Abstract
Over 100 years ago, Rayleigh understood that heating and cooling could create acoustic power
“if heat be given to the air at the moment of greatest condensation, or be taken from it at the moment
of greatest rarefaction”. Thermoacoustics combine thermodynamics, fluid dynamics and acoustics to
describe the interactions that exist between heat and sound. Under the right conditions, these inter-
actions can be harnessed to design useful devices that convert heat into large amplitude sound waves
and vice-versa. A thermoacoustic engine turns part of the heat flowing through a temperature gra-
dient inside a porous solid into sound waves. The work in these sound waves can then be harnessed
with a piston to drive a flywheel or a linear alternator, or it can be used to transport heat from a lower
to a higher temperature reservoir in what is known as a thermoacoustic heat pump or refrigerator.
In this project the design of thermoacoustic compressor, using the linear thermoacoustic theory, is
described. Due to the large number of parameters, a choice of some parameters along with dimen-
sionless independent variables will be introduced. This thermoacoustic compressor is to be powered
using the heat from the exhaust of an internal combustion engine. The optimization of the different
parts of the compressor will be tried and presented.
iii
Contents
1 Introduction 1
1.1 Thermoacoustics . . . . . . . . . . . . . . . . . . . . . . . . . . . . . . . . . 1
1.2 History . . . . . . . . . . . . . . . . . . . . . . . . . . . . . . . . . . . . . . 2
1.2.1 Higgins singing flame . . . . . . . . . . . . . . . . . . . . . . . . . . 2
1.2.2 Rijke’s Tube . . . . . . . . . . . . . . . . . . . . . . . . . . . . . . . 3
1.2.3 The Soundhauss Tube . . . . . . . . . . . . . . . . . . . . . . . . . . 3
1.3 Sound Waves and Pressure . . . . . . . . . . . . . . . . . . . . . . . . . . . . 4
1.3.1 Standing Wave . . . . . . . . . . . . . . . . . . . . . . . . . . . . . . 5
1.3.2 Travelling wave . . . . . . . . . . . . . . . . . . . . . . . . . . . . . . 6
1.4 Principle of Thermoacoustics . . . . . . . . . . . . . . . . . . . . . . . . . . . 7
2 Thermoacoustic System 9
2.1 Main Components . . . . . . . . . . . . . . . . . . . . . . . . . . . . . . . . . 9
2.1.1 Stack . . . . . . . . . . . . . . . . . . . . . . . . . . . . . . . . . . . 10
2.1.2 Heat Exchangers . . . . . . . . . . . . . . . . . . . . . . . . . . . . . 10
2.1.3 Resonator . . . . . . . . . . . . . . . . . . . . . . . . . . . . . . . . . 11
3 Thermo-acoustic Engine 13
3.1 Simple ThermoAcoustic Systems . . . . . . . . . . . . . . . . . . . . . . . . . 13
3.2 Standing-wave Thermoacoustic System . . . . . . . . . . . . . . . . . . . . . 14
3.3 Travelling-wave Thermoacoustic System . . . . . . . . . . . . . . . . . . . . . 16
3.4 Behaviour of the Gas Molecules . . . . . . . . . . . . . . . . . . . . . . . . . 17
3.5 Calculation of efficiency of TAS . . . . . . . . . . . . . . . . . . . . . . . . . 17
3.5.1 Temperature gradient . . . . . . . . . . . . . . . . . . . . . . . . . . . 17
3.5.2 Theoretical efficiency . . . . . . . . . . . . . . . . . . . . . . . . . . . 18
3.6 Merits of TAE . . . . . . . . . . . . . . . . . . . . . . . . . . . . . . . . . . . 18
3.7 De-Merits of TAE . . . . . . . . . . . . . . . . . . . . . . . . . . . . . . . . . 18
4 Exhaust Heat Recovery Systems 19
4.1 Direct Exhaust Heat Recovery System (DEHR) . . . . . . . . . . . . . . . . . 19
4.2 Indirect Exhaust Heat Recovery System (IEHR) . . . . . . . . . . . . . . . . . 20
5 Design of Thermoacoustic System 23
5.1 Design Strategy . . . . . . . . . . . . . . . . . . . . . . . . . . . . . . . . . . 23
5.1.1 Average Pressure . . . . . . . . . . . . . . . . . . . . . . . . . . . . . 24
5.1.2 Frequency . . . . . . . . . . . . . . . . . . . . . . . . . . . . . . . . . 25
5.1.3 Working Gas . . . . . . . . . . . . . . . . . . . . . . . . . . . . . . . 25
5.1.4 Stack Material . . . . . . . . . . . . . . . . . . . . . . . . . . . . . . 25
5.1.5 Stack Geometry . . . . . . . . . . . . . . . . . . . . . . . . . . . . . . 25
v
5.2 Design Strategy . . . . . . . . . . . . . . . . . . . . . . . . . . . . . . . . . . 26
5.2.1 Resonator . . . . . . . . . . . . . . . . . . . . . . . . . . . . . . . . . 27
5.2.2 Heat Exchangers . . . . . . . . . . . . . . . . . . . . . . . . . . . . . 28
5.2.2.1 Cold Heat Exchanger . . . . . . . . . . . . . . . . . . . . . 28
5.2.2.2 Hot Heat Exchanger . . . . . . . . . . . . . . . . . . . . . . 28
5.3 Design Methodology . . . . . . . . . . . . . . . . . . . . . . . . . . . . . . . 31
6 Results 33
7 DeltaEC 41
7.1 Introduction . . . . . . . . . . . . . . . . . . . . . . . . . . . . . . . . . . . . 41
7.2 Guesses and Targets . . . . . . . . . . . . . . . . . . . . . . . . . . . . . . . . 42
7.3 Two most basic physical segments . . . . . . . . . . . . . . . . . . . . . . . . 42
7.3.1 Duct . . . . . . . . . . . . . . . . . . . . . . . . . . . . . . . . . . . . 42
7.3.2 Cone . . . . . . . . . . . . . . . . . . . . . . . . . . . . . . . . . . . 43
7.4 DeltaEC User Interface . . . . . . . . . . . . . . . . . . . . . . . . . . . . . . 44
8 Conclusion and Future Work 51
iv
List of Figures
1.1 Types of ThermoAcoustic Systems . . . . . . . . . . . . . . . . . . . . . . . . 2
1.2 Higgins singing flame . . . . . . . . . . . . . . . . . . . . . . . . . . . . . . . 3
1.3 Rijke’s Tube . . . . . . . . . . . . . . . . . . . . . . . . . . . . . . . . . . . . 3
1.4 Soundhauss Tube . . . . . . . . . . . . . . . . . . . . . . . . . . . . . . . . . 4
1.5 Sound waves and acoustic vibrations . . . . . . . . . . . . . . . . . . . . . . . 4
1.6 Sound waves . . . . . . . . . . . . . . . . . . . . . . . . . . . . . . . . . . . 5
1.7 Standing waves . . . . . . . . . . . . . . . . . . . . . . . . . . . . . . . . . . 5
1.8 Propogation of Travelling Waves . . . . . . . . . . . . . . . . . . . . . . . . . 6
1.9 Rayleigh Criteria . . . . . . . . . . . . . . . . . . . . . . . . . . . . . . . . . 7
2.1 Components of ThermoAcoustic System . . . . . . . . . . . . . . . . . . . . . 9
2.2 Stack . . . . . . . . . . . . . . . . . . . . . . . . . . . . . . . . . . . . . . . 10
2.3 Standing Wave in a pipe . . . . . . . . . . . . . . . . . . . . . . . . . . . . . 11
3.1 Simple ThermoAcoustic Systems . . . . . . . . . . . . . . . . . . . . . . . . . 13
3.2 Working of Standing Wave Thermoacoustic System . . . . . . . . . . . . . . . 14
3.3 Schematic Diagram of ThermoAcoustic Prime Mover . . . . . . . . . . . . . . 15
3.4 Working of Standing Wave Thermoacoustic System . . . . . . . . . . . . . . . 15
3.5 Working of Travelling Wave Thermoacoustic System . . . . . . . . . . . . . . 16
3.6 Behaviour of the Gas Molecules . . . . . . . . . . . . . . . . . . . . . . . . . 17
4.1 Direct EHR . . . . . . . . . . . . . . . . . . . . . . . . . . . . . . . . . . . . 19
4.2 Indirect EHR . . . . . . . . . . . . . . . . . . . . . . . . . . . . . . . . . . . 20
5.1 Operating Parameters . . . . . . . . . . . . . . . . . . . . . . . . . . . . . . . 24
5.2 Normalized Parameters . . . . . . . . . . . . . . . . . . . . . . . . . . . . . . 26
5.3 Types of Resonators . . . . . . . . . . . . . . . . . . . . . . . . . . . . . . . . 28
5.4 TA System . . . . . . . . . . . . . . . . . . . . . . . . . . . . . . . . . . . . . 29
6.1 Refrigetor Plot . . . . . . . . . . . . . . . . . . . . . . . . . . . . . . . . . . 34
6.2 Refrigerator Table . . . . . . . . . . . . . . . . . . . . . . . . . . . . . . . . . 34
6.3 Engine Plot . . . . . . . . . . . . . . . . . . . . . . . . . . . . . . . . . . . . 36
6.4 Engine Table . . . . . . . . . . . . . . . . . . . . . . . . . . . . . . . . . . . 37
6.5 Combined System Plot . . . . . . . . . . . . . . . . . . . . . . . . . . . . . . 39
6.6 Combined System Table . . . . . . . . . . . . . . . . . . . . . . . . . . . . . 39
7.1 Begin . . . . . . . . . . . . . . . . . . . . . . . . . . . . . . . . . . . . . . . 44
7.2 DUCT . . . . . . . . . . . . . . . . . . . . . . . . . . . . . . . . . . . . . . . 45
7.3 CONE . . . . . . . . . . . . . . . . . . . . . . . . . . . . . . . . . . . . . . . 45
7.4 Master-Slave Links . . . . . . . . . . . . . . . . . . . . . . . . . . . . . . . . 46
7.5 Master-Slave Links 1 . . . . . . . . . . . . . . . . . . . . . . . . . . . . . . . 46
v
7.6 HARDEND . . . . . . . . . . . . . . . . . . . . . . . . . . . . . . . . . . . . 46
7.7 Guesses and Targets-1 . . . . . . . . . . . . . . . . . . . . . . . . . . . . . . 47
7.8 Guesses and Targets-2 . . . . . . . . . . . . . . . . . . . . . . . . . . . . . . 48
7.9 Apparatus Schematic . . . . . . . . . . . . . . . . . . . . . . . . . . . . . . . 48
7.10 Plotter-1 . . . . . . . . . . . . . . . . . . . . . . . . . . . . . . . . . . . . . . 49
7.11 Plotter-2 . . . . . . . . . . . . . . . . . . . . . . . . . . . . . . . . . . . . . . 49
vi
List of Acronyms
TAE Thermo Acoustic Engine
TAR Thermo Acoustic Refrigerator
RVC Reticulated vitreous carbon
HX Heat Exchanger
TAS Thermo Acoustic System
vii
Chapter 1
Introduction
1.1 Thermoacoustics
Thermo acoustics combines the field of thermodynamics and acoustics and describes the
interaction between heat and sound. While acoustics is primarily concerned with the macro-
scopic effects of sound transfer like coupled pressure and motion oscillations, thermoacoustics
focuses on the microscopic temperature oscillations that accompany these pressure changes.
The term “Thermoacoustics” was first termed by Rott, who described it as rather self ex-
planatory. Thermoacoustics is the science of generating or amplifying sound waves with the
help of thermal energy or vice versa .Sound waves are simply pressure oscillations; these pres-
sure oscillations can be amplified with heat. High pressure sound waves have the capacity to
drive a piston.
Thermoacoustic devices can readily be driven using solar energy or waste heat. The com-
ponents included in thermoacoustic engines are usually very simple compared to conventional
engines. The device can easily be controlled and maintained.
The thermo acoustic concepts can be harnessed and exploited to create two kinds of thermo
acoustic devices as shown in figure 1.1:
• Acoustic oscillations powered by heat energy - Thermoacoustic engine/ Prime mover/
Compressor (Figure 1.1(a)) - Production of sound by applying temp gradient to the plates
- engine or a prime mover.
• Heat flow driven by acoustic power - Thermoacoustic refrigerator (Figure 1.1(b)) -
Creation of thermal gradient across a blockage in an acoustic field - refrigerator or a heat
pump.
1
(a) Thermoacoustic Prime mover (b) Thermoacoustic refrigerator
Figure 1.1: Types of ThermoAcoustic Systems
1.2 History
Thermoacoustic-induced oscillations have been observed for centuries. Earlier Glass blow-
ers produced heat generated sound when blowing a hot bulb at the end of a cold narrow tube.Â
1777 Byron Higgins discovered that acoustic oscillations in a pipe might be excited by suitable
placement of a hydrogen flame inside.
1850 Sandhauss firstly studied the thermoacoustic effect happening in a hollow glass tube with
one end closed and the open.
1896 Lord Rayleigh explained the sondhauss tube qualitatively - Rayleigh principle.
1949 Taconis Oscillations - The phenomenon was discovered when the open end of a gas -
filled tube was immersed in liquid nitrogen and cooled to cryogenic temperature. When
the tube was removed from the coolant, it begin to vibrate and ’sing’ loudly.
1962 Carter et al. greatly enhanced the thermoacoustic effect by placing suitable structures
(stack of plates) in sandhauss tube. He generated 27 W of acoustic power from 600 w of
heat.
1970 Ceperley proposed the concept of traveling wave thermoacoustic machines.
1983 Rott established theoretical foundation of modern linear thermoacoustics.
1988 Swift systematically expounded and summarized the linear thermoacoustics.
1.2.1 Higgins singing flame
The figure represents the “singing flame” phenomena in a portion of a hydrogen flame in a
tube with both ends open. For suitable positions of the flame, constructive interference occurs
and the tube will start to produce sound. It is shown in figure 1.2.
2
Figure 1.2: Higgins singing flame
1.2.2 Rijke’s Tube
The loudest sound is produced when the heated wire screen is positioned at one-forth from
the bottom of the pipe. Oscillations were strongest when the screen was located at one fourth
of the pipe. The oscillations would stop if the top of the tube was closed, indicating that the
convective air current through pipe was necessary for sound to be produced.
Higgins’ and Rijke’s work later lead to the birth of combustion science, with application in
rocket science and weapon industry.
The Rijke’s Tube is shown in figure 1.3
Figure 1.3: Rijke’s Tube
1.2.3 The Soundhauss Tube
• Larger the bulb or the longer the tube, the lower the frequency of the sound.
• It does not require a convective air current for oscillations to occur.
The Soundhauss Tube is shown in figure 1.4
3
Figure 1.4: Soundhauss Tube
1.3 Sound Waves and Pressure
Figure 1.5: Sound waves and acoustic vibrations
Sound waves propagate through the air via molecular collisions causing a disturbance in
the air in a closed tube, get reflected and create constructive and destructive interference. Con-
structive interference makes the molecules to compress, and the destructive interference makes
the molecules to expand.
Optimal resonant frequency to get the maximum heat transfer rate is found using
f =
nV
4L
(1.1)
where
n - no. of moles,
f - frequency,
v - velocity of the wave,
4
L - length of the tube
The figure 1.6 shows the combined effect of pressure and velocity displacement of sound
waves.
Figure 1.6: Sound waves
1.3.1 Standing Wave
Figure 1.7: Standing waves
In physics, a standing wave - also known as a stationary wave - is a wave that remains in a
constant position.
This phenomenon can occur because the medium is moving in the opposite direction to
the wave, or it can arise in a stationary medium as a result of interference between two waves
traveling in opposite directions. In the second case, for waves of equal amplitude traveling in
opposing directions, there is on average no net propagation of energy.
