MULTIPLE INTERCHANGES
THEIR USE IN PRODUCING INBREDS, LINKED MARKER METHODS AND
TRANSFER OF GENES
SUBMITTED BY:
CHAVAN SONAL
PhD first year
RAD/2020-24
Dept. of Genetics and Plant Breeding
Professor Jayashankar Telangana State Agricultural University (PJTSAU)
Course Title: Cellular and Chromosomal Manipulations in Crop Improvement (GP-604)
INTERCHANGES
• Interchanges are those structural
changes in chromosomes, where
terminal segments of non-
homologous chromosomes have
exchanged positions.
• These changes are also called
reciprocal translocations.
• Interchanges also bring about changes
in linkage relationships and lead to
changes in chromosome structure and
behaviour.
Occurrence of Interchanges
• Belling for the first time found semisterility in hybrid plants of Stizolobium
deeringianum, obtained due to intraspecific hybridization.
• Semisterility was manifest by 50% pollen sterility and 50% seed set.
• In the progeny of hybrid plants showing semisterilty, 50% individuals were
semisterile and 50% were fertile.
• Blakeslee on Datura stramonium, explained semisterility in Stizolobium on the
basis of ‘segmental interchanges’ between non-homologues.
• Rings of four chromosomes in meiosis were observed in Datura and were
associated with semisterility.
• Example of naturally occurring interchanges was available in Oenothera
lamarckiana. These were complex interchanges.
• Later recorded in Tradescantia and Rhoeo discolor also.
• Interchanges in plants are usually associated with semisterility of gametes.
 There can be plants which have same
interchange in both sets of chromosomes,
called as interchange homozygotes and
would exhibit complete fertility.
 Semisterility is observed only in those
plants which have translocations in only one
set of chromosomes, the other set being
normal. These plants are called Interchange
heterozygotes.
Chromosome pairing and different kinds of gametes formed in a translocation heterozygote
Selfing of Translocation heterozygote
• When an interchange heterozygote is
selfed, it yields normal, interchange
heterozygote and interchange
homozygote in 1:2:1 ratio, suggesting
that under ordinary situation,
translocation heterozygosity is not a
stable feature.
• The genus Oenothera, and to a lesser
extent other genera of Onagraceae,
like Gaura and Clarkia are some
examples where mechanisms have
been evolved to maintain permanent
hybridity.
Oenothera
• Hugo de vries in 1901
• Isolated some new
distinct true breeding
types of Oenothera.
• 1920’s, Cleland observed
in Euoenothera the
chain or ring of
chromosomes instead of
normal bivalent
formation.
Multiple interchanges
• Interchanges may involve more
than two non-homologous
chromosomes producing rings of 6
or more chromosomes in the
heterozygotes.
• In case of three non-homologous
chromosomes are involved, a ring
of six chromosomes will be
produced
• While a ring of eight chromosomes
would result if four non-
homologous chromosomes were
involved.
Oenothera
• In most of the Oenothera races,
two to all of the seven non-
homologous chromosomes are
involved in interchanges.
• In Oenothera lamarckiana, six
non-homologous chromosomes
are involved in reciprocal
translocations producing a ring
of 12 and one bivalent at MI.
Chromosome behaviour at meiosis
• Euoenothera -2n=14 with median centromeres and with very little
difference in chromosome size.
• They all are self compatible and capable of self fertilization, although
some of them may be often cross pollinated.
• The chromosomes associate in multiple chain or ring configurations.
• Whenever complex rings are formed at anaphase I, adjacent chromosomes
regularly passed to opposite poles.
• That the complex ring formation may be attributed to interchange
heterozygosity was suggested first by Belling.
 Translocations, which are maintained permanently in heterozygous stage,
keep their genes tightly linked, though located on non-homologous
chromosomes by pairing of homologous segments located on non-homologous
chromosomes.
 Genes lying close to a centromere will not only be linked to each other (due to
lack of crossing over between the genes and centromere), but will also be linked
to other genes lying close to centromere of the other non-homologous
chromosome involved in translocation.
