDITION IN
SUBSCRIBER
BASE OF
RELIANCE
JIO
NET
ADDITION
IN
SUBSCRIBER
BASE OF
IDEA
NET
ADDITION
IN
SUBSCRIBER
BASE OF
BHARTI
NET
ADDITION
IN
SUBSCRIBER
BASE OF
VODAFONE
NET
ADDITION
IN
SUBSCRIBER
BASE OF
BSNL
NET
ADDITION
IN
SUBSCRIBER
BASE OF
OTHERS
OVERALL
NET
ADDITION
IN
SUBSCRIBER
BASE
AUGUST
2016
0 412697 701750 486206 1646528 -8594981 -5347800
SEPTEMBER
2016
15979745 1913319 2432282 525281 1401578 -1394365 20857840
OCTOBER
2016 19632129 6337591 2326930 1179654 1187430 -1983646 28680088
NOVEMBER
2016
16263840 2524521 1082654 890794 831286 -501551 21091544
DECEMBER
2016
20281930 2839426 2502355 1895235 1003810 -663147 27859609
SERVICE PROVIDERS
CORRELATION BETWEEN NET ADDITION TO
SUBSCRIBER BASE OF R-JIO AND NET ADDITION TO
SUBSCRIBER BASE OF OTHER PROVIDERS
RELIANCE JIO 1
IDEA
0.706542177
BHARTI AIRTEL
0.792698601
VODAFONE
0.659965841
BSNL
-0.751645498
OTHERS
0.949527005
OVERALL MARKET
0.998278755
0
5000000
10000000
15000000
20000000
25000000
NET ADDITION IN SUBSCRIBER BASE OF
0
1000000
2000000
3000000
4000000
5000000
6000000
7000000
NET ADDITION IN SUBSCRIBER BASE OF IDEA
NET ADDITION IN SUBSCRIBER BASE OF
RELIANCE JIO
NET ADDITION IN
SUBSCRIBER BASE OF
RELIANCE JIO
NET ADDITION IN SUBSCRIBER BASE OF IDEA
NET ADDITION IN
SUBSCRIBER BASE OF IDEA
NET ADDITION IN
SUBSCRIBER BASE OF
RELIANCE JIO
NET ADDITION IN SUBSCRIBER BASE OF IDEA
NET ADDITION IN
SUBSCRIBER BASE OF IDEA
0
500000
1000000
1500000
2000000
2500000
3000000
NET ADDITION IN SUBSCRIBER BASE OF
0
200000
400000
600000
800000
1000000
1200000
1400000
1600000
1800000
NET ADDITION IN SUBSCRIBER BASE OF BSNL
NET ADDITION IN SUBSCRIBER BASE OF
BHARTI
NET ADDITION IN
SUBSCRIBER BASE OF
BHARTI
NET ADDITION IN SUBSCRIBER BASE OF BSNL
NET ADDITION IN
SUBSCRIBER BASE OF BSNL
NET ADDITION IN
SUBSCRIBER BASE OF
NET ADDITION IN SUBSCRIBER BASE OF BSNL
NET ADDITION IN
SUBSCRIBER BASE OF BSNL
0
200000
400000
600000
800000
1000000
1200000
1400000
1600000
1800000
2000000
NET ADDITION IN SUBSCRIBER BASE OF
-1000000
-9000000
-8000000
-7000000
-6000000
-5000000
-4000000
-3000000
-2000000
-1000000
0
NET ADDITION IN SUBSCRIBER BASE OF
NET ADDITION IN SUBSCRIBER BASE OF
VODAFONE
NET ADDITION IN
SUBSCRIBER BASE OF
VODAFONE
NET ADDITION IN SUBSCRIBER BASE OF
OTHERS
NET ADDITION IN
SUBSCRIBER BASE OF
OTHERS
NET ADDITION IN
SUBSCRIBER BASE OF
VODAFONE
NET ADDITION IN
SUBSCRIBER BASE OF
OTHERS
INTERPRETATION-
SERVICE PROVIDER
TREND OF CHANGE IN
CUSTOMER BASE OVER
THE GIVEN PERIOD
RELIANCE JIO POSITIVE
-1000000
-5000000
0
5000000
10000000
15000000
20000000
25000000
30000000
35000000
OVERALL NET ADDITION IN SUBSCRIBER
TREND OF CHANGE IN
CUSTOMER BASE OVER
THE GIVEN PERIOD
IMPLICATIONS FROM
TREND ANALYSIS
IMPLICATIONS FROM
POSITIVE
Net addition to
subscriber base of R-JIO
is showing an increasing
trend over the given
period implying a positive
growth rate in customer
base of R-JIO. It points to
the growth stage of R-JIO
in the market.
OVERALL NET ADDITION IN SUBSCRIBER
BASE
OVERALL NET ADDITION IN
SUBSCRIBER BASE
IMPLICATIONS FROM
CORRELATION
-
OVERALL NET ADDITION IN SUBSCRIBER
OVERALL NET ADDITION IN
SUBSCRIBER BASE
IDEA HIGHLY POSITIVE
Positive trend in net
additions to subscriber
base of IDEA, AIRTEL &
VODAFONE implies that
Customers are adding to
these networks at a rising
pace after the arrival of
R-JIO. It is possibly
because of the attractive
offers introduced by the
businesses to tackle R-
JIO.
MODERATE DEGREE OF
POSITIVE CORRELATION
EXISTS
I.E. movement in net
additions to customer
base of both the service
providers is taking place
in the same direction
BHARTI AIRTEL POSITIVE
HIGH DEGREE OF
POSITIVE CORRELATION
EXISTS
I.E. movement in net
additions to customer
base of both the service
providers is taking place
in the same direction
VODAFONE HIGHLY POSITIVE
MODERATE DEGREE OF
POSITIVE CORRELATION
EXISTS
I.E. movement in net
additions to customer
base of both the service
providers is taking place
in the same direction
BSNL NEGATIVE
Negative trend in net
additions to subscriber
base of BSNL implies that
the customers’
preference is shifting
towards other networks
due to attractive offers
introduced by them.
HIGH DEGREE OF
NEGATIVE CORRELATION
EXISTS
I.E. movement in net
additions to customer
base of both the service
providers is taking place
in the opposite direction
OTHERS POSITIVE
Net additions to other
networks is showing a
positive trend however it
is still negative implying
that the number of
persons joining the other
networks is less than
those leaving these
networks.
VERY HIGH DEGREE OF
POSITIVE CORRELATION
EXISTS
I.E. movement in net
additions to customer
base of both the service
providers is taking place
in the same direction
OVERALL INDUSTRY POSITIVE
There is a very positive
shift in overall additions
to the telecom network.
Before the arrival of JIO,
there was negative net
addition to the industry
however after the
launch of R-JIO it has
improved drastically to
reach a considerable
figure. It points to a
favorable change in
Indian telecom sector
after arrival of JIO.
VERY HIGH DEGREE OF
POSITIVE CORRELATION
EXISTS
I.E. movement in net
additions to customer
base of both the service
providers is taking place
in the same direction
It is clearly visible that the launch of RELIANCE JIO has shown a favorable impact over the
subscriber base of the telecom sector. Telecom sector is visibly growing at a faster pace after
arrival of R-JIO.
TREND OF CHANGE IN MARKET PROPOSITION
MONTHS
MARKET
SHARE OF
RELIANCE
JIO
MARKET
SHARE OF
IDEA
MARKET
SHARE OF
BHARTI
MARKET
SHARE OF
BSNL
MARKET
SHARE OF
VODAFONE
MARKET
SHARE OF
OTHERS
AUGUST,16 0 17.19 25.03 8.98 19.46 29.34
SEPTEMBER,16 1.52 17.03 24.76 8.93 19.12 28.64
OCTOBER,16 3.3 17.17 24.32 8.8 18.72 27.69
NOVEMBER,16 4.72 17.07 23.95 8.71 18.44 27.11
DECEMBER,16 6.4 16.9 23.58 8.59 18.16 26.37
SLOPE OF
CHANGE WITH
RESPECT TO
CHANGE IN
RELIANCE JIO
1 -0.033 -0.231 -0.062 -0.205 -0.467
TREND OF CHANGE IN MARKET
0
1.52
3.3
17.19 17.03 17.17
25.03 24.76 24.32
8.98 8.93 8.8
19.46 19.12 18.72
29.34
28.64
0
5
10
15
20
25
30
35
AUGUST,16 SEPTEMBER,16 OCTOBER,16
0
20
40
60
80
100
0
1.52
3.3
17.19 17.03 17.17
25.03 24.76 24.32
8.98 8.93 8.8
19.46 19.12 18.72
29.34 28.64 27.69
TREND OF CHANGE IN MARKET PROPOSITION
3.3
4.72
6.4
17.17 17.07 16.9
24.32 23.95 23.58
8.8 8.71 8.59
18.72 18.44 18.16
27.69 27.11
26.37
OCTOBER,16 NOVEMBER,16 DECEMBER,16
MARKET SHARE OF RELIANCE JIO
MARKET SHARE OF IDEA
MARKET SHARE OF BHARTI
MARKET SHARE OF BSNL
MARKET SHARE OF VODAFONE
MARKET SHARE OF OTHERS
3.3
4.72
6.4
17.17 17.07 16.9
24.32 23.95 23.58
8.8 8.71 8.59
18.72 18.44 18.16
27.69 27.11 26.37
MARKET SHARE OF OTHERS
MARKET SHARE OF VODAFONE
MARKET SHARE OF BSNL
MARKET SHARE OF BHARTI
MARKET SHARE OF IDEA
MARKET SHARE OF RELIANCE JIO
PROPOSITION
MARKET SHARE OF RELIANCE JIO
MARKET SHARE OF IDEA
MARKET SHARE OF BHARTI
MARKET SHARE OF BSNL
MARKET SHARE OF VODAFONE
MARKET SHARE OF OTHERS
MARKET SHARE OF OTHERS
MARKET SHARE OF VODAFONE
MARKET SHARE OF BSNL
MARKET SHARE OF BHARTI
MARKET SHARE OF IDEA
MARKET SHARE OF RELIANCE JIO
Expected market proposition after 1 year of launch of R
(extrapolated using regression analysis)
MARKET
SHARE OF
RELIANCE
JIO
MARKET
SHARE
OF IDEA
MARKET
SHARE OF
BHARTI
19.3 16.6
15.6
7.7
20.4
EXPECTED MARKET PROPOSITION AFTER 1 YEAR OF
Expected market proposition after 1 year of launch of R-
(extrapolated using regression analysis)
MARKET
SHARE OF
BHARTI
MARKET
SHARE
OF BSNL
MARKET
SHARE OF
VODAFONE
20.4 7.7 15.6
19.3
16.6
20.4
EXPECTED MARKET PROPOSITION AFTER 1 YEAR OF
LAUNCH OF R-JIO
-JIO
SHARE OF
VODAFONE
MARKET
SHARE OF
OTHERS
20.4
EXPECTED MARKET PROPOSITION AFTER 1 YEAR OF
R JIO
IDEA
BHARTI
VODAFONE
BSNL
OTHERS
INTERPRETATION- It is clearly visible that that after the entry of R-JIO, the proposition of
telecom market in India has undergone a significant change. The market share of almost all the
market players has shown a declining trend. The slope of change in market share with respect to
market share of R-JIO is maximum for low end market players like TELENOR, TATA
DOCOMO, etc. Among the bigger market players, the market shares of AIRTEL BHARTI &
VODAFONE are most affected with a negative slope of approximately.2. IDEA is the least
effected player with a negative slope of around .03.
On analysis of the expected
market proposition after 12 months of launch of R-JIO calculated using time series regression
analysis, it can be interpreted that R-JIO will have a major impact over the market in the long
run. Within an year, R-JIO is expected to become the second biggest market player in the
market if it progresses in the current manner.
CHAPTER 4
FINDINGS OF THE
STUDY
KEY FINDINGS
ABOUT CUSTOMERS’ ATTITUDE
1. Most of the respondents avail services of other service providers too other than Reliance
Jio. Majority of them are Airtel users followed by Idea, Vodafone and Reliance Telecom
2. Majority of respondents are well off with the awareness and experience of Reliance Jio
3. Majority of respondents are still using their old sim cards side by side implying that they
have not yet fully switched to Reliance Jio for all the purposes.
