@Seismicisolation
@Seismicisolation
MECHANICAL BEHAVIOUR AND TESTING OF MATERIALS
@Seismicisolation
@Seismicisolation
@Seismicisolation
@Seismicisolation
MECHANICAL BEHAVIOUR
and
TESTING OF MATERIALS
A.K. BHARGAVA and C.P. SHARMA
Department of Metallurgical and Materials Engineering
Malaviya National Institute of Technology
Jaipur
PHI Learning [;)u1ffiG@ llilwlBG@dl
Delhi-110092
2014
@Seismicisolation
@Seismicisolation
MECHANICAL BEHAVIOUR AND TESTING OF MATERIALS
A.K. Bhargava and C.P. Sharma
© 2011 by PHI Learning Private Limited, Delhi. All rights reserved. No part of this book may be
reproduced in any form, by mimeograph or any other means, without permission in writing from the
publisher.
ISBN-978-81-203-4250-7
The export rights of this book are vested solely with the publisher.
Second Printing August, 2014
Published by Asoke K. Ghosh, PHI Learning Private Limited, Rimjhim House, 111, Patparganj
Industrial Estate, Delhi-110092 and Printed by Mohan Makhijani at Rekha Printers Private Limited,
New Delhi-110020.
@Seismicisolation
@Seismicisolation
To
The Almighty
and
Our Parents
@Seismicisolation
@Seismicisolation
@Seismicisolation
@Seismicisolation
Preface
Acknowledgements
Nomenclature
1. Nature of Materials
1.1 Introduction 1
1.2 Interatomic and Intermolecular Bonding 7
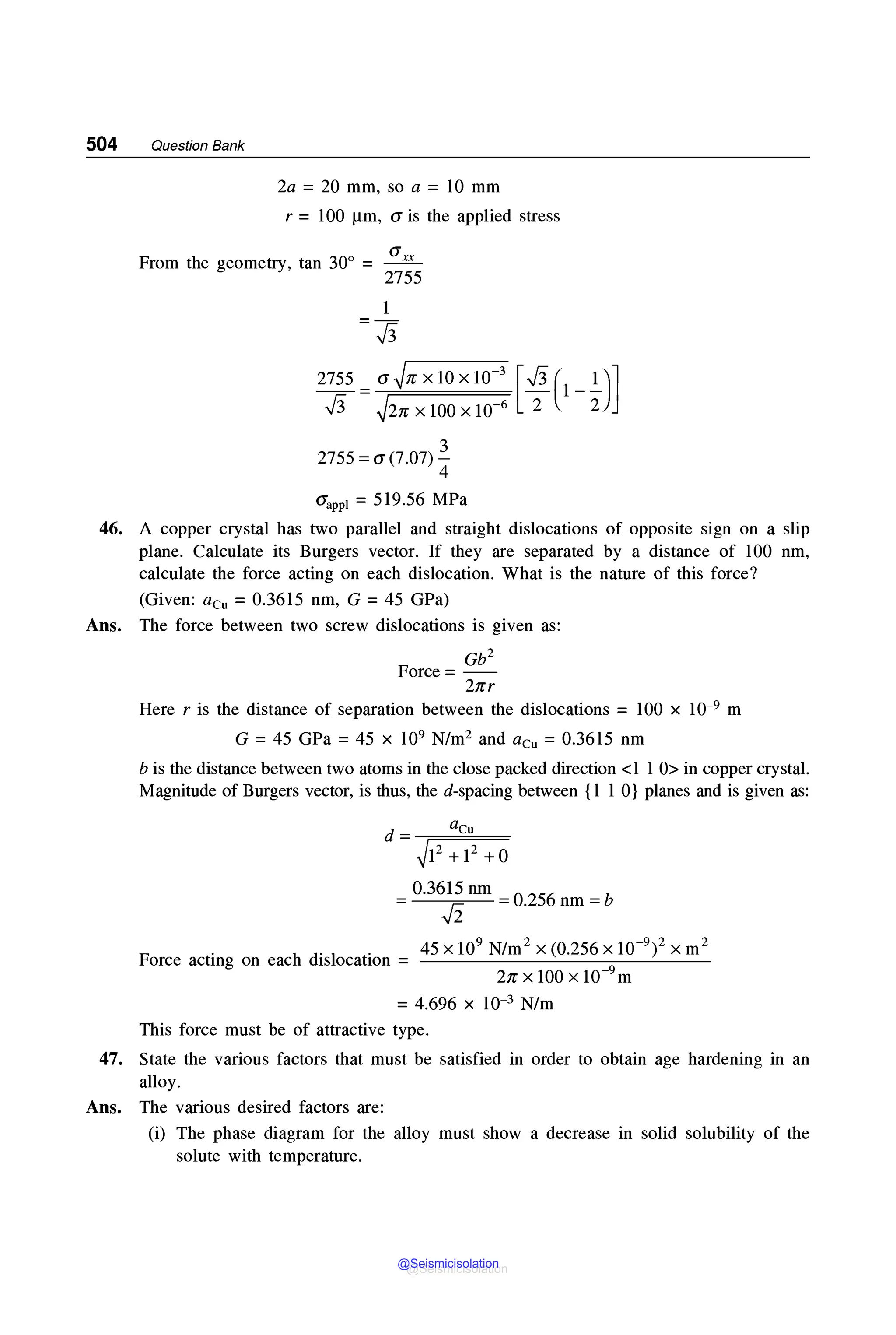
1.3 Classification and Combination of Elements JO
1.4 Atomic Arrangement 12
1.5 Engineering Materials 14
1.5.1 Steel 14
1.5.2 Cast Irons 18
1.5.3 Aluminium and Its Alloys 20
1.5.4 Magnesium and Its Alloys 20
1.5.5 Titanium and Its Alloys 20
1.5.6 Copper and Its Alloys 21
1.5.7 Nickel and Its Alloys 22
1.5.8 Cobalt and Its Alloys 24
1.5.9 Ceramic Materials 25
1.5.10 Polymeric Materials 26
1.5.11 Composite Materials 30
2. Crystal Imperfections
2.1 Introduction 32
vii
Contents
xv
xvii
xix
1-31
32-44
@Seismicisolation
@Seismicisolation
viii Contents
2.2 Imperfections 37
2.2.1 Point Imperfections 37
2.2.2 Line Imperfections 40
2.2.3 Surface Imperfections 41
2.2.4 Volume Imperfections 44
3. Mechanical Properties 45-56
3.1 Introduction 45
3.2 Static Mechanical Properties 47
3.2.1 Tensile Strength 47
3.2.2 Compressive Strength 49
3.2.3 Ductility 49
3.2.4 Malleability 50
3.2.5 Stiffness 50
3.2.6 Toughness 51
3.2.7 Creep Strength 52
3.2.8 Hardness 52
3.3 Dynamic Mechanical Properties 53
3.3.1 Impact Strength 53
3.3.2 Fatigue Strength 53
3.3.3 Hardness 54
3.4 Structure-Mechanical Property Relationship 54
4. Dislocation Theory 57-103
4.1 Introduction 57
4.2 The Shear Strength of Ideal and Real Crystals 59
4.3 Geometry of Dislocations 60
4.3.1 Edge Dislocation 61
4.3.2 Screw Dislocation 63
4.4 Burgers Vector, Burgers Circuit and Dislocation Loop 64
4.5 Movement of Dislocations 67
4.5.1 Concept of Slip 67
4.5.2 Dislocations and Slip 70
4.5.3 Slip Plane 72
4.5.4 Cross-Slip 72
4.5.5 Dislocation Climb 73
4.6 Elastic Properties of Dislocations 74
4.6.1 Stress Field and Energy of a Dislocation 74
4.6.2 Forces on Dislocations 77
4.6.3 Line Tension 78
4.7 Forces between Dislocations 80
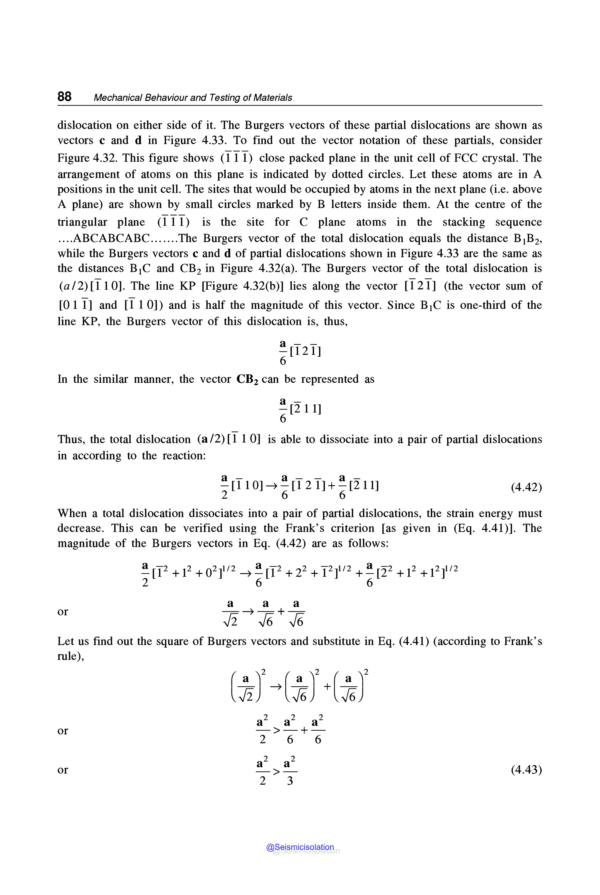
4.8 Unit Dislocations and Partial Dislocations 84
4.8.1 Dislocations in FCC, BCC and HCP Crystals 85
4.8.2 Dislocations and their Reaction in FCC Crystals 86
@Seismicisolation
@Seismicisolation
Contents ix
4.8.3 Frank Partial Dislocations 91
4.8.4 Lamer-Cottrell Dislocations 92
4.9 Peierls-Nabarro Stress and Dislocation Width 94
4.10 Dislocation Multiplication 96
4.11 Dislocation Intersection 98
4.12 Dislocations in Ceramics 101
5. Deformation of Metals 104-138
5.1 Introduction 104
5.2 Elastic Deformation 104
5.2.1 Significance of Elastic Modulus 106
5.3 Plastic Deformation 107
5.3.1 Deformation by Slip 107
5.3.2 Type of Loading for Plastic Deformation 109
5.3.3 Potential Slip Planes and Directions in Crystals 110
5.3.4 Critical Resolved Shear Stress 113
5.3.5 Strain Hardening in Single Crystal 119
5.3.6 Structural Changes in Cold Worked Polycrystalline
Metals and Alloys 123
5.3.7 Annealing of Cold Worked Metals 128
5.4 Deformation by Twinning 134
5.5 Deformation Behaviour in Ceramics 136
5.6 Deformation Behaviour in Polymers 136
6. Strengthening Mechanisms in Materials 139-205
6.1 Introduction 139
6.2 Grain Boundary Strengthening 141
6.3 Solid Solution Strengthening 145
6.4 Second Phase Particle Strengthening 153
6.4.1 Precipitation Hardening 154
6.4.2 Dispersion Hardening 168
6.5 Strain Hardening 169
6.5.1 Properties Affected by Strain Hardening 171
6.5.2 Industrial Importance of Strain Hardening 172
6.6 Martensitic Strengthening 174
6.7 Composite Strengthening 175
6.7.1 Fibre Strengthened Composites 176
6.7.2 Dispersion Strengthened Composites 188
6.7.3 Particle-Strengthened (or Simply Particulate) Composites 190
6.8 Strengthening of Plastics 190
6.8.1 Strengthening by High Average Molecular Weight 191
6.8.2 Strengthening by Crystallinity 193
6.8.3 Strengthening by Bulky Pendant Atomic Group 195
@Seismicisolation
@Seismicisolation
X Contents
7.
8.
9.
6.8.4 Strengthening Thermoplastics by the Presence of Polar
Atoms or Groups 196
6.8.5 Strengthening Thermoplastics by Introducing Non Carbon
Atoms in the Main Carbon Chain 196
6.8.6 Strengthening Thermoplastics by Introduction of Aromatic
Groups in the Main Chain 197
6.9 Strengthening of Ceramics 197
6.10 Applications of Strengthening Mechanisms to Obtain High
Strength Materials 201
Fracture
7.1 Introduction 206
207
7.2
7.3
7.4
Ductile Fracture
Mechanism of Ductile Fracture
Brittle Fracture 209
209
7.5 Mechanism of Brittle Fracture 210
7.6 Factors Affecting the Type of Fracture 212
Tensile Behaviour
8.1 Introduction 213
8.2 Tension Test and Stress-strain Curves 214
8.3 Tensile Properties 219
8.3.1 Modulus of Elasticity and Stiffness 219
8.4
8.5
8.6
8.7
8.3.2 Yield Strength 221
8.3.3 Tensile Strength 221
8.3.4 Modulus of Resilience 222
8.3.5 Ductility 224
8.3.6 Toughness 225
True Stress-strain Curve 226
Plastic Instability in Tension 232
Discontinuous Yielding (Yield Point Phenomenon)
Important Variables Affecting Tensile Properties
8.7.1 Effect of Gauge Length 239
8.7.2 Effect of Size of the Specimen
8.7.3 Effect of Form of the Specimen
8.7.4 Effect of Strain Rate 243
8.7.5 Effect of Temperature 243
240
241
Hardness Testing
9.1 Introduction 246
9.2 Scratch Hardness 247
9.3 Indentation Hardness 247
9.4 Brinell Hardness Test 249
9.4.1 Precautions 252
233
239
206-212
213-245
246-270
@Seismicisolation
@Seismicisolation
Contents xi
9.4.2 Advantages and Applications of Brinell Hardness Test 253
9.4.3 Disadvantages of Brinell Test 254
9.5 Vickers Hardness Test 254
9.5.1 Derivation of Vickers Formula 255
9.5.2 Sources of Errors 256
9.5.3 Advantages and Applications 257
9.5.4 Disadvantages 257
9.6 Rockwell Hardness Test 258
9.6.1 Principle of Operation 261
9.6.2 Advantages of Rockwell Hardness Test 263
9.6.3 Precautions 263
9.7 Superficial Rockwell Hardness Test 263
9.7.1 Precautions 264
9.8 Microhardness Test 264
9.8.1 Precautions 266
9.8.2 Applications 266
9.8.3 Comparison of Macrohardness and Microhardness Tests 266
9.9 Dynamic Hardness Testing 267
9.9.1 Shore Hardness Testing 267
9.9.2 Poldi Hardness Test 270
10. Ductile-Brittle Transition Behaviour and Fracture
Toughness Test
10.1 Introduction 271
10.2 Ductile-Brittle Transition Behaviour 272
10.3 Transition Temperature and Its Significance 274
10.4 Notch-bar Impact Test 277
10.5 Variable Affecting Impact Values 279
10.6 Behaviour of Polymers under Impact Loading 285
10.7 Fracture Toughness 286
10.7.1 Fracture Stress Test 291
10.7.2 Hardness Indentation Method 292
10.7.3 Importance of Fracture Toughness Determination
10.8 Toughening in Ceramics 294
10.8.1 Crack Deflection Toughening 296
10.8.2 Transformation Toughening 297
10.8.3 Crack Bridging (or Wake) Toughening 299
10.8.4 Microcrack Toughening 302
11. Fatigue Behaviour
11.1 Introduction 304
11.2 Stress Cycles 306
11.3 Macrography of Fatigue Fracture
11.4 Fatigue Test (S-N Curve) 309
308
271-303
294
304-325
@Seismicisolation
@Seismicisolation
xii Contents
12.
11.5 Fatigue Behaviour in Iron and Steel 311
11.6 Mechanisms of Fatigue 312
11.6.1 Orowan's Theory of Fatigue 312
11.6.2 Wood's Theory of Fatigue 315
11.6.3 Fatigue Crack Growth 317
11.7 Low Cycle Fatigue 322
11.8 Variables Affecting Fatigue 322
Creep Behaviour
12.1 Introduction 326
12.2 Creep Curve 327
12.3 Design Curves 331
12.4 Andrade's Analysis of Creep 333
12.5 Creep at Lower Temperature 334
12.6 Activation Energy for Steady-State Creep 335
12.7 Creep at High Temperature 336
12.8 Equicohesive Temperature 336
12.9 Deformation at Elevated Temperature 338
12.9.1 Deformation by Slip 338
12.9.2 Grain Boundary Deformation
12.10 Mechanisms of Creep Deformation
339
339
12.10.1 Dislocation Glide 339
12.10.2 Dislocation Creep 343
12.10.3 Diffusion Creep 345
12.10.4 Grain Boundary Sliding 346
12.11 Metallurgical Factors Affecting Creep Behaviour
12.11.1 Effect of Lattice Structure 347
12.11.2 Effect of Prestrain 348
347
12.11.3 Effect of Soluble Impurities and Alloying Elements
12.11.4 Effect of Second Phase Particles 349
12.11.5 Grain Size 350
12.12 Creep Resistant Materials 350
13. Non-Destructive Testing
13.1 Introduction 357
13.2 Visual Inspection 359
13.3 Liquid Penetrant Inspection (LPI) 360
13.3.1 Procedure 361
13.4 Magnetic Particle Inspection (MPI) 363
13.4.1 Basic Principle 363
13.4.2 Magnetization 364
13.4.3 Magnetization Techniques 366
13.4.4 Procedure for MPI 370
13.4.5 Applications of MPI 372
326-356
348
357-386
@Seismicisolation
@Seismicisolation
Contents xiii
13.5 Eddy Current Inspection (ECI) 372
13.5.1 Basic Principle 373
13.5.2 Operating Variables 375
13.5.3 Applications 377
13.6 Ultrasonic Testing 377
13.6.1 Basic Principle 378
13.6.2 Ultrasonic Waves 378
13.6.3 Ultrasonic Transducers 380
13.6.4 Probes 381
13.6.5 Interaction of Sound Waves at the Interfaces 382
13.6.6 Methods of Ultrasonic Inspection 383
13.6.7 Advantages of Ultrasonic Inspection 385
13.7 Radiographic Inspection 385
Appendix A Hardness Testing 387
Appendix A1 Brine/I Hardness Test 388-391
Appendix A2 Vickers Hardness Test 392-394
Appendix A3 Rockwell Hardness Test 395-397
Appendix B Tensile Testing 398-405
Appendix C Impact Test 406-409
Appendix D Fatigue Test 410-412
Appendix E Sheet Metal Formability Test 413-414
Appendix F Bend Test 415-417
Appendix G Mechanical Properties of Some Representative
Polymer Materials 418-419
Appendix H Table of Hardness Conversion 420-421
Appendix I SI Units 422
Appendix J Conversion Factors 423
Appendix K Unit Conversion 424-426
Appendix L SI Prefixes 427
Appendix M Greek Alphabets 428
Appendix N Table for Conversion of Temperature 429-431
Glossary 433-466
Bibliography 467-468
Questions Bank 469-546
Index 547-562
@Seismicisolation
@Seismicisolation
@Seismicisolation
@Seismicisolation
Preface
Materials have always been the major attraction for the human beings. Significance of materials
is self-evident by the familiar terms-Stone Age, Bronze Age and Iron Age. It is the effective
use of the materials that has been, and is still in use, the criterion for the better living and
economy of a country.
Any material prior to its end use is subjected to many processes and treatments. A large
number of materials are known to man and the numbers in the list are increasing gradually with
newer and newer arrivals. This makes the task of selection of the materials very difficult. Widely
differing physical, chemical and mechanical properties, typical processing characteristics such as
castability, machinability, weldability, etc., and the response to various manufacturing methods
further complicate the task of materials selection. The success of selected material is largely
determined by its conformity to the service conditions and the reliability.
Material testing and critical interpretation of the test data play a key role for selection,
designing and manufacturing of a material for end use with a minimum of desired reliability.
Based on this concept, this book has been presented to engineering students and to technical
personnel dealing with materials. The prime aim of the book is to present the subject matter in
most concise, coherent, logical and lucid manner. This book provides an insight into the
mechanical behaviour and testing of metals, polymers, ceramics and composites which are
widely employed for structural applications under varying load, temperature and environments.
The book is designed primarily as a text for the undergraduate and postgraduate students
of Metallurgical and Materials Engineering. Additionally, it will be useful for the undergraduate
and postgraduate students of Mechanical Engineering, Production Engineering, Industrial
Engineering, Automobile Engineering, Chemical Engineering, Polymer and Ceramic
Engineering, Civil Engineering and Structural Engineering. Much care has been taken to cater
the needs of students appearing in the examinations of various professional bodies such as
xv
@Seismicisolation
@Seismicisolation
XVi Preface
The Institution of Engineers (India), Institute of Metals, etc. Besides, the practising engineers
and technical personnel dealing with the materials in general, and dealing with destructive and
non-destructive testing in particular, will also get benefit of the information provided in the text.
The book is organized in thirteen chapters. While Chapter 1, at first, introduces readers
to the fundamentals of materials starting from their basic building units, it gradually rises
through atomic bonding, crystal structure, different classes of engineering materials and their
salient features to some commonly used industrial materials and their engineering applications.
Chapter 2 and Chapter 3 describe role of imperfections on the behaviour of metals and alloys,
and various properties of engineering materials. Chapter 4 deals with dislocation theory in a
simplified, but analytical manner. Chapter 5 speaks about the plastic deformation of the
materials primarily in the light of dislocation theory. Various mechanisms for enhancing strength
of all classes of engineering materials have been discussed in Chapter 6. Chapter 7 has been
exclusively devoted to common aspects of fracture. Out of next six chapters, first five chapters
(Chapters 8-12) describe in detail about destructive tests, whereas Chapter 13 explains
commonly used non-destructive testing methods of materials. Whereas, both theoretical and
practical aspects of destructive/non-destructive testing are covered in these Chapters, the
practical manual is also given at the end in the form of Appendices A to N. A large number of
questions, with solutions, have been incorporated as Question Bank at the end of the book. It
covers about 200 objective type questions appeared in GATE examinations.
For quick reference, glossary of terms has been incorporated in the book.
Every effort is made to avoid repetition in the text. However, readers may find some
repetition which was a compulsion to maintain the coherency of the text.
Authors not only will welcome any constructive suggestion from the readers but also will
acknowledge them in future editions.
A.K. Bhargava and C.P. Sharma
@Seismicisolation
@Seismicisolation
Acknowledgements
Gratitude is the hardest of all emotions to express. There is no word capable of conveying
everything one faces until we reach the world where thoughts can be adequately expressed in
words.
It gives us immense pleasure to put on record our profound sense of indebt to Hon'ble
Prof. T.V. Rajan, Shri Subodh Bhushan Gupta jee, Prof. Surendra Kumar (Department of
Chemical Engineering, IIT Roorkee) and Prof. A.N. Tiwari (Department of Metallurgical
Engineering and Materials Science, IIT Bombay) for their benevolent guidance, constant
encouragement and support in odds. Special thanks to Mrs. & Dr. Ravindra Padalkar,
Mrs. Manju, and Nakul-Taru (daughter's parents-in-law, wife, son-in-law and daughter -
A.K. Bhargava) and to Mrs. Usha, Anand-Avantika, Ayam-Sunita and Avni-Aarini (wife, son-
in-law & daughter, son & daughter-in-law and granddaughters - C.P. Sharma) who not only
maintained pleasant atmosphere during the period of successful completion of this project but
also provided all the cooperation and moral support. Special thanks are due to Mr. Nakul for
visualizing the design of the cover page of the book.
Authors are highly thankful to teachers for their blessings, colleagues and friends for their
constructive suggestions and students for their frequent questions within and outside the
classroom which nucleated the idea of this book.
Thanks are due to highly energetic and committed team of PHI Leaming, New Delhi, for
chasing us and bringing the book in short period.
Last but not the least, we acknowledge each and everyone who directly or indirectly
motivated, helped, and inspired us from time to time.
A.K. Bhargava and C.P. Sharma
xvii
@Seismicisolation
@Seismicisolation
@Seismicisolation
@Seismicisolation
Area of cross-sectional plane (4.5. l)
Constant (6.5)
Surface area of indentation (9.4)
Lateral area of indentation (9.5)
Projected area of indentation (9.8)
Rockwell scale (9.6)
Area of cross-section of composite (6.7.l)
Area of cross-section at fracture (8.3.5)
Area of cross-section of fibre (6.7. l)
Nomenclature
Instantaneous or true area of cross-section (8.4)
Area of cross-section of matrix (6.7.l)
Original area of cross-section (8.2, 8.3.2)
Cross-sectional area of the specimen at notch (10.4)
Area of slip plane (5.3.4)
Axial dimension (1.4)
Shear displacement
Interplanar spacing (4.2)
Lattice parameter (4.5, 4.8, 5.3.3, 6.3, 6.4. l/frequently used)
Side of the projected square indentation (9.5)
Spacing between slip planes (4.9)
Surface crack length or half the interior crack length (7.5, 10.5, 10.7, 10.8, 11.6.2)
Allowable flaw size (10.7.2)
Critical size surface crack (10.5, 10.8)
xix
@Seismicisolation
@Seismicisolation
XX Nomenclature
a Shear angle (5.2)
a Constant (6.2)
a Local order parameter (6.3)
a Interaxial angle (1 .4)
B Constant (6.9)
B Critical thickness (10.7)
B Rockwell scale (9.6)
b Interatomic spacing (4.2)
b Axial dimension (1.4)
b Magnitude of Burgers vector (4.6.1)
b Burgers vector (frequently used)
b1 Burgers vector (4.7, 4.8.1, 4.11)
b2 Burgers vector (4.7, 4.8.1, 4.11)
b3 Burgers vector (4.8.1)
/3 Compressibility (5.2)
/3 Constant (12.4)
/3 Interaxial angle (1 .4)
/3 Load transfer function (6.7.1)
C Constant (11.6.2)
C Rockwell scale (9.6)
Cv Fracture energy (10.3)
c Axial dimension (1.4)
c Height of the unit cell (5.3.3)
c Concentration of solute atoms (6.3)
D Average grain diameter (6.2)
D True diameter (8.4)
D Diameter of ball indenter (9.4)
D Rockwell scale (9.6)
D Self diffusion coefficient (12.11.1)
Dgb Grain boundary diffusion coefficient (12.10.3)
Dv Volume diffusion coefficient (12.10.3)
d Diameter of fibre (6.7.1)
d Grain diameter (6.2, 12.10.3)
d Diameter of indentation (9.4)
d* Critical grain diameter (10.5)
dE Change in energy (4.6.1)
dE Increase in energy (4.6.3)
dl Small distance or displacement (4.6.2)
ds Equilibrium spacing between partial dislocations (4.8.2)
ds Small segment of dislocation line (4.6.2)
d0 Angle subtended at the centre of curvature (4.6.3)
dW Work done (4.6.2)
~ Deformation (11.6.1)
M Increase in energy (4.7)
@Seismicisolation
@Seismicisolation
Ml Activation energy (12.6)
11Uc Interaction energy (6.3)
E Elastic modulus (5.2, 6.7.1, 7.5, 8.3, 10.5, 10.8, 12.10.2)
Elastic strain energy of dislocation (4.6.1)
Energy associated with dislocation (4.8)
Nomenclature xxi
E
E
E' Elastic modulus of the discontinuous and randomly aligned fibre composite
(6.7.1)
E0 Core energy of dislocation (4.6.1)
e Average tensile strain, nominal strain (6.7.1, 8.2, 8.3.1)
e Shear strain (5.3.4)
e Tensile strain (6.7.1)
e Creep strain (12.4)
t:1 The fatigue ductility coefficient (11.7)
Strain rate (8.6)
Creep rate (12.4, 12.5, 12.8)
tdiff Diffusion creep rate (12.10.3)
dis! Dislocation creep rate (12.10.4)
SFE SFE dependent creep rate (12.11.1)
tgbs Grain boundary sliding (GBS) creep (12.10.4)
81 Dislocation glide creep rate (12.10.1)
Steady-state creep rate (12.10.3)
emisfit Misfit parameter (6.3, 6.4.1)
e0 Instantaneous strain (12.4)
t:1 Strain at fracture (8.7.1)
ec Measure of modulus difference between solute and solvent (6.3)
11t:P Plastic strain range (11.7)
er True strain (8.4)
eu Uniform strain (8.7.1)
~· Strain corresponding to yield stress (8.3.4)
F Force (4.6.2, 5.3.4)
F(R) Force of repulsion (4.7)
F(a) Force of attraction (4.7)
f Frequency of alternating current (13.5.1, 13.5.2)
f Volume fraction of precipitate phase (6.4.1)
f Limit frequency (13.5.2)
G Shear modulus (4.1, 4.2, 4.6.1, 4.9, 4.10, 5.2, 6.3, 6.4.1, 10.5, 12.10.1,12.10.2)
r Interaxial angle (1 .4)
r Shear strain (4.2, 5.2)
r Surface energy (10.8)
rm Plastic work done around a crack (10.5)
'l'P Energy required for plastic deformation per unit area (7.5)
rs Stacking fault energy (4.8.2, 12.11.1)
rs Surface energy per unit area (7.5, 10.5)
rs Precipitate-matrix surface energy (6.4.1)
@Seismicisolation
@Seismicisolation
xxii
YAPB
rez
H
HAc
HEc
h
h
h'
K
K
K
K
K
K
Kie
K'
KR*
Kth
K,.
k
k
kt
Xo
X;
Nomenclature
Antiphase boundary energy (6.4.1)
Elastic shear strain (4.6.1)
Vickers hardness (10.7.2)
Alternating magnetic field/primary magnetic field (13.5.1)
Secondary magnetic field (13.5.1)
Constant (9.6)
Height of the hammer from its lowest point before its release (10.4)
Height of the hammer from its lowest point after its release (10.4)
Bulk modulus (5.2)
Constant (7.5, 12.4)
Constant called strength coefficient (8.4)
Load factor (9.4)
Major energy shell (1.1)
Stress intensity parameter (10.7, 11.6.2)
Critical stress intensity or fracture toughness (10.7)
Constant called fibre efficiency parameter (6.7.1)
Critical stress intensity factor (10.8)
Threshold stress intensity value (11.6.2)
Measure of extent to which dislocation pile up at barriers (6.2, 10.5)
Constant (6.2)
Boltzman's constant (12.10.3)
Stress concentration at the crack tip (10.7)
Angle that slip plane makes with respect to stress axis before stressing (5.2.4)
Angle of reorientation of slip plane with stress axis at any instant after plastic
deformation (5.3.4)
Inductance (13.5.1)
Length (6.2)
Length of diagonal of projected square shaped indentation (9.5)
Length of longer diagonal of Knoop indentation (9.8)
Length of the specimen at time t (12.4)
Major energy shell (1.1)
Gauge length before plastic deformation (5.3.4)
Length of the specimen just after the load is applied (12.4)
Original gauge length of specimen (8.2, 8.7.1)
Gauge length at any instant after plastic deformation (5.2.4)
Length at fracture (8.7.1)
Azimuthal quantum number (1.1)
Length of cylindrical crystal (4.6.1)
Length of dislocation line segment (4.6.3, 4.10)
Distance between particles (4.6.3, 6.4.1)
Spacing between planes (5.2)
Critical fibre length (6.7.1)
Angle between applied force and slip plane normal (5.3.4)
Constant of proportionality (9.4)
@Seismicisolation
@Seismicisolation
Nomenclature xxiii
A-0 Angle between the axis of tension and slip direction before plastic deformation
(5.3.4)
A; Angle between the axis of tension and slip direction after plastic deformation
(5.3.4)
M Atomic mass number (1.1), Major energy shell (1.1)
m1 Magnetic quantum number (1.1)
ms Spin quantum number (1.1)
M Bending moment (6.7.1)
µ Poisson's ratio (5.2)
µ, Relative permeability of the material (13.5.2)
N Number of grains per square inch (6.2)
N Number of dislocations (6.2)
N Number of stress cycles of failure (11.4)
n ASTM grain size number (6.2)
n Number of vacancies per cubic centimeter (2.2.1)
n Principal quantum number (1.1)
n Strain hardening exponent (8.4)
n Meyer's index (9.4)
v Poisson's ratio (4.6.1, 6.2, 10.7)
m Angular frequency (13.5.1)
P Load or force (8.2, 8.3.4, 8.5, 9.4, 9.5, 9.8)
P Volume fraction porosity (6.9)
Pc Load carried by composite (6.7.1)
P1 Load carried by fibres (6.7.1)
Pm Load carried by matrix (6.7.1)
Pu Maximum load (8.3.3)
Py Load at yield point (8.3.2)
PAB Fraction of A atoms that are nearest to B atoms (6.3)
<p Angle between tensile axis and slip direction (5.3.4)
<p Half the angle subtended by the indentation edge at the centre of the ball (9.4)
Q Energy required to produce a vacancy (2.2.1)
Q Activation energy (12.10.1, 12.10.2)
<p Indenter geometry dependent constant (10.7.2)
q Conventional reduction in area (8.4)
q' True reduction in area (8.4)
R Gas constant (2.2.1)
R Atomic radius (6.3)
R External radius of the cylindrical crystal (4.6.1)
R Ohmic resistance (13.5.1)
R Universal gas constant (12.6)
R Radius of curvature (4.6.3, 4.10, 6.4.1, 6.7.1)
R Range or stress ratio (11.2)
R Reflection coefficient (13.5.1)
r Distance between dislocations (4.7)
@Seismicisolation
@Seismicisolation
xxiv
r
r
r
r
r
r
ro
r1
p
p
p
p
(J
(J
Ga
(Japp
(Je
(Jm
(Jm
<lmax
(Jmin
(JP
(Jc
(Jc
(Jct
<lJ
<lJ
<lJ
<lJ
(Jft
(Jh
<J;
a'm
<lmt
(Jo
(Jo
<Jr
<lx
<J,.
<J,.
Gz
s
s
s
Nomenclature
Distance between solute atom and dislocation (6.3)
Distance from tip of the crack (10.7)
Radius at the tip of the crack (7.5)
Radius of annular ring (4.6.1)
Radius of atom (2.1)
Radius of precipitate particle (6.4.1)
Dislocation core radius (4.6.1, 4.7)
Distance away from dislocation core (4.7)
Density of dislocations (6.2, 8.6)
Density of material (13.6.4)
Radius of curvature at crack tip (10.7)
Resistivity of material (13.5.2)
Normal stress or average stress or nominal stress (4.5.1, 6.7.1, 8.2, 8.3.1)
Applied tensile stress (7.5, 12.10.2)
Alternating stress (11.2)
Applied stress (10.7)
Effective stress (12.10.1)
Matrix stress (6.7.1)
Mean stress (11.2)
Maximum tensile stress (7.5, 11.2)
Minimum compressive stress (11.2)
Strength of the specimen with porosity (6.9)
Critical normal stress (4.5.1, 5.3.4)
Stress in composite (6.7.1)
Tensile strength of composite (6.7.1)
Tensile stress in fibre (6.7.1)
Average stress in fibre (6.7.1)
Fracture stress (10.2, 10.5, 10.7, 10.8)
Critical fracture stress (10.5)
Tensile strength of fibres (6.7.1)
Hydrostatic pressure (5.2)
Lattice frictional stress opposing motion of dislocation (6.2, 10.5)
Matrix stress at strain corresponding to fibre tensile strength (6.7.1)
Matrix tensile strength (6.7.1)
Strength of the specimen without porosity (6.9)
Yield strength/flow stress (6.2, 11.6.1)
True stress (8.4)
Stress component in x-direction (10.7)
Yield stress/yield strength (8.3.2, 10.2, 10.5, 10.7.2)
Stress component in y-direction (10.7)
Stress component in z-direction (10.7)
Cyclic stress (11.4)
Slant height of pyramidal indentation (9.5)
Standard penetration depth (13.5.2)
@Seismicisolation
@Seismicisolation
T
T
Tm
T
t
t
t
t
'l'
'l'
'X'a
'l'b
'l'b
'l';
'X'm
'l'my
'l'cRSS
'l'Rss
'l'p_N
'X'ez
'l'xy
0
0
0"
0'
u
UE
U1
Ur
Us
Ur
/!,.Uc
u
V
Vi, V2, V3
Ve
VJ
Vfcrit
Vm
VJ min
V
w
w
Absolute temperature (2.2.1, 12.6, 12.10.2, 12.10.3)
Line tension (4.6.3)
Nomenclature XXV
Melting temperature in Kelvin (5.3.7, 6.3, 10.2, 12.8, 12.11.2)
Transmission coefficient (13.5.1)
Creep time (12.4, 12.5)
Unit tangent vector (4.4, 4.5.3)
Thickness (6.7.1)
Depth of indentation (9.4, 9.6)
Shear stress (4.2, 4.6.2, 5.2, 6.2, 6.4.1, 11.6.1)
Resolved shear stress (8.6)
Stress to activate the dislocation source (6.2)
Back stress (6.2)
Shear stress corresponding to unit velocity of dislocations (8.6)
Internal stress (6.2)
Maximum shear stress (4.2)
Matrix shear yield strength (6.7.1)
Critical resolved shear stress (5.3.4)
Resolved shear stress (4.5.1, 5.3.4)
Peierls Nabarro shear stress (4.9)
Elastic shear stress (4.6.1)
Shear stress in x-y plane (10.7)
Angle (4.6.3, 10.7)
Stable CuA12 phase (6.4.1)
Coherent phase (6.4.1)
Semicoherent phase (6.4.1)
Elastic strain energy (8.3.4)
Elastic strain energy for unit volume (7.5)
Impact strength (10.4)
Modulus of resilience (8.3.4)
Surface energy associated with a crack of unit width (7.5)
Toughness (8.3.6)
Interaction energy (6.3)
Strain energy per unit volume (8.3.4)
Volume (4.6.1, 5.2)
Vectors (4.12)
Velocity of compressive waves in medium (13.6.4)
Volume fraction of fibres (6.7.1)
Critical volume fraction of fibres (6.7.1)
Volume fraction of matrix (6.7.1)
Minimum volume fraction of fibres (6.7.1)
Velocity of dislocations (8.6)
Weight (10.4)
Dislocation width (4.9)
@Seismicisolation
@Seismicisolation
xxvi Nomenclature
Fraction of A atoms (6.3)
Inductive reactance (13.5.1)
Displacement of atoms (4.2)
Mole fraction of solute (6.3)
Dimensionless constant (10.7)
Atomic number (1.1)
Impedance (13.5.1)
Acoustic impedance (13.6.4)
@Seismicisolation
@Seismicisolation
Nature of Materials
1.1 INTRODUCTION
We find numerous things around us, and use many of them frequently in our day-to-day
activities. The things that can be seen are usually known as materials. However, in true sense,
a material is something that occupies space and has mass. A material, in general, exists in one
of the three states (more frequently called physical states), namely, gaseous, liquid or solid state
depending on its temperature. At a given temperature, physical state having more negative free
energy is thermodynamically stable. For example, only water is stable at room temperature but
ice or water vapour (steam) is not stable.
Every material, irrespective of its physical state, is made of some simple substances which
cannot be further broken down into more simple substances. These simple and pure substances
that cannot be disintegrated by chemical means are referred to as elements. Thus elements are
the basic units of all the materials.
There are about l09 elements known to man out of which majority of elements (say 92)
are gifted to human race by the nature, i.e. these are naturally occurring elements. Remaining
elements have been developed by the man. Aluminium, copper, iron, oxygen, hydrogen and
iodine are some examples of naturally occurring elements. Elements differ from each other and
hence show different characteristic features. An element, though cannot be disintegrated by
chemical means, is not unbreakable. In fact, every element is composed of atoms. While the
characteristic features of atoms are similar for a given element, these are different for different
elements, i.e. all atoms of an element are alike and differ significantly from the atoms of other
elements. The different characteristic features of elements are essentially due to the
characteristic features of these atoms and arrangement of these atoms within the elements.
Initially, an atom was considered as an indivisible smallest unit of the element. Nowadays, it
1
@Seismicisolation
@Seismicisolation
2 Mechanical Behaviour and Testing of Materials
is well known that an atom is composed of many sub-atomic particles. However, it is true that
an atom is the smallest stable unit of an element which can exhibit all the properties of that
element and is capable of taking part in a chemical reaction. Two or more atoms of an element
or of different elements may combine with each other to form a molecule. In such cases,
molecule is the smallest stable unit exhibiting all the properties of the material under
consideration.
An atom has a well-defined internal structure known as atomic structure. As stated
earlier, an atom is composed of many sub-atomic particles. However, for the sake of
understanding the atomic structure in a simple manner, it is convenient to focus only on three
sub-atomic particles, namely, the proton, neutron and electron. These sub-atomic particles are
usually referred to as elementary particles. The characteristics of these sub-atomic particles are
summarised in Table 1.1.
Particle
Proton
Neutron
Electron
TABLE 1.1 Characteristics of sub-atomic particles
Characteristics
These are positively charged particles concentrated in the nucleus. The mass of a
proton is equal to 1.673 x 10-27 kg. The magnitude of charge on a proton is
1.602 x 10-19 coulomb. Relative mass and relative charge are 1 and +1,
respectively.
These are neutral particles, i.e. they do not have any charge. Like protons,
these are also concentrated in the nucleus. The mass of a proton is equal to
1.675 x 10-27 kg. Relative mass and relative charge are 1 and 0, respectively.
These are negatively charged particles moving around the nucleus in various
orbits. The mass of an electron is equal to 0.911 x 10-30 kg. The magnitude of
charge on an electron is 1.602 x 10-19 coulomb. Relative mass and relative
charge are 1/1836 and -1, respectively.
Electrons are negatively charged particles which are much lighter than the both protons
and neutrons. Protons are positively charged particles whereas neutrons are neutral particles.
The mass of a proton is slightly less than the mass of a neutron. An atom, to a first
approximation, can be considered spherical in shape with definite size (diameter). The average
diameter of an atom is of the order of 10-10 metre.
An atom consists of a highly compact central part which is popularly known as nucleus.
This nucleus is comprised of the protons and neutrons. Electrons are revolving around it in
circular or elliptical orbits as shown in Figure 1.1. This distribution of electrons depends on the
nature of the element. The maximum number of electrons that can be present in any shell
(n = 1, 2, 3, ....) is 2n2• For example, first shell, also known as the innermost shell, can have
only 2 [2 x 121electrons and second shell can have 8 [2 x 221electrons only. The last shell,
popularly known as outermost shell, cannot have more than 8 electrons and the shell immediately
preceding the outermost shell cannot have more than 18 electrons. The planetary model, the most
popular model explaining the nature of structure of an atom, is shown in Figure l.2(a). However,
the shells are not as rigid as Figure l.2(a) implies. It is because that no empirical mathematical
@Seismicisolation
@Seismicisolation
Nature of Materials 3
Nucleus (positively charged)
Electrons (negatively charged)
FIGURE 1.1 Structure of an atom showing a central nucleus and electrons
revolving around it.
(a)
containing
nucleons
L-shell
,__+---+--- M-shel
t+--t-- - N-shell
t+-- -0-shell
(b)
FIGURE 1.2 (a) Planetary model of an atom, (b) Electron shell structure around the nucleus.
relationship can be developed to locate the electron in terms of distance parameter from the
nucleus. It is important to emphasize here that electrons have dual nature, i.e. electrons exhibit
properties of a particle as well as of an energy wave. Since electrons are governed by the laws
of quantum mechanics, only certain but definite energy values will be associated with these
electrons and hence electrons will revolve around the nucleus only in some definite orbits with
particular energy levels as shown in Figure l.2(b). According to Heisenberg's uncertainty
principle, it is not possible to determine the position and momentum of an electron
simultaneously. The exact position of an electron can be determined precisely with the help of
four quantum numbers, namely, principal quantum number (n), orbital quantum or azimuthal
quantum number (l), magnetic quantum number (m1) and electron spin quantum number (m5).
The principal quantum number (n) is related to the main energy levels of the electron.
It can be visualised as a shell in the space. In general, each quantum shell is assigned an
alphabet rather than a number. The shells corresponding to n = l, 2, 3, 4, 5, 6 and 7 are
designated by alphabets K, L, M, N, 0, P and Q, respectively. Though principal quantum
number may have any positive integral value from l to infinity, it usually ranges from l to 7.
An electron with higher principal quantum number possesses higher energy and is farther from
the nucleus.
The orbital angular quantum number (l) is related to the angular momentum of the
electrons. It may have any value from 0 to (n - 1). This quantum number speaks about the sub-
energy levels (sub-shells) within the main energy levels (shells). With the help of this number,
@Seismicisolation
@Seismicisolation
4 Mechanical Behaviour and Testing of Materials
the position of electron can be known with high probability in sub-shells. The sub-energy levels
are denoted by alphabets s, p, d and f The sub-energy level with the lowest energy state is
referred to as s, the next higher is p, and then d and f
The magnetic quantum number (m1) is related to the magnetic moment of the electron
and has values from -l to +l including zero. There are, in general, (21 + 1) values of m1 for a
given l value. The electron spin quantum number (ms) is related to the rotation of the electron
about its own axis. Since there may be two allowed spin directions for an electron spinning
on its own axis (clockwise and anticlockwise), ms may have values +1/2 and -1/2.
Table 1.2, showing distribution of electrons for various elements, helps in understanding
these statements.
Since the atomic nucleus consists of protons and neutrons, it is positively charged. The
average diameter of a nucleus is of the order of 10-14 metre, which is about 1/10,000 of the
diameter of the atom. Hence, while almost the entire mass of an atom is concentrated at the
nucleus, almost all the volume of atom is occupied by the electron cloud moving around the
positively charged nucleus. The electrons, which are moving around the nucleus in various
orbits, are of much significance as these determine the size of the atom, govern the electrical
conductivity and chemical properties, decide the nature of interatomic force of attraction and
affect optical properties. The electrons in the outermost orbit, which are relatively loosely
bonded with the nucleus, are known as valence electrons. Since the number of electrons is
equal to the number of protons in an atom and have equal and opposite electrical charge, an
atom is electrically neutral. Under certain circumstances, there may be an imbalance and the
number of protons may not be equal to the numbers of electrons. In such cases, atom will not
be electrically neutral. A charged atom, due to gain or loss of one or more electrons, is usually
termed as ion. Loss of an electron means that there will be a proton whose positive charge
cannot be neutralised and hence the atom becomes positively charged, i.e. electropositive. On
similar basis, gain of an electron makes the atom electronegative. The terms anion and cation
are used to represent negatively and positively charged ion, respectively.
Atom of an element has definite number of protons in its nucleus and this number differs
from element to element. The number of protons in the nucleus is commonly termed as atomic
number and is frequently denoted by the alphabet Z. For an electrically neutral atom, the
atomic number represents the number of electrons in the atom. As stated earlier, proton and
neutrons contribute to almost all the mass of an atom. The term atomic mass number, generally
expressed by the alphabet M, indicates the total number of protons and neutrons in the nucleus.
It is only the simplest atom of hydrogen which has same value, i.e. 1 for both atomic number and
atomic mass number. While all atoms of an element have the same number of protons, these may
contain different number of neutrons. Atoms of the same element having different atomic mass
numbers are called isotopes. All isotopes of one element have similar chemical properties.
Presence of isotopes is quite common feature for majority of elements. For example, there are two
naturally occurring isotopes of hydrogen (with M as 1 and 2), three isotopes of carbon (with M
as 12, 13 and 14) and three isotopes of oxygen (with M as 16, 17 and 18). It is quite probable
in some cases that, for different elements, the sum of the number of protons and neutrons may
be same, i.e. different elements may have same atomic mass number. In such cases, the number
of protons and neutrons differ in the nuclei. These nuclei are called isobars.
@Seismicisolation
@Seismicisolation
Nature of Materials 5
TABLE 1.2 Distribution of electrons in various orbits
Atomic Elements K L M N 0 p
number ls 2s 2p 3s 3p 3d 4s 4p 4d 4f 5s Sp 5d 6s 6p
1 Hydrogen 1
2 Helium 2
3 Lithium 2 1
4 Beryllium 2 2
5 Boron 2 2 1
6 Carbon 2 2 2
7 Nitrogen 2 2 3
8 Oxygen 2 2 4
9 Fluorine 2 2 5
10 Neon 2 2 6
11 Sodium 2 2 6 1
12 Magnesium 2 2 6 2
13 Aluminium 2 2 6 2 1
14 Silicon 2 2 6 2 2
15 Phosphorus 2 2 6 2 3
16 Sulphur 2 2 6 2 4
17 Chlorine 2 2 6 2 5
18 Argon 2 2 6 2 6
19 Potassium 2 2 6 2 6 1
20 Calcium 2 2 6 2 6 2
21 Scandium 2 2 6 2 6 1 2
22 Titanium 2 2 6 2 6 2 2
23 Vanadium 2 2 6 2 6 3 2
24 Chromium 2 2 6 2 6 5 1
25 Manganese 2 2 6 2 6 5 2
26 Iron 2 2 6 2 6 6 2
27 Cobalt 2 2 6 2 6 7 2
28 Nickel 2 2 6 2 6 8 2
29 Copper 2 2 6 2 6 10 1
30 Zinc 2 2 6 2 6 10 2
31 Gallium 2 2 6 2 6 10 2 1
32 Germanium 2 2 6 2 6 10 2 2
33 Arsenic 2 2 6 2 6 10 2 3
34 Selenium 2 2 6 2 6 10 2 4
35 Bromine 2 2 6 2 6 10 2 5
36 Krypton 2 2 6 2 6 10 2 6
37 Rubidium 2 2 6 2 6 10 2 6 1
38 Strontium 2 2 6 2 6 10 2 6 2
39 Yttrium 2 2 6 2 6 10 2 6 1 2
40 Zirconium 2 2 6 2 6 10 2 6 2 2
(Contd.)
@Seismicisolation
@Seismicisolation
6 Mechanical Behaviour and Testing of Materials
TABLE 1.2 Distribution of electrons in various orbits (contd.)
Atomic Elements K L M N 0 p
number ls 2s 2p 3s 3p 3d 4s 4p 4d 4f 5s Sp 5d 6s 6p
41 Niobium 2 2 6 2 6 10 2 6 4 1
42 Molybdenum 2 2 6 2 6 10 2 6 5 1
43 Technetium 2 2 6 2 6 10 2 6 6 1
44 Ruthenium 2 2 6 2 6 10 2 6 7 1
45 Rhodium 2 2 6 2 6 10 2 6 8 1
46 Palladium 2 2 6 2 6 10 2 6 10
47 Silver 2 2 6 2 6 10 2 6 10 2
48 Cadmium 2 2 6 2 6 10 2 6 10 2
49 Indium 2 2 6 2 6 10 2 6 10 2 1
50 Tin 2 2 6 2 6 10 2 6 10 2 2
51 Antimony 2 2 6 2 6 10 2 6 10 2 3
52 Tellurium 2 2 6 2 6 10 2 6 10 2 4
53 Iodine 2 2 6 2 6 10 2 6 10 2 5
54 Xenon 2 2 6 2 2 10 2 6 10 2 6
55 Cesium 2 2 6 2 6 10 2 6 10 2 6 1
56 Barium 2 2 6 2 6 10 2 6 10 2 6 2
57 Lanthanaum 2 2 6 2 6 10 2 6 10 1 2 6 2
71 Lutetium 2 2 6 2 6 10 2 6 10 14 2 6 1 2
72 Hafnium 2 2 6 2 6 10 2 6 10 14 2 6 2 2
73 Tantalum 2 2 6 2 6 10 2 6 10 14 2 6 3 2
74 Tungsten 2 2 6 2 6 10 2 6 10 14 2 6 4 2
75 Rhenium 2 2 6 2 6 10 2 6 10 14 2 6 5
76 Osmium 2 2 6 2 6 10 2 6 10 14 2 6 6
77 Iridium 2 2 6 2 6 10 2 6 10 14 2 6 9
78 Platinum 2 2 6 2 6 10 2 6 10 14 2 6 9 1
79 Gold 2 2 6 2 6 10 2 6 10 14 2 6 10 1
80 Mercury 2 2 6 2 6 10 2 6 10 14 12 6 10 2
81 Thallium 2 2 6 2 6 10 2 6 10 14 2 6 10 2 1
82 Lead 2 2 6 2 6 10 2 6 10 14 2 6 10 2 2
83 Bismuth 2 2 6 2 6 10 2 6 10 14 2 6 10 2 3
84 Polonium 2 2 6 2 6 10 2 6 10 14 2 6 10 2 4
85 Astatine 2 2 6 2 6 10 2 6 10 14 2 6 10 2 5
86 Radon 2 2 6 2 6 10 2 6 10 14 2 6 10 2 6
@Seismicisolation
@Seismicisolation
Nature of Materials 7
1.2 INTERATOMIC AND INTERMOLECULAR BONDING
All materials are composed of very large number (several millions) of atoms. These atoms are
joined with each other in one or another way. The word interatomic bonding is most
frequently used to express this joining of atoms. The strength of bonding and the nature of
bonding between atoms differ from material to material and decide the characteristic features
of the material under consideration. In general, the interatomic bonding depends on the
distribution of electrons in the atom and the number of valence electrons. An atom with
completely filled outermost orbit is most stable and hence every atom having incompletely
filled outermost orbit has a tendency to fill the outermost orbit by combining with other atom(s).
Similar to atoms, molecules are also bonded with each other and the bonds between molecules
are called intermolecular bonding. Various bondings present in the materials can be divided
into two major classes, namely, primary and secondary bondings. Primary bondings, the
bondings between atoms, are much stronger than the secondary bondings, which are, in
general, the bondings between the molecules and between the atoms in specific cases. For
example, atoms of inert gases are bonded by secondary bonding in condensed state. Here it is
important to mention that the atoms, from which a molecule is formed, are bonded by strong
primary bonding. There are three types of primary bonds, namely, ionic bonding, covalent
bonding and metallic bonding. These bonds result from electronic orbital interactions. The
manner by which atoms fill their outer 's' and 'p' orbitals differs from one bonding to another.
The weak secondary bonds result from molecular polarization and permanent dipole moment.
van der Waals bond [Figure l.3(a)] and hydrogen bond [Figure l.3(b)] are two common
,,,.,....---......,, ,,.,....---.........,
1+ - , ,+ -,
Dispersio~n
,' ~ 
,' ~  Dispersion
______.. ~ ------+- I I ------+- I ------+-
/ I /
 Dipole /  Dipole /
.........___......," ',...___......,"
Dispersion
c::::::=:::,
(a)
~ + Dipole
+ ~ j
- 0 ---~--
H+
-- '
, 
+H,'+ -o H+
I H /
I ,
0 _,,
+
+ <l
+ - 0 H
- +<J +
+
(b)
FIGURE 1.3 (a) van der Waals bond, (b) Hydrogen bond.
@Seismicisolation
@Seismicisolation
8 Mechanical Behaviour and Testing of Materials
examples of the secondary bonds. Materials are bonded by primary bonding, secondary bonding
or by the combination of both. It is not essential that a material will be bonded by only one type
of bonding, i.e. they may have mixed bonding. In fact, most of the materials have mixed
bonding. For examples, pure elements like iron, cobalt, nickel, uranium, iodine and plutonium
as well as intermetallic compounds, and ceramic compounds e.g. silica (SiO2), silicon carbide
(SiC) and titanium nitride (TiN) have mixed bonding.
Ionic bonding results due to transfer of electron(s) from one atom to another (Figure 1.4).
The transfer of electrons takes place in a manner that one atom becomes positively charged and
3s1
0
Sodium atom Chlorine atom
FIGURE 1.4 Ionic bonding showing the formation of a sodium chloride ion pair from sodium and
chlorine atoms. For convenience electrons are shown only in outermost shell of
chlorine atom and ion.
the other negatively charged. The atom which donates electron(s) becomes positively charged
while the atom that accepts electron(s) becomes negatively charged. The tendency for the
formation of ionic bonding is usually found between the atoms having one or two valence
electrons and the atoms having incomplete outermost orbits by one or two electrons. Such a
bond gives a stable structure. Covalent bonding results as a consequence of sharing of
electrons from the outermost orbit by the atoms (Figure 1.5). The sharing of electrons takes
place in such a manner that outermost orbit of each atom gets filled up. Each sharing of
electrons between two atoms results into the formation of one covalent bond. Covalent bonding
occurs only when surrounding atoms are located in a manner that they have some well-defined
directional relationship with each other. This type of bonding exists between the atoms of same
element as well as between the atoms of dissimilar elements. Valence electrons, in certain
elements and solid materials, are so loosely bonded with the nucleus of the atom that these are
capable of moving freely under the influence of an applied voltage. Such electrons are popularly
known as free electrons. Metals and alloys owe their properties essentially due to the presence
of free electrons. Free electrons are shared by all the atoms of the element or the material. These
@Seismicisolation
@Seismicisolation
Nature of Materials 9
0
Silicon atom
FIGURE 1.5 Covalent bonding in silicon crystal.
electrons form electron gas or electron cloud around the atoms which have now become
positively charged ions. The positively charged ions are bonded with one another by mutual
attraction to the nearer electrons in the electron cloud. Such an attraction causes the formation
of metallic bonding (Figure 1.6).
FIGURE 1.6 Two-dimensional schematic diagram illustrating metallic bonding between atoms.
@Seismicisolation
@Seismicisolation
10 Mechanical Behaviour and Testing of Materials
1.3 CLASSIFICATION AND COMBINATION OF ELEMENTS
It was the year 1869, when Dimitri Mendeleev, a Russian scientist, got success in arranging
the elements in a tabular form and developed the periodic table of the elements. In fact,
while arranging the elements in order of increasing atomic weight, he discovered that
elements showing similar properties are recurring in a periodic manner. A modern periodic
table is shown in Figure 1.7. In this periodic table, elements have been arranged in order of
ascending atomic number. The horizontal rows and the vertical columns, in general, are
called periods and groups, respectively. All the elements of a group exhibit similar
characteristics.
Elements, depending on some common characteristics, are classified into two major
categories, namely, metals and nonmetals. For example, many elements have good thermal
and electrical conductivity, are malleable, ductile and opaque, possess typical lustre usually
referred to as metallic lustre, and are crystalline solids. Such elements are known as metals
or metallic elements and the characteristics stated above, i.e. good thermal conductivity,
electrical conductivity, malleability, ductility coupled with opacity and typical lustre are
called metallic characteristics or properties. All metallic elements are solid at room
temperature except mercury. Nonmetals or nonmetallic elements may exist in solid,
liquid or gaseous state. Solid nonmetallic elements, in contrast to metallic elements, have
poor thermal and electrical conductivity and are brittle in nature. There are certain typical
elements which possess some characteristics of metals and some characteristics of
nonmetals. Hence, these are neither metals nor nonmetals. Such elements constitute a third
category of elements referred to as metalloids. Carbon, boron, silicon, germanium, arsenic,
antimony and tellurium belong to the family of metalloids. Atoms of all metals are bonded
by metallic bonding, whereas the atoms of nonmetals are bonded by bonding other than the
metallic bonding.
A chemical compound is formed when atoms of combining elements are held together
due to the association of electrons of these atoms. A compound, is a homogeneous substance,
has definite composition, fixed properties and a definite representing chemical formula.
Properties of a compound usually differ significantly from properties of elements from which
it is made of. It cannot be separated into constituent elements by simple physical and
mechanical means. Separation into constituent elements is only possible by chemical or electro-
chemical means. Compounds are generally formed between the elements which are far apart
in the periodic table.
A mixture is composed of two or more elements and/or compounds which are in intimate
contact with each other. There is no bonding between these elements or compounds on atomic
level. Bonding is of simple physical or mechanical nature. A mixture, unlike a compound, does
not have definite composition, properties and chemical formula. A mixture can be separated into
its constituent elements by simple physical and mechanical means.
In many cases, combination of two or more elements gives rise to a material which
exhibits metallic characteristics. Such a material is known as alloy. The base element, i.e.
element in major quantity is a metal in all alloys. Nimonics, steels, brasses, bronzes and monels
are some examples of the alloys.
@Seismicisolation
@Seismicisolation
IA
I
H
1.00797 IIA
3 4
Li Be
6.393 9.0 12
II 12
Na Mg VIIIB
22.99 24.3 1 111B IVB VB VIB VIIB ,.-A-..,_ 1B 11B
19 20 21 22 23 24 25 26 27 28 29 30
K Ca Sc Ti V Cr Mn Fe Co Ni Cu Zn
39. 102 40.08 44.96 47.90 50.94 52.00 54.94 55.85 58.93 58.71 63.54 65.37
37 38 39 40 41 42 43 44 45 46 47 48
Rb Sr y Zr Nb Mo Tc Ru Rh Pd Ag Cd
85.47 87.62 88.905 91.22 92.9 1 95.94 98 IOI.I 102.90 106.4 107.87 112.4
55 56 72 73 74 75 76 77 78 79 80
Cs Ba
~
Hf Ta w Re Os Ir Pt Au Hg
132.905 137.33 178.49 180.95 183.85 186.2 190.2 192.2 195.09 196.97 200.59
87 88
Fr Ra Lanthanide series
223 226.025 I Actinide series
57 58 59 60 61 62 63 63 65
La Ce Pr Nd Pm Sm Eu Gd Tb
I 138.9 1 140. 12 140.9 1 144.24 147 150.35 152 157.25 158.92
89 90 91 92 93 94 95 96 97
Ac Th Pa u Np Pu Am Cm Bk
227 232.04 23 1 238.03 237 244 243 247 247
FIGURE 1.7 Periodic table.
IIIA IVA VA
5 6 7
B C N
10.8 1 12.0 1] 14.007
13 14 15
Al Si p
26.98 28.09 30.974
31 32 33
Ga Ge As
69.72 72.59 74.92
49 50 51
In Sn Sb
114.82 11 8.69 12 1.75
81 82 83
Tl Pb Bi
204.37 207.19 208.98
66 67 68
Dy Ho Er
162.50 164.93 167.26
98 99 100
Cf Es Fm
25 1 254 257
VIA VIIA
8 9
0 F
15.9994 19.00
16 17
s Cl
32.064 35.453
34 35
Se Br
78.96 79.909
52 53
Te I
127.60 126.90
84 85
Po At
2 10 210
69 70
Tm Yb
168.93 173.04
IOI 102
Md No
258 255
0
-
2
He
4.003
10
Ne
20. 183
18
Ar
39.948
36
Kr
83.80
54
Xe
131.30
86
Rn
222
7 1
Lu
174.97
103
Lw
257
~
C:
<il
C
.....
~
Cb°
55·
iii'
....
....
@Seismicisolation
@Seismicisolation
12 Mechanical Behaviour and Testing of Materials
1.4 ATOMIC ARRANGEMENT
Atom is the basic unit of an element. In addition to characteristics of the atom/atoms, it is the
arrangement of atoms within the material that controls the properties of the material under
consideration. In a material, atoms may or may not arrange themselves in a well-defined order.
The materials having well-defined arrangement of atoms are referred to as crystalline
materials. All metals and metallic materials are crystalline materials. Certain nonmetallic
materials, e.g. many ceramics also exhibit well-defined arrangement of atoms. Gases are the
example of the materials that do not show any specific arrangement of atoms. A large number
of materials show short-range ordering, i.e. specific arrangement of atoms is restricted to few
atoms (atom's nearest neighbours) only. Such materials are known as noncrystalline or
amorphous materials.
In a crystalline material, atoms are arranged in a well-defined manner and every atom has
identical surroundings. The repetitive three-dimensional arrangement of atoms is known as
crystal structure while the three-dimensional structure comprising of imaginary straight lines
connecting the centres of the atoms is called space lattice or crystal structure lattice. A space
lattice thus obtained contains a large number of small, but equally sized, segments. The smallest
unit of the lattice which on repeating in all the three
directions gives rise to crystal structure lattice is
called unit cell. The unit cell retains the overall
characteristics of the lattice. The size and shape of
unit cell may vary from material to material. A unit
cell can be described completely by six parameters,
namely, three axial dimensions (a, b and c) and three
inter-axial angles (a, f3 and )?. These parameters are
better known as lattice parameters. By convention,
a is the angle between b and c axes, f3 is the angle
between c and a axes and y is the angle between a
and b axes (Figure 1.8).
C
a
FIGURE 1.8 Unit cell showing lattice
constants.
Based on symmetry considerations, there are only seven crystal structure systems.
Table 1.3 provides characteristics of various crystal structure systems.
TABLE 1.3 Characteristics of crystal structure systems
Crystal structure Axes Angles between axes
Cubic a= b = c a= /3 = r= 90°
Tetragonal a = b * c a= /3 = r= 90°
Hexagonal a = b * c a = /3 = 90°, r = 120°
Orthorhombic aCFbCFc a= /3 = r= 90°
Rhombohedral a= b = c a= /3 = Y* 90°
Monoclinic aCFbCFc a = r = 90°, /3 * 90°
Triclinic aCFbCFc a* /3 * Y* 90°
@Seismicisolation
@Seismicisolation
Nature of Materials 13
For these seven crystal structure systems only fourteen (14) space lattices, more popularly
known as Bravais lattices are possible (Figure 1.9). Materials may have more than one crystal
structure. The term allotropy is used for this characteristic property shown by pure elements.
Polymorphism is a more general term for such a characteristic behaviour. Table 1.4 lists crystal
structures of various allotropic forms of some metals.
Simple
cubic
rnJ
Simple
tetragonal
Face-centred Body-centred
cubic cubic
rw m
Body-centred
tetragonal
Hexagonal
Iw rw rm a:B
Simple
orthorhombic
Rhombohedral
Body-centred
orthorhombic
Simple
monoclinic
Base-centred
orthorhombic
Base-centred
monoclinic
Face-centred
orthorhombic
Triclinic
FIGURE 1.9 The fourteen Bravais unit cells. The dots indicate lattice points located at corners,
face-centres or at body centres as the case may be.
TABLE 1.4 Crystal structures of some allotropic forms
Metal Crystal structure Lattice parameters (nm)
Iron BCC (up to 910°C) 0.2866
FCC (910-1402°C) 0.3589
BCC (1402-1539°C) 0.2930
Strontium FCC (up to 557°C) 0.6084
BCC (557-768°C) 0.4840
Titanium HCP (up to 882°C) a = 0.2950, C = 0.4683
BCC (882-1668°C) 0.3320
Zirconium HCP (up to 862°C) a= 0.3231, C = 0.5147
BCC (862-1852°C) 0.3609
@Seismicisolation
@Seismicisolation
14 Mechanical Behaviour and Testing of Materials
1.5 ENGINEERING MATERIALS
Engineering materials, in general, mean solid materials used by the mankind. These can be
broadly classified into two classes, namely, metallic materials and nonmetallic materials. Metals
and alloys are the examples of metallic materials. Nonmetallic materials are further classified
into two sub-classes, i.e. ceramics (and glasses) and polymers. Ceramics are inorganic
compounds formed by the combination of metals and nonmetals. Glasses are amorphous
inorganic nonmetallic materials. Polymers, also known as polymeric materials, are mostly
organic nonmetallic materials. These are mainly the compounds of carbon and hydrogen with
other atoms such as oxygen, nitrogen, chlorine, fluorine may also be present. Some commonly
used engineering materials are described below.
1.5.1 Steel
Steel is the name given to the family of iron-carbon alloys having carbon content up to about
2%, i.e. up to maximum solid solubility limit of carbon in gamma-iron. Silicon, manganese,
sulphur and phosphorus are always present in all steels. Steels are generally classified into two
major classes, namely, plain carbon steels (or carbon steels) and alloy steels. Plain carbon
steels contain less than 1.65% manganese and 0.60% silicon and do not contain any other
specified element. Properties of plain carbon steels are governed by the carbon content.
According to carbon content, carbon steels are classified as low carbon, medium carbon, and
high carbon steels. Low carbon steels contain less than 0.30% carbon while high carbon steels
contain more than 0.60% carbon. Medium carbon steels have carbon content ranging from
0.30% to 0.60%. Some applications of plain carbon steels have been summarised in Table 1.5.
Type of steel
Low carbon steel
Medium carbon steel
High carbon steel
TABLE 1.5 Some applications of plain carbon steels
Applications
Wires, screws, nuts, bolts, rivets, sheets, ship plates, rods, angles, channels,
tubes, shafts, beams, various forgings, tin plate, galvanized plate, stampings,
many structural members, etc.
Stronger nuts, bolts, axles, shafts, high tensile tubes, locomotive tyres, wire
ropes, hammer, agricultural tools, reinforcing bars for cement concrete,
connecting rods, gears, rails, spindles, etc.
Springs, piano wire, wood working tools, metal cutting tools, forging dies,
drills, hand files, handsaw, limit gauges, razors, cold chisels, scissors, blades
of cold shears, sledge hammer, knieves, punches, etc.
Alloy steel contains specified amount(s) of alloying element(s) and/or more than 1.65%
manganese and/or 0.60% silicon. The properties of alloy steels depend on both carbon and
alloying element(s). It is possible to impart specific characteristics in the steels by careful
selection of alloying elements and adding these in controlled amounts. Table 1.6 describes the
effect of various elements on the properties of steels.
@Seismicisolation
@Seismicisolation
Nature of Materials 15
TABLE 1.6 Effects of some elements on steel properties
Alloying elements Effects on steel properties
Aluminium
Chromium
Manganese
Nickel
Molybdenum
Tungsten
Vanadium
Cobalt
Silicon
Copper
Boron
Improves strength and toughness by refining the grain size, forms nitride in
nitriding grade steel (such as 'nitralloy') to impart hardness and wear resistance.
Improves hardenability, when form carbides improves hardness, tensile strength,
wear resistance, and heat resistance. When present in amounts greater than 11%
imparts corrosion and oxidation resistance properties.
Increases hardenability, hardness and tensile strength. Decreases ductile-brittle
transition temperature and thus improves toughness of steel.
Increases hardness, tensile strength and toughness of steel without any loss of
ductility. Imrpoves corrosion and heat resistance of chromium steels.
It promotes grain refinement, increases hardenability and improves high
temperature properties of steels, eliminates temper embrittlement effect of some
steels and enhances corrosion resistance of stainless steels (in particular, the
pitting corrosion resistance).
Improves red hardness, hardenability, tensile strength, resistance to tempering,
wear resistance and high temperature strength of steels.
Refines grain size, prevents grain growth at elevated temperatures, improves
wear resistance, yield strength, ductility and fatigue strength as well as high
temperature strength.
In presence of tungsten and/or molybdenum imparts red hardness of steels as in
super high speed steels.
Increases hardness, and strength without much affecting the ductility when
present in small amount (< 4%). It also imparts springness, oxidation resistance,
and heat resistance to steels. It increases electrical resistivity of steel for that steel
is used for transformers and dynamo applications.
Sometimes added to improve the atmospheric corrosion resistance of steel.
Specifically added in very small amount (0.001-0.005%) to improve
hardenability of steel.
Based on the amount of alloying element(s) present in steel, alloy steel may be referred
to as low alloy steel, medium alloy steel or high alloy steel. In general, low alloy steel contains
up to 5% total alloy content while total alloy content of a high alloy steel exceeds 10%. For
a medium alloy steel, total alloy content lies in between 5 and 10%. Classification into two
classes, namely, low alloy steel and high alloy steel is also quite popular. According to this
classification, low alloy steel contains up to 10% total alloy content while total alloy content
of a high alloy steel exceeds 10%. Some steels of industrial importance have been described
as follows.
@Seismicisolation
@Seismicisolation
16 Mechanical Behaviour and Testing of Materials
Structural steels
These are the steels widely employed for making engineering components such as springs,
gears, grinding media balls, boiler plates, nuts and bolts, bearings, crankshafts, axles, pistons,
valves and many other components. Such steels are frequently subjected to thermal and
mechanical treatments in order to develop desired mechanical properties. Structural steels
consist of a large number of carbon steels and alloy steels. Structural steels are different from
those steels which are used for specific purposes such as corrosion resistant steels, heat resistant
steels, electrical steels, etc. and steels for constructional applications which are generally used
in as-received condition.
Spring steels
Steels possessing high elastic limit, toughness and fatigue strength are suitable for making
springs. In addition to carbon steels, a large number of low and medium alloy steels, depending
on service conditions, are utilised for making springs. High alloy steels are also used for making
springs where some specific requirement is more important. For example, in highly corrosive
environment or at low temperatures, springs made from stainless steels are used.
Ball bearing steels
Steels suitable for making ball bearings must have high surface hardness to resist wear, tough
core to withstand sudden shocks and good fatigue strength as bearings are subjected to cyclic
loading. Ball bearing steels are essentially high carbon low chromium steels. Carbon content of
these steels ranges from 0.95 to 1.10% while chromium content varies from 0.40-1.60%.
Smaller sized ball bearings are made from the steels having 0.40-0.70% chromium while larger
sized ball bearings are made from the steels having 1.30-1.60% chromium. Medium sized ball
bearings are made from the steels having 0.90-1.20% chromium. Nonmetallic inclusions and
segregations of carbides should be controlled precisely in these steels as their presence impair
properties particularly fatigue strength significantly resulting in premature failure of bearings.
Heat treatment of ball bearing steels consists of hardening and tempering. Hardening is carried
out in the temperature range of 830-840°C. Oil quenched steel is tempered at 150-160°C for
1-2 hours. The minimum hardness of hardened and tempered steels should not be less than 62
on Rockwell C-scale.
High strength low alloy steels (HSLA)
These steels have been developed with main emphasis on better mechanical properties.
Mechanical treatment of these steels is carried out in such a way that desired mechanical
properties are obtained. These steels are not subjected to heat treatment. These steels are
essentially low carbon (C ~ 0.20%) steels with about 1% manganese and small quantities
(< 0.50%) of other elements like aluminium, niobium, vanadium, titanium and chromium.
Copper is added to some grades of these steels to impart resistance to atmospheric corrosion.
Steels containing copper are referred to as weathering steels. The yield strength and tensile
strength of these steels is usually in the range of 290-480 MPa and 415-620 MPa, respectively.
In addition to high strength to weight ratio, these steels exhibit very good formability and
weldability. This is why, better fuel efficiency has been attained by using these steels in
@Seismicisolation
@Seismicisolation
Nature of Materials 17
automobile industry. These steels are used for numerous applications. Major applications
include transmission lines for natural gas, ships, offshore drilling platforms and automotive
components.
Hadfield steel
Also known as austemtlc manganese steel, Hadfield steel contains 1.1-1.4% carbon and
11-14% manganese. Properly heat-treated steel (water quenched from 1000°C) has austenitic
structure and attains high strength, toughness and excellent wear resistance on deformation.
This nonmagnetic steel is used in as-quenched condition. Applications include components in
electromagnetic equipments, rock crusher jaws, crushing and grinding mill liners, railroad
crossing and switch points, dredging equipment, chain for tanks, and excavator buckets.
Stainless steels
Stainless steel is a generic term denoting a large number of chromium and chromium-nickel
steels exhibiting excellent resistance to corrosion and many other useful properties. In addition
to chromium and nickel, sufficient amounts of other alloying elements such as niobium,
molybdenum, titanium, copper, tungsten, selenium, aluminium and tantalum may be present
in these steels. There are five classes of stainless steels, namely, martensitic stainless
steels (l l.5-15.0%Cr), ferritic stainless steels (15.0-30.0%Cr), austenitic stainless steels
(16.0-26.0%Cr, 6.0-22.0%Ni), precipitation hardenable stainless steels (14.0-18.0%Cr,
6.0-8.0%Ni, 2.0-3.0%Mo, 0.75-l.50%Al) and duplex stainless steels (23-30%Cr,
4.5-7.0%Ni, 2.0-4.0%Mo).
Low cost, high hardness, wear resistance and strength coupled with fairly good corrosion
resistance are some of the characteristics of martensitic stainless steels. Some important
applications include cutlery items, surgical instruments, high quality ball bearings, valves and
high quality knives.
Ferritic stainless steels possess fairly high ductility, good hot and cold workability and
excellent resistance to corrosion. Kitchen sinks, decorative trim, annealing baskets, nitric acid
tanks, dairy machinery, motor boat propeller shafts, aeroplane and automobile fittings,
stainless nuts and bolts and furnace parts are some engineering applications of ferritic
stainless steels.
Austenitic stainless steels offer maximum resistance to corrosion and possess excellent
deep drawability, strength and toughness coupled with excellent low-temperature impact
properties. In fact, this class, the most widely used, finds numerous applications. These are the
only stainless steels which are nonmagnetic in nature and hence have an edge over other
stainless steels.
Precipitation hardening stainless steels possess very good combination of corrosion
resistance and strength. These steels derive their strength mainly from precipitation hardening
and martensitic transformation.
Duplex stainless steels have ferrite and austenite in their microstructure attained by
balancing the nickel and chromium contents. Better strength than the austenitic stainless steels,
excellent resistance to corrosion (comparable with austenitic ones), immunity to stress corrosion
cracking and good weldability are some salient features of duplex stainless steels.
@Seismicisolation
@Seismicisolation
18 Mechanical Behaviour and Testing of Materials
Maraging steels
These steels contain 18-25% nickel, 7-10% cobalt, 3-5% molybdenum, up to 1.75% titanium
and up to 0.20% aluminium. Maraging steels are well known for their good yield strength to
tensile strength ratio, weldability, formability, excellent fracture toughness and resistance to
hydrogen embrittlement. Motor cases for missiles, low temperature structural parts, pressure
vessels and hulls for hydrospace vehicles are some of the major applications of maraging steels.
High-speed steels
These are essentially high carbon-high alloy steels, containing tungsten, chromium, vanadium
and molybdenum as the main alloying elements, are well suited for manufacturing cutting tools.
A typical conventional high-speed steel contains 0.7% carbon, 18% tungsten, 4% chromium
and 1% vanadium. These steels possess high compressive strength, high red hardness and
excellent wear resistance at room temperature as well as at elevated temperatures. Some
important applications are lathe tools, milling cutters, reamers, deep hole drills, taps, blanking
dies, hot forming dies and wearing plates. Tools made from high-speed steels can be safely used
up to "" 600°C. Bearings and springs for high temperature applications and aircraft fasteners are
also made from high-speed steels.
1.5.2 Cast Irons
Cast iron, similar to steel, denotes family of iron-carbon alloys with carbon contents exceeding
2% but less than 6.67%. However, the upper limit of carbon content in cast iron rarely exceeds
4%. Varying quantities of other elements such as silicon, manganese, phosphorus and sulphur
are always present in cast irons. Cast irons offer a wide range of properties, namely, strength,
hardness, wear resistance, corrosion resistance, oxidation resistance and machinability. Various
types of cast irons have been described below.
Grey cast iron
Grey cast iron derives its name from the grey appearance of the fractured surface due to the
presence of graphite. Graphite, in grey cast iron is present in the form of graphite flakes. The
size and distribution of these flakes have considerable impact on mechanical and physical
properties of grey cast irons. The ends of graphite flakes are regions of high stress
concentration. Hence, grey cast irons are brittle and possess low tensile strength and ductility
levels. The widespread engineering applications of grey cast irons are due to many attractive
properties. Some of these attractive properties are high compressive strength, excellent
machinability, good resistance to sliding wear, very good thermal conductivity and
exceptionally good damping capacity.
White cast iron
In these cast irons, all the carbon is present in combined form, i.e. as cementite. White cast irons
are hard, brittle and difficult to machine and therefore find only limited applications in as-cast
condition. These are mainly used for producing malleable iron castings. In general, most of the
white cast irons are hypoeutectic alloys and have a carbon content of about 3%. High hardness
@Seismicisolation
@Seismicisolation
Nature of Materials 19
of white cast iron is mainly due to the continuous interdendritic network of cementite. This
property (hardness) makes white cast iron a useful wear resistant material.
Chilled cast iron
Chilled cast iron is basically a grey cast iron which on cooling rapidly solidifies as white cast
iron at the surface (case) and as grey cast iron in the interior (core). This type of cast iron is
produced by casting the molten metal of suitable composition, against a metal or graphite
chiller. Due to white cast iron case, these irons are used where high abrasion wear resistance
is desired. Typical applications include railroad freight car wheels, grain-mill rolls, rolls for
crushing ores, grinding balls, hammers, stamp shoes and dies.
Nodular cast iron
Cast irons having nodules/spheroids of graphite instead of graphite flakes possess better
ductility. Such cast irons are popularly known as nodular cast irons. These irons are also
referred to as ductile irons. Nodular cast irons are produced by treating molten iron with
magnesium or cerium. Molten metal must have very low sulphur content.
Malleable cast iron
It is produced by prolonged heat treatment of white cast iron. Due to heat treatment, cementite
gets trans-formed to graphite aggregates. Two important classes of malleable cast iron are
whiteheart and blackheart malleable cast iron. While the former iron is produced by heat
treating white cast iron in an oxidizing atmosphere, the blackheart malleable iron is produced
by heat treating white cast iron in a neutral atmosphere.
Ni-resist cast iron
Ni-resist is a trade name used for a group of high nickel (14 - 36%) austenitic cast irons which
are tough, wear resistant and highly stable under chemical attack. Chromium (1.6 - 6.0%)
imparts hardness, stiffness and good machinability to the cast iron. Carbon is present as graphite
flakes or nodules in an austenitic matrix. Ni-resist cast irons have good resistance to corrosion
and erosion and are able to resist moderately high temperatures. Pumps and valves for
petroleum, power, pulp and paper, and chemical process industries; hot forming dies, textile
rolls, sewage plant castings; piston, seals, valves, gears, impellers, wear rings and cylinder liners
for liquid handling industry are some of the applications of Ni-resist irons.
Ni-hard cast iron
Ni-hard cast irons are basically nickel (3.0 - 7.0%) - chromium (1.5 - 11%) cast irons
possessing outstanding resistance to wear. The wear resistance of Ni-hard cast iron is due to
microstructure which comprises of martensitic matrix and multitude of refined carbides. Ni-hard
cast iron castings find widespread use in the mining, power, cement, ceramic, paint, dredging,
coal, coke, steel and foundry industries. Some typical applications include rolling mill rolls,
grinding media balls, grinding mill liners, slurry pump parts, pulverizer rings, roll heads, pipe
and elbows and mixer blades.
@Seismicisolation
@Seismicisolation
20 Mechanical Behaviour and Testing of Materials
1.5.3 Aluminium and Its Alloys
Aluminium, the widely used engineering metal, next to iron only, has low specific gravity (2.70)
and melting temperature (660°C), very good electrical (64% IACS) and thermal (240W/mK)
conductivities, high specific strength, good formability, high reflectivity and excellent resistance
to corrosion. The important alloying elements responsible for strengthening of aluminium are
copper, magnesium, manganese, zinc and silicon. Aluminium and its alloys are extensively used
as domestic utensils and containers, electrical and thermal conductors, electrical cables, cylinder
heads and pistons in automobile and aircraft industry, reflectors for vehicle headlamps, flood
lights and telescopes; and foils for heat insulation in buildings, furnaces and food packing.
Duralumin
Duralumin is a commercial heat-treatable alloy based on aluminium-copper-magnesium-
manganese system, has been extensively used in aircraft industries for making frames, ribs,
propeller blades, etc. Other applications include building structures, truck bodies, casing pipes,
etc.
Y-alloy
Y-alloy is an important alloy of aluminium suitable for use at elevated temperature. It contains
4% copper, 2% nickel and 1.5% magnesium. The alloy retains strength at relatively high
temperatures and has good hot workability. Heat treated Y-alloy has NiA13 particles distributed
in the matrix. These particles are responsible for elevated temperature strength of the alloy.
Some applications include pistons, cylinder heads, and general-purpose high strength castings.
1.5.4 Magnesium and Its Alloys
Magnesium, a silvery-white metal has low specific gravity (1.74), low melting point (650°C)
and very good machinability. Low tensile strength (78 MPa), poor ductility and cold
formability, and inferior resistance to corrosion and oxidation restrict the use of magnesium as
a structural material. The main alloying elements added to magnesium are aluminium, zinc, and
manganese. Silicon, tin, zirconium, rare-earth ones, silver and thorium are also added but
usually in small amounts. Wrought magnesium alloys are used as extruded bars, rods and other
sections, forgings, sheets, plates and wires. Fuel tanks, ducts, wing tips, flaps, rudders, etc. are
made from sheets and strips of magnesium alloys. Most of the magnesium alloys have good
machinability and thus may be cast into intricate shapes with a high dimensional accuracy and
good surface finish. A typical magnesium alloy (Mg - 4%Al- 0.5%Zn - 0.3%Mn) is used for
aircraft engine bearing caps, housings, rocker arm supports, doors, hinges, hydraulic cylinders
valve bodies, etc. Susceptibility to stress corrosion cracking, poor fatigue strength, lower
ductility and poor formability, and high chemical reactivity are some major limitations of
magnesium alloys that restrict their widespread applications.
1.5.5 Titanium and Its Alloys
Both tensile strength and specific strength, at room temperature as well as at cryogenic
temperatures, are high for titanium. Titanium has excellent resistance to corrosion. Its corrosion
@Seismicisolation
@Seismicisolation
Nature of Materials 21
resistance, under some atmospheres, is better than the austenitic stainless steel. Titanium is
considered as an ideal metal in marine atmospheres and seawater. Titanium alloys find wide
use in aviation and rocket engineering, ship-building and chemical processing due to their high
room temperature and elevated temperature strength, moderate ductility, good resistance to
corrosion and high specific strength.
Alloys of titanium with aluminium, tin, manganese, molybdenum, vanadium, zirconium,
silicon, chromium or iron are of greater commercial importance. An optimum combination of
strength and ductility is obtained in Ti-5%Al-2.5%Sn alloy. Tin improves creep resistance up
to 500°C. One of the most widely used titanium alloy is Ti-6%Al-4%V. This alloy has high
strength-to-weight ratio, good fatigue and creep strength, and high resistance to oxidation.
Typical applications of this alloy are gas turbine compressors blades, forged and extruded air
frame fittings, sheet metals for high temperature skins and disks and rings.
1.5.6 Copper and Its Alloys
Copper has high ductility and malleability, excellent electrical and thermal conductivity and
good resistance to corrosion. Electrical conductors and cables, heat conductors, domestic
utensils and boilers, water pipes and fittings, tubes, radiators, busbars, switchgears, gaskets, heat
exchangers, etc. are some important applications of copper. Copper alloys can broadly be
divided into three classes, namely, brasses, bronzes and cupronickels. Brass is the name given
to a copper base alloy containing zinc as the main alloying element. Brasses may be binary
alloys or may possess other elements. The term bronze is used to represent a vast family of
copper base alloys with various elements except zinc and nickel. Cupronickel has been a
popular name for the family of binary copper-nickel alloys.
Brasses
These are generally grouped into two main classes, namely, alpha brasses (having zinc up to
39%) and alpha-beta brasses (having 39-45% zinc). While alpha brasses are single-phase
alloys, alpha-beta brasses have microstructures consisting of two phases. Alpha brasses have
better corrosion resistance and cold workability in comparison to alpha-beta brasses which
possess higher strength and hardness coupled with good hot workability. Better ductility of
alpha brasses in comparison to alpha-beta brasses makes them highly suitable for making
components demanding deep drawa-bility. Alpha-beta brasses are relatively brittle and hence
cannot be cold worked. Hence, these brasses are shaped by casting, forging, hot rolling, hot
stamping and extrusion. The Cu-30%Zn alloy, popularly known as cartridge brass, has
optimum combination of strength and ductility and hence is extensively used for making
cartridge cases. Other applications include motor car headlamp reflectors, radiator casings,
fasteners, rivets, springs and plumbing accessories. Admiralty brass, a modified cartridge brass,
has a nominal composition as Cu-29%Zn-l %Sn. It is mainly used for condenser tubes, cold
worked marine parts and heat exchanger tubes. Naval brass, having higher zinc content (37 to
39%) than the admiralty brass, finds applications as welding rods, marine hardware, condenser
plates, propeller shafts, nuts, piston rods and valve stems.
@Seismicisolation
@Seismicisolation
22 Mechanical Behaviour and Testing of Materials
Bronzes
Springs, bearings, castings, plumbing fixtures, valves, marine-engine parts, connecting
rods, propellers, temple bells and statues are some applications of bronzes. Gunmetal
(Cu-10%Sn-2%Zn), an important tin-bronze, has high strength, hardness and wear resistance.
Its applications include water and steam-pipe fittings and taps, gears, hard castings, bushings
and marine fittings. Aluminium bronzes and silicon bronzes are famous for their excellent
resistance to corrosion coupled with high strength. Silicon bronzes possess good formability,
machinability and weldability. Aluminium bronze finds applications as condenser tubes,
corrosion-resistant vessels, nuts and bolts, protective sheathing in marine applications, gears,
propeller hubs, blades, pump parts, bearings, bushings, nonsparking tools and dies for drawing
and forming purposes. Beryllium bronzes are capable of attaining highest strength amongst all
copper base alloys and are being used for making nonsparking tools, springs, pressure
diaphragms and cells. Various applications of phosphor bronze include springs, gears, bushings,
electrical contacts and wire brushes.
Cupronickels
Cupronickels exhibit high resistance to atmospheric, fresh water and marine corrosion. These are
the most suitable copper alloys resisting corrosive and erosive action of moving seawater. These
alloys have very good cold as well as hot workability. Typical applications include condensers,
evaporators, distillers and heat exchanger tubes for marine vessels and power plants situated near
seashore. Being single-phase alloys, these are strengthened by strain hardening. Addition of nickel
to copper results in improved strength, oxidation resistance and corrosion resistance. Nickel
confers upon copper its characteristic magnetic and electrical properties. A wide range of
copper-nickel alloys is used due to their peculiar physical properties and resistance against
corrosion. Physical properties such as controllable colour, high electrical resistance, low as well
as constant temperature coefficient and typical magnetic properties make copper-nickel alloys
suitable for coinage, ornamental metal work, decorative items, thermocouples, resistance wires
and magnetic tape or wire. Constantan is a copper-nickel alloy having 45% nickel. This alloy
has the maximum as well as constant value of electrical resistance. The temperature coefficient
of resistance is practically zero for this alloy.
1.5.7 Nickel and Its Alloys
Nickel exhibits unique combination of physical properties, mechanical properties and
outstanding corrosion resistance against many aggressive media. It has very good solid
solubility in many metals. Also, many metals have good solid solubility in nickel. It is for this
reason that nickel finds numerous applications as an alloying element in steels, cast irons,
copper alloys, super alloys, etc. and as a base metal of many useful engineering alloys. One
important use of nickel is in electroplating as it can be electroplated on to a number of materials.
Monel
Monel is the name given to a nickel-copper alloy containing about 33% copper. This alloy,
having optimum combination of corrosion resistance and strength, retains strength at elevated
temperatures and has good formability. Poor machinability, castability and response to heat
@Seismicisolation
@Seismicisolation
Nature of Materials 23
treatment are some limitations of Monel which can be encountered by the addition of some
alloying elements resulting in the development of a series of alloys called Monels. Monels
contain about 30% copper with small amounts of iron (up to 2%), manganese (up to 5%),
silicon (2 to 4%) or aluminium (2 to 4%) either alone or in combination. These alloys exhibit
high resistance to corrosion in salt water, fresh water, general atmosphere, inorganic acids,
sulphuric acid, nitrates, chlorides and caustic soda. Monels remain unaffected (unattacked) by
hydrogen fluoride, deaerated hydrofluoric acid, sulphurous acid, liquid ammonia, dry chlorine,
neutral salts and organic solvents. Monels find most of applications in chemical and process
industries due to their good corrosion resistance and strength. Applications include vessels,
pipelines, filters, valves, heat exchanger tubes, pump parts, marine propellers, propeller shafts,
nonsparking tools, and containers for handling but not for storage of food products, sulphuric
acid and hydrochloric acid.
Nichrome
Nichrome is the trade name given to nickel-chromium alloy contammg 20% chromium. It
possesses high electrical resistance, high melting point and very good high temperature
oxidation resistance. The alloy is capable of retaining its strength up to 500°C and does not
become brittle on repeated thermal cycling. Typical applications include heating elements for
electric furnaces, kettles, immersion heaters, hair dryers and toasters and as resistances.
Inconels
Inconels are essentially alloys of nickel with 14-17% chromium and 6-10% iron having small
amounts of titanium, aluminium and niobium. These alloys are well known for their superior
resistance to corrosion at elevated temperatures. Inconels resist attack by hydrogen sulphide,
alkalis, dry chlorine and bromine, organic compounds and fatty acids. Some important
applications include furnace heating elements, heat treatment jigs, annealing boxes, fixtures and
trays, valves for internal combustion engine, springs for high temperature use, recuperator
tubes, pyrometer sheaths, heat exchangers for fatty acids and phenols, reaction vessels for
plastics, dying and tanning; and evaporators for sodium sulphite.
Nimonic
Nimonic alloys represent a family of alloys developed by modifying the early 80%Ni-20%Cr
alloy by adding large proportion of cobalt in addition to appreciable amounts of titanium,
aluminium and/or molybdenum. High tensile strength at elevated temperatures, good creep
strength, excellent resistance to high temperature oxidation and good corrosion resistance are
some important properties of Nimonics. Nimonics are used widely for making turbine blades,
exhaust valves, for chemical plant components and equipments which require high strength at
elevated temperatures.
Hastelloys
Hastelloys are nickel base alloys having molybdenum up to 30% and iron around 5%. In
addition to molybdenum and iron, Hastelloys contain tungsten and chromium in appreciable
amounts. These alloys were basically developed for resistance to hydrochloric acid, nitric acid
@Seismicisolation
@Seismicisolation
24 Mechanical Behaviour and Testing of Materials
and to other nonoxidising acids. These alloys find applications where operating temperatures
are in the range of 700-980°C. These alloys are used for handling and storing hydrochloric
acid, phosphoric acid and other nonoxidising acids. A specific grade of Hastelloys, having about
10% silicon, 3% copper and 1% aluminium is mainly used for handling sulphuric acid of all
concentrations and at all temperatures.
1.5.8 Cobalt and Its Alloys
Cobalt, a strongly ferromagnetic metal with high relative density (8.83) and melting point
(1495°C), finds maximum applications due to its excellent high temperature strength and
magnetic properties. It is mostly used as an alloying element in alloy steels, cemented carbides,
magnetic materials, iron base superalloys and nickel base superalloys. The common alloying
elements added to cobalt are chromium, nickel, molybdenum, iron, tungsten, manganese,
niobium, vanadium, beryllium, titanium and aluminium. Cobalt base alloys offer excellent
resistance against corrosion and oxidation particularly at high temperatures, are resistant to
human body fluid, possess high elevated temperature strength and have high hardness and wear-
resistance. Cobalt alloys have been and are extensively used as high temperature materials, tool
materials, magnetic materials and wear resistant materials. Cobalt base alloys are much
expensive and are used where their high cost is justified on technical grounds.
Stellites
Stellites refer to a group of cobalt base alloys having chromium, tungsten, nickel, molybdenum,
niobium, titanium and iron as alloying elements. High strength and hardness at room and
elevated temperatures, excellent resistance to abrasion at elevated temperatures, high resistance
to corrosion, high resistance to softening during heating and a service temperature range up to
1000°C are some important properties of stellites. These alloys which were initially developed
for gas turbine blades in jet engines, super chargers and afterburners are now used as wear
resistant materials and not as high temperature materials. A typical composition of stellite is as
Co-0.25%C-27%Cr-3%Ni-5%Mo-5%Fe.
Vitallium
Vitallium is the trade name of cobalt base alloy having chromium and molybdenum as the main
alloying elements. This alloy is used for surgical implants. This biocompatible alloy, with
nominal composition as Co-30%Cr-5%Mo, can only be shaped by casting. The alloy lacks
ductility and possesses low yield strength making the alloy unsuitable for many applications.
This alloy is much better than austenitic stainless steel for prosthetic devices.
Vicalloy
Vicalloy is the name given to a cobalt base alloy having a nominal composition as Co-14%V-34%Fe.
By altering amounts of these elements or by adding small amounts of some other alloying
element(s), desired magnetic properties can be obtained. Such Co-V-Fe alloys are known
as vicalloys. These high-energy magnet alloys can be cold worked easily. Magnetic
properties of these alloys are derived from deformable texture and precipitation. Heat-
treated alloy has a high energy product (a million gauss oersted). Energy product may be
@Seismicisolation
@Seismicisolation
Nature of Materials 25
increased anisotropically by heavy cold working to the tune of two to three million gauss
oersted. Applications include magnetic tapes, compass needles and in many electric motors and
devices.
1.5.9 Ceramic Materials
Ceramics are essentially the compounds of metals and nonmetals bonded by ionic, covalent or
mixed bondings. High melting point, low density coupled with high stiffness, high hot strength,
high compressive strength, high hardness, high wear and corrosion resistance, good dielectric
properties, good thermal and electrical insulating properties, etc. are some common charac-
teristics of ceramic materials. Oxides, carbides, nitrides and silicates belong to the family of
ceramic materials. Bricks, refractories, glasses, cement, plaster of paris, abrasives, porcelain
enamel, ferrites, piezoelectrics, dielectrics, garnets, etc. are the examples of some commonly
used ceramic materials.
Ceramics can broadly be grouped as traditional ceramics and modern ceramics.
Traditional ceramics include bricks, tiles, sanitaryware, porcelains, etc. while Al20 3, SiC, MgO,
BeO, B4C, Si3N4, BN, BaTi03, etc. belong to modern ceramics. Television, radio, audio-video
recording equipment, automobiles, modern space vehicles, telecommunication system, etc., are
some typical examples where modern ceramics have been used.
Glass, an amorphous ceramic material, possesses transparency, high hardness and
strength, poor toughness and excellent corrosion resistance to most environments. These
characteristics make glass an important material for many engineering applications such as
construction and vehicle glazing, windows, laboratory ware, beverage container and many
others. Silica is the main constituent of general purpose glasses.
Alumina ceramics
Alumina ceramics are the hardest, strongest and stiffest of the oxide ceramics. Alumina
ceramics are relatively cheap, possess mechanical properties equal to or better than most of the
other oxides, have outstanding electrical resistivity and dielectric strength, exhibit good
resistance to a wide variety of chemicals and remain unaffected by air, sulphurous atmospheres
and water vapour. Alumina ceramics find wide applications in electrical industries as electrical
insulators in spark plugs, chemical industries and in aerospace industries. Due to high hardness
coupled with good wear resistance and close dimensional stability, alumina ceramics also find
applications as abrasion resistant parts such as textile guides, pump plungers, chute linings,
discharge orifices, dies and bearings. Alumina also finds applications in bioimplants because of
its chemical inertness.
Beryllia (BeO)
Beryllia or Beryllium oxide is noted for its excellent high thermal conductivity, high strength
and good dielectric properties. The combination of strength, rigidity and dimensional stability
makes beryllia a useful material in gyroscopes while because of its high thermal conductivity,
it is a widely accepted material for cooling transistors, resistors and substrate in electronic
equipment.
@Seismicisolation
@Seismicisolation
26 Mechanical Behaviour and Testing of Materials
Silicon carbide
Silicon carbide exhibits an attractive combination of high thermal conductivity, low thermal
expansion and low thermal shock and outstanding resistance against wear, abrasion and
oxidation. The inherent outstanding properties have made silicon carbide useful in applications
such as thrust bearings, ball bearings, pump impellers, extrusion and wire drawing dies, valves
and seals, rocket nozzle throat, and heat exchanger tubes.
Silicon nitride
Silicon nitride (Si3N4) ceramic possesses low thermal expansion, moderate elastic modulus,
high thermal shock resistance, high strength, high wear and oxidation resistance and very good
thermal stability. It is being used as ball and roller bearings, various components such as piston
head, head liner, valve, cylinder liner, valve guide, exhaust port, inner surface of exhaust
manifold, turbine blade of diesel engine of some cars.
Sialons
Sialons has a major drawback with respect to fabrication to shapes with desirable properties and
low density. This difficulty has been overcome by alloying it with metallic oxides (Al203,
Y20 3, MgO, BeO, etc.) and replacement of Si and N by Al and oxygen atoms producing
Si-Al-0-N system. Materials based on this system are referred to as sialons. These materials
are stronger and exhibit excellent thermal shock resistance. Sialons are being used as tool
materials for machining poor machinable materials, welding nozzles, gas shrouds and location
pins for welding machines and rotating shaft seals in hostile environments due to their low
friction, high hardness, wear resistance, thermal shock resistance, electrical insulation and
resistance to molten metal pick up and are being evaluated for roller, shell and ball bearings,
diesel engine components, gas turbine components and many other applications requiring wear
resistance, heat resistance, chemical inertness and thermal shock resistance.
1.5.10 Polymeric Materials
Polymeric materials are predominantly the organic materials made up of long chain molecules.
These can be classified into three main groups, namely, thermosetting plastics (thermosets),
thermoplastics and elastomers. Inorganic or semi-organic polymers are based on silicon and
oxygen and are commonly called silicones.
Thermosets
Thermosets once shaped, cannot be reshaped again as these do not get softened on heating. This
characteristic, i.e. resistance to softening on heating, can be attributed to chemical change that
these materials undergo during the shaping (moulding) process. These are, in general, hard,
rigid and brittle. High strength thermosets can be developed by reinforcing them with fibrous
materials. Examples of thermosets include phenolic resins (bakelite), epoxy resins (araldite),
urea formaldehyde resins, polyurathane, melamine formaldehyde, etc.
The plastics which soften on heating and harden on cooling in a reversible fashion are
called thermoplastics. No chemical reaction occurs during heating. Thus heating and cooling
cycles can be repeated any number of times to obtain a desired shape. These are usually less
@Seismicisolation
@Seismicisolation
Nature of Materials 27
rigid and more tough than the thermosets. Polyethylene, polystyrene, polypropylene, polyvinyl
chloride, polymethyl methacrylate, polyetherketone, polyether etherketone, nylon, cellulose,
polyester, etc., are some common examples of thermoplastics.
Elastomers
Elastomers, as the name suggests, are capable of undergoing large elastic deformation on
application of stresses of much low magnitude in comparison to metallic materials. These
exhibit elongation values as high as 1000% prior to tensile failure. Elastomers are, in general,
polymerised thermoplastics which have been cross-linked in a controlled manner. Controlled
cross-linking is essential as stiffness increases and elongation decreases with increase in cross-
linking. Large recoverable elongations, high resilience, good toughness, wear and abrasion
resistance; low permeability, flexibility, good electrical insulation property and resistance to
various organic and inorganic chemicals are some important characteristics of elastomers.
Natural rubber is a well-known material belonging to the family of elastomers. Acrylic, butyl,
nitrile and silicone rubbers are some typical examples of engineering elastomers.
Phenolics
Phenolic (thermoset) plastics are produced by the chemical reaction between phenol and
formaldehyde and are thus called phenol formaldehyde. These are more popularly known as
Bakelite. High hardness, strength and rigidity, low density, pleasant appearance, good electrical
insulating properties, good resistance against combustion, weathering, weak acids, most organic
acids and staining, and low water absorption are some outstanding properties of phenolic
plastics. Electrical components such as plugs, sockets, etc., insulating handles and knobs,
linings of brakes and clutches etc. are some typical examples of their applications.
Polyethylenes
Polyethylenes, also known as polythenes, are widely used thermoplastic materials. These are
characterised by good toughness coupled with flexibility over a wide range of temperature,
ability to retain dimensional stability, ease of formability (mouldability for shaping), their good
resistance to chemicals and moisture, excellent electrical insulating property and high degree of
resistance against weathering. Owing to these characteristics, polyethylenes find wide
applications for packaging, coatings and laminations in the form of film, household items such
as buckets, tubs, baskets mugs, ice cube trays, etc., and containers for packaging of
pharmaceuticals, corrosive chemicals, cosmetics, etc. Polyethylene is also used for cable coating
and as insulation tapes. Pipes made of polyethylene are used for transporting water and various
other chemicals.
Polyvinyl chloride (PVC)
Non-plasticised PVC grades are hard and rigid but still can be moulded into a variety of shapes
and thus are widely used for manufacture of buckets and pots, pipes (downpipes, drainpipes
and rain guttering) and conduits. Plasticised PVC grades, which are more flexible and soft
(rubbery) find uses in electric cable insulation, chemical tank linings, furniture and auto
upholstery, shaped cushions, interior wall coverings, rainwear, shoes, luggage and shower
curtains (waterproof clothing).
@Seismicisolation
@Seismicisolation
28 Mechanical Behaviour and Testing of Materials
Polypropylene
The properties of polypropylene which make it an industrially important material include good
resistance against chemicals, moisture and heat. In addition it also possesses low density, good
surface hardness and good dimensional stability. Most of its applications are similar to that of
polyethylenes. Because of its superior surface hardness, it finds uses in washing machines,
vacuum sweepers, briefcases and suitcases, etc. Some other uses include packaging, laboratory
ware and bottles of various types, shoes, textile cones and bobbins, toys, etc.
Polystyrene
Polystyrene a tough and dense thermoplastic material, because of its clarity, ease of moulding,
low mould shrinkage, good dimensional stability, relatively better surface hardness and
adequate mechanical properties; finds wide uses in household items, laboratory equipment and
as industrial components specifically for chemical plants. The foamed polystyrene is used in
insulation of cold storage warehouse, building foundations, packaging items for delicate
instruments such as cameras, calculators, etc. Other applications include automobile interior
parts, dials and knobs, refrigeration components and many other equipments or appliance
housings.
Acrylonitrile-butadiene-styrene (ABS)
ABS is a thermoplastic material which possesses good combination of mechanical properties.
Acrylonitrile contributes heat and chemical resistance and toughness. Butadiene imparts impact
strength and low temperature property retention. Styrene provides surface gloss, rigidity and
ease of processing. ABS thermoplastics are opaque and show good chemical and weather
resistance. Low creep and low water absorption and relatively high heat resistance provide ABS
plastics with good dimensional stability. In view of these characteristic properties, ABS plastics
are considered to be engineering plastics. Typical applications of ABS are television and radio
set cabinets, briefcases and suitcases, battery cases, helmets, water pump, refrigerator door,
computer housings, steering wheels, grills for hot air systems and vehicle radiators, motor
vehicle panels, pump impellers, telephone housings, electrical conduit, tubes and pipes.
Acrylics
Acrylics are noted for excellent optical properties. They have excellent mechanical properties
such as impact strength, hardness and rigidity. Besides good thermo resistance they also possess
very good dimensional stability. Though they can resist weak acids and alkalis but are affected
by chlorinated hydrocarbons. Acrylics also have excellent weather resistance. They are only
slightly affected by sunlight, rain and corrosive atmospheres. Acrylic mouldings have deep
lustre and high surface gloss. One of the most popular applications of acrylics is thermoformed
sheets. Acrylics signs are regularly used at departmental stores, banks, markets, office buildings,
service stations, etc. Due to glossiness and transparency, acrylics are used in decorative and
novelty items. They are also used in wind shields for automobiles, boats and snow mobiles,
aircraft and automobile instrument dials, clock and radio faces, knobs, protective goggles,
handles aircraft cabin windows, fighter plane canopies, etc.
@Seismicisolation
@Seismicisolation
Nature of Materials 29
Polytetrafluoroethylene (PTFE)
PTFE in spite of its high cost, is an important and most versatile thermoplastic material. It
exhibits outstanding resistance to chemicals (insoluble in all organic solvents except a few
fluorinated solvents), is nonsticking in nature and has excellent electrical resistance. In
appearance it is white in colour and has waxy feel and cannot be wet by many liquids. It has
only reasonably good tensile strength, wear resistance and creep resistance. PTFE is commonly
known by its trade name Teflon. It is used in chemical resistant pipes and pumps parts, tank
lining, filter media, valve seats, laboratory ware, pipe lining, high temperature cable insulation,
moulded electrical components, submersible pump motors, insulation of computer circuits,
nonstick coating on frying pans and special surgical blades, bearings, etc.
Natural rubber
Raw natural rubber is soft and sticky under the action of heat, and insoluble in water, alcohol,
acetone, dilute acids and alkalies but dissolves in ether, carbon tetrachloride, carbon disulphide,
and petrol and turpentine oil. It has low wear and abrasion resistance, poor toughness and
resistance to atmosphere containing air, ozone, ultraviolet rays, etc., low elastic modulus and
tensile strength associated with large elongation that enables it to absorb shocks. It is treated
with sulphur, the process is called vulcanisation, to improve rigidity, response to stress and
service operating temperature range. Vulcanised natural rubber possesses higher flexibility,
better capability to withstand distortion and absorbing energy, excellent abrasion resistance,
good electrical insulating property and better chemical and water resistance. Natural rubber is
extensively used in motor car tyres where flexibility, shock resistance and wear resistance are
severely required, conveyor belts, shock absorbers, springs, mounting blocks, vibration
dampers, rubber bands, hot water bottles, carpet backing and for mechanical goods such as
sound damping equipment and gaskets.
Butyl elastomers
Butyl elastomers have high damping capacity, excellent resistance to abrasion and tearing, good
resistance against chemicals, excellent resistance towards sunlight and weather and excellent
dielectric strength. These find applications such as tyre inner tubes, tubing, hose, high pressure
steam hoses, curtain wall, gaskets, seals for food jars and medicine bottles and electrical cable
insulation.
Neoprene elastomers
Good heat and oil resistance, excellent resistance against sunlight, oxygen, ozone and
weathering as well as to permeability by gases are some of the important characteristics of these
elastomers. Typical applications of neoprene elastomers include heavy duty conveyer belts,
V-belts, footwear, rolls, gaskets, motor mounts, household and industrial gloves, wire and cable
insulations, solid tyres, protective coatings, oil and petrol hoses, chemical tank lining, etc.
Nitrile elastomers
Nitrile elastomers possess outstanding resistance against oils and fuels, and good resistance
against heat. However, these exhibit low resilience, poor resistance to ozone containing
@Seismicisolation
@Seismicisolation
30 Mechanical Behaviour and Testing of Materials
atmosphere and inferior chemical resistance at high temperatures. Typical applications of nitrile
elastomers include, seals in automobiles such as valve-stem seals, crankshaft seals, pinion seals
and oil-pan seals; self sealing fuel tanks, oil and petrol hoses, carburettor diaphragms, gaskets,
adhesives, printing rolls, washing machine parts, flexible couplings, machinery mounting pads,
electrical cable jacketing and belting. In the form of latex, they are used for impregnating paper,
textiles and leather.
Thiokol elastomers
Thiokol elastomers are noted for their outstanding resistance to oil and gasoline, excellent
solvent resistance, extremely low gas permeability and good ageing characteristics. Typical
applications of thiokol elastomers include, oil and gasoline hoses, gaskets, washers and
diaphragms.
1.5.11 Composite Materials
A composite material can simply be defined as a combination of two or more dissimilar
materials having a distinct interface between them such that the properties of the resulting
material are superior to the individual constituting components. The composites that occur in
nature are called naturally occurring composites. The typical examples of such composites
include wood, human or animal body, rocks and minerals. Majority of composite materials used
today are man-made. Man-made composites exhibit superior as well as exhibit unique
combination of properties which are not exhibited by any single material. Composites are
usually classified into three classes, namely, dispersion strengthened composites, particle
strengthened (or particulate) composites, and fibre strengthened (or fibre reinforced)
composites. Two main properties that make man-made composites useful for structural
applications are their high specific strength (i.e. strength to density ratio) and high specific
stiffness (i.e. stiffness to density ratio). These composites are employed in defence, aerospace
and marine industry, automobiles, electronic and electrical industries, civil engineering, sports
equipment, biomedical implants and many other miscellaneous applications.
Sintered aluminium product (SAP)
SAP is an example of dispersion strengthened composite, belonging to Al-Al2O3 system,
produced by the fine dispersion of alumina particles in the aluminum matrix. SAP material
exhibits high strength in the temperature range of 350-500°C, high corrosion resistance, good
thermal and electrical conductivity and small thermal neutron capture cross-section. These
properties have made SAP material useful in the field of atomic energy and fabrication of
aircrafts and rockets. The important materials which belong to SAP type include Cu-Al2O3,
Cu-SiO2, Ni-ThO2, Ag-MgO, Pb-PbO, Be-BeO and Mo-ZrO2•
TD-Nickel
TD-Nickel is the name given to thoria (ThO2) dispersed nickel, a dispersion strengthened
composite of the SAP type. It has a higher heat resistance and better structural stability than any
other known nickel base or cobalt base heat resistant alloy in the temperature range of 1050°
to 1300°C. Its long time strength at l 100°C, 1200°C and 1300°C is about 60, 47 and 38 MPa,
@Seismicisolation
@Seismicisolation
Nature of Materials 31
respectively. The physical properties and corrosion resistance of TD-nickel are close to those
of pure nickel while the resistance to scaling is ,,.35 times higher. However, its scaling
resistance is inferior, around one-fourth to one-third, than the nickel chromium base alloys.
TD-nickel finds uses in guide vanes of turbojet engines and high temperature heat exchangers.
Cermets
Cermets is the name given to particulate composite materials having dispersed ceramic particles
in a refractory metal matrix. These exhibit good ductility and thermal shock resistance like
metals and high refractoriness like ceramics. These are usually produced by powder
metallurgical techniques. Most cermets contain 15-20% of metal. For example, in tungsten
carbide base cermets, cobalt is used as the matrix binder. The content of cobalt can be as high
as 30%. The outstanding mechanical properties of these cermets include high rigidity, high
compressive strength, high hardness and abrasion resistance. They are principally used for
gauges and valve parts. The matrix materials used for titanium carbide cermets are nickel and
its alloys, and cobalt. Typical uses include gas turbine nozzle vanes, torch tips, hotmill roll
guides, valves and valve seats.
@Seismicisolation
@Seismicisolation
Crystal Imperfections
2.1 INTRODUCTION
All metals and alloys are crystalline materials. The most common crystal structures found in
metals are body centred cubic, face centred cubic and hexagonal close packed crystal
structures. Nearly, more than two-third metals crystallize in these crystal structures (Table 2. l).
Unit cells of these crystal structures are shown in Figure 2.l. While the corner atoms of body
centred cubic and face centred cubic unit cells are shared by 8 unit cells (Figure 2.2), corner
atoms of hexagonal close packed unit cell are shared by 6 unit cells (Figure 2.3). Similarly,
atoms located at all the six faces of face centred cubic unit cell and at the two (top and bottom)
faces of hexagonal close packed unit cell are shared by 2 unit cells (Figure 2.4). One atom
within body centred cubic unit cell and three atoms within hexagonal close packed unit cell
totally belong to respective unit cells, i.e. are not shared by any other unit cell (Figure 2. l).
(a) (b) (c)
FIGURE 2.1 Unit cells of (a) BCC, (b) FCC, and (c) HCP crystals.
32
@Seismicisolation
@Seismicisolation
Crystal Imperfections 33
FIGURE 2.2 Schematic diagram showing eight cubic unit cells. The solid circle represents the atom
common to all unit cells and is also the corner of each unit cell. The unit cells may
be assumed to belong to BCC or FCC crystal.
FIGURE 2.3 Four unit cells of HCP crystal. Unit cells 1, 2, 3 are lying in one plane. Unit cell 4 is
resting on top of the cell 1. Similarly, if the unit cells are considered on top of the cells
2 and 3, then it is evident that the atom shown by solid circle is shared by six unit cells.
The atom marked F is the face centred atom shared between two unit cells 1 and 4.
For convenience atoms in the middle of unit cell 2 are not shown. a and c are lattice
constants.
0
0 0
0
• o 0 0
0
FIGURE 2.4 Two unit cells of FCC crystal showing locations of atoms represented by circles. The
face centred atom shown by solid circle is shared by the two unit cells.
@Seismicisolation
@Seismicisolation
34 Mechanical Behaviour and Testing of Materials
Crystal structure
BCC
FCC
HCP
Rhombohedral
Diamond cubic
TABLE 2.1 Crystal structures of some metals
Metals
Li, Na, K, a-Fe, Cr, V, Mo, Nb, Rb, Cs,
Ba, W, Ta, Eu
Al, Ca, y-Fe, Ni, Cu, Pt, Ag, Au, Rh, Ir, Ac,
Pb, Ce, Th, Sr
Be, Zn, Cd, Ti, Sc, Y, Co, Re, Os, Hg, Hf, Zr,
Gd, Mg, Tc, Ru, Tl, Tb, Ho, Er
As, Sb, Bi
a-Sn (below 13°C)
Total number
14
15
20
03
01
Effective number of atoms is the number of atoms belonging entirely to the unit cell. For
a body centred cubic unit cell, the effective number of atoms is 2 as 8 corner atoms are
equivalent to l atom and l body centred atom contributes fully, i.e. it belongs entirely to the
unit cell. Similarly, effective number of atoms for face centred cubic and hexagonal close
packed unit cells are 4 (8 x 1/8 + 6 x 1/2) and 6 (12 x 1/6 + 2 x 1/2 + 3) respectively.
In a body centred cubic unit cell, body centred atom touches all the corner atoms
(Figure 2.5). Hence, 4r = a✓3 where r is the radius of atom and a is lattice parameter of the
unit cell. In face centred cubic unit cell, 4r = a✓2 because it is the face centred atom that touches
the comer atoms located at that face (Figure 2.6). For a hexagonal close packed unit cell,
2r = a, because all the corner atoms at top and bottom planes touch each other (Figure 2.7).
The number of nearest neighbours to a given atom in a crystal structure lattice is referred
to as coordination number. Since every atom has identical surrounding in a crystal structure
lattice, coordination number is same for all the atoms in a given crystal structure lattice. In a
body centred cubic crystal structure lattice, coordination number is 8 since every atom is
touching 8 atoms. Coordination number is 12 for both face centred cubic and hexagonal close
packed crystal structures.
(a) (b)
FIGURE 2.5 Unit cell of BCC crystal showing that body centred atom touches the corner atoms. 'a'
is the lattice parameter and r is the radius of the atoms.
@Seismicisolation
@Seismicisolation
Crystal Imperfections 35
r
(a) (b)
FIGURE 2.6 Unit cell of FCC crystal showing that atoms are in contact along the face diagonal such
that ✓2a = 4r.
FIGURE 2.7 Unit cell of HCP crystal showing that atoms touch each other along the lattice
parameter 'a'.
The extent of packing of atoms in a crystal structure is expressed as atomic packing factor.
Atomic packing factor is defined as fraction of volume occupied by the atoms. It can be
calculated easily by dividing the volume of the effective number of atoms by the volume of unit
cell. Thus, atomic packing factor for body centred cubic crystal structure is 0.68 which is less
than the atomic packing factor (0.74) for face centred cubic and hexagonal close packed crystal
structures. It means that atoms in face centred cubic and hexagonal close packed crystal
structures are more closely packed in comparison to body centred cubic crystal structure. In
fact, face centred cubic and hexagonal close packed crystal structures are close packed
structures. Body centred cubic crystal structure is not a close packed structure.
Since the arrangement of atoms in a crystal structure is well defined, it is possible to locate
various planes and directions in a crystal structure lattice. However, all planes and directions
are not of importance. In general, the planes and directions in the crystal containing atoms are
only of importance. Hence, the method of representing various planes and directions of interest
@Seismicisolation
@Seismicisolation
36 Mechanical Behaviour and Testing of Materials
is different than that used in three-dimensional coordinate geometry. The most widely accepted
method is due to Miller. According to the Miller, the indices of a plane are the smallest integers
obtained by changing the reciprocals of the intercepts along x-, y- and z-axes. These integers
are put within the parenthesis (round brackets). No coma or any other symbol is used to separate
these integers. For example, the Miller indices of a plane intercepting x-, y- and z-axes at 2, 3
and 4 unit distance, respectively, will be (6 4 3) (Figure 2.8). A plane is usually denoted as
(h k l) where h, k and l are integers having no common factor between them. These integers
when put within curly brackets, i.e. as {h k l}, represent family of planes. All planes having
same set of Miller indices are members of the family of planes. It is worth to mention here that
all the members of the family of planes are not necessarily parallel to one another.
z
y
X
FIGURE 2.8 The intercepts of the plane (6 4 3) with the coordinate axes.
Miller indices of a direction are obtained by subtracting the coordinates of the tail
(starting) point from the head (end) point and putting these within square brackets provided all
values obtained after subtraction are integers. If integers are not obtained after subtraction,
fractions are changed to integers. For example, Miller indices of two directions with head points
as l 0 0, and 0 0 l and tail points as 0 0 0, and -1/2 -1 0 respectively are [l 0 0] (Figure 2.9)
and [l 2 2]. Integers when put within diamond brackets as < h k l > represent a family of
equivalent directions. For example, < l l 0 > denotes 12 equivalent directions. Various
directions belonging to a family of directions are not parallel to one another.
Since four axes coordinate system is used for the study of hexagonal close packed crystal
structure, a modified practice developed by Miller-Bravais is used for indexing planes and
directions in hexagonal close packed crystal structure. The procedure of indexing a plane or
direction is exactly similar to one adopted for cubic crystal structures. A plane and a direction
are expressed as (h k i l) and [h k i l], respectively, where h, k, i and l are integers. The sum
of first two integers is equal to the negative of third integer, i.e. h + k = - i in case of both
planes and directions.
@Seismicisolation
@Seismicisolation
Crystal Imperfections 37
z
(0, 0, 1) Q~--+---------r
p y
(-1 /2, -1 , 0)
X
FIGURE 2.9 Representation of the direction (1 0 OJ in a cubic crystal unit cell. 0 is the origin with
coordinates (0, 0, 0). Here O is the tail and A is the head of the direction (1 0 0). Taking
origin at A, coordinates of point Pare (-1/2, -1, 0) and that of Qare (0, 0, 1) so that
PQ is parallel to OR.
2.2 IMPERFECTIONS
Till now, crystalline materials have been discussed by assuming that these materials have well
defined arrangement of atoms. In simple words, every atom is occupying its well defined
position in the crystal structure lattice with respect to other atoms, i.e. the regularity and
periodicity of atomic arrangement are maintained in all the three directions over infinite
distance. Such crystals are known as ideal crystals. In fact, reality is far different and all
crystalline materials deviate from such a well defined arrangement of atoms at several localised
regions. These localised regions are referred to as imperfections in the crystal lattice.
Imperfections vary in dimensions and magnitudes which are governed by various operations to
which a material has been subjected prior to its study. It is important to understand at this stage
that these imperfections represent only defects in the ideal crystal structure lattice. Presence of
these imperfections does not mean that material is itself defective. It is also worth to mention
here that intentional production of imperfections is very difficult, i.e. imperfections cannot be
introduced intentionally with that ease with which these occur naturally. The study of
imperfections is important as imperfections have a profound impact on the behaviour of the
material.
Imperfections or defects in the atomic arrangement were popularly classified into three
groups, namely, point imperfections, line imperfections and surface imperfections. This
classification was based on the physical dimensions of the defects.
2.2.1 Point Imperfections
Point imperfections are localised deviations in the crystal lattice involving one or possibly only
a few atoms. These were called so because atom(s) missing from or present additionally within
the crystal lattice could only be considered as point(s) in the lattice. These for obvious reasons
are also referred to as zero-dimensional defects. These imperfections can be introduced into
the lattice in several ways such as by heating, processing, alloying or by the impurities present
@Seismicisolation
@Seismicisolation
38 Mechanical Behaviour and Testing of Materials
in the crystal. Various types of point imperfections have been described m the following
paragraphs.
Vacancy
A vacancy is created when an atom is missing from its normal site in the lattice (Figure 2.10).
In simpler words, a vacancy is simply an empty atomic site. There are many such sites in the
crystal lattice. Vacancies get introduced into the crystal lattice during solidification. At room
temperature, very few vacancies exist. The magnitude of vacancies can be increased either by
heating the material to high temperatures or by subjecting the material to neutron irradiations.
The presence of vacancies is a stable feature of metals and alloys at all temperatures above the
absolute zero. The number of vacancies present in the crystal lattice is in thermal equilibrium
and hence vacancies are sometimes referred to as equilibrium defects. In fact, number of
vacancies per cubic centimetre (n) is related to the temperature by the relation
Q
n =no. e RT
where, n0 is the number of lattice points per cm3
Q is the energy required to produce a vacancy in cal/mole,
R is the gas constant (1.987 cal/mol. K), and
T is the temperature in Kelvin.
000000000
Substitutional-z ~ 0 0 0 0 ti) 0 0
impurity atom Ev -_ ,E) O O ,E) /Ev O
0 @ 0 0 0 0 ff), 0 0
000000000
00~~00000
Interstitial • •
atom ooe;~o~~oo
0 0 0 0 0 0°~ 0 0
000000000
Vacancy
lnterstitialcy
atom
FIGURE 2.10 Illustration of some point defects in crystalline solids.
Vacancies, more than their equilibrium concentration, can be generated and retained at
lower temperatures by (i) heating the material to high temperatures, within solid state, followed
by rapid cooling (quenching). By this process, vacancies present at higher temperatures can be
retained to a large extent at room temperature, (ii) cold working, or (iii) bombardment of high-
energy nuclear particles. Oxidation of some metals such as copper, nickel, zinc, etc. also results
in the formation of vacancies. Non-equilibrium vacancies generate divacancies (association of
two vacancies) and/or trivacancies (association of three vacancies). It can be attributed to the
tendency of such vacancies to cluster in a group of two or three vacancies. The region around
the vacancy is in stressed condition. It can be explained on the basis of tendency of atoms
surrounding the vacancy to come close to each other.
@Seismicisolation
@Seismicisolation
Crystal Imperfections 39
Vacancies play an important role in the diffusion of atoms in common industrial processes
like homogenization, annealing, precipitation hardening, sintering, surface hardening, oxidation
and creep of metals. The climb of dislocation is possible because of the presence of vacancies
in metals. A free surface acts as a source of vacancies. It (free surface) also acts like a sink when
required. Similarly, grain boundaries also act as a source and sink for vacancies.
Interstitialcy
Interstitialcy is a defect in which an atom occupies an interstitial site which is not its normal
position in the lattice (Figure 2.10). This defect is also known as self-interstitial defect. As very
high energy is required to create such a defect, normal processes such as heating or cold
working cannot create such a defect. This is the reason that this defect is usually not
encountered in most of metals and their alloys. Such defects can only be introduced in the
lattice by neutron irradiation. Since the size of an interstitial site is very small, the atoms
surrounding the interstitialcy are much more elastically strained than the atoms surrounding a
vacancy. The magnitude of so developed elastic strains is relatively more in close packed crystal
structures.
Interstitial and substitutional defects
An interstitial defect is created when an atom, other than the parent metal's atom, occupies
interstitial site in the lattice of parent metal (Figure 2.10). The atom located at interstitial site
may be of impurity elements or of alloying elements. Interstitial defects are introduced only
when small-sized atoms, in comparison to parent metal's atom, of impurity elements or of
alloying elements are present in the material. However, these atoms have sizes larger than the
sizes of interstitial sites occupied by these atoms. As a result, strains are developed in the
surrounding regions. These strains may cause localised distortion in the lattice.
A substitutional defect is said to be present if an atom of the parent crystal is substituted
by another atom, i.e. atom of any metal other than that of parent metal (Figure 2.10). The
substitutional atom occupies the normal lattice site in the crystal structure lattice. Substitutional
atom, like interstitial atom, may be of impurity elements or of alloying elements. The
substitutional atom, irrespective of its relative size, distorts the surrounding lattice.
The magnitudes of interstitial and substitutional defects depend on the quantity of the
impurity alloying element present and are usually independent of temperature. In fact, once
interstitial or substitutional atoms occupy sites in the lattice of the parent metal, the number of
interstitial or substitutional defects remains almost constant and does not vary with change in
temperature. It is important to learn that the presence of impurity element(s) is essentially a
compositional defect in the material and is different from the interstitial and substitutional
defects which are due to presence of atoms of impurity element(s) at interstitial and
substitutional sites in the crystal lattice. Regions around these defects are under stressed states,
i.e. are distorted ones. The extent of distortion is a function of difference in atomic sizes of the
parent element's atom and atom of interstitial element. In case of a substitutional defect, the
atoms surrounding the substitutional atom will be in the state of compression when the
substitutional atom is larger in size and in the state of tension when the substitutional atom is
smaller in size than the size of atom of the parent (base) metal. However, in case of an
interstitial defect, the atoms surrounding the defect will always be in the state of compression.
@Seismicisolation
@Seismicisolation
40 Mechanical Behaviour and Testing of Materials
Schottky defect
This defect is peculiar in the sense that it is usually observed in ionically bonded solids.
Schottky defect [Figure 2.1 l(a)] is a pair of vacancies created due to the missing of an anion
and a cation from the lattice. Since an anion and a cation are missing, the crystal is electrically
neutral. A possibility exists that an anion/ a cation may be replaced by a cation/ an anion. In
an another possibility, an ion of some valence, say +2, may replace or may be replaced by
another ion having different valence, say +1. These deviations in the crystal account for
imperfection pairs.
O•O •
•O•O•O•O •O•O•O•O
O• □ •O•O• OoO•O•O• • Cation
•O•O• □ •O •d•O•O•O 0 Anion
',,
O•O•O•O• 0 • 0'-•--0.• 0 • □ Vacancy
•O □ O•O □ O •O•O•O•O
O•O•O•O• O•O•O•O•
(a) (b}
FIGURE 2.11 (a) Schottky defect. Pairs of cations and anions are missing from their normal sites
creating vacancies, (b) Francke! defect. A cation leaves its normal site and
redistributes within the lattice.
Frankel defect
A Frankel defect is created due to the formation of a vacancy-interstitial pair [Figure 2.1 l(b)].
Such a pair is formed when an atom jumps from its normal lattice position to an interstitial
position giving rise to a vacancy.
2.2.2 Line Imperfections
Line imperfections are one-dimensional defects. Line defects in an otherwise perfect crystal
structure lattice are popularly known as dislocations. Dislocations are linear arrays of atoms
where atomic arrangement deviates from the ideal one. These defects look like lines in the
lattice, and hence, are called line defects. Dislocations cause distortion in the regions of the
lattice surrounding them.
Crystal growth and alloying are the two processes causing atomic mismatch and thus are
largely responsible for the creation of dislocations. Atomic mismatch in the crystal structure
lattice can also be attributed to thermal stresses, external stresses resulting in permanent
deformation of metal or to certain phase transformation(s). Dislocations are present not only in
metallic crystals, but also in ceramics.
There are two types of dislocations, namely, edge dislocations and screw dislocations. In
fact, a real crystal always has edge and screw dislocations. It is worth to mention here that most
dislocations in the crystal, instead of being pure edge and/or screw dislocations, are of mixed
type. Mixed dislocations have both the edge and screw components.
Line imperfections have been dealt in detail in Chapter 4 of the book.
@Seismicisolation
@Seismicisolation
Crystal Imperfections 41
2.2.3 Surface Imperfections
As the name implies, surface imperfections are the distorted regions (planes) about a surface.
The thickness of a surface defect, which is of the order of a few atomic diameters, is negligible
in comparison to its length and breadth. Therefore, these imperfections or defects are called
two-dimensional defects. These defects separate a material into various regions in a manner
that each region has the same crystal structure but possesses different lattice orientations. Free
surfaces, grain boundaries and stacking faults are common surface defects.
Free surface
The outermost planes of a material, separating it from other materials, are called surfaces. In
simple words, the external dimensions of the material denote surfaces. External surfaces are also
known as free surfaces. Since the crystal structure lattice of every material ends at surfaces,
each atom in the surface does not have atoms surrounding it on one side of the surface. This
is why, atoms present in the free surfaces differ in many respect with the atoms present within
the material. For example, these (surface) atoms not only exhibit improper coordination number
but also show disrupted atomic bonding. It accounts for high free energy associated with the
atoms present in the free surfaces as compared to atoms lying inside the surface, i.e. within the
material. Consequently free surfaces are much more reactive than the rest of the material.
Grain boundary
A grain boundary is the surface which separates or isolates the individual grains. It is, in fact,
a narrow zone in which the atoms are located randomly, i.e. atoms are not present in well-
arranged manner as in the crystals (Figure 2.12). Various regions having atoms too close to each
other as well as having atoms far apart from one another exist in a grain boundary. The regions
having atoms nearer to each other are the regions of compression while the regions with atoms
far away from one another are the regions of tension. Atoms along the grain boundaries have
higher energy than the atoms present within the grains.
0
oO 0
o0 OO 0
o o oo o o o o o 00 o 00 00°0°
0
00000000 o 0 o0 o 0 o 0
0000000 o0 0 0 0
0000000 0 o 00 o 00 o 00 o
000000 0 o 0 o 0 o 0
oooo o ooo oOooo
000 00o 0o Oo Grain
OO 0o 0o
0 o 0°o00 boundary
o 0 o 0 o 0 o 0 o
0 o 0 o 0 o 0o
o 0 o 0 o
FIGURE 2.12 Schematic diagram of a grain boundary across which grains have different
orientation. Near the boundaries of three grains atoms do not have eqilibrium
spacing.
@Seismicisolation
@Seismicisolation
42 Mechanical Behaviour and Testing of Materials
Grain boundaries, in general, can be divided into two classes, namely, low angle grain
boundaries and high angle grain boundaries depending on the degree of difference in orientation.
A low angle grain boundary (Figure 2.13) can be regarded as an array of dislocations that
produces a small difference in orientation between the adjoining lattices. The angular mismatch
between the lattices on either side of the boundary in case of a low angle grain boundary is usually
low and less than 10°. In case of a high angle grain boundary, the orientation difference between
adjoining lattices is large and more than 10°. Within a grain, there may be two regions having
small orientation difference on both sides of them. Such boundaries within the grains are known
as sub-boundaries. The difference in orientation is usually less than l0 •
H
b 'L.-1--+--1-----t----t--t--t--+--+---J
ii
_l_ - ---- -- ----- --
D=b/8
_l_ ___ -- - ------ --
_l_
(a) (b)
FIGURE 2.13 A low angle grain boundary with the small angle (0) of misfit: (a) showing the position
of crystal boundary, (b) Crystals joined with a wall of edge dislocations. Since 0 is
small, so D = b/0.
Tilt and twist grain boundaries
Two peculiar grain boundaries, namely, tilt boundary and twist boundaries are essentially low
angle grain boundaries. Their nomenclature is based on the type of difference in orientation.
While the tilt boundaries are the boundaries between adjacent grains having difference in
orientation in a manner that each lattice appears to be tilted with respect to other lattices, twist
boundaries are the boundaries between adjacent grains having difference in orientation in a
manner that each lattice appears to be twisted with respect to other lattices. A low angle grain
boundary formed by an array of edge dislocations is referred to as tilt boundary. A twist
boundary is a low angle grain boundary that is caused by a set of screw dislocations. The
rotation in twist boundary is about an axis normal to the boundary.
@Seismicisolation
@Seismicisolation
Crystal Imperfections 43
Twin boundary
Some crystalline materials when subjected to shear stresses behave in a typical manner. The part
of the crystal undergone deformation develops symmetry with the nondeformed part of the
crystal about a plane. The deformed part looks like a mirror image of the nondeformed part.
The boundary between these two parts of the crystal is referred to as twin boundary. It is evident
from the Figure 2.14 that formation of twin boundary is possible only when an atom moves only
Boundary Boundary
FIGURE 2.14 Schematic diagram of twin boundaries. The atomic arrangement on one side of a
twin boundary is a mirror image of that on the other side.
a fraction of the lattice spacing. Twins can be developed either by mechanical working or by
heat treatment (annealing). Twins produced by mechanical working are called mechanical
twins while the twins produced by heat treatment are called annealing twins. The mechanical
working is preferably done at high strain rates and/or at low temperatures. While mechanical
twins are commonly observed in hexagonal close packed and body centred cubic materials,
annealing twins are commonly observed in face centred cubic materials. Microstructures reveal
the presence of twins (Figure 2.15).
Twins
FIGURE 2.15 Microstructure of cold worked and annealed tin bronze showing twins.
@Seismicisolation
@Seismicisolation
44 Mechanical Behaviour and Testing of Materials
Stacking faults
As described earlier, close packed crystal structure lattices are formed by stacking planes of
atoms in some regular arrangement, known as stacking sequence. For example, stacking
sequence of close packed atomic planes in face centred cubic crystal is ...ABCABCABC... and
that in hexagonal close packed structure is ...ABABAB ... where A, B and C represent close
packed planes of atoms (Figure 2.16). Stacking fault, the name given to a crystal imperfection,
is an error in the stacking sequence of close packed structure. In case of a face centred cubic
crystal, it is possible to have a stacking sequence ABCABABCABC in some region(s) in place
of normal stacking sequence. Similarly, a stacking sequence of ABABCABAB can be found in
hexagonal close packed crystals. Thus stacking fault in face centred cubic crystals results in
stacking sequence of hexagonal close packed crystal structure in a narrow region and stacking
fault in hexagonal close packed crystals results in stacking sequence of face centred cubic
crystal structure in a narrow region. Therefore, stacking faults can be regarded as planar surface
defects caused by faulty stacking sequence at localised regions. Stacking fault arising due to the
absence of a plane in the stacking sequence (e.g. in face centred cubic crystal) is referred to as
intrinsic stacking fault while the stacking fault arising due to the inclusion of a plane in the
stacking sequence (e.g. in hexagonal close packed crystal) is referred to as extrinsic stacking
fault. Energy associated with the formation of stacking fault is known as stacking fault energy.
In general, stacking-fault energy of extrinsic stacking fault is higher than that of intrinsic
stacking fault.
A
A
A
C
C
C
B B B
A A A
C ---------g---------- C
B A B
A A
C
C
C
B
B
B
A
A
A
FIGURE 2.16 Stacking fault in face-centred cubic lattice. The normal stacking sequence of (1 1 1)
planes is denoted by ......ABCABC...... Dotted line represent the faulty planar region
in which C-layer atoms are missing. As a consequence there is a break in the
stacking sequence. The sequence becomes ......ABCAB I ABCA ...... .
2.2.4 Volume Imperfections
Volume imperfections are also known as three-dimensional defects. Precipitate particles, voids
and blow holes are some common examples of volume defects. Similar to other defects, these
defects also break the continuity of the crystal structure lattice.
@Seismicisolation
@Seismicisolation
Mechanical Properties
3.1 INTRODUCTION
Mechanical properties of a material are the characteristics that are exhibited by the material
when subjected to externally applied mechanical force. In other words, mechanical properties
speak about the response of a material to an applied force. Depending on the nature of applied
force, mechanical properties may be divided into two categories, namely, static and dynamic
mechanical properties. Tensile strength, stiffness and creep strength are some examples of static
properties whereas impact strength and fatigue strength are the examples of dynamic properties.
Static mechanical properties are the characteristics of a material displayed under the
conditions of steadily applied force whilst dynamic mechanical properties are the
characteristics under the conditions of dynamic (fluctuating) loading. Since almost all
engineering products are subjected to either static or dynamic loading during service,
knowledge of various mechanical properties is highly essential. Mechanical properties not only
govern the selection of materials but also determine the ease with which the said material can
be formed into desired shapes and sizes by various material's forming processes. Since a
material is subjected to varying types of forces during service and forming, basic knowledge
about various types of forces is essential to understand the behaviour of material during service.
An externally applied force on a material's object tends to deform it. The object offers
resistance to any change in its size and/or shape due to external force. The internal resistance
offered by the object to external force is popularly known as stress (Figure 3.1). In common
practice, the word stress is defined as the ratio of the magnitude of the force applied to the
magnitude of the original area of cross-section of the object upon which the force is acting. A
material gets deformed when subjected to externally applied force. The extent of deformation
may be extremely low, moderate or high depending on the nature of material, magnitude of
45
@Seismicisolation
@Seismicisolation
46 Mechanical Behaviour and Testing of Materials
force applied and many other variables. Under
all these conditions, material is said to be in
strained state. Strain can be explained as the
accompanying changes in dimensions of the
object under stress.