 This device becomes rather important in plants like Oenothera, where all
chromosomes are involved in a ring and genes located on different
chromosomes, but close to centromeres, are linked together, this thus leads to
two gene complexes or linkage groups, one with translocated chromosomes and
the other with normal chromosomes.
Multiple interchanges
• The above device of maintaining, not
only interchromosomal linkage, but also
permanent hybridity, would be
successful only when the chromosomes
of concerned organism have the
following features:
1. Centromeres must be median or
submedian in position
2. Chiasma formation should be confined
to chromosome ends, so that the ring
configurations are flexible and can
easily assume a zig-zag shape which
would result in alternate disjunction.
Belling’s Interchange hypothesis
• Applied to complex rings of Oenothera
• The associated ends of adjacent chromosomes are homologous.
• Two ends of a particular chromosome are thus homologous to the ends of
two different chromosomes.
• The rings of chromosomes orient themselves at metaphase I in a zigzag
manner so that only alternate chromosomes go to same pole.
• This alternate disjunction led to reduction in sterility and its combination
with balanced lethal system, gave rise to successful permanent hybrids.
Breeding behaviour- Renner complexes
• Permanent hybrids forming rings and
undergoing alternate disjunction form only two
types of functional gametes.
• These results were explained by assuming
presence of two gene complexes in each race,
associated with two types of functional gametes
formed due to alternate disjunction.
• Each gene complex segregates as a whole at
meiosis and passes on to one gamete.
• Each complex is given a specific name and they
are collectively called Renner complexes.
• In Oenothera lamarckiana, complexes are
gaudens and velans.
• These gene complexes
differ in different races.
• Some of these
complexes are lethal in
either of the α (alpha)
and β (beta) gametes,
others are lethal when
homozygous in zygotes.
Gaudens and Velans
 In Oenothera a ring of twelve and a bivalent is produced.
 Alternate segregation results in the viable gametes and has the same
seven chromosomes in all the gametes. i.e. the seven chromosomes form
one linkage group.
 Each set of seven chromosomes inherited as a single unit called-Renner
complex.
 Gaudens – Genes for green buds, non punctate stems, broad leaves, Red
flecks on rosette leaves.
 Velans – Genes for red buds, punctate stems, narrow leaves, no red flecks
on rosette leaves
 Arrangement of chromosomes in Velans set is 1-2, 3-4, 5-8, 7-6, 9-10, 11-
12 and 13-14.
 Gaudens set is 1-2, 3-12, 5-6, 7-11, 9-4, 8-14 and 13-10.
 Chromosomes with ends 1 and 2 pair and form bivalent. The other pair at
their ends and form a ring of 12 chromosomes
 On selfing of G/V gives 1GG: 2GV: 1VV
• Oenothera lamarckiana is a heterogametic species in which one haploid set of
chromosomes is not identical with the other.
• Of the seven chromosomes making up each set, only one is common to both;
the remaining six chromosomes of one set represent translocations of the six
remaining chromosomes of the other set
• Hence, in the ordinary diploid form of this species there are thirteen
chromosomes of more or less different homologies, only one of which is
represented in duplicate.
Balanced lethals
• First reported by Muller (1917)
in Drosophila
• If dominant alleles of two traits,
each associated with a recessive
lethal effects, are present in
heterozygous repulsion phase,
homozygotes will not survive
and permanent hybridity will be
maintained.
• Similar balanced lethal system
operates in Euoenotheras
• In Oenothera lamarckiana, the
lethality is zygotic as in the
balanced lethal systems of
Drosophila and would therefore
lead to 50% ovule abortion or
seed set. It is therefore a wasteful
mechanism.
• In several other species of
Oenothera, therefore more
efficient reproductive mechanism
has been evolved to maintain
permanent hybridity i.e., gametic
lethality.
Gametic lethals
Zygotic lethals
Balanced lethals
Gametic lethals
• In Oenothera two gametic complexes
• Α (alpha) present in all functional egg cells and eliminated
in pollen
• Β (beta) present in all functional pollen grains and
eliminated in eggs.
• Elimination is due to failure of development of gametes
containing these respective gametic complexes leading to
50% pollen abortion but a full seed set.
• Only that megaspore functions which carries alpha
complex.
