Embed presentation
Download to read offline
















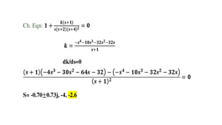
The document outlines a recap of a mathematical example involving angles of departure. It describes calculations related to angles using specific formulas. Multiple examples are provided to illustrate the concepts discussed.