At this stage, it should be clear that the
behaviour of materials under the influence of
externally applied force has been studied by
making certain assumptions about the material
under consideration and applied force. It has
been assumed that the material of object under
the applied force is perfect, homogeneous and
isotropic. An object is said to be perfect when
the material from which it is made is free from
any type of discontinuity, i.e. material is
continuous throughout the volume. A
homogeneous material shows identical
features at each and every point within the
mass whilst an isotropic material is one
which exhibits similar magnitude of properties
in all directions, i.e. its properties do not show
Force P
Internal force of resistance = oA
offered by the body
FIGURE 3.1 Illustration of internal resistance
offered by the material under an
applied force P. This resistance
per unit cross-sectional area of
the body is expressed as stress.
any variation with either direction or orientation. It is worth to mention here that none of the
materials produced commercially and shaped by common forming processes fulfils the above
stated features. Every material contains voids, discontinuities, segregated zones/regions, phases
with different properties, residual stresses at various regions, mixed grain sizes and shapes,
dendrites, inclusions and many more flaws. According to another assumption, applied force is
uniformly distributed all over the mass and its intensity is similar at every point of cross-
sectional area over which it is acting.
In the simplest case, the externally applied force may be parallel to the object's major axis.
The resultant stress is referred to as axial stress, more popularly as uniaxial stress and is parallel
to the said axis. Similarly biaxial and triaxial stresses also act on an object. There are two basic
types of stresses, namely, normal stresses and shear stresses. Normal stresses always act in a
direction which is perpendicular (normal) to the surface under stress whilst shear stresses act
parallel to the stressed surface. Normal stresses may be tensile or compressive in nature
(Figure 3.2). When a uniaxial force is applied in a manner that it tends to stretch or elongate
the object, it is known as tensile force and the stress developed as a result of this force is
referred to as tensile stress. The uniform uniaxial force which tends to compress or shorten the
object is called compressive force and the resulting stress is known as compressive stress. All
other stresses are either similar to these basic stresses or are combinations of these stresses. For
example, torsional stress acting on a twisted shaft is a shear stress whilst a bending stress is
a combination of tensile, compressive and shear stresses.
Metallic materials when subjected to external forces undergo deformation. Up to a certain
magnitude of external force, materials regain their original size and shape after the removal of
external force, i.e. deformation is not of permanent nature. Such a characteristic of the materials
@Seismicisolation
@Seismicisolation
,,
,' '
/ :
, '
Stress
--f-
,' )------------
,
,
,
,
,
,
,
+
(a)
Mechanical Properties 47
Stress
CJ
(b)
FIGURE 3.2 Illustration of normal stresses: (a) Tension, (b) Compression.
is known as elasticity and the deformation that occurs during the application of force is known
as elastic deformation. As the magnitude of applied external load increases, materials deviate
from this behaviour. In other words, materials cannot retain their original size and shape on the
removal of external force and the deformation, so occurred, is of permanent nature. This
characteristic of materials is referred to as plasticity and the deformation is called plastic
deformation. Plasticity may be considered as opposite of elasticity. While elasticity is defined
as the ability of a material to deform under the influence of external force and to retain its
original size and shape when the force is removed, plasticity is defined as the ability of the
material to undergo permanent deformation when subjected to external force. During elastic
deformation, atoms are displaced from their original positions to such an extent that these
occupy their original position on removal of the force. Contrary to it, during plastic deformation
atoms occupy new positions and do not return to their original positions on removal of the force.
The maximum stress that a material can withstand without plastic deformation is known as
elastic limit of the material. Materials which undergo considerable plastic deformation are
called ductile materials whilst those which exhibit no or little plastic deformation are called
brittle materials. Gold, copper, aluminium, steels and brasses are the examples of ductile
materials whereas glass, ceramics, diamond, grey cast iron and white cast iron are the typical
examples of brittle materials.
3.2 STATIC MECHANICAL PROPERTIES
Characteristic properties of a material studied and measured when it is subjected to a constant
or nearly constant external force are referred to as static mechanical properties. Some important
static mechanical properties have been described in following paragraphs in brief. Many of
these have been described in detail under respective heads.
3.2.1 Tensile Strength
There are many engineering applications in which a material is subjected to uniaxial tensile
force. Tensile strength tells about the ability of a material to withstand tensile forces without
fracture. It may be defined as the maximum stress which a metal can withstand without fracture.
@Seismicisolation
@Seismicisolation
48 Mechanical Behaviour and Testing of Materials
It is measured as the ratio of maximum uniaxial tensile force that can be sustained by the
material to the original cross-sectional area on which tensile force acted. Tensile strength is also
known as ultimate tensile strength.
Tensile strength is the most extensively used mechanical property. It is easy to determine
and reproducible in nature. It is an integral part for nearly all national and international
standards related to metals and their alloys. This property is frequently used for characterisation
of metallic materials. On the basis of tensile strength, one can get fair idea about some other
mechanical properties such as hardness, fatigue strength and formability of the alloy. Since
considerable plastic deformation takes place in ductile materials, tensile strength cannot be used
as valid design criterion for ductile materials. Contrary to it, tensile strength is used as valid
criterion for brittle materials as these materials
either do not undergo plastic deformation or
exhibit little plastic deformation when subjected
to uniaxial tensile forces.
Pure metals and solid solutions are single-
phase materials. A single-phase material has a
definite value of tensile strength that may or may
not fulfil the service requirement under given set
of conditions. Deforming the material below
recrystallisation temperature is known as cold
working. Cold working raises the tensile strength.
In fact, tensile strength of single-phase materials
can only be enhanced by cold working. More the
degree of cold working, higher is the tensile
strength of the material. The response of cold
working on enhancing tensile strength differs
from material to material. However, enhancement
of tensile strength by cold working is not much
preferred as it (cold working) impairs many
physical properties and other mechanical
properties. Effect of cold working on tensile
strength of some materials has been shown in
Figure 3.3.
ro
a.
~
.c 300 i,-----+---+----+-----i
O>
C
~
ti
~ 200 1---+----:---;:-;,ro~7-1'=-----1
C
~
0 ~-~--~-~--~
0 20 40 60 80
Per cent cold work
FIGURE 3.3 Effect of degree of cold work
on tensile strength.
A commonly used method to enhance tensile strength is by alloying, i.e. introducing one
or more elements into the metal under consideration. Almost all alloys exhibit increased tensile
strength than their respective base metals. It is due to the strains developed in the crystal lattice
as a result of difference in atomic sizes of parent metal and alloying elements. Larger the
difference in the atomic sizes of base and solute atoms, more is the tensile strength. A single-
phase alloy has lower tensile strength than the dual-phase or multi-phase alloy of same base
metal. Interstitial solid solutions, in general, have much higher tensile strength levels than
substitutional solid solutions. Similarly, an ordered substitutional solid solution, in general, has
better tensile strength than the corresponding random substitutional solid solution.
@Seismicisolation
@Seismicisolation
Mechanical Properties 49
Tensile strength, in general, decreases with increase in temperature and increases with
decreasing temperature. In general, finer the grain size of a material, better is the tensile
strength. For a given composition, cast material, in comparison to wrought alloy, possesses high
tensile strength.
3.2.2 Compressive Strength
Similar to tensile strength, compressive strength is the ability of a material to withstand uniaxial
compressive force without fracture and is measured as the ratio of maximum uniaxial
compressive force that can be sustained by the material to the original cross-sectional area.
Compressive strength, unlike tensile strength, is not an extensively used mechanical property
for ductile metallic materials. It is required seldom under some specific service conditions.
For most of the wrought materials, compressive strength is sufficiently close to tensile
strength. However, wrought materials containing elongated nonmetallic inclusions have poor
compressive strength. Cast materials usually have higher compressive strength than their tensile
strength, i.e. cast materials are stronger in compression than in tension. Most of the materials
which are brittle under tensile force have very good compressive strength. A simple example
is grey cast iron.
3.2.3 Ductility
As stated earlier, a material undergoes plastic deformation when subjected to external force.
Ductility may be defined as the ability of a material to undergo plastic deformation without
fracture when subjected to uniaxial tensile force. Ductility, in fact, measures the extent of
deformation that a material can withstand without rupture. Some minimum ductility is always
desired in structural components. Ductility provides some plastic deformation prior to the
fracture of the material and thus avoids the sudden failure which is highly undesirable from
technical as well as economical point of view. In fact, by virtue of this property (ductility),
material is able to distribute the localised stresses. Such a distribution of localised stresses is
responsible for the complete absence or marginal presence of stress concentration at defects or
flaws which are the main source of weakness and/or discontinuities in the material. Ductility
since long has been defined as the property of a material which enables it to be drawn into thin
wire. This property is required not only in wire drawing but also in tube drawing, rolling,
forging and similar operations.
Almost all face centred cubic metals and their alloys exhibit good ductility at room
temperature and hence possess good formability. Contrary to it, hexagonal close packed metals
and their alloys which exhibit very poor ductility at room temperature can only be formed at
elevated temperatures. Most of the body centred cubic metals and their alloys have moderate
ductility at room temperature and therefore can be formed and shaped both at room and elevated
temperatures.
Pure metals and single-phase alloys usually possess better ductility than the dual-phase or
multi-phase alloys. However, for some hexagonal close packed metals, ductility increases by
alloying. Substitutional solid solutions exhibit better ductility than the interstitial solid solutions.
Ductility of an alloy is largely governed not only by the size, shape and distribution of phase(s)
@Seismicisolation
@Seismicisolation
50 Mechanical Behaviour and Testing of Materials
but also on the hardness and brittleness of phase(s). Cast materials, in general, show poor
ductility as compared to wrought materials. Finer the grain size of a material, better is the
ductility of the material.
Ductility of metallic materials, in general, decreases with decrease in temperature. Face
centred cubic metals and their alloys are exception to this generalised statement as these
materials retain good ductility even at sub-zero temperatures. This is why most of the materials
for low temperature applications are based on face centred cubic metals. However, all metallic
materials show improvement in ductility at elevated temperatures, i.e. ductility increases with
increase in temperature.
Ductility usually is inversely related to tensile strength in the sense that one (ductility/
tensile strength) increases at the expense of another, i.e. with decrease in second one (tensile
strength/ductility). Exceptions to this statement are the grain refined alloys which show good
combination of tensile strength and ductility with decrease in grain size.
3.2.4 Malleability
A material undergoes plastic deformation when subjected to compressive force. This plastic
deformation is similar to one that is caused by tensile force but is different in the sense that
during this deformation, material gets shorten and does not elongate as when subjected to tensile
force. Similar to ductility, malleability may be defined as the ability of a material to undergo
plastic deformation without rupture when subjected to compressive force. In fact, concept of
malleability is similar to that of ductility except that the force applied is compressive rather than
tensile in nature. This property is required for processes such as forging, rolling and rivet
heading. More popularly for a fabricator, malleability is that property of a material which
enables it to be deformed into thin sheet.
Materials that show high ductility such as face centred cubic metals and their alloys also
exhibit high malleability. However, materials which possess high malleability may or may not
exhibit high ductility. For example, gold and silver possess both excellent ductility and
malleability while lead which exhibits high malleability shows poor ductility.
Similar to ductility, malleability of a material gets enhanced by raising the temperature.
This is the reason why metals and alloys are frequently hot-worked, i.e. hot-forged, hot-rolled,
hot-extruded etc.
3.2.5 Stiffness
When a beam, bar or rod is subjected to external force, it bends in a direction that is parallel
to the direction of applied force (Figure 3.4). The magnitude of deflection so produced is a
measure of material's stiffness. Less the deflection of the object, better is its stiffness. In fact,
stiffness tells about the material's ability against deflection under an applied force. Stiffness can
be defined as the resistance of a material to elastic deflection.
Stiffness of a material is largely dependent on its shape. A stiff material essentially has
a high modulus of elasticity. Since for a material modulus of elasticity is almost constant,
stiffness of a material can only be enhanced by increasing material's second moment of area
as magnitude of deflection is inversely proportional to material's second moment of area. When
@Seismicisolation
@Seismicisolation
Mechanical Properties 51
Support
Bar
;+-----~--=--=-:.::_-·-- - -------------
_
______J}Defle,tioe
FIGURE 3.4 Bending of a rod under the application of an external load W. Note that deflection
occurs in the direction of loading.
tensile, compressive or bending force is involved, Young's modulus determines the stiffness
while under conditions of shear or torsional force, modulus of rigidity replaces Young's
modulus and determines the stiffness of the material. A stiff material need not to be necessarily
strong. For example, steel deflects more in comparison to cast iron. Steel deflects further
whereas cast iron breaks with an increase in force.
3.2.6 Toughness
In simple words, toughness of a material represents its resistance against fracture. It can be
defined as that property of a material which enables it to absorb energy and deform plastically
before fracture. The amount of energy absorbed measures the toughness of the material under
consideration. Toughness is a complex property as it depends on strength and ductility of the
material. Hence, a material having high tensile strength coupled with good ductility is said to
be a tough material. A material, having high tensile strength but poor ductility or low tensile
strength but good ductility, does not exhibit good toughness. Any factor which will decrease
ductility of the material significantly will also reduce toughness of the material. One such factor
is temperature. Thus toughness of almost all materials, except those with face centred cubic
crystal structures, gets reduced on lowering temperature. Similarly, any parameter that will
decrease tensile strength significantly will also reduce toughness. A material that does not
undergo plastic deformation lacks toughness.
The toughness of a material can be enhanced by alloying. However, for an alloy system,
maximum toughness is observed only over a narrow range of composition. This is obvious as
maximum toughness is a result of optimum combination of tensile strength and ductility which
can only be attained either at a fixed composition or over a narrow range of composition.
A cast material has lower toughness than the corresponding wrought material. A decrease
in grain size results in a considerable improvement in the toughness of the material. As a group
of metallic materials, alloys of face centred cubic metals exhibit better toughness than the alloys
of body centred cubic metals. Alloys of hexagonal close packed metals are generally not used
for applications demanding good toughness. Utmost care is to be taken while selecting materials
based on body centred cubic metals as these materials can only be successfully used above a
particular temperature known as ductile-to-brittle transition temperature. This temperature
@Seismicisolation
@Seismicisolation
52 Mechanical Behaviour and Testing of Materials
varies from material to material. Fortunately this temperature, in general, is less than the room
temperature.
3.2.7 Creep Strength
All materials undergo permanent deformation under a constant stress. Such a deformation which
is time dependent is referred to as creep. Creep occurs at all temperatures. Hence creep is a time
dependent but temperature independent phenomenon. The need of such an emphasis on
temperature parameter arises as significant creep, for most of the metals and alloys, takes place
at elevated temperatures which gives a false impression that creep is a temperature dependent
phenomenon. Creep strength can be defined as the ability of a material to resist the progressive
change in its dimensions over an extended period of time under a constant load. Creep strength
is usually measured in term of a constant nominal stress that will produce a specified amount
of strain in the given material in a given time at constant temperature. High stresses and high
temperatures lower the creep strength. A knowledge of creep strength is essential as creep
occurs at much lower stress than the tensile strength. The problem of creep is more severe with
low melting point metals and their alloys. Most of the ferrous alloys resist creep up to 698 K
(425°C) and for majority of applications, service temperature does not exceed this temperature,
i.e. 698 K (425°C). Since creep occurs due to sliding of grain boundaries, any process that will
check the sliding of grain boundaries will enhance the material's resistance to creep. Therefore,
creep strength of a material can be improved by a fine dispersion of highly stable second-phase
particles within the grains or by a discontinuous precipitation of stable particles at the grain
boundaries. Creep strength of a material can also be improved by coarsening of grains. This
practice is usually not adopted as a material with coarse grain structure has inferior mechanical
properties such as strength and ductility. A cast material usually has better creep strength than
the wrought material.
3.2.8 Hardness
Hardness is one of the oldest properties that was not only known to the primitive man but also
was used for one or the other purpose. This is, most probably, the only property that has been
defined in various ways. For example, hardness can be defined as that property of the material
which enables it to resist abrasion, wear, plastic deformation, machining or cutting. To a
metallurgist or a material's engineer, hardness is defined as the resistance of a material to plastic
deformation by indentation.
Hardness of pure metals is less than their respective alloys. Dual-phase or multi-phase
alloys have better hardness than the single phase alloys. Interstitial solid solutions are harder
than the substitutional solid solutions. Hardness of a material can be enhanced considerably by
heat treatment or cold working. However, hardness of a material decreases with increase in
temperature.
Hardness, similar to tensile strength, is most extensively measured and used property for
metals and alloys. The hardness value of a material can be used to a good approximation in
estimating various properties such as tensile strength, ductility, wear resistance, fatigue strength,
machinability and formability. Hardness measurement is an important tool for inspecting and
@Seismicisolation
@Seismicisolation
Mechanical Properties 53
controlling quality of materials. In fact, tensile strength of a material can be obtained by
multiplying hardness value by a number (multiplying factor).
3.3 DYNAMIC MECHANICAL PROPERTIES
It is important to have a good knowledge about the dynamic mechanical properties because
under dynamic stresses, material's reliability decreases sharply. Static properties, therefore,
usually fail to describe the behaviour of material under service conditions involving dynamic
loading. A high degree of uncertainty exists with regard to service life of the object. Some
important dynamic mechanical properties have been described in following paragraphs in brief
as these have been described in detail in various chapters separately.
3.3.1 Impact Strength
In many metal working processes, a material is subjected to sudden or impact loading. A very
common example is related to shaping of a material by hammering by a blacksmith. A simple
technical example explaining impact loading is drop forging which is used for making crank
shafts, connecting rods, etc. It has been observed that a material, which exhibits good toughness
under static loading, does not essentially behave in similar manner under dynamic loading. In
fact, most of the materials behave like brittle materials. Impact strength is the ability of a
material to sustain impact forces without fracture. Impact strength is also referred to as impact
toughness as impact strength is a measure of toughness under dynamic loading. In general, it
is measured by subjecting a specially designed (notched) specimen to the impact loading. This
is why it is also known as notch-toughness. Temperature, heat treatment, grain size and
chemical composition are some important parameters that govern the impact strength of a
material. Impact strength decreases with decrease in temperature in BCC and HCP materials.
3.3.2 Fatigue Strength
Failure of a material takes place at much lower stress as compared to its tensile strength when
it is subjected to repetitive or fluctuating force. Many components such as crankshafts, gears,
connecting rods, springs and blades of power driven machines are subjected to cyclic stresses.
Fatigue strength of a material can be defined as its ability to resist a fluctuating or repetitive
stress. There are some materials which sustain stress up to certain level indefinitely. The
maximum stress that a material can withstand without fatigue failure, regardless of the number
of stress cycles is known as the endurance limit or fatigue limit. For such materials, fatigue
strength is represented by a stress usually known as limiting stress. Limiting stress may be
defined as that stress which can be sustained by a material for a specified number of stress
cycles, usually equal to or more than 107 cycles.
Since fatigue strength is roughly half of the tensile strength for a given material, any
process or parameter that will enhance the tensile strength will obviously improve the fatigue
strength. Fatigue strength is, most probably, the only mechanical property that is highly
dependent on surface smoothness. Higher the surface smoothness of an object, higher is the
fatigue strength. Shot peening and case hardening are the important treatments that enhance the
@Seismicisolation
@Seismicisolation
54 Mechanical Behaviour and Testing of Materials
fatigue strength considerably. Cast materials have poor fatigue strength than the wrought
materials. A clean material, i.e. a material free from inclusions and impurities exhibits better
fatigue strength.
3.3.3 Hardness
This property has already been described under static mechanical properties. In some cases,
hardness is measured under the conditions of dynamic loading. This is why this property has
also been considered under the dynamic mechanical properties. This hardness is popularly
known as dynamic hardness or rebound hardness and is related to the height of rebound or the
energy of impact when an indenter is dropped on the surface of the material under consideration
under specific set of conditions.
3.4 STRUCTURE-MECHANICAL PROPERTY RELATIONSHIP
Microstructure of a material is an important factor controlling the mechanical properties. In fact,
all mechanical properties are structure-sensitive, i.e. their magnitude can be varied to a
significant extent by altering the microstructure. This is why two objects made from the same
material, possess different mechanical properties. Various microstructures have been discussed
in succeeding paragraphs.
Pure metals and solid solutions have only one phase and are called single-phase
materials. The microstructure of such a material consists of grains of the phase and grain
boundaries that separate various grains. Since only one phase is present in such materials over
the entire range of temperature, much change in the microstructure is not possible for such
alloys by heat treatment. This is the reason why these materials exhibit restricted mechanical
properties. Though the single-phase alloys have better mechanical properties than their
respective pure metals, the extent of improvement is, in general, not significant. There may be
some exceptions to this statement. Such alloys are selected for various applications on the basis
of their certain characteristics like good electrical and thermal conductivity, some magnetic
properties, corrosion resistance, weldability and formability rather than on the basis of their
mechanical properties. Mechanical properties of pure metals and single-phase alloys can be
enhanced significantly by cold working, thermomechanical treatment and grain refining. Cold
working raises tensile strength and hardness to a considerable extent but at the expenses of
ductility and toughness. However, an optimum combination of mechanical properties can be
attained by controlling cold work-anneal cycle(s), i.e. by cold working to desired extent
followed by heating (annealing) at predecided temperature for predetermined time. This process
of cold working and heating may be repeated several times.
Dual-phase alloys and multi-phase alloys are extensively used for most of the engineering
applications largely because of the wide range of mechanical properties which are available
with these materials. For the sake of simplicity in understanding, microstructures of only dual-
phase alloys are being discussed here in this section. The same concept may be further extended
for multi-phase alloys.
In a dual-phase alloy, microstructure consists of two phases. The major phase, i.e. the
phase in large proportion is usually referred to as matrix phase or sometimes simply matrix.
@Seismicisolation
@Seismicisolation
Mechanical Properties 55
Matrix phase is usually a solid solution. For example, ferrite, which is a solid solution of carbon
and alloying elements in alpha-iron, is matrix phase in steels and cast irons. Pure metals also
constitute matrix phase. Some typical examples include thoria dispersed nickel (TD-Nickel),
thoria dispersed tungsten and alumina dispersed aluminium. Matrix phase is, in general, a
continuous phase. Improvement in mechanical properties of dual-phase alloys is observed only
when second phase is harder than the matrix phase. If second phase is relatively soft than the
matrix phase, mechanical properties are impaired remarkably. The extent of strengthening by
second phase is a function of hardness and volume fraction of the second phase.
It is important to mention here that dual-phase alloys are of two types: In one type,
second phase may be present in the form of patches or as massive plates while in second type,
the second phase may be present in the form of particles. The size, shape and volume fraction
of second phase mainly govern the mechanical properties of the dual-phase alloy in the former
case. However, in addition to these parameters, it is the distribution of second phase particles
that largely governs the mechanical properties of the dual-phase alloy of second type.
There exists a high probability that the second phase may segregate at grain boundaries
during solidification or phase transformation. When the second phase is present as a continuous
network at grain boundaries, it imparts brittleness in the material. A material with such a
microstructure always exhibits poor ductility and toughness. The harmful effect due to such a
second phase increases with increase in its amount. The extent of evil effect of second phase
is relatively less if the second phase is a solid solution or is a relatively less hard and brittle
phase. It is possible to eliminate this continuous network. The microstructure, so obtained,
exhibits better ductility and toughness. Continuous network of second phase at grain boundaries
can be eliminated either by rapid cooling when it is caused during solidification or by heat
treating when it is caused by phase transformation. For example, continuous network of
cementite at grain boundaries in annealed hypereutectoid steel can be completely eliminated by
normalizing the steel. It has been observed that only some and not all phases have a strong
tendency to precipitate or segregate at grain boundaries. This tendency can be either reduced
considerably or eliminated by the addition of some alloying element which either has a
tendency to partition to this phase or is capable to change the composition completely. A
material with discontinuous network of second phase at grain boundaries shows somewhat
better properties than with that having continuous network of second phase. However, both
types of materials are usually not desirable for structural applications. A microstructure
consisting of second phase particles along the grain boundaries is better than the microstructure
having second phase at grain boundaries. Considerable improvement in ductility and toughness
is observed with such a microstructure. A still better microstructure is one which has second
phase distributed within the matrix and not at or along the grain boundaries. Such a
microstructure (with distributed second phase) shows better properties specially tensile strength,
ductility and toughness. However, scope for further improvement exists by altering distribution
of second phase. From the point of view of distribution, a best microstructure should consist
uniform distribution of second phase throughout the matrix.
As regard to size, coarse particles of second phase adversely affect almost all mechanical
properties. Since finer particles favour better mechanical properties, it is always desirable to
control phase transformation or solidification process in a manner to get finer grains.
@Seismicisolation
@Seismicisolation
56 Mechanical Behaviour and Testing of Materials
Shape of the second phase particles control the mechanical properties significantly. If the
second phase is in the form of coarse plates and is present within the matrix, tensile strength
as well as toughness are reduced significantly. In such microstructures, a crack within the matrix
phase can propagate without any hindrance along the length of the plate. Crack may propagate
through the brittle phase. Therefore, such microstructures are not preferred for engineering
applications demanding either higher static stresses or dynamic stresses. Finer plates embedded
within the grains substantially improve the tensile strength but ductility, and toughness remain
at low levels. Extremely fine platelets that are uniformly distributed improve the tensile strength
considerably. Such a microstructure has reasonably good ductility and toughness.
Second phase in the form of flakes or needles is highly deleterious with respect to
mechanical properties. Ends of flakes/needles act as internal notches and are the regions of
discontinuities in the matrix. Such a microstructure is inherently weak and brittle in nature.
Ductility and toughness are practically zero. However, compressive strength of such a
microstructure is much greater than the tensile strength.
Relatively coarse and widely spaced second phase particles have only a minor effect on
the tensile strength. However, ductility and toughness are impaired but not to the extent as
observed in microstructures consisting of second phase in the form of coarse plates or flakes/
needles. Spherical shaped second phase gives the best mechanical properties. Finer the
spheroids, better is the tensile strength, fatigue strength, hardness and toughness.
Under some specific circumstances, a phase precipitates/grows in a manner that certain
crystallographic planes and directions of this phase are parallel to preferred crystallographic
planes and directions in the matrix/parent phase. Such a microstructure is referred to as
Widmanstatten structure and can be easily recognised due to typical appearance of the
precipitate phase. Precipitate phase usually grows in the form of plates, needles, rods and cubes.
Rapid cooling of a coarse grained phase, usually a solid solution which undergoes phase
transformation during cooling, provides favourable conditions for the formation of
Widmanstatten structure. A material with such a microstructure is very weak and highly brittle,
i.e. material has low tensile strength and very poor toughness. Such a microstructure, therefore,
is not desired and is refined either by hot working or by heat treatment. Refined microstructure
provides good tensile strength and toughness.
Thus for majority of engineering applications at room temperature and at moderately
elevated temperatures, microstructures comprising of two or more phases are preferred.
Optimum combination of properties is obtained when second phase particles are finely
distributed in the form of tiny spheroids in a ductile and tough fine-grained matrix.
@Seismicisolation
@Seismicisolation
Dislocation Theory
4.1 INTRODUCTION
Dislocations, as discussed in Chapter 2, Section 2.2.3, are always present in all crystalline
materials and play a very important role in plastic deformation of metals. The overall
concentration of dislocation lines present in a material is expressed by the term dislocation
density. Dislocation density is defined as the total length of dislocation lines in a unit volume
and in terms of unit it is expressed as m/m3. The dislocation density is also expressed as number
of lines per square metre, i.e. lines/m2• A material is very strong when the density of
dislocations is negligibly small. The strength initially decreases rapidly up to a certain value and
again increases with increase in dislocation density. Figure 4.1, which shows the variation of
strength with dislocation density, further makes the above statement more clear. It is evident
from this figure that above a certain value of dislocation density the strength of the material
increases after passing through a minimum hollow and attains a steady value at a density of
about 1016 per square metre. The curve in this figure shows the minimum strength corresponds
to a certain critical dislocation density of about 1010 to 1012 per square metre. This value refers
to that for annealed metal crystals. The yield strength for annealed metals is about G/105 to
G/104, where G is the shear modulus of the metal. If the number of dislocations is less than the
critical value then any reduction in their number drastically raises the resistance of a metal
against plastic deformation and the strength rapidly approaches the theoretical value.
Figure 4.2 shows a dislocation line AB lying in the slip plane (i.e. the plane of paper).
The slip is considered to be taking place in the direction of arrow. All the atoms above the area
P have been slipped one atomic distance in the direction of slip. The atoms above the surface
Q have not yet slipped. Thus, AB is the boundary separating the slipped and unslipped regions
on a surface and regarded as dislocation line. As the dislocation moves, slip occurs in the area
57
@Seismicisolation
@Seismicisolation
58 Mechanical Behaviour and Testing of Materials
.t::
°'
C
~
in
0 1010 1012 1016
Dislocation density, m-2
FIGURE 4.1 Effect of dislocation density on strength: 1. Theoretical strength, 2. Strength of
whiskers, 3. Pure unhardened metals, and 4. Alloys strengthened by alloying, work
hardening, heat treatment and thermomechanical treatment.
A
p Q
B
FIGURE 4.2 A dislocation in a slip plane.
on which it moves. A moving dislocation, if not encountering any obstacle, can move under
the application of a relatively small force. A real crystal which always contains a large
number of dislocations (on the order of 1010 to 1012 per square metre in the annealed state)
can easily be deformed and therefore it is considerably weaker than a perfect (or an ideal)
crystal. Thus, dislocations make a crystal weak. On the one hand, dislocations are responsible
for weakening a crystal at the same time they strengthen it by interacting with either
themselves or with some other imperfections which act as obstacles in their motion. Thus as
the dislocation density increases above 1012 to 1016 per square metre material becomes
strengthened.
@Seismicisolation
@Seismicisolation
Dislocation Theory 59
4.2 THE SHEAR STRENGTH OF IDEAL AND REAL CRYSTALS
In a perfect crystal all the atoms in their equilibrium positions possess the minimum energy.
Internal energy of the crystal rises if these atoms are displaced slightly from their mean position
with the aid of external energy. The external energy may be in the form of thermal energy or
mechanical work. Initially when no atomic displacement has occurred shear stress is zero. Shear
stress is also zero when atoms in a row are displaced from their one equilibrium position to the
next. In between these limiting positions, shear stress as well as potential energy of the system
vary with distance as shown in Figure 4.3. When a shear stress (r) is applied on a plane within
a crystal, it causes a displacement (x) of atoms about their original positions (Figure 4.3).
If the displacement is small the strain produced is elastic in nature. As the displacement
increases, the potential energy rises and the shear stress increases rapidly. When the atoms
are displaced one quarter of the inter-atomic spacing (b), the shear stress is at maximum
and it decreases to zero when the displacement is caused half-way between the atoms
below. For instance, atom l is displaced midway between the atoms 2 and 4. At this point
the potential energy rises to maximum and the atom l is in metastable equilibrium state with
respect to the two atoms. At this point, the atom l has equal tendency to take itself either over
atom 4 or over its original neighbour atom 2. Therefore, the shear stress required to cause
~ Cl)
ctl Cl)
(I) (I)
.c ~
(/) iii
cii::,.
:.;::; :::,:.
C Ol
(I)~
- (I)
0 C
0. (I)
~~---,-~-- Shear stress, r
b/4 b/4 b/4 b/4
FIGURE 4.3 Variation of shear stress and potential energy as a function of atomic displacement.
Here a is the interplanar spacing and b is the interatomic spacing in the planes. Open
circles represent atoms.
@Seismicisolation
@Seismicisolation
60 Mechanical Behaviour and Testing of Materials
displacement in either direction is zero. If under the influence of shear stress, the atom 1 moves
towards the next equilibrium position, i.e. over the atom 4, the slope of the potential energy
curve becomes negative. The stress is also negative during this period because a stress in
opposite direction is needed to prevent the top plane from sliding into next equilibrium position
after the atoms have crossed the midway positions. Thus shear stress is a function of the
displacement and can be written as:
. 2 X
1: =1:m sin n-
b
(4.1)
where, rm is the maximum shear stress corresponding to the amplitude of the sine wave and
b is the period. For small values of displacement, Hooks law is valid, so one can write,
X
r =Gy=G-
a
(4.2)
where a is the inter-planar spacing (Figure 4.3). For small values of xlb, Eq. 4.1 can be written
as:
From Eqs. (4.2) and (4.3),
For many metals, b = a, then
Gb
1: =--
m 2na
G G
1: =-::::-
m 2n 6
(4.3)
(4.4)
(4.5)
1:m is the maximum shear stress required for plastic deformation to occur in a perfect crystal.
In this case the plastic deformation involves sliding of one atomic plane (corresponding to the
row containing the atoms 1, 3, 5 and so on in Figure 4.3) over another (corresponding to the
row with atoms 2, 4, 6 and so on) as a unit. The process requires large magnitude of force to
simultaneously break all the atomic bonds across the slip plane. Thus, 1:m is the theoretical shear
strength of a perfect crystal. Since the shear modulus for majority of ductile metals lie in the
range of 104 to 105 MPa, accordingly the theoretical shear strength of a perfect crystal should
lie in the range of 2000 to 20000 MPa. However, the observed values of shear stress required
to initiate plastic deformation are considerably less than these values. In other words, real
crystals deform at a much lower value of shear stress than the theoretical values calculated for
an ideal crystal.
This discrepancy between the theoretical and observed values of shear stress is found to
be due to the presence of defects, in particular, the dislocations exist in real crystals.
4.3 GEOMETRY OF DISLOCATIONS
It is generally believed that dislocations are generated mainly when a crystal undergoes slip
under shear stress. However, dislocations may also be produced during solidification of a metal,
@Seismicisolation
@Seismicisolation
Dislocation Theory 61
due to impurity atoms or by thermal vibrations. Figure 4.4 illustrates the introduction of a
dislocation in a crystal undergoing shear when subjected to a sufficiently high shear stress. As
shear proceeds, the unit cells of the upper part of the crystal are pushed ahead one full step
where they again match or register with most of the cells in the lower part of the crystal. The
line of mismatch D which lies between the slipped and unslipped regions is called the
dislocation line. If the shear stress continues, the dislocation line expands through the crystal
(as indicated by the arrows in Figure 4.4). This results in plastic deformation of the crystal. The
dislocation line D has two parts at ends A and B. At A, the segment of the dislocation line
is parallel to the Burgers vector b (defined later on) and is called screw dislocation
(Figure 4.4). The small element of this dislolcation line at B is perpendicular to the Burgers
vector and is called edge dislocation. The tangent at any point on the rest portion of the
dislocation line can be resolved into edge and screw components, i.e. the rest portion of the
dislocation line in mixed in character. Edge and screw dislocations for the sake of simplicity
are described separately in Sections 4.3. l and 4.3.2, respectively.
Crystal--_..,,.
Screw
dislocation
FIGURE 4.4 The dislocation line D produced when the crystal undergoes plastic shear. The
dislocation line at A is screw in nature whereas it is edge in character at B. r is shear
stress.
4.3.1 Edge Dislocation
Consider a crystal undergoing shear in the plane ABCD in the direction of the vector b
involving the area AFED as shown in Figure 4.5. The atomic planes on both sides from the slip
plane AFED (i.e. top and bottom) are displaced with respect to one another by the distance b
@Seismicisolation
@Seismicisolation
62 Mechanical Behaviour and Testing of Materials
,
,
,
,
,
,
,
,
'
'
:c E
,1----r -
/ ;·
,' /
,' ;·
I
/
I
- r
b
D
b
- - r
Direction of
dislocation motion
FIGURE 4.5 Shear stress r, produced an edge dislocation FE in the crystal.
in the slip direction. The boundary FE separating the area AFED (where slip has occurred),
and the area FBCE (where slip is yet to occur), called an edge dislocation and the vector b
is termed as Burgers vector. A Burgers vector represents the extent of slip (or plastic
deformation) that has occurred in the area AFED (in the example considered). In other words,
it represents the magnitude and direction of slip.
Figure 4.6 shows the arrangement of atoms in a plane perpendicular to the dislocation line.
As a result of the displacement that has occurred over the area AFED (Figure 4.5), the upper
part of the crystal contains one atomic plane (plane PM) more than the lower (Figure 4.6). As
Region of
Region
of tension
N
FIGURE 4.6 A positive edge dislocation. MNQP is the additional plane of atoms created and the
edge PQ is the dislocation line around which distortion is maximum.
@Seismicisolation
@Seismicisolation
Dislocation Theory 63
a result the atomic row l lying above the shear plane contains one atom more than the row 2
below this plane. The interatomic distances in the upper row near the point P (the dislocation
centre) will accordingly be slightly shorter than the normal value (i.e. the lattice is contracted)
while the interatomic distances in the lower row near the point P will be slightly longer (i.e.
the lattice is expanded).
Thus, a feature of the edge dislocation is the existence of an 'additional' half plane PM
of atoms in some part of the crystal. Below the edge of this plane the bonds are broken. This
edge is termed as dislocation line. The process of formation of such dislocation line may be
thought as that of pulling the lattice apart and inserting an additional atomic plane in it. Such
a plane is termed as extra half plane. If, the extra half plane lies above the shear plane it is
called a positive edge dislocation and is denoted as '.l'. If, on the other hand, the extra half
plane of atoms lies below the shear plane the dislocation is termed as negative edge dislocation
and is denoted as 'T' . In these symbols the single vertical leg represents the direction of the
extra half plane and the horizontal line shows the horizontal plane containing slip direction. It
is only a convention, because a negative edge dislocation can be converted to a positive edge
dislocation by just turning over the crystal.
4.3.2 Screw Dislocation
Consider a crystal in which an incomplete unit
shift has been produced in the direction of the
vector b over the area ABCD as shown in
Figure 4.7 (i.e. the upper part has moved in
relation to the lower one). AD is the boundary of
the area that experienced the shift. The line AD
which separates the slipped (i.e. the region right
of AD) and unslipped regions (i.e. the region left
of AD) is known as screw dislocation line. The
vector b is called the Burgers vector. Thus the
dislocation line is parallel to the Burgers vector
and by definition this must be a screw
dislocation. Consider the trace of a circuit around
the dislocation line, on the front face of the
crystal shown in Figure 4.8(a). Starting at a and
completing a clockwise circuit and arrive at e,
one plane ahead of that containing a. In making
this circuit the path traced is that of a right
D ,,,---- -- C
,
,
,
,
,,
, '
I ~--- --
}- --- IL _____ _
, ,
, ,
A
---
Direction of
dislocation motion
FIGURE 4.7 The screw dislocation AD is
produced in the crystal under
an applied shear stress r.
handed screw. The atom a moves towards the atoms b, c, d, e, etc. along a spiral path, as
shown in Figure 4.8(b). Every time a circuit is made around the dislocation line, the end
point is displaced one atomic distance parallel to the slip direction in the lattice. A clockwise
circuit results in the plastic displacement in the forward direction by one lattice vector. The
screw dislocation in which the atomic displacement occurs in the forward direction is called
clockwise or positive screw dislocation. This is analogous to a screw when driven in the
clockwise direction, moves forward. If, the circuit around a screw dislocation is traced in the
@Seismicisolation
@Seismicisolation
64 Mechanical Behaviour and Testing of Materials
Slipped
t_
_
,,
Slip plane
!
Unslipped
I
- Unslipped : Slipped -
(a)
b
(b)
FIGURE 4.8 Creation of a screw dislocation: (a) Arrangement of atoms in a screw dislocation,
(b) Atom a moves towards atoms b, c, d, e, etc. constituting the screw dislocation
along a spiral path.
counterclockwise direction, the plastic shift occurs in the reverse direction. Such a screw
dislocation is termed as counterclockwise or negative screw dislocation. This is analogous to
a screw driven out from an object. A screw dislocation can also be viewed as forming the axis
of a helical ramp that runs through the crystal.
A comparison of Figure 4.5 and Figure 4.7, indicates that in contrast to the edge
dislocation, which is perpendicular to the Burgers vector, b, the screw dislocation is parallel to
it. The motion of edge dislocation occurs in the direction of Burgers vector b, whereas the
motion of screw dislocation occurs in the direction perpendicular to it.
4.4 BURGERS VECTOR, BURGERS CIRCUIT AND DISLOCATION
LOOP
Burgers vector b is one of the most important properties of a dislocation. It is a measure of the
atomic displacement associated with its motion. That is, it represents the magnitude and
direction of slip or plastic deformation. This can be obtained by making an atom to atom
rectangular circuit around the dislocation. Figure 4.9 shows a circuit made in the clockwise
direction around the dislocation. It has an equal number of atomic steps on parallel sides such
that the start and end points must coincide if it does not surround a dislocation [Figure 4.9(a)].
@Seismicisolation
@Seismicisolation
Dislocation Theory 65
End

(a) (b)
Slip _____ --~-~-- __ - - ~ ~
plane t---+---+---+---+---+--------< Slip step
(c)
FIGURE 4.9 Illustration of Burgers circuit (indicated by long arrows) and Burgers vector, b
(indicated by short arrow): (a) Burgers circuit closes upon itself, (b) Burgers circuit
around a dislocation, therefore does not close, and (c) Creation of a slip step as the
dislocation moves through and arrives to the surface of the crystal.
If, on the other hand, a similar circuit is constructed around a region of material that contains
a dislocation, the circuit does not close upon itself, i.e. the start and end points do not coincide
[Figure 4.9(b)]. Such a circuit is commonly called Burgers circuit. The vector connecting the
end to start point is called the Burgers vector, b whose magnitude is equal to one interatomic
distance, i.e. from one equilibrium atom position to another. This magnitude of b must be equal
to a slip step created after the dislocation has moved and arrived to the surface as shown in
Figure 4.9(c). Thus b is a lattice translation vector and its magnitude is equal to one lattice
spacing. This is the smallest amount of slip which leads to the final configuration in the crystal
same as the initial one.
Dislocations in real crystals are rarely straight lines and rarely lie in a single plane. They
generally exist in the form of a curve (if it extends to the surface as shown in Figure 4.4) or
a loop located within the crystal (Figure 4.10). The loop has the same Burgers vector at all
positions but its character (i.e. edge, screw or mixed) changes continuously along the loop. The
direction of the dislocation line at any given point is described by a unit tangent vector t, which
is parallel to the line and must be continuous along the dislocation loop, that is, it will have
@Seismicisolation
@Seismicisolation
66 Mechanical Behaviour and Testing of Materials
Positive
edge
dislocation
1
2
~
(a)
l_ 1
1 t~ Slipped
b
(b)
b
Positive screw
dislocation
Unslipped
1
5 T Negative edge
dislocation
~6
Negative screw
-------+-- dislocation
FIGURE 4.10 Dislocation loop within a crystal. At t1 and t5 the dislocation segments are edge in
character while at t3 and t7 the dislocation segments are screw in character. At t2 , t4 ,
t6 and t8 , the line segments are mixed in edge and screw components.
opposite directions on opposite sides of the loop. Assigning a clockwise or anti-clockwise
direction to the unit tangent vector is purely arbitrary. This sometimes results in an ambiguity of
plus or minus sign. A dislocation loop having the same orientation at all points can also form as
shown in Figure 4.1 l(a). Such a dislocation can form when vacancies are clustered in the form
of a disc on a close packed plane as illustrated in Figures 4.11(b) and (c). Figure 4.11(c) shows
that vacancies are clustered in a portion of a close packed plane (l l l) in the stacking sequence
in a FCC crystal lattice. As a consequence the atoms in the planes immediately above and below
Vacancies are Vacancies
clustered here
c ~
C 1
r--"t----,
B
:=:;;::=
A l--------~
B C ~
!f[n 1]
B
C B
A A
A
(a) (b) (c)
FIGURE 4.11 Formation of dislocation loop by collection of vacancies on a close packed-plane A.
@Seismicisolation
@Seismicisolation
Dislocation Theory 67
are displaced towards the vacancy disc. Here the Burgers vector is perpendicular to the plane
of the loop so that the dislocation has pure edge character over its entire length. This dislocation
loop is called prismatic loop.
From the above, the following conclusions can be drawn about the features of
dislocations:
(i) A dislocation can be characterised by the relationship between its Burgers vector and
the tangent vector. For edge dislocations, the Burgers vector b is perpendicular to the
tangent vector t, whereas for screw dislocations, the Burgers vector is parallel to the
tangent vector and for mixed dislocation the Burgers vector and the tangent vector are
oriented at an angle between 0° and 90°.
(ii) The plane containing both the Burgers vector and the tangent vector allows
dislocation motion (also called glide) to take place on it. This plane is generally the
plane with highest atomic packing density.
(iii) For any dislocation, the Burgers vector is invariant (i.e. constant) and does not vary
from position to position.
(iv) A dislocation cannot end inside the crystal. It can end at the surface of the crystal,
on itself and form a loop or on another dislocation.
4.5 MOVEMENT OF DISLOCATIONS
4.5.1 Concept of Slip
There are two ways in which dislocation motion can occur:
(i) The process of glide or conservative motion in which the dislocation moves in the
surface defined by its line and Burgers vector.
(ii) The process of climb or non-conservative motion in which dislocation moves out of
the glide plane.
Plastic deformation in a crystal occurs by the movement or sliding of one plane of atoms
over another. These planes are called slip planes. Discrete blocks of crystal between two slip
planes remain undistorted as shown in Figure 4.9(c). Further deformation occurs either by more
slip on the existing slip planes or by the formation of new slip planes. The slip plane is usually
the planes of highest atomic packing density and slip direction is the direction that lies in the
slip plane and has the highest atomic packing efficiency. Thus, in FCC crystals slip occurs on
{1 1 1} planes and in (1 1 0) directions and in HCP crystals on the (0 0 0 1) basal plane and in
the direction of the kind (1 1 2 0). In BCC crystals, slip directions are of the kind (1 1 0) and
the slip planes are of the kind {1 1 0}, in particular at low temperatures. At high temperatures,
however, planes of the kind {1 1 2} and {1 2 3} may also become active for slip to take place
on them while slip direction remains the same. Slip may also occur on less close packed planes
in close packed directions if slip on most close packed planes becomes difficult due to high
local stress caused by strain hardening, grain boundaries, precipitate particles, etc. A slip plane
together with a slip direction constitutes a slip system. FCC crystals have four {1 1 1} type
@Seismicisolation
@Seismicisolation
68 Mechanical Behaviour and Testing of Materials
planes and three (1 1 O) type directions and therefore they have twelve {1 1 1} (1 1 O) slip
systems. The numbers of slip systems in FCC, HCP and BCC crystals are shown in Table 5.2
and in Figure 4.12, Figure 4.13 and Figure 4.14 respectively. Slip results in the formation of
z
y
- I1 1 0 ] direction
X
I 
[ 1 0 1Jdirection [ 0 1 1]direction
(a) (b)
FIGURE4.12 (a) (1 1 1) plane in the cubic unit cell; (b) Atoms on (1 1 1) slip plane in FCC metals.
Note that each (1 1 1) slip plane contains three slip directions of the type (1 1 0).
'1 12 OJ
a2 /r211 OJ
(b)
(a)
~
a1
I
(c)
FIGURE 4.13 (a) Representation of common slip planes (0 0 0 1) and {0 1 10} in HCP unit cell.
Plane (0 0 0 1) is the most close packed, (b) Atomic arrangement on (0 0 0 1) plane
with close packed directions (11 20), (c) Atomic arrangement on (0 1 10) plane.
@Seismicisolation
@Seismicisolation
X
X
D C
D
' ,
q /
' , ~-------c<F--~
X
' ,
' ,
I ',.. ,.. .........
B
(2 1 3)
'
0
Dislocation Theory 69
(1 0 1)
y
i[1 0 1]
(a)
t(111]
y
I
I, .J2.a ,I
(b)
(1 2 OJ
I
45a
(c)
FIGURE 4.14 Slip planes (a) (1 O 1), (b) (1 1 2) and (c) (2 1 3) and atomic arrangement on them
in BCC metals. Close packed directions of the type (1 1 1) are also indicated.
steps on the surface of the crystal. These can readily be detected if the surface is carefully
polished before plastic deformation.
For slip to take place a characteristic shear stress called resolved shear stress, r must be
applied. Shear stress is the actual stress operating on the slip system (in the slip plane in the
slip direction) resulting from the application of a simple tensile stress a on a cylindrical single
crystal sample (as illustrated in Figure 4.15). The resolved shear stress r is given as:
r = a cos </) cos A (4.6)
@Seismicisolation
@Seismicisolation
70 Mechanical Behaviour and Testing of Materials
where, </) and Aare the angles which the tensile axis makes with the slip direction and slip plane
normal, respectively (Figure 4.15). G is the normal stress. Thus, a normal stress applied to a
single crystal causes a shear stress on the slip plane along the slip direction. This component
of stress, called the Resolved Shear Stress (RSS) can cause slip only when it is large enough
and exceeds a critical value.
I
I
I
I
<a:~e-;1A_____
Normal to
slip plane
Slip plane
FIGURE 4.15 An illustration of the geometrical relationship among normal force F, slip direction
and slip plane normal to determine resolved shear stress.
This critical value of shear stress at which plastic deformation occurs is called Critical
Resolved Shear Stress (CRSS), rcRss, which is a constant for a given slip system in a given
crystal. The derivation of resolved shear stress is described in Section 5.3.4. The critical normal
stress Ge, corresponding to CRSS can be determined using the following relationship.
G = 'l'cRSS
e cos</) cos A
(4.7)
Equation 4.7 is known as Schmid's law. The normal stress required to initiate slip, Ge,
is a function of the crystal orientation with respect to the direction of applied force on the crystal
axis. The notable point is that the magnitude of Ge is not a material constant.
4.5.2 Dislocations and Slip
When a sufficiently large magnitude of shear stress is applied parallel to a slip plane in a real
crystal, the dislocations on it will move. The movement of an edge dislocation in a simple cubic
single crystal under the influence of shear stress is illustrated in Figure 4.16(a-c). The edge C'P'
of the additional plane CC'P'P (marked by dotted line) is the edge dislocation line that rests on
the slip plane [Figure 4.16(a)]. The direction of shear stress is such that the bonds between the
atoms marked 4 and 3 tend to break thereby raising the energy in that region. At the same time,
@Seismicisolation
@Seismicisolation
p
'
' '
B C/ D : E F G
A' B' D' E' F' G'
r
(a)
r
B C D E F G
A' B' C' E' F' G'
r
(b)
Dislocation Theory 71
r
B C D E F G
A
A' B' C' D' E' F'
r
(c)
G'
FIGURE 4.16 Movement of an edge dislocation under the shear stress, r. Atoms 1, 2, 3 and 4
are hatched in (a) for convenience.
however, the atoms marked 1 and 2 form the bonds and release the same amount of energy as
stored by atoms in row 1. As a consequence, the dislocation C'P' moves in the forward direction
to the right. The atoms around the dislocation are symmetrically placed on either sides of the
extra half plane and provide equal and opposite force to move atoms at the dislocation. The net
force acting on the dislocation is thus, zero. At a first approximation this suggests that the net
force required in moving a dislocation is zero. This condition is analogous to the condition
shown in Figure 4.3 when the atoms in the top row are midway between the atoms in the bottom
row of a perfect crystal and shear stress is zero at this point. However, in practice, certain
symmetry conditions give rise to a lattice frictional stress (i.e. resistance) to the motion of
dislocation through the lattice. This lattice frictional stress is commonly called Peierls and
Nabarro stress after the names of originators. This frictional stress is much smaller than the
theoretical shear stress of a perfect lattice. An important characteristic of Peierls and Nabarro
force is that its magnitude varies periodically as the dislocation moves through the lattice. It is
discussed in details in a later section. Thus a dislocation can move only when the applied shear
stress is greater than the lattice frictional stress. The movement of dislocation from one position
to the next [Figure 4.16(b)] involves only a small rearrangement of atomic bonds near the
dislocation i.e., atoms move only to a fraction of an interatomic distance in contrast to full
interatomic distance in a perfect crystal.
The dislocation motion described above is known as dislocation glide. The process of
breaking and re-establishing one row of atomic bonds may continue until the dislocation passes
completely out of the crystal [Figure 4.16(c)]. When the dislocation leaves the crystal the top
half of the crystal is permanently offset by one unit relative to the bottom half. This unit shift
is called a slip step whose length is equal to the magnitude of the Burgers vector of the
dislocation. Since the permanent deformation (i.e. the irreversible motion of atoms from one
equilibrium position to another) through dislocation glide involved breaking of only one row
of atomic bonds at a time, the corresponding critical resolved shear stress required should be
much lower than that required for a perfect crystal (Figure 4.3), where all of the bonds are
to be broken simultaneously in order slip to take place. Table 4.1 lists the theoretical (that for
perfect crystals) and experimental (that for real crystals) values of CRSS for some metals.
@Seismicisolation
@Seismicisolation
72 Mechanical Behaviour and Testing of Materials
TABLE 4.1 Experimental and theoretical CRSS values for some metal crystals
Metal CRSS (MPa)
Experimental Theoretical (E/10)
Copper 0.49 10.3 X 103
Silver 0.37 9.2 X 103
Aluminium 0.78 7.0 X 103
Iron 27.44 21.0 X 103
Titanium 13.72 JJ.0 X 103
4.5.3 Slip Plane
For any dislocation the plane that contains both the vectors b and t is a potential slip plane.
Since for a screw dislocation the vector b is parallel to the vector t, any plane that contains
the dislocation line defined by b (or equivalent to t) is a potential slip plane. Therefore a screw
dislocation can glide from one valid slip plane to another valid slip plane. An edge dislocation,
on the other hand, can glide in a plane that contains both the vector b and vector t. Thus, the
movement of an edge dislocation is limited to a specific plane.
4.5.4 Cross-Slip
It is known from the above that there is no
fixed glide plane for a screw dislocation and
it can glide from one plane to another by a
process called cross-slip. Yet there are only
certain crystallographic planes which are
favourable for slip of screw dislocations.
For instance, in FCC metals, screw
dislocations can move on {1 1 1} type
planes, but can change their motion from
one {1 1 1} type plane to another. Two such
intersecting planes are shown in Figure 4.17.
The process of cross-slip is illustrated in
Figure 4.18(a-d). Figure 4.18(a) shows a
dislocation loop on (1 1 1) plane with
Burgers vector (a/2) [1 0 l]. The dislocation
loop is pure edge in character at points P
z
FIGURE 4.17 lllustration of intersecting {1 1 1}
type planes in the unit cells of a
face-centred cubic crystal with
common direction [1 o1].
and Q while it is pure screw in nature at points R and S. As the applied shear stress increases,
the dislocation loop expands [Figure 4.18(b)] and its screw part at point R tends to move on
the intersecting (l 1 l) plane [Figure 4.18(c)] as it is free to move on this plane. As the
applied shear stress increases further, the screw dislocation moves on (l 1 l) plane with further
expansion and eventually glide back on to the (1 1 1) plane [Figure 4.18(d)]. This is called
double cross-slip.
@Seismicisolation
@Seismicisolation
Dislocation Theory 73
(1 1 1)
(a)
(101] I p~ a
R
(b)
(c)
FIGURE 4.18 Illustration of cross-slip in a face-centred cubic crystal. The direction [1 o1] is
common to the close-packed (111) and {111) planes as shown in the unit cells of
Figure 4.17.
Cross-slip is very important in ductile metals, as it allows more dislocation motion and
hence plastic deformation than would otherwise be possible.
4.5.5 Dislocation Climb
Under the conditions of low temperatures where diffusion is difficult and when concentration
of non-equilibrium point defects is negligible, the movement of dislocations occurs almost
entirely by the process of glide. During glide process if a dislocation offers an obstacle it is
unable to move further. As a consequence, a pile up of dislocation results at the obstacle if the
applied stress continue to increase. The dislocation at the head of the pile up can not cross glide
to another plane. However, at high temperatures, such a dislocation can change its plane of
motion by a process called climb. Figure 4.19 illustrates the process of climb of an edge
dislocation. If a row of vacancies is introduced to the A atoms along the edge of the extra half
plane of atoms [Figure 4.19(a)], the dislocation line moves up by one atomic spacing with
respect to its original slip plane. This is called positive climb, i.e. dislocation climb up, as
shown in Figure 4.19(b). Similarly, if a row of atoms is introduced below the extra half plane
of atoms, the dislocation line moves down by one atomic spacing, this type of climb is called
(a)
____ Slip
plane
(b) (c)
FIGURE 4.19 Illustration of dislocation climb: (a) Dislocation before climb, (b) Dislocation climb
up, and (c) Dislocation climb down.
@Seismicisolation
@Seismicisolation
74 Mechanical Behaviour and Testing of Materials
dislocation climb down or the negative climb [Figure 4.19(c)]. The positive climb involves
diffusion of vacancies to A atoms while negative climb involves diffusion of interstitials to A
atoms. Both these processes require mass transport by diffusion and therefore dislocation climb
requires thermal activation. The most common climb processes involve diffusion of vacancies
either towards or away from the dislocation.
It has been assumed above that a complete row of
atoms is removed simultaneously, whereas in practice,
individual vacancies or small cluster of vacancies diffuse to
the dislocation. As a consequence one or two steps called
jogs are produced in the dislocation line as illustrated in
Figure 4.20. This figure shows climb of a short section of
a dislocation line resulting in the formation of two jogs.
Both positive and negative climb proceeds by the
nucleation and motion of jogs. Conversely, jogs are the
sinks or sources of vacancies. Since a pure screw
dislocation has no extra half plane of atoms, and therefore,
can not climb.
FIGURE 4.20 Jogs on an edge
dislocation.
4.6 ELASTIC PROPERTIES OF DISLOCATIONS
4.6.1 Stress Field and Energy of a Dislocation
It has been mentioned earlier that a dislocation line is always surrounded by a stress field. This
stress field produces an elastic strain field caused by the displacement of atoms about their mean
position. As a result, elastic strain energy Ee.s. arises in vicinity to the dislocation. Thus, there
is an increase in the energy of the crystal due to the stored elastic strain energy of dislocation.
This strain energy may be divided into two parts:
(4.8)
Ecore is the energy of the core. The region immediately surrounding the dislocation line where
atoms are in maximum stress field (or where the atomic distortion is highest) is called the core
of the dislocation or dislocation core. The energy due to this stress field is called core energy.
The contribution of this energy towards the total energy is only about 10% and estimated to be
of the order of 0.5 to 1.5 eV. The region outside the core, where the atomic displacement is less
and reduces gradually, gives rise to elastic strain energy, Ee.s.· In this region Hooke's law can
be assumed to hold good.
The energy of a dislocation can be estimated by considering a cylindrical crystal of length,
l with a screw dislocation AB of Burgers vector b along the axis. Assuming a thin annular ring
of radius rand thickness dr in this crystal as shown in Figure 4.2l(a). This is similar to a strip
of thickness dr, circumference 2m- and length l sheared to a displacement of b at one end
[Figure 4.2l(b)]. Hooke's law is assumed to follow in this region of annular ring. The elastic
shear strain Y0z (= rz8) in this annular section of radius r is given as the step height b divided
by the circumference 2m- of the cylindrical element. That is,
@Seismicisolation
@Seismicisolation
z
X
(a)
/
(b)
y
dr
-I I-
I
Dislocation Theory 75
FIGURE 4.21 (a) and (b) Geometrical model for determining shear strain around a screw
dislocation AB.
b
Y0z =-
2-
nr
(4.9)
where, b is the magnitude of Burgers vector b. The corresponding shear stress produced in this
section is given as
Gb
r0 =--=r 8
z 2nr z
(4.10)
From Eqs. (4.9) and (4.10), the energy per unit volume of this annular region becomes,
dE r0zY8z
- = - - -
or
or
dV 2
;~ =(½)(~:J(2:J
;~ =(~)(2:J2 (4.11)
@Seismicisolation
@Seismicisolation
76 Mechanical Behaviour and Testing of Materials
where, G is the elastic shear modulus of the material. The volume of the cylindrical annular
ring is
dV = 2nrl dr (4.12)
Thus, dE =(~)(2!J2
2nrldr
dE =(1~:2)(d:) (4.13)
The total elastic strain energy is obtained by integrating the Eq. 4.13 between the core radius
r0 and R (the external radius of the crystal, if it contains only one dislocation). The central
region around the dislocation radius r0 is referred to as the core of the dislocation. In a real
crystal, a larger number of dislocations exist and R in that case is considered to be half the
average spacing between the dislocations arranged at random. This is because with many
dislocations, the elastic stress field of adjacent dislocations tends to cancel each other. Thus,
Eel$tic(s) =(1
~!2
) ln ( ~) + E0 (4.14)
Equation (4.14) shows that elastic energy in a crystal containing a single dislocation depends
on the size of the crystal. If the lower limit r0 is taken as zero, the energy is tending to be
infinitely large, which is unrealistic as Hooke's law does not hold good. Likewise, if the upper
limit R is taken as infinity, it is also unrealistic because at large values of R, the strain energy
of one dislocation is cancelled by that of other dislocations. Generally r0 is taken as b (= 1nm)
and R is taken as an order of a few µm or more. Core energy E0 (which is very small compare
to total strain energy) and ln (R/r0) is approximated to 4n, the energy of a screw dislocation is
then given as
Ee)$tic(s) =lGb2 (4.15)
Equation (4.15) shows that the elastic strain energy of a screw dislocation is proportional to
its length. Generally, the strain energy of a dislocation is expressed as strain energy per unit
length, i.e. as Gb2• That is, the strain energy per unit length of a screw dislocation is directly
proportional to the square of its Burgers vector. This statement is also valid even if ln (R/r0)
is approximated to 2n by taking r0 =2b and R =2000b.
In case the crystal contains more than one dislocation, the value of R is the average
distance between the dislocations arranged at random, as mentioned above. This means that as
the dislocation density decreases, the value of R and therefore of elastic strain energy of a
dislocation increases.
In case of an edge dislocation, the atoms above the slip plane are in a state of compression
while those below the slip plane are under tension (Figure 4.6) therefore the strain field of an
edge dislocation is not as symmetric as that around a screw dislocation. If vis the Poisson's
ratio then elastic strain energy of an edge dislocation is given approximately as:
@Seismicisolation
@Seismicisolation
Dislocation Theory 17
R
If ln - is approximated as 4Jr, then
ro
(4.17)
or Eelastic(e) =(Gb2
)
l 1-v
(4.18)
If v = 1/3, the energy per unit length of an edge dislocation is about 3/2 that of a screw
dislocation of the same length. Since the energy of both edge and screw dislocations is
proportional to b2, the most stable dislocations are those with shortest Burgers vectors. Such
vectors must lie along close packed directions in a crystal. The relation E ex: b2 is known as
Frank's rule.
4.6.2 Forces on Dislocations
If a crystal is subjected to a sufficiently high
magnitude of stress such that dislocations move and
produce plastic deformation by slip. The work is said
to be done on the crystal through the movement of
dislocations. Under such conditions a force must act
on each dislocation to move it forward. This force can
be determined by considering a dislocation line (the
solid line in Figure 4.22) moving in the direction of
its Burgers vector under the action of a uniform shear
stress. When a small segment of the dislocation line ds
b
moves forward a distance dl, the block of the crystal FIGURE 4.22 Force acting on a
above the slip plane will be displaced or sheared dislocation line.
relative to the block of the crystal below the slip plane. If As is the area of the slip plane, the
average shear displacement produced is given as:
( d:·/l)b (4.19)
The applied force producing the shear stress, r is Asr. If the shear stress displaces the segment
ds to the new position (at a distance dl from the original position as shown by dotted line in
Figure 4.22) and produces slip, then the work done, dW is expressed as:
dW = (Force) x (Average displacement)
i.e.,
@Seismicisolation
@Seismicisolation
78 Mechanical Behaviour and Testing of Materials
dW = rb (ds · dl) (4.20)
Now the force acting on a unit length of the dislocation is defined as the work done when a
unit length of the dislocation moves a unit distance, i.e.,
F= dW
(ds · dl)
(4.21)
F =r b(ds · dl) =r b
ds· dl
(4.22)
Under a given shear stress, the force F is perpendicular to the dislocation line and is same at
every point along the dislocation line (if r is constant, as b is invariant) and is directed towards
the unslipped region of the slip plane.
4.6.3 Line Tension
Every dislocation is associated with a tension which tends to keep it to a minimum length, and
hence, to minimise its energy (in accordance with the relationship, £ elastic oc lb2). This tension
is called line tension. The line tension T, is a vector that acts along the dislocation line. This
is the same as unit tangent vector defined earlier. Thus the line tension may also be defined
as the increase in energy dE per unit length dl, of a dislocation, that is,
dE Gb2
(R)
T =dl =-2- (Approximating 2,r = ln ro for both edge and screw dislocations) (4.23)
Consider the segment ds of a curved
dislocation as shown in Figure 4.23. The
line tension associated with this dislocation
produces a force which straightens the line
and thus reduces the total energy of the line.
The direction of the force is perpendicular
to the dislocation line segment and towards
the centre of curvature. In order to maintain
the dislocation line to be curved a force
must be applied in the reverse direction. Let
r is the shear stress required to produce a
force on the dislocation line which maintain
it curved with a radius of curvature R. Let
b is the Burgers vector of the dislocation
line. The angle subtended at the centre of
curvature is given as:
d0 =ds
R
Dislocation
O~ d 0
R ~ ~
FIGURE 4.23 Illustration of line tension of
a dislocation.
(4.24)
The outward force acting along OP on the dislocation segment ds is given as, r.bds. The inward
force produced by the line tension T and acts at the ends of the dislocation segment ds is
@Seismicisolation
@Seismicisolation
Dislocation Theory 19
2T sin (d0/2). For small values of d0, this force equals Td0. The inward and outward forces
must be balanced in order to maintain the dislocation segment to be curved. Thus,
or
Tds
r-bds=Td0 =-
R
T
r=-
bR
Gb2
(but T = -- from Eq. 4.23)
2
Gb
r=-
2R
(4.25)
(4.26)
This is the force required to bend the dislocation line to a radius R. This also shows the
magnitude of the shear stress required increases as R becomes smaller.
Let us consider a typical case in which the dislocation line bows out between pinning
points such as a pair of precipitate particles which act as obstacles to its gliding (Figure 4.24).
These precipitate particles are not as easily sheared by the dislocation line as the matrix
material, and therefore, they act as obstacles to its motion. The applied shear stress, r produces
a normal force rbl on the dislocation line segment between the pair of particles. This force tends
to bow out the dislocation segment between the pinned points P and Q (Figure 4.24). This force
is balanced by the parallel component of the dislocation line tension T, so that
rbl = 2T sin 0 (4.27)
where l is the distance between precipitate particles P and Q. The shear stress r is given as:
2T sin 0
r=---
bl
(4.28)
From Eqs. (4.23) and (4.28), we get
FIGURE4.24
Gb sin 0
r=---
-rbi
p
0
T
Tsin 0
I· Tbl=2Tsin0
Q
Tsin 0
·I
--- Precipitate
particle
T
(4.29)
Balance of forces when the dislocation under shear stress tends to bow out
between the pair of particles P and Q which act as obstacles.
@Seismicisolation
@Seismicisolation
80 Mechanical Behaviour and Testing of Materials
From Eq. (4.29) the following important conclusions can be drawn:
(i) An increased shear stress is required to bend the dislocation more and more between
the particles (because 0 becomes larger) until the dislocation line becomes
semicircular, at this stage 0 = 90° and r takes the maximum value,
i.e.,
Gb
rmax =-1- (4.30)
(ii) A dislocation which does not offer any obstacle (sin 0 = 0 as 0 = 0°) should be
capable of moving at a negligibly small stress. If it offers obstacles, the shear stress
required to overcome these obstacles increases as l, the interparticle spacing, reduces.
This fact plays a very significant role in strengthening of materials such as
precipitation and dispersion hardening.
A dislocation can avoid such obstacles by changing to another slip plane by processes
such as cross-slip or climb, as discussed earlier.
4.7 FORCES BETWEEN DISLOCATIONS
Forces between dislocations may be attractive type or repulsive type depending on whether the
stress fields of two dislocations cancel or they reinforce (i.e. combine together). Screw
dislocations of opposite sign having the same Burgers vector will attract with a force per unit
length of Gb2/2trr (see Eqs. (4.10) and (4.22)). If these dislocations do not offer any obstacle,
they approach each other and annihilate and leave a perfect lattice. Screw dislocation of the
same kind with same Burgers vector will repel each other with a force per unit length of the
same magnitude. As edge dislocations have unsymmetrical stress field therefore a number of
different interactions can occur between parallel edge dislocations. Such interactions are
discussed taking different situations.
Situation I: Two parallel edge dislocations having same sign rest on the same plane:
If these dislocations are separated farther apart [Figure 4.25(a)] so that they behave as
isolated dislocations, the total elastic strain energy of these dislocations will be given as the sum
of the energy of individual dislocation (assuming that the dislocations are of unit length),
i.e., Eel~tic ={4:i~V)} ln ( ;:) (4.31)
Here r1 is some distance away from the dislocation core of radius r0•
When dislocations are very close together [Figure 4.25(b)], they can be considered
approximately as a single dislocation of strength 2b and the elastic energy will be given as:
E -{ G(2b)2 } l (-2-)
el~tic - 41r(l -v) n ro (4.32)
This energy is twice that of the dislocations when they are separated at a large distance
[Eq. (4.31)]. Thus, dislocations will tend to repel each other in order to reduce their total elastic
energy. The increase in energy ~E is given as:
@Seismicisolation
@Seismicisolation
Dislocation Theory 81
b b
- r -- Repulsion
---- -- __l_ -- - -- -- - -- -- _j__ - -- ______s!~----- -- -- _j__ ____ -- __l_ __ ---- --
..L ..L plane ..L ..L
. Gl
Repulsive force = 2n(1 _ v) r
(a) (b}
FIGURE 4.25 Interaction of edge dislocations: (a) Two like dislocations rest on the same slip
plane and are far apart (r is large); (b) Two like dislocations when close together,
they experience a force of repulsion.
(4.33)
The rate of change of energy with distance gives the force of repulsion, F(R) between the
dislocations, that is,
or
F(R) = d (6.E) = (~) [{ Gb2 } ln (l_)]
dr dr 2n- (1 - V) r0
Gb2
F(R)=+----
2n-(1-v)r
(4.34)
Situation II: When the dislocations of opposite sign having equal but opposite Burgers vector
rest on the same slip plane:
These dislocations attract each other [Figure 4.26(a)]. As they approach each other, the
extra half planes of atoms combine thereby resulting in annihilation of dislocations
[Figure 4.26(b)]. The elastic energy associated with the pair of dislocations is also released, i.e.
the total energy of the system gets reduced. The elastic energy per unit length of an edge
dislocation is given as,
Eel~tic ={47r~:~v)}ln (~) (4.35)
As two dislocations are eliminated, the decrease in energy 6.E is given as:
6.£ -{ 2Gb
2
} ln (l_)-{ Gb
2
} ln (l_)
4n-(1-v) r0 2n-(1-v) r0
(4.36)
@Seismicisolation
@Seismicisolation
82 Mechanical Behaviour and Testing of Materials
- - - Attract each other
- -
b b
2
Attractive force = 2;~~ v) r
(a)
Slip
plane
p
(b)
FIGURE 4.26 Interaction of edge dislocations: (a) Dislocations of opposite sign rest on the same
slip plane and attract each other, (b) Dislocations are annihilated and leaving perfect
lattice.
The force of attraction is obtained by taking derivative of this change in energy with r, that is,
F(a) = -(!!_)M = -(!!_){ Gb
2
} ln (~)
dr dr 2Jr(l -v) r0
-Gb2
F(a)=---
2Jr(l-v)r
(4.37)
Situation Ill: When parallel edge dislocations of the same sign rest on different slip planes:
With this type of arrangement the dislocations may either repel or attract each other
depending on the angle between the slip direction and the line joining them. If this angle is less
than 45°, they will repel each other [Figure 4.27(a)], i.e., the force acting between dislocations
is opposite type. The distance of separation between the dislocations also increases with
decrease of the angle below 45°. If, on the other hand, the angle is greater than 45° they will
attract each other [Figure 4.27(b)]. At an angle 45°, the distances x and y are equal and the force
y
0< 45°
_________,___________ x
- Repel each other -
(a)
y
0 > 45°
_ _ .. . ._ _j__ _ _ _ _ _ _ _ x
------- Attract each other ----
(b)
FIGURE 4.27 Interaction between two edge dislocations of the same sign rest on parallel slip
planes: (a) Dislocations repel each other, (b) Dislocations attract each other. 'x' is
the direction of slip.
@Seismicisolation
@Seismicisolation
Dislocation Theory 83
acting between the dislocations is zero. As the angle approaches 90°, where x becomes zero,
the dislocations aligned vertically as an array. This results in the formation of a low angle tilt
boundary. In this case the tensile stress field of one dislocation is compensated by the
compressive stress field of the vertically lower dislocation. The force between dislocations is
zero. This is the most stable configuration in which like dislocations are aligned vertically above
one another.
Situation N: Two parallel edge dislocations of opposite sense instead of lying on the same
slip plane, lie on nearby planes [Figure 4.28(a)] and [Figure 4.29(a)]:
Such dislocations tend to attract each other and annihilate leaving behind either a row of
vacancies [Figure 4.28(b)] or a row of interstitialcy atoms [Figure 4.29(b)].
Attract
Row of vacancies
b
----- I
V
I
V
I
_[_
T
d
I
 I
b
(a) (b)
FIGURE 4.28 Interaction of edge dislocations of opposite sign lying on nearby planes: (a) Attraction
between dislocations, (b) Annihilation of dislocations with creation of a row of
vacancies.
- - - Attract - - -
b
I 
T
_L
---
b
(a)
lnterstitialcy atoms


'
N
I
(b)
FIGURE 4.29 Interaction of edge dislocations lying on parallel slip planes: (a) Attraction between
dislocations, (b) Creation of interstitialcy.
In general, the magnitude of forces between parallel dislocations, whether of the same sign
or opposite, are calculated and expressed in terms of polar coordinates. The radial force (per
unit length) component (Fil), for both edge and screw dislocations is given as:
@Seismicisolation
@Seismicisolation
84 Mechanical Behaviour and Testing of Materials
(4.38)
The angular force (per unit length) component (Fll)8 (i.e. the tangent force component) is zero
for screw dislocations (as screw dislocations have only radial stress field) and for edge
dislocations it is given as:
(4.39)
G
where, C is equal to G/2,r for screw dislocations and ---- for edge dislocations. 0 is the
2tr(l - V)
angle between the slip plane and the line joining both the dislocation lines and r is the distance
of separation of the dislocation lines (Figure 4.30). It is apparent from Eq. (4.38) and Eq. (4.39)
that the force is proportional to the dot product of the two Burgers vectors. The force of attraction
or repulsion increases with decreasing r, as the case may be (see Eqs. (4.34) and (4.37)).
Y•I
I
I
I
I
I
I
I
I
I
,
,
,
,
,
,
,
,
,
,
,
,
,
,
,
,
,,
,' r
0
,
,
,
,z
,
,
,
b
--------------------------►
Q X
(a)
z
(x, y)
r
0
(b)
X
FIGURE 4.30 Interaction between: (a) Edge dislocations, one at O and other at (x, y). z axis is
the dislocation line, (b) Screw dislocations the Burgers vectors of which are
assumed to be parallel to z-axis. xz is the slip plane.
4.8 UNIT DISLOCATIONS AND PARTIAL DISLOCATIONS
It has been discussed that Burgers vector always connects one equilibrium position to next and
its magnitude I b I is equal to an interatomic spacing determined by the crystal structure. This
must be the same as a slip step created after the dislocation has moved and arrived to the
surface. Thus b is a lattice vector and I b I is equal to one lattice spacing, since this is the
smallest amount of slip which leads to a final configuration in the crystal which is the same
as the initial one. According to Frank's rule (E oc b2), the energy associated with a dislocation
should be minimum for the shortest Burgers vector. Thus the most energetically favourable and
therefore the most common Burgers vectors will be the shortest vectors that connect equivalent
lattice positions in a crystal lattice. The result is that in simple crystal structures, the Burgers
vectors lie in the close packed direction. A dislocation with its Burgers vector equals one lattice
spacing (lattice constant) is called a Unit dislocation. It is a dislocation with unit strength just
@Seismicisolation
@Seismicisolation
Dislocation Theory 85
as in a simple cubic structure. In simple cubic structure the smallest lattice vector is equal to
a. The close packed direction in which this vector lies is [l 0 0]. Thus, the Burgers vector of
the dislocation in simple cubic structure is a[l 0 0]. The strength of Burgers vector a[l 0 0] is
given as a[l2 + 02 + 02] 112 = a[unit], i.e. the Burgers vector of the dislocation in simple cubic
structure has a strength of unity. In general, if the Burgers vector of a dislocation is a[u v w],
its strength or magnitude is given as a[u2 + v2 + w2] 112•
A unit dislocation of the type observed in simple cubic structure is also called a perfect
or total (full) dislocation because translation equal to one Burgers vector produces identity
translation. For a perfect dislocation, there is perfect alignment of atom planes above and below
the slip plane within the dislocation loop. A dislocation, while passing through the crystal, shifts
only by a fractional amount to a lattice site which is not the equilibrium lattice site, is called
a Partial dislocation or Imperfect dislocation as its Burgers vector is a fraction of a lattice
translation. Such a dislocation while moves, leaves an imperfect area behind it which has a fault
in the stacking sequence of atoms. A dislocation may dissociate into two partial dislocations
coupled through a stacking fault if the sum of energy associated with partials is lower than the
elastic energy of the original single dislocation.
4.8.1 Dislocations in FCC, BCC and HCP Crystals
In FCC structure, the shortest vector joining equivalent lattice positions occurs in the close
packed directions and these correspond to one half of any face diagonal. The notation of such
a vector is (a/2) (1 1 0). The strength of such a Burgers vector is given as:
~[12 + 12 + 02]1/2 = (~)✓
2 = _!!__
2 2 ✓
2
Similarly, in BCC crystal, the Burgers vector is half of any body diagonal, i.e. of (a/2) (1 11)
type. The strength of this vector is given as:
~[l2+12+l2]112 or ~✓
3
2 2
In HCP crystal, the close packed direction is of the type (1120) and the shortest vector joining
equivalent lattice position must lie in this direction which is corresponding to one third of any
(11 2 0) direction vector, i.e. it is (a/3) (11 2 0).
Dislocation reactions
Two dislocations approaching each other may react to form a new dislocation if the energy of
the product dislocation is less than the sum of the energies of the reacting dislocations. If b1
and b2 are the Burgers vectors of the reacting dislocations and b3 is the Burgers vector of the
product dislocation, applying Frank's criterion the reaction will be favoured if,
(4.40)
Similarly, a dislocation with Burgers vector b1 can dissociate into a pair of dislocations having
Burgers vectors b2 and b3 , provided that
@Seismicisolation
@Seismicisolation
86 Mechanical Behaviour and Testing of Materials
(4.41)
Thus, using the Frank's criterion one can determine whether a dislocation reaction will occur
in the forward direction.
4.8.2 Dislocations and their Reaction in FCC Crystals
It has already been stated that slip planes in FCC crystals are of the kind {1 1 1}. Two such
planes, one on top of the other are shown in Figure 4.31. The darkened circles represent the
close packed (1 1 1) plane designated as A plane. Let the extra half plane of edge dislocation
runs from below and ends on this plane (i.e. the edge dislocation is negative one). White (open)
circles represent the atoms in the plane next to A plane. Let this plane is close packed B plane.
It can be noted that a zigzag row of atoms is missing in the B plane. This corresponds to the
missing plane of edge dislocation. In fact, this must be the edge dislocation line. Now consider
the atoms in B plane and to the left of the edge dislocation. The movement of atoms of this
plane through the horizontal displacement b results in dislocation shift by a unit to the left. The
vector b thus represents the Burgers vector of the dislocation which is represented as .!_[T 10].
2
This is a perfect dislocation in FCC crystal lattice and rests on (1 1 1) plane.
A-plane of atoms
B-plane
of atoms C-positions
FIGURE 4.31 Atomic model representing a unit edge dislocation in a face-centred cubic crystal
as viewed when looking down on the slip plane.
A dislocation of the type shown in Figure 4.31 does not normally move in the simple
manner as represented by arrows in this figure and from BI to B2 in Figure 4.32(a). The atoms
in plane A offer more resistance to this direct movement of B atoms from BI to B2 positions
as this creates lot of volumetric distortion in the lattice. The process involves each B atom in
the slip plane to be forced to climb over A atoms below it and to its right (Figure 4.31). It is
believed, on the other hand, that it would involve less lattice distortion if BI atoms make
movements to B2 positions in two steps. In step (1) BI atoms move to C positions through
vectors c and in step (2) subsequently the same atoms move from C positions to B2 positions
through vectors d (Figure 4.33). However, when a row of atoms move to C positions via first
step (Figure 4.33), the original Burgers vector (a/2)[110] is said to be broken up into a pair
of partial dislocations. Thus, the isolated single zigzag row of atoms has an incomplete (or partial)
@Seismicisolation
@Seismicisolation
/,,,....-,
A-atoms ------1 K ,,_-+----~--+---~-

,_
X
[O 11J
/
I
 M ;
, __ .,. M
(a)
y
(1 O1J
Dislocation Theory 87
KLM is the triangle
connecting ·~ atoms
[1 1 OJ ---~
(--c---+--~----------,-~~f----+--~ [11 OJ
' _,,1
[1 O1] (0 11]
(b)
1 - ➔
Vector KO =2 (1 1 OJ =b
1 -
Vector KN= 2 (0 1 1J
1 - -
Vector KP= 2 (1 2 1J
1 ➔ ➔
Vector B1C = 3 KP= c
➔ 1 - -
B1C = 6 (1 21J
FIGURE 4.32 Illustration of the dissociation of a unit dislocation into partials in a face-centred
cubic lattice.
B-positions
FIGURE 4.33 Illustration of partial dislocations in a face-centred cubic lattice. Vectors c and d are
the Burgers vectors of partial dislocations. Vector c is the same as B1C and vector
d is the same as CB2, respectively, in Figure 4.32.
@Seismicisolation
@Seismicisolation
88 Mechanical Behaviour and Testing of Materials
dislocation on either side of it. The Burgers vectors of these partial dislocations are shown as
vectors c and d in Figure 4.33. To find out the vector notation of these partials, consider
Figure 4.32. This figure shows (11 1) close packed plane in the unit cell of FCC crystal. The
arrangement of atoms on this plane is indicated by dotted circles. Let these atoms are in A
positions in the unit cell. The sites that would be occupied by atoms in the next plane (i.e. above
A plane) are shown by small circles marked by B letters inside them. At the centre of the
triangular plane (1 11) is the site for C plane atoms in the stacking sequence
....ABCABCABC.......The Burgers vector of the total dislocation equals the distance B1B2,
while the Burgers vectors c and d of partial dislocations shown in Figure 4.33 are the same as
the distances B1C and CB2 in Figure 4.32(a). The Burgers vector of the total dislocation is
(a/2)[110]. The line KP [Figure 4.32(b)] lies along the vector [121] (the vector sum of
[0 1 1] and [11 0]) and is half the magnitude of this vector. Since B1C is one-third of the
line KP, the Burgers vector of this dislocation is, thus,
~[121]
6
In the similar manner, the vector CB2 can be represented as
~ [211]
6
Thus, the total dislocation (a/2)[11 0] is able to dissociate into a pair of partial dislocations
in according to the reaction:
a- a-- a-
-[110] ➔ -[121]+-[211]
2 6 6
(4.42)
When a total dislocation dissociates into a pair of partial dislocations, the strain energy must
decrease. This can be verified using the Frank's criterion [as given in (Eq. 4.41)]. The
magnitude of the Burgers vectors in Eq. (4.42) are as follows:
~ [I2 + i2 + 02]1/2 ➔ ~ [I2 + 22 + I2]1'2 + ~ [22 + i2 + 121112
2 6 6
a a a
or -➔ -+-
✓
2 ✓
6 ✓
6
Let us find out the square of Burgers vectors and substitute in Eq. (4.41) (according to Frank's
rule),
or
or
a2 a2 a2
->-+-
2 6 6
a2 a2
->-
2 3
(4.43)
@Seismicisolation
@Seismicisolation
Dislocation Theory 89
Since the sum of the energies of the partial dislocations is less than the energy of the total
dislocation, the reaction shown by Eq. (4.42) is energetically favourable and the perfect
dislocation must split up into a pair of partial dislocations. Since the partial dislocations shown
in Figure 4.33 represent approximately equal lattice strains and both of them have edge
character they move successively through the crystal and together cause the same displacement
which the movement of the original undissociated dislocation would have achieved. They are
referred to as glissile partial dislocations. As these partial dislocations are of the same sign and
rest on the same slip plane, they repel each other. As a consequence they separate out leaving
behind a stacking fault region in between them. The energy which is released in dissociation
of perfect dislocation into a pair of partial dislocations is supplied to create this stacking fault.
This energy is called stacking fault energy. The stacking fault region represents a part of the
crystal which has undergone slip intermediate between full (unit) slip and no slip (Figure 4.34).
The pair of partial dislocations along with the stacking fault ribbon in between is called
extended dislocation. It is important to note in Figure 4.34 that the atoms represented by open
circles in the region between the partial dislocations are in C positions while those on either side
of partial dislocations are in B positions in the stacking sequence .....ABCABCABC ...., i.e., in
the region between pair of partial dislocations, the normal stacking sequence
...ABCABCABC ...of FCC lattice suffers a discontinuity and becomes A ICABCA .... The
vertical line indicates the discontinuity. Discontinuities in stacking of {1 1 1} planes, are called
stacking faults. The stacking sequence AC in the SF region is the characteristic of HCP crystal
Partial dislocation
Extended
dislocation
Stacking
fault
region
---+--.. !(f 1 OJ
Fully slipped No slip
FIGURE 4.34 An extended edge dislocation comprising partial dislocations coupled with stacking
fault region.
@Seismicisolation
@Seismicisolation
90 Mechanical Behaviour and Testing of Materials
structure. The local HCP region in a normal FCC crystal structure has a higher energy,
therefore stacking fault has a higher energy. This energy is the stacking fault energy (SFE)
as mentioned above. The partial dislocations on either ends of stacking fault region are called
Shockley partial dislocations. Since stacking fault region is a surface, the SFE is a surface
energy and it functions like a surface tension which tries to pull the Shockley partial
dislocations together so as to reduce stacking fault region and hence the energy associated with
it. On the other hand, the force of repulsion which always acts between Shockley partial
dislocations tends to separate them apart. Ultimately the force of attraction and repulsion are
balanced with an equilibrium spacing d5 , between partials depending on the SFE. Thus, the
equilibrium spacing d5 is expressed as,
d =G(b1 · b2)
s 24,rys
Gb2
d =--
s 24,rys
(4.44)
It is evident from Eq. (4.44) that the lower the SFE (Ys) the wider is the stacking fault region.
Since the atomic planes above and below the stacking fault surface are elastically strained, the
stacking faults are coherent interfaces and their energies are less than that of grain boundaries.
SFE is found to be lowered by solid solution alloying. For instance, in case of Cu-Zn alloys
it is found that SFE of copper decreases with increased amount of zinc.
SFE plays a vital role in the plastic deformation of metals. An undissociated screw
dislocation is capable of gliding from one valid plane to another. However, an extended screw
dislocation, owing to its edge character, can move only on the plane containing the stacking
fault. The partial dislocations tend to move as a unit maintaining the equilibrium ribbon width.
Thus the process of cross-slip becomes difficult for an extended screw dislocation. In order such
an extended screw dislocation to change slip plane, its partial components must first be
recombined. That is, a constriction must form in the dissociated screw dislocation and then the
unit dislocation at the constriction will be free to cross-glide on to intersecting slip plane. A
constriction in an extended screw dislocation is illustrated in Figure 4.35. A certain amount of
Partial dislocations
Extended dislocation
(a)
Extended dislocation
containing constriction
(b)
Constriction
FIGURE 4.35 Illustration of a constriction taking place in an extended dislocation.
@Seismicisolation
@Seismicisolation
Dislocation Theory 91
energy is involved in the process of recombination of partials of screw dislocation. Both stress
and thermal energy assist the process of constriction in the extended screw dislocation. At
ordinary temperatures, a greater magnitude of stress is required for constriction in extended
screw dislocation to take place. Thus, in metals such as Cu, Au and Ag, which have lower
stacking fault energy and a wide stacking fault ribbon, cross-slip is difficult as constriction is
difficult. The SFE of copper is about 40 ergs/cm2 and the width of the stacking fault ribbon is
of the order of Sb, the cross-slip in Copper is difficult. Cross-slip in Cu can occur in the region
where stress concentration arises due to pile up of dislocations or by some other means. In
metals such as Al, where SFE is very high, the width of the stacking fault ribbon is about one
interatomic spacing, i.e. of the order of b, constriction can occur at low magnitude of stress.
Therefore, cross-slip is easy in Aluminium. The SFE of aluminium is about 200 ergs/cm2•
4.8.3 Frank Partial Dislocations
In addition to Shockley type partial dislocations, another type of partial dislocations observed
in FCC crystals are the Frank partial dislocations. Geometrically the Frank partial dislocations
can be formed by inserting or removing one close packed plane of atoms from the stacking
sequence ....ABCABCABC...... as illustrated in Figure 4.36(a-c). Removal of layer of atoms
results in a stacking sequence ABC IBCA [Figure 4.36(b)]. The boundary between the fault and
the perfect crystal is a partial dislocation, the Burgers vector of which is perpendicular to the
plane of the fault. The strength of this Burgers vector equals the change in spacing produced
by one close packed layer, i.e. (a/3)[1 1 l]. {Since the plane of fault is of the kind (1 1 1)
and the vector perpendicular to it is obviously [l 1 l] i.e. from one A plane to next A plane
through the planes B and C in the stacking sequence ABCA. The magnitude of dislocation from
close packed A plane to B plane becomes (1/3) [l 1 l]. In terms of lattice parameter, the
a
Burgers vector is given as 3[111] }.
Thus, the Frank partial dislocation is an edge dislocation since its Burgers vector is
perpendicular to the plane of the fault. Now since the Burgers vector of Frank partial does not
lie in a close packed plane, it can not glide conservatively under the action of the applied stress.
Such a dislocation is said to be Sessile. A sessile dislocation, however, can move by the process
of climb (i.e. by non-conservative movement). Dislocation climb results in either the expansion
A
A
A A
A
A A
A
A
C
C
C C
C
C C
C
C
~ B
B
B
B~ B ~ B B B ::
A .....
A lllTC'")
A
A A=. A-------i □□□□□ A - - A = .
C B ..-IN
C
~ l C ~ C
l
I- -l
B
B
B
B
B c ~ c
l
A A
B B B
A A A A
A A A
(a) (b} (c)
FIGURE 4.36 Formation of Frank partial dislocation.
@Seismicisolation
@Seismicisolation
92 Mechanical Behaviour and Testing of Materials
or the contraction of the dislocation loop. In contrast to Frank partial dislocation, a unit
dislocation or Shockley partial dislocations can glide freely on the slip plane if they do not
offer any obstacles. These dislocations are referred to as Glissile dislocations.
A close dislocation loop of Frank partial can be produced by the collapse of a disc of
vacancies on a close packed plane. An excess of vacancies can be produced by rapid quenching
of an FCC material. These non-equilibrium quench in vacancies may cluster in the form of a
disc on a close packed plane. If this disc is large enough, it is energetically favourable for it
to collapse and produce a dislocation loop around outside [Figure 4.36(b)]. By convention this
is called a negative Frank sessile dislocation. A positive Frank sessile dislocation may be
produced by the precipitation of a close packed disc of interstitialcy atoms on one of the {1 1 1}
planes, [Figure 4.36(c)]. As a consequence, a new plane is added in the normal stacking
sequence of atomic planes. In this case also, the neighbouring atomic planes bend and edge
dislocation with Burgers vector equals (1/2) [l 1 l] is produced. This leads to stacking of
atomic planes as ABCBABCA. This clearly indicates a fault in the stacking sequence. Since the
edge dislocation is opposite in sense to Frank partial dislocation sited above, this Frank partial
edge dislocation is called Positive Frank sessile dislocation. A sessile dislocation acts as an
obstacle to the free glide of other dislocations.
4.8.4 Lomer-Cottrell Dislocations
Sessile dislocation in FCC crystals can also be produced when two parallel moving dislocations
meet and react at the intersection of the slip planes. Figure 4.37(a) shows two such parallel
dislocations (a/2) [1 I 0] and (a/2) [0 1 l] moving, respectively, on a pair of (1 1 1) and (1 I 1)
planes in an FCC crystal. The orientation of these planes in the crystal lattice is shown in
Figure 4.37(b). The unit dislocations dissociate into partial dislocations according to the reaction
shown in Table 4.2.
TABLE 4.2 Dissociation of perfect dislocation into partial dislocations on (1 1 1) and (1 11) planes
Plane
(1 1 1)
(1 T1)
Perfect dislocation
~[11 O]
2
~[O 11]
2
Leading
~[121]
6
~ [121]
6
Partial dislocations
Trailing
+ ~[2 TT]
6
+ ~ [112]
6
The leading partial dislocations may then meet at the intersection of the slip planes and
react to produce a new dislocation in accordance with the following equation:
a - a a
-[121] +-[121] ➔ -[10 l]
6 6 3
Applying Frank's rule, we get,
@Seismicisolation
@Seismicisolation
Intersection : [10 1]
'''
Dislocation Theory 93
,.r ocatiof
rno'on  Direction of .
d1s/ocat·
. o ulS
Oirect1on
Undissociated
dislocation
f[O 11]
Dissociated
dislocations
ion rnotion
Leading: i[1 2 1]
Dissociated
dislocations
Leading: i[1 21]
X
Trailing
partials
L
(a)
z
(b)
[1 0 1]
Dislocation
Pile up
Lomer-Cottrell
dislocation
(c)
Undissociated
dislocation
f[110]
FIGURE 4.37 Formation of Lomer-Cottrell sessile dislocation: (a) Motion of dissociated
dislocations on intersecting slip planes (1 1 1) and {111 ), (b) Relative orientation
of the intersecting planes in (a), and (c) Combination of leading partial dislocations
to form sessile dislocation.
@Seismicisolation
@Seismicisolation
94 Mechanical Behaviour and Testing of Materials
Thus the above reaction is energetically favourable. The new dislocation lies along a face
diagonal of the unit cell [Figure 4.37(b)] and its Burgers vector (a/3)[1 0 l], also lies in the
cube face. Since the Burgers vector is perpendicular to the dislocation line, the new dislocation
is edge in character. Now, since both the dislocation line and its Burgers vector lie in the plane
(0 I 0), the dislocation can move only on this plane. However, the plane (0 I 0) is not an active
slip plane in FCC crystals at normal temperatures. Therefore the new dislocation (a/3)[1 0 l]
is a sessile dislocation. This sessile dislocation is commonly called Lomer-Cottrell sessile
dislocation. Figure 4.37(c) shows the trailing partial dislocations on respective slip planes and
the subsequent dislocations pile up behind the Lamer-Cottrell barrier through stacking fault
region. As a consequence a greater magnitude of stress is required to push additional
dislocations into the pile up.
4.9 PEIERLS-NABARRO STRESS AND DISLOCATION WIDTH
Peierls and Nabarro (P-N) stress is the lattice frictional stress which a dislocation must
overcome in order to displace from one position to next. The magnitude of P-N stress depends
mainly on two factors: (1) the periodicity of atoms, and (2) the width W, of the dislocation.
The P-N stress is low on close packed planes and in close packed directions. Thus P-N stress
is greatly dependent on the type of crystal structure. The dependence of P-N stress on the
dislocation width and its Burgers vector is evident from the following relationship,
-2n-W
'l'p_N oc G exp --b- (4.45)
where, 'l'p_N is the shear stress required to move a dislocation, G is the shear modulus, w is the
width of the dislocation and bis the magnitude of Burgers vector. The width w is related to the
spacing a, between the slip planes according to the following relationship:
a
W=--
1-v
(4.46)
where, v is the Poisson's ratio. Because of the exponential form of relationship between
'l'p_N and W, the P-N stress is a very sensitive function of width of the dislocation and the
Burgers vector.
The width of a dislocation is a measure of the distance on either side of the dislocation,
up to which the stress-relaxing displacements are appreciable, i.e., the atoms on either side of
the dislocation line are displaced elastically from their equilibrium positions. A dislocation is
said to be wide, if the extent of elastic distortion on either side of the dislocation is appreciable
and more evenly distributed among the bonds around it. As a result arises some compression
above and some tension below the edge of the extra half plane as shown in Figure 4.38(a).
In this case the dislocation is said to be relaxed. If there is no relaxing displacement of atoms
in the adjacent planes surrounding the dislocation region, the dislocation is said to be narrow
and stiff as shown in Figure 4.38(b). In this case the bond lengths are normal around the
dislocation except in the region below the extra half plane, where the bonds are virtually
broken.
@Seismicisolation
@Seismicisolation
(Wide)
(a)
(Narrow)
(b)
Dislocation Theory 95
FIGURE 4.38 Width of the dislocation: (a) Wide dislocation, (b) Narrow dislocation.
When a wide dislocation moves, the adjustments that take place in the bond lengths in the
dislocation region are distributed over a number of bonds in that region, but the change in any
one bond length is small. The motion of a narrow dislocation, on the other hand, involves the
movement of the row of atoms below the slip plane through a distance equal to almost one full
interatomic distance. Therefore, narrow dislocations are more difficult to move than wide
dislocations. This is also evident from Eq. (4.45). For a dislocation of width equals zero, the
stress required to move it is very high (equals G) and approaches to that required to deform a
perfect crystal. As the width of a dislocation increases, there is rapid decrease in rP- N and this
stress becomes negligibly small when dislocation width becomes lOb (i.e. at rP- N = G/1027).
Thus, as the width of a dislocation decreases it becomes more and more difficult to move it.
The width of a dislocation, however, depends greatly on the crystal structure and the
nature of bonding forces (Table 4.3). When the bonding forces are very strong and highly
directional (as in case of covalent crystals), the dislocations contained by them are very narrow.
As a consequence the rP- N required to move such a narrow dislocation is very high. The
application of tensile stress on covalent crystals usually results in brittle fracture by crack
propagation, before the stress required to move a dislocation is reached. Hence covalent crystals
such as silicon and diamond are brittle. They do not display any plastic deformation.
TABLE 4.3 Dependence of P-N stress, rP-N on dislocation width
Width, W 0
G
b
G
400
5b
G
1027
@Seismicisolation
@Seismicisolation
96 Mechanical Behaviour and Testing of Materials
In ionic crystals, though the bonds are non-directional but are of moderate strength. The
dislocations in ionic crystals are narrow. This suggests that the rP- N for ionic crystals is
relatively lower than that for covalent crystals. Yet, almost all of the ionic crystals show brittle
behaviour. This can further be correlated to the large magnitude of Burgers vector in ionic
crystals. Simple ionic crystals may show some plastic deformation when they are properly
oriented with respect to the applied shear stress (Figure 4.39).
~0 0 0 0 0 0
0 0 0 0 0 0~
(a)
0 0 0
0 00
/r (b)
FIGURE 4.39 Slip process in NiO crystal. Only two rows are shown: (a) Slip is not possible in
the direction of shear stress, (b) Some amount of slip is possible in the direction
of shear stress.
In case of typical metallic crystals, such as Cu and Al, the bonds are predominantly non-
directional but are not as strong as in ionic or covalent crystals. Consequently, the dislocations
are wide and the Peierls-Nabarro stress is low. Because of the low value of rP- N, these crystals
exhibit a considerable amount of plastic deformation and are therefore said to be ductile. The
close packed atomic planes and directions in FCC and HCP crystals also aid to low value of
rP- N in these materials. Most transition group metals such as Fe, V, Mo, W, Ta, Nb, etc. exhibit
some covalent characteristic due to 'd'-orbital bonding which is directional in nature. Therefore,
these metals with BCC structure have relatively narrow dislocations and thus exhibit more
hardness but less ductility than metals with FCC structure. The transition group metals sited
above can not be cold worked to the same extent as metals with FCC structure.
4.10 DISLOCATION MULTIPLICATION
It is shown above that dislocations in a crystal move under the influence of shear stress and get
disappeared after arriving to the surface. In an annealed crystal, the density of dislocations
usually ranges from 1010 to 1012 m-2 (106 to 108 cm-2) . Under the action of shear stress it
appears that all the dislocations will get eliminated by reaching to the surface. However,
experimental observations show an entirely different picture. The density of dislocations is
observed to increase by an order of 2 to 4 in magnitude depending on the extent of deformation
@Seismicisolation
@Seismicisolation
Dislocation Theory 97
of the crystal. In a heavily deformed crystal, this density is found to be as large as 1016 m-2•
This suggests that there must be some source within the crystal which operates and produces
new dislocations during plastic deformation. One such source is popularly known as Frank-
Read Source, after the name of the originators F.C. Frank and W.T. Read. Frank-Read source
is the most widely accepted mechanism for generation of dislocations. Let us discuss how a
Frank-Read source operates.
Suppose XY is a line segment of a dislocation line lying on the slip plane in a crystal,
as illustrated in Figure 4.40. This line segment is associated with a line tension showing a vector
t, which tends to keep the dislocation line to its minimum length XY. The points X and Y of
the line segment are immobile under the influence of shear stress because they are pinned up
either by other solute atoms, second phase particles, by intersection with other dislocations or
by dislocations of opposite kind lying on other planes in the crystal. These points X and Y are
therefore said to be the nodal points of the dislocation segment. When a shear stress r is applied
rb
X • b ! ' eY
x'v JY
r b ' ~ r b
Stage 2
rb
rb
Stage 4
rb
rb
rb
x~ . ,/Y
rb~rb
Stage 1
X y
Stage 3
rb
X ~ Y
0 · 1 . /
1s ocat1on
rb
loop
Stage 5
rb
rb
FIGURE 4.40 Frank-Read source of dislocation multiplication showing various stages in the
generation of dislocation loop. b represents Burgers vector of the dislocation
segment XY of length I and rb is the force on dislocation.
@Seismicisolation
@Seismicisolation
98 Mechanical Behaviour and Testing of Materials
parallel to the slip plane, the dislocation segment XY bows out with a radius R between the
anchoring points instead of moving away and takes up in succession the forms denoted by
stages 1, 2, 3, 4 and 5. Stage 1 shows the beginning of bowing of the dislocation line with a
radius R. The radius R is given as:
(4.47)
As the dislocation bowing increases with increasing applied stress, R decreases to the point
where it becomes half the pinned segment l, i.e. where the line segment XY becomes a
semicircle (stage 2). At this point the dislocation loop becomes unstable and with the further
increase in stress it begins to bend around itself on the back side (stage 3). The critical stress
necessary to produce this instability is given by,
Gb
'f==-
l
(4.48)
As the bowing out continues, a situation will reach where the dislocation segment at points P
and P' are screw in nature as the unit tangent vector tis parallel and anti-parallel, respectively,
at these points (stage 4). The oppositely signed screw dislocation segments attract each other
and as the loop expands they eventually meet and annihilate each other. This results in the
formation of a closed dislocation loop (stage 5, Figure 4.40) and a new dislocation XY. This
process repeats until the dislocation loops produced get piled up at some obstacle and a
sufficiently large back stress is developed to oppose the applied stress.
4.11 DISLOCATION INTERSECTION
It has been stated that an annealed crystal contains a large number of dislocations. Thus every
slip plane will be threaded by dislocations and a dislocation moving in the slip plane under an
applied stress, will have to intersect the dislocations crossing it in the slip plane. The latter are
known as forest dislocations. These forest dislocations provide barriers to the gliding
dislocations. Now the ease with which slip occurs will depend to a large extent, on the way the
gliding dislocations overcome these barriers. Since the dislocation density in a crystal, increases
with increasing strain, the intersection processes affect the rate at which the crystal work
hardens as it is strained.
In general, intersection of two dislocations results in the formation of a jog in one or both
dislocations equivalent to Burgers vector, as a result the lengths of the dislocation lines are
increased and hence the energy. Thus, the intersection of dislocations involves expenditure of
additional energy. In addition, movement of jogged dislocations in the crystal is more difficult
than dislocations having no jogs.
There are many possible combinations of dislocation intersection such as edge-edge,
screw-screw or edge-screw dislocations. The simplest of these is the intersection of two edge
dislocations lying on planes perpendicular to each other and having Burgers vector
perpendicular to each other as illustrated in Figure 4.41. This figure shows that the edge
dislocation AB with Burgers vector b1 is moving on its slip plane PAB [Figure 4.4l(a)] and
after intersecting the edge dislocation CD having the Burgers vector b2, it introduces a jog EF in the
@Seismicisolation
@Seismicisolation
Dislocation Theory 99
L
(a) (b)
FIGURE 4.41 Intersection of edge dislocations having Burgers vectors at right angles to each
other: (a) Dislocation line AB moving on the plane PAB is about to cut dislocation
line CD, (b) A jog EF is produced in the dislocation line CD after intersection.
latter [Figure 4.4l(b)]. The jog EF is parallel to b1 and its length is also equal to b1, but its
Burgers vector is the same as that of the dislocation line CD as it is a part of the dislocation
line CD. Clearly the jog EF is edge in nature and is capable of gliding in the plane KLMN with
the rest of the dislocation line CD. Thus the jog EF is called a glissile jog (i.e. able to glide).
A jog is produced in the line CD since it is perpendicular to the Burgers vector b1 of dislocation
line AB. On the other hand, no jog is produced in the line AB as it is parallel to the Burgers
vector b2.
Figure 4.42 illustrates the formation of jogs when two perpendicular edge dislocations
with parallel Burgers vector intersect each other. Jogs are formed in both the dislocation lines
AB and CD as both the lines are perpendicular to the Burgers vectors b2 and bi, respectively.
The jogs PP' and QQ' are screw in nature. Both the screw jogs have greater mobility than the
edge dislocation to which they belong and therefore their presence does not impede the overall
motion of dislocations. Thus the jogs formed due to intersection of edge dislocations will not
affect the movement of dislocations.
Figure 4.43 illustrates the intersection of an edge dislocation (XX') and a screw
dislocation (YY'). After intersection a jog PP' is formed in the edge dislocation while the jog
QQ' is formed in the screw dislocation. Since each jog has the same Burgers vector as the
original dislocation line, the jogs PP' and QQ' both are of edge type. Based on the above
discussion, the jog PP' will not impede the motion of dislocation XX', whereas the jog QQ' will
impede the motion of the screw dislocation YY'. The same is true for the edge type jogs PP'
@Seismicisolation
@Seismicisolation
100 Mechanical Behaviour and Testing of Materials
Q
(a)
p
Q'
(b)
FIGURE 4.42 Intersection of edge dislocations with parallel Burgers vectors: (a) Before
intersection, (b) After intersection.
y
x' y
Q'
y'
X y'
FIGURE 4.43 Intersection of a screw dislocation YY' with can edge dislocation XX': (a) Before
intersection, (b) After intersection.
and QQ' formed in screw dislocation XX' and YY' respectively as shown in Figure 4.44. This
is the most important type of intersection from the point of view of plastic deformation. The
jogs PP' and QQ' are capable of moving in a plane that contains them. Let us consider the case
of screw dislocation YY' containing the jog QQ' (Figure 4.45). The jog QQ' with Burgers
vector b2 is capable of moving in the plane QQ'Y'Z when a shear stress is applied parallel to
b2. This is possible only if the screw segments YQ and Q'Y' are displaced parallel to b2.
However, these screw segments can move only in the direction perpendicular to b2, i.e. towards
the positions DE and FG. The only way the jog QQ' can follow along the plane EFQ'Q is by
non-conservative motion involving vacancy-assisted dislocation climb. Such process requires
additional energy, with the result that the jog cannot move as fast as the rest of the dislocation
and so tends to become elongated.
@Seismicisolation
@Seismicisolation
Dislocation Theory 101
y
y
X
Y' Y'
(a) (b)
FIGURE 4.44 Intersection of a screw dislocation with another: (a) Before intersection, and (b) After
intersection.
G
y'
-- z
D
y
FIGURE 4.45 Movement of Jogged screw dislocation. The jog is confined to move on the plane
QQ'FE.
These geometrical conclusions suggest that in conditions where intersection of
dislocations is occurring, screw dislocations will tend to be less mobile than edge dislocations.
On the other hand, screw dislocations without any jog are capable of moving more readily from
one plane to another if they possess a common slip direction.
4.12 DISLOCATIONS IN CERAMICS
Ceramic compounds possess ionic and/or covalent bonding. Crystal structures of ionic ceramics
are complex when compared with metallic solids. Likewise the dislocation structure of ionic
crystals is somewhat complex. For instance, an edge dislocation in metal crystal may be
considered as an insertion of an extra half plane. In case of ionic crystal if a single plane of
ions is inserted, as shown in Figure 4.46(a), it results the placement of like charges ions adjacent
to one another. This results in strong force of repulsion. Instead if two planes of ions are
inserted, as shown in Figure 4.46(b), the alternate cation-anion arrangement is maintained. The
dislocation so produced is obviously complex as compared to an edge dislocation in metals. The
@Seismicisolation
@Seismicisolation
102 Mechanical Behaviour and Testing of Materials
+
+
- + - + - + - +
+ - + - + - + -
- + - + - + - +
+ - + - + - + -
- + - + - + - +
+ - + - + - + -
- + - + - + - +
+ - + - + - + -
- +
+ -
- +
+ -
- + - + - + - +
+ - + - + - + -
- + - + - + - +
+ - + - + - + -
- + - + - + - +
+ - + - + - + -
- + - + - + - +
+ - + - + - + -
(a)
~ :~1:~ ~1:~ ·
- + - + - - + - +
+ - + - + + - + -
- + - + - + - +
+-+- +-+-
- + - + - + - +
+-+- +-+-
- + -□-
+ - + - +
+ - + - + - + - + -
- + - + - + - + - +
+ - + - + - + - + -
(b)
+-+ -+ +
+ - + -
- + - +
+ - + -
+ - + -
- + - +
+ - + -
FIGURE 4.46 Creation of an edge dislocation in an ionic crystal: (a) Insertion of an extra half plane
of ions to create edge dislocation. This process brings like charges together resulting
in high energy. The system is thermodynamically unstable, (b) Insertion of two extra
half planes to create edge dislocation. Like charges are not together. The Burgers
vector for such edge dislocation is longer than that observed with metals.
atomic bonds below the dislocation are rigid. Thus dislocations in ionic crystals are narrow. It
is in contrast to dislocations in metals which are wide. Narrow dislocations are very difficult
to move. The Burgers vector for this dislocation is larger as compared to that in metallic solids.
To illustrate the Burgers vector in ionic crystal consider Figure 4.47 showing various vectors
in the unit cell of NiO. This ionic compound has NaCl type crystal lattice with two ions per
lattice position. Three vectors are shown in this unit cell. Vector V1 connects an 0 2- ion to a
Ni2+ ion that are in contact and therefore V1 is the shortest vector but the ionic positions are
not equivalent. So vector V1 cannot represent a valid Burgers vector. In contrast, vector V2 and
V3 both represents valid Burgers vectors as they connect equivalent ionic positions. Since the
magnitude of vector V3 is smaller (a✓2/2) that of vector V2 (equal to a), vector V3 represent
the most common Burgers vector for this crystal structure. This vector is of the form a/2 (1 1 O),
which is also the Burgers vector for an FCC lattice of metal crystals. However, along (1 1 O)
direction in NiO crystal the ions are not in direct contact in contrast to atoms in FCC metals
@Seismicisolation
@Seismicisolation
Dislocation Theory 103
• Ni
FIGURE 4.47 Unit cell of NiO crystal showing three possible Burgers vectors. Of these, V3 is the
shortest vector having lowest energy and connects the crystallographically equivalent
positions and therefore, is preferred vector for slip. V3 is regarded as Burgers vector.
where the atoms are in direct contact. The ions are in direct contact along (l OO) directions in
NaCl type crystals. Therefore, the Burgers vector a/2 (l O O) in NiO is larger than Burgers
vector a/2 (l O O) in FCC metals.
Just as slip direction in NiO crystal is not a true close pack direction, the slip planes in
ionic crystals are not truly close-packed planes as they are in FCC metals. Planes of {l O O}
type are the most densely packed planes in NiO crystal. With few exceptions, number of slip
systems in polycrystalline ionic crystals is lower than those in metallic crystals.
Dislocations have also been found in covalent crystals. Slip systems in covalent ceramic
crystals have some of the same characteristics as those in ionic crystals. The low value of
coordination number in covalent ceramic compounds leads to comparatively low atomic
packing factors. The values for linear and planar densities are also low for covalent crystals. A
consequent effect is the long Burgers vectors just as in ionic crystals. Like ionic crystals, the
dislocations in covalent crystals are also narrow and rather more narrow and difficult to move
under shear stress. The most commonly observed slip systems in covalent crystals such as Si and
Ge are {l l l }(l O O).
Dislocations also occur in the crystalline regions of polymers. The geometry of polymer
crystals is more complex and the Burgers vectors are considerably larger than other crystal
structures because of the size of the polymer unit cells.
@Seismicisolation
@Seismicisolation
Deformation of Metals
5.1 INTRODUCTION
Every material deforms when subjected to external load. The extent of deformation varies with
material to material for a given load. For a given material, the extent of deformation varies with
variation in magnitude of load. If the load is not enough, the material deforms temporarily, i.e.
the material recovers the original dimensions when the external load is withdrawn. This type
of deformation is called elastic deformation. If the applied load is large enough, the material
may either deform permanently or may undergo fracture. If the material is ductile, it will deform
permanently under excessive stress. This type of deformation of material is called plastic
deformation. Both elastic deformability and plastic deformability properties of a material are
important from the point of view of putting them into service or fabricate them through
mechanical deformation process. Elastic deformability under load is important for both metallic
materials and nonmetallic materials (such as ceramics) when they are put into service in any
desirable form or shape. In many instances, even a small amount of plastic deformation may
result in failure of the component or part of a structure or machine. For example, a spring, if
deforms permanently even by small amount, loses its function. Plastic deformability is
especially important when the material is fabricated by mechanical working process. So
understanding the elastic and plastic behaviour of materials is an important consideration while
designing a part for structural application. The present chapter deals with the aspects of elastic
and plastic deformation.
5.2 ELASTIC DEFORMATION
Application of an external load to a metal distorts it by elastically displacing individual atoms
from their equilibrium positions. Tensile loads tend to increase the interatomic spacing along
104
@Seismicisolation
@Seismicisolation
Deformation of Metals 105
the stress axis; compressive loads tend to reduce it while shearing loads tend to slide each layer
of atoms past the next. Whatever the direction of atomic displacement, the atoms tend to return
to their original equilibrium positions due to restoring attractive forces. Larger the restoring
force less will be the atomic displacement under a given load. For a given strain to be produced,
a larger load is required if the restoring force is of higher magnitude. The restoring force
depends on interatomic (or intermolecular) bond strength of a solid. In majority of materials,
the elastic displacement of atoms is proportional to the load applied. The constant of
proportionality is called the modulus of elasticity or Young's modulus or simply elastic
modulus. The higher the intermolecular bond strength of a solid, higher will be its elastic
modulus. Materials with three dimensional networks of primary bonds exhibit a very large value
of modulus of elasticity. For instance, carbon with a three dimensional network of covalent
bonds is characterized for very high value of Young's modulus equal to 1140 GPa (giga pascal,
l GPa = l x 103 MPa). In general, elastic modulus is an anisotropic property of a crystal. In
a crystal its value varies with crystal directions because the bond length, and hence, the bond
strength is different in different directions. For example, graphite which has a two-dimensional
sheet structure, the value of elastic modulus is 950 GPa in a direction parallel to the sheets
whereas the value averaged over all
directions is considerably smaller than
this. This average value is only 8 GPa.
Any elongation or compression of
a crystal in one direction caused by an
axial force results in a corresponding
change in dimension at right angles to
the force. Figure 5.l(a) shows an
unstrained crystal and in Figure 5.l(b) a
small contraction is indicated at right
angles to the tensile force. The negative
ratio between the lateral strain and the
direct tensile strain is commonly called
Poisson's ratio.
The elastic deformation of a body
does not always result in a lengthwise
change of a linear element of a body, but
it may also result in a change in the
initial angle between any two lines. For
example, Figure 5.2 illustrates a
decrease in angle A from 90° by a small
amount a when a pure shear stress is
applied to the cubic face. The angular
change in the right angle is known as
shear strain y and is expressed as the
displacement a divided by the spacing
between the planes, l. In other words,
application of a shear stress results in a
FIGURE 5.1
(a) (b)
Effect of tensile stress (a) on change
in shape of a crystal: (a) Unstrained
crystal, (b) Strained crystal. Only one
face of the FCC unit cell is shown.
/,
, '
, '
'
'
T
-------
f--~
' -+--+-
' ------f-- ~'
: '
'
'
----
T
'
'
'
'
'
a•
'
'
'
'
'
'
'
FIGURE 5.2 Effect of shear stress, r on change
in shape of a crystal.
@Seismicisolation
@Seismicisolation
106 Mechanical Behaviour and Testing of Materials
displacement of one plane of atoms with respect to the adjacent plane of atoms. The ratio all is
also a tangent of the shear angle a through which the element has been rotated (as is evident
from Figure 5.2). Thus, shear strain r is expressed mathematically as:
For a small shear angle a, tan a = a,
Therefore,
a
r=-=tana
l
r= a
(5.1)
(5.2)
Thus, shear strain can also be expressed as the angle of rotation. The shear modulus G of a
material is defined as the ratio of shear stress r to shear strain r, i.e.
(5.3)
The term shear modulus is also called as the modulus of rigidity and is different from the
modulus of elasticity E. The two are related according to the following relationship:
G= E
2(1 + V)
(5.4)
Since, Poisson's ratio v, in general, varies between 0.25 and 0.50; the value of G is
approximately 35% of E, i.e.
G = 0.35 E (5.5)
A third elastic modulus, the bulk modulus K, is also observed in materials and it is defined as
the reciprocal of the compressibility /3 of the material, i.e.
K=_!__
/3
(5.6)
or K =---5!..ft_ (5.7)
LlVIV
where, ah is the hydrostatic pressure and (LlVIV) is the volume compression (also called volume
strain). The bulk modulus in terms of elastic modulus is expressed as:
K= E
3(1-2v)
(5.8)
5.2.1 Significance of Elastic Modulus
At any given temperature and pressure, elastic modulus is predominantly a function of two
things namely, the nature of atoms present and their arrangement relative to each other. A metal,
solid solution or intermetallic compound in equilibrium has fixed composition and crystal
structure and therefore, their elastic modulus is fixed. However, the elastic modulus of such a
material can be altered only by significantly changing either the composition of the material or
its crystal structure or both.
@Seismicisolation
@Seismicisolation
Deformation of Metals 107
The elastic modulus of a given metal can be changed somewhat by alloying it with some
other element that is soluble in it, since this introduces into its crystal structure foreign atoms
which alter the restoring forces developed by a given increment of strain. In general, however,
a relatively large alloy addition is required to produce even a small change in elastic modulus.
Similarly, cold working improves elastic modulus slightly. Even a heat treatment involving a
polymorphic transformation (as in steels, for example) is unable to improve elastic modulus
significantly, since the atoms are same and they are in same proportion with only slight change
in spacing.
The only ways by which stiffness, which is a function of elastic modulus, can be improved
are: increasing the section thickness of the structure or machine member, and drastically changing
the alloy composition, for example, by substituting bronze for an aluminium alloy or steel for brass.
Applications, demand for high elastic modulus, steel is the appropriate choice owing to
its relatively high modulus. There is a wide spread and most unfortunate misconception that
stiffness of a steel spring, for example, can be greatly increased by substituting a high carbon
steel or alloy steel for a low carbon steel or using a cold drawn or cold rolled steel instead of
hot rolled or annealed steel, or heat treating the steel to a high level of hardness. In fact, in any
of the above method of altering composition, treatment or both, the increase in elastic modulus
is not greater than 10%. It is the elastic limit which is increased
5.3 PLASTIC DEFORMATION
Plastic deformation of a metal is the permanent deformation which results from the application
of stresses beyond the elastic limit. There are two mechanisms of plastic deformation:
(i) Deformation by slip
(ii) Deformation by twinning
5.3.1 Deformation by Slip
Slip is a process of displacement of one part of a crystal with respect to another. Plastic
deformation by slip is the most common kind of deformation. Slip occurs most readily on
certain crystallographic planes and in certain crystallographic directions. These specific
crystallographic planes are called slip planes and the specific directions are called slip
directions. Generally, slip planes are the planes of greatest atomic packing and are the most
widely spaced planes in a crystal. The combination of particular slip plane and a slip direction
in that plane is referred to as a slip or glide system. The overall plastic deformation of a single
crystal depends on the number of slip systems available in that crystal. Slip on any active plane
(for example, plane {1 1 1} in FCC single crystal) further depends on its orientation with
respect to the tensile axis. If the plane is suitably oriented and as the applied shear stress
exceeds a critical value called Critical Resolved Shear Stress, slip initiates. Slip in perfect
crystal is very difficult. A real crystal always contains dislocations. In presence of dislocations
plastic deformation by slip is easy. Figure 4.16 shows the occurrence of slip by dislocation
movement. As a dislocation arrives to the surface, a slip step (equal to an atomic spacing) is
created in which one atom plane is displaced with respect to the other. This kind of slip is called
@Seismicisolation
@Seismicisolation
108 Mechanical Behaviour and Testing of Materials
translational slip. However, the mechanism of slip cannot be observed by any means available.
Its results can be observed by a change in overall dimension of the crystal, slip bands that
appear on the surface or the changes in physical/mechanical properties that are always
accompanied by permanent deformation.
The progress of slip can be examined by observing the surface of a plastically deformed
metal under a microscope. Figure 5.3(a) shows the surface of a polished crystal before and after
plastic deformation when subjected to shear stress. Under the action of sufficiently large applied
stress, blocks of the crystal slip with respect to one another along slip planes. This parallel
displacement of one part of the crystal with respect to neighbouring one across some plane or
planes is called slip. As a consequence of this, small offsets or slip steps are created on the
surface as indicated in the elevation view of the crystal in Figure 5.3(b). The height of the slip
step is very small and depends on the number of dislocations arrived to the surface. Each step
,
,
,
,
,
,
,
Polished surface
r ------------------------------
(a)
_L
Slip distance - 1000A
Slip band---/ ~ T
-----I ~ - 100 atomic diameters
f--d_Appears as a single line
under optical microscope
(b)
FIGURE 5.3 Profile of slip bands: (a) Undeformed crystal, (b) Elevation of the deformed crystal.
@Seismicisolation
@Seismicisolation
Deformation of Metals 109
appears as a line on the surface called slip line [Figure 5.3(b)]. Slip generally occurs over small
regions of parallel slip planes which results in a number of slip lines. The bundles of these slip
lines together is called a slip band. Under optical microscope, a slip bundle appears as a single
slip line [Figure 5.3(b)] as it is unable to resolve individual slip lines. The individual slip bands
and slip lines are resolvable under electron microscope. If the surface of the deformed crystal
is repolished and examined under microscope, slip lines can no longer be seen as they are
removed during polishing. The slip line in FCC and HCP metals are straight while they are
extremely wavy in BCC metals.
At elevated temperatures, plastic deformation can also occur by other modes of
deformation such as grain boundary sliding and diffusion creep.
5.3.2 Type of Loading for Plastic Deformation
When a load is applied on a metallic crystal and increases to the extent as to exceed its elastic
limit, plastic deformation occurs. This plastic deformation is irrecoverable. This permanent
deformation continues with increasing load until fracture occurs. The permanent deformation
of the metal crystal must occur by some mechanism. Under pure tensile type of force, the
atoms in the crystal are pulled resulting in increased interatomic spacing along the stress axis
with increasing tensile force. This increase in interatomic spacing along the stress axis
continues till the interatomic separation becomes high enough to reduce bonding attraction
between atoms to negligibly small. Complete separation of the atoms eventually occurs with
the resultant brittle fracture. Under pure compression, the atoms in the crystal are pushed
together along the stress axis until the strong forces of repulsion are developed between them
exactly balance the greatest compressive load that can be applied. The resultant deformation
is purely elastic in nature. Thus pure compression can result in neither permanent deformation
nor fracture.
The only type of loading which is capable of permanently displacing atoms relative
to each other without affecting cohesion between them is a shearing load. Shear is a kind
of force which causes or tends to cause two neighbouring parts (or blocks) of the same
body to slide relative to each other in the direction parallel to their plane of contact as
illustrated in Figure 5.4. The process of lateral displacement of blocks of the same body
relative to each other is termed as slip (or glide) or sliding (as mentioned in Section 5.2.1).
This kind of slip in a material can be compared to the shear distortion of a pack of playing
cards. When a deck of playing cards is subjected to a force on one side, the individual cards
slide relative to each other (Figure 5.5). Only shear can produce such kind of effect. But
this does not mean that plastic deformation of a metal crystal cannot be produced under
tensile or compression loading. In fact, when a tensile or compressive load is applied to a
metal, that part of force is effective which is resolved into shearing force parallel to the
planes in each crystal along which slip is possible. Plastic deformation will initiate only
when a certain definite shear stress is developed along the potential slip planes. In some
of the cases such as torsion loading of a rotating shaft, shear stresses are developed by
direct shearing loads. In most common cases, shearing stress is developed by tensile,
compressive or bending load.
@Seismicisolation
@Seismicisolation
110 Mechanical Behaviour and Testing of Materials
Slip planes
(a)
Slip
direction
Load
(b)
Load
Blocks of
crystal
FIGURE 5.4 Deformation in a hexagonal crystal by the application of shear force. (a) Before
deformation, (b) After deformation. Horizontal lines representing potential slip planes
(0 O O 1) in the crystal.
- F
(a) (b)
FIGURE 5.5 Slip in a material is compared with a deck of playing cards subjected to a force F at
the top. (a) Deck of cards before slip, (b) Deck of cards after slip. (Only front view is
shown)
5.3.3 Potential Slip Planes and Directions in Crystals
Within any crystal structure there is one or a few family of planes along which the atoms are
more closely spaced than on any other set of planes that can be thought of in it. In these
densely-packed planes, there are also certain directions along which the atoms are most closely
packed. The planes and directions in which the interatomic spacing is least, the interatomic
force of attraction is most and therefore bonding is at maximum. In a given crystal such close-
packed planes and directions are considered to be the strongest. The planes with highest density
of atomic packing are also farthest apart (Table 5.1), and therefore, the bonding between them
is at its minimum. Slip along such planes and directions results in minimum disarrangement in
atomic order and is therefore easiest to occur. Since the closest pack planes are farthest apart
the Peierls- Nabarro stress ('l"p_N) is low for them (Eq. 4.45 and Eq. 4.46). Also rP-N will be
lowest for shortest b (Eq. 4.45) (keeping other parameters constant). A low value of Peierls-
Nabarro stress suggests low resistance to slip. Thus, slip generally occurs parallel to these strong
planes and directions (along which atoms are normally in contact).
@Seismicisolation
@Seismicisolation
Deformation of Metals 111
TABLE 5.1 Atomic packing density of some planes in common crystal systems
Crystal system Planes Atomic density, Interplaner spacing,
Atoms/area a is lattice parameter
FCC Octahedral {1 1 1} 4/✓3a2 a/✓3
Dodecahedral {1 1 O} ✓2!a2 a/2✓2
Cube {1 0 O} 2/a2 a/2
HCP Basal (0 0 0 1) 2/✓3a2 C
Prismatic {1 0 T O} 2/ac a✓3!2
BCC Octahedral {1 1 1} l/✓3a2 a/2✓3
Dodecahedral {1 1 O} ✓2!a2 a/✓2
Cube {1 0 O} l/a2 a/2
A higher value of Peierls-Nabarro stress is required to produce slip on planes having lower
atomic packing density. The planes with lower atomic density, however, become active when
some thermal activation energy is available or when slip on closely packed planes is constrained
by such conditions as high local stress due to strain hardening, restriction of slip by grain
boundaries and so on. The most densely packed planes and directions which provide slip are
therefore regarded as slip or glide planes and slip or glide directions, respectively. The slip
directions lie in the slip plane.
Slip in FCC metals
In metals and alloys with FCC structure the slip planes having highest atomic packing density
are of the kind {1 1 1} containing the close packed slip directions (1 1 O). Thus slip systems
in FCC metals and alloys are of the kind {1 1 1}(l 1 O). The planes {1 1 1) are also called
octahedral planes. Though there are eight planes of the type {1 1 1} in FCC unit cell, but
since the planes at opposite faces of the octahedron are parallel to each other, there are only
four sets of octahedral planes. Each of these four planes contains three (1 1 O) directions.
Thus there are in all twelve slip systems in FCC metal crystals. All these twelve slip systems
are independent active slip systems and therefore FCC single crystal metals display excellent
ductility. [An independent slip system is one which is producing a crystal shape change that
cannot be reproduced by any combination of other slip systems]. Therefore metals and alloys
having FCC structure are inherently ductile in nature. It is believed that for good ductility
there must be a minimum of five independent slip systems in a crystal. In addition to the
common {1 1 1} slip planes, in certain FCC metals other set of less densely packed atomic
planes also become active for slip to occur at a temperature above ambient temperature. For
instance, aluminium has been found to deform plastically on {1 1 0} planes at elevated
temperature. Of course, for all these slip planes the slip directions always remain the same
along which atoms are in direct contact. Table 5.2 shows the common slip systems in FCC
metals.
@Seismicisolation
@Seismicisolation
112 Mechanical Behaviour and Testing of Materials
TABLE 5.2 Common slip systems and their number in FCC, HCP and BCC metals
Crystal structure Slip planes
FCC
Cu, Al, Ni, Au, Ag, y--Fe, Pb, Pt, etc. {1 1 1}
HCP
Zn, Cd, Ti, Mg, Be, Co (more {O O O 1}
common), y--Ag2Al
Ti, Mg, Zr, Be {10 1 O}
Ti, Mg, Cd, Be {1 o11}
BCC
Mo, W, a-Fe, ~Brass {1 1 O}
Na, Mo, W, a-Fe {2 1 1}
K, a-Fe {3 2 1}
NaCl, AgCl {1 1 O}
Slip in HCP metals
Slip directions
(11 O)
(112 O)
(112 O)
(112 O)
(111)
(111)
(111)
(1 1 O)
Number of slip
systems
4 X 3 = 12
1 X 3 = 3
3 X 1 = 3
6 X 1 = 6
6 X 2 = 12
12 X 1 = 12
24 X 1 = 24
6 X 1 = 6
In metals and alloys possessing a HCP structure the type of operative slip system depends in
the first place on the c/a ratio (i.e. the lattice ratio). For ideal packing of atoms the c/a ratio of
HCP crystals is 1.632. Of the HCP metals, only magnesium and cobalt have c/a ratio close to
the ideal value, while the other metals may have their ratios higher or lower than the ideal value
(Table 5.3). It is greatest for zinc and cadmium and least for titanium and beryllium. A change
TABLE 5.3 c/a Ratio of some HCP metals
Metal Cd Zn Mg Co Re Zr Ti Hg Be
c/a ratio 1.886 1.856 1.624 1.621 1.617 1.593 1.587 1.586 1.567
in c/a ratio involves a change in the relative close packing of atoms in various planes. At large
values of c/a ratio (> 1.632), the (0 0 0 1) planes (also called basal planes) are the most close-
packed planes, and therefore, (0001)(112 0) are the common slip systems for Cd, Zn and Mg
metals and alloys. Prismatic planes {l O1 0}, on the other hand, act as the closest packed planes
at low values of c/a(<l.632). These are the active slip planes for metals Ti, Zr, Mg and Be. The
magnitude of critical resolved shear stress is observed to be high for basal slip in Be, Ti and
Zr. In Cd and Mg {l OI 0} prismatic planes provide slip especially at high temperatures. For
all these slip planes the slip direction is always of the type (11 20). Slip is also found to occur
on pyramidal planes {l O11} in Ti (containing impurity), Cd (room temperature) and Mg (at
high temperature) crystals. This is particularly true at some higher temperature. Of the three
common slip systems (0 0 0 1)(1120), only two are independent. Similarly, only two
independent {l 0 I 0}(1120) slip systems have been identified from the three possible prism
slip systems. Although four independent pyramidal {l 0 I 1}(1120) slip systems may be
@Seismicisolation
@Seismicisolation
Deformation of Metals 113
identified from a total six such systems, the resulting deformations can be produced by
simultaneous operations of the two independent basal and prism slip systems, respectively. To
provide good ductility a fifth independent slip system is still needed. When the common slip
planes are not suitably oriented relative to the stress axis, slip has been observed to occur on
slip system {l l 2 2}(1 l 2 3) in zinc and slip system {l l 2 2}(1 l 2 3) in cobalt.
Slip in BCC metals
In BCC crystals, the principal slip planes are of the kind {l l O} having highest atomic packing
density, though these planes are not as close packed as octahedral {l l l } planes in FCC or
basal (0 0 0 l) plane in HCP crystals. The packing efficiency of these {l l O} planes (also called
dodecahedral planes) in BCC crystals is shown in Table 5.1. The Peierls stress, 'l'p_N for {l l O}
planes in BCC metals is higher than for {l l l } planes in FCC metals. There are six planes
belonging to {l l O} family each containing two close packed (l l l) directions. Thus the most
common slip systems in BCC metals and alloys are {l l O}(l l l) with number twelve. In
addition to the most common most close-packed {l l O} planes, slip is also found to occur in
some BCC metals on less closely packed planes {l l 2} and {l 2 3}. Slip on these planes is
confined in the directions (l l l). If all {l l O}, {l l 2} and {l 2 3} slip planes are active then
in all there are 48 potential slip systems. Slip seems to occur with equal facility on these planes
depending on whichever happen to be oriented most favourably with respect to the direction of
applied load. However, these slip planes in BCC crystals are more irregular and less closely
packed than most common slip planes in FCC and HCP crystals, the individual crystals of
BCC metals require higher shearing stresses to initiate slip due to high Peierls stress and
exhibit lower degree of overall plastic deformation before fracture. In general, BCC metals
such as a-Fe, a-W, Mo and /3-brass have their ductility values fall between those of FCC and
HCP metals.
5.3.4 Critical Resolved Shear Stress
It has been discussed that when a crystal is
subjected to tensile force, plastic deformation
occurs by the process of shear on certain specific
crystallographic planes and along certain directions
in these planes. Consider a single crystal cylindrical
specimen having a cross-sectional area, A and
subjected to a uniform tensile force, F. The tensile
stress acting on the cross-sectional plane of the
specimen is given as FIA. On any plane passing
through the specimen but not perpendicular to the
tensile axis (the one hatched in Figure 5.6), the
applied force can be resolved into two components:
a force, S parallel to the plane in question and a
force, N normal to this plane. The component of the
applied force resolved along the shear or slip plane
is responsible for plastic deformation. Relative to
F
F
FIGURE 5.6 Resolution of tensile force, F
into shearing force, S and
normal force, N on a random
plane in a crystal.
@Seismicisolation
@Seismicisolation
114 Mechanical Behaviour and Testing of Materials
this plane, the slip plane normal, N represents the tensile force for the shear plane. The force
N tends to produce separation of atoms on opposite side of the slip plane and so to cause
fracture along it. However, until fracture actually occurs, this slip plane normal component of
applied force will produce only elastic deformation and does not play any significant role in
influencing plastic deformation by slip along the shear plane. It has been found that slip on
shear or slip plane in slip direction is initiated only when the resolved shear stress on this slip
system attains a threshold (or critical) value called critical resolved shear stress. Critical
resolved shear stress can be determined by considering a single crystal subjected to tensile force
Fas shown in Figure 4.15.
Let As represents the area of the slip plane. The component of the applied force F acting
on the slip plane in the slip direction is given as F cos t/J (Figure 4.15). If )., is the angle between
the applied force and the slip plane normal (this is also the angle between the slip plane area
As and the cross-section A), then one can write
The area of the slip plane As is given as:
A
cos A,=-
A.
A =-A-
s cos A,
The shear stress r resolved on the slip plane in the slip direction is given as:
Shear force F cos t/J
'rRSS = =---'-
Area of shear plane A
cos A,
'rRSS =(:)COS tp COS A,
rRss =a (cos t/J cos A)
(5.9)
(5.10)
(5.11)
where, t/J and )., are the angles which the tensile axis makes with the slip direction and slip plane
normal, respectively [Figure (4.15)]. a is the normal stress. Thus, a normal stress applied to a
single crystal causes a shear stress on the slip plane along the slip direction. This component
of stress, called the Resolved Shear Stress (RSS) can cause slip only when it is large enough.
This critical or threshold value of shear stress at which plastic deformation occurs is called
Critical Resolved Shear Stress (CRSS), rcRss. This also represents the yield strength of the
single crystal.
The CRSS is a constant for a given slip system in a given material crystal. The critical
normal stress Ge, corresponding to CRSS can be determined using the following relationship.
(j = 'rcRSS (5.12)
c (cos t/J cos A)
The Eq. (5.11) is known as Schmid's law. The factor (cos t/J cos A) represents an
orientation factor often referred to as the Schmid factor. The normal stress required to initiate
@Seismicisolation
@Seismicisolation
Deformation of Metals 115
slip, O'c, is a function of the crystal orientation with respect to the direction of applied force on
the crystal axis. The notable point is that the magnitude of O'c is not a material constant. From
Eqs. (5.11 and 5.12) it is seen that yielding will occur on the slip system possessing the greatest
Schmid factor. Thus resolved shear stress is greatly dependent on the orientation of the potential
slip system with respect to the applied stress axis.
To illustrate the effect of orientation factor on resolved shear stress let us consider a single
crystal of HCP metal [Figure 5.7(a)]. The sample is so loaded that the tensile axis is nearly
normal relative to the basal planes {O O O l }. Since the angle </) [Figure 5.7(b)] is nearly 90°,
the resolved shear stress on these planes will be very low as the tensile load approaches the
ultimate tensile strength of the material. If the angle </) is exactly 90° the shear stress on basal
planes will be zero. In this case the load required to rupture the test sample in tension will be
reached before the critical shearing stress for slip that has been developed on the basal planes.
Consequently, a complete brittle fracture will result without any plastic deformation as
illustrated in Figure 5.7(c). In practice this type of fracture is expected whenever a single crystal
of a HCP metal is oriented in such a way that its basal planes {O OO l} make an angle greater
than about 70° to 80° with the tension axis.
Load
9oo= <P~
i
(a) (b) (c)
FIGURE 5.7 (a) Unit cell of zinc crystal showing most possible slip planes (hatched) and slip
directions (arrows): Zinc single crystal specimen is so oriented that its {O OO 1} planes
(lined) are normal to the tensile axis, (b) Specimen before fracture, and (c) Specimen
after fracture showing brittle behaviour.
If the basal planes of the single crystal HCP metal are almost parallel to the tension axis
and if the load is maintained approximately uniformly across the section, the shearing
component of the load will again be too small to initiate any slip before brittle type fracture.
Here, as angle </) tends to zero, angle A [Figure 5.8(a)] tends to 90° and hence the resolved
shearing stress tends to be very small. Thus whenever the basal planes of a HCP crystal make
an angle of less than about 10° to 20° relative to tension axis, a completely brittle fracture will
@Seismicisolation
@Seismicisolation
116 Mechanical Behaviour and Testing of Materials
result [Figure 5.8(b)]. If the basal planes of a close packed hexagonal crystal make an angle
with the tension axis which is greater than about 20° but less than about 70°, the resolved
shearing component of the load will become parallel to basal planes and will be sufficient to
initiate slip along them before rupture occurs [Figures 5.9(a) and (b)]. For any given value of</),
the orientation factor will be greatest for A=90° - </) =45° so that the resolved shear stress
is half of the normal applied stress, i.e. rRss = a cos 45° cos 45° = a/2. For all other
combinations of angles </) and A, the resolved shear stress will be less than a/2 in tension.