5
In a resonator, standing waves occur during the phenomenon known as resonance. This
could be a pressure or velocity wave. The wave pattern doesn’t move right or left. Locations
of the maxima and minima do not change.
1.3.2 Travelling wave
• The sine wave pattern continues to move in uninterrupted fashion until it encounters
either another wave along the medium or a boundary with another medium
• This type of wave pattern that is seen traveling through a medium is sometimes referred
to as a traveling wave.
• Traveling waves are observed when a wave is not confined to a given space along the
medium.
• The most commonly observed traveling wave is an ocean wave.
• Change in gas pressure travels along the tube as a sound wave
The figure 1.8 describes the propogation of travelling waves.
Figure 1.8: Propogation of Travelling Waves
6
1.4 Principle of Thermoacoustics
Thermoacoustics is based on the following principles:
• Sound waves are pressure waves and they propagate causing compressions and rarefac-
tions in the medium.
• Ideal gas equation, PV = nRT, where
P = pressure in Pascal,
V = volume in cubic meter,
n = no of moles,
R = Real gas constant (8.314 J/kgK),
T = temperature in Kelvin.
• Clausius statement on second law of thermodynamics i.e., Heat flows from body at higher
temperature to a body at lower temperature but reverse is not possible spontaneously.
• Rayleigh Principle -
– If the phase of working fluid’s motion and heat transfer are appropriate, a vibration
may be maintained.
At the phase of the greatest condensation, heat is received by the oscillating fluid,
and while at the phase of greatest rarefaction, heat is given out from it, thus acoustic
fluctuations may be enhanced (heat energy → acoustic energy)
– Contrarily -
Heat is taken out from the vibrating fluid in the time of the greatest denseness and
is supplied to it in time of the greater rareness, so there is a tendency of attenuation
for the sound wave (acoustic energy → heat flow). In this case, work has to be
delivered to the fluid for maintaining the acoustic oscillations.
Figure 1.9: Rayleigh Criteria
7
Chapter 2
Thermoacoustic System
2.1 Main Components
Thermoacoustic system consists of the following main components:
• Heat source
– Waste heat from engine exhaust
– Solar Concentrator
– Bio mass as fuel
• hot and cold heat exchangers
• The Stack
• Resonator
• Working Fluid
– Helium, argon or any inert gas
The figure 2.1 shows the components of a Thermo Acoustic System.
Figure 2.1: Components of ThermoAcoustic System
9
2.1.1 Stack
Figure 2.2: Stack
Stack is the heart of standing wave engines, where the thermoacoustic cycle is generated. It
provides solid heat capacity and large cross sectional area to maintain a good thermal contact
between gas and solid stacks. Stack consists of a series of small parallel channels through
which pressure and velocity of waves change. These plates are closely spaced surfaces aligned
parallel to the resonator tube. The plates have a honeycombed structure and absorb heat locally.
They are made up of RVC or plastic. They provide a medium for heat transfer. The spacing
crucially depends on the thermal penetration depth. The hot and cold heat exchangers are
placed at either ends of the stack. The minimum thickness of the stack plate should be 8δs,
where δs is solid thermal penetration depth, which is defined as δs = 2Ks
ωsρscs
2.1.2 Heat Exchangers
The function of heat exchangers in a thermoacoustic engine is to transfer heat from an ex-
ternal source to the working fluid in the sealed resonator chamber and they are used to maintain
the temperature gradient across the stack. The active heat exchange takes place between the
working fluid and a series of closely spaced, parallel plates with their surfaces aligned with the
direction of the wave propagation and positioned at either end of the stack. The heat exchanger
should provide high heat transfer coefficient and low acoustic power dissipation to the ther-
moacoustic side. The hot heat exchanger supplies heat to hot end of the stack and ambient heat
exchanger extracts heat from other end of stack. The blockage ratio is considered as same as
that of stack so plate size and spacing used for heat exchanger is identical to that of stack for
the present system. This allows the gas parcels to move freely from heat exchanger to stack.
With the assumption of same heat transfer coefficient and temperature difference between solid
plate and the working fluid, the hot heat exchanger requires more heat transfer area compared
to ambient heat exchanger. So the length of hot heat exchanger is chosen as twice the length of
ambient heat exchanger. The optimum PS and length of heat exchanger, which is equal to the
peak to peak displacement of the working gas is given by the following expression:
yo = 2l
a
A
(2.1)
lc =
p0
aωρm
sin(kl) (2.2)
10
2.1.3 Resonator
The resonance tube is one of the key components of a thermoacoustic engine. A smooth,
linear cylindrical resonator pipe without steps, misalignments and abrupt transitions should be
used to avoid unwanted eddying or non-linear pressure variations that would greatly complicate
the analysis. Resonance frequencies are mainly determined by the length of the resonator.
Prolongation of resonance tube may leads to decrease of working frequency and increase of
stacks hot end temperature with the same heating power. The velocity amplitude increases
from the heater to the water cooler with a certain length of the resonance tube, because the
heater is closer to the velocity node. On the other hand, when the resonance tube is prolonged,
the relative location of the thermoacoustic core shifts nearer to the velocity node so the velocity
amplitude in the thermoacoustic core decreases.
(a)
(b)
Figure 2.3: Standing Wave in a pipe
• The figure 2.3(a) shows standing waves in a pipe. Resonator is operated with this standing
wave profile.
• The figure 2.3(b) shows that just by changing the boundary condition, it changes from
quarter wave length to half wave length.
11
Chapter 3
Thermo-acoustic Engine
The thermal-to-acoustic energy conversion occurs when heat is added to the acoustically
oscillating fluid in phase with the acoustic pressure oscillations (Rayleigh criterion). The un-
steady heat release inside acoustic resonators can lead to highly intensive sound, which is one
of the reasons for rocket motor malfunctioning. However, thermoacoustic instabilities can be
controlled, and acoustic energy can be produced and harnessed in Thermoacoustic Engines.
3.1 Simple ThermoAcoustic Systems
(a) ThermoAcoustic Engine (b) ThermoAcoustic Refrigerator
Figure 3.1: Simple ThermoAcoustic Systems
13
3.2 Standing-wave Thermoacoustic System
Figure 3.2: Working of Standing Wave Thermoacoustic System
• There is a time phasing between motion and pressure, imposed by the standing wave.
• Thermal expansion occurs when pressure is high and thermal contraction when pressure
is low.
• In the absence of thermal expansion and contraction, the p - v graph will become a line.
• Thermal expansion and contraction swell that line into a narrow ellipse.
• The area under the p - v curve is the work done by the gas parcel on its surroundings.
Sum of such works by all parcels in the stack is the work produced by the engine.
• Work is produced at the acoustic frequency of the standing wave, so it is called acoustic
power.
• The thermal contact between the parcel and the adjacent plates must be neither too weak
nor too strong.
• The velocity of the gas along the stack’s temperature gradient is 90◦
out of phase with
oscillating pressure. So imperfect thermal contact between gas and stack is required to
enable the thermal expansion and contraction steps to be in phase with the oscillating
pressure.
14
Figure 3.3: Schematic Diagram of ThermoAcoustic Prime Mover
A schematic of a standing-wave engine is shown in figures 3.3 and 3.4.
(a) The heart of thermoacoustic engines is the stack (made of porous material), where acoustic
power is generated in the presence of externally maintained temperature gradient. At the
proper location of the stack inside the resonator, the heat is transported to the gas parcels
oscillating in the fundamental acoustic mode
(b) Heat is added at the time of their compression and extracted at the time of rarefaction
(c) Besides simple standing-wave engines, more complicated and more efficient travelling-
wave and cascade engines were developed at Los Alamos that demonstrated the second-law
efficiencies up to 41%.
Figure 3.4: Working of Standing Wave Thermoacoustic System
15
3.3 Travelling-wave Thermoacoustic System
Figure 3.5: Working of Travelling Wave Thermoacoustic System
• The figure 3.5 shows a schematic diagram of a travelling wave thermoacoustic engine. It
consists of resonator tube and a loop containing a regenerator, three heat exchangers and
a bypass loop.
• A regenerator is a porous medium with high heat capacity. It is similar to stack but the
plate spacing will be less than thermal penetration depth.
• Conversion of heat to power occurs in regenrator.
• Gas moves towards hot HX when the pressure is high and and towards ambient HX when
the pressure is low.
• Acoustic power must be injected in to the ambient end of the regenrator in order to
amplify the acoustic power.
• Good heat transfer between solid and gas is required.
• The velocity of the gas along the regenerator’s temperature gradient is substantially in
phase with the oscillating pressure, so good thermal contact between gas and the regen-
erator is required to cause the thermal expansion and contracting steps to be in phase with
the oscillating pressure.
16
3.4 Behaviour of the Gas Molecules
Figure 3.6: Behaviour of the Gas Molecules
The figure 3.6 shows
a) Gas parcels oscillating with standing wave phasing in a close tube
b) Gas parcels oscillating with travelling wave phasing in an infinite tube. The pressure os-
cillations are indicated by dashed lines, the velocity oscillation by solid line and the arrow
give the direction of oscillation.
c) The temperature of the gas parcel during one oscillation as a function of its position relative
to the standing wave.
d) Temperature position diagram for travelling wave.
e) Temperature position diagram when a small travelling wave component is added to the
standing wave.
3.5 Calculation of efficiency of TAS
3.5.1 Temperature gradient
An engine and heat pump both typically use a stack and heat exchangers. The boundary
between a prime mover and heat pump is given by the temperature gradient operator, which is
the mean temperature gradient divided by the critical temperature gradient.
I =
Tm
Tcric
(3.1)
The mean temperature gradient is the temperature difference across the stack divided by the
length of the stack.
Tm =
∆Tm
∆xstack
(3.2)
17
The critical temperature gradient is a value depending on certain characteristics of the de-
vice like frequency, cross-sectional area and gas properties.
If the temperature gradient operator exceeds one, the mean temperature gradient is larger
than the critical temperature gradient and the stack operates as a prime mover. If the tempera-
ture gradient operator is less than one, the mean temperature gradient is smaller than the critical
gradient and the stack operates as a heat pump.
3.5.2 Theoretical efficiency
In thermodynamics the highest achievable efficiency is the Carnot efficiency. The effi-
ciency of thermoacoustic engines can be compared to Carnot efficiency using the temperature
gradient operator. The efficiency of a thermoacoustic engine is given by
η =
ηc
I
(3.3)
The most efficient thermoacoustic devices built to date have an efficiency approaching
40% of the Carnot limit, or about 20% to 30% overall (depending on the heat engine tem-
peratures). Higher hot-end temperatures may be possible with thermoacoustic devices because
there are no moving parts, thus allowing the Carnot efficiency to be higher.
3.6 Merits of TAE
• Environment friendly working medium (air, noble gas)
• No moving parts , so very reliable and a long life span
• No need of lubrication and sliding seals.
• The use of air or noble gas as working medium offers a large window of applications
because there are no phase transitions.
• No fuels or electricity is required. Freely available solar energy or waste heat can be
directly harnessed for heating.
• Compact in size and simple in construction.
3.7 De-Merits of TAE
• Thermo acoustic Engines gives only one-fourth the efficiency compared to conventional
prime movers.
• Losses also occur because of acoustic distortions generated at levels above 155 decibels.
18
Chapter 4
Exhaust Heat Recovery Systems
Today’s life depends heavily on the internal combustion engines. Despite lots of technolog-
ical advancements to improve the efficiency of their performance, a substantial proportion of
energy is still lost in the form of heat energy of exhaust gases. Generally, at full load, a typical
diesel engine can convert 38% of the chemical energy of the fuel into useful work whereas
around 30% is wasted through exhaust gases and 25% is lost in coolant and lubrication. A
typical diesel engine exhaust gas temperature range is 500-700 (◦
C) which varies with size,
speed and load of the engine. The exhaust gas has a higher recovery potential than the coolant
by virtue of its higher temperature and exergy. This high exhaust temperature provides a sig-
nificant opportunity to recover heat using exhaust heat recovery (EHR) technology for various
applications. The exhaust heat recovery can be done by the following two methods:
1. Direct Exhaust Heat Recovery System (DEHR)
2. Indirect Exhaust Heat Recovery System (IEHR)
4.1 Direct Exhaust Heat Recovery System (DEHR)
Figure 4.1: Direct EHR
19
The apparatus of direct waste heat recovery system consists of
• Engine
• Exhaust pipe
• Hot heat exchanger
• Cold heat exchanger
• Stack
• Coolant system
• Resonator
The black line in the diagram represents the flow of exhaust gases. The blue line represents
the flow of cooling water. The arrows indicate the direction of motion. The gases leaving the
engine exhaust are made to pass into an annulus in the hot heat exchanger which is used to
maintain the hot end of the stack. The cold heat exchanger is cooled with the help of water at
ambient temperature. This maintains the cold end of the stack. The temperature difference be-
tween both the ends of the stack is used to maintain a temperature gradient which will produce
acoustic waves. These waves are then amplified in the resonator.
4.2 Indirect Exhaust Heat Recovery System (IEHR)
Figure 4.2: Indirect EHR
The apparatus of direct waste heat recovery system consists of
• Engine
• Exhaust pipe
20
• Hot heat exchanger
• Primary heat exchanger
• Secondary heat exchanger
• Cold heat exchanger
• Stack
• Coolant system
• Resonator
The red line represents the path of feed water conversion to steam and then to superheated
steam as it passes from secondary(between 2 and 1) and primary(between 3 and 4) heat ex-
changers. The engine exhaust gas is bifurcated in 2 parts before entering into the primary heat
exchanger. One path is through the primary heat exchanger which goes into the secondary heat
exchanger. The other path bypasses the primary to join the former path via a valve.
The difference between both the methods is that in the indirect method, the hot end of the
stack is maintained using superheated steam rather than being maintained through direct use of
exhaust gases.
The IEHR system provides a relatively stable and continuous flow of heat energy at the hot
end of the stack but at the cost of lesser temperature gradient. This can be a potential heat
recovery system for automobiles where the exhaust gas flow is non-uniform.
21
Chapter 5
Design of Thermoacoustic System
After having established the theory of thermoacoustics and waste heat recovery we now
look into the design procedure. In this we utilize a high volume flow rate but low temperature
waste heat discharged from the exhaust of an internal combustion engine. Thermoacoustics for
waste heat recovery are attractive because they are less capital intensive, don’t require exotic
materials or close manufacturing tolerances. In this preliminary design procedure we use a
mixture of linear thermoacoustic theory and iterative design philosophy to give a brief outline
of the proposed Engine Exhaust Based Thermoacoustic Engine - Compressor System. The
design can be proceeded in two distinct but complementary methods. One by fixing the acoustic
power required and building the system to meet that requirement and the other by selecting an
engine with a given amount of heat energy in exhaust and building the most efficient system
possible for it.
5.1 Design Strategy
We start by considering the design and optimization of the stack of the compressor which
forms the main part of the system. The coefficient of performance of the stack, defined as
the ratio of the heat pumped by the stack to the acoustic power used by the stack, is to be
maximized. The exact theoretical expressions of the acoustic power and cooling power in the
stack are complicated, so one can try to use the simplified expressions deduced from the short
stack, and boundary-layer approximations [2]. These expressions still look complicated and
they contain a large number of parameters of the working gas, material and geometrical pa-
rameters of the stack. It is difficult to deal in engineering with so many parameters. However,
one can reduce the number of parameters by choosing a group of dimensionless independent
variables. Olson and Swift wrote a paper about similitude and dimensionless parameters for
thermoacoustic devices. Some dimensionless parameters can be deduced directly. Others can
be defined from the boundary-layer and short-stack assumptions. The parameters, of impor-
tance in thermoacoustics, which are contained in the work flow and heat flow expressions are
given in 5.1
The goal of this thermoacoustic system is to provide a cooling load of 20W at 273K and
where the hot heat exchanger of the refrigerator is at ambient conditions. The work required
for this cooling is to be supplied by a TA engine which is powered using exhaust gas of a diesel
engine. These requirement can be used as an output and added to the operation parameters or
it can be used as a primary input in the system. For our design we take the cooling load and
temperature as input values and then check for the best possible combination for maximum
efficiency of the system. The main operation parameters are stated in 5.1.
