Abdulbasit H. Mhdi
Assistant lecturer
Chemical engineering/
Tikrit University
Lect. : Abdulbasit Hassan
Introduction
To
Microsoft Excel
Lect. : Abdulbasit Hassan
 If you have an icon on the desktop for Excel, then all you have to do
is double-click it to open Excel.
Double click
Lect. : Abdulbasit Hassan
 Alternatively, click the Start button and then select All Programs,
Microsoft Office, and Microsoft office Excel 2007.
Lect. : Abdulbasit Hassan
 Excel and Word have a lot in common, since it’s belong to the MS
Office group of programs.
 Excel is all about numbers. There’s almost no limit to what you can
do with numbers in Excel, including sorting, advanced calculations,
and graphing.
 In addition, Excel’s formatting options mean that whatever you do
with your numbers, the result will always look professional!
Lect. : Abdulbasit Hassan
 Data files created with Excel are called workbooks (in the same way
as Word files are called documents).
 This gives you the flexibility to store related data in different
locations within the same file.
 More worksheets can be added, and others deleted, as required.
Each new workbook contains three separate
pages called worksheets (Sheet1, Sheet2, Sheet3).
Lect. : Abdulbasit Hassan
Lect. : Abdulbasit Hassan
 You’ll often hear Excel files referred to as spreadsheets. This is
a generic term, which sometimes means a workbook (file)
and sometimes means a worksheet (a page within the file).
For the sake of clarity, I’ll be using the terms
workbook and worksheet in this manual.
Lect. : Abdulbasit Hassan
The Excel 2007 window
 As in Word 2007, the old menu system has been
replaced by the Ribbon and the Office button.
Lect. : Abdulbasit Hassan
Sheet
Lect. : Abdulbasit Hassan
 Title bar: A blue border at the top of the workbook that displays the
workbook name
 Name box: An area of the workbook that displays the cell reference,
or name, for the active cell.
 Formula bar: An area at the top of the worksheet that allows
entering and editing of formulas in the active cell or displays existing
formulas in the selected cell
 Active cell :A black border surrounds the currently selected,
or active, cell.
 Sheet tabs : Tabs that appear at the bottom of the workbook that
allow you to switch between different worksheets contained in the
workbook
 Status bar: Bottom line of the workbook window that displays
information regarding the workbook
Lect. : Abdulbasit Hassan
Excel 2007 : help you learn how to use the Ribbon, here is a
guide to its basic arrangement:
1. Tabs: The Ribbon is made up of different tabs, each
related to specific kinds of work you do in Excel.
2. Groups: Each tab has several groups that show related
items together.
3- Commands: A command is a button or a menu.
Lect. : Abdulbasit Hassan
The Ribbon
The ribbon is the panel at the top portion of the document.
It has seven tabs:
The groups are logical collections of features designed to perform
function that you will utilize in developing or editing your Excel
spreadsheets. Commonly utilized features are displayed on the Ribbon.
Lect. : Abdulbasit Hassan
Home
Insert
Page Layouts
Formulas
Data
Review
View
Clipboard, Fonts, Alignment, Number , Styles, Cells, Editing
Tables Illustrations, Charts, links, Text
Themes, Page Setup, Scale to Fit, Sheet Options, Arrange
Function library, Defined Names, Formula Auditing, Calculation
Get External Data, Connections, Sort & Filter, Data Tools, Outline
Proofing, Comments, Changes
Workbook Views, Show/Hide, Zoom, Window
Lect. : Abdulbasit Hassan
Notice:
 The working area of the screen is divided into rows (1, 2, 3, 4, ...)
and columns (A, B, C, D, …).
 Together these provide an address, such a C10 or G21, that uniquely
identifies each cell in the worksheet.
 A range of cells extends in a rectangle from one cell to another,
and is referred to by using the first and last cell addresses separated
by a colon.
 For example, the group of cells from A3 to G4 would be written as
A3:G4.
Lect. : Abdulbasit Hassan
 In the figure above, the current or active cell is B7. It is surrounded
by a heavy black border, and its address is displayed in the name box
above column A. Its row and column numbers are also highlighted (B7).
 On the right of the name box is the formula bar. This displays the
value stored in the active cell, and is also the place where you would
enter a new data value or formula into that cell.
Lect. : Abdulbasit Hassan
The Quick Access Toolbar:
The quick access toolbar is a customizable toolbar that contains
commands that you may want to use. By default, you will have the
commands to Save, Undo, and Redo. You may also add buttons such as
Check Spelling and Grammar, Open a document, or Create a New
Document button.
Quick Access Toolbar:
A. Save
B. Redo
C. Undo
D. Add other buttons
Lect. : Abdulbasit Hassan
 If you have an icon on the desktop for Excel, then all you have to do
is double-click it to open Excel.
Double click
Lect.: Abdulbasit Hassan
 Alternatively, click the Start button and then select All Programs,
Microsoft Office, Microsoft Excel
Lect.: Abdulbasit Hassan
 When you open Excel from a desktop icon or from the Start menu, a
new empty workbook (consisting of three worksheets) will be
displayed on your screen.
 If you double-click on an existing Excel file from inside the Windows
Explorer window, then Excel will open and display the selected file on
your screen.
Lect.: Abdulbasit Hassan
Closing Excel:
 Close Excel by clicking the X on the far right of the title bar.
Close file
only
Close the
program
Lect.: Abdulbasit Hassan
Navigating within a worksheet:
Using the mouse:
 Use the vertical and horizontal scroll bars if you want to move to an
area of the screen that is not currently visible.
 To move to a different worksheet, just click on the tab below the
worksheet.
Lect.: Abdulbasit Hassan
Using the keyboard:
 Use the arrow keys, or [PAGE UP] and [PAGE DOWN], to move to
a different area of the screen.
 [CTRL] + [HOME} will take you to cell A1.
 [CTRL] + [PAGE DOWN] will take you to the next worksheet,
 [CTRL] + [PAGE UP] for the preceding worksheet.
PAGE UP
PAGE DOWN
CTRL
arrow
HOME
 You can jump quickly to a specific cell by pressing [F5] and typing
in the cell address.
 You can also type the cell address in the name box above column A,
and press [ENTER].
Lect.: Abdulbasit Hassan
Selecting cells:
Using the mouse:
 Click on a cell to select it.
 You can select a range of adjacent cells by clicking on the first one,
and then dragging the mouse over the others.
 You can select a set of non-adjacent cells by clicking on the first one,
and then holding down the [CTRL] key as you click on the others.
Lect.: Abdulbasit Hassan
Using the keyboard:
 Use the arrow keys to move to the desired cell, which is
automatically selected.
 To select multiple cells, hold down the [SHIFT] key while the
first cell is active, and then use the arrow keys to select the
rest of the range.
Lect.: Abdulbasit Hassan
Selecting rows or columns:
 To select all the cells in a particular row, just click on the row
number (1, 2, 3, etc) at the left edge of the worksheet.
 Hold down the mouse button and drag across row numbers to
select multiple adjacent rows.
 Hold down [CTRL] if you want to select a set of non-adjacent rows.
Lect.: Abdulbasit Hassan
 Similarly, to select all the cells in column, you should click on the
column heading (A, B, C, etc) at the top edge of the worksheet.
 Hold down the mouse button and drag across column headings to
select multiple adjacent columns.
 Hold down [CTRL] if you want to select a set of non-adjacent columns.
Lect.: Abdulbasit Hassan
 You can quickly select all the cells in a worksheet by clicking the
square to the immediate left of the Column A heading (just above
the label for Row 1).
Lect.: Abdulbasit Hassan
Entering Data
Lect.: Abdulbasit Hassan
First you need a workbook:
Before you start entering data, you need to decide whether this is a
completely new project deserving a workbook of its own, or whether
the data you are going to enter relates to an existing workbook.
Remember that you can always add a new worksheet to an existing
workbook, and you’ll find it much easier to work with related data if it’s
all stored in the same file.
Lect.: Abdulbasit Hassan
If you need to create a new workbook from inside Excel:
1. Click on the Office button, select New and then Blank
Workbook.
Lect.: Abdulbasit Hassan
2. Sheet 1 of a new workbook will be displayed on your screen, with
cell A1 active.
Lect.: Abdulbasit Hassan
To open an existing workbook from inside Excel:
1. Click on the Office button, click Open, and then navigate to
the drive and folder containing the file you want to open.
Lect.: Abdulbasit Hassan
Location of file
Double click
Lect.: Abdulbasit Hassan
Lect.: Abdulbasit Hassan
Lect.: Abdulbasit Hassan
Numbers lie at the heart of Excel’s functionality. You should
generally avoid mixing text and numbers in a single cell, since
Excel will regard the cell contents as text. If you type any
spaces within a number, it will also be regarded as text.
If a number is too large to be displayed in the current cell, it will be
displayed as “#####”. The formatting section of this manual explains
how to widen a column.
Lect.: Abdulbasit Hassan
Text consist mainly of alphabetic characters, but can also include
numbers, and characters .Text fields are not included in numeric
calculations.
If you want Excel to treat an apparent number as text, then you should
precede the number with a single quotation mark (‘). This can be useful
when entering for example a phone number that starts with 0, since
leading zeros are not usually displayed for Excel numbers.
If a text field is too long to be displayed in the current cell, it will spill
over into the next cell if that cell is empty, otherwise it will be truncated
at the cell border.
Lect.: Abdulbasit Hassan
Formulas are the most powerful elements of an Excel spreadsheet.
Every formula starts with an “=” sign, and contains at least one logical or
mathematical operation (or special function), combined with numbers
and/or cell references. We’ll discuss formulas and functions in more
detail later in the manual.
Lect.: Abdulbasit Hassan
Data entry cell by cell
To enter either numbers or text:
1. Click on the cell where you want the data to be stored, so that the
cell becomes active.
2. Type the number or text.
3. Press [ENTER] to move to the next row, or [TAB] to move to the next
column. Until
4- you’ve pressed [ENTER] or [TAB], you can cancel the data entry by
pressing [ESC].
5- To enter a date, use a slash or hyphen between the day, month and
year, for example 14/02/2009. Use a colon between hours, minutes
and seconds, for example 13:45:20.
Lect.: Abdulbasit Hassan
Deleting data:
You want to delete data that’s already been entered in a
worksheet? Simple!
1. Select the cell or cells containing data to be deleted.
2. Press the [DEL] key on your keyboard.
3. The cells remain in the same position as before, but their
contents are deleted.
Lect.: Abdulbasit Hassan
Moving data :
You’ve already entered some data, and want to move it to a different
area on the worksheet?
1. Select the cells you want to move (they will become highlighted).
2. Move the cursor to the border of the highlighted cells. When the
cursor changes from a white cross to a four-headed arrow (the move
pointer), hold down the left mouse button.
3. Drag the selected cells to a new area of the worksheet, then release
the mouse button.
4. You can also cut the selected data using the ribbon icon or [CTRL] +
[X], then click in the top left cell of the destination area and paste the
data with the ribbon icon or [CTRL] + [V].
Lect.: Abdulbasit Hassan
1 32
Lect.: Abdulbasit Hassan
Lect.: Abdulbasit Hassan
Copying data:
To copy existing cell contents to another area on the worksheet:
1. Select the cells you want to copy (they will become highlighted).
2. Move the cursor to the border of the highlighted cells while hold in
down the [CTRL] key. When the cursor changes from a white cross to
a hollow left-pointing arrow (the copy pointer), hold down the left
mouse button.
3. Drag the selected cells to a second area of the worksheet, then
release the mouse button.
4. You can also copy the selected data using the ribbon icon or [CTRL] +
[C], then click in the top left cell of the destination area and paste the
data with the ribbon icon or [CTRL] + [V].
5. You can also copy the selected data by right click mouse , select copy
, and go to new cell also right click and select paste.
Lect.: Abdulbasit Hassan
1 2
Lect.: Abdulbasit Hassan
Using Auto fill:
This is one of Excel’s niftiest features! It takes no effort at all to repeat a
data series (such as the days of the week, months of the year, or a
numbers series such as odd numbers) over a range of cells.
1. Enter the start of the series into a few adjacent cells (enough to
show the underlying pattern).
2. Select the cells that contain series data.
3. Move the cursor over the small square in the bottom right-hand
corner of the selection (the fill handle). Hold down the mouse button
and drag to a range of adjacent cells.
4. The target cells will be filled based on the pattern of the original
series cells.
Lect.: Abdulbasit Hassan
1 32
Lect.: Abdulbasit Hassan
Saving a Spreadsheet
Lect.: Abdulbasit Hassan
In this section, we will learn how to save an Excel 2007
Document in Compatibility Mode. Compatibility Mode will
allow you to create spreadsheets in Excel 2007, and if you
use another computer with an older version of Excel, this
feature will allow you to open the spreadsheet and make
changes!
Lect.: Abdulbasit Hassan
After you have entered data on to your
spreadsheet, click on the Microsoft
Office Home Button.