Exactly the same analysis applies to compression loading of the HCP single crystal. Figure 5.10
illustrates the variation of tensile yield stress as a function of Schmid factor. It can be seen that
Load
1 = 90
r,
(a) (b)
FIGURE 5.8 Brittle fracture of a zinc single crystal so oriented that its {O O O 1} planes (lined) are
parallel to the tensile axis. (a) Original specimen, (b) specimen after fracture.
Load
(a) (b)
FIGURE 5.9 Ductile fracture of a zinc single crystal so oriented that its {O OO 1} planes (lined) can
slip before fracture (a) original specimen; (b) specimen after fracture.
@Seismicisolation
@Seismicisolation
Deformation of Metals 117
</I = 45°
</I= 90° 0.5 </I = 0°
-cos¢cosA-
FIGURE 5.10 Effect of orientations of HCP single crystal on tensile yield strength for a constant
value of CRSS.
as the angle of orientation of basal planes approaches 45° with the tension axis, the smallest
tensile load (corresponding to greatest Schmid factor) is required to initiate the slip. Also the
extent of plastic deformation will be appreciable before fracture. In general, in either tension
or compression, resolved shearing stress is zero on planes parallel with or normal to the stress
axis and reaches a maximum value equal to one-half the longitudinal tensile or compressive
stress on planes which are oriented at 45° relative to that axis. There will be no slip for
rRss = zero. If there exists many potential slip systems of the same type in a given crystal but
having different orientations relative to applied tensile force, the most active plane is the one
on which the CRSS reached first as the specimen is subjected to increasing stress. This slip
system is called primary slip system. As the applied stress grows in magnitude, the slip spreads
over other, less favourably oriented slip system(s) called secondary slip system(s). Thus, the
plane on which slip will first take place will be that having the highest resolved shear stress.
Effect of variables on critical resolved shear stress
Room temperature values of CRSS vary over a wide range depending on the type of crystal
structure or even for metals having the same crystal structure and same slip systems. For
example, FCC metals such as aluminium, silver, copper and gold have CRSS typically range
from 0.5 to 0.75 MPa while nickel has the value 5.0 MPa. HCP metals such as zinc and
magnesium have CRSS of the order of 0.5 MPa for slip systems {0 0 0 l} (1 1 2 0). On the
other hand, the CRSS of BCC metals such as iron, niobium, tantalum, and molybdenum
typically fall in the range 15 to 96 MPa. Certain ionic crystal having NaCl type structure exhibit
CRSS intermediate between those shown by close packed crystals and BCC metals. The exact
value of CRSS is further dependent on the amount of impurities present in metals. Impurity
content seems to be the most significant variable affecting CRSS of metal crystals. It has been
found that CRSS increases with increasing impurity contents in a metal crystal. For instance,
silver containing impurities of 0.01 %, 0.03% and 0.07% has been found to exhibit the average
CRSS values of 0.47 MPa, 0.71 MPa and 1.28 MPa, respectively. Similarly, cadmium of
0.00 l% impurity possesses a CRSS of about 0.15 MPa whereas material with 0.01 % impurity
@Seismicisolation
@Seismicisolation
118 Mechanical Behaviour and Testing of Materials
has CRSS of about 0.59 MPa. Critical resolved shear stress has also been found to depend
strongly on temperature at which it is measured, in particular, if this temperature is low relative
to melting temperature. Figure 5.11 illustrates this effect for a HCP crystal. It is apparent from
this figure that the initial yield strength increases significantly with decreasing temperature
below 300 K though above this temperature yield strength remains unaffected. This can be
correlated to increasing Peierls-Nabarro stress with decreasing temperature. Similar kind of
trend has been observed in crystals such as Al and copper.
en
en
a:::
u
R.T.
Temperature -
FIGURE 5.11 Effect of temperature on variation of critical resolved shear stress CRSS for a HCP
crystal. R.T. stands for room temperature.
Let us consider the course of slip in single crystal HCP metal. Figure 5.12 shows single
crystal of HCP metal subjected to tensile stress along PP axis. The potential slip planes {0 0 0 l}
are also shown in this figure. The crystal is so oriented with respect to the applied tensile stress
that the resolved shear stress exceeds the critical value on basal planes and slip initiates in one
of (11 2O) directions. If slip is considered to confine on planes parallel to the original
orientation of {0 0 0 l} planes [Figure 5.12(a)], then deformation of the crystal will result in
displacement of its ends laterally away from the stress axis PP as shown in Figure 5.12(b). This
would be equivalent to rotation of the long axis of the specimen, QQ, away from the stress axis,
PP, through some angle 0 [Figure 5.12(b)]. The angle 0 will increase with increasing elongation
of the specimen. Plastic deformation on parallel basal planes results in off-sets. In practice, the
specimen is loaded in tension by gripping its ends in a pair of grips. The grips through which
load is transmitted to the specimen exert a restraint force to prevent lateral displacement of ends
of the crystal. The grips thus maintain alignment between stress axis and the axis of principal
strain and thereby prevent rotation of specimen shown in Figure 5.l2(b). The resultant
elongation will occur parallel to the tensile axis while slip occurs on basal planes only. This is
possible only if the planes {0 0 0 l} rotate by an angle 0 towards PP, such that QQ and PP
coincide. Let slip planes make an angle Xo relative to stress axis before stressing the crystal.
This angle decreases as plastic deformation begins and continues to decrease with increase in
extension of the crystal. If X; is the angle of reorientation of slip plane with stress axis at any
instant after the plastic deformation begins [Figure 5.12(c)] then X; is less than Xo· On the basis
of X-ray studies it has been found that crystal planes undergo pure rotation in the middle of the
gauge length but experience simultaneous rotation and bending near the end grips
[Figure 5.12(c)]. The angle of rotation of the slip plane X; is dependent on the gauge length of
the specimen in accordance with the relationship as follows:
@Seismicisolation
@Seismicisolation
Deformation of Metals 119
Pt
I
I
I
I
I
I
I
p~
(a)
Xo
Pt fO
1-~'--
1 i
-----~ ---- .
I . I
: I .
! I /
: I
I
I
I
I
I
I
~ 0
Q,tp
(b)
tP
I
I
~p
(c)
FIGURE 5.12 Deformation of a single crystal of HCP metal under tension. (a) Original specimen
showing orientation of slip planes {O O O 1} inclined by an angle Xo with respect to
the tensile axis PP, (b) Effect of slip on {O O O 1} planes in (1 1 2 O) directions, and
(c) Results of slip together with crystal rotation.
L; sin Xo
- = - - (5.13)
where, L; and L0 are the respective gauge lengths of the specimen after and before plastic
deformation. If A0 and A; represent the angles between the axis of tension and the direction of
slip before and after plastic deformation, the shear strain e can be written as:
e =(c~s A; )-(c~s A0 )
sm X; sm Xo
(5.14)
In terms of the gauge lengths L0 and L;, the shear strain e can be written as:
e =- .
l {[(~)
2
- sin2 A0 ]
112
- cos A0 }
sm Xo Lo
(5.15)
5.3.5 Strain Hardening in Single Crystal
Majority of metals are known to deform plastically when the applied stress exceeds the elastic
limit. One of the important characteristic of plastic deformation of a metal is that once plastic
deformation begins an additional shear stress is required to continue plastic deformation. The
increase in shear stress required to continue plastic strain by slip process because of the
@Seismicisolation
@Seismicisolation
120 Mechanical Behaviour and Testing of Materials
previous strain is commonly termed as strain hardening or work hardening. The slope of the
stress-strain curve in the plastic range is used to define the rate of strain-hardening. Strain-
hardening is known to occur when glide dislocations moving on the slip plane offer some
obstacle such as intersecting dislocations or other barriers which impede their motion. Since slip
is known to occur by motion of dislocations, there must be some source generating dislocations
with increasing strain. Frank-Read source is one such dislocation source (described in
Section 4.10) which multiply dislocations with increasing strain. The pile up of dislocations on
a barrier on slip plane is believed to be responsible of strain hardening in metals. Since
dislocations in the pile up are of like sign they repel each other. As a consequence a back stress
is developed in the direction opposite to the applied stress. This back stress tends dislocation
source to stop operating. That is, this back stress opposes the applied stress. In order to continue
plastic deformation by gliding dislocations on slip plane the applied shear stress has to be
increased. Thus the resultant effect is strain hardening. This mechanism of strengthening has
been demonstrated experimentally. In this experiment a single crystal specimen of zinc metal
is exposed to shear stress. The purpose of selecting Zn crystals for the experiment is that slip
in such crystals is confined to parallel basal planes only and complications due to multiple slip
is avoided. In the experiment the shear stress is applied until the specimen deforms to some
plastic strain at B as shown in Figure 5.13. Yielding begins at shear stress corresponds to point
A in this figure. The increase of stress from point A to B with strain indicates strain hardening.
At point B, the specimen is unloaded. Now the specimen is reloaded but in the reverse direction.
The specimen is found to yield at a stress lower than the yield stress when it was loaded
initially. This stress is indicated by the point D. This lowering of yield stress shown by the
specimen upon loading in the reverse direction can be correlated to the relaxation of back stress
developed during initial loading cycle. The dislocations move in the reverse direction during
reverse cycle of loading the specimen. The dislocations at the tail of the pile-up are more widely
spaced than those at the head. These dislocations therefore move to relatively longer distances
at relatively lower stress. The
dislocations of opposite sign could be
created on the same sources that
produced dislocations responsible for
initial shear strain. As a consequence
dislocations of opposite sign will
attract and annihilate each other
resulting in softening of the crystal.
Annihilation of dislocations also leads
to reduction in dislocation density in
the pile up at the barrier thereby
reducing the intensity of back stress on
the dislocation source. For this reason
the stress-strain curve of the specimen
during reverse cycle of loading is
lower than that during initial loading.
The lowering of yield strength when
the direction of deformation is reversed
is called Bauschinger effect.
-f
FIGURE 5.13
+a
o:
I
'
'
'
'
E'
'
'
'
'
'
'
B
+t:
- a
Bauschinger effect and hysteresis loop.
Arrows along the loop indicate direction
of loading or unloading.
@Seismicisolation
@Seismicisolation
Deformation of Metals 121
Let us know the barriers to dislocation motion in metal single crystals. In impure single
crystals, the obstacles to dislocation motion on the slip plane can be foreign atoms, second
phase precipitates or dispersoids. In case of pure metal single crystals, however, these obstacles
do not exist. Obstacles to pile-up of dislocations in such crystals are created when moving glide
dislocations react at the line of intersection of intersecting planes. This kind of reaction results
in creation of a new dislocation which lies in a plane of high shear stress. The mobility of the
new dislocation in the plane containing it is very low. The dislocation is said to be immobile
and is commonly termed as sessile dislocation. This sessile dislocation acts as barrier to motion
of other dislocations on intersecting active slip planes. A pile-up of dislocation thus results on
this sessile dislocation resulting in strain hardening. Another kind of obstacles in pure metal
single crystals is created when a moving screw dislocation intersects another screw dislocation
on active slip plane. The intersection of screw dislocations results in creation of a jog in one
of the screw dislocations which in turn is edge in character and makes rest of the screw
dislocation immobile. This jog acts as barrier to glide dislocations and prevents screw
dislocations from cross-slipping. Thus strain-hardening occurs.
The strain hardening that results from the previous deformation is a remarkable peculiarity
of ductile metals and is directly associated with dislocation structure that forms on deformation
and prevents further deformation of the metal. As a result the critical shear stress required for
further deformation varies in the course of process. Strain-hardening behaviour can best be
characterized by examining the stress-strain curve of single crystals. The slope of the curve
in the plastic range represents the rate of strain hardening. Therefore stress-strain curves also
sometimes said to be hardening curves. Figure 5.14 shows the shear stress-shear strain curves
of single crystal magnesium, copper and iron. The tensile stress is so applied on these crystals
that the resolves shear stress is highest on primary single slip system so that the major portion
of the strain produced is due to single slip system. A minor portion of strain may be caused
due to slip on secondary slip system. It may so happen that as slip occurs on primary slip
system which is most favourably oriented
with respect to the applied stress, strain
hardening occurs. As a result the applied
stress has to be increased for further
deformation to occur. This increased
stress may exceed the critical stress
required for slip to occur on less
favourably oriented secondary slip planes.
Thus, of the total strain produced a minor
portion might have produced due to
secondary slip system. Generally in FCC
and HCP metal single crystals slip is
primarily due to single slip system, in
BCC metal single crystals in the start of
plastic deformation slip is likely to occur
on more than two slip planes which share
the direction of maximum stress rather than
on a single plane.
70
<Ji 50
(/)
~
1ii
40
iii
Q)
.s::
(/)
30
"C
Q)
>
0 20
(/)
Q)
a::
10
0
FIGURE 5.14
Fe
Cu
10 20 30 40 50 60
Resolved shear strain,%
Shear stress-shear strain curves
of single crystal magnesium,
copper and iron.
@Seismicisolation
@Seismicisolation
122 Mechanical Behaviour and Testing of Materials
In Figure 5.14, among the three strain hardening curves, the stress-strain curve of copper
is the most typical one. It shows more clearly than the others that hardening passes through
three distinct stages. A separate resolved shear stress-shear strain curve for pure single crystal
FCC metals is shown in Figure 5.15. This curve represents three distinct stages of deformation
though all these stages may not always be present in the stress-strain curve. Apart from the type
of lattice (as is evident from Figure 5.14), the span of all the three stages depends on the test
temperature and rate of deformation, orientation of the crystal, the crystal purity, quantity and
nature of impurities and alloying elements, initial dislocation density, and crystal size, and the
stacking fault energy and the c/a ratio (for HCP metals). The three stages of stress-strain curve
are shown in Figure 5.15.
-, Stage I
(I) _ _ _ _ ___,
(/)
~
t,
ai
Ql
.s:::.
(/)
"Cl
~
0
(/)
Ql
0:::
Stage II
: Stage III
..___.
'
''
strain hardening
rate due to
dynamic
recovery
Resolved shear strain, r
FIGURE 5.15 Typical stress-strain curve of a pure FCC metal.
Stage I is the region of easy glide that occurs immediately after the initial elastic response of
the crystal is over. The curve is linear in this region but displaying little strain hardening with
appreciable strain. This is why this stage is termed as Easy glide. The flow curve is almost flat.
The little strain hardening during stage I, can be correlated to the slip that occurs only on single
slip-system (as in case of most HCP single crystals). There are no substantial obstacles to
dislocation movement and therefore the free path of dislocations is long. Under the influence
of shear stress, the generated dislocations quickly escape from the surface of the crystal without
encountering barriers and produce slip steps. This kind of plastic flow is also termed as
Laminar flow. The magnitude of stress during easy glide markedly depends on the crystal
purity. For instance, single crystal of zinc with a purity of 99.96% exhibits a glide stress of
about 0.95 MPa at the initiation of easy glide stage as against 0.18 MPa for the same crystal
with a purity of 99.99% Zn.
@Seismicisolation
@Seismicisolation
Deformation of Metals 123
Stage II starts after the end of Laminar flow or easy glide stage. During this regime the flow
curve is linear with rapid increase of strain-hardening (by a factor of about 30 as compared to
strain hardening during easy glide). This stage initiates when resolved shear stress exceeds the
critical value on more than one set of slip systems. As a result dislocations combine on
intersecting slip planes and produce Lamer-Cottrell barriers. The number of these barriers
increases with increasing plastic strain. These are the barriers to the motion of other dislocations
on respective slip planes. As the number of Lamer-Cottrell barriers increases, further movement
of dislocations, and hence, the plastic strain becomes more and more difficult. The resultant
effect is the increased strain-hardening. This stage is independent of temperature, though the
moment at which stage II passes to the third stage is variable.
The portion of the strain hardening curve corresponding to Stage III is typically parabolic
rather than linear (Figure 5.15). During this stage, strain hardening rate decreases with
increasing strain. In this region of the flow curve the level of applied stress is sufficient to
activate screw dislocations in the pile-up at the barriers to cross-slip on to low energy adjacent
planes where there is either no obstacle to its motion resulting in increased strain or screw
dislocations of opposite sign exist. The opposite kind dislocations attract each other and
eventually annihilate. As a consequence dislocation density decreases. This process of cross-slip
is, thus, a recovery process because strain hardening is reduced. Hence, Stage III of flow curve
is commonly called dynamic recovery. The onset of stage III is highly sensitive to temperature
of deformation. As the temperature of the crystal rises, recovery process takes place at rapid
rate, i.e. the onset of stage III shifts towards lower values of strain. The only mechanism of
strain hardening during the third stage is the intersection of forests of dislocations. Work
hardening may also result if the screw dislocation that cross glide to adjacent parallel plane
encounters an obstacle.
It can further be noted in Figure 5.14, that HCP metals, in general, display least strain
hardening response. This is because in single crystals of HCP metals the common active slip
planes are the basal planes and these are parallel to one another. In such cases, Frank-Read
sources in the basal planes can operate continuously for an unlimited period, as the loops
produced by the sources can move out and escape from the surface. The dislocation source
operates at almost the same shear stress and the rate of strain hardening is very little. However,
if the tensile stress axis is oriented suitably with respected to nonparallel less common slip
planes (such as prismatic and pyramidal planes) slip may take place there. Dislocations on these
nonparallel planes can intersect to produce higher rate of strain hardening. In metals with BCC
and FCC crystals, the active slip planes are intersecting and therefore as dislocations move on
such planes they react on line of intersection and produce immobile dislocations that impart
increased rate of strain hardening.
5.3.6 Structural Changes in Cold Worked Polycrystalline Metals and Alloys
Majority of metallic materials used today are polycrystalline in nature. Plastic deformation of
a polycrystalline metallic material results not only in a permanent change in its external shape
but also brought about changes in internal structure such as change in shape and size of grains,
generation of imperfections, development of a texture and so on. The eventual effect is
hardening of the metal. That is, the metallic material is said to be strain hardened. If plastic
@Seismicisolation
@Seismicisolation
124 Mechanical Behaviour and Testing of Materials
deformation is carried out in the temperature region (generally below 0.4 Tm, where, Tm is the
temperature in °K) and over a period of time such that the effects of strain hardening are
retained and changes of internal structure are maintained, it is called cold working.
Plastic deformation of a material is associated with generation of crystal imperfections
including point, line, and surface defects. Of these, the line imperfections are of great
concerned. Point imperfections such as vacancies and interstitialcy atoms can be produced by
gliding jogged screw dislocations or by annihilation of edge dislocations of opposite sign in the
adjacent planes (Refer Chapter 4) or when edge dislocations climb down or by any other
mechanism. Dislocation density is increased from as low as 106/cm2 in annealed state to as high
as 1012/cm2 in heavily deformed crystals. All these imperfections produce distortion of the
lattice and raise the internal energy of the metal or alloy. Of the total energy expended in cold
working about 10% remains stored within the crystalline metal and the remaining is lost as heat.
The major contributor to the stored energy (called inherent energy) is increased dislocation
density. The number of stacking faults also increases with increasing the degree of cold
working. Many other defects such as kinks, jogs, dipoles, prismatic dislocations can also be
produced during cold working. All these imperfections give rise to internal stresses.
Changes in external shape of a metal being deformed must of course, be reflected in its
internal structure by corresponding changes in the shape of individual crystals (or grains) of
which it is composed of. However, not all crystals present in a given metal section will deform
in exactly the same way or to precisely the same extent due to differences in composition,
crystal structure, original shape and orientation. In a homogeneous metal or alloy, when the
extent of deformation is reasonably uniform throughout the section under consideration, in
order to maintain cohesion between the adjacent grains, all individual grains undergo similar
changes in shape as deformation continues. If these grains are originally equiaxed, they all
undergo elongation and reduced in thickness as the metal is rolled down into a sheet or drawn
into a wire form. This kind of change becomes apparent in microstructure when the metal or
alloy is reduced in section by 20-30% as shown schematically in Figure 5.16. The grains are
elongated in the direction of flow of metal, i.e. a microscopic anisotropy is obtained. The extent
of elongation of individual crystals increases with degree of cold working. With very extensive
reductions, it is very difficult to bring out clearly the grain boundaries within the structure. The
structure appears fibrous. With increasing degree of cold deformation, the elongated grains may
break up into smaller grains also. Whichever is the forming operation whether cold rolling, deep
drawing, wire drawing, or cold pressing, elongation of each individual grains must necessarily
be the direction in which the principal flow of metal occurs in vicinity to that grain. Thus
microscopic examination of the change in crystal shape produced during deformation is often
useful in studying metal flow during complex forming operations. This information in turn is
useful in overcoming operational difficulties and improving the design of dies, rolls, and
forming tools, in general. The metal is strong in the direction in which the grains have been
elongated. This kind of structure is highly useful in many forged products such as crankshaft,
camshaft, crane hooks, and connecting rod. In a metal or alloy containing some heterogeneity
like metallic or nonmetallic inclusions, segregation, etc. is cold worked; these heterogeneities
also get elongated along with the individual grains of the polycrystalline material and form a
banded structure.
@Seismicisolation
@Seismicisolation
Deformation of Metals 125
Deformation direction -
(a) (b)
FIGURE 5.16 Schematic representation of microstructural change during plastic deformation.
(a) Original equiaxed grain structure before deformation, (b) Cold rolled to about 40%
in thickness. The grains have been elongated in the direction of rolling.
In the early part of deformation, a cell like structure can also be developed in metals, in
particular, those having high stacking fault energy. In the early stages of plastic deformation,
slip occurs on primary glide planes and an array of dislocations is produced. As plastic
deformation continues cross-slip takes place and the process of dislocation multiplication
operates. This leads to the formation of high dislocation density regions called tangles which
in tum developed into tangled network (Figure 5.17). The resultant structure after appreciable
plastic deformation is termed as cellular structure (Figure 5.18). This kind of structure is a
characteristic structure of a cold worked state of metal. In this structure the high density
dislocation tangles form the cell walls. The cell size decreases with strain at low deformation
but soon attains a fixed size, indicating that as strain proceeds the dislocations sweep across the
cells and join the tangle in the cell walls. Thus, the interior of the cell is predominantly depleted
with respect to dislocations.
Dislocation free regions
Cell
FIGURE 5.17 Cold worked structure showing
dislocation tangles.
Dislocation free regions
FIGURE 5.18 Dislocation cell structure deve-
loped after heavy deformation
of about 50%.
@Seismicisolation
@Seismicisolation
126 Mechanical Behaviour and Testing of Materials
Preferred orientation (crystallographic texture)
Cold working also results in the development of a texture. Most of the methods of deforming
polycrystalline metals result in the predominance of a particular crystallographic direction or
plane parallel to the direction of deformation in a majority of individual crystals. When a single
crystal is deformed under tension the slip direction is observed to rotate until it becomes nearly
parallel to the tensile axis. Similarly, if a polycrystalline metal is subjected to tensile
deformation, the atomic planes in its individual crystals rotate and tend to align with respect to
the axis of tensile stress. A texture or the so called preferred orientation is said to be
developed. In other words, a crystallographic anisotropy is developed. The nature of the texture
developed depends on the particular process of deformation used and also on the crystal
structure of the metal or alloy. There are several types of deformation texture which are
determined primarily by the type of deformation process used and the characteristic stress
distribution each process imposes. In the deformation processes such as wire drawing, swaging,
extrusion, etc. the individual crystals are elongated in the direction of working. The structure
appears to be fibrous. The fibre texture is characterized by a crystallographic direction of low
indices parallel to the stress axis. For instance, the BCC polycrystalline metals deformed by
wire drawing have a fibre texture with (1 1 O) direction parallel to the wire axis. The perfection
of texture increases with the degree of plastic deformation. In case of FCC polycrystalline
metals, the fibre texture may be (1 1 1) and/or (1 0 O) direction parallel to the wire axis
depending on the stacking fault energy (SFE) of the metal. A metal with higher SFE such as
aluminium, has a single (1 1 1) texture, whereas silver and brass with relatively lower SFE
exhibit a predominantly (1 0 O) texture with some (1 1 1) texture. HCP metals such as
magnesium, when wire drawn, the basal planes rotate in such a way that (10 I 0) direction in
the basal plane becomes parallel to the wire axis. In general, cold extruded and swaged metals
exhibit fibre textures similar to those occurring as a result of wire drawing. Some common
textures produced by cold working are given in the Table 5.4.
TABLE 5.4 Some common texures produced by cold working
Crystal structure Mode of working Texture
FCC Wire drawing and extrusion (1 1 1) Parallel to wire axis
(1 0 0)
BCC Wire drawing and extrusion (1 1 0) Parallel to wire axis
HCP Wire drawing and extrusion (1 0 T0) Parallel to wire axis
FCC Rolling {1 1 0} Parallel to rolling plane
(1 1 2) Parallel to rolling direction
BCC Rolling {0 0 1} Parallel to rolling plane
(1 1 0) Parallel to rolling direction
HCP Rolling {0 0 0 1} Parallel to rolling plane
(1 120) Parallel to rolling direction
@Seismicisolation
@Seismicisolation
Deformation of Metals 127
The texture developed on rolling a metal or alloy is frequently called as rolling texture.
A rolling texture not only has a specific crystallographic direction (like fibre texture), parallel
to the direction of rolling, but also a plane of low indices in the rolling plane. Like fibre texture,
ideal rolling texture is developed only after extensive cold deformation (say 80-90%). In
addition, more than one marked texture can coexist in a particular rolled metal. Smaller amounts
of minor texture components may also be present. The rolling texture commonly observed in
FCC metals and alloys is {1 1 0}(1 1 2) with a {1 1 0} plane lying in the rolling plane and
a (1 1 2) direction in the rolling direction. In addition to this common texture, varying amounts
of second texture {1 4 6}(2 1 1) is also found in high purity copper which eventually changes
to ideal common texture {1 1 2}(1 1 1) only after extensive deformation. This later texture is
termed as copper texture. The kind of predominant rolling texture is greatly influenced by the
SFE of metals and alloys. For instance, high purity copper which has relatively high SFE
(~ 60 erg/cm2) exhibits copper texture. On the other hand, pure silver having substantially lower
SFE (~ 35 erg/cm2) than pure copper, develops a simple {l 1 0}(l 1 2) texture on cold rolling.
This texture is described as a typical alloy or brass texture as it is common with a-brass
containing a minimum of 10% zinc. A number of FCC metals display a transition of texture
from copper texture to brass texture if alloyed with elements which lower SFE of the metal
sufficiently. The transition in texture seems to occur at a SFE of about 30-40 erg/cm2• The type
of rolling texture developed in a FCC metal or alloy is also dependent on temperature. A rise
in temperature of deformation favours copper texture rather than brass texture, so that only the
metals or alloys with very low SFE can retain the brass texture when temperature is raised, for
example, to 0.5 Tm. Another example is 18-8 austenitic stainless steel, which has a fairly low
SFE, develop a gradual transition from {1 1 0}(l 1 2) brass texture to that of pure metal
texture as the rolling temperature is raised from 200°C to 800°C. This behaviour is also
accompanied with reduced frequency of stacking faults. In all FCC metals, a brass texture is
developed at low deformation, but as deformation proceeds, this texture is replaced by more
complex texture in case of metals with high SFE. For example, commercial aluminium develops
a {1 1 0}(l 1 2) texture after about 45% reduction, but this is soon changed to a texture
approximating to {1 1 2}(1 1 1). On the other hand, silver with substantially low SFE retains
the brass type texture up to 99% reduction. The predominant orientation developed in BCC
metals and alloys is {0 0 1}(l 1 0) with cube planes in the rolling plane. In addition, other
textures such as {1 1 2}(1 1 0) and {1 1 1}(l 1 0) have also been reported by investigators.
Hexagonal metals tend to develop the basal plane parallel to the rolling plane and the close
packed direction (1 1 2 0) parallel to the rolling direction. This texture is most commonly
found in those HCP metals with near-ideal axial ratios, such as magnesium and cobalt.
Industrial importance of texture
In HCP metals, slip is confined on single set of slip planes {0 0 0 1}, whereas in cubic metals
slip occurs on intersecting sets of potential slip planes. The directionality of properties that
result from the development of texture in cubic metals therefore, is neither so extreme nor so
disastrous as it is in HCP metals. Still it is a real source of trouble in forming or fabricating
operations or in service. Thus when cupped or drawn shapes are formed from cold reduced
copper sheets or any other cold finished cubic metal, four symmetrically arranged ears usually
form on the upper rim of the shape, as illustrated in Figure 5.19. Earing results from directionality
@Seismicisolation
@Seismicisolation
128 Mechanical Behaviour and Testing of Materials
/ ,,
I '/
 I/
'
/
' L, __l/
(a) (b)
FIGURE 5.19 The cups deep drawn from a FCC metal sheet having: (a) Random grain orientation,
(b) Preferred grain orientation displaying earing.
of properties in the blank from which the shape is produced. Each ear represents the direction
in which resistance to deformation was relatively low. As a consequence greater than the
average elongation occurs in the region of the ears this in turn is associated with greater than
the average reduction in thickness of the sheet. Thus earing results in variation in the wall
thickness of the drawn shape. In an industrial operation, such ears are discarded by trimming.
Thus there is loss of material and wastage of time. Further, earing indicates directionality of
properties so pronounced that splitting of the metal is likely to occur either during the drawing
operation itself or in some latter forming operation (e.g. flanging the cup), or in service.
In case of cold rolled steel sheet, which are predominantly a-steel with BCC structure, the
preferred orientation results in lowering of yield strength, tensile strength and ductility across
the grains, i.e. in the direction transverse to the rolling direction than parallel to it. Such sheets
are commonly cross-rolled for deep drawing purposes, and other operation, i.e. rolling them
alternately in two dimensions at normal to each other, to break up the preferred orientation that
would develop if all the deformation is carried out in the same direction. However, cross-rolling
is expensive. It is done only in case it is economical.
The advantage of preferred orientation is derived in producing grain oriented silicon-iron
transformer sheets, special treatments (i.e. carefully controlled rolling and annealing cycles) are
used to produce coarse-grained metal with near perfect texture. The finished sheets are trimmed
and assembled so that the (l OO) direction, which is parallel to the direction of rolling, will also
be parallel to the direction of magnetic field imposed on the metal in service. In iron, (l O O)
directions are those in which magnetization occurs most readily, while (l l O) directions
(transverse to the sheet) have much lower permeability. This arrangement, therefore, greatly
increases permeability and significantly reduces hysteresis losses in the transformer core.
5.3.7 Annealing of Cold Worked Metals
Cold working of metals and alloys results in increased stored energy due to lattice distortion
caused by various crystal imperfections. The major contributor to increased stored internal
energy is increased dislocation density. The original grain structure is also destroyed during
cold working. On the one hand, some properties such as yield strength, hardness, tensile
strength, electrical resistivity, coefficient of thermal expansion and chemical reactivity are
@Seismicisolation
@Seismicisolation
Deformation of Metals 129
enhanced as a consequence of strain hardening, the other properties such as ductility, electrical
and thermal conductivities and magnetic permeability are deteriorated on the other hand. In
order to relieve the internal stresses and to restore the properties that are deteriorated due to cold
working, the metal or alloy is subjected to a heat treatment process called annealing. Once the
metal or alloy is annealed it is capable of deforming further if so required. Thus annealing is
used as an intermittent process when considerably large reductions are needed. The treatment
is then regarded as intermittent annealing treatment. One or more number of intermittent
annealing may be required depending on the characteristic of the metal or alloy or the extent
of reductions needed. This annealing may be a final heat treatment for the concerned metal or
alloy. The process of annealing occurs in three stages namely, recovery, recrystallization and
grain growth.
Recovery
It is the first stage of annealing. When the strain hardened metal is heated to relatively lower
temperatures, usually near about 0.3 Tm (where, Tm is the melting temperature in K), the process
called recovery starts. During the stage of recovery the internal stresses are relieved as a result
of reduction in number of excess structural defects, in particular, dislocations. Some of the
structural imperfections are rearranged to low energy configurations. The grain structure
remains unaffected during this stage of heating. The consequent effect of reduction in density
of imperfections, in particular, point imperfections is the restoration of electrical conductivity
that was reduced due to increased density of imperfections during plastic working. The
mechanical properties generally do not change during recovery stage. As such there is no
change in microstructure of the metal or alloy. The two basic processes that occur during
recovery process are:
(i) Annihilation of a portion of point imperfections and rearrangement of others to a
special configuration of low energy.
(ii) Annihilation of most of the dislocations and rearrangement of many others to a low
energy configuration.
In both the above processes, annihilation of imperfections occurs prior to their
rearrangements. The notable point here is that depending on the temperature of cold
deformation, a part of the recovery processes may occur simultaneously with deformation. This
phenomenon is called dynamic recovery.
Mechanism of annihilation and rearrangement of point imperfections
There are various ways in which point imperfections can be annihilated. Interstitialcy atoms
diffuse to vacancies and annihilate each other. The point imperfections also diffuse and sink to
dislocations as well as high angle grain boundaries thereby reducing their concentration.
Interstitialcy atoms diffuse to edge dislocations to climb them down. Similarly, vacancies also
diffuse to edge dislocations resulting in their climbing up. Reduction in density of point
imperfections can be monitored by experimentally measuring the electrical resistivity of the
crystal as a function of annealing time. A reduction in electrical resistivity indicates the
elimination of excessive point imperfections. In the cold deformed crystal, point defects if
present in excess, act as the centres for scattering electrons thereby raising electrical resistivity.
@Seismicisolation
@Seismicisolation
130 Mechanical Behaviour and Testing of Materials
Mechanism of annihilation and rearrangement of dislocations
As the temperature of annealing is increased, annihilation of excessive dislocations and their
rearrangement occur. A pair of opposite sign of dislocations (edge as well as screw type) lying
on the same slip plane approach each other due to force of attraction they experience and
annihilate each other (as discussed in Chapter 4). If edge dislocations of opposite sign are lying
on the parallel slip planes, their coming together may result in a row of vacancies or interstialcy.
These point defects can be annihilated according to the mechanisms discussed in the previous
paragraph. Once dislocations of opposite sign are annihilated, excess dislocations of the same
sign are leftover. These randomly distributed dislocations of like sign in a bent crystal
[Figure 5.20(a)] diffuse and arrange one below the other in the form of a wall [Figure 5.20(b)].
This configuration has lower energy as compared to when these dislocations have random
distribution. This is because the tensile stress field of a dislocation is partly counterbalanced by
the compressive stress field of the dislocation lying below it. Thus, the elastic strain energy of
this configuration [Figure 5.20(b)] of dislocations is lower than that shown in Figure 5.20(a).
The excess edge dislocations form the tilt boundary while the excess screw dislocations form
a twist boundary. This leads to the formation of subgrains (also called polygons) in a single
grain or individual crystal. The dislocation wall separating the subgrains or polygons is called
low angle grain boundary (or tilt boundary if the angle of misorientation is of the order of
l-2°). The process of redistribution of dislocations into walls to result in the formation of
polygons is called polygonization, as illustrated in Figure 5.20(b). The polygons or subgrains
are free of dislocations and are separated from each other by low angle dislocation boundaries.
Planar surfaces
(a) (b)
Sub-grain
boundaries
Polygon or
sub-grains
FIGURE 5.20 Process of polygonization: (a) Random arrangement of like sign edge dislocations in
a bent crystal, (b) Dislocations of the same sign rearranged into arrays forming sub-
boundaries separating polygons or the so called subgrains.
Recrystallization
The stage of recrystallization starts immediately after polygonization if the material is annealed
for longer time or if its temperature is raised. This stage involves the major change in
microstructure. The new strain free grains develop at the expense of distorted cold deformed
@Seismicisolation
@Seismicisolation
Deformation of Metals 131
grain structure. The volume energy of the deformed grains is reduced by reducing the number
of structural defects. In fact, the reduction in volume energy of the cold worked material is the
driving force for recrystallization to occur. Recrystallization results in reduction of hardness and
both yield and tensile strength and improvement of ductility. The physical properties that were
reduced as a consequence of cold reduction are now fully restored.
Recrystallization can be described as a nucleation and growth process during which strain
free crystals nucleate and grow in the deformed metal. Usually recrystallization is carried out
at certain temperature over a period of time. A typical isothermal recrystallization curve is
shown in Figure 5.21 . The graph shows an incubation period followed by recrystallization
curve. In the beginning, recrystallization occurs slowly, and then increases somewhat rapidly
and finally slowed down near to completion. In those cases where polygonization is essentially
completed before the start of recrystallization, the stored energy can be assumed to be confined
to dislocations in the polygon walls. The strain free new crystals or grains are nucleated by the
growth of subgrains developed during the stage of recovery. Experimental observations suggest
three models for nucleation of recrystallization in metals: by the migration of preexisting grain
boundaries between neighbouring grains, by motion of subgrain boundary or by coalescence of
subgrains. All these processes involve diffusion of atoms which is primarily a temperature
dependent process.
100
90
-,f2. 80
c 70
.Q
1ii 60
~
1§
Cl)
50
c=- 40
(.)
Q)
et:: 30
20
10
0
'
------T------------
Time at which 50%
recrsytallization is over
!/
Time of annealing
FIGURE 5.21 A typical isothermal transformation (recrystallization) curve for a metal at certain
temperature.
In all these models, diffusion plays an important role such as for dislocation climb, volume
diffusion (for coalescence), and so on. Thus the formation of recrystallized nucleus is a
thermally activated process, i.e. the higher the temperature the lower will be the time of
nucleation for recrystallization. Conversely, as the temperature of annealing decreases it needs
longer time for recrystallization to complete. Generally, recrystallization occurs over a narrow
range of temperature above 0.3 Tm to 0.5 Tm of the material (where Tm is the melting
temperature in Kelvin). This temperature is arbitrarily defined as the temperature at which 50%
of the cold worked metal recrystallizes in l hour.
@Seismicisolation
@Seismicisolation
132 Mechanical Behaviour and Testing of Materials
Factors affecting recrystallization temperature
Recrystallization temperature depends on several factors, namely, degree of cold deformation,
purity of metal, original grain size of the metal, temperature of deformation, melting
temperature of the metal and time at temperature. In general, as the degree of plastic
deformation increases, the process of recrystallization occurs rapidly i.e. in a shorter time at a
certain fixed temperature. In other words, if annealing is carried out at a constant temperature,
the metal with higher degree of cold working recrystallizes faster than that with lower degree
of cold working and also needs a shorter incubation period before beginning of recrystallization.
An excessive degree of cold deformation generates a higher density of dislocations (and higher
amount of stored energy) which in turn results in quick dislocation arrangement to subgrain
structure and consequently a fine size of subgrains with a large grain boundary area. This
structure favours a shorter time for the formation of active nucleus of strain free crystals during
recrystallization and hence a fine grain structure after recrystallization process gets over. On the
other hand, if the amount of cold deformation before annealing is very low, subgrains form on
heating and they grow and attain a large size with low angle boundaries. This structure prevents
recrystallization process to occur. Thus there is a critical value of cold working (normally range
from 2-20%) below which, on annealing, recrystallization does not occur even at temperature
near the melting temperature of the metal. Of course, the processes such as recovery or grain
growth are possible. This minimum amount of deformation is called critical deformation and
is defined as the minimum deformation necessary to cause recrystallization in a metal within
a reasonable time of heating.
Purity of a metal also affects the recrystallization temperature. In general, higher the purity
of a metal lower is the recrystallization temperature (say between 0.3-0.4 Tm)- Recrystallization
temperature increases with both the concentration of impurity in a metal and by increasing the
alloy content. Impure metals may recrystallize only around 0.5-0.6 Tm. For instance,
aluminium with 99.99% purity has recrystallization temperature of 100°C (0.4 Tm) as against
240°C (about 0.56 Tm) shown by aluminium with 99.7% purity. Nickel with 99.99% purity has
a recrystallization temperature of 370°C as against 600°C for Monel metal (70%Ni-30%Cu). In
case of alloy, the recrystallization temperature increases with alloy content. In an alloy, solute
atoms are elastically attracted to dislocations inside the grain and form Cottrell atmospheres.
These Cottrell atmospheres restrict the movement and rearrangement of dislocations, which is
required for the formation of recrystallization nucleus. The solute atoms are also tend to
segregate to grain boundaries whose movement is thus decreased. This also helps in retarding
the nucleation and growth of recrystallization nuclei. A uniform dispersion of second phase
inert particles also raises the recrystallization temperature. For instance, dispersion of 10% of
alumina particles in aluminium raises the recrystallization temperature to about 0.9 Tm.
The initial grain size before cold working also affects the recrystallization behaviour of
a metal. A lower original grain size needs higher degree of cold working to achieve an
equivalent recrystallization effect. Finer initial grain size lowers the recrystallization
temperature.
A higher temperature of cold deformation needs greater degree of cold working to achieve
an equivalent recrystallization effect. Working at higher temperature results in partial recovery
(called dynamic recovery). The consequent effect is lower amount of stored energy and vacancy
concentration. Lower amount of stored energy is unable to provide driving force required for
@Seismicisolation
@Seismicisolation
Deformation of Metals 133
recrystallization to occur. Thus, the higher the cold working temperature higher will be the
recrystallization temperature. In fact, a decreased concentration of vacancies slows down the
diffusion processes which in turn control the rate of formation of recrystallization nuclei.
For a given amount of deformation, higher is the rate of deformation lower will be the
recrystallization temperature. A higher rate of deformation leads to higher density of
dislocations of like sign and therefore higher driving force to nucleate recrystallization grains.
Grain growth
When deformed grain structure is almost totally replaced by strain free crystals during
recrystallization annealing the stage of recrystallization is said to be completed. If heating of the
metal continues at the same temperature or if the temperature is raised, the grain boundaries
start migrating slowly to coarsen certain grains at the expense of others. The average grain size
of the metal or alloy thus increases. The driving force for grain growth is the energy released
as an atom moves across a grain boundary from the convex to concave grain (Figure 5.22),
where the atom is coordinated with large number of neighbours at equilibrium interatomic
spacings. [At equilibrium, when surface tension forces are balanced, the three grains meeting
at a triple point make an angle of 120°, i.e. the grains should have hexagonal shape with six
surfaces. Generally, the grains with boundaries (or su,faces) less than six have their boundaries
convex outwards while those with sides greater than six in number have their boundaries concave
outwards (or convex inwards)]. Further, the grains have curved boundaries as they are not in
perfect equilibrium, they are at higher energy and therefore they tend to straighten out to reduce
energy. In doing so, atoms move from one grain to another across the boundary depending on
their curvature. The consequent effect is the migration of boundaries towards the centre of
curvature. Usually convex grains are said to be smaller than concave ones. Since atoms move from
smaller grain to surrounding larger grains (Figure 5.23) and boundaries move towards the center
of curvature of convex grain, the eventual effect is the coarsening of larger grains at the collapse
of smaller grains. Grain growth taking place with increasing time at a constant temperature
(isothermal annealing) is small as compared to that occurring with increasing temperature at
constant time (normally one hour at a temperature, the treatment is called isochronal annealing).
- Atom adjustment
- Grain boundary
movement
FIGURE 5.22 Grain boundary movement. The atoms from convex grain move to the concave grain
where these are more stable. As a consequence grain boundary shifts towards the
centre of curvature.
@Seismicisolation
@Seismicisolation
134 Mechanical Behaviour and Testing of Materials
FIGURE 5.23 Grain growth: The boundaries move towards the centre of curvature as indicated by
arrows and atoms move in the opposite direction.
Presence of impurity atoms or alloying atoms in the form of second phase inclusions
inhibits grain growth in metals and alloys. This criterion has been used to control grain growth
at high temperatures during heat treatment or during service. If the inclusions are fine and
uniformly dispersed and do not dissolve (at that temperature) in matrix, they can serve the
purpose of inhibiting grain growth. In steels killed by aluminium (aluminium deoxidized steel),
AlN inclusions are formed which are uniformly dispersed to provide inherently fine grain
structure. However, these nitride inclusions can prevent grain growth upto about l050°C above
which rapid grain growth occurs. This is because these particles dissolve into matrix above this
temperature. In case of high speed steels, presence of vanadium of l-4% produce highly stable
VC type carbides. These carbides remain partly undissolved even up to about l300°C at which
steel is austenitised for hardening treatment and prevent grain growth. Similarly, fine dispersion
of carbides in certain superalloys also prevents grain growth.
5.4 DEFORMATION BY TWINNING
Though slip is the major process of permanent deformation in metals, this deformation can also
be produced by another process called mechanical twinning. However, the extent of plastic
deformation caused by mechanical twinning is always quite small. Twinning seems to be a
systematic form of slip which results in a change of orientation of one portion of the lattice (the
twinned part) relative to rest part of the same lattice. Within the twinned region the atomic
arrangement is a mirror image of the undeformed part of the lattice across a separating plane
(called the twinning plane). Deformation by mechanical twinning is not a dominant mode of
deformation in metals which possess many potential slip systems, e.g. FCC metals; however,
it is very significant in metals where the possible slip systems are severely limited, e.g. in HCP
metals. In case of HCP crystals, the number of slip systems is limited to three only though other
slip systems may become active sometimes depending on temperature, etc. In BCC crystals the
active slip planes are not as closely packed as in FCC or HCP crystals. Thus plastic deformation
in HCP and in many instances in BCC crystals becomes difficult by the process of slip. In such
cases deformation occurs by the process of twinning. Sometimes deformation by slip occurs
after initial twinning. In polycrystalline zinc, e.g., rolling at atmospheric temperature produces
a number of broad twinned regions. This probably happens because the crystal is originally so
@Seismicisolation
@Seismicisolation
Deformation of Metals 135
oriented that the resolved shearing stresses on their basal planes were too low during rolling to
initiate normal slip. However, the orientations of the newly twinned regions are always such that
the shearing stresses resolved from the same external load are significantly higher along their
reoriented basal planes. Deformation by slip occurs on these reoriented basal planes. Thus, the
result of twinning is a useful increase in the deformation by normal slip which precedes fracture.
Although this behaviour is typical of hexagonal metals, the fraction of the total volume of any
given crystal which is reoriented by mechanical twinning is usually quite small and the total
amount of deformation in such a crystal is correspondingly limited. Thus, HCP metals maintain
their tendency towards brittleness in spite of the ease of twinning.
The formation of a twin always begins suddenly with an energy release in the form of
sound and always occurs very rapidly (i.e. catastrophically). The stress-strain curve of a single
crystal undergoing twinning shows sharp, jagged irregularities, each corresponds to a sudden
but very small permanent deformation of the metal as a twin was created in it. The cry of tin
(a cracking noise) is associated with the copious formation of twins which results from the
bending of the rod of this metal. This phenomenon is also found in Zn, Cd and Mg.
In the process of deformation by twinning, atomic planes parallel to the twinning plane
are displaced step by step by a fixed distance in relation to one another equal to a fraction of
lattice parameter. Figure 5.24 shows the diagram of twinning of a crystal AECDA. The area
ABCDA is the undeformed part of the crystal, BECB is the part where twinning has taken place
and BC is the twinning axis. The plane passing through the twinning axis and separating the
region of twinning from undeformed part of the crystal is called twinning plane. Figure 5.24
shows that twinning results in the displacement of the atoms of the plane 11' relative to the
twinning plane BC by a fraction of interatomic distance in the twinning direction. The plane 22'
is displaced relative to the plane 11' by the same fraction of interatomic distance, the
displacement relative to the twinning plane being twice as great. In other words, every atomic
plane parallel to the twinning plane is displaced in itself by a distance proportional to its
2 3 4
A
D C ,
Twin axis~•
(Trace of twin plane)
"
Twin
direction
FIGURE 5.24 Twinning in a crystal: sign '+' denotes the initial atomic positions in the twinning
region. Arrows indicate atom displacement. BC is the twin axis or twin boundary. Twin
plane passes through BC.
@Seismicisolation
@Seismicisolation
136 Mechanical Behaviour and Testing of Materials
distance from the twinning plane. As a result, the atoms in the twinned region assume positions
that are mirror reflections of the positions in the undeformed part of the crystal in the twinning
plane. Since only negligible relative displacement of the neighbouring atomic planes are
involved in the process of twinning it can not result in a great residual deformation.
Like slip, twinning can occur only on certain families of planes and by gross movements
only in certain crystallographic directions. In FCC metals the twinning plane is always a
{1 1 1} plane, in BCC it is a {1 1 2} plane, in HCP crystals it is a {l O I 2} plane and in
rhombohedral crystals it is {0 1 1} plane. Thus twinning can be produced only by shearing
forces and a definite level of shearing stress must be reached in order to produce twins in any
given metal or alloy.
5.5 DEFORMATION BEHAVIOUR IN CERAMICS
Ceramics are characterized for their high shear strength and low ductility. They have high
hardness and compressive strength but low fracture strength, and high notch sensitivity. A large
number of ceramics are ionically bonded solids in which each ion is surrounded by oppositely
charged ions. This arrangement of ions restricts plastic deformation of the crystal when
subjected to shear stress. This can be illustrated by taking an example of a simple metal oxide
such as NiO and the metal Ni. Figure 4.39(b) shows the arrangement of atoms or ions in each
case. For simplicity only two rows of atoms are shown. Arrows indicate the direction in which
the shear stress r is applied on both the crystals. In case of NiO crystal, in order to displace
the top row of ions with respect to the bottom, bonds between cations and anions of either row
is to be broken. High magnitude of shear stress is required to do so. At the same time a strong
force of repulsion arises if similar charges approach one another. This force has to be overcome
to move the top row with respect to the lower one. On the other hand, no such restrictions are
there in case of nickel metal [Figure 4.39(a)]. In NiO crystal slip can take place if the crystal
is oriented suitably with respect to the applied stress. For instance, slip can occur in NiO on
{1 1 O} planes and in (1 1 O) directions. There are only six slip systems of the type {1 1 O}
(1 1 O) in NiO, whereas the number of slip systems is 12 in Ni and are of the kind {l 1 1} (1 1 O).
The magnitude of Burgers vector of dislocations in NiO crystal is larger than that in Ni. The
values are 3 Aand 2.5 A, respectively. In addition, the dislocations in ionic crystals are narrow
and difficult to move due to large lattice frictional stress. Also the structure of dislocations in
ionic ceramics is complex. All these factors make ceramics hard and brittle.
5.6 DEFORMATION BEHAVIOUR IN POLYMERS
The tensile behaviour of polymers varies with structure, temperature and strain rate. At normal
temperatures some polymers show nearly linear behaviour up to the elastic range of stress-strain
curve and follow Hookean law ('curve A' in Figure 5.25). These include thermosetting plastics,
thermoplastics below T8, thermoplastics composed of molecules that have been aligned along
the tensile axis before testing at any temperature. These polymer materials do not show any
noticeable plastic flow before fracture. They fracture at maximum stress called tensile stress or
strength. In contrast, semicrystalline thermoplastics with unaligned molecules exhibit a
different type of stress-strain behaviour as shown by the curve B in Figure 5.25. The stress-
@Seismicisolation
@Seismicisolation
Deformation of Metals 137
strain curve for these materials can be divided into three regimes: Regime I comprises of a
nearly linear portion characterised by a low modulus. This represents the stress required to
overcome the intermolecular secondary bonds. As deformation is continued, unfolding of the
chains in spherulites (aggregates of crystalline regions) takes place and a neck is formed at some
point on the gauge length of the specimen. Yielding occurs at this point. The stress at which
yielding begins is called yield strength of the plastic. Some plastics show a nonlinear elastic
deformation before the appearance of the yield point in the tensile curve. Sometimes the yield
point is as sharp as observed for mild steel. With further deformation the stress-strain curve
remains approximately horizontal. This horizontal portion of the curve is called Regime II.
During this regime the majority of spherulites have broken up into partially aligned molecules.
Additional strain causes further alignment. Simultaneously the neck extends along the specimen
length by a process called cold drawing. Once the molecular chains are oriented, slippage of
chains past one another becomes difficult because of intermolecular bonding. As a consequence
greater stress is required for deformation to continue. This leads to Regime III of the curve.
Extension of the neck along the gauge length completes at the end of second regime. The
hardening associated with the molecular orientation is responsible for stabilizing the neck
formed at the yield point. As a consequence the cross-section of the specimen in the neck is
not reduced further. Work hardening begins during Regime III and continues up to the fracture
point of the sample. During the stage of work hardening microfibrillar structure is developed.
The stress at which fracture occurs is called the tensile strength of the polymer material.
Tensile strength may be greater, equal or less than the yield strength. The tensile properties of
some selective polymers are given in Appendix G.
Ll E~Neckiog
~
A
Fracture
Yield point
i
(/) B
(/)
~ Regime II
u5 Regime III
'
pherulite
e IMicm-
e fibrillar
~~~- structure
-
,,"1 ',
-
'
Strain-
FIGURE 5.25 Tensile curves for polymers. Curve A displays stress-strain behaviour of thermosets
and thermopolastics below T9 and thermoplastics with oriented molecules. Curve B
displays tensile behaviour of semi-crystalline thermoplastic with unoriented
molcules.
@Seismicisolation
@Seismicisolation
138 Mechanical Behaviour and Testing of Materials
The tensile behaviour of a polymer is greatly affected by temperature, deformation
rate (i.e. strain rate) and the degree of crystallinity. These effects are respectively illustrated
in Figures 5.26 and 5.27. Figure 5.26 shows that as the temperature decreases or the strain
rate increases the polymer material tends to become brittle, in particular, below the glass transi-
tion temperature. This behaviour is analogous to that exhibited by many metallic materials.
Strain-----.
FIGURE 5.26 Effect of temperature and strain rate on the tensile curve of a thermoplastic.
(/)
(/)
!!'.
ci5
A
Fracture
C
Strain-
FIGURE 5.27 Effects of degree of crystallinity on stress-strain behaviour.
For metallic materials this temperature is called ductile-brittle transition temperature. For
polymers it is the glass transition temperature below which the material is hard, stiff and brittle
while above this the material is soft and ductile. Figure 5.27 shows the effect of degree of
crystallinity on tensile curve. High density polyethylene (HOPE) that is more crystalline than
low density polyethylene (LOPE) displays higher tensile modulus and yield strength. Because
of the greater degree of crystallinity the intermolecular bonding is stronger in HOPE resulting
in higher modulus, yield strength and tensile strength.
@Seismicisolation
@Seismicisolation
Strengthening Mechanisms
in Materials
6.1 INTRODUCTION
Tensile strength and yield strength are the most extensively used mechanical properties for the
purpose of materials selection, inspection and quality control. Any one or both of these
properties are specifically mentioned in almost all national and international standards related
to metallic materials used for engineering applications. Therefore, it has been the aim of
metallurgists and materials engineers to attain tensile and/or yield strengths that are suitable for
the application under consideration. Since tensile and yield strength are structure-sensitive
properties, i.e. depend on the microstructure of the material, desired strength levels can be
attained by controlling the microstructure. This simple and fundamental approach is the basis
of various strengthening mechanisms. Following paragraphs describe different ways for
controlling the microstructure.
A microstructure may consist one or more than one phase. In case of single-phase
structures, as in pure metals and solid solutions, many grains of a phase are present. In dual-
phase and multi-phase alloys, grains of various phases are present. These grains are separated
by grain boundaries. Grain boundaries are barriers to the movement of dislocations. It is the
movement of dislocations that is responsible for the deformation of the material through slip.
Therefore, more the number of grain boundaries more will be the resistance offered by the
material against the movement of the dislocations and consequently higher will be the stress
required to deform the material. This fact forms the basis of important mechanism of improving
the strength of a material. Such a mechanism is known as grain boundary strengthening.
139
@Seismicisolation
@Seismicisolation
140 Mechanical Behaviour and Testing of Materials
Pure metals and solid solutions are single-phase materials. In case of pure metals, the
single phase consists of atoms of only one type occupying normal lattice sites. Exceptions to
this statement are commercially pure metals that contain additional atoms of impurity elements.
Fortunately, the amount of these impurity elements is so less that, in general, their impact on
strength properties is almost negligible. In fact, except for some highly specific applications,
commercially pure metals are used for producing materials for general engineering applications.
On the other hand, in case of solid solutions, single phase has atoms of solute elements in
addition to atoms of base (solvent) metal. Solute atoms are either present at normal lattice sites
by substituting atoms of parent (solvent) metal from these lattice sites or are located in the
interstitial sites. In both the cases, solute atoms introduce localized distortion in the lattice of
parent metal and cause strengthening. Strengthening caused by solute atoms is known as solid
solution strengthening. The extent of strengthening due to solid solution hardening depends
mainly on size difference (in percentage) between the atoms of parent metal and atoms of solute
elements. Amount of solute element(s) also influences degree of strengthening. For example,
ferritic matrix of carbon steel has lower strength than the ferritic matrix of gray cast iron. This
can be attributed to the presence of more amounts of elements (mainly carbon, manganese and
silicon) in ferritic matrix of grey cast iron than in the ferritic matrix of carbon steel. Significant
variation in the strength levels of ferritic stainless steel and transformer steel, also known as
Hadfield silicon steel (both having single-phase structure, i.e. ferrite) can be explained on
similar basis, i.e. amount of elements present in the ferrite.
Since solid solubility of an element into another is limited (Table 6.1), addition of alloying
element in amounts more than the solid solubility limit will result in the rejection of the alloying
element as a precipitate of second phase. This second phase may be a pure element, solid
solution or intermediate phase. The size, shape and distribution of precipitated phase particles
largely govern the mechanical properties of the material. Precipitate particles hinder the motion
of dislocations and thus strengthen the alloy. This process is generally known as precipitation
hardening. The same concept may be extended to multiphase alloys. In addition to the amount
and morphology (size, shape and distribution) of precipitated phase, the extent of strengthening
depends significantly on the coherency of precipitated particles with the matrix.
TABLE 6.1 Solid solubility limit of alloying elements in base metal
Base metal
Copper
Copper
Copper
Aluminium
Aluminium
Aluminium
Aluminium
Titanium
Magnesium
Solid solubility (in wt%) of alloying
element at room temperature
38 Zn
~ 1 Sn
0.5 Be
0.02 Cu
0.3 Mn
2.5 Mg
0.1 Si
~ 8.5 Al
1.5 Al
@Seismicisolation
@Seismicisolation
Strengthening Mechanisms in Materials 141
It is worth to mention here that the phases, other than the matrix, present in the
microstructure are not essentially due to conventional alloying, i.e. mixing by melting. Second
phase particles may be dispersed into the desired matrix by some special techniques. One very
simple technique is mechanical mixing of powders followed by compaction and sintering. These
dispersed particles too act as effective barriers to the movement of dislocations like particles of
precipitated phase. Particles of any material, having no solid solubility in the base matrix under
consideration, can be dispersed. However, strengthening takes place only when these particles
are harder than the matrix. This condition is easily fulfilled as for a given matrix, there are so
many materials having higher hardness levels. Strengthening due to dispersed particles is known
as dispersion hardening.
The two above stated strengthening processes, namely, precipitation hardening and dispersion
hardening may be studied under the single head "strengthening by second phase particles".
When a metallic material is subjected to mechanical working, it undergoes plastic
deformation. During the process, grains align themselves along the direction of applied force.
Thus by controlled mechanical working, grain size of the material can be altered and desired
grain size may be attained. As the temperature of mechanical working decreases, stress required
to cause plastic deformation increases. Below a particular temperature, known as
recrystallization temperature, the stress required to deform a previously deformed material is much
higher. In simpler words, it can be said that by deforming the material, below the recrystallization
temperature, strength of the material can be enhanced. Such a mechanism of strengthening is
popularly known as strain hardening and this is applicable to all ductile metallic materials, i.e.
pure metals, solid solutions and alloys. However this strengthening process is of great importance
to pure metals and single phase alloys which do not undergo any phase transformation, and hence,
cannot be strengthened by any other strengthening mechanisms.
During solid state transformation (e.g., heat treatment) of steels, austenite gets transformed
to pearlite, bainite or martensite. Pearlite exhibits least strength while martensite possesses
maximum strength. Therefore, steels can be strengthened by controlling the transformation of
austenite to martensite or bainite in place of pearlite. However, there are only few steels with
bainitic matrix. This is for the simple reason that bainite generally forms on isothermal cooling
and not on continuous cooling. Steels with martensitic matrix have much higher strength levels
than the commonly used pearlitic steels. This strengthening is referred to as martensitic
strengthening or strengthening due to phase transformation.
Strengthening mechanisms, described so far, have certain limitations when considered
individually. By using combinations of two or more strengthening mechanisms, maximum
possible strengthening can be developed in a material. Fortunately in actual practice,
engineering materials are strengthened significantly by subjecting the material to two or more
of these mechanisms simultaneously or in a particular sequence. Following sections deal with
various strengthening mechanisms.
6.2 GRAIN BOUNDARY STRENGTHENING
Microstructure of a metal or alloy consists of grains of a phase or of various phases. These
grains are separated from each other by grain boundaries. The number of grains and hence area
@Seismicisolation
@Seismicisolation
142 Mechanical Behaviour and Testing of Materials
of grain boundaries in a material depend on the cooling rate during solidification or during solid
state phase transformation. Higher the cooling rate, more is the number of nuclei and
consequently more is the number of grains. More the number of grains in a material, more is
the area of grain boundaries. A material is known as fine-grained material when it consists of
large number of grains. If a material has only few grains, i.e. less number of grains it is called
coarse-grained material. Comparison method for the measurement of grain size, developed by
American Society for Testing Materials, is the most popular and convenient method. ASTM
grain size number (represented by n) is related to the number of grains (N) per square inch at
a magnification of 100x by the relationship:
(6.1)
Larger the ASTM grain size number, more is the number of grains in the material.
A material shows maximum strength when it is free from dislocations. However, this is
an ideal condition and a real crystal material always has numerous dislocations. Strength of a
material decreases with increase in the number of dislocations or more precisely dislocation
density (see Figure 4.1). This decrease in strength is not linear in nature. Above a particular
value/range of dislocation density, strength increases with increase in dislocation density. Grain
boundaries are barriers to the movement of dislocations. Dislocation movement is essential to
cause slip. Slip is the basic mechanism of plastic deformation. It means that relatively more
stress will be required for plastically deforming a fine-grained material than that required for
a coarse-grained material. In other words, it can be said that relatively fine-grained material
offers more resistance to deformation and hence has higher strength. Such a phenomenon of
enhancing strength by controlling grain size of a material is referred to as grain boundary
strengthening. This mechanism is also known as strengthening by grain size control or
strengthening by grain refining but less popularly.
Since grain boundary strengthening raises strength and other mechanical properties of the
material, it is always the aim of metallurgists and materials engineers to treat the material in a
manner so that more and more fine grains are produced. One such method, i.e. faster cooling
rate has already been described earlier in this section. Faster the cooling rates, more is the
degree of undercooling (or supercooling). More is the degree of undercooling, more are the
fluctuations in the free energy of the liquid melt or of the solid mass undergoing solid state
transformation. Fluctuations in the free energy are essential for development of nucleation sites
in both cases, i.e. in the melt or in the solid mass. More is the degree of undercooling, more
are the nucleation sites, i.e. finer the grains. It has been observed that the presence of impurities
affects the number of nucleation sites significantly. Hence, fine-grained structure in many alloys
is obtained by the addition of certain elements. Such elements are usually known as nucleating
or inoculating agents. For example, addition of small amounts of strong carbide forming metals
in steels and metallic sodium in aluminium-silicon alloys refines the grain size of steels and
aluminium-silicon alloys, respectively. Mechanical vibrations can also induce nucleation. Grain
sizes can also be reduced to micron and submicron levels by controlled microalloying additions
followed by thermomechanical processing. Fine grains generated as a result of
thermomechanical processing are stable in many alloy systems (e.g. HSLA steels) and are
capable of providing increase in strength up to intermediate temperatures.
@Seismicisolation
@Seismicisolation
Strengthening Mechanisms in Materials 143
There exists a temperature, known as equicohesive temperature at which the strength of
grain boundary is equal to the strength of grains interior. At temperatures lower than the
equicohesive temperature, grain boundaries are stronger than the grains. It is for this reason, a
fine-grained material having large area of grain boundaries is preferred for engineering
applications at room temperature and moderately high temperatures. Above equicohesive
temperature, grains are stronger than the grain boundaries. Therefore, a coarse-grained material,
in general, exhibits better strength at higher temperatures. In metallic materials, segregation of
alloying elements, precipitated phase or impurities at or along the grain boundaries impair the
strength of grain boundaries significantly.
Tensile strength, yield strength and hardness of a material increase with increase in the
area of grain boundaries, i.e. with decrease in grain size (diameter). Yield strength is markedly
affected by grain diameter as is clear from the following well established Hall-Petch equation,
where, a0 is the yield strength
ai is the frictional stress opposing motion of a dislocation
ky is measure of extent to which dislocations are piled up at barriers
d is the average grain diameter
(6.2)
Thus, a material can be strengthened by decreasing grain diameter. A material with less
grain diameter has higher fatigue strength, particularly at moderate and low temperatures. One
unique feature associated with strengthening by grain boundary is that the ductility property is
either enhanced slightly or remains almost unaffected. In all other strengthening mechanisms,
strength increases at the cost of ductility. This is why this strengthening mechanism is
considered the best. The stress-strain curves are found to raise by decreasing the grain diameter.
While grain size can influence the whole stress-strain curve, the effect on the elastic limit (i.e.
flow stress, the stress required to begin plastic deformation) is particularly marked. For
example, for 99.99% aluminium, elastic limit has been found to vary from about 1.5 MPa to
3.5 MPa as the grain size changes from 2 to 50 grains/mm2• In comparison, the critical shear
stress for a single crystal is about 0.9 MPa. The elastic limit considered here is macroscopic
elastic limit (favourably oriented grains might have undergone slight plastic deformation prior
to this point in the stress-strain curve and is commonly termed as pre-yield microstrain). Thus
an optimum combination of strength, ductility and toughness can be attained by grain boundary
strengthening mechanism.
There are two models to explain the dependence of yield strength on grain diameter
caused by grain boundaries. The first is based on the concept that grain boundaries that act as
effective barrier to dislocation motion. The second model is based on dislocation density.
To explain the first model consider a polycrystalline metal subjected to shear stress. As
the resolved shear stress on a suitably oriented plane in a grain exceeds a critical value
dislocations move and cause slip. These dislocations move towards the grain boundary and
arrive there if no other obstacle exists on the slip plane in the path of their motion. As a
dislocation arrives to the grain boundary it stops there because the slip plane is no more
continuous across the grain boundary. As the applied stress increases, the other dislocations of
the same sign move on the same slip plane towards the grain boundary and pile-up, as illustrated
in Figure 6.1. These dislocations can be generated, e.g. from a Frank-Read source. At equilibrium,
@Seismicisolation
@Seismicisolation
144 Mechanical Behaviour and Testing of Materials
Slip plane
Grain boundary
obstacle
Grain
FIGURE 6.1 Dislocations pile-up at grain boundaries. Dot 'S' represents dislocation source.
the density of such dislocations would be high near the obstacle and lower with increasing
distance towards the dislocation source. Since dislocations are of the same sign they tend to
repel each other. Under the influence of applied shear stress they are pushed more closely at
the grain boundary than in vicinity to the source generating them. Such a configuration of
dislocations is given the name pile-up. These dislocations of like sign exert a back stress on
the dislocation source against the applied stress along the slip plane and in the slip direction and
tend the dislocation source to stop operating. In other words, the back stress opposes the applied
stress. The dislocation source continue to generate dislocations and expand the existing
dislocations towards the obstacle until the magnitude of back stress, rb equals that of the applied
stress, r less the stress, r0 necessary to activate the source, i.e.
'r& = 'r - 'ra (6.3)
This stress will resist the formation of dislocation loops at the source and the expansion of
existing loops on the slip plane. Increasing difficulty of forming and expanding dislocation
loops against the back stress will raise the flow stress (or the elastic limit) and hence to cause
strengthening.
The leading dislocation in the pile-up is acted on not only by the applied shear stress but
by the interaction force with the other dislocations in the pile-up. This leads to high
concentration of stress on the dislocation head in the pile-up. This internal stress, r; at the head
of the pile-up of N dislocations is N times the applied stress (r), i.e.
(6.4)
This stress can either initiate yielding in the adjacent grain by creating a dislocation source, or
it can nucleate a crack at the barrier.
At equilibrium, the number of dislocations N which can be piled into a length L of a slip
plane in which shear stress acts was calculated by Eshelby, Frank and Nabarro and is given as:
N= nLrk
Gb
(6.5)
where, k = l for screw dislocations and k =(l - V) for edge dislocations. The number of
dislocations is directly proportional to the stress and inversely proportional to the shear modulus
and the Burgers vector, b. It is further noted that as the length L increases (or grain diameter
@Seismicisolation
@Seismicisolation
Strengthening Mechanisms in Materials 145
increases) the number N also increases. The length Lis inversely proportional to the shear stress
i.e., as the grain size increases the shear stress on the slip plane decreases. For larger grain sizes
there will be larger pile-ups with higher stress concentrations at their head, so the locking at the
grain boundary will be less effective. This stress concentration can be relieved by inducing slip
in the neighbouring adjacent grain. Thus coarser the grain size, higher is the stress concentration
at the head of the dislocation pile-up, easier it is to propagate the yielding process, i.e. the flow
stress to produce macroscopic yielding will be less. In a fine grain structure, grain boundaries
limit movement of dislocations even in the early stages of deformation when the microstrain
produced is within the macroscopic elastic limit. Multiple slip occurs in most grains even at
small strains. Fine grains have large grain boundary area and large number of grains per unit
volume of the crystal. Accordingly, there will be more number of grain boundaries or the
obstacles to the motion of dislocations and hence higher flow stress is required to produce
measurable macroscopic strain corresponding to elastic limit. In a fine grain a dislocation moves
only a short distance before meeting a grain boundary, and thus, increase strength.
Dislocation cells and sub-boundaries are also effective strengtheners at low temperatures.
However, dislocation cells produced by cold working alone are not very useful because of poor
ductility. This disadvantage can be overcome when the cold-worked structure is slightly
annealed to produce well-developed dislocation sub-structures. The matrix is then free of
dislocations except in boundaries or cell walls, where they are arranged in low energy
configurations. The interaction of dislocations with these cell walls does not drastically reduce
the ductility and this route can easily be utilized for strengthening. The increase in strength due
to stable sub-structure is proportional to square root of cell size (i.e. diameter). The sub-
boundaries tend to become unstable as the temperature is raised. Therefore these can be
stabilized by second phase particles.
Apart from the well-established and accepted Hall-Petch relationship to explain grain
boundary strengthening, this model has been found to suffer from some problems. In particular
this model is unsuitable when the grain size is extremely fine, say of the order of nanometer.
The original proposal in terms of dislocation pile-up and nucleation of slip in the adjoining grain
are found to be unsatisfactory, in particular, when it has been realized that grain boundaries
behave as a source for dislocations. An alternative model based on density of dislocation has
been proposed by Li. According to him the flow stress is dependent on dislocation density. This
dependence is expressed in the similar way as Hall-Petch relationship. The following expression
shows the dependence of flow stress on density of dislocations:
O'o = ai + aGbp112 (6.6)
where, O'i has the same meaning as in Eq. (6.2), a is constant the value of which generally varies
between 0.3 and 0.6, b is the Burgers vector, and pis the density of dislocations which is the
inverse function of grain diameter.
6.3 SOLID SOLUTION STRENGTHENING
Solid solutions have better strength and hardness than the corresponding pure metals due to the
presence of solute atoms in the lattice of solvent metal. Since atoms of different elements have
different sizes, localized distortions in the lattice take place when solute atoms are added to a
@Seismicisolation
@Seismicisolation
146 Mechanical Behaviour and Testing of Materials
solvent matrix (Figure 6.2). These localized distortions develop localized strains in the lattice
and enhance strength of solid solutions. Changes in properties due to solute element is due to
various elastic, electrical, and chemical interactions which take place between the stress fields
of the solute atoms and the dislocations. The degree of solid solution strengthening increases
with increase in the amount of alloying (solute) element. For a given metal, the extent of solid
solution strengthening with increased amount of solute element varies considerably from one
solute element to other, i.e. depends on the nature of the solute element (Figure 6.3).
Solute atom
(a) (b)
FIGURE 6.2 Localized elastic distortion in the solvent lattice around (a) smaller substitutional atom,
(b) interstitial atom.
150 - - - - - - - - - - - - ~
l
co
Q.
~
.c 100
0)
C:
~
ti
"O
<ii
·5, 50
.!:
Q)
en
~
(.)
C:
I.J...(1)
-$
(J
0.025
-1x-
0.050
FIGURE 6.3 Effect of type and amount of solute on increase of yield strength.xis the mole fraction
of solute.
Every solute atom is associated with stress field because of its size that differs from the
size of matrix atoms. When the intensity of stress field (or the so called misfit field) surrounding
@Seismicisolation
@Seismicisolation
Strengthening Mechanisms in Materials 147
the solute atom is uniform in all the directions, i.e. lattice distortion is almost equal in all
directions, the solute atom is said to possess a symmetrical (or hydrostatic) stress field around
it. A solute atom possesses a non-symmetrical stress field when the lattice distortion is not equal
in all directions. Such a state frequently gets developed due to the presence of defects, mainly
point defects. The extent of solid solution strengthening is dependent on symmetrical or
unsymmetrical stress field associated with solute atoms. As mentioned earlier, it is the nature
of stress field, symmetrical or non-symmetrical, associated with the solute atoms and not the
nature of solute atoms, i.e. whether substitutional or interstitial type which controls the extent
of solid solution strengthening. A symmetrical stress field results in less strengthening in
comparison to non-symmetrical stress field. This difference in the behaviour of two stress fields
can be attributed to the fact that while the symmetrical stress field interacts with edge
dislocations only, non-symmetric stress field interacts with both edge and screw dislocations.
In general, symmetrical stress fields are associated with solute atoms having size matching with
the atomic size of solvent metal. In other words, solute atoms of substitutional solid solutions
possess symmetrical stress fields whilst solute atoms in interstitial solid solutions are associated
with non-symmetrical stress fields. Therefore, for the sake of simplicity in understanding it has
been discussed in terms of substitutional and interstitial solid solutions in forthcoming lines.
In substitutional solid solutions, the extent of solid solution strengthening depends on the
difference in atomic size between the solute and solvent elements and amount of solute element.
The magnitude of strengthening is minimum when the size of atoms of solvent and solute atoms
is nearly same. The degree of strengthening increases with increase in the difference in atomic
sizes (Figure 6.4). Solute atoms with larger atomic size, in general, produce less strengthening
than the solute atoms with smaller atomic size. Though, the strengthening caused by
substitutional atoms is directly proportional to their magnitude, i.e. amount of solute element,
rate of change in strength is usually marginal. Due to this reason and also due to the fact that
solid solubility of an element in another element is limited to a known value, solid solution
strengthening in substitutional solid solutions is not of much commercial significance.
200
Sn
l
Be
150
ro Ni
a.
~ Zo
~
100
.c
c,
C:
~
vi
"O 50
Q)
>=
0
0 10 20 30
Solute concentration, atom % -
FIGURE 6.4 Effect of some alloying elements on yield strength of copper because of difference in
atomic sizes with respect to copper. [Atomic size of Be, Si, Ni is less than and that of
Sn, Al, Zn is greater than Cu]
@Seismicisolation
@Seismicisolation
148 Mechanical Behaviour and Testing of Materials
In interstitial solid solutions, the degree of strengthening is much more, usually 10 to
100 times, than in substitutional solid solutions. Similar to substitutional solid solutions,
strengthening effect increases with increase in the amount of interstitial atoms but contrary to
substitutional solid solutions, rate of change in strength is usually very high. Therefore, a much
greater strengthening is obtained in interstitial solid solutions with only a small amount of
alloying element.
In general, it can be said that solid solution strengthening results in an increase in the yield
strength, tensile strength, hardness and creep strength, resistance against loss of strength/
hardness at elevated temperature. However, as a result of solid solutions strengthening ductility
decreases in general.
The lower strengthening caused in substitutional solid solutions is due to the fact that
symmetrical stress fields interact with edge dislocations only as edge dislocations are associated
with both the hydrostatic and shear stress components. In interstitial solid solutions, the
asymmetric stress field interacts or interferes more with both edge and screw dislocations and
hence causes more strengthening effect.
Solid solution strengthening is the increase in flow stress which results from the
interaction between solute atoms in the solid solution and the moving dislocations.
The solute atoms and dislocations in the single phase alloy can interact by a variety of
mechanisms. These include the following:
(i) Elastic interaction
(ii) Modulus interaction
(iii) Stacking fault (or chemical) interaction
(iv) Electrical interaction
(v) Short range order interaction
(vi) Long range order interaction
Of these, the first mechanism is believed to be the most important. The first two and the
long range order interactions are of long range and tend to increase strength uniformly up to
about 0.6 Tm. The physical basis for each of the above listed interaction has been described in
subsequent paragraphs.
Elastic interaction
The elastic interaction between solute atom and dislocations arises because of the mutual
interaction of the elastic stress field surrounding the misfit solute atom and the strain field
surrounding dislocation core. In a random solid solution, if the solute atom and the dislocation
are far apart they will not interact at all. The elastic interaction between solute atom and
dislocations will occur only when either the solute atom diffuse in vicinity to dislocation or the
moving dislocation encounters a solute atom in the lattice. In either case, the interaction
between the stress fields of solute atoms and dislocations result in lowering of strain energy of
the system. A kind of pinning occurs between solute atoms and dislocation. As a consequence
mobility of dislocation is resisted. Let us consider the interaction between substitutional atoms
and dislocations. If the substitutional solute atom is larger in size than the solvent atoms, it tends
to occupy a position beneath the positive edge dislocation and minimize its potential energy.
This also results in lowering of the energy of the dislocation core. If the substitutional solute
@Seismicisolation
@Seismicisolation
Strengthening Mechanisms in Materials 149
atom is smaller in size than the atoms of the matrix, it can minimize its potential energy by
diffusing to dislocation and substituting the solvent atom above the positive edge dislocation
core. If large number of solute atoms diffuse and arrive in vicinity to dislocation core, the
dislocations acquire an atmosphere of solute atoms. This is popularly called Cottrell
atmosphere. The symmetrical (or hydrostatic) stress field of substitutional solute atom can
interact with hydrostatic stress field associated with edge dislocation but not with the
distortional stress field associated with screw dislocations. Thus substitutional solute atom only
impedes the motion of edge dislocations whereas the motion of screw dislocations is unimpeded
by substitutional solute atoms. The strengthening contribution due to elastic interaction between
substitutional solute atoms and dislocations is proportional to the magnitude of the misfit
parameter, Ernisfit such that
where, a = Lattice parameter,
da
emisfit oc de
c = Concentration of solute atoms in the lattice.
(6.7)
In case of interstitial solute atoms, such as carbon in BCC iron or nitrogen in BCC
niobium, the misfit stress field around the solute atom has translational symmetry and therefore
has both shear and dilatation components. In such cases both screw and edge dislocations
interact with the solutes. Interstitial solutes impede the motion of both edge and screw
dislocations. The motion of dislocation is impeded by solutes because either the dislocation will
have to break free from the solute atmosphere or a dislocation will have to drag atmosphere
along with it. In either case, the metal is hardened by this difficulty of dislocation motion. The
interstitial solutes are much more effective as solid solution strengthening additions than
substitutional ones as they impede both edge and screw dislocations. An interstitial atom in FCC
lattice produces a spherically symmetrical stress field around itself therefore interact with edge
dislocation only and weakly with dissociated screw dislocation and thus not very effective
obstacle to dislocation motion.
The concentration dependence of hardening depends on whether the solute atoms
introduce symmetrical or unsymmetrical (tetragonal) distortion in the lattice. In case of
symmetrical distortion (as with substitutional atoms), the increase in flow stress is linearly
proportional to the concentration, c. This hardening is called gradual hardening. In the case
of unsymmetrical distortions, the increase in flow stress is proportional to c112 and this
strengthening is called rapid hardening.
Modulus interaction
Though the elastic interaction between the solute atoms and dislocation contributes greatly to
solid solution strengthening, the elastic modulus of the solute atom also affects the magnitude
of solid solution strengthening. If an atom of the solvent matrix is replaced by a solute atom
of about the same size as that of solvent atoms, but of different elastic modulus, the interaction
between the solute and the dislocation depends on the magnitude of the modulus of the solute
atom with respect to matrix. In case the elastic modulus of the solute atom is lower than that
of the matrix, the strain energy of dislocation is reduced and there occurs an attraction between
@Seismicisolation
@Seismicisolation
150 Mechanical Behaviour and Testing of Materials
solute atom and dislocation. On the contrary, for solute atom to have higher elastic modulus,
the solute atom is repelled by the dislocation. The interaction energy, ~Ue is proportional to
the difference in elastic constants of the solute and solvent atoms and inversely proportional to
the square of the distance r, between the solute atom and the dislocation and is given as:
Ge 'b2R3
~Ue=-~e___
6nr2
(6.8)
where, Ee' is a measure of the modulus difference between solvent and solute and is defined
as
, Ee
Ee=---
1- Ee
2
and
1 dG
e ---
e - G de
where, G is shear modulus, c is the atomic concentration of solute, R the atomic radius of
solute.
Stacking fault (or chemical) interaction
Stacking faults usually exist in FCC and HCP crystals. In FCC crystals the stacking fault is a
thin strip having HCP arrangement of atoms. In case a substitutional solid solution is formed
in FCC lattice and if the solute atoms have high degree of solid solubility in HCP lattice, they
prefer to segregate in the stacking faults of the solvent. Thus the equilibrium concentration of
solute in the stacking fault region is different from that exists in the solvent matrix. This is
because the cohesive energy between atoms in the stacking fault is different from that in the
FCC lattice. This heterogeneous distribution of solute atoms exerts a locking force on the
dislocations. The solute atoms that segregate in the stacking fault region reduce the energy of
the stacking fault thereby increase the separation between the pair of partials. As a consequence
the continued motion of dislocations becomes difficult. An extended screw dislocation can not
cross slip without constriction. Wider the stacking fault more is the work required to be done
in order to produce constriction for cross-slip to occur. Thus, strengthening occurs if solute
atoms that lower the stacking fault energy are present in the matrix. It has been found that the
solutes with high valence have greater effect on stacking fault energy for the same concentration
than solutes of lower valence. For instance, when Cu-Ag solid solution alloy is alloyed with
metals of high valence such as Al, Ga or Ge, the stacking fault energy is found to range from
1 erg/cm2 to 5 erg/cm2•
Electrical interaction
In certain solid solutions where the solute atoms produce very small misfit stress field due to
very less difference in atomic sizes with respect to the solvent atoms and if solute atoms differ
much in valence (e.g. two or three) with respect to solvent atoms, electrical interaction between
solute atoms and edge dislocation becomes significant. With such solid solution alloys, the
charge associated with solute atoms of dissimilar valence is confined locally around the solute
atom. The solute atom, thus, becomes a charge centre. This electronic charge of solute atom
then interacts with edge dislocations having electrical dipoles. However, this electrical
interaction is smaller by 3-7 times than the corresponding elastic interaction.
@Seismicisolation
@Seismicisolation
Strengthening Mechanisms in Materials 151
Short range order and clustering interaction
In Cottrell atmosphere, the atmosphere is formed from solid solution with mobile solute atoms
which diffused to dislocations. The hardening effect arises from the interaction of the moving
dislocations with the atmosphere. However, for a solid solution with relatively immobile solute
atoms or with strong interaction between the atoms, the atmosphere will not form. Yet there
may still be hardening effect. This is because when a dislocation moves, it rearranges the atoms
in the slip plane. This is the case with short range ordering or clustering. Consider a binary solid
solution of A and B atoms. If pAB, the fraction of A atoms that are nearest to B atoms, does
not equal to the fraction XA of A atoms in the solid solution, then the solid solution is not
random. A local order is created. A local order parameter can be defined by
a=l-PAB
XA
(6.9)
It is seen that for a = 0, the solid solution is completely random. For a < 0, i.e. negative, A
atoms and B atoms tend to attract each other to form short range order. In other words, there
is more than the equilibrium number of dissimilar atom nearest neighbours. There is a short
range departure from randomness in short range order. For the case of a> 0, A and B atoms
tend to repel each other i.e., there are more number of similar atoms together. This results in
clustering of similar atoms. Clustering is opposite to short range order. When a dislocation
moves in a short range order region, it destroys the equilibrium short range order across the slip
plane by rearranging nearest neighbour pairs, producing a more nearly random configuration of
higher energy. An additional stress will be required to produce the higher energy interface as
dislocation moves. Similarly, as a dislocation moves through the region of clustering, it
rearranges the nearest neighbour pairs across the slip plane; energy for such rearrangement has
to be supplied by the external stress.
Long range order interaction
In a binary solid solution, solute atoms are generally distributed randomly in the lattice of the
solvent. Such a solid solution is termed as disordered solid solution. However, a number of
solid solutions, in particular, those with near stoichiometric compositions such as AB, A3B,
A2B, etc., undergo a structural rearrangement or ordering below a certain temperature called
critical temperature to produce a superlattice. This is the case when alpha is much less than zero
in Eq. (6.9). In the ordered condition, the two atomic species A and B are each arranged in a
regular configuration in the lattice. For example, in CuZn solid solution which is BCC, zinc
atoms occupy the centres of the unit cells, whereas in Cu3Au, which is FCC, Au atoms always
occupy the corner positions and Cu atoms occupy face centre positions in the lattice. In ordered
solid solution, there are more number of dissimilar atom pairs than similar atom pairs. In an
ordered alloy, dislocations have special properties. As a dislocation moves, it creates a strip
(trail of disorder) of disorder across the slip plane. The atoms across the slip plane are of similar
kind. This strip is called antiphase boundary (APB). Since antiphase boundary has large
number of AA and BB bonds, it has higher energy. Following the trail (i.e. the strip) of certain
length is another dislocation of the same sign creates reordering. In other words, dislocations
in ordered alloys move in pairs bounded by APB, such that the total Burgers vector of the pair
is equivalent to identity distance of the superlattice in the slip direction. These dislocations are
@Seismicisolation
@Seismicisolation
152 Mechanical Behaviour and Testing of Materials
called superlattice dislocations or simply superdislocation [Figure 6.5(a)]. The distance of
separation between leading and trailing dislocations of the pair is governed by a balance
between two forces. There exists a force of repulsion between dislocations of like sign, and
Domains
/EB O EB O EB O EB O EB O EB
A-atoms O EB O EB O EB O EB O EB 0
~EBO EB OEB OEB OEB O EB
J:.----------------- ----.:L
--o EB O EB O EB O EB 0
B-atoms EB O EB O EB O EB O EB
eoecl.:~•
oeoeo:oeo
eoeoe:eo•
o•o•:•o•o
eort)ioeoe
~O EB O EB O EB O EB 0
EBOEBOEBOEBOEB
oe:eoeoeo
eo!o•o•o•
oe:eoeoeo
(a)
Antiphase
boundary
Anti-phase
domain boundary
Domain 1 ~
®®®®:®®®®
(b)
: Domain 2
®®®@:@®®®
I
- ®®®®!®®®® .
_L________ _L --------------------•-----------------· Slip plane
Moving @'f0 @'f0: 'A' @'f0 @
superdislocation !Y !Y i!Y !Y
®®®®:®®®®
(c)
I
® ®@@1@@®®
I
® ®@@:@@®®
-®_ ®_®_@:@~® ®_® _L_-__L
® 'A' @'f0 @ 'f0I 'f0 @ Moving
!Y !Y !YI !Y superdislocation
® ®®®@@:@@
New antiphase
boundary
(d)
Antiphase
domain
boundary
FIGURE 6.5 (a) Illustration of a superdislocation comprising of two unit dislocations separated by
an antiphase boundary (APB). Across APB the bonds are of the type AA and BB,
(b) Schematic representation of an antiphase domain boundary when ordered domains
meet each other during growth in an ordered alloy, (c) a superdislocation moving on
a slip plane, and (d) the superdislocation sheared the antiphase boundary (APB)
resulting in additional APB.
@Seismicisolation
@Seismicisolation
Strengthening Mechanisms in Materials 153
therefore, they tend to move apart. However, a surface tension force also builds up in the
reverse direction which tends the dislocations to push together so as to eliminate the disordered
trail and minimize energy. A balance between these forces is the deciding factor for the
separation between pair of dislocations comprising the superdislocation. The separation is
generally of the order of 100-200A. This analogy is similar to an extended dislocation with a
pair of partial dislocation found in FCC lattice. For every ordered alloy there is a critical
temperature above which it becomes disordered. An ordered alloy when quenched from above
this temperature the disordered structure is retained at room temperature. When this alloy is
annealed the regions of order are nucleated randomly and grow towards each other. When they
meet they form antiphase domain boundaries as illustrated in Figure 6.5(b). The size of domain
varies with alloy and thermal treatment. There is a critical size of domain that imparts maximum
strengthening to alloy. Consider a slip plane crossing the antiphase boundary [Figure 6.5(c)].
As a superdislocation moves on the slip plane and shears the APB, slip results in additional
APB [Figure 6.5(d)]. Work is required to be done in order to create this additional APB. Hence
a higher stress will be required to move a superdislocation across the slip plane. The overall
strengthening depends on the domain size. Smaller is the domain size more will the APB area
and therefore more will be the stress required for dislocations to move and cause slip, hence
stronger will be the material. In fact, there is a critical domain size that gives maximum
strengthening.
6.4 SECOND PHASE PARTICLE STRENGTHENING
Since the solid solubility of an element is limited in a metal, addition of alloying element
in amounts exceeding the solid solubility limit results in the precipitation of a second
phase. In many commercial alloys, more than two phases are present. In a dual-phase alloy,
the extent of strengthening depends on many factors such as mechanical properties
specially strength, ductility and hardness of the matrix; strain hardening behaviour of the
matrix; size, shape, distribution and amount of second phase particles; and coherency
between the matrix and the second phase particles. In multiphase alloys, it will be the size,
shape and distribution of each phase as well as coherency factor that will control the degree
of strengthening. In dual phase alloys as well as in multiphase alloys, strengthening due to
the second (non-matrix) phase particles includes solid solution strengthening since matrix
is usually a solid solution.
Strengthening due to second phase particles takes place only when second phase is
harder than the matrix. Better strength is achieved when second phase particles have
coherency with the matrix. Since the degree of strengthening due to hard second phase
particles in a soft phase depends on size, shape and distribution of second phase particles, it
is desired to have very fine second phase particles uniformly distributed throughout the
matrix, preferably as tiny spheroids, for maximum strengthening. Presence of these fine
particles will hinder the movement of dislocations resulting in improved strength. Larger the
number of particles better will be the strengthening. Better mechanical properties of
precipitation hardening alloys and dispersion hardening alloys are essentially due to the
presence of fine particles of second phase.
@Seismicisolation
@Seismicisolation
154 Mechanical Behaviour and Testing of Materials
6.4.1 Precipitation Hardening
Precipitation hardening, also known as age hardening, is the most important method of
strengthening nonferrous alloys such as aluminium and magnesium alloys. Many alloys of
copper, iron, nickel, silver and lead are also being strengthened by precipitation hardening.
Precipitation hardening of an alloy occurs with time due to precipitation of a coherent
phase from a supersaturated solid solution. The process of strengthening by precipitation
hardening involves two steps. In the first step, which is commonly known as solution heat
treatment or sometimes as solutionizing, an alloy of known composition is heated to a
temperature where the alloy has a single phase (Figure 6.6). The purpose of solution
treatment is to dissolve a maximum amount of second phase in solid solution and then to
retain this solution down to room temperature. So from this temperature also called
homogenizing temperature, the alloy is rapidly cooled to get a single-phase structure at
room temperature. This structure is a supersaturated solid solution. Hardness after solution
treatment is relatively low. Maximum hardness in these alloys is developed during the
precipitation treatment, in which the precipitation of second phase takes place. So in the
second and final step, the supersaturated solid solution is heated to a temperature well
above the room temperature. This temperature is referred to as ageing temperature (refer
Table 6.2). As a result of this treatment, adjustment of atoms takes place and the alloy tries
to attain equilibrium structure with time. For certain alloys heating supersaturated solid
solution to a temperature greater than room temperature, is not required. Precipitation
hardening takes place at room temperature for such alloys. In strict metallurgical sense,
such alloys are referred to as age-hardenable or "naturally aged" alloys while others as
precipitation hardenable alloys.
~
.a
~
Cl)
C.
E
~
Solution treatment
Heating to
single phase
region
Soaking
Water
quenching
Stop 1
Ageing
treatment
Ageing
,I• Stop 2 , I
Time
FIGURE 6.6 Steps involved in precipitation hardening of alloys.
@Seismicisolation
@Seismicisolation
Strengthening Mechanisms in Materials 155
TABLE 6.2 Ageing temperatures for some precipitation hardening alloys
Al-Cu-Mn
Al-Cu-Mg-Fe-Ni
Al-Cu
Al-Mg-Si
Al-Zn-Mg-Cu
Mg-Al-Zn
/3-titanium alloys
a-/3 (Ti-6Al-4V) alloy
Cu-Be alloys
Wrought alloys
Nimonic 90 (Ni-20Cr-18Co-2.5Ti-l.5AI-0.05C, in wt%)
Inconel X (Ni-15Cr-0.85Co-6.75Fe-0.8Al-
2.5Ti-0.7Mn-0.04C)
Waspalloy (Ni-19.5Cr-13.5Co-2Fe-4.25Mo-l.3Al-3Ti-0.1C)
Udimet 700 (Ni-15Cr-l8.5Co-1Fe-2.5-7Mo-4Al-3.5Ti-0.l5C)
Marageing steels
17-4 PH precipitation hardening stainless steels
15-7 Mo and 17-7 PH
Ageing temperature, °C
160-190
170
130
170-180
110-135
218
430-650
480-590
300-320
700-850
Double ageing
860 and 740
850
860
450-480
480-640
580
It is important to mention here that only some and not all alloys can be strengthened by
precipitation hardening. An alloy must fulfill two requirements for strengthening by
precipitation hardening. According to the first requirement, the alloy should exhibit decreasing
solid solubility with decreasing temperature. Second requirement states that there must be some
coherency between the precipitating phase and the matrix phase. While the first requirement is
met with by most of the alloys, second requirement
is fulfilled only by limited alloys. This is why there
are only limited precipitation hardenable alloys. The
lattice structure of coherent particles is continuous
with the matrix lattice structure. This is not the case
with non-coherent particles and the two lattice
structures are discontinuous, i.e. non-coherent
particles and the matrix form mechanical mixture. It
is the coherency between the matrix phase and the
precipitated phase that causes internal stresses in
the lattice which in turn are responsible for
strengthening of the alloy. The degree of strength-
ening due to precipitation hardening depends on the
amount of precipitated phase. This is why the
selection of alloy composition is very important.
Phase diagram of an alloy system helps in the
selection of the desired composition (Figure 6.7).
a
FIGURE 6.7
Homogeneous
solid solution
a + second phase
precipitate
C Composition -
Section of a phase diagram
of a typical precipitation
hardenable alloy. Alpha is the
single phase solid solution.
@Seismicisolation
@Seismicisolation
156 Mechanical Behaviour and Testing of Materials
Figure 6.8(a) shows the supersaturated solid solution. During ageing first of all the solute
atoms segregate (i.e. cluster) along certain preferential planes of the matrix {in case of Al-Cu
alloys these are the {l OO} planes in aluminium matrix [Figure 6.8(b)]}. The size of the clusters
are initially very small and cannot be detected by structural methods. After a certain period they
grow to such an extent that they are detectable by structural methods. These clusters of the
solute atoms are fully coherent with the matrix. Since the atomic sizes of solute and solvent
elements differ, the misfit in the matrix is accommodated by elastic strains to maintain
coherency. The clusters of solute atoms do not possess any definite shape and when these
clusters attain definite shapes, they are referred to as zones, more popularly known as Guiner-
Preston zones [Figure 6.8(b)] or GP-zones on the names of scientists A. Guiner and G.D.
Preston who invented these zones in the year 1938. In fact, difference between clusters and
zones is only of nomenclature. GP-zones, (also called GP zones of the first kind (GP-I), is the
cluster of solute atoms having the shape of a thin plate or a disc with about 10 nm in diameter
and about two to three atomic planes thick in case of Al-Cu alloys. Strengthening occurs due
•
•
= 1 nm
fee
Al
matrix
0
~
Randomly
substituted Cu atoms
(a)
(b)
FIGURE 6.8 (Contd.)
@Seismicisolation
@Seismicisolation
= 10 nm
Disc shape
precipitates
Growing CuAl2 ( 0)
Strengthening Mechanisms in Materials 157
0"
'
'
•
J------
~ o ~~ i
>----Y
''
---------- -----
~~
~()O.I"
0'
(c)
0
: .
'
'
,.
,Q------- -----
,/ : 0
'
'
. :
'
,0------- -----
,/ 0
~ A
(d)
(e)
(0 0 1)
I
y,;?J
f"'-1--~------,,1~('01 0)
J
(1 0 0)
All sides coherent
(0 0 1)
I
y ; ;;;]
, . : ; . . I
--/-----,1~01 o)
(100)
(0 0 1) Coherent or semicoherent
(1 0 0)}
(O 1 O) Not coherent
Incoherent
FIGURE 6.8 Various stages of precipitation from a supersaturated solid solution of Al-Cu alloy:
(a) Supersaturated solid solution, (b) Guinier-Preston (GP)-zones showing
clustering of atoms in one of {1 O O} planes, (c) Metastable 0"-phase, (d) Metastable
0'-phase, and (e) Stable CuAl2(0)-phase.
@Seismicisolation
@Seismicisolation
158 Mechanical Behaviour and Testing of Materials
to GP-zones and gives rise to first hardness maximum as shown in Figure 6.9 for Al-4.5% Cu
alloy aged at 130°C. The elastic strain fields resulting from the coherency extend into the matrix
such that the effective size of the zone, in impeding dislocation motion, is much larger than its
actual physical size. A GP-zone does not have any well-defined crystal structure lattice and
chemical composition. A GP-zone is often considered as a portion of the initial solid solution
that is enriched in a dissolved element, rather than a new phase. Its crystal lattice may be
considered the same as that of the matrix, but deformed owing to the difference of atomic
diameters of solute and solvent. There is no distinct interface between a GP-zone and the
surrounding matrix solution. In this sense, the GP-zones are often called as pre-precipitates,
to distinguish them from real precipitates of intermediate or stable kind. However, GP-zones
have a distinct solvus line. They can form only on undercooling of the matrix below this line
while dissolve in the matrix on heating to a temperature above this line. In this context, GP-
zones are commonly referred to as a second phase coherent precipitates. They have diffused
interface of low energy. The density of precipitated GP-zones is of the order of 1018 cm-3 (the
number of zones per unit volume), or of an order of 1012 cm-2 (the number of zones per unit
cross-sectional area). The spacing between GP-zones varies from about 7.5 nm-10 nm.
GP-zones have been observed in a large number of alloy systems including Al-Cu, Al-Zn,
Al-Ag, Cu-Co, Cu-Be, Al-Mg-Si, Ni-Al, Fe-Mo and Fe-Au.
140
l
120
z
J:
100
>
cti
80
en
Q)
C:
"O
cii 60
J:
40
--G.P.[1]
------ G.P. [2]
•••• 0'
4.5%Cu
4.0%Cu
0.1
3.0%Cu .....
,,,,...... ..
2.0%Cu ,,.-•
,,,--♦----,,,
, ..
10 100
Ageing time (days) at 130°C -
FIGURE 6.9 Ageing curves for Al-Cu alloys aged at 130°C.
On further ageing a second transition intermediate phase having a structure intermediate
between that of the matrix and the stable phase is formed. This phase is called intermediate
phase. In some alloy systems, such as Al-Cu alloy, two intermediate metastable phases can
precipitate. In general, one of the most important features of the structure of all intermediate
phases in age-hardening alloys is that this structure ensures at least one coherent boundary
between the matrix and the precipitate. Intermediate phases are usually partially or sometimes
fully coherent. For example, in Al-Cu alloys, the metastable 0" phase is fully coherent while
the 0' phase is only partially coherent. 0" precipitates nucleate and begin to replace GP-I zones.
The lattice of the 0" phase is tetragonal; with the phase composition corresponds to CuA12. In
this structure, part of the planes is occupied by aluminium atoms only and another part, by
@Seismicisolation
@Seismicisolation
Strengthening Mechanisms in Materials 159
copper atoms only as shown in Figure 6.8(c). The precipitates of 0" are fully coherent, with
the (0 0 1) plane matching ideally the aluminium matrix (the lattice period a = 4.04A of 0" is
the same as that of Al). Along the (0 1 0) and (1 0 0) planes, coherence is ensured by a high
elastic deformation, since the interplane distance is reduced near the layers occupied by copper
atoms (1.82A of 2.02A). The elastic stress field around 0" precipitate plays an important part
in strengthening of age-hardening alloy. 0" precipitates are also called GP-zones of the second
kind (GP- II), in contrast to GP-I zones, which have the lattice of the matrix. GP-II zones are
not just big GP-I precipitate. The 0" precipitates have a disc-shape with diameter as high as
150 nm and a thickness of 10-15 nm. GP-2 zones in aluminium matrix produce shear strains
along radial surfaces and compressive strains along the thickness where it is incoherent with the
matrix. Maximum hardness is attained with the formation of these zones as they are more
numerous and produce greater distortion than any of the other transition structures. The second
hardness maximum is shown in Figure 6.9 is related to GP-II zones for Al-4.5Cu and Al-4.0Cu
alloys.
In case of Al-Cu alloys, continued ageing results in the formation of another intermediate
phase 0'. 0' precipitate begins to replace 0" precipitate. This precipitating phase is different
from the phase as described by the phase diagram of the alloy system which is known as
equilibrium 0 phase. The lattice of the intermediate 0' phase is tetragonal with lattice constants
a= 4.04A and c = 5.80A [Figure 6.8(d)] and chemical composition corresponds to CuA12• This
intermediate phase is semicoherent and having a coherent boundary with the matrix along the
plane (0 0 1) and the two lattices match ideally. The lattice mismatch occurs along the (0 1 0)
and (1 0 0) planes. The magnitude of elastic stress field around the 0' precipitate particles, is
smaller than that associated with the coherent 0" phase and GP-zones. This is mainly because
of the stable dislocation loop formed around 0' precipitate particles resulting in partial
destruction of the coherency strains. The long range strain fields of the precipitate particle and
its dislocation largely cancel. As a consequence it is easier for glide dislocations to move
through the lattice of the alloy containing semicoherent (i.e. 0') or incoherent precipitate than
a coherent precipitate. Thus the formation of 0' phase leads to softening of the material. The
shape of 0' intermediate phase is also disc like as with 0". Yet the intrinsic strength of 0' phase
is higher than that of the aluminium matrix.
With time, intermediate phase grows till it attains its own identity, i.e. chemical
composition and crystal structure which matches with the equilibrium phase. This phase is
referred to as 0, in case of Al-Cu alloys. The crystal structure of equilibrium 0 phase is
tetragonal with lattice constants a =6.01A and c =4.87A. The equilibrium precipitate does not
have any coherency with the matrix, and hence, stressed areas are relieved and the alloy softens.
This state of the alloy is called overageing. The dispersed 0 phase produces slight hardening
of the aluminium matrix. However, if overageing occurs for longer times the larger 0
precipitates grow further in size at the expense of smaller ones. This is called Ostwald
ripening. As a consequence the number of sites that can interfere with the dislocation motion
decreases to the extent that the hardness of a completely averaged alloy can be less than the
hardness of supersaturated solid solution. Therefore, maximum strengthening occurs when the
intermediate phase is formed and is present. At this stage dislocations cannot move with ease
through the highly stressed localized regions. More the number of such regions, greater is the
strengthening of the alloy.
@Seismicisolation
@Seismicisolation
160 Mechanical Behaviour and Testing of Materials
Mechanisms of hardening
In age hardened alloys, hardening is governed by the interaction of moving dislocations with
precipitates. The obstacles in precipitation hardening alloys which hinder the motion of
dislocations may be either the elastic stress field around the coherent precipitates such as GP-
zones in the matrix; the GP-zones themselves or precipitates, or both. In case of GP-zones
themselves or intermediate precipitates, the moving dislocations can either cut through them or
to bent around them and by pass. Thus there appears to be three causes of hardening: internal
strain hardening, chemical hardening that occurs when the moving dislocations shear through
the precipitate particles, and/or dispersion hardening through dislocations as they bent around
(circumvent) precipitate particles and by pass.
Internal strain hardening: An elastic
stress field always exists in the matrix
upon formation of a coherent or a
semicoherent precipitate because of an
elastic distortion at the matrix-precipitate
interface for the reasons mentioned above
and is represented in Figure 6.10. The
magnitude of elastic stress fields is greater
at a larger size misfit between the
structures of the matrix and precipitate. In
order a gliding dislocation to move through
elastically deformed matrix, a stress greater
than the stress of the elastic strain field
around the precipitates must be applied i.e.,
the applied stress must be at least equal to
the average internal stress. Thus, the
greater the elastic stress field around the
precipitates in the matrix more will be the
stress required for dislocation motion and
harder will be the material. This hardening
is a result of long-range effect of
precipitates on dislocations. For spherical
particles, the applied stress is given as:
r oc Ge312 ( !}'2
(6.10)
I  I
    
 
I I
I I
I I I I I
I I I
FIGURE 6.10
I I
I I I I I
I I
I I
 
    
I  I
~~
/
(a) Matrix
,
(b)
Elastic distortion at the matrix-
precipitate interface (a) GP-II zones
or 0" precipitate; (b) 0' precipitate.
where, G is the shear modulus, e is the misfit strain parameter arises from the difference in
lattice parameter of matrix and precipitate phase, r is the precipitate particle radius, b is the
Burgers vector of the gliding dislocation, and f is the volume fraction of the precipitate phase.
The misfit parameter is given as:
1 da
e ---
misfit - a df (6.11)
@Seismicisolation
@Seismicisolation
Strengthening Mechanisms in Materials 161
where, a is the lattice parameter. Lattice mismatch though a potent strengthener, adversely
affects ductility. In addition, the lattice mismatch enhances the precipitate coarsening rate at
elevated temperatures. Mismatch, therefore is kept to a minimum in many alloy systems in spite
of its rapid strengthening potential.
The misfit strain parameter increases with the sequence of phase change from GP-zones
to theta double prime and finally to 0'. The size of the precipitate particles also increases in
the same sequence. As the particle size increases the interparticle spacing increases. At
excessive misfit strains the coherency is lost and an interface is created between the precipitate
and the matrix. A lower misfit strain (as in Ni-base superalloys) results in lower strengthening
contribution but it minimizes Ostwald ripening therefore leads to enhanced creep resistance.
Mott and Nabarro suggested that the maximum hardening due to precipitates depends on
the size of particles. As the size of precipitate particles increases the magnitude of strengthening
increases and attains a maximum at a critical size above which material tends to soften.
Hardening also depends on the interparticle spacing which in tum increases with increasing time
as illustrated in Figure 6.11 for Al-4 wt% Cu alloy aged at 150°C. In case of Al-Cu alloys, the
O>
-§ 1 µm
~
(/)
$
.l!!
i 100 nm
a.
0
10nm~---~---~----~---
1 10 100 1000
Ageing time (h) at 150°C
FIGURE 6.11 Effect of ageing time on precipitate spacing for Al-4% Cu alloy aged at 150°C.
interparticle spacing increases from about 100A for GP-zones to 1 micron for 0' through about
1000A for 0" precipitates. However, the expression given by Eq. (6.10) is independent of the
spacing, l, of particles and showing only the increment in flow stress due to mismatch function
and the volume fraction of precipitate. To explain this, Mott and Nabarro considered the radius
of curvature to which dislocations can bow round a precipitate particle under the action of an
applied stress. The radius of curvature to which a dislocation can bent round the particle is
inversely proportional to the applied stress as:
R= Gb
2-r
(6.12)
where, R (= l/2) is the radius of curvature. This expression is based on the assumption that
ln (R/r0) approximated to 2,r in Eq. (4.14) (For details, refer Section 4.6.1, page 76). If the
particles are dispersed at too fine scale (e.g. when the alloy has been freshly quenched or lightly
aged) the dislocation is unable to bend sufficiently to lie entirely in the region of low internal
stress. The dislocation must move essentially as a rigid straight line i.e. the maximum bending
between the particles is negligible. The minimum radius of curvature to which dislocation may
@Seismicisolation
@Seismicisolation
162 Mechanical Behaviour and Testing of Materials
be bent under the applied stress is larger than the spacing between the particles on the slip plane.
In practice, a dislocation line is flexible and tends to take up a lower energy position by bending
round regions of large interaction energy. For a local stress at a particle the maximum bending that
stress can sustain is given by the Eq. (6.12). This is usually the case when the dispersion of particles
is on a coarse scale.
Chemical hardening: It is a result of short range interaction between dislocations and
precipitates. Once the elastic stress field around the coherent precipitates has overcome, the
dislocations pass (or cut) through the precipitates by shearing them (Figure 6.12) because of the
atomic plane matching between the matrix and coherent precipitates. As a consequence the preci-
pitates get deformed together with the matrix. Another reason for dislocations to cut through
FIGURE 6.12 Schematic representation showing shear of coherent precipitates by a gliding
dislocation.
coherent precipitates such as GP-zones instead of avoiding them is that the density of GP-zones
is very high and the spacing between them is so small (of the order of 100A) that the stress
required for dislocation to by-pass them is appreciably higher than that needed for shear. For
the given volume content of precipitate phase, an increase in particle size will result in a
decrease of particle density and an increase of the interparticle spacing. There is a critical
particle diameter de above which the particles are not sheared, but bypassed (Figure 6.13).
When particle cutting occurs, the extent of strengthening depends on the characteristics of the
precipitates, which influence the nature of the dislocation-precipitate interaction. These
characteristics of the precipitate includes the misfit of coherent particles and their interrelated
morphology, the modulus of the precipitate relative to the matrix, the stacking fault energy of
the precipitate relative to the matrix, and the degree of order (if any) of the precipitate. Apart
from the above, large contribution to the flow stress arises from the creation of additional
interfacial area when the precipitates are sheared. This latter effect is referred to as chemical
hardening and is of principal importance in those systems which form thin, plate-like zones or
precipitates as in Al-Cu and Cu-Be alloys. When a particle is sheared by a dislocation, a step
which is one Burgers vector (i.e. equal to b) larger is produced at the particle-matrix interface
(Figures 6.12 and 6.13). As a consequence the surface area of the particle is increased. If the
surface-to-volume ratio of the particles is relatively high, then this increase in surface area can
be significant and can represent a substantial increase in the overall energy. This increased
surface area is associated with an increase in surface energy which must be supplied by the
external stress. This reflects an increase in strength of the alloy. This type of strengthening is
clearly most important in thin plate-shaped precipitates since they have the maximum surface-
to-volume ratio (for example, GP-zones and (J' precipitates in Al-Cu alloys or GP-zones in
Cu-Be alloys). Researchers have shown that this strengthening is linearly proportional to the
interfacial energy. This is expressed as:
@Seismicisolation
@Seismicisolation
+
~o
Cl)
Cl)
~
ti
<ii
Cl)
.c
Cl)
Strengthening Mechanisms in Materials 163
Shearing by-passing
~ - - , ,
_j__j__j_-TTT
L'.T
de Particle diameter (d)
FIGURE 6.13 Critical shear stress as a function of particle diameter. di- is the increase in yield
stress from the interaction of a flexible dislocation line with obstacles of spacing /.
(6.13)
where, Ys is the prec1p1tate-matrix surface energy (i.e. interfacial energy), f is the volume
fraction and r is the radius of precipitate (assuming the precipitate particle to be spherical). Ys
may be considered to be made up of two parts: (i) a chemical part and (ii) a structural part. The
chemical part is due to the change in composition and chemical binding across the interface.
The structural part is due to the change in crystal structure across the interface.
In spite of the full coherency between the precipitate and the matrix, the lattices of the two
phases are not identical and therefore when a dislocation enters into the precipitate, it disturbs
the arrangement of atoms along the slip plane. The greater is the difference between the
structure of the precipitate in the shear plane and that of the matrix in the same plane the more
will be the disturbance in the arrangement of atoms in the precipitate, and therefore, higher will
be the stress required to shear the precipitate by dislocations. In general, the rate of strain
hardening is not high during chemical hardening this is because the deformation is highly
localized and occurs on a limited number of active slip planes. In chemical hardening, the extent
of hardening also depends on the size of the particles and the interparticle spacing. A fine
dispersion of coherent particles results in enhanced precipitation strengthening. The surface
energy associated with the coherent precipitate (GP-zones) in the shear plane is of the order of
102 erg/cm2, while that for an incoherent precipitate is of an order of 103 erg/cm2 (i.e. as with
a high angle boundary). This suggests that the larger incoherent precipitates are unable to be
sheared by the dislocations. Rather dislocations bent around them and by pass. This mechanism
is similar to that operates for Frank-Read Source discussed in Section 4.10.
If the precipitate has an ordered lattice [such as CuA12 particles in Al-Cu alloys or Ni3Al
(y') precipitates in Ni-based superalloys], the passage of a single dislocation through it will
@Seismicisolation
@Seismicisolation
164 Mechanical Behaviour and Testing of Materials
destroy the periodicity of the superlattice. Work will be done in creating a disordered interface
across the slip plane. This results in raising the flow stress. Though the passage of the second
dislocation in the same slip plane creates reordering in the particle, an antiphase domain
boundary is formed between the two superlattice dislocations. In case of Ni-base superalloys
and Al-Li alloys, the antiphase boundary energy is found to be approximately ten times greater
than the interphase boundary energy and consequently the strengthening contribution due to
antiphase boundary formation in these systems is significantly high. The strengthening
contribution associated with this mechanism is given as:
'r oc (yAPB)3/2 ( 1}/2 (6.14)
where, YAPB is the anti-phase boundary energy and the other terms have the same meaning as
before. Strengthening due to ordered particles is responsible for good high-temperature strength
of many superalloys.
A difference in elastic moduli between the precipitate and matrix can also be a source of
strengthening. The shear modulus G in Eq. (6.10) is not constant. Further, the self energy of
dislocation depends on G; therefore, if G of the particle is larger than the matrix, an additional
stress will be required to force dislocation through the particle. The shear modulus of a
precipitate is usually higher than that of the matrix. The harder is the precipitate particle, the
more difficult it is for a dislocation to shear it i.e., a larger stress will be needed to force
dislocations through precipitate particles having higher G than through the matrix. This results
in strengthening. However, most precipitates do not have a significantly different character from
the matrix; modulus hardening usually does not contribute significantly to precipitation
hardening.
In case the precipitate particles have stacking fault energies significantly different from
that of the matrix, the interaction between the dislocations and the precipitate will depend on
the fault width of the stacking fault in precipitates. Analyses carried out by researchers have
shown that the increase in flow stress is linearly proportional to the difference in stacking fault
energy between the precipitate and the matrix.
Hardening through circumvention of precipitated particles by dislocations: When the
precipitate particles become strong enough (as on overageing) and lose coherency so that they
can not be sheared by dislocations (due to non coherency, e.g.), hardening occurs as the
precipitate particles are by-passed by dislocations and leaving behind dislocation loops around
them. For this to occur, the stress applied must be increased so as to bend the dislocation
between the particles. However, this bending of dislocation through the particles depends on the
spacing l between the precipitate particles. The critical stress required to squeeze the dislocation
between the particles is inversely proportional to l in according to the relationship:
Gb
r=-
l
(6.15)
where, G is the shear modulus of the matrix and b is the Burgers vector of the dislocation. Thus,
for an alloy in the averaged condition, smaller is the interparticle spacing stronger is the alloy.
As the dislocation bows between the particles, its portion at both sides of the particle bent, join,
@Seismicisolation
@Seismicisolation
Strengthening Mechanisms in Materials 165
and eventually form loop (also called Orowan's loop) around the particle. Upon detaching from
the loop the dislocation continue to glide in the matrix (Figure 6.14). When a second dislocation
approaches a particle encircled by a dislocation it will need a greater magnitude of stress to
squeeze between such particles. This is because the effective distance between two adjacent
precipitates l is decreased due to first dislocation loop around the particles. As more number
of dislocations glide on the slip plane they all will form loops around the particles with
increasing magnitude of applied stress. Progressive development of more and more
dislocation loops around precipitate particles ultimately blocks the motion of succeeding
dislocations through the lattice. This is because the dislocation loops exert a back stress on
dislocation sources which must be overcome for additional slip to take place. This requires
an increase of applied shear stress, and hence, to result in strain hardening. The averaged
precipitates are larger in size. During overageing of the alloy, the larger precipitate particles
grow at the expense of the smaller ones. As a consequence, for a given volume fraction of
the precipitate particles, larger the size of particles less will be their number and more will
be the mean distance between them such that the radius of curvature, R, of the dislocation
becomes much smaller than the mean spacing l between the particles. It is thus easier for
dislocations to bend round the particles at lower flow stress. That is, the alloy in the averaged
condition displays lower yield strength but rate of strain hardening increases with strain. The
hardness of a completely averaged alloy can be lower than the hardness of the supersaturated
solid solution from which precipitate phase has been derived. However, even when the
dispersion of the precipitate is coarse a greater applied stress is necessary to force a
dislocation past the obstacles as compared to the case when no obstruction exists for
dislocation motion. Thus, in averaged alloy, dislocations avoid the precipitate particles by
bending round them. Dislocations can also avoid precipitates by cross-slipping. When a
dislocation is blocked by a pair of dislocation looped particles, the screw part of the moving
dislocation can cross-slip to a plane where there is no obstacle. The edge part of the dislocation
can climb if sufficient thermal energy is available. The stress needed to overcome an obstacle
in this way, thus, decreases with increasing temperature. This way the dislocations avoid
precipitate particles.
b
t
~
•
~
•
b
FIGURE 6.14 Interaction of dislocation with precipitate particles having spacing between them l.
The symbols b and t represent respectively the Burgers vector and line tension
associated with edge dislocation.
@Seismicisolation
@Seismicisolation
166 Mechanical Behaviour and Testing of Materials
At equal volume fraction of second phase precipitate particles, the shape of the particles
also affect the strengthening. For example, the rod like and plate (or disc) like precipitate
particles strengthen about twice as much as spherical or equiaxed particles. The shape of the
precipitate particles depends on the degree of misfit. For example, when the misfit strain is
small (i.e. when the difference in atomic diameters of the component elements of solid solution
is ~ 3%), the shape of the precipitate is spherical. This is the case with, say, Al-Li binary alloy.
When such particles grow in size or when a somewhat large misfit is developed, the particles
tend to be cuboidal, as with nickel base superalloys. When the difference in atomic diameters
is~ 5%, the misfit strain is larger such that the predominate form of precipitates is fine-lamellar
(most often disc-shaped). If the elastic strain energy associated with coherent particles is such
that it is greater than that needed for disc-shaped particles but is less than that needed to produce
equiaxed particles, the shape of the particles tend to be acicular or needle like. The shape of
the GP-zones observed in alloy systems Al-Ag, Al-Zn, Al-Zn-Mg and Cu-Co is spherical, in
Al-Cu and Cu-Be it is disc shape (or lamellar) and that in Al-Mg-Si and Al-Cu-Mg is acicular.
Hardening with special reference to Aluminium-Copper alloys
The magnitude of hardening effect in ageing depends on the type of precipitates (such as GP-
zones, intermediate precipitate or stable precipitate), their structure, size, shape, pattern and
density of distribution, the degree of misfit between the lattices of the matrix and precipitate,
and temperature of testing. GP-zones are nucleated homogeneously and their distribution
density is very high and the spacing between them is usually so small (100-150A for GP-I
and about 250A for GP-II) that the stress required for dislocations to bypass these particles
is appreciably higher than that required for shear. It follows that if dislocations are to avoid
these precipitates they would have to bow to a radius of curvature of lO0A. The
corresponding stress required is found to be several times greater than the observed values
of flow stress. This suggests that dislocations are to be forced through the zone to shear them.
From the observed values of flow stress, interparticle spacing for GP-zones and coherent
precipitates has been calculated by researchers and is found to be about 600 A. This confirms
that the bowing mechanism is unlikely to operate with GP-zones and coherent precipitates.
Therefore, GP-zones can cause chemical hardening. If the difference between the atomic
diameters of the solute and solvent elements is not large (e.g. ~ 3%), the degree of misfit
between the lattices of matrix and precipitate is small and chemical hardening is the sole factor
responsible for age-hardening (e.g. in Al-Ag and Al-Zn alloys). With a large difference in
atomic diameters, as for instance, in Al-Cu and Cu-Be alloys, a field of appreciable elastic
stresses forms around GP-zones and coherent precipitates, which contributes to strengthening
by elastic stress field as well as chemical hardening. In case of Ni-base superalloys, where
gamma prime Ni3Al precipitate introduces low particle-matrix misfit, chemical hardening is the
predominant hardening mechanism.
Semicoherent precipitates of an intermediate phase can produce a strong hardening effect
if the spacing between them is small. However, the elastic stress field around semicoherent
precipitates is weaker (as it is partly relaxed by creating dislocations around the particles) than
around coherent ones, and therefore, the corresponding hardening component in ageing is lower
for them. Intermediate-phase precipitates, however, differ more appreciably in their structure
from the matrix than GP-zones, so that their atom arrangement is disturbed more by shearing
@Seismicisolation
@Seismicisolation
Strengthening Mechanisms in Materials 167
dislocations. Therefore, an intermediate-phase precipitate is capable of causing a stronger
'chemical' hardening than a GP-zone, which with a sufficiently high density of precipitates can
give a higher strength in an age-hardened alloy compared with the GP-zones in Al-Cu alloys
(Figure 6.9).
If, however, the density of intermediate-phase precipitates is substantially lower than that
of GP-zones, the stress required to squeeze a dislocation between precipitate particles will be
less than that required for shearing GP-zones. In that case, the strength of the alloy at the stage
of intermediate-phase precipitation will be lower than that of the zone stage (Figure 6.9). Stable
equilibrium phase precipitates are usually incoherent with the matrix and have no elastic strain
fields around. Further, there is large spacing between the precipitate particles as they are larger
in size than coherent precipitates. As a consequence, a much lower stress is required for
dislocations to circumvent them (i.e. to avoid them and by-pass). That is why stable phase
precipitates give appreciably lower hardening effect on ageing than GP-zones and intermediate-
phase precipitates.
Figure 6.15 shows the deformation characteristics of single crystals of an Al-4 wt%Cu
alloy in various structural states. The stress-strain curves from crystals containing GP-I and GP-
II are very much similar and they are also similar to those of pure aluminium crystals, except
that there is considerable increase in flow stress. However, these curves differ considerably
from those for crystals containing 0' or 0 precipitates. The flow stress for crystals containing
0' or 0 phase is much less than for crystals containing GP-zones but the initial strain hardening
for 0' is very rapid. This high rate of work hardening can be correlated to the fact that
deformation in 0' and 0 precipitates occurs on several slip planes rather than confining to single
slip plane. The crystal then deforms more nearly as polycrystalline. The lower rate of strain
hardening of GP-zones (I and II) can be correlated to the fact that once a dislocation cut through
a zone, the path for subsequent dislocations on the same slip plane is easier.
G.P. 0" 0' 0
~ 160
::!:
vi 120
(/)
~
ci5 80
40
0 2 4 6 0 2 4 6 8 0 2 4 0 2 4 E,%
FIGURE 6.15 Stress-elongation diagram for Al-4% Cu alloy at various stages of precipitation.
The magnitude of hardening in precipitation hardenable alloys also depends on
composition which is apparent from Figure 6.9. At concentration of Cu in aluminium lower than
4 wt% hardening is lower. This can be correlated to low density of precipitate particles to hinder
the dislocation motion. In addition, with low density of particles the interparticle spacing will
also be larger to make dislocation bending between them easier. Part of the strengthening is also
associated with coherency strains around the particles.
@Seismicisolation
@Seismicisolation
168 Mechanical Behaviour and Testing of Materials
Tensile strength, yield strength and hardness increase considerably due to the strengthening
by precipitation hardening. Tensile strength values as high as 6 to 20 times of the base metal can
be attained in precipitation hardenable alloys. The increase in strength and hardness depends on
solution heat treatment temperature, aging temperature and aging time. Higher the solution
treatment temperature, shorter is the ageing time required to reach maximum strength or hardness
for a given aging temperature. A similar trend is observed with aging temperature. However, the
extent of strengthening (maximum strength or hardness) also decreases with increasing ageing
temperature which is not desirable. By lowering ageing temperature, maximum strength or
hardness value can be raised reasonably. Ageing time required to reach maximum strength or
hardness will be certainly more with lower ageing temperatures.
An optimum combination of aging temperature and aging time is selected in actual practice.
Ductility of the precipitation hardenable alloys decreases with increase in strength and hardness.
6.4.2 Dispersion Hardening
Another strengthening mechanism by second phase particles is dispersion hardening. In
dispersion hardening, very fine particles of second phase are mechanically alloyed (dispersed)
into the matrix. The second phase may be metallic or nonmetallic in nature. These particles need
not to be coherent with the matrix as in the case with precipitation hardenable alloys and hence
a large number of dispersion hardenable alloys have been developed (Table 6.3). Second phase
TABLE 6.3 Examples of some dispersion strengthened alloys
Base metal
Aluminium, copper
Nickel
Tungsten
Nickel base superalloys
Stainless steels
High speed tool steels
Alumina
Thoria
Thoria
Dispersoid
Intermetallics, borides and refractory metal carbides
TiB2
Vanadium carbide (VC)
particles should be hard, fine, numerous and preferably spherical in shape. In general, second
phase selected for dispersion is an intermetallic compound which is being used to the best
advantage in a relatively soft and ductile matrix. Intermetallics are being used preferentially
because of their high melting temperature, stiffness, creep strength and good resistance against
oxidation. Dispersion hardenable alloys, unlike precipitation hardenable alloys, can be used
safely at high temperatures due to excellent thermal stability of dispersed intermetallic
compounds. Distribution of numerous fine particles hinders motion of dislocations, and hence,
strengthening occurs by dispersion hardening. The mechanism of strengthening is similar to that
for averaged precipitation hardening alloy (Figure 6.14). Eq. 6.15 is applicable here also. A fine
dispersivity results in enhanced strengthening. Dispersion hardenable alloys have enhanced
tensile strength, yield strength and hardness but decreased ductility and toughness. They also
exhibit high temperature strength. The recrystallization temperature is raised by second phase
dispersoids. For instance, the recrystallization temperature of aluminium is raised to as high as
0.9 Tm when it is strengthen with alumina dispersoids.
@Seismicisolation
@Seismicisolation
Strengthening Mechanisms in Materials 169
In contrast to second phase coherent precipitates, dispersoids are incoherent particles and
therefore do not suffer from the problem of overageing or coarsening even at high temperatures.
For precipitation hardening to occur, the second phase must be soluble at an elevated
temperature but must exhibit decreasing solubility with decreasing temperature. In contrast, the
second phase in dispersion hardening system has very little solubility in the matrix even at
elevated temperatures. Thus dispersion hardened alloys maintain their stability even at high
temperatures. They show high strain hardening rates. The degree of strengthening is improved
by increasing the volume fraction of particles which in turn also result in lower interparticle
spacing. The requirement of decreasing solubility with decreasing temperature places a
limitation on the number of useful precipitation hardening alloy systems while there is no such
limitation with dispersion hardened systems, in fact, theoretically, there can be an infinite
number of dispersion hardened systems.
6.5 STRAIN HARDENING
Mechanical properties of a metal can be altered by controlling the amount of cold deformation.
As mentioned earlier that when a metallic material stressed beyond its elastic limit it undergoes
plastic deformation due to the movement of dislocations. A higher stress is required for plastic
deformation to continue. In other words, as the amount of plastic deformation increases, more
and more stress is needed to continue the plastic deformation of the metal. This increase in
stress due to previous plastic deformation is known as strain hardening. Strain hardening is
also known as work hardening or cold working. Cold deformation results in increase of
dislocation density. This is because during plastic deformation there are sources such as Frank-
Read source of dislocations which generate dislocations.
This phenomenon of strain hardening or work hardening is utilized for strengthening
of both pure metals and alloys, in particular, those alloys which cannot be hardened by
heat treatment (for instance, austenitic and ferritic stainless steels). Strain hardening
increases the tensile strength, yield
strength and hardness of a metallic
material considerably (Figure 6.16 and
Table 6.4). However, this increase in
strength and hardness is accompanied by a
decrease in ductility. In general, toughness
decreases as a result of work hardening.
However, in some materials, especially
those having very high ductility, toughness
may first increase and then decrease with
increasing amount of cold deformation.
This is because toughness depends on both
tensile strength and ductility and hence an
optimum combination of strength and
ductility may be attained on controlled cold
working a highly ductile material.
(/)
(/)
Cl)
C:
"E
C1l
.c
-0
C:
C1l
FIGURE 6.16
--- Tensile
strength
Amount of cold work
Effect of cold working on strength
and hardness of metals.
@Seismicisolation
@Seismicisolation
170 Mechanical Behaviour and Testing of Materials
TABLE 6.4 Tensile strength, yield strength and hardness of some annealed and cold worked alloys
Material Tensile strength Yield strength Hardness, VHN
MPa MPa
Copper (99.9%)
Annealed 220 103
Hard 380 330 105
Brasses
70-30 Cu-Zn
Annealed 325 77 65
Hard 725 510 185
63-37 Cu-Zn
Annealed 340 95 65
Hard 725 540 185
Tin bronzes (3.75 Sn-0.1 P)
Annealed 340 110 60
Hard 740 620 210
Aluminium bronzes
Annealed 385 125 80
Hard 775 590 220
Cupro-nickels (25 Ni)
Annealed 355 80
Hard 600 170
EC grade aluminium (99.45)
Annealed 82
Hard 186
1100 alumnium (99.00)
Annealed 90 35 25
Hard 165 152 50
3003 (Al-1.2 Mn)
Annealed 110 45 32
Hard 200 170 50
5083 (Al-4.5 Mg-0.7 Mn)
Annealed 315 125
1/2 Hard 345 235
The increase in tensile strength up to a certain amount of cold deformation is quite rapid.
Beyond this amount of cold deformation, tensile strength increases gradually. Yield strength
and hardness also follow the same trend, i.e. rapid increase followed by gradual increase with
increased amount of cold deformation. The difference between the tensile strength and yield
strength is usually fairly large for a material in soft (annealed or hot rolled) condition. This
difference in the tensile strength and yield strength decreases with increase in the amount of
cold deformation and a state is reached when yield strength and tensile strength are close to the
maximum extent. At this state, ductility is extremely poor. Hardness is at maximum at this
@Seismicisolation
@Seismicisolation
Strengthening Mechanisms in Materials 171
degree of cold deformation. If material is stressed further for deformation beyond this, cracks
will develop and the material will eventually separate into two or more pieces.
Strain hardening is believed to arise principally from the interaction between dislocations
themselves such that the mobility of dislocations is reduced. As a consequence, higher stresses
must be needed to produce additional strain. In addition to dislocation-dislocation interaction,
strain hardening also arises from the interaction of moving dislocations with barriers such as
second phase particles, grain boundaries, jogs in screw dislocations, and so on. As gliding
dislocations encounter a barrier, dislocations pile-up there and produce a back stress. This back
stress resists the applied stress on the slip plane by resisting the operation of the dislocation
source. The barriers to the dislocation motion may be formed by the interaction of gliding
dislocations on intersecting slip planes. When two dislocations gliding on two intersecting slip
planes meet they combine and produce a new dislocation. The Burgers vector of this newly
formed dislocation does not lie on either of the intersecting slip plane. Instead, it lies on a plane
in which the motion of this dislocation is not favourable as the plane is an inactive slip plane.
That is, the dislocation becomes immobile and commonly called sessile dislocation or Lomer-
Cottrell sessile dislocation (as discussed in Section 4.8.1). It is a dislocation of low mobility.
This dislocation behaves as a barrier to the motion of subsequent dislocations on the intersecting
slip planes. As a consequence dislocations pile up there. This mechanism is illustrated in
Figure 4.37. Another barrier can be a screw dislocation containing a jog. The jog in screw
dislocation is edge in character and not only prevents the dislocation to move but also stops it
from cross-slip. A jogged screw dislocation can move only by generating vacancies or
interstitials. This in turn needs expenditure of work or energy. The consequence of this is the
increased rate of strain hardening (the slope of the stress-strain curve). Strain hardening in
single crystal is also believed to arise when the dislocations moving on slip plane cut through
other dislocations intersecting the active slip plane. Strain hardening in single crystals has been
covered in Section 5.3.5.
The statement that strain hardening is a result of increased dislocation density with
increasing plastic strain is experimentally predicted by researchers. Experimental findings show
that the flow stress, r required to move dislocations increases with increasing dislocation density
p in accordance with the following relationship
r = ro + AGbp112 (6.16)
where r0 is the stress required to move a glide dislocation in the absence of other dislocations,
G is the shear modulus of the material, b is the Burgers vector and A is a constant. This
relationship is valid for various stages of stress-strain curves of single as well as polycrystalline
materials. In general, polycrystalline metals work hardened more rapidly than single crystals.
6.5.1 Properties Affected by Strain Hardening
Strain hardening is principally used to improve mechanical properties of metals. The major
effect of strain hardening on mechanical properties include only slight increase of elastic
modulus, increase in proportional limit, yield strength, tensile strength, and hardness but
reduction in percent elongation. However, the increase of mechanical properties are not at the
same rate. Apart from the mechanical properties strain hardening or cold work also affects the
@Seismicisolation
@Seismicisolation
172 Mechanical Behaviour and Testing of Materials
physical and chemical properties. For example, electrical resistivity of an alloy increases with
increasing degree of cold working. The increasing electrical resistivity is correlated to increased
scattering of electrons with dislocations. Cold working also alters the magnetic properties of
ferromagnetic materials. For instance, it is believed that coercive force of permanent (or hard)
magnets increases with increasing internal strain, as in cold worked alloy. A small decrease in
density of metal and a small increase in coefficient of thermal expansion also occur by cold
working. The increase in internal energy due to increased dislocation density during cold
working of metals leads to increased chemical reactivity. This in turn leads to a general decrease
in corrosion resistance and in certain alloys introduces the possibility of stress-corrosion
cracking (as in stainless steels).
6.5.2 Industrial Importance of Strain Hardening
Industrially, strain hardening is very important both in its influence upon forming and
fabricating operation and in its effects upon the properties of finish metal sections.
In a forming operation, strain hardening is beneficial on one hand and is disadvantageous
on the other hand. For example, in a cold rolling operation, strain hardening continuously
increases the resistance of the metal against further deformation. This in turn needs more input
of energy or work to produce successive increments of reductions. An increase of resistance
against further deformation may lead to brittleness of material. There is danger of cracking or
splitting of metal during further reductions. Under such conditions, in order to achieve further
reductions without any cracking or splitting, the metal must be given an annealing treatment to
remove the effect of work hardening before further rolling. Such intermediate annealing
treatments are expensive. Sometimes, two to three intermediate annealing treatments are
required (as, for instance, in fine wire drawing process). The ultimate effect is increased cost
of the product. In addition, the whole fabrication process consumes lot of energy and time.
With regards to influence of strain hardening on mechanical properties, it is the only
process of strengthening of those metals and alloys which otherwise can not be hardened by any
other hardening process. Furthermore, strain hardening imparts flexibility to control final
combination of properties in cold finish metals by proper control of cold working and annealing
cycles. Cold rolling of some grades of stainless steels can result in almost double the tensile
strength and more than double the yield strength, making possible important savings in both
weight and material cost in the design of transportation vehicles such as aircrafts, automobiles,
railway coaches and so on. A reduction in weight of transportation vehicle leads to considerable
saving in fuel and increased load carrying capability of the vehicle.
Deep drawing is a very common industrial forming operation that would be completely
impossible if strain hardening did not occur during plastic deformation. Figure 6.17 illustrates
schematically the process of deep drawing of a cup shaped product. This figure shows a circular
metal sheet called blank [Figure 6.17(a)]. The thickness of the blank is much greater than the
annular region (indicated by the symbol r in Figure 6.17(b) between the shoulder of the punch
and the rim of the die opening. Accordingly, as the punch descends in the blank, in the
beginning, an appreciable reduction in thickness of the metal blank is needed as drawing occurs
[Figure 6.l7(c)]. If the deformed metal did not strain hardened then this decrease in section would
produce an equivalent reduction in strength of the sheet metal and further deformation would
@Seismicisolation
@Seismicisolation
Strengthening Mechanisms in Materials 173
Blank
Pressure pad ~
Die ~
(a) (b)
(c)
FIGURE 6.17 Process illustrating deep drawing of a metal cup out of a blank: (a) Assembly of
punch and die, (b) Descending of the punch in the metal blank, initiating deep
drawing, and (c) the cup is formed, the arrow indicating ascending of the punch.
be confined entirely to this region. Continued descending of the punch would simply elongate
the metal at the die opening until failure occurred (In the annular region the metal sheet
experience biaxial tensile stress and compressive stress between the punch shoulder and the rim
of the die opening). The eventual effect would be the production of a circular hole punched in
the metal blank as the punch continued to descend. The hole in the blank is associated with a
pronounced burr at the circumference. Deep drawing is possible only when the deformed part
of the metal strain hardens so rapidly that, in spite of its reduced thickness, it is stronger than
the remaining adjacent undeformed part of the metal. As a result, the descending punch will
cause the metal to deform at the bottom and draw additional metal from the edges of the blank
into the die opening. Similarly, wire drawing is impossible if the metal drawn did not strain
hardened sufficiently as it passed through the die to more than compensate for the reduced
cross-section. These examples of cold forming demonstrate the fact that only the materials that
can be rapidly work hardened are capable of being deep drawn with ease while those with low
work hardening characteristics are difficult to be deep drawn. For example, plastic materials
which do not strain harden at all, cannot be deep drawn, though they can be cupped easily by
a variety of other methods.
In industry, the degree of strain hardening existing in cold worked metals is identified as
its temper. In USA, the degree of strain hardening is commonly described either in terms of
@Seismicisolation
@Seismicisolation
174 Mechanical Behaviour and Testing of Materials
gauge numbers of cold reduction since the last anneal or as a fractional hardness. Thus the most
common commercial tempers in which metals are sold and bought are: dead soft, or fully
annealed; 1 No. or one quarter hard, representing 11% reduction of original thickness, or
original diameter by cold rolling or cold drawing; 2 No. or half hard, representing 20% of cold
reduction; 4 No. or full hard, representing 60% of cold reduction. It has been observed that for
any given cold worked temper, wire has been strain harden more extensively than has sheet or
strip. The extent of cold working and hence the degree of work hardening is best represented
by the percent reduction in cross-sectional area during working. A 20% reduction in diameter
of a round wire, e.g. represents a far greater decrease in cross-section than a 20% reduction in
thickness of a flat sheet.
With regard to influence of strain hardening on mechanical properties, it is the only
process of strengthening those metals and alloys which otherwise cannot be hardened by heat
treatment.
6.6 MARTENSITIC STRENGTHENING
Strength due to the transformation of austenite into martensite is most frequently used in steels.
Martensite is the name given to a non-equilibrium transformation product obtained on rapid
cooling. It is a diffusionless transformation which involves a change in crystal structure such
that the position of atoms in the product can be related to their positions in the parent phase
by a homogeneous strain. This transformation, therefore, does not involve long-range diffusion
of atoms. In fact, the atoms may move relative to their lattices by no more than a fraction of
interatomic distance. This is why the transformation is called diffusionless. Because of the
diffusionless nature, the composition of the product phase is the same as that of the parent
phase. Diffusionless transformation is accompanied by an increase in strain. In many useful
alloys this strain is quite high, i.e. about 0.1.