23
Figure 5.1: Operating Parameters
The boundary-layer and short-stack approximations assume the following:
• The reduced acoustic wavelength is larger than the stack length: λ/2π Ls; so that the
pressure and velocity can be considered as constant over the stack and that the acoustic
field is not significantly disturbed by the presence of the stack.
• The thermal and viscous penetration depths are smaller than the spacing in the stack:
δk, δv y0. This assumption leads to the simplification of Rott’s functions, where the
complex hyperbolic tangents can be set equal to one .
• The temperature difference is smaller than the average temperature: δTm Tm, so that
the thermophysical properties of the gas can be considered as constant within the stack.
The length and position of the stack can be normalized by λ/2π. The thermal and viscous
penetration depths can be normalized by the half spacing in the stack y0. The cold temperature
or the temperature difference can be normalized by Tm. Since δk and δm (see below) are related
by the Prandtl number σ, this will further simplify the number of parameters. Olson and Swift
proposed to normalize the acoustic power W and the cooling power Qc by the product of the
mean pressure pm; the sound velocity a, and the cross-sectional area of the stack A: pmaA. The
amplitude of the dynamic pressure can be normalized by the mean pressure. The ratio p0/pm
is called the drive ratio D. In practice the stack material can be chosen so that the thermal
conductive term in the heat flow expression can be neglected. In this case the parameters of the
stack material do not have to be considered in the performance calculations.
5.1.1 Average Pressure
Since the power density in a thermoacoustic device is proportional to the average pressure
pm[2], it is favorable to choose pm as large as possible. This is determined by the mechanical
strength of the resonator. On the other hand, δk is inversely proportional to square root of
pm, so a high pressure results in a small δk and a very small stack plate spacing. This makes
the construction difficult. We choose to use 10bar, 20bar and 30bar. Although it is difficult
24
practically to take the pressures beyond 12bar, we calculate for 20bar and 30bar for theoretical
purposes.
5.1.2 Frequency
As the power density in the thermoacoustic devices is a linear function of the acoustic
resonance frequency [2] an obvious choice is thus a high resonance frequency. On the other
hand δk is inversely proportional to the square root of the frequency which again implies a stack
with very small plate spacing. Making a comprise between these two effects and the fact that
the driver resonance has to be matched to the resonator resonance for high efficiency of the
driver, we choose to use a frequency of 300 Hz.
5.1.3 Working Gas
We use helium as working gas. The reason for this choice is that helium has the highest
sound velocity and thermal conductivity of all inert gases. In this way the resonance frequency
of 300 Hz is easily obtained without making the system too small. Furthermore, helium is
cheap in comparison with the other noble gases. A high thermal conductivity is wise since δk
is proportional to the square of the thermal conductivity coefficient K.
5.1.4 Stack Material
The second term in the equation for Qcn represents the heat conductivity through the stack
material and gas in the stack region. This heat conduction has a negative effect on the perfor-
mance of the refrigerator. The stack material must have a low thermal conductivity Ks and a
heat capacity Cs larger than the heat capacity of the working gas, in order that the temperature
of the stack plates is steady. In this way the parameter s can be neglected. The material Mylar
is chosen, as it has a low heat conductivity (0.16 W/mK) and is produced in thicknesses of 10
µm-500 µm .
5.1.5 Stack Geometry
There are many geometries which the stack can have: Parallel plates, circular pores, pin
arrays, triangular pores etc. The geometry of the stack is expressed in Rott’s function f. This
function is given for some channel geometries in the literature[3]. One can see that the cooling
power is proportional to Im (−fk). shows the real and imaginary parts of f for some geometries
as functions of the ratio the hydraulic radius rh, which is defned as the ratio of the cross-
sectional area and the perimeter of the channel and the thermal penetration depth. The pin
arrays and parallel-plates stacks are the best. We note that for parallel-plate stack rh = y0.
The pin-array stack is too difficult to manufacture. Hence, we choose to use a stack made of
parallel-plates. The selection of a frequency of 300 Hz, and helium as working gas, determines
the thermal and viscous penetration depths. In order not to alter the acoustic field, it was stated
[4] to use a spacing of 2δk to 4δk. We choose to use a spacing of about 1.63 mm. The remaining
stack geometrical parameters are the center stack position xs, the length of the stack and Ls.
These parameters are determined from the performance optimization of the stack.
25
5.2 Design Strategy
We remain with three stack design parameters: the center position xn, the length Lsn and
the cross-sectional area A. By using data for the gas parameters we first optimize the stack
geometry parameters by optimizing the performance expressed in terms of the COP. This leads
to the determination of xn and Lsn. The area of the stack is fed as input to the system because
of the manufacturing constraints. This area is equal to the resonator cross section at the stack
location. Once these parameters are determined we can design the resonator. The dissipated
acoustic power at the cold side of the resonator forms an extra heat load to the cold heat ex-
changer. This load, and the required cooling power, will form the total heat load that the cold
heat exchanger has to transfer to the stack. The first law of thermodynamics states that the total
heat load at the hot heat exchanger is the sum of the heat pumped by the stack and the acoustic
power used by the stack to realize the heat transfer process. The hot heat exchanger has to
remove this heat from the hot side of the stack. The TA engine has to provide the total needed
acoustic power.
The normalized operation, working gas and stack parameters are shown in figure 5.2 with
an additional index n. By making specific choices for operating parameters and working gas
the number of parameters can be further reduced.
Figure 5.2: Normalized Parameters
The thermal and viscous penetration depths are given by
δk =
2K
ωρcp
(5.1)
δv =
2µ
ωρ
(5.2)
The equations for Q and W can be rewritten in a dimensionless form by using the dimen-
sionless parameters, the gas data, and substitution of above equations.
26
5.2.1 Resonator
The resonator is designed in order that the length, weight, shape and the losses are opti-
mal. The resonator has to be compact, light, and strong enough. The shape and length are
determined by the resonance frequency and minimal losses at the wall of the resonator. The
cross-sectional area A of the resonator at the stack location is determined in the preceding Sec-
tion. The resonator can have a λ/2 or a λ/4-length, as shown in the figures. The viscous and
thermal relaxation dissipation losses take place in the penetration depths, along the surface of
the resonator. In the boundary-layer approximation, the acoustic power lost per unit surface
area of the resonator is given by
where the first term on the right hand side is the kinetic energy dissipated by viscous shear.
The second term is the energy dissipated by thermal relaxation. Since the total dissipated energy
is proportional to the surface area of the resonator, a λ/4-resonator will dissipate half the energy
of the λ/2 resonator. In our design we use a 1.65m long resonator. A metallic spherical bulbcan
be used to terminate the resonator. The sphere had sufficient volume to simulate an open end.
But at the open end, which is a velocity antinode, the velocity is maximum so that an abrupt
27
transition can generate turbulence and so losses occur. Because we have to place the stack of
the engine at the other end we use a straight resonator.
Figure 5.3: Types of Resonators
5.2.2 Heat Exchangers
The heat exchangers are necessary to transfer the energy of the thermoacoustic cooling
process. The design of the heat exchangers is one of the important problems in thermoacoustics.
Little is known about heat transfer in oscillating flows with zero mean velocity. The standard
steady-flow design methodology for heat exchangers cannot be applied directly. Furthermore,
an understanding of the complex flow patterns at the ends of the stack is also necessary for the
design. In the following, we will discuss some requirement issues for the design of the heat
exchangers. The design and construction of the heat exchangers was not carried out due to time
contraints.
5.2.2.1 Cold Heat Exchanger
The whole resonator part on the right of the stack, cools down so a cold heat exchanger is
necessary to make a good thermal contact between the cold side of the stack and the small tube
resonator. An electrical heater is placed at the cold heat exchanger to measure cooling power.
The length of the heat exchanger is determined by the distance over which heat is transferred by
gas. The optimum length corresponds to the peak-to-peak displacement of the gas at the cold
heat exchanger location. The porosity of the cold heat exchanger must be equal to the porosity
of the stack. This implies that the same blockage ratio has to be used in the design of the cold
heat exchanger. Acoustic power is also dissipated in the cold heat exchanger.
5.2.2.2 Hot Heat Exchanger
The hot heat exchanger is necessary to remove the heat pumped by the stack and to reject
it to the circulating cooling water. As discussed in the precedent subsection, the optimal length
28
of the heat exchanger is equal to the peak-to-peak displacement amplitude of the gas at the
heat exchanger location. But since the hot heat exchanger has to reject nearly twice the heat
supplied by the cold heat exchanger, the length of the hot heat exchanger should be twice that
of the cold heat exchanger. Substituting the position of the hot heat exchanger xn, the length
Lsn and Γ, we obtain an estimation for the acoustic power dissipated in the hot heat exchanger.
Because we are designing the system where the work required for the refrigerator is given
by a TA engine we have to place two stacks in the same resonator. The stack for the engine is
to the left and that of the refrigerator is to the right.
Figure 5.4: TA System
29
30
5.3 Design Methodology
For the ease of calculation and to incorporate all the possible combinations to find the most
efficient system we formulated a code for the design of our system. It is a two part code, first
which calculates all the values for the refrigerator and the second for the engine calculations.
Below we have tried to enumerate all the steps that the code follows in chronological order.
The results of the code are showed and explained in the subsequent sections. The entire code
has been attached in the end for reference.
Step 1: First all the variables and constants that will be required in the code are defined and
the values of independent constants are fed into the code.
Step 2: The code starts with the pressure loop. For our design we consider three values
of pressure: 10bar, 20bar, and 30bar. Thus this loop encompasses the entire code and runs the
three values starting from 10bar with an increment of 10bar.
Step 3: Then comes the xn and lsn loop. For our design we need the optimum value of
stack length(Lsn) and stack center distance(xn). For that end we use two loops one for xn and
one for Lsn, the Lsn loop is within the Xn loop, thus for each value of Xn, each value of Lsn
will be computed to get the most accurate answer possible. The values of Xn are varied from
0.01 to 1 in steps of 0.01, and for each of these values the value of Lsn is varied between 0.05,
0.06 and 0.07. We have selected only 3 values for Lsn because of manufacturing constraints.
Step 4: For each obtained value of Xn and Lsn we calculate the values of Wn, Qn and
COP from the previously mentioned formulae. In our design requirements we have a cooling
load of 20W and hence we have added a filter in the code for the values of Qn and restricted it
between 19 and 21. There are two ways in which we can select the most efficient parameters
i.e. either by picking the values for least Wn or by picking the values for highest COP. The
values obtained from both these approaches is the same.
Step 5: Once the Wn and the corresponding parameters are obtained we calculate the losses
that occur in the resonator and calculate the Wtot for the refrigerator part of the system.
Step 6: Here the engine part of the system starts. There are a couple of variations in the
engine part code as compared to the refrigerator code. There is a loop for the variation of hot
heat exchanger temperature which runs from 400 to 1000 in steps of 100. This has to be in-
corporated because at the difference in temperature increases, the heat available also increases.
This loop was not necessary in the refrigerator design as in the initial description of the problem
we have defined that the cooling load is at a temperature of 0.
Step 7: Now as the value of T changes, the constants that depend on temperature also
change. Thus all these values are calculated for all the mean temperatures. Once these are
available all that remains is Xn and Lsn. For that again a loop similar to that which was used
in refrigerator is used. The value of Xn changes from 0.01 to 1 in the increments of 0.01 and
within this loop Lsn takes the values of 0.05, 0.06 and 0.07.
Step 8: Now the code calculates the values for Wn, Qn and η for each of the Xn and Lsn
combination. Now because we are going to supply the work required for the refrigerator from
31
the output work of the engine, the work output of the engine has to be greater than the sum of
the work required for the refrigerator and the resonator losses. For this a filter is added in the
code that picks up values of W which satisfy the above condition.
Step 9: Now out of all the available values the value with the highest efficiency is selected.
Then this value is paired with the values obtained from the refrigerator and an overall efficiency
of the system is obtained.
This completes the design of the stacks of the TA system.
32
Chapter 6
Results
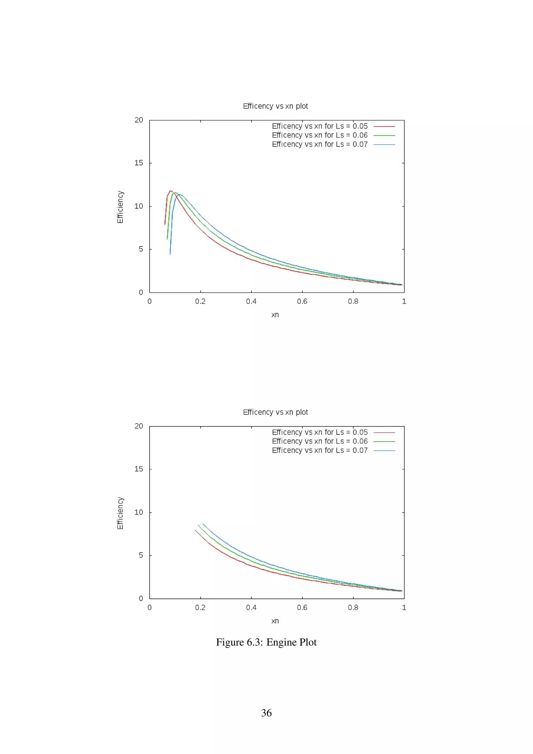
The results obtained from the code for the refrigerator part are tabulated. In Table only
the crucial values are mentioned as showing all the values are beyond the scope of this report.
Fig shows the performance calculations as a function of the normalized stack length Lsn, for
different normalized stack positions xn. The normalized position xn = 0, corresponds to the
driver position (pressure antinode). In all cases the COP shows a maximum. For each stack
length there is an optimal stack position. As the normalized length of the stack increases, the
performance peak shifts to larger stack positions, while it decreases. This behavior is to be
understood in the following way: A decrease of the center position of the stack means that the
stack is placed close to the driver. Similarly the performance calculations as a function of Xn
for different values of Lsn is also shown. It shows a similar trend of sharp increase upto a point
and then sudden drop in the performance.
The performance calculations for the engine have also been tabulated and the results of the
code plotted. In figure the variation of efficiency with Lsn for different Xn has been shown. It
can be seen that for a given Xn as the Lsn increases the efficiency increases to a point, reaches a
peak and then the value drops. Now as the value of Xn increases two things happen, one is that
33
Figure 6.1: Refrigetor Plot
Figure 6.2: Refrigerator Table
34
the maximum value of efficiency decreases and second that the Lsn for max efficiency shifts
to the right. This can be understood as, when the xn increases, i.e. the center of the stack is
moved farther away the length of stack has to be increased to maintain optimum performance
levels.
The same efficiency performance calculations have been shown with Xn for different values
of Lsn. The first figure does not have the filter for the energy produced to be higher than the
input energy required. Thus it shows a larger range of acceptable values. The trend for the
35
Figure 6.3: Engine Plot
36
Figure 6.4: Engine Table
graph is similar to that of the COP v/s xn plot where the efficiency increases to a point and then
drops, the value of Xn for max efficiency increases with the increase in Lsn.
Once we introduce the filter for the energy produced, some of the values are truncated
because they don’t fulfill the criteria. This graph is basically a truncation of the previous graph
and starts quite some time after the efficiency has started to fall. Thus in this graph the efficiency
starts with the highest value and drops with increasing xn.
All these values with and without the filter have been tabulated and presented elsewhere.