4. It can be interpreted that degree of preference towards Reliance Jio differs from purpose
to purpose. When it comes to net surfing, video calling & sms service, Reliance Jio is the
primary choice of majority of customers. However, in case of calling and subsidiary
purposes, majority of respondents prefer other service providers over Reliance Jio.
5. JIO APPLICATIONS are not that much popular among the respondents. Among the
users, JIO NET, JIO 4G VOICES & JIO TV have maximum popularity whereas JIO
SWITCH, JIO MONEY, JIO CLOUD, JIO XPRESS & JIO CHAT have minimal usage
6. On an average, the experience rating of respondents regarding various aspects of JIO
ranges between average and good. Customers feel average degree of satisfaction with
connectivity; value added services & customer care response. However they are fairly
satisfied with recharge plans, internet speed, sms services & applications of R-JIO.
7. On an average, minimal cost of R JO services is the foremost reason for positive
perception of respondents towards R-JIO. It is followed by faster 4G network,
comprehensive inbuilt applications, & value added services of R JIO. Customer response
is least preferred reason for positive attitude of respondents.
8. Majority of respondents faces certain problems with services of R-JIO. Slower internet
speed is the most commonly faced problem among the respondents. It is followed by
poor network and call drops. . The reason for the given problems has been huge traffic
over the limited spectrum of JIO.
9. Majority of respondents are satisfied enough with R-JIO that they could suggest it to
others (AROUND 75-90%)
ABOUT COMPETITORS’ RESPONSE
1. All the major service providers have responded to the minimal pricing policy of Reliance
Jio. In order to tackle competition from R-JIO various service providers are adopting
varied policies. AIRTEL BHARTI is focusing on reducing the price of its plans to attract
customers while VODAFONE & IDEA are adopting the policy of increasing benefits of
existing plans to hold their position in the market.
2. With the changes taking place in the offerings of telecom service providers, it can be said
that the industry is moving towards a new trend. As all the market players have curtailed
their data charges to minimal level, it is strongly expected that in the very near future, the
industry will look towards VALUE ADDED SERVICES for generating profits and
winning competition
ABOUT IMPACT OF LAUNCH OF R-JIO OVER MARKET
1. The trend of net addition of subscribers to telecom market has undergone a significant
positive surge after the launch of R-JIO. It is expected to prove like a boon for the growth
of Indian telecom market
2. Launch of R-JIO is expected to have a major impact over the market proposition of
Indian telecom. The scenario has began to change & within a year R-JIO is expected to
emerge as second largest player in the market on the base of market share.
CHAPTER 5
Conclusion and
suggestions
CONCLUSION & SUGGESTIONS
The launch of Reliance JIO has many implications for telecom users as well as telecom
operators. The aim of this study is to comment on consumer per perception and market response
towards entry of this new player.
From the given study, it can be concluded that the perception of customers towards R-JIO is
towards the positive side. Most of the users have satisfactory experience with the operator so far
due to its minimal cost and good service. Customers have shown great response towards the
near-free offers of JIO but they seem to lack interest in the applications provided by the operator.
Despite of number of innovative and useful applications, JIO APPs have failed to gather the
interest of the users. On analyzing the reasons of preference of users towards R-JIO, it is clearly
visible that the users are more fascinated towards the free prices of the network rather than other
innovative offerings of the network. Talking about the negatives, a major proportion of users also
reported some problems with the network and speed but still because the price advantage, most
of them responded positively when asked about their experience with JIO.
Coming to the market response, the entry of JIO started a chain of cheap and attractive offers
from various service providers. In order to withstand the price war started by JIO, all the major
players curtailed the price of their offerings. With the changes taking place in the offerings of
telecom service providers, it can be said that the industry is moving towards a new trend. As all
the market players have curtailed their voice calling & data charges to minimal level, it is
strongly expected that in the very near future, the industry will look towards VALUE ADDED
SERVICES for generating profits and winning competition.
The attractive offers introduced by the major service providers seem to be beneficial for the
whole telecom sector. On one hand the customers are benefitting from these offers whereas on
the other hand the net addition to the user base of telecom industry has improved drastically after
the launch of these offers. Apart from this, the net addition to the user base of these individual
service providers has also improved indicating a positive effect of JIO’s entry over other service
providers.
When it comes to the market proposition of Indian telecom sector, it has undergone major
changes after the launch of R-JIO. JIO is gaining customer base very rapidly and if this trend
continues, it will soon become a leading share holder in the market.
ON THE BASIS OF THE FINDINGS OF THE GIVEN PROJECT, THE FOLLOWING
SUGGESTIONS ARE PROPOSED BY THE RESEARCHER -
 The positive response of customers towards R-JIO so far has been primarily guided by its
minimal prices. But it cannot afford to continue this trend for long. In order to induce a
sustainable growth, JIO needs to take steps to shift the focus of its customers towards
other factors. For this it can promote its innovative applications which have been out of
the limelight so far.
 Majority of customers have reported problem with the network and speed of R-JIO. it has
been because of huge traffic over limited spectrum. In order to continue its success in the
market, it needs to work on these problems. For this it takes either buy additional
spectrum or obtain spectrum on lease.
 For the other service providers, the scenario has been good so far. The net additions to
these networks have shown an increasing trend after the launch of R-JIO but it has been
solely because of the discounted offers provided by these operators. In the long run if
these operators want to remain in the competition, they will have to work on improving
their value added services.
From the current scenario, It can be expected that in the next phase of competition
operators will be bound to focus on VAS for generating its revenue. In such a case, JIO
will be having advantage over others due to its attractive inbuilt applications. So in order
to prepare for the upcoming phase, the operators need to work on their VAS.
ANNEXURES
1.REFERENCES AND BIBLIOGRAPHY
2.QUESTIONNAIRE
REFERENCES AND BIBLIOGRAPHY
1. Arun Prasath, R. (2016), “A Study on Consumer Attitude Towards Mobile Phone Service Providers in
Tamil Nadu”
2. Rodrigues ,Sean (2015), “A study to understand the market potential of reliance JIO 4g services in
Dahisar east area of Mumbai” available at www.shodhgangotri.com
3. Dinesh, Pandya and Brajesh Kumar (2014), “A Study of Customer satisfaction on Telecom Service
Providers”
4. Shankar Anand, M. (2014), “A Study on Customer Satisfaction Towards BSNL With Special Reference
to the City of Coimbatore”
5. Ramadhani, Nshakabatenda . &. Vaishali B.Satpute (2014), “A Study on Consumer Perception towards
Adoption of 4G Mobile Technologies in Rwanda”
6. Bhukya, Ramulu and Dr. Sapna Singh (2013), “Brand preference of students towards choosing
cellular service providers in Hyderabad city”
7. Chakraborti, Devarun (2013), “Customer satisfaction and expectation towards aircel: a research
conducted in west Midnapore”
8. Kavitha, T.N.R. (2012), “A Study On Customer Satisfaction Towards Airtel With Special Reference to
Dharampuri [District]”
9. Ramesh, M. (2012), “Consumer Behaviour Towards Mobile Tele Services: A Case Study
At Visakhapatnam City”
10. Rajeshwari, M. and J. Jayaprada (2011), “A study on consumer brand loyalty and consumer shift
towards mobile service providers with special reference to Tata Docomo services ltd”
11. Selvarasu, A. Gomathi Shankar, K. and Loganathan, (2006), “GSM Mobile Service in Telecom Sector:
An Ontology of Quality of Service”, published in The ICFAI Journal of Service Marketing
12. Ray, Subhasis and Avishek Sarkar (2006), “Analysing influence of Brand Vis-à- vis. Price in Indian
Mobile industry”, published in The ICFAI Journal of Marketing Management
13. Banumathy, S. and Kalaivani, (2006), “Customers’ Attitude Towards Cell Phone Services in
Communication System”, published in Indian Journal of Marketing
14. Anita Seth, Kiran Momaya and Gupta, H.M. (2005), “An Exploratory Investigation of Customer Loyalty
and Retention in Cellular Mobile Communication”, published in Journal of Services Research
15. Inger Roos, Bo Edvardsson and Gustafsson (2004), “Customers Switching Patterns in competitive and
non-competitive service Industries”, published in Journal of Service Research
16. Online articles-
www.quora.com
www.economictimes.com
www.timesofindia.com
www.hindu.com
Websites-
www.moneycontrol.com
www.trai.gov.in
www.airtel_live.in
www.reliance4g.co.in
www.vodafone.in
QUESTIONNAIRE
(EXCLUSIVELY FOR R-JIO USERS)
Respondent’s Name-_________________________ Age- _______
1) Which is/are your current service providers other than R-JIO?
a) IDEA ( )
b) RELIANCE INDICOM ( )
c) VODAFONE ( )
d) AIRTEL ( )
e) OTHERS (PLEASE SPECIFY) ____________________________________
2) How long have you been using R-JIO?
a) Less than 1 month ( )
b) 1-3 months ( )
c) More than 3 months ( )
3) Are you still using your last SIM CARD?
a) YES, I use both the cards side by side ( )
b) NO, I have switched to R-JIO ( )
4) Is R-JIO your primary choice or secondary choice for following purposes (MARK YOUR
CHOICE)
(Primary SIM CARD is that SIM CARD which you use most often for given purposes)
PURPOSE PRIMARY SECONDARY
CALLING
NET SURFING
VIDEO CALLING
SMS SERVICE
OTHERS LIKE NET BANKING,ETC
5) Do you use inbuilt applications of R-JIO?
YES ( ) NO ( )
If YES, then which applications do you use?
a) JIO CINEMA ( )
b) JIO TV ( )
c) JIO MUSIC ( )
d) JIO MAGS ( )
e) JIO XPRESS NEWS ( )
f) JIO CHAT ( )
g) JIO CLOUD ( )
h) JIO 4G VOICE ( )
i) JIO MONEY ( )
j) A JIO ( )
k) JIO SWITCH ( )
l) JIO NET ( )
6) How is your experience regarding given aspects of R-JIO services as compared to other
service providers?
ASPECTS EXCELLENT
(FAR BETTER)
GOOD
(SOMEWHAT
BETTER)
AVERAGE
(EQUILIKELY)
POOR
(SOMEWHAT
WORSE)
VERY POOR
(FAR
WORSE)
CONNECTIVITY
INTERNET SPEED
RECHARGE
PLANS
SMS SERVICES
INBUILT
APPLICATIONS
VALUE ADDED
SERVICES
CUSTOMER CARE
SERVICES
OVERALL
7) According to you, what are the best things about R-JIO?
(RANK THEM FROM 1-5 WHERE 1 BEING THE BEST AND 5 BEING THE WORST)
a) Minimal cost ( )
b) Faster 4G network ( )
c) Comprehensive in built applications ( )
d) Value added Services ( )
e) Customer care response and availability ( )
8) Do you face any problems with R-JIO services?
YES ( ) NO ( )
If YES, then which problems do you face?
a) Call drop ( )
b) Poor network ( )
c) Slower internet speed ( )
d) Others (please specify)__________________________________
9) Will you suggest R-JIO to others?
YES ( ) NO ( )
MAY BE ( )
THANKS :-)
Project on customers' attitude and competitors' response towards the launch of r jio

Project on customers' attitude and competitors' response towards the launch of r jio

  • 1.
    PROJECT REPORT ON CUSTOMERS’ ATTITUDEAND COMPETITORS’ RESPONSE TOWARDS LAUNCH OF R-JIO In fulfillment of Graduation in Commerce By ARUN KUMAR SINGH 142008 Under the guidance of PROFESSOR V. K. GANGAL DEPARTMENT OF APPLIED BUSINESS ECONOMICS FACULTY OF COMMERCE DAYALBAGH EDUCATIONAL INSTITUTE, AGRA-282005
  • 2.
