Zakład Genetyki Medycznej
Metabolic disorders
1. Organic acidemias
2. Amino acid metabolism disorders
3. Urea cycle metabolism disorders
4. Fatty acid metabolism disordres
5. Carbohydrate metabolism disorders
6. Peroxisomal disorders
7. Purine metabolism disorders
8. Mineral metabolism disorders
9. Mucopolysaccharidoses
10. Lipid storage disorders
11. Hemochromatosis
12. Cystic fibrosis
Zakład Genetyki Medycznej
Organic acidemias – MSUD
1. Major phenotypic expression:
• Overwhelming illness in the first days of life with lethargy progressive
to coma, opisthotonus, and convulsions;
• recurrent episodes leading to developmental delay;
• characteristic maple syrup odor, branched-chain amino acidemia and
aminoaciduria;
• branched-chain oxoaciduria; deficiency of branched-chain oxoacid
dehydrogenase.
Zakład Genetyki Medycznej
MSUD - introduction
• accumulation in body fluids elevated quantities of leucine, isoleucine,
and valine and their corresponding oxoacids
• unusual odor quite like that of maple syrup
Zakład Genetyki Medycznej
Metabolic pathways in the catabolism of leucine, isoleucine and valine.
The site of the defect is shown at the oxo-acid step in each of the three
pathways.
Zakład Genetyki Medycznej
MSUD – clinical features
• Infants with classic MSUD - normal at birth, but remain well for only a
few days
• Vomiting or difficulty to feed - early symptoms
• By the end of the first week - lethargic, progressive neurologic
deterioration
• periods of flaccidity alternating with hypertonicity
• abnormal eye movements, convulsions occur regularly
• Finally apnea, coma, and death
Zakład Genetyki Medycznej
MSUD – genetics and pathogenesis
• an autosomal recessive trait
• all ethnic groups
• The fundamental defect is in the activity of the branchedchain oxoacid
dehydrogenase multienzyme complex: E1- a decarboxylase; E2 - an
acyl transferase; E3 - a flavoprotein lipoamide dehydrogenase
• enzyme activity can be measured in human liver, kidney and
leukocytes, cultured fibroblasts or lymphoblasts and amniotic fluid
cells
• mutations scanning with allele-specific oligonucleotide probes
Zakład Genetyki Medycznej
MSUD - genetics
• The E1 gene – chromosome 19q13.1-13.2
• E1Beta - 6p21-22
• E2 - 1p31
• E3 - 7q31-32
• Mutations occur in each gene, but a majority in the E1 and E2 genes.
• The mutation in the Mennonite population (MSUD is common) is a T to
A transition - yields a single missense tyrosine to asparagine change at
position 393 (Y393N)
Zakład Genetyki Medycznej
MSUD - screening
• Rapid screening for MSUD - tandem MS - forms the basis for all of the
neonatal screening programs for this disease.
Zakład Genetyki Medycznej
Amino acid metabolism disorders - Phenylketonuria
Zakład Genetyki Medycznej
What is it?
autosomal recessive disorder (commonly known as PKU)
increases the levels of an aminoacid called phenylalanine in the blood
phenylalanine is an indispensable amino acid – obtained through diet
If not treated, phenylalanine builds up to harmful levels in the body,
causing intellectual disability and other serious health problems.
Zakład Genetyki Medycznej
Zakład Genetyki Medycznej
What are the symptoms?
the signs and symptoms vary from mild to severe.
classic PKU - most severe form
without treatment – development of permanent intellectual disability – after few
months
common: seizures, delayed development, behavioral problems, and psychiatric
disorders
musty or mouse-like odor - side effect of excess phenylalanine in the body.
lighter skin and hair than unaffected family members
skin disorders - eczema.
less severe forms - variant PKU and non-PKU hyperphenylalaninemia
smaller risk of brain damage.
treatment not required
Zakład Genetyki Medycznej
Pregnancy
Babies born to mothers with PKU and uncontrolled phenylalanine levels -
significant risk of intellectual disability due to exposure to very high levels of
phenylalanine before birth
low birth weight
grow slowly
heart defects or other heart problems
small head size (microcephaly)
behavioral problems
risk of pregnancy loss.
Zakład Genetyki Medycznej
How common is it?
The occurrence of PKU varies among ethnic groups and geographic regions
worldwide
In the United States, PKU occurs in 1 in 10,000 to 15,000 newborns.
In Poland 1 in 8000 newborns
Most cases of PKU are detected shortly after birth by newborn screening, and
treatment is started promptly – result: the severe signs and symptoms of
classic PKU are rarely seen.
Zakład Genetyki Medycznej
Testing
Plasma phenylalanine concentration:
• The main route for phenylalanine metabolism - hydroxylation of
phenylalanine to tyrosine by phenylalanine hydroxylase (PAH).
• The diagnosis of primary phenylalanine hydroxylase deficiency (PAH
deficiency) - detection of an elevated plasma phenylalanine (Phe)
concentration and evidence of normal BH4 cofactor metabolism.
• Individuals with PAH deficiency - plasma phenylalanine (Phe) concentrations
persistently higher than 120 µmol/L (2 mg/dL) in the untreated state
Zakład Genetyki Medycznej
Testing
Newborn screening:
• PAH deficiency is most commonly diagnosed upon routine screening of
newborns.
• PAH deficiency can be detected in virtually 100% of cases by newborn screening
utilizing the Guthrie card bloodspot obtained from a heel prick.
Zakład Genetyki Medycznej
Testing
Three methods of newborn screening currently in use:
• Guthrie card bacterial inhibition assay (BIA), a time-tested, inexpensive,
simple, and reliable test
• Fluorometric analysis, a reliable quantitative and automated test which
produces fewer false positive test results than the BIA
• Tandem mass spectrometry (MS), the same benefits as fluorometric analysis,
can also measure tyrosine concentration, and be useful in interpreting Phe
concentration. Can be used to identify numerous other metabolic disorders on
the same sample
Zakład Genetyki Medycznej
Clinical testing
• Targeted mutation analysis.
A panel of four to 15 common point mutations and very small deletions -
detection rate of approximately 30%-50%.
• Mutation scanning.
detects virtually all point mutations in the PAH gene. Mutation scanning by
DHPLC - a fast and very efficient method to detect locus-specific point mutations
• Sequence analysis.