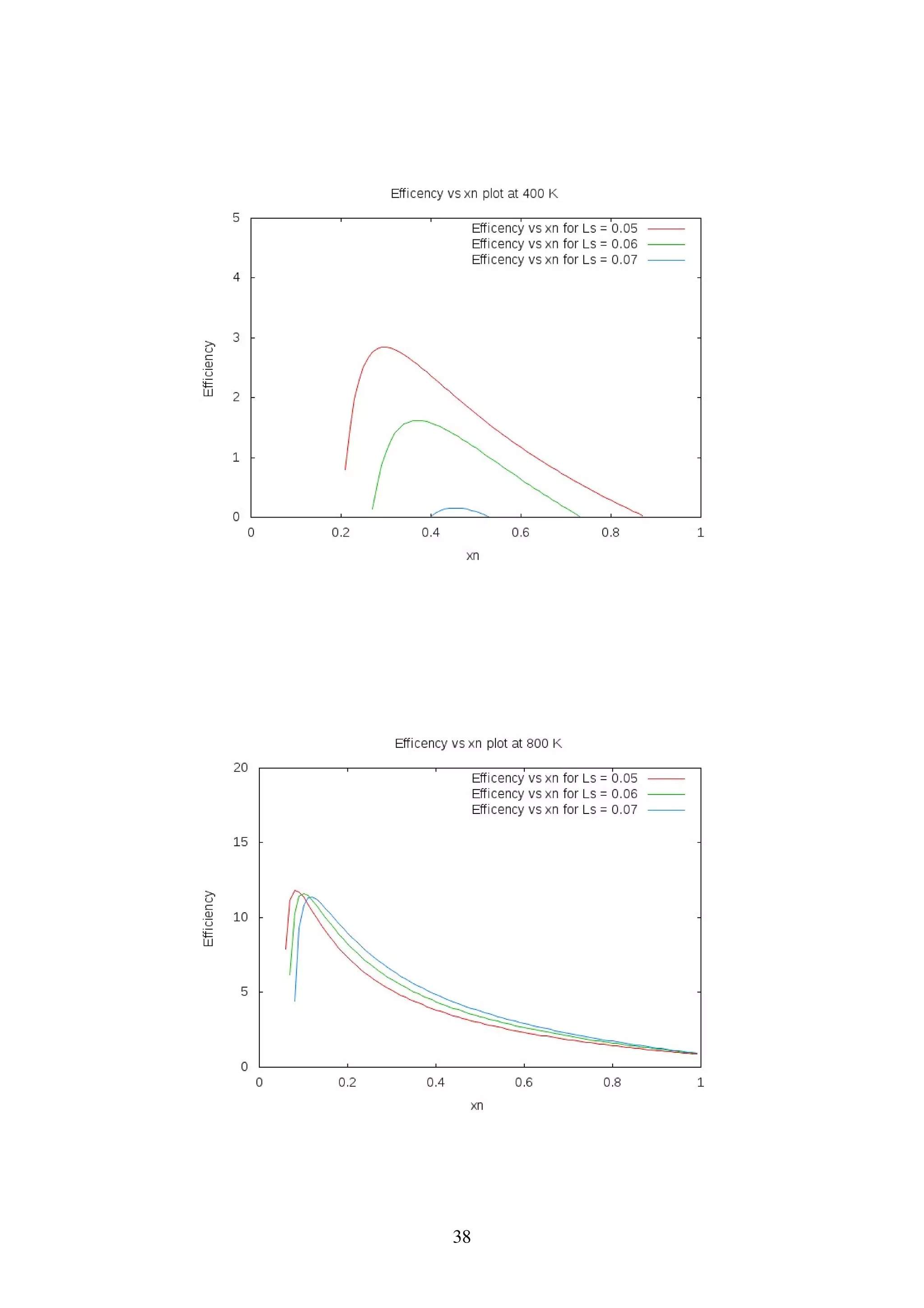
The above calculations were carried out at temperatures ranging from 400 to 1000 as men-
tioned earlier. The performance calculations at three of these temperatures 400,800 and 1000
is shown. For 400 the variation in efficiency with xn and Lsn is too high and most of the values
are not in acceptable ranges at all. As the temperatures increase the values start falling into
acceptable ranges and start following the curve mentioned in the previous graphs. Between
800 and 1000, as the temperatures increase, the peak efficiency increases, and the Xn for which
the peak efficiency is obtained dereases. The values of importance have been extracted from
the table and presented.
Once the values for the independent refrigerator and engine were obtained, we combined
the two systems and the code was run again. Here the filter for the engine work output to be
greater than the total work required by the refrigerator and resonator is implemented. From the
filtered values, the value with the highest efficiency is taken and then all the required parameters
for the refrigerator engine system are calculated. These values are displayed in the table.
The entire design procedure is summarized as follows. First of all the refrigerator output
is decided as 20W at the temperature of 273K. Then the refrigerator geometric parameters
corresponding to maximum COP point are determined. Also the resonator losses are calculated.
For the calculation of engine parameters, first of all the hot heat exchanger temperature is
decided based on the study of temperature of exhaust gases of IC engines. The temperature
range is taken as 600K to 1000K and all the calculations have been done for the average tem-
perature of 800K. The efficiency plot of the engine is obtained for three different values of
stack length by varying the stack center position. The plot is obtained only for feasible values.
Finally the heat input to the engine and the corresponding geometrical parameters are obtained
for maximum efficiency point. The values are tabulated as follows.
37
38
Figure 6.5: Combined System Plot
Figure 6.6: Combined System Table
39
Input Parameters:
• Mean Pressure: 10bar
• Frequency: 300Hz
• Working Gas: He
• Blockage Ratio: 0.67
• Drive Ratio: 3%
• Diameter of Stack: 0.05m
• Plate Spacing: 1.6348mm
• Resonator Length: 1.6564m (λ/2)
Refrigerator Parameters
• Pm: 1000000
• xs: 0.1529084
• Ls: 0.06
• Qc: 20.7879
• W: 5.1893
• COP: 4.006
Engine Parameters (Th=800K)
• Pm: 10
• xs: 0.1875
• Ls: 0.07
• Qh: 205.532
• We: 15.0834
• η: 7.33
Combined System:
• Wtot: 14.365
• Wres: 9.1731
• η: 10.115
40
Chapter 7
DeltaEC
7.1 Introduction
DeltaEC (Design Environment for Low Amplitude Thermoacoustic Energy Conversion) is
software that can calculate details of how a thermoacoustic system will perform, or can help
user to design a thermoacoustic system to get the desirable output.
Earlier, text editors were the only way to input data whereas now, there is a Python graphi-
cal, keyboard-and-mouse user interface with a built-in plotter.
DeltaEC numerically integrates in one spatial dimension using a low-amplitude, acoustic
approximation and sinusoidal time dependence. DeltaEC always assumes a time dependence
of Re(eiωt
) , so the wave equation is essentially a second order Helmholtz equation for com-
plex pressure amplitude p1(x) which can be regarded as two coupled first-order differential
equations for p1(x) and for complex volume flow rate amplitude U1(x).
p1 +
a2
ω2
d2
p1
dx2
= 0 (7.1)
dp1
dx
= −
iωρm
A
U1 (7.2)
dU1
dx
= −
iωA
ρma2
p1 (7.3)
The integration of wave equation and sometimes energy equation is carried out on each
component given by the user in the form of a sequence of segments (no more than 200). Var-
ious segments are ducts, compliances, transducers, and thermoacoustic stacks or regenerators,
etc. The medium can be gas or very compressible liquid. DeltaEC uses more complicated mo-
mentum and continuity equations that include additional effects such as dissipation of acoustic
power along the sides of ducts.
In stacks and regenerators, the acoustic solution for pressures and volume flow rates is
found simultaneously with the solution of the energy-flow equation in order to obtain the mean-
temperature profile as well. The energy-flow at stacks and regenerators is controlled by the
temperature and/or heat flow through adjacent heat exchangers.
41
DeltaEC uses continuity of p1 and U1 to pass from the end of one segment to the beginning
of the next. Within each segment, wave propagation depends on local parameters such as area
and perimeter as well as on global parameters such as frequency.
The solutions for p1(x) and U1(x) can be determined uniquely if four real boundary con-
ditions are imposed because the governing equation is in the form of two coupled first-order
equations in two complex variables, or four coupled first-order equations in four real variables.
One can give all the four boundary conditions at the initial end of the apparatus, or one or more
can be given at the final end. In the second case, DeltaEC uses shooting methods, by guessing
any unknowns among the four numbers defining p1 and U1 at the initial end of the integration,
integrating to the other end, comparing the results with the target boundary conditions imposed
at that other end or elsewhere, and adjusting its guesses until the integration results meet the
targets.
7.2 Guesses and Targets
As we know, there should be four boundary conditions available to get the solutions of p1
and U1 and these conditions can be given at initial and/or final ends of the apparatus. If one
or more conditions are given at the final end, then the initial values of the variables that are
directly dependent on those conditions must be predicted by the software.
One can set targets in various segments. A set of possible targets are given in the segments,
the user can set the values of the targets in any segment and he has to set the guesses in the
previous segments for the unknowns directly affecting the targets which provide the flexibility
for the shooting method to be executed.
In the shooting method, the software guesses the unknowns among the four numbers defin-
ing p1 and U1 at the initial end of the integration and integrate to the other end, comparing the
results with the target boundary conditions imposed at the other end or elsewhere, adjusting its
guesses till the matching results are obtained.
The selection of guesses and targets in not limited only to the boundary inputs. Any vari-
ables that have an effect on the downstream target variables can be used. This enables DeltaEC
to calculate a resonance frequency, a geometrical dimension, a temperature, or even the con-
centration in a binary gas mixture in order to satisfy given boundary conditions.
7.3 Two most basic physical segments
7.3.1 Duct
DUCT is the segment in DeltaEC which is used to add circular ducts of any diameter to the
apparatus. For large ducts of any cross-section, (i.e. where the thermal penetration depth and
the viscous penetration depth and very small as compared to hydraulic radius rh), perimeter
and area are specified.
Here the mean temperature is independent of x whereas p1 and U1 evolve with x. For
this variables being dependent on x, STKDUCT is used The turbulence algorithm of DeltaEC
42
is controlled through optional parameter d and relative roughness . The value of is taken
as 0.0005 in high amplitude acoustics. Though the actual value may be lesser, omitting this
parameter would give laminar flow conditions for any value of Reynolds’ number
• Input Variables
– Area
∗ In m2
.
∗ It the cross-sectional area A available to the gas based on the inside dimensions
of the DUCT
– Perimeter
∗ In meter
∗ Perimeter π is the inside perimeter of the section described above
– Length
∗ In meter
∗ The length ∆x of the DUCT
– Laminar/Turbulent
– Srough
∗ Srough is the surface roughness inside the DUCT, relative to the diameter.
This is called relative roughness in many fluid-mechanics books, for steady
flow. However, for oscillating flow, Srough is usually regarded as a fitting
parameter, with a typical value of = 5 × 10−4
. Larger values yield higher
turbulent dissipation of E.
• Master-slave links
– The perimeter of a DUCT can be slaved to its area to keep the cross-sectional shape
the same when area is varied.
– The length of a DUCT can be slaved to that of another segment to keep the total
length constant.
7.3.2 Cone
CONE is used to get the evolution of p1 and U1 with x in a tapered channel of any cross-
sectional shape. The perimeter is linearly interpolated between its initial and final values, and
the area is quadratically interpolated between its initial and final values.
This segment is used only when the temperature variation along x is not there, if dependence
exists then SKTCONE is used.
• Input Variables
– PerimI
∗ In meter
∗ Perimeter πI is used to assign the value of the inside perimeter at the initial end
of the CONE.
43
– PerimF
∗ Same as PerimI
∗ πF is used to assign value to the inside perimeter of the final end of the CONE.
– AreaI
∗ In m2
∗ AI assigns the value to the inside cross-sectional area of the initial end of the
CONE.
– AreaF
∗ In m2
∗ AF assigns the value to the inside cross-sectional area of the final end of the
CONE.
– Length and Srough are same as that of the DUCT.
• Master-slave links
– The initial perimeter of a CONE can be slaved to the initial area, to keep the cross-
sectional shape the same when area is changed.
– The final perimeter of a CONE can be slaved to the final area to keep the cross-
sectional shape the same when area is changed.
– Both perimeters of a CONE can be slaved to their respective areas to keep the cross-
sectional shapes the same when either or both areas are changed.
– The length and both perimeters of a CONE can be slaved to its two areas, to keep
the cross-sectional shapes of the ends and the wall taper angle constant when either
or both areas are changed.
– The length of a CONE can be slaved to that of another segment to keep the total
length constant.
There are many other segments like stacks and regenerators, pulse tubes, thermal buffers,
heat exchangers, surface, starting and ending segments, insulations etc. are also there.
7.4 DeltaEC User Interface
Figure 7.1: Begin
44
• The first segment in DeltaEC is always 0 BEGIN. It defines the initial conditions.
• The number and order of data in each segment is crucial.
• All units are in MKS.
Figure 7.2: DUCT
• Only first five characters are interpreted in segment name.
• The image 7.2 shows the DUCT segment and the number preceding shows the segment
number.
• The digits in blue color are the values that can be assigned by the user.
Figure 7.3: CONE
• The image 7.3 above shows the 3rd
segment in the apparatus. Here it is CONE.
• The figures on the right are the results which will be obtained. They are in red which
indicates that the currently shown results are not updated to accommodate the changes
made.
• After the simulation is run, the results are updated. Now they appear in green color
45
Figure 7.4: Master-Slave Links
• The Master-slave Links in blue at the lower left of the image 7.4 shows the option of
setting any master-slave links as discussed above.
• In this apparatus, the perimeter is master-slaved with the area of the DUCT.
• As the simulation is already run, the color of the perimeter appears green, else it would
have been red as shown in the image 7.5.
Figure 7.5: Master-Slave Links 1
Figure 7.6: HARDEND
• In the image 7.6, a logistical segment, HARDEND is shown which is often used as the
final segment.
46
• There are three to four possible targets in this segment.
• The HARDEND targets are appropriate when the user wants the complex volume flow
to be zero somewhere. This is a usual case at the end of a thermoacoustic system.
• Total energy flow Htot is another possible target. It can be set zero to represent thermal
insulation.
Figure 7.7: Guesses and Targets-1
• In the image 7.7, the set target Htot is assigned the value 300 in the HARDEND segment.
So it is shows in the input parameter’s position and the value is written in blue.
• We have to enter a Guess quantity in previous segment to get its value corresponding
to the target’s value. Here we have set the pressure in the 0 BEGIN segment as Guess
variable.
• So basically we are finding the pressure required to get Htot = 300.
• In the image 7.8, is shown the obtained value of pressure when the simulation is done for
the given target.
47
Figure 7.8: Guesses and Targets-2
• The schematic of the apparatus designed can be seen in the image 7.9.
• User can add segments through this schematic as well
Figure 7.9: Apparatus Schematic
• DeltaEC has a built-in plotter with the help of which a user can plot any required combi-
nations of variables.
• The axes have to be designated the variables. X-axis takes only one variable, whereas
multiple quantities can be plotted on Y-axis to see their evolution with respect to the
quantity on X-axis
48
Figure 7.10: Plotter-1
• The image 7.10 shows the plot of evolution of pressure along the length of the apparatus.
• The image 7.11 includes the variation of volume flow rate along the length of the appa-
ratus.
Figure 7.11: Plotter-2
49
Chapter 8
Conclusion and Future Work
The design procedure of a thermo acoustic system has been discussed. The source of en-
ergy used is engine exhaust gas heat. We begin the design by using approximate short stack
and boundary layer expressions for acoustic power and heat flow. It was shown how great num-
ber of parameters can be reduced using dimensionless parameters. The optimization of these
parameters was carried out with due understanding and it has been discussed in detail in this
report. This design can be cross checked using DeltaEC. The design of the 2 heat exchangers
hasn’t been touched by us and it provides a scope of further improvement in design.