• Since alpha complex in the egg always
unites with beta complex in pollen,
plants breed true for heterozygous
condition.
• Thus there are two balanced lethal
mechanisms, one involves zygotic
lethality and the other involving
gametic lethality.
Zygotic Lethals
Production of Inbred lines
• Burnham (1946) suggested the use of multiple translocation rings for
estabilishing homozygous lines and called it ‘Oenothera’ method of gamete
selection.
Steps involved :
1. Synthesize a line, in which all chromosomes of a haploid set are linked
together by interchanges. They should have complete alternate disjunction
in heterozygous condition, and have a balanced lethal system.
2. Cross the above complex interchange stock with a source to be used for
gamete selection. Each F1 plant would have a different gamete from the
source, but the same gamete from translocation stock, so that the F1 will
form a ring of all chromosomes at meiosis.
Cont…
3. Self the F1 plants and grow F2.
4. F2 plants will consist of plants with multiple interchanges and those with
normal chromosomes. These latter plants will be the Inbred lines.
 Burnham (1946) also suggested that homozygous lines from promising
hybrids can be obtained by the above method in only those species which
have a relatively low number of chromosomes and where a relatively high
degree of fertility can be maintained in plants heterozygous for interchanges.
 In view of the above he suggested barley to be a suitable material, since it
has n=7 and has high fertility (75%) in an interchange heterozygote.
Degree of structural heterozygosity
 Lowest degree of heterozygosity- large flowers, often outcrossed- bivalents
or rings due to 1 or 2 interchanges.
eg: O. hookeri, O.grandiflora and O.argillicola
 Intermediate degree of translocation heterozygosity- large flowers, open-
pollinated, rings of numerous interchanges.
eg: O.irrigua
 Permanent hybridity- self pollinated, small flowers, highly inbred- complex
translocation ring, due to alternate disjunction and balanced lethal system.
eg: O. lamarckiana
Origin and evolution of Oenothera races
1. Ancestral populations were outcrossing, heterozygous and polymorphic and
carried characteristics like median centromeres, heterozygous and proximal
segments, etc. which favoured accumulation of translocations.
2. Drastic oscillations of climate helped evolution towards permanent structural
hybridity in a gradual manner.
3. Similar translocations were established due to their adaptive superiority and
isolation of populations.
4. Origin of ring formers is attributed to migration from an original centre
followed by hybridization between races from new and the old habitats.
Cont…
 Immigrants – O. argillicola, O. grandiflora
 Hybrids between immigrants – O. parvifloras
 Later migrations included narrow leaved strigosa type race, which on crosses with
‘grandiflora’ like race gave biennis I and biennis II.
 The ring forming strigosa and biennis III arose from hybrids between biennis I and
biennis II.
Cytogenetics localization of genes using
interchanges
• Linkage between marker genes and semi-sterility (interchange breakpoints)
• Once the association of genes are linkage groups with individual chromosomes
has been established, breakpoints in interchanges can be used as markers for
chromosome mapping of genes.
• This has been most successfully done in maize.
Uses of Interchanges
• Induced chromosome interchanges, with great potential for generating and
maintaining specific gene combinations, are usually identified by the presence of
characteristic multivalent associations at metaphase in meiotic I followed by
partial pollen and ovule abortion.
• Along with aneuploids and other structural chromosomal alterations,
chromosomal interchanges served as excellent cytogenetic tools for identification
and mapping of various linkage groups in plants.
• Reciprocal translocations help in better understanding of meiotic chromosome
pairing, chiasma influence and formation of trisomics in a number of plants.
• Multiple translocations, in particular, create structural and numerical chromosome
variations more rapidly than simple ones and thus, can be efficiently utilized for
future crop improvement through mutation breeding programmes.
A. roylei is an important species of the genus Allium. Because of its compatibility with A. cepa, it has been used as a
donor of genes imparting resistance against leaf blight and downy mildew to latter (de Vries et al. 1992). It has also
been used as a bridge species to transfer genes from A. fistulosum into A. cepa (Khrustaleva and Kik 1998).