    CERTIFICATE This is tocertify that the Industrial Project entitled “CUSTOMER’S ATTITUDE AND COMPETITORS’S RESPONSE TOWARDS LAUNCH OF R-JIO”, submitted by Mr. Arun Kumar Singh to Dept. of Applied Business Economics, Faculty of Commerce, Dayalbagh Educational Institute (Deemed University), Dayalbagh, Agra, for the award of Degree of Bachelor of Commerce, has been completed within stipulated period in my guidance. To the best of my knowledge and belief this work has not formed the basis for the award of this or any other degree or similar title of this or any other university. All references and various sources made use of in this research project have been duly acknowledged and the thesis of accepted standard of contents and presentation has been submitted for the consideration of the award of the degree. Prof. Vijay Kumar Gangal Prof. S. P. Kaushik (Professor) (Dean & H.O.D) Dept. of Applied Business Economics, Faculty of Commerce, Dayalbagh Educational Institute, Dayalbagh, Agra
  • 3.
  • 4.
    STUDENT DECLARATION This isto declare that this Industrial Project report on “CUSTOMER’S ATTITUDE AND COMPETITORS’S RESPONSE TOWARDS LAUNCH OF R-JIO” is a record of genuine work done by me under the guidance of PROFESSOR V. K. GANGAL in the fulfillment of the requirement for GRADUATION IN COMMERCE. I declare that this industrial project report is original and not submitted to any other university before. Signature of the Student: Student’s Name : Arun Kumar Singh Roll No : 142008
  • 5.
    ACKNOWLEDGEMENT I have takenefforts in this project. However, it would not have been possible without the kind support and help of many individuals. I would like to extend my sincere thanks to all of them. I am highly indebted to PROFESSOR VIJAY KUMAR GANGAL, my project guide for his guidance and constant supervision as well as for providing necessary information regarding the project & also for his support in completing the project. I would like to express my gratitude towards my parents & faculty members of Commerce faculty, Dayalbagh Educational Institute, Agra for their kind co- operation and encouragement which helped me in completion of this project. I would like to express my special gratitude and thanks to all my survey audience for giving me such attention and time. My thanks and appreciations also go to my classmates in developing the project and people who have willingly helped me out with their abilities. -Arun Kumar Singh
  • 6.
    CONTENTS CERTIFICATE ABSTRACT DECLARATION ACKNOWLDGEMENT CHAPTER 1 -INTRODUCTION TO THE TOPIC 1. INTRODUCTION TO THE INDIAN TELECOMMUNICATION SECTOR 2. IMPORTANT STATISTICS 3. MAJOR PLAYERS IN THE INDIAN TELECOM SECTOR 4. INTRODUCTION TO RELIANCE JIO 5. COMPANY PROFILE- R-JIO CHAPTER 2 – RESEARCH SYNTHESIS 1. REVIEW OF LITERATURE 2. RESEARCH GAP 3. NEED OF THE STUDY 4. OBJECTIVES OF THE STUDY 5. RESEARCH METHODOLOGY 6. LIMITATIONS OF THE STUDY 7. SCOPE FOR FURTHER STUDY
  • 7.
    CHAPTER 3- ANALYSIS& INTERPRETATION OD DATA CHAPTER 4- FINDINGS OF THE STUDY CHAPTER 5- CONCLUSION AND SUGGESTIONS ANNEXURES – 1. REFERENCES AND BIBLIOGRAPHY 2. QUESTIONNAIRE
  • 8.
    CHAPTER 1 INTRODUCTION TOTHE TOPIC 1. INTRODUCTION TO INDIAN TELECOMMUNICATION SECTOR 2. IMPORTANT STATISTICS 3. MAJOR PLAYERS IN INDIAN TELECOM INDUSTRY 4. INTRODUCTION TO R-JIO 5. COMPANY PROFILE- RELIANCE JIO
  • 9.
    INTRODUCTION TO INDIANTELECOMMUNICATION SECTOR India is currently the world’s second-largest telecommunications market and has registered strong growth in the past decade and half. The Indian mobile economy is growing rapidly and will contribute substantially to India’s Gross Domestic Product (GDP), according to report prepared by GSM Association (GSMA) in collaboration with the Boston Consulting Group (BCG). The liberal and reformist policies of the Government of India have been instrumental along with strong consumer demand in the rapid growth in the Indian telecom sector. The government has enabled easy market access to telecom equipment and a fair and proactive regulatory framework that has ensured availability of telecom services to consumer at affordable prices. The deregulation of Foreign Direct Investment (FDI) norms has made the sector one of the fastest growing and a top five employment opportunity generator in the country. The Indian telecom sector is expected to generate four million direct and indirect jobs over the next five years according to estimates by Randstad India. The employment opportunities are expected to be created due to combination of government’s efforts to increase penetration in rural areas and the rapid increase in smartphone sales and rising internet usage. International Data Corporation (IDC) predicts India to overtake US as the second-largest smartphone market globally by 2017 and to maintain high growth rate over the next few years as people switch to smartphones and gradually upgrade to 4G. Driven by strong adoption of data consumption on handheld devices, the total mobile services market revenue in India is expected to touch US$ 37 billion in 2017, registering a Compound Annual Growth Rate (CAGR) of 5.2 per cent between 2014 and 2017, according to research firm IDC. According to a report by leading research firm Market Research Store, the Indian telecommunication services market will likely grow by 10.3 per cent year-on-year to reach US$ 103.9 billion by 2020. According to the Ericsson Mobility Report India, smartphone subscriptions in India is expected to increase four- fold to 810 million users by 2021, while the total smartphone traffic is expected to grow seventeen-fold to 4.2 Exabytes (EB) per month by 2021. According to a study by GSMA, smartphones are expected to account for two out of every three mobile connections globally by 2020 making India the fourth largest smartphone market. India is expected to lead in the growth of smartphone adoption globally with an estimated net addition of 350 million by year 2020.## Total number of smartphone shipments in India stood at 25.8 million units in the quarter ending December 2016, and smartphone shipments during 2016 stood at 109.1 million units, up by 5.2 per cent year-on-year. Broadband services user-base in India is expected to grow to 250 million connections by 2017.
  • 10.
    IMPORTANT STATISTICS The totaltelecom subscribers in India stood at 1,151.78 million as per the telecom subscription data released by the Telecom Regulatory Authority of India (TRAI) for December 2016. The urban subscription increased from 659.03 million during November 2016 to 683.14 million during December 2016. Further, the rural subscription also increased from 464.93 million to 468.64 million during the same period. In addition, the total wireless subscriber base increased from 1,099.51 million during November 2016 to 1,127.37 million during December 2016. However, the wireline subscriber base declined from 24.44 million to 24.40 million during the same period. Meanwhile, the number of broadband subscribers increased from 218.27 million during November 2016 to 236.09 million during December 2016. MAJOR PLAYERS IN INDIAN TELECOM INDUSTRY  Airtel Corporate office – New Delhi | Establishment – 1986 | Bharti Airtel Limited is India’s largest telecom company headquartered in New Delhi. Founded by Sunil Mittal in 1986 the company is fourth largest mobile operator in the world. Products offered by company includes mobile commerce, 2G, 3G and 4G wireless services, fixed line services, IPTV, high speed DSL broadband, DTH and enterprise services.  Vodafone Corporate office – London, United Kingdom | Establishment – 1991 | Vodafone is a leading global telecommunications company with operations in over 30 countries. Headquartered in London, the company ranks amongst the top 4 telecom companies globally in terms of subscribers and
  • 11.
    revenues. Company owns45% of Verizon Wireless, the largest mobile telecom company in the US measured by subscribers.  Idea Corporate office – Mumbai, Maharashtra | Establishment – 1995 | An Aditya Birla Group Company with over 121 million customers . Idea is India among of the top 5 telecom companies which is offering 2G and 3G services with a traffic of about 1.5 billion minutes a day.  Reliance Corporate office – Navi Mumbai, Maharashtra | Establishment – 2004 | Reliance Communications a flagship company of Reliance Group was established in 2004 and is the second largest telecom operator in India. Headquartered in Navi Mumbai, the company has more than 150 million subscribers. The company’s product offerings include wireless, broadband, national and international long distance services.  Aircel Corporate office – Chennai, Tamilnadu | Establishment – 1999 | Aircel group provides messaging, wireless voice and data services in India. It is a joint venture between Sindya Securities & Investments Private Limited and Maxis Communications Berhad of Malaysia.  BSNL Corporate office – New Delhi | Establishment – 2000 | Bharat Sanchar Nigam Limited is a state-owned telecommunications service provider established on 15 September 2000. It is the fourth largest mobile telephony provider and largest provider of fixed telephony in India.
  • 12.
     Tata docomo Corporateoffice – New Delhi | Establishment – 2008 | A Tata Group company providing cellular service on the GSM, CDMA and platform . It is among the top telecom companies in India and the first Indian telecom company to launch 3G services in India.  MTNL Corporate office – New Delhi | Establishment – 1986 | Mahanagar Telephone Nigam Limited is an Indian state-owned telecommunications company headquartered in New Delhi. MTNL provides services in New Delhi and Mumbai in India and Mauritius in Africa. It was incorporated in the year 1986.  Telenor Corporate office – Gurgaon, India | Establishment – 2009 | Uninor is an Indian mobile service provider based in Gurgaon. It is a Telenor Group company offering mobile data and voice services based on the GSM platform. The company has over three crore subscribers in Goa, Gujarat, Andhra Pradesh, Uttarkhand, Bihar, Uttar Pradesh, Jharkhand and Maharashtra.
  • 13.
    INTRODUCTION TO R-JIO Jiois a Mumbai-based provider of 4G internet, mobile telephony, broadband services, and digital services in India. Formerly known as Infotel Broadband Services Limited, Jio provides 4G services on a pan-India level using LTE technology. The telecom leg of Reliance Industries Limited, it was incorporated in 2007. The services were beta-launched to Jio's partners and employees on 27 December, 2015 on the eve of 83rd birth anniversary of late Dhirubhai Ambani, founder of Reliance Industries. On September 5, 2016, Jio commercially launched its 4G services. With its minimal data & voice tariffs, it has started a near rear revolution in the telecom industry.
  • 14.
    COMPANY PROFILE- RELIANCEJIO Jio's headquarters in RCP, Navi Mumbai Formerly called  Infotel Broadband Services Limited (2009 - 2013)  Reliance Jio Infocomm Limited (2013 - 2015) Type Subsidiary Industry Telecommunications Headquarters Navi Mumbai, Maharashtra, India Key people Sanjay Mashruwalla (Managing Director) Jyotindra Thacker (Head of IT) Akash Ambani (Chief of Strategy) Parent Reliance Industries Subsidiaries LYF Website www.jio.com
  • 15.
    CHAPTER 2 RESEARCH SYNTHESIS 1.REVIEW OF LITERATURE 2. REVIEW OF ARTICLES 3. RESEARCH GAP 4. NEED OF THE STUDY 5. OBJECTIVES OF THE STUDY 6. RESEARCH METHODOLOGY 7. LIMITATIONS OF THE STUDY 8. SCOPE FOR FURTHER STUDY
  • 16.
    RESEARCH PAPERS SR. NO. AUTHOR YEAR TITLEOF THE PAPER OBJECTIVES FINDINGS/ CONCLUSION 1 Arun Prasath , R. 2016 A Study on Consumer Attitude Towards Mobile Phone Service Providers in Tamil Nadu To study the consumers’ attitude towards various service offered by mobile service provider In this research 133 respondents WERE male and 67 respondents are female. The majority of the respondents Were in this research of Rs 10,000 to Rs 15, 000 income category. Depends upon the income basis they were using prepaid and post paid connections. Among the respondents Vodafone customers are highly satisfied. Majority respondents are having prepaid sim cards. The respondents feel the poor call drop facility in the Aircel and Airtel network. Customers are highly satisfied with the VAS (Value Added Service) in Airtel and Vodafone network. The respondents satisfied in the good customer are service in Aircel services. Majority of the respondents said that the sales promotion offer were good in Airtel, Aircel and Vodafone. The consumer feel that the voice clarity in Vodafone and BSNL networks.
  • 17.