Thermo-acoustic engine is a viable technology worthy of further investigation and significant
improvements can be made in the acoustic power available as output. This could be accom-
plished by increasing the amount of heat input available and improving the design of the heat
exchangers and insulation. The work output obtained can also be used to run pumps, com-
pressors and even for refrigeration. Also, it can be used in areas where there is no supply of
electricity.
51
Acknowledgement
We would like to express our deep sense of gratitude and indebtedness to our Project Guides
- Dr. H.B. Naik and Dr. K.P Desai Professor, Mechanical Engineering Department, Sardar Val-
labhbhai National Institute of Technology, Surat for their constant guidance and support to our
project.
We are also thankful to Mechanical Engineering Department, S.V.N.I.T, Surat and its staff
for providing this opportunity which helped us in gaining sufficient knowledge and to make
this Project Report successful.
53
References
[1] N. Hariharan, P. Sivashanmugam, and S. Kasthurirengan, “Influence of stack geometry
and resonator length on the performance of thermoacoustic engine,” Applied Acoustics,
vol. 73, no. 10, pp. 1052-1058, 2012.
[2] Bari, Saiful, and Shekh N. Hossain. “Waste heat recovery from a diesel engine using shell
and tube heat exchanger.” Applied Thermal Engineering 61.2 (2013): 355-363.
[3] Tijani, M. E. H., J. C. H. Zeegers, and A. T. A. M. De Waele. “Design of thermoacoustic
refrigerators.” Cryogenics 42.1 (2002): 49-57.
[4] Nowak, Iwona, et al. “Analytical and numerical approach in the simple modelling of
thermoacoustic engines.” International Journal of Heat and Mass Transfer 77 (2014):
369-376.
[5] Swift, Gregory W. “Thermoacoustic engines.” the Journal of the Acoustical Society of
America 84.4 (1988): 1145-1180.
[6] Hossain, Shekh Nisar, and Saiful Bari. “Waste heat recovery from the exhaust of a diesel
generator using Rankine Cycle.“ Energy Conversion and Management 75 (2013):
141-151.
[7] Trapp, Andrew C., et al. ”Thermoacoustic heat engine modeling and design optimiza-
tion.“ Applied Thermal Engineering 31.14 (2011): 2518-2528.
[8] Wheatley, John. ”Thermoacoustic Engines and Refrigerators.”
[9] Backhaus, Scott, and G. W. Swift. “New varieties of thermoacoustic engines.”Proceedings
of the Ninth International Congress on Sound and Vibration. 2002.
[10] Swift, G. W. “Analysis and performance of a large thermoacoustic engine.” The Journal
of the Acoustical Society of America 92.3 (1992): 1551-1563.
[11] Fahey, Donald, and Peter Timbie. “Thermoacoustic oscillations.” Wave Motion and Op-
tics (2006): 1-9.
[12] Babaei, Hadi, and Kamran Siddiqui. "Design and optimization of thermoacoustic de-
vices." Energy Conversion and Management 49.12 (2008): 3585-3598.
55

Mech_Project

  • 1.
    Abstract Over 100 yearsago, Rayleigh understood that heating and cooling could create acoustic power “if heat be given to the air at the moment of greatest condensation, or be taken from it at the moment of greatest rarefaction”. Thermoacoustics combine thermodynamics, fluid dynamics and acoustics to describe the interactions that exist between heat and sound. Under the right conditions, these inter- actions can be harnessed to design useful devices that convert heat into large amplitude sound waves and vice-versa. A thermoacoustic engine turns part of the heat flowing through a temperature gra- dient inside a porous solid into sound waves. The work in these sound waves can then be harnessed with a piston to drive a flywheel or a linear alternator, or it can be used to transport heat from a lower to a higher temperature reservoir in what is known as a thermoacoustic heat pump or refrigerator. In this project the design of thermoacoustic compressor, using the linear thermoacoustic theory, is described. Due to the large number of parameters, a choice of some parameters along with dimen- sionless independent variables will be introduced. This thermoacoustic compressor is to be powered using the heat from the exhaust of an internal combustion engine. The optimization of the different parts of the compressor will be tried and presented. iii
  • 3.
    Contents 1 Introduction 1 1.1Thermoacoustics . . . . . . . . . . . . . . . . . . . . . . . . . . . . . . . . . 1 1.2 History . . . . . . . . . . . . . . . . . . . . . . . . . . . . . . . . . . . . . . 2 1.2.1 Higgins singing flame . . . . . . . . . . . . . . . . . . . . . . . . . . 2 1.2.2 Rijke’s Tube . . . . . . . . . . . . . . . . . . . . . . . . . . . . . . . 3 1.2.3 The Soundhauss Tube . . . . . . . . . . . . . . . . . . . . . . . . . . 3 1.3 Sound Waves and Pressure . . . . . . . . . . . . . . . . . . . . . . . . . . . . 4 1.3.1 Standing Wave . . . . . . . . . . . . . . . . . . . . . . . . . . . . . . 5 1.3.2 Travelling wave . . . . . . . . . . . . . . . . . . . . . . . . . . . . . . 6 1.4 Principle of Thermoacoustics . . . . . . . . . . . . . . . . . . . . . . . . . . . 7 2 Thermoacoustic System 9 2.1 Main Components . . . . . . . . . . . . . . . . . . . . . . . . . . . . . . . . . 9 2.1.1 Stack . . . . . . . . . . . . . . . . . . . . . . . . . . . . . . . . . . . 10 2.1.2 Heat Exchangers . . . . . . . . . . . . . . . . . . . . . . . . . . . . . 10 2.1.3 Resonator . . . . . . . . . . . . . . . . . . . . . . . . . . . . . . . . . 11 3 Thermo-acoustic Engine 13 3.1 Simple ThermoAcoustic Systems . . . . . . . . . . . . . . . . . . . . . . . . . 13 3.2 Standing-wave Thermoacoustic System . . . . . . . . . . . . . . . . . . . . . 14 3.3 Travelling-wave Thermoacoustic System . . . . . . . . . . . . . . . . . . . . . 16 3.4 Behaviour of the Gas Molecules . . . . . . . . . . . . . . . . . . . . . . . . . 17 3.5 Calculation of efficiency of TAS . . . . . . . . . . . . . . . . . . . . . . . . . 17 3.5.1 Temperature gradient . . . . . . . . . . . . . . . . . . . . . . . . . . . 17 3.5.2 Theoretical efficiency . . . . . . . . . . . . . . . . . . . . . . . . . . . 18 3.6 Merits of TAE . . . . . . . . . . . . . . . . . . . . . . . . . . . . . . . . . . . 18 3.7 De-Merits of TAE . . . . . . . . . . . . . . . . . . . . . . . . . . . . . . . . . 18 4 Exhaust Heat Recovery Systems 19 4.1 Direct Exhaust Heat Recovery System (DEHR) . . . . . . . . . . . . . . . . . 19 4.2 Indirect Exhaust Heat Recovery System (IEHR) . . . . . . . . . . . . . . . . . 20 5 Design of Thermoacoustic System 23 5.1 Design Strategy . . . . . . . . . . . . . . . . . . . . . . . . . . . . . . . . . . 23 5.1.1 Average Pressure . . . . . . . . . . . . . . . . . . . . . . . . . . . . . 24 5.1.2 Frequency . . . . . . . . . . . . . . . . . . . . . . . . . . . . . . . . . 25 5.1.3 Working Gas . . . . . . . . . . . . . . . . . . . . . . . . . . . . . . . 25 5.1.4 Stack Material . . . . . . . . . . . . . . . . . . . . . . . . . . . . . . 25 5.1.5 Stack Geometry . . . . . . . . . . . . . . . . . . . . . . . . . . . . . . 25 v
  • 4.
    5.2 Design Strategy. . . . . . . . . . . . . . . . . . . . . . . . . . . . . . . . . . 26 5.2.1 Resonator . . . . . . . . . . . . . . . . . . . . . . . . . . . . . . . . . 27 5.2.2 Heat Exchangers . . . . . . . . . . . . . . . . . . . . . . . . . . . . . 28 5.2.2.1 Cold Heat Exchanger . . . . . . . . . . . . . . . . . . . . . 28 5.2.2.2 Hot Heat Exchanger . . . . . . . . . . . . . . . . . . . . . . 28 5.3 Design Methodology . . . . . . . . . . . . . . . . . . . . . . . . . . . . . . . 31 6 Results 33 7 DeltaEC 41 7.1 Introduction . . . . . . . . . . . . . . . . . . . . . . . . . . . . . . . . . . . . 41 7.2 Guesses and Targets . . . . . . . . . . . . . . . . . . . . . . . . . . . . . . . . 42 7.3 Two most basic physical segments . . . . . . . . . . . . . . . . . . . . . . . . 42 7.3.1 Duct . . . . . . . . . . . . . . . . . . . . . . . . . . . . . . . . . . . . 42 7.3.2 Cone . . . . . . . . . . . . . . . . . . . . . . . . . . . . . . . . . . . 43 7.4 DeltaEC User Interface . . . . . . . . . . . . . . . . . . . . . . . . . . . . . . 44 8 Conclusion and Future Work 51 iv
  • 5.
    List of Figures 1.1Types of ThermoAcoustic Systems . . . . . . . . . . . . . . . . . . . . . . . . 2 1.2 Higgins singing flame . . . . . . . . . . . . . . . . . . . . . . . . . . . . . . . 3 1.3 Rijke’s Tube . . . . . . . . . . . . . . . . . . . . . . . . . . . . . . . . . . . . 3 1.4 Soundhauss Tube . . . . . . . . . . . . . . . . . . . . . . . . . . . . . . . . . 4 1.5 Sound waves and acoustic vibrations . . . . . . . . . . . . . . . . . . . . . . . 4 1.6 Sound waves . . . . . . . . . . . . . . . . . . . . . . . . . . . . . . . . . . . 5 1.7 Standing waves . . . . . . . . . . . . . . . . . . . . . . . . . . . . . . . . . . 5 1.8 Propogation of Travelling Waves . . . . . . . . . . . . . . . . . . . . . . . . . 6 1.9 Rayleigh Criteria . . . . . . . . . . . . . . . . . . . . . . . . . . . . . . . . . 7 2.1 Components of ThermoAcoustic System . . . . . . . . . . . . . . . . . . . . . 9 2.2 Stack . . . . . . . . . . . . . . . . . . . . . . . . . . . . . . . . . . . . . . . 10 2.3 Standing Wave in a pipe . . . . . . . . . . . . . . . . . . . . . . . . . . . . . 11 3.1 Simple ThermoAcoustic Systems . . . . . . . . . . . . . . . . . . . . . . . . . 13 3.2 Working of Standing Wave Thermoacoustic System . . . . . . . . . . . . . . . 14 3.3 Schematic Diagram of ThermoAcoustic Prime Mover . . . . . . . . . . . . . . 15 3.4 Working of Standing Wave Thermoacoustic System . . . . . . . . . . . . . . . 15 3.5 Working of Travelling Wave Thermoacoustic System . . . . . . . . . . . . . . 16 3.6 Behaviour of the Gas Molecules . . . . . . . . . . . . . . . . . . . . . . . . . 17 4.1 Direct EHR . . . . . . . . . . . . . . . . . . . . . . . . . . . . . . . . . . . . 19 4.2 Indirect EHR . . . . . . . . . . . . . . . . . . . . . . . . . . . . . . . . . . . 20 5.1 Operating Parameters . . . . . . . . . . . . . . . . . . . . . . . . . . . . . . . 24 5.2 Normalized Parameters . . . . . . . . . . . . . . . . . . . . . . . . . . . . . . 26 5.3 Types of Resonators . . . . . . . . . . . . . . . . . . . . . . . . . . . . . . . . 28 5.4 TA System . . . . . . . . . . . . . . . . . . . . . . . . . . . . . . . . . . . . . 29 6.1 Refrigetor Plot . . . . . . . . . . . . . . . . . . . . . . . . . . . . . . . . . . 34 6.2 Refrigerator Table . . . . . . . . . . . . . . . . . . . . . . . . . . . . . . . . . 34 6.3 Engine Plot . . . . . . . . . . . . . . . . . . . . . . . . . . . . . . . . . . . . 36 6.4 Engine Table . . . . . . . . . . . . . . . . . . . . . . . . . . . . . . . . . . . 37 6.5 Combined System Plot . . . . . . . . . . . . . . . . . . . . . . . . . . . . . . 39 6.6 Combined System Table . . . . . . . . . . . . . . . . . . . . . . . . . . . . . 39 7.1 Begin . . . . . . . . . . . . . . . . . . . . . . . . . . . . . . . . . . . . . . . 44 7.2 DUCT . . . . . . . . . . . . . . . . . . . . . . . . . . . . . . . . . . . . . . . 45 7.3 CONE . . . . . . . . . . . . . . . . . . . . . . . . . . . . . . . . . . . . . . . 45 7.4 Master-Slave Links . . . . . . . . . . . . . . . . . . . . . . . . . . . . . . . . 46 7.5 Master-Slave Links 1 . . . . . . . . . . . . . . . . . . . . . . . . . . . . . . . 46 v
  • 6.
    7.6 HARDEND .. . . . . . . . . . . . . . . . . . . . . . . . . . . . . . . . . . . 46 7.7 Guesses and Targets-1 . . . . . . . . . . . . . . . . . . . . . . . . . . . . . . 47 7.8 Guesses and Targets-2 . . . . . . . . . . . . . . . . . . . . . . . . . . . . . . 48 7.9 Apparatus Schematic . . . . . . . . . . . . . . . . . . . . . . . . . . . . . . . 48 7.10 Plotter-1 . . . . . . . . . . . . . . . . . . . . . . . . . . . . . . . . . . . . . . 49 7.11 Plotter-2 . . . . . . . . . . . . . . . . . . . . . . . . . . . . . . . . . . . . . . 49 vi
  • 7.
    List of Acronyms TAEThermo Acoustic Engine TAR Thermo Acoustic Refrigerator RVC Reticulated vitreous carbon HX Heat Exchanger TAS Thermo Acoustic System vii
  • 9.
    Chapter 1 Introduction 1.1 Thermoacoustics Thermoacoustics combines the field of thermodynamics and acoustics and describes the interaction between heat and sound. While acoustics is primarily concerned with the macro- scopic effects of sound transfer like coupled pressure and motion oscillations, thermoacoustics focuses on the microscopic temperature oscillations that accompany these pressure changes. The term “Thermoacoustics” was first termed by Rott, who described it as rather self ex- planatory. Thermoacoustics is the science of generating or amplifying sound waves with the help of thermal energy or vice versa .Sound waves are simply pressure oscillations; these pres- sure oscillations can be amplified with heat. High pressure sound waves have the capacity to drive a piston. Thermoacoustic devices can readily be driven using solar energy or waste heat. The com- ponents included in thermoacoustic engines are usually very simple compared to conventional engines. The device can easily be controlled and maintained. The thermo acoustic concepts can be harnessed and exploited to create two kinds of thermo acoustic devices as shown in figure 1.1: • Acoustic oscillations powered by heat energy - Thermoacoustic engine/ Prime mover/ Compressor (Figure 1.1(a)) - Production of sound by applying temp gradient to the plates - engine or a prime mover. • Heat flow driven by acoustic power - Thermoacoustic refrigerator (Figure 1.1(b)) - Creation of thermal gradient across a blockage in an acoustic field - refrigerator or a heat pump. 1
  • 10.