Click ‘Save As’, then
Click on ‘Excel Workbook’. You will
see the ‘Save As’ dialogue box
open.
In the ‘Save As’ dialog box, the
‘My Documents’ folder should
automatically be selected.
If not, click on the drop down
menu, and select the appropriate
folder to save your file.
Click ‘Save’.
Lect.: Abdulbasit Hassan
Select
hard to
save file
Name of
file
Lect.: Abdulbasit Hassan
Editing data
In data entry mode, when you move the cursor to a
new cell, anything you type replaces the previous cell
contents. Edit mode allow you to amend existing cell
contents without having to retype the entire entry.
Note: that while you are in edit mode, many of the
Ribbon commands are disabled.
Lect.: Abdulbasit Hassan
Active
buttons
Lect.: Abdulbasit Hassan
Editing cell contents
There are two different ways to enter edit mode: either double-click on
the cell whose contents you want to edit, or else click to select the cell
you want to edit, and then click anywhere in the formula bar.
 To delete characters, use the [BACKSPACE] or [DEL] key.
 To insert characters, click where you want to insert them, and then
type.
 You can force a line break within the current cell contents by typing
[ALT] + [ENTER], or by Space key.
 Exit edit mode by pressing [ENTER].
Lect.: Abdulbasit Hassan
Common problems
* If a cell contains a number but displays #####, then the column is not
wide enough to show the full data value. You need to make the column
wider (see formatting).
If a cell contains text but chops off the display at the edge of the
column, then you need to either widen the column or wrap the text
within the column (see formatting).
Lect.: Abdulbasit Hassan
Inserting or deleting cells
You can insert a new cell above the current active cell, in
which case the active cell and those below it will each move
down one row.
You can also insert a new cell to the left of the current active
cell, in which case the active cell and those on its right will
each move one column to the right.
Lect.: Abdulbasit Hassan
To insert a cell:
1. Select the cell next to which you want to insert a new cell.
2. On the Home ribbon, find the Cells group and click Insert
followed by Insert Cells.
Lect.: Abdulbasit Hassan
3. A dialog box will open. Click the direction in which you
want the surrounding cells to shift.
Lect.: Abdulbasit Hassan
To delete a cell, do as follows:
1. Select the cell that you want to delete.
2. On the Home ribbon, find the Cells group and click Delete
followed by Delete Cells.
3. A dialog box will open. Click the
direction in which you want the
surrounding cells to shift.
You can also right-click on the active cell and select Insert
or Delete on the pop-up menu.
Lect.: Abdulbasit Hassan
Inserting or Deleting Rows
When you insert a row, the new row will be positioned above the row
containing the active cell.
1. Select a cell in the row above which you want to insert a new row.
2. On the Home ribbon, find the Cells group and click Insert followed by
Insert Sheet Rows.
3. A new row will be inserted above the current row.
Lect.: Abdulbasit Hassan
To delete a row, do as follows:
1. Select a cell in the row that you want to delete.
2. On the Home ribbon, find the Cells group and click Delete followed by
Delete Sheet Rows.
3. The row containing the active cell will be deleted. All the rows below
it will move up by one.
You can also right-click on the active cell and use the pop-up menu to
insert or delete a row.
Lect.: Abdulbasit Hassan
Inserting or deleting columns:
When you insert a column, the new column will be positioned on the
left of the column containing the active cell.
1. Select a cell in the column to the left of which you want to insert a
new column.
2. On the Home ribbon, find the Cells group and click Insert followed by
Insert Sheet Columns.
3. A new column will be inserted to the left of the current column.
Lect.: Abdulbasit Hassan
To delete a column, do as follows:
1. Select a cell in the column that you want to delete.
2. On the Home ribbon, find the Cells group and click Delete followed by
Delete Sheet Columns.
3. The column containing the active cell will be deleted. All the columns
on its right will move left by one.
You can also right-click on the active cell and use the pop-up menu to
insert or delete a column.
Lect.: Abdulbasit Hassan
R-Click
To be continueLect.: Abdulbasit Hassan
Inserting or deleting a worksheet
Lect.: Abdulbasit Hassan
To insert a new worksheet at the end of the existing
worksheets, just click the Insert Worksheet tab at the bottom
of the screen.
Lect.: Abdulbasit Hassan
To insert a new worksheet before an existing worksheet, do
as follows:
1. Select the worksheet before which you want to insert a
new worksheet.
2. On the Home ribbon, find the Cells group and click Insert
followed by Insert Sheet.
3. A new worksheet will be inserted before the current
worksheet.
Lect.: Abdulbasit Hassan
To delete a worksheet:
1. Select the worksheet that you want to delete.
2. On the Home ribbon, find the Cells group and click Delete
followed by Delete Sheet.
3. The current worksheet will be deleted.
Lect.: Abdulbasit Hassan
Moving or copying a worksheet:
Right-click on the worksheet tab, and select Move or Copy
from the pop-up menu. A dialog box will open:
 The To Book field allows you to move or copy the current
worksheet to another workbook.
 The Before Sheet field allows you to specify the new
position of the worksheet.
 The Create a Copy checkbox lets you specify whether the
worksheet should be moved or copied.
Lect.: Abdulbasit Hassan
Renaming a worksheet:
Right-click on the
worksheet tab, and select
Rename from the pop-up
menu. Type the new
worksheet name and press
[ENTER].
Lect.: Abdulbasit Hassan
The simplest way to insert,
delete, rename, move or
copy a worksheet is to right-
click on the worksheet tab,
and then select the desired
option from the pop-up
menu.
Lect.: Abdulbasit Hassan
Formatting Data
Lect.: Abdulbasit Hassan
Cell formatting:
The icons on the Home ribbon provide you with a variety of formatting
options. To apply any of these, just select the cell or cells that you
want to format, and then click the desired icon.
Commonly used
formatting
attributes
include:
Lect.: Abdulbasit Hassan
The Format Painter allows you to copy formatting attributes from one
cell to a range of cells.
1. Select the cell whose formatting attributes you want to copy.
2. Click on the Format Painter icon.
3. Select the cell or range of cells that you want to have the same
formatting attributes. The cell values will remain as before, but their
format will change.
Lect.: Abdulbasit Hassan
Formatting rows and columns:
 Any of the cell formatting options above can easily be
applied to all the cells contained in one or more rows or
columns.
 Simply select the rows or columns by clicking on the row
or column labels, and then click on the formatting icons
that you want to apply.
Lect.: Abdulbasit Hassan
You may also want to adjust the width of a column:
 To manually adjust the width, click and drag the boundary between
two column headings.
 To automatically adjust the width, select the required columns, and
then in the Cell group on the Home ribbon, select Format, Cell Size,
Autofit Column Width.
Lect.: Abdulbasit Hassan
 To specify an exact column width, select the columns, and
then in the Cell group on the Home ribbon, select Format,
Cell Size, Column Width, and type the value you want.
The same procedure uses to adjust the height of a row:
Lect.: Abdulbasit Hassan
Hiding Rows and Columns:
 If your spreadsheet contains sensitive data that you don’t want
displayed on the screen or included in printouts, then you can hide
the corresponding rows or columns.
 The cell values can still be used for calculations, but will be hidden
from view.
 The easiest way to hide or unhide a row or column is to select the
row or column heading, right-click to view the pop-up menu, and
then select Hide or Unhide.
 Alternatively, you can click the Format icon on the Home ribbon,
and select the Hide & Unhide option.
Lect.: Abdulbasit Hassan
Lect.: Abdulbasit Hassan
Keeping row and column headings in view:
If you scroll through a lot of data in a worksheet, you’ll
probably lose sight of the column headings as they disappear
off the top of your “page”. This can make life really difficult –
imagine trying to check a student’s result for tutorial 8 in row
183 of the worksheet! And it’s even more difficult if the
student’s name in column A has scrolled off the left edge of
the window.
Lect.: Abdulbasit Hassan
The Freeze Panes feature allows you to specify particular rows
and columns that will always remain visible as you scroll
through the worksheet. And it’s easy to do!
Lect.: Abdulbasit Hassan
Select a cell immediately below the rows that you want to
remain visible, and immediately to the right of the columns
that you want to remain visible. For example, if you want to
be able to see Rows 1 and 2, and column A, then you would
click on cell B3.
Lect.: Abdulbasit Hassan
On the View tab, click Freeze Panes, and select the first
option.
If Freeze Panes has already been applied, then the ribbon
option automatically changes to Unfreeze Panes.
Lect.: Abdulbasit Hassan
Formulas
Lect.: Abdulbasit Hassan
In this section I’m going to explain how to construct a
formula, and give you some guidelines to ensure that your
formulas work correctly.
Lect.: Abdulbasit Hassan
Creating a formula
Rule number one: a formula always starts with an equals sign (“=”). This
lets Excel know that it’s going to have to work something out.
Try it:
1. Click on an empty cell somewhere below the chart you’ve just
created.
2. Type each of the following into the formula bar, beginning each time
with an equal sign (=), and finally pressing ENTER.
• =10+5 to add
• =10-5 to subtract
• =10*5 to multiply
• =10/5 to divide
=10+5 (enter)
=10-5 (enter
=10*5 (enter)
=10/5 (enter)
Lect.: Abdulbasit Hassan
Use cell references in formulas:
Example : let : B2 = 5, B3 = 10, B4 = 15 , find the summation of B2,B3, and B4 in the C4.
Solution: 1st method
Type in the cell C4 ( = 5+10+15) and then press enter
2nd method: type value of B2 in the cell B2 , B3 in the cell B3 , and B4 in the cell B4.
In cell C4, do the following: o type
“=”
o select cell B2,
o type “+”
o select cell B3,
o type “+”
o select cell B4
o press ENTER
You see the result in the C4
enter
The
formula
Lect.: Abdulbasit Hassan
Example : Calculate the average of the student for three exams.
Name 1st exam 2nd exam 3rd exam
ahmad 55 77 74
muhammad 67 56 69
ali 34 45 58
alaa 87 87 66
sara 64 55 92
This formula inserted
here
Lect.: Abdulbasit Hassan
How formulas are evaluated:
Now let’s look at some of the rules for
creating formulas:
The operators that you need to know are
+ addition
- subtraction
* multiplication
/ division
^ exponentiation (“to the power of”)
& to join two text strings together
Lect.: Abdulbasit Hassan
These operations are evaluated in a particular order of
precedence by Excel:
 Operations inside brackets are calculated first
 Exponentiation is calculated second.
 Multiplication and division are calculated third.
 Addition and subtraction are calculated fourth.
 When you have several items at the same level of
precedence, they are calculated from left to right.
Lect.: Abdulbasit Hassan
Let’s look at some examples:
= 10 + 5 * 3 – 7 (result: 10 + 15 – 7 = 18)
= (10 + 5) * 3 – 7 (result: 15 * 3 – 7 = 38)
= (10 + 5) * (3 – 7) (result: 15 * -4 = -60)
If you’re not sure how a formula will be evaluated – use
brackets!
Lect.: Abdulbasit Hassan
Functions are predefined formulas that are designed to
perform specialized types of calculations. For example, the
Sum function is designed to add values in the cells specified.
For example =Sum(A1:A5) or =Average(C2:E2)
Lect.: Abdulbasit Hassan
Lect.: Abdulbasit Hassan
Lect.: Abdulbasit Hassan
Lect.: Abdulbasit Hassan
Lect.: Abdulbasit Hassan
Lect.: Abdulbasit Hassan
Lect.: Abdulbasit Hassan
s window
ll
s
Lect.: Abdulbasit Hassan
Using AutoSum:
Because addition is the most frequently used Excel function, a shortcut
has been provided to quickly add a set of numbers:
1. Select the cell where you want the total to appear.
2. Click on the Sum button on the Home ribbon.
3. Check that the correct set of numbers has been selected (indicated by
a dotted line). If not, then drag to select a different set of numbers.
4. Press [ENTER] and the total will be calculated.
Lect.: Abdulbasit Hassan
Enter
Lect.: Abdulbasit Hassan
Enter and drag to
down
Lect.: Abdulbasit Hassan
Basic functions:
Some of the most commonly used functions include:
SUM() to calculate the total of a set of numbers
AVERAGE() to calculate the average of a set of numbers
MAX() to calculate the maximum value within a set of numbers
MIN() to calculate the minimum value within a set of numbers
ROUND() to round a set a values to a specified number of decimal places
TODAY () to show the current date
IF() to calculate a result depending on one or more conditions
Lect.: Abdulbasit Hassan
So how do you use a function?
A function makes use of values or cell references, just like a simple
formula does. The numbers or cell references that it needs for its
calculations are placed in brackets after the name of the function.
To give a simple illustration:
Lect.: Abdulbasit Hassan
Several popular functions are available to you directly from the Home
ribbon.
1. Select the cell where you want the result of the calculation to be
displayed.
2. Click the drop-down arrow next to the Sum button.
3. Click on the function that you want.
4. Confirm the range of cells that the function should use in its
calculation.