    2 Rodrigues, Sean2015 A study to understand the market potential of reliance JIO 4g services in Dahisar east area of Mumbai To study and analyze the customer’s preference for 4G Services.  One of the major reason quite a lot retailers do not sell reliance services its because they get less margin when compares to other network providers.  Reliance needs to put a lot of effort into improving the connectivity issue that most of the customers face. 3 Pandiya Dinesh & Brajesh Kumar 2014 A Study of Customer satisfaction on Telecom Service Providers To probe the customers’ satisfaction on cellular services on the basis of some fourteen such service counts that the cellular service providers offered to the customers in the present market scenario The study indicates that the customers have shown their satisfaction on GPRS service (3.34), festival offer service (3.32), free roaming service (3.29), validity service (3.21), bonus service (3.36) and online recharge service (4.5). However the customers have re ected their dissatisfaction with the service quality of network (2.9), customer care (2.94), SMS packs (2.74), free talk time (3.16), connection charges (3.71), Ease of availability of the retailer selling recharge coupon (3.12), Ease of availability of
  • 18.
    retailers transferring rechargevoucher (3.06). As far as the performances of the cellular service providers are concerned, the performances of Vodafone and Reliance were found to be satisfactory whereas the performances of BSNL and Airtel were found to be dissatisfactory since the overall satisfaction scores of the customers of these latter brands were below the standard i.e. 3.19. Moreover, out of two performers i.e. Vodafone and Reliance, the customers of Vodafone were found to be more satisfied than the customers of Reliance. 4 Anand Shankar Raja, M. 2014 A Study on Customer Satisfaction Towards BSNL With Special Reference to the City of Coimbatore  To find out the customer satisfaction towards BSNL in Coimbatore  To analyze the factors in uencing the use of cellular service  The means to know about BSNL shows that 45% of the respondents are known to this product by their friends, 40% by advertisements and 15% by their relatives.  The nature of usage shows that 55% of the respondents use 2G sim and other 45% use 3G sim.
  • 19.
     The maximumnumber of respondents is satisfied with the Add-on service provided by BSNL 5 Ramadhani, Nshakabatenda . &. Vaishali B.Satpute 2014 A Study on Consumer Perception towards Adoption of 4G Mobile Technologies in Rwanda  To study awareness of 4G technology in mobiles & internet users in Rwanda  To study the perception of mobile & internet users towards adoption of 4G technology in Rwanda  To study the factors affecting behavioral intentions (BI) of mobile & internet users in Rwanda towards adoption of 4G technology  4G technology is considered to be a better option to present 3G technology, as the speed of internet, web browsing is not satisfactory to most of the respondents  Irrespective of age & class of respondents, the factors under study i.e. PU, PEH, ATD & Price has shown a significant impact on Intention (BI) of respondents towards adoption of 4G services in Rwanda.  Price has a major impact on adoption of 4G technology in Kigali city, as most of the respondents are students & as compare to 3G, they are expecting the new 4G technology will be not an economical affair for them.
  • 20.
    6 Bhukya, Ramulu andDr. Sapna Singh 2013 Brand preference of students towards choosing cellular service providers in Hyderabad city  To study the attributes considered by students while choosing a particular cellular service provider  To identify the factors influencing the choice of service provider among students. Various attributes considered important and crucial for selection of service provider are Network Coverage, Tariff plans and Customer Services by both male and female students. According to the students the important factors are friends followed by advertisement and family members next only comes in Dealer and Relatives. It is noted that Brand Loyalty is the least considered attributes among students. 7 Kavitha, T.N.R. 2012 A Study On Customer Satisfaction Towards VODAFONE With Special Reference to Dharampuri [District]  To study the satisfaction level of the respondents towards the service provided by Vodafone.  Forty eight per cent of respondents are feeling highly satisfied with Vodafone network.  Thirty eight per cent of respondents are feeling satisfied with Vodafone customer care.  Forty eight per cent of respondents are feel satisfied with Vodafone other sim card.  Sixty two per cent of respondents are feeling satisfied with Vodafone call cost.
  • 21.
     Fifty eightper cent of respondents are feeling satisfied with Vodafone mobile internet.  Forty two per cent of respondents are feeling dissatisfied with Vodafone 3G plans 8 Ramesh, M. 2012 Consumer Behaviour Towards Mobile Tele Services: A Case Study At Visakhapatnam City  To study the choice of brands by the consumers and the reasons for the same and  To evaluate the respondents perception on cellular services.  48 percent of the respondents agree with the statement that cell phone is cheaper mode of communication.  82.5 percent of both the male and female respondents are satisfied with their mobile services.  Majority of the respondents (30 Percent) opinion that billing pattern offered by the mobile services is fair.  Majority of the respondents (60 percent) are satisfied with the advertisement given by mobile services.
  • 22.
    9 Rajeshwari, M. andJ. Jayaprada 2011 A study on consumer brand loyalty and consumer shift towards mobile service providers with special reference to Tata Docomo services ltd  To study the consumer loyalty towards mobile service providers (SIM card changing behavior)  To study awareness of TATA DOCOMO services in the market.  To study the consumer perception of TATA DOCOMO services.  Shift behavior is more rampant among student community and least among business people as business people want to be more connected because of their business network.  It is found that the reasons for not changing SIM cards are losing connectivity with friends, brand loyalty satisfaction with present service, same network benefits and Sms packages of present SIM cards.  57 (23%) of the respondents have shown their willingness to shift towards Tata Docomo, incase if they want to change. 50 (20%) people want to shift to Airtel.  It was found that 215 (86 %) of respondents are aware of Tata Docomo mobile services and Remaining 35 (14 %) respondents are not aware of Tata Docomo.
  • 23.
    10 Selvarasu, A. andLoganathan 2006 GSM Mobile Service in Telecom Sector: An Ontology of Quality of Service To analyze various factors responsible for customer satisfaction in GSM mobile service market Researcher identified that the important factors in influencing the customer satisfaction in GSM mobile service market are basic services, net work performance, value added services, recharging comfortability, customer care support and internet support. 11 Ray, Subhasis and Avishek Sarkar 2006 Analysing influence of Brand Vis-à- vis. Price in Indian Mobile industry To study the relationship between brand and price in telecom industry Researcher examined the influence of the brand name in customer loyalty. They identified that there is a significant positive impact of brand name of the service provider on the customer loyalty. 12 Banumathy, S. and Kalaivani 2006 Customers’ Attitude Towards Cell Phone Services in Communication System  To identify the factors affecting preference of customers towards cellular services  To analyze level of satisfaction in respect of different service providers The given study revealed that majority of respondents form the services provided by the mobile services. The important reasons for choosing cell phone are facility to identify the missed calls, more convenience and low cost. The level of satisfaction among the consumers is found to be as higher in the case of Aircel and BSNL, whereas, it is lesser in the case of Reliance and Airtel
  • 24.
    13 Anita Seth, KiranMomaya and H.M.Gupta. 2005 An Exploratory Investigation of Customer Loyalty and Retention in Cellular Mobile Comm.  To study the various factors responsible for non-switching  To study the various factors responsible for customer switching Researcher mentioned that the important reasons for non-switching from one service provider to another are the cost and energy involved in informing so many people about change in their number, confusion regarding the service offerings and complex tariff plans provided by other competitors, whereas, the reason for switching is dissatisfaction with their current service providers owing to the hidden costs and other factors 14 Inger Roos, Bo Edvardsson and Gustafsson 2004 Customers Switching Patterns in competitive and non-competitive service Industries To study the trend and reasons for switching of customers in several industries Researchers identified that the switching options are comparatively new to Telecommunication customers in the Nordic countries. This affects switching behaviour. The market has been turbulent for the same reasons, which in turn encourages low offers from new competitors. From the traditional Government owned telecommunications company’s point of view, customers can only partly switch and therefore perceive the network to constitute switching barriers.
  • 25.
    ARTICLES SR. NO AUTHOR TOPIC PUBLISHINGDETAILS CONCLUSION 1 Jai Bhatia and Adwait Rao Palepu Reliance JIO- Predatory Pricing or Predatory Behaviour Published in Political and Economic Weekly on 24 Sep, 2016 The author suggested that rather than pricing of R-JIO, the behavior of R-JIO is predatory. This conclusion was backed by various facts like using of photograph of Prime Minster of India in the advertisement of R-JIO, expectations of management to earn most of its revenue from data rather than voice, company’s statement that it will create 100 million customers in shortest duration of time, etc 2 Kalyan Parbat Reliance JIO effect : Grim future for small telcos like Aircel, Telenor Published in Economic Times on 03 September, 2016 Analysts protend a grim future for small moperators such as Aircel, Tata Teleservices, Telenor India as Reliance unveils what may well be the world’s may well the world’s cheapest data plans. The conclusion given by author was backed by the views of analysts of HSBC and Deutsche Bank 3 Amit Bapna, Ravi Balakrishnan and Shephali Bhatt The war over data has a new enemy- Reliance JIO Published in Economic Times on 23 November, 2016 The author has suggested that data by itself, could well earn the moniker for being the most ubiquitous term used by chief executives across categories.
  • 26.
    4 Kalyan Parbat Vodafonemost vulnerable to JIO’s disruptive pricing : ANALYSTS Published in Economic Times on 22 November,2016 According to analysts, Vodafone doesn’t appear to have taken JIO’s entry too seriously and is clearly lagging behind, and so far from rolling out a comparable pan-India 4G network. This view was backed by Edelweiss and analysts at Motiwal Oswal 5 Upasana Jain Reliance JIO free offer impact on rivals likely by Q3: ANALYSTS Published on LiveMint.com on 25 October, 2016 Analysts have expressed possibility that the impact of freebies being offered by R-JIO will show its impact on the market by year end. Morgan and Stanley have backed this view.
  • 27.
    RESEARCH GAP All thestudies reviewed by the researcher under this research are conducted either to analyze the response of market or perspective of customers towards the launch of a particular product. No study has been that comprehensive to include both the aspects under a single umbrella. The given study conducted by the researcher has covered both- competitors’ response as well as customers’ attitude towards launch of R-JIO. NEED FOR STUDY Telecommunication industry is one of the major industries in India contributing quite a fortune towards GDP. Thus anything which may have a significant impact over this industry is of utmost importance. R-JIO has been triumphantly launched all over India offering telecommunication services at substantially lower rates as compared to its competitors. This has started a new phase of competition in the market. Launch of R- JIO is being seen as one of the biggest technological revolution in the telecom industry. From a phase of voice utility, it has shifted the focus of customer towards data utility. Telecommunication industry is expected to experience a new level of cost efficiency and market penetration with such new rates. Also, R-JIO is being seen as a significant threat to its competitors. It is seen that since the launch of R-JIO, all the major players in the market have responded to the aggressive marketing tactics of R-JIO in one way or the other. Players like BSNL, IDEA & Airtel have decided to launch new cheaper plans. Vodafone have increased the validity of its plans. RCOM & Aircel have announced their merger. Also in the near future, major plans are expected to be launched by these businesses. All this has induced the need to conduct this study. On the other hand, since the day R-JIO started its operations there are rumors in the market that R-JIO is not performing as per its promises. It is being said that procedure for obtaining and initiating R-JIO simcard is quite a hectic process. That is why there is need to conduct a study to analyze consumers’ perspective & satisfaction level for R-JIO.
  • 28.
    OBJECTIVES OF STUDY 1.To analyze consumers’ attitude towards promises and services of R-JIO 2. To analyze response of major market players towards R-JIO ( Airtel, Vodafone, Idea, BSNl ) 3. To analyze impact of launch of R-JIO over market
  • 29.
    RESEARCH METHODOLOGY TYPE Analyticalresearch METHOD OF DATA COLLECTION Field survey & secondary sources SAMPLING TYPE Convenient sampling SAMPLE SIZE 200 R-JIO users AREA Agra city SOURCES OF DATA Secondary and primary data have been used by the researcher for the fulfillment of stated objectives. Primary data has been collected from field survey with the help of a structured questionnaire filled by 200 R- JIO users. Secondary data sources include: 1. Online articles- www.quora.com www.economictimes.com www.timesofindia.com www.hindu.com 2. Websites- www.trai.gov.in www.vodafone.in www.airtel_live.in www.idea.co.in & others
  • 30.