Sequencing of all 13 exons - mutation detection rate of about 99%.
• Duplication/deletion analysis.
Comparative multiplex dosage analysis - useful in detecting large duplications
or deletions when no mutations have been identified by mutation scanning or
sequence analysis.
Zakład Genetyki Medycznej
Prevalence
Zakład Genetyki Medycznej
Treatment of Manifestations
• Restriction of dietary phenylalanine.
normalization of the concentrations of Phe and Tyr in the blood
Phe concentrations of 120-360 µmol/L (2-6 mg/dL) or 40-240 µmol/L (1-4 mg/dL)
- regarded as safe.
A diet restricted in Phe - initiated as soon as possible after birth and continued
at least into adolescence
The diet must be carefully monitored so that growth and nutritional status are
unaffected
• Supplementation with BH4.
many individuals with PAH deficiency - responsive to the 6R-BH4 stereoisomer in
pharmacologic doses (20 mg/kg daily in divided oral doses)
the 6R-BH4 enhances in vivo phenylalanine hydroxylation and lowers plasma
phenylalanine concentration with improved tolerance of dietary phenylalanine
Zakład Genetyki Medycznej
Treatment of Manifestations
• Treatment in infancy.
A Phe-restricted diet
Breastfeeding with Phe-free formula
Intake of tyrosine and total amino acids
Avoid long periods of low blood Phe concentration - harmful to brain
development.
• Treatment in childhood.
Total amino acid consumption of 2 g/kg/day, 25 mg tyrosine/kg/day.
• Treatment in adolescence and adulthood.
Various
Zakład Genetyki Medycznej
Surveillance
• Plasma Phe and Tyr concentrations - monitored regularly
• No recommendations for surveillance
Zakład Genetyki Medycznej
What to avoid?
• Aspartame - an artificial sweetener in widespread use - contains phenylalanine
Zakład Genetyki Medycznej
Molecular Genetics
• Gene symbol: PAH
• Chromosomal locus: 12q23.2
• Protein name: phenylalanine-4-hydroxylase
Zakład Genetyki Medycznej
Normal allelic variants
• 13 exons
• 90 kilobases
• 2.4-kb mature messenger RNA
• 31 different polymorphisms – neutral effect
Zakład Genetyki Medycznej
Pathologic allelic variants
• 500 different disease-causing mutations
• Mutations: missense, splice-site, and nonsense mutations, small deletions, and
insertions
Zakład Genetyki Medycznej
Alkaptonuria
• deficiency of homogentisate 1,2-dioxygenase - an enzyme that converts
homogentisic acid (HGA) to maleylacetoacetic acid in the tyrosine degradation
pathway.
• major features: HGA in urine, ochronosis (bluish-black pigmentation in
connective tissue), arthritis of the spine and joints.
• oxidation of the HGA - melanin-like product – dark urine upon standing
• ochronosis: after age 30 years;
• arthritis: third decade.
• other manifestations: pigment deposition, aortic or mitral valve calcification or
regurgitation and occasionally aortic dilatation, renal stones, and prostate
stones.
Zakład Genetyki Medycznej
Zakład Genetyki Medycznej
Diagnosis/testing
• detection of a significant amount of HGA in the urine by GCMS
• the amount of HGA excreted per day - between 1-8 g
• a normal 24-hour urine sample - 20-30 mg of HGA
Zakład Genetyki Medycznej
Management
• Treatment of manifestations:
management of joint pain tailored to the individual;
physical and occupational therapy - maintain muscle strength and flexibility;
knee, hip, and shoulder replacements when needed;
surgical intervention for prostate stones and renal stones as needed.
• Surveillance:
in individuals over age 40 years - echocardiography to detect aortic dilation,
aortic or mitral valve calcification, and regurgitation; CT to detect coronary
artery calcification.
• Agents/circumstances to avoid: physical stress to the spine and large joints,
heavy manual labor or high-impact sports - reduce progression of severe
arthritis
Zakład Genetyki Medycznej
Genetic counseling
• autosomal recessive disease
• at conception - sib of an affected individual:
25% chance of being affected
50% chance of being an asymptomatic carrier
25% chance of being unaffected and not a carrier
Zakład Genetyki Medycznej
Molecular Genetic Testing
• HGD - the gene encoding homogentisate 1,2-dioxygenase
Zakład Genetyki Medycznej
Normal allelic variants
• The normal HGD gene
3q21-q23
54.3 kb
14 exons
1715-bp transcript
Zakład Genetyki Medycznej
Pathologic allelic variants
• 67 mutations in HGD have been reported
• The mutations are distributed throughout the HGD gene sequence.
• The majority of mutations: missense, but nonsense, frame shift, and splice-site
mutations do occur
Zakład Genetyki Medycznej
Normal gene product
• homogentisate 1,2-dioxygenase - an enzyme in the phenylalanine/tyrosine
degradation pathway
• 445 amino acids
• expressed in the liver and kidney, small intestine, colon and prostate
• Homogentisate 1,2-dioxygenase functions in the metabolism of HGA by
catalyzing an oxidative cleavage of the benzene ring to yield maleylacetoacetic
acid. It requires oxygen, ferrous iron, and sulfhydryl groups
Zakład Genetyki Medycznej
Disorders of fatty acid oxidation - Medium chain acyl
CoA dehydrogenase (MCAD)
• MAJOR PHENOTYPIC EXPRESSION
• Hypoketotic hypoglycemia, myopathy, cardiomyopathy, sudden infant
death syndrome, hyperammonemia, hyperuricemia, elevated creatine
kinase, dicarboxylic aciduria
• elevated levels of octanoyl and hexanoylcarnitine
• deficient activity of medium chain acyl CoA dehydrogenase
• mutation in the gene, especially A G 985
→
Zakład Genetyki Medycznej
MCAD
• most common disorder of fatty acid oxidation
• 1 in 6000 to 10 000 caucasian births
2 general types of presentation:
• The first - hypoketotic hypoglycemia is the clinical picture of Reye
syndrome
• The second - chronic disruption of muscle function with symptoms
relevant to myopathy or cardiomyopathy, including weakness,
hypotonia, congestive heart failure, or arrhythmia
• Another presentation is with the sudden infant death syndrome (SIDS)
Zakład Genetyki Medycznej
MCAD - genetics
• MCAD deficiency is autosomal recessive
• The gene is on chromosome 1 - ACADM
• A single mutation from A to G (985), leading to a lysine (K) to glutamic
acid (E) change in residue 329 of the protein, accounts for virtually all
of the patients studied.