Fig. 1 Meiotic stages in control (a, b) and interchange
heterozygotes (T-1, T-2 and T-3) of Hordeum vulgare L. (c–l)
in M1 generation.
a)Diakinesis with normal seven bivalents (n = 7).
b) Normal segregation (7:7) at anaphase-I.
c) Two open ring quadrivalents (one attached to
nucleolus).
d) One open ring and one 8-shaped quadrivalents. e) One
8-shaped ring and one chain quadrivalent.
f) One 8-shaped ring and one chain (attached to nucleolus)
quadrivalent.
g) One open ring and one chain quadrivalent.
h) Lagging chromosomes at anaphase-I.
i)Unequal segregation at anaphase-I.
j, k) Single and double chromatin
bridge formation at anaphase-I.
l) Unequal segregation at anaphase II.
Fig. 2 Meiotic stages in T-4 interchange
heterozygote of Hordeum vulgare L. (2n = 2x = 14) in
M1 and M2 generation. a) One open ring
hexavalent with four bivalents,
b) one 8-shaped ring hexavalent and four bivalents,
c) one chain hexavalent with four bivalents,
d) a frying pan shaped hexavalent and four
bivalents,
e) one pentavalent along with four bivalents and a
univalent,
f) One quadrivalent and five bivalents,
g) One open ring quadrivalent with five bivalents,
h) One 8-shaped quadrivalent with five bivalents,
i) one chain quadrivalent with five bivalents,
j) triad formation,
k) micronuclei in tetrad and
l) Fertile (stained) and sterile (unstained) pollens.
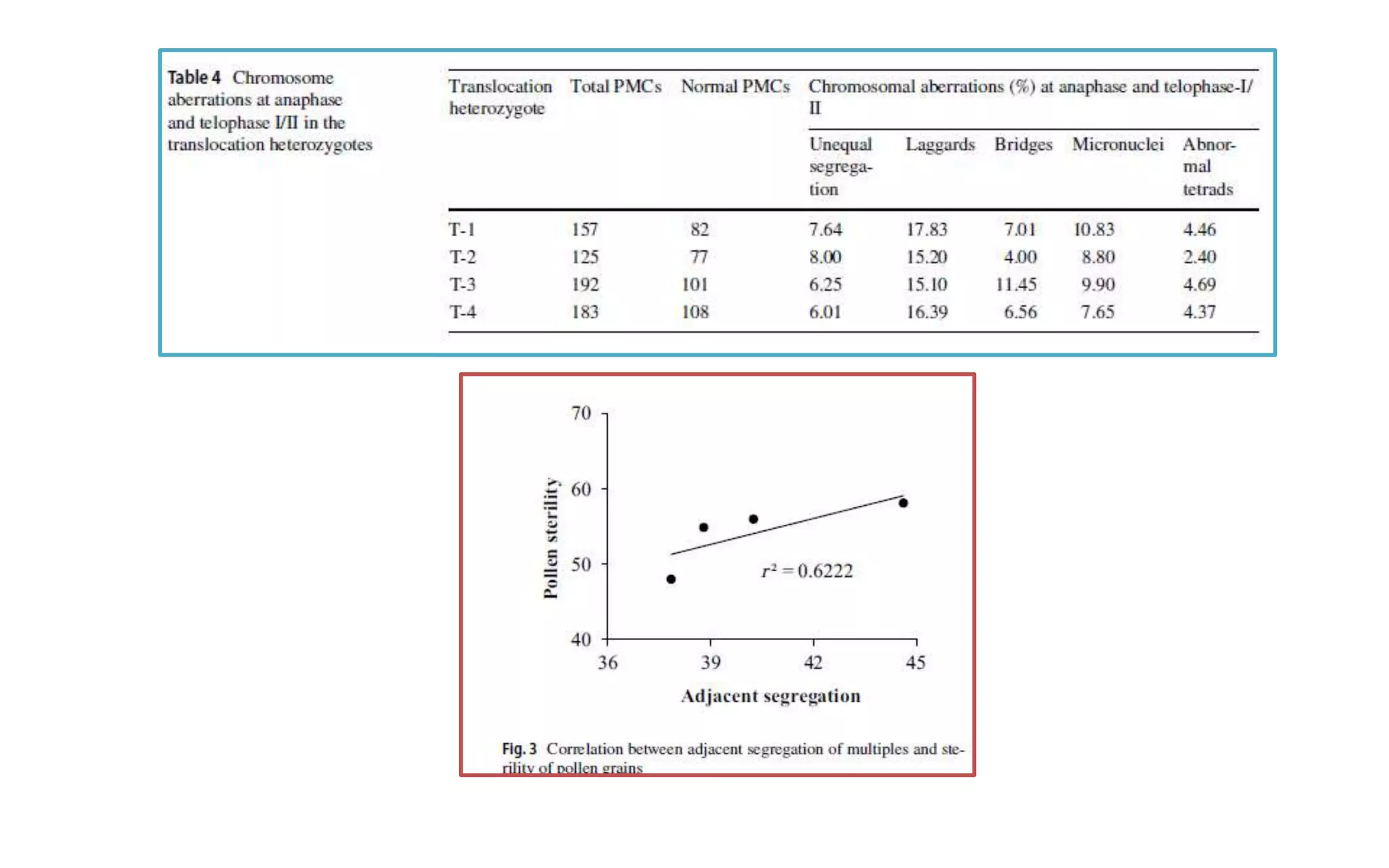
 Plants heterozygous for translocations experience significant pollen abortion primarily due to
orientation behaviour of interchange multiples and their disturbances during separation.
 For example, alternate disjunction leads to balanced and fertile gamete formation, whereas
adjacent segregation causes sterile gamete formation due to deficiencies and duplication of
chromosome segments.
 The inability of the multivalents to separate properly at anaphase or telophase I/II creates various
irregularities like laggards, bridges, unequal chromosome segregation, micronuclei and others.
 Interestingly, multiple interchanges have been found to cause unequal chromosome segregation
more frequently than simple interchanges [2] and hence, could be employed for rapid isolation of
trisomics and tetrasomics.