Martensite transformation is not limited to steels and ferrous alloys. Many nonferrous
metals and alloys undergo martensitic transformation. However, martensite in nonferrous metals
and alloys is soft. For example, copper martensite is so soft that all forming operations like
bending and twisting etc. are performed on as-quenched copper. Even in some of the ferrous
alloys such as maraging steels, martensite is soft. It is only ferrous alloys and specifically
carbon containing ferrous alloys which exhibit a pronounced strengthening effect due to
martensitic transformation. That is why this is one of the most commonly employed
strengthening mechanism in steels.
The strengthening due to martensitic transformation is not due to single factor. Many
factors contribute to martensitic strengthening. However, it can be said without any doubt that
carbon plays a major role in strengthening due to martensitic transformation in ferrous alloys.
In a conventional plate martensite, plates are composed of stacks of very fine twins.
Strengthening of plate martensite (also known as acicular martensite) arises from the very
fine twins that act as strong barriers to slip. In lath martensite, a network of tangled
dislocations is possessed by laths. A very high dislocation density, say 1010-1012 per cm2,
comparable with those of heavily cold deformed material is associated with lath martensite
@Seismicisolation
@Seismicisolation
Strengthening Mechanisms in Materials 175
which accounts for a part of strengthening due to martensitic transformation. The major
strengthening due to martensitic transformation is caused by distortion of lattice and volume
expansion. The magnitude of these both parameters is a function of carbon content. These
both parameters lock both edge and screw dislocations. In alloyed steels, though
strengthening also occurs by solid solution, strengthening is mainly caused by segregation of
carbon atoms at dislocations and/or at lath/plate boundaries. Precipitation of iron carbide
which takes place in steels having higher Ms temperature also causes strengthening. Further
strengthening is possible by making austenitic grain size finer prior to martensitic
transformation.
6.7 COMPOSITE STRENGTHENING
A composite material is one which is created synthetically by combining two or more distinct
materials so as to obtain some specific distinct properties which neither of the constituting
component impart when used alone. The constituting elements maintain their chemical
identity. Generally, a composite is composed of two component materials such that one of the
materials is inserted into the other. The insert is of discrete nature and is popularly called
reinforcement. The material which receives or supports the insert is of continuous nature and
is commonly called matrix. Usually the reinforcing material is harder, stronger and stiffer
than the material of the matrix (with some exception as in case of rubber modified plastics
and metal wire reinforced ceramic composites) therefore the primary function of the insert or
reinforcement is to improve the mechanical properties (in particular, the strength and
stiffness) of the composite. Matrix mainly takes the applied load and distributes it to the
reinforcement. The matrix component can be metallic, polymer or ceramic. The basic idea of
reinforcing a matrix is to improve specific strength (i.e. strength to density ratio) and specific
stiffness (i.e. elastic modulus to density ratio). The form of reinforcement may be fibrous,
particulate, ribbon or wire like. Fibrous form of reinforcement is most common among
composites. Therefore, fibre reinforced composites have been discussed here in greater
details. Polymers are generally mechanically too weak to be used for high performance
structural use. Therefore, these are reinforced with strong and stiff fibres of low density so
as to increase both strength and stiffness properties to a considerable extent. Metals are
generally strong and stiff and their strength can be improved by various mechanisms
discussed above. However, the above strengthening mechanisms do not improve the stiffness
property. By reinforcing the metals and alloys with strong and stiff fibres it is possible to
improve both specific strength and specific stiffness at the expense of some toughness.
Ceramics are generally strong and stiff but suffer from the problem of brittleness which in turn
limits their applications for structures. One of the ways to improve fracture toughness of
ceramics is to reinforce them with strong and stiff fibres. The fibre bridging mechanism of
toughening ceramics is discussed in Chapter 10. The improvement of fracture toughness and
flexural strength of some ceramics reinforced with ceramic fibres is shown in Table 6.5. The
properties of composites predominantly depend on the size, shape, volume and distribution of
the reinforcement phase.
@Seismicisolation
@Seismicisolation
176 Mechanical Behaviour and Testing of Materials
6.7.1
TABLE 6.5 Effect of SiC reinforcement fibres on the properties of selected ceramic
materials
Material Flexural strength Fracture toughness
(MPa) (MPa m-112)
Al20 3 550 5.5
Al20rSiC 790 8.8
SiC 495 4.4
SiC-SiC 756 25.3
Zr02 206 5.5
ZrOi-SiC 446 22.0
Si3N4 467 4.4
Si3N4-SiC 790 56.1
Glass 62 1.1
Glass-SiC 825 18.7
Glass ceramic 206 8.2
Glass ceramic-Sic 825 17.6
Fibre Strengthened Composites
Among the various types of composites, the most popular being the fibre-reinforced composites
as they are designed to have high-strength to density (or weight) ratio and high-stiffness to
density ratio. These characteristics are expressed in terms of specific strength and specific
stiffness, respectively. Fibre-reinforced composites with exceptionally high specific strengths
and modulus have been produced out of low density constituting materials. In the fibre-
reinforced composites, the reinforcing phase is hard and stiff fibres the volume percent of which
range from 40 to as high as 75. An excessive volume fraction is undesirable. Matrix may be
a metal, ceramic or polymer. Polymer composites are the most widely used ones. Fibres may
also be made of metals, ceramics or plastics. In these composites, fibre phase is the major load
bearing constituent. Matrix takes the applied load and transmits it to fibres through the interface.
The interfacial bond characteristic is very important in these composites. A strong interfacial
bond is essential for effective transfer of load from matrix to fibres. A weak interface may result
in fibre pull out or slippage of fibre with respect to matrix. The matrix if metal or thermoplastic,
provides ductility and toughness whereas fibres impart strength and rigidity to the composite.
The basic principle used in fibre-reinforced composites is that materials are generally
stronger in fibre form than in bulk form due to minimum number of defects they have. The
number of defects, in particular, dislocations, increases as the thickness or diameter of the
material increases. The theoretical strength value of a perfect crystal is found to be about 1000
times higher than the observed strength in polycrystalline materials. For instance, whiskers that
are single crystal materials with diameter less then 0.1 µm display strengths approaching that
of an ideal crystal. This is due to the existence of a few immobile dislocations in them.
However, these materials are brittle solids, i.e. they fail suddenly after reaching to the critical
@Seismicisolation
@Seismicisolation
Strengthening Mechanisms in Materials 177
elastic limit. The strength of a brittle material is inversely related to the square root of its
maximum flaw size (Eq. 7.5) and the probability of having a large flaw in a given material
decreases as the thickness or diameter decreases. In a brittle material, the rate of propagation
of a preexisting crack is fast when a load is applied on it provided the crack length is above
a critical value. This probability of a critical or supercritical crack size is reduced in the material
when it is in fibre form since the diameter of fibres is less than the critical size of flaw, if it
exists on the fibre surface. Thus the strength of the fibre increases with decrease in its diameter
as illustrated in Figure 6.18 for a typical fibre material. It is apparent from this figure that a
small diameter fibre is advantageous to use as reinforcement. It has been observed by
investigators that a carbon fibre having a diameter of 8 µm exhibit a tensile strength of about
2.5 GPa as against a value of 1.5 GPa of a fibre with diameter 12 µm of the same material.
Similarly, the tensile strength of an antimony wire of 30 µm diameter is 175-215 MPa as against
6-8 MPa of 4 mm diameter rod of the same metal. Generally, the materials in fibre form have
high elastic modulus because of the orientation of fibre axis with respect to the directions of
strong covalent bonds. For example, the elastic modulus of graphite fibres can be increased
significantly by orienting the graphite planes with respect to fibre axis. This happens when the
pyrolysis and graphitization of the precursor material [i.e. the starting material from which
carbon is derived. The most widely used precursor materials for carbons fibres are
polyacrylonitrile (PAN) fibres and pitch] is carried out at high temperature (2000-2500°C). The
elastic modulus for such graphite fibres will be as high as 1035 GPa. Further, the interfacial
surface area available to transfer load from matrix to reinforcement is more with fibrous
geometry than particle like geometry. Thus, the fibre form of reinforcement is more effective
in transfer of load from matrix to reinforcement, and thus, the effectiveness of composite is
realized. Furthermore, a small diameter (of fibres) is also important in providing a fibre with
much required flexibility. Fibre flexibility is associated with its elastic modulus E and diameter
d such that flexibility is inversely proportional to fourth power of diameter according to the
relation [l/MR oc l/Ed4, where l/MR is a measure of flexibility, M is bending moment and R
is radius of curvature of bend]. Thus, a minor decrease in fibre diameter can result in a
considerable decrease in bending stiffness or increase in flexibility. Thus, for a given elastic
modulus, the smaller the diameter the more flexible it is. Fibre flexibility allows it to be woven,
bent, and wound into intricate shapes.
~
..c
t;::
0
-5
O>
C
i
en
Diameter of fibre -
FIGURE 6.18 Decrease in tensile strength of a fibre with increase of its diameter.
@Seismicisolation
@Seismicisolation
178 Mechanical Behaviour and Testing of Materials
Thus, fibres are considered to be the principal constituent in a fibre-reinforced composite
material. They occupy the largest volume fraction in a composite.
The performance of the fibre reinforced composites depend on:
(i) the continuity of the fibres and their orientation,
(ii) the volume fraction of the fibres,
(iii) the length of the fibres,
(iv) the interfacial bonding between matrix and fibre phase and so on.
To achieve significant strengthening effect in the composite system, the fibres must have
high strength and stiffness (a high stiffness is important because under compressive forces, the
fibres should not buckle out) because they have to carry major proportion of the applied load.
If fibres of lower modulus than the matrix are used then the tensile strength of the composite will
be reduced since matrix rather than fibres will then carry a greater proportion of applied load.
Thus, strength of the composite depends on the strength of the fibres. Further, a strong
interfacial bond is desirable for the transfer of load from matrix to fibres. Since most of the load
is born by the fibre phase, its volume content should be high. However, too high a volume
percent fibre is undesirable as it may lead to improper wetting with the matrix. This in turn led
to poor bonding between fibres and matrix and hence a weak composite. Again, too low a
volume fraction (V1) of the fibre will result is little or no strengthening effect.
Effect of fibre orientation and concentration
The orientation of fibres with respect to one another and loading direction, their concentration
and distribution all influence the properties of a composite. All fibres may be aligned parallel
to one another or may be randomly distributed in the matrix as illustrated in Figure 6.19.
Continuous fibres are normally aligned [Figure 6. l9(a)], whereas discontinuous fibres may be
aligned [Figure 6.l9(b)] or oriented randomly [Figure 6.19(c)]. Sometimes discontinuous fibres
may be partially aligned.
Transverse
direction ~
Longitudinal
direction
l
;
(a)
~
I I I 1111I I 11
I I I 1111I I 11
I I I 1111I I 11
I I I 1111I I 11
I I I 1111I I 11
I I I 1111I I 11
I! I !1 !1 ! I !1
I I I I I I
(b)
// _......- /
//~ I
,,_/'/'
>"/."
....._ I ....._
1/ /
" I,
'-1/-- <
(c)
FIGURE 6.19 Schematic illustration of fibre architecture in composite: (a) Continuous and aligned,
(b) Discontinuous and aligned, and (c) Discontinuous and randomly oriented fibres.
@Seismicisolation
@Seismicisolation
Strengthening Mechanisms in Materials 179
Longitudinal loading: Let us consider the loading of continuous fibres under longitudinal
condition. Figure 6.20 illustrates the loading of a continuous fibre-reinforced composite such
re
Matrix
~
"'-'-.. I'--
Fibre
ipc
FIGURE 6.20 Longitudinal loading of continuous fibre composite (lsostrain condition).
that the applied load is parallel with respect to the orientation of fibres. Assuming the bond
between the fibres and the matrix is strong and no slippage is allowed between them. When the
magnitude of applied load is low both the fibres and matrix deform elastically and the strain
produced in them is same (isostrain condition). Let the applied load on the composite is Pc.
This load is the sum of the loads carried out by the matrix and the fibres. Thus,
(6.17)
The subscripts c, f and m denote composite, fibre and matrix, respectively. In terms of stress
Eq. (6.17) can be written as:
O'c Ac = O'J At + CT,,,Am
or O'c = O'J A/Ac + O'm Am/Ac
(6.18)
(6.19)
For a given length of the composite, A/Ac and AmiAc can be written as v1 and Vm, the volume
fractions, respectively, for fibres and matrix. Thus, Eq. (6.19) can be written as:
Since V1 + Vm = I, therefore,
O'c = O'J VJ + O'm (I - V1)
In terms of the elastic modulus E and elastic strain c, Eq. (6.21) can be written as:
Eccc = Et cJV1 + Emcm ( I - V1)
Since cc =£r =cm
(6.20)
(6.21)
(6.22)
(6.23)
Equation (6.23) is called rule of mixtures for elastic modulus in the longitudinal loading
condition. Equation (6.21) is similar to Eq. (6.23) and represents the composite longitudinal
strength. Equations (6.21) and (6.23) can be represented diagrammatically as shown in
Figure 6.21.
@Seismicisolation
@Seismicisolation
180 Mechanical Behaviour and Testing of Materials
b
~ e $,,1----------j-------
~ 4.."$ sf,1'
u5 0~11
Strain, t: 0 100
FIGURE 6.21 Representation of Eqs. (6.21) and (6.23) diagrammatically for composite strength
and elastic modulus.
re
--~
Matrix
I~
./
Fibres
1
pc
Let us consider another case in which
the continuous fibre-reinforced composite is
loaded transversely with respect to orientation
of fibres as illustrated in Figure 6.22. In this
case the stress experienced by the matrix and
the fibres is same (i.e. O'c = O'j = O'm) and
therefore the loading condition is termed as
isostress. However, the strains produced in
fibres are different from that produced in the
matrix due to different elastic moduli. The
total strain produced in the composite is the
sum of the strain produced in the matrix and
the fibre components. Under isostress
loading, the total displacement experienced
by the composite in the thickness direction
dtc is the sum of the displacements of the
components, i.e.,
FIGURE 6.22 Transverse loading of continuous
dtc = dt1 + dtm
Dividing both sides by le, the composite thickness, we get
/).t /).ti /).t
_ c =--+___!!!_
fibre reinforced composite
(lsostress condition).
(6.24)
(6.25)
But dt)tc is the strain Ec, the composite strain in the transverse direction and dt1 and dtm are
the strains in the fibre and matrix times their respective gauge lengths in the transverse
direction, i.e. dt1 =eft and dtm =Emtm. Accordingly, we can write
(6.26)
@Seismicisolation
@Seismicisolation
Strengthening Mechanisms in Materials 181
or ec=e1(~)+em(::) (6.27)
For a given composite cross-sectional area under the applied load, the volume fractions of fibres
and matrix can be expressed as:
Thus, Eq. (6.27) can be written as:
Ee= Cf VJ+ emVm (6.28)
If the composite is loaded within elastic regime only, and that O'c =O'j =O'm, Eq. (6.28) can be
written in terms of elastic modulus and stress as:
ac =(!!E...)vr + (!!E...)vm
Ee Ef Em
(6.29)
1 Vr (1- v1)
-=-+---'--
EC Ef Em
or (6.30)
Equation (6.30) represents the rule of mixtures for elastic modulus of the composite loaded
transversely. For all composites of two phase systems, the transverse strength and stiffness are
always lower and are found to be not much different than those of the matrix. When strength
and modulus properties are measured in different directions with respect to the orientation of
fibres, these are minimum in the direction perpendicular to the orientation of fibres and
maximum in the direction of orientation (Figure 6.23). The efficiency of the reinforcement is
a function of fibre orientation.
Now, consider the mechanisms of deformation of a composite material reinforced with
continuous fibres and stressed under the condition of 'isostrain' or 'longitudinal' loading. The
overall deformation process can be described in four stages with increasing load.
Stage I: Initially both the matrix and fibres deform elastically under load.
Stage II: As the load increases, the stress in the matrix approach the yield stress and it
begins to yield and deforms plastically, while the fibres continue to deform
elastically and take up a greater fraction of load.
Stage III: The continued increase in loading causes the fibres and matrix both to deform
plastically.
Stage IV: Any further increase in load will cause the fibres to fracture and cracks will
propagate across the matrix resulting in failure of the composite.
In stage I, the elastic modulus of the composite Ee follows the rule of mixtures given by
Eq. (6.23). This rule of mixtures is not applicable during stage IL In stage II, if the slope of
the stress-strain curve of matrix is given as (damldem) at the elastic strain of fibres, the elastic
modulus of the composite can be expressed as:
@Seismicisolation
@Seismicisolation
182 Mechanical Behaviour and Testing of Materials
(ll
Q.
6
.c 350
g1 (1750)
~
ci,
a> 280
~ (1400)
~
o 210
co (1050)
Q.
Q,
en 140
::,
3 (700)
"O
0
E
<.J 70
~ (350)
(ll
iii
Elastic modulus
70 140 210
(350) (700) (1050)
Elastic modulus (GPa) or Tensile strength (MPa)
Tensile
strength
FIGURE 6.23 Effect of fibre orientation on elastic modulus and tensile strength of composites.
[ dam]
EC =E1V1 + - - vm
dem
(6.31)
In Eq. (6.31), am is the stress in the matrix and em is its strain. If the matrix were truly plastic,
i.e. if it continues to deform without any increase in stress, (damldem) would be zero. So the
elastic modulus is expressed as:
(6.32)
This relationship is very important and interesting as it shows that tensile modulus of fibre
reinforced composites depends directly upon the modulus and volume fraction of fibres. Once
the fibre to be used is selected its elastic modulus is fixed. Now it is the fibre volume fraction
that will affect the magnitude of tensile modulus of the composite. In general, increase in
volume fraction of the fibres will result in the increase of tensile modulus of the composite.
Similar trend is followed with tensile strength property. However, improvement in these
properties is accompanied by a reduction in impact strength and ductility. Stage II becomes very
important because large portion of the stress-strain diagram occupies this stage of deformation.
Stage III is not observed in composites with brittle fibres such as ceramics, but may occur
with metal fibre reinforcements. However, it is necessary to take into account that both the
fibres and matrix are being deformed plastically and the slope (damfdt:,,,) cannot be taken to be zero.
The ratio of the load carried by the fibres (P1) to that carried by the matrix (Pm) is given as:
Pr E1 v1
- = - X -
pm Em Vm
(6.33)
@Seismicisolation
@Seismicisolation
Strengthening Mechanisms in Materials 183
For a composite material reinforced with continuous fibres aligned in one direction and having
a volume fraction greater than a minimum (i.e. VJ min), the ultimate tensile strength of the
composite O'er will be attained for a strain at which fibres fracture. This statement will be true
if all the fibres are assumed to be identical and uniform and having the same tensile strength
so that when they break they all break at the same instant. Under these conditions the ultimate
tensile strength of the composite for VJ > VJ min is given as:
O'er= 0j1VJ + d m (1 - VJ) (6.34)
where, Oj1 is the tensile strength of the fibres in
the composite, dm is the matrix stress at strain
corresponding to the fibre tensile strength
(Figure 6.24). For large volume fraction of
fibres, and since Oj1 >> dm the strength of the
composite may be adequately represented by
O'er == O'JrVJ (6.35)
At low volume fractions, most of the load is to
be born by the matrix while it is not capable of
doing so. If the matrix is capable of being
work hardened then the reduced load carrying
capability of the matrix is counterbalanced. At
such low volume fraction of fibres, the matrix
controls the composite strength. Similarly, if
all the fibres fracture at the same time, the
strength of the composite must exceed volume FIGURE 6.24
weighted tensile strength of the matrix, i.e.
O'er ~ O'mr (1 - VJ)
Stress-strain curves for a typical
fibre and a matrix material.
(6.36)
O'mr is the tensile strength of the matrix. Combining Eq. (6.34) and (6.36), a minimum volume
fraction of fibres, VJ min for composite strengthening is obtained:
(6.37)
The value of VJ min typically varies from 0.05 to 0.10. The value of VJ min increases with
decreasing fibre strength Eq. (6.37). In other words, if the fibres used for fabrication of
composite have low tensile strength then the minimum volume fraction needed will be large.
In reality, the basic purpose of producing a composite is to have its strength higher than that
of the ultimate tensile strength of matrix alone, i.e.
(6.38)
If Eq. (6.38) does not hold well, the fibrous reinforcement will not produce a composite stronger
than the matrix. For this there must be a critical volume fraction of fibres that must exceed in
order to realize the strengthening of composite. This critical volume fraction VJ crit can be
obtained from Eq. (6.34) and Eq. (6.38), i.e.
@Seismicisolation
@Seismicisolation
184 Mechanical Behaviour and Testing of Materials
V - amt -a;
fcrit - ,
(jft -(jm
(6.39)
The stress caused by work hardening of the matrix (Gmr - a~) is independent of fibres
(Figure 6.24). Equation 6.39 shows that Vfcrit increases with increasing matrix work hardening
(Gmr - a;,,) and also as the matrix and fibre strengths approach each other. As 01 approaches
amt, their difference will reduce and thus v1 crit will increase. Consequently, strong matrices
require large volume fractions of relatively weak fibres to provide any strengthening.
Figure 6.25 shows the graphical representation of VJ min and Vfcrit· A comparison of Eqs. (6.37)
and (6.39) clearly shows that v1 crit is always greater than v1 min which is also apparent from
Figure 6.25.
en
en
~
u5
(J '
m
-....
V,min V,c,it
Volume fraction, V1 - - -
FIGURE 6.25 Effect of volume fraction of fibres on theoretical strength of composite v,crit > v, min·
The strength of a composite also depends on the bonding between the fibres and the
matrix and is limited by the deformation of the matrix. In addition thermal stresses may occur
at the interface during fabrication of composites. Consequently the strength is almost always
less than that predicted by the rule of mixtures.
Influence of fibre length
The mechanical properties of a fibre-reinforced composite depend not only on the properties of
fibres but also on the extent to which the applied load is transmitted to the fibres by the matrix
phase. This degree of load transmission to the fibres depends on the interfacial bond strength.
The extent to which fibres are able to carry the applied load is also a function of their length.
It is important, in particular, for discontinuous fibre-reinforced composites. There is minimum
length that must exceed some critical value in order to realize the effective performance of the
composite. Figure 6.26(a) shows a composite with a single fibre embedded in it. Let E1 is the
elastic modulus of the fibre and that of the matrix is Em. If a normal stress a is applied to the
composite, the matrix and fibre deform. Figure 6.26(b) illustrates the deformation pattern. The
@Seismicisolation
@Seismicisolation
U)
U)
~
u5
I
I·
Fibre
(a)
Fibre
(b)
lnterfacial
shear stress (r)
1
0 ,12 ·I
Tensile stress
in fibre
Fibre
(c)
Strengthening Mechanisms in Materials 185
Matrix
I
I· 1
012 ·I
FIGURE 6.26 (a) Composite containing a single discontinuous fibre without loading. Imaginary lines
are shown to run continuously through the fibre-matrix interface, (b) Situation after
loading. Imaginary lines bend more at fibre ends suggesting shear stresses around
the fibre, and (c) Stress distribution along the loaded fibre.
applied stress generates both normal and shear stresses in the fibre and their variation along the
fibre length is shown in Figure 6.26(c). The central part of the fibre experiences tensile stresses
while the ends develop both tensile and shear stresses. The tensile stress in the fibre increases
from zero at ends to a maximum value in the central part. The length of the fibre from either
ends to which the tensile stress reaches a maximum is given as lJ2 (where le is the critical fibre
length). Since the tensile stress is zero at the ends, there is no stress transmission from matrix
to fibres at their ends. Figure 6.26(c) shows that there is some minimum or critical fibre length
required for effective strengthening and stiffening of the composite material. This critical length
is a function of diameter of the fibre d and its ultimate tensile strength Gj,, and on the fibre-
matrix bond strength (or the shear yield strength of the matrix) rm.r· The second factor
determines the load carried by the fibres while the third factor determines the ability of the
@Seismicisolation
@Seismicisolation
186 Mechanical Behaviour and Testing of Materials
matrix to transmit load from one fibre to the next. The relationship among these factors is set
by a force balance. The force carried by the fibres is equal to the normal stress times their cross-
sectional area. This force is transferred to the fibres via shear stress acting on the fibre surface
(i.e. it is the product of the surface area of the fibre length le and the shear yield strength of
the matrix). Mathematically, the force balance can be expressed as:
(6.40)
or when the fibre stress is maximum, i.e. <If = CT.ft, then
le a ft
-=--
d 2-r my
(6.41)
The quantity ljd is known as the critical aspect ratio (length to diameter ratio of a fibre is
called aspect ratio) necessary to attain the breaking stress of the fibre. Equation 6.41 indicates
that the fibre length l must be greater than or equals le (i.e., l ~ le) for the fibres to be loaded
to its maximum stress, aft. For l < le, the matrix will flow plastically around the fibre and will
load it to a stress in its central portion given by:
(6.42)
This is shown in Figure 6.27(a). Figures 6.27 (b) and (c) show that even for (lid) ~ (ljd) the
average stress in the fibre will be less than the maximum stress aft to which it is loaded in its
central region. For average fibre stress, iif, one can write
(6.43)
or (6.44)
For l =le, the average fibre stress iif =f3af. Thus, /3Gj is the average stress in the fibre over
a portion lj2 of its length at both the ends. Here, /3 is regarded as a load transfer function. For
an ideally plastic matrix the value of /3 is 0.5 i.e. the increase in the fibre stress over the length
lj2 will be linear.
For a discontinuous and aligned fibre composite having a uniform distribution of fibres
with a length greater than the critical fibre length le, the longitudinal strength O'et is given by
the relationship:
(6.45)
For /3 = 0.5,
(6.46)
@Seismicisolation
@Seismicisolation
Strengthening Mechanisms in Materials 187
~ ----------------
f/l
f/l
~
u5
(a)
(b)
'
'
' '
_ _ _ _ [ _ _ _ _ _ __ _ _ _ _ _ _____ _L_ __ _
' '
' '
(c)
I• 1/2 •I
FIGURE 6.27 Distribution of tensile stress in discontinuous (or short) fibres: (a) I< le, (b) I= le, and
(c) I> fc.
where, 0, and a'm represent, respectively, the fracture strength of the fibre and the stress in the
matrix when the composite fails. A comparison of Eqs. (6.34) and (6.46) shows that
discontinuous fibres will always produce less strengthening than continuous fibres. As llle
increases the strength of the composite also increases. Equation 6.41 shows that the greater the
critical aspect ratio the larger will be the maximum stress in the fibre (i.e. 0,). In the limit, the
stress of the discontinuous reinforcement will approach that of continuous reinforcement as
llle tends to infinity (i.e. llle ➔ oo). In other words, if llle is large enough, the difference is
unimportant. Practically speaking, this will usually occur as llle ~ 10. At this value the strength
of discontinuous fibre reinforced composite is ~ 95% that of the continuous fibre reinforced
composite. The critical aspect ratios for most fibres range from 20 to 150. Since a typical fibre
diameter range between 10 to 30 µm, critical fibre lengths are of the order of 0.2 to 4.5 mm.
In most cases the fibre length is much larger than le. Fibres for which l >> le are called
continuous.
@Seismicisolation
@Seismicisolation
188 Mechanical Behaviour and Testing of Materials
If the fibre length is less than the critical fibre length (i.e. l < le), the longitudinal strength
of the discontinuous and aligned fibre composite is given by,
(6.47)
If l < le and the applied stress is <If(< aft), the fibre is unable to carry the imposed load. Under
this condition the major part of applied load is to be born by the matrix. The matrix deforms
around the fibre such that there is virtually no stress transference. This is the situation when
reinforcement geometry becomes particle like, i.e. when l << le-
If the short and discontinuous fibres are randomly distributed in the composite matrix, the
elastic modulus of the composite can still be expressed by an expression similar to the rule of
mixtures for aligned fibre composites. The desired expression is given as:
(6.48)
where, E~ is the elastic modulus of the discontinuous and randomly aligned fibre composite and
K' is a constant called fibre efficiency parameter. The parameter K' depends on the volume
fraction of fibres and the ratio E/Em. The magnitude of K' may range between 0.1 and 0.6. Like
elastic modulus of aligned fibre reinforced composite, the elastic modulus of random fibre
reinforced composite also increases in some proportion with volume fraction of fibres
Eq. (6.48).
Matrices for fibre reinforced composites can be metallic, polymer or ceramic.
6.7.2 Dispersion Strengthened Composites
Dispersion strengthened composites consist of a uniform dispersion of ultrafine refractory
oxides in a high melting metal or alloy matrix. The size of dispersoids usually ranges from 0.01
to 0.1 µm diameter. The concentration of particles varies from 1 to 15% by volume. The main
effect of the dispersoids is that it increases the work hardening of the matrix which is the major
load bearing phase. Dispersoids strengthen the composite by impeding the motion of
dislocations caused by the external stress. Strengthening primarily depends on the interparticle
spacing in accordance with the relationship given by Eq. (6.15). In this relationship r is the
shear stress required to yield and cause dislocations to move. For effective strengthening
spacing of particles must be less than 0.1 µm. This mechanism of strengthening has been shown
for many composite systems such as Cu-Al20 3, Cu-Zn-Al20 3, Cu-Si02 and Cu-BeO. Particle
size and volume fraction have a great effect on the yield strength of the dispersion strengthened
composites. Based on Orowan's criterion Eq. (6.15) for a given volume fraction of dispersoids
yield strength of the composite increases with the decrease of interparticle spacing. But as the
size of the particle decreases there must be a critical size below which the stress for shearing
of the particle is less than the high Orowan yield stress required.
On the other hand, increasing the particle size will result in lowering the number of
particles and higher the interparticle spacing and hence lower the yield strength of the
composite. Another favourable factor for strengthening is the uniform dispersion of particles.
From the point of view of better creep resistance the matrix must have low stacking fault energy
as it restricts the high temperature cross-slip. For instance, thoriated cobalt is better in this
@Seismicisolation
@Seismicisolation
Strengthening Mechanisms in Materials 189
respect than thoriated nickel because Co has lower stacking fault energy than Ni. Dispersoids
maintain high temperature strength by preventing grain coarsening. Depending on the
temperature at which dispersion strengthened composites are to be used grain size can be
controlled by proper heat treatment or thermo-mechanical treatment.
The typical examples of dispersion strengthened metallic systems are Al-Al2O3 system,
referred to as SAP (Sintered Aluminium Powder/Product) having the dispersed particles of
Al2O3 of 0.1-0.2 µm, Ni-3 vol% ThO2, known as TD Nickel and thoriated tungsten.
In Al-alumina system of composite a very thin and adherent alumina coating forms on the
surface of very small (0.1 - 0.2 µm) flakes of aluminium, which are then dispersed within
aluminium matrix. This composite material is called sintered aluminium powder (SAP) and
contains up to 14% alumina. Dispersion of alumina particles in aluminium matrix raises the
recrystallization temperature of aluminium to 0.9 Tm as against 0.45 Tm (for aluminium matrix
alone, here Tm is the melting temperature in K). However, SAP has limited applications due to
high cost. Another, important dispersion strengthened composite is the thoriated tungsten. In
this composite material, ThO2 particles are dispersed in the matrix of tungsten to impart high
temperature stability by raising its recrystallization temperature and also impart low temperature
processibility. Thoriated tungsten is extensively used as the primary filament in electric light
bulbs. Table 6.6. lists the examples and applications of selected dispersion-strengthened
composites.
Dispersion strengthened composites can also be produced by dispersing the particles of a
suitable material in the matrix of ceramics. However, the mobility of dislocations is extremely
low and dispersed particles do not contribute much to an increase in strength. If particles of
higher modulus than the matrix are used, they will enhance this property of ceramic material
provided that the particle-matrix bond is very strong.
TABLE 6.6 Examples and applications of some selective dispersion-strengthened composites
Composite system
Ag-CdO
Al-Al2O3 (upto 14%)
Be-BeO
Co-Th02, Y2O3
W-ThO2 (1-2%) Zr02
Ni-20% Cr-ThO2
Pb-PbO
Pt-ThO2
Applications
Electrical contact materials
High speed aircraft parts, LC. engine parts, nuclear reactor
Aerospace and nuclear reactor
Possible creep resistant magnetic materials
Filaments, heaters
Turbine engine components
Battery grids
Filaments, Electrical components
Dispersed particles in ceramic matrix may inhibit grain growth during fabrication of the
composites leading to enhancement in strength property. Ductile metallic dispersion improves
fracture toughness of ceramic materials. Particles of certain materials such as metastable
tetragonal zirconia enhance fracture toughness of some ceramics by resisting the crack
propagation through transformation toughening mechanism. Zirconia toughened alumina and
partially stabilized zirconia are typical examples of such composites.
@Seismicisolation
@Seismicisolation
190 Mechanical Behaviour and Testing of Materials
6.7.3 Particle-Strengthened (or Simply Particulate) Composites
Unlike dispersion strengthened composites, particles in particulate composites are larger in size
(1 to 50 µm) and their concentrations usually range from 15 to 40% by volume. In special case
this value can go as high as 94% as in case of carbide tipped tools. The load is carried by both
the matrix and particles. Because of their size, particles cannot impede the motion of
dislocations. They enhance the strength of the composite by hydrostatically restraining the
movement of the matrix close to each of them. Accordingly, on deformation, the soft matrix
material in their neighbourhood is restricted from flow freely, resulting in an increase in shear
stress required to produce further deformation. Thus, composite material work hardens at fairly
high rate and the flow stress required is considerably higher than that needed for pure matrix.
The explanation for the rapid rate of work hardening rests on two effects. First, the coarse hard
particles disturb the stream of plastically flowing metal round them and produce a kind of
turbulence in it. This complex deformation may result in the generation of dislocations on
intersecting planes and cause rapid work hardening. Second, as the metal matrix deforms while
hard particles do not, more of the applied load builds up on the particles. The hard particles
carry more load than the matrix. In order to achieve efficient strengthening effect the particles
should be small, properly distributed and of uniform size. While the better engineering
properties of the strong particles are utilised in this way, the severity of some of their less
desirable features, such as brittleness, is simultaneously reduced by the presence of a ductile
matrix that binds them together. Normally the elastic modulus of the particulate composite
follows the rule of mixture. Its value falls between the higher value given by Eq. (6.23) and the
lower value given by Eq. (6.30).
The proper combination of ceramic materials and metals could result in a material having
the high temperature strength and oxidation resistance of ceramics together with the toughness
and thermal shock resistance of metals. The composites comprising of ceramic material as
reinforcement and a metal matrix are commonly known as Cermets. The widely used
particulates for metal matrices include SiC, B4C, Al20 3, and TiC.
6.8 STRENGTHENING OF PLASTICS
The word Polymer stands for "Many Mers or Parts". They are complex and giant molecules of
hydrocarbons having high molecular weight (104- 107), and therefore, sometimes also called
high polymers. They frequently contain atoms of oxygen, chlorine, fluorine, nitrogen or
sulphur. A group of substances, while solid in the finished state are made plastic at some stage
during their fabrication, which enables them to be moulded under the application of heat and/
or pressure is called plastics. Some of the examples of plastics are, PVC, polyethylene, nylon,
perspex, Teflon, bakelite, polyurethane, etc. These plastics are of two types: thermoplastics and
thermosetting plastics. The plastics which soften on heating and harden on cooling in a
reversible fashion are called thermoplastics. No chemical reaction occurs during the heating
cycle. In contrast to thermoplastics, thermosetting plastics possess strong intermolecular
bonding, and therefore, once the plastic is set into finished shape under the combined action of
heat and pressure, reheating will not soften it. Excessive heating may result in its
decomposition. During the application of heat and pressure the material first becomes plastic
@Seismicisolation
@Seismicisolation
Strengthening Mechanisms in Materials 191
and flows to take the shape of the mould cavity. Subsequently under the action of heat
irreversible chemical change takes place. Thus, thermoplastics are reusable while thermosets
cannot be reused. However, thermoplastics, in general are weaker than thermosetting plastics
because of the secondary bonding forces between the molecular chains. There are various
methods by which strengthening can be achieved in thermoplastics. These include the
following:
(i) Increasing the average molecular weight.
(ii) Increasing the degree of crystallinity.
(iii) Introducing bulky side (or pendant) groups on the main chain.
(iv) Presence of polar groups in the main chain or on the main chain.
(v) Introducing non carbon atoms in the backbone of carbon atoms.
(vi) Introduction of phenyl ring(s) in the main chain.
(vii) Addition of glass fibres as reinforcement.
6.8.1 Strengthening by High Average Molecular Weight
A polymer is composed of a large number of monomers the molecular weight of which can
simply be defined as the sum of the atomic weights of the atoms present in the polymer
molecule. Polymerization process results in the formation of large number of polymer chains
having different lengths depending on the degree of polymerization. These polymers are
therefore of varying molecular weight. The molecular weight (MW) of a polymer increases with
the increase of degree of polymerization (DP). Since the length of the macromolecules (i.e.
polymer chains) varies widely, the molecular weight of a plastic is expressed as the average
value, i.e. average molecular weight. The average molecular weight can be determined by
summing the weights of all the polymer chains and then dividing by total number of chains.
This is also called number average molecular weight. In general, a higher molecular weight
increases tensile strength, stiffness, creep strength, hardness, impact toughness, percentage
elongation and melting temperature. The reason for listed high mechanical properties can be
explained in terms of entanglement of molecular chains. Since molecular chains are very long
they have inherent tendency to get entangled, coiled, or kinked. Entanglement is simply the
mutual wrapping of molecular chains around each other. Degree of entanglement increases with
increasing molecular weight of the polymer. A higher molecular weight implies longer polymer
chain which in turn implies more entanglement. Entanglement of polymers also results in
increasing intermolecular forces and hence the secondary bonding between polymers. When the
polymers are highly entangled, they resist sliding over each other. Both entanglement of chains
and secondary bonding create attractive intermolecular forces between molecular chains so as
to hold them together. These intermolecular forces increase tensile strength of the plastic. Under
tensile stress work is required to disentangle the polymer chains before they undergo any sliding
past each other. The force is required to slide the molecules past each other. This force is called
tensile force. Similar are the reasons for enhanced creep resistance with increased molecular
weight. However, initially with the increase of molecular mass mechanical properties increase
rapidly but soon the rate of increase of these properties slowed down and a practical maximum
value is reached (Figure 6.28). There is no point of increasing the molecular mass of the
thermoplastic above a certain critical value as it creates another problem discussed as follows.
@Seismicisolation
@Seismicisolation
192 Mechanical Behaviour and Testing of Materials
(/)
Cl)
'E
Cl)
c..
e
c..
ro
(.)
·c
C1l
.c
(.)
Cl)
:::i:
Molecular weight
FIGURE 6.28 Effect of molecular weight on mechanical properties such as tensile strength, impact
toughness, creep strength and ductility of polymers.
Melting temperature also increases with increase of average molecular weight of the
plastic. Melting temperature of a polymer is a measure of the amount of thermal energy that
has been put into the polymer mass so as to induce the molecules to slide freely relative to each
other (i.e. to put the molecules in a state that all the molecules slide or move independently of
each other). When entanglement is great, the amount of input energy required to give free
movement of molecules is high, therefore melting temperature increases with entanglement.
This implies that melting temperature increases with increasing molecular weight of the
polymer. A higher melting temperature can be useful in allowing the plastic to be used for high
temperature applications but can also be detrimental while processing them. During processing
a higher temperature is needed for the melting of plastic. Another difficulty that may arise
during processing is the decomposition of polymer if its melting temperature is raised to the
extent that breakage of bonds occurs before any melting of the plastic. It is also evident from
Figure 6.29. For the above reasons, this method of increasing strengthening is normally not used
to control the strength properties since in most cases after a critical molecular weight is reached,
increasing the average molecular weight of a thermoplastic material will not enhance strength
properties further.
~
.a
~
Cl)
c..
E
$
Ol
~
ai
:::i:
Decomposition
Molecular weight
FIGURE 6.29 Effect of molecular weight on melting temperature of polymers.
@Seismicisolation
@Seismicisolation
Strengthening Mechanisms in Materials 193
6.8.2 Strengthening by Crystallinity
Although polymers are basically noncrystalline amorphous materials, they often contain regions
in which the mixture of polymer molecules has an ordered or regular pattern, i.e. the molecular
chains are straight and compacted close together, i.e. polymer crystallinity generally consists
thousands of relatively small crystalline islands called crystallites surrounded by amorphous
regions in which the polymers are randomly intermingled as shown in Figure. 6.30. The
Region of high
crystallinity
Region of
amorphousness
FIGURE 6.30 'Crystallites' in polymers.
crystalline regions can be either preferentially oriented in one direction or non-oriented. The
molecular chains are usually folded and held together by crystalline bonds in the crystallites.
This type of structure has a lower energy than a random noncrystalline arrangement of the
molecule. The crystalline nature of thermoplastics has been confirmed from the X-ray
diffractometry. The unit cell of a thermoplastic is shown in Figure 6.31. However, 100%
crystallinity can never be achieved in polymers because polymer chains have inherent tendency
to get coiled or kinked to have a random configuration. The degree of crystallinity (the amount
of the structure of the polymer that is crystalline as against the amorphous) that can be achieved
varies from plastic to plastic. It is primarily governed by their structure. If a plastic is composed
chiefly of linear polymers, the individual molecular chains tend to pack closely together and
exhibit relatively high bonding forces, which in tum lock the chains together in an aligned
pattern. In branched polymers, the bulky side groups keep the polymer chain farther apart, thus
decreasing the tendency to crystallize. In addition to branched structure, cross-linking,
copolymerization and 'cis' type structures also favour amorphous structure. The degree of
crystallinity in polymers generally does not exceed 80%.
Because of the intermolecular crystalline bonding forces within the crystallites,
crystallinity affects many properties such as tensile strength, stiffness, creep strength, hardness,
density and impact toughness. Impact toughness decreases with increasing degree of
crystallinity while other mechanical properties are enhanced. Tensile strength, for instance, is
increased by crystallinity because of the high resistance to movement of molecular chains
within the crystalline regions and need to overcome the intermolecular bonding forces. This
resistance is very high in some cases thereby resulting in marked increase in tensile strength,
@Seismicisolation
@Seismicisolation
194 Mechanical Behaviour and Testing of Materials
FIGURE 6.31 Unit cell of polyethylene crystal.
stiffness, creep strength and melting temperature. Thermoplastics with simple structural
symmetry about their molecular chain (i.e. if pendant atom or group is not bulky) solidify in
a crystalline form. Polyethylene and nylons are the typical examples of such thermoplastics.
Polyethylene may solidify with low to high degree of crystallinity depending on the operating
conditions of their polymerisation. Operating conditions for polymerisation may result in
branching of polyethylene which in tum reduces the degree of crystallininty and hence the
density. Thus, polyethylene with high degree of branching is predominantly amorphous and has
low density while the high density polyethylene is highly crystalline with little or no branching.
Figure 6.32 compares the engineering stress-strain diagrams of low density polyethylene
(LOPE) and high density polyethylene (HOPE). Low density polyethylene having low degree
of crystallinity shows lower tensile strength and tensile modulus as compare to HOPE. Low
High-d
ensity polyethylene
'----- ·- ·-
Strain
FIGURE 6.32 Effect of degree of crystallinity on stress-strain behaviour of high density polyethylene
(HOPE) and low density polyethylene (LOPE).
@Seismicisolation
@Seismicisolation
Strengthening Mechanisms in Materials 195
density polyethylene has side branches which separate molecular chains farther apart, resulting
in lower intermolecular bonding forces and hence lower strength and elastic modulus. The yield
peaks in the stress-strain curves are due to the necking down of the cross-sections of the test
specimens during tensile tests. The intermolecular bonding forces are stronger in nylon 66
because of the hydrogen bonding between the adjacent molecular chains. It results in high
degree of crystallinity of nylon 66 than PE. Figure 6.33 shows the increase in tensile yield
strength of nylon 66 with increasing degree of crystallinity.
80
70
ro
Cl.
::E 60
.s::
c,
C: 50
~
1ii
"C
40
Qi
5=
30
20
0 10 20 30 40 50
Degree of crystallinity, %
FIGURE 6.33 Effect of degree of crystallinity on yield strength of Nylon 66.
6.8.3 Strengthening by Bulky Pendant Atomic Group
Introduction of bulky pendant groups on the main chain of a polymer makes polymer chains
difficult to slip past each other. The bulky pendant groups on a chain interfere with the bulky
pendant groups on adjacent chain. The effect of this hindered movement would be to increase
mechanical and thermal properties. The thermoplastic becomes strong and stiff. For example,
strength of commodity thermoplastics increases as the functional atom or group becomes bulky. All
the major commodity thermoplastic monomers and polymers are represented by a general formula
shown in Figure 6.34. In this Figure, X is the functional group which when substituted for,
-H, yields polyethylene (PE)
-CH3, yields polypropylene (PP)
-Cl, yields polyvinyl chloride (PVC)
-©,yields polystyrene (PS)
H H
I I
nC=C
I I
H X
H H
_Lt-tl
I 1Tn
H X
FIGURE 6.34 General representation of commodity thermoplastics.
@Seismicisolation
@Seismicisolation
196 Mechanical Behaviour and Testing of Materials
The size of the functional atom or atomic group becomes bulkier as we move from H to
styrene ring through CH3 and Cl. With the increase of bulkiness of pendant atomic group there
is increase of intermolecular interference and in case of PVC, the polar nature of Cl atom also
results in intermolecular attractions. The consequent effect is the increase of stiffness and
strength properties. The tensile modulus which is a measure of stiffness and tensile strength
properties are raised from 1070-1090 MPa and 22-31 MPa respectively for HOPE to
1140-1550 MPa and 31-41 MPa, respectively, for PP, which has pendant methyl groups
attached to the main carbon chain. These respective properties are further raised to 2280-3280 MPa
and 36-51.7 MPa with the introduction of the more bulky pendant phenyl rings to the main
carbon chain to make polystyrene. However, the elongation to fracture is drastically reduced
from 100-600% for HOPE to 1-2.5% for PS. Thus, the bulky side groups on the main carbon
chains of thermoplastics increase their stiffness and strength properties but reduce ductility.
6.8.4 Strengthening Thermoplastics by the Presence of Polar Atoms or Groups
As mentioned above that the presence of polar atom Cl on every alternate carbon atom of the
main carbon chain to make PVC results in increase of intermolecular attraction as against when
H atom is present on every alternate carbon atom to yield PE. The consequent effect is the
increase of both the stiffness and tensile strength. The elastic modulus and tensile strength
properties of PVC are 2400-4100 MPa and 40.7-51.7 MPa, respectively. Both these properties
are considerably higher than those of HOPE. This clearly suggests the effect of introducing
polar atoms on the carbon main chain on strength properties, though part of the strength
properties are contributed by bulkiness of chlorine atoms.
6.8.5 Strengthening Thermoplastics by Introducing Non Carbon Atoms in the Main
Carbon Chain
Strengthening of thermoplastics also occurs when non carbon atoms such as N or O are
introduced in the main carbon chain. For instance, introducing ether linkage in the main carbon
chain increases the rigidity of the thermoplastics, such as polyoxymethylene (POM). The
repeating structural unit of POM is shown in Figure 6.35. The tensile elastic modulus and
strength properties of POM are 3600 MPa and 62-70 MPa, respectively, which are much higher
than those for HOPE given in Section 6.8.3. Being polar, 0 atom also introduces intermolecular
attractive forces between polymer chains. This further aids to strength and stiffness of the
polymer. Amide linkage in nylon 66 is an example in which N atoms are introduced in the main
carbon chain. These N atoms are also polar in nature and provide strong intermolecular
attractive forces (due to hydrogen bonding) that result in increase of strength and stiffness of
nylons. Tensile strength of nylon 66 is about 96 MPa as against 22-31 MPa for HOPE.
FIGURE 6.35 Repeat chemical structural unit of polyoxymethylene (POM).
@Seismicisolation
@Seismicisolation
Strengthening Mechanisms in Materials 197
6.8.6 Strengthening Thermoplastics by Introduction of Aromatic Groups in the
Main Chain
Thermoplastics containing aromatic groups in the main carbon chain causes strengthening of
thermoplastic. The aromatic (or phenylene) rings are stiffer and more resistant to deformation
and produce intrinsically stronger bonds and hence resistance to heat. The inclusion of aromatic
groups in the backbone causes steric interference with other backbone atoms and also with
pendant atoms. Aliphatics in the backbone result in more flexibility in the backbone. If the
backbone itself is stiff, the strength, impact toughness and temperature properties will
generally increase. Table 6.7 shows the effect of substituting p-phenylene group for six CH2
TABLE 6.7 Effect of substitution of p-phenylene group for six CH2 groups on the melting point
of condensation polymers
Repeat unit Tm
K oc
-O(CH2)iOCO(CH2)6CO- 318 45
-O(CH2hOCO-(Q)-co- 538 265
-O(CH2)80CO(CH2)8CO- 348 75
-OCH2-(Q)-CH20COCH2-(Q)-CH2CO- 419 146
-NH(CH2)6
NHCO(CH2)6CO- 508 235
-NH(CH2)6NHCO-(Q)-co- 623 350
chain groups on melting temperature of polymers. Some of the highest strength and stiffest
plastics are those with extensive aromatic groups along the backbone. These materials have high
melting points, high glass transition temperatures and often excellent solvent resistance. Two
groups of polymers of this type are the aramids and the liquid crystal polymers. Aramids are
the aromatic polyamides. A typical aramid is the so called Kevlar®, which is made into fibre
form that is used for bullet proof vests and as reinforcements for composites. Another aramid
is Nomex® which is used for a super strong plastic and coatings. The polymer backbones are
so stiff that the crystal structure is partially retained, even in the liquid phase and are called
liquid crystals. These polymers are often used for high temperature and high strength
applications such as aerospace.
6.9 STRENGTHENING OF CERAMICS
Mechanical strength is one of the most important properties of ceramics and its improvement
would lead to vast expansion of applicability of ceramics. In general, ceramics fail under
tensile stress and the failure originates at a surface flaw. However, under shear and
compressive stress they display high strength properties. Due to low tensile strength, as a
@Seismicisolation
@Seismicisolation
198 Mechanical Behaviour and Testing of Materials
structural material, ceramics are used for such applications where the applied stresses are
predominantly compressive type. The low tensile strength of ceramics can be correlated to the
presence of structural defects in the ceramic body which generally generate during their
fabrication. Most polycrystalline ceramics are fabricated by either solid- or liquid-phase
sintering, which can lead to generation of flaws. Flaws are almost always present in ceramics.
These flaws can be either internal flaws generated during processing or surface flaws introduced
later, during machining or service. The major flaws that reduce the strength property are pores
(or voids), surface flaws, inclusions and grain growth.
Pores are usually quite deleterious to strength. They act in two ways. On the one hand,
pores act as stress raiser, i.e. the stress concentration is high at these pores. When this stress
together with the applied stress exceeds a critical value, a crack is developed. Once a crack is
developed in a brittle ceramic material it propagates spontaneously under the applied tensile
stress because there is no mechanism by which the energy is absorbed or dissipated. In case of
ductile metals, the energy is relieved by causing plastic deformation of material and crack
propagates slowly. On the other hand, the presence of pores in the ceramic body reduces the
true cross-section over which the applied load is acting. The load is applied on the ceramic part
on the basis of its apparent cross-sectional area. So the true stress is more than the designed
value. The true stress at pores is likely to exceed and develop a crack. Typically the strength
and porosity have been related by the empirical relationship:
O'P = O'o exp (-BP) (6.49)
where, P, O'p and a0 are respectively the volume fraction porosity and strength of the specimen
with and without porosity; B is a constant that depends on the distribution and morphology of
the pores. The strength property exponentially reduces with increasing the volume fraction of
pores. The size, morphology and distribution of pores all affect the strength property. The
spherical pores are less detrimental while the large pores with small radius of curvature are
more deleterious to strength of ceramics. Any measure that reduces the pore size and their
volume fraction will enhance the strength property. The size of the particles of raw material,
their purity and the method of fabrication used all control the size and their volume fraction.
Proper size distribution of particles and proper selection of advanced technique of fabrication
enhance the strength property.
Presence of inclusions in ceramic parts also reduces the strength property. This is because
of the existence of large residual stresses associated with these inclusions. The large mismatch
in the coefficient of thermal expansion characteristic of inclusions and surrounding matrix
generates residual stresses during cooling of the ceramic part from the processing temperature.
For instance, a spherical inclusion produced in a ceramic matrix is associated with both radial
and tangential residual stresses at a certain radial distance away from the inclusion/matrix
interface. On cooling, the initial temperature is the maximum temperature below which the
stresses are not relaxed. If thermal expansion coefficient of inclusion is lower than that of the
matrix, upon cooling, large tangential tensile stresses develop at the interface that in turn could
result in the formation of radial matrix cracks. Conversely, if the thermal expansion coefficient
of inclusion is greater than that of the matrix, the inclusion will tend to detach itself from the
matrix and produce a pore like flaw. Inclusions are formed due to presence of impurities in the
raw material. If such impurities are removed by prior processing and purification of raw
@Seismicisolation
@Seismicisolation
Strengthening Mechanisms in Materials 199
material used for fabrication of ceramic parts the inclusions may be eliminated completely or
at least reduced to a great extent and hence result in enhancement of strength property.
The strength of ceramics increases with decreases in the grain size. It is inversely related
to the square root of their grain diameter. The reason is that smaller the grain diameter, smaller
will be the size of intrinsic flaws. The flaws usually initiate at grain boundaries which act as
weak regions and propagate up to about one grain diameter or up to the triple point of the grain.
Therefore, smaller the grain size the smaller will be the size of the crack and higher will be the
stress required for fracture to occur. Further, if the grain diameter is less than the critical size
of flaw needed to propagate it, the crack will be arrested by the grain boundary and fracture
is resisted. However, the strength does not keep on increasing with the decreases in the grain
size. For very fine grain size, fracture usually occurs from the pre-existent process or surface
flaws in the material and their strength becomes relatively insensitive to grain size.
Surface flaws play very important role in reducing the strength property. These flaws can
be introduced in a ceramic body as a result of high temperature grain boundary grooving, post
fabrication machining operations or accidental damage to the surface during use. Machining
may leave a scratch that acts as a notch to initiate a crack. Particles of grinding or polishing
media act as indenters and introduce flaws into the surface. Surface cracks usually extend up
to one grain diameter before being arrested by the grain boundary. Thus smaller the grain size
of ceramic material, finer will be the surface flaw and higher will be the fracture stress.
Since ceramics are weak under tension, they can be strengthened by introducing
compressive stresses in surfaces. For instance, introduction of surface compressive stresses is
the well established technique of strengthening glasses. The underlying principle is to induce
a state of compressive residual stress, the presence of which would inhibit failure from surface
flaws because these compressive stresses are to be counterbalanced before a surface crack could
propagate. These surface compressive stresses also enhance thermal shock resistance of ceramic
material. There are several methods to introduce a state of compressive residual stress in the
surface of ceramics, but the underlying principle is to generate a surface layer with higher
volume than the original matrix. These methods are described below:
(a) Incorporation of an outer layer having a lower thermal expansion coefficient, as in
tempering of glass or in glazing. Probably the best known technique is fast
quenching or tempering as used in the manufacturing of strengthened glass for car
windshield which upon impact shatter into a large number of small pieces that are
much less dangerous than larger shards of glass, which can be lethal. Tempered glass
is thermally strengthened glass. The thermal strengthening or tempering involves
heating the glass uniformly to near its softening temperature to induce a slight viscous
flow and then chilling both the outside surfaces very rapidly by blast of air or oil
quench. As a consequence, the surfaces of the glass contract due to the drop in
temperature and become rigid, while the centre is still hot and viscous. On further
cooling, the interior also contracts and produce compressive stresses in the outside
surface layers and tensile stresses in the core. Due to introduction of large
compressive stresses in the surface, considerable load must be applied to the glass
before tensile stresses can be developed in the glass to initiate a crack. Thus the
overall strength of the glass is greatly enhanced. This is the reason why tempered
glass is stronger than annealed glass by a factor of about four under tensile loading.
@Seismicisolation
@Seismicisolation
200 Mechanical Behaviour and Testing of Materials
Glazing is commonly used in the manufacture of conventional ceramics for
introducing residual surface compressive stress. In addition, glaze also serves to make
the ceramic body impermeable to liquid and make the article attractive and readily
cleanable surface. Glazing is also used to strengthen glass-ceramic and alumina
components. Glazes are silicate mixtures similar to silicate glasses. These are
normally mixed with water and applied on the ceramic body in the form of a slip.
(b) Physically stuffing the outer layer with atoms or ion such as ion implantation. Ion
implantation is the process of introducing residual compressive surface stresses in a
material. It involves bombardment of the surface of ceramic or glass with high-energy
accelerated ions. The high energy ions are impinged in the form of a beam on to the
substrate surface just like shot peening. These energized ions lose energy as they
travel through the material surface by colliding with electrons and nuclei of the
substrate material and finally stopped. It has been observed by investigators that a
large biaxial compressive residual stress is introduced in the surface of the substrate
ceramic or glass when ion implanted. This residual compressive stress tends to close
surface cracks of ceramics and glasses and thus raise their toughness and stress
required for fracture. Ion implantation with nickel has been shown to considerably
improve the fracture toughness of alumina despite treating only the outermost layers
of the material < 1 µm. In addition, surface residual compressive stress also results
in improvement of fatigue strength of the material. The wear resistance of ceramics
can be considerably improved by ion implantation. Further, ion implantation modifies
the friction and wear characteristic of a material.
(c) Ion stuffing. It involves exchanging smaller ions of the ceramic under strengthening
by larger ions. When a ceramic specimen containing sodium ions (smaller ions) is
immersed in a fused salt containing potassium ions (larger ions), some of the sodium
ions in the surface of ceramic body are replaced by potassium ions (Figure 6.36). In
general, the replacement of smaller ions in the surface layer of ceramics with larger
ions at relatively low temperature produces a compressive stress in the surface. This
strengthening technique was first developed for glasses. Subsequently, the method
was extended to glass ceramics. Exchange ions included K+ for Na+, K+ for Li+, Na+
for Li+ as well as 2Li+ for Mg2+. The same technique was applied to glazed alumina.
One drawback of this technique is that the specimen strengthened by ion stuffing is
the phenomenon of thermal fatigue, i.e. a decrease of mechanical strength observed
when the strengthened ceramic is reheated. This is primarily caused by rearrangement
or interdiffusion of exchanged ions in the ceramic specimen. This results in lowering
of surface compressive stress. Ion stuffing involves a change in chemical composition
of surface layer so it is also called chemical strengthening.
(d) Differential expansion. The formation of a low thermal expansion surface layer at
relatively high temperature will lead to a surface compressive layer upon cooling. In
case of glass, this can be attained by surface crystallization as well as by chemical
reaction. In case of crystalline ceramics, chemical reactions are primarily used to
produce the low thermal expansion layer. For example, an Al20 3-Cr20 3 solid solution
was produced on the surface of alumina by packing specimens in Cr20 3 powder and
@Seismicisolation
@Seismicisolation
Before ion exchange
0 0
08
Molten salt 0
ii
~
'o
~
Strengthening Mechanisms in Materials 201
After ion exchange
0 @8
8 0 8
Q 8 8
V Molten salt
K+ I K+
K+ Na•
K+
K
+ Na• O +
-~~'f~
FIGURE 6.36 Schematic representation of ion stuffing.
firing at various temperatures. A similar solid solution was formed to strengthen other
ceramics, e.g. TiOrSnO2 on TiO2 and MgO.Al2OrMgOCr2O3 on MgO.Al2OiA12Or
Cr2O3 solid solution has a lower thermal expansion coefficient than Al2O3 and this
difference is believed to be the main factor causing the strengthening. In addition, the
change in the coefficient of thermal expansion anisotropy (difference in expansion
coefficient along a- and c-axes) may contribute to the strengthening. The TiOrSnO2 phase
has an appreciably lower coefficient of thermal expansion than TiO2 and a substantial
strengthening is expected from this difference in coefficient of thermal expansions.
Ceramics can also be strengthened by introducing fibres in them and by transformation
toughening. Since these methods are principally developed to toughen ceramics so these
methods are covered under the section 'Toughening of ceramics'.
6.10 APPLICATIONS OF STRENGTHENING MECHANISMS TO
OBTAIN HIGH STRENGTH MATERIALS
The phrase 'high strength materials' usually means materials with high tensile or yield strength.
The word 'high' in high strength materials is qualitative in nature as the tensile strength or yield
strength range of a material varies widely from the other materials. For example, plain carbon
steels have tensile strength ranging from 350-800 MPa whilst tensile strength for wrought
aluminium alloys varies from 90-600 MPa. Within the same family, tensile strength ranges vary
significantly. Properly heat-treated low alloy steels have tensile strength values lying within
1000-2000 MPa. The minimum tensile strength of a properly heat-treated low alloy steel
exceeds the maximum tensile strength exhibited by any low carbon steel. Similarly, the tensile
strength range for cast aluminium alloys varies from 130 to 300 MPa. Thus, the use of the word
@Seismicisolation
@Seismicisolation
202 Mechanical Behaviour and Testing of Materials
'high' in high strength materials can only be justified by considering one particular family,
namely steels, cast irons, super alloys, aluminium alloys, titanium alloys etc. Some important
high strength alloys are discussed below:
Copper alloys
The tensile strength of pure copper in annealed state is about 200 MPa which can be raised to
about 450 MPa by cold working (strain hardening). Copper has good solid solubility for many
elements. Copper base alloys can be strengthened by solid solution hardening. Three main
alloying elements that produce precipitation hardenable alloys with copper are aluminium,
silicon and beryllium. In aluminium bronzes, containing 5-10% aluminium and 5% nickel or
iron, tensile strength may range from 400-1000 MPa by varying aluminium content and heat
treatment process. Strengthening of these alloys is mainly due to the precipitation of nickel or
iron rich phase. In silicon bronzes, containing up to 4% silicon and 1.5% zinc, tensile strength
may range from as low as 350 MPa to as high as 900 MPa. Properly precipitation hardened
copper-beryllium alloy with about 2% beryllium has a yield strength of 1100 MPa and tensile
strength of 1250 MPa while the same alloy in soft condition has a yield strength of 175 MPa
and tensile strength of 480 MPa. Copper-beryllium alloy can be further strengthened by a
combination of strain hardening and precipitation hardening.
Aluminium alloys
The yield strength and tensile strength of pure aluminium in annealed condition are about
38 MPa and 85 MPa, respectively. Pure aluminium and non-heat treatable alloys of aluminium
are strengthened by strain hardening. Strengthening by solid solution hardening is also possible
as many elements have good solid solubility in aluminium. Maximum strengthening in
aluminium alloys is achieved by precipitation hardening treatment. Al-Cu and Al-Zn-Mg-Cu
alloys can be strengthened significantly by precipitation hardening treatment and are called high
strength aluminium alloys. Al-Zn-Mg-Cu alloys produce the highest tensile and yield
strengths of all aluminium alloys. In Al-Cu alloys, the precipitated phase is CuA12 while in Al-
Zn-Mg-Cu alloys, the precipitated phase is MgZn2• It is the fine dispersion of CuA12 and MgZn2
particles, which is responsible for high strength of Al-Cu and Al-Zn-Mg-Cu alloys, respectively.
Maximum strengthening occurs when alloys are cold worked prior to aging. A high strength
Al-Cu alloy has a tensile strength of 580 MPa and yield strength of 530 MPa. In comparison
to Al-Cu alloys, Al-Zn-Mg-Cu alloys can be strengthened to get tensile strength and yield
strength as high as 675 MPa and 625 MPa, respectively.
Magnesium alloys
The main alloying elements added to magnesium are aluminium, manganese and zinc.
Aluminium is most important alloying element as it increases tensile strength, yield strength,
compressive strength and hardness of magnesium. In addition to these elements, bismuth, copper,
iron, manganese, thorium, zirconium, silicon and rare-earth elements are also added to various
magnesium alloys in relatively less amounts. Mg-Al-Zn, Mg-Th-Zr, Mg-Th-Mn and Mg-Zn-Zr
alloys are strengthened by precipitation hardening. Mg-Al-Zn and Mg-Zn-Zr alloys are capable of
attaining higher tensile and yield strength and hence are called high strength magnesium alloys.
A tensile strength of 370 MPa and yield strength of 300 MPa can be developed in these alloys.
@Seismicisolation
@Seismicisolation
Strengthening Mechanisms in Materials 203
Titanium alloys
Titanium is an important engineering metal due to its lightness, good strength and excellent
resistance to corrosion. Due to its high strength to weight ratio, i.e. high specific strength,
titanium alloys are widely used in aircraft industries. By alloying and properly heat treating,
yield strength and tensile strength of titanium can be raised from 415 MPa and 600 MPa to
about 1200 MPa, and 1400 MPa, respectively.
Cast irons
The microstructure of general purpose grey cast iron consists of soft and friable graphite in the
form of flakes in a matrix of ferrite or pearlite. Graphite flakes occupy large volume. Sharp ends
of graphite flakes act as internal notches in the mass. Hence grey cast irons are weak and brittle.
White cast irons, consisting of cementite in a steel matrix, are hard and brittle in contrast to grey
cast irons. This is the reason why unalloyed and alloyed white cast irons are used as wear
resistant, heat resistant and corrosion resistant materials and not for structural engineering
applications. High strength cast irons that can be used for structural engineering applications are
usually spheroidal graphitic (S.G.) pearlitic cast iron. S.G. pearlitic cast irons have graphite
nodules distributed in a matrix of pearlite. High strength S.G. pearlitic irons may have tensile
strength ranging from 800 MPa-1200 MPa.
Steels
In general, steels having tensile strength 1500 MPa or above are called high strength steels. These
steels should be ductile and tough so that can be used safely for making structural components. In
other words, high strength steels should be capable of offering high resistance to brittle fracture.
Medium carbon low alloy steels, usually Ni-Cr-Mo steels, are the cheapest steels which
can attain high strength levels in quenched and tempered conditions (Table 6.8). Chemical
composition of such steels is so designed as to permit reasonably good toughness with good
weldability. An increase in nickel content and addition of vanadium result in higher strength
coupled with good toughness. In fact, very good toughness with yield strengths around 1000
MPa or slightly more are possible with such steels.
TABLE 6.8 Composition (wt%) and yield strength of some medium carbon low alloy steels
Alloy steel
817M40 (formerly En 24) (0.4C-l.5Ni-l.2Cr-0.25Mo)
826M40 (En26) (0.4C-2.5Ni-0.7Cr-0.5Mo)
835M30 (0.3C-4.0Ni-1.2Cr-0.3Mo)
HY13 (0.lC, 5Ni, together with Cr, Mo and V)
Yield strength*, MPa
760-1020 (in 100--30 mm dia. Bar)
760-1020 (in 150 mm dia. Bar)
1250 in 150 mm dia. Bar
1000
*The yield strength range is because of tempering temperature range 550°-700°C. Higher the tempering
temperature lower is the strength value.
Excellent combination of high strength and high toughness can be obtained in some alloy
steels alloyed with carbide forming elements. Such steels are strengthened by the precipitation
of carbides during high temperature tempering of hardened steels. Compositions of some such
steels are given in Table 6.9. Yield strengths up to 1500 MPa are available with these steels.
@Seismicisolation
@Seismicisolation
204 Mechanical Behaviour and Testing of Materials
TABLE 6.9 Composition (wt%) and yield strength and tensile strength of some ultrahigh strength steels
Alloy steel
AISI 4130 steel (Cr-Mo type)
[Fe-(0.28-0.33)C-(0.8-1.10)Cr-(0. l5-
0.25)Mo-(0.40-060)Mn-(0.20-0.35)Si]
AISI/SAE 4140 Steel (Cr-Mo type with
higher carbon and Mn contents)
[Fe-(0.38-0.43)C-(0.8-1.10)Cr-(0.l5-0.25)Mo
-(0.75-1.0)Mn-(0.2-0.35)Si]
4340 Steel
[Fe-(0.38-0.43)C - (0.7-0.9)Cr - (1.65-2.0)Ni
- (0.2-0.3)Mo - (0.6-0.8)Mn - (0.2-0.35)Si]
300M (Cr-Ni-Mo-V-Si)
[Fe-(0.4-0.46)C-(0.7-0.95)Cr-(1.65-2.0)Ni-
(0.3-0.45)Mo-(0.05 min)V-(0.65-0.90)Mn-(l .45-1.8)Si]
Yield strength*
MPa
1520-830
1740-730
1860-740
1620-1240
Tensile strength*
MPa
1765-965
1965-900
1980-860
2340-1930
*The strength range is because of tempering temperature range 550°C-700°C. Higher the tempering
temperature lower is the strength value.
High alloy steels having about 9% nickel and 4% cobalt with carbon ranging from 0.20
to 0.30% have excellent combination of toughness and strength even in as-welded condition.
Maraging steels are known as ultra high strength steels. These high alloy steels
(Table 6.10) have high strength due to strengthening by martensitic transformation and
TABLE 6.10 Composition (wt%) and yield strength of some marageing steels
Designation Composition (wt%) Yield strength
MPa
Ni Co Mo Ti Al Nb
25 Ni 25-26 1.30-1.60 0.15-0.30 0.40 1750
20 Ni 19-20 1.30-1.60 0.15-0.30 0.40 1700
18 Ni 18-19 12 4.00 1.30-1.60 0.05-0.15 2400
18 Ni (300) 18-19 8.90-9.50 4.60-5.20 0.50-0.80 0.05-0.15 1900
18 Ni (250) 18-19 7.00-8.50 4.60-5.20 0.30-0.50 0.05-0.15 1700
18 Ni (200) 17-19 8.00-9.00 3-3.5 0.15-0.25 0.05-0.15 1400
15 Ni 15-16 9.00 4.50 0.70 0.70
C = 0.03 Max., Mn= 0.1 Max., S & Peach 0.01 Max. and N minimum possible(< 0.01)
strengthening by precipitation hardening. Addition of nickel in large amounts produces
martensitic matrix at room temperature even with low cooling rates. It is because nickel
stabilises austenite and lowers the lower critical temperature. In addition to nickel and cobalt,
titanium, beryllium, aluminium, copper and molybdenum are also present in maraging steels.
Intermetallic compounds (Ni3Ti, NiAl, Fe2Mo, Ni3Mo, etc.) get precipitated from martensite on
tempering around 500 ± 20°C. Tensile strength of 2000 MPa or more and yield strength of
1500 MPa or more are attained with these steels. Even at such high strengths, maraging steels have
high resistance against brittle fracture and low notch sensitivity. Therefore, maraging steels are
widely used for heavy duty structural parts subjected to dynamic stresses and in aircraft industries.
@Seismicisolation
@Seismicisolation
Strengthening Mechanisms in Materials 205
Very high strength levels can be attained in some special high alloy steels (Table 6.11).
The main alloying elements in these steels are nickel, molybdenum and chromium.
S.No.
1
2
3
4
5
6
TABLE 6.11 Composition (wt%) of some special high alloy steels
Carbon Manganese Nickel Chromium Molybdenum
0.25 24.40 4.10
0.23 1.48 22.00 4.00
0.24 1.48 20.97 3.57
0.31 2.02 7.31 8.89 3.80
0.25 0.92 7.80 8.80 4.00
2.0 2.00 8.80 13.50 2.90
Silicon
1.92
1.90
2.00
The chemical composition is selected in a manner that austenitic phase is retained at room
temperature on rapid cooling from 1000°C. These metastable austenitic steels, in austenitic
state, are heavily cold deformed (50-80% reduction in area) at a temperature of 400-600°C
which is less than the recrystallization temperature. Strain hardening coupled with strengthening
by precipitate particles of carbides develops yield strength as high as 1800 MPa in such steels.
These steels are also called as TRIP steels.
@Seismicisolation
@Seismicisolation
Fracture
7.1 INTRODUCTION
Fracture means the separation of a solid material, under the action of stress, into two or more
parts. The applied stress may be tensile, compressive, shear or torsional. It is said to have
occurred when there is cohesive failure of a metal resulting in the metal separating into pieces.
Fracture results in the creation of new surfaces. Machine and structural elements often fail in
service as a result of fracture. After fracture, component under consideration becomes useless
and has to be replaced. In fact, when a component is subjected to external stress, it undergoes
elastic deformation followed by plastic deformation which proceeds continuously till a stage
reaches beyond which no further plastic deformation is possible and the component gets broken
into two or more parts. Thus, fracture is sometimes referred to as the end result of the plastic
deformation. However, it does not mean that some plastic deformation is must for fracture to
take place. Two processes assist fracture of a component, namely, nucleation of crack and
propagation of crack. Fracture occurs in all materials under all service conditions.
Various words such as fatigue, creep, transgranular, shear, fibrous, etc. are used as prefix
with the word fracture making the classification of fractures a cumbersome task. However,
various fractures, in general, are classified into two major categories, namely, ductile fracture
and brittle fracture. This classification is based on whether or not plastic deformation has
preceded prior to fracture. Considerable plastic deformation takes place prior to and during
propagation of crack in case of a ductile fracture. This is why much energy is absorbed before
fracture occurs. A good amount of plastic deformation is seen at the fractured surface. Unlike
ductile fracture, brittle fracture occurs without plastic deformation, i.e. crack propagates with no
macrodeformation and very little microdeformation. This accounts for very less energy
absorption associated with brittle fracture. Another important difference between the two
206
@Seismicisolation
@Seismicisolation
Fracture 207
fractures is related to the rate of propagation of crack. In brittle fracture, the rate of propagation
of crack is very high. In fact, once the crack has nucleated, its propagation continues and
ultimately material fractures without any increase in the magnitude of the applied stress. In
ductile fracture, crack propagates slowly and only on increasing the magnitude of the applied
stress. A fracture may be of mixed nature, i.e. mixture of both ductile and brittle fractures.
Fractures are also classified on the basis of crystallographic mode of fracture and the
appearance of the fracture. Based on crystallographic mode of fracture, fractures are known as
shear fracture or cleavage fracture, whereas on the basis of appearance, fractures are referred
to as fibrous or granular fracture. A fibrous fracture is usually dull in appearance while a
granular fracture is usually bright in appearance.
A ductile material undergoes large plastic deformation as a result of extensive slip on
active slip planes. The fracture that is preceded by the slip is popularly known as shear
fracture. Such a fracture, as the name implies, is caused by shear stresses. Since no or little
plastic deformation by slip is exhibited by brittle materials, shear fracture is observed in ductile
materials only. FCC metals and their alloys usually fail by shear fracture. Some metallic
materials fracture along certain preferred crystallographic planes usually known as cleavage
planes. Cleavage planes are generally the planes with fewer interatomic bonds. In cleavage
mode of fracture, tensile stresses act normal to the crystallographic cleavage plane. The fracture
occurs at right angles to the direction of tensile stress. Body centred cubic, face centred cubic
and hexagonal close packed metals cleave along the {1 0 0}, {1 1 1} and {0 0 0 1} planes,
respectively. Cleavage fracture is usually brittle fracture as little or no plastic deformation takes
place prior to fracture. BCC metals and their alloys may fail by shear or cleavage.
Many fractured surfaces, when viewed by naked eyes or at low magnifications, appear to
be dull and fibrous. Fractures exhibiting such characteristics are known as fibrous fractures.
Fibrous fracture usually occurs when plastic deformation precedes failure by fracture. Unlike
dull and fibrous fractured surface, bright and granular fractured surface is characteristic feature
of the fractures of many metals, most of them are brittle in nature or fail by brittle fracture. Such
a fracture is known as granular fracture.
Every metallic material, whether single-phase polycrystalline alloy or multi-phase alloy,
has grains and grain boundaries. Hence a fracture may occur either along the grain boundaries
or across (through) the grains. A fracture that occurs along the grain boundaries is known as
intergranular fracture, whereas the fracture that occurs across the grain is called
transgranular fracture. Sometimes, the terms transcrystalline fracture or intragranular fracture
are used for transgranular fracture.
7.2 DUCTILE FRACTURE
Fracture with large amounts of plastic deformation is generally referred to as ductile fracture.
As considerable plastic deformation takes place prior to ductile fracture, such a fracture is a
characteristic of only ductile materials. Service failures which occur solely by ductile fracture
are relatively infrequent and may be a result of errors in design, incorrect selection of material,
improper fabrication techniques, abuse, etc. The latter condition arises when a part is subjected
to load and environmental conditions which exceed those of intended use. Normally all face
centred cubic metals and their alloys exhibit ductile fracture under most of the service
@Seismicisolation
@Seismicisolation
208 Mechanical Behaviour and Testing of Materials
conditions. In metals and alloys having good ductility and toughness, ductile fracture usually
occurs across the grain, i.e. through the grain. Failure of a material by ductile fracture can be
attributed to the application of too high stresses. Many types of ductile fractures can occur when
subjected to external stresses or put to use in service. A simple ductile fracture occur when the
material is subjected to uniaxial tensile stresses. Such a fracture proceeds by localized reduction
in cross-section in a part of the specimen under consideration. A ductile material, when
subjected to tensile stresses, undergoes plastic deformation. Plastic deformation results in
necking. Necking means local deformation of a ductile material subjected to tensile loading
[Figure 7.l(a)]. Plastic deformation and necking proceed simultaneously. Under such
conditions, a stage will come when cross-sectional area at the neck will reduce to such an extent
that the necked portion will appear as a very thin sheet or as two small cones joined at the
vertices. With such a reduced area, material under consideration will not be able to withstand
stresses and hence will fail by ductile fracture. The fractured surface so obtained will resemble
like a thin edge or a point. Fully ductile materials on plastic deformation will continues to neck
down to an infinitivally thin edge or a point and thus will fail due to small cross-sectional area
at neck which cannot withstand applied load. As no material is fully ductile in nature, except
that specially produced ultra-high purity material, the more common type of ductile fracture
occurs when the reduced cross-section has still an appreciable area. However, no material
undergoes plastic deformation to such an extent. Metals and alloys, used for various general
purpose and engineering applications, fail by ductile fracture having considerable area of cross-
section at necked region.
Cone
Neck
Cup
(a) (b)
FIGURE 7.1 (a) Neck formation at maximum tensile load in a ductile material, (b) Schematic
representation of a ductile tensile failure characterising cup-cone like fracture. The
cone shaped surface making an angle of about 45° with the tensile axis.
A common type of ductile fracture is cup and cone type fracture [Figure 7.l(b)]. It also
occurs due to necking. On stressing a material, necking starts at a point of plastic instability.
At this stage, the increase in the strength of the material due to plastic deformation (strain
hardening) unable to compensate for the stress requirement due to decrease in the cross-
sectional area around the necked region. A triaxial stress concentration state gets induced here
and many fine cavities originate within the central part of the necked region. These fine cavities
@Seismicisolation
@Seismicisolation
Fracture 209
coalesce to form voids. These voids continue to grow and finally result in the formation of a
crack. Crack, so formed, has its long axis perpendicular to the direction of stress. Once the crack
has formed, it extends (grows) in a direction perpendicular to the axis of loading and tends to
reach near to the external surface of the necked region. Propagation of such a crack to the outer
surface of the necked region by shear deformation at an angle of about 45° with the tensile axis
finally results in the fracture.
Ductile fracture is characterized by appreciable amount of plastic deformation prior to and
during the propagation of crack and by slow crack propagation. Ductile fracture normally
occurs in a transgranular manner in metals that have good ductility and toughness.
7.3 MECHANISM OF DUCTILE FRACTURE
Appreciable plastic deformation, which involves considerable time, precedes ductile fracture.
Therefore, start of a ductile fracture can be detected easily. This is why failure by ductile
fracture was neither considered as a serious problem nor studied so extensively as failure by
brittle fracture. Ductile fracture is usually due to simple overloads, or applying too high a stress
to the material. The actual mechanism of ductile fracture is not well understood till date.
However, it can be said that nucleation of cracks (microvoids), growth of cracks and
coalescence of the cracks are the three stages, which precede a ductile fracture. Under tensile
stresses, cracks are nucleated either at grain boundaries due to the separation of metal at grain
boundary or at interfaces between the matrix and inclusions/hard and brittle particles of some
phase. For example, cementite (Fe3C) particles in steels, CuA12 particles in aluminium-copper
alloys, Ti3Al particles in titanium-aluminium alloys and oxide inclusions in copper act as
nucleation sites for cracks. When a brittle particle is present, it is difficult to maintain
compatibility in the necked region between the continuously deforming matrix and the
nondeforming particles. This result in the formation of very tiny voids near the matrix-particle
interface. Cracks so nucleated grow under the influence of local stresses which increase
continuously. As the stresses are increasing continuously and plastic deformation is continuing,
these cracks coalesce and large cavities are developed. These cavities act as discontinuities in
the material and reduce the overall area of the material to an extent that it cannot withstand the
applied stress. As a result, failure takes place.
7.4 BRITTLE FRACTURE
Fracture that occurs after little or no plastic deformation is called brittle fracture. High strength
metals and alloys having low ductility and toughness values are prone to failure by brittle
fracture. White and grey cast irons fail by brittle fracture under all service conditions. Brittle
fractures are usually observed under conditions of sudden loading rather than overloading.
Though both ductile and brittle fractures have the same impact on the functioning of the system,
brittle fracture are insidious in character due to two simple reasons. Firstly, a brittle fracture
occurs without any prior warning. Secondly, it may occur at a stress level lower than the yield
strength. Once started, the brittle fracture will run at high speed, reaching 1200 mis in steel,
until total failure occurs, or until it runs into conditions favourable for its arrest. (The crack may
move at a rate approaching the velocity of sound in the metal.)
@Seismicisolation
@Seismicisolation
210 Mechanical Behaviour and Testing of Materials
Brittle fractures, though occur over a range of temperature above the room temperature,
are frequently observed at low temperatures also. Most of the brittle fractures in multi-phase
alloys are transgranular.
7.5 MECHANISM OF BRITTLE FRACTURE
Griffith extensively studied brittle fracture and was the first to propose a mechanism for brittle
fracture in highly brittle materials like glass. Hence, mechanism of brittle fracture is most
popularly referred to as Griffith theory of brittle fracture. According to Griffith, microcracks
exist in all brittle materials which propagate and cause fracture. These pre-existing microcracks
may be attributed to a large number of flaws which usually occur during solidification,
machining, welding, heat treating, forming or due to the interaction of dislocations with various
imperfections/defects or particles of phases/impurities present in the material. Griffith assumed
that the cracks are elliptical in shape. A very high concentration of stress gets developed at the
tip of such cracks when the material is subjected to external stress. When the intensity of stress
concentration exceeds the fracture strength at and around the tip of the crack, the crack
propagates and ultimately causes fracture.
Under tensile loading, the elastic energy stored per unit volume will increase with increase
in load (stress). If a crack grows, i.e. increases in length, the growth is associated with an
increase in surface energy as a result of increase in surface area.
For an elliptical crack (Figure 7.2) of length 2a, the maximum stress (CTmax) at the tip of
the crack is given by Griffith equation as:
(Tmax =2aj (7. l)
where CT is the applied tensile stress normal to crack length, and r is the radius of curvature at
the crack tip.
I
I
E=r c---~
I· 2a
(a) (b)
FIGURE 7.2 Illustration of (a) An interior elliptical or lens shape crack, (b) A surface crack.
The elastic strain energy (UE) for unit volume is given by the relation:
(7.2)
where, Eis Young's modulus.
@Seismicisolation
@Seismicisolation
Fracture 211
The surface energy (Us) associated with such a crack of unit width can be expressed in
terms of crack length as
(7.3)
where, n, is the surface energy per unit area.
As the length of the crack increases, surface energy associated with the crack also
increases. However, elastic strain energy reduces with increase in the length of the crack. This
reduction in elastic strain energy is due to the stress relieving of material close to the surfaces
of the crack. Griffith postulated that loss of elastic strain energy should be equal to the increase
in surface energy of the crack for the propagation of the crack.
Hence, according to Griffith criterion,
dUE dUs
=
da da
2naa2
4
E = Ys
[ 2 £]112
(J = ___Tu_
na
For a given material, Eq. (7.4) can be expressed as:
a= Ka-112
where, K is a constant = 2rsE
,r
(7.4)
(7.5)
Equation (7.5) shows that the tensile strength of a brittle material is largely governed by
the length of the longest pre-existing crack in the material.
As stated earlier, Griffith suggested the mechanism of fracture for brittle materials. It
is not useful for metallic materials. Cracks in such materials do not exhibit perfect elastic
behaviour. In metallic materials, some plastic deformation, howsoever small, always precedes
fracture. Therefore, even in brittle metallic materials there will be plastic deformation not
only at the tip of the crack but also in the region adjacent to the crack tip. Plastic deformation
lowers the concentration of stress at the tip by reducing its sharpness, i.e. making it relatively
blunt and increases the surface energy associated with the crack. More work has to be done
in metallic material to propagate a crack as more energy is consumed in plastically deforming
the tip of the crack and the region adjacent to the crack tip. Orowan and Irwin modified the
Eq. (7.4) by taking into account the energy required for plastic deformation as follows:
a =[(2Ys;:P)Er2 (7.6)
where, r,, is the energy required for plastic deformation per unit area of the crack and for most
of the metals, r,, is greater than n,.
@Seismicisolation
@Seismicisolation
212 Mechanical Behaviour and Testing of Materials
Behaviour entirely of opposite nature is observed when a known material is subjected to
compressive stresses instead of tensile stresses. For example, compressive stresses tend to close
a crack than to open it as the case with tensile stresses. This is why even brittle metallic
materials offer no serious problem when subjected to compressive stresses.
7.6 FACTORS AFFECTING THE TYPE OF FRACTURE
Fracture is the main cause of failure of various structural components during service. A
component fractures when it is exposed to such loads and environments during service which
are either of higher magnitudes or are different in nature than those of intended use of the
component under specific loads and environmental conditions. In addition to factors arising out
of service conditions, there are some additional factors also which cause fracture.
Intergranular fracture normally occurs only when the grain boundaries are weak. It has
been observed that above a particular temperature, known as equicohesive temperature, material
fails by intergranular fracture rather than the transgranular fracture. At this temperature, the
grains and grain boundaries have equal strength. Weak grain boundaries may be attributed to
the inherent softness or to the presence of a continuous film of hard and brittle phase at the grain
boundaries or to the segregation/precipitation of detrimental phase adjacent to grain boundaries
or the embrittlement of grain boundaries by liquid or solid metallic phase. Cast materials due
to the presence of segregations, commonly fail by brittle fracture.
In every material, there are stress raisers. Stress raisers are, in fact, locations or flaws
around which the concentration of stress may be as high as 3 to 5 times the average stress value.
Keyway, toolmarks, scratches, oil-hole and areas with sharp changes in cross-section
dimensions are some stress raisers which are visible. Slag inclusions, blow holes, internal
notches, dislocation clusters and presence of needle like or sharp edged second phase particles
are some stress raisers which are not visible with unaided eyes. Nucleation of crack for brittle
fracture usually occurs at stress raisers. Once the crack attains a critical size, it propagates with
high speed till fracture takes place. The velocity of crack propagation may be as high as velocity
of sound in metals. Large cracks and sharper crack tips are very effective stress raisers causing
brittle fracture.
In comparison to ductile materials, brittle materials are much more sensitive to the
presence of stress raisers. As a ductile material undergoes large amounts of plastic deformation,
redistribution of stresses takes place which results in the equalisation of local stresses. Also the
concentration of stress due to a crack reduces greatly as a consequence of increased dislocation
density and vacancy concentration at the tip of the crack. In a brittle material, on the other hand,
since no plastic deformation occurs and dislocations are locked in, stress concentration increases
substantially with increase in externally applied stresses. This results in the breakage of
interatomic bonds and propagation of cracks. Presence of stress raisers is of paramount
importance when a brittle material is subjected to repeated or reversed loading. It has been
observed that stress raisers which are harmless in ductile materials under the static loading are
harmful due to considerable stress concentration associated with them under the repeated
loading.
@Seismicisolation
@Seismicisolation
Tensile Behaviour
8.1 INTRODUCTION
Mechanical strength is one of the most important property requirements for any member
whether it is a machine component, a device or a structural part. Structures and machine
members designed to sustain loads must possess the necessary mechanical strength before they
can serve any other function. Though devices are primarily not designed for mechanical
strength, yet the members involved therein always experience some load, which is often a
critical factor in design. In many instances, a member has to support its own weight in addition
to serve some other primary function. For example, the electric wire used for overhead power
transmission has to support its own weight in addition to transport electricity for which the
prime requirement is good electrical conductivity. In order to increase pole to pole distance, the
material used for overhead power transmission must be sufficiently strong to support its own
weight. If it is not inherently strong then strength can be increased by some mechanism. In
many instances a member which is not supporting any load but may experience violent
vibrations, shock, heat or cold, requires mechanical strength.
In its broadest sense, mechanical strength of a material is its ability to bear load without
undergoing any undue distortion or failure. Mechanical properties are commonly expressed in
terms of unit values such as load per unit area or energy per unit volume so that they may be
used directly in design problems. In many instances these values are used for comparison of
materials. A majority of parts of structures, machines or devices are invariably subjected to
uniaxial tension load (a load in which the part is under pulling action). The behaviour of a
material under simple uniaxial tension is called tensile behaviour. The test performed for this
purpose is referred to as tensile test.
213
@Seismicisolation
@Seismicisolation
214 Mechanical Behaviour and Testing of Materials
Among the various mechanical testings, tensile testing is the most important and widely
used one. Many properties can be derived from the complete tensile test record. One can obtain
important information concerning the material's elastic properties, the character and extent of
plastic deformation, yield strength, tensile strength and toughness. The response of materials to
other type of loading can sometimes be explained or predicted on the basis of their behaviour
under simple tension. So much information can be obtained from a single test justifies its
extensive use not only in engineering materials research but also in engineering industries for
quality control and design purposes. Different materials respond differently to uniaxial tensile
forces. The tensile curves correspond to these responses have been discussed in this chapter.
8.2 TENSION TEST AND STRESS-STRAIN CURVES
A stress-strain curve is obtained from a tensile test. An ordinary tensile test is conducted at or
near room temperature under the uniaxial tensile load that is applied on the specimen at slow
rate ("" 10-3 s-1). There are also tensile tests conducted at other temperatures, at very high rates
of loading or by static loading for a very long times, but these are not commonly considered
as ordinary tension tests.
A standard specimen of specified geometry is used for tensile testing as shown in
Figure 8.1. The specimen is symmetric about its long axis so that the load is distributed
uniformly over its cross-section. During the test, load is applied uniaxially along the specimen
length and increases gradually until fracture occurs. The elongation produced is measured at
frequent intervals. The load and elongation data are plotted as a curve called load-elongation
curve. Since the loads will differ for different sections of the specimen and likewise the
elongation will vary with gauge length, it is important to remove the size effects so that the
produced data is characteristic of a given material rather than that of the particular specimen.
This can be done by dividing the loads and elongations by constant original dimensions. The
load (P) and elongation data are thus expressed as average stress and average strain by dividing
them by original area of cross-section (A0) and gauge length (L0) of the specimen, respectively.
That is,
or
Load
Average stress (CT) =-----------
Original area of cross-section
p
CT =-kg mm-2
Ao
I
I
·-·-++--~----·
Gauge length
i;!ar:allel leRgtl:1
FIGURE 8.1 Geometry of tensile specimen.
(8.1)
@Seismicisolation
@Seismicisolation
Tensile Behaviour 215
A . ( ) Change in length M
verage stram e = =
Original gauge length L0
or e= L-Lo =_£-1
Lo Lo
(8.2)
where, L is the instantaneous length. The average stress and average strain data so obtained
are plotted in the form of stress-strain curve. Since both load and elongation are divided by
constant values, namely, original cross-sectional area and gauge length, the stress-strain curve
is commonly called Engineering, conventional or nominal stress-strain curve.
Conventional or engineering stresses or strains are not the true values. The shape of the
engineering stress-strain curve of a metallic material depends on its composition, prior history
of plastic deformation or/and heat treatment, temperature, strain rate and state of stress
imposed during the tensile test.
A typical stress-strain curve for a ductile material is shown in Figure 8.2. In the range OA
the strain produced varies in proportion to the applied stress. The curve in this range follows
the law of proportionality commonly called Hooke's law. The curve is linear in this range. The
constant of proportionality is the ratio of stress to strain and is called Young's modulus or the
modulus of elasticity. This (Modulus of elasticity) is an inherent property of a given material,
and is of considerable engineering importance. It also represents the slope of the linear curve.
The point A represents the maximum stress up to which stress is proportional to strain and is
referred to as Proportional limit. In order to determine proportional limit a very sensitive
extensometer is to be used so that it can detect even a slightest deviation from straight line. All
materials do not necessarily exhibit a linear relationship between stress and strain, though they
display elastic behaviour, i.e. they have no linear part in the elastic range of their stress-strain
curve. A typical example of one such material is 'rubber' which is an elastic material but does
not exhibit a linear stress-strain relationship at all. Other materials which exhibit this type of
behaviour include copper, cast iron and aluminium sometimes.
1l
0
....J
0
E
F
Elongation or strain
FIGURE 8.2 Engineering stress-strain curve for mild steel.
@Seismicisolation
@Seismicisolation
216 Mechanical Behaviour and Testing of Materials
As the stress increases beyond the point A, the curve begins to deviate from linearity.
However, the specimen still exhibits elastic behaviour up to a stress corresponds to the point
B from where if the stress is removed, the specimen will regain the original dimensions. Many
materials show this type of behaviour. The point B is called elastic limit and is defined as the
maximum stress up to which the specimen behaves elastically. The measurement of elastic limit
depends on the sensitivity of the strain measuring device. Ultra-sensitive instrument is required
to determine true elastic limit. Greater the sensitivity of the instrument lower will be the elastic
limit. Measurement of elastic limit is a cumbersome job as it involves frequent loading and
unloading of the specimen. In practice, elastic limit cannot be distinguished from the limit of
proportionality, i.e. the two limits coincide with each other. It is easy to determine limit of
proportionality from where deviation in linearity occurs with the increase in stress. Therefore,
for practical purposes proportional limit is considered to be the elastic limit in many instances.
As the stress exceeds the elastic limit, the specimen begins to yield, i.e. deforms
permanently. The nature of the initial inelastic strain varies with metal to metal. Certain metals
and alloys, in particular those with BCC structure and which contain a small amount of
interstitial solute element, are characterised by a sharp yield point. A typical example of such
materials is mild steel. The material deforms rapidly either without an increase in stress or
deforms sharply with a decrease in stress at certain point. This point (point C in Figure 8.2) at
which marked increase in strain occurs without a simultaneous increase in stress is called the
yield point. The stress corresponds to this point is called yield strength. In other words, it
represents the resistance of the material against plastic deformation. Quantitatively yield
strength is expressed as load at yield point divided by the original area of cross-section of the
specimen. If yielding occurs with a drop in stress, as illustrated in Figure 8.2, the point C is
called the upper yield point. Once this point is reached the force resisting deformation
decreases and attains a relatively constant lower value of stress. This lower value of stress at
which appreciable plastic deformation occurs is called lower yield point (point D in
Figure 8.2). In such cases the stress corresponding to the lower yield point is considered as the
yield strength of the material. In practice, a drop in load or stress is rarely displayed by
materials. Instead, deformation occurs at almost constant stress at point C (as shown by the
dotted line in Figure 8.2).
FCC materials, very soft mild steels, medium to high carbon steels and many others do
not exhibit a well defined yield point. The nature of initial plastic strain in these materials is
slightly different from that of mild steel and similar materials. In these materials, the point
where yielding begins is not distinctive because of the gradual change in the slope of the tensile
curve (Figure 8.3). In fact, it is difficult to define yield point in such cases. For engineering
purposes, the yield stress describes the limit of usable elastic behaviour of a material, i.e. it is
the highest stress at which the behaviour of a material remains elastic. Therefore this stress is
also regarded as the elastic strength of the material. The point where yielding begins depends
on the sensitivity of the measuring instrument. More sensitive the gauge (such as a microstrain
gauge), lower will be the stress level where plastic flow is observed to begin. The stress level
determined by a microstrain gauge has been found to be ma4ny times lower than that
determined conventionally. Dislocations might have started moving even at much lower stress
level than that measurable by microstrain gauge. Some thousands of dislocations might have
moved before this measurable strain. From the view point of design, it is necessary to know a
definite stress under which the material can be stressed without yielding.
@Seismicisolation
@Seismicisolation
Tensile Behaviour 217
Uniform plastic Necking
I. ~ Non-uniform plastic strain
strain
,''•,---------•
;1+---<--+,, (Post necking strain)
, ,
, ,
, ,
/ E LITS /
Elastic
strain
..______., , ,
I , ,
a:/ ,,
p -----------f- ---- ,' F
,' R I
,
,
,
,
,
,
,
,
,
,
,
,
,
,
,
,
,
,
,
,
,
,
,
,
,
,
,
,
,
/ Recovered
,' strain
0 ~ - - - - - - - - - -
'---~~-----.
--1 t I--
Off-set
H
Strain-
G
FIGURE 8.3 Engineering stress-strain curve for a ductile metal like aluminium.
Many materials can tolerate small strains beyond the elastic limit without appreciable
plastic deformation. These strains are typically 0.1% or 0.2% of the original dimensions. Strains
less than 0, 1% are difficult to measure with accuracy. The stress at which a material exhibits
a specified permanent set is known as Proof Stress. This stress is referred to as the yield
strength of the material. Proof stress can be determined by drawing a line through 0.1% or 0.2%
of strain as offset along the abscissa and parallel to the straight line portion of the tensile curve.
The intersection of this line with the tensile curve gives a stress called yield strength or proof
stress. The values of offset that have been suggested for cast iron are 0.02% to 0.05%. With
malleable iron castings the offset value to determine yield stress is 0.5%. The strain from the
point of deviation of linearity of the curve to the proof stress is predominantly plastic in nature.
In Figure 8.3 the strain from P to Q represents only the elastic strain. As the offset value
decreases below 0.1% the accuracy in the determination of yield stress will also decrease.
Therefore too small a value of offset should be avoided for specifications.
Beyond the yield point, deformation occurs with continuous increase of stress but to a
relatively small amount until the maximum point E (Figures 8,2 and 8,3) is reached. The nature
of the stress-strain curve is parabolic in this range which is associated with homogeneous plastic
deformation processes such as irreversible movement of dislocations in metals. Thereafter, the
further strain occurs with a continuous decrease in stress until the specimen fractures (point F
in Figures 8,2 and 8,3), The stress at E, is therefore, the maximum stress before the occurrence
of fracture and is known as ultimate tensile strength (UTS, the term more common in olden
days) or simply tensile strength. Tensile strength of a material is therefore defined as its
resistance against fracture. It is quantitatively defined as the maximum load divided by the
original cross-sectional area of the specimen.
@Seismicisolation
@Seismicisolation
218 Mechanical Behaviour and Testing of Materials
Most of the ductile metals show a drop in load after ultimate tensile point. This is
because of necking that occurs within the gauge length of the specimen at maximum stress
resulting in localised deformation with a decrease of load up to the fracture. This nature of
the curve is because of the two opposing effects. The first effect is due to the strain hardening
that result due to multiplication of dislocations during plastic deformation. Interaction of
dislocations is such that their motion is restricted. For further deformation, more stress will
be required. The effect, where more stress is required for further plastic deformation, is
known as strain hardening. The second effect is related to the elongation of the specimen
which results in the decrease in its diameter. As the diameter decreases, the load carrying
capacity of the specimen must decrease. This means that the load required for further
deformation should decrease. Initially strain hardening predominates over the decrease in
load carrying capability of the specimen and therefore overall stress required for plastic
deformation increases until a maximum stress where onset of necking occurs. After this,
decrease in diameter of the specimen is rapid resulting in the second factor to predominate,
i.e. the decrease in load carrying capability of the specimen is much faster than strain
hardening. Decrease in localised diameter of the specimen needs lower value of load for
further deformation. Hence there is decrease in stress after onset of necking until fracture
occurs.
On the other hand, many materials in the cold worked or hardened condition, fracture at
near maximum stress without necking [Figure 8.4(a)]. Materials such as ceramics, glasses,
rocks, heavily cross-linked polymers, some metals at low temperatures and white cast iron
exhibit little or no plastic deformation. These materials are characterised by an elastic stress-
strain curve as shown in Figure 8.4(b). Though these materials are rarely used for applications
involving tensile loading, but they may be of considerable success in applications involving
compressive loading. Under compression these materials show great resistance to fracture.
Many plastics fracture after an increase of stress with strain due to the orientation of molecular
chains under the action of stress. Like metals, some of the plastics show a yield drop in their
stress-strain curve.
Fracture
Strain
(a)
(/)
(/)
~
U)
Fracture
Strain
(b)
FIGURE 8.4 Engineering stress-strain curves for (a) Hardened metals, (b) Ceramic materials.
@Seismicisolation
@Seismicisolation
Tensile Behaviour 219
8.3 TENSILE PROPERTIES
8.3.1 Modulus of Elasticity and Stiffness
The term modulus of elasticity is a measure of stiffness of a material. It is the resistance against
deformation offered by a material for a given load within the elastic range. Quantitatively
modulus of elasticity (E) is expressed as the ratio of stress to elastic strain,
i.e. (8.3)
where, a is the nominal stress in kg mm-2 or in MPa and e is the nominal strain.
The higher the modulus the lower is the elastic strain for a given stress level, and therefore
stiffer the material is. Owing to this important characteristic, elastic modulus is the design
criterion for components subjected to mechanical loads where deformation is confined within
the elastic limit. The lower the modulus of elasticity, the more flexible the material is. Table 8.1
gives the values of modulus of elasticity for various important materials. Certain materials such
as steels follow Hooke's law throughout the entire elastic range, whereas other materials such
as some nonferrous materials, concrete, cast irons, etc., do not have a straight line portion of
the stress-strain curve within the elastic range.
TABLE 8.1 Elastic modulus for various materials
Material Elastic modulus, GPa
Metals
Aluminium and its alloys 69-79
Magnesium and its alloys 41-45
Copper and its alloys 105-150
Nickel and its alloys 180-214
Lead and its alloys 14-18
Cast iron 110-120
Steel 190-217
Titanium and its alloys 80-130
Tungsten and its alloys 350-410
Molybdenum and its alloys 330-360
Zirconium 94
Chromium 279
Tantalum 185
Other materials
Alumina (fully dense) 415
Diamond 820-1050
Silicon carbide 470
Granite 46
Quartz (fused) 73
(Contd.)
@Seismicisolation
@Seismicisolation
220 Mechanical Behaviour and Testing of Materials
TABLE 8.1 Elastic modulus for various materials (contd.)
Material Elastic modulus, GPa
Glass and porcelain 70-80
Concrete 10-38
Nylon 66 1.2-2.9
Polycarbonate
Polyethylene (high density)
PVC (rigid)
Rubber (hard)
Polypropylene
2.4
0.4-1.3
3.5
2.8
2.7-4.2
When the applied stress is of shear type, the modulus of elasticity is known as shear
modulus or modulus of rigidity. Modulus of elasticity, at any given temperature and pressure,
is a function of two things: the interatomic forces which in turn vary with the type of bonding
found in a given material, and the arrangement of atoms relative to each other. For each pure
metal, solid solution or intermetallic compound at equilibrium, both the composition and the
crystal structure are fixed and therefore is the elastic modulus. It can be altered to some extent
by significantly altering either the composition of the material or its crystal structure. The
composition of a metal can be changed by alloying it with some other element that is soluble
in it. The introduction of foreign atoms in the given metal will alter the restoring forces
developed by a given strain and hence affect the elastic modulus. In general, however, a
relatively large alloy addition is required to produce even a rather small change in elastic
modulus.
Among the metallic materials, steel is the most commonly used alloy. Ordinary
engineering steels usually contain a few per cent of alloy content and therefore the elastic
modulus for such steels is hardly increased. Similar is the case with commercial brasses in
which the zinc content varies from almost zero to about 40% yet the improvement in elastic
modulus is not significant. In fact, a drastic increase in zinc content of the alloys may rather
reduce the elastic modulus by 5-6%. Hence, in general, the idea of making alloy additions to
a metal in order to improve elastic modulus is not commonly used.
Like alloying, cold deformation of a ductile metal is another method to improve elastic
modulus only slightly. Elastic modulus can also be changed to some extent by altering the
crystal structure through heat treatment. For instance, in steels, the equilibrium ferrite and
carbide structure can be changed to metastable martensite by a hardening treatment. However,
in this case, the same atoms are present in the same proportion after heat treatment as before,
except a drastic change in their arrangement. Such a change in atomic arrangement results only
a small change in the spacing of atoms relative to each other. The change in elastic modulus
as a result of martensitic transformation is so small that it is of no engineering importance. Thus,
this criterion of altering elastic modulus is also generally ignored.
Modulus of elasticity is thus independent of the type of treatment given to a material.
Nevertheless treatments like cold working and heat treatments are given to certain components
such as steel springs with an idea that the stiffness can be improved by such treatments. In fact,
this concept seems to be incorrect. The above treatments rather improve the elastic limit of the
@Seismicisolation
@Seismicisolation
Tensile Behaviour 221
steel so that steel springs can carry more loads without permanent deformation. However,
elastic modulus decreases with the increase of temperature which in turn affects the cohesive
strength of the material.
Modulus of elasticity is important in the selection of materials for applications such as
springs, beams of a balance, etc., and in the design of structures. In case of springs, lower the
value of modulus of elasticity, the larger is the deflection for a given load. A steel spring bends
twice as much as a tungsten spring of the same dimension under the same load. In the castings,
the higher is the residual stresses the higher will be the modulus of elasticity. The stiffness of
a material that does not follow Hooke's law is clearly not constant but varies with stress. In such
cases, stiffness is given as an average value based on the slope of the lines drawn through
certain points on the stress-strain curve. These are known as tangent modulus and secant
modulus.
8.3.2 Yield Strength
Yield strength of a material is defined as the stress at which it begins to yield or deform
plastically. Quantitatively it is defined as the load at yield point (Py) divided by the original
cross-sectional area (A0), i.e.
p"
Yield stress (a") =-·
. Ao
(8.4)
Yield strength is also an important mechanical property for a ductile material. This property of
a material determines its ability to resist permanent deformation. Yield strength tends to prevent
bending, denting or twisting of a material while it is in service. So when a material is in service
the stress applied should never exceed its yield strength otherwise failure may occur. On the
other hand, when a ductile material is required to be shaped by mechanical working processes
the applied stresses must exceed the yield strength. This property is therefore considered to be
the design criterion for ductile materials. For materials under service yield strength is more
important property than tensile strength for ductile materials.
8.3.3 Tensile Strength
Tensile strength of a material is defined as its ability to resist fracture. Quantitatively, it is
defined as the maximum load (Pu) divided by the original area of cross-section. That is,
Tensile strength (au)= Pu
Ao
(8.5)
This is the most frequently quoted mechanical property of a material though its value is not as
significant as yield strength from the point of view of strength of a material as stated above.
However, the knowledge of tensile strength value for ductile materials is significant in that the
stress applied for shaping operations should never exceed this value otherwise it will lead to
fracture. So the level of applied stress should neither exceed during mechanical working
processes nor when a material is under service. In addition, there are ductile materials which
can tolerate some permanent deformations. For these materials rupture (ductile fracture) is the
@Seismicisolation
@Seismicisolation
222 Mechanical Behaviour and Testing of Materials
principal concern. For example, in pressure vessels and piping systems some permanent
deformation is tolerable without bursting. In the olden days tensile strength was the design
criterion for ductile material by reducing the stress level to a suitable factor of safety. Moreover,
tensile strength is easy to determine property and is reproducible, therefore this property is
commonly quoted along with the more useful yield strength property. In addition, tensile
strength is numerically related to other mechanical properties or it gives an idea about other
properties, and therefore it is specified in the tensile test data. For some materials, this property
is useful for quality control purposes. For brittle materials, this property is the only strength
property used for design purposes. In case of plain carbon steels, carbon content can roughly
be estimated by tensile strength test.
Tensile strength of Fe-C steel is the strength of the pure iron (280 MPa) increased by an
amount directly proportional to the per cent of carbon, as follows:
Tensile strength = 280 + 700C
where, C is the percentage of carbon and the tensile strength is in MPa.
For instance, if the tensile strength of a given specimen is 385 MPa, the estimated amount
of carbon is:
8.3.4 Modulus of Resilience
385-280 =C
700
C =0.15%
Elastic resilience is the capacity of a material to absorb energy on loading under tension. This
energy gets released on removal of the load. When a material is loaded within the elastic limit
its atoms are displaced from their equilibrium positions thereby bringing them to higher energy
state. This energy is stored as elastic energy. Mathematically, strain energy, U may be
determined as the work done by the applied force and is given as:
li
U =JP(x) dx
0
(8.6)
where, P(x) is the force as a function of displacement x. Since, P(x) =aA and x =eL, Eq. (8.6)
becomes
E1
u =AL Jade
0
where, e1 = 8/L. Dividing the strain energy by the volume AL, Eq. (8.7) becomes:
E1
U =Jade
0
(8.7)
(8.8)
where, U is the strain energy per unit volume which represents the area under the linear portion
of the tensile curve from zero strain to strain e1. Since the geometry of the region enclosed by
the straight line in the tensile curve is triangular, the strain energy per unit volume can be given as:
@Seismicisolation
@Seismicisolation
Tensile Behaviour 223
1
U =-Ge (8.9)
2
1 (12
U =-- (8.10)
2 E
Strain energy per unit volume is commonly known as modulus of resilience. Modulus of
resilience is therefore, defined as the strain energy absorbed per unit volume when a material
is stressed to elastic or proportional limit. In practice, for most of the materials it is difficult to
distinguish between proportional limit, elastic limit and yield stress because of the lack of
sensitivity of the measuring instrument. Therefore, for practical purposes elastic limit is
replaced by yield stress value O:v- Thus, modulus of resilience is expressed as:
2
<J,. e,. <J,.
u --·-· --·
,- 2 -2E (8.11)
where <J,. is the yield stress, t;- is the strain corresponding to yield stress. For a given value of
E, modulus of resilience increases with the square of the yield stress. Yield strength can be
improved by various strengthening mechanisms. The major strengthening mechanisms are the
cold working and precipitation hardening which do not affect E values. On the other hand, for a
given yield stress, modulus of resilience will decrease with increasing stiffness. Equation (8.11)
indicates the energy absorbed by a material without being deformed permanently while subjected
to dynamic loads. Modulus of resilience is an important consideration for spring materials. Spring
alloys must be able to withstand large elastic deformations without permanent change in shape.
That is, the material must have a high elastic limit or yield strength and low modulus. However,
springs used for structural applications must exhibit high elastic modulus. Springs used in
instruments often require a relatively large deflection under low loads. This means that the spring
alloys used for such applications have low elastic modulus.
For a material, which exhibits in a nonlinear elastic behaviour, the modulus of resilience
is no longer applicable because of the absence of a proportional limit. Even though the material
is fully elastic, the strain energy per unit volume is not completely recoverable. Typical example
of a material that exhibits this behaviour is Rubber. Figure 8.5 shows tensile curve for rubber
during the loading and unloading cycles. Curve 1 represents the stretching of rubber when it
is loaded from Oto P. The area enclosed by this curve with the strain axis represents the energy
stored per unit volume. When the rubber is unloaded, the resulting curve (curve 2 of Figure 8.5)
does not retrace the path of curve 1. The curve 2 lies below the curve 1. The strain energy per
unit volume recovered is therefore less than that put into the rubber during its loading. In fact,
some energy is lost in the form of internal friction in rubber. This energy is represented by the
area between the curves 1 and 2. This is a good example of mechanical hysteresis and accounts
for a high damping capacity of rubber when used as supports to damp vibrations in machines.
With reference to materials showing nonlinear elastic behaviour, the term resilience is defined
as the ratio of recoverable energy to that put into the material during loading or deformation.
It is measured as the ratio of area under the curve 2 to that under the curve 1, as a percentage.
A low resilience is desirable for good damping characteristics while a high value of resilience
is required for low internal heat generation. The term resilience discussed here must not be
confused with modulus of resilience.
@Seismicisolation
@Seismicisolation
224 Mechanical Behaviour and Testing of Materials
p
Strain
FIGURE 8.5 Stress-strain curve for Rubber, showing loading and unloading cycles.
8.3.5 Ductility
Ductility of a material is defined as its ability to flow plastically without rupture under static
tensile load. One primary way to evaluate this property is to determine per cent elongation of
a tensile specimen. The percentage elongation is expressed as:
Lf -Lo
Per cent elongation =---x 100
Lo
(8.12)
Another measure of ductility is the percentage reduction in area that occurs in the necked region
of the specimen. The percentage reduction in area is expressed as:
Ao -Af
Per cent reduction in area =--~ x 100
Ao
(8.13)
In the above equations A1 and L1, respectively, are the area of cross-section and length of the
specimen at the point of fracture. Though both percentage elongation and percentage reduction
in area are indicative of ductility of the material, the latter is in particular, used as a guide to
formability behaviour of the metal. Reduction in area may range from zero per cent (for brittle
materials) to near 100% (for extremely ductile materials). If a material fails with little or no
ductility, it is said to be brittle. Brittleness is opposite to ductility and should not be confused
with a lack of strength. A brittle material is simply one that lacks significant ductility.
Ductility is an important mechanical property. It is one of the very important engineering
considerations in the design and selection of engineering materials. Almost all metallic materials
possess some ductility. Ductility makes possible shaping of materials by mechanical working
processes such as rolling, forging, wire drawing, deep drawing, extrusion and stamping. Many
of the structural parts (such as crane hooks, gears, connecting rods and crank shafts) are
preferred to be manufactured by rolling or forging instead of by casting process. Importance of
ductility is also lying in the fact that it enables a material to redistribute localised stresses (such
as those exist at the crack tip or at the notch) by localised yielding and thus preventing brittle
type of failure. Ductility of a material also provides an additional margin of safety beyond the
elastic range when a structure is subjected to momentary overloading at some part. If the
@Seismicisolation
@Seismicisolation
Tensile Behaviour 225
material of a structure is ductile the overstresses will be distributed to other parts by localised
yielding in the overstressed region of the structure. As a result, serious mechanical failure can
be prevented. Because of ductility, materials fracture only after undergoing appreciable amount
of plastic deformation. Brittle materials, which possess poor (low) ductility, usually fail
catastrophically without giving any warning and may cause accidents. The significance of
ductility is also apparent from the fact that many ceramics have been toughened by various
methods to improve their fracture strength and make them usable for structural applications, in
particular, aircraft applications. Ceramics are otherwise brittle in nature and with few
exceptions, they do not show ductility.
8.3.6 Toughness
Toughness is defined as the ability of a material to absorb energy without rupture. It is usually
measured by the amount of work per unit volume of the material under static loading. Work
per unit volume of the material is also called modulus of toughness. Under this condition, it
is usually represented as the area under the stress-strain curve as shown in Figure 8.6. In fact,
it is the area under the plastic range. However, the elastic strain is much less than the plastic
strain, the total area under the stress-strain curve is approximated to toughness of the material.
Figure 8.6 also suggests that toughness is related to both ductility and strength properties.
Quantitatively, toughness (UT) of a ductile material can be approximated as:
UT= O'u CJ (8.14)
or sometimes approximated as:
UT= (O'u + O'y)e1
2
(8.15)
In Eqs. (8.14) and (8.15), e1 is the strain at fracture stress, O'u and CT, are the ultimate tensile
stress and yield stress, respectively. Equations (8.14) and (8.15) are generally used for
comparison purposes.
IJ)
IJ)
~
ci5
Strain-
(a)
IJ)
IJ)
~
ci5
Strain-
(b)
FIGURE 8.6 Modulus of toughness in terms of area under the stress-strain curve. (a) Ductile
material, (b) Nearly brittle material.
@Seismicisolation
@Seismicisolation
226 Mechanical Behaviour and Testing of Materials
Thus, there are two fundamental requirements to be fulfilled by a material to call as a
tough material. Firstly, it must be capable of deforming permanently prior to fracture and
secondly, it must be strong enough, i.e. it should deform only at relatively higher loads. In terms
of these requirements, toughness can also be defined as the measure of energy strength of a
material.
Much care should be exercised while using toughness data. It is because of the fact that
these values vary markedly with conditions of testing. For instance, variation in temperature and
strain rate can significantly alter the stress-strain curve (as discussed in a later section) and
hence the toughness. Toughness is commonly related with impact or shock loadings. The values
obtained from impact tests often fail to correlate with those from static tensile test.
Unfortunately, often the term toughness is confused with some other properties such as
softness, resistance to impact fracture or frictional wear and the plasticity of the material. In
order to clarify it, some examples are considered here. One of the examples is that of the metal
lead. Lead is an extremely ductile metal but at the same time it is very weak. Pure copper, on
the other hand, is a tough metal. Like lead, it deforms appreciably before fracture but it does
so at stresses high enough so that a large amount of mechanical energy is absorbed by the metal
before it breaks. Low carbon steels are also known for good toughness. Though they do not
usually withstand as extensive deformation as copper, they require much higher stresses to
produce even the first increment of permanent deformation. The total amount of energy
absorbed by steel before fracture is often greater than that absorbed even by copper. Ordinary
grey cast iron, on the other hand, is also a relatively strong metal, and requires high loads to
produce fracture. However, this material fractures with approximately no permanent
deformation and thus it is almost totally lacking in toughness. Toughness is greatly affected by
the microstructure of the material. For instance, ordinary grey cast iron is lacking in toughness
while nodularised grey cast iron possesses reasonably good toughness.
Many components such as freight car couplings, gears, crankshafts, cam shafts, crane
hooks, etc. need to withstand occasional stresses above the yield stress level. These parts should
be made of a tough material.
8.4 TRUE STRESS-STRAIN CURVE
Materials, in general, have a very low elastic strain (approximately 0.1%) and negligibly small
reduction in area. In the plastic range, ductile materials, on the other hand, show both a very
high per cent reduction in area and strain. The conventional stress in the plastic range is not the
true stress though it is almost the true value in the elastic range. This is because the true area
of cross-section at any load in the plastic range is smaller than the original value as volume of
the specimen remains essentially constant for large plastic strains. As a consequence the true
value of stress experienced by the material is higher than the conventional one for a given load.
Conventional stress and strain are widely used as a measure of the tensile properties (as
discussed above) used for comparing materials in terms of standard tensile behaviour as well
as for their selection in specific application. True stress value will be affected by strain
hardening characteristic of the material so it varies with material to material. In metal forming
processes such as rolling, extrusion, drawing, sheet metal forming, etc. true stress is considered
@Seismicisolation
@Seismicisolation
Tensile Behaviour 227
to be more important than engineering stress. To correlate the theory for different forms of
loading, true values are preferred.
In today's technology, engineers and scientists are therefore more interested in true values
of stress and strain (also called natural or logarithmic strain) as proper measures of mechanical
behaviour of materials is of significance in not only plastic range but also in the elastic range.
True stress and true strain cannot be determined by routine tensile testing. True stress (aT) is
expressed as:
stress
where, A; is the instantaneous or true area
of cross-section corresponding to the load,
P. If true stress is plotted against
conventional strain, the curve continuously
rises to the breaking point without any
drop. This is because the instantaneous
area decreases continuously with strain in
the plastic range. This is in contrast to
conventional stress-strain curve which
drops after attaining a maximum stress.
Figure 8.7 illustrates that strain hardening
occurs continuously throughout the plastic
range. After the onset of necking at the o Conventional strain ____.
(8.16)
Pmax, the true stress is determined using the FIGURE 8.7 Comparison of true and conventional
smallest cross-section of the specimen (i.e. stress-strain curves.
at the center of the neck) at any value of load. However, the shape of the neck is such that the
stress in this cross-section is not uniform as the specimen elongates. The true stress in this range
therefore represents the average value. True stress in the neck continues to increase until
rupture.
True strain (eT) differs from the conventional strain in that each increment in strain is
based on the instantaneous gauge length of the specimen instead of original gauge length, i.e.
the actual length at the time of increment. The instantaneous conventional strain is defined by
Eq. (8.2). The increment in conventional strain resulting from a small increase in length dL,
from L to Li is given as:
Li -L0 L-L0
de = ei - e = - - - -
Lo Lo
or de = Li - L = dL (8.17)
Lo Lo
The total conventional strain can be determined by integrating Eq. (8.17) from zero to e, i.e.,
e L (dL)
e =Jde= J -
o Lo Lo
@Seismicisolation
@Seismicisolation
228 Mechanical Behaviour and Testing of Materials
or e=L-Lo =~-1
Lo Lo
(8.18)
True strain can also be defined in the same way by considering the increment in length dL,
based on instantaneous gauge length L, thus:
(8.19)
The total true strain,
~ Li. -Lo L2 -Li L3 -L2
er =£..J----'---"- +--=---=- +-=----=- +...
Lo Li L2
(8.19a)
The total true strain can be determined by integrating the Eq. 8.19 from zero to er- Thus,
8
r L (dL)
er= Jder = J -
o Lo L
L
er =ln-
Lo
(8.20)
From Eqs. (8.18) and (8.20), true strain can be written as:
er= ln (1 + e) (8.21)
This shows that the true strain is smaller than the conventional strain corresponding to a given
load. This can be illustrated by considering an example. Consider a specimen with original
gauge length L = 5 cm and instantaneous length equals 6.5 cm. The conventional strain (e) is
given as: e = (6.5 - 5.0)/5 = 0.30 while true strain er= ln (6.5/5) = ln (1.3) = 0.263. An increase
in the length by 0.25 cm above 6.5 cm length would result in an increase in conventional strain
by 0.25/5 =0.05. The increment in true strain on the other hand is given as 0.25/6.5 =0.0389
(~ 0.04) which is clearly lower than the conventional value. It has been found that the difference
between true strain and engineering strain becomes appreciable beyond about 10% strain. A true
strain of about 70% is equivalent to about 100% conventional strain.
Like Eq. (8.21) which shows a relationship between conventional strain and true strain,
the true stress can also be expressed in terms of engineering stress as given below. From
Eq. (8.16), <J'r can be written as:
p p Ao p Ao
Gr =-=-X-=-X-
A; A; A0 A0 A;
Ao
or Gr= a - (8.22)
A;
At large plastic strains the volume of the specimen remains essentially constant while neglecting
the elastic deformations. Thus, if A0 and L0, respectively, are the original area of cross-section
and length of a segment of a cylindrical specimen, then the original volume is given as AoLo-
After some plastic deformation under load, the length and its cross-section, respectively, are L
and A. The volume of the segment at this instant is given as AL. For constancy of volume we
can write:
@Seismicisolation
@Seismicisolation
Tensile Behaviour 229
AL= Aol,0
L A0
=
L0 A
(8.23)
From Eqs. (8.18), (8.22) and (8.23), the true stress can be given as:
Gr =G(l + e) (8.24)
Equations (8.21) and (8.24) are strictly applicable before the onset of necking. The deformation
is highly localised beyond the onset of necking due to nouniform stresses in the neck. The stress
is no longer uniform axial, but becomes complex triaxial. In such case the true strain er (for
large plastic strains) should be based on the measurement of actual diameter (D), as given
below:
(8.25)
n D2
4 o Do
er =ln--=21n-
,r D~ D;
4 l
or (8.26)
Equations (8.25) and (8.26) hold good so long as the volume remains constant. The ratio
AofA; is an indication of reduction in area. The conventional reduction in area (q) is defined by
the relationship:
q=Ao-A;=l-~
Ao Ao
(8.27)
q is positive when A;< A0• The increment of reduction in area is dq = -dA/A0• The increment
in true reduction in area dq' can similarly be expressed as, dq' = - dA; . On integration, the true
A;
reduction in area can be given as:
A-
q' = 1_
dA; = 1n A0
Ao A; A;
(8.28)
Equations (8.25) and (8.28) show that true reduction in area and true strain are identical for
large plastic strains.
Thus, by knowing the conventional stress and strain it is possible to determine the true
values using Eqs. (8.21) and (8.24). A true stress-strain curve (Figure 8.8) can be obtained from
the tensile data. This curve clearly demonstrates that the metal strain hardens continuously up
to the point of rupture, although the rate reduces after necking begins. Strain hardening
behaviour at the plastic instability condition is an important consideration in metal forming
operations. The strain hardening at any given strain er is equal to the slope of the true stress-
strain curve at that strain. Superimposed on the true stress-strain curve is the conventional
stress-strain curve for comparison. It can be noticed that the points on the true stress-strain
curve are always lie to the left of the conventional stress-strain curve up to the onset of necking.
The corresponding points on the two curves are connected to show their relation to one another.
@Seismicisolation
@Seismicisolation
230 Mechanical Behaviour and Testing of Materials
r/)
r/)
~
ci5
Uniform
strain Non-uniform strain
Strain--
FIGURE 8.8 A true stress-strain curve superimposed on conventional stress-strain curve for
comparison.
Frequently, the flow curve (true curve) is linear from maximum load to the point of fracture.
After the condition of plastic instability, the curve for true strain overtakes the conventional
strain and at the breaking point it is far to the right. This is due to highly localised strains in
the neck portion of the specimen. For many metals the true stress-strain curve up to maximum
load can be expressed by an empirical relationship as:
aT =Ke;
Taking logarithms on both sides of Eq. (8.29), we have
loge (jT =loge K + n loge eT
Equation (8.30) is also known as Power
Law (the flow curve corresponds to this
relationship is called Power curve). In
this equation, K and n are constants, and
are commonly called the strength
coefficient and strain hardening
exponent, respectively. The constants
can be evaluated from the log-log plot of
true stress-strain which results in a
straight line. The slope of the straight
line gives the value of n. The value of K
is equal to the true stress which
corresponds to a true strain equal to
b
~
Ol
..Q
0.001 0.01
(8.29)
(8.30)
0.1 1.0
True strain, Er
unity (i.e. ET= 1) as shown in Figure 8.9. FIGURE 8.9 A log-log plot of true stress-strain curve.
@Seismicisolation
@Seismicisolation
Tensile Behaviour 231
The magnitude of n reflects the ability of a material to resist further deformation. The
higher the slope n of the log-log plot (Figure 8.9), the greater the strain hardening capacity of
the material, i.e. stronger and harder it becomes as it is strained. The value of n may range from
zero (for perfectly plastic material) to unity (for perfectly elastic material). For most of the
metals, the value of n varies from 0.1 to 0.5. The magnitude of n is also affected by cold work
and heat treatment processes applied to a material. For annealed materials n is high and for cold
worked or heat treated materials it is low.
The rate of strain hardening (dGrldGr) is not the same as strain hardening exponent. From
Figure 8.9, n can be defined as:
or
or
d(logeGr) d(lnGr)
n = ---"---=--- = ---=---
d (loge Er) d (ln Er)
dGr Er Er dGr
n=----=---
Gr dEr Gr dEr
dGr Gr
--=n-
dEr Er
On differentiating Eq. (8.29) (i.e. the power law equation), we have
dGr K (n-1)
--= nEr
dEr
(8.31)
(8.32)
At plastic instability condition (discussed in Section 8.5) the slope of the true stress-strain curve
is equal to the true stress at that point, i.e. (dGpdEr) = Gr. Therefore, the Eq. (8.32) can be
written as:
or
K (n-1) K n
nEr =Gr= Er
(8.33)
Thus, true strain at the onset of necking is numerically equals to the strain hardening exponent
n of the material. This means that the greater the magnitude of n, the higher the true strain to
which a material can be stretched uniformly before it begins to neck. This is an important
observation, in particular, with regard to forming operations which involve uniform plastic
deformation of the material without breaking. Equation (8.29) is an empirical equation and is
often not strictly followed. That is, many materials do not display a straight line relationship in
accordance with this equation. For unknown reasons, for some materials n increases with
increasing true strain Eq. (8.33) while for other materials, n increases with decreasing true
strain. In the latter case, n reflects the ability of the material to resist plastic deformation,
whereas in the former case, n reflects the stretchability of the material. Metals such as annealed
copper, brass, stainless steel have high value of n (0.30 to 0.55), and thus, they can be stretched
uniformly to a greater extent than the other materials such as hardened and tempered steels
(n = 0.10 to 0.20).
@Seismicisolation
@Seismicisolation
232 Mechanical Behaviour and Testing of Materials
8.5 PLASTIC INSTABILITY IN TENSION
It has been pointed out that as a tensile specimen begins to deform plastically, it strain hardens.
Hence, in order to deform the specimen further in its plastic range, more amount of applied load
is needed. In many ductile materials, the rate of strain hardening decreases with further
increment in strain. The factor that opposes strain hardening is the increased stress caused due
to reduced diameter of the specimen when it deforms plastically. This reduces the load carrying
capability of the specimen. During the early part of the plastic deformation, strain hardening
more than compensates for the reduced load carrying capability of the specimen caused by
reduction in area. In other words, the rate of strengthening is higher than the rate of softening.
At some value of strain, the two effects are counter balanced. When this condition is arrived,
at some location in the material plastic strain continue to increase with no increase in load. This
behaviour of the material is an unstable process because the rapid increase in localised strain
results in rapid decrease in area of cross-section in this region compared to the rest portion of
the gauge length. This localised area is weaker than the rest. The condition of instability is thus
concentrated in a localised segment of the gauge length of the specimen. All further deformation
is confined in this localised region. Localised deformation results in the formation of a neck.
Necking generally begins at maximum load during tensile deformation. As deformation
continues, the rate of strain hardening also continues to decrease locally and the load required
continuing deformation decreases until rupture occurs.
This behaviour which is the characteristic of many ductile materials is termed as Plastic
Instability. This behaviour is characterised by a maximum in the conventional stress-strain
curve. Mathematically, the plastic instability condition can be defined as:
dP = 0
or dP =d(<1rA) =0
Since both area and stress are variables so Eq. (8.34) can be written as,
Ad<1r + <1rdA =0
(8.34)
(8.35)
The first term in Eq. (8.35) represents the increase in load caused by strain hardening and is
a positive term as d<1ris positive. The second term represents a decrease in load due to reduced
area of cross-section and is negative because dA is negative. In the initial part of plastic
deformation the first term predominates over the second until the onset of necking, i.e.
dP > 0
At the onset of necking the two terms are balanced. After the beginning of necking the second
term becomes predominate over the first, i.e.
dP < 0
Equation (8.35) can be rewritten as:
dA
<1r A
(8.36)
Since at the beginning, before the onset of necking a fairly large magnitude of plastic strain has
occurred, the volume of the material can be considered to be constant. Thus,
@Seismicisolation
@Seismicisolation
Tensile Behaviour 233
AL =A0L0 =Constant
or AdL + LdA =d (Constant A0L0) =0
- dA - dL - de [From Eq. (8.19)]
A - L - T
From the instability condition, Eq. (8.36) can be written as:
or
daT
--=(jT
deT
(8.37)
(8.38)
(8.39)
Thus, plastic instability occurs when the slope of the true stress-strain curve equals the true
stress at that point (Figure 8. 10).
b
Cl)
Cl)
~
cii
QJ
::,
i=
True strain, t:r
FIGURE 8.10 Graphical presentation of Eq. (8.39).
8.6 DISCONTINUOUS YIELDING (YIELD POINT PHENOMENON)
Most of the ductile materials exhibit a gradual transition in elastic to inelastic (i.e. plastic)
behaviour and yield continuously with increasing load or stress and work harden. However, some
of these materials display a rather sharp transition in their elastic to plastic behaviour. Yielding
in these materials is discontinuous and occurs at approximately constant load without any work
hardening [Figure 8.1 l(a)]. This load or stress at which sharp transition occurs above the elastic
limit is called yield point. Sometimes, a sharp drop in load results at above the elastic limit and
then plastic deformation occurs at approximately constant lower value of load [Figure 8.11(b)].
The load at which sudden drop occurs in the conventional tensile curve is called the upper yield
point (UYP) and the lower constant load at which appreciable yielding occurs is called the
lower yield point (LYP). The elongation that occurs at constant load is called yield point
elongation (YPE). Yield point elongation is about 15-20 times the elastic elongation that
@Seismicisolation
@Seismicisolation
234 Mechanical Behaviour and Testing of Materials
(/)
(/)
~
in
0
al
.3
Yield point
Elongation or strain
(a)
(/)
(/)
~
in
0
al
.3
UYP
'--L--Jogs due to
formation of
Luders bands
Yield point
elongation
Elongation or strain
(b)
FIGURE 8.11 Load-elongation or stress-strain curves showing yield points in discontinuous yielding.
has produced prior to it. The phenomenon involving a definite yield point in ductile materials
is known as yield point phenomenon. The yield point phenomenon has been observed in low
carbon steels.
The beginning of discontinuous yielding is highly localised and begins at the stress
corresponds to the upper yield point. At this point slip is nucleated at some point of stress
concentration along the tensile specimen length. One such point of stress concentration is the
fillet of the specimen. Slip occurs on the planes of maximum shear stress oriented at 45° with
reference to the tensile axis. Dislocations move on these planes and produce a zone of plastic
deformation. This zone of plastic deformation is called Liiders band (a band of slip lines) and
the boundary between the band and the undeformed parts of the crystal is called the Liiders
front. Coincident with the nucleation of Li.iders band at upper yield point the load drops down
to the lower yield point. At lower yield point, in front of Li.iders band dislocation pile up occurs
at the grain boundaries and act as another point of stress concentration. As a result flow is
initiated in the adjacent grain. This way the deformation band propagates down the specimen
at approximately constant stress until the whole length of the specimen is deformed. The
propagation of Li.iders bands is illustrated in Figure 8.12. In most specimens more than one
Li.iders bands form along the length and grow towards each other until cover the whole length
of the specimen. The yield point elongation curve is irregular showing jogs which can be
correlated to the formation of several Li.iders bands.
Size of the tensile specimen affects the upper yield point stress. The larger the size of
the specimen the lower will be this stress. The lower yield point stress, on the other hand,
remains constant during yield point elongation and is independent of the size of the specimen.
Since this process involves localised yielding and flow of material throughout the gauge
length of the specimen, it is more like the ordinary yielding process and more or less
independent of imperfections other than dislocations themselves. This type of yielding is
therefore sometimes regarded as dislocation theory of yielding. A yield drop may also occur
if a higher strain rate is imposed on the specimen by the machine as is explained in a later
part of this section.
@Seismicisolation
@Seismicisolation
Tensile Behaviour 235
Deformed
Undeformed
Deformed
/
FIGURE 8.12 Initiation and propagation of Li.iders bands.
In single crystals, yield propagation is uniform throughout the gauge length and not
heterogeneous as in the case of most of the polycrystalline materials. Deformation starts by the
formation of fine slip lines which broaden into slip bands, spread and multiply until these cover
the entire crystal. Materials which show stress-strain curves with gradual change in curvature
above the proportional limit with continuously increasing stress do not exhibit the yield point
phenomenon.
On the surface of mild steel, the Li.idders lines appear as flame like pattern of slight
depressions or irregularities. The originally smooth surface becomes rough to touch or dark
in appearance. This is often an undesirable condition. For example, when annealed steel
sheets are deep drawn for automobile body parts, the formation of Li.idders lines produces
objectionable irregularities called Stretcher strains. Cold rolled sheets do not show these
lines because the material has been carried past the range of discontinuous yielding in the
direction of plane of the sheet by rolling
process. Therefore, in order to overcome
the problem of stretcher strains, the steel
sheet is given a small cold reduction in
thickness in the range 0.5% to 2.0% (as
illustrated in Figure 8.13) immediately
before the forming operation so as to
avoid the recurrence of yield point. This
figure shows that the material is
elongated to a point P by a cold reduction
process called skin rolling. The stress-
strain curve for skin rolled material then
(/)
(/)
~
U)
Skin
rolling
0
becomes O'PQ. This curve does not show FIGURE 8.13
a distinct yield point to give the yield
point phenomenon or the problem of
stretcher strains.
p
a
Fracture
O' Strain
Stress-strain curve for low carbon
steel showing the effect of skin rolling
on tensile curve. After skin rolling the
curve is described by O'PQ.
@Seismicisolation
@Seismicisolation
236 Mechanical Behaviour and Testing of Materials
Two mechanisms have been proposed to explain the yield point phenomenon shown by
some ductile materials:
(i) In metals containing small amount of impurity atoms, the upper yield point is
associated with the release of dislocations which were locked up with impurity atoms
due to strong elastic interaction between them. The stress corresponds to the upper
yield point is the stress required to tear dislocations away from their impurity
atmospheres. The stress corresponding to the lower yield point is the stress required
for unlocked dislocations to move through the lattice and cause heterogeneous
deformation.
(ii) A yield drop is also exhibited by some materials which are almost free of impurity
atoms or which contain only a few dislocations. In such materials, the above proposed
mechanism of impurity interaction with dislocations is no longer applicable, i.e. the
theory of dislocations yielding cannot be applied. Materials, such as semiconductor
grade germanium, high purity lithium fluoride (LiF) and copper whiskers show a
distinct yield point though the amount of impurities present in them is not sufficient
to anchor dislocations. In these materials the principal mechanism of yielding is
related to the very strong stress sensitivity of dislocation velocity [see Eq. (8.41)].
Detailed description of these mechanisms has been summarized in the following
paragraphs:
The first mechanism of yielding was originally observed in low carbon steels (typically
the mild steel that contains about 0.20% carbon). Later on this mechanism was also found in
some polycrystalline materials such as Mo, Ti and Al alloys and in single crystals of Fe, Cd,
Zn, a- and ~brass and aluminium. Discontinuous yielding in these materials is caused by the
presence of a small amount of foreign atoms (such as carbon and nitrogen). These atoms,
because of their small size, tend to occupy interstitial sites in the crystal lattice of the concerned
metal. However, the size of the interstitial site is less than that of the impurity atom therefore
these atoms fit-in only tightly and produce large amount of localised strains in the lattice. In
order to minimise the distortion of the lattice, the foreign atoms (i.e., the atoms other than the
host atoms or the so called impurity atoms) tend to move to vacant sites in the lattice or to the
regions of high energy where larger room is available for them. One such high energy region
is a dislocation. In vicinity to an edge dislocation the atoms are in a state of compression above
the slip plane and are in a state of tension below it. When it is viewed isometrically, it looks
like a pipe (called dislocation pipe) pierced through the lattice of metal. On the basis of
calculations it has been found that the diameter of dislocation pipe is larger than the diameter
of an interstitial hole. Many of the interstitial foreign atoms (or solute atoms when added
intentionally) therefore, tend to occupy positions just below an edge dislocation so as to
minimise the overall energy of the crystal. These foreign atoms are more comfortable in such
sites. These atoms line up below edge dislocations and form a bond with matrix atoms (iron
atoms in case of mild steel) along dislocations as shown in Figure 8.14. As a consequence the
energy of the dislocations is also minimised. Thus, these foreign atoms anchor dislocations and
restrict their motion. Such a line of foreign atoms is called an atmosphere and more popularly
the Cottrell atmosphere after the name of the inventor A. H. Cottrell.
@Seismicisolation
@Seismicisolation
Atmosphere of
foreign atoms
Tensile Behaviour 237
FIGURE 8.14 Partially cut section of a crystal showing a row (BB') of foreign atoms (also called
atmosphere of solute atoms) below the edge dislocation line AA'.
Most dislocations in mild steel are locked by the atmospheres of carbon or nitrogen (if
present) atoms. Though BCC structure of ferrite in mild steel provides sufficient number of slip
systems to deform plastically at low stress yet a higher stress is required for yielding to begin
in this material. This is because of the pinning of dislocations with the atmosphere of interstitial
foreign atoms (such as carbon and nitrogen atoms) which prevent them to move. Accordingly,
a large magnitude of stress is required to break the dislocations away from the solute
atmosphere so that they can move and produce yielding. Once the applied stress attains this
critical value, the anchored dislocations tom away suddenly from the solute atmosphere and
move freely. Once dislocations are made free, their motion needs lower stress. Thus, a higher
stress is required to initiate yielding but a lower stress to continue it. These stress values are
corresponding to the upper and lower yield points, respectively as shown in Figure 8.11.
