Embed presentation
Download to read offline









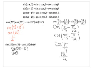
This document discusses the Sine Dance, which is a way to remember trigonometric identities involving sine and cosine functions through rhythmic patterns. It encourages the reader to observe patterns and prepare to learn the identities through a rhythmic dance. The document focuses on helping the reader prove several trigonometric identities related to sine functions.