 Laggard chromosomes often fail to reach the opposite poles in time and lead to micronuclei
formation later. Ultimately, more abnormalities accumulate which cause nonviable gametes and plant
fertility reduction.
THANK YOU

Multiple interchanges

  • 1.
    MULTIPLE INTERCHANGES THEIR USEIN PRODUCING INBREDS, LINKED MARKER METHODS AND TRANSFER OF GENES SUBMITTED BY: CHAVAN SONAL PhD first year RAD/2020-24 Dept. of Genetics and Plant Breeding Professor Jayashankar Telangana State Agricultural University (PJTSAU) Course Title: Cellular and Chromosomal Manipulations in Crop Improvement (GP-604)
  • 2.
    INTERCHANGES • Interchanges arethose structural changes in chromosomes, where terminal segments of non- homologous chromosomes have exchanged positions. • These changes are also called reciprocal translocations. • Interchanges also bring about changes in linkage relationships and lead to changes in chromosome structure and behaviour.
  • 3.
    Occurrence of Interchanges •Belling for the first time found semisterility in hybrid plants of Stizolobium deeringianum, obtained due to intraspecific hybridization. • Semisterility was manifest by 50% pollen sterility and 50% seed set. • In the progeny of hybrid plants showing semisterilty, 50% individuals were semisterile and 50% were fertile. • Blakeslee on Datura stramonium, explained semisterility in Stizolobium on the basis of ‘segmental interchanges’ between non-homologues. • Rings of four chromosomes in meiosis were observed in Datura and were associated with semisterility. • Example of naturally occurring interchanges was available in Oenothera lamarckiana. These were complex interchanges. • Later recorded in Tradescantia and Rhoeo discolor also.
  • 4.
    • Interchanges inplants are usually associated with semisterility of gametes.  There can be plants which have same interchange in both sets of chromosomes, called as interchange homozygotes and would exhibit complete fertility.  Semisterility is observed only in those plants which have translocations in only one set of chromosomes, the other set being normal. These plants are called Interchange heterozygotes.
  • 5.
    Chromosome pairing anddifferent kinds of gametes formed in a translocation heterozygote
  • 7.