Impurity locking is a very special case of yield point behaviour as this effect is not shown
by all materials. According to modem concept, yield point is a very general phenomenon and
is found even in those materials which are almost free of dislocations and impurities. For
instance, yield point behaviour has been shown by high purity, polycrystalline annealed BCC
iron containing essentially no interstitials. The nature of the flow curve in tension for such a
material is shown in Figure 8.15. This tensile curve is obtained at conventional testing machine
strain rates and at temperature slightly less than the ambient temperature (the temperature of
surrounding which may vary from about -40°C in polar region to +50°C in tropical regions).
As load is applied uniaxially, the iron first deforms elastically, and the strain is highly restricted
in the elastic range as is apparent from the slope of the curve (steep slope). It is followed by
a pre-yield microstrain during which dislocations move in a few grains, presumably at stress
concentration points such as fillet or at the grips.
Since in the initial stages, the number of mobile dislocations is small (the mobile
dislocations are predominantly edge dislocations which move at low stresses), these cannot
move sufficiently fast to produce the required strain rate for deformation. In order to maintain
@Seismicisolation
@Seismicisolation
238 Mechanical Behaviour and Testing of Materials
Cl)
Cl)
~
?ii
Preyield
microstrain
Yield drop
~Ir-Yield propagation
I I I
I I I
, - , I
I I I
I ~
I
I
Strain hardening
Strain ------
FIGURE 8.15 Typical stress-strain curve of polycrystalline BCC iron in uniaxial tension.
the strain rate (£) of lattice deformation equal to that of the testing machine, the velocity of
the dislocations must increase in accordance with the following relationship:
i:=bpv (8.40)
where, p is the density of mobile dislocations, b is the Burgers vector of the dislocations and
v is the velocity of dislocations. However, the velocity of dislocations is proportional to the
shear stress in accordance with the expression:
(8.41)
where, r is the shear stress resolved on the slip plane, r0 is shear stress corresponding to the
unit velocity of dislocations and m is the index of material which varies from 1 to 60 depending
on temperature. So the stress must increase to move dislocations fast and maintain strain rate
to be constant so as to equalize with strain rate of the machine. With rise in stress, the available
edge dislocations are exhausted. Macroscopic yielding then depends on the motion of screw
dislocations, which in turn results in dislocation multiplication by the mechanism of double
cross-slip as illustrated in Figure 4.18. As dislocation multiplication occurs, these (dislocations)
also move faster until eventually the strain rate of crystal equals the imposed strain rate. An
increase in dislocation density still continues and their velocity must decrease to maintain
constant strain rate in accordance with Eq. (8.40). Accordingly, stress must drop. This limiting
value of stress where a drop occurs can be correlated to the appearance of the upper yield point
on the tensile curve of the material (Figure 8.15). In a limited volume of the tensile specimen,
the localised strain rate exceeds that of the machine and a sudden decrease in applied stress
occurs. The stress at which appreciable yielding occurs can be correlated to the appearance of
lower yield point on the tensile curve of iron. In the region of yield propagation the band of
highly localised deformation spread from one or several localised points until they spread along
the entire gauge length of the specimen. Thereafter strain hardening begins.
@Seismicisolation
@Seismicisolation
Tensile Behaviour 239
Thus, a smaller initial number of mobile dislocations, a rapid dislocation multiplication
under stress and a strong stress sensitivity of dislocation velocity are the factors that give rise
to a pronounced yield point in conventional stress-strain curve obtained from the tensile testing
machine. It has been found that the appearance of a sharp yield drop depends upon the rate of
loading (or indirectly the strain rate), very careful axial alignment of the specimen, the use of
specimen free from stress concentration and testing at room temperature (the ambient
temperature). A high strain rate or a low temperature may give rise to yield point phenomenon.
8.7 IMPORTANT VARIABLES AFFECTING TENSILE PROPERTIES
8.7.1 Effect of Gauge Length
Ductile materials show significant plastic deformation under sufficient magnitude of applied
stress, prior to fracture. If a tensile specimen of such a material is examined after fracture, it
can be noticed that the elongation, in general, decreases progressively on either side of the
fracture as illustrated in Figure 8. l6(a). It is apparent from this figure that the localised
elongation is maximum at the fracture and the effect reduces on either side of it. This also
indicates that the overall elongation up to fracture is composed of two components, namely, the
uniform plastic extension that occurs before the onset of necking or plastic instability condition
and the localised nonuniform elongation that occurs after the beginning of necking as shown
in Figure 8.3 and Figure 8.8. The uniform extension depends on the strain hardening
characteristic of the material which in turn is influenced by material condition through n [see
Eq. (8.33)]. The localised deformation in the neck, on the other hand, is greatly affected by the
gauge length of the specimen. Figure 8. l6(b) illustrates that the shorter the gauge length more
will be the influence of the localised extension on the total extension of the gauge length. The
overall extension can be expressed as:
Distance along specimen
(a)
C
B
A
C:
.Q
-;
Cl
C:
0
di
~
E
::s
E
·x
ro
~
(8.42)
80
60
40
20
0
0 Gauge length ------
(b)
FIGURE 8.16 Elongation along gauge length. (a) The elongation is uniform up to the onset of
necking (C). Further deformation is localised in necked (D & E). A, B, C, D and E are
the levels of stress, (b) Influence of gauge length on total extension.
@Seismicisolation
@Seismicisolation
240 Mechanical Behaviour and Testing of Materials
where, a is the local necking deformation, eu is the uniform strain, L0e,, is the uniform
elongation. Using the above equation, the strain at fracture can be written as:
a
e, =- + eu (8.43)
Lo
Thus, the overall elongation is a function of the gauge length. The shorter the gauge length, the
higher will be the percentage elongation due the greater contribution from localised
deformation. This is the reason why it is recommended to specify the gauge length while
reporting the percentage elongation. 50 mm is the commonly used commercial gauge length for
tensile tests. The local extension produced is, however, independent of the gauge length, but it
varies with the area of cross-section of the specimen. Thus, it can be said that if the gauge
length of the specimen is increased, the effect of necking on the elongation is decreased. For
cylindrical specimens, a constant ratio of gauge length to diameter produces constant percentage
elongation provided the specimens are from the same quality stock of material. According to
ISO recommendation, the L0 I,JA; ratio is maintained to be 5.65. For other shapes, the gauge
length is made proportional to ,jA; i.e. L0 =k,JA;.
8.7.2 Effect of Size of the Specimen
In general, if the metals being tested are of uniform quality, and the specimens are
geometrically similar, the size of the specimen has no significant effect on tensile test results.
However, during processing of a metal, the quality may vary with the size or the massiveness
of the product or the piece produced. Usually, a larger specimen is fabricated from a massive
stock produced by, say, hot rolling so that minimum material is required to be removed
during its fabrication to the standard dimensions. Similarly, a smaller size specimen produced
from less massive (lower diameter) stock produced by hot rolling. The test results for such
different sized specimens may reflect the effect of massiveness on properties. A massive hot
rolled stock is cooled slowly than a less massive hot rolled stock. The cooling rate will affect
the microstructure and hence the properties of the specimen. Usually the larger size specimen
will show poor strength properties than the smaller size specimen of the same material.
Similarly, the variation in properties is observed in cast bars of metals of different sizes. Smaller
diameter cast bars cool faster than larger diameter cast bars. In a tensile test, as-cast bar of
30 mm diameter, as-cast, has been found to have a tensile strength half as great as the average
value shown by a 6.25 mm diameter bar, of the same material in the as-cast condition. The
difference in the strength value arises due to a difference in cooling rates of the two bars that
yield different microstructures. Thus, there is indirect effect of size of specimen on the tensile
properties of a material.
@Seismicisolation
@Seismicisolation
Tensile Behaviour 241
8.7.3 Effect of Form of the Specimen
The form of specimen greatly affects the strength and ductility properties of a ductile material.
The tensile specimens of a ductile material having shoulders or fillet at the end of the gauge
length can have different length to diameter ratio. A piece under test may have a notch without
any fillet, a hole or curved sides of the specimen. All these shapes may affect the tensile
strength and ductility of the material. A majority of tensile specimens have a fillet at the end
of the gauge length as shown in Figure 8.17 (A, B, C). So the effect of gauge length to diameter
ratio on strength and ductility is discussed here. The discussion also includes the influence of
notch in the specimen.
A B C D E
d
L
cf =0.5
L
cf =0.1
FIGURE 8.17 Tensile specimens with reduced sections.
Figure 8.18 shows the effect of length to diameter ratio (LID) of specimen on percentage
elongation and percentage reduction in area. It can be seen that for specimens with LID ratio
greater than 2, the reduction in area is independent of this ratio. However, for the ratio smaller
than 2, reduction in area decreases rapidly and in extreme case becomes zero. This is because
of the fact that as LID ratio decreases, the enlarged fillet portions come closer together and put
lateral restraint against the reduction in area. That is, the enlarged ends add to the resistance
against shearing deformation. Similarly, percentage elongation curve does not continue sharply
upward to the left (as shown by the dotted line) with decreasing LID ratio. Instead, it drops
rapidly to zero as LID ratio tends to zero. Figure 8.19 shows that as LID ratio reduces from
3 to 1, the segment of the tensile curve beyond the maximum stress [curve A to C through B]
becomes longer. As the gauge length is still shortened, the curve is raised but shortened with
respect to strain (as shown by the curves D1, D2 and D 3, respectively). This is because the
enlarged ends give support to the reduced gauge section against deformation. Finally, the
specimen E with zero gauge length (LID = 0) gives a high strength with very little deformation.
The specimen with zero gauge length is analogous to a notch in the specimen without a fillet.
A notch is a sharp change in cross-section which has a large effect on the mechanical properties
of metals. A notch in a specimen is similar, in effect, to actual machine components of intricate
shape, with through holes, threads, etc. or to internal defects in a metal in the form of various
@Seismicisolation
@Seismicisolation
242 Mechanical Behaviour and Testing of Materials
l 160
<11
2!
<11
0 120
C:
0
n Reduction of area
::,
"O
80
2!
"O
C:
<11
C:
0 40
~
C>
C:
Ela gation
.Q
w
0
0 2 4 6 8 10 12
Length to diameter ratio
FIGURE 8.18 Variation in ductility with length to diameter ratio of the tensile specimen.
E
Strain ------
FIGURE 8.19 Stress-strain curves for various length to diameter ratios (Figure 8.17).
discontinuities such as nonmetallic inclusions, graphite flakes in cast iron, cracks etc. The two
major effects due to the presence of notch are:
(i) A notch causes nonuniform distribution of stresses and thus leads to stress
concentration at the root of the notch.
(ii) A notch suppresses the drawing out of the reduced section, owing to the support
provided by mass of the adjacent larger section.
The former tends to increase the conventional strength but reduces the ductility of the
material. The latter tends to cause a reduction in apparent strength and this is very pronounced
with brittle materials which possess little elongation up to rupture. This effect in a ductile
material can be realised from a comparison of strength of a standard specimen with that of a
grooved specimen of the same material having the same diameter of the gauge portion. The
diameter of the gauge portion in the grooved specimen is same as at the root of the groove
(Figure 8.17). The tensile strength of a standard tensile specimen of a ductile material, for
instance, determined to be 715 MPa. The same material when tested with a groove of the same
@Seismicisolation
@Seismicisolation
Tensile Behaviour 243
diameter as that of the standard specimen and with the gauge length of 0.7 mm, the tensile value
obtained is 1145 MPa. Both values are computed in the same manner. In the latter specimen,
the usual deformation and reduction in area are prevented whereas the increase in strength is
more than compensating for decreasing effect of high stress concentration at the root of the
groove. In a brittle material, where elongation is of little consequence, the groove would have
caused a decrease in strength.
8.7.4 Effect of Strain Rate
The strain rate, i.e. the rate at which a specimen is strained, is an important consideration in the
production, fabrication and testing of the material. This rate can have an important influence on
the tensile properties, in particular, the flow stress of a material. In a conventional tensile test,
the deformation rate is imposed in accordance with the specifications. However, during actual
shaping processes, economics prescribes that the deformation should be as rapid as possible.
Under these different conditions, the mechanical response of a given material may vary. For
most of the ductile materials, strength properties tend to increase while ductility shows reducing
trend at higher rates of deformation. In terms of the nature of tensile curve, the curved portion
of the tensile curve shifts upwards as well as towards the left with increasing strain rate as
shown in Figure 8.20. Yield and flow strength at lower plastic strain are more dependent on
strain rate than tensile strength, in particular, in BCC metals. A material which behaves in a
ductile manner at relatively slow strain rate (as in
tensile testing) tends to behave in a brittle manner
when strain rate is high (about 102-104 per second).
At low strain rates (less than about 10-4 per second),
the behaviour of a material is characterised by creep.
Over the range of strain rates (l0-3-10-4 per second)
used in tensile testing, a moderate variation has a
fairly small effect on tensile properties. It can be made
clear by taking an example. When a specimen of steel
was tensile tested at a strain rate eight times that of the
conventional value, the increase in yield strength was
found to be about 4%, the tensile strength by about
2%, whereas percentage elongation is decreased by
about 5%. Within the normal rates of loading, the
variation in strain rate has little effect on strength of
the brittle materials such as cast irons.
8.7.5 Effect of Temperature
(/)
(/)
~
U)
FIGURE 8.20
Strain_____.
Effect of strain rate on
tensile curve.
In general, elastic modulus and strength decrease while ductility increases as the temperature
of the material increases. That is why the tensile curve gets lower down with increase in
temperature. The decrease in strength of a material at high temperature can be correlated to the
following thermally activated processes:
(i) High atomic mobility
(ii) Increase in equilibrium number of vacancies
@Seismicisolation
@Seismicisolation
244 Mechanical Behaviour and Testing of Materials
(iii) High atomic diffusion rate
(iv) High mobility of edge dislocations by the process of climb
(v) Thermally activated cross-slip of screw dislocations
(vi) Additional slip systems become active in some materials to provide slip
(vii) Recrystallisation of cold worked metals
(viii) Strain ageing
(ix) Coarsening of precipitated phase particles in precipitation hardened alloys
(x) Oxidation at grain boundaries
Thermally activated processes as mentioned above assist deformation and reduce strength
at elevated temperatures. Structural changes that occur at high temperatures lead to the pheno-
menon known as creep. Figures 8.2l(a) and (b) show the effect of temperature on tensile curves.
73 K (-200"C)
298 K (25 "C)
Strain---
(a)
673 K (400 "C}
1/)
1/)
~
cii
"O
ai
;:;:
Strain---
(b)
FIGURE 8.21 Effect of temperature on tensile curves (a) Mild steel, (b) A non-ferrous metal.
The magnitude of variation of tensile curve with temperature depends on the type of material.
BCC metals such as a-iron, Cr, Mo, W and ceramic materials are much more sensitive to
temperature variation than FCC metals. For BCC metals, yield stress increases rapidly with
decreasing temperature while for FCC metals, yield stress is only slightly affected by change
in temperature as shown in Figure 8.22. The increase of yield stress with lowering temperature
can be correlated to the lattice frictional stress (also known as Peierls-Nabarro stress, and is
defined as the stress required to move a dislocation through a perfect lattice. It arises because
of the periodic nature of the lattice). Lattice frictional stress is highly sensitive to temperature
and increases rapidly by lowering temperature. This also explains why BCC metals exhibit
brittle fracture at low temperatures.
@Seismicisolation
@Seismicisolation
Tensile Behaviour 245
980
840 ,Ta
l

700 

<ll
Q. 560
~

(/)
<I)
420

~ 
<ii 
"C  Fe
"ii 280 
> 
Ni 
140
'
,,.
.,,
w
0
73 273 473 673 873 1073"K
-200 0 200 400 600 800'C
Temperature -
FIGURE 8.22 Effect of temperature on the yield stress of some BCC metals and FCC nickel.
If yield stress of a metal is highly sensitive to temperature, it will also be highly sensitive
to strain rate. For instance, the yield stress for iron at room temperature and at a strain rate of
l05 per second is as high as it is at - l96°C at conventional slow strain rate used in tensile
testing. In both instances, the mechanism of plastic deformation changed from slip to twinning
and thereafter the yield stress remains constant.
@Seismicisolation
@Seismicisolation
Hardness Testing
9.1 INTRODUCTION
A material is said to be hard or soft depending on how difficult or easy it to be machined, cut
or ground. Hardness is such a property that acts as a tool characterizing various mechanical
properties of materials. Hardness has a close relation with many other mechanical properties
such as strength, ductility and fatigue strength of materials and therefore its value is used as a
guide to the interrelated properties. Compared with other mechanical tests, hardness tests are
rapid, simple, and relatively cheaper. This is especially because a specimen of specific geometry
is not required to be fabricated. With few exceptions, hardness testing is nondestructive in
nature. Since hardness is also correlated to strength property for many materials, its
measurement gives an idea of such property. Therefore, hardness testing is widely accepted by
industries.
The term hardness, when used as a technological property of materials, is primarily
associated with the surface and is difficult to define precisely. An appropriate definition of
hardness can be given as the resistance of a material against permanent deformation of its
surface. This deformation can be in the form of scratching, mechanical wear, indentation or
cutting. Cutting hardness indicates the machinability or workability of a material.
Various methods have been standardised to measure the hardness of materials depending
on the way in which they were stressed. If a material is stressed by scratching, the test is
called scratch hardness test; if stressed by indentation, the test is called indentation
hardness test; if stressed by impact (as by falling a small hammer), the test is referred to as
dynamic hardness test or the so called rebound hardness test if the hammer rebounds after
making the impact.
246
@Seismicisolation
@Seismicisolation
Hardness Testing 247
9.2 SCRATCH HARDNESS
Scratch hardness test is the oldest method of hardness measurement. It is based on the ability
of a material to get scratched by the other material. The material on which the scratch is left
is softer than the other. In order to express scratch hardness, Mohs devised a numerical scale
consisting of ten minerals arranged in the order of increasing hardness from 1 to 10. Diamond
is rated on the hardest of scale with a Mohs hardness of 10 and talc as the softest with Mohs
hardness of l(one). This scale is still in much use especially in case of minerals. For measuring
the hardness of a given material its surface is scratched by a testing point of the standard
mineral starting with the softest. When the testing point moves on the surface of the material
under a testing load, material is removed from the surface. If the scratch is produced by plastic
flow of material under load (as if the material is ploughed), the test resembles the indentation
hardness test. When the material is torn away and no plastic flow occurs, the test is considered
as abrasive hardness. The mineral in the scale which just produces a scratch in the workpiece
(the material under test) gives the value of scratch hardness. This is commonly called Mohs
hardness.
However, the steps in the Mohs scale are not of equal value and the difference in hardness
between 1 and 2 is much smaller than between 1 and 10. The Mohs scale is not exactly
quantitative to give any precise value of hardness and the standards are purely arbitrary
numbers. Consequently, metallurgists and materials engineers find little use of this scale though
hardness of few metals and alloys can be expressed in Mohs scale. For instance, hardened tool
steel has a Mohs hardness lying between 7 and 8, copper has Mohs hardness between 2 and
3, and Armco iron has the same between 3 and 4. Thus, the use of Mohs scale of hardness is
limited to geologists and mineralogists.
9.3 INDENTATION HARDNESS
Among the various methods of hardness measurement, the indentation methods are the most
widely adopted ones not only in engineering industries but also in laboratories. In indentation
hardness testing, an indenter of specified geometry (a ball, cone or a pyramid) is allowed to
penetrate the surface of the given material under a known static (or sometimes a dynamic) load.
As a consequence the material beneath the indenter undergoes plastic deformation. When the
load is removed an indentation is left behind on the surface of the material. The hardness is
expressed on the basis of the depth or the size of the impression and the load applied. During
indentation a small volume of metal deforms plastically both downwards as well as sideways
and is supported by the undeformed metal. The stresses involved are somewhat complex and
vary from three dimensional compression to shear stress. The tensile stresses involved are
insignificant when compared to those involved in other common mechanical testings such as
tensile, bending, etc. Thus, it is possible to perform indentation hardness test not only in ductile
metals but also in brittle materials such as cast irons and other similar materials. The term
hardness is generally used for indentation hardness. Thus, in general, hardness is defined as the
resistance of a material to plastic deformation.
As mentioned above, hardness is only a surface property rather than an absolute property
therefore while interpreting the hardness data one has to be careful, especially when the surface
@Seismicisolation
@Seismicisolation
248 Mechanical Behaviour and Testing of Materials
hardness is different from the bulk. For instance, in case of surface hardened components the
hardness in the surface is different from that in the bulk. If not specified, the measured hardness
usually represents the value of the tested material as a whole, i.e. it is the hardness value of the
material from surface to the interior.
Materials having heterogeneous structure are recommended to be tested with an indenter
of spherical geometry and large diameter. A large diameter ball deforms more volume of the
material thereby covering larger area comprising all phases and structural inhomogeneities of
the alloy. The hardness so obtained is averaging the hardness of matrix and the localised
heterogeneity and represents the bulk characteristic of the metal. In case of homogeneous
materials, on the other hand, even a small volume of deformed metal represents the bulk
characteristic of the metal. In such cases a hardened steel ball of small diameter or a pointed
indenter can be used to measure hardness of the metal.
For accuracy in the evaluation of hardness, specimen surface must be made smooth or
polished irrespective of the method of hardness testing used. The degree of finish required
depends on the depth of indentation. A better surface finish is desirable as the indentation tends
to be shallow. This can be achieved by preparing the surface to a standard metallographic
polish, i.e. by abrading the specimen with successively finer grades of emery paper/cloth to
3/0 grade. Such a finish would be adequate for most hardness tests and more than adequate for
a standard 10 mm Brinell ball. A still better finish is required in microhardness tests where a
small size of indentation is obtained using low load. The use of a minor load or preload makes
the role of surface finish less critical. Both the surfaces, i.e. surface under test and parallel
surface of the specimen, should be flat and normal to the indenter used. Though a good surface
finish is important for accuracy in hardness evaluation, one must be aware of the fact that it may
introduce the effect of surface work hardening due to machining or polishing on metals, in
particular those which are susceptible to work hardening. Therefore for such materials the
hardness test involving a reasonable surface finish is advantageous. This is best obtained by
electropolishing, a process which does not introduce any surface work hardening in the surface
layer.
In static indentation hardness testing, the time of loading varies from 15 seconds to
120 seconds depending on the material under test so that complete penetration occurs. A
relatively higher loading time is required for softer materials such as lead, magnesium and
similar metals. However, an excessively higher loading time for softer material should be
avoided to eliminate the problem of creep. For hard materials a lower time period is required
for loading because of the shallow indentation.
Hardness measurement can be defined on macro, micro or nano-scale according to the
forces applied and displacements obtained. Measurement of macro-hardness of materials is a
quick and simple method of obtaining mechanical property data for the bulk material from a
small sample. This method is widely used in industries for quality control purposes as well as
in laboratories for various studies. Hardness measurement is also used to monitor the
strengthening process in precipitation hardened alloy. However, in case of surface coatings and
surface properties of importance in friction and wear, the macro-indentation depth will be too
large relative to the surface scale features. Even to determine the hardness of small components
such as watch springs, and to find out the hardness of microconstituents in a non-homogeneous
material macro-hardness measurements cannot be used. In such cases micro-hardness
@Seismicisolation
@Seismicisolation
Hardness Testing 249
measurements are appropriate. There are three standard static methods of macro-hardness
measurements that are in common use. These are Brinell, Vickers and Rockwell hardness tests.
These are described in subsequent sections.
9.4 BRINELL HARDNESS TEST
The hardness of metals was first clearly defined by Brinell in the year 1900. It is oldest method
of indentation hardness test. This method of measuring the hardness is based on the
measurement of size of impression made by a hardened steel ball of 10 mm diameter under a
known static load (usually 3000 kgf). The Brinell hardness (HB) is the ratio of load P to the
surface area of indentation and is expressed quantitatively in number (without unit) known as
Brinell hardness number:
Load
Brinell Hardness Number (BHN) = - - - - - - -
Area of indentation
p
=A
(9.1)
Here A, is the area of contact between the ball and indentation. If deformation of the ball during
indentation is neglected, the surface of contact is a spherical segment, whose area is given as:
or
A =.!__nD2
D
A= 7r/Jt (9.2)
where, D is the diameter of indenter and t is the depth of impression. Since the depth t can only
be measured with great difficulty therefore diameter d of impression is measured instead of t.
The diameter of impression should be the average of the two readings measured at right angles.
In addition, the depth is affected to a much greater extent than the diameter by elastic recovery
of the metal when load is removed. In standard Brinell testing therefore diameter of indentation
is measured. From the geometry shown in Figure 9.1, we get
D - ✓D2 - d2
t=--~---
2
(9.3)
Substituting the value of t in Eq. (9.2), Brinell hardness is given as:
2P
HB =-------;====-kgf mm-2
nD (D - ✓D2 - d2 )
(9.4)
Brinell has found that when loads other than the standard 3000 kgf are used to measure the
hardness of a given material with 10 mm diameter hardened steel ball, the hardness values so
obtained were not the same. Even when indenters of different diameters (such as 1, 2, or 5 mm)
are used under a standard load, a variation in hardness was observed for a given material. The
reason for this is that the impressions obtained with different loads or different diameter balls
were not geometrically similar. For indentations to be geometrically similar, the included angle
@Seismicisolation
@Seismicisolation
250 Mechanical Behaviour and Testing of Materials
2</) subtended by the indentation edge at
the centre of the ball (Figure 9.l) should
remain constant. Under the condition of
geometric similarity, the stress distribution
pattern would be the same but strain will
increase with the size of the balls. This has
been found to be true provided the load
applied; P is proportional to the square of
ball indenter diameter D . Thus, the basic
principle involved is that when indenters
of different diameter are used to press into
the specimen under a fixed static load,
similar geometrical impressions having
proportionate diameters are produced
which give the same value of hardness
provided the load applied is proportional
to the square of ball diameter, i.e.
or
or
0
Specimen
FIGURE 9.1 Determination of area of spherical
indentation ACB. The angle subtended
by the edge of the indentation at the
centre 'O' of the indenter is 2<p.
p ex: D2 (9.5)
P = KD2
_!__=K
D2
(9.6)
Here K is called Load Factor, the value of which is different for different materials depending
on their hardness. Table 9.l gives the value of K for different materials in accordance with the
Indian standard. These constants are decided so that the ratio of diameter of indentation d to
the diameter of indenter D (i.e. d/D) should lie within the limits 0.25 and 0.50 for metals. The
ideal value is 0.375. This ensures that the impressions are reasonably geometrically similar and
Brinell hardness of various materials can be reasonably related to each other. Thus, Brinell
hardness is dependent on load. This is further clear from the following treatment:
Meyer stated that for spherical indenters the load does not always vary as the square of
the linear dimension of indentation d but is expressed as:
P = NJn (9.7)
where, n is called the Meyer's index and its value is 2 for hard materials and 2.5 for soft
materials. A is Meyer constant.
TABLE 9.1 Value of K for various materials in Brinell hardness test
Materials K Load Time of loading
(sec.)
Unhardened steels and cast irons 30 3000 10-15
Copper, copper alloys, aluminium alloys and materials
of similar hardness 10 1000 30
Aluminium and materials of similar hardness 5 500 45-60
Lead, tin and their alloys 100 60
@Seismicisolation
@Seismicisolation
Hardness Testing 251
If the value of P from Eq. (9.7) is substituted in the formula for BHN [Eq. (9.4)] the
diameter of impression d does not cancel out. This suggests that the Brinell hardness is
dependent on the load used. In general, the diameter of Brinell impression should lie between
0.25D to 0.50D. The ideal value is 0.375D. In terms of load factor, the Eq. (9.4) can be
written as:
HB=3_(_!__) l kgfmm-2
7r D 2
(1- ✓1 - d2 I D2 )
(9.8)
There is a very useful engineering correlation between Brinell hardness and ultimate tensile
strength and endurance limit of various metallic materials as shown in Tables 9.2 and 9.3,
respectively. A similar correlation does not exist between yield strength and Brinell hardness
because considerable plastic deformation occurs during indentation as prior to ultimate tensile
point. The interrelation between Brinell hardness and tensile strength or fatigue strength,
however, give only approximated values and it does not mean that Brinell hardness test may
replace these tests. While giving Brinell hardness value mentioning is usually made for the
value of load and the diameter of indenter used. This method is now standardized for materials
up to 450 HB. For materials harder than 450 HB, the steel ball whose hardness in the Vickers
scale is greater than or equal to 850 kg mm-2 tend to deform plastically.
TABLE 9.2 Relationship between BHN and ultimate tensile strength for some
metals and alloys
Materials
Steel with BHN:
20-175
175-450
Copper, brass and bronze:
Annealed
Work-hardened
Aluminium and its alloys:
With BHN 20-45
Annealed duralumin
Duralumin after age hardening
Approximate tensile strength, MPa
3.4 (BHN)
3.5 (BHN)
3.5 (BHN)
4.0 (BHN)
(3.5-3.6) (BHN)
3.6 (BHN)
3.5 (BHN)
TABLE 9.3 Relationship between BHN and endurance limit (determined by
alternating bending test) for certain materials
Materials
Copper
Duralumin
Steel with 0.2% carbon
Steel with 0.45% carbon
Steel with 0.77% carbon
Approximate endurance limit, MPa
1.5 (BHN)
1.2 (BHN)
1.5 (BHN)
1.5 (BHN)
1.2 (BHN)
@Seismicisolation
@Seismicisolation
252 Mechanical Behaviour and Testing of Materials
The greatest error that may be encountered in the evaluation of Brinell hardness is the
deviation in the measured diameter of impression from the actual one. This is caused due the
localised deformation of the metal at the rim of impression. The localised deformation may
result in two types of irregularities in the indentation, namely, ridging or sinking in. Ridging
involves the pile up of metal at the rim of the impression during indentation. The diameter of
this impression is more than the actual diameter (i.e., the diameter of impression when the
indenter in contact with the test piece). This is illustrated in Figure 9.2(a). On the other hand,
if there is a depression or sinking of metal at the rim of the impression, the irregularity is called
sinking in. In this case the diameter of impression read out is less than the actual diameter
obtainable in the absence of the said irregularity [Figure 9.2(b)]. In either case there will be
error in the computed hardness value. The former behaviour has been found commonly in cold
worked metals whereas the latter anomaly is characterised by annealed metals. Error may also
result due to flattening of the steel ball indenter under load, particularly when material under
test has hardness greater than 400 BHN. For this reason the indenter should be checked
frequently for plastic deformation. If found flattened the indenter must be discarded. It is
preferred to use steel (high carbon steel) indenters which are hardened and tempered to a
minimum hardness of 850 kgf mm-2 in the Vickers scale. This reduces the tendency of
flattening of indenter. For materials having hardness greater than 450 BHN, a tungsten carbide
ball indenter of 10 mm diameter can be used. Using tungsten carbide indenter material having
Brinell hardness as high as 800 BHN can be measured.
~
,T?""TTT'f'-C- - - -- - ------------,,
--rr,777,
(a) (b)
FIGURE 9.2 Illustration of 'ridging' and 'sinking in'. (a) Ridging, d' > d, (b) Sinking in d' < d.
9.4.1 Precautions
(i) The surface of the specimen should be made free from dirt, oil, scale or pits before
the test is performed. It should be polished to obtain a sharp impression which can
be read with ease and accuracy. Metallographically polished surface is specially
needed for hard materials as indentation produced in their surface is small. In such
case even a small error in the measurement of diameter will greatly affect the hardness
value.
(ii) The specimen surface should be flat and normal to the indenter.
(iii) The thickness of the work piece must be at least ten times the depth of indentation
to avoid the formation of any bulge on the reverse side of the work piece. Occurrence
of any bulge on the reverse side may give the anvil effect in the measured hardness.
@Seismicisolation
@Seismicisolation
Hardness Testing 253
(iv) The distance of separation between any two adjacent indentations should be at least
two to three times the size of indentation. Similarly, an indentation should not be
made very near to the edges of the sample and it should be well within the edges so
that sufficient volume of material underneath indentation is available to support the
plastically deformed metal. If the second indentation is too close to the first, sufficient
supporting material will not be available for this indentation, and therefore, it may be
distorted. As a consequence, the second indentation diameter will not be correct one.
If the separation of the second indentation with respect to the first is such that their
strain fields overlap, the second indentation will give a greater hardness due to work
hardening effect resulted from the first impression.
(v) The test is designed for static loading so load should be applied gently. An impact or
rapid loading will add an extra load to the nominal load resulting in inertia of the
piston and weights, the friction of the plunger. This will increase the size of the
impression. An opposite kind of effect may also occur due to rapid application of
load. A sudden loading will allow less time for plastic deformation to take place and
thus will result in a lower size indentation. The inertia effect is generally of greater
magnitude than the restricted plastic flow. Thus too rapid loading leads to wrong
results and may damage the indenter.
(vi) Thin hard components should not be tested on Brinell machine for the reasons
explained in the above points.
9.4.2 Advantages and Applications of Brinell Hardness Test
(i) Brinell hardness test is easy to perform.
(ii) It makes use of a hardened steel ball of relatively larger diameter (as large as 10 mm)
which is very suitable for determination of hardness of heterogeneous materials such
as grey cast iron containing very soft graphite flakes in the hard matrix. Dispersion
strengthened material with Brinell hardness up to 450 BHN can also be examined
successfully using Brinell method. Brinell test is also suitable for unhardened steels
and nonferrous metals and alloys.
(iii) Rechecking of hardness data is possible on indentations already made.
(iv) This test can be used to estimate the approximate values of tensile strength and
endurance limit of certain metals and alloys. Due to their shape and size, these
materials cannot be tested conveniently or economically by destructive tensile or
fatigue tests, respectively. Moreover, tensile and fatigue tests need specimen of
standard geometry which in turn requires to be fabricated thereby consuming more
time and energy. Sometimes knowledge of these properties is required for
investigation of a broken component to access the reasons of its premature failure and
the size of the broken piece is so small that a tensile or fatigue sample cannot be
fabricated out of it. In such cases a sample can be prepared for hardness test, and the
measured hardness can be used to estimate the tensile or fatigue strength value using
the numerical correlation between them.
(v) Brinell hardness is a function of carbon content in steels. Therefore, this method
provides a rapid estimation of approximate carbon content in steels.
@Seismicisolation
@Seismicisolation
254 Mechanical Behaviour and Testing of Materials
9.4.3 Disadvantages of Brinell Test
(i) The Brinell hardness number is dependent on load. Only those values of loads can be
used which are given in Table 9.1 in accordance with the constant value of PID2.
(ii) Hardened steels and surface hardened steel components cannot be tested by this
method because of the limited range of hardness that can be measured by this method
due to fear of flattening of indenter.
(iii) Large size of impression is not desirable in certain components especially for the
smaller and thin components. Moreover, deep and large indentations spoil the surface
of the finished product.
9.5 VICKERS HARDNESS TEST
Vickers hardness test is the most accurate method of hardness measurement. This method
incorporates the advantages of both Brinell and Rockwell hardness (to be discussed) tests and
overcomes the disadvantages associated with these tests. A greater range of load from 1 kgf to
120 kgf can be employed and there is no limiting range of hardness measurement in this
method. Here, a diamond pyramid indenter of square base and a smoothed-off point is used. The
angle between the opposite faces of the pyramid is chosen as 136° so that geometrically similar
indentations are obtained at all loads on a
given material. The hardness is thus
independent of load. The selection of this
angle is made with a view to approximate the
most desirable ratio of indentation diameter
to ball diameter (d/D = 0.375) in Brinell
hardness test (Figure 9.3). This angle is the
tangential angle of Brinell spherical impression
whose diameter is 0.375D so that Vickers
hardness number are substantially identical with
Brinell hardness number up to about 300 to 400
HB. Consequently, provision can be made to
perform both the Brinell and Vickers hardness
tests in the same machine by just changing the
indenter and applied loads. Since Vickers
hardness is independent of load a range of
hardness value can be obtained by varying the
load suitably.
FIGURE 9.3 Determination of the angle of the
apex of the diamond pyramid
indenter for use in the 136°
diamond pyramid hardness test.
When Vickers indenter is pressed into the work piece under a fixed static load, a
pyramidal impression is obtained. The impression produced is projected on a focusing screen.
The projection of the impression is a square whose diagonal length is measured in two
perpendicular directions and averaged out. The Vickers hardness is expressed as the ratio of
load applied to the lateral area of impression, i.e.
Vickers Hardness (HV) =p kgf mm-2
A
(9.9)
@Seismicisolation
@Seismicisolation
Hardness Testing 255
It has been found that for pyramid indenters the load P as well as the lateral area of impression
A are proportional to the square of the length of the diagonal L. Thus, for a given shape of
pyramid,
and,
P = Ji.I}
A= f3L2
(9.10)
(9.11)
where the constant )., depends on the shape of the pyramid and its material while the constant
/3 depends only on the shape of the pyramid. From Eqs. (9.9), (9.10) and (9.11), HV can be
written as:
HV = p = ).,L2 = ).,
A f3L2 /3
(9.12)
Equation (9.12) clearly shows that Vickers Hardness (HV) is independent of both load and the
size of impression. Equation (9.12) also tells that within certain limits, HV for a given shape
of pyramid, is constant whatever is the amount of load applied. However, at lower values of
loads some deviation from this rule may occur and HV becomes somewhat dependent on load.
In practice, standard loads for Vickers hardness are 1, 5, 10, 15, 20, 30, 40, 50, 60 and 100 kgf.
Nowadays the Vickers machines are designed to use loads up to 60 kgf. The load used is
selected according to specimen dimensions and its hardness. In general, the largest possible load
is used in order to achieve an adequate size impression whose diagonals can be measured with
minimum error. Moreover, the hardness value will be a good average for somewhat
heterogeneous materials with larger size impression as the impression will cover both matrix
and heterogeneity. The most frequently used test loads are 5, 10, 30 and 50 kgf. Vickers
hardness is popularly reported as Vickers hardness number (VHN) and often as diamond-
Pyramid hardness number (DPH) or Vickers-Pyramid hardness number (VPN). Sometimes, it
is also reported as, say 800 HV/10, which means a Vickers hardness of 800 kg/mm2, was
obtained using a load of 10 kg force.
9.5.1 Derivation of Vickers Formula
The lateral surface area A of the pyramidal impression is the sum of the areas of the four
triangular faces. This can be determined with the help of Figure 9.4. From the geometry shown
in this figure the area of a triangular face ABC is given as:
The lateral surface area is given as:
1
MBC=-aS
2
Area (A)= 4(½as)= 2aS (9.13)
where, a is one of the sides of the projected square impression or is the base of one of the
triangular faces and S is the slant height. The length of the diagonal L is given as:
L= ✓
2a (9.14)
@Seismicisolation
@Seismicisolation
256 Mechanical Behaviour and Testing of Materials
I
(a) i
A
p
0
Q
c~----~
I· a12 ·I
The angle PAO= 136°
The angle between slanted face
and the vertical is PAO= 68°
(c)
FIGURE 9.4 Determination of lateral area of Vickers indentation. (a) Indenter in contact with the
specimen, (b) The projected indentation, and (c) The enlarged view of pyramidal
indentation after inverting. S indicates slanted height.
The height of the triangle is the slant height S and is given as:
a/2
S=--
sin 68°
From Eq. (9.13) to Eq. (9.15), the area (A) can be expressed as:
2L L/2✓
2 L2
A---------
- ✓
2 sin 68° - 2 sin 68°
The Vickers Hardness Number (VHN) is given as:
P P 2P sin 68°
VHN=-= =
A L2 /2 sin 68° L2
or VHN= 1.854P
L2
The precautions in Vickers hardness test are the same as for Brinell hardness test.
9.5.2 Sources of Errors
(9.15)
(9.16)
(9.17)
In Vickers hardness test, while measuring the diagonal length, the same sources of errors may
occur as in Brinell test. The irregularities like ridging and sinking in are also observed in this
test. When a material is difficult to deform plastically due to previous cold working a ridge is
formed at the rim of the impression. On the other hand, if the material is soft, as in annealed
@Seismicisolation
@Seismicisolation
Hardness Testing 257
condition 'sinking in' may result due to depression at the edges of the impression. In the former
case the value of L will be smaller whereas in the latter case it will be greater than the actual value
when no such irregularity occurs. Accordingly, the hardness obtained will be accompanied with
error. Figure 9.5 illustrates the effect of ridging and sinking in on Vickers indentation.
136°
~
I I
L' < L
(a)
136°
'
' "
'~',,,,
',,',,,,',,,/
L' > L
(b)
FIGURE 9.5 (a) Ridging of a pyramidal indentation. The heavily cold worked metal piles-up at the
edges of the impression, (b) Sinking in of the annealed metal at the edges in Vickers
hardness test.
9.5.3 Advantages and Applications
(i) For homogeneous materials the value of hardness obtained remains constant
irrespective of the load applied except at very light loads.
(ii) It is the most accurate method of hardness test among the indentation hardness tests.
Therefore this method is widely used for research work.
(iii) Due to a wide range of load application and the shape of the indenter, materials with
very low hardness (say 5 VHN for lead) to as high as 1500 VHN (for tungsten
carbide) can be tested with this method.
(iv) Since the size of indentation is small, the material component tested can be used for
industrial applications, i.e. the test is non-destructive in nature in such cases.
(v) This method is very suitable for measuring hardness of thin, superficially hardened
materials such as surface hardened components.
(vi) With pyramid indenter it is easy to measure the diagonal length of the square
impression as compared to a circular impression in Brinell test. The ends of the
diagonal are much sharper under microscope than opposite sides of a circle.
9.5.4 Disadvantages
(i) Due to more time consuming this method of hardness testing is not suitable for routine
work where large number of samples are to be tested, as in industry.
@Seismicisolation
@Seismicisolation
258 Mechanical Behaviour and Testing of Materials
(ii) This method is not suitable for determining the hardness of materials with
heterogeneous microstructure.
(iii) Vicker machine is more expensive than Brinell and Rockwell machines, and hence,
the overall cost of the test is high.
9.6 ROCKWELL HARDNESS TEST
The Rockwell hardness test is the most widely used test in engineering industries, in particular,
where mass production is carried out. This test is more rapid than the previous two methods of
hardness testing. This method directly gives the value of hardness indicated on the machine dial,
and therefore, it is widely used for routine and quick checking of hardness. This test differs
from the previous two indentation hardness tests in that the hardness is determined in terms of
increment in depth of penetration produced by applying a major load after an initial small load
of 10 kgf has been applied. This small load is called minor load. The minor load of 10 kgf is
always applied in order to seat the work piece in position, and to overcome the errors that may
be encountered due to surface roughness and elasticity of the specimen under test. The major
loads used are 60, 100 or 150 kgf depending on the geometry of the indenter and the hardness
of the material under test. The major load includes the minor load of 10 kgf.
In Rockwell hardness test, two types of indenters are in use. The first being a hardened
steel ball of 1/16 inch (1.58 mm) diameter and the other is a spheroconical indenter with its
apex angle equals 120° having the rounded tip of radius 0.2 mm. The spheroconical indenter
is made of diamond and is commercially known as Brale indenter. Due to geometry, a ball
indenter has less sensitivity to penetrate a material than a Brale indenter, therefore, Brale
indenter is usually employed to measure hardness of hard materials. Two scales are shown on
the dial of the Rockwell machine. The one which is red in colour is designated as B while the
other is black in colour and is designated as C. The use of hardness scale depends on the
combination of the major load and the type of indenter used. Each scale is indicated by a
symbol which denotes the major load and the accompanying indenter as shown in Table 9.4.
TABLE 9.4 Combinations of load, indenter and scale of Rockwell hardness test
Scale
symbol
A
B
C
D
Indenter
Brale
(diamond cone)
1.58 mm
(1/16") harden-
ed steel ball
Brale
Brale
Major
load, kgf
60
100
150
100
Dial
numeral
Black
Red
Black
Black
Applications
Cemented carbide, thin steel, shallow case
hardened steel, case carburizing surface,
ceramics and cermets.
Hardened and tempered steel, Alloys of
copper and aluminium, unhardened steels.
Hardened steel, deep case hardened steel,
hard cast irons, titanium alloys, and pearlitic
malleable iron.
Medium case hardened steel, safety razor
blade, thin steels, and pearlitic malleable iron.
@Seismicisolation
@Seismicisolation
Hardness Testing 259
The red colour scale is designated as B-scale while black colour scale may be designated
as A-, C-, and D-scale depending on the major load applied. The most commonly used scales
are the scale B and scale C.
The Rockwell hardness, in terms of depth of penetration is defined as:
t
HR = h - - - = h - 500t
0.002
(9.18)
where, h is a constant which depends on the combination of scale, load and indenter used
(h = 130 for B-scale and 100 for C-scale) and t is the depth of penetration in mm. Each
increment of 0.002 mm, in depth thus, represents a decrease of one unit in the hardness number.
The required major load is loaded on the machine by placing auxiliary weights on a pan at the
side of the machine. If the hardness number is known one can determine the depth of
penetration due to increment of major load over minor load.
Dial reading
While performing Rockwell hardness test one of the important points to be considered is the
correct reading of scale on the dial gauge. The accuracy of the test very much depends upon
the reading made on the dial. There are two pointers on the dial gauge, one being longer than
the other as shown in Figure 9.6. The operator has to concentrate on the smaller pointer while
'
'
'
::- T
I  I I I//
, 11 B 3 0 1 /,
, ' SET 1 1 ,
«) / /
OCKWELL ~ //
/
FIGURE 9.6 Dial of Rockwell hardness testing machine.
@Seismicisolation
@Seismicisolation
260 Mechanical Behaviour and Testing of Materials
applying the minor load of 10 kgf. Minor load is applied by raising the anvil on which the
specimen is placed. When the indenter starts penetrating the surface of the specimen the minor
load is said to be in application. Simultaneously the smaller pointer moves. The anvil is raised
until the smaller pointer attains the position '3' on the small dial before which a red dot is
placed. At this stage the minor load is said to be applied fully. Reading of the dial is more
critical when major load is applied. Before the major load is applied the longer pointer must
be set at the Set mark. As the major load is applied, the movement of the longer pointer is to
be checked carefully. The extent to which it revolves depends on three factors, viz. the amount
of major load applied, the sharpness of the indenter and the resistance to penetration offered by
the material under test. This extent may be less or more than a revolution. Therefore, it is not
sufficient to read the hardness value by merely observing the final position of the longer pointer
on the dial after the major load is removed. It is necessary to observe the entire movement of
the pointer starting from the instant the major load is applied until the pointer comes to the rest
when the major load is removed.
The scale should not only be considered as ranging from 0-100 but one should also take
into account the numbers below zero (i.e. the negative number) and those over 100 which
overlap with the portion 0-100 as illustrated in Figure 9.7. Figure 9.7(a) represents the black
numbered scale and Figure 9.7(b) shows the red numbered scale. The black scale is graduated
from 0-100 with 100 corresponding to the 'Set' mark. The red scale is numbered from 0-130
with 130 as the 'Set' mark. There is overlapping of 30 Rockwell units on the circular red scale
on the dial gauge. Thus, the two scales are numerically out of phase with each other by 30
Rockwell units.
(100) (130)
(SET) ' ',, (110) (120),/
_,---- T -----
'
',,, (140)
90 ?,
'
,,, (SET)
~-
,
' '
,,
' '
,,<. 0 ''
,' 30 etc.
/ (-10) 10 '' 20
80 ,' ' (110)
40
t"(-20)
.:.,(120)
20 I
10 50
'
I
'
I
'
I
70 (-30)
etc.
0
30 (100)
I
60
etc. ''', (-10) (-30)etc
60 40
'✓_ (-20) ,v'
90 ',___ J ____ , 70
50 80
(a) (b)
FIGURE 9.7 Extension of dial scales. (a) Black numbered scale, (b) Red numbered scale.
Considering Figure 9.7(a), when the major load is applied, the pointer moves from Set
position (on black scale) of 100 to 90, 80, etc. in the counterclockwise direction down the scale.
If it continues down beyond zero, its position will then be negative. The number 90 is then read
as minus ten (-10), 80 as (-20) and so on. Subsequently, when the major load is removed the
pointer will revert and attain the final position. If the pointer crosses zero the hardness value
is positive if does not, i.e. if the final position is at 95 the hardness value is read as -5 instead
of 95 in the Rockwell scale.
@Seismicisolation
@Seismicisolation
Hardness Testing 261
Similarly, on the red scale, when the major load is applied, the longer pointer starts
revolving from the Set position of 130 to 120, 110, etc. down the scale [Figure 9.7(b)] in the
counter-clockwise direction. If it so moves as to complete one round and cross over zero, it will
be in the negative range with 90 being actually -10, 80, being -20 and so on. On releasing the
major load, the pointer will move back in the clockwise and may or may not cross zero. If it
does, the hardness value will be positive or else the hardness value will be negative. One should
also be careful to read the value as 30 or 130, 20 or 120, etc. A negative hardness value is never
accepted because it is a result due to over penetration of the indenter beyond the calibrated
surface zone into the material being tested. In fact, the combination of load and indenter used
for such material which gives negative hardness, is not suitable. This type of situation may arise,
if (say), a soft metal like aluminium is tested by Rockwell hardness tester, and one makes use
of a Brale indenter and 150 kgf load.
9.6.1 Principle of Operation
The principle of operation of Rockwell hardness test can be illustrated by considering the
combination of ball indenter, 100 kgf load and B (or red) scale. Figure 9.8 shows various
positions of the indenter with respect to the work-piece and corresponding positions of the
larger pointer on the dial gauge when minor and major loads are applied. Figure 9.8(a) shows
the work-piece resting on the anvil of the machine while the minor load is not yet applied. The
anvil is then raised slowly by rotating the capstan wheel to bring the specimen in contact with
the indenter. The capstan wheel is rotated further until the smaller pointer on the dial comes to
the position where a red dot is placed. This dot is an index mark. The position of smaller pointer
to this index mark indicates that the minor load is fully applied. As a consequence the indenter
penetrates the surface to a depth from level A to B. During minor load application, the longer
pointer rotates in the clockwise direction and attains vertical position as shown in Figure 9.8(b).
If the position of the longer pointer is at the Set mark then it is fine otherwise the scale is rotated
until the Set position coincides with the longer pointer.
Now, the major load of 100 kgf (sum of the minor load of 10 kgf and an additional load
of 90 kgf) is applied gradually by pushing the lever away from the operator gently. Under the
application of major load, the indenter penetrates the surface of the work-piece further beyond
the level B and attains a depth corresponding to the level C. During this period, the longer
pointer rotates in the anticlockwise direction and comes to rest at some position (say at
division 40) on the dial gauge. After about 30 seconds, the major load is released by pulling
the lever towards the operator while minor load is still in application. As a consequence the
indenter lifts upward to some extent corresponds to the elastic recovery of the material. The
position of indenter is now changed from C to D. The depth CD is in accordance with the elastic
recovery which is also indicated by the rotation of the longer pointer in the clockwise direction
to a number, say 60. This final position of the pointer is read as hardness number on the B-scale.
This value of hardness which is represented as RB60 or HRB60 is corresponding to the
increment in depth of penetration caused by the indenter from B to D. Finally, the minor load
is removed. The enlarged view of penetration of specimen at various stages is shown in
Figure 9.9. Recommended range for hardness measurement on B- and C-scales are from RB30
to RBlO0 and Rc20 to Rc10, respectively.
@Seismicisolation
@Seismicisolation
Dial is now idle
Red or
8-scale
Additional
load of 90 kg
is not yet
applied
Specimen
Ir ::11
(a)
Dial is now set al
130
Major load
is not yet
applied
A
~----J--
t---~
B ---
Specimen
(b)
Additional
load is
applied
Minor load
is applied
Specimen
(c)
=
===t
Reading is taken
now
Additional
load is
released
Minor load
A B
~1
ts
---1~-r-------------------n· T
Specimen C D
(d)
Additional
load is
released
Minor
load of
10 kgf is
released
Specimen
(e)
FIGURE 9.8 Schematic representation of the operation of Rockwell hardness testing. (a) Specimen is placed on the machine, no load
is applied, (b) A minor load of 10 kgf is applied, (c) Major load of 100 kgf (minor load of 10 kgf plus additional load of
90 kgf) is applied, (d) Additional load of 90 kgf is released and the minor load of 10 kgf is still in application!, and (e) Minor
load is released.
I)
0)
I)
~
l
I
~-
c:
...,
Dl
a
~
(/)
i·
0
....
~
iii"
i
@Seismicisolation
@Seismicisolation
Hardened steel
ball of 1.5875 mm
(1 /16") diameter
177,;z;z.;;,::==c::-::-::~=:::ae':"'=~==91====0~--B
~~~~m~~~~;z'Am~~--=-=--c-D
Hardness Testing 263
FIGURE 9.9 Various stages of penetration of ball indenter in Rockwell hardness test. A : position
of indenter when no load is applied and it is in contact to work piece. B : penetration
of indenter under the minor load of 10 kgf. C : penetration of indenter under total load
(90 + 10 kgf) and D : penetration of the ball when additional load is removed.
9.6.2 Advantages of Rockwell Hardness Test
(i) The test is very rapid for measurement of hardness and is widely used for routine
work and in engineering industries where the test is to be carried out on large number
of pieces.
(ii) Hardened steel and nonferrous materials can be tested with reasonable accuracy.
(iii) Use of a minor load reduces the level of surface finish required.
(iv) Relatively lower load and pointed indenter causes no destruction to the surface of the
component.
9.6.3 Precautions
Most of the precautions to be taken into account while performing the Rockwell test are the
same as mentioned for previous hardness tests except that surface preparation is not very critical.
Since a minor load is used, a rough ground surface free from grease or dirt particles is usually good
enough to perform the test without any error. Errors may be encountered while performing
hardness test on curved surfaces depending on the curvature, load, indenter and hardness of the
material under test. Special fixtures or anvils are to be used to minimise such errors.
9.7 SUPERFICIAL ROCKWELL HARDNESS TEST
The normal Rockwell hardness tester is not much satisfactory for shallow case hardened
components though Rockwell A- and D-scales have been used for medium case hardened
@Seismicisolation
@Seismicisolation
264 Mechanical Behaviour and Testing of Materials
components. Even when the major load was reduced to 30 kgf the results were unsatisfactory
due to a relatively deeper penetration due to minor load in proportion to the depth produced by
the major load. In view of this Rockwell superficial hardness tester was designed. Though in
appearance this tester looks same as the normal Rockwell hardness tester, the loading and depth
measuring systems are different. The principle of working is also the same as for normal
Rockwell hardness tester. In this case the minor load has been reduced to 3 kgf and major load
can be of 15, 30 or 45 kgf. The dial consists of 100 divisions with each division corresponds
to a depth 0.005 mm so that one revolution equals a depth of 0.50 mm. The indenter's geometry
is the same as in normal Rockwell hardness tester, but because of the shallow depth of
penetration caused by lighter loads the indenters in superficial Rockwell hardness tester must
be shaped with greater precision. These are known as 'N' Brale indenters. The apex angle of
120° and the radius of curvature of 0.2 mm at the tip are maintained with the diamond cone
indenter. The test is performed in the same way as the normal Rockwell hardness tester. To
report the hardness values, the letter N is used as a prefix to the dial reading. The letter N is
prefixed by the major load used and followed by the hardness result. For example, a piece of
hardened steel when tested with a major load of 30 kgf and diamond indenter, the reading on
the dial gauge is 70. The hardness is reported as 30N70. For testing softer materials such as
brass, bronze and unhardened steel, the 1.58 mm hardened steel ball is used as indenter. The
readings are expressed in the same manner as the N-scale but the letter Tis used as prefix before
the reading instead of N. For example, 15T, 30T or 45T depending on which major load is
selected. Superficial Rockwell hardness tester is thus useful for thin materials, superficially
hardened materials, or tests requiring an exceptionally small indentation for one or the other
reason.
9.7.1 Precautions
(i) Because of the small indentation produced under light load, a smooth surface finish
is required than necessary with the heavy load of normal Rockwell hardness test.
(ii) The specimen surface must be free from any dirt, grease or scale. The anvil should
also satisfy these requirements.
(iii) The material under test must be supported properly so that it should not move or slip
while load is applied.
9.8 MICROHARDNESS TEST
When testing hardened steel with superficial Rockwell hardness test with the lightest load of
15 kgf, the depth of indentation is about 0.0125 mm. So the specimen should have a minimum
thickness of 0.125 mm. For softer materials a still higher thickness is required if this test is to
be performed. A specimen if to be tested in Vickers machine with a load of 5 kgf also requires
a minimum thickness of 0.125 mm to avoid any bulge on the reverse side. Though load can be
reduced to 1 kgf in this case but the effect of friction introduces serious errors in the results.
In many instances a material thinner than 0.100 mm (such as rapidly solidified metallic glass,
a ribbon, a foil, or a watch gear, etc.) is to be tested for hardness. In such cases superficial
Rockwell hardness method is unsatisfactory.
@Seismicisolation
@Seismicisolation
Hardness Testing 265
This led to the development of microhardness tester. Microhardness is the hardness of a
material as determined by forcing an indenter such as a Vickers or Knoop indenter into the
surface of the material under a load of 5 to 1000 gmf. Usually, the indenters are much smaller
than those used in macrohardness test and as are the loads used in such testing. The indentations
produced in a material under a given small load are so small that they are to be measured with
a microscope. The method is capable of testing not only thin and small components but also
for measuring hardness of microconstituents within a structure, or measuring steep hardness
gradients such as those encountered in case hardening. This method is also used to measure the
hardness of coatings. Therefore, this method is widely used in industries as well as in research
work. Since the term microhardness refers to small (or micro) indentation hardness, its meaning
should not be misinterpreted as method of testing small (or micro) hardness values. So the better
term is microindentation that carried out on small areas. The load used can vary from as small
as 5 gmf to as large as 1000 gmf. Two types of indenters are in use to perform microhardness
test. These are Knoop and Vickers indenters.
Knoop indenter is a diamond pyramid with one of the diagonals longer than the other.
The ratio of longer to shorter diagonals is 7:1. The angles between the opposite faces are approxi-
mately 130°0' and 172°30'. The indentation produced is rhombohedral in shape. The Knoop
hardness (HK or KHN) is expressed as the ratio of load P to projected area of impression A, i.e.
or
p
Knoop Hardness Number (KHN) = - kgf mm-2
A
p
KHN=-
L2C
(9.19)
where, L is the length of the longer diagonal and C is the constant, the value of which is
supplied by the manufacturer for the given indenter. Knoop hardness numbers are often cited
in conjunction with specific load values. The method of Knoop hardness testing was devised
in 1939 by F. Knoop. This method of hardness testing has a limitation, i.e. it gives a higher
value of microhardness, when the load applied is less than 300 gmf. This is because for lighter
loads the small amount of elastic recovery becomes appreciable resulting in lower value of L.
Additionally, it is difficult to locate the exact ends of the long diagonal of impression with its
small size. As a result error is likely to introduce in its measurement. Both these factors give
rise to higher hardness values. Above about 300 gmf of load, the long diagonal of Knoop
indentation remains almost unaffected due to elastic recovery. Knoop hardness testing offers an
advantage over Vickers microhardness testing that for the same diagonal length Knoop
indentation area is only about 15% that of Vickers indentation. This is because of the special
shape of the Knoop indenter. Thus, Knoop indentation method is very suitable to determine
steep hardness gradient in thin case hardened components in which case Knoop indentations can
be placed very close together than Vickers indentations. For thin films of a few microns thick,
Knoop hardness testing must be preferred because for the same material and load, the Knoop
indentation is shallower than Vickers and the measured length is a bit longer due to elongated
shape. The Knoop values are more representative of the coating material and can be more
accurately measured. Vickers microhardness testing is the same as Vickers macrohardness
testing except that the load applied in microhardness testing is less than 1 kgf. The hardness is
expressed in the same way as in Eq. (9.17).
@Seismicisolation
@Seismicisolation
266 Mechanical Behaviour and Testing of Materials
9.8.1 Precautions
Application of light loads requires a metallographic surface preparation for microhardness
testing. This is especially because under light load, the depth of indentation is shallow. This in
turn needs measurement of indentation dimensions at high magnification (e.g. l000x), in
particular, for hard coatings like titanium nitride. Polishing should be carried out carefully to
avoid any surface work hardening otherwise error will be encountered in the measured value
of hardness. If possible final polishing should be done electrolytically to remove the work
hardened surface if produced during mechanical polishing. In case performing microhardness
of coated parts or on case hardened parts, the load applied must be such that the depth of indent
must be about 20% or less of the coating thickness or case depth as the case may be. In such
condition the hardness values accurately reflect the coating hardness. In case of higher loads
used, the hardness values will be closer to the substrate hardness (in case of surface coated
parts) or the underneath metal (in case of surface hardened component).
9.8.2 Applications
(i) Hardness of thin materials such as foils, ribbons, powder particles, small diameter
wire, safety razor blade, etc., can be performed using microhardness tester.
(ii) Small precision parts such as those of a watch (such as gears, screws, pinion, studs),
and clock spring are required to be tested for control of their hardness using this
method.
(iii) Microhardness testing is used to determine the hardness gradient in surface hardened
components.
(iv) Hardness of tips of cutting tools, teeth of hacksaw blade, surgical needles, ball pen
point, etc., can be carried out by microhardness testing.
(v) Hardness of electroplated surfaces such as chrome plating as used in engine piston
rings, Ag, Ni, Cd, Zn and Cu plated surfaces are examined by microhardness testing.
(vi) Hardness of electronic components.
(vii) Hardness of components of medical devices.
(viii) Hardness of phase constituents in microstructure can be measured by microhardness
testing.
(ix) It is widely used in research work and quality control of small precision parts.
(x) Hardness of surface hardened components.
9.8.3 Comparison of Macrohardness and Microhardness Tests
The macrohardness test is characterized by the fact that the indenter penetrates an appreciable
depth into the material under test, depending on the applied load and the properties of the
material. In some tests, the indenter may be a larger one, as for example, a hardened steel ball
of 10 mm diameter. As a result, the deformed volume of material is large and includes all the
phases of the material. The measured hardness represents well the effect of the amount and
location of various phases characterizing the bulk of the material. In simpler words, the
@Seismicisolation
@Seismicisolation
Hardness Testing 267
measured hardness number represents the hardness of the tested materials as a whole (or bulk
hardness). The shape and size of the indenter and the magnitude of the force applied are
selected in accordance with the purpose of the test, the structure and properties of the metal
being tested, the state of the surface and the size of the specimen.
With metals having a heterogeneous structure with large inclusions of individual
components (for instance, grey cast iron or non-ferrous bearing alloy), hardness tests should be
performed with a large size ball. If, however, the metal has a homogeneous fine structure, then
even very small volume can be sufficiently representative of the bulk of the metal as regards
its hardness. In such cases, indentation tests may be made with a smaller indenter, for instance,
diamond cone or pyramid, pressed to a lower depth and therefore with a lower force.
On the other hand, too small a force is undesirable, since this would sharply reduce the
volume deformed and might give a hardness value not characterizing the bulk of the material.
Therefore, the magnitude of the force applied and the size of the indenter (if it is small) must
be properly selected within an optimum range for a given material.
Microhardness tests are made to determine the hardness of individual grains, phases and
structural components in alloys (but not an 'average' hardness, as in the case with
macrohardness tests). Here the volume of the phase deformed should be smaller than the
volume (or area) of the grain to be tested. For this reason a light force is applied to the indenter.
In addition, microhardness tests may be used to measure the hardness of very small
components.
A summary of the load, indenter and its geometry and formula of calculating hardness are
shown in Table 9.5.
9.9 DYNAMIC HARDNESS TESTING
9.9.1 Shore Hardness Testing
In shore hardness testing, a small pointed indenter (or the so called hammer) is made to fall
within a glass tube from a standard height of 250 mm (10 inch) against the surface of the
specimen. The top height of rebound of the hammer is a measure of Shore hardness. Shore
hardness is expressed as a number. The device used is called Scleroscope. The scleroscope
hammer, tapered at one end, is essentially a cylindrical metal plug weighing about 2.4 gm
(1/12 ounce). The hammer is about 6 mm in diameter and 19 mm in height. The tapered end
of the plug is fitted with a ground and polished diamond. The tip of the diamond is rounded
to 0.254 mm radius and serves as the actual indenter and prevents distortion of the hammer end
when striking the metal under test.
The instrument consists essentially of a glass tube accurately aligned on a vertical position
through which hammer is guided during its downward fall. The hammer is raised to the top of
the tube by an air suction device by pressing a bulb and held in top position by means of a
mechanical catch. When the hardness test is to be performed the air bulb is pressed by hand
to actuate an air valve which releases the mechanical catch and allows the hammer to fall on
to the surface of the specimen. Within the glass tube is inscribed the scleroscope hardness scale,
against which the first rebound of the hammer is noted.
@Seismicisolation
@Seismicisolation
Test
Brinell
Vickers
Knoop
Rockwell
g}
[}
E
TABLE 9.5 Summary of the load, indenter and its geometry and formula for calculating hardness
Indenter
geometry
10 mm steel or
tungsten carbide
ball
Diamond pyramid
(square base)
Diamond
pyramid
Diamond cone
_!_,, diameter
16 steel ball
l,, diameter
8 steel ball
Shape ofindentation
Side view
~
~
~;t
%
=4.00, ~ = 7 1
~ ,
Top view
0
I· d ·I
~
tb
~
t
I, L , I
0
0
Load
3000 kgf
lO00kgf
500 kgf
1 to 120 kgf
5 to 1000 gf
60 kgf RA l
150 kgf Re
100 kgf RD
100 kgf R8 ]
60 kgf RF
150 kgf Re
100 kgf RE
Formula for
hardness number
2P
BHN = ~
nD(D- 'ID -d)
VHN = 1.854P
Lz
KHN=_!_
L2
C
Hardness number
= l00-500t
= 130- 500t
I)
0)
0)
~
l
I
~-
c:
...,
Dl
a
~
(/)
i·
0
.....
~
iii"
i
@Seismicisolation
@Seismicisolation
Hardness Testing 269
Principle
When the standard hammer is allowed to fall from the standard height, a great instantaneous
load acts at the point of impact("" 3500 MPa). Part of the kinetic energy of impact is expended
in making an indentation at the spot and due to residual energy the hammer rebounds. More
is the height of rebound harder is the material. However, the indentation produced is so small
that it does not practically impair the finished surface, in general. The scleroscope hardness
numbers are arbitrary and that they are comparable only when determined on similar materials.
For instance, no relationship exists between the scleroscope hardness numbers of rubber and
steel which are quite dissimilar materials. It is fully recognised that the mass of a specimen
being tested in the scleroscope has an appreciable effect on the accuracy of the test. The
specimen must weigh at least one kilogram so as to overcome inertia effect or shock of the
striking hammer. As the mass decreases, however, there is attending decrease in the hammer
rebound owing to the inertia effects becoming less pronounced or insufficient to resist the force
of the falling hammer. As the mass decreases, compensation must be made for its deficiency
in the specimen, by supporting or clamping the specimen during the test. The softer the
material, the greater will be the error due to insufficient mass because of deeper indentation and
greater time factor necessary to penetrate the softer materials. The fundamental requirements are
such that the supporting contact surface is perfectly flat and free from dust or oil film. In the
testing of thin sheets and flat materials, it is important that the test specimen be properly held
in close contact with the anvil and that no foreign material be allowed to intervene between the
anvil and the support and the test piece. Hardened steel sheets, such as razor blades, should have
a minimum thickness between 0.125 mm and 0.150 mm, whereas annealed sheets should be
thicker than 0.250 mm. Rounds can be tested with some errors using proper anvil and clamps.
For tubes, use of a mandrel and appropriate clamping can be made.
Precautions
(i) A specimen if weighing less than 1 kg should be backed by a massive support or else
be clamped to avoid the inertia effects.
(ii) Thin specimens must be clamped. The specimens must be in close contact with the
anvil and no foreign matter should be present on it.
(iii) When making a hardness measurement, several readings should be taken to get a fair
average, but the hammer should not be dropped more than once on any one spot
because of possible effects of work hardening.
Advantages
The Shore hardness testing offers the following advantages:
(i) Procedure is very fast and simple.
(ii) The impression left on the surface of the component is invisible and therefore non-
destructive hardness testing on finished components can be performed using this
method.
(iii) The instrument is portable, and therefore, can be taken to the place where the hardness
of a heavy component is required to be measured. For instance, rolling mill rolls,
forging dies, etc.
@Seismicisolation
@Seismicisolation
270 Mechanical Behaviour and Testing of Materials
Applications
It can be used to measure the hardness of finished components such as lathe machine bed, case
hardened components having thickness equal or more than 0.4 mm, crank shafts, rolling mill
rolls, forging dies, safety razor blades, etc.
9.9.2 Poldi Hardness Test
Principle
The principle of Poldi hardness testing involves the application of load on the specimen and a
standard test bar in a linear direction through a special Brinell ball indenter of 10 mm diameter
by a hammer blow. Under the same load, the size of indentation obtained is on the test bar and
the work-piece depends on their hardness. Harder the material shallow is the impression. The
diameter of impressions on the test bar and that on the specimen are measured by means of a
special magnifying glass containing a graduated scale in millimeter. Using this indentation
diameter values hardness is read from the table supplied with the testing unit. The hardness is
given as Brinell hardness number. Along with the hardness values corresponding tensile
strength values are also given in the table in tones per square inch. The apparatus simply
consists of a spring loaded plunger that makes a firm contact with the standard test bar. The
ball indenter of 10 mm diameter is fixed in a hole and remains in contact with the standard test
bar. This whole assembly is placed on the work-piece being tested and a blow of hammer is
given at the top of the plunger such that the plunger is normal to the specimen. The apparatus
is only about 150 mm height.
Precautions
(i) Before g1vmg the blow of hammer make sure that the plunger is normal to the
specimen and is firmly hold on the specimen surface.
(ii) While hammering care should be exercised to avoid any accident.
Applications
(i) This tester is portable and therefore the hardness of heavy components can be
measured with ease because these heavy components cannot be taken to the
conventional hardness testing machines. The heavy components such as heavy
castings, road roller rolls, grass roller roll used in cricket ground, rolling mill rolls
used for semi finished operations, etc. are some common examples tested by Poldy
hardness tester.
(ii) It is a quick method of measuring Brinell hardness of a variety of metals and alloys,
such as steels, cast irons, nonferrous metals and their alloys.
(iii) It is a rapid way of estimating tensile strength of materials for which a correlation
exists between BHN and tensile strength as this method directly gives the tensile
values corresponding to Brinell hardness.
@Seismicisolation
@Seismicisolation
-
Ductile-Brittle Transition Behaviour
and Fracture Toughness Test
10.1 INTRODUCTION
There are many applications such as crankshaft, camshaft, gears, mmmg drills, parts of
automotive engines, parts of rail road equipments, lathe machine tools, crane hooks, freight car
couplings, etc., which experience dynamic loading conditions. Under such dynamic loading
conditions these structural or machine parts may fail in a brittle manner, irrespective of their
initial ductility and may cause an accident. Such premature failures of machines, structures or
their parts can be avoided by determining the general response of the materials used for these
applications under simulating service conditions involving dynamic loadings. In many
instances, the behaviour of component materials is markedly different under dynamic loading
conditions from their behaviour under static loading.
An important test which involves the application of a dynamic load to a given material
is impact test. In this test, a standard load is applied suddenly or at rapid rate onto a standard
specimen containing a notch. The energy absorbed by the material at fracture is a measure of
impact toughness or impact strength of the material. Thus, impact toughness of a material
may be defined as the energy absorbed by it without undergoing failure under dynamic loading.
Impact toughness is not the same toughness as determined from the static tensile test data
in which the area under the stress-strain curve gives the modulus of toughness. Even then, there
is quite often, a close correspondence between the two, and a large area under the tensile curve
indicates a higher impact strength and vice-versa. Impact test, thus measures the resistance that
a material exerts against being fractured by a sudden blow. The impact test simulates service
conditions which are often encountered in transportation, agricultural and construction
271
@Seismicisolation
@Seismicisolation
272 Mechanical Behaviour and Testing of Materials
equipments. All such applications experience a sudden blow or sudden stoppages during service
conditions. A material which exhibits a large amount of impact resistance is said to be a tough
material.
10.2 DUCTILE-BRITTLE TRANSITION BEHAVIOUR
It has been stated in Chapter 8 that many metals, in particular BCC metals, exhibit a transition
in their behaviour from ductile to brittle on decreasing temperature, increasing the strain rate
or notching (i.e. introducing triaxiality state of stress) the material. Under these practical
conditions, a material tends to lose the capacity of deformation due to increased yield stress.
Yield stress of BCC metals and alloys such as ferritic steels used in pressure vessels and ship
structure, has been found to be much more sensitive to temperature and strain rate as compared
to FCC metals such as Cu, Al, Ni and austenitic ferrous alloys. This increased sensitivity for
BCC metals and alloys can be correlated to the temperature sensitive Peierls-Nabarro stress
which increases rapidly with decreasing temperature. Peierls-Nabarro stress is the internal stress
which must be overcome by external stress in order to move a dislocation from one equilibrium
position to the next, and thus, produce plastic strain. This Peierls-Nabarro stress (also commonly
called lattice frictional stress) is much larger for BCC metals than for FCC metals. Due to non-
existence of the close packed atomic planes in BCC metals, they need a higher shear stress to
move dislocations, and cause plastic deformation. This stress increases rapidly with decreasing
temperature. The decreased thermal energy at low temperatures makes thermally activated
dislocation processes more difficult to operate. The stress required to propagate a crack, on the
other hand, is not a strong function of temperature, and it does not increase as rapidly with
decreasing temperature. Thus, brittle failure by crack propagation is a favourable process at low
temperatures.
Also at very high strain rates, even at ambient temperatures, the activated processes have
insufficient time to operate, and therefore, the tendency for brittle failure increases. Introduction
of a notch in the material (as in impact test) also increases the tendency for brittle failure due
to stress concentration at the tip of the notch which in tum increases the localised strain rate.
Thus, the three main factors which influence yielding and fracture, and thus, the impact strength
of a material are as follows:
Triaxiality: The yield stress increases with increasing triaxiality while the fracture stress is
relatively unaffected.
Rate of loading: The yield stress increases with increasing strain rate, whereas fracture stress
is relatively unaffected.
Temperature: The yield stress decreases with increasing temperature. Though fracture stress
also decreases but only a small amount.
Figure 10.1 illustrates the effect of these three factors on the ductile-brittle transition
behaviour of a material. This figure shows how yield stress and fracture stress vary with a given
set of conditions of strain rate, triaxiality and temperature. This figure also gives the basis of
ductile-brittle transition behaviour.
@Seismicisolation
@Seismicisolation
Ductile-Brittle Transition Behaviour and Fracture Toughness Test 273
Q' P'
Yield stress
Q R p
- Increasing triaxiality
- Increasing strain rate
- Decreasing temperature
FIGURE 10.1 Effect of various factors on variation of yield stress and fracture stress.
Let us consider a material at different set of above conditions. When loaded corresponds
to the conditions at point P, as stress increases along the line PP', the material begins to deform
and yielding occurs at stress, CT,-A- The material continues to deform plastically with increasing
load until fracture occurs at stress, a1p, i.e. the material deforms appreciably before fracture. The
behaviour of the material is not governed by the laws of brittle cleavage (cleavage type of
failure is characteristic of fracture in brittle material). Now suppose the material is loaded under
the set of conditions (a higher triaxiality, or strain rate, and/or a lower temperature) correspond
to the point Q and the stress increases along the path QQ'. As the stress increases along the line
QQ', the material fails at cleavage fracture stress of afQ· Consequently, the point a,8 where
yielding must begin, will never reach and the material is in a brittle state. In other words, under
the given conditions of strain rate, temperature and triaxiality at point Q, yield stress of the
material is well-above its fracture stress as a consequence, fracture occurs before any plastic
deformation to occur. Conditions correspond to the point R, represent the transition values of
triaxiality, temperature and strain rate. On the left of R, the material exhibits a brittle type of
fracture whereas towards right of R, it shows ductile type of fracture. At point R, the stress to
propagate a crack (fracture stress a1) equals the yield stress (i.e. the stress required to move
dislocations). That is, 0 = a,.. In general, in vicinity to R there is a narrow region in which
fracture is partly ductile and partly brittle in nature. This region of temperature for many
materials is commonly called as the transition temperature range. For some metals there is
a sharp transition temperature while for most of the materials there is a range of this
temperature. For metals, transition occurs at homologous temperature of about 0.1Tm to 0.2Tm
(where Tm is the absolute melting temperature of the material). For ceramics this temperature
range is from about 0.5Tm to 0.7Tm. The lower the transition temperature the greater is the
impact toughness of the material. At temperatures greater than the transition temperature, yield
stress is lower than the fracture stress and material yields plastically before fracture. Thus, it
behaves in a ductile manner. At a temperature lower than the transition temperature the material
@Seismicisolation
@Seismicisolation
274 Mechanical Behaviour and Testing of Materials
displays brittle nature as yield stress is greater than the fracture stress. Here, the actual brittle
fracture stress may be controlled by the yield stress, as some microscopic yielding may be
necessary to nucleate a crack. So, at all temperatures below the transition temperature,
<If= O:v
As soon as the applied stress attains a value Oi, the crack is nucleated at the intersection of slip
planes, and propagates rapidly and fracture takes place in a brittle manner.
As mentioned in the previous paragraph, transition temperature is not a sharply defined
temperature as it is affected by the degree of triaxiality. Sharper the notch in a specimen, the
higher will be the transition temperature and lower will be the impact toughness. The transition
temperature is generally defined as the one at which the fracture is almost 50% fibrous (shear
like).
10.3 TRANSITION TEMPERATURE AND ITS SIGNIFICANCE
Among the three factors discussed above, temperature appears to be the most important factor
that affects the brittle-ductile transition behaviour of a material. The temperature at which a
fairly sharp transition occurs from ductile to brittle is called Ductile-Brittle transition
temperature (DBTT). Above this temperature the material behaves as tough and ductile while
below this it shows brittle behaviour. Ductile behaviour is characterised by large energy
absorption under dynamic loading condition. Transition temperature, is generally, not a sharply
defined temperature for a given material and may vary with a slight variation in sharpness of
the notch in the sample being tested. In general, sharper the notch, the higher will be the
transition temperature. Ductile-brittle transition temperature is usually determined by some form
of test such as Notch-bar Charpy impact test. A variety of criteria have been used to define the
ductile-brittle transition temperature. The most common criteria are: on the basis of appearance
of fracture surface; on the basis of energy absorption without failure; and on the basis of the
amount of lateral expansion that results on the compression side of the test bar.
The test data, are therefore, plotted in terms of energy absorbed Cv, in fracture called
fracture energy, the appearance of the fracture surface (shear or cleavage) or the lateral
expansion that results near the notch, against temperature as illustrated in Figure 10.2.
The fractured surface appears to be bright and granular if a material fails in a brittle mode,
whereas it appears dull and fibrous for ductile fracture. In proximity to the transition
temperature the fracture is considered to be 50% fibrous and 50% cleavage like. Fracture of the
brittle type is believed to be initiated in the region of high triaxial stresses existing in vicinity
to the root of the notch. Since the propagation of this brittle fracture involves little plastic
deformation, cleavage in the individual grains of varying orientation causes this part of the
fracture surface to have a crystalline or granular appearance. As the crack advances outwards
the boundaries of the specimen, it enters the regions in which there is less plastic constraints
and the mechanism changes from brittle to ductile fracture. In these regions, coalescence of
microvoids occurs and further propagation of the crack results in considerable plastic
deformation. This part of the fractured surface, therefore, exhibits fibrous and dull or silky
appearance.
@Seismicisolation
@Seismicisolation
Ductile-Brittle Transition Behaviour and Fracture Toughness Test 275
Fracture appearance
NOT FTP
~ - - - ~ - - + - - - - - - - ~ - - - ~ 100
Energy : USE
50
LSE
0
T5 T4 T3 T2 T,
Temperature -
~
::,
0
g
(I)
Ol
<1l
>
<1l
(I)
c3
';/2.
0
FIGURE 10.2 Various criteria of defining transition temperature. NOT : Nil ductility temperature,
FTP : Fracture transition plastic, LSE : Lower shelf energy, USE : Upper shelf energy.
T1 to T5 is the transition temperature region.
Figure 10.2 shows various regimes. Looking to these regimes, it is difficult to clearly
determine a specific transition temperature though one can determine the evidence of little
ductility at lower temperatures. Therefore, various criteria are used to define transition
temperature. The upper shelf is the region in which the temperature exceeds the upper transition
temperature T1• Above this temperature fracture is predominantly fibrous. This temperature is
called Fracture Transition Plastic (FTP). This is the temperature at which fracture changes
from almost totally ductile to substantially brittle on decreasing the temperature. Problem of
brittle fracture is negligible above this temperature. In contrast to the upper shelf, the lower
shelf is the region in which temperature is lower than the lower transition temperature T5. This
temperature is called Nil Ductility Temperature (NDT), and is defined as the temperature
below which a material (in particular, a steel plate) breaks. However, the material does not
break if the temperature is higher than NOT. This criterion of transition temperature is used in
the design of structures made of ferritic steels. On the basis of this, a minimum allowable
service temperature (Tmin) is determined for the structure containing sharp cracks depending on
its thickness and the stress applied:
(i) Tmin ~ NOT: Permissible when applied stress < 35-55 MPa.
(ii) Tmin~ NOT + l7°C: Permissible when applied stress is less than or equal to half of
the yield strength of the material.
(iii) Tmin ~ NOT + 33°C: Permissible when applied stress is less than or equal to yield
strength.
(iv) Tmin~ NOT+ 67°C: Permissible because failure will not occur below ultimate tensile
strength of the material.
The region between the lower shelf and the upper shelf is the transition region. The
temperature T2 at which fracture appears to be 50% cleavage (or brittle) and 50% fibrous
@Seismicisolation
@Seismicisolation
276 Mechanical Behaviour and Testing of Materials
(or shear) is considered to be the transition temperature (Figure 10.2). It is also called Fracture
Appearance Transition Temperature (FATT) or Ductile to brittle transition temperature
(DBTT). This temperature is very nearly equal to the temperature T3. The absorbed energy
corresponds to T3 is the average of the upper shelf and lower shelf energy values.
Another common criterion to define transition temperature is to select an arbitrary value
of absorbed energy such that a brittle fracture is not expected to occur at temperature T4,
(Figure 10.2) which corresponds to this energy value. For ferritic steels, the common value of
this energy (Cv) is 20 J. This temperature is called Ductility Transition Temperature. Another
criterion to define transition temperature which of course is less common than the above two,
is to determine lateral expansion on compression side of the test bar. The temperature at which
an expansion of 0.40 mm is obtained on the compression side of the test bar is taken as the
transition temperature.
The low strength steels display a sharp transition between ductile and brittle regions as
shown in Figure 10.3. However, as the strength of steel increases, the transition becomes less
sharp, (Figure 10.3) and in such cases transition temperature can be defined in variety of ways.
FCC metals, high strength alloys and some ceramics do not show DBTT. FCC alloys are ductile
at all temperatures while high strength alloys and ceramics are brittle at almost all temperatures
(Figure l0.3) except at elevated temperatures.
::,.
(.)
"O
Q)
.a
g
.a
<11
>,
~
Q)
C
w
FCC Metals
~
Steel (ay< 300 MPa)
---- Steel (ay_::550 MPa)
Steel (ay_::900 MPa)
12% Ni-Maraging steel
(ay '.: 1250 MPa)
c:J'0 ~oi5 {18Ni-Marageing steel}
1ie'0 Q & T Low alloy steel
Ti-alloys
e-----Steel 4340 (ay'.: 1400 MPa)
Temperature - - -
FIGURE 10.3 Illustration of Ductile-Brittle transition behaviour of some materials.
The determination of DBTT is of vital importance in design of structural parts, in
particular, for low temperature service. For example, equipments designed for cold climate such
as in Alaska, brittle fracture is of great concern. DBTT is also of considerable concern in the
design of offshore platforms in Arctic sea. These platforms are made almost entirely of steel
with numerous weldments. Alloys that exhibit this behaviour tend to lose toughness, and are
susceptible to catastrophic failure below this transition temperature. Knowledge of DBTT can
decide the lowest service temperature where significant energy must be supplied to cause
ductile failure. A large number of structural steels have BCC structure, and therefore, DBTT is
of great concern to them.
@Seismicisolation
@Seismicisolation
Ductile-Brittle Transition Behaviour and Fracture Toughness Test 277
10.4 NOTCH-BAR IMPACT TEST
Impact test measures the strength of a material under dynamic loading. Often in actual service,
most of the structural components experience dynamic loading conditions (such as vibrations
or jerks). Impact test is generally applied to those materials which do not show brittleness under
static tensile loading conditions, but fail in a brittle manner under the action of some operating
parameters such as high deformation (or strain) rates (i.e. the impact loads), low temperatures
or when notches or fissures are present in the material.
The standard impact testing machine is of pendulum type as shown in Figure l0.4(a). The
specimen used is also of standard geometry and contains a notch. The specimen is held in the
anvil of the machine and is subjected to a single blow of the pendulum or the so called hammer
of fixed weight, W. The pendulum is lifted to the standard height by hand. In this position it
has a potential energy equal to Wh, where h is the height of fall of center of gravity of pendulum
from its lowest point [Figure l0.4(b)]. As the hammer is released and swings downwards, its
potential energy is transformed into kinetic energy. At the bottom of its swing, where it hits the
(a)
Point of support
,
/
h'
w
(b)
,
,
Centre of mass
of pendulum
'
,
,
,
,' w
FIGURE 10.4 (a) Schematic diagram of impact testing machine. W is the weight of the pendulum
(or hammer), (b) Positions of pendulum at rise to standard height h and its rise in the
reverse direction after fall to the height h'. B is the angle of rise.
@Seismicisolation
@Seismicisolation
278 Mechanical Behaviour and Testing of Materials
specimen, its kinetic energy is equal to Wh. It is the maximum energy that the hammer has just
before hitting the specimen. A part of this kinetic energy is utilized to break the specimen. Due
to the remainder energy, the hammer swings further upwards in the reverse direction such that the
height of rise of center of gravity of hammer is h'. As the hammer is raised in the reverse direction
the remainder kinetic energy is transformed back into potential energy Wh'. The energy absorbed
by the sample just before fracture is taken as the impact value or sometimes called work of
fracture. This energy is given as (Wh - Wh') kg m or Joules. This energy is indicated on the dial
of the impact testing machine. Sometimes, the impact strength is expressed as the energy required
in fracturing the specimen per unit cross-sectional area of the specimen at the notched cross-
section. Thus, the impact strength is calculated according to the following relationship as:
U1 =~kg m/cm 2 or J/cm 2
AN
(10.l)
where, AN is the cross-sectional area of the specimen in cm2 at the place of the notch and C,,
is the energy required for fracture the specimen.
Two types of impact tests are conventionally employed in engineering. These are Charpy
test and Izod test. In Charpy test, a rectangular specimen of square cross-section and standard
dimensions containing a V-notch in the mid-span is supported as a simple beam on the anvil
of the machine. The sample is so placed that the notch is opposite to the striking hammer
[Figure 10.5(a)] and the notched portion of the specimen is under tension when it is hit by the
hammer. The V-like notch has an angle of 45°, a depth of 2 mm and the root is rounded to a
Support - -~11111
I·
2
m
Impact load
µ
45 °
56mm
_l__ 2 mm
(a)
(b)
10mm
1---l
D}omm
·I
Impact load
FIGURE 10.5 Geometry and arrangement of impact test specimen. (a) Charpy specimen, (b) lzod
specimen.
@Seismicisolation
@Seismicisolation
Ductile-Brittle Transition Behaviour and Fracture Toughness Test 279
radius of 0.25 mm. Instead of V-shaped notch, a key hole like notch can also be used in
Charpy test.
In Izod test, the specimen can be round or square in cross-section and contains a V-notch.
The specimen is supported vertically (cantilever like) in the anvil of the machine. The specimen
is so placed that the notch is facing to the striking hammer [Figure 10.S(b)] and experiencing
a tensile force. A notch in the specimen not only simulates operating conditions but also
simulates the presence of internal stress raisers such as grain boundaries, internal cracks and
second phase particles. In both the tests, the hammer is raised to some standard height before
striking the specimen. (For experimental details see Appendix C).
10.5 VARIABLE AFFECTING IMPACT VALOES
Energy losses
During impact test, when the pendulum hits the specimen, a fraction of the energy is lost due
to absorption in vice and structure of the machine though majority of it is used in fracture of
the specimen. This energy loss is minimized to a great extent by the manufacturer by providing
a heavy structure to the machine. Further energy losses can be minimized by minimizing
damping and vibrations through heavy foundation of the machine structure.
Striking velocity
Slight increase in the striking velocity of the hammer above the nominal value has little or no
effect on the impact strength of a material. However, above some critical speed (which is different
for different materials) the energy required to rupture a material appears to decrease rapidly with
increase in striking velocity. The magnitude of critical striking velocity and the rate of decrease
in impact resistance with increase in velocity differs from metal to metal. In general, the critical
velocity is much less for annealed steels than for the same steels in the hardened condition.
Size and shape of the specimen
Usually, a standard size notched specimen is used to determine impact value of a material.
Sometimes, when the standard size of the specimen is not fabricable then a smaller specimen
can be used to measure the impact value. After exhaustive experimentation it has been found
by researchers that the impact value is not affected by the size of the specimen except when
the steel is brittle. With brittle steels relatively higher impact values have been observed as the
size of the specimen is decreased. The probable reason is that any decrease in size of the
specimen also tends to decrease the degree of restraint against deformation, and thus, reducing
the tendency of brittle fracture. Thus, the amount of energy absorbed is increased.
Compared to size, the shape of the specimen has a pronounced effect upon its capacity
to resist impact loads. At ordinary temperatures, a plane bar of ductile metal will just bend
rather than fracture under an impact load in flexure. In order fracture to take place under a
single blow of hammer, test specimen of ductile metal must contain a notch. A notch in the test
bar specimen causes high localized stress concentrations which raise the yield stress, i.e. restrict
drawing out action. Most of the energy of rupture is absorbed in the localized region of the
notch in the test specimen and tends to induce a brittle type fracture. The tendency of a ductile
material to behave like a brittle material when broken in the form of a notched bar specimen
@Seismicisolation
@Seismicisolation
280 Mechanical Behaviour and Testing of Materials
is sometimes known as notch sensitivity. The energy absorbed by a notched test bar of a ductile
material under impact load is commonly called notch-bar toughness. Not only the presence of
a notch, but also its sharpness, have a marked influence on impact value. A sharp notch raises
the yield stress and the transition temperature. That is why, a shallow V-shaped notch is
preferred over a keyhole shape notch in Charpy impact test.
Temperature
Temperature greatly affects the notch-bar toughness of a material. Up to certain temperature
above absolute zero, the metal exhibits a brittle fracture. Above this temperature and up to
certain higher temperature the nature of the fracture is mixed in character, i.e. it is partially
ductile in character. At temperature above this range, the fracture is almost completely ductile
in nature. Usually the transition in fracture from brittle to ductile is a gradual process and occurs
over a range of temperature. This temperature range is called the transition temperature range.
Grain size
Grain size appears to be the most important factor which influence the impact trans1t10n
temperature, and hence, the notch-bar toughness of a metal. The transition temperature is found
to be lowered considerably as the grain size decreases as illustrated in Figure 10.6. Yield
strength is a strong function of grain size as is apparent from the famous Hall-Petch empirical
relationship:
(10.2)
where, CT,. is the yield strength, G; is the lattice resistance against the dislocation motion resulting
from the various strengthening mechanisms and the intrinsic lattice friction (Peierls stress), d
is the grain diameter (i.e. grain size) and k1 is the dislocation locking term.
60
~
i 40
::,
"§
Cl>
20
a.
E
2
C
0 0
:~
C
!!!
1--20
-40
4 5 6 7 8 9 10
ASTM Grain size no.
FIGURE 10.6 Effect of grain size on transition temperature in a typical steel.
Equation (10.2) shows that as the grain size decreases yield strength increases. A higher
yield strength means a higher stress will be required to nucleate a crack by slip on intersecting
planes. If a crack is nucleated under sufficiently high stress conditions, it will traverse on either
@Seismicisolation
@Seismicisolation
Ductile-Brittle Transition Behaviour and Fracture Toughness Test 281
side up to the grain boundaries. If the grain diameter is small, the length 2a of the crack is limited
to this diameter. The grain boundaries will stop the crack to propagate in the adjacent grains. In
order this crack to enter the adjacent grain it has to search of the most likely propagation plane
which in tum needs large expenditure of energy. Further, a crack is able to propagate only if its
length 2a is above a critical size. If the grain size itself is less than the critical length of the
crack, the crack is unable to propagate, and hence, the brittle fracture is prevented. The critical
fracture stress (Gj) corresponding to this critical size crack (a*) is given as:
CT - _1__
( 2 £)1
'
2
f - tra *
(10.3)
In Eq. (10.3) yis the surface energy per unit area, and Eis the elastic modulus of the material.
This equation clearly indicates that smaller the crack length larger will be the stress required
for fracture.
Just as yield strength is a function of grain diameter, fracture strength is also a function
of grain size. Using dislocation models, Cottrell and Petch have developed a relationship
between fracture strength and grain size which is expressed as:
4ymG d-112
CT!=--
k_,,
(10.4)
where, Ym is the plastic work done around a crack as it moves through the crystal, and G is the
shear modulus of the material. The other terms being the same as defined above.
Equation (10.4) shows that the fracture strength increases with decreasing grain size. This
equation also shows the dependency of fracture strength on Ym· Higher the value of Ym, higher
will be the stress required to propagate the crack. The value of Ym will be enhanced by
increasing the number of unpinned dislocation sources, increasing test temperature and
decreasing the crack velocity. A large number of the unpinned dislocation sources will generate
more number of dislocations at the crack tip, and therefore, more blunting of the crack.
Increasing temperature results in lowering
of Peierls stress and increase in dislocation
velocity. Both Ym and CTJ will be low if
dislocation sources are pinned by inter-
stitial solutes, such as carbon and nitrogen
in steels or highly immobile, as in ionic or
covalent materials. The magnitude of Ym
also get reduced by strengthening
mechanisms such as solid solution, preci-
pitation, dispersion and strain hardening as
these mechanisms reduce number of
mobile dislocations. This also results in
increase of CT;. For a given value of CT; and
Ym, decreasing grain size results m
decreasing transition temperature as is
evident from Figure 10.7.
d2 < d1
f u1(d1)
t,
ui
1/)
'
!!! ' '
u5 : ~ To :
~
'
T0 (2) To(1)
Transition temperature, T -
FIGURE 10.7 Effect of grain size on ay, a, and
transition temperature for a given a;
and Ym· !::.T0 is the decrease in T.
@Seismicisolation
@Seismicisolation
282 Mechanical Behaviour and Testing of Materials
Figure 10.8 shows the effect of grain size on yield and fracture stress and fracture strain.
The two curves for fracture stress and yield stress are intersecting at a critical grain size, d*.
For larger grains (greater than the critical size) the fracture is controlled by the yield stress.
Some microscopic yielding is necessary to nucleate a crack. This will happen only when yield
stress approaches the fracture stress, i.e. when, a= 0 = a".
Once a crack is nucleated, its propagation is rapid enough to cause brittle type failure. For
grains smaller than the critical size, yielding occurs first before any fracture to take place. The
amount of plastic deformation, before fracture, increases with decreasing the grain size below
the critical value. In other words, the ratio of GJIG" increases with decreasing the grain diameter.
This in turn leads to improvement in toughness as is evident from the transition curve (strain
to fracture) superimposed in Figure 10.8.
- - - Fracture stress
- - - Yield stress
- - - Strain to fracture
e s(ess ,,
r(acl.l( / /
/
/
/
/
/
/
/
/
d*
Grain diameter, d-11
2 (mm_,,2) -
FIGURE 10.8 Effect of grain size on yield strength, fracture strength and fracture strain. Decreasing
grain size results in not only increase of ay but also a, and strain to fracture.
Thus, fine grained materials have a lower
transition temperature as compared to coarse grained
materials. Therefore, it is beneficial to either adopt
the lowest possible finishing temperature in hot
working or normalize the steel after hot working.
Figure 10.9 illustrates that decreasing the grain size
not only results in improvement in strength but also
in toughness. Ductility is slightly improved while
weldability remains unaffected. From the forgoing
discussions it is clear that among the various
strengthening mechanisms grain refinement is the
only one which results in not only improvement in
strength, but also improvement in toughness. In all
other strengthening mechanism, on the other hand,
toughness gets reduced with the increase in strength.
1/)
Q)
·-e
2i.
e
a..
Wedability
Ductility
Decreasing grain size -
FIGURE 10.9 Effect of grain refinement
on various properties.
@Seismicisolation
@Seismicisolation
Ductile-Brittle Transition Behaviour and Fracture Toughness Test 283
Composition
Effect of composition on impact transition temperature has been discussed with reference to
steel as these are widely employed in the manufacturing of components of structure and
machines involving impact loading conditions. Of all the major alloying elements present in
steel, chromium has little effect while carbon and manganese have a great effect on Ductile
Brittle Transition Temperature (DBTT). Carbon which is invariably present in steels and which
is also the principal alloying element, raises the DBTT. This effect is counteracted by
manganese, but to a lesser extent. For example, an increase of carbon content by 0.1 % increases
the DBTT by about 15°C, whereas an increase in Mn content by 0.1 % lowers this temperature
by only about 5°C. So for a satisfactory notch toughness Mn:C ratio must be maintained to be
a minimum of 3: 1. This ratio may be increased to as high as 3: 1. When this ratio is still higher
and Mn content is greater than about 11%, manganese tends to stabilise austenite.
Phosphorous and silicon also raise the DBTT of steel. An increase in phosphorous content
by 0.1 % over the nominal limit, raise DBTT by about 7°C. Molybdenum also behaves in the
same way as carbon. Oxygen also raises the DBTT of steel. An increase of oxygen content by
about 0.001 % raises this temperature by 5°C. Nitrogen also has detrimental effect on notch
toughness of steel. Aluminium, which is used for deoxidation of steel to produce semi-killed
or killed steel, is beneficial as it not only lowers the oxygen content in steel but also combines
with the dissolved nitrogen to produce aluminium nitride. Thus, aluminium not only increases
notch toughness by reducing oxygen content but also improves strength by forming aluminium
nitride. A reduction in dissolved N also eliminates yield point phenomenon in steel. Aluminium
increases rate of nucleation during solidification of steel, and thus, refines the grain structure,
and hence, lowers DBTT. In HSLA ferritic steels, small amounts of columbium or vanadium
also improve impact toughness of steel. Carbides of these elements raise the yield strength and
restrict the grain coarsening, thereby lowering the DBTT. Nickel also lowers DBTT of steel.
Nickel in steel lowers the lower critical temperature, and thus, produces a fine pearlitic structure
which is responsible for improved toughness of steel.
Effect of microstructure and heat treatment
In case of rolled or forged products, impact strength (or impact toughness) varies with the
directionality of orientation of grains. Impact strength is higher along longitudinal direction, i.e.
when the impact force is tensile with respect to the direction of orientation of grains (Figure
10.10). Similar observations are made with banded structure of ferrite and pearlite. Both quench
ageing and strain ageing raise the DBTT and reduce tensile ductility and notch bar toughness
of low carbon steel. Low carbon steels containing less than 0.1 % carbon when quenched after
holding for some time, from about 923 K to 993 K (650°C to 700°C), results in highly
supersaturated ferrite phase. The high temperature phase is retained at room temperature.
This supersaturated solid solution of ferrite is unstable even at room temperature. This is
because interstitial carbon atoms tend to diffuse out of the BCC lattice of iron over a period
of time in the temperature range of 293 K-573 K (20°-300°C). Over the period of time, i.e.
on ageing, precipitation of iron carbide takes place. This carbide precipitate reduces ductility
and impact toughness of low carbon steels. If ageing occurs up to about 473 K (200°C), Fe2.4C
carbide having hexagonal close packed structure precipitates out in sub-microscopic form. If the
ageing temperature is raised to about 300°C, cementite will form.
@Seismicisolation
@Seismicisolation
284 Mechanical Behaviour and Testing of Materials
Direction of orientation of grains
A
"C
i
0
(/)
..c
<ll
>-
~
Cl>
C
w
Temperature -
B
FIGURE 10.1O Effect of orientation of grains with respect to impact load on impact strength.
The phenomenon of blue brittleness is closely associated with dynamic strain ageing and
results in decrease of impact toughness in low carbon steels if these deform in the temperature
range 373 K-623 K (l00°-350°C). Plastic deformation of low carbon steels, in this temperature
range, results in interaction between the solute atoms and dislocations produced. Under thermal
conditions, the solute atoms are able to diffuse in the material at a faster rate than the speed
of dislocations and catch and pin them. The consequent effect is the increased density of locked
dislocations which reduce ductility as well as impact resistance. This phenomenon is accelerated
at about 473 K (200°C) or more. The phrase blue brittleness is a misnomer. The name blue is
derived from the colour of the oxide film formed on the surface of steel when oxidized in the
temperature range 473-573 K (200°-300°C). The name is 'misnomer' as the steel does not
become brittle in the normal sense of brittleness. Rather the steel shows minimum elongation
at this temperature as well as decreased notched impact resistance. The tensile fracture does not
show brittle characteristic.
Tempered martensitic structure provides the best combination of tensile strength and
impact toughness. In case of some low alloy steels, tempering within certain temperature range
(in particular, 623-873 K (350°-600°C) results in embrittlement popularly known as temper
embrittlement. The major consequence of temper embrittlement is found to be an increase in
ductile-brittle transition temperature, and hence, the reduction of the impact value of steel to a
great extent. The temper embrittlement has been thought to arise due to precipitation of certain
impurities such as P, As, Sn and Sb at the prior austenite grain boundaries without the formation
of observable precipitate. This has been verified by some investigators using Auger electron
spectroscopy (a technique by which the chemistry of the first few atomic layers of a material's
surface is analyzed). The segregation of these impurities reduces the cohesive energy of the
grain boundary which, in tum, lowers the local stress necessary to generate an accelerating
microcrack leading to brittle type fracture. The effect of temper embrittlement can be minimised
@Seismicisolation
@Seismicisolation
Ductile-Brittle Transition Behaviour and Fracture Toughness Test 285
in three ways: by cooling relatively fast during this tempering temperature range so that enough
time is not available for unwanted precipitation of impurities to occur, by adding a small amount
of molybdenum which seems to raise the temperature range of impurity precipitation and
tempering can be carried out below this temperature range without the danger of embrittlement
effect; small additions of a lanthanide metal (a group of rare earth metals with atomic number
from 57 to 71 inclusive are referred to as lanthanide metals) reduces the temper embrittlement
effect. A lanthanide metal combines with the embrittling impurities such as P, As, Sn, and Sb
and form harmless compounds in the matrix, thereby preventing the impurities segregation at
grain boundaries.
10.6 BEHAVIOUR OF POLYMERS UNDER IMPACT LOADING
Like many metals that are tough when tested at slow strain rate (as in tensile test), it tend
to fracture in a brittle manner under sudden loading, many polymers also follow this trend.
In metals this impact energy is dissipated to cause plastic deformation of the material,
whereas in polymers this energy is accommodated through atomic vibration and/or
molecular movements (such as rotation and small translations) and heat. Polymer materials
that do not allow such modes of movements fail by the brittle mode of fracture because the
impact energy is confined within a small localized area, and is enough to cause direct
rupture of bonds. The movements in polymer molecules cause deformation or strain.
Polymer materials that exhibit large deformation or strain display good toughness under
impact loads in particular when they have good tensile strength. However, such polymer
materials tend to have low elastic modulus. Thus, polymer materials with high elongation
and low modulus but high tensile strength are called tough and those with high modulus
and low elongation are said to be brittle. This trend is also apparent from the tensile curves
shown in Figure 5.25. Polymers that are highly crystalline and those which have high
degree of cross-linking (such as thermosets) have restricted molecular movements, and are
therefore, brittle in nature. Semicrystalline thermoplastics having high molecular weight
and narrow molecular weight distribution display good toughness because such plastics
have an optimum combination of high strength and plasticity. In such semicrystalline
plastics, energy of impact is dissipated in causing vibrations, rotation and stretching of
atoms and molecules. Here crystallites (the regions in which the polymer molecules have
high degree of order or molecular orientations) impart high strength and the amorphous part
is responsible for molecular movements. Figure 6.30 is a schematic representation of
crystallite in polymer. Impact strength of many polymers is raised by introducing
reinforcements in them. Toughness of many plastics is also improved by the addition of
rubber (also called elastomer) material in them. These additions are called toughness
modifiers. The rubber particulate material is mixed thoroughly with a rigid plastic and
imparts additional molecular movements when the plastic is impacted. Thus, the modified
plastic is able to absorb the energy of impact and has good toughness. Amorphous polymers
with large bulky side groups exhibit brittle behaviour. Unoriented crystalline polymers tend
to be tough if tested above or near glass transition temperature. However, at still higher
temperature impact strength tend to decrease because of the softening of the polymer
material. Just as with many metals that tend to show brittle behaviour at low temperatures and
@Seismicisolation
@Seismicisolation
286 Mechanical Behaviour and Testing of Materials
high strain rates, many polymer materials also display this trend. Both amorphous and
crystalline polymers are brittle at low temperatures and have low impact toughness. Both
display ductile-brittle transition behaviour over a narrow temperature range just as many
steels show. Both Izod and Charpy tests can be used to measure impact toughness of polymer
materials. In the test, a notched standard specimen is subjected to impact blow and the energy
at fracture is measured as impact strength. In the Izod test, the specimen is rigidly held
vertically and notch is facing the striking hammer. In Charpy test, the specimen is held
loosely as a beam and notch is opposite to the striking hammer. Izod test is more common
for plastics.
10.7 FRACTURE TOUGHNESS
Impact test can be used to determine the temperature range for the transition from ductile to
brittle behaviour in metals and alloys as the temperature is lowered. An impact test gives
quantitative comparative useful data with relatively simple test specimen and equipment.
However, these tests do not provide property data for design purposes for material sections
containing cracks or flaws. Discipline of fracture mechanics provides the property data for
design purposes. Fracture mechanics involves the theoretical and experimental analyses of
fracture of structural materials containing preexisting cracks or flaws.
Generally, fracture of a material initiates at a location having the highest stress
concentration. The tip of a crack is one such location. To illustrate this let us consider a plate
sample containing an edge (or surface) crack [as shown in Figure 7.2(b)] and is subjected to
a uniaxial tensile load as shown in Figure 10.1 l(a) and (b)]. When there is no flaw in a material,
the load is supported by several atomic bonds over a uniform area [Figure 10.1 l(a)], i.e. the
applied stress is said to be uniformly distributed. In presence of a surface crack the stress is
redistributed such that the load that was supported by several bonds is now carried by only a
few bonds at the crack tip as shown in [Figure 10.1 l(b)]. That is, the presence of a flaw will
locally amplify the applied stress at the crack tip and is maximum there than anywhere else
around the crack tip, as illustrated in [Figure 10.1 l(c)].
There are three fundamental modes of loading that result in different crack surface
displacement. These modes are illustrated in Figure 10.12. Mode I is a crack opening
(or tensile) mode, whereas modes II and III are sliding and tearing types respectively. In mode
I, the applied stress is tensile in nature and acts normal to the faces of the crack (y-direction)
thereby leading to its opening. Mode II refers to the shear mode in which the stress applied
normal to the leading edge of the crack but lie in the plane of the crack. Mode III is the parallel
shear mode that arises when shearing stresses are applied to the leading edge of the crack as
shown by arrows.
Mode I loading is the most common and important situation associated with most of the
structural components. Consequently, considerable attention has been paid to both the analytical
and experimental methods designed to quantify mode I stress-crack relations. Mode II is found
less frequently and is of little engineering importance. Mode III is also a rare situation in
practice. Mode II and mode III in combination with mode I are operative in crack propagation
in reinforced composites.
@Seismicisolation
@Seismicisolation
Ductile-Brittle Transition Behaviour and Fracture Toughness Test 287
(a) Load
y
z
en
en
~
"'iii
~
·u;
C:
Q)
I-
(b) Load
 Distance------ X
Crack tip
(c)
FIGURE 10.11 (a) Schematic atomic two-dimensional model of a crystal without a crack, (b) The
same crystal with a crack showing breakage of many bonds and redistribution of
stress. The stress is supported now by only few bonds, and (c) Variation of tensile
stress ahead of the crack tip.
(a) Mode I (b) Mode II (b) Mode III
The sliding mode The tearing mode
FIGURE 10.12 Modes of crack surface displacement. (a) Mode I, the opening or tensile mode,
(b) Mode II, the sliding mode, and (c) Mode III, the tearing mode.
@Seismicisolation
@Seismicisolation
288 Mechanical Behaviour and Testing of Materials
For mode I configuration, the stresses acting on an element of the material at distance r and
the angle 0 with respect to the tip of an advancing crack (Figure 10.13) are expressed by:
K 0 (l . 0 . 30)
a" =--cos- +sm-·sm-
. ✓
2m- 2 2 2
(10.5)
K 0 ( . 0 . 30)
ax = ✓
2m- cos 2 1- sm 2·sm 2 (10.6)
r = ~(cos ~· sin ~· cos 30 )
x_, ✓
2m" 2 2 2
(10.7)
y
r
-- - - -------,,,, 0
X
z
FIGURE 10.13 Stress distribution on a small element of the material at a distance rand an angle
0 with respect to the tip of a crack.
Equations (10.5-10.7) are also called field equations and show that the local stresses at
the crack tip could rise to extremely high levels as r approaches zero [Figure 10.13(c)]. In
Eqs. (10.5-10.7), K is a parameter that measures the magnitude of the stress field in the
crack tip region and is called stress intensity parameter. In effect, it describes the extent
of stress amplification resulting from the flaw. All the crack tip stresses (as indicated from
Eqs. (10.5-10.7) are proportional to K.
There are two extreme cases for the mode I loading (i.e. the crack opening mode)
depending on the thickness of the plate. If the plate is thin relative to the dimensions of the
crack then <Yz cannot increase appreciably in the thickness direction, a condition called plane
stress is said to exist such that <Yz "' 0 [Figure 10.14(a)]. In thick sections, on the other hand,
the stress <Yz is developed, which creates a condition of triaxial tensile stresses acting at the crack
tip. These triaxial stresses severely restrict straining in the z-direction. This condition is called
plane strain and develops a through thickness stress given as:
(10.8)
where v is the Poisson's ratio of the material. The distribution of <Yz stress through the plate
thickness for the plane strain condition is shown in Figure 10.14(b).
Equations (10.5), (10.6) and (10.7) suggest that the stress distribution around a crack trip
is similar in a structure and depends only on r and 0. The difference between two cracked
components lies with respect to the magnitude of stress-intensity factor K. If flaws of different
@Seismicisolation
@Seismicisolation
..,...,.,..,,. ...,,,
a,
(a)
Ductile-Brittle Transition Behaviour and Fracture Toughness Test 289
_,,
v( crx + cry)
_l
,,.rl"TITll"jfj"lj11"TITITjl"'jlj11 ITITj') ~
.1 111111111111111111111111111111 11111111,
iii 11111111111111111111111111111 1111111111~
........ 11J..LL.wJ;.J.,LL.L..IJ;J..LL I.JJJ..L T--a,
(b)
FIGURE 10.14 Distribution of through thickness stress <Iz. (a) Thin sheet under plane-stress
condition, (b) Thick plate under plane-strain condition.
geometry have the same value of K, then the stress fields around each of the flaws are identical.
K increases as the load on the specimen is increased and according to the field equations i.e.
from Eqs. (10.5), (10.6) and (10.7) the local stresses must increase. For the general case, the
stress-intensity factor K is related to the applied stress a, and the crack length a given as:
(10.9)
where, Y is a dimensionless constant. The stress concentration kt at the crack tip is not the same
as K and is expressed as:
kt =2aapp ~ (10.10)
In Eq. (10.10), p is the radius of curvature at the crack tip and Gapp is the applied stress. The
crack is said to be sharp when it has small value of p. Equation (10.10) suggests that long and
sharp cracks are the most serious types of flaws. A comparison of the stress-intensity factor K
and the stress concentration factor kt shows that the latter accounts for the geometrical variables
namely, the crack length and the crack tip radius, whereas the former incorporates both
geometrical terms (the crack length appears explicitly, while the crack tip radius is assumed to
be very sharp) and the stress level. As such, K provides more information than does the kt.
Experimentally, it is possible to determine the maximum value of stress-intensity factor
K for a standard specimen containing a flaw by stressing it under tension until fracture occurs.
This means that the crack propagates when K reaches Kc, the critical stress intensity factor. This
critical value Kc is popularly known as fracture toughness of the material. The critical stress-
intensity factor Kc can be determined under both plane-stress and plane-strain conditions. The
plane-strain condition represents more severe stress state, and therefore, the values of Kc are
lower for plane-strain specimens than for plane-stress specimens (Figure 10.15). Under Mode I
(one) loading condition, the fracture toughness is designated by the symbol K1c (pronounced
as kay-one-cee), and represents the critical value of stress-intensity factor at a crack tip
necessary to produce catastrophic failure under simple uniaxial tensile loading. The subscript
l stands for mode I (uniaxial) tensile loading in which tensile stress causes the crack to open
and C stands for critical. In general, the value of fracture toughness is given as:
@Seismicisolation
@Seismicisolation
290 Mechanical Behaviour and Testing of Materials
Plane-strain condition
Section size
FIGURE 10.15 Effect of section size on stress intensity factor.
(10.11)
where, Y is the same as defined above and its value depends on the sample shape, the crack
geometry and its relative size (i.e. the depth) with respect to the specimen dimensions, 0 is the
overall applied stress at failure and a is the length of the surface crack (or one-half of an interior
crack). The condition for failure is given as:
(10.12)
This means that there is a critical value of the stress intensity parameter at which fracture will
take place catastrophically. Fracture toughness has the units MPa m112• The concept of K 1e can
be demonstrated by considering blowing up of a balloon containing a small pinhole. When
internal pressure of the balloon reaches a critical value, catastrophic failure originates at the
pinhole (i.e. the balloon pops).
To obtain constant values of K1e, the thickness dimension of the specimen must be
relatively large compared to the notch-depth dimension a so that plane-strain condition is
attained. Plane strain conditions require that during testing there is no strain in the direction of
the notch, i.e. in the z-direction. The experimental determination of plane-strain fracture
toughness has shown that the critical thickness B, is related to both K 1e and the yield strength
(Y.S.) of the material in accordance with the relation given as:
B =2.5 (Kie )2
Y.S.
(10.13)
The major use of fracture mechanics in metallurgical engineering is to characterize those alloys
which are strengthened and possess intermediate ductility values and can undergo catastrophic
failure below their Y.S. because of the stress concentrating effect on flaws present in the
material. The strength of the ceramics can be increased by either increasing the fracture
toughness or decreasing the flaw size.
Fracture toughness test
Though there are several techniques of determining fracture toughness experimentally, the two
most commonly used ones involve the measurement of fracture stress for a given specimen
@Seismicisolation
@Seismicisolation
Ductile-Brittle Transition Behaviour and Fracture Toughness Test 291
geometry with known standard initial crack length, and the measurement of the lengths of the
cracks emanating from hardness indentations.
10.7.1 Fracture Stress Test
In this method of fracture toughness measurement, a tensile stress is applied to a specimen
containing a prepared flaw (or notch) of known size and geometry conforming to standard
dimensions and with a crack emanating from the base of the notch. The crack is generally
introduced by a fatigue process to a predetermined size of about 3 mm depth to start the fracture
during the test. Fatigue crack produces a sharp notch like effect (Figure 10.16). If the specimen
is thick enough, a plane-strain condition is produced which gives the worst behaviour of the
material. During the test, the values of applied stress required to cause given amounts of crack
extension are measured. Finally, the stress corresponding to fracture is noted down. The stress-
intensity factor K then can be determined using Eq. (10.11). For thick plate, Y is generally taken
as unity. The exact value of Y may be taken from the standard charts. If the stress-intensity
factor K is greater than the critical value K1c (Eq. 10.12), the flaw grows and the material fails.
The other two configurations of the test specimens include single-edge notched bend test beam
specimen and Chevron notch specimen as shown in Figure 10.17.
F
M
''---~"'
'
Machined
notch
r- ~ ..... ..,__ __,
' ' '
' '
' '
J_-z==;::.=--=::: :,~
T Fatigue
crack
Root radius
0.1 max
- - + - ~ - - - + - - - -Z7
Netwidth, W
Total width, C
Thickness, B
Half height, H
Hole diameter, D
F
Half distance between
hole outer edges, F
}--,
Notch width, N
Effective notch length, M
Effective crack length, a
All dimensions are in mm
FIGURE 10.16 Geometry of standard specimen for fracture toughness test as per 8S5447:1987.
@Seismicisolation
@Seismicisolation
292 Mechanical Behaviour and Testing of Materials
p p p p
(a) (b)
Pis the load, 0 1 is the distance between the supports, 02 is the distance
between points of loading and a is the depth of the notch.
FIGURE 10.17 (a) Geometry of single-edge notched beam specimen. (b) Chevron notch specimen.
10.7.2 Hardness Indentation Method
This method of measuring fracture toughness is simple, partially non-destructive and requires
minimum machining to prepare the sample for Vickers hardness indentation test. This method
is specially used to determine fracture toughness of ceramics. In this method the diamond
indenter is impressed into the polished specimen under examination under a predetermined load.
Cracks are formed at the comers of the indentation mark as shown in Figure 10.18. The lengths
(t) of the cracks emanating from the comers of the square indentation are measured. Vickers
hardness Hin GPa of the material is calculated. Using the empirical relationship between fracture
toughness and Vickers hardness given in Eq. (10.14), fracture toughness can be determined
( E )o.4 (t)
Kie =cJ>Jiii H f 1 (10.14)
where, <Pis the indenter geometry-dependent constant, Eis elastic modulus of the material and
t is the crack length and l is half the length of indentation diagonal (Figure 10.18). This figure
shows the top and cross-sectional views of the two most common types of cracks of interest.
At high loads fully-developed median cracks are produced [Figure l0.l8(a)] while at low loads,
Palmqvist cracks are produced [Figure lO
.l8(b)]. These two indentations can be distinguished
by polishing the specimens after indentation. In case of median crack system, the emanating
cracks appear to be connected to the inverted pyramid of the indent [Figure l0.18(a)] while in
case of Palmqvist system, the cracks emanating at the corners before polishing are seem to be
detached from the inverted pyramid of the indent.
The fracture toughness is the material property just as yield strength. The fracture
toughness values of some engineering materials are given in Table l0.l. The ability of the
material to resist the growth of a crack depends on several factors. These factors are as follows:
(i) The larger flaws reduce the allowable stress.
(ii) Increasing the yield strength of a given metal tends to reduce fracture toughness
(Table 10.l) as well as the allowable flaw size (ac), often steeply. This is often
associated with lower ductility that stronger alloys possess. It is apparent from the
following relationship:
@Seismicisolation
@Seismicisolation
Ductile-Brittle Transition Behaviour and Fracture Toughness Test 293
Median crack (side view) Palmqvist crack (side view)
Ml~
l . .~~
. .C
Top view
--1 2/ I--
Before polishing After polishing Before polishing After polishing
(a) Median Crack (b) Palmqvist Crack
FIGURE 10.18 Cross-sectional side view and top view of the two most common types of cracks.
( 1 1 ) ( K 1c )
2
ac = 7r X 7 Gy /2 (10.15)
Here, the operating design stress has been taken as half of the yield strength (i.e. a/2). Thus,
one has to sacrifice for fracture toughness if raising the yield strength of a material.
TABLE 10.1 The fracture toughness (Kie) for some selective engineering materials
Material Fracture toughness, K1c, Yield Strength (Y.S.),
MPa ✓m MPa
Al-Cu Alloy 24 455
26 385
36 325
Ti-6Al-4V 55 900
99 860
Ni-Cr Steel 50 1640
88 1420
4340 Steel 46 1470
Marageing Steel 90 1730
7075-T6 Al Alloy 24 500
Alumina 1.76 210
Silicon nitride 5 550
Transformation Toughened Zirconia 11 420
Si3N4 - SiC Composite 56 840
@Seismicisolation
@Seismicisolation
294 Mechanical Behaviour and Testing of Materials
(iii) Thicker materials have lower fracture toughness than the thin materials
(Figure 10.15). However, the fracture toughness is less predictable for thin sections
due to increased section size sensitivity as the thickness of specimen approaches the
size of the flaws.
(iv) Increasing the temperature usually increases the fracture toughness of BCC and HCP
metals. However, fracture toughness of FCC metals is relatively unaffected by
variation in temperature (Figure 10.19).
(/)
(/)
Cl>
C
.c
Cl
::,
.9
!!!
::,
0
~
u.
Steel
Aluminium alloy
Temperature -
FIGURE 10.19 Effect of temperature on fracture toughness of materials depending on crystal
structure.
(v) The ability of material to deform at the crack tip depends on its nature. In ductile
metals, the material near the tip of the flaw can deform plastically, helping to absorb
energy and blunt the crack so that further crack growth is resisted. Brittle materials
such as glass, on the other hand, cannot deform; consequently, the crack propagates
to cause fracture with little energy absorption.
10.7.3 Importance of Fracture Toughness Determination
Fracture toughness is a material property in the same sense as yield strength of a material. Thus,
once the material is selected, its fracture toughness is fixed. Now knowing the fracture
toughness and the size of a flaw within the material (the flaw can be detected non-destructively
using ultrasonic testing or X-ray radiography if the flaw size is larger than 0.1 mm) one can
determine the maximum stress that can be acted on the material without causing its failure. If,
on the other hand, both the applied stress and the fracture toughness of the material are known,
it is possible to determine the largest size flaw ac that can be tolerated by the material without
fracture. This flaw size can be determined by a suitable NOT technique.
10.8 TOUGHENING IN CERAMICS
The main reason due to which ceramics find limited use in structural applications is their brittle
nature. The stress at which they fracture is significantly lower than their flow stress except at
high temperatures. As with other materials, the critical fracture stress a1,, of ceramics is directly
@Seismicisolation
@Seismicisolation
Ductile-Brittle Transition Behaviour and Fracture Toughness Test 295
related to the elastic modulus E, and the fracture surface energy y, and varies inversely with the
flaw size a, according to the well-known Griffith-Orowan relationship given as:
( Ey)l/2
a1, oc -
a
(10.16)
It is very difficult to increase elastic modulus, particularly for materials that have inherently
high elastic modulus. Therefore, in order to enhance the fracture strength of ceramics most
efforts have been directed towards reducing the flaw size by decreasing the grain size or
improving surface finish through the use of ultra fine powders for fabrication of ceramic parts.
This can also be achieved by improving the methods of processing which may reduce porosity.
Lesser the number of pores, tougher will be the ceramic.
An alternative approach which is receiving attention is alloy ceramics. Sialon family of
ceramics is a typical example of alloyed ceramics. This family of ceramics is based on a form
of silicon nitride (,B-Si3N4) alloyed with metal oxides and nitrides such as MgO, Y20 3 Al2O3,
and AlN. Certain sialons are very hard and wear resistant; they also resist thermal shock because
of their relatively low Coefficients of Thermal Expansion (CTE). The high thermal shock
resistance together with good creep and oxidation resistance make Sialons potentially valuable
materials for use in gas turbines. They have proved themselves as outstanding materials for
manufacture of cutting tools for certain machining operations.
The latest philosophy for toughening ceramics is to create microstructures in which the
Griffith theory no longer dictates behaviour, so flaws do not control the fracture process.
Instead, the microstructure resists the propagation of flaws and toughness increases
progressively to a plateau value. This situation is shown in Figure 10.20, where the stress
I
I
I
/
I
I .
I /
/ /
/
CJ* /
/
/
/
------- ---------~-;/ -~
--~ --K-
R
-
(C-
)----cc;
/
/
/
/
A
/.
/
' . /
, . /
./1
_/ :
./ '
/
/
1/
. /
. / ·
. /
/
-·
0'1 .-----
. /
. /
Increasing
(Ja
I/ ,
'/ , ,-'
/· / '
I,' I
/ i ao
'
'
:a*
Crack length ------
FIGURE 10.20 R-curve behaviour. a0 and a* are the initial and critical crack lengths, KR* is the
critical stress intensity factor. Solid line curve corresponds to R-curve [KR(c)] and
dotted line curves represent applied Ka curves with increasing applied stress aa.
@Seismicisolation
@Seismicisolation
296 Mechanical Behaviour and Testing of Materials
intensity factor K (toughness) is plotted against crack length. Such curves are called R-curves
(crack-resistance curves). The applied stress-intensity curves are also shown in this figure. The
condition for failure is reached where the two curves intersect tangentially. The intercepts
labelled a* and KR* are the critical flaw size and critical stress-intensity factor, respectively.
The meaning is that a pre-existing flaw can grow until it attains the critical size a*, and
consequently failure occurs.
There are several important aspects of R-curve behaviour as follows:
(i) Some processing related flaws can be present without causing failure of the material.
(ii) Scatter in strength values is considerably reduced so that design with these materials
is relatively simple since the designer can use a single value of failure strength.
(iii) R-curve behaviour is not a material-related property; it depends on geometry.
(iv) Materials can be divided into two different classes-high toughness/low strength and
low toughness/high strength. The former usually show a gradually rising R-curve with
failure being governed by the R-curve behaviour. The latter class of materials has a
steeply rising R-curve, and failure occurs in accordance with Griffith theory. The first
class of materials is clearly more desirable than the second. In the former case, R-curve
behaviour controls the fracture. The crack tip behaviour in ceramics is substantially
different from that observed in metals. In case of metals, the plastic zone ahead of the
crack tip is important, whereas in ceramics it is the wake zone behind the crack tip
that controls fracture behaviour.
There are four major methods of enhancing toughness of ceramics, namely, crack
deflection, crack bridging, transformation toughening and microcrack toughening.
10.8.1 Crack Deflection Toughening
It is well-established that a polycrystalline ceramic material is considerably tougher than its
single crystalline counterpart of the same composition. For example, fracture toughness of
single crystal alumina is about 2.2 MPa✓m, as against the value about 4.0 MPa✓m shown by
polycrystalline alumina. Similarly, investigations have shown that glass ceramic has a fracture
toughness value (about 2.0 MPa✓m) which is almost twice that of the glass (K1c = 0.8 MPa✓m)
from which the glass-ceramic has been derived. One of the reasons is the crack deflection that
occurs at grain boundaries (Figure 10.21). In a polycrystalline ceramic material, as a crack
propagates under stress and encounters a grain boundary, it is deflected along the grain
boundary. The consequent effect is the reduction in average intensity of stress at the tip of the
crack ktip. This is because the stress is no longer normal to the crack plane. In general, the crack
tip intensity is related to the applied stress-intensity (kapp) and the angle of deflection 0, and is
written as:
(10.17)
The angle 0 is indicated in Figure 10.21. Any reduction in average stress intensity at the crack
tip results in toughening of the ceramic. Dispersion of a second phase hard refractory particulate
or whiskers of other ceramics in monolith ceramic matrix also act to deflect an advancing crack
@Seismicisolation
@Seismicisolation
Ductile-Brittle Transition Behaviour and Fracture Toughness Test 297
Deflection of
crack at a
grain boundary
FIGURE 10.21 Schematic representation of crack deflection mechanism at grain boundaries.
from its original path. When a crack approaches a dispersed second phase particle with a
relatively weak interface, it is deflected from its original plane. This results in lowering of
stress-intensity at the crack tip. Thus, higher stresses are required to propagate the crack.
Sintered alumina, for example, has a fracture toughness of about 4.5 MPa✓m which has been
found to increase to about 8 MPa✓m when incorporated with about 20 volume % of SiC
whiskers.
10.8.2 Transformation Toughening
A relatively new approach to achieve high fracture toughness and strength in ceramics is the
transformation toughening. Transformation toughening involves a special form of crack tip
plasticity. Under the conditions of high stress which is developed at an advancing crack tip in
a stressed ceramic body, stress induced martensitic phase transformation (diffusionless shear
process that involves cooperative atomic movement of atoms taking place within a very short
distance) occurs in certain metastable phases. This transformation absorbs some energy and
consequently the crack requires progressively more energy to propagate than just the surface
energy {')? which is normally needed to extend the crack walls. The martensitic transformation
is accompanied with an increase of specific volume by about 6-9% which effectively reduces
the extension of a crack or flaw present in the ceramic material. This principle has been applied
to ceramics either based on zirconia or to which metastable tetragonal zirconia particles are
added.
Pure zirconia is cubic below its melting point at 2680°C to about 2360°C (Figure 10.22)
and has CaF2 type structure in which calcium ions form FCC structure, and all the tetrahedral
sites are filled-in by fluorine atoms [Figure 10.23(a)]. From this temperature to about 1100°C,
zirconia (ZrO2) exists as tetragonally distorted fluorite structure [Figure 10.23(b)]. Under most
circumstances zirconia will further change to a monoclinic structure [Figure 10.23(c)] below
about 1100°C. The temperature of this transformation from tetragonal to monoclinic can be
quite variable. The transformation from tetragonal to monoclinic involves a 3% anisotropic
volume change and invariably cause microcracking and loss of structure integrity in Zr02
ceramic. The low temperature transformation does not permit any stress relief other than
microcracking for the transformation induced strains. So it is impossible to fabricate articles
from pure zirconia. However, by the addition of other refractory oxides such as MgO, CaO
@Seismicisolation
@Seismicisolation
298 Mechanical Behaviour and Testing of Materials
3000~-------~-------~------~
2500
~ 2000
i
::,
~
8.
E
~ 1500
Liquid
Cubic solid solution + Mg0
MgO, mole % ---
FIGURE 10.22 Zirconia-rich end of the ZrOrMgO phase diagram. The shaded region indicates the
most commercial composition range of magnesia.
• •
• •
(a) (b) (c)
• Zr
00
FIGURE 10.23 Polymorphic forms of zirconia (Zr02) (a) Cubic (b) Tetragonal and (c) Monoclinic.
and Y20 3 as alloying material, it is possible to stabilize cubic form of zirconia at room
temperature. Articles can be fabricated from metastable cubic zirconia. This cubic form of
zirconia which is stabilized at room temperature is called stabilized Zirconia. However, the
stabilized cubic Zr02 possesses relatively poor mechanical properties. It has low hardness and
stiffness. The combination of high thermal expansion coefficient and low thermal conductivity
give rise to exceedingly poor thermal shock resistance.
If a stabilizing oxide is added to pure zirconia in such an amount that cubic form of
zirconia is stabilized only partially when properly heat treated. The microstructure then consists
of dispersion of submicron size (about 40 nm size) tetragonal zirconia particles in the matrix
of cubic zirconia. Sometimes, a small amount of monoclinic zirconia grains may also be
produced. This form of zirconia is called Partially Stabilized Zirconia (PSZ) or popularly known
@Seismicisolation
@Seismicisolation
Ductile-Brittle Transition Behaviour and Fracture Toughness Test 299
as ceramic steel. This two phase microstructure is more resistant to crack propagation because
the crack path is not straight forward but has twists and bends. However, there is at least one
additional factor that helps to resist crack propagation. In highly stressed region ahead of an
advancing crack, the tetragonal particles undergo a stress-induced martensitic transformation to
the monoclinic phase with an accompanying volume expansion (or dilatation) of about 3-6%
or more. This change introduces highly localized compressive stresses ahead of the crack tip
and reduction in stress-intensity at the crack tip. The consequent effect is that extra energy is
required to extend the crack through the compression zone, and hence, increase both toughness
and strength of the ceramic. On the whole, the fracture strength <Ifr is significantly increased
because the effective fracture surface energy r is increased considerably. The extent of
transformation toughening depends on the volume fraction of second phase tetragonal zirconia
particles dispersed in another ceramic body. A typical example of such material is zirconia
toughened alumina in which metastable tetragonal zirconia particles are dispersed in the matrix
of alumina. A significant volume fraction of tetragonal zirconia particles of very fine size must
be present in the microstructure for high fracture toughness. It has been found that the tetragonal
particles are stable only when these are below a critical size. Furthermore, stress induced phase
transformation in tetragonal particles will occur only if the particle size is below the critical
value.
10.8.3 Crack Bridging (or Wake) Toughening
Bridging mechanism involves reinforcements which form bridges behind the crack tip (i.e. in
the wake zone) so as to bridge the crack surfaces and generate crack closure forces. The
consequent effect is toughening of the ceramic. These ligaments in composites may be a ductile
metal, strong whiskers, or fibres. The increase in toughness of fibre reinforced ceramic
composites is governed by the amount of compressive stresses that the intact ligaments
generate, thereby restraining (i.e. resisting) crack opening. Composites with brittle matrices
(aluminium nitrides and some other ceramics) have slightly higher toughness than their
unreinforced analogue. In all composites, however, toughness values considered acceptable for
critical structural components. In composites with brittle matrices, the critical flaw size is
usually smaller than the interfibre spacing and cracks initiate in the matrix rather than at the
fibre-matrix interface. Toughnening of these composites involves increasing the energy
absorbed in crack growth. In the toughening of continuous-fibre reinforced composites, the
fibre-matrix interface strength plays a critical role.
Ideally, for toughness in brittle matrix composites at room temperature, the fibre-matrix
interface should be strong enough to ensure load transfer across the interface until a crack is
produced in the matrix, and then be weak enough to allow debonding, thus preventing the
composite from behaving as a monolithic material. [Figure 10.24(a)] shows that a crack is
developed in the brittle matrix under the influence of tensile stress and runs at right angles to
the fibres. As it is reached at the matrix-fibre interface, it is deflected along the relatively weak
interface. That is, the crack is stopped temporarily at the interface and the energy is used up
in creating new surfaces (i.e. causing debonding at the interface). As the load is increased, the
crack propagates along the fibre-matrix interface and also begins to run on the other side of the
fibre [Figure 10.24(b)]. The debonding at the interface leads to fibre pull out. Fibre pull out
@Seismicisolation
@Seismicisolation
300 Mechanical Behaviour and Testing of Materials
Fibre
(a)
Matrix
(c) (d)
FIGURE 10.24 A schematic illustration of toughening of brittle ceramic matrices by reinforcing
fibres. (a) Matrix crack propagation and blunting due to weak interface, (b) The
crack travels on the other side of the fibre while the fibre still remain stable,
(c) Occurrance of fibre breaking, and (d) Fibre pull out.
cannot occur without debonding. Fibre pull out is also accompanied with absorption of energy.
It has been found that fibre pull out involves more work than debonding. That is, the energy
absorption is more in fibre pull out effect than in debonding at the interface as illustrated in
Figure 10.25. It is apparent from this figure that the area under the curve OQRS due to fibre
Q)
~
0
LL
0
,
,
s
Displacement -
,
,
,
,
R
FIGURE 10.25 Force-displacement curve for a pulling of a fibre out of the matrix of a composite.
Energy of debonding is given by the aera OPQO and that of pull-out by the area
OQRS.
@Seismicisolation
@Seismicisolation
Ductile-Brittle Transition Behaviour and Fracture Toughness Test 301
pull out is much larger than the area under the curve OPQO due to debonding. Even when the
crack is formed on the other side of the fibre and extends further the fibre is capable of
transferring load across the crack faces. This is called crack-bridging by fibres behind the
crack front (i.e. in the wake zone). When the load is enough, the brittle fibres will break
[Figure 10.26(a)] and ductile fibres deform plastically [Figure 10.26(b)]. Fibres usually break
Debonding
at interface
Ductile fibres
Stress
(a)
(b)
Fibre failure
Crack front
Matrix
Matrix
FIGURE 10.26 Illustration of crack bridging mechanism of toughening in ceramic matrix composite
with (a) Brittel fibres, (b) Ductile fibres as reinforcement.
at a location away from the matrix crack plane [Figure 10.24(c) and 10.26(a)]. In case the fibres
are ductile, the energy is used up in their plastic deformation (ductile extension) and less energy
is available for the extension of crack. All the fibres in the wake zone do not fracture and some
bridge the faces of the crack. As the crack opens under the action of the applied stress, some
stress will be transferred to the fibres which will deform elastically. The stresses in the bridging
fibres are viewed as crack closure tractions which reduce the stresses at the crack tip. There is
a corresponding reduction in the stress intensity factor K1 at the crack tip and hence crack
propagation is hindered. The notable point here is that the toughening by fibre bridging occurs
@Seismicisolation
@Seismicisolation
302 Mechanical Behaviour and Testing of Materials
in the crack wake zone rather than in the frontal or damage zone at the crack tip. The stress
is high in the damaged zone [Figure 10.ll(c)]. The damage zone is illustrated in Figure 10.27.
As the crack extends in fibre reinforced ceramic material, its wake region increases, and hence,
the contribution from wake toughening mechanism increases until a steady state toughness
value is attained. This increasing resistance to crack growth as the crack extends is shown for
fibre bridging by a curve called crack resistance curve (R-curve) plotted as toughness against
crack extension in Figure 10.28.
t-----------
--------------- 
Wake zone
Frontal or
damage zone
FIGURE 10.27 The frontal zone and wake zone about a sharp crack tip.
:a111 ~::::::::::::1111111~11 Steady state toughness
_I
Crack extension -
FIGURE 10.28 Crack resistance curve (R-curve) due to fibre bridging.
10.8.4 Microcrack Toughening
Microcrack toughening is another mechanism of toughening ceramics. This mechanism occurs
in ceramics in which microcracks are purposely introduced in controlled amount by internal
stresses during their processing. When such a microcrack suitably oriented with respect to an
advancing crack, the crack interacts with it and gets blunted, branched or deflected. The
consequent effect is increased tip radius. This reduces local stress at the crack tip, and hence,
increases the fracture toughness of the material. The blunting of an advancing crack in ceramic
body as a result of its interaction with a microcrack is illustrated in Figure 10.29.
@Seismicisolation
@Seismicisolation
Ductile-Brittle Transition Behaviour and Fracture Toughness Test 303
- - Stress
FIGURE 10.29 Schematic representation of microcracks in ceramic body showing blunting of an
advancing macrocrack when it interacts with a suitably oriented microcrack.
Crack deflection, fibre pull out and crack bridging all considered to be the toughening
mechanisms in ceramics or brittle matrix composites. At elevated temperatures, when brittle
matrices become ductile, toughening is obtained when the fibre-matrix interface is strong
enough to allow for high load transfer. In such cases microcracks developed at the fibre-matrix
interface branch out or blunt in the matrix. For creep strength, a high interfacial strength is
desired. Small diameter fibres and a reduction in grain size of the matrix favour increased
toughness in brittle matrix composites.
@Seismicisolation
@Seismicisolation
Fatigue Behaviour
11.1 INTRODUCTION
In every day life, materials are rarely subjected to a single constant load which does not change,
that is a static load. A typical example is that of a roadway bridge which is subjected to large
variation in stresses when vehicles cross over it. Each vehicle crossing the bridge induces
stresses in the bridge structure. Different vehicles carry different loads and the number of
vehicles crossing at a time is also different. Accordingly, the variation in stresses experienced
by the bridge structure is quite irregular as illustrated in Figure 11. l. An almost similar situation
is experienced by a fuselage skin of an aircraft when it lands and takes off. Another typical
example is of axle shaft of railway carriage. The surfaces of an axle shaft are alternately
subjected to tension and compression as the wheel rotates (Figure 11.2). In all these examples,
where the load is fluctuating (i.e. load is applied and removed a very large number of times,
or varies between two limiting values), failure has been found to occur in service though the
Time (t )
FIGURE 11.1 Variation in stress experienced by a bridge as vehicles pass on it.