    (a) Thermoacoustic Primemover (b) Thermoacoustic refrigerator Figure 1.1: Types of ThermoAcoustic Systems 1.2 History Thermoacoustic-induced oscillations have been observed for centuries. Earlier Glass blow- ers produced heat generated sound when blowing a hot bulb at the end of a cold narrow tube. 1777 Byron Higgins discovered that acoustic oscillations in a pipe might be excited by suitable placement of a hydrogen flame inside. 1850 Sandhauss firstly studied the thermoacoustic effect happening in a hollow glass tube with one end closed and the open. 1896 Lord Rayleigh explained the sondhauss tube qualitatively - Rayleigh principle. 1949 Taconis Oscillations - The phenomenon was discovered when the open end of a gas - filled tube was immersed in liquid nitrogen and cooled to cryogenic temperature. When the tube was removed from the coolant, it begin to vibrate and ’sing’ loudly. 1962 Carter et al. greatly enhanced the thermoacoustic effect by placing suitable structures (stack of plates) in sandhauss tube. He generated 27 W of acoustic power from 600 w of heat. 1970 Ceperley proposed the concept of traveling wave thermoacoustic machines. 1983 Rott established theoretical foundation of modern linear thermoacoustics. 1988 Swift systematically expounded and summarized the linear thermoacoustics. 1.2.1 Higgins singing flame The figure represents the “singing flame” phenomena in a portion of a hydrogen flame in a tube with both ends open. For suitable positions of the flame, constructive interference occurs and the tube will start to produce sound. It is shown in figure 1.2. 2
  • 11.
    Figure 1.2: Higginssinging flame 1.2.2 Rijke’s Tube The loudest sound is produced when the heated wire screen is positioned at one-forth from the bottom of the pipe. Oscillations were strongest when the screen was located at one fourth of the pipe. The oscillations would stop if the top of the tube was closed, indicating that the convective air current through pipe was necessary for sound to be produced. Higgins’ and Rijke’s work later lead to the birth of combustion science, with application in rocket science and weapon industry. The Rijke’s Tube is shown in figure 1.3 Figure 1.3: Rijke’s Tube 1.2.3 The Soundhauss Tube • Larger the bulb or the longer the tube, the lower the frequency of the sound. • It does not require a convective air current for oscillations to occur. The Soundhauss Tube is shown in figure 1.4 3
  • 12.
    Figure 1.4: SoundhaussTube 1.3 Sound Waves and Pressure Figure 1.5: Sound waves and acoustic vibrations Sound waves propagate through the air via molecular collisions causing a disturbance in the air in a closed tube, get reflected and create constructive and destructive interference. Con- structive interference makes the molecules to compress, and the destructive interference makes the molecules to expand. Optimal resonant frequency to get the maximum heat transfer rate is found using f = nV 4L (1.1) where n - no. of moles, f - frequency, v - velocity of the wave, 4
  • 13.
    L - lengthof the tube The figure 1.6 shows the combined effect of pressure and velocity displacement of sound waves. Figure 1.6: Sound waves 1.3.1 Standing Wave Figure 1.7: Standing waves In physics, a standing wave - also known as a stationary wave - is a wave that remains in a constant position. This phenomenon can occur because the medium is moving in the opposite direction to the wave, or it can arise in a stationary medium as a result of interference between two waves traveling in opposite directions. In the second case, for waves of equal amplitude traveling in opposing directions, there is on average no net propagation of energy. 5
  • 14.
    In a resonator,standing waves occur during the phenomenon known as resonance. This could be a pressure or velocity wave. The wave pattern doesn’t move right or left. Locations of the maxima and minima do not change. 1.3.2 Travelling wave • The sine wave pattern continues to move in uninterrupted fashion until it encounters either another wave along the medium or a boundary with another medium • This type of wave pattern that is seen traveling through a medium is sometimes referred to as a traveling wave. • Traveling waves are observed when a wave is not confined to a given space along the medium. • The most commonly observed traveling wave is an ocean wave. • Change in gas pressure travels along the tube as a sound wave The figure 1.8 describes the propogation of travelling waves. Figure 1.8: Propogation of Travelling Waves 6
  • 15.
    1.4 Principle ofThermoacoustics Thermoacoustics is based on the following principles: • Sound waves are pressure waves and they propagate causing compressions and rarefac- tions in the medium. • Ideal gas equation, PV = nRT, where P = pressure in Pascal, V = volume in cubic meter, n = no of moles, R = Real gas constant (8.314 J/kgK), T = temperature in Kelvin. • Clausius statement on second law of thermodynamics i.e., Heat flows from body at higher temperature to a body at lower temperature but reverse is not possible spontaneously. • Rayleigh Principle - – If the phase of working fluid’s motion and heat transfer are appropriate, a vibration may be maintained. At the phase of the greatest condensation, heat is received by the oscillating fluid, and while at the phase of greatest rarefaction, heat is given out from it, thus acoustic fluctuations may be enhanced (heat energy → acoustic energy) – Contrarily - Heat is taken out from the vibrating fluid in the time of the greatest denseness and is supplied to it in time of the greater rareness, so there is a tendency of attenuation for the sound wave (acoustic energy → heat flow). In this case, work has to be delivered to the fluid for maintaining the acoustic oscillations. Figure 1.9: Rayleigh Criteria 7
  • 17.
    Chapter 2 Thermoacoustic System 2.1Main Components Thermoacoustic system consists of the following main components: • Heat source – Waste heat from engine exhaust – Solar Concentrator – Bio mass as fuel • hot and cold heat exchangers • The Stack • Resonator • Working Fluid – Helium, argon or any inert gas The figure 2.1 shows the components of a Thermo Acoustic System. Figure 2.1: Components of ThermoAcoustic System 9
  • 18.
    2.1.1 Stack Figure 2.2:Stack Stack is the heart of standing wave engines, where the thermoacoustic cycle is generated. It provides solid heat capacity and large cross sectional area to maintain a good thermal contact between gas and solid stacks. Stack consists of a series of small parallel channels through which pressure and velocity of waves change. These plates are closely spaced surfaces aligned parallel to the resonator tube. The plates have a honeycombed structure and absorb heat locally. They are made up of RVC or plastic. They provide a medium for heat transfer. The spacing crucially depends on the thermal penetration depth. The hot and cold heat exchangers are placed at either ends of the stack. The minimum thickness of the stack plate should be 8δs, where δs is solid thermal penetration depth, which is defined as δs = 2Ks ωsρscs 2.1.2 Heat Exchangers The function of heat exchangers in a thermoacoustic engine is to transfer heat from an ex- ternal source to the working fluid in the sealed resonator chamber and they are used to maintain the temperature gradient across the stack. The active heat exchange takes place between the working fluid and a series of closely spaced, parallel plates with their surfaces aligned with the direction of the wave propagation and positioned at either end of the stack. The heat exchanger should provide high heat transfer coefficient and low acoustic power dissipation to the ther- moacoustic side. The hot heat exchanger supplies heat to hot end of the stack and ambient heat exchanger extracts heat from other end of stack. The blockage ratio is considered as same as that of stack so plate size and spacing used for heat exchanger is identical to that of stack for the present system. This allows the gas parcels to move freely from heat exchanger to stack. With the assumption of same heat transfer coefficient and temperature difference between solid plate and the working fluid, the hot heat exchanger requires more heat transfer area compared to ambient heat exchanger. So the length of hot heat exchanger is chosen as twice the length of ambient heat exchanger. The optimum PS and length of heat exchanger, which is equal to the peak to peak displacement of the working gas is given by the following expression: yo = 2l a A (2.1) lc = p0 aωρm sin(kl) (2.2) 10
  • 19.
    2.1.3 Resonator The resonancetube is one of the key components of a thermoacoustic engine. A smooth, linear cylindrical resonator pipe without steps, misalignments and abrupt transitions should be used to avoid unwanted eddying or non-linear pressure variations that would greatly complicate the analysis. Resonance frequencies are mainly determined by the length of the resonator. Prolongation of resonance tube may leads to decrease of working frequency and increase of stacks hot end temperature with the same heating power. The velocity amplitude increases from the heater to the water cooler with a certain length of the resonance tube, because the heater is closer to the velocity node. On the other hand, when the resonance tube is prolonged, the relative location of the thermoacoustic core shifts nearer to the velocity node so the velocity amplitude in the thermoacoustic core decreases. (a) (b) Figure 2.3: Standing Wave in a pipe • The figure 2.3(a) shows standing waves in a pipe. Resonator is operated with this standing wave profile. • The figure 2.3(b) shows that just by changing the boundary condition, it changes from quarter wave length to half wave length. 11
  • 21.
    Chapter 3 Thermo-acoustic Engine Thethermal-to-acoustic energy conversion occurs when heat is added to the acoustically oscillating fluid in phase with the acoustic pressure oscillations (Rayleigh criterion). The un- steady heat release inside acoustic resonators can lead to highly intensive sound, which is one of the reasons for rocket motor malfunctioning. However, thermoacoustic instabilities can be controlled, and acoustic energy can be produced and harnessed in Thermoacoustic Engines. 3.1 Simple ThermoAcoustic Systems (a) ThermoAcoustic Engine (b) ThermoAcoustic Refrigerator Figure 3.1: Simple ThermoAcoustic Systems 13
  • 22.
    3.2 Standing-wave ThermoacousticSystem Figure 3.2: Working of Standing Wave Thermoacoustic System • There is a time phasing between motion and pressure, imposed by the standing wave. • Thermal expansion occurs when pressure is high and thermal contraction when pressure is low. • In the absence of thermal expansion and contraction, the p - v graph will become a line. • Thermal expansion and contraction swell that line into a narrow ellipse. • The area under the p - v curve is the work done by the gas parcel on its surroundings. Sum of such works by all parcels in the stack is the work produced by the engine. • Work is produced at the acoustic frequency of the standing wave, so it is called acoustic power. • The thermal contact between the parcel and the adjacent plates must be neither too weak nor too strong. • The velocity of the gas along the stack’s temperature gradient is 90◦ out of phase with oscillating pressure. So imperfect thermal contact between gas and stack is required to enable the thermal expansion and contraction steps to be in phase with the oscillating pressure. 14
  • 23.
    Figure 3.3: SchematicDiagram of ThermoAcoustic Prime Mover A schematic of a standing-wave engine is shown in figures 3.3 and 3.4. (a) The heart of thermoacoustic engines is the stack (made of porous material), where acoustic power is generated in the presence of externally maintained temperature gradient. At the proper location of the stack inside the resonator, the heat is transported to the gas parcels oscillating in the fundamental acoustic mode (b) Heat is added at the time of their compression and extracted at the time of rarefaction (c) Besides simple standing-wave engines, more complicated and more efficient travelling- wave and cascade engines were developed at Los Alamos that demonstrated the second-law efficiencies up to 41%. Figure 3.4: Working of Standing Wave Thermoacoustic System 15
  • 24.
    3.3 Travelling-wave ThermoacousticSystem Figure 3.5: Working of Travelling Wave Thermoacoustic System • The figure 3.5 shows a schematic diagram of a travelling wave thermoacoustic engine. It consists of resonator tube and a loop containing a regenerator, three heat exchangers and a bypass loop. • A regenerator is a porous medium with high heat capacity. It is similar to stack but the plate spacing will be less than thermal penetration depth. • Conversion of heat to power occurs in regenrator. • Gas moves towards hot HX when the pressure is high and and towards ambient HX when the pressure is low. • Acoustic power must be injected in to the ambient end of the regenrator in order to amplify the acoustic power. • Good heat transfer between solid and gas is required. • The velocity of the gas along the regenerator’s temperature gradient is substantially in phase with the oscillating pressure, so good thermal contact between gas and the regen- erator is required to cause the thermal expansion and contracting steps to be in phase with the oscillating pressure. 16
  • 25.
    3.4 Behaviour ofthe Gas Molecules Figure 3.6: Behaviour of the Gas Molecules The figure 3.6 shows a) Gas parcels oscillating with standing wave phasing in a close tube b) Gas parcels oscillating with travelling wave phasing in an infinite tube. The pressure os- cillations are indicated by dashed lines, the velocity oscillation by solid line and the arrow give the direction of oscillation. c) The temperature of the gas parcel during one oscillation as a function of its position relative to the standing wave. d) Temperature position diagram for travelling wave. e) Temperature position diagram when a small travelling wave component is added to the standing wave. 3.5 Calculation of efficiency of TAS 3.5.1 Temperature gradient An engine and heat pump both typically use a stack and heat exchangers. The boundary between a prime mover and heat pump is given by the temperature gradient operator, which is the mean temperature gradient divided by the critical temperature gradient. I = Tm Tcric (3.1) The mean temperature gradient is the temperature difference across the stack divided by the length of the stack. Tm = ∆Tm ∆xstack (3.2) 17
  • 26.
    The critical temperaturegradient is a value depending on certain characteristics of the de- vice like frequency, cross-sectional area and gas properties. If the temperature gradient operator exceeds one, the mean temperature gradient is larger than the critical temperature gradient and the stack operates as a prime mover. If the tempera- ture gradient operator is less than one, the mean temperature gradient is smaller than the critical gradient and the stack operates as a heat pump. 3.5.2 Theoretical efficiency In thermodynamics the highest achievable efficiency is the Carnot efficiency. The effi- ciency of thermoacoustic engines can be compared to Carnot efficiency using the temperature gradient operator. The efficiency of a thermoacoustic engine is given by η = ηc I (3.3) The most efficient thermoacoustic devices built to date have an efficiency approaching 40% of the Carnot limit, or about 20% to 30% overall (depending on the heat engine tem- peratures). Higher hot-end temperatures may be possible with thermoacoustic devices because there are no moving parts, thus allowing the Carnot efficiency to be higher. 3.6 Merits of TAE • Environment friendly working medium (air, noble gas) • No moving parts , so very reliable and a long life span • No need of lubrication and sliding seals. • The use of air or noble gas as working medium offers a large window of applications because there are no phase transitions. • No fuels or electricity is required. Freely available solar energy or waste heat can be directly harnessed for heating. • Compact in size and simple in construction. 3.7 De-Merits of TAE • Thermo acoustic Engines gives only one-fourth the efficiency compared to conventional prime movers. • Losses also occur because of acoustic distortions generated at levels above 155 decibels. 18
  • 27.
    Chapter 4 Exhaust HeatRecovery Systems Today’s life depends heavily on the internal combustion engines. Despite lots of technolog- ical advancements to improve the efficiency of their performance, a substantial proportion of energy is still lost in the form of heat energy of exhaust gases. Generally, at full load, a typical diesel engine can convert 38% of the chemical energy of the fuel into useful work whereas around 30% is wasted through exhaust gases and 25% is lost in coolant and lubrication. A typical diesel engine exhaust gas temperature range is 500-700 (◦ C) which varies with size, speed and load of the engine. The exhaust gas has a higher recovery potential than the coolant by virtue of its higher temperature and exergy. This high exhaust temperature provides a sig- nificant opportunity to recover heat using exhaust heat recovery (EHR) technology for various applications. The exhaust heat recovery can be done by the following two methods: 1. Direct Exhaust Heat Recovery System (DEHR) 2. Indirect Exhaust Heat Recovery System (IEHR) 4.1 Direct Exhaust Heat Recovery System (DEHR) Figure 4.1: Direct EHR 19
  • 28.
    The apparatus ofdirect waste heat recovery system consists of • Engine • Exhaust pipe • Hot heat exchanger • Cold heat exchanger • Stack • Coolant system • Resonator The black line in the diagram represents the flow of exhaust gases. The blue line represents the flow of cooling water. The arrows indicate the direction of motion. The gases leaving the engine exhaust are made to pass into an annulus in the hot heat exchanger which is used to maintain the hot end of the stack. The cold heat exchanger is cooled with the help of water at ambient temperature. This maintains the cold end of the stack. The temperature difference be- tween both the ends of the stack is used to maintain a temperature gradient which will produce acoustic waves. These waves are then amplified in the resonator. 4.2 Indirect Exhaust Heat Recovery System (IEHR) Figure 4.2: Indirect EHR The apparatus of direct waste heat recovery system consists of • Engine • Exhaust pipe 20
  • 29.
