Embed presentation
Download to read offline




























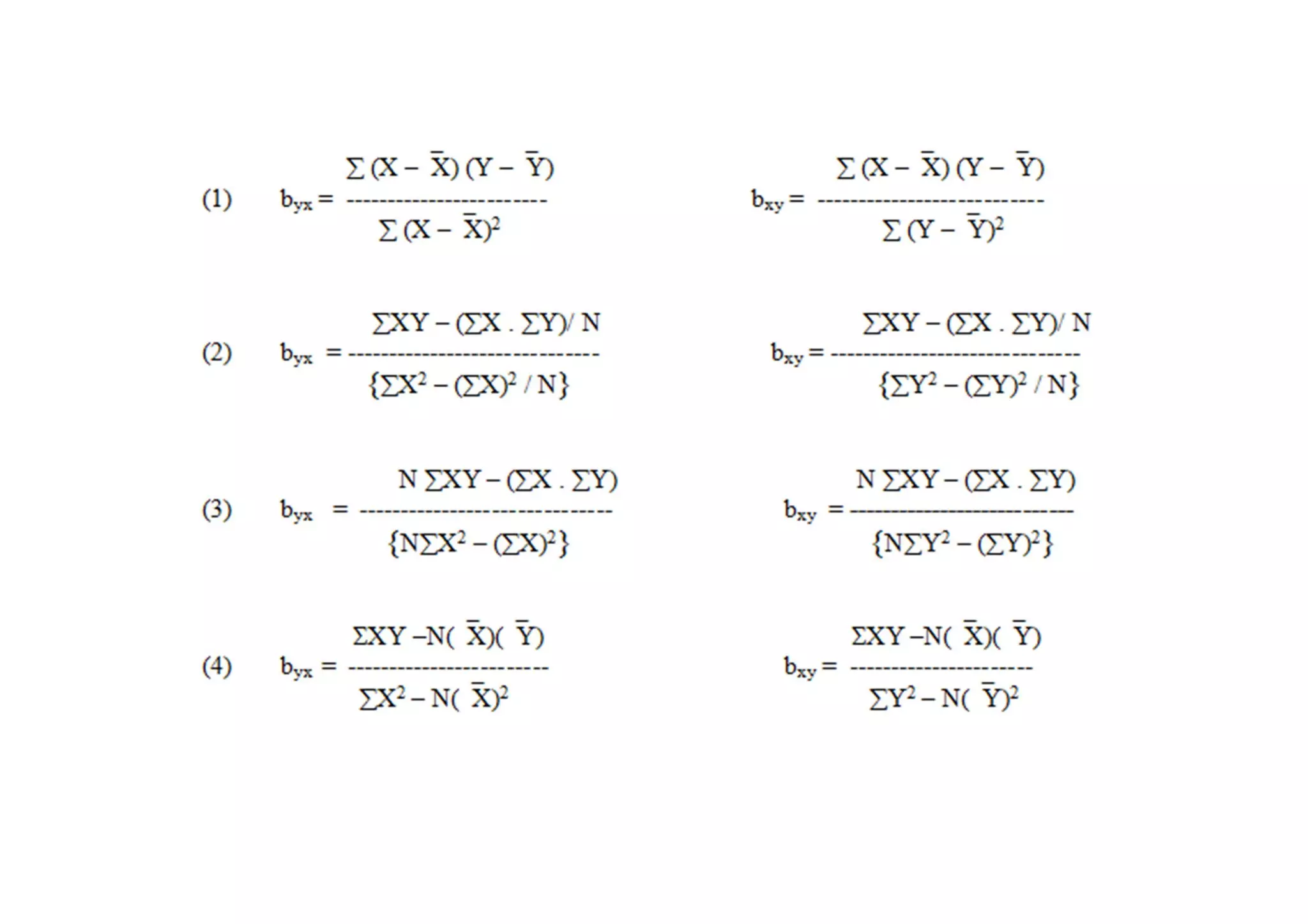
A regression analysis determines the functional relationship between two variables, where one variable is dependent on the other independent variable. Simple linear regression describes this relationship using a straight line equation when there is one independent variable. The regression coefficient represents the slope of the line and predicts the dependent variable value based on the independent variable. The R-squared value indicates how well the regression line represents the true relationship between the variables, with a higher R-squared value indicating a better fit.


