5. Press [ENTER]. The result of the calculation will be shown in the active
cell.
Lect.: Abdulbasit Hassan
As an example, to calculate the average for the following set of tutorial
results, you would:
1. Click on cell F3 to make it active.
2. Click on the arrow next to the Sum button, and select Average.
3. Press [ENTER] to accept the range of cells that is suggested (B3:E3).
That’s it! You can now copy the formula in cell F3 down to cells F4 and
F5 – using relative addressing because you want a different set of
tutorial marks to be used for each student.
Lect.: Abdulbasit Hassan
If you want to use a function that isn’t directly available from the drop-
down list, then you can click on More Functions to open the Insert
Function dialog box. Another way to open this dialog box is to click the
Insert Function icon on the immediate left of the formula bar.
The Insert Function dialog box displays a list of functions within a
selected function category. If you select a function it will briefly describe
the purpose and structure of the function.
Lect.: Abdulbasit Hassan
Lect.: Abdulbasit Hassan
When you click the OK button at the bottom of the window,
you’ll be taken to a second dialogue box that helps you to
select the function arguments (usually the range of cells that
the function should use).
Lect.: Abdulbasit Hassan
The IF() function:
The IF() function checks for a specific condition. If the condition is met,
then one action is taken; if the condition is not met, then a different
action is taken. For example, you may be reviewing a set of tutorial
marks. If a student’s average mark is below 50, then the cell value
should be FAIL; so the condition you are checking is whether or not the
average result is below 50. If this condition is not met (that is, the
average result is 50 or more), then the cell value should be PASS.
Lect.: Abdulbasit Hassan
Lect.: Abdulbasit Hassan
Let’s see this in action:
The structure of an IF() function is:
=IF (condition, result if true, result if false)
Using English to describe our example as an IF statement: IF the average
mark is less than 50, then display the word “FAIL”, else display the word
“PASS”. Now for a real worksheet example. Look at the formula bar in
the screenshot below:
Lect.: Abdulbasit Hassan
Do you follow how the formula in cell G4 was constructed?
Because the average mark is stored in cell F4, we need to
check whether the value in F4 is less than 50. If it is, then the
active cell (G4) must display the word “Fail”. If the value in F4
is not less than 50, then the active cell must display the word
“Pass”. That’s not really so complicated, is it?
Lect.: Abdulbasit Hassan
 You can include one function inside another.
Nested functions:
 In the example above, we first worked out the Average mark, and
then the Pass/Fail outcome. But we could have done it all in a single
step, by using the following formula in row 3:
=IF(AVERAGE(B3:E3) < 50, “FAIL”, “PASS”)
=IF(AVERAGE(B3:E3) < 50, “FAIL”, “PASS”)
Lect.: Abdulbasit Hassan
Example: Enter values into the worksheet.
Calculate the total point and average of each student
Lect.: Abdulbasit Hassan
Example:
Lect.: Abdulbasit Hassan
USE OF IF WITH SUM
Lect.: Abdulbasit Hassan
AND statement and OR statement
Lect.: Abdulbasit Hassan
Lect.: Abdulbasit Hassan
IF(A1>5,"ok","bad")
AND(A1=10,A2=20,A3=40)
OR(A1=10,A2=20,A3=60)
IF(AND(A1=10,A2=20,A3=40),"Correct", "Wrong")
IF(OR(A1=10,A2=20,A3=40),"Correct", "Wrong")
Lect.: Abdulbasit Hassan
Trigonometric Functions
These include: SIN, COS and TAN and their inverses ASIN, ACOS
and ATAN.
All computer applications use radians not degrees for angles
in trig functions.
Lect.: Abdulbasit Hassan
Example:
Ans:
Lect.: Abdulbasit Hassan
Exponential Functions
(a) =EXP(2) returns e*.
(b) =LN(5) returns the natural logarithm of 5.
(c) =LOG1 0(5), =LOG(5, I O ) and =LOG(5) all return the logarithm
of 5 to base 10.
(d)= LOG(8,2) returns the value 3, which is the logarithm of 8 to base 2.
x= 5
log 0.69897
log10= 0.69897
log(5,2) 2.321928
Exp()5 148.4132
Lect.: Abdulbasit Hassan
Rounding Function
Excel provides a number of functions which
either truncate or round a value to a required
number of digits or to a multiple of some
number.
Lect.: Abdulbasit Hassan
Lect.: Abdulbasit Hassan
SUMIF Function :
The general format is as follow:
=SUMIF(range , criteria , sum-range)
Lect.: Abdulbasit Hassan
Lect.: Abdulbasit Hassan
With condition
Lect.: Abdulbasit Hassan
A number of errors can arise with formulas and
functions. When this happens, Excel displays one of
these error values. See next slid.
Lect.: Abdulbasit Hassan
# DIV/O! Division by zero.
# NAME? A formula contains an undefined variable or function name,
or a space between the name of a function and the opening
parenthesis.
# N/A No value is available.
# NULL! A result has no value.
# NUM! Numeric overflow;
e.g. a cell with =SQRT(Zl) when Z1 has a negative value
# REF! Invalid cell reference.
# VALUE! Invalid argument type;
e.g. a cell with =LN(ZI) when Z1 contains text.
Lect.: Abdulbasit Hassan
Lect.: Abdulbasit Hassan
To make Matrix operations in Excel you must have in mind
that:
-Instead of using the ENTER (Return) key, you have to use the
CTRL-Shift-ENTER keys simultaneously. Excel uses this
command to know that we are making MATRIX operations.
Lect.: Abdulbasit Hassan
- List of Commands
Lect.: Abdulbasit Hassan
Matrix Multiplication
Step 1. Set up the matrices: Suppose we have 2 matrices: A and B. We
typed them in an excel worksheet as it’s shown in Picture 1.
Lect.: Abdulbasit Hassan
Step 2. We want to Multiply A*B, then with the mouse (or
keyboard) “paint” the cells where the A*B matrix will be
placed. (Note that you must know the dimension of the new
matrix). In our example the A*B matrix will be 4*4 (since A is
4*4 and B is also 4*4), then we “paint” with the mouse a 4*4
matrix for the multiply output as shown in the picture 2.
Lect.: Abdulbasit Hassan
 In this case our new matrix (A*B) will be in the cells : B9..E12.
Lect.: Abdulbasit Hassan
Step 3: We can see that the cells for matrix (A*B) is selected and we
started typing the command, at this point we typed: =mmult( and using
the mouse or the keyboard we have painted (selected) the matrix A.
Lect.: Abdulbasit Hassan
Step 4. Now, type a “comma” (,) and go to paint (select)
matrix B, (After that, close parenthesis). See Picture 4.
Lect.: Abdulbasit Hassan
Step 5. The last step, is the most important: Press CTRL-
SHIFT-ENTER, and there you will have you’re A*B Matrix.
Lect.: Abdulbasit Hassan
Matrix Inversion
Step 1. Let’s suppose that we want to invert matrix A, defined in picture
1., The first thing to do is to “paint” (select) the cells for the inverse
output, as shown in following picture.
Lect.: Abdulbasit Hassan
Step 2. Type the command to invert the matrix: +minverse(…..) You can
use the mouse or keyboard to select the matrix.
Lect.: Abdulbasit Hassan
Step 3. Just press CTRL-SHIFT-ENTER and you will get you’re A-1
Note: It’s not necessary to close the parenthesis.
Lect.: Abdulbasit Hassan
Determinant of a Matrix
Step 1. To get the determinant of a matrix simply locate the cursor in
any cell, (the determinant is only one value,
then it uses one cell).
Step 2. Type the command and select the matrix.
Lect.: Abdulbasit Hassan
Step 3.. Press CTRL-SHIFT-ENTER. You will have the determinant.
Note: it’s not necessary to close the parenthesis.
Lect.: Abdulbasit Hassan
Summation of matrices:
1- select the cells to print the summation output ( as shown in red cells)
2- insert the Press CTRL-SHIFT-ENTER+B1:D3+G1:I3
Lect.: Abdulbasit Hassan
A nonlinear programming model consists
of a nonlinear objective function and
nonlinear constraints :
Lect.: Abdulbasit Hassan
The “Solver” routine in Excel can be used to determine
the least squares best estimate for parameter values in
non-linear equations. The following example
demonstrates its use.
The user must determine the most likely type of the
curve that will fit the data, such as :
a0 +a1x+a2x^2+……. = c, or aln(x)^b =c or others
Lect.: Abdulbasit Hassan
Lect.: Abdulbasit Hassan
Lect.: Abdulbasit Hassan
Lect.: Abdulbasit Hassan
Lect.: Abdulbasit Hassan
Lect.: Abdulbasit Hassan
Lect.: Abdulbasit Hassan
Lect.: Abdulbasit Hassan
Lect.: Abdulbasit Hassan
5000
6000
7000
8000
9000
10000
11000
12000
13000
14000
0 50 100 150 200
Predict
Actual
Sales
Number of Ads
Lect.: Abdulbasit Hassan
Lect.: Abdulbasit Hassan
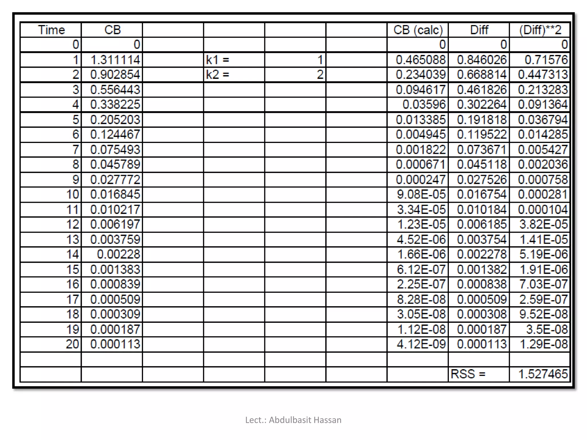
The task now is to determine the best values for k1 and k2. However,
the expression of [B] is non-linear, and not easily transformed into a
linear form. We can, however, use “Solver” to accomplish the same
task.
Lect.: Abdulbasit Hassan
To start we need to make initial estimates for both k1 and k2. Let’s
use 1 and 2. (Note: We don’t want to use the same value for both k1
and k2 since that would make the denominator term in the
expression for [B] zero.) With these two values we can use the
expression for [B] to calculate values for the concentration of B.
Lect.: Abdulbasit Hassan
Lect.: Abdulbasit Hassan
The objective is to have the cell containing the value for the RSS be as
small as possible, i.e., a least squares analysis. To do this we will
allow Excel to change the values in the cells E3 and E4, i.e., the values
of k1 and k2.
Lect.: Abdulbasit Hassan
After specifying the objective, our goal (minimize), and the cells to
change we can click on Solve. This will give us the following results.
Lect.: Abdulbasit Hassan
Solving system of linear
equations :
Lect.: Abdulbasit Hassan
3- [X] = [A] * [b]-1
Lect.: Abdulbasit Hassan
Let's say we wish to solve this
system of equations:
2v + 3w – x + 3y + z = 22
3v + w – 4x + 3y – z = 0
v – 2w + 3x – 4y + 2z = 0
v + 2w – 3x + 2y – 2z = –6
2v + 4y – 5z = –7
Example: Solve the following equations .
Lect.: Abdulbasit Hassan
Lect.: Abdulbasit Hassan
1. Enter the data for the coefficient matrix and the
constant matrix (as shown).
Lect.: Abdulbasit Hassan
2. Find the inverse of the coefficient matrix:
• Highlight: cells A9 to E13
• Type: =MINVERSE(A2:E6)
• Remember to CTRL+SHIFT+ENTER.
Lect.: Abdulbasit Hassan
3. Multiply the "inverse matrix" by the constant matrix:
• Highlight: cells G9 to G13
• Type: = MMULT(A9:E13,G2:G6)
• Remember to CTRL+SHIFT+ENTER.
the solutions are:
v = 1, w = 2, x = 3, y = 4, z = 5Lect.: Abdulbasit Hassan
a + 2b + 3c = 1
a –c = 0
2a + b = 1.25
Solution :
Example: Solve the following equations using matrix functions in Excel.
Coefficients Constant
Lect.: Abdulbasit Hassan
Invert the first matrix
Select cells for the inverted matrix result for a matrix the same size as
the original matrix. The use the function MMINVERSE to invert it. Once
you specify the array to invert, use CTRL-CHIFT-ENTER instead of closing
out the function:
Lect.: Abdulbasit Hassan
Step 3: Multiply matrices
You multiply matrices using the MMULTI function, selecting the cells
that you want the results (in this example, cells B12, B13 and B14:
Lect.: Abdulbasit Hassan
As with the MINVERSE function, use CTRL-SHIFT-ENTER to
produce the results
Lect.: Abdulbasit Hassan
EXCEL SOLVER IN
OPTIMIZATION
PROBLEMS
Lect.: Abdulbasit Hassan
Solver Function
Lect.: Abdulbasit Hassan
• Optimization problems are real world problems we encounter in
many areas such as mathematics, engineering, science, business and
economics.
