Embed presentation
Download to read offline







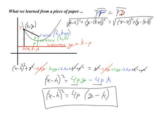
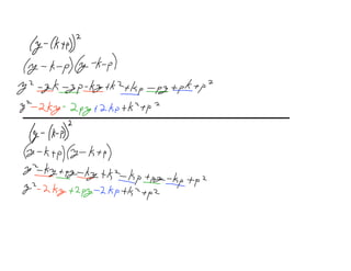
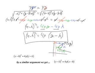
This document discusses parabolas and what can be learned about them from a piece of paper. It compares and contrasts what is known about parabolas with prior learning and asks the reader to sketch a graph of a parabola, identify its vertex, focus, axis of symmetry, and directrix equation.