    Selfing of Translocationheterozygote • When an interchange heterozygote is selfed, it yields normal, interchange heterozygote and interchange homozygote in 1:2:1 ratio, suggesting that under ordinary situation, translocation heterozygosity is not a stable feature. • The genus Oenothera, and to a lesser extent other genera of Onagraceae, like Gaura and Clarkia are some examples where mechanisms have been evolved to maintain permanent hybridity.
  • 8.
    Oenothera • Hugo devries in 1901 • Isolated some new distinct true breeding types of Oenothera. • 1920’s, Cleland observed in Euoenothera the chain or ring of chromosomes instead of normal bivalent formation.
  • 9.
    Multiple interchanges • Interchangesmay involve more than two non-homologous chromosomes producing rings of 6 or more chromosomes in the heterozygotes. • In case of three non-homologous chromosomes are involved, a ring of six chromosomes will be produced • While a ring of eight chromosomes would result if four non- homologous chromosomes were involved.
  • 10.
    Oenothera • In mostof the Oenothera races, two to all of the seven non- homologous chromosomes are involved in interchanges. • In Oenothera lamarckiana, six non-homologous chromosomes are involved in reciprocal translocations producing a ring of 12 and one bivalent at MI.
  • 11.
    Chromosome behaviour atmeiosis • Euoenothera -2n=14 with median centromeres and with very little difference in chromosome size. • They all are self compatible and capable of self fertilization, although some of them may be often cross pollinated. • The chromosomes associate in multiple chain or ring configurations. • Whenever complex rings are formed at anaphase I, adjacent chromosomes regularly passed to opposite poles. • That the complex ring formation may be attributed to interchange heterozygosity was suggested first by Belling.
  • 13.
     Translocations, whichare maintained permanently in heterozygous stage, keep their genes tightly linked, though located on non-homologous chromosomes by pairing of homologous segments located on non-homologous chromosomes.  Genes lying close to a centromere will not only be linked to each other (due to lack of crossing over between the genes and centromere), but will also be linked to other genes lying close to centromere of the other non-homologous chromosome involved in translocation.  This device becomes rather important in plants like Oenothera, where all chromosomes are involved in a ring and genes located on different chromosomes, but close to centromeres, are linked together, this thus leads to two gene complexes or linkage groups, one with translocated chromosomes and the other with normal chromosomes.
  • 14.
    Multiple interchanges • Theabove device of maintaining, not only interchromosomal linkage, but also permanent hybridity, would be successful only when the chromosomes of concerned organism have the following features: 1. Centromeres must be median or submedian in position 2. Chiasma formation should be confined to chromosome ends, so that the ring configurations are flexible and can easily assume a zig-zag shape which would result in alternate disjunction.
  • 15.
    Belling’s Interchange hypothesis •Applied to complex rings of Oenothera • The associated ends of adjacent chromosomes are homologous. • Two ends of a particular chromosome are thus homologous to the ends of two different chromosomes. • The rings of chromosomes orient themselves at metaphase I in a zigzag manner so that only alternate chromosomes go to same pole. • This alternate disjunction led to reduction in sterility and its combination with balanced lethal system, gave rise to successful permanent hybrids.
  • 16.
    Breeding behaviour- Rennercomplexes • Permanent hybrids forming rings and undergoing alternate disjunction form only two types of functional gametes. • These results were explained by assuming presence of two gene complexes in each race, associated with two types of functional gametes formed due to alternate disjunction. • Each gene complex segregates as a whole at meiosis and passes on to one gamete. • Each complex is given a specific name and they are collectively called Renner complexes. • In Oenothera lamarckiana, complexes are gaudens and velans. • These gene complexes differ in different races. • Some of these complexes are lethal in either of the α (alpha) and β (beta) gametes, others are lethal when homozygous in zygotes.
  • 18.
    Gaudens and Velans In Oenothera a ring of twelve and a bivalent is produced.  Alternate segregation results in the viable gametes and has the same seven chromosomes in all the gametes. i.e. the seven chromosomes form one linkage group.  Each set of seven chromosomes inherited as a single unit called-Renner complex.  Gaudens – Genes for green buds, non punctate stems, broad leaves, Red flecks on rosette leaves.  Velans – Genes for red buds, punctate stems, narrow leaves, no red flecks on rosette leaves  Arrangement of chromosomes in Velans set is 1-2, 3-4, 5-8, 7-6, 9-10, 11- 12 and 13-14.  Gaudens set is 1-2, 3-12, 5-6, 7-11, 9-4, 8-14 and 13-10.  Chromosomes with ends 1 and 2 pair and form bivalent. The other pair at their ends and form a ring of 12 chromosomes  On selfing of G/V gives 1GG: 2GV: 1VV
  • 19.