• In these problems, we find the optimal, or most efficient, way of
using limited resources to achieve the objective of the situation.
• This may be maximizing the profit, minimizing the cost, minimizing
the total distance travelled or minimizing the total time to complete a
project.
•For the given problem, we formulate a mathematical description
called a mathematical model to represent the situation. The model
consists of following components:Lect.: Abdulbasit Hassan
• Decision variables: such as X1, X2, X3,…..Xn. These variables
represent unknown quantities
• Objective function: The objective of the problem is expressed as a
mathematical expression in decision variables.
The objective may be maximizing the profit,
minimizing the cost, distance, time, etc.
• Constraints: The limitations or requirements of the problem are
expressed as inequalities or equations in decision
variables.
Lect.: Abdulbasit Hassan
If the model consists of a linear objective function and linear
constraints in decision variables, it is called a linear programming
model.
A nonlinear programming model consists of a nonlinear objective
function and nonlinear constraints.
Linear programming: It is a technique used to solve models with
linear objective function and linear constraints. The Simplex
Algorithm developed by Dantzig (1963) is used to solve linear
programming problems.
Lect.: Abdulbasit Hassan
Figure 1. Solver Button
Lect.: Abdulbasit Hassan
If the “Analysis” toolbar does not appear, or does not have the
“Solver” button, the add-in must first be activated:
1. Click on the “Office” button in the top left corner:
2. Choose “Excel Options” (Figure 2)
3. Choose “Add-Ins” in the vertical menu on the left (Figure 3)
4. Pick “Excel Add-Ins” from the “Manage” box and click “Go…”(Figure 3)
5. Check “Solver Add-In” and press “OK” (Figure 4)
6. The Solver add-in should now appear in the Analysis toolbar (Figure 1)
Lect.: Abdulbasit Hassan
Figure 2. MS Office Menu
Lect.: Abdulbasit Hassan
Figure 3. Excel Options Menu
Lect.: Abdulbasit Hassan
Figure 4. Add‐Ins Menu
Lect.: Abdulbasit Hassan
Example : Use excel solver to
solve the following equations
Initial guess
Coefficients of objective
and constraints
Constraints
Initial
condition
Lect.: Abdulbasit Hassan
Select solver from ribbon and this window will appear:
Insert target cell D4(optimize
the objective function
Max or Min or
value of may be
selected
Initial
value of
x1,x2
constraints should be specified by clicking add button
Lect.: Abdulbasit Hassan
The Set Target Cell box should contain the cell location of the
objective function for the problem under consideration
If Value is selected, the Solver will attempt to find a value of the Target
Cell equal to whatever value is placed in the box just to the right of
this selection.
The By Changing Cells box should contain the location of the decision
variables for the problem.
Finally, the constraints must be specified in the Subject to the
Constraints box by clicking on Add.
Change allows you to modify a constraint already entered and Delete
allows you to delete a previously entered constraint.
Lect.: Abdulbasit Hassan
Reset All clears the current problem and resets all parameters to their
default values.
Options invokes the Solver options dialog box (to be discussed later).
The Guess selection is not particularly useful for our purposes and will
not be discussed here.
When the Add button is clicked, the Add Constraint dialog box
appears:
Lect.: Abdulbasit Hassan
Clicking on the Cell Reference Box allows you to specify a cell location
(usually a cell with a formula).
The constraint type may be set by selecting the down arrow (<=, >=, =,
int, where int refers to integer, or bin, where bin refers to binary).
The Constraint box may contain a formula of cells, a simple cell
reference, or a numerical value.
Lect.: Abdulbasit Hassan
The Add button adds the currently specified constraint to the existing
model and returns to the Add Constraint dialog box
The OK button adds the current constraint to the model and returns
you to the Solver Dialog box.
Lect.: Abdulbasit Hassan
Note: Solver does not assume nonnegative of the decision variables.
The options dialog box discussed below allows you to specify that the
variables must be nonnegative.
Max Time allows you to set the number of seconds before Solver will
stop. Iterations, similar to Max Time,
Precision is the degree of accuracy of the solver algorithm
If you seek the optimal solution, Tolerance must be set to zero
If run time becomes too long, you may wish to set this to a higher
value (if you are willing to accept a solution within this percent of
optimality).
Lect.: Abdulbasit Hassan
If your model is a linear program or a linear integer program, you
should check Assume Linear Model.
Assume Non-Negative should be checked if you want all of your
changing cell values to be ≥0.
Click OK
Lect.: Abdulbasit Hassan
Select the
reports &
click OK
Lect.: Abdulbasit Hassan
You can see the report in the next worksheet
Lect.: Abdulbasit Hassan
There are three categories of information needed for solving an
optimization problem in Excel: an Objective Function, Decision
Variables, and Constraints.
Example:
Lect.: Abdulbasit Hassan
Lect.: Abdulbasit Hassan
Lect.: Abdulbasit Hassan
Lect.: Abdulbasit Hassan
Lect.: Abdulbasit Hassan
Lect.: Abdulbasit Hassan
Lect.: Abdulbasit Hassan
Goal Seek
Lect.: Abdulbasit Hassan
Goal Seek: Goal Seek is one tool in a suite of commands used
in what-if analysis, which is the process of changing the values
in cells to see how those changes affect the outcome o
formulas on the worksheet.
Goods: Robust, fast, and easy to use. Can work on non-linear
problems
Bads: Goal Seek is not an optimization algorithm, but rather a
regulated form of iterated guessing. Sometimes doesn’t work.
Can miss optimal solutions
• G/S simply automates the ‘trial – and –
error’ approach to problem solving.
• In strict terms, Goal Seek is Guessing.
Lect.: Abdulbasit Hassan
Invoking Goal Seek
You can use the G/S feature available by clicking on the Data tab in
the top menu bar, then looking across to the What-If Analysis icon.
Lect.: Abdulbasit Hassan
Lect.: Abdulbasit Hassan
Example : We will use Goal Seek to find a number to make the sum
equal to 100:
B2 = 25; B3 = 40; B4 = SUM(B2:B3)
Goal Seek will change the value in cell B3 incrementally until the sum
in B4 equals 100.
Lect.: Abdulbasit Hassan
Lect.: Abdulbasit Hassan
Lect.: Abdulbasit Hassan
Ex: uses ‘Goal Seek’ and ‘Solver’ to find the x that makes f
(x) zero:
Lect.: Abdulbasit Hassan
Lect.: Abdulbasit Hassan
R=
Lect.: Abdulbasit Hassan
Lect.: Abdulbasit Hassan
H.W: Solve the problem
using Solver function ,
starting with Vi= 2.279.
Lect.: Abdulbasit Hassan
Root Finding Using Solver
Lect.: Abdulbasit Hassan
In this section, we will go through several examples to illustrate the
procedure of using a spreadsheet such as Excel* to approximate
the real roots of linear and non-linear equations
Quadratic Equation:
In this exercise we will find the roots of 2x^2- 5x - 12 = 0 using Goal Seek. The plot in
Figure below will help us understand which solution Microsoft Excel finds.
Lect.: Abdulbasit Hassan
Lect.: Abdulbasit Hassan
Lect.: Abdulbasit Hassan
Cubic Equation: 2x2 + x2 - 246x + 360 = 0
In this exercise we will set up a worksheet that may be
used to solve a cubic equation
Lect.: Abdulbasit Hassan
Now we are ready to use the worksheet. Note that the starting
values shown in D4:D6 are not quite arbitrary; they have been
chosen to give the reader three roots to the function. In ‘real’ cases,
the users will need to experiment a little to find satisfactory starting
values.
Lect.: Abdulbasit Hassan
Roots of a Cubic Equation with
Solver
Lect.: Abdulbasit Hassan
The Solver Add-In is much more powerful than Goal Seek. It was
originally designed for optimization problems (problems that are the
realm of operational research experts) but it is useful for root finding
and similar mathematical problems. It differs from Goal Seek in a
number of significant ways.
2x2 + x2 - 246x + 360 = 0
In this exercise we use Solver to find the roots of the cubic equation
Lect.: Abdulbasit Hassan
Open Solver dialog box as shown in the next slid
Lect.: Abdulbasit Hassan
$D$4
$E$4
Click on the Solve button. After a second or two, Solver will report
whether or not it has found a solution; see Figure below. Click the
‘OK’ button. With a starting value of -20, your first solution should
be( - 12).
Lect.: Abdulbasit Hassan
Repeat the same procedure with E5 as the Set Target Cell
and D5 as the By Changing Cell to find the second root of
the cubic equation
Repeat the same procedure with E6 as the Set Target Cell
and D6 as the By Changing Cell to find the third root of the
cubic equation.
Lect.: Abdulbasit Hassan
Roots of equation with constraints
Suppose we have to find a root for the equation :
Let us further suppose that the problem that gave rise to this
equation tells us that the value of x which interests us lies between
1 and 2.
Lect.: Abdulbasit Hassan
Solution : Insert the equation to the cell as shown below:
Lect.: Abdulbasit Hassan
1st root
Change the constraint to find the other two values. One of them is
negative so the constraint D4 <= 0 will be appropriate. The other lies
between 0 and 1. With a starting value of 0 it may find a solution
with no constraints. Good hunting!
Lect.: Abdulbasit Hassan
2st root
Lect.: Abdulbasit Hassan
3st root
Lect.: Abdulbasit Hassan
Solve linear
equation
Lect.: Abdulbasit Hassan
A system of linear equations is a set of n linear equations in
which each equation contains up to n variables or ‘unknowns’. A
simple example might be to find x and y given:
Open excel work sheet and insert the data as shown below:
C7=2*B7+3*B8-3
C8=3*B7+2*B8-5
D7=C7^2
D8=C8^2
D9=SUM(D7:D8)
Lect.: Abdulbasit Hassan
Click
1
2
3
Lect.: Abdulbasit Hassan
Lect.: Abdulbasit Hassan
H.W. Solve the following system equation using Solver function.
Lect.: Abdulbasit Hassan
Non - linear Simultaneous
Equations Solver
Lect.: Abdulbasit Hassan
Non-linear systems of equations are far more difficult to solve with
paper and pencil, requiring a knowledge of calculus. Let's see if
Solver is capable of coming to our aid. We will solve the nonlinear
simultaneous equations:
C8=1*B8^2+2*B9^2-22
C9=-2*B8^2+B8*B9-3*B9+11
D8=C8^2
D9=C9^2
D10=SUM(D8:D9)
Lect.: Abdulbasit Hassan
1
Click
2
3
Lect.: Abdulbasit Hassan
Lect.: Abdulbasit Hassan
With starting values of 1 for both variables Solver suggests an
approximate solution with x = 1.99994 and y = 3.00004. The
function evaluate to values somewhat larger than 0.
Experimentation shows x = 2 and y = 4 is an exact solution. Of
course, since the equations contain 2 and?, multiple solutions
are possible. Starting with 0 for each variable, Solver reported x
= 0.2763 and y = 3.3 109 as a solution.
H.W. : Try that with starting with guess values of 1,1
Lect.: Abdulbasit Hassan
Plotting Data with Microsoft Excel
Lect.: Abdulbasit Hassan
Description: We will focus on Excel features for graphs
and charts. We will discuss multiple axes, formatting data,
choosing chart type, adding notes and images, and
customizing your charts. We will discuss how to export
charts to other formats including Word, PowerPoint and
PDF.
Charts allow you to present information contained in the
worksheet in a graphic format. Excel offers many types of
charts including : Column, Line, Pie, Bar, Area, Scatter and
more. To view the charts available click the Insert Tab on the
Ribbon. Lect.: Abdulbasit Hassan
n the
ing
Lect.: Abdulbasit Hassan
What is an XY or Scatter Plot?
An XY or scatter plot either shows the relationships among the
numeric values in several data series or plots two groups of numbers
as a single series of XY coordinates. It can show uneven intervals or
clusters of data and is commonly used for scientific data.
How to Create a Scatter Plot
In this example we plot two series values in a scatter plot as a single
group of XY coordinates. To create this scatter plot first arrange the
data to plot in rows or columns. In this example, the data is arranged
in rows.
Lect.: Abdulbasit Hassan
1- Insert the data in the workbook as shown below:
Exp. Press(bara) Time ads (s). Q purg (L/min) Qprod(L/min) O2%
1 2 20 1 0.1 58.2
2 2 20 1 0.5 54.2
3 2 20 1 0.75 52.3
4 2 20 1 1 50.5
5 3 20 1 0.1 63.1
6 3 20 1 0.5 61.3
7 3 20 1 0.75 57.6
8 3 20 1 1 54.3
9 4 20 1 0.1 66.4
10 4 20 1 0.5 64.3
Lect.: Abdulbasit Hassan
2- Click insert tab from ribbon charts:
1- click
2- click
Lect.: Abdulbasit Hassan
Lect.: Abdulbasit Hassan
Lect.: Abdulbasit Hassan
Lect.: Abdulbasit Hassan
Lect.: Abdulbasit Hassan
Lect.: Abdulbasit Hassan
Click
Lect.: Abdulbasit Hassan
Click to close the
Click to ad
curve
Lect.: Abdulbasit Hassan
To add new cur
the figure
Lect.: Abdulbasit Hassan
Lect.: Abdulbasit Hassan
Lect.: Abdulbasit Hassan
0
10
20
30
40
50
60
70
0 0.2 0.4 0.6 0.8 1 1.2
2 bar
3 bar
Format the figure
Lect.: Abdulbasit Hassan
Format the figure
1- format the curve
Right click
and select
Lect.: Abdulbasit Hassan
Select any option
to format the curve
Lect.: Abdulbasit Hassan
Curve fitting
Right click
and select
Lect.: Abdulbasit Hassan
select any type of
the curve to fit your
data.