Zakład Genetyki Medycznej
MCAD - Prevalence
• MCAD deficiency is prevalent in individuals of European (especially
northern) descent.
• The overall frequency of the disorder is between 1:4,900 and 1:17,000;
Based on newborn screening programs worldwide, the incidence of
MCAD deficiency has been defined in:
Northern Germany (1:4,900 newborns)
Southern Germany (1:8,500 newborns)
New South Wales, Australia (1:25,000 newborns)
USA (1:15,700 newborns)
Taiwan (~1:700,000 live births)
Japan (1:51,000 live births)
Zakład Genetyki Medycznej
Treatment of Manifestations
• reversal of catabolism and sustained anabolism by provision of simple
carbohydrates by mouth (for example, glucose tablets, or sweetened,
non-diet beverages)
• Hypoglycemia must be avoided by frequent feedings to avoid
catabolism, if necessary by intravenous administration of glucose
Zakład Genetyki Medycznej
Carbohydrate metabolism - galactosemia
MAJOR PHENOTYPIC EXPRESSION
• hepatomegaly
• jaundice
• vomiting
• failure to thrive
• cataracts
• mental retardation
• deficiency of galactose-1-phosphate uridyl transferase
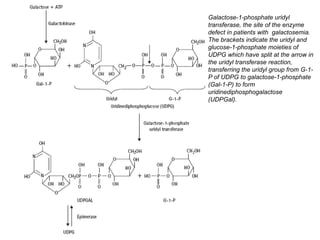
Galactose-1-phosphate uridyl
transferase, the site of the enzyme
defect in patients with galactosemia.
The brackets indicate the uridyl and
glucose-1-phosphate moieties of
UDPG which have split at the arrow in
the uridyl transferase reaction,
transferring the uridyl group from G-1-
P of UDPG to galactose-1-phosphate
(Gal-1-P) to form
uridinediphosphogalactose
(UDPGal).
Zakład Genetyki Medycznej
Galactosemia - clinical manifestations
• appear within days of birth or of the initiation of milk feedings -
increase in severity in the first months of life
• vomiting and jaundice - develop a few days after milk feedings are
begun
• anorexia, failure to gain weight or to increase in length, or even weight
loss
• hepatomegaly - constant finding on examination
• edema, ascites
• hypoprothrombinemia and bleeding.
• splenomegaly
• fatal - if milk feedings are continued
Zakład Genetyki Medycznej
Galactosemia - sepsis
• sepsis neonatorum - most commonly E. coli
• complications of sepsis - osteomyelitis and meningitis
• gangrene
• impaired granulocyte function
Zakład Genetyki Medycznej
Galactosemia - genetics
• autosomal recessive trait
• the enzyme defect - uridyl transferase - can be detected in the
erythrocyte or in cultured fibroblasts and amniotic cells, leukocytes
and liver
• in patients with classic galactosemia, the activity of the enzyme is
virtually completely absent
• Incidence rates 1:55000 (Duarte variant 1 in 3000-4000 but no clinical
manifestations)
• 9p13 – transferase gene (GALT)
• cDNA – 3.9kb
• neonatal screening in the US
Zakład Genetyki Medycznej
Galactosemia – most common mutations
Protocol for
galactosemia
Zakład Genetyki Medycznej
Galactose
• Galactose structure is identical to that of glucose except for the
position of the hydroxyl on carbon 4
• Lactose - the principal sugar of mammalian milks - predominant
dietary source of galactose; it is a disaccharide in which glucose and
galactose are linked in an -1,4-glucosidic bond in which an oxygen
bridge connects carbon 1 of galactose and carbon 4 of glucose
• The pathogenesis of most of the clinical manifestations of
galactosemia is the accumulation of Gal-1-P in tissues
• Treatment – exclusion of galactose from the diet
Zakład Genetyki Medycznej
Purine metabolism – Lesch Nyhan disease
MAJOR PHENOTYPIC EXPRESSION
• retardation of motor development
• spasticity
• involuntary movements
• self-injurious behavior
• hyperuricemia
• uricosuria
• urinary tract calculi
• nephropathy
• tophi
• gouty arthritis
• deficient activity of hypoxanthine guanine phosphoribosyl transferase
(HPRT)
Zakład Genetyki Medycznej
Hypoxanthine-guanine phosphoribosyl transferase
Zakład Genetyki Medycznej
Lesch-Nyhan disease
• male infants - normal at birth, develop normally for the first 6 to 8
months
• first sign - orange crystals or orange sand in the diapers (crystalluria)
• defective motor development - evident in the second six months of life
• failure to reach developmental milestones
• patients do not learn to walk, and must have some support even to sit
unaided
• but do learn to sit in a chair if fastened securely
• involuntary movements - 100 percent of patients
• self-injurious behaviour
Zakład Genetyki Medycznej
Tay-Sachs disease
• Disease characteristics:
Hexosaminidase A deficiency
neurodegenerative disorder caused by intralysosomal storage of the specific
glycosphingolipid -GM2 ganglioside.
• Tay-Sachs disease (acute infantile):
progressive weakness
loss of motor skills
decreased attentiveness
neurodegeneration
seizures
blindness
spasticity
death, usually before age 5
Zakład Genetyki Medycznej
Tay-Sachs disease
• The juvenile (subacute) and adult-onset variants
later onsets
slower progression
more variable neurologic findings: progressive dystonia, spinocerebellar
degeneration, motor neuron disease, bipolar form of psychosis.
Zakład Genetyki Medycznej
Diagnosis/testing
• demonstration of absent to near-absent beta-hexosaminidase A (HEX A)
enzymatic activity in the serum or white blood cells of a symptomatic individual
in the presence of normal or elevated activity of the beta-hexosaminidase B
(HEX B) isoenzyme
• Mutation analysis of the HEXA gene: for genetic counseling purposes to
1) to distinguish pseudodeficiency alleles from disease-causing alleles in
individuals with apparent deficiency of HEX A enzymatic activity
2) to identify specific disease-causing alleles in affected individuals
Zakład Genetyki Medycznej
Management
• Treatment:
supportive
provide adequate nutrition and hydration
manage infectious disease
protect the airway
control seizures
• Seizure control:
conventional anticonvulsant drugs: benzodiazepines, phenytoins, barbiturates
progressive
change in type and severity
Zakład Genetyki Medycznej
Management
• adult-onset hexosaminidase A deficiency with psychiatric manifestations:
conventional antipsychotic or antidepressant therapy
treatment with lithium salts
electroconvulsive therapy - beneficial in ameliorating psychotic depression.