    • Hot heatexchanger • Primary heat exchanger • Secondary heat exchanger • Cold heat exchanger • Stack • Coolant system • Resonator The red line represents the path of feed water conversion to steam and then to superheated steam as it passes from secondary(between 2 and 1) and primary(between 3 and 4) heat ex- changers. The engine exhaust gas is bifurcated in 2 parts before entering into the primary heat exchanger. One path is through the primary heat exchanger which goes into the secondary heat exchanger. The other path bypasses the primary to join the former path via a valve. The difference between both the methods is that in the indirect method, the hot end of the stack is maintained using superheated steam rather than being maintained through direct use of exhaust gases. The IEHR system provides a relatively stable and continuous flow of heat energy at the hot end of the stack but at the cost of lesser temperature gradient. This can be a potential heat recovery system for automobiles where the exhaust gas flow is non-uniform. 21
  • 31.
    Chapter 5 Design ofThermoacoustic System After having established the theory of thermoacoustics and waste heat recovery we now look into the design procedure. In this we utilize a high volume flow rate but low temperature waste heat discharged from the exhaust of an internal combustion engine. Thermoacoustics for waste heat recovery are attractive because they are less capital intensive, don’t require exotic materials or close manufacturing tolerances. In this preliminary design procedure we use a mixture of linear thermoacoustic theory and iterative design philosophy to give a brief outline of the proposed Engine Exhaust Based Thermoacoustic Engine - Compressor System. The design can be proceeded in two distinct but complementary methods. One by fixing the acoustic power required and building the system to meet that requirement and the other by selecting an engine with a given amount of heat energy in exhaust and building the most efficient system possible for it. 5.1 Design Strategy We start by considering the design and optimization of the stack of the compressor which forms the main part of the system. The coefficient of performance of the stack, defined as the ratio of the heat pumped by the stack to the acoustic power used by the stack, is to be maximized. The exact theoretical expressions of the acoustic power and cooling power in the stack are complicated, so one can try to use the simplified expressions deduced from the short stack, and boundary-layer approximations [2]. These expressions still look complicated and they contain a large number of parameters of the working gas, material and geometrical pa- rameters of the stack. It is difficult to deal in engineering with so many parameters. However, one can reduce the number of parameters by choosing a group of dimensionless independent variables. Olson and Swift wrote a paper about similitude and dimensionless parameters for thermoacoustic devices. Some dimensionless parameters can be deduced directly. Others can be defined from the boundary-layer and short-stack assumptions. The parameters, of impor- tance in thermoacoustics, which are contained in the work flow and heat flow expressions are given in 5.1 The goal of this thermoacoustic system is to provide a cooling load of 20W at 273K and where the hot heat exchanger of the refrigerator is at ambient conditions. The work required for this cooling is to be supplied by a TA engine which is powered using exhaust gas of a diesel engine. These requirement can be used as an output and added to the operation parameters or it can be used as a primary input in the system. For our design we take the cooling load and temperature as input values and then check for the best possible combination for maximum efficiency of the system. The main operation parameters are stated in 5.1. 23
  • 32.
    Figure 5.1: OperatingParameters The boundary-layer and short-stack approximations assume the following: • The reduced acoustic wavelength is larger than the stack length: λ/2π Ls; so that the pressure and velocity can be considered as constant over the stack and that the acoustic field is not significantly disturbed by the presence of the stack. • The thermal and viscous penetration depths are smaller than the spacing in the stack: δk, δv y0. This assumption leads to the simplification of Rott’s functions, where the complex hyperbolic tangents can be set equal to one . • The temperature difference is smaller than the average temperature: δTm Tm, so that the thermophysical properties of the gas can be considered as constant within the stack. The length and position of the stack can be normalized by λ/2π. The thermal and viscous penetration depths can be normalized by the half spacing in the stack y0. The cold temperature or the temperature difference can be normalized by Tm. Since δk and δm (see below) are related by the Prandtl number σ, this will further simplify the number of parameters. Olson and Swift proposed to normalize the acoustic power W and the cooling power Qc by the product of the mean pressure pm; the sound velocity a, and the cross-sectional area of the stack A: pmaA. The amplitude of the dynamic pressure can be normalized by the mean pressure. The ratio p0/pm is called the drive ratio D. In practice the stack material can be chosen so that the thermal conductive term in the heat flow expression can be neglected. In this case the parameters of the stack material do not have to be considered in the performance calculations. 5.1.1 Average Pressure Since the power density in a thermoacoustic device is proportional to the average pressure pm[2], it is favorable to choose pm as large as possible. This is determined by the mechanical strength of the resonator. On the other hand, δk is inversely proportional to square root of pm, so a high pressure results in a small δk and a very small stack plate spacing. This makes the construction difficult. We choose to use 10bar, 20bar and 30bar. Although it is difficult 24
  • 33.
    practically to takethe pressures beyond 12bar, we calculate for 20bar and 30bar for theoretical purposes. 5.1.2 Frequency As the power density in the thermoacoustic devices is a linear function of the acoustic resonance frequency [2] an obvious choice is thus a high resonance frequency. On the other hand δk is inversely proportional to the square root of the frequency which again implies a stack with very small plate spacing. Making a comprise between these two effects and the fact that the driver resonance has to be matched to the resonator resonance for high efficiency of the driver, we choose to use a frequency of 300 Hz. 5.1.3 Working Gas We use helium as working gas. The reason for this choice is that helium has the highest sound velocity and thermal conductivity of all inert gases. In this way the resonance frequency of 300 Hz is easily obtained without making the system too small. Furthermore, helium is cheap in comparison with the other noble gases. A high thermal conductivity is wise since δk is proportional to the square of the thermal conductivity coefficient K. 5.1.4 Stack Material The second term in the equation for Qcn represents the heat conductivity through the stack material and gas in the stack region. This heat conduction has a negative effect on the perfor- mance of the refrigerator. The stack material must have a low thermal conductivity Ks and a heat capacity Cs larger than the heat capacity of the working gas, in order that the temperature of the stack plates is steady. In this way the parameter s can be neglected. The material Mylar is chosen, as it has a low heat conductivity (0.16 W/mK) and is produced in thicknesses of 10 µm-500 µm . 5.1.5 Stack Geometry There are many geometries which the stack can have: Parallel plates, circular pores, pin arrays, triangular pores etc. The geometry of the stack is expressed in Rott’s function f. This function is given for some channel geometries in the literature[3]. One can see that the cooling power is proportional to Im (−fk). shows the real and imaginary parts of f for some geometries as functions of the ratio the hydraulic radius rh, which is defned as the ratio of the cross- sectional area and the perimeter of the channel and the thermal penetration depth. The pin arrays and parallel-plates stacks are the best. We note that for parallel-plate stack rh = y0. The pin-array stack is too difficult to manufacture. Hence, we choose to use a stack made of parallel-plates. The selection of a frequency of 300 Hz, and helium as working gas, determines the thermal and viscous penetration depths. In order not to alter the acoustic field, it was stated [4] to use a spacing of 2δk to 4δk. We choose to use a spacing of about 1.63 mm. The remaining stack geometrical parameters are the center stack position xs, the length of the stack and Ls. These parameters are determined from the performance optimization of the stack. 25
  • 34.
    5.2 Design Strategy Weremain with three stack design parameters: the center position xn, the length Lsn and the cross-sectional area A. By using data for the gas parameters we first optimize the stack geometry parameters by optimizing the performance expressed in terms of the COP. This leads to the determination of xn and Lsn. The area of the stack is fed as input to the system because of the manufacturing constraints. This area is equal to the resonator cross section at the stack location. Once these parameters are determined we can design the resonator. The dissipated acoustic power at the cold side of the resonator forms an extra heat load to the cold heat ex- changer. This load, and the required cooling power, will form the total heat load that the cold heat exchanger has to transfer to the stack. The first law of thermodynamics states that the total heat load at the hot heat exchanger is the sum of the heat pumped by the stack and the acoustic power used by the stack to realize the heat transfer process. The hot heat exchanger has to remove this heat from the hot side of the stack. The TA engine has to provide the total needed acoustic power. The normalized operation, working gas and stack parameters are shown in figure 5.2 with an additional index n. By making specific choices for operating parameters and working gas the number of parameters can be further reduced. Figure 5.2: Normalized Parameters The thermal and viscous penetration depths are given by δk = 2K ωρcp (5.1) δv = 2µ ωρ (5.2) The equations for Q and W can be rewritten in a dimensionless form by using the dimen- sionless parameters, the gas data, and substitution of above equations. 26
  • 35.
    5.2.1 Resonator The resonatoris designed in order that the length, weight, shape and the losses are opti- mal. The resonator has to be compact, light, and strong enough. The shape and length are determined by the resonance frequency and minimal losses at the wall of the resonator. The cross-sectional area A of the resonator at the stack location is determined in the preceding Sec- tion. The resonator can have a λ/2 or a λ/4-length, as shown in the figures. The viscous and thermal relaxation dissipation losses take place in the penetration depths, along the surface of the resonator. In the boundary-layer approximation, the acoustic power lost per unit surface area of the resonator is given by where the first term on the right hand side is the kinetic energy dissipated by viscous shear. The second term is the energy dissipated by thermal relaxation. Since the total dissipated energy is proportional to the surface area of the resonator, a λ/4-resonator will dissipate half the energy of the λ/2 resonator. In our design we use a 1.65m long resonator. A metallic spherical bulbcan be used to terminate the resonator. The sphere had sufficient volume to simulate an open end. But at the open end, which is a velocity antinode, the velocity is maximum so that an abrupt 27
  • 36.
    transition can generateturbulence and so losses occur. Because we have to place the stack of the engine at the other end we use a straight resonator. Figure 5.3: Types of Resonators 5.2.2 Heat Exchangers The heat exchangers are necessary to transfer the energy of the thermoacoustic cooling process. The design of the heat exchangers is one of the important problems in thermoacoustics. Little is known about heat transfer in oscillating flows with zero mean velocity. The standard steady-flow design methodology for heat exchangers cannot be applied directly. Furthermore, an understanding of the complex flow patterns at the ends of the stack is also necessary for the design. In the following, we will discuss some requirement issues for the design of the heat exchangers. The design and construction of the heat exchangers was not carried out due to time contraints. 5.2.2.1 Cold Heat Exchanger The whole resonator part on the right of the stack, cools down so a cold heat exchanger is necessary to make a good thermal contact between the cold side of the stack and the small tube resonator. An electrical heater is placed at the cold heat exchanger to measure cooling power. The length of the heat exchanger is determined by the distance over which heat is transferred by gas. The optimum length corresponds to the peak-to-peak displacement of the gas at the cold heat exchanger location. The porosity of the cold heat exchanger must be equal to the porosity of the stack. This implies that the same blockage ratio has to be used in the design of the cold heat exchanger. Acoustic power is also dissipated in the cold heat exchanger. 5.2.2.2 Hot Heat Exchanger The hot heat exchanger is necessary to remove the heat pumped by the stack and to reject it to the circulating cooling water. As discussed in the precedent subsection, the optimal length 28
  • 37.
    of the heatexchanger is equal to the peak-to-peak displacement amplitude of the gas at the heat exchanger location. But since the hot heat exchanger has to reject nearly twice the heat supplied by the cold heat exchanger, the length of the hot heat exchanger should be twice that of the cold heat exchanger. Substituting the position of the hot heat exchanger xn, the length Lsn and Γ, we obtain an estimation for the acoustic power dissipated in the hot heat exchanger. Because we are designing the system where the work required for the refrigerator is given by a TA engine we have to place two stacks in the same resonator. The stack for the engine is to the left and that of the refrigerator is to the right. Figure 5.4: TA System 29
  • 38.
  • 39.
    5.3 Design Methodology Forthe ease of calculation and to incorporate all the possible combinations to find the most efficient system we formulated a code for the design of our system. It is a two part code, first which calculates all the values for the refrigerator and the second for the engine calculations. Below we have tried to enumerate all the steps that the code follows in chronological order. The results of the code are showed and explained in the subsequent sections. The entire code has been attached in the end for reference. Step 1: First all the variables and constants that will be required in the code are defined and the values of independent constants are fed into the code. Step 2: The code starts with the pressure loop. For our design we consider three values of pressure: 10bar, 20bar, and 30bar. Thus this loop encompasses the entire code and runs the three values starting from 10bar with an increment of 10bar. Step 3: Then comes the xn and lsn loop. For our design we need the optimum value of stack length(Lsn) and stack center distance(xn). For that end we use two loops one for xn and one for Lsn, the Lsn loop is within the Xn loop, thus for each value of Xn, each value of Lsn will be computed to get the most accurate answer possible. The values of Xn are varied from 0.01 to 1 in steps of 0.01, and for each of these values the value of Lsn is varied between 0.05, 0.06 and 0.07. We have selected only 3 values for Lsn because of manufacturing constraints. Step 4: For each obtained value of Xn and Lsn we calculate the values of Wn, Qn and COP from the previously mentioned formulae. In our design requirements we have a cooling load of 20W and hence we have added a filter in the code for the values of Qn and restricted it between 19 and 21. There are two ways in which we can select the most efficient parameters i.e. either by picking the values for least Wn or by picking the values for highest COP. The values obtained from both these approaches is the same. Step 5: Once the Wn and the corresponding parameters are obtained we calculate the losses that occur in the resonator and calculate the Wtot for the refrigerator part of the system. Step 6: Here the engine part of the system starts. There are a couple of variations in the engine part code as compared to the refrigerator code. There is a loop for the variation of hot heat exchanger temperature which runs from 400 to 1000 in steps of 100. This has to be in- corporated because at the difference in temperature increases, the heat available also increases. This loop was not necessary in the refrigerator design as in the initial description of the problem we have defined that the cooling load is at a temperature of 0. Step 7: Now as the value of T changes, the constants that depend on temperature also change. Thus all these values are calculated for all the mean temperatures. Once these are available all that remains is Xn and Lsn. For that again a loop similar to that which was used in refrigerator is used. The value of Xn changes from 0.01 to 1 in the increments of 0.01 and within this loop Lsn takes the values of 0.05, 0.06 and 0.07. Step 8: Now the code calculates the values for Wn, Qn and η for each of the Xn and Lsn combination. Now because we are going to supply the work required for the refrigerator from 31
  • 40.
    the output workof the engine, the work output of the engine has to be greater than the sum of the work required for the refrigerator and the resonator losses. For this a filter is added in the code that picks up values of W which satisfy the above condition. Step 9: Now out of all the available values the value with the highest efficiency is selected. Then this value is paired with the values obtained from the refrigerator and an overall efficiency of the system is obtained. This completes the design of the stacks of the TA system. 32
  • 41.
    Chapter 6 Results The resultsobtained from the code for the refrigerator part are tabulated. In Table only the crucial values are mentioned as showing all the values are beyond the scope of this report. Fig shows the performance calculations as a function of the normalized stack length Lsn, for different normalized stack positions xn. The normalized position xn = 0, corresponds to the driver position (pressure antinode). In all cases the COP shows a maximum. For each stack length there is an optimal stack position. As the normalized length of the stack increases, the performance peak shifts to larger stack positions, while it decreases. This behavior is to be understood in the following way: A decrease of the center position of the stack means that the stack is placed close to the driver. Similarly the performance calculations as a function of Xn for different values of Lsn is also shown. It shows a similar trend of sharp increase upto a point and then sudden drop in the performance. The performance calculations for the engine have also been tabulated and the results of the code plotted. In figure the variation of efficiency with Lsn for different Xn has been shown. It can be seen that for a given Xn as the Lsn increases the efficiency increases to a point, reaches a peak and then the value drops. Now as the value of Xn increases two things happen, one is that 33
  • 42.