To show the
equation of the
curve fitting and
intercept point and
R
Lect.: Abdulbasit Hassan
Format axes
Right click
and select
Lect.: Abdulbasit Hassan
Lect.: Abdulbasit Hassan
Anatomy of figure
Figure 4. Isotherms of pure nitrogen on zeolite 5A.
Y-axis
Axis
label
Caption
X-axis
Symbols
Major tick
Legend
Lect.: Abdulbasit Hassan

MS Excel

  • 1.
    Abdulbasit H. Mhdi Assistantlecturer Chemical engineering/ Tikrit University Lect. : Abdulbasit Hassan
  • 2.
  • 3.
     If youhave an icon on the desktop for Excel, then all you have to do is double-click it to open Excel. Double click Lect. : Abdulbasit Hassan
  • 4.
     Alternatively, clickthe Start button and then select All Programs, Microsoft Office, and Microsoft office Excel 2007. Lect. : Abdulbasit Hassan
  • 5.
     Excel andWord have a lot in common, since it’s belong to the MS Office group of programs.  Excel is all about numbers. There’s almost no limit to what you can do with numbers in Excel, including sorting, advanced calculations, and graphing.  In addition, Excel’s formatting options mean that whatever you do with your numbers, the result will always look professional! Lect. : Abdulbasit Hassan
  • 6.
     Data filescreated with Excel are called workbooks (in the same way as Word files are called documents).  This gives you the flexibility to store related data in different locations within the same file.  More worksheets can be added, and others deleted, as required. Each new workbook contains three separate pages called worksheets (Sheet1, Sheet2, Sheet3). Lect. : Abdulbasit Hassan
  • 7.
  • 8.
     You’ll oftenhear Excel files referred to as spreadsheets. This is a generic term, which sometimes means a workbook (file) and sometimes means a worksheet (a page within the file). For the sake of clarity, I’ll be using the terms workbook and worksheet in this manual. Lect. : Abdulbasit Hassan
  • 9.
    The Excel 2007window  As in Word 2007, the old menu system has been replaced by the Ribbon and the Office button. Lect. : Abdulbasit Hassan
  • 10.
  • 11.
     Title bar:A blue border at the top of the workbook that displays the workbook name  Name box: An area of the workbook that displays the cell reference, or name, for the active cell.  Formula bar: An area at the top of the worksheet that allows entering and editing of formulas in the active cell or displays existing formulas in the selected cell  Active cell :A black border surrounds the currently selected, or active, cell.  Sheet tabs : Tabs that appear at the bottom of the workbook that allow you to switch between different worksheets contained in the workbook  Status bar: Bottom line of the workbook window that displays information regarding the workbook Lect. : Abdulbasit Hassan
  • 12.
    Excel 2007 :help you learn how to use the Ribbon, here is a guide to its basic arrangement: 1. Tabs: The Ribbon is made up of different tabs, each related to specific kinds of work you do in Excel. 2. Groups: Each tab has several groups that show related items together. 3- Commands: A command is a button or a menu. Lect. : Abdulbasit Hassan
  • 13.
    The Ribbon The ribbonis the panel at the top portion of the document. It has seven tabs: The groups are logical collections of features designed to perform function that you will utilize in developing or editing your Excel spreadsheets. Commonly utilized features are displayed on the Ribbon. Lect. : Abdulbasit Hassan
  • 14.
    Home Insert Page Layouts Formulas Data Review View Clipboard, Fonts,Alignment, Number , Styles, Cells, Editing Tables Illustrations, Charts, links, Text Themes, Page Setup, Scale to Fit, Sheet Options, Arrange Function library, Defined Names, Formula Auditing, Calculation Get External Data, Connections, Sort & Filter, Data Tools, Outline Proofing, Comments, Changes Workbook Views, Show/Hide, Zoom, Window Lect. : Abdulbasit Hassan
  • 15.
    Notice:  The workingarea of the screen is divided into rows (1, 2, 3, 4, ...) and columns (A, B, C, D, …).  Together these provide an address, such a C10 or G21, that uniquely identifies each cell in the worksheet.  A range of cells extends in a rectangle from one cell to another, and is referred to by using the first and last cell addresses separated by a colon.  For example, the group of cells from A3 to G4 would be written as A3:G4. Lect. : Abdulbasit Hassan
  • 16.
     In thefigure above, the current or active cell is B7. It is surrounded by a heavy black border, and its address is displayed in the name box above column A. Its row and column numbers are also highlighted (B7).  On the right of the name box is the formula bar. This displays the value stored in the active cell, and is also the place where you would enter a new data value or formula into that cell. Lect. : Abdulbasit Hassan
  • 17.
    The Quick AccessToolbar: The quick access toolbar is a customizable toolbar that contains commands that you may want to use. By default, you will have the commands to Save, Undo, and Redo. You may also add buttons such as Check Spelling and Grammar, Open a document, or Create a New Document button. Quick Access Toolbar: A. Save B. Redo C. Undo D. Add other buttons Lect. : Abdulbasit Hassan
  • 18.
     If youhave an icon on the desktop for Excel, then all you have to do is double-click it to open Excel. Double click Lect.: Abdulbasit Hassan
  • 19.
     Alternatively, clickthe Start button and then select All Programs, Microsoft Office, Microsoft Excel Lect.: Abdulbasit Hassan
  • 20.
     When youopen Excel from a desktop icon or from the Start menu, a new empty workbook (consisting of three worksheets) will be displayed on your screen.  If you double-click on an existing Excel file from inside the Windows Explorer window, then Excel will open and display the selected file on your screen. Lect.: Abdulbasit Hassan
  • 21.
    Closing Excel:  CloseExcel by clicking the X on the far right of the title bar. Close file only Close the program Lect.: Abdulbasit Hassan
  • 22.
    Navigating within aworksheet: Using the mouse:  Use the vertical and horizontal scroll bars if you want to move to an area of the screen that is not currently visible.  To move to a different worksheet, just click on the tab below the worksheet. Lect.: Abdulbasit Hassan
  • 23.
    Using the keyboard: Use the arrow keys, or [PAGE UP] and [PAGE DOWN], to move to a different area of the screen.  [CTRL] + [HOME} will take you to cell A1.  [CTRL] + [PAGE DOWN] will take you to the next worksheet,  [CTRL] + [PAGE UP] for the preceding worksheet. PAGE UP PAGE DOWN CTRL arrow HOME  You can jump quickly to a specific cell by pressing [F5] and typing in the cell address.  You can also type the cell address in the name box above column A, and press [ENTER]. Lect.: Abdulbasit Hassan
  • 24.
    Selecting cells: Using themouse:  Click on a cell to select it.  You can select a range of adjacent cells by clicking on the first one, and then dragging the mouse over the others.  You can select a set of non-adjacent cells by clicking on the first one, and then holding down the [CTRL] key as you click on the others. Lect.: Abdulbasit Hassan
  • 25.
    Using the keyboard: Use the arrow keys to move to the desired cell, which is automatically selected.  To select multiple cells, hold down the [SHIFT] key while the first cell is active, and then use the arrow keys to select the rest of the range. Lect.: Abdulbasit Hassan
  • 26.
    Selecting rows orcolumns:  To select all the cells in a particular row, just click on the row number (1, 2, 3, etc) at the left edge of the worksheet.  Hold down the mouse button and drag across row numbers to select multiple adjacent rows.  Hold down [CTRL] if you want to select a set of non-adjacent rows. Lect.: Abdulbasit Hassan
  • 27.
     Similarly, toselect all the cells in column, you should click on the column heading (A, B, C, etc) at the top edge of the worksheet.  Hold down the mouse button and drag across column headings to select multiple adjacent columns.  Hold down [CTRL] if you want to select a set of non-adjacent columns. Lect.: Abdulbasit Hassan
  • 28.
     You canquickly select all the cells in a worksheet by clicking the square to the immediate left of the Column A heading (just above the label for Row 1). Lect.: Abdulbasit Hassan
  • 29.
  • 30.
    First you needa workbook: Before you start entering data, you need to decide whether this is a completely new project deserving a workbook of its own, or whether the data you are going to enter relates to an existing workbook. Remember that you can always add a new worksheet to an existing workbook, and you’ll find it much easier to work with related data if it’s all stored in the same file. Lect.: Abdulbasit Hassan
  • 31.
    If you needto create a new workbook from inside Excel: 1. Click on the Office button, select New and then Blank Workbook. Lect.: Abdulbasit Hassan
  • 32.
    2. Sheet 1of a new workbook will be displayed on your screen, with cell A1 active. Lect.: Abdulbasit Hassan
  • 33.
    To open anexisting workbook from inside Excel: 1. Click on the Office button, click Open, and then navigate to the drive and folder containing the file you want to open. Lect.: Abdulbasit Hassan
  • 34.
    Location of file Doubleclick Lect.: Abdulbasit Hassan
  • 35.
  • 36.
  • 37.
    Numbers lie atthe heart of Excel’s functionality. You should generally avoid mixing text and numbers in a single cell, since Excel will regard the cell contents as text. If you type any spaces within a number, it will also be regarded as text. If a number is too large to be displayed in the current cell, it will be displayed as “#####”. The formatting section of this manual explains how to widen a column. Lect.: Abdulbasit Hassan
  • 38.
    Text consist mainlyof alphabetic characters, but can also include numbers, and characters .Text fields are not included in numeric calculations. If you want Excel to treat an apparent number as text, then you should precede the number with a single quotation mark (‘). This can be useful when entering for example a phone number that starts with 0, since leading zeros are not usually displayed for Excel numbers. If a text field is too long to be displayed in the current cell, it will spill over into the next cell if that cell is empty, otherwise it will be truncated at the cell border. Lect.: Abdulbasit Hassan
  • 39.
    Formulas are themost powerful elements of an Excel spreadsheet. Every formula starts with an “=” sign, and contains at least one logical or mathematical operation (or special function), combined with numbers and/or cell references. We’ll discuss formulas and functions in more detail later in the manual. Lect.: Abdulbasit Hassan
  • 40.
    Data entry cellby cell To enter either numbers or text: 1. Click on the cell where you want the data to be stored, so that the cell becomes active. 2. Type the number or text. 3. Press [ENTER] to move to the next row, or [TAB] to move to the next column. Until 4- you’ve pressed [ENTER] or [TAB], you can cancel the data entry by pressing [ESC]. 5- To enter a date, use a slash or hyphen between the day, month and year, for example 14/02/2009. Use a colon between hours, minutes and seconds, for example 13:45:20. Lect.: Abdulbasit Hassan
  • 41.
    Deleting data: You wantto delete data that’s already been entered in a worksheet? Simple! 1. Select the cell or cells containing data to be deleted. 2. Press the [DEL] key on your keyboard. 3. The cells remain in the same position as before, but their contents are deleted. Lect.: Abdulbasit Hassan
  • 42.
    Moving data : You’vealready entered some data, and want to move it to a different area on the worksheet? 1. Select the cells you want to move (they will become highlighted). 2. Move the cursor to the border of the highlighted cells. When the cursor changes from a white cross to a four-headed arrow (the move pointer), hold down the left mouse button. 3. Drag the selected cells to a new area of the worksheet, then release the mouse button. 4. You can also cut the selected data using the ribbon icon or [CTRL] + [X], then click in the top left cell of the destination area and paste the data with the ribbon icon or [CTRL] + [V]. Lect.: Abdulbasit Hassan
  • 43.
  • 44.
  • 45.
    Copying data: To copyexisting cell contents to another area on the worksheet: 1. Select the cells you want to copy (they will become highlighted). 2. Move the cursor to the border of the highlighted cells while hold in down the [CTRL] key. When the cursor changes from a white cross to a hollow left-pointing arrow (the copy pointer), hold down the left mouse button. 3. Drag the selected cells to a second area of the worksheet, then release the mouse button. 4. You can also copy the selected data using the ribbon icon or [CTRL] + [C], then click in the top left cell of the destination area and paste the data with the ribbon icon or [CTRL] + [V]. 5. You can also copy the selected data by right click mouse , select copy , and go to new cell also right click and select paste. Lect.: Abdulbasit Hassan
  • 46.
  • 47.