    OBJECTIVE WISE DESCRIPTIONOF METHODOLOGY Objective 1- To analyze consumers’ attitude towards promises and services of R-JIO In order to fulfill the above mentioned objective, the researcher has collected primary data from field survey with the help of self-structured questionnaire. This questionnaire has been exclusively filled by 200 R-JIO customers. Statistical tools used during the study are weighted average & percentage. Objective 2- To analyze response of major market players towards R-JIO ( Airtel, Vodafone, Idea,) In order to fulfill the above stated objective, the researcher has used secondary data collected from above mentioned sources. Official websites of various service providers have been used to obtain information about their offers and plans as well as to make a comparative study between the services provided by JIO and its competitors. Objective 3- To analyze impact of launch of R-JIO over market To fulfill the above stated objective, the researcher has made an attempt to analyze the impact of launch of R-JIO over the market with the help of TREND analysis and Time Series regression analysis of subscriber base & market share of R-JIO AND ITS COMPETITORS. Information regarding change in customer base & market share has been obtained from annual reports of TRAI.
  • 31.
    STATISTICAL TOOLS Tools foranalysis 1. Weighted Mean 2. Percentage 3. Trend analysis & Correlation 4. Time series regression analysis Tools for presentation of data 1. Bar graph 2. Pie chart 3. Line graph 4. Tabulation
  • 32.
    LIMITATIONS OF STUDY 1.Lack of quantitative data – Exact quantitative data for this study are not explicitly available. Researcher has to resort to best available sources to collect data implicitly. Accuracy of study is subject to level of rationality in selection of source and accuracy in interpretation by researcher. 2. Lack of authentic sources of data- Though researcher has tried to maintain the sanctity of research to greatest extent possible but still lack of certified sources of data limits the scope of validity of this research. 3. Limited scope of study- This study covers only the response of competitors towards R-JIO. It doesn’t include the analysis of impact of R-JIO over the financial condition of respective businesses. SCOPE FOR FURTHER STUDY 1. Profitability analysis of R-JIO 2. Impact of R-JIO over the profitability of its competitors 3. Impact of R-JIO over telecom industry in India in long run
  • 34.
  • 35.
    OBJECTIVE 1 OBJECTIVE STATEMENT-To analyze consumers’ attitude towards promises and services of R-JIO METHODOLOGY- In order to fulfill the above mentioned objective, the researcher has collected primary data from field survey of 200 JIO users with the help of self-structured questionnaire. ANALYSIS QUESTION 1 Which is/are your current service providers other than R-JIO? SERVICE PROVIDER IDEA RELIANCE VODAFONE AIRTEL NONE NUMBER OF USERS 59 11 32 88 20 59 11 32 88 20 0 10 20 30 40 50 60 70 80 90 100 IDEA RELIANCE VODAFONE AIRTEL NONE
  • 36.
    INTERPRETATION- Most ofthe respondents avail services of other service providers too other than Reliance Jio. Majority of them are Airtel users followed by Idea, Vodafone and Reliance Telecom. 10% of the respondents are exclusive users of Reliance Jio who are not availing services of any other service providers.
  • 37.
    QUESTION 2 How longhave you been using R TIME PERIOD LESS THAN 1 MONTH 1-3 MONTH MORE THAN 3 MONTH INTERPRETATION- Almost half of the respondents have been than 3 months. Also, a healthy proportion of respondents have been availing services of Reliance Jio since 1-3 months. So, it can be interpreted that awareness and experience of Reliance Jio. 49% DISTRIBUTION OF USERS ON BASIS OF TIME How long have you been using R-JIO? TIME PERIOD DISTRIBUTION OF USERS ON BASIS OF TIME PERIOD LESS THAN 1 MONTH 31 71 MONTHS 98 Almost half of the respondents have been using Reliance Jio since more Also, a healthy proportion of respondents have been availing services of Reliance So, it can be interpreted that majority of respondents are well of awareness and experience of Reliance Jio. 15% 36% DISTRIBUTION OF USERS ON BASIS OF TIME PERIOD LESS THAN 1 MONTH 1-3 MONTH MORE THAN 3 MONTHS DISTRIBUTION OF USERS ON BASIS OF TIME PERIOD Reliance Jio since more Also, a healthy proportion of respondents have been availing services of Reliance majority of respondents are well off with the DISTRIBUTION OF USERS ON BASIS OF TIME LESS THAN 1 MONTH 3 MONTH MORE THAN 3 MONTHS
  • 38.
    QUESTION 3- Are youstill using your last SIM CARD? OPTIONS YES, I AM USING BOTH CARDS SIDE BY SIDE NO, I HAVE SWITCHED TO R INTERPRETATION- Majority of respondents are still using their old sim cards side by side implying that they have not yet fully switched to Reliance Jio for all the purposes. It shows that customers on major note are reluctant to phase. 13% Are you still using your last SIM CARD? RESPONSES YES, I AM USING BOTH CARDS SIDE BY SIDE 175 NO, I HAVE SWITCHED TO R-JIO 25 Majority of respondents are still using their old sim cards side by side implying that they have not yet fully switched to Reliance Jio for all the purposes. It shows that customers on major note are reluctant to completely switch to a new service provider 87% YES, I AM USING BOTH CARDS SIDE BY SIDE NO, I HAVE SWITCHED TO R RESPONSES Majority of respondents are still using their old sim cards side by side implying that they have not yet fully switched to Reliance Jio for all the purposes. It shows that switch to a new service provider in early YES, I AM USING BOTH CARDS SIDE NO, I HAVE SWITCHED TO R-JIO
  • 39.
    QUESTION 4 Is R-JIOyour primary choice or secondary choice? PURPOSE CALLING NETSURFING VIDEO CALLING SMS SERVICE OTHER LIKE NET BANKING, ETC 0 20 40 60 80 100 120 140 160 180 200 CALLING NETSURFING 79 161 121 39 JIO your primary choice or secondary choice? PURPOSE PRIMARY CALLING 79 NETSURFING 161 VIDEO CALLING 155 SMS SERVICE 138 OTHER LIKE NET BANKING, ETC 97 NETSURFING VIDEO CALLING SMS SERVICE OTHER LIKE NET BANKING, ETC 155 138 97 45 62 103 SECONDARY 121 39 45 62 103 SECONDARY PRIMARY
  • 40.
    INTERPRETATION- It canbe interpreted that degree of preference towards Reliance Jio differs from purpose to purpose. When it comes to net surfing, video calling & sms service, Reliance Jio is the primary choice of majority of customers. However, in case of calling and subsidiary purposes, majority of respondents prefer other service providers over Reliance Jio. PURPOSES PRIMARY VS SECONDARY CALLING SECONDARY NETSURFING PRIMARY VIDEO CALLING PRIMARY SMS SERVICE PRIMARY OTHER LIKE NET BANKING, ETC TOUGH CALL
  • 41.
    QUESTION 5 Do youuse inbuilt applications of R OPTIONS YES NO 40% DO YOU USE INBUILD APPLICATIONS OF R Do you use inbuilt applications of R-JIO? RESPONSE 121 79 DO YOU USE INBUILD APPLICATIONS OF R RESPONSE 60% DO YOU USE INBUILD APPLICATIONS OF R-JIO? YES NO
  • 42.
    If YES, thenwhich applications do you use? APPLICATION JIO CINEMA JIO TV JIO MUSIC JIO MAGS JIO XPRESS JIO CHAT JIO CLOUD JIO 4G VOICE JIO MONEY A JIO JIO SWITCH JIO NET NUMBER OF CUSTOMERS USING JIO APPLICATIONS JIO NET JIO SWITCH JIO CHAT JIO XPRESS If YES, then which applications do you use? APPLICATION NUMBER OF CUSTOMERS USING JIO APPLICATIONS JIO CINEMA 32 74 JIO MUSIC 31 JIO MAGS 12 JIO XPRESS JIO CHAT JIO CLOUD JIO 4G VOICE 59 JIO MONEY 28 JIO SWITCH JIO NET 48 NUMBER OF CUSTOMERS USING JIO APPLICATIONS 32 31 12 3 9 0 2 28 0 48 JIO SWITCH A JIO JIO MONEY JIO 4G VOICE JIO XPRESS JIO MAGS JIO MUSIC JIO TV NUMBER OF CUSTOMERS USING JIO APPLICATIONS 32 74 31 12 3 9 0 59 2 28 0 48 74 59 48 JIO CLOUD JIO CINEMA
  • 43.
    INTERPRETATION- It canbe interpreted that JIO APPLICATIONS are not that much popular among the respondents. A major section of respondents i.e. 40% is non-user of JIO applications. Even the respondents who use these applications are exposed to limited apps only. Among the users, JIO NET, JIO 4G VOICES & JIO TV have maximum popularity whereas JIO SWITCH, JIO MONEY, JIO CLOUD, JIO XPRESS & JIO CHAT have minimal usage.
  • 44.
    QUESTION 6 How isyour experience regarding given aspects of R-JIO services as compared to other service providers? ASPECTS OF SERVICE OF R - JIO PEOPLE GRADING THE ASPECT AS EXCELLE NT ( FAR BETTER) PEOPLE GRADING THE ASPECT AS GOOD (SOMEWH AT BETTER) PEOPLE GRADING THE ASPECT AS AVERAGE (EQUILIKE LY) PEOPLE GRADING THE ASPECT AS POOR (SOMEWH AT WORSE) PEOPLE GRADIN G THE ASPECT AS VERY POOR (FAR WORSE) WEIGHTED AVERAGE OF PREFERENCE /GRADE CONNECTIVITY 11 59 121 9 0 3.36 INTERNET SPEED 29 51 115 5 0 3.52 RECHARGE PLANS 68 92 15 25 0 4.015 SMS SERVICES 45 85 68 2 0 3.865 INBUILT APPLICATIONS 40 92 48 20 0 3.76 VALUE ADDED SERVICES 24 48 105 18 5 3.34 CUSTOMER CARE 0 72 58 44 26 2.88 OVERALL 10 125 58 7 0 3.69 WEIGHTS ASSIGNED 5 4 3 2 1 ---
  • 45.
    0 20 4060 80 100 120 140 CONNECTIVITY INTERNET SPEED RECHARGE PLANS SMS SERVICES INBUILT APPLICATIONS VALUE ADDED SERVICES CUSTOMER CARE OVERALL VERY POOR (FAR WORSE) POOR (SOMEWHAT WORSE) AVERAGE (EQUILIKELY) GOOD (SOMEWHAT BETTER) EXCELLENT ( FAR BETTER)
  • 46.
    INTERPRETATION- On anaverage, the experience rating of respondents regarding various aspects of JIO ranges between average and good. ASPECTS OF SERVICE OF R -JIO CONNECTIVITY INTERNET SPEED 0% 20% 40% 60% 80% 100% 11 29 68 45 59 51 92 85 121 115 15 68 9 5 25 2 On an average, the experience rating of respondents regarding various aspects of JIO ranges between average and good. EXPERIENCE STATUS OF RESPONDENTS On an average, respondents’ satisfaction level with connectivity of R-JIO has been average. They have been fairly satisfied with the connectivity of R JIO when compared with its competitors. On an average, respondents are quite satisfied with the internet speed of R- JIO. A weighted average of 3.52 states that respondents feels that the internet speed of R slightly better than its competitors. 40 24 0 10 92 48 72 125 48 105 58 58 20 18 44 7 VERY POOR (FAR WORSE) POOR (SOMEWHAT WORSE) AVERAGE (EQUILIKELY) GOOD (SOMEWHAT BETTER) EXCELLENT ( FAR BETTER) On an average, the experience rating of respondents regarding EXPERIENCE STATUS OF RESPONDENTS an average, respondents’ satisfaction level with JIO has been average. They have been fairly satisfied with the connectivity of R JIO when On an average, respondents are quite satisfied with the weighted average of 3.52 states that respondents feels that the internet speed of R- JIO is VERY POOR (FAR WORSE) POOR (SOMEWHAT WORSE) AVERAGE (EQUILIKELY) GOOD (SOMEWHAT BETTER) EXCELLENT ( FAR BETTER)
  • 47.