    • Oenothera lamarckianais a heterogametic species in which one haploid set of chromosomes is not identical with the other. • Of the seven chromosomes making up each set, only one is common to both; the remaining six chromosomes of one set represent translocations of the six remaining chromosomes of the other set • Hence, in the ordinary diploid form of this species there are thirteen chromosomes of more or less different homologies, only one of which is represented in duplicate.
  • 23.
    Balanced lethals • Firstreported by Muller (1917) in Drosophila • If dominant alleles of two traits, each associated with a recessive lethal effects, are present in heterozygous repulsion phase, homozygotes will not survive and permanent hybridity will be maintained. • Similar balanced lethal system operates in Euoenotheras
  • 24.
    • In Oenotheralamarckiana, the lethality is zygotic as in the balanced lethal systems of Drosophila and would therefore lead to 50% ovule abortion or seed set. It is therefore a wasteful mechanism. • In several other species of Oenothera, therefore more efficient reproductive mechanism has been evolved to maintain permanent hybridity i.e., gametic lethality. Gametic lethals Zygotic lethals Balanced lethals
  • 25.
    Gametic lethals • InOenothera two gametic complexes • Α (alpha) present in all functional egg cells and eliminated in pollen • Β (beta) present in all functional pollen grains and eliminated in eggs. • Elimination is due to failure of development of gametes containing these respective gametic complexes leading to 50% pollen abortion but a full seed set. • Only that megaspore functions which carries alpha complex.
  • 26.
    • Since alphacomplex in the egg always unites with beta complex in pollen, plants breed true for heterozygous condition. • Thus there are two balanced lethal mechanisms, one involves zygotic lethality and the other involving gametic lethality. Zygotic Lethals
  • 27.
    Production of Inbredlines • Burnham (1946) suggested the use of multiple translocation rings for estabilishing homozygous lines and called it ‘Oenothera’ method of gamete selection. Steps involved : 1. Synthesize a line, in which all chromosomes of a haploid set are linked together by interchanges. They should have complete alternate disjunction in heterozygous condition, and have a balanced lethal system. 2. Cross the above complex interchange stock with a source to be used for gamete selection. Each F1 plant would have a different gamete from the source, but the same gamete from translocation stock, so that the F1 will form a ring of all chromosomes at meiosis.
  • 28.
    Cont… 3. Self theF1 plants and grow F2. 4. F2 plants will consist of plants with multiple interchanges and those with normal chromosomes. These latter plants will be the Inbred lines.  Burnham (1946) also suggested that homozygous lines from promising hybrids can be obtained by the above method in only those species which have a relatively low number of chromosomes and where a relatively high degree of fertility can be maintained in plants heterozygous for interchanges.  In view of the above he suggested barley to be a suitable material, since it has n=7 and has high fertility (75%) in an interchange heterozygote.
  • 29.
    Degree of structuralheterozygosity  Lowest degree of heterozygosity- large flowers, often outcrossed- bivalents or rings due to 1 or 2 interchanges. eg: O. hookeri, O.grandiflora and O.argillicola  Intermediate degree of translocation heterozygosity- large flowers, open- pollinated, rings of numerous interchanges. eg: O.irrigua  Permanent hybridity- self pollinated, small flowers, highly inbred- complex translocation ring, due to alternate disjunction and balanced lethal system. eg: O. lamarckiana
  • 30.
    Origin and evolutionof Oenothera races 1. Ancestral populations were outcrossing, heterozygous and polymorphic and carried characteristics like median centromeres, heterozygous and proximal segments, etc. which favoured accumulation of translocations. 2. Drastic oscillations of climate helped evolution towards permanent structural hybridity in a gradual manner. 3. Similar translocations were established due to their adaptive superiority and isolation of populations. 4. Origin of ring formers is attributed to migration from an original centre followed by hybridization between races from new and the old habitats.