    Using Auto fill: Thisis one of Excel’s niftiest features! It takes no effort at all to repeat a data series (such as the days of the week, months of the year, or a numbers series such as odd numbers) over a range of cells. 1. Enter the start of the series into a few adjacent cells (enough to show the underlying pattern). 2. Select the cells that contain series data. 3. Move the cursor over the small square in the bottom right-hand corner of the selection (the fill handle). Hold down the mouse button and drag to a range of adjacent cells. 4. The target cells will be filled based on the pattern of the original series cells. Lect.: Abdulbasit Hassan
  • 48.
  • 49.
    Saving a Spreadsheet Lect.:Abdulbasit Hassan
  • 50.
    In this section,we will learn how to save an Excel 2007 Document in Compatibility Mode. Compatibility Mode will allow you to create spreadsheets in Excel 2007, and if you use another computer with an older version of Excel, this feature will allow you to open the spreadsheet and make changes! Lect.: Abdulbasit Hassan
  • 51.
    After you haveentered data on to your spreadsheet, click on the Microsoft Office Home Button. Click ‘Save As’, then Click on ‘Excel Workbook’. You will see the ‘Save As’ dialogue box open. In the ‘Save As’ dialog box, the ‘My Documents’ folder should automatically be selected. If not, click on the drop down menu, and select the appropriate folder to save your file. Click ‘Save’. Lect.: Abdulbasit Hassan
  • 52.
    Select hard to save file Nameof file Lect.: Abdulbasit Hassan
  • 53.
    Editing data In dataentry mode, when you move the cursor to a new cell, anything you type replaces the previous cell contents. Edit mode allow you to amend existing cell contents without having to retype the entire entry. Note: that while you are in edit mode, many of the Ribbon commands are disabled. Lect.: Abdulbasit Hassan
  • 54.
  • 55.
    Editing cell contents Thereare two different ways to enter edit mode: either double-click on the cell whose contents you want to edit, or else click to select the cell you want to edit, and then click anywhere in the formula bar.  To delete characters, use the [BACKSPACE] or [DEL] key.  To insert characters, click where you want to insert them, and then type.  You can force a line break within the current cell contents by typing [ALT] + [ENTER], or by Space key.  Exit edit mode by pressing [ENTER]. Lect.: Abdulbasit Hassan
  • 56.
    Common problems * Ifa cell contains a number but displays #####, then the column is not wide enough to show the full data value. You need to make the column wider (see formatting). If a cell contains text but chops off the display at the edge of the column, then you need to either widen the column or wrap the text within the column (see formatting). Lect.: Abdulbasit Hassan
  • 57.
    Inserting or deletingcells You can insert a new cell above the current active cell, in which case the active cell and those below it will each move down one row. You can also insert a new cell to the left of the current active cell, in which case the active cell and those on its right will each move one column to the right. Lect.: Abdulbasit Hassan
  • 58.
    To insert acell: 1. Select the cell next to which you want to insert a new cell. 2. On the Home ribbon, find the Cells group and click Insert followed by Insert Cells. Lect.: Abdulbasit Hassan
  • 59.
    3. A dialogbox will open. Click the direction in which you want the surrounding cells to shift. Lect.: Abdulbasit Hassan
  • 60.
    To delete acell, do as follows: 1. Select the cell that you want to delete. 2. On the Home ribbon, find the Cells group and click Delete followed by Delete Cells. 3. A dialog box will open. Click the direction in which you want the surrounding cells to shift. You can also right-click on the active cell and select Insert or Delete on the pop-up menu. Lect.: Abdulbasit Hassan
  • 61.
    Inserting or DeletingRows When you insert a row, the new row will be positioned above the row containing the active cell. 1. Select a cell in the row above which you want to insert a new row. 2. On the Home ribbon, find the Cells group and click Insert followed by Insert Sheet Rows. 3. A new row will be inserted above the current row. Lect.: Abdulbasit Hassan
  • 62.
    To delete arow, do as follows: 1. Select a cell in the row that you want to delete. 2. On the Home ribbon, find the Cells group and click Delete followed by Delete Sheet Rows. 3. The row containing the active cell will be deleted. All the rows below it will move up by one. You can also right-click on the active cell and use the pop-up menu to insert or delete a row. Lect.: Abdulbasit Hassan
  • 63.
    Inserting or deletingcolumns: When you insert a column, the new column will be positioned on the left of the column containing the active cell. 1. Select a cell in the column to the left of which you want to insert a new column. 2. On the Home ribbon, find the Cells group and click Insert followed by Insert Sheet Columns. 3. A new column will be inserted to the left of the current column. Lect.: Abdulbasit Hassan
  • 64.
    To delete acolumn, do as follows: 1. Select a cell in the column that you want to delete. 2. On the Home ribbon, find the Cells group and click Delete followed by Delete Sheet Columns. 3. The column containing the active cell will be deleted. All the columns on its right will move left by one. You can also right-click on the active cell and use the pop-up menu to insert or delete a column. Lect.: Abdulbasit Hassan
  • 65.
  • 66.
    Inserting or deletinga worksheet Lect.: Abdulbasit Hassan
  • 67.
    To insert anew worksheet at the end of the existing worksheets, just click the Insert Worksheet tab at the bottom of the screen. Lect.: Abdulbasit Hassan
  • 68.
    To insert anew worksheet before an existing worksheet, do as follows: 1. Select the worksheet before which you want to insert a new worksheet. 2. On the Home ribbon, find the Cells group and click Insert followed by Insert Sheet. 3. A new worksheet will be inserted before the current worksheet. Lect.: Abdulbasit Hassan
  • 69.
    To delete aworksheet: 1. Select the worksheet that you want to delete. 2. On the Home ribbon, find the Cells group and click Delete followed by Delete Sheet. 3. The current worksheet will be deleted. Lect.: Abdulbasit Hassan
  • 70.
    Moving or copyinga worksheet: Right-click on the worksheet tab, and select Move or Copy from the pop-up menu. A dialog box will open:  The To Book field allows you to move or copy the current worksheet to another workbook.  The Before Sheet field allows you to specify the new position of the worksheet.  The Create a Copy checkbox lets you specify whether the worksheet should be moved or copied. Lect.: Abdulbasit Hassan
  • 71.
    Renaming a worksheet: Right-clickon the worksheet tab, and select Rename from the pop-up menu. Type the new worksheet name and press [ENTER]. Lect.: Abdulbasit Hassan
  • 72.
    The simplest wayto insert, delete, rename, move or copy a worksheet is to right- click on the worksheet tab, and then select the desired option from the pop-up menu. Lect.: Abdulbasit Hassan
  • 73.
  • 74.
    Cell formatting: The iconson the Home ribbon provide you with a variety of formatting options. To apply any of these, just select the cell or cells that you want to format, and then click the desired icon. Commonly used formatting attributes include: Lect.: Abdulbasit Hassan
  • 75.
    The Format Painterallows you to copy formatting attributes from one cell to a range of cells. 1. Select the cell whose formatting attributes you want to copy. 2. Click on the Format Painter icon. 3. Select the cell or range of cells that you want to have the same formatting attributes. The cell values will remain as before, but their format will change. Lect.: Abdulbasit Hassan
  • 76.
    Formatting rows andcolumns:  Any of the cell formatting options above can easily be applied to all the cells contained in one or more rows or columns.  Simply select the rows or columns by clicking on the row or column labels, and then click on the formatting icons that you want to apply. Lect.: Abdulbasit Hassan
  • 77.
    You may alsowant to adjust the width of a column:  To manually adjust the width, click and drag the boundary between two column headings.  To automatically adjust the width, select the required columns, and then in the Cell group on the Home ribbon, select Format, Cell Size, Autofit Column Width. Lect.: Abdulbasit Hassan
  • 78.
     To specifyan exact column width, select the columns, and then in the Cell group on the Home ribbon, select Format, Cell Size, Column Width, and type the value you want. The same procedure uses to adjust the height of a row: Lect.: Abdulbasit Hassan
  • 79.
    Hiding Rows andColumns:  If your spreadsheet contains sensitive data that you don’t want displayed on the screen or included in printouts, then you can hide the corresponding rows or columns.  The cell values can still be used for calculations, but will be hidden from view.  The easiest way to hide or unhide a row or column is to select the row or column heading, right-click to view the pop-up menu, and then select Hide or Unhide.  Alternatively, you can click the Format icon on the Home ribbon, and select the Hide & Unhide option. Lect.: Abdulbasit Hassan
  • 80.
  • 81.
    Keeping row andcolumn headings in view: If you scroll through a lot of data in a worksheet, you’ll probably lose sight of the column headings as they disappear off the top of your “page”. This can make life really difficult – imagine trying to check a student’s result for tutorial 8 in row 183 of the worksheet! And it’s even more difficult if the student’s name in column A has scrolled off the left edge of the window. Lect.: Abdulbasit Hassan
  • 82.
    The Freeze Panesfeature allows you to specify particular rows and columns that will always remain visible as you scroll through the worksheet. And it’s easy to do! Lect.: Abdulbasit Hassan
  • 83.
    Select a cellimmediately below the rows that you want to remain visible, and immediately to the right of the columns that you want to remain visible. For example, if you want to be able to see Rows 1 and 2, and column A, then you would click on cell B3. Lect.: Abdulbasit Hassan
  • 84.
    On the Viewtab, click Freeze Panes, and select the first option. If Freeze Panes has already been applied, then the ribbon option automatically changes to Unfreeze Panes. Lect.: Abdulbasit Hassan
  • 85.
  • 86.
    In this sectionI’m going to explain how to construct a formula, and give you some guidelines to ensure that your formulas work correctly. Lect.: Abdulbasit Hassan
  • 87.
    Creating a formula Rulenumber one: a formula always starts with an equals sign (“=”). This lets Excel know that it’s going to have to work something out. Try it: 1. Click on an empty cell somewhere below the chart you’ve just created. 2. Type each of the following into the formula bar, beginning each time with an equal sign (=), and finally pressing ENTER. • =10+5 to add • =10-5 to subtract • =10*5 to multiply • =10/5 to divide =10+5 (enter) =10-5 (enter =10*5 (enter) =10/5 (enter) Lect.: Abdulbasit Hassan
  • 88.
    Use cell referencesin formulas: Example : let : B2 = 5, B3 = 10, B4 = 15 , find the summation of B2,B3, and B4 in the C4. Solution: 1st method Type in the cell C4 ( = 5+10+15) and then press enter 2nd method: type value of B2 in the cell B2 , B3 in the cell B3 , and B4 in the cell B4. In cell C4, do the following: o type “=” o select cell B2, o type “+” o select cell B3, o type “+” o select cell B4 o press ENTER You see the result in the C4 enter The formula Lect.: Abdulbasit Hassan
  • 89.
    Example : Calculatethe average of the student for three exams. Name 1st exam 2nd exam 3rd exam ahmad 55 77 74 muhammad 67 56 69 ali 34 45 58 alaa 87 87 66 sara 64 55 92 This formula inserted here Lect.: Abdulbasit Hassan
  • 90.
    How formulas areevaluated: Now let’s look at some of the rules for creating formulas: The operators that you need to know are + addition - subtraction * multiplication / division ^ exponentiation (“to the power of”) & to join two text strings together Lect.: Abdulbasit Hassan
  • 91.
    These operations areevaluated in a particular order of precedence by Excel:  Operations inside brackets are calculated first  Exponentiation is calculated second.  Multiplication and division are calculated third.  Addition and subtraction are calculated fourth.  When you have several items at the same level of precedence, they are calculated from left to right. Lect.: Abdulbasit Hassan
  • 92.
    Let’s look atsome examples: = 10 + 5 * 3 – 7 (result: 10 + 15 – 7 = 18) = (10 + 5) * 3 – 7 (result: 15 * 3 – 7 = 38) = (10 + 5) * (3 – 7) (result: 15 * -4 = -60) If you’re not sure how a formula will be evaluated – use brackets! Lect.: Abdulbasit Hassan
  • 93.
    Functions are predefinedformulas that are designed to perform specialized types of calculations. For example, the Sum function is designed to add values in the cells specified. For example =Sum(A1:A5) or =Average(C2:E2) Lect.: Abdulbasit Hassan
  • 94.
  • 95.
  • 96.
  • 97.
  • 98.
  • 99.
  • 100.
  • 101.
    Using AutoSum: Because additionis the most frequently used Excel function, a shortcut has been provided to quickly add a set of numbers: 1. Select the cell where you want the total to appear. 2. Click on the Sum button on the Home ribbon. 3. Check that the correct set of numbers has been selected (indicated by a dotted line). If not, then drag to select a different set of numbers. 4. Press [ENTER] and the total will be calculated. Lect.: Abdulbasit Hassan
  • 102.
  • 103.
    Enter and dragto down Lect.: Abdulbasit Hassan
  • 104.