304
@Seismicisolation
@Seismicisolation
Fatigue Behaviour 305
C/l
~ 0f-----l----+---------
ci5 C
0
·u;
C/l
~
0.
E
0
u
Time (t)
FIGURE 11.2 Alternate tension and compression experienced by railway axle shaft as the wheel
rotates.
average value of stress imposed is well below the elastic limit of the material(s) used for the
construction. The failure of metals under fluctuating stress (i.e. the stress which varies with time)
is known as fatigue failure. In materials under fatigue, load fluctuates from zero to tensile or from
zero to compressive or alternating between tensile and compression, but is not constant or static.
Such fluctuating loading conditions in which load varies with time and failure occurs only after
a considerable period of service, are often regarded as dynamic loading conditions. Thus, fatigue
appears to be a dynamic effect. However, there is an ambiguity as to whether fatigue is a dynamic
property or a static property. In ordinary sense, fatigue should not be a dynamic effect as the rate
of loading (which is a characteristic of dynamic loading) is not usually a factor in fatigue. It is
primarily an effect of repetition of loads. If a situation arises in which the load is not applied so
rapidly as to produce a dynamic effect, this effect is separate and distinct from the effect of mere
repetition of the load. It is appropriate to categorise fatigue test neither under the head of static test
nor under the dynamic test. Fatigue behaviour appears to rest between static and dynamic behaviour
of a material. It is a kind of time dependent process in which load or stress varies with time.
According to ASTM standard, the term fatigue is used to describe the behaviour of
materials under the fluctuating or repeating cycles of stress or strain which cause deterioration
(or reduction in strength and ductility) of the material that eventually results in a progressive
fracture. The final fracture occurs in a brittle manner. Fatigue fracture occurs at a stress much
lower than the tensile strength or even lower than yield strength of the material. However, the
local concentration of stresses, which do not reduce the static strength, may often lead to
premature failure by fatigue. In fact the number of failures in service by fatigue is much greater
than static failures. The most unusual characteristic of fatigue failure is the lack of plastic
deformation in the region of fractures, even in a metal like mild steel which behaves as ductile
metal under static load. In this respect fatigue failure is similar to impact failure that occurs
under dynamic loading conditions. Fatigue cracks are usually fine and difficult to detect. Once
these cracks have grown to macroscopic size they may spread and cause complete failure in a
short time without giving any warning. Thus, fatigue failure is catastrophic in nature and is one
of the most common causes of fatigue in elements of many structures and machines. Since it
is difficult to recognise fatigue conditions, fatigue failures comprise a large percentage (at least
90%) of failures encountered in engineering. Although the phenomenon of fatigue failure is
common in metals, all materials can fail under fatigue conditions. Metals have been widely
studied for fatigue and many theories have been originally developed for metals.
@Seismicisolation
@Seismicisolation
306 Mechanical Behaviour and Testing of Materials
Fatigue fractures are caused by the simultaneous action of cyclic stress, tensile stress and
plastic strain. If any one of these three is absent, fatigue crack will not initiate and propagate.
The cyclic stress initiates the crack, the tensile stress causes crack to grow through localized
plastic strain. In general, the factors that favour fatigue failure to occur include a tensile stress
of sufficiently high value, a large enough variations in applied stress, a sufficiently large
number of cycles of stress, stress concentration, corrosive environment, overload and
temperature.
Fatigue property is an important consideration in the design of many components
subjected to repeated cycles of stress. These components include motor shafts, bolts, springs
(leaf as well as coil ones), turbine blades, gear teeth, connecting rod, pin, steam and gas turbine
parts, rails, railway axles, car axles, wire ropes, etc. The number of fluctuating stress cycles may
vary from millions to billions over the service life of these components.
11.2 STRESS CYCLES
Nature of repeating stress experienced by a member of a machine or a structure varies from
machine to machine or structure to structure. The nature of stress can be defined in terms of
maximum stress, O'max (the highest numerical or algebraic value of stress during a cycle)
together with the ratio of minimum stress to maximum stress, called the stress ratio or the
range ratio, R and the mean value of the oscillating stress, O'm (also called the average or the
steady stress and is given as half of the sum of O'max and O'min), together with the an alternating
stress (±O"a) that must be superimposed on the mean stress to produce a given variation in stress
condition. In general, there are three different fluctuating stress-time modes. These are
illustrated schematically in Figure l l.3(a-g). The first is represented schematically in
Figure l l.3(a) by a regular and sinusoidal time dependent stress cycle in which the amplitude
of stress, O'a, is symmetrical with respect to a mean zero stress level. The stress is alternating
(or completely reversed) between a maximum tensile stress (O'max), to a minimum compressive
stress (O'min) of equal magnitude with stress amplitude O'a- [This is the amplitude of alternating
stress superimposed over mean stress, and is given as half of the stress range, O'r (O'r = O'max - amin)].
This type of stress cycle is referred to as an alternating stress or completely reversed stress
cycle. The positive sign in [Figure l l.3(a)] is used to denote the tensile stress and the negative
sign, a compressive stress. In this case the range ratio R is minus one (-1). The typical examples
of members which experience this type of stress cycle are axles, rotating shafts and cantilever
beam. In the second type of stress cycle, termed as repeated stress cycle, the mean stress is
positive and alternating stress is superimposed on it. This type of stress cycle is termed pulsating
if mean stress equals stress amplitude [Figurel l.3(c)]. In this case, the member, when
stationary, carries a load so that the mean stress is greater than zero. Figure l l.3(d) shows a
member which is carrying the weight of a machine. Even when no alternating stress is
superimposed, the member experiences a tensile stress due to the weight of the machine it
carries. The maximum stress is given as the sum of stress amplitude of the alternating stress and
the mean stress. Any other combination is known as a fluctuating stress which may be a
fluctuating tensile stress [Figure l l.3(e)], a fluctuating compressive stress or may fluctuate
between tensile to compressive stress value [Figure l l.3(f)]. Stress may fluctuate irregularly, as
in case of landing or taking off of an aircraft [Figure l l.3(g)].
@Seismicisolation
@Seismicisolation
+
(a)
cr
(c)
cr
crm --- --- ------- --
CJ'max = O'a + (jm
R = crmin = _O_
---- CJ'max {jmax
= zero
m
R = crmin = 0 to +1
(Jmax
01--~------~-----
(e)
Landing
(g)
(b)
---
(d)
cr
(f)
Landing
Fatigue Behaviour 307
Mass
---
jw
l
'
R = _ C1min
(}"max
-1 < R < O
FIGURE 11 .3 Variation in stress cycles during fatigue loading. (a) Completely reversed stress,
(b) Example of a part exhibiting alternating stress cycle, (c) Pulsating stress between
zero and <Ymax, (d) Example of a part experiencing pulsating stress shown in c,
(e) Pulsating stress between <Ymax and <Ym;n, (f) Partly reversed stress between <Ymax
and (-am;n), where <Ymin < <Ymax, and (g) Large fluctuations in stress cycle.
@Seismicisolation
@Seismicisolation
308 Mechanical Behaviour and Testing of Materials
11.3 MACROGRAPHY OF FATIGUE FRACTURE
Though the exact nature of fatigue failure is not well-understood, an examination of the fatigue
fractured surface of a part reveals that the fracture proceeds predominantly in two stages. In the
stage I, the fatigue crack initiated at some localised point of stress concentration such as a
microcrack or a surface discontinuity. A surface discontinuity may be a hole, an abrupt change
in section size, a groove, a keyway, a tool mark and/or even an inclusion. (In static loading,
static strength is little affected by such changes in section of a structural or machine member
because stress concentrations get relieved in plastic deformation). When a fatigue crack is just
initiated its size is sub-microscopic and it grows gradually to macroscopic size under cyclic
stress. The macroscopic crack then propagates across the section under repetitive applied stress.
This is the second stage of fatigue fracture. During this stage, the component material loses its
ability to flow plastically and the cross-section of the material is reduced to such an extent that
the final fracture occurs in a brittle manner in the rest of the part of the section. The fractured
surface of the component failed in this manner shows characteristic appearance by which it may
be distinguished from fractures caused by other processes or mechanisms. This kind of fracture
is commonly known as fatigue fracture.
There are usually two or three zones which can be recognised on each fatigue fractured
surface of a component. A typical fatigue fractured surface is shown schematically in
Figure l l .4(a). This fractured surface
indicates only two zones, namely,
zone R and zone S corresponding to
relatively slow and fast crack
propagation respectively. The
region R is smoother and more
lustrous than the final fractured area
(region S), which is much rougher in
texture. The point O in the fatigue
fractured surface indicates the origin
of the crack. It is the smooth flat
elliptical area. Following this is a
polished or burnished region with
ribbed markings indicating the slow
propagation of the crack. This
smooth region arises because of the
fact that surfaces of the crack rub
against each other as the metal is
deformed back and forth under the
compressive and tensile components
of each stress cycle. The zone S is the
area on which the final fracture has
occurred. It happens when the cross-
section of the component is reduced
to such an extent that the remaining
Rubbed
markings Coarse texture
(b)
iSlow} Relative crack
Fast growth rates
Final fracture
FIGURE 11.4 Surface of a fatigue fracture. (a) Two
zones: zone R is smooth with fine texture
and zone S is rough and granular,
(b) Beach markings are indicated.
@Seismicisolation
@Seismicisolation
Fatigue Behaviour 309
cross-section of the component is unable to withstand the designed load and fails suddenly. This
zone generally appears to be crystalline indicating that the final fracture has occurred in a brittle
manner with no gross plastic deformation at fracture. In practice, many of the machine
components experience a variation in stress amplitude (O'a), the crack may stop spreading when
the stress is low and continue to grow when it rises. This alternation of periods of rapid growth
with periods of slow growth changes the degree of rubbing which the surfaces of the crack
undergo. As a consequence, ring shape markings (also called beach markings) concentric with
the origin of the crack appear on the fractured surface as illustrated in Figure l l.4(b).
The fractured surface of a motor car rear axle generally shows three zones of failure.
The zone I covers more than half the section and the beach markings show the way in which
the crack has spread. It generally starts at stress concentrations caused by, say, a keyway, and
spread in an asymmetrical manner which is typical of fatigue fractures in rotating shafts. The
zone II, in which the crack propagation is somewhat rapid, covers most of the remaining
section and shows the characteristic rough appearance. The final fracture occurs in a ductile
manner on thin region, appearing mostly as a dark area on the fractured surface. The
relatively small area covered by this zone (zone III) is an indication that the applied stresses
were fairly low.
11.4 FATIGUE TEST (S-N CURVE)
Generally, most of the components are subjected to reverse bending stress cycles. In fatigue test,
therefore, a number of identical samples are subjected to completely reverse bending stress
cycle, each for a different maximum stress. Each repeating cycle corresponds to a discrete
application of load. Fatigue life is measured in terms of number of cycles of failure rather
than in terms of time. Therefore, the number of cycles causing fracture for each specimen at
a fixed stress is noted. The stress values (S) and the corresponding number of cycles of
failure (N) are expressed in the form of a curve popularly known as S-N curve. As there may
be many millions of stress cycles, a log scale is generally used for N. Figure 11.5 shows
S-N curves for two different types of materials, one containing a notch and the other without
a notch. It is apparent that the presence of a notch on the fatigue specimen greatly affects the
S-N curve. A notch provides a stress concentration where a fatigue crack can initiate easily.
The maximum stress at which a material fails due to repeated application of load for a
specified number of cycles is termed as the fatigue strength. In other words, fatigue strength
is the maximum alternating stress which a material can withstand without failure for a given
number of cycles. Many of the materials exhibit a limiting stress value below which they can
operate for an indefinitely large number of cycles without fracture. This limiting stress is
commonly known as fatigue limit [Figure 11.S(a)]. Often the term fatigue endurance or
endurance limit is used for fatigue limit which can be defined as the maximum alternating
stress that a material can endure over a specified number of stress cycles without fracture
[Figure 11.S(b)]. Since the value of fatigue strength depends on the number of stress cycles
to failure (i.e. the fatigue life), this number should be specified when fatigue strength is
quoted. Both fatigue limit and fatigue life are considerably reduced by the presence of
notches.
@Seismicisolation
@Seismicisolation
310 Mechanical Behaviour and Testing of Materials
log N
(a)
Fatigue
limit
Cl)
(/)
(/)
~
ci5
log N
(b)
FIGURE 11.5 Nature of the fatigue curves for notched and unnotched specimens. Number of stress
cycles is plotted as log N. (a) Fatigue limit, (b) Endurance limit for a given number
of stress cycles.
Thus, the condition of the surface is an important factor affecting the life of the material.
Highly polished engineering surfaces show much higher fatigue life than the surfaces with
scratches and roughness. Surface residual stresses greatly affect the fatigue life of the material.
If the residual stresses are tensile in nature, the fatigue life is considerably diminished. On the
other hand, if these stresses are compressive in nature, the fatigue life is much improved.
Almost all ferrous materials including cast and wrought iron, low and medium strength
steels except austenitic stainless steels and some non-ferrous materials such as titanium and its
alloys, magnesium and some Al-Mg alloys at room temperature exhibit a fatigue limit after
about 107 stress reversal cycles. In addition to metals, some of the polymers also exhibit a
fatigue limit though a much lower stress values than metals. On the other hand, other materials
such as most non-ferrous metals and alloys, do not display a true fatigue limit, but their fatigue
strength is determined by the endurance limit. The fatigue limit in most ferrous materials and
some non-ferrous materials may be due to dynamic strain ageing effect which in turn is
attributed by interstitial solutes. Strain ageing imparts strengthening, so stress does not decrease
continuously with the increase of number of cycles once endurance limit is reached. Most of
the non-ferrous metals and their alloys and austenitic stainless steels do not show a definite
fatigue limit even after about l09 cycles of stress though the slope of the stress versus number
of cycles curve continue to decrease beyond about 108 to 109 cycles of stress. Fatigue processes
in polymers are generally more complicated in nature. Some plastics such as nylon,
polyethylene (PE) and others show no indication of a fatigue limit, and their S-N curve is
essentially linear. Others like polymethyl methacrylate (PMMA), polysulfone (PSF),
polytetrafluoroethylene (PTFE) and phenolics appear to have a fatigue limit. The fatigue ratio
(the ratio of fatigue strength to static tensile strength) for plastics usually varies between 0.2 and
0.4. The fatigue life decreases with increasing frequency of oscillation and with decreasing
temperature. Concrete does not appear to have a fatigue limit. Its fatigue strength is about 55%
of the static tensile strength at number of stress cycles N = l0 x 106• Fatigue cracking results
from deterioration of the bonding between the cement paste and the mineral aggregate.
@Seismicisolation
@Seismicisolation
Fatigue Behaviour 311
There are essentially two forms of fatigue failure, namely, low-cycle fatigue and high-
cycle fatigue. In low cycle fatigue, the maximum stress in any cycle is greater than the yield
strength but less than the tensile strength of the material and the number of cycles of failure is
low, generally less than 1000. In high cycle fatigue, as the name implies, the number of cycles
of failure required is large (say in the range 105-106 cycles) and therefore the maximum stress
in a cycle generally does not exceed the static yield strength of the material.
For some materials, there exists a numerical relationship between endurance or fatigue
limit and tensile strength. For example, for a polished rotating beam sample of wrought steel,
the endurance limit is about one half the tensile strength and for copper alloys the endurance
limit is 25 to 50% of the tensile strength. For some materials a relationship has been determined
between BHN and endurance limit using alternating bending fatigue test (Table 9.3).
11.5 FATIGUE BEHAVIOUR IN IRON AND STEEL
Fatigue behaviour in iron and steel differs from that in most other metals in number of ways.
The most important distinguishing feature (as mentioned in the previous section) is that they
display a distinct fatigue limit. In addition, their fatigue strength can be appreciably enhanced
by under stressing (i.e. by application of stress cycles below the fatigue limit) or by coaxing
(if a material is fatigue tested below the fatigue limit for few millions of cycles and then retested
at a stress higher than the fatigue limit, the fatigue strength is found to increase by nearly 30%
for steels. This process is called coaxing). The another important feature with iron and steel is
that fatigue strength of these materials increases with increase in temperature above about
100°C, reaching a maximum value between 200°C and 400°C. These three features are
probably interrelated and may be attributed to strain ageing phenomenon.
Strain ageing is a process associated with static loading. In this process, a tensile specimen
of mild steel has yielded to some extent, unloaded and reloaded without much delay, a smooth
curve without a yield point is obtained. Instead of re-loading without delay if the specimen is
put to rest for several days at room temperature or aged for a shorter time at a higher
temperature; the yield point reappears at a higher stress value than the initial yield point. Thus,
as a consequence of ageing the yield strength of the mild steel has been increased. The tensile
strength is also increased by the ageing. This behaviour has been explained by Cottrell on the
basis of dislocation model. Steel usually contains carbon and nitrogen atoms in its lattice. Slip
is considered to occur by the movement of dislocations. It is argued by Cottrell that carbon and
nitrogen atoms tend to segregate in vicinity to dislocations and lower their energy. Thus, a kind
of pinning results between a dislocation and solute atoms. As a result, the motion of dislocations
is hindered and the stress required to cause slip is raised. When the applied stress becomes
sufficiently large dislocations are tom away from the solute atoms and are free to move under
a small magnitude of stress. This accounts for a yield drop in the stress-strain curve for mild
steel and this phenomenon is called yield point phenomenon as discussed in chapter 8. If the
material is subsequently rested the solute carbon and nitrogen atoms gradually diffuse back to
the dislocations and the yield point is restored. Yielding at this time occurs at a higher value
of stress, i.e. the material is strengthened. This is because of the strain ageing in which the
material is strained plastically prior to ageing. The yield point phenomenon and strain ageing
@Seismicisolation
@Seismicisolation
312 Mechanical Behaviour and Testing of Materials
occur in some other materials also, but the effects are not so marked as in annealed low carbon
steels. The diffusion rates of carbon and nitrogen atoms in iron are markedly dependent on
temperature, so that the strengthening process occurs more rapidly as the temperature is raised.
This can account for the increase in fatigue strength as the temperature is increased and the
maximum strength probably occurs at the temperature where the carbon and nitrogen atoms are
just able to diffuse to the dislocations in one stress cycle. An increase in fatigue strength by
coaxing occurs only in materials susceptible to strain ageing. A distinct fatigue limit does not
occur in many non-ferrous materials, and in steels, if the carbon and/or nitrogen contents are
reduced to very low values. The same statement is valid for high strength alloy steels which are
not susceptible to strain ageing.
11.6 MECHANISMS OF FATIGUE
It is well-established that a fatigue crack can be formed before about 10% of the total life of
the specimen elapsed. Fatigue failure in materials starts with the initiation of a crack. The crack
then propagates across the section of the part until the rest of the section is unable to withstand
the designed load and finally fracture occurs catastrophically. Thus, fatigue failure involves two
quite distinct stages, namely, crack initiation and crack propagation.
Initiation of fatigue crack can occur at heterogeneities within the material whether they are
pre-existent (such as inclusions, gas pores or local soft spots in the microstructure) or are
generated during the cyclic straining process itself. The latter case involves the crystallographic
slip which mostly starts at or very close to the surface of the part. This is because in
polycrystalline materials, the grains at the surface of the part are surrounded by only those
grains which are in the bulk (i.e. underneath the surface grains) while they are free at the
surface. Therefore, these grains are more free to deform than those within the bulk of the part.
The favourably oriented grains at the surface therefore start to slip locally at stresses that are
lower than the stress actually required for general yielding to take place. The grains within the
bulk of the part, on the other hand, cannot deform at low stresses even if they are favourably
oriented with respect to the applied stress. This is because the deformation of interior grains is
prevented by the stronger surrounding grains. In those cases where fatigue cracks initiated in
the interior of the part, there is almost always an interface involved, such as the interface of a
carburized surface layer and the base metal.
Two theories have been proposed to explain the initiation of a fatigue crack. These are the
Orowan's theory of fatigue and the Wood's theory of fatigue.
11.6.1 Orowan's Theory of Fatigue
In a polycrystalline moderately ductile material under cyclic stress, some crystals are favourably
oriented with respect to applied shear stress, critical resolved shear stress exceeds on these
crystals even when the overall shear stress is within the elastic limit. Orowan considered these
favourably oriented surface grains to be the weak regions. As the load in the cyclic stress is
increased, these weak crystals yield first, while the unfavourably oriented surrounding crystals
remain elastic. Therefore, this small yield does not affect the static stress-strain diagram
noticeably. Nevertheless, they do yield though overall stresses are well within the elastic limit
@Seismicisolation
@Seismicisolation
Fatigue Behaviour 313
of the material. The process can be illustrated with the help of Figure 11.6. This figure shows
a weak (crystal marked A) which is entirely surrounded by stronger crystals B. The atomic
planes in the crystal A are favourably oriented with respect to the applied shear stress so that
this crystal begins to yield (i.e. deform plastically) as soon as the applied stress causes the
resolved shear stress to exceed the critical value. The crystals B, on the other hand, are so
oriented with respect to the applied shear stress, r, that these do not deform plastically at the
highest stress encountered during the repeated loading. Crystal A and crystals B have the same
elastic modulus so that for equal deformation these crystals should have the same stress.
However, as the shear stress r, rises to its maximum during first quarter cycle, the weak crystal
r
Weak crystal
r
FIGURE 11.6 Favourably oriented crystal A surrounded by unfavourably oriented B crystals.
A begins to yield at a stress CT0 while crystals B always remain elastic (as shown in Figure 11.7).
The applied stress which alternates between +CT and -CT produces the same deformation in
crystal A and crystals B. This deformation alternates between +Li1 and -Li1, whereas Li1 is almost
entirely determined by the elastic deformation of crystals A and B (Figure 11.7). As long as the
stress is less than CT0, the entire material is elastic, that is, both crystal A and crystals B have
the same stress. When the stress exceeds CT0, crystal A begins to yield and its stress increases
much less rapidly than the overall stress, r or CT, and thus, lags behind as r or CT increases. At
maximum elongation, Li1 the stress in crystal A is at A1 (Figure 11.7) while that in crystals B
is at B1•
During the second quarter cycle, as the stress reduces to zero, the stress in crystal A
follows the path AI A2 (Figure 11.7). At zero stress the elongation in crystal A reduces to Li2
while that in rest of the material becomes zero. The elongation in crystal A reduces to zero only
when it is under a large compressive stress. This is the case with the third quarter cycle when
the stress cycle is reversed. As the stress increases in the reverse direction, the crystal A begins
to yield at A3• The stress at which the crystal A yields (-CT1) is of the same magnitude as the
maximum that it reached while in tension at A1• This stress is slightly higher than CT0. Yielding
@Seismicisolation
@Seismicisolation
314 Mechanical Behaviour and Testing of Materials
+CJ
CJe --------------;i 81
,,
, I
, I
, I
, I
, I
,' I
-l,
-CJ
+l>
FIGURE 11.7 Occurrence of yielding in weak crystal A while surrounding material is still elastic
under cyclic loading of constant stress amplitude.
-l, +l>
FIGURE 11.8 Illustration of progressive strain hardening in the weak crystal under cyclic loading.
@Seismicisolation
@Seismicisolation
Fatigue Behaviour 315
in crystal A continues until the overall deformation arrives at -Li1• As the loading cycle
continues the above process is repeated with each subsequent cycle of deformation. Each time
the stress reverses, crystal A yields a little more. And each time it yields, it gets strain hardened
a little more. Even though slip is in opposite directions during successive cycles, strain
hardening is additive because it simply involves the interaction of dislocations from processes
like multiple slip, which are not greatly affected by the direction. As a consequence the
deformation cycle loops become narrower and narrower (as shown in Figure l 1.8) until that the
stress in crystal A increases with each cycle and approaches the perfectly elastic stress for
elongation Li1• As a result of localised yielding and work hardening of crystal A, a crack of sub-
microscopic size nucleates locally.
11.6.2 Wood's Theory of Fatigue
When a polycrystalline moderately ductile material is
loaded under static load it is likely to deform plastically
by the process of slip when the stress is enough to move
dislocations. When the direction of load is reversed, the
direction of slip in the material is also reversed. The
contours developed at the free surface of polycrystalline
material as a result of slip produced under static loading
is shown in Figure 11.9. Under cycling loading conditions
a material deforms on the same set of atomic planes and ~
r
-
in the same directions as in unidirectional loading. FIGURE 11.9 Slip produced under
According to W.A. Wood, microscopic slip bands (or static stress.
microscopic deformation) are produced during fatigue cycling as a result of systematic build up
of fine slip movements. These fine slip movements are on the order of l nm rather than steps
of 100 to 1000 nm, as observed in static slip bands. Such a mechanism is believed to allow for
the accommodation of the large total strain (summation of the microstrain in each cycle) without
causing appreciable strain hardening. The microdeformation during fatigue leads to the
formation of slip band intrusions and extrusions on the surface of the material (as shown in
Figure 11.10). These slip band intrusions and extrusions are the stress raisers with a notch root
of atomic dimensions and are responsible for the initiation of a fatigue crack. This mechanism
(a)
Intrusion
(b)
Extrusion
FIGURE 11.1O Slip band intrusion and extrusion produced under cyclic loading.
@Seismicisolation
@Seismicisolation
316 Mechanical Behaviour and Testing of Materials
for the initiation of a fatigue crack is in support with the well-known fact that fatigue cracks
commonly start at surfaces of components and that cracks have been found to initiate at slip-
band intrusions and extrusions. A.H. Cottrell and D. Hull explained the mechanism of formation
of slip band intrusions and extrusions on the surface of a polycrystalline metal under reversible
cycling loading. To explain this mechanism, they considered a crystal (or the so called
individual grain, in terms of microstructural feature) located on the free surface of the metal
which is favourably oriented with respect to the applied shear stress. Figure 11.11 illustrates
such a surface crystal with a stable internal dislocation configuration. The dislocations are lying
on the two parallel slip planes designated as A and B [Figure 11.l l(a)]. The dislocations lying
on these planes are of opposite kind (i.e. positive and negative edge dislocations) and offer
some kind of barriers (such as dislocations on the intersecting plane or a second phase
precipitate particle) at the inner end of the respective plane. This situation might have occurred
after many stress cycles. When the tensile part of the applied cyclic stress exceeds the critical
resolved shear stress on slip plane A, dislocation l moves to the free surface of the metal and
creates a slip step on it [Figure 11.11(b)]. Dislocations on slip plane B are unable to move as
they are resisted by barriers in the direction of shear stress, r. During compressive part of the
cyclic stress, dislocation 2 is free to move on slip plane B and it moves to the surface and
creates a second slip step, but in the opposite sense, as shown in Figure 11. l l(d). An intrusion
is thus produced on the surface of the metal. An intrusion acts as the origin for a fatigue crack.
A
B
(a)
(c)
(b)
(d)
FIGURE 11.11 Mechanism of fatique crack initiation proposed by Cottrell and Hull.
@Seismicisolation
@Seismicisolation
Fatigue Behaviour 317
However, the size of this intrusion or nanocrack is of the order of a Burgers vector (i.e. of the
order of 0.3 nm). Both this nanocrack and the change in shape of the metal are not detectable.
Though a permanent change in the surface crystal or a grain has occurred, yet the overall strain
is considered to be elastic or reversible.
The above situation may even arise during first cycle of stress and if the cyclic stress is
withdrawn, the effects of the emergence of dislocations 1 and 2 shown in Figure 11.11 are
negligible. The infinitesimal crack formed at the surface of the polycrystalline metal becomes
significant only if it grows through continued stress cycles. If stress cycle is continued, the next
stress cycle causes dislocations 3 and 4 to move to the surface in the same way as discussed
above, the crack length will increase. If by chance, dislocation 3 encounters an impurity atom
and sets blocked, then this dislocation will move only after some number of cycles elapsed
when local stresses are sufficient to move it, and continue the process. If this process continues
for large number of stress cycles, a detectable microscopic crack will be produced. Suppose this
detectable crack is of 10 µm in one surface crystal, this will require some 10/0.3 nm =30,000
cycles at least. (It would also require a dislocation generation mechanism to create the large
number of dislocations required to produce this crack). Thus, in order to create a tiny fatigue
crack, a large number of stress cycles are required. This initial crack formation during fatigue
is called Stage I fatigue.
Stage I fatigue usually extends 2 to 5 grains from the origin, which required slip in several
adjacent grains in a polycrystalline metal. Stage I crack is sometimes called a microcrack. In
case of FCC metals, slip generally occurs on close packed planes of the kind {1 1 1} and
accordingly these are the fracture surfaces under static stress conditions. However, in addition
to slip on {1 1 1} planes, slip on {1 1 0} and {1 0 0} planes which contain (1 1 O) directions,
has also been observed in aluminium. Thus, fatigue initiation processes are not as simple as in
static loading.
11.6.3 Fatigue Crack Growth
Once a fatigue crack of microscopic size is nucleated, its growth to finite size is controlled by
progressively larger scale effects than operated in its earliest stages. That is, the rate of
propagation of a crack in stage I is generally very low, on the order of nanometer per cycle,
compared with crack propagation rates of microns per cycle for stage IL This stage of crack
growth is commonly called Stage II fatigue. In stage I, slip band crack growth involves the
deepening of the initial crack on planes of high shear stress, and therefore, the crack growth is
slow. In Stage II, crack growth on planes of high tensile stress involves growth of well-defined
crack in direction normal to maximum tensile stress. Stage II fatigue can be described with the
help of Figure 11.12. The status of the crack at the end of stage I is shown in Figure 11.12(a)
where the slip induced crack has been extended to three grains. It is apparent from this figure
that as the crack passes from one grain to another it takes a different orientation and produces
a zigzag path. Up to this point the crack has attained a critical length which is enough to develop
a stress concentration during next tensile cycle so that local yielding occurs over a small region
ahead of the crack tip as shown by a shaded circle in Figure l l.12(a). The local yielding causes
strain hardening in the shaded region which eventually lead to sudden cracking in the transverse
direction under the tensile part of stress cycle, as shown in Figure ll.12(b). It is important to
@Seismicisolation
@Seismicisolation
318 Mechanical Behaviour and Testing of Materials
recall at this stage that a microscopic crack is able to propagate only if it attains a critical size.
This critical size depends on the level of stress concentration at the tip. Low stress levels
produce fine cracks and the critical crack length is longer as compared to the critical crack
length of a crack with higher stress level. In many instances, the stress level varies with speed
of the machine. The growth of this crack is limited to the width of the shaded region during
this cycle. Under cyclic stresses the crack growth can occur only when the stress intensity factor
K arises when the applied stress exceeds a critical stress intensity factor Kc (Kc is the critical
stress intensity factor required for a crack to propagate through the material under cyclic
loading. Kc is lower than K1c, the fracture toughness of the material). In the shaded region of
Figure l l.12(a), K has exceeded Kc, so that the crack grows, but it stops as soon as it comes
out of the region of localised yielding and enters the undamaged region. The crack gets blunted
due to yielding (plastic deformation) as stress concentration is relieved. This results in a
decrease of K below Kc in this localized undamaged region. So the propagation of the crack
is checked momentarily. Still the stress concentration at the crack tip is enough to create a new,
small strain hardened region (shown as shaded) and then stops. The crack opens and propagates
during the tensile part of the stress cycle. During second quarter cycle of stress when tensile
stress decreases or during the third quarter cycle when stress reverses, the crack partially or
cr cr
Stage I
cr cr
(a) (b)
cr
cr
~ Stage II
cr cr
(c) (d)
FIGURE 11.12 Propagation of a fatigue crack during stage II fatigue.
@Seismicisolation
@Seismicisolation
Fatigue Behaviour 319
almost completely closes up. In fact the complete closing up of the crack is prevented due to
local strain hardening that occurs ahead of the new crack tip. Thus, there is marked difference
between the stage I and stage II of fatigue fractures. As the crack advances in the undamaged
region, its direction changes slightly [Figure l l.l2(d)]. The ultimate crack propagation takes
place in the transverse direction.
Mathematical analysis of fatigue crack growth
Fatigue crack growth rate (da/dN) most often increases with the number of stress cycles N. That
is, as the crack grows longer it grows at a faster rate. This is also because of the fact that a
longer crack usually associated with a higher value of applied stress intensity factor K at the
tip of the crack which in turn depends on the applied average stress. The changes in stress
intensity factor at the crack tip (dK) are determined by the changes in stress dCT = (CTmax - CTmin)-
The rate of crack growth da/dN is thus a function of !),,K and it is mathematically expressed by
P.C. Paris and F. Erdogan as:
(ll.l)
where, a = Length of the surface crack (as it starts at the surface),
N = The number of cycles of fatigue,
!),,K = Kmax - Kmin, the range of stress intensity factor and can be determined from the
relation !),,K =dCT Jiui
C and n are constants depending on the material and various conditions affecting
fatigue process.
The empirical relationship shown
by Eq. (l l.l), commonly known as
Paris-Erdogan relationship which was
originally developed to predict fatigue
crack growth rates in metals, is also
applicable for some polymers and
ceramics. Figure 11.13, which is a log-log
plot, shows variation in da/dN as a
function of the range of stress intensity
factor !),,K resulting from the cyclic
variation in the stress for a structural
alloy. The curve is sigmoidal in shape and
comprises of three regions. Region I
shows that there exists a minimum value
of !),,K below which the nucleated crack is
log!!.§_
dN
II III
Kth log !lK
K1h represents the threshold value of stress-
intensity factor below which fatigue crack
does not propagate orgrow.
of non-propagating nature, i.e. it merely FIGURE 11 _
13
opens and closes without growing
Log of crack growth rate (daldN') as
a function of log of stress-intensity
factor (LlK) showing fatigue crack
propagation behaviour.
forward. This lowest value of stress
intensity factor below which the nucleated
@Seismicisolation
@Seismicisolation
320 Mechanical Behaviour and Testing of Materials
crack is unable to grow is commonly called the threshold stress intensity value (i.e. the lowest
value of ~K below which the crack is unable to propagate) and is designated by the symbol Kth.
The rate of crack growth in the threshold region (where stresses are less than the threshold stress
intensity) is so slow (of the order of 0.25 nm/cycle or less) that it cannot be detected. The region
I is known as the region of non-propagating fatigue crack. The magnitude of ~K is lower for
high strength brittle materials than that for low strength tough materials. The value of Kth
depends on the mean stress am. As the mean stress is increased in the tensile direction, Kth will
be lower. The region I thus, corresponds to the nucleation period; crack growth decreases
rapidly approaching the lower limiting value of the stress intensity factor Kth. Therefore,
Eq. (11.1) is not applicable in region I.
The region II represents an essentially linear relationship between log (daldN) and log ~K
in accordance with the empirical Eq. (11.1). This is also called steady-state region of fatigue
crack propagation. The slope of this linear curve is constant and equal to n. The constant C
can be determined by extrapolating the straight line to the value of ~K = 1 MPa m112• Thus,
log C = log (daldN). Equation (11.1) is valid only within the steady-state region. The value of
n is about 3 for steel and in the range 3-4 for aluminium alloys. However, the Paris-Erdogan
equation is applicable to certain range of values in the region IL
The Stage III is not much related to fatigue process. This is the region of accelerated crack
growth. Here ~Kmax approaches the fracture toughness K1c. Near the fracture toughness the
crack growth rate becomes so rapid that only a limited number of cycles can be accumulated
before the component fractures suddenly. Alternatively, for ductile material, when the Stage II
fatigue crack becomes so large that the remaining cross-section of metal can fail by tensile
overload, the component fails suddenly by a ductile mode. Thus, in either case, Stage III
fracture occurs without prior warning.
In addition to metals, the above mechanism of crack growth involving plastic deformation
is also applicable to many thermoplastic materials which exhibit some plasticity. In non-ductile
materials such as ceramics, glasses, brittle metals, thermoplastics at temperatures below their
glass transition temperature and thermosetting plastics, little, if any, plastic deformation occurs
ahead of a crack tip, it makes the crack blunt. When the local stress at the crack tip exceeds
the fracture strength of the material, the interatomic bonds get broken leading to fast brittle
fracture.
Though many micromechanical models have been proposed to explain the
micromechanics occurring at the crack tip in ceramic materials, none of these is successful to
explain all fatigue data generated for ceramics. Ceramics appear to be fundamentally different
from metals where crack propagation results from dislocation activity at the crack tip. Ceramics
which exhibit R-curve behaviour (R-curve behaviour refers to a fracture toughness which
increases as the crack grows) appear to be most susceptible to fatigue, indicating that cyclic
nature of the loading somehow diminishes the effect of crack-tip shielding mechanism. For
instance, in case of fibre- or whisker-reinforced ceramics, it is believed that unloading induces
fracture or buckling of the whiskers in the crack wake zone (the zone of the crack behind the
tip), which in turn reduces their shielding effect.
A majority of plastics do not fail by crack propagation alone. This is because most plastics
exhibit viscoelastic behaviour, i.e. they exhibit both elastic and a viscous response against
@Seismicisolation
@Seismicisolation
Fatigue Behaviour 321
externally applied forces. Such materials show a hysteresis loop during loading and unloading
cycle. Such behaviour is shown in Figure 11.14. The initial loading cycle is represented by the
path OPQ while the unloading cycle is shown by the path QL. OL is the permanent set. The
curve LM is traced on loading to reverse direction. Reverse loading removes the permanent set
OL. As reloading is done in the initial direction at point M, the hysteresis loop completes at Q
by tracing the path MNQ. The area under the hysteresis loop is a measure of the energy
dissipated as heat. If this heat is not readily dissipated to the surrounding, the temperature of
Stress
Compression
M
Contraction ----- -------- Extension
Strain
FIGURE 11.14 Stress-strain hysteresis loop of a plastic material experiencing reversed axial stress.
the material will rise. This is likely to occur with plastics as these are bad conductors of heat
and unable to dissipate heat easily to the surrounding. The temperature of the material may rise
to its softening point thereby reducing its load bearing capacity and eventual fatigue failure.
Polymers do not cyclically harden as do metals. The rise in temperature per unit time in polymer
sample increases with increasing cyclic frequency, thickness of the material, the stress
amplitude and loss compliance factor (the reciprocal of stiffness). It is also affected by specimen
configuration. For example, a high surface to volume ratio favours low temperature rise, and
therefore, improved fatigue life of the sample. Rigid polymers like cross-linked phenolics and
epoxies show very low loss compliance and fail primarily by crack propagation, because the
little heat generated is readily dissipated to the surroundings. Those with medium value of loss
compliance such as PMMA, acetal, and polycarbonate fail by both hysteric heating and crack
propagation. Finally, the third group of polymer materials such as nylon, polyethylene,
propylene, fluoroplastics having high loss compliance tend to fail predominantly by thermal
failure.
In composite materials, fatigue damage begins at an early life stage in the form of
interface debonding, which may lead to the initiation and subsequent growth of microcracks.
@Seismicisolation
@Seismicisolation
322 Mechanical Behaviour and Testing of Materials
11.7 LOW CYCLE FATIGUE
Many structures have a total number of service cycles less than 106, and therefore, they can
operate at higher allowable stress than the fatigue limit. It is apparent from the S-N curve that
the smaller the number of cycles, the higher the allowable stress. When the local maximum
tensile stress around the crack tip are above the yield stress, fatigue usually occurs with less
than about 104 or 105 cycles. This behaviour is called Low Cycle Fatigue (LCF). LCF
conditions are frequently created where the cyclic stresses are of thermal origin. Thus, LCF
is an important consideration in the design and operation of high temperature systems
subjected to thermal transients. The systems that undergo thermal transients include aircraft
gas turbines, nuclear pressure vessels, steam turbines, heat exchangers and fuel elements; and
many of the components of power plant. In addition to thermal transients, these structures are
also subjected to steady state loading conditions. For example, heat exchanger components
in a power plant undergo thermally induced strain cycles during start-up and shut-down or
during variation in operating conditions. Thermal stresses arise from the thermal expansion
of the material. Therefore, it is easy to consider that in this case fatigue results from cycle
stress.
Under LCF conditions, the fatigue life can be predicted from Coffin-Manson law, which
states as:
~e
_P =e/(2Nt
2
(11.2)
A log-log plot between the plastic strain range ~e,, against the number of fatigue cycles yields
a straight line as shown in Figure 11.15.
In Eq. (11.2), ~eµf2 is the plastic strain
amplitude (the plastic strain range of the cycle), 4'is
the fatigue ductility coefficient defined by the strain
intercept at 2N = 1. 4'is approximately equals Cf (the
true fracture strain = ln AofA1) for many metallic
materials. 2N is the number of strain reversal to
failure (one cycle in two reversals). The fatigue
ductility exponent x, varies between -0.5 and -0.7
for many metals. A smaller value of x results in
larger value of fatigue life. FIGURE 11.15
11.8 VARIABLES AFFECTING FATIGUE
log2N
Low cycle fatigue curve.
The following are the variables that affect the fatigue property of metallic materials:
(i) Alloy composition
(ii) Stress concentration
(iii) Size of the specimen
(iv) Surface condition
(v) Metallurgical structure
@Seismicisolation
@Seismicisolation
Fatigue Behaviour 323
Alloy composition
Those alloying elements which increase the tensile strength are found to increase the fatigue
strength of a metal and alloy. Steels are the most widely used materials for applications
involving cyclic stresses. Carbon in steels has been found to have the maximum effect on
fatigue strength. Carbon increases the fatigue strength of steels not only through solid solution
strengthening but also by strain ageing effect.
Stress concentration
The points of stress raiser in the fatigue specimen greatly affect the fatigue strength. The points
of stress raiser such as keyways, holes or notches on a component are the preferential sites for
the initiation of a fatigue crack. In addition, the changes in the section size and surface
irregularities such as machine markings, porosity, inclusions, decarburised regions, etc., also
influence the fatigue life of a material to a considerable extent. A surface irregularity, in fact,
acts as a notch. The stress concentration at the root of the notch causes the gradient of stresses
from the notched region towards the axis or center of the specimen. Many of the surface
irregularities can be eliminated by polishing the surface.
Size
If the stress cycle is simple reversal type, the stress changes from a tension peak to compression
peak. The effect of such stress cycle is more on a thin section than in case of thick section. The
distance between surface and center (axis) will be more in thick section than in thin section.
Thus, in a thicker section the gradient of stress or strain from surface to centre will be more
than that in a thin specimen. Also the volume of the material deformed is more in thick section.
In addition, increased size results in an increased surface area. Thus, there is more likelihood
that a thicker section will fail.
Surface characteristics
A fatigue crack is generally initiated at the surface, therefore, the nature of surface has great
influence on fatigue life of a component. One of the characteristics of the surface is its finishing.
For the same material variation in surface finishes will result in variation in fatigue strength.
Smoother the surface, longer will be the fatigue life of the component. It has been observed that
fatigue life increases with the decrease in extent of surface roughness. In general, a buffed
surface is regarded as a smooth surface, whereas an ordinary machined surface as rough.
Another importannt surface characteristic of the material experiencing cyclic stress is the
surface hardness. It has been observed that the fatigue strength of a material is greatly increased
if its surface is made harder. A hard surface tends to resist initiation of a crack. This is because
a hard surface is difficult to yield. Any delay in the initiation of a fatigue crack will result in
improved fatigue life. Steels are case hardened to improve not only surface hardness, and hence,
the wear resistance but also to improve fatigue life of the component. Electroplating, in general,
results in lower fatigue strength of the metal.
Residual stresses
The stresses that are left behind in an object after the process of manufacturing is finished are
called residual stresses. Though these stresses are of very low magnitude, but may be
@Seismicisolation
@Seismicisolation
324 Mechanical Behaviour and Testing of Materials
dangerous when they are tensile in nature. We have seen that the tensile part of the cyclic stress
assists crack opening and its propagation. Residual stresses may arise due to the following
possible ways:
(i) Plastic deformation during which the material flow is not uniform throughout
(ii) Improper and insufficient tempering after quenching
(iii) Improper and insufficient annealing or normalising after plastic deformation
(iv) Quenching
(v) Some finishing operations such as machining, threading, boring, etc.
(vi) Sudden heating and cooling or excessive momentary loading, leading to improper
recovery during the service.
Residual compressive stresses have been observed to be beneficial from the point of view
of fatigue strength of the metal or alloy. It is therefore desirable to introduce compressive
stresses in a component experiencing cyclic loading so that fatigue life of the component can
be increased. Shot peening appears to be the best and most effective method of introducing
compressive stresses in the surface. The other method is heat treatment at the appropriate stage
in manufacture. For instance, heat treatment of gear after machining.
Metallurgical structure
Fatigue strength of steel is near 50% of its tensile
value, Fatigue ratio (the ratio of fatigue strength
to tensile strength) for most non-ferrous metals
such as Ni, Mg, Cu, etc. is around 0.35 while
that for ferrous materials is nearly 0.50.
Metallurgical structures that improve tensile
strength are also likely to improve the fatigue
ratio of a material. However, the correlation
between fatigue strength and tensile strength
fails as the strength increases above a certain
.s:::
g,
~
1i5
Q)
::,
.Ql
~
level as is illustrated in Figure 11.16. This failure Tensile strength
depends on the type of strengthening mechanism FIGURE 11.16 Relationship between fatigue
used to improve the tensile strength of the strength and tensile strength.
material. In case strengthening is carried out by second phase particles, the size, shape and
distribution of these particles will affect the fatigue life of the material.
Among the metallurgical factors that affect the fatigue properties include microstructure,
stacking fault energy, grain size, heat treatment, presence of soft surface spots caused by
decarburization, formation of retained austenite or the formation of non-martensitic phase. The
type of non-metallic inclusions and their orientation with respect to maximum tensile stress also
affect the fatigue limit of the material.
In general, the microstructures that improve tensile strength are also expected to improve
the fatigue limit. However, in some instances it violates. For example, in case of plain carbon
steels, two microstructures, namely, lamellar pearlitic and globular pearlitic developed for the
same tensile strength possess markedly different fatigue limits. The former structure shows a
significantly lower fatigue limit due to the higher notch effect of the carbide lamellae.
@Seismicisolation
@Seismicisolation
Fatigue Behaviour 325
Materials with high Stacking Fault Energy (SFE) allow dislocations to cross-glide easily
past obstacles and lead to the formation of slip bands. These slip bands under alternating stress
conditions turn into intrusions or extrusions which are the centres for nucleation of a fatigue
crack. Materials with lower SFE, on the other hand, make cross slip difficult and dislocations
are restricted to move in a planar fashion to a limited extend. A limited local concentration of
plastic deformation delays the formation of intrusions or extrusions, and hence, the nucleations
of a fatigue crack. A low SFE coupled with a fine grain structure also results in improvement
in fatigue properties. Here, grain boundaries control the rate of cracking.
In steels, the type of heat treatment affects the fatigue properties. In quenched and
tempered steels, the fatigue limit is found to improve as the tempering temperature is lowered
to obtain hardness in the range Re 45 to Re 55, depending on the kind of steel. When the
quenched and tempered microstructure of steel is compared with austempered structure for the
same hardness it is found that the latter imparts much superior fatigue properties than the
former.
@Seismicisolation
@Seismicisolation
Creep Behaviour
12.1 INTRODUCTION
A large number of articles around us are made up of metallic materials. These articles may be
from kitchenware to aircraft jet engine turbines. Once fabricated, it is generally presumed that
the finished articles whether made of metallic or non-metallic material, while under steady load,
maintain their shape and dimensions forever. Blades of a turbine rotor, plastic mountings for
parts of electrical devices, timber beams in roof of building, filaments in vacuum tubes, steel
cables, concrete in a prestressed concrete beam and lead sheaths on telephone cables, are some
examples of engineering components which are subjected to steady loads for long periods of
time. Usually a slight change in shape is hardly noticed because such changes do not affect the
function of the article. However, there are some critical applications in engineering field where
even a slightest change in dimensions with time may affect the function of the article (for
instance, loosening of flanged joints in the connecting bolts over a period of time and
undesirable changes in clearance of steam turbine blade) or may cause even its breakdown.
Therefore, such changes in dimensions of the articles are of great concern to materials engineers
and designers. Most of the metals and alloys (except a few such as Pb, Zn, Sn and their alloys)
working at normal temperature under stress over an indefinite period of time, are capable of
maintaining their mechanical strength. However, at high temperature, especially near the
recrystallisation temperature of a material, the duration of stress becomes an important factor.
A prolonged stress, at elevated temperature, reduces the mechanical strength properties of
metals and alloys. It has been pointed out in Chapter 8 that increase in temperature reduces the
modulus of elasticity as well as yield and ultimate tensile strength of metals and alloys. In
addition to it, the degree of strain hardening, that result due to plastic deformation, also gets
reduced at elevated temperatures. For instance, when maintained at about 500°C under stress
for long period of time, plain carbon steel has been found to deform permanently even when
applied stress is below its elastic limit.
326
@Seismicisolation
@Seismicisolation
Creep Behaviour 327
The critical applications involving high operating temperatures and stresses include parts
of internal-combustion engine and jet engine, high pressure boilers and steam turbines, blades
of turbine rotor, and cracking stills as used in chemical industries. With increase in operating
temperature and applied stress, the deformation may be considerable. This continuous plastic
deformation under constant stress that occurs over a long period of time is known as creep. A
static load which may not cause any instant permanent deformation, but may cause creep in this
material over a long period of time. Deformation that occurs due to creep phenomenon increases
with time. The increase of deformation with time is known as creep rate. If the material under
stress is heated, the creep rate increases with time and eventually results in rupture of the
material. For most materials, creep deformation at room temperature is negligible. At any given
temperature, creep rate may be rapid or slow depending on the applied load. Creep rate
decreases rapidly as the applied load is lowered. Creep becomes significant in highly stressed
components (as mentioned above) operating at elevated temperatures. It is for this reason that
creep test is commonly thought of as a high temperature test. If jet turbine blades creep a lot
while operating, it is very likely that they get jammed in the turbine leading to costly
breakdown. Creep is important not only for the critical applications (cited above) but also is
important for such applications as lead pipes, white metal bearings used at or near room
temperature, steam and chemical plant components operating in the temperature range 723 K-
823 K (450°-550°C).
The most important properties used in the design of materials for elevated temperature
applications are the creep strength and creep rupture strength. Creep strength (also commonly
called creep limit) is defined as the stress that a material can withstand for a specified period
of time without excessive deformation. The creep rupture strength or simply the rupture
strength is defined as the limiting stress that a material can sustain for a specified period of time
without rupture. In an alternative way, creep strength can also be defined as the constant stress
that will produce a specified magnitude of strain (or creep) in a material over a given period
of time at a constant temperature. For instance, for a steam turbine blade, the stress required
to produce a creep of 0.2% over a period of 105 hours at 1073 K (800°C) is referred to the creep
strength of the material used.
The term excessive deformation used in the definition of the creep is the maximum
permissible strain or deformation at elevated temperature that a component can tolerate without
losing its function. This excessive deformation varies with the type of application and with the
service conditions. For example, maximum permissible strain in a jet engine is only about
0.01 % in 2000 hours due to close dimensional tolerances involved, whereas in pressure vessels
the tolerable strain is as high as 2% without rupture. Creep strength of a material is highly
sensitive to temperature. It decreases considerably as temperature of the material increases. As
creep strength decreases, the load carrying capability of the material decreases with the increase
of temperature.
12.2 CREEP CURVE
It is evident from the discussions done in the previous section that though creep is basically a
time dependent phenomenon, it is also a function of stress level and operating temperature. For
metals tested under the suitable conditions of stress level and temperature over a period of time
@Seismicisolation
@Seismicisolation
328 Mechanical Behaviour and Testing of Materials
until fracture occurs, the creep behaviour is described by a graph plotted between strain and
time. Such a graph is popularly known as a creep curve. Creep is normally observed by placing
a load on a standard specimen at constant temperature and the deformation produced with time
is measured. Creep curves obtained for different materials under the given conditions of load
and temperature exhibit some common features as illustrated in Figure 12. l. These features are
described as follows:
Primary or
transient
creep or
Stage I
D
Secondary or
viscous creep
or
Stage II or
Steady-state
creep
'
: Tertiary creep
c_______..
Stage III
F Fracture
E
At elevated temperature
C - - -- -- - -- -,- - - - -- --- -- - -- -- - - -,- - -- -- - -- __,/
At----~:~-----~:____ At room
B temperature
o~--~~-----~------------
Time, t
FIGURE 12.1 An ideal creep curve showing three stages of creep.
(i) If a stress below the proportional limit is applied to a specimen at room temperature,
an elastic strain OA will immediately (or instantly) be produced upon application of
load. Now whatever will be the duration of loading the strain will remain constant.
The strain characteristic under this condition can be described by the path OAB
(Figure 12.1). If the same load is applied at an elevated temperature, a strain OC
occurs instantaneously. Clearly this strain OC is greater than the strain OA. This
increase of strain at elevated temperature under the same loading condition may partly
be due to decrease in elastic modulus of the material with increased temperature and
partly due to a small amount of plastic strain in addition to elastic strain. Thus, the
strain OC may be entirely elastic or elastic plus plastic, depending on the material,
temperature and stress.
(ii) As the time of loading at elevated temperature is increased, in the beginning, the creep
rate increases somewhat rapidly and soon start decreasing with time. The creep
corresponds to this segment CD of the creep curve is called primary creep, or the
first stage of creep. This stage of creep is also called transient creep. This stage of
creep is important for designers in that it is the part of the total creep strain reached
in a given time and may affect clearances. Primary creep occurs at all temperatures.
@Seismicisolation
@Seismicisolation
Creep Behaviour 329
(iii) Following the end of primary creep, creep occurs at constant rate with time (curve
from D to E). This stage of creep is commonly called secondary or steady-state
creep. This creep is also referred to as viscous creep. During this stage, creep rate
is reduced to a constant minimum rate. This second stage of creep is very useful in
most of the elevated temperature applications.
(iv) As the steady-state creep continues with time, a point is reached where creep rate
starts increasing rapidly until finally rupture occurs at point F (Figure 12.l). This
stage of creep from E to F in the creep curve is called tertiary, or third stage of
creep. Because of the rapid rise in creep during this stage, this creep is also
sometimes called as accelerating creep. The rapid increase in creep rate during
tertiary stage is due to the increased stress associated with a reduction in cross-
sectional area of the specimen as it elongates during creep under a constant load.
The way in which creep rate varies with time is illustrated in Figure 12.2. It can be seen
that the creep rate decreases rather rapidly with time in the beginning and becomes minimum
during secondary stage of creep. This minimum creep rate remains constant for a sufficiently
long period of time. This minimum creep rate is the criterion for evaluating many materials. At
the end of this stage, the creep rate rises again at a faster rate. Under sufficiently high stress
and/or temperature conditions, the straight line portion of the curve may be only a point of
inflection between the primary and tertiary stages, i.e. the second stage of creep does not exist.
Stage I Stage II Stage III
Time at constant load and temperature -
FIGURE 12.2 Variation of creep rate with time during various stages of creep.
The varying response of a material with time under the given conditions of load and
temperature can be correlated to two opposite processes, namely, the strengthening due to strain
hardening and softening by recovery processes. Strain hardening at elevated temperature is
believed to be associated with the formation of a subgrain structure. A subgrain structure results
due to the rearrangement of dislocations to low angle grain boundaries. The recovery processes
involve the thermally activated cross slip, edge dislocation climb and vacancy diffusion. Based
on these recovery processes, it can be said that the decrease in strain rate during first stage of
creep can be correlated to the formation of subgrain structure that increase the overall resistance
to the motion of dislocations. The only recovery process during primary creep is the cross slip
of thermally activated screw dislocations. Rate of strain hardening is therefore greater than the
rate of softening during primary creep.
@Seismicisolation
@Seismicisolation
330 Mechanical Behaviour and Testing of Materials
Gradually, the subgrain structure tends to stabilise during the steady state creep. A
dynamic balance between strain hardening and recovery processes results in a steady state or
minimum creep rate. That is recovery occurs simultaneously with strain hardening resulting in
a balance between the two rates. As the prolonged secondary creep continues, a point is reached
when the balance between hardening and softening processes is lost. This leads to accelerating
or tertiary stage of creep. During this stage, recovery processes predominate over strain
hardening. As a result, softening occurs faster than strain (work) hardening. In addition to the
increased stress associated with reduced cross-section of the specimen (mentioned above),
microstructural changes also result in faster rate of recovery, and hence, softening of the
material. Among the microstructural changes are the localised necking, microvoid formation,
precipitation of a brittle second phase, corrosion/oxidation at/on grain boundaries,
intercrystalline fracture and resolution of second phase precipitate that originally contributed
towards strengthening of the alloy. Recrystallisation of originally cold worked material also
destroys the balance between strain hardening and softening processes. The creep curve, as
discussed above and derived under constant loading and temperature conditions is commonly
called conventional or engineering creep curve. This is not a true creep curve as true stress
increases with increasing tensile strain (increasing tensile strain results in decreasing cross-
section, and therefore, load per unit cross-section is increased at any given instant). A true creep
curve should therefore be distinguished from
the conventional creep curve. In order to
derive the true strain-time curve, the load on
the sample is lowered progressively with
decreasing specimen cross-sectional area.
This is done either manually or by
incorporation of a device which automatically
lowers the load on the creep stand load train.
Usually the tertiary part of the creep does not
exist in this curve (refer Figure 12.3). For
design purposes, however, the conventional
creep curve is important, whereas the true
t,,)
creep curve is important in the fundamental FIGURE 12_
3
studies of creep involving the formulation of
mathematical creep theories.
Engineering
F curve
Time, t
Superposition of true creep curve
on engineering creep curve.
The creep response of metals depends on many variables. Stress and test temperature are
the two important variables which affect the shape of the creep curve. Figures 12.4 and 12.5
illustrate the creep curves obtained for the same material by varying the test temperature and
keeping the stress constant or by varying the stress and maintaining the constant temperature.
It can be seen that the magnitude of instantaneous strain increases when either the temperature
or the stress is increased. The same is true for primary creep also. At low stress for a given
temperature or at low temperature at a given stress, the creep curve is characterised by a
prolonged steady-state creep with creep rate tends to be negligibly small. Further, it can be
noted that creep at low stress or low temperature may not exceed secondary stage up to the
duration of the test. The level of creep rises with increasing temperature or stress. As a
consequence, the creep rate during secondary stage increases with a decreased duration at
@Seismicisolation
@Seismicisolation
Time
FIGURE 12.4 Creep curves for various temp-
atures at constant stress.
Creep Behaviour 331
0"1
/ffe..::::--------
Time
FIGURE 12.5 Creep curves for various stress
levels at constant temperature.
sufficiently high temperature or stress. This stage no longer exists on the creep curve. The creep
curve is characterised by only two stages, namely, the initial decelerating creep rate followed
by an accelerating creep rate leading to fracture.
12.3 DESIGN CURVES
Creep strength of a material can be
determined in several different ways. One
of the simplest ways is to perform the test
on various specimens at different
temperatures and find out the stress levels
for allowable minimum creep rate. The
curves can be plotted between stress and
per cent creep rate per specified number
of hours as illustrated in Figure 12.6.
Another most common method to
express the strength of a material is to
plot a graph between stress and
temperature for specified minimum creep
rates (Figure 12.7). From such a plot one
can express the creep strength as stress
g:i
~
u5
FIGURE 12.6
Steady-state creep rate, % per
fixed period of hours
Variation of stress with steady-state
creep rate for various temperatures.
for a specified minimum creep rate at a given temperature. For example, the point P in
Figure l 2.7 shows the stress corresponding to the temperature Q for a strain rate of l % in l000
hours. The most common creep rate corresponds to which the creep strength is specified is l%
in l0000 hours.
In many instances, the operating temperature and life time of a component are fixed and
it is required to know allowable stress that must prevent the part from fracture or from
deformation beyond a certain limit. In such cases, tests are performed to obtain a plot between
stress (the conventional stress expressed as logarithm) and time (also expressed as logarithm)
@Seismicisolation
@Seismicisolation
332 Mechanical Behaviour and Testing of Materials
for various strains and rupture as
illustrated in Figure 12.8. The creep
strength can be determined by drawing
vertical line for a given life time along the
abscissa (the x-axis). The intersection of
this vertical line with the proper curve
gives the allowable stress called the creep
strength of the material. The design stress
will be this stress less a suitable factor of
safety. Along with the data points at
rupture, per cent elongation and per cent
reduction in area are also determined
which provide a measure of ductility of the
material. The rupture curve shown in
Figure 12.8 is useful only when the
component is not required to fracture, no
matter how much strain is produced prior
to fracture. That is, there is no limit on the
tolerable strain. In such cases, a number of
such curves are obtained at various
temperatures and gathered on a single
diagram as shown in Figure 12.9. Such
curves are popularly known as stress-
rupture curves. These curves show the
variation in stress as a function of rupture
time at several constant temperatures and
these are used accordingly.
For many applications, the life of a
part is so long (for example life time is of
the order of l0 years or so) that it is
practically not possible to perform the
creep test for such a long period of time. In
such cases, creep test is performed up to
the steady state regime, and the required
allowable deformation is determined from
the product of minimum creep rate and the
life time (e.g. 10,000 hours). Life time can
be the time corresponds to rupture of the
component or it can be the time which
produces a tolerable strain. Generally,
creep tests are performed to determine
minimum creep rates at various loads for a
fixed period of time which may range from
1000 hours to 10,000 hours (i.e. between
en
en
!.1:
u5
1% per hr
1% per 1000 hr
Q Temperature
FIGURE 12.7 Stress as a function of temperature
for various creep-rates.
en
en
!.1:
ti
Ol
.2
f3
f2
f1
E4 > f3 > f2 > f1
Temperature
= Constant
log time
FIGURE 12.8 Creep-rupture curves showing effect
of stress at constant temperature on
the time to rupture or to specific
strain.
log tR
FIGURE 12.9 Stress-rupture curves at various
temperatures, a : stress and tR:
rupture life (time to rupture).
@Seismicisolation
@Seismicisolation
Creep Behaviour 333
40 days to 14 months). These creep rates can be used to estimate the deformation that would
result after continuous running for about 100,000 hours (about eleven- and a-half year). The
creep rate is determined by dividing the total allowable deformation by the life time and the
stress corresponds to this minimum creep rate
is determined. This stress is the creep strength
of the material. Figure 12.10 shows the creep
rupture curves (the solid lines) for various
temperatures on which minimum creep rate
curves (the dashed lines) for corresponding
temperatures are projected. The intersection of
the solid curves with the dashed curves gives
the creep strength at a given temperature. The
significance of such curves is to decide such
low stress and temperature under which the
part should neither fracture nor it should
b
log tR (solid curves)
log emin (dotted curves)
enter the tertiary stage of creep. On the basis FIGURE 12.10 Stress-rupture curves showing
of these plots a designer can decide a stress the effect of stress on the time to
under which the rupture life of the
component is far from the service life.
12.4 ANDRADE'S ANALYSIS OF CREEP
rupture and minimum creep rate
(emin) at various temperatures.
Andrade stated that the true creep curve (the constant stress curve) is a superposition of two
separate creep processes which occur after the instantaneous strain, eo produced when a load
at certain temperature is applied. The first part of the creep curve is called the transient creep
during which creep rate decreases with time. After the transient creep the creep rate becomes
constant. This part of the creep curve during which creep rate remains constant is known as
viscous creep. The superposition of two creep processes constitutes a whole creep curve.
Andrade represented such a creep curve by an empirical equation shown below.
e =e0 (1 + /3t113) exp Kt (12.1)
In terms of length of the specimen at time t, the Eq. (12.1) can be expressed as
L =L0 (1 + /3t113) exp Kt (12.2)
where L is the length of the specimen at time t, eo, /3 and K are constants. L0 is the length of
the specimen just after the load is applied. The constants /3 and K represent, respectively the
transient creep (or /3-flow) and viscous creep (or K-flow).
or
or
or
When viscous creep is absent, i.e. when K = 0, Eq. 12.2 becomes,
L = Lo(l + f3tl/3)
L = Lo + Lo/3t113
L - Lo =/3tlt3
Lo
e = f3tl/3 (12.3)
@Seismicisolation
@Seismicisolation
334 Mechanical Behaviour and Testing of Materials
This is the Andrade's equation for Transient creep, and is applicable to metals as well as some
plastics.
The transient creep rate can be given as:
<ei) =½
/3t-2,3
When only viscous creep is considered, i.e. /3 = 0, Eq. (12.2) becomes,
L = L0 exp Kt
The steady state (viscous creep) in terms of deformation rate is given as:
(ev) = ( :~) = K(L0 exp Kt)
or (e ) = (dL) = KL (since L = L0 exp Kt from above)
V dt
K =.!_ (dL)
L dt
or
(12.4)
(12.5)
K the viscous creep or the steady-state creep, thus represents elongation per unit length which
occurs at a constant rate. Thus, K shows the viscous component of creep. In strict sense, K
represents the quasi-viscous flow. Thus, creep can also be defined as the quasi-viscous flow of
material for indefinite period of time at constant temperature and stress. Transient creep
predominates in the first stage of creep. Creep rate decreases from some large value towards
a constant value. This large value is associated with work hardening that results as a
consequence of previous plastic strain. Transient creep actually involves small additional
amounts of plastic strain produced by thermal activation. The yielding (or plastic strain) ceases
as soon as it is balanced by the strain hardening. Thereafter, the thermal energy continues to
produce further increments of strain. Each increment, however, cause a further small increase
in strain hardening. As a consequence, each increment becomes a little more difficult, and
therefore, further increments become less and less frequent. Thus, transient creep gradually
approaches a maximum constant value. This remains constant during second stage of creep, i.e.
the viscous creep or steady-state creep. This type of creep occurs when the strain hardening
effect is just balanced by the softening effect of heat.
12.5 CREEP AT LOWER TEMPERATURE
Under the combined action of stress and temperature dislocations overcome obstacles and
produce creep. Diffusion controlled processes are important chiefly at temperatures greater than
about 0.5Tm (where Tm is the melting temperature of the material in Kelvin). At lower
temperatures (say 0.05 to 0.3 Tm); the recovery processes which do not involve diffusion play
an important role in the creep phenomenon. Cross-slip of screw dislocations and dislocation
annihilation are the two predominant recovery processes. Transient creep is the predominate
process below 0.5Tm.
The transient creep described mathematically by Andrade is expressed logarithmically by
Cottrell. According to him the creep rate is expressed as:
@Seismicisolation
@Seismicisolation
Creep Behaviour 335
or (12.6)
where e is the strain rate, t is the creep time, A and n' are the empirical constants. Different
types of creep behaviour can be described by this generalized equation depending on the value
of n'. It is generally found that n' decreases with increasing stress and temperature. At low
temperature, when n' = 1, the Cottrell equation becomes,
e=At-1
On integrating the above equation we get,
e = a ln t (where a is a constant)
eoclnt (12.7)
Equation (12.7) shows that the total extension is proportional to logarithm of time
(ln t).Therefore, the associated creep is called the logarithmic creep. The logarithmic creep
indicates that the flow of material is appreciable in the beginning, but after some time it
becomes too small to be detected. If the applied stress is high enough, the dislocation sources
operate quite readily and the dislocation loops glide on the slip planes. However, some of these
moving dislocations encounter more difficult barriers than the others. Some of the barriers
which impede dislocation motion can be overcome by dislocations due to the processes
involving thermal activation in short times. Exponentially longer time is needed to overcome
more difficult barriers. Though thermal activation causes the deformation to continue with time,
but creep rate falls to a low level at low temperatures.
If n' =0, the creep rate is constant ( e =A) and represent the steady-state creep.
When n' = 2/3, the Cottrell equation for transient creep is given as:
e = /3t113 (12.8)
This is the same as obtained by Andrade for transient creep. Thus, logarithmic or transient creep
occurs at low temperatures and low stresses where recovery is highly limited.
Creep rate is believed to depend on the activation energy to move dislocations. When a
load is applied under the given conditions of temperature, the dislocations with lowest
activation energy move first and produce initial creep strain. As these easy to move dislocations
are exhausted (as when offering obstacles or multiplying to increase their density thereby
becoming immobile), creep can continue only by the movement of dislocations of higher
activation energy. At low temperatures this activation energy is not available so creep rate
decreases with time. Decreasing creep rate during transient creep arises from the increasing
dislocation density and the formation of low angle grain boundaries. The escape of screw
dislocations from pileups by cross-slip may be the chief recovery process in FCC metals.
12.6 ACTIVATION ENERGY FOR STEADY-STATE CREEP
As stated above that secondary creep becomes significant only above about half the absolute
melting temperature of the material. This component of the creep arises because of the balance
between strain hardening and recovery. At temperatures above 0.5Tm thermal activation is
sufficient to move thermally activated dislocations, screw dislocations may escape from pile
@Seismicisolation
@Seismicisolation
336 Mechanical Behaviour and Testing of Materials
ups, and edge dislocations can escape from pile ups by the process of climb. Dislocation climb
is possible only when high thermal activation energy is available for diffusion to take place.
Thus dislocation climb is a rate controlling factor. Thermally activated creep can be described
by an Arrhenius type rate equation as:
e=Aexp(-:) (12.9)
where, ~H is the activation energy for the rate controlling process, A is the pre-exponential
constant containing the frequency of vibrations of the flow unit, the entropy change and a factor
that depend on the structure of the material, T is the absolute temperature and R is the universal
gas constant (1.987 cal/mol K or 8.14 kJ/mol K).
12.7 CREEP AT HIGH TEMPERATURE
Based on the measurement of activation energy at high temperature it has been found that the
activation energy for high temperature creep is equal to the activation energy for self diffusion.
In order self diffusion of an atom is to occur, it must be surrounded by a vacant site. For this,
some activation energy must be needed. Thus, the activation energy for self-diffusion is the sum
of the energies required for creation and movement of vacancies. This gives a strong support
to the belief that dislocation climb is the rate controlling step in high temperature creep. As
dislocations climb they may also arrange themselves to low energy configuration resulting in
low angle grain boundaries. Thus, formation of subgrain-structure is another factor in support
of the fact that dislocation climb is the rate controlling factor.
Metals in which vacancies move fast, pile-up edge dislocations can escape by climb and
assist creep to take place. For instance, it has been pointed out that in a-iron the creep rate is
much faster than in y-iron due to much higher self-diffusion in the former. Strain rate in y-iron
has been found to be about 200 times lower than that experienced by a-iron with BCC structure.
This is due to about 350 fold lower diffusivity in FCC lattice of y-iron. Strain or creep rate is
therefore strongly influenced by diffusivity. In a-iron the self-diffusion coefficient increases
with increasing carbon content. Cross-slip of extended screw dislocations also involves some
thermal activation.
12.8 EQUICOHESIVE TEMPERATURE
At low temperatures (up to about one half of the absolute melting temperature) metals under
stress deform principally by slip and/or by twinning. If the applied stress is sufficiently large,
fracture occurs through the grains. This type of fracture is characterised as transgranular or
transcrystalline fracture. In polycrystalline metals at low temperatures, grain boundaries act
as a barrier to the motion of dislocations [grain boundaries in which atomic arrangement is no
longer regular, act as a barrier to the motion of dislocations, therefore make the material
stronger]. So a fine grain structure makes the material hard and strong as more grain boundary
area is available. Near upper part of this range small amount of recovery also takes place. At
high temperatures (above about 0.5Tm), however, the mobility of atoms in the grain boundary
regions becomes high whereas atoms within the grains are still maintaining their stability. Grain
@Seismicisolation
@Seismicisolation
boundaries, which at low temperatures, hold the
grains together due to cohesiveness, become weak
at high temperatures due to loss of cohesiveness
caused by atomic mobility in this region. As a
consequence grain boundary sliding occurs at high
temperatures. The metal in such a state behaves as
a material consisted of strong grains embedded in a
thin weak matrix. As a result, a crack once initiated
in the weak grain boundary region propagates
through them and eventual fracture is characterised
as intercrystalline or intergranular fracture.
In addition to grain boundary sliding, the
other processes that occur at high temperature are
subgrain formation, recovery and recrystallisation.
There exists a temperature for every metal below
which fracture occurs through the grains while
above which it occurs through the grain
boundaries. That is, the fracture mode at this
temperature changes from transcrystalline to
intercrystalline while heating the metal. This
temperature is called Equicohesive Temperature
(ECT), although its value is affected by strain rate.
[For alloys, recrystallisation temperature is usually
more significant than melting temperature in
determining high temperature behaviour]. As the
term implies Equicohesive, this is the temperature
at which strength of grain boundaries is equal to
that of the grains. Grain boundaries are stronger
than grains below this temperature whereas they
are weaker than grains above this temperature
(Figure 12.11). For most of the metals the
equicohesive temperature is equal to recrystalli-
sation temperature. Again, like recrystallisation
temperature, the equicohesive temperature is not
fixed but there is a range of this temperature for
most of the metals (Figure 12.12). That is, there is
a range of temperature over which the strength of
grains and grain boundaries is not much different.
Below the range, the grain boundaries are stronger
while above the range grains are stronger.
Figure 12.13 shows the effect of strain rate on
.c
O>
C
~
ci5
Creep Behaviour 337
ECT
Temperature
FIGURE 12.11 Illustration of equicohesive
temperature (ECT).
.c
O>
C
~
ci5
GB: Grain boundary.
ECT
range
Temperatur
--· GB
FIGURE 12.12 Equicohesive temperature
range.
:5
Cl
C
i
(/)
GB,,
' ----
' ----
' --------
' ---- ..............................
'
ECT1 ECT2
Temperature
equicohesive temperature. Decreasing strain rate FIGURE 12.13
(£) lowers ECT, and hence, increasing the
Effect of strain rate (£) on
equicohesive temperature
(ECT).
tendency for intercrystalline fracture.
@Seismicisolation
@Seismicisolation
338 Mechanical Behaviour and Testing of Materials
12.9 DEFORMATION AT ELEVATED TEMPERATURE
The principal deformation processes at elevated temperature include slip, subgrain formation
and grain boundary sliding. In addition to these principal deformation processes some
secondary deformation processes such as multiple slip, the formation of extremely coarse slip
bands, kink bands, fold formation at triple points of the grains and grain boundary migration
have also been observed during creep studies. A brief discussion of these processes is given in
subsequent paragraphs.
12.9.1 Deformation by Slip
At low temperature (below 0.5Tm) plastic deformation by slip generally occurs on close packed
atomic planes. However, at elevated temperature, slip may also result on other non-close packed
planes. For instance, in aluminium, {1 1 1} planes are the only active slip planes at low
temperatures. Above about 250°C, the planes {1 0 0} and {1 1 2} also become active and
provide slip. Similarly, in zinc, non-basal planes of the type {l O 1 0} also become active for
slip above its recrystallization temperature. Similar effect has been shown by magnesium.
Coarse slip bands are also observed at elevated temperatures. The tendency of slip band
formation increases with increase of temperature. Fine slip lines between coarse slip bands are
also shown by some metals like aluminium. Slip band spacing has been found to increase with
increasing temperature and lowering stress. Deformation by thermally activated cross slip of
screw dislocations also results at high temperatures.
Creep deformation has been found to be quite inhomogeneous. As a consequence lattice
bending, kink bands, deformation bands, and local bending near grain boundaries tend to occur
at high temperatures. Lattice bending results in the introduction of an excess number of
dislocations of one sign. These dislocations are randomly distributed on bent-glide planes
[Figure 12.14(a)]. At high temperatures and stresses, these dislocations are quite mobile and
tend to rearrange themselves in a low energy configuration of low angle grain boundary
[Figure l 2.l4(b)]. Dislocation climb also aid to this process. The resulting structure appears as
a polygon network of low angle grain boundaries. The size of subgrains depends on the stress
and temperature. Low stress and high temperature conditions favour large subgrain formation.
Increased number of low angle grain boundaries act as barriers to the motion of dislocations,
and thus, results in significant increase in strength. This is why decreasing creep rate is observed
during primary creep. The strengthening caused by substructure is counterbalanced by recovery
processes during secondary creep.
...L
..L _l_
...L ...L ..L _l_ j_
...L
..L _l_ j_
x ...L _l_
_l.... ...L ..L j_
Bent >-:
glide planes (a) (b)
FIGURE 12.14 Distribution of dislocations in a crystal deformed by bending, (a) Before
polygonisation, (b) After polygonisation (low angle boundary configuration).
@Seismicisolation
@Seismicisolation
Creep Behaviour 339
12.9.2 Grain Boundary Deformation
Under high temperature creep conditions, the grains in a polycrystalline metallic material tend
to slide past each other. Grain boundary sliding refers to the process in which, in response
to the imposed shear stress, one grain slides over another grain with the movement occurring
at or in a zone immediately adjacent to their common boundary. Grain boundary sliding is thus
a shear process which occurs along grain boundaries. In general, this effect is enhanced by
increasing the temperature and/or decreasing strain rate. Grain boundary shearing is therefore
a significant process at high temperatures. Grains may be thought of as cemented together by
an amorphous or liquid layer of atoms which is incapable of supporting a shear stress at high
temperature, and therefore, they tend to slide over each other. The rate controlling step becomes
the diffusional accommodation of shear strain at macroscopic defects such as triple points (the
grain corners) and ledges. Some investigators believe that grain boundary shear is not only
simply sliding of one grain over another, but rather as plastic deformation which occurs in the
material along grain boundaries. According to Zener, if a grain boundary under shear stress
were to shear, then a sufficiently high stress concentration might develop at triple points and
other obstacles along grain boundaries. If the stress concentration is sufficiently large to exceed
the cohesive strength of the grain boundaries, a microcrack can develop at these obstacles. The
nucleation of microcrack can be prevented if the stress concentration at the end of the relaxed
boundary (i.e. at the grain corner or triple point) is relieved by plastic flow in the grain ahead
of the boundary. There are two ways to relieve this stress concentration. In one case the stress
can be redistributed to cause slip on properly oriented planes in the grain ahead of the boundary
resulting in lattice bending which accommodates the shear strain along the boundary. A fold
usually forms at the triple point. Grain boundary migration is another mechanism to relieve this
stress concentration in the grain boundary. Grain boundary migrates at certain angle with
respect to original grain boundary and away from the point of stress concentration. It may be
considered to be stress induced grain growth. Grain boundary migration is a creep recovery
process which is important as it allows the distorted material adjacent to the grain boundary to
undergo further deformation.
12.10 MECHANISMS OF CREEP DEFORMATION
Creep deformation mechanisms can often be conveniently presented by deformation maps. A
typical deformation mechanism map is shown in Figure 12.15. A deformation mechanism map
displays the range of stress and temperature in which each deformation mechanism is dominant.
A point on the map identifies the dominant mechanism for a particular stress and temperature.
Based on this map the major mechanisms of creep deformation include Dislocation glide,
Dislocation creep and Diffusion creep (Coble and Nabarro-Herring creep). In addition to these
mechanisms there is another important mechanism named Grain boundary sliding.
12.10.1 Dislocation Glide
Dislocation glide involves dislocations moving along slip planes within the grains and
overcoming barriers by thermal activation. Thermal fluctuations assist the applied stress and
creep can occur at relatively low stresses. Figure 12.15 shows that dislocation glide dominates
@Seismicisolation
@Seismicisolation
340 Mechanical Behaviour and Testing of Materials
100
Theoretical shear stress
G' ---------------------------------------------
l5
(/)
10-2
(/)
Dislocation glide
-
~
ti
~
·;;;
C
10-4
$
"O
(I)
.!!?
:slocatioc
creep
-
'iii
E Coble creep
0
10-6
z - Nabarro-
Herring
creep
I I I I
0.2 0.4 0.6 0.8
Homologous temperature, T!Tm
FIGURE 12.15 Deformation mechanism map.
at all temperatures but above the normalised stress (a/G) of 10-2. Here a is the applied stress
and G is the shear modulus. The applied stress for dislocation glide is higher than the stress
level normally existing in creep deformation. Part of the applied stress has to overcome the
inherent resistance of the crystal lattice against dislocation motion. This inherent resistance of
the lattice is called Peierls-Nabarro stress. Theory suggests that Peierls-Nabarro stress is low for
dislocation motion on slip planes in FCC and HCP single crystal metals, but it may be high for
more open lattice of BCC metals. In addition to the Peierls-Nabarro stress (also called lattice
frictional stress), a dislocation has to overcome other obstacles as it moves through the crystal
lattice. These obstacles introduce internal stress. The applied stress has to overcome this internal
stress also for dislocation glide to take place and cause creep strain. Thermal fluctuations assist
the applied stress in overcoming the obstacles to plastic deformation. That is, the plastic
deformation is considered to be thermally assisted and that it could be described by an
Arrhenius type equation
. [Q(a)]
e= vexp RT (12.10)
where, e is the tensile strain rate; v is the frequency factor that includes the frequency of
vibrations, the strain per successful fluctuations, the entropy term and the structure of the
material. Q(a) is the activation energy which decreases with the applied stress. R is the universal
gas constant. Two types of obstacles have been recognised. (i) Those which possess long range
stress fields of the order of 10 atomic diameters or greater, and (ii) that possess short-range
stress fields of the order of less than 10 atomic diameters. (The Peierls-Nabarro stress may also
be considered as this type of obstacle). The energy required to overcome the former type of
obstacle may be so large that thermal fluctuations cannot assist the applied stress in the
temperature range under consideration. Thus, thermal activation plays no role in overcoming
@Seismicisolation
@Seismicisolation
Creep Behaviour 341
these long range obstacles, and therefore, these obstacles are called athermal obstacles. The
typical examples of athermal obstacles include other dislocations lying on parallel slip planes
and large incoherent precipitate or second phase particles.
Thermal fluctuations can assist the applied stress in overcoming the short-range obstacles
and they are therefore termed as thermal obstacles. It is these obstacles (including Peierls-
Nabarro stress) that are responsible for the dynamic (time dependent) aspects of plastic
deformation. Some common thermal obstacles or mechanisms in pure metals are the Peierls-
Nabarro stress, forest dislocations (the dislocations threading the glide plane), cross-slip of
screw dislocations, the motion of jogs in screw dislocations and climb of edge dislocations. The
Peierls-Nabarro stress, forest dislocations and jogs represent resistance to the motion of
dislocations in the slip plane, while cross-slip and climb represent resistance to motion out of
the slip plane.
The interaction of glide dislocations with forest dislocations on the glide plane and cross-
slip of extended screw dislocations in FCC metals involve dislocation glide creep.
As a glide dislocation faces (i.e. encounters) forest of dislocations, it is unable to travel
far before it intersects other intersecting dislocations lying in the slip plane at various angles
(Figure 12.16). There are two consequences of this intersection in the creep deformation. First,
the forcing of a dislocation through the stress field of another dislocation which in tum involves
work to do. The second effect is that the gliding dislocation once intersects the forest dislocation
can receive a jog, the movement of which through the lattice is again a thermally activated
process. Formation of jogs on dislocations becomes important when the intersecting screw
dislocation receives jog which is edge in orientation.
Forest dislocations
---~
- ------~
~~
~ Glide
dislocation
FIGURE 12.16 Intersection of forest dislocations with glide dislocation, I is the dislocation segment
between two forest dislocations.
In FCC metals, a moving dislocation tends to dissociate into a pair of partial dislocations
connected by a layer of stacking fault. Figure 12.l7(a) shows an extended screw dislocation.
As this dissociated dislocation glides on primary slip plane of the kind {1 1 1} and if its leading
partial encounters the intersecting slip plane {1 1 1}, cross-slip on the cross-slip plane cannot
occur with ease. In order cross-slip of extended screw dislocation is to occur, a constriction
must result in it. The partials must unite to form a unit dislocation of certain length l as shown
in Figure 12.l7(b). However, this needs thermal activation. At creep temperature this activation
energy is available. Once the unit dislocation is formed by constriction, it cross-glides on the
cross-slip plane under relatively high resolved shear stress [Figure 12.l7(c)]. After cross-
@Seismicisolation
@Seismicisolation
342 Mechanical Behaviour and Testing of Materials
gliding, the constricted dislocation again dissociates into a pair of partial dislocations as shown
in Figure 12.l7(d). In the presence of a sufficiently large shear stress on the cross-slip plane,
the extended dislocation glides further to produce creep strain.
Partial dislocations
Stacking
fault---r---i:...
Extended
dislocation
in cross-slip
plane
(a)
(c)
(b)
Primary-slip plane (f 1 1)
(d)
FIGURE 12.17 Sequence of steps in the cross-slip of an extended screw dislocation. (a) Extended
dislocation, (b) Extended dislocation containing constriction, (c) The constricted
dislocation cross glides on cross-slip plane and dissociates into a pair of partials,
(d) The dissociated dislocation moves on cross-slip plane under the applied stress.
The creep rate associated with dislocation glide and which applies to both transient and
steady-state creep is expressed as:
(12.11)
where, Pm is the density of mobile dislocations which is defined as the number of dislocations
free to move under an applied stress with a mean velocity v, b is the Burgers vector. The
density of mobile dislocations depends on the internal stress field which in turn varies with
position in the crystal lattice. Internal stress thus averaged out as <f;, thus,
@Seismicisolation
@Seismicisolation
Creep Behaviour 343
-I
Pm =Po G; (12.12)
where, Po and l are the empirical constants. This equation also indicates that Pm is dependent
on the applied stress if the internal stress, o; is to overcome for dislocation glide to take place.
The average velocity of dislocations is given as,
(12.13)
where Ge is the effective stress and it is the difference of applied stress and the average internal
stress (a- G;). v0 and n are the constants. In the localised region (or position) where dislocations
are immobile, say due to pile-up, dislocation density is high and the velocity of dislocation
motion is low, whereas in other positions dislocations which do not offer any obstacle are easy
to move and therefore, dislocation velocity is taken as average velocity. Dislocation velocity is
also a function of stress and thermal fluctuations.
12.10.2 Dislocation Creep
When dislocation glide is assisted by vacancy diffusion, as in case of a screw dislocation
containing a jog which is edge in orientation, resulting creep is known as dislocation creep.
Vacancy diffusion is a thermally activated process. Thus, dislocation creep involves dislocation
glide which overcome barriers by thermally activated mechanism involving diffusion of
vacancies or interstitials. Dislocation creep is seen to dominate the creep process at relatively
high stress (though lower than that needed in dislocation glide creep) and at homologous
temperatures above 0.5Tm as shown in the deformation map (Figure 12.15), i.e. at normalised
stress (a/G) lying in the range 10-4 and 10-2• In terms of normalised stress, the creep rate due
to diffusion dependent dislocation creep can be expressed as a power law function of the
effective stress:
. -A [<a-a;)]m (-Q)
ed. - - - - exp
IS E RT
(12.14)
where, a is the applied stress, Q is the activation energy for migrational mechanism, m is the
stress exponent of the steady-state dislocation creep process and o; is the internal back stress
which must be overcome in the dislocation multiplication process and which must be small
compared to the applied stress. Thermally assisted dislocation creep involving diffusion process
can be illustrated taking two situations. The situations are as follows:
(i) Consider a moving screw dislocation containing a jog which is edge in character
(Figure 12.18). Such a jog can move by slip along the dislocation Burgers vector.
However, this jog can only move by the process of climb in the glide direction of the
screw dislocation. Movement of jog by climb can occur either by creating a row of
vacancies or by addition of a row of interstitials to it. Since the energy required to
create a vacancy is much smaller than to create an interstitial atom, the former
mechanism is favoured [Figure 12.18(c)]. Thus, dislocation climb assists screw
dislocation to glide and produce creep strain. However, creation and diffusion of
vacancies to jog need thermal activation energy. This activation energy is the same
as for self diffusion.
@Seismicisolation
@Seismicisolation
344 Mechanical Behaviour and Testing of Materials
0
0
lDirection of movement
(a)
Slip plane
(b)
0 Vacancies
(c)
FIGURE 12.18 Movement of a jogged screw dislocation. (a) Jogged dislocation under zero stress,
(b) Applied shear stress causes screw component to bow out between edge jogs,
and (c) Edge jogs move along with the screw segments by non-conservative climb,
leaving behind a trail of vacancies.
(ii) Another possible mechanism of dislocation climb is shown in Figure 12.19. This
figure shows a sessile dislocation which acts as an obstacle to the motion of gliding
dislocations and thereby blocking them on the glide plane [Figure 12.19(a)]. As a
consequence a dislocation pile-up occurs at the head of the sessile dislocation. This
Sessile
r dislocation
- - Back stress
I
0 J_ J_ J_ J_ J_ ~
5 4 3 2
Slip-plane
-r
(a)
New slip plane
r
__________" ___J_ __________
- I
I
I
I
0
I
J_ J_ J_ J_J_~
Slip-plane
6 5 4 3 2
-r
(b)
FIGURE 12.19 (a) Dislocation pipe-up at a sessile dislocation, (b) Climb of the leading dislocation
1 over the sessile dislocation results in all dislocations on slip plane to advance. S
is the dislocation source r is shear stress.
@Seismicisolation
@Seismicisolation
Creep Behaviour 345
dislocation pile-up develops an internal back stress against the stress acting on the
dislocation sources. Climb of the leading blocked dislocation over the sessile
dislocation [Figure 12.19(b)], permits deformation by glide to continue on the new
plane as well as on this plane. In another situation [Figure 12.20], dislocations of
opposite sign on parallel slip planes are shown to climb towards each other and
getting annihilated. As a consequence of annihilation, their density is lowered which
in turn reduces the back stress on the source of generating dislocations. This permits
additional dislocations to form and move to produce creep strain.
r
T T T T
lCUmb
_L _L _L _L
r
FIGURE 12.20 Dislocation climb leading to annihilation and thereby continuing the gliding process.
12.10.3 Diffusion Creep
The diffusion mode of creep ediff is usually significant only at very high temperatures (about
0.1Tm or more) and at relatively low stress, that is, when the normalised stress (a/G) is less than
10-4. At elevated temperatures, it is believed that high angle grain boundaries act both as
efficient sources for vacancies and also for their sink. Diffusion creep is the result of vacancy
flux, down a stress gradient between grain boundaries. At low stresses and high temperatures,
when creep rate varies with applied stress, Nabarro and Herring proposed that the creep process
is controlled by stress directed atomic diffusion. Such diffusion creep involves the migration of
vacancies along a gradient from grain boundaries experiencing tensile stress to the boundaries
under compression. Simultaneously, atoms migrate in the opposite direction, that is, from grain
boundaries experiencing compressive stress towards those which are under tension (Figure 12.21).
As a result the grains, and hence the material elongates in the direction of the applied tensile stress.
The gradient is produced by a stress induced decrease in energy to create vacancies when tensile
stresses are present and a corresponding increase of energy for vacancy formation along compressed
grain boundaries. According to Nabarro and Herring, the steady-state creep rate is expressed as:
3
e = 1aDvb
s - kTd2 (12.15)
where, Dv is the volume diffusion through grain interior, dis the grain diameter, ais the applied
stress and k is Boltzman's constant. The other terms are the same as defined earlier. A closely
related diffusion creep process is described by Coble which involves atomic diffusion along
grain boundaries instead of through the grains as in Nabarro Herring creep process. Accordingly
the steady-state creep rate is given as:
@Seismicisolation
@Seismicisolation
346 Mechanical Behaviour and Testing of Materials
'
'
'e,
, ----v-(,,- ,t
,
/
-(-
'
,,,,,,,,,,...... __
, ,-
,,
(
r-----------: After creep
'
:, Before creep
,,,-i
/ '
t~''-;-'/ :
' '
' '
' '
' '
',, :
'
.,,,-,,·" ' , , , I
', '
,,
,
,
'
''
'
: ___________________________ I
FIGURE 12.21 Nabarro-Herring creep mechanism involving migration of vacancies (solid arrows)
and atoms (dotted arrows) through the lattice. Elongated grain is shown by dotted
surfaces.
e == soaDgb b4
s - kTd3
(12.16)
where, Dgb is the grain boundary diffusion coefficient. Both Coble and Nabarro-Herring creep
processes can be described by a common creep rate equation. Since Coble creep involves
diffusion along grain boundaries, this type of creep is more sensitive to grain size than Nabarro-
Herring creep. Decreasing grain size will enhance Coble creep. Coble creep can occur at lower
homologous temperatures (Figure 12.15). The common creep rate can be expressed as:
3
. CD,..gb a
ediff = kTdn (12.17)
where, D,.,g is the volume or grain boundary diffusion coefficient, C is the geometrical constant,
n is an exponent which is dependent on the diffusion path, being 2 for volume or bulk diffusion
and 3 for diffusion along grain boundary.
12.10.4 Grain Boundary Sliding
In polycrystalline alloys with equiaxed grain structure, it is difficult to isolate grain boundary
sliding (GBS) creep (egbs) contribution from intragranular or dislocation creep (edisl)
contribution, since they are not mutually exclusive process. Thermally assisted dislocation
motion occurs inside the grains and contributes to dislocation creep strain. If the system is
single crystalline or if the grain boundaries are directionally aligned parallel to the stress
direction, so that there will be negligible shear across the boundaries, then thermally assisted
@Seismicisolation
@Seismicisolation
Creep Behaviour 347
dislocation motion (or intragranular creep) is the only creep process. In case of polycrystalline
metal, if grains are extremely fine, grain boundary sliding is the predominant mode of creep.
The creep rate due to grain boundary sliding is expressed as:
. f3a2D b3
e = V
s - kTdG
(12.18)
where, /3 is the geometrical constant. This relationship is derived for single phase system. The
rate at which GBS occurs at a stressed grain boundary is frequently determined by the boundary
shape. Sliding rate changes when the boundary alters its shape during migration. A serrated
grain boundary will restrict the sliding process. The precipitation of hard particles into a
boundary slows down the steady-state sliding rate.
12.11 METALLURGICAL FACTORS AFFECTING CREEP
BEHAVIOUR
Creep rupture is a complex process. When an alloy is under stress at elevated temperatures it
creeps. During creep some structural changes occur continuously with time. Some of the
changes raise the strength, whereas the others reduce it. All the changes and their effects vary
with stress, time and temperature. As a result, a metal's behaviour at elevated temperature is
very sensitive both to the service conditions and to its own metallurgical conditions.
12.11.1 Effect of Lattice Structure
Creep property is greatly affected by the type of lattice structure. This is because of the nature
of defects and the self diffusion coefficient that vary with the type of crystal structure. For
instance, dislocations in FCC metals usually glide as a pair of partial dislocations separated by
a stacking fault. The degree of extension between partials varies with metal to metal. Lower is
the stacking fault energy (SFE) more is the extension between partials, i.e. more extended is the
dislocation. It has already been explained that cross-slip of extended screw dislocations is a
thermally activated process. Lower is the energy of stacking fault more difficult it is for
extended screw dislocation to cross-slip as more activation energy is required for its constriction
to take place. Only when the partial dislocations combined to form a unit dislocation, it is
capable of cross gliding and then dissociate again into partials. Similarly an extended edge
dislocation is difficult to climb. Thus, lower SFE favours (enhances) the creep resistance of the
metal. BCC metals, on the other hand, have very high SFE so that dislocations do not dissociate
into partials, and therefore, such unit dislocations can cross-glide with ease.
Sherby and Burke expressed the effect of SFE, r, on the creep rate given as:
EsFE =ADy35
(;r (12.19)
where, D is the self diffusion coefficient, E is elastic modulus of the material, A and n are
constants (usually n takes the value of == 5), a is the applied stress. This equation shows that
a low diffusivity, high E and low SFE favour low creep rate. It has already been stated that self
@Seismicisolation
@Seismicisolation
348 Mechanical Behaviour and Testing of Materials
diffusion coefficient is low for FCC metals than for BCC metals. The BCC structure of ferritic
steels is not close packed therefore they cannot contain the stacking fault of the same type as
FCC metals. Among FCC metals, the metals with stacking faults of low energy will exhibit low
creep rate. Certain metals when alloyed with proper elements, they lower the SFE of the base
metal thereby improving creep resistance. A typical example of such alloy is the nimonic alloy
(Nickel base superalloy) in which one of the functions of cobalt is to lower the energy of the
stacking fault. In general, the substitutional solutes of high valence are more effective in
strengthening as these elements decrease the SFE of the solvent metals. Metals with FCC
structure are therefore, generally considered as the basis of the best creep resistant alloys (e.g.,
austenitic stainless steels, nimonic alloys etc.).
12.11.2 Effect of Prestrain
Creep resistance is greatly influenced by prior cold work, but this effect could not be expected
to persist for long in the steady-state regime at temperatures of about 0.5Tm or more. The effect
of prior strain on creep rupture strength of metals is related to the introduction of internal
stresses or dislocations into the metal lattice during straining. Prestrain produces a dislocation
cell structure which otherwise usually is a consequence during primary or transient creep. There
is an optimum amount of prior strain for improving high temperature creep strength and this
optimum amount decreases as the service temperature or life increases. Greater amount of
prestrain promotes rapid recovery during service at elevated temperature (i.e. when climb and
glide allow rapid annihilation of dislocations). The beneficial effect of cold working diminishes,
becoming nil or even detrimental at temperatures where recrystallisation occurs. For service
either at very high temperature or for very long time, the annealed condition is preferred over
cold worked condition. Prior straining must be done at temperature below those at which
significant relaxation of internal stresses can occur during deformation or during cool down
after deformation. Thus, degree of cold deformation must be selected on the basis of the service
temperature and the annealing characteristics of the material.
12.11.3 Effect of Soluble Impurities and Alloying Elements
The effect of soluble additions on creep rupture behaviour has been found to correlate well with
the effect on recrystallization, at least for small concentrations of solute. Alloying elements that
retard recovery and recrystallization are most effective in improving creep strength. Small
amounts of alloying elements have surprisingly significant effects on recrystallization
behaviour. For example, addition of only 0.01% of manganese and iron decrease the rate of
recrystallisation of high purity aluminium by a factor of 1012 to 1016, respectively.
Recrystallisation appears to be retarded most by soluble additions that have limited solubility,
low diffusion rates and wide differences in atomic sizes from that of the base metal. For
instance, addition of 0.01 atom per cent of Mn, Fe or Cr, which have limited solid solubility
in aluminium, raised its recrystallization temperature by 180 to 200°C, whereas the same
amount of Si, Mg or Cu, which are more soluble, raised recrystallisation temperature by only
50 to 80°C. The effect of soluble additions on recrystallization is probably related to the
clustering of the solute atoms about dislocations, grain boundaries, stacking faults, dislocation
@Seismicisolation
@Seismicisolation
Creep Behaviour 349
jogs or other heterogeneities in the crystal structure. Thus, solid solution additions can increase
the strength by a variety of mechanisms, such as (i) elastic interactions of solute atoms with
moving dislocations to increase the Peirls-Nabarro stress or the frictional stress, (ii) interactions
with vacancies and dislocation jogs, and segregation to grain boundaries so as to retard grain
boundary sliding and migration.
Large concentration of solute may lower the creep resistance, even in a single phase alloy.
Usually, as the solute is added to a solvent metal, the liquidus as well as solidus temperatures
decrease with increase in concentration of solute. As a consequence, atomic mobility increases
at elevated temperature. The creep resistance of a solid solution therefore, is a maximum at a
particular optimum concentration of solute. This optimum concentration may also change with
temperature and duration of testing. Small amount of solute may also raise the creep strength
of lightly cold worked metals. Solute elements having high valency are most effective as they
decrease the energy of stacking fault. Segregation of solutes in the stacking fault region raises
the creep resistance. Segregation of solutes into grain boundaries influence grain boundary
sliding and migration. Elements that form interstitial solid solution also enhance creep strength
by virtue of dynamic strain ageing effects. Strain ageing may occur in many metallic materials
but is best known for its effects in ferritic steels when caused by nitrogen and to a lesser extent
by carbon. The usefulness of ferritic carbon steels up to temperatures of the order of 350°C is
largely due to strain ageing effects. Some of the alloy steels operating at high temperatures are
also benefited by this mechanism.
12.11.4 Effect of Second Phase Particles
Both second phase precipitate particles and dispersoids play a very important role in governing
creep resistance of metals and alloys. A fine dispersion of second phase particles perform two
main functions in imparting creep resistance: (i) they impede dislocation glide and so increase
strain hardening; (ii) they inhibit recovery by anchoring the dislocation network formed by
strain hardening.
However, the highest temperature to which precipitation and dispersion hardened alloys
retain useful strength is limited to the temperature at which the second phase become unstable.
In particular, the precipitation hardened alloys are limited to this temperature because at near
solvus temperature the fine precipitate particles tend to agglomerate and overage and the matrix
can undergo recrystallization and grain growth. The service temperatures at which many high
temperature alloys are used are well within the range at which the alloys can be age hardened
so as to prevent overageing effects. If the alloy is put into service in the solution treated
condition, and if the service stress and temperature are such that age hardening occurs during
service, the useful life of the component can be increased. On the other hand, if the component
is put into service in the precipitation hardened condition, it can, either retain its high strength
associated with the fully-hardened condition or suffer from overageing and softening depending
on the service conditions. Much depends on the stability of the precipitated particles. The
strengthening in precipitation hardened alloys is caused by the coherency strains that surround
them and act as traps for trapping dislocations that try to move past. The fine coherent
precipitate particles with ordered structure are more effective in imparting strengthening at high
temperatures. For example, many nickel base superalloys which are used for high temperature
@Seismicisolation
@Seismicisolation
350 Mechanical Behaviour and Testing of Materials
applications contain small amounts of aluminium and/or titanium which combine with the
matrix metal to form fine precipitates of intermetallic compounds Ni3 Al, Ni3Ti, NiJ(Al, Ti).
These intermetallic compounds are highly stable at elevated temperatures and impart
strengthening.
The dispersed second phase particles are usually completely insoluble in the matrix all the
way up to (or even above) the melting temperature of the matrix. However, these dispersoids
must be dispersed by a process other than heat treatment. For instance, the second phase
dispersoids such as VC, TiC, NbC, Mo2C or Cr23C6 type precipitate carbides in heat resisting
steels are liable to coarsen at high temperatures. Once dispersed, the second phase inert particles
retain their strengthening action to much higher temperatures than is possible with precipitate
particles in precipitation hardened alloys. They also tend to stabilise the matrix and make it
more resistant against recrystallization. The recrystallization in dispersion hardened alloys is
affected by retardation of grain boundary migration by the second phase dispersed particles. In
addition, second phase sub-microscopic particles pin the subgrain boundaries and stabilize
them. The consequent effect is the retardation of recrystallization. Oxides are among the most
stable compounds at elevated temperatures as they have large negative free energies of
formation and high melting temperatures and accordingly they are most widely used as second
phase dispersoids in dispersion strengthened alloys. Thoria (ThO2) dispersed tungsten used for
incandescent filament is the typical example of dispersion strengthened alloys. Sintered
Aluminium Product (SAP) can retain its strength up to about 0.9Tm or even more. ThO2
dispersed nickel (TD-nickel) is another example of commercial dispersion strengthened alloy.
12.11.5 Grain Size
Usually a fine grained structure is preferred for creep resistance if the service temperature is
below the equicohesive temperature. The reverse is true above equicohesive temperature that is
a coarse grained material is more creep resistant above equicohesive temperature. The other
factors that influence creep resistance include method of steel making, heat treatment of steel
and environment. Among the various methods of making steel, induction melted and vacuum
melted steels have been found to possess superior creep properties than others. The steel
produced by electric arc furnace is next best in this regard. Normalised structure imparts
optimum creep properties to steels while next best structure is annealed one. Quenched structure
appears to be very poor in this regard. Oxidising and corrosive environments greatly reduce
creep properties at elevated temperatures.
12.12 CREEP RESISTANT MATERIALS
The demand for new materials in high temperature service is growing fast. This demand initially
arose because of the philosophy that a greater efficiency is possible at high temperatures in
many process operations and heat engines, including cracking stills, steam turbines, turbo-
superchargers and gas turbines. Supersonic aircrafts and missiles present new problems of
oxidation, abrasion and high temperature strength because aerodynamic heating in high speed
flight causes skin temperature to rise to high values. The basic criteria for materials suitable for
structural uses at high temperature include high melting temperature, reasonable strength at
@Seismicisolation
@Seismicisolation
Creep Behaviour 351
service temperature coupled in some cases with, light weight and high stiffness, ease of
fabrication, sufficient ductility at room temperature and at high operating temperatures to resist
brittle fracture, and resistance to oxidation. Creep resistance is a form of strength and, apart
from the influence of grain boundaries, and thus grain size, the mechanisms which are used to
increase creep strength in materials are broadly the same as those used to improve ordinary
room temperature strength. This includes solid solution strengthening and precipitation
strengthening. Differences in creep resistance from one material to another depends on the
persistence of the strengthening mechanisms with increasing temperatures. At low temperatures,
less than about 0.25Tm, thermal softening cannot occur so that creep rate decreases rapidly with
time, and eventually to zero. This is termed as logarithmic creep, and it may be attributed to
work hardening, i.e. a progressive increase in dislocation density and refinement of dislocation
network. The total strain is very small and it is relatively insensitive to stress and temperature.
It is important only in applications where high dimensional stability is critical, e.g. in
instrumentation.
Creep resistance is increased by solid solution strengthening, although the contribution is
not large. Alloys with elements in solid solution are used in applications where stress is not a
factor; the alloying elements provide good corrosion resistance, workability and fabricability.
(Effect of alloying elements on creep property is already been discussed). Examples include
Ni-Cr alloys with Co, Mo, and tungsten additions and Fe-Cr-Ni alloys with carbon additions.
Interstitial solid solution strengthening increases creep resistance by strain ageing effects. In
ferritic steels, this is achieved by nitrogen and carbon additions. For example, strain ageing
effects allow the use of ferritic carbon steels to temperatures as high as 315°C. Prior cold work
is useful for increasing creep resistance; however, recrystallization reduces the effect at
operating temperatures of about 0.5Tm. In the lower temperature range of creep, the benefit is
longer lasting; this is valuable in silver-bearing copper alloys used in electrical motors and
generators, for example. The most important method to improve creep strength is to incorporate
a fine dispersion of second phase ceramic particles such as oxides, carbides, borides and nitrides
of metals, within the grains. A brief description of materials useful in different temperature
ranges is given as:
Below 423 K (150°C): Below 423 K (150°C) electrolytic copper with a small amount of
cadmium is used successfully. Silver-bearing tough pitch copper can be used up to 473 K
(200°C).
Between 423 K-713 K (150°-440°C): Magnesium alloys including Mg-Re-Zr, Mg-Re-Zn-Zr,
Mg-Th-Zr, and Mg-Al-Zn alloys are useful up to 588 K (315°C). Magnesium alloys containing
thorium imparts greatest creep resistance. Aluminium-bronzes can be used up to about 673 K
(400°C) for short times without appreciable loss in strength. High alloy grades of cast irons are
used for low pressure casings at temperatures below 523K (250°C). Above this temperature
plain carbon steels are used. The upper temperature limit for plain carbon and manganese steels
is about 698 K (425°C). Low alloy steels can be used for long time service (about 2 x 105h)
but at much lower temperatures.
Between 673-873 K (400°-600°C): Where cost is not a factor and higher density is
acceptable, low alloy steels are the choice in this temperature range. Above 673 K (400°C),
alloying with molybdenum increases creep resistance. Cr-Mo and Cr-Mo-V steels are used up
@Seismicisolation
@Seismicisolation
352 Mechanical Behaviour and Testing of Materials
to 773 K (500°C). Steel with nominal composition of 0.2C-1Cr-1Mo-0.25V is universally used
for high pressure turbine rotors. The 2.25Cr-1Mo steel is used for high temperature steam
piping and in applications requiring high resistance to hydrogen attack to about 833 K (560°C).
However, low alloy steels suffer from scaling above 833 K (560°C) and are therefore not
suitable above this temperature. Alpha-titanium alloys have the best creep resistance in this
temperature range while ,8-titanium alloys have the worst. The popular a-,8-titanium alloy
(Ti-6Al-4V) is limited to a maximum operating temperature of about 723 K (450°C). Near
a-alloys are superior to Ti-6Al-4V alloy with regard to creep resistance up to about 793 K
(520°C). However, Titanium alloys are not considered suitable at service temperatures above
873 K (600°C) because they are susceptible to embrittlement and surface oxidation. Titanium
alloys have high specific strength; high fatigue strength coupled with good toughness and are
especially suitable where lower weight of the component is a critical requirement. These alloys
also have low crack propagation rate and low thermal expansion. Their major applications
include compressor guide and rotor blades, compressor discs and other parts of gas turbine
engine; combustion chamber, turbine blades and all the exhaust pipes in a jet engine; high
strength aircraft structural components; and rocket engine casings.
Between 873-923 K (600°-650°C): In addition to creep resistance, oxidation resistance
becomes an important consideration in this temperature range. Higher chromium content is
therefore added to steel to improve its scaling resistance. A minimum of 8% Cr is required for
operating temperature up to 923 K (650°C). Ferritic steels are less costly than austenitic grades.
However, the ferritic steels are susceptible to 748 K (475°C) embrittlement when chromium
exceeds 13%. Rupture and creep strength are relatively low for ferritic steels (probably due to
BCC structure) as compared to austenitic grades. The main advantage of ferritic steels is their
good oxidation resistance, which is comparable to that of the austenitic grades. Ferritic steels
are difficult to weld.
Between 923-1273 K (650°-l000°C): Austenitic stainless steels and superalloys are the two
major alloy groups used in this temperature range. The upper temperature limit of standard
austenitic stainless steels is about 1023 K (750°C). Type 316 stainless steel has the highest
stress-rupture properties of any 300 series alloys. More highly alloyed compositions, containing
Mo, Ti, W and Nb, have higher stress-rupture strength than 300 series alloys in the temperature
range 813-1088 K (540°-815°C). The term Superalloys was first used during world war II to
designate a group of alloys developed for use in aircraft turbine engines which require high
performance at elevated temperatures. Subsequently, such alloys have come to be described as
superalloys, the most important properties of which are long-time strength at temperatures
above about 923 K (650°C) and high resistance to hot corrosion and erosion. Superalloys are
broadly classified into three categories, namely, iron-base, nickel-base and cobalt-base
superalloys. The major alloying element present in all these superalloys is chromium and
moderate to small amount of other alloying elements include Al, Ti, Mo, W, V, Nb and Ta.
These elements are capable of raising not only high temperature oxidation and creep resistance
but also resistance against thermal shock, fatigue and corrosive environment produced by the
ionic salts and combustion products of the fuel. The protective action against corrosion and
oxidation is provided by Cr20 3 or Al20 3 surface films. In addition to aircraft, marine, industrial
and vehicular gas turbines, superalloys are now being used in space vehicles, rocket engines,
@Seismicisolation
@Seismicisolation
Creep Behaviour 353
experimental aircrafts, nuclear reactors, submarines, steam power plants, petrochemical
equipments and other high temperature applications. The largest use for superalloys, however,
is in gas turbine industry.
Iron-base superalloys have their place at the lower end of the temperature range. In fact
their strength decreases rapidly above about 923 K (650°C), and hence, they are mostly used
in the temperature range of 773-1023 K (500°-750°C). In general, these alloys are less
expensive than nickel or cobalt-base superalloys. These alloys are austenitic just as steels and
are highly alloyed modifications of the standard AISI 300 series of stainless steels. The
modifications increase creep-rupture strength and so these alloys are commonly called
superalloys. Though the more highly alloyed grade may contain the iron content less than 50%
yet they are certainly iron-base alloys in the sense that iron is the principal element in their
compositions. These are an intermediate class between the austenitic stainless steels and the
cobalt- and nickel-base superalloys. These alloys are strengthened by precipitation of
carbides or intermetallic compounds in a FCC matrix (i.e. austenite). The most common
precipitate is gamma prime (y'), in alloys such as A286, V57 and Rex 78. [Gamma prime
is the name commonly applied to Nickel aluminide containing titanium and is represented
as NiJ(Al,Ti)]. The first two of these alloys are mostly used in gas turbine wheel (disc) and
rotors where the temperatures are generally less than 760°C. This temperature exists only
on the outer rim in the area of blade attachment. These alloys contain about 15% Cr to
provide corrosion resistance and 25% Ni to stabilize austenitic structure. Molybdenum is
added in moderate amount for solid solution strengthening. Precipitation strengthening is
imparted by titanium and aluminium. In the alloy Incoloy 901, part of the iron is replaced
by nickel to improve high temperature stability. These alloys are also called Nickel-iron
base alloys. Other Fe-Ni superalloys are modified stainless steels, such as incoloy 800H
and strengthened by r' precipitate formed by small additions of aluminium and titanium.
The applications of iron-base superalloys include gas turbine and supercharger components
such as wheel or disc forgings, blades, shafts, frame casings, and spacer rings; jet engine
tailpipes and afterburner sheet metal assemblies; exhaust mainifolds for reciprocating
aircraft engines; steam turbine and turbo-generator parts; high pressure, high temperature,
steam pipings; baskets, trays, muffles, radiant tubes, etc., for heat treating; reformer and
cracker tubes in petrochemical field; sheath material for electrical resistance heating
elements; and high temperature springs, bolts, nuts and other fasteners.
Nickel-base superalloys form the majority of the superalloys and offer the highest strength
at elevated temperatures. These are reasonably stable between 823 K (550°C) and 1273 K
(1000°C). The excellent properties of these alloys are derived by the following strengthening
mechanisms:
(i) Solid solution strengthening
(ii) Carbide precipitation
(iii) r' intermetallic precipitation, for instance, based on Ti & Al and oxide dispersion
strengthening.
Nickel-base superalloys contain iron and chromium as the major alloying elements. Small
amounts of Al, Ti, Ta, Nb, Mo, Co, Hf and W are added to improve either strength or corrosion
resistance. The microstructure of these alloys consists of a FCC solid solution matrix, carbides
@Seismicisolation
@Seismicisolation
354 Mechanical Behaviour and Testing of Materials
and coherent intermetallic r' phase [NiJ(Al,Ti)]. Addition of cobalt raises the r' solvus
temperature (the temperature above which r' phase tend to dissolve), and thus, improve
temperature capability. Tungsten, molybdenum and chromium are most effective solid solution
strengtheners. Elements such as Cr, Mo, and Ta form a series of carbides, which contribute
grain boundary strengthening. Aluminium and Chromium provide oxidation resistance while Cr
and Ti are effective in imparting hot corrosion resistance (sometimes called sulphidation). In
general, the properties of Ni-base superalloy are - high temperature strength, excellent
corrosion resistance, good ductility, oxidation resistance and hot corrosion resistance,
microstructural stability, mechanical formability and castability. Some typical Ni-base
superalloys include nimonic 75, waspaloy, inconel 718, nimonic 80, inconel X750, and
hastelloy. These alloys are mainly used for turbine blades, combustion chambers, high pressure
compressor discs vanes and integral turbine wheels (i.e. the buckets and disc cast in single
piece). In addition, they find uses for making furnace parts, high temperature tooling and special
springs.
Cobalt-base superalloys are strengthened by a combination of carbides and solid solution
hardening imparted by refractory metals such as Mo, W and Nb. No intermetallic compound
with the same degree of effectiveness as the r' precipitate in Ni-base and Fe-base superalloys
exists in Co-base superalloys. At intermediate temperatures these alloys are normally somewhat
inferior to the Ni-base superalloys but these can be superior at higher temperatures [above
1253 K (980°C)]. With a chromium content of 20-25%, they have better resistance against
oxidation and corrosion. These are less sensitive than Ni-base alloys to attack from sulphur
in fuel.
Generally, Co-base superalloys are used in cast form, but wrought forms are also
available. Cast cobalt-base superalloys are normally FCC matrix (austenite) soild solutions
containing one or more carbides. The strength is achieved both by solid solution hardensing
with a combination of Ta, Nb, Mo, W and Cr and most importantly, through dispersion
strengthening by carbides of these elements or zirconium. Nickel stabilizes the FCC austenite
structure of these alloys and offsets the tendency of refractory metals to cause transformation
to HCP structure.
A popular method to improve the oxidation resistance of Ni- and Co-base superalloys is
to diffuse aluminium into their surfaces so as to form an intermetallic compound nickel
aluminide (NiAl), beneath which a reaction diffusion zone usually forms. Upon oxidation
exposure, a tenacious Al20 3 film forms on the surface of the aluminide and serves as a primary
barrier against further reaction with the environmental constituents. If the oxide film is damaged
or if part of it spalls on thermal cycling, the underlying aluminide is again exposed and
reoxidised to rebuild the protective scale.
Co-base superalloys are used for the hottest portions of combustion chambers such as
nozzles and after-burners; turbine vanes (which form stationary part), and almost all industrial
turbine hot static parts. The temperature that can be sustained by Co-base superalloys range
from 973 K to 1313 K (700°C to 1040°C) under stresses as high as 35 MPa to 70 MPa.
Important alloys are being MAR-M540, MAR-M322 and FSX414. Co-base superalloys are
usually used in cast form. Tables 12.1-12.3 show the chemical composition of some typical
supperalloys.
@Seismicisolation
@Seismicisolation
Creep Behaviour 355
TABLE 12.1 Chemical composition of some Fe-base superalloys
Alloy grade Nominal composition, wt%
Fe Cr Ni C Mn Si Others
A-286 54 14 26 0.08 max 1.00-2.00 1.00 max 1.80 (Ti+Al+
Ta+Nb)
Discaloy 51 16 25 0.08 max 0.60-1.50 0.40-1.00 6.00 (W+Mo)
V-57 52 15 27 0.08 max 0.60-1.00 0.40-1.00 3.20 (Ti+Al+Ta+Nb)
1.20 (Mo+W)
TABLE 12.2 Chemical composition of some Ni-base superalloys
Alloy grade Nominal composition, wt%
Fe Cr Ni C Mn Si Co Others
Nimonic 75 5.00 18.0- Bal. 0.08- 1.00 1.00 0.20-0.60 Ti,
max 21.0 0.15 max max 0.50 (max) Cu
Nimonic 80 5.00 18.0- Bal. 0.10 1.00 1.00 1.80-2.70 Ti,
max 21.0 max max max 0.50-1.80 Al
Nimonic 115 1.00 14.0- Bal. 0.20 1.00 1.00 13.60- 3.00-5.00 Mo,
max 16.0 max 16.50 3.5-4.5 Ti,
4.5-5.5 Al
Waspaloy 2.0 18.0- Bal. 0.10 1.00 0.75 12.0- 3.50-5.00 Mo,
max 21.0 max max max 15.0 2.60-3.25 Ti,
1.00-1.50 Al,
0.05-0.02 Zr,
0.003-0.010 B
Inconel 600 6.00- 14.0- 72.0 0.15 1.0 0.50 0.50 (max) Cu
(formerly 10.00 17.0 min max max max
Inconel)
Inconel X-750 5.00- 14.0- 70.0 0.08 1.00 0.50 0.70-1.20 Nb,
(formerly X) 9.00 17.0 min max max max 2.25-2.75 Ti,
0.40-1.00 Al
Hastelloy B 4.00- 1.00 Bal. 0.05 1.00 1.00 2.50 26.0-30.0 Mo,
7.00 max max max max max 0.20-0.60 V
@Seismicisolation
@Seismicisolation
356 Mechanical Behaviour and Testing of Materials
TABLE 12.3 Chemical composition of some Co-base superalloys
Alloy Grade Nominal Composition, wt%
Fe Cr Ni C Mn Si Co Others
MAR-M 302 1.00 21.5 1.50 0.85 1.00 1.00 Bal. 10.0 W,
max max max max 9.0 Ta, 0.25 Zr,
O.Gl (max) B
MAR-M 322 1.50 20.0- 0.90- 0.20 0.20 Bal. 8.0-10.0 W,
max 23.0 1.10 max max 4.00-5.00 Ta,
0.65-0.85 Ti,
2.00-2.50 Zr
MAR-M 509 21.5 10.0 0.60 Bal. 7.00 W, 3.50 Ta,
max 0.20 Ti, 0.50 Zr
Hayens 151 20.0 1.00 0.47 Bal. 12.8 W, 0.15 Al,
max 0.05 B
FSX-414 2.00 25.0 10.0 0.35 54.0 7.50 (Mo+W)
1273 K (l000°C) and above: Refractory metals tungsten, molybdenum, niobium, and
tantalum are commercially available for use above 1000°C. However, they are used in
environmentally protected applications. For example, tungsten is used for electric lamp
filaments and molybdenum is used as radiation shielding in high temperature furnaces.
Tungsten and tantalum are too heavy to be suitable for use in turbine applications. They can
be used up to l500°C provided the protective atmosphere is used to protect them.
@Seismicisolation
@Seismicisolation
Non-Destructive Testing
13.1 INTRODUCTION
An industrial product is designed to perform certain function. When a user purchases such a
product he expects that it should perform the very function for which it is designed and it must
give trouble free service without premature failure, i.e. it should not fail before the stipulated
period of time for which it has been designed. The trouble free service given by the product
is called reliability, and the product giving trouble free service is called reliable product. The
reliability of a machine or a structure further depends on the reliability of the individual
components forming them. To ensure the reliability of a machine or a structure as a whole, it
is important that each individual component must be reliable and perform its function smoothly
for the pre-assessed life.
In order to ensure the reliability of the components, their quality must be improved. The
quality of products, components or structural parts depends on many factors such as design,
properties of raw materials used and fabrication techniques. Quality is related to the defects
(adefect is nothing butaflaw which makes the component unfitfor service.Aflaw with an undesirable
connotation is called a fault or mistake) which reduce the performance level of the finished
product. Some defects such as seams, subsurface flaws and cracks are inherent in metallic products.
Defects may arise during manufacture of raw materials or the production of castings (such as
stress cracking, gas porosity, shrinkage porosity, slag inclusions and segregation), fabrication of
components (such as machining faults, heat treatment defects, welding defects, residual stress
cracks, seams, etc.), component assembly (such as missing parts, incorrectly assembled parts,
additional welding defects, additional stress cracking, misalignments). Many defects such as
fatigue crack, corrosion crack, wear crack, stress corrosion crack, etc., are also generated during
service conditions under which the components have to work. Knowledge of these defects with
357
@Seismicisolation
@Seismicisolation
358 Mechanical Behaviour and Testing of Materials
a view to detect and evaluate them, and then, minimising them in the product is essential to
achieve improved or acceptable level of quality. An improvement in the product quality not
only increases its reliability, but it is also beneficial from the point of view of safety of the
machine and equipment, and thus, it is viable economically to the user.
The properties of raw materials used in the manufacture of a machine or structure are
assessed by means of standardised tests on prepared test samples. The valuable information
obtained from these tests includes data on tensile, compressive, impact properties, etc. However,
these tests are destructive in nature and there is no assurance that the part used in the structure
or machine will behave in the same way during service as it was tested and they may perform
differently because other flaws might have introduced during processing (such as heat
treatment, machining or rolling) or fabrication (such as casting or welding).
Some common flaws found in metallic products are seams, subsurface flaws and cracks
resulting from quenching, embrittlement and fatigue. There is, therefore, a need to have
methods by which flaws in the finished products can be detected or examined without affecting
their performance. Non-Destructive Testing (NOT) is one such class of techniques widely used
in industries. Use of NOT of engineering materials, components and structures has been gaining
lot of interest in recent years because of all-round thrust for improving the quality and reliability
of the product, particularly in the field of atomic power, aerospace and defence. Furthermore,
there has been an increasing emphasis in recent years on modem concepts like Total Quality
Management. The scope of NOT is very wide and includes the measurement of properties and
detection of defects which affect in the widest sense, the performance capabilities of test
components.
The basic objective of NOT of materials and structural components is the assessment of
their probability of survival under known service conditions. The assessment is made through
detection of defects or disorders that may lead to premature failure of the parts. Not only the
detection, but the nature, location and geometry of flaw, i.e. the size, shape and orientation of
flaw is important in characterising it completely. NOT techniques of materials are based on
some basic physical principles. Although NOT is basically understood to be an inspection
procedure for detection of defects, yet the techniques of NOT can be applied for other kinds
of qualitative analysis, like thickness measurement, assessment of surface finish, structural
analysis and related physical properties like grain size, grain orientation, elastic constants, etc.
Depending on the severity of service conditions, component is required to undergo non-
destructive examination by at least one test for each of the following categories:
(i) Visual examination
(ii) Surface examination by liquid penetrant test, magnetic particle inspection, or eddy
current test
(iii) Volumetric examination by ultrasonic testing and radiographic test
(iv) Performance test by hydro test/leak test/acoustic emission test (AET)
Acoustic emission test is the only NOT method which can detect the presence of growing
flaws in a component under stress. The major features of the first three categories of NOT
techniques are shown Table 13.1. Generally, a single technique of NOT is not enough to
evaluate the quality of a casting, structural or machine component completely and accurately.
Therefore, combinations of two or more techniques of NOT are in common use.
@Seismicisolation
@Seismicisolation
Non-Destructive Testing 359
TABLE 13.1 Important features and applicability of some NOT methods
NDT techniques
Liquid penetrant
Magnetic particle
Eddy currents
Ultrasonic testing
Radiography
Features Applicability
Detection of flaws open to the surface Can be used for any metal (cast, weld,
machined, wrought parts), many plastics,
glass and glazed ceramics for surface
cracks, porosity, laps, lack of weld bond,
grinding cracks, fatigue cracks
Detection of surface and shallow Can be used to only ferromagnetic
subsurface flaws materials (most steels/cast irons) for
surface and subsurface flaws such as
cracks, porosity, and weld defects
Both surface and some sub-surface Can be used for any metal parts such as
defects can be detected; thickness of tube, bar stock or wire of uniform
non-conducting coatings such as paint thickness, and flats
on a metal can also be measured
Both internal and surface flaws can be Can be used for metals and hard non-
examined metallic materials in the form of tubes,
rods, sheets, forgings and castings, for
detection of cracks, inclusions, porosity,
lack of bond, lamination, etc.
In addition to internal and surface Castings, forgings, and welded vessels,
defects the correctness of some part assemblies of electronic parts and
assemblies can also be examined corrosion surveys.
13.2 VISUAL INSPECTION
Visual inspection of a component is the cheapest and fastest method of NOT and is probably
the most widely used among all NOT methods, in particular, when surface flaws are to be
detected. Some times the advantages of this method are overlooked and this method is not listed
as a test method of NOT. In fact, this method of NOT should be used as the foremost method
to reveal gross surface flaws so that detection of any flaw leads to immediate rejection of the
component under examination. Thus, saving lot of money and time, which would otherwise be
spent on more complicated and relatively time consuming methods. Visual inspection can reveal
surface defects or flaws such as weld cracks, weld seams, weld undercutting, surface porosity
of welds or castings, etc.
The basic principle involved in visual inspection consists of illuminating the object or the
test specimen with light in the visible region. The specimen is then examined with the aid of
eye, magnifying glass, and microscope or by light sensitive device such as a photocell.
Unfortunately, the eye is not an accurate device and vision can vary from individual to
individual. Under ordinary conditions, the human eye appears to be the most sensitive to
yellow-green light which has a wavelength of 5560A. The eye is not reliable when
@Seismicisolation
@Seismicisolation
360 Mechanical Behaviour and Testing of Materials
differentiating between light intensities. Thus, for best results of a visual inspection, the contrast
between the defect and the background must be good. The minimum size of defect that can be
revealed with unaided eye also depends on this contrast. To achieve this contrast etching is done
sometimes.
An experienced and skilled inspector looks not only for the surface flaws but also for their
orientation. In addition, he also examines the part for general inspection such as appearance,
presence or absence of foreign matter, oxide film, and corrosion product or machine markings
on the surface. In many instances, the area under examination should be cleaned before
examination to reveal hairline flaws and to inspect the surface with the aid of optical means
such as a magnifying glass or optical microscope at low magnification.
Other physical aids used for visual inspection include horoscope (an instrument to inspect
the inside of a narrow tube, bore or chamber) and endoscope (an instrument similar to horoscope,
but much easier to use). Applications of visual inspection can be summarised as follows:
(i) General inspection of the component for the presence or absence of corrosion or
erosion product or cracking due to them
(ii) Inspection of thin walled tubular component for leakage
(iii) Defects such as seams, tear cracks, porosity, mismatch, gross surface cracks, etc. in
the weldments
(iv) Minute discontinuities in pumps, compressors, turbo generator parts, instruments, etc.
13.3 LIQUID PENETRANT INSPECTION (LPI)
As mentioned above, the success of visual inspection largely depends on the ability and
experience of the inspector. Unfortunately, the inspector's vision varies in a single person and
even more so among several persons. This difficulty is overcome in the Liquid penetrant
inspection. All liquid penetrant methods are non-destructive in nature and can be effectively
used for both ferrous and non-ferrous metal products. Non-porous and non-metallic materials
such as ceramics, plastics and glasses can also be examined for surface discontinuities using this
technique. These surface discontinuities which break the surface include surface cracks, seams,
laps, blow holes, porosity, pin holes and laminations in products such as pressure vessels, pipes,
weld joints, etc. Liquid penetrant method is very reliable in detection of fatigue cracks which
occur during service period of a material.
Liquid penetrant examination is simple, less expensive, fast and reliable, but its use is
limited to those defects which are open to the surface of the component and capable of giving
only approximate depth and size of flaws. This technique is applicable to almost any
component, whether it is small or large, of simple or complex shape. This technique can be
carried out at any stage from in-process to final or during maintenance of a component. This
method has a significant advantage over other NOT techniques, with possible exception to
magnetic particle inspection that a part can be tested over its complete surface in a relatively
short time, irrespective of shape, size and orientation of defect.
This method utilises the natural tendency of a fluid to segregate in vicinity to a surface
discontinuity, and this gives an indication of a crack or any other surface discontinuity. In case
a surface discontinuity exists, liquid has tendency to seepage into it as compared to the
@Seismicisolation
@Seismicisolation
Non-Destructive Testing 361
surrounding area by capillary action. In order to detect a minute discontinuity, a good contrast
must be developed between the background and the area of excess fluid. The basic principle
of liquid penetrant inspection depends on the ability of the liquid penetrant to wet the surface
of the component under test and flow over the surface to form a continuous and reasonably
uniform coating, thus penetrating into the surface discontinuities if exists any. The ability of a
fluid to spread over a surface and penetrate the surface depends on certain factors. These factors
include surface tension, viscosity and capillary action of the fluid. Viscosity of a fluid affects
the flowability of the fluid. Viscous fluids are difficult to spread over the surface and take more
time to penetrate the surface discontinuities (in particular, when they are fine) and are therefore
not suitable as penetrant in LPL Such discontinuities can be made visible by subsequent
development. In order to achieve good defect visibility, the penetrating liquid will either be
coloured with a bright and persistent dye or else contain a fluorescent compound. In the former
type, the dye is generally red in colour and the developed surface can be viewed in natural or
artificial light. In the latter case, on the other hand, the component must be viewed under
ultraviolet light in order to visualise the defect. When the particles in the fluorescent fluid are
struck by ultraviolet light, they are excited to a higher energy state. After being excited, these
particles have natural tendency to come to the ground or the original energy state. In doing so
they emit light radiations having wavelength longer than the original source. Thus, the emitted
light is in the visible spectrum. Since the ultraviolet light is not visible to the human eye, it is
also called black light.
13.3.1 Procedure
The process involves five major steps which are illustrated in Figure 13.1. These steps are as
follows:
(i) Surface preparation
(ii) Application of penetrant
(iii) Removal of excess penetrant
(iv) Development
(v) Observation and inspection
Surface preparation
Surface preparation before the application of liquid penetrant on the surface of the component
under test is one of the most important steps in the Liquid Penetrant Inspection (LPI). The
surface must be cleaned thoroughly and subsequently dried completely so that if a surface
discontinuity exists it must be open to receive the penetrant. Presence of paint, dirt, scale, grease
or flakes on the surface of the component tend to mask the surface discontinuities, and thus,
prevent the liquid to penetrate them or may serve to create a doubt of a defect which in reality
does not exist on the surface. After a through initial brushing, the surface is treated with
solvents such as alcohol, carbon tetrachloride, benzene, or spirit render it free from foreign
matter (i.e. paint, scale, etc. that might exist on the surface). Further, it is essential to dry the
cleaned surface adequately otherwise presence of any residual cleaner may dilute the penetrant
and decrease the brightness of the indication.
@Seismicisolation
@Seismicisolation
362 Mechanical Behaviour and Testing of Materials
Penetrant
·
T·
:·.-_........._.-... (<
......___
-_.-
T .···..
.;·.
,,,:.
,_;
.•·
Wash
.-{IA•..
(a) (b) (c)
Developer UV or visible light for inspection
(d)
Sucked penetrant into
the developer
/1 
(e)
FIGURE 13.1 Steps in Liquid Penetrant Inspection (LPI). (a) Component surface is cleaned and
degreased, (b) Applied penetrant is drawn into the defect, (c) The excess penetrant
washed away from the surface, but not from defect, (d) Developer is applied which
sucks away the penetrant from the defect, and (e) Detection of defect in UV or visible
light.
Application of penetrant
After cleaning the surface, the liquid penetrant is applied on it uniformly so as to cover it
completely. The liquid should flow freely onto the surface and should be maintained there for
a sufficient time (called dwell time) so that the liquid penetrates the discontinuities completely
if they exist on the surface. A dwell time of about 20-30 minutes is allowed after penetrant
application. In some instances, a larger dwell time is required. In case of small components, the
component itself is dipped into the liquid penetrant bath.
Removal of excess penetrant
This step appears to be the most important in the entire process of LPL Once it is ensured that
the penetration has occurred completely into the surface discontinuities, the excess liquid must
be removed carefully from the surface so that the background of the surface is completely
cleared of the penetrant, but the surface discontinuity must retain the liquid entered into it. Any
excessive cleaning may result in the partial removal of the penetrant from the top of the defect
region. As a consequence, the developer, in the subsequent stage, is unable to reach the
penetrant in the discontinuity, and no defect is revealed in spite of its existence.
Development
The development stage is essential to reveal distinctly a surface discontinuity if exists onto the
surface of the component. The surface flaw is made visible when a suitable developer is sprayed
onto the surface. The purpose of the developer is to draw the penetrant out of the surface crack
or other flaw and spread it on a small area at the defect so that its presence is indicated. Another
important function of the developer is that it covers the surface with a colour that provides a
@Seismicisolation
@Seismicisolation
Non-Destructive Testing 363
good visual contrast to the penetrant. This increases the visibility of the flaw. The developer is
usually a fine chalk or a talc powder which may be applied onto the surface by dusting or by
spraying with particles suspended in a carrier such as alcohol. A thin uniform layer of talc
powder is deposited on to the surface of the component. The penetrant present in the surface
flaw bleeds out by capillary action into the pores of the developing powder. Some time is
allowed for the developer to draw out the penetrant from the surface flaw. The penetrant within
the spread of developer indicates the apparent width of a defect. When a dye penetrant is used,
the colour of the dye must be in sharp contrast to the uniform white colour of the chalk/talc
covered surface. When fluorescent penetrant is used, this stage is no more required. The excess
developer is then removed from the surface.
Observation and inspection
The defect, if exists any, can be observed with the aid of naked eyes or by means of a
magnifying glass. Dye penetrant inspection is carried out under adequate lighting conditions,
while fluorescent penetrant inspection is carried out in ultraviolet (UV) light. In the former case
indications of flaws produce a deep red colour contrasted to white background of the developer.
In the latter case, the glowing spots or lines indicate the flaws. Each indication is evaluated for
acceptance or rejection of the component. An indication may be true or false; even if it is real
it may or may not be a defect. A false indication may simply be an accumulation of penetrant
caused by a drop of penetrant left on the object due to improper removal of the penetrant in
the previous stage. Sometimes, an indication may be due to entrapment of penetrant at such
locations as a press fit interface. Such indication is irrelevant and is ignored. Acceptance of a
component on the basis of observations also depends on the specifications and standards
required by the customers.
13.4 MAGNETIC PARTICLE INSPECTION (MPI)
The MPI works only on materials that can be easily magnetized (i.e. the ferromagnetic
materials) and can detect discontinuities which are generally open to the surface. A surface
crack of width as fine as 1 µm can be detected using best conditions of magnetic particle
inspection. Subsurface flaws, that is, the flaws which lie just below the surface can also be
revealed by this method. Ferromagnetic materials include iron, nickel, cobalt and their alloys
and many precipitation hardening steels such as 17-4 PH, 17-7 PH and 15-4 PH stainless steels
in the aged condition. These materials lose their ferromagnetism above the Curie point.
Although this temperature is different for different materials, the Curie point for most ferrous
magnetic materials is about 760°C. Non-ferromagnetic materials such as austenitic stainless
steels, aluminium, copper, magnesium, titanium and their alloys cannot be inspected by this
technique.
13.4.1 Basic Principle
When a ferromagnetic component is magnetized, the magnetic lines of force (called magnetic
flux) run predominantly inside the material. If the component contains a flaw such as a crack
or an inclusion, it interferes with the magnetic lines of force. Some of these lines of force must
exit at one edge and re-enter the other edge of the crack that exists in the component. That is,
@Seismicisolation
@Seismicisolation
364 Mechanical Behaviour and Testing of Materials
there is localised leakage of magnetic flux (refer Figure 13.2). Leakage is appreciable at
location A (surface crack) while it is fuzzy at location B (sub-surface crack). Discontinuity at
location C is undetectable as it is deeply seated within the Workpiece. Even if it lies on the
surface it cannot be detected effectively, as it is oriented parallel to the field applied. The points
of exit and re-entry at the edges of the discontinuity, form opposite magnetic poles. When
minute magnetic particles are sprinkled over the surface of the specimen, part of these are
attracted by these magnetic poles. As a consequence magnetic particles pile up and bridge the
discontinuities exist in the surface of the component. The magnetic bridge so formed delineates
the discontinuity and generally indicates its location, size, shape and extent. If the magnetic
bridge is fuzzy, it is an indication of a subsurface discontinuity (Figure 13.2).
Leakage fields
,'-✓~
~ - - - " - - + ,
Magnetic lines
;::~~_:=:_.::_~~;~~~~~~~~;1;~=====;2~==
FIGURE 13.2 Localised leakage of magnetic flux at flaws A and B.
Magnetic particles can be applied as dry powder or more commonly as particles suspended
in a liquid such as kerosene. This liquid suspension is called magnetic ink. A discontinuity in the
component is detectable if it is oriented nearly 90° with respect to the direction of the magnetic
flux. For this the component must be rotated within the magnetic field such that the discontinuity
becomes at 90° with respect to the direction of magnetic flux. In this condition the magnetic poles
formed due to discontinuity are so close that they can attract the magnetic particles effectively
to bridge the surface opening. In case the orientation is such that the magnetic poles are far of,
i.e. when the surface crack is oriented parallel with respect to the magnetic lines of force
(at location C in Figure 13.2), they cannot attract the magnetic particles effectively and the
indication cannot be obtained. However, it is generally possible to detect the surface discontinuity
even if it is oriented at 45° with respect the magnetic flux. The colour of the magnetic particles
should be in good contrast with respect to the colour of the surface of the component.
13.4.2 Magnetization
Magnetization can be induced in a component by predominantly two methods namely, using a
permanent magnet or using an electromagnet. Magnetization by electromagnets is widely used
in MPI because high intensity magnetic fields can be produced within a component. In an
electromagnetic circuit, high electric currents are allowed to pass through or around the
component. The direction of magnetic field generated within the component depends on the
direction of the current flow. It is well-known that the magnetic lines of force are always
produced at right angles to the direction of current flow. An electric current can produce two
types of magnetizations namely, circular magnetization and longitudinal magnetization. Circular
magnetization can be produced by passing an electric current through the part itself or if it is
@Seismicisolation
@Seismicisolation
Non-Destructive Testing 365
hollow, by passing current through a central conductor such as copper or aluminium (a non-
magnetic material) bar. In the former case, if the material is ferromagnetic the current induces
a magnetic field not only outside the material but also within it. A component magnetized in
this way is said to be circularly magnetized and the magnetization produced is distributed over
the whole length of the component [Figure 13.3(a)]. In the latter case, the circulating magnetic
field produced around the conductor will be induced within the walls of the hollow component
[Figure 13.3(b)]. This method of magnetization is very suitable for the inspection of relatively
small components.