Zakład Genetyki Medycznej
Genetic counseling
• autosomal recessive manner
• At conception, each sib of an affected individual:
25% chance of being affected
50% chance of being an asymptomatic carrier
25% chance of being unaffected and not a carrier
Zakład Genetyki Medycznej
Prevention of Tay-Sachs disease (1971–1992, showing 90% reduction
in the disease in Jewish population (1970–1993)
Zakład Genetyki Medycznej
Prevalence
• previously one in 3600 Ashkenazi Jewish births
• carrier rate for TSD: one in 30 among Jewish Americans of Ashkenazi extraction
(Central and Eastern Europe).
• now the incidence of TSD in the Ashkenazi Jewish population - reduced by
greater than 90% - result of extensive genetic counseling of carriers identified
through carrier screening programs and monitoring of at-risk pregnancies
• Among Sephardic Jews and all non-Jews - 100 times less common - carrier
frequency (between 1/250 and 1/300)
• all ethnic, racial, and religious groups.
• Certain populations isolated genetically: French Canadians of Quebec, Cajuns
from Louisiana and the Old Order Amish in Pennsylvania - carry HEXA mutations
with frequencies comparable to or even greater than Ashkenazi Jews.
Zakład Genetyki Medycznej
Molecular genetics
• Gene name: HEXA
• Gene locus: 15q23-q24
• Protein name: beta-hexosaminidase subunit alpha
Zakład Genetyki Medycznej
Normal allelic variants
• 35,000 bp
• contains 14 exons
Zakład Genetyki Medycznej
Pathologic allelic variants
• more than 100 HEXA mutations identified to date
• >90 - acute infantile phenotype (Tay-Sachs disease)
• small insertions, deletions producing frameshifts, nucleotide substitutions
producing stop codons
• Among Ashkenazi Jewish people - two mutations associated with the acute
infantile form account for 90-95% of all alleles
• In the non-Jewish general population - two other mutations account for 35%
alleles associated with the acute infantile phenotype
• The mutations in Ashkenazi Jew:
null alleles - no protein product
gene is transcriptionally active
The most frequent allele: 4-bp insertion in exon 11 - frameshift and downstream
stop codon in the coding sequence – normal transcription - undetectable mRNA
The second major allele - donor splice-junction mutation in intron 12 -
production of several aberrantly spliced mRNAs.
Zakład Genetyki Medycznej
Normal gene product
• HEXA - Beta-hexosaminidase alpha chain
• heterodimeric protein
• GM2 gangliosidase
Zakład Genetyki Medycznej
Abnormal gene product
• variety of effects:
defective processing
defective subunit assembly
defective catalytic activity
Zakład Genetyki Medycznej
Cystic fibrosis
• recognised 1936
• accumulation of thick mucous secretions
• blockage of the airways
• secondary infection
• significant cause of chronic ill health and mortality in childhood and early adult
life.
• Icidence rate - 1 in 2000 to 1 in 3000
• African-Americans (1 in 15000)
• Asian-Americans (1 in 31 000).
Zakład Genetyki Medycznej
Clinical features
• lungs and the pancreas - organs most commonly affected
• chronic lung disease caused by recurrent infections
• fibrotic changes in the lungs with secondary cardiac failure - heart-lung
transplant
• 85% of persons with CF pancreatic function impaired: reduced enzyme secretion
due to blockage of the pancreatic ducts
• increase in the fat content of the stools
• nasal polyps
• rectal prolapse
• cirrhosis (disruption of normal liver structure)
• diabetes mellitus
• male infertility - CBAVD
• chronic pancreatitis
Zakład Genetyki Medycznej
Diagnosis/testing
• diagnosis of cystic fibrosis - established in individuals with one or more
characteristic phenotypic features of CF
• abnormality in CFTR function:
presence of two disease-causing mutations in the CFTR gene
abnormal sweat chloride values (>60 mEq/L)
transepithelial nasal potential difference (NPD) measurements characteristic of
CF
Zakład Genetyki Medycznej
Management
• Treatment of manifestations:
treatment/prevention of pulmonary complications using oral or inhaled antibiotics
bronchodilators
anti-inflammatory agents
mucolytic agents
chest physiotherapy
lung or heart/lung transplantation in selected patients
topical steroids
surgical intervention for nasal/sinus symptoms
special infant formulas to enhance weight gain
oral pancreatic enzyme replacement
additional fat-soluble vitamins and zinc
management of CF-related diabetes mellitus (CFRD) by an endocrinologist
assisted reproductive technologies (ART) for male infertility
Zakład Genetyki Medycznej
Prevention of secondary complications
• airway clearance using chest physiotherapy (CPT)
• variety of airway clearance techniques (ACTs)
• antibiotics to eradicate initial airway infection and prevent chronic airway
infection
• immunizations
Zakład Genetyki Medycznej
Surveillance
• regularly scheduled visits to CF care providers
• pulmonary function studies
• chest radiographs
• specific blood and urine tests
• cultures of respiratory tract secretions - P. aeruginosa
Zakład Genetyki Medycznej
Agents/circumstances to avoid
• respiratory irritants (smoke, dust)
• respiratory infectious agents (especially viruses)
• dehydration
Zakład Genetyki Medycznej
GENETICS
• autosomal recessive inheritance
• most serious autosomal recessive disorder European origin
• possible explanations: multiple CF loci and high mutation rate
Zakład Genetyki Medycznej
Cystic fibrosis gene
• chromosome 7q31
• CF transmembrane conductance regulator (CFTR)
• 250 kb
• 27 exons
• 1900 mutations and polymorphisms to date
Zakład Genetyki Medycznej
Carrier frequency for mutant CFTR alleles
Zakład Genetyki Medycznej
Pathologic allelic variants
• more than 1900 mutations are known
• mostly point mutations
• small (1-84 bp) deletions
• The most common mutation - delF508 (Phe508del) - 30%-80% (depending on
the ethnic group) of mutant alleles
Zakład Genetyki Medycznej
DelF508
Zakład Genetyki Medycznej
Core mutation panel
Zakład Genetyki Medycznej
10 most common mutations in Caucasian pop.
delF508
Dele2,3(21kb)

metabolic disorders presentation. Biochemistry.