    Figure 6.1: RefrigetorPlot Figure 6.2: Refrigerator Table 34
  • 43.
    the maximum valueof efficiency decreases and second that the Lsn for max efficiency shifts to the right. This can be understood as, when the xn increases, i.e. the center of the stack is moved farther away the length of stack has to be increased to maintain optimum performance levels. The same efficiency performance calculations have been shown with Xn for different values of Lsn. The first figure does not have the filter for the energy produced to be higher than the input energy required. Thus it shows a larger range of acceptable values. The trend for the 35
  • 44.
  • 45.
    Figure 6.4: EngineTable graph is similar to that of the COP v/s xn plot where the efficiency increases to a point and then drops, the value of Xn for max efficiency increases with the increase in Lsn. Once we introduce the filter for the energy produced, some of the values are truncated because they don’t fulfill the criteria. This graph is basically a truncation of the previous graph and starts quite some time after the efficiency has started to fall. Thus in this graph the efficiency starts with the highest value and drops with increasing xn. All these values with and without the filter have been tabulated and presented elsewhere. The above calculations were carried out at temperatures ranging from 400 to 1000 as men- tioned earlier. The performance calculations at three of these temperatures 400,800 and 1000 is shown. For 400 the variation in efficiency with xn and Lsn is too high and most of the values are not in acceptable ranges at all. As the temperatures increase the values start falling into acceptable ranges and start following the curve mentioned in the previous graphs. Between 800 and 1000, as the temperatures increase, the peak efficiency increases, and the Xn for which the peak efficiency is obtained dereases. The values of importance have been extracted from the table and presented. Once the values for the independent refrigerator and engine were obtained, we combined the two systems and the code was run again. Here the filter for the engine work output to be greater than the total work required by the refrigerator and resonator is implemented. From the filtered values, the value with the highest efficiency is taken and then all the required parameters for the refrigerator engine system are calculated. These values are displayed in the table. The entire design procedure is summarized as follows. First of all the refrigerator output is decided as 20W at the temperature of 273K. Then the refrigerator geometric parameters corresponding to maximum COP point are determined. Also the resonator losses are calculated. For the calculation of engine parameters, first of all the hot heat exchanger temperature is decided based on the study of temperature of exhaust gases of IC engines. The temperature range is taken as 600K to 1000K and all the calculations have been done for the average tem- perature of 800K. The efficiency plot of the engine is obtained for three different values of stack length by varying the stack center position. The plot is obtained only for feasible values. Finally the heat input to the engine and the corresponding geometrical parameters are obtained for maximum efficiency point. The values are tabulated as follows. 37
  • 46.
  • 47.
    Figure 6.5: CombinedSystem Plot Figure 6.6: Combined System Table 39
  • 48.
    Input Parameters: • MeanPressure: 10bar • Frequency: 300Hz • Working Gas: He • Blockage Ratio: 0.67 • Drive Ratio: 3% • Diameter of Stack: 0.05m • Plate Spacing: 1.6348mm • Resonator Length: 1.6564m (λ/2) Refrigerator Parameters • Pm: 1000000 • xs: 0.1529084 • Ls: 0.06 • Qc: 20.7879 • W: 5.1893 • COP: 4.006 Engine Parameters (Th=800K) • Pm: 10 • xs: 0.1875 • Ls: 0.07 • Qh: 205.532 • We: 15.0834 • η: 7.33 Combined System: • Wtot: 14.365 • Wres: 9.1731 • η: 10.115 40
  • 49.
    Chapter 7 DeltaEC 7.1 Introduction DeltaEC(Design Environment for Low Amplitude Thermoacoustic Energy Conversion) is software that can calculate details of how a thermoacoustic system will perform, or can help user to design a thermoacoustic system to get the desirable output. Earlier, text editors were the only way to input data whereas now, there is a Python graphi- cal, keyboard-and-mouse user interface with a built-in plotter. DeltaEC numerically integrates in one spatial dimension using a low-amplitude, acoustic approximation and sinusoidal time dependence. DeltaEC always assumes a time dependence of Re(eiωt ) , so the wave equation is essentially a second order Helmholtz equation for com- plex pressure amplitude p1(x) which can be regarded as two coupled first-order differential equations for p1(x) and for complex volume flow rate amplitude U1(x). p1 + a2 ω2 d2 p1 dx2 = 0 (7.1) dp1 dx = − iωρm A U1 (7.2) dU1 dx = − iωA ρma2 p1 (7.3) The integration of wave equation and sometimes energy equation is carried out on each component given by the user in the form of a sequence of segments (no more than 200). Var- ious segments are ducts, compliances, transducers, and thermoacoustic stacks or regenerators, etc. The medium can be gas or very compressible liquid. DeltaEC uses more complicated mo- mentum and continuity equations that include additional effects such as dissipation of acoustic power along the sides of ducts. In stacks and regenerators, the acoustic solution for pressures and volume flow rates is found simultaneously with the solution of the energy-flow equation in order to obtain the mean- temperature profile as well. The energy-flow at stacks and regenerators is controlled by the temperature and/or heat flow through adjacent heat exchangers. 41
  • 50.
    DeltaEC uses continuityof p1 and U1 to pass from the end of one segment to the beginning of the next. Within each segment, wave propagation depends on local parameters such as area and perimeter as well as on global parameters such as frequency. The solutions for p1(x) and U1(x) can be determined uniquely if four real boundary con- ditions are imposed because the governing equation is in the form of two coupled first-order equations in two complex variables, or four coupled first-order equations in four real variables. One can give all the four boundary conditions at the initial end of the apparatus, or one or more can be given at the final end. In the second case, DeltaEC uses shooting methods, by guessing any unknowns among the four numbers defining p1 and U1 at the initial end of the integration, integrating to the other end, comparing the results with the target boundary conditions imposed at that other end or elsewhere, and adjusting its guesses until the integration results meet the targets. 7.2 Guesses and Targets As we know, there should be four boundary conditions available to get the solutions of p1 and U1 and these conditions can be given at initial and/or final ends of the apparatus. If one or more conditions are given at the final end, then the initial values of the variables that are directly dependent on those conditions must be predicted by the software. One can set targets in various segments. A set of possible targets are given in the segments, the user can set the values of the targets in any segment and he has to set the guesses in the previous segments for the unknowns directly affecting the targets which provide the flexibility for the shooting method to be executed. In the shooting method, the software guesses the unknowns among the four numbers defin- ing p1 and U1 at the initial end of the integration and integrate to the other end, comparing the results with the target boundary conditions imposed at the other end or elsewhere, adjusting its guesses till the matching results are obtained. The selection of guesses and targets in not limited only to the boundary inputs. Any vari- ables that have an effect on the downstream target variables can be used. This enables DeltaEC to calculate a resonance frequency, a geometrical dimension, a temperature, or even the con- centration in a binary gas mixture in order to satisfy given boundary conditions. 7.3 Two most basic physical segments 7.3.1 Duct DUCT is the segment in DeltaEC which is used to add circular ducts of any diameter to the apparatus. For large ducts of any cross-section, (i.e. where the thermal penetration depth and the viscous penetration depth and very small as compared to hydraulic radius rh), perimeter and area are specified. Here the mean temperature is independent of x whereas p1 and U1 evolve with x. For this variables being dependent on x, STKDUCT is used The turbulence algorithm of DeltaEC 42
  • 51.
    is controlled throughoptional parameter d and relative roughness . The value of is taken as 0.0005 in high amplitude acoustics. Though the actual value may be lesser, omitting this parameter would give laminar flow conditions for any value of Reynolds’ number • Input Variables – Area ∗ In m2 . ∗ It the cross-sectional area A available to the gas based on the inside dimensions of the DUCT – Perimeter ∗ In meter ∗ Perimeter π is the inside perimeter of the section described above – Length ∗ In meter ∗ The length ∆x of the DUCT – Laminar/Turbulent – Srough ∗ Srough is the surface roughness inside the DUCT, relative to the diameter. This is called relative roughness in many fluid-mechanics books, for steady flow. However, for oscillating flow, Srough is usually regarded as a fitting parameter, with a typical value of = 5 × 10−4 . Larger values yield higher turbulent dissipation of E. • Master-slave links – The perimeter of a DUCT can be slaved to its area to keep the cross-sectional shape the same when area is varied. – The length of a DUCT can be slaved to that of another segment to keep the total length constant. 7.3.2 Cone CONE is used to get the evolution of p1 and U1 with x in a tapered channel of any cross- sectional shape. The perimeter is linearly interpolated between its initial and final values, and the area is quadratically interpolated between its initial and final values. This segment is used only when the temperature variation along x is not there, if dependence exists then SKTCONE is used. • Input Variables – PerimI ∗ In meter ∗ Perimeter πI is used to assign the value of the inside perimeter at the initial end of the CONE. 43
  • 52.
    – PerimF ∗ Sameas PerimI ∗ πF is used to assign value to the inside perimeter of the final end of the CONE. – AreaI ∗ In m2 ∗ AI assigns the value to the inside cross-sectional area of the initial end of the CONE. – AreaF ∗ In m2 ∗ AF assigns the value to the inside cross-sectional area of the final end of the CONE. – Length and Srough are same as that of the DUCT. • Master-slave links – The initial perimeter of a CONE can be slaved to the initial area, to keep the cross- sectional shape the same when area is changed. – The final perimeter of a CONE can be slaved to the final area to keep the cross- sectional shape the same when area is changed. – Both perimeters of a CONE can be slaved to their respective areas to keep the cross- sectional shapes the same when either or both areas are changed. – The length and both perimeters of a CONE can be slaved to its two areas, to keep the cross-sectional shapes of the ends and the wall taper angle constant when either or both areas are changed. – The length of a CONE can be slaved to that of another segment to keep the total length constant. There are many other segments like stacks and regenerators, pulse tubes, thermal buffers, heat exchangers, surface, starting and ending segments, insulations etc. are also there. 7.4 DeltaEC User Interface Figure 7.1: Begin 44
  • 53.
    • The firstsegment in DeltaEC is always 0 BEGIN. It defines the initial conditions. • The number and order of data in each segment is crucial. • All units are in MKS. Figure 7.2: DUCT • Only first five characters are interpreted in segment name. • The image 7.2 shows the DUCT segment and the number preceding shows the segment number. • The digits in blue color are the values that can be assigned by the user. Figure 7.3: CONE • The image 7.3 above shows the 3rd segment in the apparatus. Here it is CONE. • The figures on the right are the results which will be obtained. They are in red which indicates that the currently shown results are not updated to accommodate the changes made. • After the simulation is run, the results are updated. Now they appear in green color 45
  • 54.
    Figure 7.4: Master-SlaveLinks • The Master-slave Links in blue at the lower left of the image 7.4 shows the option of setting any master-slave links as discussed above. • In this apparatus, the perimeter is master-slaved with the area of the DUCT. • As the simulation is already run, the color of the perimeter appears green, else it would have been red as shown in the image 7.5. Figure 7.5: Master-Slave Links 1 Figure 7.6: HARDEND • In the image 7.6, a logistical segment, HARDEND is shown which is often used as the final segment. 46
  • 55.
    • There arethree to four possible targets in this segment. • The HARDEND targets are appropriate when the user wants the complex volume flow to be zero somewhere. This is a usual case at the end of a thermoacoustic system. • Total energy flow Htot is another possible target. It can be set zero to represent thermal insulation. Figure 7.7: Guesses and Targets-1 • In the image 7.7, the set target Htot is assigned the value 300 in the HARDEND segment. So it is shows in the input parameter’s position and the value is written in blue. • We have to enter a Guess quantity in previous segment to get its value corresponding to the target’s value. Here we have set the pressure in the 0 BEGIN segment as Guess variable. • So basically we are finding the pressure required to get Htot = 300. • In the image 7.8, is shown the obtained value of pressure when the simulation is done for the given target. 47
  • 56.
    Figure 7.8: Guessesand Targets-2 • The schematic of the apparatus designed can be seen in the image 7.9. • User can add segments through this schematic as well Figure 7.9: Apparatus Schematic • DeltaEC has a built-in plotter with the help of which a user can plot any required combi- nations of variables. • The axes have to be designated the variables. X-axis takes only one variable, whereas multiple quantities can be plotted on Y-axis to see their evolution with respect to the quantity on X-axis 48
  • 57.
    Figure 7.10: Plotter-1 •The image 7.10 shows the plot of evolution of pressure along the length of the apparatus. • The image 7.11 includes the variation of volume flow rate along the length of the appa- ratus. Figure 7.11: Plotter-2 49
  • 59.
    Chapter 8 Conclusion andFuture Work The design procedure of a thermo acoustic system has been discussed. The source of en- ergy used is engine exhaust gas heat. We begin the design by using approximate short stack and boundary layer expressions for acoustic power and heat flow. It was shown how great num- ber of parameters can be reduced using dimensionless parameters. The optimization of these parameters was carried out with due understanding and it has been discussed in detail in this report. This design can be cross checked using DeltaEC. The design of the 2 heat exchangers hasn’t been touched by us and it provides a scope of further improvement in design. Thermo-acoustic engine is a viable technology worthy of further investigation and significant improvements can be made in the acoustic power available as output. This could be accom- plished by increasing the amount of heat input available and improving the design of the heat exchangers and insulation. The work output obtained can also be used to run pumps, com- pressors and even for refrigeration. Also, it can be used in areas where there is no supply of electricity. 51
  • 61.
    Acknowledgement We would liketo express our deep sense of gratitude and indebtedness to our Project Guides - Dr. H.B. Naik and Dr. K.P Desai Professor, Mechanical Engineering Department, Sardar Val- labhbhai National Institute of Technology, Surat for their constant guidance and support to our project. We are also thankful to Mechanical Engineering Department, S.V.N.I.T, Surat and its staff for providing this opportunity which helped us in gaining sufficient knowledge and to make this Project Report successful. 53
  • 63.
    References [1] N. Hariharan,P. Sivashanmugam, and S. Kasthurirengan, “Influence of stack geometry and resonator length on the performance of thermoacoustic engine,” Applied Acoustics, vol. 73, no. 10, pp. 1052-1058, 2012. [2] Bari, Saiful, and Shekh N. Hossain. “Waste heat recovery from a diesel engine using shell and tube heat exchanger.” Applied Thermal Engineering 61.2 (2013): 355-363. [3] Tijani, M. E. H., J. C. H. Zeegers, and A. T. A. M. De Waele. “Design of thermoacoustic refrigerators.” Cryogenics 42.1 (2002): 49-57. [4] Nowak, Iwona, et al. “Analytical and numerical approach in the simple modelling of thermoacoustic engines.” International Journal of Heat and Mass Transfer 77 (2014): 369-376. [5] Swift, Gregory W. “Thermoacoustic engines.” the Journal of the Acoustical Society of America 84.4 (1988): 1145-1180. [6] Hossain, Shekh Nisar, and Saiful Bari. “Waste heat recovery from the exhaust of a diesel generator using Rankine Cycle.“ Energy Conversion and Management 75 (2013): 141-151. [7] Trapp, Andrew C., et al. ”Thermoacoustic heat engine modeling and design optimiza- tion.“ Applied Thermal Engineering 31.14 (2011): 2518-2528. [8] Wheatley, John. ”Thermoacoustic Engines and Refrigerators.” [9] Backhaus, Scott, and G. W. Swift. “New varieties of thermoacoustic engines.”Proceedings of the Ninth International Congress on Sound and Vibration. 2002. [10] Swift, G. W. “Analysis and performance of a large thermoacoustic engine.” The Journal of the Acoustical Society of America 92.3 (1992): 1551-1563. [11] Fahey, Donald, and Peter Timbie. “Thermoacoustic oscillations.” Wave Motion and Op- tics (2006): 1-9. [12] Babaei, Hadi, and Kamran Siddiqui. "Design and optimization of thermoacoustic de- vices." Energy Conversion and Management 49.12 (2008): 3585-3598. 55