Direction of
magnetizing
current
Direction of
current
!
'
'
---+-
,I
Circular magnetic field
, '
' I
I I
____1__. l
(a)
Hollow object
' '
, '
I '
 4
',
------t--1-----------------------t--t--
------ -- --------------------------+--
Non-magnetic conductor
(b)
FIGURE 13.3 Circular magnetization produced. (a) By passing magnetization current through the
part itself, (b) By passing current through the conductor surrounded by the hollow
object.
The longitudinal magnetization is produced by passing a current through a solenoid (a coil
of single turn) or several turns of conductor surrounding the component which serves as the
core of the solenoid (Figure 13.4). A defect if present can effectively be indicated if it lies at
an angle near 90° with respect to the magnetic flux as shown in Figure 13.4. Further, the part
must be held centrally within the coil so as to achieve the best results. This technique, is
Magnetic
field
Current carrying coil (magnetising coil)
Component
Magnetic
---- current
Discontinuity
FIGURE 13.4 Longitudinal magnetization induced by surrounding the component by a current
carrying coil. The component acts as a core of the solenoid.
@Seismicisolation
@Seismicisolation
366 Mechanical Behaviour and Testing of Materials
therefore, particularly suitable for location of transverse flaws in components such as axles,
crankshafts, and camshafts which have one dimension, namely length, larger than the other
dimensions. In case of large complex parts, the process of inspection must be repeated more
than once by placing windings in different positions.
13.4.3 Magnetization Techniques
One of the basic requirements of MPI is that the part undergoing inspection must be properly
magnetized so that leakage fields created by discontinuities can attract the magnetic particles
effectively. Magnetization can be induced in a component using permanent magnets,
electromagnets (by passing high currents through or around it) or by making the component part
of a magnetic circuit. The actual method used depends on the size, shape and complexity of the
component. These methods include the use of permanent magnet, yokes, central conductor,
direct contact, coils, induced current and prod contacts. These are described as follows:
Permanent magnet
This is the simplest possible method of magnetizing a component. In this method the given
component is placed between the poles of a horse shoe like permanent magnet (refer
Figure 13.5). The direction of flux is fixed in this case. The component can be rotated between
the poles so as to make the surface discontinuity transverse with respect to the magnetic flux.
Permanent magnet finds applications where a source of electric power for electromagnet is not
available or where arcing is not allowable (as in explosive atmosphere). However, magnetizing
by permanent magnet offer some difficulties such as:
(i) Magnetization of large areas or massive objects may not be of sufficient strength to
produce satisfactory crack indications;
(ii) Flux density cannot be varied as desired;
(iii) If the magnet is very powerful, its separation from the object may be very difficult;
and
(iv) Clinging of the particles with the magnet may obscure indications.
Work
piece
Horse shoe magnet
Crack
FIGURE 13.5 Magnetization produced by horse shoe magnet.
@Seismicisolation
@Seismicisolation
Non-Destructive Testing 367
Direct contact method
The direct electrical contact method of magnetization is very suitable for small components. The
component under inspection is made in direct electrical contact between the contact heads
(Figure 13.6) so that a current passes through the whole component. Circular magnetic fields
are produced at right angles to the current flow all over the surface of the component. This type
of inspection is generally carried out on a bench type unit with the component held in horizontal
mode between adjustable contact clamps and in conjunction with wet particles. This method is
very rapid and reliable.
Prod contacts
Electrical contacts
Magnetic flux
Current flow
Component
under test
Contact head
FIGURE 13.6 Direct contact method of magnetization.
Bulky objects such as large castings or forgings are inspected by using flexible welding type
cables to feed the power to the component under inspection through prod contacts (Figure 13.7).
If the purpose is to inspect the given component quickly in a short time, it is magnetized
completely at a time by placing the contacts at opposite ends of the component. However, this
requires a very large current flow (on the order of lO00's of amperes) which is an expensive
affair as it needs an expensive highduty electrical equipment. It is therefore preferred to
examine small areas of the component at a time by placing prod contacts relatively close to one
another for MPI if whole component is to be examined. Though this form of inspection is time
Contact prods
Component
Defect
Flux lines
FIGURE 13.7 Illustration, how prod contacts placed on large component surface.
@Seismicisolation
@Seismicisolation
368 Mechanical Behaviour and Testing of Materials
consuming yet the electrical power requirement is very much less than that when entire
component is magnetized at a time. In fact, in many instances, it is required to inspect only a
small portion (such as a weld) of the component.
Central conductor
For many tubular or ring shaped parts (such as continuous pipe connectors, hollow cylinders,
gear wheels, large nuts, etc.) it is advantageous to use a separate straight conductor to carry
magnetizing current, rather than the part itself. The conductor is threaded through the hole of
the hollow component (see Figure 13.8). The central conductor may be solid or hollow and
made of non-magnetic or magnetic conducting material. A non-magnetic conductor is preferred
over a magnetic conductor in that a non-magnetic conductor such as copper or aluminium is
superior in conductivity than a magnetic material. The magnetic flux density generated by the
current flow in the threaded conductor is maximum at its surface but decreases through the
space between the conductor and the inside surface of the tubular component. At this surface,
however, the flux density rises sharply by permeability factor of the material of the component
and then decreases to the outer surface of the component. As the flux flows both on the inner
surface of the tubular component as well on the outer surface so that internal defects can be
detected. The flux flow in the hollow component is at right angles to the current flow, and
therefore, the flaws oriented parallel to the current direction can be detected readily. There is
much less risk of burning with the central conductor than the current flow by direct contact.
Tubular object
Defect
7
Current flow
Threaded bar
FIGURE 13.8 Flux flow in a tubular product generated by a current carrying threaded bar.
Yokes
Electromagnetic yokes consist of a coil wound around a U-shape core of a soft iron (refer
Figure 13.9). The legs of a yoke can be adjustable or fixed. The former is useful for inspecting
the irregular shaped parts where the legs can be adjusted depending on the area under
inspection. Unlike a permanent magnet yoke, an electromagnetic yoke can readily be switched
on or off. Because of this feature it is easy to apply and remove the yoke from the component
under examination. An electromagnetic yoke can be designed for alternating current or direct
current or even for both. The flux density of the magnetic field produced by the direct current
type yoke can be altered by varying the amount of current in the coil. The magnetic field
@Seismicisolation
@Seismicisolation
Adjustable
contact head
,
'I
I
Test piece
___1(____
----- -----
---- ----
Defect
: :___--_-_- -_
-_
-_
-_
-_
_
_
.,_) ~
' --------✓
Coil
Test piece
J
--- -- -----
------- ---- I
----------I: :
I '
(b)
Coil
Non-Destructive Testing 369
Flux
lines
Flux lines
FIGURE 13.9 Electromagnetic yokes. (a) With fixed legs, (b) With adjustable legs.
produced by DC type yoke has greater penetration while that produced by AC type yoke is
confined to the surfaces of the component only. Thus, AC type yoke is preferred for
examination of surface discontinuities, whereas DC type yoke is useful for examination of both
surface as well as subsurface discontinuities.
Coils
Single loop or multiple loop coils are used to produce longitudinal magnetization m the
component by placing it within the energised coil. The magnetic flux generated in the
component creates north and south poles at its ends. The defects oriented at right angles to the
flux can be readily revealed.
Induced current flow
Radial defects that exist in large rings are difficult to be detected using a coil. The induced
current method is convenient for this purpose. In this method, the ring-shaped product under
examination is placed properly within a magnetizing coil such that it links with the lines of
magnetic flux, (refer Figure 13. l0). As the amount of magnetic flux changes, an induced current
flow occurs around the ring in a direction opposing the change in flux level. The induced
current produces a circular magnetic field which can detect circumferential defects.
@Seismicisolation
@Seismicisolation
370 Mechanical Behaviour and Testing of Materials
Induced
current
Flux lines Defect
Work
piece
Flux
Transformer
primary coil
FIGURE 13.10 Flux flow by induced current.
13.4.4 Procedure for MPI
The following steps are involved in testing a component by MPI:
Surface preparation
The surface of the component under test must be cleaned thoroughly so as to prevent dirt, scale
or grease which otherwise mask the surface discontinuities and also contaminate the
magnetizing ink. In case the surface is painted, the paint can be removed locally so as to provide
adequate contact areas for current flow. The surface is then degreased using carbon
tetrachloride, benzene or alcohol.
Magnetization of the component
The magnetization of the degreased component can be carried using one of the methods of
magnetization techniques discussed above. The source for electrical current to produce
magnetic field may be direct current (DC), alternating current (AC) or half wave AC. Direct
current produces full penetration of magnetic flux into the component material so that
subsurface discontinuities (the discontinuities lying 3 to 7 mm below the surface) can be
detected with ease. It is therefore advantageous to use direct current so that both surface and
subsurface discontinuities can be detected. However, direct current also suffers from some
disadvantages such as requirement of battery maintenance, difficult to demagnetize the
component after inspection and the voltage supply is fixed. Alternating current provides
maximum flux density on the surface, and therefore, it is used where inspection is required for
detection of surface discontinuities only. Particle mobility is better under AC and it is easy to
demagnetize the component after the inspection gets over. Voltage can be altered to obtain the
desired level of magnetization. Because of the shallow penetration of flux, AC is ineffective for
detection of subsurface discontinuities. Half wave AC can be produced by using a rectifier and
a switch in conjunction with the equipment used for AC. Half wave AC (HWAC) provides a
higher flux density for the same average current. The full penetration of the flux made it
possible to detect both the subsurface and surface discontinuities to be detected using HWAC.
@Seismicisolation
@Seismicisolation
Non-Destructive Testing 371
It comprises the features of both AC and DC electric current sources. Like AC, HWAC also
provides better particle mobility. Similarly, like DC source, with HWAC source it is difficult
to demagnetize the component. There are two ways of magnetizing a component, namely,
continuous method and residual method. In the former, the magnetic particles are applied while
the current is flowing through the component, whereas in the latter, magnetic particles are
applied when the magnetizing current is withdrawn.
Application of magnetic particles
There are two methods of applying the magnetic particles onto the component depending on the
magnetic characteristic of the material it is made of. The component may be made of a
magnetically soft material or a magnetically hard material. Magnetically soft materials such as
pure iron or plain carbon steels in the annealed or normalized condition possess low remanence
and low coercivity. These materials are not only capable of being magnetized easily, but also
lose the magnetism readily while magnetising field is withdrawn. On components made of soft
magnetic material, the magnetic particles are applied while the magnetising current is passing
through it. This method of applying magnetic particles on the component is called continuous.
Many alloy steels and hardened steels, on the other hand, are magnetically hard and possess
high remanence (i.e. retaining much of its induced magnetism when the magnetic field is
removed) and high coercivity (i.e. a high magnetic field is to be applied in order to demagnetize
the material). Magnetic particles on components made of hard magnetic material is applied after
the current is shut off. This method of applying magnetic particles is called residual because
the residual magnetism is left in the component. However, the sensitivity of residual method is
not as good as that of continuous method.
The magnetic particles used in MPI are very fine (about 6 µmin size) and are made of
any ferromagnetic material (such as iron or iron oxide, Fe30 4) of low remanence, low coercive
force and high permeability so that they can be magnetised easily by the low level leakage fields
exist in vicinity to discontinuities on a component surface. As a consequence, these particles are
attracted to the discontinuities, and thus, indicate their existence. Large and heavy particles are
difficult to be arrested and held by the weak leakage fields if they are sprayed on the component
surface. Fine particles, on the other hand, are easily be attracted by the weak leakage fields at
surface discontinuities. Too fine particles, however, are not desirable as they tend to adhere to
surface areas where no discontinuity exists. Another difficulty with fine particles is that they
tend to adhere to fingerprints, rough surfaces, and soiled or damp areas, thereby obscuring
indications. Particles of about 6 µm are readily attracted by the weak leakage fields at the
surface discontinuities and accumulate there to indicate them. The shape of the particles must
vary from globular to elongate.
Magnetic particles are classified as dry or wet depending on the vehicle or carrying agent.
Dry particles are carried in air, whereas wet particles are carried in liquid suspension. Dry
particles are normally carried by air and are sprayed on the component by means of portable
equipment such as a mechanical powder blower or a rubber spray bulb. Care must be taken to
apply dry powder on the component. A light and even distribution of the particles is the best
type of coating so that they can easily move to the surface discontinuities. For good visibility,
dry particles are available in several colours such as grey, black, yellow, or red. These are also
available with a fluorescent coating. Dry particles are very sensitive for use on very rough
@Seismicisolation
@Seismicisolation
372 Mechanical Behaviour and Testing of Materials
surfaces and for detecting flaws beneath the surface. Wet particles are generally suspended in
thin liquid medium such as kerosene or water. These particles are generally available as thick
paste. For optimum results, the concentration of particles in liquid is maintained to be about 2%
by volume. The equipment used for the purpose is stationary which consists of a bath of liquid
containing wet particles in suspension. The bath is used continuously until contaminated. Wet
particles are available in red and black colour or as fluorescent particles that fluoresce a blue-
green or a bright yellow-green colour.
Viewing
The coloured particles are viewed in under proper illumination such as good daylight. The
fluorescent particles indications, on the other hand must be viewed under 'black light' and the
inspection area must be darkened by closing the room. All indications are properly recorded.
Demagnetization and removal of ink
All ferromagnetic materials retain some residual magnetism after MPI. This magnetizm must be
destroyed otherwise difficulty will arise while components are stacked and removed as and
when required. Once demagnetised, the component if tested by wet method, must be given a
paraffin wash by hand brush to remove the magnetic ink.
13.4.5 Applications of MPI
The principal industrial uses of MPI include inprocess inspection, final inspection, raw material
inspection and in maintenance and overhaul. Inprocess inspection is used to indicate defects in
a component or a part during its manufacturing route. A final inspection ascertains a customer
a better guarantee of defect free component.
13.5 EDDY CURRENT INSPECTION (ECI)
Eddy current inspection is based on the principle of electromagnetic induction in which eddy
currents and/or magnetic effects are induced within a metallic component as a coil carrying
alternating current is brought in close proximity to it. A change in the impedance of the coil
indicates certain property or the existence of a defect in the component. This technique is
therefore extremely versatile. Using suitable equipment and the test method, this technique can
be used as follows:
(i) To identify surface and subsurface defects within the component,
(ii) To measure physical properties such as electrical conductivity, magnetic permeability
and hardness,
(iii) To measure the thickness of a non-conductive coating on a conductive metal or the
thickness of non-magnetic metal coating on a magnetic metal component and
(iv) To provide information about the structural features such as grain size and heat
treatment condition.
ECI can supplement or sometimes replace LPI or MPI methods of NOT for detection of
surface discontinuities, but it is not as sensitive to small open defects as LPI or MPI technique is.
@Seismicisolation
@Seismicisolation
Non-Destructive Testing 373
Because of the skin effects, ECI is generally restricted to a depth below 6 mm. The method is
effective with both ferromagnetic and non-magnetic materials.
13.5.1 Basic Principle
In ECI, an alternating current, I, (of frequency l kHz to 2 MHz) is made to flow through a coil
(also called a probe) which, in turn, generates an alternating magnetic field, HAc, around it. This
alternating magnetic field is called primary field. When such a coil is brought near to an
electrically conductive material, secondary or eddy currents, !Ee, will be induced within the
component material due to electromagnetic induction as illustrated in Figure 13. l l. These
eddy currents which are generally parallel to the coil winding, in turn, produce a magnetic
field, HEc of their own. This magnetic field is called secondary field and is opposite to the
primary magnetic field, HAc surrounding the coil. This interaction between the fields develops
a back emf in the coil, and hence, a change in the impedance value of the coil. A change in
the impedance will affect the current, and hence, the voltage changes in the coil generating
primary currents. This impedance value of the coil remains constant provided that the surface
of the component is free of any discontinuity and the material is uniform in composition and
dimensions. If the component contains a discontinuity such as a crack, the distribution of
eddy currents and their magnitude will be modified in vicinity to it and as a consequence
there will be a reduction in the magnetic field associated with the eddy currents, and
therefore, the coil impedance will be changed. The change in flow of eddy current pattern
caused by the presence of a crack in a pipe is illustrated in Figure 13.12. This impedance of
the coil can be determined by measuring the voltage across it. The changes in coil impedance
can also be indicated on a meter or a chart recorder or displayed on the screen of a cathode
ray tube.
Test
piece
Primary field, HAc
Coil (Probe)
'
EC ~
. ,,~ Eddy
currents,
/EC
FIGURE 13.11 A test coil assembly showing primary coil (probe) in vicinity to a test piece. HEc
denotes induced magnetic field.
@Seismicisolation
@Seismicisolation
374 Mechanical Behaviour and Testing of Materials
Crack
Inspection coil
Crack
Pipe
Inspection
coil
Inspection coil
Eddy-
current
flow
Section Q-Q' Section P-P'
(Enlarged view) (Enlarged view)
FIGURE 13.12 Effect of a crack on the pattern of eddy-current flow in a pipe.
Coil impedance
When an alternating current flows through a coil, it is opposed by two factors, namely the
ohmic resistance R, of the coil and inductive reactance XL, (XL = mL =2,r{L, where L is the
inductance of the coil, f is the frequency of alternating current). The total resistance of the coil
is known as its impedance and is given as:
Z= ✓R2 +m2L2 (13.l)
If a coil in air has a resistance Ro, inductive reactance mL0 and impedance of the coil is Z0 and
if it is brought in close proximity to a conducting material, the values of resistance and inductive
reactance will change to R1 and mL1, respectively. Accordingly, a change in impedance from
Z0 to some value Z1 takes place.
The impedance may also be affected by parameters such as electrical conductivity,
magnetic permeability and geometry of the component, test frequency and the spacing between
the test coil (the probe) and the component called lift-off. This impedance change can be
measured using suitable instruments and the value can be correlated to the changes in the
parameters just mentioned. The impedance change may either be detected by the same coil
which generates the primary eddy currents (this arrangement of coil is called Absolute coil
mode) [Figure 13.13(a)] or a two coil arrangement can be used for this purpose
[Figure 13.13(b)]. Often two coil arrangement is preferred in which the coils are electrically
coupled in series, but in opposite directions, i.e. they are wound in opposite directions. This
system of arrangement of coils is called differential coil system. A standard specimen is
surrounded by one coil and the other object under test is surrounded by another. When the
material is uniform (i.e. free from any discontinuity) the voltage across the coils will be zero.
@Seismicisolation
@Seismicisolation
Non-Destructive Testing 375
Display
Display
(a) (b)
FIGURE 13.13 Coil arrangements. (a) Absolute coil, (b) Differential coil.
That is the two coils are in electrical balance. If a flaw exists in the object, it upsets the balance
of the test circuit which is indicated on an indicator.
13.5.2 Operating Variables
The major variables that affect the operation of ECI include coil impedance, electrical
conductivity, magnetic permeability, skin effect, lift-off factor and fill-factor. Each of the
factors is discussed below in brief.
Skin effect
In general, eddy currents are distributed non-uniformly throughout the part under examination.
The density of eddy currents is large in the surface and decreases exponentially with distance
from the surface of the part resulting in the so called skin effect. The depth below the surface,
at which the magnitude of eddy currents is reduced to about 37% of the surface eddy current
value is termed as the standard penetration depth, S, which can be estimated using the
relationship:
S =15900 ✓ p
µJ (13.2)
where, S is the standard depth of penetration in mm, p is the resistivity of the component
material (Q mm), µ, is the relative permeability of the material (µ, = 1 for non-magnetic
material) and f is the frequency (Hz). Standard penetration depth is different for different
materials, and it is not constant even for a given material. The magnitude of S decreases as the
test frequency increases. Thus, a test frequency must be selected so as to permit a penetration
depth up to which defects are to be found. There is a lower limit to the frequency which can
be used for any particular inspection application and this is referred to as the limit frequency,
Jg- This limit frequency is also not a constant value for all conditions and it is a function of
material characteristics such as conductivity and magnetic permeability and on the size of the
component. It has been found that when thickness of the component is less than three times the
magnitude of S, the distribution pattern of eddy currents will become distorted and the extent
of distortion increases with the decrease in thickness of the material (Figure 13.14). Thus, for
thin materials a change in thickness will alter the eddy currents, and hence, the impedance value
@Seismicisolation
@Seismicisolation
376 Mechanical Behaviour and Testing of Materials
t> 3S
(a) (b)
I
I
(c)
FIGURE 13.14 Illustration of effect of thickness (t) on the distribution pattern of eddy current. The
pattern tends to distort with reducing thickness of the material below 3S as shown
in (b) and (c).
of the test coil. Accordingly, an eddy current system, when calibrated against the known
standards, can be used successfully for the accurate measurement of thickness of thin materials.
It can also be noted from Eq. (13.2) that higher the permeability lower is the standard depth of
penetration. Since the values of relative permeability of ferromagnetic materials usually fall in
the range 500-2000, eddy currents in these materials are concentrated at the surface. Hence sub-
surface defects are not detectable in ferromagnetic materials. Also small variations in
permeability produce relatively large change in impedance of the probe. Hence, conventional
ECI is unable to inspect ferromagnetic materials successfully.
Lift-off
For a simple geometry such as eddy current probe over a flat metallic plate, the distance
between the material and the coil is called Lift-off (in case conducting material is in the form
of a rod or tube, the distance between the material and the coil is commonly called fill-factor).
Any increase in lift-off decreases the eddy current density in the material and therefore the
impedance change of the probe also decreases. It is therefore desirable to keep lift-off factor
as low as possible to achieve better sensitivity. Lift-off is also a function of coil diameter.
Larger the coil diameter, smaller is the lift-off.
Electrical conductivity
Many factors influence the electrical conductivity of a metal, such as temperature, composition,
heat treatment and resulting microstructure, grain size, hardness and residual stresses. Anything
that increases hardness will reduce the electrical conductivity. Conversely, eddy currents can be
used to monitor composition and various metallurgical characteristics provided their influence
on conductivity is sufficient to provide the necessary contrast. For instance it is possible to
monitor the heat treatment of age hardenable aluminium alloys because of marked effect on
hardness on conductivity.
Magnetic permeability
It is well known that magnetic permeability of a material is not constant, but it increases with
the magnetizing force (H) acting on it. For instance, a ferromagnetic material when placed in
@Seismicisolation
@Seismicisolation
Non-Destructive Testing 377
a solenoid coil, the induced magnetic field increases as the current in the coil increases. The
magnetic field within the material increases rapidly at first and then tends to become steady. At
saturation magnetization (when there is no appreciable change in induced flux in the material
for a change in the applied field strength) permeability is almost constant for small changes
in the field strength. Since eddy currents are induced by a varying magnetic field, the
magnetic permeability of the material being inspected strongly influences the eddy current
responses. The same factors that influence electrical conductivity (such as composition,
hardness, residual stresses, heat treatment and flaws) also may influence magnetic
permeability, µ,_ Thus, eddy current inspection can be applied to both ferromagnetic and non-
magnetic materials. The fact that permeability becomes constant when a ferromagnetic material
is saturated can be used to permit ECI of ferromagnetic materials with greatly reduced influence
of permeability variations.
Effect of geometry
A simple flat geometry of the component will not affect the ECI much but difficulties arise as
the shape of the component is curved or complicated. A curved surface show a different "lift-
off' response than a flat one. Inspection at the edges is not advisable as they distort the eddy
current field. Eddy currents are unable to flow beyond this limiting barrier. The magnitude of
this effect is usually very large. It is recommended to carry out inspection about 3 mm within
the edges. A complicated shape object may have variations in cross-sections. If eddy currents
penetrate the full thickness of any cross-section it gives a signal from thickness change which
in fact may also be caused by the loss of metal due to corrosion.
13.5.3 Applications
ECI is used to evaluate a wide range of products in industries. This includes rounds, flats, and
irregularly shaped conductive objects. The rounds may be solids or tubular ones. The various
variables that can be detected by ECI include, conductivity (as conductivity changes with
alloying elements, cold working, heat treatment, etc.), hardness (conductivity changes as
hardness changes), strength, heat treatment (variation in heat treatment causes variation in
conductivity), discontinuities such as cracks, inclusions, etc., coating thickness, and thickness
of corrosion loss.
13.6 ULTRASONIC TESTING
In ultrasonic testing, sound waves of high frequency are introduced into the material under
inspection to detect subsurface and surface flaws. The sound waves travel through the material
with some attendant loss of energy and are reflected back when encounter an interface. The
interface can be an air-gap within the material or the opposite face of the material. By
determining the relative times for the ultrasonic waves to be reflected back from the flaw and
from the opposite face, the location of the flaw and its dimensions can be analyzed.
The degree of reflection from an interface is greatly affected by the physical state of
matter on the opposite side of the interface. For instance, when sound waves offer a metal-gas
interface, they will be reflected almost totally from it. Partial reflection occurs at metal-liquid
or metal-solid interfaces.
@Seismicisolation
@Seismicisolation
378 Mechanical Behaviour and Testing of Materials
Flaws such as cracks, laminations, shrinkage cavities, pores, flakes and other
discontinuities that act as metal-gas interfaces can easily be detected using ultrasonic waves.
Inclusions and other inhomogeneities which cause partial reflections of sound waves can also
be detected using ultrasonic waves.
Ultrasonic inspections are carried out to detect both surface and internal flaws in the
material. These techniques are used for the quality control inspection of semi-finished parts
(such as blooms, billets, rolled slabs) as well as finished products. The technique is also in
regular use for the in-service characterization of parts and assemblies.
13.6.1 Basic Principle
The basic principle of ultrasonic testing depends on the transmission of energy of the ultrasonic
waves to the particles of the medium through which they propagate and cause the displacement
of particles. Usually a transducer is used to generate the ultrasonic waves. A transducer consists
of a piezoelectric crystal such as quartz which is subjected to an electric field. A variation in
electric field will result in changes in dimensions of the crystal, thereby, producing both
compression and tension in the crystal. The transducer is coupled to the test piece through a
suitable liquid called couplant. Either a continuous wave or pulses of ultrasonic frequencies are
imposed on the transducer which in turn transmits the energy to the test piece. As the sound
waves travel through the material they lose some of the energy due to scattering at microscopic
interfaces (such as grain boundaries, second phase particles, inclusions, etc.) and some due to
internal friction of the material and are reflected at the interfaces. The reflected wave is detected
by the original transducer or a second transducer, and analysed to define the presence and
location of flaws.
13.6.2 Ultrasonic Waves
With regard to frequencies, sound waves can be divided into three groups, namely, subsonic
with frequencies less than 16 kHz, sonic (audible sound) with frequencies range between
16 kHz to 20 kHz and ultrasonic having frequencies greater than 20 kHz. The usual frequencies
for non-destructive testing of materials are in the range 0.5 to 10 MHz. The selection of actual
frequency depends on the roughness of the surface, grain size of the material and the
dimensions of the flaw. The detection of a small flaw requires the use of high frequency, but
a practical limit is set up by the surface roughness and the grain size.
Based on the mode of vibrations of the particles of the medium with respect to the
direction of propagation of the waves, ultrasonic waves are classified as follows:
(i) Longitudinal waves
(ii) Transverse or shear waves
(iii) Surface or Raleigh waves.
Longitudinal waves
These waves are the most commonly used ultrasonic waves as they can travel through solid,
liquid and gases and are easily detected. When the motion of the particles in a medium is
parallel to the direction of propagation of the wave, the wave is said to be longitudinal. Particle
@Seismicisolation
@Seismicisolation
Non-Destructive Testing 379
oscillations in the direction of propagation of the wave results in compression and rarefaction
(or dilatation) as shown in Figure 13.15(a). A plot of amplitude of particle displacement as a
function of distance along the direction of wave travel is shown in Figure l3. l5(b). The distance
from one crest to the next is the wavelength (A). Since the velocity of sound is constant in a
given material, the vertical axis in Figure 13.15(b) could represent pressure instead of particle
displacement and the horizontal axis could represent time instead of travel distance. This
relationship is used in the measurements made in ultrasonic inspection. Longitudinal waves
travel with high velocity in most of the media. The velocity of longitudinal waves in steel,
aluminium, cast iron, copper, brass, Perspex, water and air is (5.90, 6.32, 3.50 to 3.56, 4.7,
3.83, 2.73, 1.48 and 0.33) x 103 mis, respectively. The wave lengths in common materials are
usually very short in comparison to the cross-sectional area of the transducer material that
generates them.
Direction of wave
travel
Particle
oscillation
Q)
-0
:E
0..
E
<(
Rarefaction Compression
I
(a) Wavefront
Compression
Travel distance -
(b)
FIGURE 13.15 Schematic representation of longitudinal ultrasonic wave. (a) Particle oscillation and
resultant rarefaction and compression, (b) Amplitude of particle displacement as a
function of travel distance.
Transverse waves (or shear waves)
These waves travel only in solids and are also used widely in ultrasonic inspection of metals.
When motion of the particles in a medium is normal to the direction of propagation of the wave,
the wave is termed as transverse. A transverse wave is shown schematically in Figure 13.16.
The velocity of transverse wave is almost half that of longitudinal waves therefore the wave
@Seismicisolation
@Seismicisolation
380 Mechanical Behaviour and Testing of Materials
l!ttJIIIJJ
JII
Direction of wave travel
l!Jt111l>
Wavefront
FIGURE 13.16 Schematic representation of transverse wave. Arrows indicate the direction of
particle oscillation.
length of the shear waves is much shorter than that of longitudinal waves. Velocity of transverse
waves in steel, aluminium, cast iron, copper, brass and Perspex is (3.23, 3.08, 2.2-3.2, 2.26,
2.05, 1.43) x 103 mis respectively.
Surface (or Rayleigh) waves
If the propagation of the ultrasonic waves is confined to surface of the part without penetrating
below it to any extent, the waves are called surface or Rayleigh (after the name of Lord
Rayleigh) waves. Surface waves consist both longitudinal and shear type motion of the particles
of the medium. These waves can travel only along an interface which is bounded on one side
by strong elastic forces of a solid and on the other side by the practically negligible elastic
forces between gas molecules. Thus, surface waves essentially do not exist in a solid immersed
in a liquid. However, they may exist if the solid surface is covered by a very thin film. In a
given material surface waves have velocity almost 90% that of transverse waves. The
wavelength of these waves is extremely short. The region within which these waves propagate
with effective energy is not thicker than about unit wavelength beneath the surface of the metal.
13.6.3 Ultrasonic Transducers
An ultrasonic transducer is a device used to generate ultrasonic waves by converting one kind
of energy into another. Devices that convert electrical energy into mechanical energy are termed
as electro-acoustic transducers. Among the various types of transducers piezoelectric transducer
is based on piezoelectric effect in which electrical energy is converted into mechanical energy
and vice-versa. That is, a piezoelectric crystal undergoes a change in physical dimension when
subjected to an electrical field. Conversely, an electrical field is created in such a crystal if it
is subjected to a mechanical strain and the voltage produced will be proportional to the amount
of strain. If an alternating field is applied to a piezoelectric crystal, the crystal will either expand
during the first half cycle or contract when electrical field is reversed. By varying the frequency
of electric field, one can vary the frequency of mechanical vibrations produced in the crystal.
Piezoelectric crystals are of two types:
(i) Natural
(ii) Artificial
@Seismicisolation
@Seismicisolation
Non-Destructive Testing 381
Among the naturally occurring piezoelectric crystals, quartz has been used since
beginning, because it combines reasonably good piezoelectric properties with excellent
mechanical and dielectric strength and stability. Quartz transducers can be operated up to 773 K
(500°C). The other examples of naturally occurring piezoelectric crystals include Rochelle salt
and tourmaline. The synthetically made transducer materials are mechanically less resistant.
Lithium sulphate is the most sensitive, but barium titanate is the best transmitter. The other
synthetic transducer materials that are in use include lead metaniobate and lead zirconate. When
an alternating voltage is applied across the thickness of a disc shaped piezoelectric material, the
disc will undergo contraction and expansion. As a consequence a compression wave normal to
the disc in the surrounding medium is produced.
13.6.4 Probes
A probe consists of a piezoelectric crystal mounted in a suitable housing. A voltage of short
duration is applied to the crystal and this causes the crystal to vibrate to its natural frequency.
After the step voltage has been removed the crystal vibrations must die as soon as possible. To
assist this process the crystal is usually backed by a damping material. The probes are generally
of two types:
(i) Normal probes
(ii) Angle probes
Normal probes
A normal probe is one which generates compression waves and transmits them into a specimen
in a direction normal to the plane of the surface to which the probe is applied. The crystal is
mounted in a suitable housing which protects it. In some cases the crystal surface is uncovered
so that it may be placed directly, through a couplant, in contact with the test piece. In other
cases, the crystal may be protected by a layer of metal, ceramic or Perspex. Figure 13.17
(a)
Damping
material
Perspex cover
(b)
~
Curved test piece
(c)
Damping
material
Crystal
Perspex cover
FIGURE 13.17 Illustration of normal probes; (a) Uncovered probe, (b) Covered probe, and
(c) Probe covered with curved cover.
@Seismicisolation
@Seismicisolation
382 Mechanical Behaviour and Testing of Materials
illustrates the construction of normal probes. If the test piece is curved, the crystal surface is
covered by Perspex block of the same contour as the test piece to allow for normal transmission
of the sound wave in the test piece. If the same crystal serves as a transmitter and receiver both,
the probe is called single crystal probe. If two crystals, one serves as transmitter while the
other as receiver are insulated from each other and housed in the same probe, the probe is called
double crystal probe.
Angle probes
Angle probes are designed to transmit shear or Rayleigh waves into the test piece material. Like
normal probes, in angle probes also the crystal is embedded in a shaped Perspex block. The
crystal is so housed that its surface is at an angle with respect to the test surface.
13.6.5 Interaction of Sound Waves at the Interfaces
When a beam of longitudinal compression sound wave reaches a boundary between two media,
a proportion of the incident beam will be reflected at the interface and the rest will be
transmitted across the interface. For normal incidence waves, the transmission across the
interface will be of compression wave type. The reflection coefficient, R, and the transmission
coefficient, T, can be determined from the acoustic impedances, Z1 and Zi. of the two media in
contact. The acoustic impedance, Z, of a material is given by the relation:
(13.3)
where, p is the density of the material and Ve is the velocity of a compression wave in the
medium.
Reflection of sound waves at an air-metal interface is practically 100% at frequencies
normally used in ultrasonic inspections and therefore, sound cannot be transmitted easily into
a metal across an air gap. The reflection coefficient at air-metal interface can be reduced by
introducing a liquid such as oil or water as a coupling agent at the interface. For example, it
has been found that about 94% reflection takes place when oil is used as a couplant between
transducer and metal interface. In other words, about 6% of the incidence sound energy will be
transmitted across the interface and enters the metal. The efficiency of transmission will be
improved considerably by reducing the thickness of the couplant as much as possible. The
reflection coefficient depends on the difference between the impedances of the media at the
interfaces. A large difference in these values results greater reflection and conversely a lower
transmission. The impedance values of some materials are given in Table 13.2.
TABLE 13.2 Acoustic impedance values of some media
Medium
Air
Water
Oil
Steel
Aluminium
Copper
Acoustic impedance, (MPa s/m)
4.04 X 10-4
1.43
1.58
45.72
16.77
41.08
@Seismicisolation
@Seismicisolation
Non-Destructive Testing 383
The notable point from the table is that air is a poor transmitter of sound waves at MHz
frequencies commonly used for ultrasonic inspection. Also, the impedance mismatch between
air and most solids is great enough to retard the transmission of sound waves from the
transducer to the test piece even if a very thin film of air exists between them. Thus, to perform
satisfactory contact inspection it is necessary to eliminate air between the transducer and the test
piece by the use of a couplant. Some commonly used couplants are oil, water, glycerin,
petroleum greases, silicone grease, etc.
13.6.6 Methods of Ultrasonic Inspection
Among the various methods of ultrasonic inspection the two commonly used ones are:
(i) Normal incident pulse-echo method, and
(ii) Normal incident through transmission method
Pulse-echo method
The principle of pulse-echo method is that when a beam of ultrasonic wave is allowed to pass
through a test piece, the echo is received either from a flaw or from the opposite surface of the
test piece. The echo in the form of a pulse is converted to electrical energy and displayed on
the screen of cathode ray oscilloscope as a pip.
In this method only one crystal probe is used for both sending and receiving the ultrasonic
waves [Figure 13.18(a)]. The probe is placed against the test piece using an oil film for better
transmission of the sound waves. Electrical oscillations of certain frequency is applied to the
crystal for a fixed time (for instance for a period of a micron second) so that ultrasonic waves
are sent into the surface of the material. The crystal then stop sending waves, but is now ready
to receive any reflected waves, after they have travelled through the test piece. The reflected
waves vibrate the crystal and produce electrical impulses which are fed into a Cathode Ray
Oscilloscope (CRO). The original pulse striking the front or top surface of the test piece makes
a sharp peak (or pip) at the left side of the oscilloscope screen and the waves reflected from
the reverse surface are indicated by a pip towards the right a distance dependent upon the
thickness traveled and the time required [Figure 13.18(a)] . If the test piece contains a defect
and is encountered by the ultrasonic beam, most part of it is reflected after being striking the
defect. This reflection is indicated by an additional pip on the oscilloscope. The oscilloscope
would show pips corresponds to the reflections of the waves from the front and reverse surfaces
of the test piece [Figure 13.18(b)] and an intermediate pip due to the flaw as illustrated in
[Figure 13.18(c)]. Since the beam from the crystal is very narrow, it is essential to scan the
whole surface of the test piece by a progressive movement of the probe.
This method of ultrasonic inspection offers certain advantages over the normal incident
transmission method. These are:
(i) The specimen may be of any shape
(ii) Only one coupling point exists, thus minimizing error
(iii) The distance of the flaws from the surface can be measured with ease
@Seismicisolation
@Seismicisolation
384 Mechanical Behaviour and Testing of Materials
~-------"''l"'i'Df=l"'T''I=----~- Top
rDistance from j
test surface to
opposite surface
!L
Distance
(b)
Small
flaw
Back surface
(a)
surface
_work
piece
Distance from test
surface to defect
(c)
FIGURE 13.18 Illustration of pulse-echo method. (a) The probe acts both as transmitter and
receiver, (b) Display of reflection of ultrasonic waves from the top and back surface
of the workpiece as pips on CRO screen, and (c) Intermediate pip showing
presence of the defect in the workpiece.
Normal incident through transmission method
In this method, instead of a single transducer, two transducers are in use (see Figure 13.19). One
is placed in contact to the object through an oil film on the front or top surface to transmit the
waves. The other is placed on the reverse side of the test piece through a couplant to receive
the transmitted beam after it has travelled through the material. An electrical impulse of desired
frequency is imposed on the transmitting crystal which produces a beam of ultrasonic wave.
This wave travels through the material and arrives to the reverse surface of the test piece where
the receiver transducer receives it and converts it into an electrical signal. The electrical signal
is amplified and displayed on the screen of cathode ray oscilloscope or indicated on another
suitable indicating device.
@Seismicisolation
@Seismicisolation
Non-Destructive Testing 385
Transmitter probe
Couplant
Receiver probe
FIGURE 13.19 Illustration of normal probe transmission method of ultrasonic testing.
This method suffers from certain drawbacks. These are as follows:
(i) The object under inspection must have parallel surfaces
(ii) Care must be taken to align the two probes
(iii) The depth of the flaw from the surface is not indicated
13.6.7 Advantages of Ultrasonic Inspection
The method of ultrasonic inspection offers many advantages. Some of these are the following:
(i) The very high penetrating power of ultrasonic waves allows the detection of deeply
seated flaws in the objects. Routine inspection of many parts involves depths of the
order of several feet. Depths as large as 20 feet in the axial inspection of parts such
as long steel shafts or rotor forgings have been carried out.
(ii) High sensitivity permits accurate determination of defect size.
13.7 RADIOGRAPHIC INSPECTION
Radiographic inspection of NOT makes use of very short wavelength electromagnetic
radiations, namely, X-rays and y-rays. These rays are generally penetratable through the solid
materials and are partially absorbed by the medium. The amount of absorption that occurs will
depend on the density and thickness of the material through which the radiation pass and also
the characteristic of the radiation. Consequently, there will be a variation in the absorption of
the rays by the material in the defective area. The radiation that passes through the material can
be detected and recorded on either a photographic film or viewed on a fluorescent screen or
detected and monitored by electronic sensing equipment. Thus, the term radiography can be
defined as a process in which an image is produced on a radiation sensitive film. This technique
is one of the most widely used NOT methods for the detection of internal defects such as
@Seismicisolation
@Seismicisolation
386 Mechanical Behaviour and Testing of Materials
porosity, inclusion and voids. With proper orientation planar defects can also be detected with
radiography.
The basic principle of radiographic inspection is that the object to be examined is placed
in the path of the beam of radiation of short wavelength (X-ray or y-ray) source. A photographic
film is placed on the other side of the object (from the opposite side of the beam source). Some
of the radiations will be absorbed by the material, but some will travel through the object and
impinge on the film, producing a latent image. When the film is developed there will be a
picture of light and dark areas. The dark areas represent the parts of the object having lower
density. These parts may be the flaws such as pore or void in the material. This film in general
is called radiograph (specifically a xerograph if the film is exposed to X-rays or a radiograph
if the radiation used is y-ray). Figure 13.20 illustrates the principle of radiography in which the
specimen having the stepped shape block with thick and thin steps and containing pore and an
inclusion is exposed to short wave length radiations. The developed radiograph shows regions
of variation in darkness. The thin section of the object (specimen) allowed more radiations to
pass through, and therefore, appear dark region on the radiograph. The same effect is found in
the area of porosity but this region is darkest in the radiograph. On the other hand, the inclusion,
being denser than the surrounding material, absorbs more radiations therefore produce light area
on the photographic film. Basically it is this contrast (different in density) on the film that
allows an observer to detect flaws in the specimen.
~ , . R a d i o g r a p h
FIGURE 13.20 Radiograph showing differential absorption.
The industrial radiography is commonly employed to examine the welded products (such
as weld in pressure vessels, bridge construction, power projects, etc.) and castings for blow
holes and other flaws. Radiography can also be used to measure the thickness of the material.
@Seismicisolation
@Seismicisolation
Appendix
Hardness Testing
SIGNIFICANCE OF HARDNESS
The term hardness can be defined as the resistance that a material offers against penetration of
a harder material when it is allowed to force into the specimen. In other words, hardness is the
resistance to plastic deformation of the material. Hardness is not a fundamental property of any
material. Its importance lies in the fact that it is closely related to many fundamental engineering
properties which can indirectly be measured by means of the more rapid and economical
hardness test methods. For example, the strengthening that result from alloying, cold-working,
ageing or heat treatment is usually assessed by measurement of hardness of the material.
Hardness is one of the very important property requirements for tools, in particular, cutting
tools. In addition measurement of hardness also becomes important for applications involving
wear. In general, wear resistance increases with increase of hardness. Such applications which
require wear resistance include ball and roller bearings, crank and cam shafts, piston, axles,
brake drum, clutches, cylinder block, forging dies, rolling mill rolls, wire drawing dies, grinding
media balls, etc. Measurement of hardness becomes important for all these applications.
The most commonly used laboratory methods of hardness measurement include Brinell
hardness, Vickers hardness, Rockwell hardness. These are described in the subsequent
appendices.
387
@Seismicisolation
@Seismicisolation
Appendix
Brinell Hardness Test
Object: To determine the Brinell hardness of a given specimen.
Apparatus: Brinell hardness tester, Brinell ball of lO mm diameter and specimen/s.
Theory
Brinell hardness test is carried out by pressing a hardened steel ball indenter of diameter,
D (in mm), into the metal specimen under a definite static load, P (in kgf). The load divided
by the surface area of spherical indentation is taken as a measure of hardness and is called
Brinell hardness number (BHN). Thus, Brinell hardness number is given as:
BHN = Applied Load in kgf
Spherical area of indentation in mm 2
or
2 p p
BHN=- ✓ =-kgf/mm2
nD (D _ D2 _ d2) nDt
(Al.l)
where d is the diameter of indentation and t is its depth. The diameter of indentation is
measured, rather than the depth because of the lip that forms, as shown in Figure A1.1. The
depth t is difficult to be measured. In addition, the depth is affected to a much greater extent
than the diameter by elastic recovery of a metal when the load is removed. In standard Brinell
hardness testing it is the diameter which is measured.
The principle of Brinell hardness test is that when indenters of different diameter are used,
similar geometrical impressions having proportional diameters are produced, which give the
same value of hardness provided the load applied is proportional to the square of ball diameter D.
388
@Seismicisolation
@Seismicisolation
Appendix At-Brine/I Hardness Test 389
D
FIGURE A1.1 Brinell indentation on a specimen. Dis the diameter of indenter, dis the diameter
of indentation and t is the depth of indentation. Lip formed at the edge of indentation
can be noted.
That is, P oc D2 or P = KD2. Where the constant K is called load factor. The value of K depends
on the hardness of the material under examination. Table A I. I gives the value of the constant
for various materials in accordance with the Indian Standards. The original Brinell test made
use of a load of 3000 kgf with an indenter of IO mm hardened steel ball. With the above
condition (P = KD2) satisfied, indenters of diameters 5, 2 and I mm are also in use.
TABLE A1.1 The value of load factor for standard Brinell test
Metals and thickness Indenter Load, Loading pfD2
required, if any diameter D, P, kgf time,
mm sec
Steel IO 3000 10-15 30
Grey cast iron
greater than I5 mm IO 3000 15-20 30 (for BHN 140)
Between 5 and 15 mm 5 750 15-20 30 (between BHN 140-450)
Copper and its alloys IO 1000 15-30 IO (for BHN 25-200)
Light metals and alloys IO 500 30 5
Lead, tin and soft solder IO 100 60-120
The Brinell method applies so frequently not only because of the easy working but also
because for some materials the tensile strength can be derived from the Brinell hardness. The
interrelation between BHN and tensile strength, however, gives only approximated values and
is not saying that the Brinell test may replace the tensile test. The Brinell test is applied specially
to grey cast irons, unhardened steels, and light metals. It is recommended to limit this test to
those materials whose Brinell hardness is up to 450 BHN. A material with hardness greater than
this, if tested in Brinell machine using hardened steel indenter, may tend to deform the indenter.
As a result, errors will be encountered in the hardness values.
Description
Brinell hardness tester Model B 3000 (0) consists of the following:
(i) A loading system
(ii) An elevating screw with test table
@Seismicisolation
@Seismicisolation
390 Appendix A1-Brinell Hardness Test
(iii) A dial gauge
(iv) An optical lens system
(v) An electric motor
The dial indicator provided with the machine indicates the completion of loading and
unloading. The machine is provided with an optical lenses with 14x magnification, which
includes one condenser to illuminate the area of the object under examination, one optical tube
assembly, one prism assembly and one front screen assembly with micrometer thimble to get
an accuracy of 0.01 mm. The diameter of impression is projected on the screen and can be
measured with a scale. The machine assembly is fully enclosed in a fabricated body so as to
protect the mechanism inside the machine from dust. For application of the load, specimen is
raised and clamped against the clamping cone. As a result, a small gap is created between the
specimen and the ball indenter. Load is applied manually by operating the three position lever
to 'Load' position. By operating the same lever at unload position load is removed. By
operating this lever to read position the indenter gets swivelled and diameter of indentation is
projected on the screen for measurement. The load ranges in stages of multiple of 250 kgf up to
3000 kgf. This machine conforms to LS. specification, 2281:1968 and BS specification 240.
Procedure
The procedure of performing Brinell test involves the following steps.
1. The surface of the given specimen is prepared by metallographic polish by abrading with
successively finer grades of emery papers from O to 000 grades in order to allow
precision in the measurement of impression edges. Such a finish would be adequate for
most hardness tests and more than adequate for a standard 10 mm Brinell ball.
2. The specimen is cleaned and dried.
3. The specimen is placed on the anvil of the elevating screw of the machine.
4. Switch on the motor by pushing the green button of starter and allow the oil to circulate
for few minutes. Operate the hand lever from unload to load positions several times to
raise and lower the weights. Keep the lever to unload position.
5. The anvil is raised by means of the elevating screw till a spot on the specimen where
indentation is to be taken, is focused under the microscope.
6. The predetermined load is applied by operating the lever to load position. After a desired
period of time (as given in the Table Al.I) the load is removed by operating the lever
to unload position. The weights are lifted off.
7. After the test load is removed and the projecting device swivelled in, the Brinell
impression is sharply imaged on the focussing screen of the measuring equipment. As
the focussing was set at the beginning, it need not be done once again. The diameter of
indentation is measured carefully. Two scales are provided with the measuring
equipment. One on the focusing screen (left hand side) and other on the clear screen
(right hand side). These scales are the main scales with least count of 1 mm under a
magnification of 14x. The focusing screen is provided with a vernier scale graduated
from 0-10 towards the right of zero of the main scale. The long middle division of the
clear screen is marked by O and should range always within the vernier scale when
@Seismicisolation
@Seismicisolation
Appendix At-Brine/I Hardness Test 391
measurement is carried out. Each division of vernier scale equals 0.1 mm under the same
magnification as for main scale. One division of the micrometer graduated from Oto l0
equals 0.0 l mm. In order to measure the diameter of the indentation, the measuring
equipment (Figure A1.2) should be turned such that the diameter of indentation is almost
parallel to the horizontal line on the scale. The nearest division at the left of the scale
(i.e. on the focusing screen), should be positioned to the impression with the aid of
turning knob such that the outer edge of the circular impression just touches the inner
edge of the division mark of the measuring equipment. Similarly, the nearest division
mark, at the right of the scale (i.e. on the clear screen) of measuring equipment should
be positioned to the impression by means of the micrometer such that the outer edge of
the impression just touches the inner edge of the division mark of the measuring
equipment. In doing so care should be exercised to see that the zero of the main scale
of clear screen must fall on the vernier scale (Figure A1.2). Now count the number of
big divisions on either side of zeros of the main scales. Figure Al.2 shows that this
number is 7. Now count the number of divisions on the vernier scale towards the left of
zero on the main scale of clear screen. This number is, say one as shown in Figure A1.2.
Now count the number of divisions on the micrometer that have been crossed the
horizontal line provided before the micrometer scale. Say this number is 7. The diameter
of indentation is therefore read as 7.17 mm. Diameter of the indentation is measured in
both horizontal and vertical direction.
Scale of
focussing screen Vernier
scale
0
0 10
Scale of
clear screen
Outer edges of Brinell impression
Micrometer
Micrometer
thimble
FIGURE A1.2 Measurement of Brinell indentation. Diameter of indentation shown is 7.17 mm.
Precautions
Refer Section 9.4.l.
Observations
S. No. Material of the specimen
Result
Load, kgf Diameter of indentation Hardness, kgf mm-2
The average value of the hardness of the given specimen (say mild steel) is ......
@Seismicisolation
@Seismicisolation
Appendix
Vickers Hardness Test
Object: To get acquainted with the Vickers hardness testing machine and perform the test on
the given specimen to determine hardness.
Apparatus: Vickers hardness tester, Vickers diamond pyramid indenter and flat specimen.
Theory
Brinell hardness testing suffers from certain difficulties. These are:
l. Brinell hardness number is not a constant if P!D2 is not a constant for a given material.
2. The range of hardness that can be measured is limited (up to about 450 BHN) in view
of the deformation of the indenter at high hardness values.
3. Where the specimen is not massive large size of indentation is a disadvantage.
4. Deep and large indentations spoil the surface of the finished product.
Vickers hardness test overcomes these difficulties. In this test, a pyramid indenter having
square base and smoothed-off point made of diamond is used. The included angle between the
opposite faces of the pyramid is 136° so that geometrically similar indentations are obtained at
all loads on a given material. Hardness is thus independent of load. Thus, by varying the load
suitably, hardness values from very low to very high can be measured. Since diamond is
extremely hard, hardness of very hard materials can be determined successfully. The test
involves gradual indentation of the specimen to be tested under a definite load P. The produced
impression is projected on a focusing screen. The surface indentation is very well-defined and
being square, can be measured with great accuracy across the diagonal corners.
The Vickers hardness number (VHN) or Diamond Pyramid Hardness (DPH) can be
expressed in the same way as BHN. Thus,
392
@Seismicisolation
@Seismicisolation
Appendix A2-Vickers Hardness Test 393
VHN =____L_o_a_d_in_kg_f
____
Surface area ofindentation, mm2
1.854P
L2
(A2.l)
where 0 is the angle between opposite pyramidal faces of the indenter which is equal to 136°,
P is the load in kgf, and L is the average length of the diagonal of square impression in mm.
The Vickers diamond test gives a hardness scale which is linear, i.e. a metal with DPH equal
to 800 is twice as hard as a metal with DPH 400. No such relationship exists for other hardness
tests except those employing constant angle diamond indenters.
Description of the Machine
The body of the Vickers hardness testing machine Model VM50 is closed by covers and the
mechanism inside the machine, is thus, protected from dust and extraneous elements. The basic
system is one of weights and levers. The load is applied by standardised weights through a lever
having an antifriction bearing fulcrum and a knife edged free floating frictionless plunger
system. The duration of the test is controlled by an adjustable electronic timer. All the knife
edges are hardened, ground and lapped and inspected with high precision optical instruments
thus ensuring accurate tests consistency at all times. This machine conforms to IS: 1754: 1968
IS. The commonly used test loads include 5, 10 20, 30 and 50 kgf (The most frequently used
loads are 10, 30, and 50 kgf). These loads are selected through Indexing weight selection knob
from outside. An optical device is provided for projecting the impression on front screen with
70x magnification which is capable to project 1.6 mm impression maximum. One division of
the main scale equals 0.1 mm while that of vernier scale is equal to 0.01 mm at this
magnification. The micrometer thimble provided on front screen enables to measure the
diagonal of impression with an accuracy of 0.001 mm. Dwell time can be adjusted between 0
to 30 seconds.
The Vickers method applies especially to small, hard and thin specimens, as well as to
determine the hardness of cases of case hardened components. Using different loads, the testing
machine is suitable for hardness range between 30 to 1000 VHN. Up to a Vickers hardness of
350, the VHN agrees with the BHN and moreover, depends on the load under which the
impression is made.
Procedure
The procedure of the Vickers test involves the following steps:
1. Select the weight according to the expected hardness of the specimen to be tested by
turning the "weight selection knob". The respective figure of weight is visible on one
side of the knob itself.
2. Place polished specimen on the Testing table below the optical device.
3. Turn the hand-wheel clockwise slowly so that specimen gets focused on the front screen
(same as in Brinell machine) sharply. At this stage a gap of about 0.20 to 0.25 mm is
expected between the tip of the indenter and top surface of the specimen.
4. Adjust the Dwell timer for the required duration of load on the specimen.
5. Turn the indenter head in the anticlockwise direction to bring the indenter in position
above the specimen.
@Seismicisolation
@Seismicisolation
394 Appendix A2-Vickers Hardness Test
6. Press "Start" push-button. Keep it pressed till light inside "Start" button will be "on"
even after the release of the push button. The loading cycle starts gradually through a
geared motor provided with a drive-cam. The loading/Dwell/unloading cycle is fully
automatic.
7. Once the Dwell time is over the load is released from the specimen. Maximum time is
three seconds for the release of the load. At this stage the light inside "Start" button will
be "off'.
8. The indenter head is rotated to next position so that the objective of the optical system
is exactly over the indentation.
9. The indentation is now projected on the front focusing screen. Measure the diagonal of
the impression in both axes one after the other in the same way as discussed for Brinell
test.
10. Find the mean value and determine the hardness using the formula or using the
corresponding table which gives the value of hardness for a given load and indentation
diagonal. The Vickers hardness value is always mentioned with respect to load applied.
For example, VHN (30) = 610. In this result, 30 denote the applied load in kgf.
Precautions
1. Before being tested, the test area of the specimen should be cleaned from dirt, oil, scale,
etc. The test area should be even and polished (finish ground with emery 000 grade). The
lower (or reverse) side should also be even and clean, so that the specimen is well set
on the support.
2. Any change of the surface of the specimen by warming or hardening should be avoided,
when the specimen is finished.
3. For specially shaped specimens such as hubs, ratchets, sleeves toothed wheels, etc.,
suitable tables and attachments should be made. With any attachments, care should be
taken that the test area is perpendicular to the direction of pressure. If a convex specimen
whose test area cannot be made flat is to be tested, the test load must be so small that
the difference of length between the diagonals 'L' of impression and corresponding
curvature does not exceed 0.01 mm.
Observations
Make the observation table in the same way as for Brinell test.
Result
The average value of Vickers hardness of the given specimen (say mild steel) is ...... .
@Seismicisolation
@Seismicisolation
Appendix
Rockwell Hardness Test
Object: To study the Rockwell hardness testing machine and measure the Rockwell hardness
of the given specimens.
Apparatus: Rockwell hardness tester, ball and Brale indenters and specimens.
Theory
Rockwell hardness test is more rapid than the two described in Appendices Al and A2, and
therefore, this test is very useful for routine and quick measurement of hardness. In this test the
depth of indentation is taken as a measure of hardness. Instead of using the total depth of the
indentation, the hardness number is based on the increase in depth obtained when a second load
is applied. The first load is called the minor load and the second the major load. Thus, the
difference in depth of penetration produced by a major load and a minor load is a measure of
hardness. The hardness is indicated directly on a dial at the front of the machine. The minor
load of lOkgf is first applied in order to minimise the effect of surface irregularities. This makes
the readings due to subsequent major load independent of surface conditions. Depending on the
combination of major load and the indenter used, the hardness scale on the indicator varies. The
two commonly used scales are B and C as shown on the indicator in Figure 9.6 of the text
(Section 9.6). Table 9.4 of the text gives the combination of loads, indenters and scales for
Rockwell hardness tests carried out on various materials.
Special indenters of diameters 1/8, 1/4 and 1/2" are used for testing soft materials.
Depending on the combination of different size ball indenters and loads, the corresponding scale
designations are usually shown on the machine. The Rockwell hardness in terms of the depth
of penetration is expressed as:
395
@Seismicisolation
@Seismicisolation
396 Appendix A3-Rockwell Hardness Test
t
HR= h - - - =h - 500t
0.002
where his the constant which depends on the scale used (h = 130 for B-scale and 100 for C-scale)
and t is the depth of the penetration in mm. Each unit on the scale represents a penetration depth
0.002 mm. Thus, if the indenter penetrates to a depth of 0.12 mm, then the number of divisions
represented by this depth is
0.12 =60
0.002
The Rockwell hardness number on C-scale is thus,
100 - depth in scale divisions, i.e. 100 - 60 = 40
The Rockwell hardness is given as Rc40.
Description of the Machine
This hardness tester is a cast iron body. The enclosed design protects the internal operating parts
from detrimental dust effects. The elevating screw is also protected by a set of telescopic
sleeves. One end of loading lever is located internally in two side bearings and other end is free.
The weights under hydraulic dashpot time control are applied on this free end, which transmits
the pressure on plunger and thereby on the test piece for the determination of hardness value.
A clamping device enables the tight clamping of work piece during the test. The plunger
(diamond holder) in the machine is guided with a set of bearings, which enables testing the
hardness of pins of very small diameter too. The required major load is set on the machine by
placing auxiliary weights on a pan at the side of the machine. To apply the major load a lever
is provided on the right hand side of the machine. The accuracy of the machine is as per B.S.
891: Part 1 and 2, 1964.
Procedure
The procedure of Rockwell hardness test involves the following steps:
1. Before the start of the test, attach the appropriate indenter and place the major load
according to the material under test.
2. Check that the lever is towards the operator. If not, tum it to counter-clockwise direction
so that the load is lifted. At this position the lever is towards the operator.
3. Place the specimen on the anvil.
4. Turn the hand wheel of the elevating screw clockwise so that the anvil is raised and
specimen comes in contact with the indenter. The anvil is raised further to push the
indenter and still further until the small pointer shows a reading on the dial gauge as '3'.
A red spot is put against this number 3 to avoid any confusion. This means that the minor
load of 10 kgf is fully applied.
5. Check that the larger pointer on the dial gauge is at the 'Set' mark. If not, the outer ring
of the dial gauge can be rotated to bring the pointer on the 'Set' position. The 'Set'
position for B-scale is the number 130 ('30' on the inner red scale) while the same for
C-scale is the number 100 ('O' on the outer black scale).
@Seismicisolation
@Seismicisolation
Appendix A3-Rockwell Hardness Test 397
6. Now major load is applied by turning slowly the lever against the operator so that the
total load is brought into action without any jerk. At this instant, the long pointer on the
dial moves in the counter-clock wise direction.
7. When the long pointer of the dial gauge attains the steady position, take back the lever
to the original position (sudden release of lever to the original position may show an
erratic reading). It takes some time for the long pointer to become steady when the major
load is applied. This is because the indenter takes time to penetrate the specimen to
certain depth depending on its hardness. For hard materials, this time period ranges from
10 to 15 seconds, while for soft materials the time range is from 15 to 30 seconds. The
major load is lifted off while the minor load is still in action.
8. Read off the figure against the long pointer on appropriate scale. This gives the direct
value of the hardness.
9. Turn back the hand wheel to remove the minor load and then remove the specimen.
Precautions
Refer Section 9.6.3.
Result
The Rockwell hardness of the given specimen is ...... .
@Seismicisolation
@Seismicisolation
Appendix
Tensile Testing
SIGNIFICANCE OF THE TEST
Many of the engineering properties of materials are derived from tensile test. These properties
include strength, ductility and elasticity.
Strength
The static strength of a material can be expressed in two ways: 1. Resistance to permanent
deformation, 2. Resistance to fracture.
The yield stress of a material is the strength which it exerts against being permanently
deformed. This kind of strength tends to prevent bending, denting or twisting of a material, in
service. Higher the value of this strength more the resistance offered by the component material
against permanent deformation. If this strength value of a material is known in advance, its use
can be decided depending on the service stresses. Service stresses in no case be exceeded this
strength value otherwise failure will take place. The yield point stress, on the other hand, must
exceed during the manufacturing of a metal product, if they are made by metal forming or working
processes such as rolling or drawing. Thus, yield point is a stress level which should not exceed
in service, but must exceed in manufacturing processes involving mechanical working.
Resistance to fracture offered by a material is referred to its tensile strength. That is, it is
the stress which the material is capable of exerting against being fractured (or broken) in
service. When a stress equal to the tensile strength is developed in a material, the material will
break. The tensile strength is, therefore, a limiting stress level which should neither exceed
during manufacturing of the material nor when it is in service.
Thus both the yield strength and tensile strength are among the most important
characteristics of a material measured by tensile test.
398
@Seismicisolation
@Seismicisolation
Appendix 8-Tensile Testing 399
Ductility
It is the property that a material must possess to some degree of level, in order to be formed
into shape by rolling, stretching, bending, hammering, etc., and to withstand some accidental
sudden loading. Ductility, is therefore, a very useful and often necessary property. There are
two methods to measure this property from the tensile test. These are the percentage elongation
and percentage reduction in area of the specimen. Percentage elongation is a measure of the
lengthwise stretching of the tensile specimen up to the point of fracture. Percentage reduction
in cross-sectional area is a measure of the cross-section as the tensile specimen is stretched. It
expresses the decrease in cross-sectional area as a percentage of the original cross-section. Thus,
determination of ductility property of a material is important not only in its manufacturing into
a product by a shaping process but also to sustain occasional sudden loading.
Elasticity
It is a property by which a material returns to its original dimensions after the removal of stress.
It is a useful characteristic in the design of springs or any other object whose elastic deformation
can be controlled. The elasticity property of a material is commonly expressed by means of its
modulus of elasticity. This is the ratio of stress to strain within exclusively elastic deformation range
of a material. It is obtained from the tensile data. The greater the elastic modulus of a material, the
stiffer or more rigid it is. That is, more stress is required to deform it by a fixed amount.
EXPERIMENT
Object: To acquaint with the Hounsfield tensometer and to perform the tensile test to obtain
the tensile stress-strain curve. Determine various tensile properties using the tensile data. Also
obtain the true values of stress and strain and plot a curve between them.
Apparatus: Hounsfield tensometer, universal percentage elongation gauge and percentage
reduction in area gauge, a pair of grips, graph paper, vernier gauge, and specimen.
Theory
Tensile test is one of the most important methods of mechanical testing of materials. In this
method, strength and ductility properties are evaluated under static load conditions. This test is
carried out by loading a standard tensile specimen (see Chapter 8, Figure 8.1) gripped at both
ends and measuring the resultant elongation of the specimen at various loads until fracture
occurs. The data so obtained are usually plotted as a curve between engineering stress and
engineering strain (Chapter 8, Figures 8.2 and 8.3). The engineering parameters that can be
derived are defined with reference to these figures as follows:
Proportional limit (Point A, Figure 8.2):
Up to this point, the stress is directly proportional to strain, i.e. Hooke's law is obeyed. The ratio
of stress to strain up to the limit of proportionality is called Young's modulus, E.
Yield strength
Permanent deformation occurs at all stress values above the proportional limit. The stress at
which onset of plastic yielding occurs, however, is difficult to define due to gradual change in
the slope of the stress-strain curve above proportional limit for most of the ductile materials.
@Seismicisolation
@Seismicisolation
400 Appendix 8-Tensile Testing
In such cases, the yield strength is defined as the intersection of the stress-strain curve with a
line parallel to the initial straight line of the curve drawn from an offset by 0.2% of the gauge
length of the specimen (Figure 8.3). This value is called 0.2% offset yield strength.
Ultimate tensile strength
This is the maximum value of stress on the engineering stress-strain curve. Beyond this point
necking occurs somewhere along the gauge length of the specimen.
Percentage elongation
Percentage elongation is the ratio of the increase in gauge length of the specimen at fracture
to the original gauge length, expressed in per cent. The percentage elongation is dependent on
the gauge length, and therefore, the gauge length must always be specified along with the
percentage elongation. Mathematically, it is expressed by Eq. (8.12), Chapter 8.
Percentage reduction in area
The percentage reduction in area is the ratio of the decrease in area of cross-section of the
specimen to the original cross-sectional area expressed in per cent. Mathematically it is
expressed by Eq. (8.13), Chapter 8.
Modulus of resilience
This is the strain energy per unit volume required to stress the material from zero stress to the
yield stress. This is given as the area under the engineering stress-strain curve up to the yield
stress level. Mathematically it is expressed by Eq. (8.11), Chapter 8.
Modulus of toughness
This is defined as the strain energy per unit volume absorbed by the material prior to fracture.
It is given as the total area under the engineering stress-strain curve. Toughness, therefore,
involves both the height and width of the stress-strain curve of the material, whereas strength
is related only to the height of the curve and ductility is related only to the width of the curve.
Fracture strength
The value of engineering stress at which the specimen fractures is called its fracture strength.
The value of fracture strength for ductile materials is lower than the tensile strength due to
nec
MECHANICAL_BEHAVIOUR_and_TESTING_OF_MATERIALS_BHARGAVA_SHARMA_2014.pdf
MECHANICAL_BEHAVIOUR_and_TESTING_OF_MATERIALS_BHARGAVA_SHARMA_2014.pdf
MECHANICAL_BEHAVIOUR_and_TESTING_OF_MATERIALS_BHARGAVA_SHARMA_2014.pdf
MECHANICAL_BEHAVIOUR_and_TESTING_OF_MATERIALS_BHARGAVA_SHARMA_2014.pdf
MECHANICAL_BEHAVIOUR_and_TESTING_OF_MATERIALS_BHARGAVA_SHARMA_2014.pdf
MECHANICAL_BEHAVIOUR_and_TESTING_OF_MATERIALS_BHARGAVA_SHARMA_2014.pdf
MECHANICAL_BEHAVIOUR_and_TESTING_OF_MATERIALS_BHARGAVA_SHARMA_2014.pdf
MECHANICAL_BEHAVIOUR_and_TESTING_OF_MATERIALS_BHARGAVA_SHARMA_2014.pdf
MECHANICAL_BEHAVIOUR_and_TESTING_OF_MATERIALS_BHARGAVA_SHARMA_2014.pdf
MECHANICAL_BEHAVIOUR_and_TESTING_OF_MATERIALS_BHARGAVA_SHARMA_2014.pdf
MECHANICAL_BEHAVIOUR_and_TESTING_OF_MATERIALS_BHARGAVA_SHARMA_2014.pdf
MECHANICAL_BEHAVIOUR_and_TESTING_OF_MATERIALS_BHARGAVA_SHARMA_2014.pdf
MECHANICAL_BEHAVIOUR_and_TESTING_OF_MATERIALS_BHARGAVA_SHARMA_2014.pdf
MECHANICAL_BEHAVIOUR_and_TESTING_OF_MATERIALS_BHARGAVA_SHARMA_2014.pdf
MECHANICAL_BEHAVIOUR_and_TESTING_OF_MATERIALS_BHARGAVA_SHARMA_2014.pdf
MECHANICAL_BEHAVIOUR_and_TESTING_OF_MATERIALS_BHARGAVA_SHARMA_2014.pdf
MECHANICAL_BEHAVIOUR_and_TESTING_OF_MATERIALS_BHARGAVA_SHARMA_2014.pdf
MECHANICAL_BEHAVIOUR_and_TESTING_OF_MATERIALS_BHARGAVA_SHARMA_2014.pdf
MECHANICAL_BEHAVIOUR_and_TESTING_OF_MATERIALS_BHARGAVA_SHARMA_2014.pdf
MECHANICAL_BEHAVIOUR_and_TESTING_OF_MATERIALS_BHARGAVA_SHARMA_2014.pdf
MECHANICAL_BEHAVIOUR_and_TESTING_OF_MATERIALS_BHARGAVA_SHARMA_2014.pdf
MECHANICAL_BEHAVIOUR_and_TESTING_OF_MATERIALS_BHARGAVA_SHARMA_2014.pdf
MECHANICAL_BEHAVIOUR_and_TESTING_OF_MATERIALS_BHARGAVA_SHARMA_2014.pdf
MECHANICAL_BEHAVIOUR_and_TESTING_OF_MATERIALS_BHARGAVA_SHARMA_2014.pdf
MECHANICAL_BEHAVIOUR_and_TESTING_OF_MATERIALS_BHARGAVA_SHARMA_2014.pdf
MECHANICAL_BEHAVIOUR_and_TESTING_OF_MATERIALS_BHARGAVA_SHARMA_2014.pdf
MECHANICAL_BEHAVIOUR_and_TESTING_OF_MATERIALS_BHARGAVA_SHARMA_2014.pdf
MECHANICAL_BEHAVIOUR_and_TESTING_OF_MATERIALS_BHARGAVA_SHARMA_2014.pdf
MECHANICAL_BEHAVIOUR_and_TESTING_OF_MATERIALS_BHARGAVA_SHARMA_2014.pdf
MECHANICAL_BEHAVIOUR_and_TESTING_OF_MATERIALS_BHARGAVA_SHARMA_2014.pdf
MECHANICAL_BEHAVIOUR_and_TESTING_OF_MATERIALS_BHARGAVA_SHARMA_2014.pdf
MECHANICAL_BEHAVIOUR_and_TESTING_OF_MATERIALS_BHARGAVA_SHARMA_2014.pdf
MECHANICAL_BEHAVIOUR_and_TESTING_OF_MATERIALS_BHARGAVA_SHARMA_2014.pdf
MECHANICAL_BEHAVIOUR_and_TESTING_OF_MATERIALS_BHARGAVA_SHARMA_2014.pdf
MECHANICAL_BEHAVIOUR_and_TESTING_OF_MATERIALS_BHARGAVA_SHARMA_2014.pdf
MECHANICAL_BEHAVIOUR_and_TESTING_OF_MATERIALS_BHARGAVA_SHARMA_2014.pdf
MECHANICAL_BEHAVIOUR_and_TESTING_OF_MATERIALS_BHARGAVA_SHARMA_2014.pdf
MECHANICAL_BEHAVIOUR_and_TESTING_OF_MATERIALS_BHARGAVA_SHARMA_2014.pdf
MECHANICAL_BEHAVIOUR_and_TESTING_OF_MATERIALS_BHARGAVA_SHARMA_2014.pdf
MECHANICAL_BEHAVIOUR_and_TESTING_OF_MATERIALS_BHARGAVA_SHARMA_2014.pdf
MECHANICAL_BEHAVIOUR_and_TESTING_OF_MATERIALS_BHARGAVA_SHARMA_2014.pdf
MECHANICAL_BEHAVIOUR_and_TESTING_OF_MATERIALS_BHARGAVA_SHARMA_2014.pdf
MECHANICAL_BEHAVIOUR_and_TESTING_OF_MATERIALS_BHARGAVA_SHARMA_2014.pdf
MECHANICAL_BEHAVIOUR_and_TESTING_OF_MATERIALS_BHARGAVA_SHARMA_2014.pdf
MECHANICAL_BEHAVIOUR_and_TESTING_OF_MATERIALS_BHARGAVA_SHARMA_2014.pdf
MECHANICAL_BEHAVIOUR_and_TESTING_OF_MATERIALS_BHARGAVA_SHARMA_2014.pdf
MECHANICAL_BEHAVIOUR_and_TESTING_OF_MATERIALS_BHARGAVA_SHARMA_2014.pdf
MECHANICAL_BEHAVIOUR_and_TESTING_OF_MATERIALS_BHARGAVA_SHARMA_2014.pdf
MECHANICAL_BEHAVIOUR_and_TESTING_OF_MATERIALS_BHARGAVA_SHARMA_2014.pdf
MECHANICAL_BEHAVIOUR_and_TESTING_OF_MATERIALS_BHARGAVA_SHARMA_2014.pdf
MECHANICAL_BEHAVIOUR_and_TESTING_OF_MATERIALS_BHARGAVA_SHARMA_2014.pdf
MECHANICAL_BEHAVIOUR_and_TESTING_OF_MATERIALS_BHARGAVA_SHARMA_2014.pdf
MECHANICAL_BEHAVIOUR_and_TESTING_OF_MATERIALS_BHARGAVA_SHARMA_2014.pdf
MECHANICAL_BEHAVIOUR_and_TESTING_OF_MATERIALS_BHARGAVA_SHARMA_2014.pdf
MECHANICAL_BEHAVIOUR_and_TESTING_OF_MATERIALS_BHARGAVA_SHARMA_2014.pdf
MECHANICAL_BEHAVIOUR_and_TESTING_OF_MATERIALS_BHARGAVA_SHARMA_2014.pdf
MECHANICAL_BEHAVIOUR_and_TESTING_OF_MATERIALS_BHARGAVA_SHARMA_2014.pdf
MECHANICAL_BEHAVIOUR_and_TESTING_OF_MATERIALS_BHARGAVA_SHARMA_2014.pdf
MECHANICAL_BEHAVIOUR_and_TESTING_OF_MATERIALS_BHARGAVA_SHARMA_2014.pdf
MECHANICAL_BEHAVIOUR_and_TESTING_OF_MATERIALS_BHARGAVA_SHARMA_2014.pdf
MECHANICAL_BEHAVIOUR_and_TESTING_OF_MATERIALS_BHARGAVA_SHARMA_2014.pdf
MECHANICAL_BEHAVIOUR_and_TESTING_OF_MATERIALS_BHARGAVA_SHARMA_2014.pdf
MECHANICAL_BEHAVIOUR_and_TESTING_OF_MATERIALS_BHARGAVA_SHARMA_2014.pdf
MECHANICAL_BEHAVIOUR_and_TESTING_OF_MATERIALS_BHARGAVA_SHARMA_2014.pdf
MECHANICAL_BEHAVIOUR_and_TESTING_OF_MATERIALS_BHARGAVA_SHARMA_2014.pdf
MECHANICAL_BEHAVIOUR_and_TESTING_OF_MATERIALS_BHARGAVA_SHARMA_2014.pdf
MECHANICAL_BEHAVIOUR_and_TESTING_OF_MATERIALS_BHARGAVA_SHARMA_2014.pdf
MECHANICAL_BEHAVIOUR_and_TESTING_OF_MATERIALS_BHARGAVA_SHARMA_2014.pdf
MECHANICAL_BEHAVIOUR_and_TESTING_OF_MATERIALS_BHARGAVA_SHARMA_2014.pdf
MECHANICAL_BEHAVIOUR_and_TESTING_OF_MATERIALS_BHARGAVA_SHARMA_2014.pdf
MECHANICAL_BEHAVIOUR_and_TESTING_OF_MATERIALS_BHARGAVA_SHARMA_2014.pdf
MECHANICAL_BEHAVIOUR_and_TESTING_OF_MATERIALS_BHARGAVA_SHARMA_2014.pdf
MECHANICAL_BEHAVIOUR_and_TESTING_OF_MATERIALS_BHARGAVA_SHARMA_2014.pdf
MECHANICAL_BEHAVIOUR_and_TESTING_OF_MATERIALS_BHARGAVA_SHARMA_2014.pdf
MECHANICAL_BEHAVIOUR_and_TESTING_OF_MATERIALS_BHARGAVA_SHARMA_2014.pdf
MECHANICAL_BEHAVIOUR_and_TESTING_OF_MATERIALS_BHARGAVA_SHARMA_2014.pdf
MECHANICAL_BEHAVIOUR_and_TESTING_OF_MATERIALS_BHARGAVA_SHARMA_2014.pdf
MECHANICAL_BEHAVIOUR_and_TESTING_OF_MATERIALS_BHARGAVA_SHARMA_2014.pdf
MECHANICAL_BEHAVIOUR_and_TESTING_OF_MATERIALS_BHARGAVA_SHARMA_2014.pdf
MECHANICAL_BEHAVIOUR_and_TESTING_OF_MATERIALS_BHARGAVA_SHARMA_2014.pdf
MECHANICAL_BEHAVIOUR_and_TESTING_OF_MATERIALS_BHARGAVA_SHARMA_2014.pdf
MECHANICAL_BEHAVIOUR_and_TESTING_OF_MATERIALS_BHARGAVA_SHARMA_2014.pdf
MECHANICAL_BEHAVIOUR_and_TESTING_OF_MATERIALS_BHARGAVA_SHARMA_2014.pdf
MECHANICAL_BEHAVIOUR_and_TESTING_OF_MATERIALS_BHARGAVA_SHARMA_2014.pdf
MECHANICAL_BEHAVIOUR_and_TESTING_OF_MATERIALS_BHARGAVA_SHARMA_2014.pdf
MECHANICAL_BEHAVIOUR_and_TESTING_OF_MATERIALS_BHARGAVA_SHARMA_2014.pdf
MECHANICAL_BEHAVIOUR_and_TESTING_OF_MATERIALS_BHARGAVA_SHARMA_2014.pdf
MECHANICAL_BEHAVIOUR_and_TESTING_OF_MATERIALS_BHARGAVA_SHARMA_2014.pdf
MECHANICAL_BEHAVIOUR_and_TESTING_OF_MATERIALS_BHARGAVA_SHARMA_2014.pdf
MECHANICAL_BEHAVIOUR_and_TESTING_OF_MATERIALS_BHARGAVA_SHARMA_2014.pdf
MECHANICAL_BEHAVIOUR_and_TESTING_OF_MATERIALS_BHARGAVA_SHARMA_2014.pdf
MECHANICAL_BEHAVIOUR_and_TESTING_OF_MATERIALS_BHARGAVA_SHARMA_2014.pdf
MECHANICAL_BEHAVIOUR_and_TESTING_OF_MATERIALS_BHARGAVA_SHARMA_2014.pdf
MECHANICAL_BEHAVIOUR_and_TESTING_OF_MATERIALS_BHARGAVA_SHARMA_2014.pdf
MECHANICAL_BEHAVIOUR_and_TESTING_OF_MATERIALS_BHARGAVA_SHARMA_2014.pdf
MECHANICAL_BEHAVIOUR_and_TESTING_OF_MATERIALS_BHARGAVA_SHARMA_2014.pdf
MECHANICAL_BEHAVIOUR_and_TESTING_OF_MATERIALS_BHARGAVA_SHARMA_2014.pdf
MECHANICAL_BEHAVIOUR_and_TESTING_OF_MATERIALS_BHARGAVA_SHARMA_2014.pdf
MECHANICAL_BEHAVIOUR_and_TESTING_OF_MATERIALS_BHARGAVA_SHARMA_2014.pdf
MECHANICAL_BEHAVIOUR_and_TESTING_OF_MATERIALS_BHARGAVA_SHARMA_2014.pdf
MECHANICAL_BEHAVIOUR_and_TESTING_OF_MATERIALS_BHARGAVA_SHARMA_2014.pdf
MECHANICAL_BEHAVIOUR_and_TESTING_OF_MATERIALS_BHARGAVA_SHARMA_2014.pdf
MECHANICAL_BEHAVIOUR_and_TESTING_OF_MATERIALS_BHARGAVA_SHARMA_2014.pdf
MECHANICAL_BEHAVIOUR_and_TESTING_OF_MATERIALS_BHARGAVA_SHARMA_2014.pdf
MECHANICAL_BEHAVIOUR_and_TESTING_OF_MATERIALS_BHARGAVA_SHARMA_2014.pdf
MECHANICAL_BEHAVIOUR_and_TESTING_OF_MATERIALS_BHARGAVA_SHARMA_2014.pdf
MECHANICAL_BEHAVIOUR_and_TESTING_OF_MATERIALS_BHARGAVA_SHARMA_2014.pdf
MECHANICAL_BEHAVIOUR_and_TESTING_OF_MATERIALS_BHARGAVA_SHARMA_2014.pdf
MECHANICAL_BEHAVIOUR_and_TESTING_OF_MATERIALS_BHARGAVA_SHARMA_2014.pdf
MECHANICAL_BEHAVIOUR_and_TESTING_OF_MATERIALS_BHARGAVA_SHARMA_2014.pdf
MECHANICAL_BEHAVIOUR_and_TESTING_OF_MATERIALS_BHARGAVA_SHARMA_2014.pdf
MECHANICAL_BEHAVIOUR_and_TESTING_OF_MATERIALS_BHARGAVA_SHARMA_2014.pdf
MECHANICAL_BEHAVIOUR_and_TESTING_OF_MATERIALS_BHARGAVA_SHARMA_2014.pdf
MECHANICAL_BEHAVIOUR_and_TESTING_OF_MATERIALS_BHARGAVA_SHARMA_2014.pdf
MECHANICAL_BEHAVIOUR_and_TESTING_OF_MATERIALS_BHARGAVA_SHARMA_2014.pdf
MECHANICAL_BEHAVIOUR_and_TESTING_OF_MATERIALS_BHARGAVA_SHARMA_2014.pdf
MECHANICAL_BEHAVIOUR_and_TESTING_OF_MATERIALS_BHARGAVA_SHARMA_2014.pdf
MECHANICAL_BEHAVIOUR_and_TESTING_OF_MATERIALS_BHARGAVA_SHARMA_2014.pdf
MECHANICAL_BEHAVIOUR_and_TESTING_OF_MATERIALS_BHARGAVA_SHARMA_2014.pdf
MECHANICAL_BEHAVIOUR_and_TESTING_OF_MATERIALS_BHARGAVA_SHARMA_2014.pdf
MECHANICAL_BEHAVIOUR_and_TESTING_OF_MATERIALS_BHARGAVA_SHARMA_2014.pdf
MECHANICAL_BEHAVIOUR_and_TESTING_OF_MATERIALS_BHARGAVA_SHARMA_2014.pdf
MECHANICAL_BEHAVIOUR_and_TESTING_OF_MATERIALS_BHARGAVA_SHARMA_2014.pdf
MECHANICAL_BEHAVIOUR_and_TESTING_OF_MATERIALS_BHARGAVA_SHARMA_2014.pdf
MECHANICAL_BEHAVIOUR_and_TESTING_OF_MATERIALS_BHARGAVA_SHARMA_2014.pdf
MECHANICAL_BEHAVIOUR_and_TESTING_OF_MATERIALS_BHARGAVA_SHARMA_2014.pdf
MECHANICAL_BEHAVIOUR_and_TESTING_OF_MATERIALS_BHARGAVA_SHARMA_2014.pdf
MECHANICAL_BEHAVIOUR_and_TESTING_OF_MATERIALS_BHARGAVA_SHARMA_2014.pdf
MECHANICAL_BEHAVIOUR_and_TESTING_OF_MATERIALS_BHARGAVA_SHARMA_2014.pdf
MECHANICAL_BEHAVIOUR_and_TESTING_OF_MATERIALS_BHARGAVA_SHARMA_2014.pdf
MECHANICAL_BEHAVIOUR_and_TESTING_OF_MATERIALS_BHARGAVA_SHARMA_2014.pdf
MECHANICAL_BEHAVIOUR_and_TESTING_OF_MATERIALS_BHARGAVA_SHARMA_2014.pdf
MECHANICAL_BEHAVIOUR_and_TESTING_OF_MATERIALS_BHARGAVA_SHARMA_2014.pdf
MECHANICAL_BEHAVIOUR_and_TESTING_OF_MATERIALS_BHARGAVA_SHARMA_2014.pdf
MECHANICAL_BEHAVIOUR_and_TESTING_OF_MATERIALS_BHARGAVA_SHARMA_2014.pdf
MECHANICAL_BEHAVIOUR_and_TESTING_OF_MATERIALS_BHARGAVA_SHARMA_2014.pdf
MECHANICAL_BEHAVIOUR_and_TESTING_OF_MATERIALS_BHARGAVA_SHARMA_2014.pdf
MECHANICAL_BEHAVIOUR_and_TESTING_OF_MATERIALS_BHARGAVA_SHARMA_2014.pdf
MECHANICAL_BEHAVIOUR_and_TESTING_OF_MATERIALS_BHARGAVA_SHARMA_2014.pdf
MECHANICAL_BEHAVIOUR_and_TESTING_OF_MATERIALS_BHARGAVA_SHARMA_2014.pdf
MECHANICAL_BEHAVIOUR_and_TESTING_OF_MATERIALS_BHARGAVA_SHARMA_2014.pdf
MECHANICAL_BEHAVIOUR_and_TESTING_OF_MATERIALS_BHARGAVA_SHARMA_2014.pdf
MECHANICAL_BEHAVIOUR_and_TESTING_OF_MATERIALS_BHARGAVA_SHARMA_2014.pdf
MECHANICAL_BEHAVIOUR_and_TESTING_OF_MATERIALS_BHARGAVA_SHARMA_2014.pdf
MECHANICAL_BEHAVIOUR_and_TESTING_OF_MATERIALS_BHARGAVA_SHARMA_2014.pdf
MECHANICAL_BEHAVIOUR_and_TESTING_OF_MATERIALS_BHARGAVA_SHARMA_2014.pdf
MECHANICAL_BEHAVIOUR_and_TESTING_OF_MATERIALS_BHARGAVA_SHARMA_2014.pdf
MECHANICAL_BEHAVIOUR_and_TESTING_OF_MATERIALS_BHARGAVA_SHARMA_2014.pdf
MECHANICAL_BEHAVIOUR_and_TESTING_OF_MATERIALS_BHARGAVA_SHARMA_2014.pdf
MECHANICAL_BEHAVIOUR_and_TESTING_OF_MATERIALS_BHARGAVA_SHARMA_2014.pdf
MECHANICAL_BEHAVIOUR_and_TESTING_OF_MATERIALS_BHARGAVA_SHARMA_2014.pdf
MECHANICAL_BEHAVIOUR_and_TESTING_OF_MATERIALS_BHARGAVA_SHARMA_2014.pdf
MECHANICAL_BEHAVIOUR_and_TESTING_OF_MATERIALS_BHARGAVA_SHARMA_2014.pdf
MECHANICAL_BEHAVIOUR_and_TESTING_OF_MATERIALS_BHARGAVA_SHARMA_2014.pdf
MECHANICAL_BEHAVIOUR_and_TESTING_OF_MATERIALS_BHARGAVA_SHARMA_2014.pdf
MECHANICAL_BEHAVIOUR_and_TESTING_OF_MATERIALS_BHARGAVA_SHARMA_2014.pdf
MECHANICAL_BEHAVIOUR_and_TESTING_OF_MATERIALS_BHARGAVA_SHARMA_2014.pdf
MECHANICAL_BEHAVIOUR_and_TESTING_OF_MATERIALS_BHARGAVA_SHARMA_2014.pdf
MECHANICAL_BEHAVIOUR_and_TESTING_OF_MATERIALS_BHARGAVA_SHARMA_2014.pdf
MECHANICAL_BEHAVIOUR_and_TESTING_OF_MATERIALS_BHARGAVA_SHARMA_2014.pdf
MECHANICAL_BEHAVIOUR_and_TESTING_OF_MATERIALS_BHARGAVA_SHARMA_2014.pdf
MECHANICAL_BEHAVIOUR_and_TESTING_OF_MATERIALS_BHARGAVA_SHARMA_2014.pdf
MECHANICAL_BEHAVIOUR_and_TESTING_OF_MATERIALS_BHARGAVA_SHARMA_2014.pdf

MECHANICAL_BEHAVIOUR_and_TESTING_OF_MATERIALS_BHARGAVA_SHARMA_2014.pdf

  • 1.
  • 2.
    MECHANICAL BEHAVIOUR ANDTESTING OF MATERIALS @Seismicisolation @Seismicisolation
  • 3.
  • 4.
    MECHANICAL BEHAVIOUR and TESTING OFMATERIALS A.K. BHARGAVA and C.P. SHARMA Department of Metallurgical and Materials Engineering Malaviya National Institute of Technology Jaipur PHI Learning [;)u1ffiG@ llilwlBG@dl Delhi-110092 2014 @Seismicisolation @Seismicisolation
  • 5.
    MECHANICAL BEHAVIOUR ANDTESTING OF MATERIALS A.K. Bhargava and C.P. Sharma © 2011 by PHI Learning Private Limited, Delhi. All rights reserved. No part of this book may be reproduced in any form, by mimeograph or any other means, without permission in writing from the publisher. ISBN-978-81-203-4250-7 The export rights of this book are vested solely with the publisher. Second Printing August, 2014 Published by Asoke K. Ghosh, PHI Learning Private Limited, Rimjhim House, 111, Patparganj Industrial Estate, Delhi-110092 and Printed by Mohan Makhijani at Rekha Printers Private Limited, New Delhi-110020. @Seismicisolation @Seismicisolation
  • 6.
  • 7.
  • 8.
    Preface Acknowledgements Nomenclature 1. Nature ofMaterials 1.1 Introduction 1 1.2 Interatomic and Intermolecular Bonding 7 1.3 Classification and Combination of Elements JO 1.4 Atomic Arrangement 12 1.5 Engineering Materials 14 1.5.1 Steel 14 1.5.2 Cast Irons 18 1.5.3 Aluminium and Its Alloys 20 1.5.4 Magnesium and Its Alloys 20 1.5.5 Titanium and Its Alloys 20 1.5.6 Copper and Its Alloys 21 1.5.7 Nickel and Its Alloys 22 1.5.8 Cobalt and Its Alloys 24 1.5.9 Ceramic Materials 25 1.5.10 Polymeric Materials 26 1.5.11 Composite Materials 30 2. Crystal Imperfections 2.1 Introduction 32 vii Contents xv xvii xix 1-31 32-44 @Seismicisolation @Seismicisolation
  • 9.
    viii Contents 2.2 Imperfections37 2.2.1 Point Imperfections 37 2.2.2 Line Imperfections 40 2.2.3 Surface Imperfections 41 2.2.4 Volume Imperfections 44 3. Mechanical Properties 45-56 3.1 Introduction 45 3.2 Static Mechanical Properties 47 3.2.1 Tensile Strength 47 3.2.2 Compressive Strength 49 3.2.3 Ductility 49 3.2.4 Malleability 50 3.2.5 Stiffness 50 3.2.6 Toughness 51 3.2.7 Creep Strength 52 3.2.8 Hardness 52 3.3 Dynamic Mechanical Properties 53 3.3.1 Impact Strength 53 3.3.2 Fatigue Strength 53 3.3.3 Hardness 54 3.4 Structure-Mechanical Property Relationship 54 4. Dislocation Theory 57-103 4.1 Introduction 57 4.2 The Shear Strength of Ideal and Real Crystals 59 4.3 Geometry of Dislocations 60 4.3.1 Edge Dislocation 61 4.3.2 Screw Dislocation 63 4.4 Burgers Vector, Burgers Circuit and Dislocation Loop 64 4.5 Movement of Dislocations 67 4.5.1 Concept of Slip 67 4.5.2 Dislocations and Slip 70 4.5.3 Slip Plane 72 4.5.4 Cross-Slip 72 4.5.5 Dislocation Climb 73 4.6 Elastic Properties of Dislocations 74 4.6.1 Stress Field and Energy of a Dislocation 74 4.6.2 Forces on Dislocations 77 4.6.3 Line Tension 78 4.7 Forces between Dislocations 80 4.8 Unit Dislocations and Partial Dislocations 84 4.8.1 Dislocations in FCC, BCC and HCP Crystals 85 4.8.2 Dislocations and their Reaction in FCC Crystals 86 @Seismicisolation @Seismicisolation
  • 10.
    Contents ix 4.8.3 FrankPartial Dislocations 91 4.8.4 Lamer-Cottrell Dislocations 92 4.9 Peierls-Nabarro Stress and Dislocation Width 94 4.10 Dislocation Multiplication 96 4.11 Dislocation Intersection 98 4.12 Dislocations in Ceramics 101 5. Deformation of Metals 104-138 5.1 Introduction 104 5.2 Elastic Deformation 104 5.2.1 Significance of Elastic Modulus 106 5.3 Plastic Deformation 107 5.3.1 Deformation by Slip 107 5.3.2 Type of Loading for Plastic Deformation 109 5.3.3 Potential Slip Planes and Directions in Crystals 110 5.3.4 Critical Resolved Shear Stress 113 5.3.5 Strain Hardening in Single Crystal 119 5.3.6 Structural Changes in Cold Worked Polycrystalline Metals and Alloys 123 5.3.7 Annealing of Cold Worked Metals 128 5.4 Deformation by Twinning 134 5.5 Deformation Behaviour in Ceramics 136 5.6 Deformation Behaviour in Polymers 136 6. Strengthening Mechanisms in Materials 139-205 6.1 Introduction 139 6.2 Grain Boundary Strengthening 141 6.3 Solid Solution Strengthening 145 6.4 Second Phase Particle Strengthening 153 6.4.1 Precipitation Hardening 154 6.4.2 Dispersion Hardening 168 6.5 Strain Hardening 169 6.5.1 Properties Affected by Strain Hardening 171 6.5.2 Industrial Importance of Strain Hardening 172 6.6 Martensitic Strengthening 174 6.7 Composite Strengthening 175 6.7.1 Fibre Strengthened Composites 176 6.7.2 Dispersion Strengthened Composites 188 6.7.3 Particle-Strengthened (or Simply Particulate) Composites 190 6.8 Strengthening of Plastics 190 6.8.1 Strengthening by High Average Molecular Weight 191 6.8.2 Strengthening by Crystallinity 193 6.8.3 Strengthening by Bulky Pendant Atomic Group 195 @Seismicisolation @Seismicisolation
  • 11.
    X Contents 7. 8. 9. 6.8.4 StrengtheningThermoplastics by the Presence of Polar Atoms or Groups 196 6.8.5 Strengthening Thermoplastics by Introducing Non Carbon Atoms in the Main Carbon Chain 196 6.8.6 Strengthening Thermoplastics by Introduction of Aromatic Groups in the Main Chain 197 6.9 Strengthening of Ceramics 197 6.10 Applications of Strengthening Mechanisms to Obtain High Strength Materials 201 Fracture 7.1 Introduction 206 207 7.2 7.3 7.4 Ductile Fracture Mechanism of Ductile Fracture Brittle Fracture 209 209 7.5 Mechanism of Brittle Fracture 210 7.6 Factors Affecting the Type of Fracture 212 Tensile Behaviour 8.1 Introduction 213 8.2 Tension Test and Stress-strain Curves 214 8.3 Tensile Properties 219 8.3.1 Modulus of Elasticity and Stiffness 219 8.4 8.5 8.6 8.7 8.3.2 Yield Strength 221 8.3.3 Tensile Strength 221 8.3.4 Modulus of Resilience 222 8.3.5 Ductility 224 8.3.6 Toughness 225 True Stress-strain Curve 226 Plastic Instability in Tension 232 Discontinuous Yielding (Yield Point Phenomenon) Important Variables Affecting Tensile Properties 8.7.1 Effect of Gauge Length 239 8.7.2 Effect of Size of the Specimen 8.7.3 Effect of Form of the Specimen 8.7.4 Effect of Strain Rate 243 8.7.5 Effect of Temperature 243 240 241 Hardness Testing 9.1 Introduction 246 9.2 Scratch Hardness 247 9.3 Indentation Hardness 247 9.4 Brinell Hardness Test 249 9.4.1 Precautions 252 233 239 206-212 213-245 246-270 @Seismicisolation @Seismicisolation
  • 12.
    Contents xi 9.4.2 Advantagesand Applications of Brinell Hardness Test 253 9.4.3 Disadvantages of Brinell Test 254 9.5 Vickers Hardness Test 254 9.5.1 Derivation of Vickers Formula 255 9.5.2 Sources of Errors 256 9.5.3 Advantages and Applications 257 9.5.4 Disadvantages 257 9.6 Rockwell Hardness Test 258 9.6.1 Principle of Operation 261 9.6.2 Advantages of Rockwell Hardness Test 263 9.6.3 Precautions 263 9.7 Superficial Rockwell Hardness Test 263 9.7.1 Precautions 264 9.8 Microhardness Test 264 9.8.1 Precautions 266 9.8.2 Applications 266 9.8.3 Comparison of Macrohardness and Microhardness Tests 266 9.9 Dynamic Hardness Testing 267 9.9.1 Shore Hardness Testing 267 9.9.2 Poldi Hardness Test 270 10. Ductile-Brittle Transition Behaviour and Fracture Toughness Test 10.1 Introduction 271 10.2 Ductile-Brittle Transition Behaviour 272 10.3 Transition Temperature and Its Significance 274 10.4 Notch-bar Impact Test 277 10.5 Variable Affecting Impact Values 279 10.6 Behaviour of Polymers under Impact Loading 285 10.7 Fracture Toughness 286 10.7.1 Fracture Stress Test 291 10.7.2 Hardness Indentation Method 292 10.7.3 Importance of Fracture Toughness Determination 10.8 Toughening in Ceramics 294 10.8.1 Crack Deflection Toughening 296 10.8.2 Transformation Toughening 297 10.8.3 Crack Bridging (or Wake) Toughening 299 10.8.4 Microcrack Toughening 302 11. Fatigue Behaviour 11.1 Introduction 304 11.2 Stress Cycles 306 11.3 Macrography of Fatigue Fracture 11.4 Fatigue Test (S-N Curve) 309 308 271-303 294 304-325 @Seismicisolation @Seismicisolation
  • 13.
    xii Contents 12. 11.5 FatigueBehaviour in Iron and Steel 311 11.6 Mechanisms of Fatigue 312 11.6.1 Orowan's Theory of Fatigue 312 11.6.2 Wood's Theory of Fatigue 315 11.6.3 Fatigue Crack Growth 317 11.7 Low Cycle Fatigue 322 11.8 Variables Affecting Fatigue 322 Creep Behaviour 12.1 Introduction 326 12.2 Creep Curve 327 12.3 Design Curves 331 12.4 Andrade's Analysis of Creep 333 12.5 Creep at Lower Temperature 334 12.6 Activation Energy for Steady-State Creep 335 12.7 Creep at High Temperature 336 12.8 Equicohesive Temperature 336 12.9 Deformation at Elevated Temperature 338 12.9.1 Deformation by Slip 338 12.9.2 Grain Boundary Deformation 12.10 Mechanisms of Creep Deformation 339 339 12.10.1 Dislocation Glide 339 12.10.2 Dislocation Creep 343 12.10.3 Diffusion Creep 345 12.10.4 Grain Boundary Sliding 346 12.11 Metallurgical Factors Affecting Creep Behaviour 12.11.1 Effect of Lattice Structure 347 12.11.2 Effect of Prestrain 348 347 12.11.3 Effect of Soluble Impurities and Alloying Elements 12.11.4 Effect of Second Phase Particles 349 12.11.5 Grain Size 350 12.12 Creep Resistant Materials 350 13. Non-Destructive Testing 13.1 Introduction 357 13.2 Visual Inspection 359 13.3 Liquid Penetrant Inspection (LPI) 360 13.3.1 Procedure 361 13.4 Magnetic Particle Inspection (MPI) 363 13.4.1 Basic Principle 363 13.4.2 Magnetization 364 13.4.3 Magnetization Techniques 366 13.4.4 Procedure for MPI 370 13.4.5 Applications of MPI 372 326-356 348 357-386 @Seismicisolation @Seismicisolation
  • 14.
    Contents xiii 13.5 EddyCurrent Inspection (ECI) 372 13.5.1 Basic Principle 373 13.5.2 Operating Variables 375 13.5.3 Applications 377 13.6 Ultrasonic Testing 377 13.6.1 Basic Principle 378 13.6.2 Ultrasonic Waves 378 13.6.3 Ultrasonic Transducers 380 13.6.4 Probes 381 13.6.5 Interaction of Sound Waves at the Interfaces 382 13.6.6 Methods of Ultrasonic Inspection 383 13.6.7 Advantages of Ultrasonic Inspection 385 13.7 Radiographic Inspection 385 Appendix A Hardness Testing 387 Appendix A1 Brine/I Hardness Test 388-391 Appendix A2 Vickers Hardness Test 392-394 Appendix A3 Rockwell Hardness Test 395-397 Appendix B Tensile Testing 398-405 Appendix C Impact Test 406-409 Appendix D Fatigue Test 410-412 Appendix E Sheet Metal Formability Test 413-414 Appendix F Bend Test 415-417 Appendix G Mechanical Properties of Some Representative Polymer Materials 418-419 Appendix H Table of Hardness Conversion 420-421 Appendix I SI Units 422 Appendix J Conversion Factors 423 Appendix K Unit Conversion 424-426 Appendix L SI Prefixes 427 Appendix M Greek Alphabets 428 Appendix N Table for Conversion of Temperature 429-431 Glossary 433-466 Bibliography 467-468 Questions Bank 469-546 Index 547-562 @Seismicisolation @Seismicisolation
  • 15.
  • 16.
    Preface Materials have alwaysbeen the major attraction for the human beings. Significance of materials is self-evident by the familiar terms-Stone Age, Bronze Age and Iron Age. It is the effective use of the materials that has been, and is still in use, the criterion for the better living and economy of a country. Any material prior to its end use is subjected to many processes and treatments. A large number of materials are known to man and the numbers in the list are increasing gradually with newer and newer arrivals. This makes the task of selection of the materials very difficult. Widely differing physical, chemical and mechanical properties, typical processing characteristics such as castability, machinability, weldability, etc., and the response to various manufacturing methods further complicate the task of materials selection. The success of selected material is largely determined by its conformity to the service conditions and the reliability. Material testing and critical interpretation of the test data play a key role for selection, designing and manufacturing of a material for end use with a minimum of desired reliability. Based on this concept, this book has been presented to engineering students and to technical personnel dealing with materials. The prime aim of the book is to present the subject matter in most concise, coherent, logical and lucid manner. This book provides an insight into the mechanical behaviour and testing of metals, polymers, ceramics and composites which are widely employed for structural applications under varying load, temperature and environments. The book is designed primarily as a text for the undergraduate and postgraduate students of Metallurgical and Materials Engineering. Additionally, it will be useful for the undergraduate and postgraduate students of Mechanical Engineering, Production Engineering, Industrial Engineering, Automobile Engineering, Chemical Engineering, Polymer and Ceramic Engineering, Civil Engineering and Structural Engineering. Much care has been taken to cater the needs of students appearing in the examinations of various professional bodies such as xv @Seismicisolation @Seismicisolation
  • 17.
    XVi Preface The Institutionof Engineers (India), Institute of Metals, etc. Besides, the practising engineers and technical personnel dealing with the materials in general, and dealing with destructive and non-destructive testing in particular, will also get benefit of the information provided in the text. The book is organized in thirteen chapters. While Chapter 1, at first, introduces readers to the fundamentals of materials starting from their basic building units, it gradually rises through atomic bonding, crystal structure, different classes of engineering materials and their salient features to some commonly used industrial materials and their engineering applications. Chapter 2 and Chapter 3 describe role of imperfections on the behaviour of metals and alloys, and various properties of engineering materials. Chapter 4 deals with dislocation theory in a simplified, but analytical manner. Chapter 5 speaks about the plastic deformation of the materials primarily in the light of dislocation theory. Various mechanisms for enhancing strength of all classes of engineering materials have been discussed in Chapter 6. Chapter 7 has been exclusively devoted to common aspects of fracture. Out of next six chapters, first five chapters (Chapters 8-12) describe in detail about destructive tests, whereas Chapter 13 explains commonly used non-destructive testing methods of materials. Whereas, both theoretical and practical aspects of destructive/non-destructive testing are covered in these Chapters, the practical manual is also given at the end in the form of Appendices A to N. A large number of questions, with solutions, have been incorporated as Question Bank at the end of the book. It covers about 200 objective type questions appeared in GATE examinations. For quick reference, glossary of terms has been incorporated in the book. Every effort is made to avoid repetition in the text. However, readers may find some repetition which was a compulsion to maintain the coherency of the text. Authors not only will welcome any constructive suggestion from the readers but also will acknowledge them in future editions. A.K. Bhargava and C.P. Sharma @Seismicisolation @Seismicisolation
  • 18.
    Acknowledgements Gratitude is thehardest of all emotions to express. There is no word capable of conveying everything one faces until we reach the world where thoughts can be adequately expressed in words. It gives us immense pleasure to put on record our profound sense of indebt to Hon'ble Prof. T.V. Rajan, Shri Subodh Bhushan Gupta jee, Prof. Surendra Kumar (Department of Chemical Engineering, IIT Roorkee) and Prof. A.N. Tiwari (Department of Metallurgical Engineering and Materials Science, IIT Bombay) for their benevolent guidance, constant encouragement and support in odds. Special thanks to Mrs. & Dr. Ravindra Padalkar, Mrs. Manju, and Nakul-Taru (daughter's parents-in-law, wife, son-in-law and daughter - A.K. Bhargava) and to Mrs. Usha, Anand-Avantika, Ayam-Sunita and Avni-Aarini (wife, son- in-law & daughter, son & daughter-in-law and granddaughters - C.P. Sharma) who not only maintained pleasant atmosphere during the period of successful completion of this project but also provided all the cooperation and moral support. Special thanks are due to Mr. Nakul for visualizing the design of the cover page of the book. Authors are highly thankful to teachers for their blessings, colleagues and friends for their constructive suggestions and students for their frequent questions within and outside the classroom which nucleated the idea of this book. Thanks are due to highly energetic and committed team of PHI Leaming, New Delhi, for chasing us and bringing the book in short period. Last but not the least, we acknowledge each and everyone who directly or indirectly motivated, helped, and inspired us from time to time. A.K. Bhargava and C.P. Sharma xvii @Seismicisolation @Seismicisolation
  • 19.
  • 20.
    Area of cross-sectionalplane (4.5. l) Constant (6.5) Surface area of indentation (9.4) Lateral area of indentation (9.5) Projected area of indentation (9.8) Rockwell scale (9.6) Area of cross-section of composite (6.7.l) Area of cross-section at fracture (8.3.5) Area of cross-section of fibre (6.7. l) Nomenclature Instantaneous or true area of cross-section (8.4) Area of cross-section of matrix (6.7.l) Original area of cross-section (8.2, 8.3.2) Cross-sectional area of the specimen at notch (10.4) Area of slip plane (5.3.4) Axial dimension (1.4) Shear displacement Interplanar spacing (4.2) Lattice parameter (4.5, 4.8, 5.3.3, 6.3, 6.4. l/frequently used) Side of the projected square indentation (9.5) Spacing between slip planes (4.9) Surface crack length or half the interior crack length (7.5, 10.5, 10.7, 10.8, 11.6.2) Allowable flaw size (10.7.2) Critical size surface crack (10.5, 10.8) xix @Seismicisolation @Seismicisolation
  • 21.
    XX Nomenclature a Shearangle (5.2) a Constant (6.2) a Local order parameter (6.3) a Interaxial angle (1 .4) B Constant (6.9) B Critical thickness (10.7) B Rockwell scale (9.6) b Interatomic spacing (4.2) b Axial dimension (1.4) b Magnitude of Burgers vector (4.6.1) b Burgers vector (frequently used) b1 Burgers vector (4.7, 4.8.1, 4.11) b2 Burgers vector (4.7, 4.8.1, 4.11) b3 Burgers vector (4.8.1) /3 Compressibility (5.2) /3 Constant (12.4) /3 Interaxial angle (1 .4) /3 Load transfer function (6.7.1) C Constant (11.6.2) C Rockwell scale (9.6) Cv Fracture energy (10.3) c Axial dimension (1.4) c Height of the unit cell (5.3.3) c Concentration of solute atoms (6.3) D Average grain diameter (6.2) D True diameter (8.4) D Diameter of ball indenter (9.4) D Rockwell scale (9.6) D Self diffusion coefficient (12.11.1) Dgb Grain boundary diffusion coefficient (12.10.3) Dv Volume diffusion coefficient (12.10.3) d Diameter of fibre (6.7.1) d Grain diameter (6.2, 12.10.3) d Diameter of indentation (9.4) d* Critical grain diameter (10.5) dE Change in energy (4.6.1) dE Increase in energy (4.6.3) dl Small distance or displacement (4.6.2) ds Equilibrium spacing between partial dislocations (4.8.2) ds Small segment of dislocation line (4.6.2) d0 Angle subtended at the centre of curvature (4.6.3) dW Work done (4.6.2) ~ Deformation (11.6.1) M Increase in energy (4.7) @Seismicisolation @Seismicisolation
  • 22.
    Ml Activation energy(12.6) 11Uc Interaction energy (6.3) E Elastic modulus (5.2, 6.7.1, 7.5, 8.3, 10.5, 10.8, 12.10.2) Elastic strain energy of dislocation (4.6.1) Energy associated with dislocation (4.8) Nomenclature xxi E E E' Elastic modulus of the discontinuous and randomly aligned fibre composite (6.7.1) E0 Core energy of dislocation (4.6.1) e Average tensile strain, nominal strain (6.7.1, 8.2, 8.3.1) e Shear strain (5.3.4) e Tensile strain (6.7.1) e Creep strain (12.4) t:1 The fatigue ductility coefficient (11.7) Strain rate (8.6) Creep rate (12.4, 12.5, 12.8) tdiff Diffusion creep rate (12.10.3) dis! Dislocation creep rate (12.10.4) SFE SFE dependent creep rate (12.11.1) tgbs Grain boundary sliding (GBS) creep (12.10.4) 81 Dislocation glide creep rate (12.10.1) Steady-state creep rate (12.10.3) emisfit Misfit parameter (6.3, 6.4.1) e0 Instantaneous strain (12.4) t:1 Strain at fracture (8.7.1) ec Measure of modulus difference between solute and solvent (6.3) 11t:P Plastic strain range (11.7) er True strain (8.4) eu Uniform strain (8.7.1) ~· Strain corresponding to yield stress (8.3.4) F Force (4.6.2, 5.3.4) F(R) Force of repulsion (4.7) F(a) Force of attraction (4.7) f Frequency of alternating current (13.5.1, 13.5.2) f Volume fraction of precipitate phase (6.4.1) f Limit frequency (13.5.2) G Shear modulus (4.1, 4.2, 4.6.1, 4.9, 4.10, 5.2, 6.3, 6.4.1, 10.5, 12.10.1,12.10.2) r Interaxial angle (1 .4) r Shear strain (4.2, 5.2) r Surface energy (10.8) rm Plastic work done around a crack (10.5) 'l'P Energy required for plastic deformation per unit area (7.5) rs Stacking fault energy (4.8.2, 12.11.1) rs Surface energy per unit area (7.5, 10.5) rs Precipitate-matrix surface energy (6.4.1) @Seismicisolation @Seismicisolation
  • 23.
    xxii YAPB rez H HAc HEc h h h' K K K K K K Kie K' KR* Kth K,. k k kt Xo X; Nomenclature Antiphase boundary energy(6.4.1) Elastic shear strain (4.6.1) Vickers hardness (10.7.2) Alternating magnetic field/primary magnetic field (13.5.1) Secondary magnetic field (13.5.1) Constant (9.6) Height of the hammer from its lowest point before its release (10.4) Height of the hammer from its lowest point after its release (10.4) Bulk modulus (5.2) Constant (7.5, 12.4) Constant called strength coefficient (8.4) Load factor (9.4) Major energy shell (1.1) Stress intensity parameter (10.7, 11.6.2) Critical stress intensity or fracture toughness (10.7) Constant called fibre efficiency parameter (6.7.1) Critical stress intensity factor (10.8) Threshold stress intensity value (11.6.2) Measure of extent to which dislocation pile up at barriers (6.2, 10.5) Constant (6.2) Boltzman's constant (12.10.3) Stress concentration at the crack tip (10.7) Angle that slip plane makes with respect to stress axis before stressing (5.2.4) Angle of reorientation of slip plane with stress axis at any instant after plastic deformation (5.3.4) Inductance (13.5.1) Length (6.2) Length of diagonal of projected square shaped indentation (9.5) Length of longer diagonal of Knoop indentation (9.8) Length of the specimen at time t (12.4) Major energy shell (1.1) Gauge length before plastic deformation (5.3.4) Length of the specimen just after the load is applied (12.4) Original gauge length of specimen (8.2, 8.7.1) Gauge length at any instant after plastic deformation (5.2.4) Length at fracture (8.7.1) Azimuthal quantum number (1.1) Length of cylindrical crystal (4.6.1) Length of dislocation line segment (4.6.3, 4.10) Distance between particles (4.6.3, 6.4.1) Spacing between planes (5.2) Critical fibre length (6.7.1) Angle between applied force and slip plane normal (5.3.4) Constant of proportionality (9.4) @Seismicisolation @Seismicisolation
  • 24.
    Nomenclature xxiii A-0 Anglebetween the axis of tension and slip direction before plastic deformation (5.3.4) A; Angle between the axis of tension and slip direction after plastic deformation (5.3.4) M Atomic mass number (1.1), Major energy shell (1.1) m1 Magnetic quantum number (1.1) ms Spin quantum number (1.1) M Bending moment (6.7.1) µ Poisson's ratio (5.2) µ, Relative permeability of the material (13.5.2) N Number of grains per square inch (6.2) N Number of dislocations (6.2) N Number of stress cycles of failure (11.4) n ASTM grain size number (6.2) n Number of vacancies per cubic centimeter (2.2.1) n Principal quantum number (1.1) n Strain hardening exponent (8.4) n Meyer's index (9.4) v Poisson's ratio (4.6.1, 6.2, 10.7) m Angular frequency (13.5.1) P Load or force (8.2, 8.3.4, 8.5, 9.4, 9.5, 9.8) P Volume fraction porosity (6.9) Pc Load carried by composite (6.7.1) P1 Load carried by fibres (6.7.1) Pm Load carried by matrix (6.7.1) Pu Maximum load (8.3.3) Py Load at yield point (8.3.2) PAB Fraction of A atoms that are nearest to B atoms (6.3) <p Angle between tensile axis and slip direction (5.3.4) <p Half the angle subtended by the indentation edge at the centre of the ball (9.4) Q Energy required to produce a vacancy (2.2.1) Q Activation energy (12.10.1, 12.10.2) <p Indenter geometry dependent constant (10.7.2) q Conventional reduction in area (8.4) q' True reduction in area (8.4) R Gas constant (2.2.1) R Atomic radius (6.3) R External radius of the cylindrical crystal (4.6.1) R Ohmic resistance (13.5.1) R Universal gas constant (12.6) R Radius of curvature (4.6.3, 4.10, 6.4.1, 6.7.1) R Range or stress ratio (11.2) R Reflection coefficient (13.5.1) r Distance between dislocations (4.7) @Seismicisolation @Seismicisolation
  • 25.
    xxiv r r r r r r ro r1 p p p p (J (J Ga (Japp (Je (Jm (Jm <lmax (Jmin (JP (Jc (Jc (Jct <lJ <lJ <lJ <lJ (Jft (Jh <J; a'm <lmt (Jo (Jo <Jr <lx <J,. <J,. Gz s s s Nomenclature Distance between soluteatom and dislocation (6.3) Distance from tip of the crack (10.7) Radius at the tip of the crack (7.5) Radius of annular ring (4.6.1) Radius of atom (2.1) Radius of precipitate particle (6.4.1) Dislocation core radius (4.6.1, 4.7) Distance away from dislocation core (4.7) Density of dislocations (6.2, 8.6) Density of material (13.6.4) Radius of curvature at crack tip (10.7) Resistivity of material (13.5.2) Normal stress or average stress or nominal stress (4.5.1, 6.7.1, 8.2, 8.3.1) Applied tensile stress (7.5, 12.10.2) Alternating stress (11.2) Applied stress (10.7) Effective stress (12.10.1) Matrix stress (6.7.1) Mean stress (11.2) Maximum tensile stress (7.5, 11.2) Minimum compressive stress (11.2) Strength of the specimen with porosity (6.9) Critical normal stress (4.5.1, 5.3.4) Stress in composite (6.7.1) Tensile strength of composite (6.7.1) Tensile stress in fibre (6.7.1) Average stress in fibre (6.7.1) Fracture stress (10.2, 10.5, 10.7, 10.8) Critical fracture stress (10.5) Tensile strength of fibres (6.7.1) Hydrostatic pressure (5.2) Lattice frictional stress opposing motion of dislocation (6.2, 10.5) Matrix stress at strain corresponding to fibre tensile strength (6.7.1) Matrix tensile strength (6.7.1) Strength of the specimen without porosity (6.9) Yield strength/flow stress (6.2, 11.6.1) True stress (8.4) Stress component in x-direction (10.7) Yield stress/yield strength (8.3.2, 10.2, 10.5, 10.7.2) Stress component in y-direction (10.7) Stress component in z-direction (10.7) Cyclic stress (11.4) Slant height of pyramidal indentation (9.5) Standard penetration depth (13.5.2) @Seismicisolation @Seismicisolation
  • 26.
    T T Tm T t t t t 'l' 'l' 'X'a 'l'b 'l'b 'l'; 'X'm 'l'my 'l'cRSS 'l'Rss 'l'p_N 'X'ez 'l'xy 0 0 0" 0' u UE U1 Ur Us Ur /!,.Uc u V Vi, V2, V3 Ve VJ Vfcrit Vm VJmin V w w Absolute temperature (2.2.1, 12.6, 12.10.2, 12.10.3) Line tension (4.6.3) Nomenclature XXV Melting temperature in Kelvin (5.3.7, 6.3, 10.2, 12.8, 12.11.2) Transmission coefficient (13.5.1) Creep time (12.4, 12.5) Unit tangent vector (4.4, 4.5.3) Thickness (6.7.1) Depth of indentation (9.4, 9.6) Shear stress (4.2, 4.6.2, 5.2, 6.2, 6.4.1, 11.6.1) Resolved shear stress (8.6) Stress to activate the dislocation source (6.2) Back stress (6.2) Shear stress corresponding to unit velocity of dislocations (8.6) Internal stress (6.2) Maximum shear stress (4.2) Matrix shear yield strength (6.7.1) Critical resolved shear stress (5.3.4) Resolved shear stress (4.5.1, 5.3.4) Peierls Nabarro shear stress (4.9) Elastic shear stress (4.6.1) Shear stress in x-y plane (10.7) Angle (4.6.3, 10.7) Stable CuA12 phase (6.4.1) Coherent phase (6.4.1) Semicoherent phase (6.4.1) Elastic strain energy (8.3.4) Elastic strain energy for unit volume (7.5) Impact strength (10.4) Modulus of resilience (8.3.4) Surface energy associated with a crack of unit width (7.5) Toughness (8.3.6) Interaction energy (6.3) Strain energy per unit volume (8.3.4) Volume (4.6.1, 5.2) Vectors (4.12) Velocity of compressive waves in medium (13.6.4) Volume fraction of fibres (6.7.1) Critical volume fraction of fibres (6.7.1) Volume fraction of matrix (6.7.1) Minimum volume fraction of fibres (6.7.1) Velocity of dislocations (8.6) Weight (10.4) Dislocation width (4.9) @Seismicisolation @Seismicisolation
  • 27.
    xxvi Nomenclature Fraction ofA atoms (6.3) Inductive reactance (13.5.1) Displacement of atoms (4.2) Mole fraction of solute (6.3) Dimensionless constant (10.7) Atomic number (1.1) Impedance (13.5.1) Acoustic impedance (13.6.4) @Seismicisolation @Seismicisolation
  • 28.
    Nature of Materials 1.1INTRODUCTION We find numerous things around us, and use many of them frequently in our day-to-day activities. The things that can be seen are usually known as materials. However, in true sense, a material is something that occupies space and has mass. A material, in general, exists in one of the three states (more frequently called physical states), namely, gaseous, liquid or solid state depending on its temperature. At a given temperature, physical state having more negative free energy is thermodynamically stable. For example, only water is stable at room temperature but ice or water vapour (steam) is not stable. Every material, irrespective of its physical state, is made of some simple substances which cannot be further broken down into more simple substances. These simple and pure substances that cannot be disintegrated by chemical means are referred to as elements. Thus elements are the basic units of all the materials. There are about l09 elements known to man out of which majority of elements (say 92) are gifted to human race by the nature, i.e. these are naturally occurring elements. Remaining elements have been developed by the man. Aluminium, copper, iron, oxygen, hydrogen and iodine are some examples of naturally occurring elements. Elements differ from each other and hence show different characteristic features. An element, though cannot be disintegrated by chemical means, is not unbreakable. In fact, every element is composed of atoms. While the characteristic features of atoms are similar for a given element, these are different for different elements, i.e. all atoms of an element are alike and differ significantly from the atoms of other elements. The different characteristic features of elements are essentially due to the characteristic features of these atoms and arrangement of these atoms within the elements. Initially, an atom was considered as an indivisible smallest unit of the element. Nowadays, it 1 @Seismicisolation @Seismicisolation
  • 29.
    2 Mechanical Behaviourand Testing of Materials is well known that an atom is composed of many sub-atomic particles. However, it is true that an atom is the smallest stable unit of an element which can exhibit all the properties of that element and is capable of taking part in a chemical reaction. Two or more atoms of an element or of different elements may combine with each other to form a molecule. In such cases, molecule is the smallest stable unit exhibiting all the properties of the material under consideration. An atom has a well-defined internal structure known as atomic structure. As stated earlier, an atom is composed of many sub-atomic particles. However, for the sake of understanding the atomic structure in a simple manner, it is convenient to focus only on three sub-atomic particles, namely, the proton, neutron and electron. These sub-atomic particles are usually referred to as elementary particles. The characteristics of these sub-atomic particles are summarised in Table 1.1. Particle Proton Neutron Electron TABLE 1.1 Characteristics of sub-atomic particles Characteristics These are positively charged particles concentrated in the nucleus. The mass of a proton is equal to 1.673 x 10-27 kg. The magnitude of charge on a proton is 1.602 x 10-19 coulomb. Relative mass and relative charge are 1 and +1, respectively. These are neutral particles, i.e. they do not have any charge. Like protons, these are also concentrated in the nucleus. The mass of a proton is equal to 1.675 x 10-27 kg. Relative mass and relative charge are 1 and 0, respectively. These are negatively charged particles moving around the nucleus in various orbits. The mass of an electron is equal to 0.911 x 10-30 kg. The magnitude of charge on an electron is 1.602 x 10-19 coulomb. Relative mass and relative charge are 1/1836 and -1, respectively. Electrons are negatively charged particles which are much lighter than the both protons and neutrons. Protons are positively charged particles whereas neutrons are neutral particles. The mass of a proton is slightly less than the mass of a neutron. An atom, to a first approximation, can be considered spherical in shape with definite size (diameter). The average diameter of an atom is of the order of 10-10 metre. An atom consists of a highly compact central part which is popularly known as nucleus. This nucleus is comprised of the protons and neutrons. Electrons are revolving around it in circular or elliptical orbits as shown in Figure 1.1. This distribution of electrons depends on the nature of the element. The maximum number of electrons that can be present in any shell (n = 1, 2, 3, ....) is 2n2• For example, first shell, also known as the innermost shell, can have only 2 [2 x 121electrons and second shell can have 8 [2 x 221electrons only. The last shell, popularly known as outermost shell, cannot have more than 8 electrons and the shell immediately preceding the outermost shell cannot have more than 18 electrons. The planetary model, the most popular model explaining the nature of structure of an atom, is shown in Figure l.2(a). However, the shells are not as rigid as Figure l.2(a) implies. It is because that no empirical mathematical @Seismicisolation @Seismicisolation
  • 30.
    Nature of Materials3 Nucleus (positively charged) Electrons (negatively charged) FIGURE 1.1 Structure of an atom showing a central nucleus and electrons revolving around it. (a) containing nucleons L-shell ,__+---+--- M-shel t+--t-- - N-shell t+-- -0-shell (b) FIGURE 1.2 (a) Planetary model of an atom, (b) Electron shell structure around the nucleus. relationship can be developed to locate the electron in terms of distance parameter from the nucleus. It is important to emphasize here that electrons have dual nature, i.e. electrons exhibit properties of a particle as well as of an energy wave. Since electrons are governed by the laws of quantum mechanics, only certain but definite energy values will be associated with these electrons and hence electrons will revolve around the nucleus only in some definite orbits with particular energy levels as shown in Figure l.2(b). According to Heisenberg's uncertainty principle, it is not possible to determine the position and momentum of an electron simultaneously. The exact position of an electron can be determined precisely with the help of four quantum numbers, namely, principal quantum number (n), orbital quantum or azimuthal quantum number (l), magnetic quantum number (m1) and electron spin quantum number (m5). The principal quantum number (n) is related to the main energy levels of the electron. It can be visualised as a shell in the space. In general, each quantum shell is assigned an alphabet rather than a number. The shells corresponding to n = l, 2, 3, 4, 5, 6 and 7 are designated by alphabets K, L, M, N, 0, P and Q, respectively. Though principal quantum number may have any positive integral value from l to infinity, it usually ranges from l to 7. An electron with higher principal quantum number possesses higher energy and is farther from the nucleus. The orbital angular quantum number (l) is related to the angular momentum of the electrons. It may have any value from 0 to (n - 1). This quantum number speaks about the sub- energy levels (sub-shells) within the main energy levels (shells). With the help of this number, @Seismicisolation @Seismicisolation
  • 31.
    4 Mechanical Behaviourand Testing of Materials the position of electron can be known with high probability in sub-shells. The sub-energy levels are denoted by alphabets s, p, d and f The sub-energy level with the lowest energy state is referred to as s, the next higher is p, and then d and f The magnetic quantum number (m1) is related to the magnetic moment of the electron and has values from -l to +l including zero. There are, in general, (21 + 1) values of m1 for a given l value. The electron spin quantum number (ms) is related to the rotation of the electron about its own axis. Since there may be two allowed spin directions for an electron spinning on its own axis (clockwise and anticlockwise), ms may have values +1/2 and -1/2. Table 1.2, showing distribution of electrons for various elements, helps in understanding these statements. Since the atomic nucleus consists of protons and neutrons, it is positively charged. The average diameter of a nucleus is of the order of 10-14 metre, which is about 1/10,000 of the diameter of the atom. Hence, while almost the entire mass of an atom is concentrated at the nucleus, almost all the volume of atom is occupied by the electron cloud moving around the positively charged nucleus. The electrons, which are moving around the nucleus in various orbits, are of much significance as these determine the size of the atom, govern the electrical conductivity and chemical properties, decide the nature of interatomic force of attraction and affect optical properties. The electrons in the outermost orbit, which are relatively loosely bonded with the nucleus, are known as valence electrons. Since the number of electrons is equal to the number of protons in an atom and have equal and opposite electrical charge, an atom is electrically neutral. Under certain circumstances, there may be an imbalance and the number of protons may not be equal to the numbers of electrons. In such cases, atom will not be electrically neutral. A charged atom, due to gain or loss of one or more electrons, is usually termed as ion. Loss of an electron means that there will be a proton whose positive charge cannot be neutralised and hence the atom becomes positively charged, i.e. electropositive. On similar basis, gain of an electron makes the atom electronegative. The terms anion and cation are used to represent negatively and positively charged ion, respectively. Atom of an element has definite number of protons in its nucleus and this number differs from element to element. The number of protons in the nucleus is commonly termed as atomic number and is frequently denoted by the alphabet Z. For an electrically neutral atom, the atomic number represents the number of electrons in the atom. As stated earlier, proton and neutrons contribute to almost all the mass of an atom. The term atomic mass number, generally expressed by the alphabet M, indicates the total number of protons and neutrons in the nucleus. It is only the simplest atom of hydrogen which has same value, i.e. 1 for both atomic number and atomic mass number. While all atoms of an element have the same number of protons, these may contain different number of neutrons. Atoms of the same element having different atomic mass numbers are called isotopes. All isotopes of one element have similar chemical properties. Presence of isotopes is quite common feature for majority of elements. For example, there are two naturally occurring isotopes of hydrogen (with M as 1 and 2), three isotopes of carbon (with M as 12, 13 and 14) and three isotopes of oxygen (with M as 16, 17 and 18). It is quite probable in some cases that, for different elements, the sum of the number of protons and neutrons may be same, i.e. different elements may have same atomic mass number. In such cases, the number of protons and neutrons differ in the nuclei. These nuclei are called isobars. @Seismicisolation @Seismicisolation
  • 32.
    Nature of Materials5 TABLE 1.2 Distribution of electrons in various orbits Atomic Elements K L M N 0 p number ls 2s 2p 3s 3p 3d 4s 4p 4d 4f 5s Sp 5d 6s 6p 1 Hydrogen 1 2 Helium 2 3 Lithium 2 1 4 Beryllium 2 2 5 Boron 2 2 1 6 Carbon 2 2 2 7 Nitrogen 2 2 3 8 Oxygen 2 2 4 9 Fluorine 2 2 5 10 Neon 2 2 6 11 Sodium 2 2 6 1 12 Magnesium 2 2 6 2 13 Aluminium 2 2 6 2 1 14 Silicon 2 2 6 2 2 15 Phosphorus 2 2 6 2 3 16 Sulphur 2 2 6 2 4 17 Chlorine 2 2 6 2 5 18 Argon 2 2 6 2 6 19 Potassium 2 2 6 2 6 1 20 Calcium 2 2 6 2 6 2 21 Scandium 2 2 6 2 6 1 2 22 Titanium 2 2 6 2 6 2 2 23 Vanadium 2 2 6 2 6 3 2 24 Chromium 2 2 6 2 6 5 1 25 Manganese 2 2 6 2 6 5 2 26 Iron 2 2 6 2 6 6 2 27 Cobalt 2 2 6 2 6 7 2 28 Nickel 2 2 6 2 6 8 2 29 Copper 2 2 6 2 6 10 1 30 Zinc 2 2 6 2 6 10 2 31 Gallium 2 2 6 2 6 10 2 1 32 Germanium 2 2 6 2 6 10 2 2 33 Arsenic 2 2 6 2 6 10 2 3 34 Selenium 2 2 6 2 6 10 2 4 35 Bromine 2 2 6 2 6 10 2 5 36 Krypton 2 2 6 2 6 10 2 6 37 Rubidium 2 2 6 2 6 10 2 6 1 38 Strontium 2 2 6 2 6 10 2 6 2 39 Yttrium 2 2 6 2 6 10 2 6 1 2 40 Zirconium 2 2 6 2 6 10 2 6 2 2 (Contd.) @Seismicisolation @Seismicisolation
  • 33.
    6 Mechanical Behaviourand Testing of Materials TABLE 1.2 Distribution of electrons in various orbits (contd.) Atomic Elements K L M N 0 p number ls 2s 2p 3s 3p 3d 4s 4p 4d 4f 5s Sp 5d 6s 6p 41 Niobium 2 2 6 2 6 10 2 6 4 1 42 Molybdenum 2 2 6 2 6 10 2 6 5 1 43 Technetium 2 2 6 2 6 10 2 6 6 1 44 Ruthenium 2 2 6 2 6 10 2 6 7 1 45 Rhodium 2 2 6 2 6 10 2 6 8 1 46 Palladium 2 2 6 2 6 10 2 6 10 47 Silver 2 2 6 2 6 10 2 6 10 2 48 Cadmium 2 2 6 2 6 10 2 6 10 2 49 Indium 2 2 6 2 6 10 2 6 10 2 1 50 Tin 2 2 6 2 6 10 2 6 10 2 2 51 Antimony 2 2 6 2 6 10 2 6 10 2 3 52 Tellurium 2 2 6 2 6 10 2 6 10 2 4 53 Iodine 2 2 6 2 6 10 2 6 10 2 5 54 Xenon 2 2 6 2 2 10 2 6 10 2 6 55 Cesium 2 2 6 2 6 10 2 6 10 2 6 1 56 Barium 2 2 6 2 6 10 2 6 10 2 6 2 57 Lanthanaum 2 2 6 2 6 10 2 6 10 1 2 6 2 71 Lutetium 2 2 6 2 6 10 2 6 10 14 2 6 1 2 72 Hafnium 2 2 6 2 6 10 2 6 10 14 2 6 2 2 73 Tantalum 2 2 6 2 6 10 2 6 10 14 2 6 3 2 74 Tungsten 2 2 6 2 6 10 2 6 10 14 2 6 4 2 75 Rhenium 2 2 6 2 6 10 2 6 10 14 2 6 5 76 Osmium 2 2 6 2 6 10 2 6 10 14 2 6 6 77 Iridium 2 2 6 2 6 10 2 6 10 14 2 6 9 78 Platinum 2 2 6 2 6 10 2 6 10 14 2 6 9 1 79 Gold 2 2 6 2 6 10 2 6 10 14 2 6 10 1 80 Mercury 2 2 6 2 6 10 2 6 10 14 12 6 10 2 81 Thallium 2 2 6 2 6 10 2 6 10 14 2 6 10 2 1 82 Lead 2 2 6 2 6 10 2 6 10 14 2 6 10 2 2 83 Bismuth 2 2 6 2 6 10 2 6 10 14 2 6 10 2 3 84 Polonium 2 2 6 2 6 10 2 6 10 14 2 6 10 2 4 85 Astatine 2 2 6 2 6 10 2 6 10 14 2 6 10 2 5 86 Radon 2 2 6 2 6 10 2 6 10 14 2 6 10 2 6 @Seismicisolation @Seismicisolation
  • 34.
    Nature of Materials7 1.2 INTERATOMIC AND INTERMOLECULAR BONDING All materials are composed of very large number (several millions) of atoms. These atoms are joined with each other in one or another way. The word interatomic bonding is most frequently used to express this joining of atoms. The strength of bonding and the nature of bonding between atoms differ from material to material and decide the characteristic features of the material under consideration. In general, the interatomic bonding depends on the distribution of electrons in the atom and the number of valence electrons. An atom with completely filled outermost orbit is most stable and hence every atom having incompletely filled outermost orbit has a tendency to fill the outermost orbit by combining with other atom(s). Similar to atoms, molecules are also bonded with each other and the bonds between molecules are called intermolecular bonding. Various bondings present in the materials can be divided into two major classes, namely, primary and secondary bondings. Primary bondings, the bondings between atoms, are much stronger than the secondary bondings, which are, in general, the bondings between the molecules and between the atoms in specific cases. For example, atoms of inert gases are bonded by secondary bonding in condensed state. Here it is important to mention that the atoms, from which a molecule is formed, are bonded by strong primary bonding. There are three types of primary bonds, namely, ionic bonding, covalent bonding and metallic bonding. These bonds result from electronic orbital interactions. The manner by which atoms fill their outer 's' and 'p' orbitals differs from one bonding to another. The weak secondary bonds result from molecular polarization and permanent dipole moment. van der Waals bond [Figure l.3(a)] and hydrogen bond [Figure l.3(b)] are two common ,,,.,....---......,, ,,.,....---........., 1+ - , ,+ -, Dispersio~n ,' ~ ,' ~ Dispersion ______.. ~ ------+- I I ------+- I ------+- / I / Dipole / Dipole / .........___......," ',...___......," Dispersion c::::::=:::, (a) ~ + Dipole + ~ j - 0 ---~-- H+ -- ' , +H,'+ -o H+ I H / I , 0 _,, + + <l + - 0 H - +<J + + (b) FIGURE 1.3 (a) van der Waals bond, (b) Hydrogen bond. @Seismicisolation @Seismicisolation
  • 35.
    8 Mechanical Behaviourand Testing of Materials examples of the secondary bonds. Materials are bonded by primary bonding, secondary bonding or by the combination of both. It is not essential that a material will be bonded by only one type of bonding, i.e. they may have mixed bonding. In fact, most of the materials have mixed bonding. For examples, pure elements like iron, cobalt, nickel, uranium, iodine and plutonium as well as intermetallic compounds, and ceramic compounds e.g. silica (SiO2), silicon carbide (SiC) and titanium nitride (TiN) have mixed bonding. Ionic bonding results due to transfer of electron(s) from one atom to another (Figure 1.4). The transfer of electrons takes place in a manner that one atom becomes positively charged and 3s1 0 Sodium atom Chlorine atom FIGURE 1.4 Ionic bonding showing the formation of a sodium chloride ion pair from sodium and chlorine atoms. For convenience electrons are shown only in outermost shell of chlorine atom and ion. the other negatively charged. The atom which donates electron(s) becomes positively charged while the atom that accepts electron(s) becomes negatively charged. The tendency for the formation of ionic bonding is usually found between the atoms having one or two valence electrons and the atoms having incomplete outermost orbits by one or two electrons. Such a bond gives a stable structure. Covalent bonding results as a consequence of sharing of electrons from the outermost orbit by the atoms (Figure 1.5). The sharing of electrons takes place in such a manner that outermost orbit of each atom gets filled up. Each sharing of electrons between two atoms results into the formation of one covalent bond. Covalent bonding occurs only when surrounding atoms are located in a manner that they have some well-defined directional relationship with each other. This type of bonding exists between the atoms of same element as well as between the atoms of dissimilar elements. Valence electrons, in certain elements and solid materials, are so loosely bonded with the nucleus of the atom that these are capable of moving freely under the influence of an applied voltage. Such electrons are popularly known as free electrons. Metals and alloys owe their properties essentially due to the presence of free electrons. Free electrons are shared by all the atoms of the element or the material. These @Seismicisolation @Seismicisolation
  • 36.
    Nature of Materials9 0 Silicon atom FIGURE 1.5 Covalent bonding in silicon crystal. electrons form electron gas or electron cloud around the atoms which have now become positively charged ions. The positively charged ions are bonded with one another by mutual attraction to the nearer electrons in the electron cloud. Such an attraction causes the formation of metallic bonding (Figure 1.6). FIGURE 1.6 Two-dimensional schematic diagram illustrating metallic bonding between atoms. @Seismicisolation @Seismicisolation
  • 37.