  • 1.
    Zakład Genetyki Medycznej Metabolicdisorders 1. Organic acidemias 2. Amino acid metabolism disorders 3. Urea cycle metabolism disorders 4. Fatty acid metabolism disordres 5. Carbohydrate metabolism disorders 6. Peroxisomal disorders 7. Purine metabolism disorders 8. Mineral metabolism disorders 9. Mucopolysaccharidoses 10. Lipid storage disorders 11. Hemochromatosis 12. Cystic fibrosis
  • 2.
    Zakład Genetyki Medycznej Organicacidemias – MSUD 1. Major phenotypic expression: • Overwhelming illness in the first days of life with lethargy progressive to coma, opisthotonus, and convulsions; • recurrent episodes leading to developmental delay; • characteristic maple syrup odor, branched-chain amino acidemia and aminoaciduria; • branched-chain oxoaciduria; deficiency of branched-chain oxoacid dehydrogenase.
  • 3.
    Zakład Genetyki Medycznej MSUD- introduction • accumulation in body fluids elevated quantities of leucine, isoleucine, and valine and their corresponding oxoacids • unusual odor quite like that of maple syrup
  • 4.
    Zakład Genetyki Medycznej Metabolicpathways in the catabolism of leucine, isoleucine and valine. The site of the defect is shown at the oxo-acid step in each of the three pathways.
  • 5.
    Zakład Genetyki Medycznej MSUD– clinical features • Infants with classic MSUD - normal at birth, but remain well for only a few days • Vomiting or difficulty to feed - early symptoms • By the end of the first week - lethargic, progressive neurologic deterioration • periods of flaccidity alternating with hypertonicity • abnormal eye movements, convulsions occur regularly • Finally apnea, coma, and death
  • 6.
    Zakład Genetyki Medycznej MSUD– genetics and pathogenesis • an autosomal recessive trait • all ethnic groups • The fundamental defect is in the activity of the branchedchain oxoacid dehydrogenase multienzyme complex: E1- a decarboxylase; E2 - an acyl transferase; E3 - a flavoprotein lipoamide dehydrogenase • enzyme activity can be measured in human liver, kidney and leukocytes, cultured fibroblasts or lymphoblasts and amniotic fluid cells • mutations scanning with allele-specific oligonucleotide probes
  • 7.
    Zakład Genetyki Medycznej MSUD- genetics • The E1 gene – chromosome 19q13.1-13.2 • E1Beta - 6p21-22 • E2 - 1p31 • E3 - 7q31-32 • Mutations occur in each gene, but a majority in the E1 and E2 genes. • The mutation in the Mennonite population (MSUD is common) is a T to A transition - yields a single missense tyrosine to asparagine change at position 393 (Y393N)
  • 8.
    Zakład Genetyki Medycznej MSUD- screening • Rapid screening for MSUD - tandem MS - forms the basis for all of the neonatal screening programs for this disease.
  • 9.
    Zakład Genetyki Medycznej Aminoacid metabolism disorders - Phenylketonuria
  • 10.
    Zakład Genetyki Medycznej Whatis it? autosomal recessive disorder (commonly known as PKU) increases the levels of an aminoacid called phenylalanine in the blood phenylalanine is an indispensable amino acid – obtained through diet If not treated, phenylalanine builds up to harmful levels in the body, causing intellectual disability and other serious health problems.
  • 11.
  • 12.
    Zakład Genetyki Medycznej Whatare the symptoms? the signs and symptoms vary from mild to severe. classic PKU - most severe form without treatment – development of permanent intellectual disability – after few months common: seizures, delayed development, behavioral problems, and psychiatric disorders musty or mouse-like odor - side effect of excess phenylalanine in the body. lighter skin and hair than unaffected family members skin disorders - eczema. less severe forms - variant PKU and non-PKU hyperphenylalaninemia smaller risk of brain damage. treatment not required
  • 13.
    Zakład Genetyki Medycznej Pregnancy Babiesborn to mothers with PKU and uncontrolled phenylalanine levels - significant risk of intellectual disability due to exposure to very high levels of phenylalanine before birth low birth weight grow slowly heart defects or other heart problems small head size (microcephaly) behavioral problems risk of pregnancy loss.
  • 14.
    Zakład Genetyki Medycznej Howcommon is it? The occurrence of PKU varies among ethnic groups and geographic regions worldwide In the United States, PKU occurs in 1 in 10,000 to 15,000 newborns. In Poland 1 in 8000 newborns Most cases of PKU are detected shortly after birth by newborn screening, and treatment is started promptly – result: the severe signs and symptoms of classic PKU are rarely seen.
  • 15.
    Zakład Genetyki Medycznej Testing Plasmaphenylalanine concentration: • The main route for phenylalanine metabolism - hydroxylation of phenylalanine to tyrosine by phenylalanine hydroxylase (PAH). • The diagnosis of primary phenylalanine hydroxylase deficiency (PAH deficiency) - detection of an elevated plasma phenylalanine (Phe) concentration and evidence of normal BH4 cofactor metabolism. • Individuals with PAH deficiency - plasma phenylalanine (Phe) concentrations persistently higher than 120 µmol/L (2 mg/dL) in the untreated state
  • 16.
    Zakład Genetyki Medycznej Testing Newbornscreening: • PAH deficiency is most commonly diagnosed upon routine screening of newborns. • PAH deficiency can be detected in virtually 100% of cases by newborn screening utilizing the Guthrie card bloodspot obtained from a heel prick.
  • 17.
    Zakład Genetyki Medycznej Testing Threemethods of newborn screening currently in use: • Guthrie card bacterial inhibition assay (BIA), a time-tested, inexpensive, simple, and reliable test • Fluorometric analysis, a reliable quantitative and automated test which produces fewer false positive test results than the BIA • Tandem mass spectrometry (MS), the same benefits as fluorometric analysis, can also measure tyrosine concentration, and be useful in interpreting Phe concentration. Can be used to identify numerous other metabolic disorders on the same sample
  • 18.