    RECHARGE PLANS On anaverage, respondents experience have been good with the recharge plans of R-JIO. With a weighted average of 4.015, it can be interpreted that in perspective of respondents, R JIO has clear edge over it’s competitors when it comes to recharge plans. SMS SERVICES On an average, the experience of respondents with sms services of R JIO has been near to good. It can be interpreted that R JIO is perceived to have edge over its competitors when it comes to sms services. INBUILT APPLICATIONS On an average, respondents are positive towards inbuilt applications of R-JIO. A weighted average of 3.76 shows that the respondents’ experience with R-JIO has been near to good. VALUE ADDED SERVICES On an average, respondents’ satisfaction level with VAS of R-JIO has been average. In respondents’ perspective, VAS of R JIO are at par with its competitors. CUSTOMER CARE On an average, respondents don’t appear to be pretty satisfied with customer care responses of R JIO. A weighted average of 2.88 clearly implies that R JIO is worse than its competitors when it comes to customer care services. OVERALL On an average, respondents experience with R-JIO has been near to good. A weighted average of 3.69 states that RESPONDENTS FEELS THAT R JIO IS SOMEWHAT BETTER THAN ITS COMPETITORS when compared in totality.
  • 48.
    QUESTION 7 According toyou, what are the best things about R OPTIONS NUMBE R OF PEOPLE ASSIGNI NG RANK 1 NUMBE R OF PEOPLE ASSIGNI NG RANK 2 MINIMAL COST 130 30 FASTER 4G NETWORK 50 110 COMPREHEN SIVE INBUILT APPLICATION S 20 30 VALUE ADDED SERVICES 0 10 CUSTOMER CARE RESPONSE AND AVAILABILIT Y 0 20 0% 10% 20% 30% 40% 50% 60% 70% 80% 90% 100% RANK 1 RANK 2 According to you, what are the best things about R-JIO? NUMBE R OF PEOPLE ASSIGNI RANK 2 NUMBE R OF PEOPLE ASSIGNI NG RANK 3 NUMBE R OF PEOPLE ASSIGNI NG RANK 4 NUMBE R OF PEOPLE ASSIGNI NG RANK 5 WEIGHTED AVERAGE OF PREFEREN CES 20 10 10 4.3 10 10 20 4 120 30 0 3.2 20 120 50 1.95 30 30 120 1.75 RANK 3 RANK 4 RANK 5 CUSTOMER CARE RESPONSE AND AVAILABILITY VALUE ADDED SERVICES COMPREHENSIVE INBUILT APPLICATIONS FASTER 4G NETWORK MINIMAL COST WEIGHTED AVERAGE OF PREFEREN CES FINAL RANK ASSIGN ED 4.3 1 4 2 3.2 3 1.95 4 1.75 5 CUSTOMER CARE RESPONSE AND AVAILABILITY VALUE ADDED SERVICES COMPREHENSIVE INBUILT APPLICATIONS FASTER 4G NETWORK MINIMAL COST
  • 49.
    INTERPRETATION- On anaverage, minimal cost of R JO services is the foremost reason for positive perception of respondents towards R comprehensive inbuilt applications, & value added services of R JIO. Customer response is least preferred reason for positive attitude of respondents. 0% 10% 20% 30% 40% 50% 60% 70% 80% 90% 100% On an average, minimal cost of R JO services is the foremost reason for positive perception of respondents towards R-JIO. It is followed by faster 4G network, comprehensive inbuilt applications, & value added services of R JIO. Customer response is least preferred reason for positive attitude of respondents. On an average, minimal cost of R JO services is the foremost reason faster 4G network, comprehensive inbuilt applications, & value added services of R JIO. Customer response is RANK 5 RANK 4 RANK 3 RANK 2 RANK 1
  • 50.
    QUESTION 8 Do youface any problems with R OPTIONS YES NO MAYBE If YES, then which problems do you face? PROBLEMS CALL DROP POOR NETWORK SLOWER INTERNET OTHERS 11% DO YOU FACE ANY PROBLEM WITH R Do you face any problems with R-JIO services? DO YOU FACE ANY PROBLEM WITH R SERVICES? 143 22 35 If YES, then which problems do you face? NUMBER OF CUSTOMERS FACING VARIOUS PROBLEMS 110 129 139 3 71% 18% DO YOU FACE ANY PROBLEM WITH R-JIO SERVICES? FACE ANY PROBLEM WITH R-JIO SERVICES? NUMBER OF CUSTOMERS FACING VARIOUS JIO SERVICES? YES NO MAYBE
  • 51.
    INTERPRETATION- Majority ofrespondents faces certain problems with services of R- JIO. Slower internet speed is the most commonly faced problem among the respondents. It is followed by poor network and call drops. The reason for the given problems is huge traffic over the limited spectrum of JIO. According to a study of TRAI, per user internet usage over JIO is much more than other networks. It leads to huge traffic over the network which ultimately raises the above problems. However, with purchase of more spectrums, JIO is expected to solve these issues pretty soon. 0 20 40 60 80 100 120 140 160 CALL DROP POOR NETWORK SLOWER INTERNET OTHERS NUMBER OF CUSTOMERS FACING VARIOUS PROBLEMS NUMBER OF CUSTOMERS FACING VARIOUS PROBLEMS
  • 52.
    QUESTION 9 Will yousuggest R-JIO to others? OPTIONS YES NO MAY BE INTERPRETATION- Majority of respondents are satisfied enough with R suggest it to others. Only around 10% of the respondents solicited against suggesting JIO to others. It fairly implies growth prospect for R 10% WILL YOU SUGGEST R JIO to others? RESPONSE 151 19 30 Majority of respondents are satisfied enough with R-JIO that they could suggest it to others. Only around 10% of the respondents solicited against suggesting JIO to fairly implies growth prospect for R-JIO in the future. 75% 15% WILL YOU SUGGEST R-JIO TO OTHERS? JIO that they could suggest it to others. Only around 10% of the respondents solicited against suggesting JIO to YES NO MAY BE
  • 53.
    OBJECTIVE 2 OBJECTIVE STATEMENT-To analyze response of major market players towards R-JIO (Airtel, Vodafone, Idea) METHODOLOGY- In order to fulfill the above stated objective, the researcher has used secondary data collected from official websites of various service providers to make a comparative study between the services provided by competitors of JIO before and after the launch of the service. ANALYSIS COMPARATIVE STUDY OF SELECTED PLANS OF AIRTEL BEFORE AND AFTER LAUNCH OF JIO  Plan 1 FEATURES OFFERINGS BEFORE ARRIVAL OF JIO OFFERINGS AFTER ARRIVAL OF JIO ANALYSIS OF CHANGE IN PLAN PLAN MRP 1599 1494 PRICE REDUCED BY ALMOST 6.5% VALIDITY 28 DAYS 28 DAYS NO CHANGE VOICE CALLING UNLIMITED UNLIMITED NO CHANGE DATA 5 GB (4G) 5 GB (4G) NO CHANGE SMS UNLIMITED UNLIMITED NO CHANGE
  • 54.
     Plan 2 FEATURESOFFERINGS BEFORE ARRIVAL OF JIO OFFERINGS AFTER ARRIVAL OF JIO ANALYSIS OF CHANGE IN PLAN PLAN MRP 1999 1846 PRICE REDUCED BY MORE THAN 7.5% VALIDITY 28 DAYS 28 DAYS NO CHANGE CALLING UNLIMITED UNLIMITED NO CHANGE DATA 10 GB (4G) 10 GB (4G) NO CHANGE SMS UNLIMITED UNLIMITED NO CHANGE  Plan 3 (Special) FEATURES OFFERINGS BEFORE ARRIVAL OF JIO OFFERINGS AFTER ARRIVAL OF JIO ANALYSIS OF CHANGE IN PLAN PLAN MRP 1199 349 PRICE REDUCED BY ALMOST 71 % VALIDITY 28 DAYS 28 DAYS NO CHANGE CALLING UNLIMITED UNLIMITED NO CHANGE DATA 1 GB (4G) 1 GB (4G) NO CHANGE SMS UNLIMITED UNLIMITED NO CHANGE OTHER BENEFITS- Data worth Rs. 9000 for 12 months to an user who joins Airtel 4G network. Earlier no such benefit was given.
  • 55.
    COMPARATIVE STUDY OFSELECTED PLANS OF VODAFONE BEFORE AND AFTER LAUNCH OF JIO  Plan 1 FEATURES OFFERINGS BEFORE ARRIVAL OF JIO OFFERINGS AFTER ARRIVAL OF JIO ANALYSIS OF CHANGE IN PLAN PLAN MRP 499 499 NO CHANGE VALIDITY 30 DAYS 28 DAYS NO CHANGE VOICE CALLING 700 MINS 700 MINS ALMOST NO CHANGE DATA 1 GB (3G) 2 GB (3G/4G) DATA INCREASED BY 100% (ALSO 4G DATA AVAILBALE IN CASE OF 4G PHONE) SMS 500 - NO SMS BENEFITS
  • 56.
     Plan 2 FEATURESOFFERINGS BEFORE ARRIVAL OF JIO OFFERINGS AFTER ARRIVAL OF JIO ANALYSIS OF CHANGE IN PLAN PLAN MRP 999 998 ALMOST NO CHANGE VALIDITY 30 DAYS 28 DAYS ALMOST NO CHANGE VOICE CALLING 2000 MINS 2000 MINS NO CHANGE DATA 3 GB (3G) 6 GB (3G/4G) DATA INCREASED BY 100% (ALSO 4G DATA AVAILBALE IN CASE OF 4G PHONE) SMS 500 - NO SMS BENEFITS OTHER SPECIAL OFFERS-  Now offers 4GB 4G data at Rs 250 and 22 GB for Rs 999  Super hour offer- Unlimited 3G/4G data for an hour at Rs 16, unlimited local calls at Rs 7  Double data plan- On recharge of 1 GB 4G data pack & above get 2x data
  • 57.
    COMPARATIVE STUDY OFSELECTED PLANS OF IDEA BEFORE AND AFTER LAUNCH OF JIO  Plan 1 FEATURES OFFERINGS BEFORE ARRIVAL OF JIO OFFERINGS AFTER ARRIVAL OF JIO ANALYSIS OF CHANGE IN PLAN PLAN MRP 698 649 PRICE REDUCED BY ALMOST 6.5% VALIDITY 28 DAYS 28 DAYS NO CHANGE VOICE CALLING UNLIMITED I2I CALLS - VOICE CALLING BENEFIT HAS BEEN REMOVED DATA 3 GB(2G) 3 GB (4G) SAME QUANTITY OF DATA IS PROVIDED IN 4G RATHER THAN 2G SMS 3000 - SMS BENEFIT HAS BEEN REMOVED
  • 58.
     Plan 2 FEATURES OFFERINGS BEFOREARRIVAL OF JIO OFFERINGS AFTER ARRIVAL OF JIO ANALYSIS OF CHANGE IN PLAN PLAN MRP 1749 1498 PRICE REDUCED BY MORE THAN 14% VALIDITY 28 DAYS 28 DAYS NO CHANGE VOICE CALLING UNLIMITED LOCAL CALLS - VOICE CALLING BENEFIT HAS BEEN REMOVED DATA 5 GB(2G) 15 GB (4G) AND POST THIS USERS WILL BE ABLE TO AVAIL ADDITIONAL DATA AT Rs 51 PER GB EVERY MONTH DATA QUANTITY INCREASED DRASTICALLY BY 200% INCLUDING EXTRA BENEFITS SMS 3000 - SMS BENEFIT HAS BEEN REMOVED OTHER BENEFITS-  New 4G handset will get an additional 3gb data with unlimited calls  All this will fetch free data worth Rs 9000 for a year on a new 4g handset
  • 59.