    Basic functions: Some ofthe most commonly used functions include: SUM() to calculate the total of a set of numbers AVERAGE() to calculate the average of a set of numbers MAX() to calculate the maximum value within a set of numbers MIN() to calculate the minimum value within a set of numbers ROUND() to round a set a values to a specified number of decimal places TODAY () to show the current date IF() to calculate a result depending on one or more conditions Lect.: Abdulbasit Hassan
  • 105.
    So how doyou use a function? A function makes use of values or cell references, just like a simple formula does. The numbers or cell references that it needs for its calculations are placed in brackets after the name of the function. To give a simple illustration: Lect.: Abdulbasit Hassan
  • 106.
    Several popular functionsare available to you directly from the Home ribbon. 1. Select the cell where you want the result of the calculation to be displayed. 2. Click the drop-down arrow next to the Sum button. 3. Click on the function that you want. 4. Confirm the range of cells that the function should use in its calculation. 5. Press [ENTER]. The result of the calculation will be shown in the active cell. Lect.: Abdulbasit Hassan
  • 107.
    As an example,to calculate the average for the following set of tutorial results, you would: 1. Click on cell F3 to make it active. 2. Click on the arrow next to the Sum button, and select Average. 3. Press [ENTER] to accept the range of cells that is suggested (B3:E3). That’s it! You can now copy the formula in cell F3 down to cells F4 and F5 – using relative addressing because you want a different set of tutorial marks to be used for each student. Lect.: Abdulbasit Hassan
  • 108.
    If you wantto use a function that isn’t directly available from the drop- down list, then you can click on More Functions to open the Insert Function dialog box. Another way to open this dialog box is to click the Insert Function icon on the immediate left of the formula bar. The Insert Function dialog box displays a list of functions within a selected function category. If you select a function it will briefly describe the purpose and structure of the function. Lect.: Abdulbasit Hassan
  • 109.
  • 110.
    When you clickthe OK button at the bottom of the window, you’ll be taken to a second dialogue box that helps you to select the function arguments (usually the range of cells that the function should use). Lect.: Abdulbasit Hassan
  • 111.
    The IF() function: TheIF() function checks for a specific condition. If the condition is met, then one action is taken; if the condition is not met, then a different action is taken. For example, you may be reviewing a set of tutorial marks. If a student’s average mark is below 50, then the cell value should be FAIL; so the condition you are checking is whether or not the average result is below 50. If this condition is not met (that is, the average result is 50 or more), then the cell value should be PASS. Lect.: Abdulbasit Hassan
  • 112.
  • 113.
    Let’s see thisin action: The structure of an IF() function is: =IF (condition, result if true, result if false) Using English to describe our example as an IF statement: IF the average mark is less than 50, then display the word “FAIL”, else display the word “PASS”. Now for a real worksheet example. Look at the formula bar in the screenshot below: Lect.: Abdulbasit Hassan
  • 114.
    Do you followhow the formula in cell G4 was constructed? Because the average mark is stored in cell F4, we need to check whether the value in F4 is less than 50. If it is, then the active cell (G4) must display the word “Fail”. If the value in F4 is not less than 50, then the active cell must display the word “Pass”. That’s not really so complicated, is it? Lect.: Abdulbasit Hassan
  • 115.
     You caninclude one function inside another. Nested functions:  In the example above, we first worked out the Average mark, and then the Pass/Fail outcome. But we could have done it all in a single step, by using the following formula in row 3: =IF(AVERAGE(B3:E3) < 50, “FAIL”, “PASS”) =IF(AVERAGE(B3:E3) < 50, “FAIL”, “PASS”) Lect.: Abdulbasit Hassan
  • 116.
    Example: Enter valuesinto the worksheet. Calculate the total point and average of each student Lect.: Abdulbasit Hassan
  • 117.
  • 118.
    USE OF IFWITH SUM Lect.: Abdulbasit Hassan
  • 119.
    AND statement andOR statement Lect.: Abdulbasit Hassan
  • 120.
  • 121.
  • 122.
    Trigonometric Functions These include:SIN, COS and TAN and their inverses ASIN, ACOS and ATAN. All computer applications use radians not degrees for angles in trig functions. Lect.: Abdulbasit Hassan
  • 123.
  • 124.
    Exponential Functions (a) =EXP(2)returns e*. (b) =LN(5) returns the natural logarithm of 5. (c) =LOG1 0(5), =LOG(5, I O ) and =LOG(5) all return the logarithm of 5 to base 10. (d)= LOG(8,2) returns the value 3, which is the logarithm of 8 to base 2. x= 5 log 0.69897 log10= 0.69897 log(5,2) 2.321928 Exp()5 148.4132 Lect.: Abdulbasit Hassan
  • 125.
    Rounding Function Excel providesa number of functions which either truncate or round a value to a required number of digits or to a multiple of some number. Lect.: Abdulbasit Hassan
  • 126.
  • 127.
    SUMIF Function : Thegeneral format is as follow: =SUMIF(range , criteria , sum-range) Lect.: Abdulbasit Hassan
  • 128.
  • 129.
  • 130.
    A number oferrors can arise with formulas and functions. When this happens, Excel displays one of these error values. See next slid. Lect.: Abdulbasit Hassan
  • 131.
    # DIV/O! Divisionby zero. # NAME? A formula contains an undefined variable or function name, or a space between the name of a function and the opening parenthesis. # N/A No value is available. # NULL! A result has no value. # NUM! Numeric overflow; e.g. a cell with =SQRT(Zl) when Z1 has a negative value # REF! Invalid cell reference. # VALUE! Invalid argument type; e.g. a cell with =LN(ZI) when Z1 contains text. Lect.: Abdulbasit Hassan
  • 132.
  • 133.
    To make Matrixoperations in Excel you must have in mind that: -Instead of using the ENTER (Return) key, you have to use the CTRL-Shift-ENTER keys simultaneously. Excel uses this command to know that we are making MATRIX operations. Lect.: Abdulbasit Hassan
  • 134.
    - List ofCommands Lect.: Abdulbasit Hassan
  • 135.
    Matrix Multiplication Step 1.Set up the matrices: Suppose we have 2 matrices: A and B. We typed them in an excel worksheet as it’s shown in Picture 1. Lect.: Abdulbasit Hassan
  • 136.
    Step 2. Wewant to Multiply A*B, then with the mouse (or keyboard) “paint” the cells where the A*B matrix will be placed. (Note that you must know the dimension of the new matrix). In our example the A*B matrix will be 4*4 (since A is 4*4 and B is also 4*4), then we “paint” with the mouse a 4*4 matrix for the multiply output as shown in the picture 2. Lect.: Abdulbasit Hassan
  • 137.
     In thiscase our new matrix (A*B) will be in the cells : B9..E12. Lect.: Abdulbasit Hassan
  • 138.
    Step 3: Wecan see that the cells for matrix (A*B) is selected and we started typing the command, at this point we typed: =mmult( and using the mouse or the keyboard we have painted (selected) the matrix A. Lect.: Abdulbasit Hassan
  • 139.
    Step 4. Now,type a “comma” (,) and go to paint (select) matrix B, (After that, close parenthesis). See Picture 4. Lect.: Abdulbasit Hassan
  • 140.
    Step 5. Thelast step, is the most important: Press CTRL- SHIFT-ENTER, and there you will have you’re A*B Matrix. Lect.: Abdulbasit Hassan
  • 141.
    Matrix Inversion Step 1.Let’s suppose that we want to invert matrix A, defined in picture 1., The first thing to do is to “paint” (select) the cells for the inverse output, as shown in following picture. Lect.: Abdulbasit Hassan
  • 142.
    Step 2. Typethe command to invert the matrix: +minverse(…..) You can use the mouse or keyboard to select the matrix. Lect.: Abdulbasit Hassan
  • 143.
    Step 3. Justpress CTRL-SHIFT-ENTER and you will get you’re A-1 Note: It’s not necessary to close the parenthesis. Lect.: Abdulbasit Hassan
  • 144.
    Determinant of aMatrix Step 1. To get the determinant of a matrix simply locate the cursor in any cell, (the determinant is only one value, then it uses one cell). Step 2. Type the command and select the matrix. Lect.: Abdulbasit Hassan
  • 145.
    Step 3.. PressCTRL-SHIFT-ENTER. You will have the determinant. Note: it’s not necessary to close the parenthesis. Lect.: Abdulbasit Hassan
  • 146.
    Summation of matrices: 1-select the cells to print the summation output ( as shown in red cells) 2- insert the Press CTRL-SHIFT-ENTER+B1:D3+G1:I3 Lect.: Abdulbasit Hassan
  • 147.
    A nonlinear programmingmodel consists of a nonlinear objective function and nonlinear constraints : Lect.: Abdulbasit Hassan
  • 148.
    The “Solver” routinein Excel can be used to determine the least squares best estimate for parameter values in non-linear equations. The following example demonstrates its use. The user must determine the most likely type of the curve that will fit the data, such as : a0 +a1x+a2x^2+……. = c, or aln(x)^b =c or others Lect.: Abdulbasit Hassan
  • 149.
  • 150.
  • 151.
  • 152.
  • 153.
  • 154.
  • 155.
  • 156.
  • 157.
    5000 6000 7000 8000 9000 10000 11000 12000 13000 14000 0 50 100150 200 Predict Actual Sales Number of Ads Lect.: Abdulbasit Hassan
  • 158.
  • 159.
    The task nowis to determine the best values for k1 and k2. However, the expression of [B] is non-linear, and not easily transformed into a linear form. We can, however, use “Solver” to accomplish the same task. Lect.: Abdulbasit Hassan
  • 160.
    To start weneed to make initial estimates for both k1 and k2. Let’s use 1 and 2. (Note: We don’t want to use the same value for both k1 and k2 since that would make the denominator term in the expression for [B] zero.) With these two values we can use the expression for [B] to calculate values for the concentration of B. Lect.: Abdulbasit Hassan
  • 161.
  • 162.
    The objective isto have the cell containing the value for the RSS be as small as possible, i.e., a least squares analysis. To do this we will allow Excel to change the values in the cells E3 and E4, i.e., the values of k1 and k2. Lect.: Abdulbasit Hassan
  • 163.
    After specifying theobjective, our goal (minimize), and the cells to change we can click on Solve. This will give us the following results. Lect.: Abdulbasit Hassan
  • 164.
    Solving system oflinear equations : Lect.: Abdulbasit Hassan
  • 165.
    3- [X] =[A] * [b]-1 Lect.: Abdulbasit Hassan
  • 166.
    Let's say wewish to solve this system of equations: 2v + 3w – x + 3y + z = 22 3v + w – 4x + 3y – z = 0 v – 2w + 3x – 4y + 2z = 0 v + 2w – 3x + 2y – 2z = –6 2v + 4y – 5z = –7 Example: Solve the following equations . Lect.: Abdulbasit Hassan
  • 167.
  • 168.
    1. Enter thedata for the coefficient matrix and the constant matrix (as shown). Lect.: Abdulbasit Hassan
  • 169.
    2. Find theinverse of the coefficient matrix: • Highlight: cells A9 to E13 • Type: =MINVERSE(A2:E6) • Remember to CTRL+SHIFT+ENTER. Lect.: Abdulbasit Hassan
  • 170.
    3. Multiply the"inverse matrix" by the constant matrix: • Highlight: cells G9 to G13 • Type: = MMULT(A9:E13,G2:G6) • Remember to CTRL+SHIFT+ENTER. the solutions are: v = 1, w = 2, x = 3, y = 4, z = 5Lect.: Abdulbasit Hassan
  • 171.
    a + 2b+ 3c = 1 a –c = 0 2a + b = 1.25 Solution : Example: Solve the following equations using matrix functions in Excel. Coefficients Constant Lect.: Abdulbasit Hassan
  • 172.
    Invert the firstmatrix Select cells for the inverted matrix result for a matrix the same size as the original matrix. The use the function MMINVERSE to invert it. Once you specify the array to invert, use CTRL-CHIFT-ENTER instead of closing out the function: Lect.: Abdulbasit Hassan
  • 173.
    Step 3: Multiplymatrices You multiply matrices using the MMULTI function, selecting the cells that you want the results (in this example, cells B12, B13 and B14: Lect.: Abdulbasit Hassan
  • 174.
    As with theMINVERSE function, use CTRL-SHIFT-ENTER to produce the results Lect.: Abdulbasit Hassan
  • 175.
  • 176.
  • 177.
    • Optimization problemsare real world problems we encounter in many areas such as mathematics, engineering, science, business and economics. • In these problems, we find the optimal, or most efficient, way of using limited resources to achieve the objective of the situation. • This may be maximizing the profit, minimizing the cost, minimizing the total distance travelled or minimizing the total time to complete a project. •For the given problem, we formulate a mathematical description called a mathematical model to represent the situation. The model consists of following components:Lect.: Abdulbasit Hassan
  • 178.
    • Decision variables:such as X1, X2, X3,…..Xn. These variables represent unknown quantities • Objective function: The objective of the problem is expressed as a mathematical expression in decision variables. The objective may be maximizing the profit, minimizing the cost, distance, time, etc. • Constraints: The limitations or requirements of the problem are expressed as inequalities or equations in decision variables. Lect.: Abdulbasit Hassan
  • 179.