    Zakład Genetyki Medycznej Clinicaltesting • Targeted mutation analysis. A panel of four to 15 common point mutations and very small deletions - detection rate of approximately 30%-50%. • Mutation scanning. detects virtually all point mutations in the PAH gene. Mutation scanning by DHPLC - a fast and very efficient method to detect locus-specific point mutations • Sequence analysis. Sequencing of all 13 exons - mutation detection rate of about 99%. • Duplication/deletion analysis. Comparative multiplex dosage analysis - useful in detecting large duplications or deletions when no mutations have been identified by mutation scanning or sequence analysis.
  • 19.
  • 20.
    Zakład Genetyki Medycznej Treatmentof Manifestations • Restriction of dietary phenylalanine. normalization of the concentrations of Phe and Tyr in the blood Phe concentrations of 120-360 µmol/L (2-6 mg/dL) or 40-240 µmol/L (1-4 mg/dL) - regarded as safe. A diet restricted in Phe - initiated as soon as possible after birth and continued at least into adolescence The diet must be carefully monitored so that growth and nutritional status are unaffected • Supplementation with BH4. many individuals with PAH deficiency - responsive to the 6R-BH4 stereoisomer in pharmacologic doses (20 mg/kg daily in divided oral doses) the 6R-BH4 enhances in vivo phenylalanine hydroxylation and lowers plasma phenylalanine concentration with improved tolerance of dietary phenylalanine
  • 21.
    Zakład Genetyki Medycznej Treatmentof Manifestations • Treatment in infancy. A Phe-restricted diet Breastfeeding with Phe-free formula Intake of tyrosine and total amino acids Avoid long periods of low blood Phe concentration - harmful to brain development. • Treatment in childhood. Total amino acid consumption of 2 g/kg/day, 25 mg tyrosine/kg/day. • Treatment in adolescence and adulthood. Various
  • 22.
    Zakład Genetyki Medycznej Surveillance •Plasma Phe and Tyr concentrations - monitored regularly • No recommendations for surveillance
  • 23.
    Zakład Genetyki Medycznej Whatto avoid? • Aspartame - an artificial sweetener in widespread use - contains phenylalanine
  • 24.
    Zakład Genetyki Medycznej MolecularGenetics • Gene symbol: PAH • Chromosomal locus: 12q23.2 • Protein name: phenylalanine-4-hydroxylase
  • 25.
    Zakład Genetyki Medycznej Normalallelic variants • 13 exons • 90 kilobases • 2.4-kb mature messenger RNA • 31 different polymorphisms – neutral effect
  • 26.
    Zakład Genetyki Medycznej Pathologicallelic variants • 500 different disease-causing mutations • Mutations: missense, splice-site, and nonsense mutations, small deletions, and insertions
  • 27.
    Zakład Genetyki Medycznej Alkaptonuria •deficiency of homogentisate 1,2-dioxygenase - an enzyme that converts homogentisic acid (HGA) to maleylacetoacetic acid in the tyrosine degradation pathway. • major features: HGA in urine, ochronosis (bluish-black pigmentation in connective tissue), arthritis of the spine and joints. • oxidation of the HGA - melanin-like product – dark urine upon standing • ochronosis: after age 30 years; • arthritis: third decade. • other manifestations: pigment deposition, aortic or mitral valve calcification or regurgitation and occasionally aortic dilatation, renal stones, and prostate stones.
  • 28.
  • 29.
    Zakład Genetyki Medycznej Diagnosis/testing •detection of a significant amount of HGA in the urine by GCMS • the amount of HGA excreted per day - between 1-8 g • a normal 24-hour urine sample - 20-30 mg of HGA
  • 30.
    Zakład Genetyki Medycznej Management •Treatment of manifestations: management of joint pain tailored to the individual; physical and occupational therapy - maintain muscle strength and flexibility; knee, hip, and shoulder replacements when needed; surgical intervention for prostate stones and renal stones as needed. • Surveillance: in individuals over age 40 years - echocardiography to detect aortic dilation, aortic or mitral valve calcification, and regurgitation; CT to detect coronary artery calcification. • Agents/circumstances to avoid: physical stress to the spine and large joints, heavy manual labor or high-impact sports - reduce progression of severe arthritis
  • 31.
    Zakład Genetyki Medycznej Geneticcounseling • autosomal recessive disease • at conception - sib of an affected individual: 25% chance of being affected 50% chance of being an asymptomatic carrier 25% chance of being unaffected and not a carrier
  • 32.
    Zakład Genetyki Medycznej MolecularGenetic Testing • HGD - the gene encoding homogentisate 1,2-dioxygenase
  • 33.
    Zakład Genetyki Medycznej Normalallelic variants • The normal HGD gene 3q21-q23 54.3 kb 14 exons 1715-bp transcript
  • 34.
    Zakład Genetyki Medycznej Pathologicallelic variants • 67 mutations in HGD have been reported • The mutations are distributed throughout the HGD gene sequence. • The majority of mutations: missense, but nonsense, frame shift, and splice-site mutations do occur
  • 35.
    Zakład Genetyki Medycznej Normalgene product • homogentisate 1,2-dioxygenase - an enzyme in the phenylalanine/tyrosine degradation pathway • 445 amino acids • expressed in the liver and kidney, small intestine, colon and prostate • Homogentisate 1,2-dioxygenase functions in the metabolism of HGA by catalyzing an oxidative cleavage of the benzene ring to yield maleylacetoacetic acid. It requires oxygen, ferrous iron, and sulfhydryl groups
  • 36.
    Zakład Genetyki Medycznej Disordersof fatty acid oxidation - Medium chain acyl CoA dehydrogenase (MCAD) • MAJOR PHENOTYPIC EXPRESSION • Hypoketotic hypoglycemia, myopathy, cardiomyopathy, sudden infant death syndrome, hyperammonemia, hyperuricemia, elevated creatine kinase, dicarboxylic aciduria • elevated levels of octanoyl and hexanoylcarnitine • deficient activity of medium chain acyl CoA dehydrogenase • mutation in the gene, especially A G 985 →
  • 37.
    Zakład Genetyki Medycznej MCAD •most common disorder of fatty acid oxidation • 1 in 6000 to 10 000 caucasian births 2 general types of presentation: • The first - hypoketotic hypoglycemia is the clinical picture of Reye syndrome • The second - chronic disruption of muscle function with symptoms relevant to myopathy or cardiomyopathy, including weakness, hypotonia, congestive heart failure, or arrhythmia • Another presentation is with the sudden infant death syndrome (SIDS)
  • 38.