    INTERPRETATION All the majorservice providers have responded to the minimal pricing policy of Reliance Jio. In order to tackle competition from R-JIO various service providers are adopting varied policies. Some service providers are focusing on reducing the price of their plans to attract customers while others are adopting the policy of introducing special packs to hold their position in the market. From the given analysis of plans, it can be easily interpreted that ARITEL BHARTI has responded most aggressively towards the competition being imposed by R-JIO. It has reduced the prices of its major plans by great extent. When it comes to VODAFONE, it is clearly visible that instead of reducing the price of its major packs, it has increased the data offering by up to 100%. Idea Cellular too has responded towards R-JIO by increasing the size of its offerings. Idea has focused more on data offering rather than voice calling benefits and SMS benefits. In its major plans, it has replaced sms benefits and calling benefits with more quantity of data. Apart from this, all the service providers have introduced other special offers also to attract its customers as included in the above data. From the given analysis, it can be said that the Indian telecom sector is shifting towards a new trend. In the inception, telecom players used to focus on voice calling services to beat the competition and earn revenues. Afterwards the industry witnessed the trend of focusing on data services as a major medium of earning revenue. And now with the entry of JIO, all the telecom service providers have thrashed their data charges to great extent. Thus in the very near future, it is strongly expected that the industry will look towards VALUE ADDED SERVICES for generating profits and winning competition.
  • 60.
    OBJECTIVE 3 OBJECTIVE STATEMENT-To analyze the impact of launch of R-JIO over market METHODOLOGY- To fulfill the above stated objective, the researcher has made an attempt to analyze the impact of launch of R-JIO over the market with the help of TREND analysis (ORDINARY LEAST SQUARE METHOD) of customer base of R-JIO AND ITS COMPETITORS. ANALYSIS TREND OF NET ADDITION IN SUBSCRIBER BASE AFTER ENTRY OF RELIANCE JIO MONTHS NET ADDITION IN SUBSCRIBER BASE OF RELIANCE JIO NET ADDITION IN SUBSCRIBER BASE OF IDEA NET ADDITION IN SUBSCRIBER BASE OF BHARTI NET ADDITION IN SUBSCRIBER BASE OF VODAFONE NET ADDITION IN SUBSCRIBER BASE OF BSNL NET ADDITION IN SUBSCRIBER BASE OF OTHERS OVERALL NET ADDITION IN SUBSCRIBER BASE AUGUST 2016 0 412697 701750 486206 1646528 -8594981 -5347800 SEPTEMBER 2016 15979745 1913319 2432282 525281 1401578 -1394365 20857840 OCTOBER 2016 19632129 6337591 2326930 1179654 1187430 -1983646 28680088 NOVEMBER 2016 16263840 2524521 1082654 890794 831286 -501551 21091544 DECEMBER 2016 20281930 2839426 2502355 1895235 1003810 -663147 27859609
  • 61.
    SERVICE PROVIDERS CORRELATION BETWEENNET ADDITION TO SUBSCRIBER BASE OF R-JIO AND NET ADDITION TO SUBSCRIBER BASE OF OTHER PROVIDERS RELIANCE JIO 1 IDEA 0.706542177 BHARTI AIRTEL 0.792698601 VODAFONE 0.659965841 BSNL -0.751645498 OTHERS 0.949527005 OVERALL MARKET 0.998278755
  • 62.
    0 5000000 10000000 15000000 20000000 25000000 NET ADDITION INSUBSCRIBER BASE OF 0 1000000 2000000 3000000 4000000 5000000 6000000 7000000 NET ADDITION IN SUBSCRIBER BASE OF IDEA NET ADDITION IN SUBSCRIBER BASE OF RELIANCE JIO NET ADDITION IN SUBSCRIBER BASE OF RELIANCE JIO NET ADDITION IN SUBSCRIBER BASE OF IDEA NET ADDITION IN SUBSCRIBER BASE OF IDEA NET ADDITION IN SUBSCRIBER BASE OF RELIANCE JIO NET ADDITION IN SUBSCRIBER BASE OF IDEA NET ADDITION IN SUBSCRIBER BASE OF IDEA
  • 63.
    0 500000 1000000 1500000 2000000 2500000 3000000 NET ADDITION INSUBSCRIBER BASE OF 0 200000 400000 600000 800000 1000000 1200000 1400000 1600000 1800000 NET ADDITION IN SUBSCRIBER BASE OF BSNL NET ADDITION IN SUBSCRIBER BASE OF BHARTI NET ADDITION IN SUBSCRIBER BASE OF BHARTI NET ADDITION IN SUBSCRIBER BASE OF BSNL NET ADDITION IN SUBSCRIBER BASE OF BSNL NET ADDITION IN SUBSCRIBER BASE OF NET ADDITION IN SUBSCRIBER BASE OF BSNL NET ADDITION IN SUBSCRIBER BASE OF BSNL
  • 64.
    0 200000 400000 600000 800000 1000000 1200000 1400000 1600000 1800000 2000000 NET ADDITION INSUBSCRIBER BASE OF -1000000 -9000000 -8000000 -7000000 -6000000 -5000000 -4000000 -3000000 -2000000 -1000000 0 NET ADDITION IN SUBSCRIBER BASE OF NET ADDITION IN SUBSCRIBER BASE OF VODAFONE NET ADDITION IN SUBSCRIBER BASE OF VODAFONE NET ADDITION IN SUBSCRIBER BASE OF OTHERS NET ADDITION IN SUBSCRIBER BASE OF OTHERS NET ADDITION IN SUBSCRIBER BASE OF VODAFONE NET ADDITION IN SUBSCRIBER BASE OF OTHERS
  • 65.
    INTERPRETATION- SERVICE PROVIDER TREND OFCHANGE IN CUSTOMER BASE OVER THE GIVEN PERIOD RELIANCE JIO POSITIVE -1000000 -5000000 0 5000000 10000000 15000000 20000000 25000000 30000000 35000000 OVERALL NET ADDITION IN SUBSCRIBER TREND OF CHANGE IN CUSTOMER BASE OVER THE GIVEN PERIOD IMPLICATIONS FROM TREND ANALYSIS IMPLICATIONS FROM POSITIVE Net addition to subscriber base of R-JIO is showing an increasing trend over the given period implying a positive growth rate in customer base of R-JIO. It points to the growth stage of R-JIO in the market. OVERALL NET ADDITION IN SUBSCRIBER BASE OVERALL NET ADDITION IN SUBSCRIBER BASE IMPLICATIONS FROM CORRELATION - OVERALL NET ADDITION IN SUBSCRIBER OVERALL NET ADDITION IN SUBSCRIBER BASE
  • 66.
    IDEA HIGHLY POSITIVE Positivetrend in net additions to subscriber base of IDEA, AIRTEL & VODAFONE implies that Customers are adding to these networks at a rising pace after the arrival of R-JIO. It is possibly because of the attractive offers introduced by the businesses to tackle R- JIO. MODERATE DEGREE OF POSITIVE CORRELATION EXISTS I.E. movement in net additions to customer base of both the service providers is taking place in the same direction BHARTI AIRTEL POSITIVE HIGH DEGREE OF POSITIVE CORRELATION EXISTS I.E. movement in net additions to customer base of both the service providers is taking place in the same direction VODAFONE HIGHLY POSITIVE MODERATE DEGREE OF POSITIVE CORRELATION EXISTS I.E. movement in net additions to customer base of both the service providers is taking place in the same direction BSNL NEGATIVE Negative trend in net additions to subscriber base of BSNL implies that the customers’ preference is shifting towards other networks due to attractive offers introduced by them. HIGH DEGREE OF NEGATIVE CORRELATION EXISTS I.E. movement in net additions to customer base of both the service providers is taking place in the opposite direction
  • 67.
    OTHERS POSITIVE Net additionsto other networks is showing a positive trend however it is still negative implying that the number of persons joining the other networks is less than those leaving these networks. VERY HIGH DEGREE OF POSITIVE CORRELATION EXISTS I.E. movement in net additions to customer base of both the service providers is taking place in the same direction OVERALL INDUSTRY POSITIVE There is a very positive shift in overall additions to the telecom network. Before the arrival of JIO, there was negative net addition to the industry however after the launch of R-JIO it has improved drastically to reach a considerable figure. It points to a favorable change in Indian telecom sector after arrival of JIO. VERY HIGH DEGREE OF POSITIVE CORRELATION EXISTS I.E. movement in net additions to customer base of both the service providers is taking place in the same direction It is clearly visible that the launch of RELIANCE JIO has shown a favorable impact over the subscriber base of the telecom sector. Telecom sector is visibly growing at a faster pace after arrival of R-JIO.
  • 68.
    TREND OF CHANGEIN MARKET PROPOSITION MONTHS MARKET SHARE OF RELIANCE JIO MARKET SHARE OF IDEA MARKET SHARE OF BHARTI MARKET SHARE OF BSNL MARKET SHARE OF VODAFONE MARKET SHARE OF OTHERS AUGUST,16 0 17.19 25.03 8.98 19.46 29.34 SEPTEMBER,16 1.52 17.03 24.76 8.93 19.12 28.64 OCTOBER,16 3.3 17.17 24.32 8.8 18.72 27.69 NOVEMBER,16 4.72 17.07 23.95 8.71 18.44 27.11 DECEMBER,16 6.4 16.9 23.58 8.59 18.16 26.37 SLOPE OF CHANGE WITH RESPECT TO CHANGE IN RELIANCE JIO 1 -0.033 -0.231 -0.062 -0.205 -0.467
  • 69.
    TREND OF CHANGEIN MARKET 0 1.52 3.3 17.19 17.03 17.17 25.03 24.76 24.32 8.98 8.93 8.8 19.46 19.12 18.72 29.34 28.64 0 5 10 15 20 25 30 35 AUGUST,16 SEPTEMBER,16 OCTOBER,16 0 20 40 60 80 100 0 1.52 3.3 17.19 17.03 17.17 25.03 24.76 24.32 8.98 8.93 8.8 19.46 19.12 18.72 29.34 28.64 27.69 TREND OF CHANGE IN MARKET PROPOSITION 3.3 4.72 6.4 17.17 17.07 16.9 24.32 23.95 23.58 8.8 8.71 8.59 18.72 18.44 18.16 27.69 27.11 26.37 OCTOBER,16 NOVEMBER,16 DECEMBER,16 MARKET SHARE OF RELIANCE JIO MARKET SHARE OF IDEA MARKET SHARE OF BHARTI MARKET SHARE OF BSNL MARKET SHARE OF VODAFONE MARKET SHARE OF OTHERS 3.3 4.72 6.4 17.17 17.07 16.9 24.32 23.95 23.58 8.8 8.71 8.59 18.72 18.44 18.16 27.69 27.11 26.37 MARKET SHARE OF OTHERS MARKET SHARE OF VODAFONE MARKET SHARE OF BSNL MARKET SHARE OF BHARTI MARKET SHARE OF IDEA MARKET SHARE OF RELIANCE JIO PROPOSITION MARKET SHARE OF RELIANCE JIO MARKET SHARE OF IDEA MARKET SHARE OF BHARTI MARKET SHARE OF BSNL MARKET SHARE OF VODAFONE MARKET SHARE OF OTHERS MARKET SHARE OF OTHERS MARKET SHARE OF VODAFONE MARKET SHARE OF BSNL MARKET SHARE OF BHARTI MARKET SHARE OF IDEA MARKET SHARE OF RELIANCE JIO
  • 70.
    Expected market propositionafter 1 year of launch of R (extrapolated using regression analysis) MARKET SHARE OF RELIANCE JIO MARKET SHARE OF IDEA MARKET SHARE OF BHARTI 19.3 16.6 15.6 7.7 20.4 EXPECTED MARKET PROPOSITION AFTER 1 YEAR OF Expected market proposition after 1 year of launch of R- (extrapolated using regression analysis) MARKET SHARE OF BHARTI MARKET SHARE OF BSNL MARKET SHARE OF VODAFONE 20.4 7.7 15.6 19.3 16.6 20.4 EXPECTED MARKET PROPOSITION AFTER 1 YEAR OF LAUNCH OF R-JIO -JIO SHARE OF VODAFONE MARKET SHARE OF OTHERS 20.4 EXPECTED MARKET PROPOSITION AFTER 1 YEAR OF R JIO IDEA BHARTI VODAFONE BSNL OTHERS
  • 71.