  • 31.
    Cont…  Immigrants –O. argillicola, O. grandiflora  Hybrids between immigrants – O. parvifloras  Later migrations included narrow leaved strigosa type race, which on crosses with ‘grandiflora’ like race gave biennis I and biennis II.  The ring forming strigosa and biennis III arose from hybrids between biennis I and biennis II.
  • 32.
    Cytogenetics localization ofgenes using interchanges • Linkage between marker genes and semi-sterility (interchange breakpoints) • Once the association of genes are linkage groups with individual chromosomes has been established, breakpoints in interchanges can be used as markers for chromosome mapping of genes. • This has been most successfully done in maize.
  • 33.
    Uses of Interchanges •Induced chromosome interchanges, with great potential for generating and maintaining specific gene combinations, are usually identified by the presence of characteristic multivalent associations at metaphase in meiotic I followed by partial pollen and ovule abortion. • Along with aneuploids and other structural chromosomal alterations, chromosomal interchanges served as excellent cytogenetic tools for identification and mapping of various linkage groups in plants. • Reciprocal translocations help in better understanding of meiotic chromosome pairing, chiasma influence and formation of trisomics in a number of plants. • Multiple translocations, in particular, create structural and numerical chromosome variations more rapidly than simple ones and thus, can be efficiently utilized for future crop improvement through mutation breeding programmes.
  • 35.
    A. roylei isan important species of the genus Allium. Because of its compatibility with A. cepa, it has been used as a donor of genes imparting resistance against leaf blight and downy mildew to latter (de Vries et al. 1992). It has also been used as a bridge species to transfer genes from A. fistulosum into A. cepa (Khrustaleva and Kik 1998).
  • 37.
    Fig. 1 Meioticstages in control (a, b) and interchange heterozygotes (T-1, T-2 and T-3) of Hordeum vulgare L. (c–l) in M1 generation. a)Diakinesis with normal seven bivalents (n = 7). b) Normal segregation (7:7) at anaphase-I. c) Two open ring quadrivalents (one attached to nucleolus). d) One open ring and one 8-shaped quadrivalents. e) One 8-shaped ring and one chain quadrivalent. f) One 8-shaped ring and one chain (attached to nucleolus) quadrivalent. g) One open ring and one chain quadrivalent. h) Lagging chromosomes at anaphase-I. i)Unequal segregation at anaphase-I. j, k) Single and double chromatin bridge formation at anaphase-I. l) Unequal segregation at anaphase II.
  • 38.
    Fig. 2 Meioticstages in T-4 interchange heterozygote of Hordeum vulgare L. (2n = 2x = 14) in M1 and M2 generation. a) One open ring hexavalent with four bivalents, b) one 8-shaped ring hexavalent and four bivalents, c) one chain hexavalent with four bivalents, d) a frying pan shaped hexavalent and four bivalents, e) one pentavalent along with four bivalents and a univalent, f) One quadrivalent and five bivalents, g) One open ring quadrivalent with five bivalents, h) One 8-shaped quadrivalent with five bivalents, i) one chain quadrivalent with five bivalents, j) triad formation, k) micronuclei in tetrad and l) Fertile (stained) and sterile (unstained) pollens.
  • 39.
     Plants heterozygousfor translocations experience significant pollen abortion primarily due to orientation behaviour of interchange multiples and their disturbances during separation.  For example, alternate disjunction leads to balanced and fertile gamete formation, whereas adjacent segregation causes sterile gamete formation due to deficiencies and duplication of chromosome segments.  The inability of the multivalents to separate properly at anaphase or telophase I/II creates various irregularities like laggards, bridges, unequal chromosome segregation, micronuclei and others.  Interestingly, multiple interchanges have been found to cause unequal chromosome segregation more frequently than simple interchanges [2] and hence, could be employed for rapid isolation of trisomics and tetrasomics.  Laggard chromosomes often fail to reach the opposite poles in time and lead to micronuclei formation later. Ultimately, more abnormalities accumulate which cause nonviable gametes and plant fertility reduction.
  • 41.