    Zakład Genetyki Medycznej MCAD- genetics • MCAD deficiency is autosomal recessive • The gene is on chromosome 1 - ACADM • A single mutation from A to G (985), leading to a lysine (K) to glutamic acid (E) change in residue 329 of the protein, accounts for virtually all of the patients studied.
  • 39.
    Zakład Genetyki Medycznej MCAD- Prevalence • MCAD deficiency is prevalent in individuals of European (especially northern) descent. • The overall frequency of the disorder is between 1:4,900 and 1:17,000; Based on newborn screening programs worldwide, the incidence of MCAD deficiency has been defined in: Northern Germany (1:4,900 newborns) Southern Germany (1:8,500 newborns) New South Wales, Australia (1:25,000 newborns) USA (1:15,700 newborns) Taiwan (~1:700,000 live births) Japan (1:51,000 live births)
  • 40.
    Zakład Genetyki Medycznej Treatmentof Manifestations • reversal of catabolism and sustained anabolism by provision of simple carbohydrates by mouth (for example, glucose tablets, or sweetened, non-diet beverages) • Hypoglycemia must be avoided by frequent feedings to avoid catabolism, if necessary by intravenous administration of glucose
  • 41.
    Zakład Genetyki Medycznej Carbohydratemetabolism - galactosemia MAJOR PHENOTYPIC EXPRESSION • hepatomegaly • jaundice • vomiting • failure to thrive • cataracts • mental retardation • deficiency of galactose-1-phosphate uridyl transferase
  • 42.
    Galactose-1-phosphate uridyl transferase, thesite of the enzyme defect in patients with galactosemia. The brackets indicate the uridyl and glucose-1-phosphate moieties of UDPG which have split at the arrow in the uridyl transferase reaction, transferring the uridyl group from G-1- P of UDPG to galactose-1-phosphate (Gal-1-P) to form uridinediphosphogalactose (UDPGal).
  • 43.
    Zakład Genetyki Medycznej Galactosemia- clinical manifestations • appear within days of birth or of the initiation of milk feedings - increase in severity in the first months of life • vomiting and jaundice - develop a few days after milk feedings are begun • anorexia, failure to gain weight or to increase in length, or even weight loss • hepatomegaly - constant finding on examination • edema, ascites • hypoprothrombinemia and bleeding. • splenomegaly • fatal - if milk feedings are continued
  • 44.
    Zakład Genetyki Medycznej Galactosemia- sepsis • sepsis neonatorum - most commonly E. coli • complications of sepsis - osteomyelitis and meningitis • gangrene • impaired granulocyte function
  • 45.
    Zakład Genetyki Medycznej Galactosemia- genetics • autosomal recessive trait • the enzyme defect - uridyl transferase - can be detected in the erythrocyte or in cultured fibroblasts and amniotic cells, leukocytes and liver • in patients with classic galactosemia, the activity of the enzyme is virtually completely absent • Incidence rates 1:55000 (Duarte variant 1 in 3000-4000 but no clinical manifestations) • 9p13 – transferase gene (GALT) • cDNA – 3.9kb • neonatal screening in the US
  • 46.
    Zakład Genetyki Medycznej Galactosemia– most common mutations
  • 47.
  • 48.
    Zakład Genetyki Medycznej Galactose •Galactose structure is identical to that of glucose except for the position of the hydroxyl on carbon 4 • Lactose - the principal sugar of mammalian milks - predominant dietary source of galactose; it is a disaccharide in which glucose and galactose are linked in an -1,4-glucosidic bond in which an oxygen bridge connects carbon 1 of galactose and carbon 4 of glucose • The pathogenesis of most of the clinical manifestations of galactosemia is the accumulation of Gal-1-P in tissues • Treatment – exclusion of galactose from the diet
  • 49.
    Zakład Genetyki Medycznej Purinemetabolism – Lesch Nyhan disease MAJOR PHENOTYPIC EXPRESSION • retardation of motor development • spasticity • involuntary movements • self-injurious behavior • hyperuricemia • uricosuria • urinary tract calculi • nephropathy • tophi • gouty arthritis • deficient activity of hypoxanthine guanine phosphoribosyl transferase (HPRT)
  • 50.
  • 51.
    Zakład Genetyki Medycznej Lesch-Nyhandisease • male infants - normal at birth, develop normally for the first 6 to 8 months • first sign - orange crystals or orange sand in the diapers (crystalluria) • defective motor development - evident in the second six months of life • failure to reach developmental milestones • patients do not learn to walk, and must have some support even to sit unaided • but do learn to sit in a chair if fastened securely • involuntary movements - 100 percent of patients • self-injurious behaviour
  • 52.
    Zakład Genetyki Medycznej Tay-Sachsdisease • Disease characteristics: Hexosaminidase A deficiency neurodegenerative disorder caused by intralysosomal storage of the specific glycosphingolipid -GM2 ganglioside. • Tay-Sachs disease (acute infantile): progressive weakness loss of motor skills decreased attentiveness neurodegeneration seizures blindness spasticity death, usually before age 5
  • 53.
    Zakład Genetyki Medycznej Tay-Sachsdisease • The juvenile (subacute) and adult-onset variants later onsets slower progression more variable neurologic findings: progressive dystonia, spinocerebellar degeneration, motor neuron disease, bipolar form of psychosis.
  • 54.
    Zakład Genetyki Medycznej Diagnosis/testing •demonstration of absent to near-absent beta-hexosaminidase A (HEX A) enzymatic activity in the serum or white blood cells of a symptomatic individual in the presence of normal or elevated activity of the beta-hexosaminidase B (HEX B) isoenzyme • Mutation analysis of the HEXA gene: for genetic counseling purposes to 1) to distinguish pseudodeficiency alleles from disease-causing alleles in individuals with apparent deficiency of HEX A enzymatic activity 2) to identify specific disease-causing alleles in affected individuals
  • 55.
    Zakład Genetyki Medycznej Management •Treatment: supportive provide adequate nutrition and hydration manage infectious disease protect the airway control seizures • Seizure control: conventional anticonvulsant drugs: benzodiazepines, phenytoins, barbiturates progressive change in type and severity
  • 56.