    INTERPRETATION- It isclearly visible that that after the entry of R-JIO, the proposition of telecom market in India has undergone a significant change. The market share of almost all the market players has shown a declining trend. The slope of change in market share with respect to market share of R-JIO is maximum for low end market players like TELENOR, TATA DOCOMO, etc. Among the bigger market players, the market shares of AIRTEL BHARTI & VODAFONE are most affected with a negative slope of approximately.2. IDEA is the least effected player with a negative slope of around .03. On analysis of the expected market proposition after 12 months of launch of R-JIO calculated using time series regression analysis, it can be interpreted that R-JIO will have a major impact over the market in the long run. Within an year, R-JIO is expected to become the second biggest market player in the market if it progresses in the current manner.
  • 72.
  • 73.
    KEY FINDINGS ABOUT CUSTOMERS’ATTITUDE 1. Most of the respondents avail services of other service providers too other than Reliance Jio. Majority of them are Airtel users followed by Idea, Vodafone and Reliance Telecom 2. Majority of respondents are well off with the awareness and experience of Reliance Jio 3. Majority of respondents are still using their old sim cards side by side implying that they have not yet fully switched to Reliance Jio for all the purposes. 4. It can be interpreted that degree of preference towards Reliance Jio differs from purpose to purpose. When it comes to net surfing, video calling & sms service, Reliance Jio is the primary choice of majority of customers. However, in case of calling and subsidiary purposes, majority of respondents prefer other service providers over Reliance Jio. 5. JIO APPLICATIONS are not that much popular among the respondents. Among the users, JIO NET, JIO 4G VOICES & JIO TV have maximum popularity whereas JIO SWITCH, JIO MONEY, JIO CLOUD, JIO XPRESS & JIO CHAT have minimal usage 6. On an average, the experience rating of respondents regarding various aspects of JIO ranges between average and good. Customers feel average degree of satisfaction with connectivity; value added services & customer care response. However they are fairly satisfied with recharge plans, internet speed, sms services & applications of R-JIO. 7. On an average, minimal cost of R JO services is the foremost reason for positive perception of respondents towards R-JIO. It is followed by faster 4G network, comprehensive inbuilt applications, & value added services of R JIO. Customer response is least preferred reason for positive attitude of respondents.
  • 74.
    8. Majority ofrespondents faces certain problems with services of R-JIO. Slower internet speed is the most commonly faced problem among the respondents. It is followed by poor network and call drops. . The reason for the given problems has been huge traffic over the limited spectrum of JIO. 9. Majority of respondents are satisfied enough with R-JIO that they could suggest it to others (AROUND 75-90%) ABOUT COMPETITORS’ RESPONSE 1. All the major service providers have responded to the minimal pricing policy of Reliance Jio. In order to tackle competition from R-JIO various service providers are adopting varied policies. AIRTEL BHARTI is focusing on reducing the price of its plans to attract customers while VODAFONE & IDEA are adopting the policy of increasing benefits of existing plans to hold their position in the market. 2. With the changes taking place in the offerings of telecom service providers, it can be said that the industry is moving towards a new trend. As all the market players have curtailed their data charges to minimal level, it is strongly expected that in the very near future, the industry will look towards VALUE ADDED SERVICES for generating profits and winning competition
  • 75.
    ABOUT IMPACT OFLAUNCH OF R-JIO OVER MARKET 1. The trend of net addition of subscribers to telecom market has undergone a significant positive surge after the launch of R-JIO. It is expected to prove like a boon for the growth of Indian telecom market 2. Launch of R-JIO is expected to have a major impact over the market proposition of Indian telecom. The scenario has began to change & within a year R-JIO is expected to emerge as second largest player in the market on the base of market share.
  • 76.
  • 77.
    CONCLUSION & SUGGESTIONS Thelaunch of Reliance JIO has many implications for telecom users as well as telecom operators. The aim of this study is to comment on consumer per perception and market response towards entry of this new player. From the given study, it can be concluded that the perception of customers towards R-JIO is towards the positive side. Most of the users have satisfactory experience with the operator so far due to its minimal cost and good service. Customers have shown great response towards the near-free offers of JIO but they seem to lack interest in the applications provided by the operator. Despite of number of innovative and useful applications, JIO APPs have failed to gather the interest of the users. On analyzing the reasons of preference of users towards R-JIO, it is clearly visible that the users are more fascinated towards the free prices of the network rather than other innovative offerings of the network. Talking about the negatives, a major proportion of users also reported some problems with the network and speed but still because the price advantage, most of them responded positively when asked about their experience with JIO. Coming to the market response, the entry of JIO started a chain of cheap and attractive offers from various service providers. In order to withstand the price war started by JIO, all the major players curtailed the price of their offerings. With the changes taking place in the offerings of telecom service providers, it can be said that the industry is moving towards a new trend. As all the market players have curtailed their voice calling & data charges to minimal level, it is strongly expected that in the very near future, the industry will look towards VALUE ADDED SERVICES for generating profits and winning competition. The attractive offers introduced by the major service providers seem to be beneficial for the whole telecom sector. On one hand the customers are benefitting from these offers whereas on the other hand the net addition to the user base of telecom industry has improved drastically after the launch of these offers. Apart from this, the net addition to the user base of these individual
  • 78.
    service providers hasalso improved indicating a positive effect of JIO’s entry over other service providers. When it comes to the market proposition of Indian telecom sector, it has undergone major changes after the launch of R-JIO. JIO is gaining customer base very rapidly and if this trend continues, it will soon become a leading share holder in the market. ON THE BASIS OF THE FINDINGS OF THE GIVEN PROJECT, THE FOLLOWING SUGGESTIONS ARE PROPOSED BY THE RESEARCHER -  The positive response of customers towards R-JIO so far has been primarily guided by its minimal prices. But it cannot afford to continue this trend for long. In order to induce a sustainable growth, JIO needs to take steps to shift the focus of its customers towards other factors. For this it can promote its innovative applications which have been out of the limelight so far.  Majority of customers have reported problem with the network and speed of R-JIO. it has been because of huge traffic over limited spectrum. In order to continue its success in the market, it needs to work on these problems. For this it takes either buy additional spectrum or obtain spectrum on lease.  For the other service providers, the scenario has been good so far. The net additions to these networks have shown an increasing trend after the launch of R-JIO but it has been solely because of the discounted offers provided by these operators. In the long run if
  • 79.
    these operators wantto remain in the competition, they will have to work on improving their value added services. From the current scenario, It can be expected that in the next phase of competition operators will be bound to focus on VAS for generating its revenue. In such a case, JIO will be having advantage over others due to its attractive inbuilt applications. So in order to prepare for the upcoming phase, the operators need to work on their VAS.
  • 80.
  • 81.
    REFERENCES AND BIBLIOGRAPHY 1.Arun Prasath, R. (2016), “A Study on Consumer Attitude Towards Mobile Phone Service Providers in Tamil Nadu” 2. Rodrigues ,Sean (2015), “A study to understand the market potential of reliance JIO 4g services in Dahisar east area of Mumbai” available at www.shodhgangotri.com 3. Dinesh, Pandya and Brajesh Kumar (2014), “A Study of Customer satisfaction on Telecom Service Providers” 4. Shankar Anand, M. (2014), “A Study on Customer Satisfaction Towards BSNL With Special Reference to the City of Coimbatore” 5. Ramadhani, Nshakabatenda . &. Vaishali B.Satpute (2014), “A Study on Consumer Perception towards Adoption of 4G Mobile Technologies in Rwanda” 6. Bhukya, Ramulu and Dr. Sapna Singh (2013), “Brand preference of students towards choosing cellular service providers in Hyderabad city” 7. Chakraborti, Devarun (2013), “Customer satisfaction and expectation towards aircel: a research conducted in west Midnapore” 8. Kavitha, T.N.R. (2012), “A Study On Customer Satisfaction Towards Airtel With Special Reference to Dharampuri [District]” 9. Ramesh, M. (2012), “Consumer Behaviour Towards Mobile Tele Services: A Case Study At Visakhapatnam City” 10. Rajeshwari, M. and J. Jayaprada (2011), “A study on consumer brand loyalty and consumer shift towards mobile service providers with special reference to Tata Docomo services ltd”
  • 82.
    11. Selvarasu, A.Gomathi Shankar, K. and Loganathan, (2006), “GSM Mobile Service in Telecom Sector: An Ontology of Quality of Service”, published in The ICFAI Journal of Service Marketing 12. Ray, Subhasis and Avishek Sarkar (2006), “Analysing influence of Brand Vis-à- vis. Price in Indian Mobile industry”, published in The ICFAI Journal of Marketing Management 13. Banumathy, S. and Kalaivani, (2006), “Customers’ Attitude Towards Cell Phone Services in Communication System”, published in Indian Journal of Marketing 14. Anita Seth, Kiran Momaya and Gupta, H.M. (2005), “An Exploratory Investigation of Customer Loyalty and Retention in Cellular Mobile Communication”, published in Journal of Services Research 15. Inger Roos, Bo Edvardsson and Gustafsson (2004), “Customers Switching Patterns in competitive and non-competitive service Industries”, published in Journal of Service Research 16. Online articles- www.quora.com www.economictimes.com www.timesofindia.com www.hindu.com Websites- www.moneycontrol.com www.trai.gov.in www.airtel_live.in www.reliance4g.co.in www.vodafone.in
  • 83.
    QUESTIONNAIRE (EXCLUSIVELY FOR R-JIOUSERS) Respondent’s Name-_________________________ Age- _______ 1) Which is/are your current service providers other than R-JIO? a) IDEA ( ) b) RELIANCE INDICOM ( ) c) VODAFONE ( ) d) AIRTEL ( ) e) OTHERS (PLEASE SPECIFY) ____________________________________ 2) How long have you been using R-JIO? a) Less than 1 month ( ) b) 1-3 months ( ) c) More than 3 months ( ) 3) Are you still using your last SIM CARD? a) YES, I use both the cards side by side ( ) b) NO, I have switched to R-JIO ( ) 4) Is R-JIO your primary choice or secondary choice for following purposes (MARK YOUR CHOICE) (Primary SIM CARD is that SIM CARD which you use most often for given purposes) PURPOSE PRIMARY SECONDARY CALLING NET SURFING VIDEO CALLING
  • 84.
    SMS SERVICE OTHERS LIKENET BANKING,ETC 5) Do you use inbuilt applications of R-JIO? YES ( ) NO ( ) If YES, then which applications do you use? a) JIO CINEMA ( ) b) JIO TV ( ) c) JIO MUSIC ( ) d) JIO MAGS ( ) e) JIO XPRESS NEWS ( ) f) JIO CHAT ( ) g) JIO CLOUD ( ) h) JIO 4G VOICE ( ) i) JIO MONEY ( ) j) A JIO ( ) k) JIO SWITCH ( ) l) JIO NET ( ) 6) How is your experience regarding given aspects of R-JIO services as compared to other service providers? ASPECTS EXCELLENT (FAR BETTER) GOOD (SOMEWHAT BETTER) AVERAGE (EQUILIKELY) POOR (SOMEWHAT WORSE) VERY POOR (FAR WORSE) CONNECTIVITY INTERNET SPEED RECHARGE PLANS SMS SERVICES INBUILT APPLICATIONS VALUE ADDED SERVICES CUSTOMER CARE SERVICES OVERALL
  • 85.
    7) According toyou, what are the best things about R-JIO? (RANK THEM FROM 1-5 WHERE 1 BEING THE BEST AND 5 BEING THE WORST) a) Minimal cost ( ) b) Faster 4G network ( ) c) Comprehensive in built applications ( ) d) Value added Services ( ) e) Customer care response and availability ( ) 8) Do you face any problems with R-JIO services? YES ( ) NO ( ) If YES, then which problems do you face? a) Call drop ( ) b) Poor network ( ) c) Slower internet speed ( ) d) Others (please specify)__________________________________ 9) Will you suggest R-JIO to others? YES ( ) NO ( ) MAY BE ( ) THANKS :-)