    If the modelconsists of a linear objective function and linear constraints in decision variables, it is called a linear programming model. A nonlinear programming model consists of a nonlinear objective function and nonlinear constraints. Linear programming: It is a technique used to solve models with linear objective function and linear constraints. The Simplex Algorithm developed by Dantzig (1963) is used to solve linear programming problems. Lect.: Abdulbasit Hassan
  • 180.
    Figure 1. SolverButton Lect.: Abdulbasit Hassan
  • 181.
    If the “Analysis”toolbar does not appear, or does not have the “Solver” button, the add-in must first be activated: 1. Click on the “Office” button in the top left corner: 2. Choose “Excel Options” (Figure 2) 3. Choose “Add-Ins” in the vertical menu on the left (Figure 3) 4. Pick “Excel Add-Ins” from the “Manage” box and click “Go…”(Figure 3) 5. Check “Solver Add-In” and press “OK” (Figure 4) 6. The Solver add-in should now appear in the Analysis toolbar (Figure 1) Lect.: Abdulbasit Hassan
  • 182.
    Figure 2. MSOffice Menu Lect.: Abdulbasit Hassan
  • 183.
    Figure 3. ExcelOptions Menu Lect.: Abdulbasit Hassan
  • 184.
    Figure 4. Add‐InsMenu Lect.: Abdulbasit Hassan
  • 185.
    Example : Useexcel solver to solve the following equations Initial guess Coefficients of objective and constraints Constraints Initial condition Lect.: Abdulbasit Hassan
  • 186.
    Select solver fromribbon and this window will appear: Insert target cell D4(optimize the objective function Max or Min or value of may be selected Initial value of x1,x2 constraints should be specified by clicking add button Lect.: Abdulbasit Hassan
  • 187.
    The Set TargetCell box should contain the cell location of the objective function for the problem under consideration If Value is selected, the Solver will attempt to find a value of the Target Cell equal to whatever value is placed in the box just to the right of this selection. The By Changing Cells box should contain the location of the decision variables for the problem. Finally, the constraints must be specified in the Subject to the Constraints box by clicking on Add. Change allows you to modify a constraint already entered and Delete allows you to delete a previously entered constraint. Lect.: Abdulbasit Hassan
  • 188.
    Reset All clearsthe current problem and resets all parameters to their default values. Options invokes the Solver options dialog box (to be discussed later). The Guess selection is not particularly useful for our purposes and will not be discussed here. When the Add button is clicked, the Add Constraint dialog box appears: Lect.: Abdulbasit Hassan
  • 189.
    Clicking on theCell Reference Box allows you to specify a cell location (usually a cell with a formula). The constraint type may be set by selecting the down arrow (<=, >=, =, int, where int refers to integer, or bin, where bin refers to binary). The Constraint box may contain a formula of cells, a simple cell reference, or a numerical value. Lect.: Abdulbasit Hassan
  • 190.
    The Add buttonadds the currently specified constraint to the existing model and returns to the Add Constraint dialog box The OK button adds the current constraint to the model and returns you to the Solver Dialog box. Lect.: Abdulbasit Hassan
  • 191.
    Note: Solver doesnot assume nonnegative of the decision variables. The options dialog box discussed below allows you to specify that the variables must be nonnegative. Max Time allows you to set the number of seconds before Solver will stop. Iterations, similar to Max Time, Precision is the degree of accuracy of the solver algorithm If you seek the optimal solution, Tolerance must be set to zero If run time becomes too long, you may wish to set this to a higher value (if you are willing to accept a solution within this percent of optimality). Lect.: Abdulbasit Hassan
  • 192.
    If your modelis a linear program or a linear integer program, you should check Assume Linear Model. Assume Non-Negative should be checked if you want all of your changing cell values to be ≥0. Click OK Lect.: Abdulbasit Hassan
  • 193.
    Select the reports & clickOK Lect.: Abdulbasit Hassan
  • 194.
    You can seethe report in the next worksheet Lect.: Abdulbasit Hassan
  • 195.
    There are threecategories of information needed for solving an optimization problem in Excel: an Objective Function, Decision Variables, and Constraints. Example: Lect.: Abdulbasit Hassan
  • 196.
  • 197.
  • 198.
  • 199.
  • 200.
  • 201.
  • 202.
  • 203.
    Goal Seek: GoalSeek is one tool in a suite of commands used in what-if analysis, which is the process of changing the values in cells to see how those changes affect the outcome o formulas on the worksheet. Goods: Robust, fast, and easy to use. Can work on non-linear problems Bads: Goal Seek is not an optimization algorithm, but rather a regulated form of iterated guessing. Sometimes doesn’t work. Can miss optimal solutions • G/S simply automates the ‘trial – and – error’ approach to problem solving. • In strict terms, Goal Seek is Guessing. Lect.: Abdulbasit Hassan
  • 204.
    Invoking Goal Seek Youcan use the G/S feature available by clicking on the Data tab in the top menu bar, then looking across to the What-If Analysis icon. Lect.: Abdulbasit Hassan
  • 205.
  • 206.
    Example : Wewill use Goal Seek to find a number to make the sum equal to 100: B2 = 25; B3 = 40; B4 = SUM(B2:B3) Goal Seek will change the value in cell B3 incrementally until the sum in B4 equals 100. Lect.: Abdulbasit Hassan
  • 207.
  • 208.
  • 209.
    Ex: uses ‘GoalSeek’ and ‘Solver’ to find the x that makes f (x) zero: Lect.: Abdulbasit Hassan
  • 210.
  • 211.
  • 212.
  • 213.
    H.W: Solve theproblem using Solver function , starting with Vi= 2.279. Lect.: Abdulbasit Hassan
  • 214.
    Root Finding UsingSolver Lect.: Abdulbasit Hassan
  • 215.
    In this section,we will go through several examples to illustrate the procedure of using a spreadsheet such as Excel* to approximate the real roots of linear and non-linear equations Quadratic Equation: In this exercise we will find the roots of 2x^2- 5x - 12 = 0 using Goal Seek. The plot in Figure below will help us understand which solution Microsoft Excel finds. Lect.: Abdulbasit Hassan
  • 216.
  • 217.
  • 218.
    Cubic Equation: 2x2+ x2 - 246x + 360 = 0 In this exercise we will set up a worksheet that may be used to solve a cubic equation Lect.: Abdulbasit Hassan
  • 219.
    Now we areready to use the worksheet. Note that the starting values shown in D4:D6 are not quite arbitrary; they have been chosen to give the reader three roots to the function. In ‘real’ cases, the users will need to experiment a little to find satisfactory starting values. Lect.: Abdulbasit Hassan
  • 220.
    Roots of aCubic Equation with Solver Lect.: Abdulbasit Hassan
  • 221.
    The Solver Add-Inis much more powerful than Goal Seek. It was originally designed for optimization problems (problems that are the realm of operational research experts) but it is useful for root finding and similar mathematical problems. It differs from Goal Seek in a number of significant ways. 2x2 + x2 - 246x + 360 = 0 In this exercise we use Solver to find the roots of the cubic equation Lect.: Abdulbasit Hassan
  • 222.
    Open Solver dialogbox as shown in the next slid Lect.: Abdulbasit Hassan
  • 223.
    $D$4 $E$4 Click on theSolve button. After a second or two, Solver will report whether or not it has found a solution; see Figure below. Click the ‘OK’ button. With a starting value of -20, your first solution should be( - 12). Lect.: Abdulbasit Hassan
  • 224.
    Repeat the sameprocedure with E5 as the Set Target Cell and D5 as the By Changing Cell to find the second root of the cubic equation Repeat the same procedure with E6 as the Set Target Cell and D6 as the By Changing Cell to find the third root of the cubic equation. Lect.: Abdulbasit Hassan
  • 225.
    Roots of equationwith constraints Suppose we have to find a root for the equation : Let us further suppose that the problem that gave rise to this equation tells us that the value of x which interests us lies between 1 and 2. Lect.: Abdulbasit Hassan
  • 226.
    Solution : Insertthe equation to the cell as shown below: Lect.: Abdulbasit Hassan
  • 227.
    1st root Change theconstraint to find the other two values. One of them is negative so the constraint D4 <= 0 will be appropriate. The other lies between 0 and 1. With a starting value of 0 it may find a solution with no constraints. Good hunting! Lect.: Abdulbasit Hassan
  • 228.
  • 229.
  • 230.
  • 231.
    A system oflinear equations is a set of n linear equations in which each equation contains up to n variables or ‘unknowns’. A simple example might be to find x and y given: Open excel work sheet and insert the data as shown below: C7=2*B7+3*B8-3 C8=3*B7+2*B8-5 D7=C7^2 D8=C8^2 D9=SUM(D7:D8) Lect.: Abdulbasit Hassan
  • 232.
  • 233.
  • 234.
    H.W. Solve thefollowing system equation using Solver function. Lect.: Abdulbasit Hassan
  • 235.
    Non - linearSimultaneous Equations Solver Lect.: Abdulbasit Hassan
  • 236.
    Non-linear systems ofequations are far more difficult to solve with paper and pencil, requiring a knowledge of calculus. Let's see if Solver is capable of coming to our aid. We will solve the nonlinear simultaneous equations: C8=1*B8^2+2*B9^2-22 C9=-2*B8^2+B8*B9-3*B9+11 D8=C8^2 D9=C9^2 D10=SUM(D8:D9) Lect.: Abdulbasit Hassan
  • 237.
  • 238.
  • 239.
    With starting valuesof 1 for both variables Solver suggests an approximate solution with x = 1.99994 and y = 3.00004. The function evaluate to values somewhat larger than 0. Experimentation shows x = 2 and y = 4 is an exact solution. Of course, since the equations contain 2 and?, multiple solutions are possible. Starting with 0 for each variable, Solver reported x = 0.2763 and y = 3.3 109 as a solution. H.W. : Try that with starting with guess values of 1,1 Lect.: Abdulbasit Hassan
  • 240.
    Plotting Data withMicrosoft Excel Lect.: Abdulbasit Hassan
  • 241.
    Description: We willfocus on Excel features for graphs and charts. We will discuss multiple axes, formatting data, choosing chart type, adding notes and images, and customizing your charts. We will discuss how to export charts to other formats including Word, PowerPoint and PDF. Charts allow you to present information contained in the worksheet in a graphic format. Excel offers many types of charts including : Column, Line, Pie, Bar, Area, Scatter and more. To view the charts available click the Insert Tab on the Ribbon. Lect.: Abdulbasit Hassan
  • 242.
  • 243.
    What is anXY or Scatter Plot? An XY or scatter plot either shows the relationships among the numeric values in several data series or plots two groups of numbers as a single series of XY coordinates. It can show uneven intervals or clusters of data and is commonly used for scientific data. How to Create a Scatter Plot In this example we plot two series values in a scatter plot as a single group of XY coordinates. To create this scatter plot first arrange the data to plot in rows or columns. In this example, the data is arranged in rows. Lect.: Abdulbasit Hassan
  • 244.
    1- Insert thedata in the workbook as shown below: Exp. Press(bara) Time ads (s). Q purg (L/min) Qprod(L/min) O2% 1 2 20 1 0.1 58.2 2 2 20 1 0.5 54.2 3 2 20 1 0.75 52.3 4 2 20 1 1 50.5 5 3 20 1 0.1 63.1 6 3 20 1 0.5 61.3 7 3 20 1 0.75 57.6 8 3 20 1 1 54.3 9 4 20 1 0.1 66.4 10 4 20 1 0.5 64.3 Lect.: Abdulbasit Hassan
  • 245.
    2- Click inserttab from ribbon charts: 1- click 2- click Lect.: Abdulbasit Hassan
  • 246.
  • 247.
  • 248.
  • 249.
  • 250.
  • 251.
  • 252.
    Click to closethe Click to ad curve Lect.: Abdulbasit Hassan
  • 253.
    To add newcur the figure Lect.: Abdulbasit Hassan
  • 254.
  • 255.
  • 256.
    0 10 20 30 40 50 60 70 0 0.2 0.40.6 0.8 1 1.2 2 bar 3 bar Format the figure Lect.: Abdulbasit Hassan
  • 257.
    Format the figure 1-format the curve Right click and select Lect.: Abdulbasit Hassan
  • 258.
    Select any option toformat the curve Lect.: Abdulbasit Hassan
  • 259.
    Curve fitting Right click andselect Lect.: Abdulbasit Hassan
  • 260.
    select any typeof the curve to fit your data. To show the equation of the curve fitting and intercept point and R Lect.: Abdulbasit Hassan
  • 261.
    Format axes Right click andselect Lect.: Abdulbasit Hassan
  • 262.
  • 263.
    Anatomy of figure Figure4. Isotherms of pure nitrogen on zeolite 5A. Y-axis Axis label Caption X-axis Symbols Major tick Legend Lect.: Abdulbasit Hassan