    Zakład Genetyki Medycznej Management •adult-onset hexosaminidase A deficiency with psychiatric manifestations: conventional antipsychotic or antidepressant therapy treatment with lithium salts electroconvulsive therapy - beneficial in ameliorating psychotic depression.
  • 57.
    Zakład Genetyki Medycznej Geneticcounseling • autosomal recessive manner • At conception, each sib of an affected individual: 25% chance of being affected 50% chance of being an asymptomatic carrier 25% chance of being unaffected and not a carrier
  • 58.
    Zakład Genetyki Medycznej Preventionof Tay-Sachs disease (1971–1992, showing 90% reduction in the disease in Jewish population (1970–1993)
  • 59.
    Zakład Genetyki Medycznej Prevalence •previously one in 3600 Ashkenazi Jewish births • carrier rate for TSD: one in 30 among Jewish Americans of Ashkenazi extraction (Central and Eastern Europe). • now the incidence of TSD in the Ashkenazi Jewish population - reduced by greater than 90% - result of extensive genetic counseling of carriers identified through carrier screening programs and monitoring of at-risk pregnancies • Among Sephardic Jews and all non-Jews - 100 times less common - carrier frequency (between 1/250 and 1/300) • all ethnic, racial, and religious groups. • Certain populations isolated genetically: French Canadians of Quebec, Cajuns from Louisiana and the Old Order Amish in Pennsylvania - carry HEXA mutations with frequencies comparable to or even greater than Ashkenazi Jews.
  • 60.
    Zakład Genetyki Medycznej Moleculargenetics • Gene name: HEXA • Gene locus: 15q23-q24 • Protein name: beta-hexosaminidase subunit alpha
  • 61.
    Zakład Genetyki Medycznej Normalallelic variants • 35,000 bp • contains 14 exons
  • 62.
    Zakład Genetyki Medycznej Pathologicallelic variants • more than 100 HEXA mutations identified to date • >90 - acute infantile phenotype (Tay-Sachs disease) • small insertions, deletions producing frameshifts, nucleotide substitutions producing stop codons • Among Ashkenazi Jewish people - two mutations associated with the acute infantile form account for 90-95% of all alleles • In the non-Jewish general population - two other mutations account for 35% alleles associated with the acute infantile phenotype • The mutations in Ashkenazi Jew: null alleles - no protein product gene is transcriptionally active The most frequent allele: 4-bp insertion in exon 11 - frameshift and downstream stop codon in the coding sequence – normal transcription - undetectable mRNA The second major allele - donor splice-junction mutation in intron 12 - production of several aberrantly spliced mRNAs.
  • 63.
    Zakład Genetyki Medycznej Normalgene product • HEXA - Beta-hexosaminidase alpha chain • heterodimeric protein • GM2 gangliosidase
  • 64.
    Zakład Genetyki Medycznej Abnormalgene product • variety of effects: defective processing defective subunit assembly defective catalytic activity
  • 65.
    Zakład Genetyki Medycznej Cysticfibrosis • recognised 1936 • accumulation of thick mucous secretions • blockage of the airways • secondary infection • significant cause of chronic ill health and mortality in childhood and early adult life. • Icidence rate - 1 in 2000 to 1 in 3000 • African-Americans (1 in 15000) • Asian-Americans (1 in 31 000).
  • 66.
    Zakład Genetyki Medycznej Clinicalfeatures • lungs and the pancreas - organs most commonly affected • chronic lung disease caused by recurrent infections • fibrotic changes in the lungs with secondary cardiac failure - heart-lung transplant • 85% of persons with CF pancreatic function impaired: reduced enzyme secretion due to blockage of the pancreatic ducts • increase in the fat content of the stools • nasal polyps • rectal prolapse • cirrhosis (disruption of normal liver structure) • diabetes mellitus • male infertility - CBAVD • chronic pancreatitis
  • 67.
    Zakład Genetyki Medycznej Diagnosis/testing •diagnosis of cystic fibrosis - established in individuals with one or more characteristic phenotypic features of CF • abnormality in CFTR function: presence of two disease-causing mutations in the CFTR gene abnormal sweat chloride values (>60 mEq/L) transepithelial nasal potential difference (NPD) measurements characteristic of CF
  • 68.
    Zakład Genetyki Medycznej Management •Treatment of manifestations: treatment/prevention of pulmonary complications using oral or inhaled antibiotics bronchodilators anti-inflammatory agents mucolytic agents chest physiotherapy lung or heart/lung transplantation in selected patients topical steroids surgical intervention for nasal/sinus symptoms special infant formulas to enhance weight gain oral pancreatic enzyme replacement additional fat-soluble vitamins and zinc management of CF-related diabetes mellitus (CFRD) by an endocrinologist assisted reproductive technologies (ART) for male infertility
  • 69.
    Zakład Genetyki Medycznej Preventionof secondary complications • airway clearance using chest physiotherapy (CPT) • variety of airway clearance techniques (ACTs) • antibiotics to eradicate initial airway infection and prevent chronic airway infection • immunizations
  • 70.
    Zakład Genetyki Medycznej Surveillance •regularly scheduled visits to CF care providers • pulmonary function studies • chest radiographs • specific blood and urine tests • cultures of respiratory tract secretions - P. aeruginosa
  • 71.
    Zakład Genetyki Medycznej Agents/circumstancesto avoid • respiratory irritants (smoke, dust) • respiratory infectious agents (especially viruses) • dehydration
  • 72.
    Zakład Genetyki Medycznej GENETICS •autosomal recessive inheritance • most serious autosomal recessive disorder European origin • possible explanations: multiple CF loci and high mutation rate
  • 73.
    Zakład Genetyki Medycznej Cysticfibrosis gene • chromosome 7q31 • CF transmembrane conductance regulator (CFTR) • 250 kb • 27 exons • 1900 mutations and polymorphisms to date
  • 74.
    Zakład Genetyki Medycznej Carrierfrequency for mutant CFTR alleles
  • 75.
    Zakład Genetyki Medycznej Pathologicallelic variants • more than 1900 mutations are known • mostly point mutations • small (1-84 bp) deletions • The most common mutation - delF508 (Phe508del) - 30%-80% (depending on the ethnic group) of mutant alleles
  • 76.
  • 77.
  • 78.
    Zakład Genetyki Medycznej 10most common mutations in Caucasian pop.
  • 79.
  • 80.