    10 Mechanical Behaviourand Testing of Materials 1.3 CLASSIFICATION AND COMBINATION OF ELEMENTS It was the year 1869, when Dimitri Mendeleev, a Russian scientist, got success in arranging the elements in a tabular form and developed the periodic table of the elements. In fact, while arranging the elements in order of increasing atomic weight, he discovered that elements showing similar properties are recurring in a periodic manner. A modern periodic table is shown in Figure 1.7. In this periodic table, elements have been arranged in order of ascending atomic number. The horizontal rows and the vertical columns, in general, are called periods and groups, respectively. All the elements of a group exhibit similar characteristics. Elements, depending on some common characteristics, are classified into two major categories, namely, metals and nonmetals. For example, many elements have good thermal and electrical conductivity, are malleable, ductile and opaque, possess typical lustre usually referred to as metallic lustre, and are crystalline solids. Such elements are known as metals or metallic elements and the characteristics stated above, i.e. good thermal conductivity, electrical conductivity, malleability, ductility coupled with opacity and typical lustre are called metallic characteristics or properties. All metallic elements are solid at room temperature except mercury. Nonmetals or nonmetallic elements may exist in solid, liquid or gaseous state. Solid nonmetallic elements, in contrast to metallic elements, have poor thermal and electrical conductivity and are brittle in nature. There are certain typical elements which possess some characteristics of metals and some characteristics of nonmetals. Hence, these are neither metals nor nonmetals. Such elements constitute a third category of elements referred to as metalloids. Carbon, boron, silicon, germanium, arsenic, antimony and tellurium belong to the family of metalloids. Atoms of all metals are bonded by metallic bonding, whereas the atoms of nonmetals are bonded by bonding other than the metallic bonding. A chemical compound is formed when atoms of combining elements are held together due to the association of electrons of these atoms. A compound, is a homogeneous substance, has definite composition, fixed properties and a definite representing chemical formula. Properties of a compound usually differ significantly from properties of elements from which it is made of. It cannot be separated into constituent elements by simple physical and mechanical means. Separation into constituent elements is only possible by chemical or electro- chemical means. Compounds are generally formed between the elements which are far apart in the periodic table. A mixture is composed of two or more elements and/or compounds which are in intimate contact with each other. There is no bonding between these elements or compounds on atomic level. Bonding is of simple physical or mechanical nature. A mixture, unlike a compound, does not have definite composition, properties and chemical formula. A mixture can be separated into its constituent elements by simple physical and mechanical means. In many cases, combination of two or more elements gives rise to a material which exhibits metallic characteristics. Such a material is known as alloy. The base element, i.e. element in major quantity is a metal in all alloys. Nimonics, steels, brasses, bronzes and monels are some examples of the alloys. @Seismicisolation @Seismicisolation
  • 38.
    IA I H 1.00797 IIA 3 4 LiBe 6.393 9.0 12 II 12 Na Mg VIIIB 22.99 24.3 1 111B IVB VB VIB VIIB ,.-A-..,_ 1B 11B 19 20 21 22 23 24 25 26 27 28 29 30 K Ca Sc Ti V Cr Mn Fe Co Ni Cu Zn 39. 102 40.08 44.96 47.90 50.94 52.00 54.94 55.85 58.93 58.71 63.54 65.37 37 38 39 40 41 42 43 44 45 46 47 48 Rb Sr y Zr Nb Mo Tc Ru Rh Pd Ag Cd 85.47 87.62 88.905 91.22 92.9 1 95.94 98 IOI.I 102.90 106.4 107.87 112.4 55 56 72 73 74 75 76 77 78 79 80 Cs Ba ~ Hf Ta w Re Os Ir Pt Au Hg 132.905 137.33 178.49 180.95 183.85 186.2 190.2 192.2 195.09 196.97 200.59 87 88 Fr Ra Lanthanide series 223 226.025 I Actinide series 57 58 59 60 61 62 63 63 65 La Ce Pr Nd Pm Sm Eu Gd Tb I 138.9 1 140. 12 140.9 1 144.24 147 150.35 152 157.25 158.92 89 90 91 92 93 94 95 96 97 Ac Th Pa u Np Pu Am Cm Bk 227 232.04 23 1 238.03 237 244 243 247 247 FIGURE 1.7 Periodic table. IIIA IVA VA 5 6 7 B C N 10.8 1 12.0 1] 14.007 13 14 15 Al Si p 26.98 28.09 30.974 31 32 33 Ga Ge As 69.72 72.59 74.92 49 50 51 In Sn Sb 114.82 11 8.69 12 1.75 81 82 83 Tl Pb Bi 204.37 207.19 208.98 66 67 68 Dy Ho Er 162.50 164.93 167.26 98 99 100 Cf Es Fm 25 1 254 257 VIA VIIA 8 9 0 F 15.9994 19.00 16 17 s Cl 32.064 35.453 34 35 Se Br 78.96 79.909 52 53 Te I 127.60 126.90 84 85 Po At 2 10 210 69 70 Tm Yb 168.93 173.04 IOI 102 Md No 258 255 0 - 2 He 4.003 10 Ne 20. 183 18 Ar 39.948 36 Kr 83.80 54 Xe 131.30 86 Rn 222 7 1 Lu 174.97 103 Lw 257 ~ C: <il C ..... ~ Cb° 55· iii' .... .... @Seismicisolation @Seismicisolation
  • 39.
    12 Mechanical Behaviourand Testing of Materials 1.4 ATOMIC ARRANGEMENT Atom is the basic unit of an element. In addition to characteristics of the atom/atoms, it is the arrangement of atoms within the material that controls the properties of the material under consideration. In a material, atoms may or may not arrange themselves in a well-defined order. The materials having well-defined arrangement of atoms are referred to as crystalline materials. All metals and metallic materials are crystalline materials. Certain nonmetallic materials, e.g. many ceramics also exhibit well-defined arrangement of atoms. Gases are the example of the materials that do not show any specific arrangement of atoms. A large number of materials show short-range ordering, i.e. specific arrangement of atoms is restricted to few atoms (atom's nearest neighbours) only. Such materials are known as noncrystalline or amorphous materials. In a crystalline material, atoms are arranged in a well-defined manner and every atom has identical surroundings. The repetitive three-dimensional arrangement of atoms is known as crystal structure while the three-dimensional structure comprising of imaginary straight lines connecting the centres of the atoms is called space lattice or crystal structure lattice. A space lattice thus obtained contains a large number of small, but equally sized, segments. The smallest unit of the lattice which on repeating in all the three directions gives rise to crystal structure lattice is called unit cell. The unit cell retains the overall characteristics of the lattice. The size and shape of unit cell may vary from material to material. A unit cell can be described completely by six parameters, namely, three axial dimensions (a, b and c) and three inter-axial angles (a, f3 and )?. These parameters are better known as lattice parameters. By convention, a is the angle between b and c axes, f3 is the angle between c and a axes and y is the angle between a and b axes (Figure 1.8). C a FIGURE 1.8 Unit cell showing lattice constants. Based on symmetry considerations, there are only seven crystal structure systems. Table 1.3 provides characteristics of various crystal structure systems. TABLE 1.3 Characteristics of crystal structure systems Crystal structure Axes Angles between axes Cubic a= b = c a= /3 = r= 90° Tetragonal a = b * c a= /3 = r= 90° Hexagonal a = b * c a = /3 = 90°, r = 120° Orthorhombic aCFbCFc a= /3 = r= 90° Rhombohedral a= b = c a= /3 = Y* 90° Monoclinic aCFbCFc a = r = 90°, /3 * 90° Triclinic aCFbCFc a* /3 * Y* 90° @Seismicisolation @Seismicisolation
  • 40.
    Nature of Materials13 For these seven crystal structure systems only fourteen (14) space lattices, more popularly known as Bravais lattices are possible (Figure 1.9). Materials may have more than one crystal structure. The term allotropy is used for this characteristic property shown by pure elements. Polymorphism is a more general term for such a characteristic behaviour. Table 1.4 lists crystal structures of various allotropic forms of some metals. Simple cubic rnJ Simple tetragonal Face-centred Body-centred cubic cubic rw m Body-centred tetragonal Hexagonal Iw rw rm a:B Simple orthorhombic Rhombohedral Body-centred orthorhombic Simple monoclinic Base-centred orthorhombic Base-centred monoclinic Face-centred orthorhombic Triclinic FIGURE 1.9 The fourteen Bravais unit cells. The dots indicate lattice points located at corners, face-centres or at body centres as the case may be. TABLE 1.4 Crystal structures of some allotropic forms Metal Crystal structure Lattice parameters (nm) Iron BCC (up to 910°C) 0.2866 FCC (910-1402°C) 0.3589 BCC (1402-1539°C) 0.2930 Strontium FCC (up to 557°C) 0.6084 BCC (557-768°C) 0.4840 Titanium HCP (up to 882°C) a = 0.2950, C = 0.4683 BCC (882-1668°C) 0.3320 Zirconium HCP (up to 862°C) a= 0.3231, C = 0.5147 BCC (862-1852°C) 0.3609 @Seismicisolation @Seismicisolation
  • 41.
    14 Mechanical Behaviourand Testing of Materials 1.5 ENGINEERING MATERIALS Engineering materials, in general, mean solid materials used by the mankind. These can be broadly classified into two classes, namely, metallic materials and nonmetallic materials. Metals and alloys are the examples of metallic materials. Nonmetallic materials are further classified into two sub-classes, i.e. ceramics (and glasses) and polymers. Ceramics are inorganic compounds formed by the combination of metals and nonmetals. Glasses are amorphous inorganic nonmetallic materials. Polymers, also known as polymeric materials, are mostly organic nonmetallic materials. These are mainly the compounds of carbon and hydrogen with other atoms such as oxygen, nitrogen, chlorine, fluorine may also be present. Some commonly used engineering materials are described below. 1.5.1 Steel Steel is the name given to the family of iron-carbon alloys having carbon content up to about 2%, i.e. up to maximum solid solubility limit of carbon in gamma-iron. Silicon, manganese, sulphur and phosphorus are always present in all steels. Steels are generally classified into two major classes, namely, plain carbon steels (or carbon steels) and alloy steels. Plain carbon steels contain less than 1.65% manganese and 0.60% silicon and do not contain any other specified element. Properties of plain carbon steels are governed by the carbon content. According to carbon content, carbon steels are classified as low carbon, medium carbon, and high carbon steels. Low carbon steels contain less than 0.30% carbon while high carbon steels contain more than 0.60% carbon. Medium carbon steels have carbon content ranging from 0.30% to 0.60%. Some applications of plain carbon steels have been summarised in Table 1.5. Type of steel Low carbon steel Medium carbon steel High carbon steel TABLE 1.5 Some applications of plain carbon steels Applications Wires, screws, nuts, bolts, rivets, sheets, ship plates, rods, angles, channels, tubes, shafts, beams, various forgings, tin plate, galvanized plate, stampings, many structural members, etc. Stronger nuts, bolts, axles, shafts, high tensile tubes, locomotive tyres, wire ropes, hammer, agricultural tools, reinforcing bars for cement concrete, connecting rods, gears, rails, spindles, etc. Springs, piano wire, wood working tools, metal cutting tools, forging dies, drills, hand files, handsaw, limit gauges, razors, cold chisels, scissors, blades of cold shears, sledge hammer, knieves, punches, etc. Alloy steel contains specified amount(s) of alloying element(s) and/or more than 1.65% manganese and/or 0.60% silicon. The properties of alloy steels depend on both carbon and alloying element(s). It is possible to impart specific characteristics in the steels by careful selection of alloying elements and adding these in controlled amounts. Table 1.6 describes the effect of various elements on the properties of steels. @Seismicisolation @Seismicisolation
  • 42.
    Nature of Materials15 TABLE 1.6 Effects of some elements on steel properties Alloying elements Effects on steel properties Aluminium Chromium Manganese Nickel Molybdenum Tungsten Vanadium Cobalt Silicon Copper Boron Improves strength and toughness by refining the grain size, forms nitride in nitriding grade steel (such as 'nitralloy') to impart hardness and wear resistance. Improves hardenability, when form carbides improves hardness, tensile strength, wear resistance, and heat resistance. When present in amounts greater than 11% imparts corrosion and oxidation resistance properties. Increases hardenability, hardness and tensile strength. Decreases ductile-brittle transition temperature and thus improves toughness of steel. Increases hardness, tensile strength and toughness of steel without any loss of ductility. Imrpoves corrosion and heat resistance of chromium steels. It promotes grain refinement, increases hardenability and improves high temperature properties of steels, eliminates temper embrittlement effect of some steels and enhances corrosion resistance of stainless steels (in particular, the pitting corrosion resistance). Improves red hardness, hardenability, tensile strength, resistance to tempering, wear resistance and high temperature strength of steels. Refines grain size, prevents grain growth at elevated temperatures, improves wear resistance, yield strength, ductility and fatigue strength as well as high temperature strength. In presence of tungsten and/or molybdenum imparts red hardness of steels as in super high speed steels. Increases hardness, and strength without much affecting the ductility when present in small amount (< 4%). It also imparts springness, oxidation resistance, and heat resistance to steels. It increases electrical resistivity of steel for that steel is used for transformers and dynamo applications. Sometimes added to improve the atmospheric corrosion resistance of steel. Specifically added in very small amount (0.001-0.005%) to improve hardenability of steel. Based on the amount of alloying element(s) present in steel, alloy steel may be referred to as low alloy steel, medium alloy steel or high alloy steel. In general, low alloy steel contains up to 5% total alloy content while total alloy content of a high alloy steel exceeds 10%. For a medium alloy steel, total alloy content lies in between 5 and 10%. Classification into two classes, namely, low alloy steel and high alloy steel is also quite popular. According to this classification, low alloy steel contains up to 10% total alloy content while total alloy content of a high alloy steel exceeds 10%. Some steels of industrial importance have been described as follows. @Seismicisolation @Seismicisolation
  • 43.
    16 Mechanical Behaviourand Testing of Materials Structural steels These are the steels widely employed for making engineering components such as springs, gears, grinding media balls, boiler plates, nuts and bolts, bearings, crankshafts, axles, pistons, valves and many other components. Such steels are frequently subjected to thermal and mechanical treatments in order to develop desired mechanical properties. Structural steels consist of a large number of carbon steels and alloy steels. Structural steels are different from those steels which are used for specific purposes such as corrosion resistant steels, heat resistant steels, electrical steels, etc. and steels for constructional applications which are generally used in as-received condition. Spring steels Steels possessing high elastic limit, toughness and fatigue strength are suitable for making springs. In addition to carbon steels, a large number of low and medium alloy steels, depending on service conditions, are utilised for making springs. High alloy steels are also used for making springs where some specific requirement is more important. For example, in highly corrosive environment or at low temperatures, springs made from stainless steels are used. Ball bearing steels Steels suitable for making ball bearings must have high surface hardness to resist wear, tough core to withstand sudden shocks and good fatigue strength as bearings are subjected to cyclic loading. Ball bearing steels are essentially high carbon low chromium steels. Carbon content of these steels ranges from 0.95 to 1.10% while chromium content varies from 0.40-1.60%. Smaller sized ball bearings are made from the steels having 0.40-0.70% chromium while larger sized ball bearings are made from the steels having 1.30-1.60% chromium. Medium sized ball bearings are made from the steels having 0.90-1.20% chromium. Nonmetallic inclusions and segregations of carbides should be controlled precisely in these steels as their presence impair properties particularly fatigue strength significantly resulting in premature failure of bearings. Heat treatment of ball bearing steels consists of hardening and tempering. Hardening is carried out in the temperature range of 830-840°C. Oil quenched steel is tempered at 150-160°C for 1-2 hours. The minimum hardness of hardened and tempered steels should not be less than 62 on Rockwell C-scale. High strength low alloy steels (HSLA) These steels have been developed with main emphasis on better mechanical properties. Mechanical treatment of these steels is carried out in such a way that desired mechanical properties are obtained. These steels are not subjected to heat treatment. These steels are essentially low carbon (C ~ 0.20%) steels with about 1% manganese and small quantities (< 0.50%) of other elements like aluminium, niobium, vanadium, titanium and chromium. Copper is added to some grades of these steels to impart resistance to atmospheric corrosion. Steels containing copper are referred to as weathering steels. The yield strength and tensile strength of these steels is usually in the range of 290-480 MPa and 415-620 MPa, respectively. In addition to high strength to weight ratio, these steels exhibit very good formability and weldability. This is why, better fuel efficiency has been attained by using these steels in @Seismicisolation @Seismicisolation
  • 44.
    Nature of Materials17 automobile industry. These steels are used for numerous applications. Major applications include transmission lines for natural gas, ships, offshore drilling platforms and automotive components. Hadfield steel Also known as austemtlc manganese steel, Hadfield steel contains 1.1-1.4% carbon and 11-14% manganese. Properly heat-treated steel (water quenched from 1000°C) has austenitic structure and attains high strength, toughness and excellent wear resistance on deformation. This nonmagnetic steel is used in as-quenched condition. Applications include components in electromagnetic equipments, rock crusher jaws, crushing and grinding mill liners, railroad crossing and switch points, dredging equipment, chain for tanks, and excavator buckets. Stainless steels Stainless steel is a generic term denoting a large number of chromium and chromium-nickel steels exhibiting excellent resistance to corrosion and many other useful properties. In addition to chromium and nickel, sufficient amounts of other alloying elements such as niobium, molybdenum, titanium, copper, tungsten, selenium, aluminium and tantalum may be present in these steels. There are five classes of stainless steels, namely, martensitic stainless steels (l l.5-15.0%Cr), ferritic stainless steels (15.0-30.0%Cr), austenitic stainless steels (16.0-26.0%Cr, 6.0-22.0%Ni), precipitation hardenable stainless steels (14.0-18.0%Cr, 6.0-8.0%Ni, 2.0-3.0%Mo, 0.75-l.50%Al) and duplex stainless steels (23-30%Cr, 4.5-7.0%Ni, 2.0-4.0%Mo). Low cost, high hardness, wear resistance and strength coupled with fairly good corrosion resistance are some of the characteristics of martensitic stainless steels. Some important applications include cutlery items, surgical instruments, high quality ball bearings, valves and high quality knives. Ferritic stainless steels possess fairly high ductility, good hot and cold workability and excellent resistance to corrosion. Kitchen sinks, decorative trim, annealing baskets, nitric acid tanks, dairy machinery, motor boat propeller shafts, aeroplane and automobile fittings, stainless nuts and bolts and furnace parts are some engineering applications of ferritic stainless steels. Austenitic stainless steels offer maximum resistance to corrosion and possess excellent deep drawability, strength and toughness coupled with excellent low-temperature impact properties. In fact, this class, the most widely used, finds numerous applications. These are the only stainless steels which are nonmagnetic in nature and hence have an edge over other stainless steels. Precipitation hardening stainless steels possess very good combination of corrosion resistance and strength. These steels derive their strength mainly from precipitation hardening and martensitic transformation. Duplex stainless steels have ferrite and austenite in their microstructure attained by balancing the nickel and chromium contents. Better strength than the austenitic stainless steels, excellent resistance to corrosion (comparable with austenitic ones), immunity to stress corrosion cracking and good weldability are some salient features of duplex stainless steels. @Seismicisolation @Seismicisolation
  • 45.
    18 Mechanical Behaviourand Testing of Materials Maraging steels These steels contain 18-25% nickel, 7-10% cobalt, 3-5% molybdenum, up to 1.75% titanium and up to 0.20% aluminium. Maraging steels are well known for their good yield strength to tensile strength ratio, weldability, formability, excellent fracture toughness and resistance to hydrogen embrittlement. Motor cases for missiles, low temperature structural parts, pressure vessels and hulls for hydrospace vehicles are some of the major applications of maraging steels. High-speed steels These are essentially high carbon-high alloy steels, containing tungsten, chromium, vanadium and molybdenum as the main alloying elements, are well suited for manufacturing cutting tools. A typical conventional high-speed steel contains 0.7% carbon, 18% tungsten, 4% chromium and 1% vanadium. These steels possess high compressive strength, high red hardness and excellent wear resistance at room temperature as well as at elevated temperatures. Some important applications are lathe tools, milling cutters, reamers, deep hole drills, taps, blanking dies, hot forming dies and wearing plates. Tools made from high-speed steels can be safely used up to "" 600°C. Bearings and springs for high temperature applications and aircraft fasteners are also made from high-speed steels. 1.5.2 Cast Irons Cast iron, similar to steel, denotes family of iron-carbon alloys with carbon contents exceeding 2% but less than 6.67%. However, the upper limit of carbon content in cast iron rarely exceeds 4%. Varying quantities of other elements such as silicon, manganese, phosphorus and sulphur are always present in cast irons. Cast irons offer a wide range of properties, namely, strength, hardness, wear resistance, corrosion resistance, oxidation resistance and machinability. Various types of cast irons have been described below. Grey cast iron Grey cast iron derives its name from the grey appearance of the fractured surface due to the presence of graphite. Graphite, in grey cast iron is present in the form of graphite flakes. The size and distribution of these flakes have considerable impact on mechanical and physical properties of grey cast irons. The ends of graphite flakes are regions of high stress concentration. Hence, grey cast irons are brittle and possess low tensile strength and ductility levels. The widespread engineering applications of grey cast irons are due to many attractive properties. Some of these attractive properties are high compressive strength, excellent machinability, good resistance to sliding wear, very good thermal conductivity and exceptionally good damping capacity. White cast iron In these cast irons, all the carbon is present in combined form, i.e. as cementite. White cast irons are hard, brittle and difficult to machine and therefore find only limited applications in as-cast condition. These are mainly used for producing malleable iron castings. In general, most of the white cast irons are hypoeutectic alloys and have a carbon content of about 3%. High hardness @Seismicisolation @Seismicisolation
  • 46.
    Nature of Materials19 of white cast iron is mainly due to the continuous interdendritic network of cementite. This property (hardness) makes white cast iron a useful wear resistant material. Chilled cast iron Chilled cast iron is basically a grey cast iron which on cooling rapidly solidifies as white cast iron at the surface (case) and as grey cast iron in the interior (core). This type of cast iron is produced by casting the molten metal of suitable composition, against a metal or graphite chiller. Due to white cast iron case, these irons are used where high abrasion wear resistance is desired. Typical applications include railroad freight car wheels, grain-mill rolls, rolls for crushing ores, grinding balls, hammers, stamp shoes and dies. Nodular cast iron Cast irons having nodules/spheroids of graphite instead of graphite flakes possess better ductility. Such cast irons are popularly known as nodular cast irons. These irons are also referred to as ductile irons. Nodular cast irons are produced by treating molten iron with magnesium or cerium. Molten metal must have very low sulphur content. Malleable cast iron It is produced by prolonged heat treatment of white cast iron. Due to heat treatment, cementite gets trans-formed to graphite aggregates. Two important classes of malleable cast iron are whiteheart and blackheart malleable cast iron. While the former iron is produced by heat treating white cast iron in an oxidizing atmosphere, the blackheart malleable iron is produced by heat treating white cast iron in a neutral atmosphere. Ni-resist cast iron Ni-resist is a trade name used for a group of high nickel (14 - 36%) austenitic cast irons which are tough, wear resistant and highly stable under chemical attack. Chromium (1.6 - 6.0%) imparts hardness, stiffness and good machinability to the cast iron. Carbon is present as graphite flakes or nodules in an austenitic matrix. Ni-resist cast irons have good resistance to corrosion and erosion and are able to resist moderately high temperatures. Pumps and valves for petroleum, power, pulp and paper, and chemical process industries; hot forming dies, textile rolls, sewage plant castings; piston, seals, valves, gears, impellers, wear rings and cylinder liners for liquid handling industry are some of the applications of Ni-resist irons. Ni-hard cast iron Ni-hard cast irons are basically nickel (3.0 - 7.0%) - chromium (1.5 - 11%) cast irons possessing outstanding resistance to wear. The wear resistance of Ni-hard cast iron is due to microstructure which comprises of martensitic matrix and multitude of refined carbides. Ni-hard cast iron castings find widespread use in the mining, power, cement, ceramic, paint, dredging, coal, coke, steel and foundry industries. Some typical applications include rolling mill rolls, grinding media balls, grinding mill liners, slurry pump parts, pulverizer rings, roll heads, pipe and elbows and mixer blades. @Seismicisolation @Seismicisolation
  • 47.
    20 Mechanical Behaviourand Testing of Materials 1.5.3 Aluminium and Its Alloys Aluminium, the widely used engineering metal, next to iron only, has low specific gravity (2.70) and melting temperature (660°C), very good electrical (64% IACS) and thermal (240W/mK) conductivities, high specific strength, good formability, high reflectivity and excellent resistance to corrosion. The important alloying elements responsible for strengthening of aluminium are copper, magnesium, manganese, zinc and silicon. Aluminium and its alloys are extensively used as domestic utensils and containers, electrical and thermal conductors, electrical cables, cylinder heads and pistons in automobile and aircraft industry, reflectors for vehicle headlamps, flood lights and telescopes; and foils for heat insulation in buildings, furnaces and food packing. Duralumin Duralumin is a commercial heat-treatable alloy based on aluminium-copper-magnesium- manganese system, has been extensively used in aircraft industries for making frames, ribs, propeller blades, etc. Other applications include building structures, truck bodies, casing pipes, etc. Y-alloy Y-alloy is an important alloy of aluminium suitable for use at elevated temperature. It contains 4% copper, 2% nickel and 1.5% magnesium. The alloy retains strength at relatively high temperatures and has good hot workability. Heat treated Y-alloy has NiA13 particles distributed in the matrix. These particles are responsible for elevated temperature strength of the alloy. Some applications include pistons, cylinder heads, and general-purpose high strength castings. 1.5.4 Magnesium and Its Alloys Magnesium, a silvery-white metal has low specific gravity (1.74), low melting point (650°C) and very good machinability. Low tensile strength (78 MPa), poor ductility and cold formability, and inferior resistance to corrosion and oxidation restrict the use of magnesium as a structural material. The main alloying elements added to magnesium are aluminium, zinc, and manganese. Silicon, tin, zirconium, rare-earth ones, silver and thorium are also added but usually in small amounts. Wrought magnesium alloys are used as extruded bars, rods and other sections, forgings, sheets, plates and wires. Fuel tanks, ducts, wing tips, flaps, rudders, etc. are made from sheets and strips of magnesium alloys. Most of the magnesium alloys have good machinability and thus may be cast into intricate shapes with a high dimensional accuracy and good surface finish. A typical magnesium alloy (Mg - 4%Al- 0.5%Zn - 0.3%Mn) is used for aircraft engine bearing caps, housings, rocker arm supports, doors, hinges, hydraulic cylinders valve bodies, etc. Susceptibility to stress corrosion cracking, poor fatigue strength, lower ductility and poor formability, and high chemical reactivity are some major limitations of magnesium alloys that restrict their widespread applications. 1.5.5 Titanium and Its Alloys Both tensile strength and specific strength, at room temperature as well as at cryogenic temperatures, are high for titanium. Titanium has excellent resistance to corrosion. Its corrosion @Seismicisolation @Seismicisolation
  • 48.
    Nature of Materials21 resistance, under some atmospheres, is better than the austenitic stainless steel. Titanium is considered as an ideal metal in marine atmospheres and seawater. Titanium alloys find wide use in aviation and rocket engineering, ship-building and chemical processing due to their high room temperature and elevated temperature strength, moderate ductility, good resistance to corrosion and high specific strength. Alloys of titanium with aluminium, tin, manganese, molybdenum, vanadium, zirconium, silicon, chromium or iron are of greater commercial importance. An optimum combination of strength and ductility is obtained in Ti-5%Al-2.5%Sn alloy. Tin improves creep resistance up to 500°C. One of the most widely used titanium alloy is Ti-6%Al-4%V. This alloy has high strength-to-weight ratio, good fatigue and creep strength, and high resistance to oxidation. Typical applications of this alloy are gas turbine compressors blades, forged and extruded air frame fittings, sheet metals for high temperature skins and disks and rings. 1.5.6 Copper and Its Alloys Copper has high ductility and malleability, excellent electrical and thermal conductivity and good resistance to corrosion. Electrical conductors and cables, heat conductors, domestic utensils and boilers, water pipes and fittings, tubes, radiators, busbars, switchgears, gaskets, heat exchangers, etc. are some important applications of copper. Copper alloys can broadly be divided into three classes, namely, brasses, bronzes and cupronickels. Brass is the name given to a copper base alloy containing zinc as the main alloying element. Brasses may be binary alloys or may possess other elements. The term bronze is used to represent a vast family of copper base alloys with various elements except zinc and nickel. Cupronickel has been a popular name for the family of binary copper-nickel alloys. Brasses These are generally grouped into two main classes, namely, alpha brasses (having zinc up to 39%) and alpha-beta brasses (having 39-45% zinc). While alpha brasses are single-phase alloys, alpha-beta brasses have microstructures consisting of two phases. Alpha brasses have better corrosion resistance and cold workability in comparison to alpha-beta brasses which possess higher strength and hardness coupled with good hot workability. Better ductility of alpha brasses in comparison to alpha-beta brasses makes them highly suitable for making components demanding deep drawa-bility. Alpha-beta brasses are relatively brittle and hence cannot be cold worked. Hence, these brasses are shaped by casting, forging, hot rolling, hot stamping and extrusion. The Cu-30%Zn alloy, popularly known as cartridge brass, has optimum combination of strength and ductility and hence is extensively used for making cartridge cases. Other applications include motor car headlamp reflectors, radiator casings, fasteners, rivets, springs and plumbing accessories. Admiralty brass, a modified cartridge brass, has a nominal composition as Cu-29%Zn-l %Sn. It is mainly used for condenser tubes, cold worked marine parts and heat exchanger tubes. Naval brass, having higher zinc content (37 to 39%) than the admiralty brass, finds applications as welding rods, marine hardware, condenser plates, propeller shafts, nuts, piston rods and valve stems. @Seismicisolation @Seismicisolation
  • 49.
    22 Mechanical Behaviourand Testing of Materials Bronzes Springs, bearings, castings, plumbing fixtures, valves, marine-engine parts, connecting rods, propellers, temple bells and statues are some applications of bronzes. Gunmetal (Cu-10%Sn-2%Zn), an important tin-bronze, has high strength, hardness and wear resistance. Its applications include water and steam-pipe fittings and taps, gears, hard castings, bushings and marine fittings. Aluminium bronzes and silicon bronzes are famous for their excellent resistance to corrosion coupled with high strength. Silicon bronzes possess good formability, machinability and weldability. Aluminium bronze finds applications as condenser tubes, corrosion-resistant vessels, nuts and bolts, protective sheathing in marine applications, gears, propeller hubs, blades, pump parts, bearings, bushings, nonsparking tools and dies for drawing and forming purposes. Beryllium bronzes are capable of attaining highest strength amongst all copper base alloys and are being used for making nonsparking tools, springs, pressure diaphragms and cells. Various applications of phosphor bronze include springs, gears, bushings, electrical contacts and wire brushes. Cupronickels Cupronickels exhibit high resistance to atmospheric, fresh water and marine corrosion. These are the most suitable copper alloys resisting corrosive and erosive action of moving seawater. These alloys have very good cold as well as hot workability. Typical applications include condensers, evaporators, distillers and heat exchanger tubes for marine vessels and power plants situated near seashore. Being single-phase alloys, these are strengthened by strain hardening. Addition of nickel to copper results in improved strength, oxidation resistance and corrosion resistance. Nickel confers upon copper its characteristic magnetic and electrical properties. A wide range of copper-nickel alloys is used due to their peculiar physical properties and resistance against corrosion. Physical properties such as controllable colour, high electrical resistance, low as well as constant temperature coefficient and typical magnetic properties make copper-nickel alloys suitable for coinage, ornamental metal work, decorative items, thermocouples, resistance wires and magnetic tape or wire. Constantan is a copper-nickel alloy having 45% nickel. This alloy has the maximum as well as constant value of electrical resistance. The temperature coefficient of resistance is practically zero for this alloy. 1.5.7 Nickel and Its Alloys Nickel exhibits unique combination of physical properties, mechanical properties and outstanding corrosion resistance against many aggressive media. It has very good solid solubility in many metals. Also, many metals have good solid solubility in nickel. It is for this reason that nickel finds numerous applications as an alloying element in steels, cast irons, copper alloys, super alloys, etc. and as a base metal of many useful engineering alloys. One important use of nickel is in electroplating as it can be electroplated on to a number of materials. Monel Monel is the name given to a nickel-copper alloy containing about 33% copper. This alloy, having optimum combination of corrosion resistance and strength, retains strength at elevated temperatures and has good formability. Poor machinability, castability and response to heat @Seismicisolation @Seismicisolation
  • 50.
    Nature of Materials23 treatment are some limitations of Monel which can be encountered by the addition of some alloying elements resulting in the development of a series of alloys called Monels. Monels contain about 30% copper with small amounts of iron (up to 2%), manganese (up to 5%), silicon (2 to 4%) or aluminium (2 to 4%) either alone or in combination. These alloys exhibit high resistance to corrosion in salt water, fresh water, general atmosphere, inorganic acids, sulphuric acid, nitrates, chlorides and caustic soda. Monels remain unaffected (unattacked) by hydrogen fluoride, deaerated hydrofluoric acid, sulphurous acid, liquid ammonia, dry chlorine, neutral salts and organic solvents. Monels find most of applications in chemical and process industries due to their good corrosion resistance and strength. Applications include vessels, pipelines, filters, valves, heat exchanger tubes, pump parts, marine propellers, propeller shafts, nonsparking tools, and containers for handling but not for storage of food products, sulphuric acid and hydrochloric acid. Nichrome Nichrome is the trade name given to nickel-chromium alloy contammg 20% chromium. It possesses high electrical resistance, high melting point and very good high temperature oxidation resistance. The alloy is capable of retaining its strength up to 500°C and does not become brittle on repeated thermal cycling. Typical applications include heating elements for electric furnaces, kettles, immersion heaters, hair dryers and toasters and as resistances. Inconels Inconels are essentially alloys of nickel with 14-17% chromium and 6-10% iron having small amounts of titanium, aluminium and niobium. These alloys are well known for their superior resistance to corrosion at elevated temperatures. Inconels resist attack by hydrogen sulphide, alkalis, dry chlorine and bromine, organic compounds and fatty acids. Some important applications include furnace heating elements, heat treatment jigs, annealing boxes, fixtures and trays, valves for internal combustion engine, springs for high temperature use, recuperator tubes, pyrometer sheaths, heat exchangers for fatty acids and phenols, reaction vessels for plastics, dying and tanning; and evaporators for sodium sulphite. Nimonic Nimonic alloys represent a family of alloys developed by modifying the early 80%Ni-20%Cr alloy by adding large proportion of cobalt in addition to appreciable amounts of titanium, aluminium and/or molybdenum. High tensile strength at elevated temperatures, good creep strength, excellent resistance to high temperature oxidation and good corrosion resistance are some important properties of Nimonics. Nimonics are used widely for making turbine blades, exhaust valves, for chemical plant components and equipments which require high strength at elevated temperatures. Hastelloys Hastelloys are nickel base alloys having molybdenum up to 30% and iron around 5%. In addition to molybdenum and iron, Hastelloys contain tungsten and chromium in appreciable amounts. These alloys were basically developed for resistance to hydrochloric acid, nitric acid @Seismicisolation @Seismicisolation
  • 51.
    24 Mechanical Behaviourand Testing of Materials and to other nonoxidising acids. These alloys find applications where operating temperatures are in the range of 700-980°C. These alloys are used for handling and storing hydrochloric acid, phosphoric acid and other nonoxidising acids. A specific grade of Hastelloys, having about 10% silicon, 3% copper and 1% aluminium is mainly used for handling sulphuric acid of all concentrations and at all temperatures. 1.5.8 Cobalt and Its Alloys Cobalt, a strongly ferromagnetic metal with high relative density (8.83) and melting point (1495°C), finds maximum applications due to its excellent high temperature strength and magnetic properties. It is mostly used as an alloying element in alloy steels, cemented carbides, magnetic materials, iron base superalloys and nickel base superalloys. The common alloying elements added to cobalt are chromium, nickel, molybdenum, iron, tungsten, manganese, niobium, vanadium, beryllium, titanium and aluminium. Cobalt base alloys offer excellent resistance against corrosion and oxidation particularly at high temperatures, are resistant to human body fluid, possess high elevated temperature strength and have high hardness and wear- resistance. Cobalt alloys have been and are extensively used as high temperature materials, tool materials, magnetic materials and wear resistant materials. Cobalt base alloys are much expensive and are used where their high cost is justified on technical grounds. Stellites Stellites refer to a group of cobalt base alloys having chromium, tungsten, nickel, molybdenum, niobium, titanium and iron as alloying elements. High strength and hardness at room and elevated temperatures, excellent resistance to abrasion at elevated temperatures, high resistance to corrosion, high resistance to softening during heating and a service temperature range up to 1000°C are some important properties of stellites. These alloys which were initially developed for gas turbine blades in jet engines, super chargers and afterburners are now used as wear resistant materials and not as high temperature materials. A typical composition of stellite is as Co-0.25%C-27%Cr-3%Ni-5%Mo-5%Fe. Vitallium Vitallium is the trade name of cobalt base alloy having chromium and molybdenum as the main alloying elements. This alloy is used for surgical implants. This biocompatible alloy, with nominal composition as Co-30%Cr-5%Mo, can only be shaped by casting. The alloy lacks ductility and possesses low yield strength making the alloy unsuitable for many applications. This alloy is much better than austenitic stainless steel for prosthetic devices. Vicalloy Vicalloy is the name given to a cobalt base alloy having a nominal composition as Co-14%V-34%Fe. By altering amounts of these elements or by adding small amounts of some other alloying element(s), desired magnetic properties can be obtained. Such Co-V-Fe alloys are known as vicalloys. These high-energy magnet alloys can be cold worked easily. Magnetic properties of these alloys are derived from deformable texture and precipitation. Heat- treated alloy has a high energy product (a million gauss oersted). Energy product may be @Seismicisolation @Seismicisolation
  • 52.
    Nature of Materials25 increased anisotropically by heavy cold working to the tune of two to three million gauss oersted. Applications include magnetic tapes, compass needles and in many electric motors and devices. 1.5.9 Ceramic Materials Ceramics are essentially the compounds of metals and nonmetals bonded by ionic, covalent or mixed bondings. High melting point, low density coupled with high stiffness, high hot strength, high compressive strength, high hardness, high wear and corrosion resistance, good dielectric properties, good thermal and electrical insulating properties, etc. are some common charac- teristics of ceramic materials. Oxides, carbides, nitrides and silicates belong to the family of ceramic materials. Bricks, refractories, glasses, cement, plaster of paris, abrasives, porcelain enamel, ferrites, piezoelectrics, dielectrics, garnets, etc. are the examples of some commonly used ceramic materials. Ceramics can broadly be grouped as traditional ceramics and modern ceramics. Traditional ceramics include bricks, tiles, sanitaryware, porcelains, etc. while Al20 3, SiC, MgO, BeO, B4C, Si3N4, BN, BaTi03, etc. belong to modern ceramics. Television, radio, audio-video recording equipment, automobiles, modern space vehicles, telecommunication system, etc., are some typical examples where modern ceramics have been used. Glass, an amorphous ceramic material, possesses transparency, high hardness and strength, poor toughness and excellent corrosion resistance to most environments. These characteristics make glass an important material for many engineering applications such as construction and vehicle glazing, windows, laboratory ware, beverage container and many others. Silica is the main constituent of general purpose glasses. Alumina ceramics Alumina ceramics are the hardest, strongest and stiffest of the oxide ceramics. Alumina ceramics are relatively cheap, possess mechanical properties equal to or better than most of the other oxides, have outstanding electrical resistivity and dielectric strength, exhibit good resistance to a wide variety of chemicals and remain unaffected by air, sulphurous atmospheres and water vapour. Alumina ceramics find wide applications in electrical industries as electrical insulators in spark plugs, chemical industries and in aerospace industries. Due to high hardness coupled with good wear resistance and close dimensional stability, alumina ceramics also find applications as abrasion resistant parts such as textile guides, pump plungers, chute linings, discharge orifices, dies and bearings. Alumina also finds applications in bioimplants because of its chemical inertness. Beryllia (BeO) Beryllia or Beryllium oxide is noted for its excellent high thermal conductivity, high strength and good dielectric properties. The combination of strength, rigidity and dimensional stability makes beryllia a useful material in gyroscopes while because of its high thermal conductivity, it is a widely accepted material for cooling transistors, resistors and substrate in electronic equipment. @Seismicisolation @Seismicisolation
  • 53.
    26 Mechanical Behaviourand Testing of Materials Silicon carbide Silicon carbide exhibits an attractive combination of high thermal conductivity, low thermal expansion and low thermal shock and outstanding resistance against wear, abrasion and oxidation. The inherent outstanding properties have made silicon carbide useful in applications such as thrust bearings, ball bearings, pump impellers, extrusion and wire drawing dies, valves and seals, rocket nozzle throat, and heat exchanger tubes. Silicon nitride Silicon nitride (Si3N4) ceramic possesses low thermal expansion, moderate elastic modulus, high thermal shock resistance, high strength, high wear and oxidation resistance and very good thermal stability. It is being used as ball and roller bearings, various components such as piston head, head liner, valve, cylinder liner, valve guide, exhaust port, inner surface of exhaust manifold, turbine blade of diesel engine of some cars. Sialons Sialons has a major drawback with respect to fabrication to shapes with desirable properties and low density. This difficulty has been overcome by alloying it with metallic oxides (Al203, Y20 3, MgO, BeO, etc.) and replacement of Si and N by Al and oxygen atoms producing Si-Al-0-N system. Materials based on this system are referred to as sialons. These materials are stronger and exhibit excellent thermal shock resistance. Sialons are being used as tool materials for machining poor machinable materials, welding nozzles, gas shrouds and location pins for welding machines and rotating shaft seals in hostile environments due to their low friction, high hardness, wear resistance, thermal shock resistance, electrical insulation and resistance to molten metal pick up and are being evaluated for roller, shell and ball bearings, diesel engine components, gas turbine components and many other applications requiring wear resistance, heat resistance, chemical inertness and thermal shock resistance. 1.5.10 Polymeric Materials Polymeric materials are predominantly the organic materials made up of long chain molecules. These can be classified into three main groups, namely, thermosetting plastics (thermosets), thermoplastics and elastomers. Inorganic or semi-organic polymers are based on silicon and oxygen and are commonly called silicones. Thermosets Thermosets once shaped, cannot be reshaped again as these do not get softened on heating. This characteristic, i.e. resistance to softening on heating, can be attributed to chemical change that these materials undergo during the shaping (moulding) process. These are, in general, hard, rigid and brittle. High strength thermosets can be developed by reinforcing them with fibrous materials. Examples of thermosets include phenolic resins (bakelite), epoxy resins (araldite), urea formaldehyde resins, polyurathane, melamine formaldehyde, etc. The plastics which soften on heating and harden on cooling in a reversible fashion are called thermoplastics. No chemical reaction occurs during heating. Thus heating and cooling cycles can be repeated any number of times to obtain a desired shape. These are usually less @Seismicisolation @Seismicisolation
  • 54.
    Nature of Materials27 rigid and more tough than the thermosets. Polyethylene, polystyrene, polypropylene, polyvinyl chloride, polymethyl methacrylate, polyetherketone, polyether etherketone, nylon, cellulose, polyester, etc., are some common examples of thermoplastics. Elastomers Elastomers, as the name suggests, are capable of undergoing large elastic deformation on application of stresses of much low magnitude in comparison to metallic materials. These exhibit elongation values as high as 1000% prior to tensile failure. Elastomers are, in general, polymerised thermoplastics which have been cross-linked in a controlled manner. Controlled cross-linking is essential as stiffness increases and elongation decreases with increase in cross- linking. Large recoverable elongations, high resilience, good toughness, wear and abrasion resistance; low permeability, flexibility, good electrical insulation property and resistance to various organic and inorganic chemicals are some important characteristics of elastomers. Natural rubber is a well-known material belonging to the family of elastomers. Acrylic, butyl, nitrile and silicone rubbers are some typical examples of engineering elastomers. Phenolics Phenolic (thermoset) plastics are produced by the chemical reaction between phenol and formaldehyde and are thus called phenol formaldehyde. These are more popularly known as Bakelite. High hardness, strength and rigidity, low density, pleasant appearance, good electrical insulating properties, good resistance against combustion, weathering, weak acids, most organic acids and staining, and low water absorption are some outstanding properties of phenolic plastics. Electrical components such as plugs, sockets, etc., insulating handles and knobs, linings of brakes and clutches etc. are some typical examples of their applications. Polyethylenes Polyethylenes, also known as polythenes, are widely used thermoplastic materials. These are characterised by good toughness coupled with flexibility over a wide range of temperature, ability to retain dimensional stability, ease of formability (mouldability for shaping), their good resistance to chemicals and moisture, excellent electrical insulating property and high degree of resistance against weathering. Owing to these characteristics, polyethylenes find wide applications for packaging, coatings and laminations in the form of film, household items such as buckets, tubs, baskets mugs, ice cube trays, etc., and containers for packaging of pharmaceuticals, corrosive chemicals, cosmetics, etc. Polyethylene is also used for cable coating and as insulation tapes. Pipes made of polyethylene are used for transporting water and various other chemicals. Polyvinyl chloride (PVC) Non-plasticised PVC grades are hard and rigid but still can be moulded into a variety of shapes and thus are widely used for manufacture of buckets and pots, pipes (downpipes, drainpipes and rain guttering) and conduits. Plasticised PVC grades, which are more flexible and soft (rubbery) find uses in electric cable insulation, chemical tank linings, furniture and auto upholstery, shaped cushions, interior wall coverings, rainwear, shoes, luggage and shower curtains (waterproof clothing). @Seismicisolation @Seismicisolation
  • 55.
    28 Mechanical Behaviourand Testing of Materials Polypropylene The properties of polypropylene which make it an industrially important material include good resistance against chemicals, moisture and heat. In addition it also possesses low density, good surface hardness and good dimensional stability. Most of its applications are similar to that of polyethylenes. Because of its superior surface hardness, it finds uses in washing machines, vacuum sweepers, briefcases and suitcases, etc. Some other uses include packaging, laboratory ware and bottles of various types, shoes, textile cones and bobbins, toys, etc. Polystyrene Polystyrene a tough and dense thermoplastic material, because of its clarity, ease of moulding, low mould shrinkage, good dimensional stability, relatively better surface hardness and adequate mechanical properties; finds wide uses in household items, laboratory equipment and as industrial components specifically for chemical plants. The foamed polystyrene is used in insulation of cold storage warehouse, building foundations, packaging items for delicate instruments such as cameras, calculators, etc. Other applications include automobile interior parts, dials and knobs, refrigeration components and many other equipments or appliance housings. Acrylonitrile-butadiene-styrene (ABS) ABS is a thermoplastic material which possesses good combination of mechanical properties. Acrylonitrile contributes heat and chemical resistance and toughness. Butadiene imparts impact strength and low temperature property retention. Styrene provides surface gloss, rigidity and ease of processing. ABS thermoplastics are opaque and show good chemical and weather resistance. Low creep and low water absorption and relatively high heat resistance provide ABS plastics with good dimensional stability. In view of these characteristic properties, ABS plastics are considered to be engineering plastics. Typical applications of ABS are television and radio set cabinets, briefcases and suitcases, battery cases, helmets, water pump, refrigerator door, computer housings, steering wheels, grills for hot air systems and vehicle radiators, motor vehicle panels, pump impellers, telephone housings, electrical conduit, tubes and pipes. Acrylics Acrylics are noted for excellent optical properties. They have excellent mechanical properties such as impact strength, hardness and rigidity. Besides good thermo resistance they also possess very good dimensional stability. Though they can resist weak acids and alkalis but are affected by chlorinated hydrocarbons. Acrylics also have excellent weather resistance. They are only slightly affected by sunlight, rain and corrosive atmospheres. Acrylic mouldings have deep lustre and high surface gloss. One of the most popular applications of acrylics is thermoformed sheets. Acrylics signs are regularly used at departmental stores, banks, markets, office buildings, service stations, etc. Due to glossiness and transparency, acrylics are used in decorative and novelty items. They are also used in wind shields for automobiles, boats and snow mobiles, aircraft and automobile instrument dials, clock and radio faces, knobs, protective goggles, handles aircraft cabin windows, fighter plane canopies, etc. @Seismicisolation @Seismicisolation
  • 56.
    Nature of Materials29 Polytetrafluoroethylene (PTFE) PTFE in spite of its high cost, is an important and most versatile thermoplastic material. It exhibits outstanding resistance to chemicals (insoluble in all organic solvents except a few fluorinated solvents), is nonsticking in nature and has excellent electrical resistance. In appearance it is white in colour and has waxy feel and cannot be wet by many liquids. It has only reasonably good tensile strength, wear resistance and creep resistance. PTFE is commonly known by its trade name Teflon. It is used in chemical resistant pipes and pumps parts, tank lining, filter media, valve seats, laboratory ware, pipe lining, high temperature cable insulation, moulded electrical components, submersible pump motors, insulation of computer circuits, nonstick coating on frying pans and special surgical blades, bearings, etc. Natural rubber Raw natural rubber is soft and sticky under the action of heat, and insoluble in water, alcohol, acetone, dilute acids and alkalies but dissolves in ether, carbon tetrachloride, carbon disulphide, and petrol and turpentine oil. It has low wear and abrasion resistance, poor toughness and resistance to atmosphere containing air, ozone, ultraviolet rays, etc., low elastic modulus and tensile strength associated with large elongation that enables it to absorb shocks. It is treated with sulphur, the process is called vulcanisation, to improve rigidity, response to stress and service operating temperature range. Vulcanised natural rubber possesses higher flexibility, better capability to withstand distortion and absorbing energy, excellent abrasion resistance, good electrical insulating property and better chemical and water resistance. Natural rubber is extensively used in motor car tyres where flexibility, shock resistance and wear resistance are severely required, conveyor belts, shock absorbers, springs, mounting blocks, vibration dampers, rubber bands, hot water bottles, carpet backing and for mechanical goods such as sound damping equipment and gaskets. Butyl elastomers Butyl elastomers have high damping capacity, excellent resistance to abrasion and tearing, good resistance against chemicals, excellent resistance towards sunlight and weather and excellent dielectric strength. These find applications such as tyre inner tubes, tubing, hose, high pressure steam hoses, curtain wall, gaskets, seals for food jars and medicine bottles and electrical cable insulation. Neoprene elastomers Good heat and oil resistance, excellent resistance against sunlight, oxygen, ozone and weathering as well as to permeability by gases are some of the important characteristics of these elastomers. Typical applications of neoprene elastomers include heavy duty conveyer belts, V-belts, footwear, rolls, gaskets, motor mounts, household and industrial gloves, wire and cable insulations, solid tyres, protective coatings, oil and petrol hoses, chemical tank lining, etc. Nitrile elastomers Nitrile elastomers possess outstanding resistance against oils and fuels, and good resistance against heat. However, these exhibit low resilience, poor resistance to ozone containing @Seismicisolation @Seismicisolation
  • 57.
    30 Mechanical Behaviourand Testing of Materials atmosphere and inferior chemical resistance at high temperatures. Typical applications of nitrile elastomers include, seals in automobiles such as valve-stem seals, crankshaft seals, pinion seals and oil-pan seals; self sealing fuel tanks, oil and petrol hoses, carburettor diaphragms, gaskets, adhesives, printing rolls, washing machine parts, flexible couplings, machinery mounting pads, electrical cable jacketing and belting. In the form of latex, they are used for impregnating paper, textiles and leather. Thiokol elastomers Thiokol elastomers are noted for their outstanding resistance to oil and gasoline, excellent solvent resistance, extremely low gas permeability and good ageing characteristics. Typical applications of thiokol elastomers include, oil and gasoline hoses, gaskets, washers and diaphragms. 1.5.11 Composite Materials A composite material can simply be defined as a combination of two or more dissimilar materials having a distinct interface between them such that the properties of the resulting material are superior to the individual constituting components. The composites that occur in nature are called naturally occurring composites. The typical examples of such composites include wood, human or animal body, rocks and minerals. Majority of composite materials used today are man-made. Man-made composites exhibit superior as well as exhibit unique combination of properties which are not exhibited by any single material. Composites are usually classified into three classes, namely, dispersion strengthened composites, particle strengthened (or particulate) composites, and fibre strengthened (or fibre reinforced) composites. Two main properties that make man-made composites useful for structural applications are their high specific strength (i.e. strength to density ratio) and high specific stiffness (i.e. stiffness to density ratio). These composites are employed in defence, aerospace and marine industry, automobiles, electronic and electrical industries, civil engineering, sports equipment, biomedical implants and many other miscellaneous applications. Sintered aluminium product (SAP) SAP is an example of dispersion strengthened composite, belonging to Al-Al2O3 system, produced by the fine dispersion of alumina particles in the aluminum matrix. SAP material exhibits high strength in the temperature range of 350-500°C, high corrosion resistance, good thermal and electrical conductivity and small thermal neutron capture cross-section. These properties have made SAP material useful in the field of atomic energy and fabrication of aircrafts and rockets. The important materials which belong to SAP type include Cu-Al2O3, Cu-SiO2, Ni-ThO2, Ag-MgO, Pb-PbO, Be-BeO and Mo-ZrO2• TD-Nickel TD-Nickel is the name given to thoria (ThO2) dispersed nickel, a dispersion strengthened composite of the SAP type. It has a higher heat resistance and better structural stability than any other known nickel base or cobalt base heat resistant alloy in the temperature range of 1050° to 1300°C. Its long time strength at l 100°C, 1200°C and 1300°C is about 60, 47 and 38 MPa, @Seismicisolation @Seismicisolation
  • 58.
    Nature of Materials31 respectively. The physical properties and corrosion resistance of TD-nickel are close to those of pure nickel while the resistance to scaling is ,,.35 times higher. However, its scaling resistance is inferior, around one-fourth to one-third, than the nickel chromium base alloys. TD-nickel finds uses in guide vanes of turbojet engines and high temperature heat exchangers. Cermets Cermets is the name given to particulate composite materials having dispersed ceramic particles in a refractory metal matrix. These exhibit good ductility and thermal shock resistance like metals and high refractoriness like ceramics. These are usually produced by powder metallurgical techniques. Most cermets contain 15-20% of metal. For example, in tungsten carbide base cermets, cobalt is used as the matrix binder. The content of cobalt can be as high as 30%. The outstanding mechanical properties of these cermets include high rigidity, high compressive strength, high hardness and abrasion resistance. They are principally used for gauges and valve parts. The matrix materials used for titanium carbide cermets are nickel and its alloys, and cobalt. Typical uses include gas turbine nozzle vanes, torch tips, hotmill roll guides, valves and valve seats. @Seismicisolation @Seismicisolation
  • 59.
    Crystal Imperfections 2.1 INTRODUCTION Allmetals and alloys are crystalline materials. The most common crystal structures found in metals are body centred cubic, face centred cubic and hexagonal close packed crystal structures. Nearly, more than two-third metals crystallize in these crystal structures (Table 2. l). Unit cells of these crystal structures are shown in Figure 2.l. While the corner atoms of body centred cubic and face centred cubic unit cells are shared by 8 unit cells (Figure 2.2), corner atoms of hexagonal close packed unit cell are shared by 6 unit cells (Figure 2.3). Similarly, atoms located at all the six faces of face centred cubic unit cell and at the two (top and bottom) faces of hexagonal close packed unit cell are shared by 2 unit cells (Figure 2.4). One atom within body centred cubic unit cell and three atoms within hexagonal close packed unit cell totally belong to respective unit cells, i.e. are not shared by any other unit cell (Figure 2. l). (a) (b) (c) FIGURE 2.1 Unit cells of (a) BCC, (b) FCC, and (c) HCP crystals. 32 @Seismicisolation @Seismicisolation
  • 60.
    Crystal Imperfections 33 FIGURE2.2 Schematic diagram showing eight cubic unit cells. The solid circle represents the atom common to all unit cells and is also the corner of each unit cell. The unit cells may be assumed to belong to BCC or FCC crystal. FIGURE 2.3 Four unit cells of HCP crystal. Unit cells 1, 2, 3 are lying in one plane. Unit cell 4 is resting on top of the cell 1. Similarly, if the unit cells are considered on top of the cells 2 and 3, then it is evident that the atom shown by solid circle is shared by six unit cells. The atom marked F is the face centred atom shared between two unit cells 1 and 4. For convenience atoms in the middle of unit cell 2 are not shown. a and c are lattice constants. 0 0 0 0 • o 0 0 0 FIGURE 2.4 Two unit cells of FCC crystal showing locations of atoms represented by circles. The face centred atom shown by solid circle is shared by the two unit cells. @Seismicisolation @Seismicisolation
  • 61.
    34 Mechanical Behaviourand Testing of Materials Crystal structure BCC FCC HCP Rhombohedral Diamond cubic TABLE 2.1 Crystal structures of some metals Metals Li, Na, K, a-Fe, Cr, V, Mo, Nb, Rb, Cs, Ba, W, Ta, Eu Al, Ca, y-Fe, Ni, Cu, Pt, Ag, Au, Rh, Ir, Ac, Pb, Ce, Th, Sr Be, Zn, Cd, Ti, Sc, Y, Co, Re, Os, Hg, Hf, Zr, Gd, Mg, Tc, Ru, Tl, Tb, Ho, Er As, Sb, Bi a-Sn (below 13°C) Total number 14 15 20 03 01 Effective number of atoms is the number of atoms belonging entirely to the unit cell. For a body centred cubic unit cell, the effective number of atoms is 2 as 8 corner atoms are equivalent to l atom and l body centred atom contributes fully, i.e. it belongs entirely to the unit cell. Similarly, effective number of atoms for face centred cubic and hexagonal close packed unit cells are 4 (8 x 1/8 + 6 x 1/2) and 6 (12 x 1/6 + 2 x 1/2 + 3) respectively. In a body centred cubic unit cell, body centred atom touches all the corner atoms (Figure 2.5). Hence, 4r = a✓3 where r is the radius of atom and a is lattice parameter of the unit cell. In face centred cubic unit cell, 4r = a✓2 because it is the face centred atom that touches the comer atoms located at that face (Figure 2.6). For a hexagonal close packed unit cell, 2r = a, because all the corner atoms at top and bottom planes touch each other (Figure 2.7). The number of nearest neighbours to a given atom in a crystal structure lattice is referred to as coordination number. Since every atom has identical surrounding in a crystal structure lattice, coordination number is same for all the atoms in a given crystal structure lattice. In a body centred cubic crystal structure lattice, coordination number is 8 since every atom is touching 8 atoms. Coordination number is 12 for both face centred cubic and hexagonal close packed crystal structures. (a) (b) FIGURE 2.5 Unit cell of BCC crystal showing that body centred atom touches the corner atoms. 'a' is the lattice parameter and r is the radius of the atoms. @Seismicisolation @Seismicisolation
  • 62.
    Crystal Imperfections 35 r (a)(b) FIGURE 2.6 Unit cell of FCC crystal showing that atoms are in contact along the face diagonal such that ✓2a = 4r. FIGURE 2.7 Unit cell of HCP crystal showing that atoms touch each other along the lattice parameter 'a'. The extent of packing of atoms in a crystal structure is expressed as atomic packing factor. Atomic packing factor is defined as fraction of volume occupied by the atoms. It can be calculated easily by dividing the volume of the effective number of atoms by the volume of unit cell. Thus, atomic packing factor for body centred cubic crystal structure is 0.68 which is less than the atomic packing factor (0.74) for face centred cubic and hexagonal close packed crystal structures. It means that atoms in face centred cubic and hexagonal close packed crystal structures are more closely packed in comparison to body centred cubic crystal structure. In fact, face centred cubic and hexagonal close packed crystal structures are close packed structures. Body centred cubic crystal structure is not a close packed structure. Since the arrangement of atoms in a crystal structure is well defined, it is possible to locate various planes and directions in a crystal structure lattice. However, all planes and directions are not of importance. In general, the planes and directions in the crystal containing atoms are only of importance. Hence, the method of representing various planes and directions of interest @Seismicisolation @Seismicisolation
  • 63.
    36 Mechanical Behaviourand Testing of Materials is different than that used in three-dimensional coordinate geometry. The most widely accepted method is due to Miller. According to the Miller, the indices of a plane are the smallest integers obtained by changing the reciprocals of the intercepts along x-, y- and z-axes. These integers are put within the parenthesis (round brackets). No coma or any other symbol is used to separate these integers. For example, the Miller indices of a plane intercepting x-, y- and z-axes at 2, 3 and 4 unit distance, respectively, will be (6 4 3) (Figure 2.8). A plane is usually denoted as (h k l) where h, k and l are integers having no common factor between them. These integers when put within curly brackets, i.e. as {h k l}, represent family of planes. All planes having same set of Miller indices are members of the family of planes. It is worth to mention here that all the members of the family of planes are not necessarily parallel to one another. z y X FIGURE 2.8 The intercepts of the plane (6 4 3) with the coordinate axes. Miller indices of a direction are obtained by subtracting the coordinates of the tail (starting) point from the head (end) point and putting these within square brackets provided all values obtained after subtraction are integers. If integers are not obtained after subtraction, fractions are changed to integers. For example, Miller indices of two directions with head points as l 0 0, and 0 0 l and tail points as 0 0 0, and -1/2 -1 0 respectively are [l 0 0] (Figure 2.9) and [l 2 2]. Integers when put within diamond brackets as < h k l > represent a family of equivalent directions. For example, < l l 0 > denotes 12 equivalent directions. Various directions belonging to a family of directions are not parallel to one another. Since four axes coordinate system is used for the study of hexagonal close packed crystal structure, a modified practice developed by Miller-Bravais is used for indexing planes and directions in hexagonal close packed crystal structure. The procedure of indexing a plane or direction is exactly similar to one adopted for cubic crystal structures. A plane and a direction are expressed as (h k i l) and [h k i l], respectively, where h, k, i and l are integers. The sum of first two integers is equal to the negative of third integer, i.e. h + k = - i in case of both planes and directions. @Seismicisolation @Seismicisolation
  • 64.
    Crystal Imperfections 37 z (0,0, 1) Q~--+---------r p y (-1 /2, -1 , 0) X FIGURE 2.9 Representation of the direction (1 0 OJ in a cubic crystal unit cell. 0 is the origin with coordinates (0, 0, 0). Here O is the tail and A is the head of the direction (1 0 0). Taking origin at A, coordinates of point Pare (-1/2, -1, 0) and that of Qare (0, 0, 1) so that PQ is parallel to OR. 2.2 IMPERFECTIONS Till now, crystalline materials have been discussed by assuming that these materials have well defined arrangement of atoms. In simple words, every atom is occupying its well defined position in the crystal structure lattice with respect to other atoms, i.e. the regularity and periodicity of atomic arrangement are maintained in all the three directions over infinite distance. Such crystals are known as ideal crystals. In fact, reality is far different and all crystalline materials deviate from such a well defined arrangement of atoms at several localised regions. These localised regions are referred to as imperfections in the crystal lattice. Imperfections vary in dimensions and magnitudes which are governed by various operations to which a material has been subjected prior to its study. It is important to understand at this stage that these imperfections represent only defects in the ideal crystal structure lattice. Presence of these imperfections does not mean that material is itself defective. It is also worth to mention here that intentional production of imperfections is very difficult, i.e. imperfections cannot be introduced intentionally with that ease with which these occur naturally. The study of imperfections is important as imperfections have a profound impact on the behaviour of the material. Imperfections or defects in the atomic arrangement were popularly classified into three groups, namely, point imperfections, line imperfections and surface imperfections. This classification was based on the physical dimensions of the defects. 2.2.1 Point Imperfections Point imperfections are localised deviations in the crystal lattice involving one or possibly only a few atoms. These were called so because atom(s) missing from or present additionally within the crystal lattice could only be considered as point(s) in the lattice. These for obvious reasons are also referred to as zero-dimensional defects. These imperfections can be introduced into the lattice in several ways such as by heating, processing, alloying or by the impurities present @Seismicisolation @Seismicisolation
  • 65.
    38 Mechanical Behaviourand Testing of Materials in the crystal. Various types of point imperfections have been described m the following paragraphs. Vacancy A vacancy is created when an atom is missing from its normal site in the lattice (Figure 2.10). In simpler words, a vacancy is simply an empty atomic site. There are many such sites in the crystal lattice. Vacancies get introduced into the crystal lattice during solidification. At room temperature, very few vacancies exist. The magnitude of vacancies can be increased either by heating the material to high temperatures or by subjecting the material to neutron irradiations. The presence of vacancies is a stable feature of metals and alloys at all temperatures above the absolute zero. The number of vacancies present in the crystal lattice is in thermal equilibrium and hence vacancies are sometimes referred to as equilibrium defects. In fact, number of vacancies per cubic centimetre (n) is related to the temperature by the relation Q n =no. e RT where, n0 is the number of lattice points per cm3 Q is the energy required to produce a vacancy in cal/mole, R is the gas constant (1.987 cal/mol. K), and T is the temperature in Kelvin. 000000000 Substitutional-z ~ 0 0 0 0 ti) 0 0 impurity atom Ev -_ ,E) O O ,E) /Ev O 0 @ 0 0 0 0 ff), 0 0 000000000 00~~00000 Interstitial • • atom ooe;~o~~oo 0 0 0 0 0 0°~ 0 0 000000000 Vacancy lnterstitialcy atom FIGURE 2.10 Illustration of some point defects in crystalline solids. Vacancies, more than their equilibrium concentration, can be generated and retained at lower temperatures by (i) heating the material to high temperatures, within solid state, followed by rapid cooling (quenching). By this process, vacancies present at higher temperatures can be retained to a large extent at room temperature, (ii) cold working, or (iii) bombardment of high- energy nuclear particles. Oxidation of some metals such as copper, nickel, zinc, etc. also results in the formation of vacancies. Non-equilibrium vacancies generate divacancies (association of two vacancies) and/or trivacancies (association of three vacancies). It can be attributed to the tendency of such vacancies to cluster in a group of two or three vacancies. The region around the vacancy is in stressed condition. It can be explained on the basis of tendency of atoms surrounding the vacancy to come close to each other. @Seismicisolation @Seismicisolation
  • 66.
    Crystal Imperfections 39 Vacanciesplay an important role in the diffusion of atoms in common industrial processes like homogenization, annealing, precipitation hardening, sintering, surface hardening, oxidation and creep of metals. The climb of dislocation is possible because of the presence of vacancies in metals. A free surface acts as a source of vacancies. It (free surface) also acts like a sink when required. Similarly, grain boundaries also act as a source and sink for vacancies. Interstitialcy Interstitialcy is a defect in which an atom occupies an interstitial site which is not its normal position in the lattice (Figure 2.10). This defect is also known as self-interstitial defect. As very high energy is required to create such a defect, normal processes such as heating or cold working cannot create such a defect. This is the reason that this defect is usually not encountered in most of metals and their alloys. Such defects can only be introduced in the lattice by neutron irradiation. Since the size of an interstitial site is very small, the atoms surrounding the interstitialcy are much more elastically strained than the atoms surrounding a vacancy. The magnitude of so developed elastic strains is relatively more in close packed crystal structures. Interstitial and substitutional defects An interstitial defect is created when an atom, other than the parent metal's atom, occupies interstitial site in the lattice of parent metal (Figure 2.10). The atom located at interstitial site may be of impurity elements or of alloying elements. Interstitial defects are introduced only when small-sized atoms, in comparison to parent metal's atom, of impurity elements or of alloying elements are present in the material. However, these atoms have sizes larger than the sizes of interstitial sites occupied by these atoms. As a result, strains are developed in the surrounding regions. These strains may cause localised distortion in the lattice. A substitutional defect is said to be present if an atom of the parent crystal is substituted by another atom, i.e. atom of any metal other than that of parent metal (Figure 2.10). The substitutional atom occupies the normal lattice site in the crystal structure lattice. Substitutional atom, like interstitial atom, may be of impurity elements or of alloying elements. The substitutional atom, irrespective of its relative size, distorts the surrounding lattice. The magnitudes of interstitial and substitutional defects depend on the quantity of the impurity alloying element present and are usually independent of temperature. In fact, once interstitial or substitutional atoms occupy sites in the lattice of the parent metal, the number of interstitial or substitutional defects remains almost constant and does not vary with change in temperature. It is important to learn that the presence of impurity element(s) is essentially a compositional defect in the material and is different from the interstitial and substitutional defects which are due to presence of atoms of impurity element(s) at interstitial and substitutional sites in the crystal lattice. Regions around these defects are under stressed states, i.e. are distorted ones. The extent of distortion is a function of difference in atomic sizes of the parent element's atom and atom of interstitial element. In case of a substitutional defect, the atoms surrounding the substitutional atom will be in the state of compression when the substitutional atom is larger in size and in the state of tension when the substitutional atom is smaller in size than the size of atom of the parent (base) metal. However, in case of an interstitial defect, the atoms surrounding the defect will always be in the state of compression. @Seismicisolation @Seismicisolation
  • 67.
    40 Mechanical Behaviourand Testing of Materials Schottky defect This defect is peculiar in the sense that it is usually observed in ionically bonded solids. Schottky defect [Figure 2.1 l(a)] is a pair of vacancies created due to the missing of an anion and a cation from the lattice. Since an anion and a cation are missing, the crystal is electrically neutral. A possibility exists that an anion/ a cation may be replaced by a cation/ an anion. In an another possibility, an ion of some valence, say +2, may replace or may be replaced by another ion having different valence, say +1. These deviations in the crystal account for imperfection pairs. O•O • •O•O•O•O •O•O•O•O O• □ •O•O• OoO•O•O• • Cation •O•O• □ •O •d•O•O•O 0 Anion ',, O•O•O•O• 0 • 0'-•--0.• 0 • □ Vacancy •O □ O•O □ O •O•O•O•O O•O•O•O• O•O•O•O• (a) (b} FIGURE 2.11 (a) Schottky defect. Pairs of cations and anions are missing from their normal sites creating vacancies, (b) Francke! defect. A cation leaves its normal site and redistributes within the lattice. Frankel defect A Frankel defect is created due to the formation of a vacancy-interstitial pair [Figure 2.1 l(b)]. Such a pair is formed when an atom jumps from its normal lattice position to an interstitial position giving rise to a vacancy. 2.2.2 Line Imperfections Line imperfections are one-dimensional defects. Line defects in an otherwise perfect crystal structure lattice are popularly known as dislocations. Dislocations are linear arrays of atoms where atomic arrangement deviates from the ideal one. These defects look like lines in the lattice, and hence, are called line defects. Dislocations cause distortion in the regions of the lattice surrounding them. Crystal growth and alloying are the two processes causing atomic mismatch and thus are largely responsible for the creation of dislocations. Atomic mismatch in the crystal structure lattice can also be attributed to thermal stresses, external stresses resulting in permanent deformation of metal or to certain phase transformation(s). Dislocations are present not only in metallic crystals, but also in ceramics. There are two types of dislocations, namely, edge dislocations and screw dislocations. In fact, a real crystal always has edge and screw dislocations. It is worth to mention here that most dislocations in the crystal, instead of being pure edge and/or screw dislocations, are of mixed type. Mixed dislocations have both the edge and screw components. Line imperfections have been dealt in detail in Chapter 4 of the book. @Seismicisolation @Seismicisolation
  • 68.
    Crystal Imperfections 41 2.2.3Surface Imperfections As the name implies, surface imperfections are the distorted regions (planes) about a surface. The thickness of a surface defect, which is of the order of a few atomic diameters, is negligible in comparison to its length and breadth. Therefore, these imperfections or defects are called two-dimensional defects. These defects separate a material into various regions in a manner that each region has the same crystal structure but possesses different lattice orientations. Free surfaces, grain boundaries and stacking faults are common surface defects. Free surface The outermost planes of a material, separating it from other materials, are called surfaces. In simple words, the external dimensions of the material denote surfaces. External surfaces are also known as free surfaces. Since the crystal structure lattice of every material ends at surfaces, each atom in the surface does not have atoms surrounding it on one side of the surface. This is why, atoms present in the free surfaces differ in many respect with the atoms present within the material. For example, these (surface) atoms not only exhibit improper coordination number but also show disrupted atomic bonding. It accounts for high free energy associated with the atoms present in the free surfaces as compared to atoms lying inside the surface, i.e. within the material. Consequently free surfaces are much more reactive than the rest of the material. Grain boundary A grain boundary is the surface which separates or isolates the individual grains. It is, in fact, a narrow zone in which the atoms are located randomly, i.e. atoms are not present in well- arranged manner as in the crystals (Figure 2.12). Various regions having atoms too close to each other as well as having atoms far apart from one another exist in a grain boundary. The regions having atoms nearer to each other are the regions of compression while the regions with atoms far away from one another are the regions of tension. Atoms along the grain boundaries have higher energy than the atoms present within the grains. 0 oO 0 o0 OO 0 o o oo o o o o o 00 o 00 00°0° 0 00000000 o 0 o0 o 0 o 0 0000000 o0 0 0 0 0000000 0 o 00 o 00 o 00 o 000000 0 o 0 o 0 o 0 oooo o ooo oOooo 000 00o 0o Oo Grain OO 0o 0o 0 o 0°o00 boundary o 0 o 0 o 0 o 0 o 0 o 0 o 0 o 0o o 0 o 0 o FIGURE 2.12 Schematic diagram of a grain boundary across which grains have different orientation. Near the boundaries of three grains atoms do not have eqilibrium spacing. @Seismicisolation @Seismicisolation
  • 69.
    42 Mechanical Behaviourand Testing of Materials Grain boundaries, in general, can be divided into two classes, namely, low angle grain boundaries and high angle grain boundaries depending on the degree of difference in orientation. A low angle grain boundary (Figure 2.13) can be regarded as an array of dislocations that produces a small difference in orientation between the adjoining lattices. The angular mismatch between the lattices on either side of the boundary in case of a low angle grain boundary is usually low and less than 10°. In case of a high angle grain boundary, the orientation difference between adjoining lattices is large and more than 10°. Within a grain, there may be two regions having small orientation difference on both sides of them. Such boundaries within the grains are known as sub-boundaries. The difference in orientation is usually less than l0 • H b 'L.-1--+--1-----t----t--t--t--+--+---J ii _l_ - ---- -- ----- -- D=b/8 _l_ ___ -- - ------ -- _l_ (a) (b) FIGURE 2.13 A low angle grain boundary with the small angle (0) of misfit: (a) showing the position of crystal boundary, (b) Crystals joined with a wall of edge dislocations. Since 0 is small, so D = b/0. Tilt and twist grain boundaries Two peculiar grain boundaries, namely, tilt boundary and twist boundaries are essentially low angle grain boundaries. Their nomenclature is based on the type of difference in orientation. While the tilt boundaries are the boundaries between adjacent grains having difference in orientation in a manner that each lattice appears to be tilted with respect to other lattices, twist boundaries are the boundaries between adjacent grains having difference in orientation in a manner that each lattice appears to be twisted with respect to other lattices. A low angle grain boundary formed by an array of edge dislocations is referred to as tilt boundary. A twist boundary is a low angle grain boundary that is caused by a set of screw dislocations. The rotation in twist boundary is about an axis normal to the boundary. @Seismicisolation @Seismicisolation
  • 70.
    Crystal Imperfections 43 Twinboundary Some crystalline materials when subjected to shear stresses behave in a typical manner. The part of the crystal undergone deformation develops symmetry with the nondeformed part of the crystal about a plane. The deformed part looks like a mirror image of the nondeformed part. The boundary between these two parts of the crystal is referred to as twin boundary. It is evident from the Figure 2.14 that formation of twin boundary is possible only when an atom moves only Boundary Boundary FIGURE 2.14 Schematic diagram of twin boundaries. The atomic arrangement on one side of a twin boundary is a mirror image of that on the other side. a fraction of the lattice spacing. Twins can be developed either by mechanical working or by heat treatment (annealing). Twins produced by mechanical working are called mechanical twins while the twins produced by heat treatment are called annealing twins. The mechanical working is preferably done at high strain rates and/or at low temperatures. While mechanical twins are commonly observed in hexagonal close packed and body centred cubic materials, annealing twins are commonly observed in face centred cubic materials. Microstructures reveal the presence of twins (Figure 2.15). Twins FIGURE 2.15 Microstructure of cold worked and annealed tin bronze showing twins. @Seismicisolation @Seismicisolation
  • 71.
    44 Mechanical Behaviourand Testing of Materials Stacking faults As described earlier, close packed crystal structure lattices are formed by stacking planes of atoms in some regular arrangement, known as stacking sequence. For example, stacking sequence of close packed atomic planes in face centred cubic crystal is ...ABCABCABC... and that in hexagonal close packed structure is ...ABABAB ... where A, B and C represent close packed planes of atoms (Figure 2.16). Stacking fault, the name given to a crystal imperfection, is an error in the stacking sequence of close packed structure. In case of a face centred cubic crystal, it is possible to have a stacking sequence ABCABABCABC in some region(s) in place of normal stacking sequence. Similarly, a stacking sequence of ABABCABAB can be found in hexagonal close packed crystals. Thus stacking fault in face centred cubic crystals results in stacking sequence of hexagonal close packed crystal structure in a narrow region and stacking fault in hexagonal close packed crystals results in stacking sequence of face centred cubic crystal structure in a narrow region. Therefore, stacking faults can be regarded as planar surface defects caused by faulty stacking sequence at localised regions. Stacking fault arising due to the absence of a plane in the stacking sequence (e.g. in face centred cubic crystal) is referred to as intrinsic stacking fault while the stacking fault arising due to the inclusion of a plane in the stacking sequence (e.g. in hexagonal close packed crystal) is referred to as extrinsic stacking fault. Energy associated with the formation of stacking fault is known as stacking fault energy. In general, stacking-fault energy of extrinsic stacking fault is higher than that of intrinsic stacking fault. A A A C C C B B B A A A C ---------g---------- C B A B A A C C C B B B A A A FIGURE 2.16 Stacking fault in face-centred cubic lattice. The normal stacking sequence of (1 1 1) planes is denoted by ......ABCABC...... Dotted line represent the faulty planar region in which C-layer atoms are missing. As a consequence there is a break in the stacking sequence. The sequence becomes ......ABCAB I ABCA ...... . 2.2.4 Volume Imperfections Volume imperfections are also known as three-dimensional defects. Precipitate particles, voids and blow holes are some common examples of volume defects. Similar to other defects, these defects also break the continuity of the crystal structure lattice. @Seismicisolation @Seismicisolation
  • 72.
    Mechanical Properties 3.1 INTRODUCTION Mechanicalproperties of a material are the characteristics that are exhibited by the material when subjected to externally applied mechanical force. In other words, mechanical properties speak about the response of a material to an applied force. Depending on the nature of applied force, mechanical properties may be divided into two categories, namely, static and dynamic mechanical properties. Tensile strength, stiffness and creep strength are some examples of static properties whereas impact strength and fatigue strength are the examples of dynamic properties. Static mechanical properties are the characteristics of a material displayed under the conditions of steadily applied force whilst dynamic mechanical properties are the characteristics under the conditions of dynamic (fluctuating) loading. Since almost all engineering products are subjected to either static or dynamic loading during service, knowledge of various mechanical properties is highly essential. Mechanical properties not only govern the selection of materials but also determine the ease with which the said material can be formed into desired shapes and sizes by various material's forming processes. Since a material is subjected to varying types of forces during service and forming, basic knowledge about various types of forces is essential to understand the behaviour of material during service. An externally applied force on a material's object tends to deform it. The object offers resistance to any change in its size and/or shape due to external force. The internal resistance offered by the object to external force is popularly known as stress (Figure 3.1). In common practice, the word stress is defined as the ratio of the magnitude of the force applied to the magnitude of the original area of cross-section of the object upon which the force is acting. A material gets deformed when subjected to externally applied force. The extent of deformation may be extremely low, moderate or high depending on the nature of material, magnitude of 45 @Seismicisolation @Seismicisolation
  • 73.
    46 Mechanical Behaviourand Testing of Materials force applied and many other variables. Under all these conditions, material is said to be in strained state. Strain can be explained as the accompanying changes in dimensions of the object under stress. At this stage, it should be clear that the behaviour of materials under the influence of externally applied force has been studied by making certain assumptions about the material under consideration and applied force. It has been assumed that the material of object under the applied force is perfect, homogeneous and isotropic. An object is said to be perfect when the material from which it is made is free from any type of discontinuity, i.e. material is continuous throughout the volume. A homogeneous material shows identical features at each and every point within the mass whilst an isotropic material is one which exhibits similar magnitude of properties in all directions, i.e. its properties do not show Force P Internal force of resistance = oA offered by the body FIGURE 3.1 Illustration of internal resistance offered by the material under an applied force P. This resistance per unit cross-sectional area of the body is expressed as stress. any variation with either direction or orientation. It is worth to mention here that none of the materials produced commercially and shaped by common forming processes fulfils the above stated features. Every material contains voids, discontinuities, segregated zones/regions, phases with different properties, residual stresses at various regions, mixed grain sizes and shapes, dendrites, inclusions and many more flaws. According to another assumption, applied force is uniformly distributed all over the mass and its intensity is similar at every point of cross- sectional area over which it is acting. In the simplest case, the externally applied force may be parallel to the object's major axis. The resultant stress is referred to as axial stress, more popularly as uniaxial stress and is parallel to the said axis. Similarly biaxial and triaxial stresses also act on an object. There are two basic types of stresses, namely, normal stresses and shear stresses. Normal stresses always act in a direction which is perpendicular (normal) to the surface under stress whilst shear stresses act parallel to the stressed surface. Normal stresses may be tensile or compressive in nature (Figure 3.2). When a uniaxial force is applied in a manner that it tends to stretch or elongate the object, it is known as tensile force and the stress developed as a result of this force is referred to as tensile stress. The uniform uniaxial force which tends to compress or shorten the object is called compressive force and the resulting stress is known as compressive stress. All other stresses are either similar to these basic stresses or are combinations of these stresses. For example, torsional stress acting on a twisted shaft is a shear stress whilst a bending stress is a combination of tensile, compressive and shear stresses. Metallic materials when subjected to external forces undergo deformation. Up to a certain magnitude of external force, materials regain their original size and shape after the removal of external force, i.e. deformation is not of permanent nature. Such a characteristic of the materials @Seismicisolation @Seismicisolation
  • 74.
    ,, ,' ' / : ,' Stress --f- ,' )------------ , , , , , , , + (a) Mechanical Properties 47 Stress CJ (b) FIGURE 3.2 Illustration of normal stresses: (a) Tension, (b) Compression. is known as elasticity and the deformation that occurs during the application of force is known as elastic deformation. As the magnitude of applied external load increases, materials deviate from this behaviour. In other words, materials cannot retain their original size and shape on the removal of external force and the deformation, so occurred, is of permanent nature. This characteristic of materials is referred to as plasticity and the deformation is called plastic deformation. Plasticity may be considered as opposite of elasticity. While elasticity is defined as the ability of a material to deform under the influence of external force and to retain its original size and shape when the force is removed, plasticity is defined as the ability of the material to undergo permanent deformation when subjected to external force. During elastic deformation, atoms are displaced from their original positions to such an extent that these occupy their original position on removal of the force. Contrary to it, during plastic deformation atoms occupy new positions and do not return to their original positions on removal of the force. The maximum stress that a material can withstand without plastic deformation is known as elastic limit of the material. Materials which undergo considerable plastic deformation are called ductile materials whilst those which exhibit no or little plastic deformation are called brittle materials. Gold, copper, aluminium, steels and brasses are the examples of ductile materials whereas glass, ceramics, diamond, grey cast iron and white cast iron are the typical examples of brittle materials. 3.2 STATIC MECHANICAL PROPERTIES Characteristic properties of a material studied and measured when it is subjected to a constant or nearly constant external force are referred to as static mechanical properties. Some important static mechanical properties have been described in following paragraphs in brief. Many of these have been described in detail under respective heads. 3.2.1 Tensile Strength There are many engineering applications in which a material is subjected to uniaxial tensile force. Tensile strength tells about the ability of a material to withstand tensile forces without fracture. It may be defined as the maximum stress which a metal can withstand without fracture. @Seismicisolation @Seismicisolation
  • 75.
    48 Mechanical Behaviourand Testing of Materials It is measured as the ratio of maximum uniaxial tensile force that can be sustained by the material to the original cross-sectional area on which tensile force acted. Tensile strength is also known as ultimate tensile strength. Tensile strength is the most extensively used mechanical property. It is easy to determine and reproducible in nature. It is an integral part for nearly all national and international standards related to metals and their alloys. This property is frequently used for characterisation of metallic materials. On the basis of tensile strength, one can get fair idea about some other mechanical properties such as hardness, fatigue strength and formability of the alloy. Since considerable plastic deformation takes place in ductile materials, tensile strength cannot be used as valid design criterion for ductile materials. Contrary to it, tensile strength is used as valid criterion for brittle materials as these materials either do not undergo plastic deformation or exhibit little plastic deformation when subjected to uniaxial tensile forces. Pure metals and solid solutions are single- phase materials. A single-phase material has a definite value of tensile strength that may or may not fulfil the service requirement under given set of conditions. Deforming the material below recrystallisation temperature is known as cold working. Cold working raises the tensile strength. In fact, tensile strength of single-phase materials can only be enhanced by cold working. More the degree of cold working, higher is the tensile strength of the material. The response of cold working on enhancing tensile strength differs from material to material. However, enhancement of tensile strength by cold working is not much preferred as it (cold working) impairs many physical properties and other mechanical properties. Effect of cold working on tensile strength of some materials has been shown in Figure 3.3. ro a. ~ .c 300 i,-----+---+----+-----i O> C ~ ti ~ 200 1---+----:---;:-;,ro~7-1'=-----1 C ~ 0 ~-~--~-~--~ 0 20 40 60 80 Per cent cold work FIGURE 3.3 Effect of degree of cold work on tensile strength. A commonly used method to enhance tensile strength is by alloying, i.e. introducing one or more elements into the metal under consideration. Almost all alloys exhibit increased tensile strength than their respective base metals. It is due to the strains developed in the crystal lattice as a result of difference in atomic sizes of parent metal and alloying elements. Larger the difference in the atomic sizes of base and solute atoms, more is the tensile strength. A single- phase alloy has lower tensile strength than the dual-phase or multi-phase alloy of same base metal. Interstitial solid solutions, in general, have much higher tensile strength levels than substitutional solid solutions. Similarly, an ordered substitutional solid solution, in general, has better tensile strength than the corresponding random substitutional solid solution. @Seismicisolation @Seismicisolation
  • 76.
    Mechanical Properties 49 Tensilestrength, in general, decreases with increase in temperature and increases with decreasing temperature. In general, finer the grain size of a material, better is the tensile strength. For a given composition, cast material, in comparison to wrought alloy, possesses high tensile strength. 3.2.2 Compressive Strength Similar to tensile strength, compressive strength is the ability of a material to withstand uniaxial compressive force without fracture and is measured as the ratio of maximum uniaxial compressive force that can be sustained by the material to the original cross-sectional area. Compressive strength, unlike tensile strength, is not an extensively used mechanical property for ductile metallic materials. It is required seldom under some specific service conditions. For most of the wrought materials, compressive strength is sufficiently close to tensile strength. However, wrought materials containing elongated nonmetallic inclusions have poor compressive strength. Cast materials usually have higher compressive strength than their tensile strength, i.e. cast materials are stronger in compression than in tension. Most of the materials which are brittle under tensile force have very good compressive strength. A simple example is grey cast iron. 3.2.3 Ductility As stated earlier, a material undergoes plastic deformation when subjected to external force. Ductility may be defined as the ability of a material to undergo plastic deformation without fracture when subjected to uniaxial tensile force. Ductility, in fact, measures the extent of deformation that a material can withstand without rupture. Some minimum ductility is always desired in structural components. Ductility provides some plastic deformation prior to the fracture of the material and thus avoids the sudden failure which is highly undesirable from technical as well as economical point of view. In fact, by virtue of this property (ductility), material is able to distribute the localised stresses. Such a distribution of localised stresses is responsible for the complete absence or marginal presence of stress concentration at defects or flaws which are the main source of weakness and/or discontinuities in the material. Ductility since long has been defined as the property of a material which enables it to be drawn into thin wire. This property is required not only in wire drawing but also in tube drawing, rolling, forging and similar operations. Almost all face centred cubic metals and their alloys exhibit good ductility at room temperature and hence possess good formability. Contrary to it, hexagonal close packed metals and their alloys which exhibit very poor ductility at room temperature can only be formed at elevated temperatures. Most of the body centred cubic metals and their alloys have moderate ductility at room temperature and therefore can be formed and shaped both at room and elevated temperatures. Pure metals and single-phase alloys usually possess better ductility than the dual-phase or multi-phase alloys. However, for some hexagonal close packed metals, ductility increases by alloying. Substitutional solid solutions exhibit better ductility than the interstitial solid solutions. Ductility of an alloy is largely governed not only by the size, shape and distribution of phase(s) @Seismicisolation @Seismicisolation
  • 77.
    50 Mechanical Behaviourand Testing of Materials but also on the hardness and brittleness of phase(s). Cast materials, in general, show poor ductility as compared to wrought materials. Finer the grain size of a material, better is the ductility of the material. Ductility of metallic materials, in general, decreases with decrease in temperature. Face centred cubic metals and their alloys are exception to this generalised statement as these materials retain good ductility even at sub-zero temperatures. This is why most of the materials for low temperature applications are based on face centred cubic metals. However, all metallic materials show improvement in ductility at elevated temperatures, i.e. ductility increases with increase in temperature. Ductility usually is inversely related to tensile strength in the sense that one (ductility/ tensile strength) increases at the expense of another, i.e. with decrease in second one (tensile strength/ductility). Exceptions to this statement are the grain refined alloys which show good combination of tensile strength and ductility with decrease in grain size. 3.2.4 Malleability A material undergoes plastic deformation when subjected to compressive force. This plastic deformation is similar to one that is caused by tensile force but is different in the sense that during this deformation, material gets shorten and does not elongate as when subjected to tensile force. Similar to ductility, malleability may be defined as the ability of a material to undergo plastic deformation without rupture when subjected to compressive force. In fact, concept of malleability is similar to that of ductility except that the force applied is compressive rather than tensile in nature. This property is required for processes such as forging, rolling and rivet heading. More popularly for a fabricator, malleability is that property of a material which enables it to be deformed into thin sheet. Materials that show high ductility such as face centred cubic metals and their alloys also exhibit high malleability. However, materials which possess high malleability may or may not exhibit high ductility. For example, gold and silver possess both excellent ductility and malleability while lead which exhibits high malleability shows poor ductility. Similar to ductility, malleability of a material gets enhanced by raising the temperature. This is the reason why metals and alloys are frequently hot-worked, i.e. hot-forged, hot-rolled, hot-extruded etc. 3.2.5 Stiffness When a beam, bar or rod is subjected to external force, it bends in a direction that is parallel to the direction of applied force (Figure 3.4). The magnitude of deflection so produced is a measure of material's stiffness. Less the deflection of the object, better is its stiffness. In fact, stiffness tells about the material's ability against deflection under an applied force. Stiffness can be defined as the resistance of a material to elastic deflection. Stiffness of a material is largely dependent on its shape. A stiff material essentially has a high modulus of elasticity. Since for a material modulus of elasticity is almost constant, stiffness of a material can only be enhanced by increasing material's second moment of area as magnitude of deflection is inversely proportional to material's second moment of area. When @Seismicisolation @Seismicisolation
  • 78.
    Mechanical Properties 51 Support Bar ;+-----~--=--=-:.::_-·--- ------------- _ ______J}Defle,tioe FIGURE 3.4 Bending of a rod under the application of an external load W. Note that deflection occurs in the direction of loading. tensile, compressive or bending force is involved, Young's modulus determines the stiffness while under conditions of shear or torsional force, modulus of rigidity replaces Young's modulus and determines the stiffness of the material. A stiff material need not to be necessarily strong. For example, steel deflects more in comparison to cast iron. Steel deflects further whereas cast iron breaks with an increase in force. 3.2.6 Toughness In simple words, toughness of a material represents its resistance against fracture. It can be defined as that property of a material which enables it to absorb energy and deform plastically before fracture. The amount of energy absorbed measures the toughness of the material under consideration. Toughness is a complex property as it depends on strength and ductility of the material. Hence, a material having high tensile strength coupled with good ductility is said to be a tough material. A material, having high tensile strength but poor ductility or low tensile strength but good ductility, does not exhibit good toughness. Any factor which will decrease ductility of the material significantly will also reduce toughness of the material. One such factor is temperature. Thus toughness of almost all materials, except those with face centred cubic crystal structures, gets reduced on lowering temperature. Similarly, any parameter that will decrease tensile strength significantly will also reduce toughness. A material that does not undergo plastic deformation lacks toughness. The toughness of a material can be enhanced by alloying. However, for an alloy system, maximum toughness is observed only over a narrow range of composition. This is obvious as maximum toughness is a result of optimum combination of tensile strength and ductility which can only be attained either at a fixed composition or over a narrow range of composition. A cast material has lower toughness than the corresponding wrought material. A decrease in grain size results in a considerable improvement in the toughness of the material. As a group of metallic materials, alloys of face centred cubic metals exhibit better toughness than the alloys of body centred cubic metals. Alloys of hexagonal close packed metals are generally not used for applications demanding good toughness. Utmost care is to be taken while selecting materials based on body centred cubic metals as these materials can only be successfully used above a particular temperature known as ductile-to-brittle transition temperature. This temperature @Seismicisolation @Seismicisolation
  • 79.
    52 Mechanical Behaviourand Testing of Materials varies from material to material. Fortunately this temperature, in general, is less than the room temperature. 3.2.7 Creep Strength All materials undergo permanent deformation under a constant stress. Such a deformation which is time dependent is referred to as creep. Creep occurs at all temperatures. Hence creep is a time dependent but temperature independent phenomenon. The need of such an emphasis on temperature parameter arises as significant creep, for most of the metals and alloys, takes place at elevated temperatures which gives a false impression that creep is a temperature dependent phenomenon. Creep strength can be defined as the ability of a material to resist the progressive change in its dimensions over an extended period of time under a constant load. Creep strength is usually measured in term of a constant nominal stress that will produce a specified amount of strain in the given material in a given time at constant temperature. High stresses and high temperatures lower the creep strength. A knowledge of creep strength is essential as creep occurs at much lower stress than the tensile strength. The problem of creep is more severe with low melting point metals and their alloys. Most of the ferrous alloys resist creep up to 698 K (425°C) and for majority of applications, service temperature does not exceed this temperature, i.e. 698 K (425°C). Since creep occurs due to sliding of grain boundaries, any process that will check the sliding of grain boundaries will enhance the material's resistance to creep. Therefore, creep strength of a material can be improved by a fine dispersion of highly stable second-phase particles within the grains or by a discontinuous precipitation of stable particles at the grain boundaries. Creep strength of a material can also be improved by coarsening of grains. This practice is usually not adopted as a material with coarse grain structure has inferior mechanical properties such as strength and ductility. A cast material usually has better creep strength than the wrought material. 3.2.8 Hardness Hardness is one of the oldest properties that was not only known to the primitive man but also was used for one or the other purpose. This is, most probably, the only property that has been defined in various ways. For example, hardness can be defined as that property of the material which enables it to resist abrasion, wear, plastic deformation, machining or cutting. To a metallurgist or a material's engineer, hardness is defined as the resistance of a material to plastic deformation by indentation. Hardness of pure metals is less than their respective alloys. Dual-phase or multi-phase alloys have better hardness than the single phase alloys. Interstitial solid solutions are harder than the substitutional solid solutions. Hardness of a material can be enhanced considerably by heat treatment or cold working. However, hardness of a material decreases with increase in temperature. Hardness, similar to tensile strength, is most extensively measured and used property for metals and alloys. The hardness value of a material can be used to a good approximation in estimating various properties such as tensile strength, ductility, wear resistance, fatigue strength, machinability and formability. Hardness measurement is an important tool for inspecting and @Seismicisolation @Seismicisolation
  • 80.
    Mechanical Properties 53 controllingquality of materials. In fact, tensile strength of a material can be obtained by multiplying hardness value by a number (multiplying factor). 3.3 DYNAMIC MECHANICAL PROPERTIES It is important to have a good knowledge about the dynamic mechanical properties because under dynamic stresses, material's reliability decreases sharply. Static properties, therefore, usually fail to describe the behaviour of material under service conditions involving dynamic loading. A high degree of uncertainty exists with regard to service life of the object. Some important dynamic mechanical properties have been described in following paragraphs in brief as these have been described in detail in various chapters separately. 3.3.1 Impact Strength In many metal working processes, a material is subjected to sudden or impact loading. A very common example is related to shaping of a material by hammering by a blacksmith. A simple technical example explaining impact loading is drop forging which is used for making crank shafts, connecting rods, etc. It has been observed that a material, which exhibits good toughness under static loading, does not essentially behave in similar manner under dynamic loading. In fact, most of the materials behave like brittle materials. Impact strength is the ability of a material to sustain impact forces without fracture. Impact strength is also referred to as impact toughness as impact strength is a measure of toughness under dynamic loading. In general, it is measured by subjecting a specially designed (notched) specimen to the impact loading. This is why it is also known as notch-toughness. Temperature, heat treatment, grain size and chemical composition are some important parameters that govern the impact strength of a material. Impact strength decreases with decrease in temperature in BCC and HCP materials. 3.3.2 Fatigue Strength Failure of a material takes place at much lower stress as compared to its tensile strength when it is subjected to repetitive or fluctuating force. Many components such as crankshafts, gears, connecting rods, springs and blades of power driven machines are subjected to cyclic stresses. Fatigue strength of a material can be defined as its ability to resist a fluctuating or repetitive stress. There are some materials which sustain stress up to certain level indefinitely. The maximum stress that a material can withstand without fatigue failure, regardless of the number of stress cycles is known as the endurance limit or fatigue limit. For such materials, fatigue strength is represented by a stress usually known as limiting stress. Limiting stress may be defined as that stress which can be sustained by a material for a specified number of stress cycles, usually equal to or more than 107 cycles. Since fatigue strength is roughly half of the tensile strength for a given material, any process or parameter that will enhance the tensile strength will obviously improve the fatigue strength. Fatigue strength is, most probably, the only mechanical property that is highly dependent on surface smoothness. Higher the surface smoothness of an object, higher is the fatigue strength. Shot peening and case hardening are the important treatments that enhance the @Seismicisolation @Seismicisolation
  • 81.
    54 Mechanical Behaviourand Testing of Materials fatigue strength considerably. Cast materials have poor fatigue strength than the wrought materials. A clean material, i.e. a material free from inclusions and impurities exhibits better fatigue strength. 3.3.3 Hardness This property has already been described under static mechanical properties. In some cases, hardness is measured under the conditions of dynamic loading. This is why this property has also been considered under the dynamic mechanical properties. This hardness is popularly known as dynamic hardness or rebound hardness and is related to the height of rebound or the energy of impact when an indenter is dropped on the surface of the material under consideration under specific set of conditions. 3.4 STRUCTURE-MECHANICAL PROPERTY RELATIONSHIP Microstructure of a material is an important factor controlling the mechanical properties. In fact, all mechanical properties are structure-sensitive, i.e. their magnitude can be varied to a significant extent by altering the microstructure. This is why two objects made from the same material, possess different mechanical properties. Various microstructures have been discussed in succeeding paragraphs. Pure metals and solid solutions have only one phase and are called single-phase materials. The microstructure of such a material consists of grains of the phase and grain boundaries that separate various grains. Since only one phase is present in such materials over the entire range of temperature, much change in the microstructure is not possible for such alloys by heat treatment. This is the reason why these materials exhibit restricted mechanical properties. Though the single-phase alloys have better mechanical properties than their respective pure metals, the extent of improvement is, in general, not significant. There may be some exceptions to this statement. Such alloys are selected for various applications on the basis of their certain characteristics like good electrical and thermal conductivity, some magnetic properties, corrosion resistance, weldability and formability rather than on the basis of their mechanical properties. Mechanical properties of pure metals and single-phase alloys can be enhanced significantly by cold working, thermomechanical treatment and grain refining. Cold working raises tensile strength and hardness to a considerable extent but at the expenses of ductility and toughness. However, an optimum combination of mechanical properties can be attained by controlling cold work-anneal cycle(s), i.e. by cold working to desired extent followed by heating (annealing) at predecided temperature for predetermined time. This process of cold working and heating may be repeated several times. Dual-phase alloys and multi-phase alloys are extensively used for most of the engineering applications largely because of the wide range of mechanical properties which are available with these materials. For the sake of simplicity in understanding, microstructures of only dual- phase alloys are being discussed here in this section. The same concept may be further extended for multi-phase alloys. In a dual-phase alloy, microstructure consists of two phases. The major phase, i.e. the phase in large proportion is usually referred to as matrix phase or sometimes simply matrix. @Seismicisolation @Seismicisolation
  • 82.
    Mechanical Properties 55 Matrixphase is usually a solid solution. For example, ferrite, which is a solid solution of carbon and alloying elements in alpha-iron, is matrix phase in steels and cast irons. Pure metals also constitute matrix phase. Some typical examples include thoria dispersed nickel (TD-Nickel), thoria dispersed tungsten and alumina dispersed aluminium. Matrix phase is, in general, a continuous phase. Improvement in mechanical properties of dual-phase alloys is observed only when second phase is harder than the matrix phase. If second phase is relatively soft than the matrix phase, mechanical properties are impaired remarkably. The extent of strengthening by second phase is a function of hardness and volume fraction of the second phase. It is important to mention here that dual-phase alloys are of two types: In one type, second phase may be present in the form of patches or as massive plates while in second type, the second phase may be present in the form of particles. The size, shape and volume fraction of second phase mainly govern the mechanical properties of the dual-phase alloy in the former case. However, in addition to these parameters, it is the distribution of second phase particles that largely governs the mechanical properties of the dual-phase alloy of second type. There exists a high probability that the second phase may segregate at grain boundaries during solidification or phase transformation. When the second phase is present as a continuous network at grain boundaries, it imparts brittleness in the material. A material with such a microstructure always exhibits poor ductility and toughness. The harmful effect due to such a second phase increases with increase in its amount. The extent of evil effect of second phase is relatively less if the second phase is a solid solution or is a relatively less hard and brittle phase. It is possible to eliminate this continuous network. The microstructure, so obtained, exhibits better ductility and toughness. Continuous network of second phase at grain boundaries can be eliminated either by rapid cooling when it is caused during solidification or by heat treating when it is caused by phase transformation. For example, continuous network of cementite at grain boundaries in annealed hypereutectoid steel can be completely eliminated by normalizing the steel. It has been observed that only some and not all phases have a strong tendency to precipitate or segregate at grain boundaries. This tendency can be either reduced considerably or eliminated by the addition of some alloying element which either has a tendency to partition to this phase or is capable to change the composition completely. A material with discontinuous network of second phase at grain boundaries shows somewhat better properties than with that having continuous network of second phase. However, both types of materials are usually not desirable for structural applications. A microstructure consisting of second phase particles along the grain boundaries is better than the microstructure having second phase at grain boundaries. Considerable improvement in ductility and toughness is observed with such a microstructure. A still better microstructure is one which has second phase distributed within the matrix and not at or along the grain boundaries. Such a microstructure (with distributed second phase) shows better properties specially tensile strength, ductility and toughness. However, scope for further improvement exists by altering distribution of second phase. From the point of view of distribution, a best microstructure should consist uniform distribution of second phase throughout the matrix. As regard to size, coarse particles of second phase adversely affect almost all mechanical properties. Since finer particles favour better mechanical properties, it is always desirable to control phase transformation or solidification process in a manner to get finer grains. @Seismicisolation @Seismicisolation
  • 83.
    56 Mechanical Behaviourand Testing of Materials Shape of the second phase particles control the mechanical properties significantly. If the second phase is in the form of coarse plates and is present within the matrix, tensile strength as well as toughness are reduced significantly. In such microstructures, a crack within the matrix phase can propagate without any hindrance along the length of the plate. Crack may propagate through the brittle phase. Therefore, such microstructures are not preferred for engineering applications demanding either higher static stresses or dynamic stresses. Finer plates embedded within the grains substantially improve the tensile strength but ductility, and toughness remain at low levels. Extremely fine platelets that are uniformly distributed improve the tensile strength considerably. Such a microstructure has reasonably good ductility and toughness. Second phase in the form of flakes or needles is highly deleterious with respect to mechanical properties. Ends of flakes/needles act as internal notches and are the regions of discontinuities in the matrix. Such a microstructure is inherently weak and brittle in nature. Ductility and toughness are practically zero. However, compressive strength of such a microstructure is much greater than the tensile strength. Relatively coarse and widely spaced second phase particles have only a minor effect on the tensile strength. However, ductility and toughness are impaired but not to the extent as observed in microstructures consisting of second phase in the form of coarse plates or flakes/ needles. Spherical shaped second phase gives the best mechanical properties. Finer the spheroids, better is the tensile strength, fatigue strength, hardness and toughness. Under some specific circumstances, a phase precipitates/grows in a manner that certain crystallographic planes and directions of this phase are parallel to preferred crystallographic planes and directions in the matrix/parent phase. Such a microstructure is referred to as Widmanstatten structure and can be easily recognised due to typical appearance of the precipitate phase. Precipitate phase usually grows in the form of plates, needles, rods and cubes. Rapid cooling of a coarse grained phase, usually a solid solution which undergoes phase transformation during cooling, provides favourable conditions for the formation of Widmanstatten structure. A material with such a microstructure is very weak and highly brittle, i.e. material has low tensile strength and very poor toughness. Such a microstructure, therefore, is not desired and is refined either by hot working or by heat treatment. Refined microstructure provides good tensile strength and toughness. Thus for majority of engineering applications at room temperature and at moderately elevated temperatures, microstructures comprising of two or more phases are preferred. Optimum combination of properties is obtained when second phase particles are finely distributed in the form of tiny spheroids in a ductile and tough fine-grained matrix. @Seismicisolation @Seismicisolation
  • 84.
    Dislocation Theory 4.1 INTRODUCTION Dislocations,as discussed in Chapter 2, Section 2.2.3, are always present in all crystalline materials and play a very important role in plastic deformation of metals. The overall concentration of dislocation lines present in a material is expressed by the term dislocation density. Dislocation density is defined as the total length of dislocation lines in a unit volume and in terms of unit it is expressed as m/m3. The dislocation density is also expressed as number of lines per square metre, i.e. lines/m2• A material is very strong when the density of dislocations is negligibly small. The strength initially decreases rapidly up to a certain value and again increases with increase in dislocation density. Figure 4.1, which shows the variation of strength with dislocation density, further makes the above statement more clear. It is evident from this figure that above a certain value of dislocation density the strength of the material increases after passing through a minimum hollow and attains a steady value at a density of about 1016 per square metre. The curve in this figure shows the minimum strength corresponds to a certain critical dislocation density of about 1010 to 1012 per square metre. This value refers to that for annealed metal crystals. The yield strength for annealed metals is about G/105 to G/104, where G is the shear modulus of the metal. If the number of dislocations is less than the critical value then any reduction in their number drastically raises the resistance of a metal against plastic deformation and the strength rapidly approaches the theoretical value. Figure 4.2 shows a dislocation line AB lying in the slip plane (i.e. the plane of paper). The slip is considered to be taking place in the direction of arrow. All the atoms above the area P have been slipped one atomic distance in the direction of slip. The atoms above the surface Q have not yet slipped. Thus, AB is the boundary separating the slipped and unslipped regions on a surface and regarded as dislocation line. As the dislocation moves, slip occurs in the area 57 @Seismicisolation @Seismicisolation
  • 85.
    58 Mechanical Behaviourand Testing of Materials .t:: °' C ~ in 0 1010 1012 1016 Dislocation density, m-2 FIGURE 4.1 Effect of dislocation density on strength: 1. Theoretical strength, 2. Strength of whiskers, 3. Pure unhardened metals, and 4. Alloys strengthened by alloying, work hardening, heat treatment and thermomechanical treatment. A p Q B FIGURE 4.2 A dislocation in a slip plane. on which it moves. A moving dislocation, if not encountering any obstacle, can move under the application of a relatively small force. A real crystal which always contains a large number of dislocations (on the order of 1010 to 1012 per square metre in the annealed state) can easily be deformed and therefore it is considerably weaker than a perfect (or an ideal) crystal. Thus, dislocations make a crystal weak. On the one hand, dislocations are responsible for weakening a crystal at the same time they strengthen it by interacting with either themselves or with some other imperfections which act as obstacles in their motion. Thus as the dislocation density increases above 1012 to 1016 per square metre material becomes strengthened. @Seismicisolation @Seismicisolation
  • 86.
    Dislocation Theory 59 4.2THE SHEAR STRENGTH OF IDEAL AND REAL CRYSTALS In a perfect crystal all the atoms in their equilibrium positions possess the minimum energy. Internal energy of the crystal rises if these atoms are displaced slightly from their mean position with the aid of external energy. The external energy may be in the form of thermal energy or mechanical work. Initially when no atomic displacement has occurred shear stress is zero. Shear stress is also zero when atoms in a row are displaced from their one equilibrium position to the next. In between these limiting positions, shear stress as well as potential energy of the system vary with distance as shown in Figure 4.3. When a shear stress (r) is applied on a plane within a crystal, it causes a displacement (x) of atoms about their original positions (Figure 4.3). If the displacement is small the strain produced is elastic in nature. As the displacement increases, the potential energy rises and the shear stress increases rapidly. When the atoms are displaced one quarter of the inter-atomic spacing (b), the shear stress is at maximum and it decreases to zero when the displacement is caused half-way between the atoms below. For instance, atom l is displaced midway between the atoms 2 and 4. At this point the potential energy rises to maximum and the atom l is in metastable equilibrium state with respect to the two atoms. At this point, the atom l has equal tendency to take itself either over atom 4 or over its original neighbour atom 2. Therefore, the shear stress required to cause ~ Cl) ctl Cl) (I) (I) .c ~ (/) iii cii::,. :.;::; :::,:. C Ol (I)~ - (I) 0 C 0. (I) ~~---,-~-- Shear stress, r b/4 b/4 b/4 b/4 FIGURE 4.3 Variation of shear stress and potential energy as a function of atomic displacement. Here a is the interplanar spacing and b is the interatomic spacing in the planes. Open circles represent atoms. @Seismicisolation @Seismicisolation
  • 87.
    60 Mechanical Behaviourand Testing of Materials displacement in either direction is zero. If under the influence of shear stress, the atom 1 moves towards the next equilibrium position, i.e. over the atom 4, the slope of the potential energy curve becomes negative. The stress is also negative during this period because a stress in opposite direction is needed to prevent the top plane from sliding into next equilibrium position after the atoms have crossed the midway positions. Thus shear stress is a function of the displacement and can be written as: . 2 X 1: =1:m sin n- b (4.1) where, rm is the maximum shear stress corresponding to the amplitude of the sine wave and b is the period. For small values of displacement, Hooks law is valid, so one can write, X r =Gy=G- a (4.2) where a is the inter-planar spacing (Figure 4.3). For small values of xlb, Eq. 4.1 can be written as: From Eqs. (4.2) and (4.3), For many metals, b = a, then Gb 1: =-- m 2na G G 1: =-::::- m 2n 6 (4.3) (4.4) (4.5) 1:m is the maximum shear stress required for plastic deformation to occur in a perfect crystal. In this case the plastic deformation involves sliding of one atomic plane (corresponding to the row containing the atoms 1, 3, 5 and so on in Figure 4.3) over another (corresponding to the row with atoms 2, 4, 6 and so on) as a unit. The process requires large magnitude of force to simultaneously break all the atomic bonds across the slip plane. Thus, 1:m is the theoretical shear strength of a perfect crystal. Since the shear modulus for majority of ductile metals lie in the range of 104 to 105 MPa, accordingly the theoretical shear strength of a perfect crystal should lie in the range of 2000 to 20000 MPa. However, the observed values of shear stress required to initiate plastic deformation are considerably less than these values. In other words, real crystals deform at a much lower value of shear stress than the theoretical values calculated for an ideal crystal. This discrepancy between the theoretical and observed values of shear stress is found to be due to the presence of defects, in particular, the dislocations exist in real crystals. 4.3 GEOMETRY OF DISLOCATIONS It is generally believed that dislocations are generated mainly when a crystal undergoes slip under shear stress. However, dislocations may also be produced during solidification of a metal, @Seismicisolation @Seismicisolation
  • 88.
    Dislocation Theory 61 dueto impurity atoms or by thermal vibrations. Figure 4.4 illustrates the introduction of a dislocation in a crystal undergoing shear when subjected to a sufficiently high shear stress. As shear proceeds, the unit cells of the upper part of the crystal are pushed ahead one full step where they again match or register with most of the cells in the lower part of the crystal. The line of mismatch D which lies between the slipped and unslipped regions is called the dislocation line. If the shear stress continues, the dislocation line expands through the crystal (as indicated by the arrows in Figure 4.4). This results in plastic deformation of the crystal. The dislocation line D has two parts at ends A and B. At A, the segment of the dislocation line is parallel to the Burgers vector b (defined later on) and is called screw dislocation (Figure 4.4). The small element of this dislolcation line at B is perpendicular to the Burgers vector and is called edge dislocation. The tangent at any point on the rest portion of the dislocation line can be resolved into edge and screw components, i.e. the rest portion of the dislocation line in mixed in character. Edge and screw dislocations for the sake of simplicity are described separately in Sections 4.3. l and 4.3.2, respectively. Crystal--_..,,. Screw dislocation FIGURE 4.4 The dislocation line D produced when the crystal undergoes plastic shear. The dislocation line at A is screw in nature whereas it is edge in character at B. r is shear stress. 4.3.1 Edge Dislocation Consider a crystal undergoing shear in the plane ABCD in the direction of the vector b involving the area AFED as shown in Figure 4.5. The atomic planes on both sides from the slip plane AFED (i.e. top and bottom) are displaced with respect to one another by the distance b @Seismicisolation @Seismicisolation
  • 89.
    62 Mechanical Behaviourand Testing of Materials , , , , , , , , ' ' :c E ,1----r - / ;· ,' / ,' ;· I / I - r b D b - - r Direction of dislocation motion FIGURE 4.5 Shear stress r, produced an edge dislocation FE in the crystal. in the slip direction. The boundary FE separating the area AFED (where slip has occurred), and the area FBCE (where slip is yet to occur), called an edge dislocation and the vector b is termed as Burgers vector. A Burgers vector represents the extent of slip (or plastic deformation) that has occurred in the area AFED (in the example considered). In other words, it represents the magnitude and direction of slip. Figure 4.6 shows the arrangement of atoms in a plane perpendicular to the dislocation line. As a result of the displacement that has occurred over the area AFED (Figure 4.5), the upper part of the crystal contains one atomic plane (plane PM) more than the lower (Figure 4.6). As Region of Region of tension N FIGURE 4.6 A positive edge dislocation. MNQP is the additional plane of atoms created and the edge PQ is the dislocation line around which distortion is maximum. @Seismicisolation @Seismicisolation
  • 90.
    Dislocation Theory 63 aresult the atomic row l lying above the shear plane contains one atom more than the row 2 below this plane. The interatomic distances in the upper row near the point P (the dislocation centre) will accordingly be slightly shorter than the normal value (i.e. the lattice is contracted) while the interatomic distances in the lower row near the point P will be slightly longer (i.e. the lattice is expanded). Thus, a feature of the edge dislocation is the existence of an 'additional' half plane PM of atoms in some part of the crystal. Below the edge of this plane the bonds are broken. This edge is termed as dislocation line. The process of formation of such dislocation line may be thought as that of pulling the lattice apart and inserting an additional atomic plane in it. Such a plane is termed as extra half plane. If, the extra half plane lies above the shear plane it is called a positive edge dislocation and is denoted as '.l'. If, on the other hand, the extra half plane of atoms lies below the shear plane the dislocation is termed as negative edge dislocation and is denoted as 'T' . In these symbols the single vertical leg represents the direction of the extra half plane and the horizontal line shows the horizontal plane containing slip direction. It is only a convention, because a negative edge dislocation can be converted to a positive edge dislocation by just turning over the crystal. 4.3.2 Screw Dislocation Consider a crystal in which an incomplete unit shift has been produced in the direction of the vector b over the area ABCD as shown in Figure 4.7 (i.e. the upper part has moved in relation to the lower one). AD is the boundary of the area that experienced the shift. The line AD which separates the slipped (i.e. the region right of AD) and unslipped regions (i.e. the region left of AD) is known as screw dislocation line. The vector b is called the Burgers vector. Thus the dislocation line is parallel to the Burgers vector and by definition this must be a screw dislocation. Consider the trace of a circuit around the dislocation line, on the front face of the crystal shown in Figure 4.8(a). Starting at a and completing a clockwise circuit and arrive at e, one plane ahead of that containing a. In making this circuit the path traced is that of a right D ,,,---- -- C , , , , ,, , ' I ~--- -- }- --- IL _____ _ , , , , A --- Direction of dislocation motion FIGURE 4.7 The screw dislocation AD is produced in the crystal under an applied shear stress r. handed screw. The atom a moves towards the atoms b, c, d, e, etc. along a spiral path, as shown in Figure 4.8(b). Every time a circuit is made around the dislocation line, the end point is displaced one atomic distance parallel to the slip direction in the lattice. A clockwise circuit results in the plastic displacement in the forward direction by one lattice vector. The screw dislocation in which the atomic displacement occurs in the forward direction is called clockwise or positive screw dislocation. This is analogous to a screw when driven in the clockwise direction, moves forward. If, the circuit around a screw dislocation is traced in the @Seismicisolation @Seismicisolation
  • 91.
    64 Mechanical Behaviourand Testing of Materials Slipped t_ _ ,, Slip plane ! Unslipped I - Unslipped : Slipped - (a) b (b) FIGURE 4.8 Creation of a screw dislocation: (a) Arrangement of atoms in a screw dislocation, (b) Atom a moves towards atoms b, c, d, e, etc. constituting the screw dislocation along a spiral path. counterclockwise direction, the plastic shift occurs in the reverse direction. Such a screw dislocation is termed as counterclockwise or negative screw dislocation. This is analogous to a screw driven out from an object. A screw dislocation can also be viewed as forming the axis of a helical ramp that runs through the crystal. A comparison of Figure 4.5 and Figure 4.7, indicates that in contrast to the edge dislocation, which is perpendicular to the Burgers vector, b, the screw dislocation is parallel to it. The motion of edge dislocation occurs in the direction of Burgers vector b, whereas the motion of screw dislocation occurs in the direction perpendicular to it. 4.4 BURGERS VECTOR, BURGERS CIRCUIT AND DISLOCATION LOOP Burgers vector b is one of the most important properties of a dislocation. It is a measure of the atomic displacement associated with its motion. That is, it represents the magnitude and direction of slip or plastic deformation. This can be obtained by making an atom to atom rectangular circuit around the dislocation. Figure 4.9 shows a circuit made in the clockwise direction around the dislocation. It has an equal number of atomic steps on parallel sides such that the start and end points must coincide if it does not surround a dislocation [Figure 4.9(a)]. @Seismicisolation @Seismicisolation
  • 92.
    Dislocation Theory 65 End (a)(b) Slip _____ --~-~-- __ - - ~ ~ plane t---+---+---+---+---+--------< Slip step (c) FIGURE 4.9 Illustration of Burgers circuit (indicated by long arrows) and Burgers vector, b (indicated by short arrow): (a) Burgers circuit closes upon itself, (b) Burgers circuit around a dislocation, therefore does not close, and (c) Creation of a slip step as the dislocation moves through and arrives to the surface of the crystal. If, on the other hand, a similar circuit is constructed around a region of material that contains a dislocation, the circuit does not close upon itself, i.e. the start and end points do not coincide [Figure 4.9(b)]. Such a circuit is commonly called Burgers circuit. The vector connecting the end to start point is called the Burgers vector, b whose magnitude is equal to one interatomic distance, i.e. from one equilibrium atom position to another. This magnitude of b must be equal to a slip step created after the dislocation has moved and arrived to the surface as shown in Figure 4.9(c). Thus b is a lattice translation vector and its magnitude is equal to one lattice spacing. This is the smallest amount of slip which leads to the final configuration in the crystal same as the initial one. Dislocations in real crystals are rarely straight lines and rarely lie in a single plane. They generally exist in the form of a curve (if it extends to the surface as shown in Figure 4.4) or a loop located within the crystal (Figure 4.10). The loop has the same Burgers vector at all positions but its character (i.e. edge, screw or mixed) changes continuously along the loop. The direction of the dislocation line at any given point is described by a unit tangent vector t, which is parallel to the line and must be continuous along the dislocation loop, that is, it will have @Seismicisolation @Seismicisolation
  • 93.
    66 Mechanical Behaviourand Testing of Materials Positive edge dislocation 1 2 ~ (a) l_ 1 1 t~ Slipped b (b) b Positive screw dislocation Unslipped 1 5 T Negative edge dislocation ~6 Negative screw -------+-- dislocation FIGURE 4.10 Dislocation loop within a crystal. At t1 and t5 the dislocation segments are edge in character while at t3 and t7 the dislocation segments are screw in character. At t2 , t4 , t6 and t8 , the line segments are mixed in edge and screw components. opposite directions on opposite sides of the loop. Assigning a clockwise or anti-clockwise direction to the unit tangent vector is purely arbitrary. This sometimes results in an ambiguity of plus or minus sign. A dislocation loop having the same orientation at all points can also form as shown in Figure 4.1 l(a). Such a dislocation can form when vacancies are clustered in the form of a disc on a close packed plane as illustrated in Figures 4.11(b) and (c). Figure 4.11(c) shows that vacancies are clustered in a portion of a close packed plane (l l l) in the stacking sequence in a FCC crystal lattice. As a consequence the atoms in the planes immediately above and below Vacancies are Vacancies clustered here c ~ C 1 r--"t----, B :=:;;::= A l--------~ B C ~ !f[n 1] B C B A A A (a) (b) (c) FIGURE 4.11 Formation of dislocation loop by collection of vacancies on a close packed-plane A. @Seismicisolation @Seismicisolation
  • 94.
    Dislocation Theory 67 aredisplaced towards the vacancy disc. Here the Burgers vector is perpendicular to the plane of the loop so that the dislocation has pure edge character over its entire length. This dislocation loop is called prismatic loop. From the above, the following conclusions can be drawn about the features of dislocations: (i) A dislocation can be characterised by the relationship between its Burgers vector and the tangent vector. For edge dislocations, the Burgers vector b is perpendicular to the tangent vector t, whereas for screw dislocations, the Burgers vector is parallel to the tangent vector and for mixed dislocation the Burgers vector and the tangent vector are oriented at an angle between 0° and 90°. (ii) The plane containing both the Burgers vector and the tangent vector allows dislocation motion (also called glide) to take place on it. This plane is generally the plane with highest atomic packing density. (iii) For any dislocation, the Burgers vector is invariant (i.e. constant) and does not vary from position to position. (iv) A dislocation cannot end inside the crystal. It can end at the surface of the crystal, on itself and form a loop or on another dislocation. 4.5 MOVEMENT OF DISLOCATIONS 4.5.1 Concept of Slip There are two ways in which dislocation motion can occur: (i) The process of glide or conservative motion in which the dislocation moves in the surface defined by its line and Burgers vector. (ii) The process of climb or non-conservative motion in which dislocation moves out of the glide plane. Plastic deformation in a crystal occurs by the movement or sliding of one plane of atoms over another. These planes are called slip planes. Discrete blocks of crystal between two slip planes remain undistorted as shown in Figure 4.9(c). Further deformation occurs either by more slip on the existing slip planes or by the formation of new slip planes. The slip plane is usually the planes of highest atomic packing density and slip direction is the direction that lies in the slip plane and has the highest atomic packing efficiency. Thus, in FCC crystals slip occurs on {1 1 1} planes and in (1 1 0) directions and in HCP crystals on the (0 0 0 1) basal plane and in the direction of the kind (1 1 2 0). In BCC crystals, slip directions are of the kind (1 1 0) and the slip planes are of the kind {1 1 0}, in particular at low temperatures. At high temperatures, however, planes of the kind {1 1 2} and {1 2 3} may also become active for slip to take place on them while slip direction remains the same. Slip may also occur on less close packed planes in close packed directions if slip on most close packed planes becomes difficult due to high local stress caused by strain hardening, grain boundaries, precipitate particles, etc. A slip plane together with a slip direction constitutes a slip system. FCC crystals have four {1 1 1} type @Seismicisolation @Seismicisolation
  • 95.
    68 Mechanical Behaviourand Testing of Materials planes and three (1 1 O) type directions and therefore they have twelve {1 1 1} (1 1 O) slip systems. The numbers of slip systems in FCC, HCP and BCC crystals are shown in Table 5.2 and in Figure 4.12, Figure 4.13 and Figure 4.14 respectively. Slip results in the formation of z y - I1 1 0 ] direction X I [ 1 0 1Jdirection [ 0 1 1]direction (a) (b) FIGURE4.12 (a) (1 1 1) plane in the cubic unit cell; (b) Atoms on (1 1 1) slip plane in FCC metals. Note that each (1 1 1) slip plane contains three slip directions of the type (1 1 0). '1 12 OJ a2 /r211 OJ (b) (a) ~ a1 I (c) FIGURE 4.13 (a) Representation of common slip planes (0 0 0 1) and {0 1 10} in HCP unit cell. Plane (0 0 0 1) is the most close packed, (b) Atomic arrangement on (0 0 0 1) plane with close packed directions (11 20), (c) Atomic arrangement on (0 1 10) plane. @Seismicisolation @Seismicisolation
  • 96.
    X X D C D ' , q/ ' , ~-------c<F--~ X ' , ' , I ',.. ,.. ......... B (2 1 3) ' 0 Dislocation Theory 69 (1 0 1) y i[1 0 1] (a) t(111] y I I, .J2.a ,I (b) (1 2 OJ I 45a (c) FIGURE 4.14 Slip planes (a) (1 O 1), (b) (1 1 2) and (c) (2 1 3) and atomic arrangement on them in BCC metals. Close packed directions of the type (1 1 1) are also indicated. steps on the surface of the crystal. These can readily be detected if the surface is carefully polished before plastic deformation. For slip to take place a characteristic shear stress called resolved shear stress, r must be applied. Shear stress is the actual stress operating on the slip system (in the slip plane in the slip direction) resulting from the application of a simple tensile stress a on a cylindrical single crystal sample (as illustrated in Figure 4.15). The resolved shear stress r is given as: r = a cos </) cos A (4.6) @Seismicisolation @Seismicisolation
  • 97.
    70 Mechanical Behaviourand Testing of Materials where, </) and Aare the angles which the tensile axis makes with the slip direction and slip plane normal, respectively (Figure 4.15). G is the normal stress. Thus, a normal stress applied to a single crystal causes a shear stress on the slip plane along the slip direction. This component of stress, called the Resolved Shear Stress (RSS) can cause slip only when it is large enough and exceeds a critical value. I I I I <a:~e-;1A_____ Normal to slip plane Slip plane FIGURE 4.15 An illustration of the geometrical relationship among normal force F, slip direction and slip plane normal to determine resolved shear stress. This critical value of shear stress at which plastic deformation occurs is called Critical Resolved Shear Stress (CRSS), rcRss, which is a constant for a given slip system in a given crystal. The derivation of resolved shear stress is described in Section 5.3.4. The critical normal stress Ge, corresponding to CRSS can be determined using the following relationship. G = 'l'cRSS e cos</) cos A (4.7) Equation 4.7 is known as Schmid's law. The normal stress required to initiate slip, Ge, is a function of the crystal orientation with respect to the direction of applied force on the crystal axis. The notable point is that the magnitude of Ge is not a material constant. 4.5.2 Dislocations and Slip When a sufficiently large magnitude of shear stress is applied parallel to a slip plane in a real crystal, the dislocations on it will move. The movement of an edge dislocation in a simple cubic single crystal under the influence of shear stress is illustrated in Figure 4.16(a-c). The edge C'P' of the additional plane CC'P'P (marked by dotted line) is the edge dislocation line that rests on the slip plane [Figure 4.16(a)]. The direction of shear stress is such that the bonds between the atoms marked 4 and 3 tend to break thereby raising the energy in that region. At the same time, @Seismicisolation @Seismicisolation
  • 98.
    p ' ' ' B C/D : E F G A' B' D' E' F' G' r (a) r B C D E F G A' B' C' E' F' G' r (b) Dislocation Theory 71 r B C D E F G A A' B' C' D' E' F' r (c) G' FIGURE 4.16 Movement of an edge dislocation under the shear stress, r. Atoms 1, 2, 3 and 4 are hatched in (a) for convenience. however, the atoms marked 1 and 2 form the bonds and release the same amount of energy as stored by atoms in row 1. As a consequence, the dislocation C'P' moves in the forward direction to the right. The atoms around the dislocation are symmetrically placed on either sides of the extra half plane and provide equal and opposite force to move atoms at the dislocation. The net force acting on the dislocation is thus, zero. At a first approximation this suggests that the net force required in moving a dislocation is zero. This condition is analogous to the condition shown in Figure 4.3 when the atoms in the top row are midway between the atoms in the bottom row of a perfect crystal and shear stress is zero at this point. However, in practice, certain symmetry conditions give rise to a lattice frictional stress (i.e. resistance) to the motion of dislocation through the lattice. This lattice frictional stress is commonly called Peierls and Nabarro stress after the names of originators. This frictional stress is much smaller than the theoretical shear stress of a perfect lattice. An important characteristic of Peierls and Nabarro force is that its magnitude varies periodically as the dislocation moves through the lattice. It is discussed in details in a later section. Thus a dislocation can move only when the applied shear stress is greater than the lattice frictional stress. The movement of dislocation from one position to the next [Figure 4.16(b)] involves only a small rearrangement of atomic bonds near the dislocation i.e., atoms move only to a fraction of an interatomic distance in contrast to full interatomic distance in a perfect crystal. The dislocation motion described above is known as dislocation glide. The process of breaking and re-establishing one row of atomic bonds may continue until the dislocation passes completely out of the crystal [Figure 4.16(c)]. When the dislocation leaves the crystal the top half of the crystal is permanently offset by one unit relative to the bottom half. This unit shift is called a slip step whose length is equal to the magnitude of the Burgers vector of the dislocation. Since the permanent deformation (i.e. the irreversible motion of atoms from one equilibrium position to another) through dislocation glide involved breaking of only one row of atomic bonds at a time, the corresponding critical resolved shear stress required should be much lower than that required for a perfect crystal (Figure 4.3), where all of the bonds are to be broken simultaneously in order slip to take place. Table 4.1 lists the theoretical (that for perfect crystals) and experimental (that for real crystals) values of CRSS for some metals. @Seismicisolation @Seismicisolation
  • 99.
    72 Mechanical Behaviourand Testing of Materials TABLE 4.1 Experimental and theoretical CRSS values for some metal crystals Metal CRSS (MPa) Experimental Theoretical (E/10) Copper 0.49 10.3 X 103 Silver 0.37 9.2 X 103 Aluminium 0.78 7.0 X 103 Iron 27.44 21.0 X 103 Titanium 13.72 JJ.0 X 103 4.5.3 Slip Plane For any dislocation the plane that contains both the vectors b and t is a potential slip plane. Since for a screw dislocation the vector b is parallel to the vector t, any plane that contains the dislocation line defined by b (or equivalent to t) is a potential slip plane. Therefore a screw dislocation can glide from one valid slip plane to another valid slip plane. An edge dislocation, on the other hand, can glide in a plane that contains both the vector b and vector t. Thus, the movement of an edge dislocation is limited to a specific plane. 4.5.4 Cross-Slip It is known from the above that there is no fixed glide plane for a screw dislocation and it can glide from one plane to another by a process called cross-slip. Yet there are only certain crystallographic planes which are favourable for slip of screw dislocations. For instance, in FCC metals, screw dislocations can move on {1 1 1} type planes, but can change their motion from one {1 1 1} type plane to another. Two such intersecting planes are shown in Figure 4.17. The process of cross-slip is illustrated in Figure 4.18(a-d). Figure 4.18(a) shows a dislocation loop on (1 1 1) plane with Burgers vector (a/2) [1 0 l]. The dislocation loop is pure edge in character at points P z FIGURE 4.17 lllustration of intersecting {1 1 1} type planes in the unit cells of a face-centred cubic crystal with common direction [1 o1]. and Q while it is pure screw in nature at points R and S. As the applied shear stress increases, the dislocation loop expands [Figure 4.18(b)] and its screw part at point R tends to move on the intersecting (l 1 l) plane [Figure 4.18(c)] as it is free to move on this plane. As the applied shear stress increases further, the screw dislocation moves on (l 1 l) plane with further expansion and eventually glide back on to the (1 1 1) plane [Figure 4.18(d)]. This is called double cross-slip. @Seismicisolation @Seismicisolation
  • 100.
    Dislocation Theory 73 (11 1) (a) (101] I p~ a R (b) (c) FIGURE 4.18 Illustration of cross-slip in a face-centred cubic crystal. The direction [1 o1] is common to the close-packed (111) and {111) planes as shown in the unit cells of Figure 4.17. Cross-slip is very important in ductile metals, as it allows more dislocation motion and hence plastic deformation than would otherwise be possible. 4.5.5 Dislocation Climb Under the conditions of low temperatures where diffusion is difficult and when concentration of non-equilibrium point defects is negligible, the movement of dislocations occurs almost entirely by the process of glide. During glide process if a dislocation offers an obstacle it is unable to move further. As a consequence, a pile up of dislocation results at the obstacle if the applied stress continue to increase. The dislocation at the head of the pile up can not cross glide to another plane. However, at high temperatures, such a dislocation can change its plane of motion by a process called climb. Figure 4.19 illustrates the process of climb of an edge dislocation. If a row of vacancies is introduced to the A atoms along the edge of the extra half plane of atoms [Figure 4.19(a)], the dislocation line moves up by one atomic spacing with respect to its original slip plane. This is called positive climb, i.e. dislocation climb up, as shown in Figure 4.19(b). Similarly, if a row of atoms is introduced below the extra half plane of atoms, the dislocation line moves down by one atomic spacing, this type of climb is called (a) ____ Slip plane (b) (c) FIGURE 4.19 Illustration of dislocation climb: (a) Dislocation before climb, (b) Dislocation climb up, and (c) Dislocation climb down. @Seismicisolation @Seismicisolation
  • 101.
    74 Mechanical Behaviourand Testing of Materials dislocation climb down or the negative climb [Figure 4.19(c)]. The positive climb involves diffusion of vacancies to A atoms while negative climb involves diffusion of interstitials to A atoms. Both these processes require mass transport by diffusion and therefore dislocation climb requires thermal activation. The most common climb processes involve diffusion of vacancies either towards or away from the dislocation. It has been assumed above that a complete row of atoms is removed simultaneously, whereas in practice, individual vacancies or small cluster of vacancies diffuse to the dislocation. As a consequence one or two steps called jogs are produced in the dislocation line as illustrated in Figure 4.20. This figure shows climb of a short section of a dislocation line resulting in the formation of two jogs. Both positive and negative climb proceeds by the nucleation and motion of jogs. Conversely, jogs are the sinks or sources of vacancies. Since a pure screw dislocation has no extra half plane of atoms, and therefore, can not climb. FIGURE 4.20 Jogs on an edge dislocation. 4.6 ELASTIC PROPERTIES OF DISLOCATIONS 4.6.1 Stress Field and Energy of a Dislocation It has been mentioned earlier that a dislocation line is always surrounded by a stress field. This stress field produces an elastic strain field caused by the displacement of atoms about their mean position. As a result, elastic strain energy Ee.s. arises in vicinity to the dislocation. Thus, there is an increase in the energy of the crystal due to the stored elastic strain energy of dislocation. This strain energy may be divided into two parts: (4.8) Ecore is the energy of the core. The region immediately surrounding the dislocation line where atoms are in maximum stress field (or where the atomic distortion is highest) is called the core of the dislocation or dislocation core. The energy due to this stress field is called core energy. The contribution of this energy towards the total energy is only about 10% and estimated to be of the order of 0.5 to 1.5 eV. The region outside the core, where the atomic displacement is less and reduces gradually, gives rise to elastic strain energy, Ee.s.· In this region Hooke's law can be assumed to hold good. The energy of a dislocation can be estimated by considering a cylindrical crystal of length, l with a screw dislocation AB of Burgers vector b along the axis. Assuming a thin annular ring of radius rand thickness dr in this crystal as shown in Figure 4.2l(a). This is similar to a strip of thickness dr, circumference 2m- and length l sheared to a displacement of b at one end [Figure 4.2l(b)]. Hooke's law is assumed to follow in this region of annular ring. The elastic shear strain Y0z (= rz8) in this annular section of radius r is given as the step height b divided by the circumference 2m- of the cylindrical element. That is, @Seismicisolation @Seismicisolation
  • 102.
    z X (a) / (b) y dr -I I- I Dislocation Theory75 FIGURE 4.21 (a) and (b) Geometrical model for determining shear strain around a screw dislocation AB. b Y0z =- 2- nr (4.9) where, b is the magnitude of Burgers vector b. The corresponding shear stress produced in this section is given as Gb r0 =--=r 8 z 2nr z (4.10) From Eqs. (4.9) and (4.10), the energy per unit volume of this annular region becomes, dE r0zY8z - = - - - or or dV 2 ;~ =(½)(~:J(2:J ;~ =(~)(2:J2 (4.11) @Seismicisolation @Seismicisolation
  • 103.
    76 Mechanical Behaviourand Testing of Materials where, G is the elastic shear modulus of the material. The volume of the cylindrical annular ring is dV = 2nrl dr (4.12) Thus, dE =(~)(2!J2 2nrldr dE =(1~:2)(d:) (4.13) The total elastic strain energy is obtained by integrating the Eq. 4.13 between the core radius r0 and R (the external radius of the crystal, if it contains only one dislocation). The central region around the dislocation radius r0 is referred to as the core of the dislocation. In a real crystal, a larger number of dislocations exist and R in that case is considered to be half the average spacing between the dislocations arranged at random. This is because with many dislocations, the elastic stress field of adjacent dislocations tends to cancel each other. Thus, Eel$tic(s) =(1 ~!2 ) ln ( ~) + E0 (4.14) Equation (4.14) shows that elastic energy in a crystal containing a single dislocation depends on the size of the crystal. If the lower limit r0 is taken as zero, the energy is tending to be infinitely large, which is unrealistic as Hooke's law does not hold good. Likewise, if the upper limit R is taken as infinity, it is also unrealistic because at large values of R, the strain energy of one dislocation is cancelled by that of other dislocations. Generally r0 is taken as b (= 1nm) and R is taken as an order of a few µm or more. Core energy E0 (which is very small compare to total strain energy) and ln (R/r0) is approximated to 4n, the energy of a screw dislocation is then given as Ee)$tic(s) =lGb2 (4.15) Equation (4.15) shows that the elastic strain energy of a screw dislocation is proportional to its length. Generally, the strain energy of a dislocation is expressed as strain energy per unit length, i.e. as Gb2• That is, the strain energy per unit length of a screw dislocation is directly proportional to the square of its Burgers vector. This statement is also valid even if ln (R/r0) is approximated to 2n by taking r0 =2b and R =2000b. In case the crystal contains more than one dislocation, the value of R is the average distance between the dislocations arranged at random, as mentioned above. This means that as the dislocation density decreases, the value of R and therefore of elastic strain energy of a dislocation increases. In case of an edge dislocation, the atoms above the slip plane are in a state of compression while those below the slip plane are under tension (Figure 4.6) therefore the strain field of an edge dislocation is not as symmetric as that around a screw dislocation. If vis the Poisson's ratio then elastic strain energy of an edge dislocation is given approximately as: @Seismicisolation @Seismicisolation
  • 104.
    Dislocation Theory 17 R Ifln - is approximated as 4Jr, then ro (4.17) or Eelastic(e) =(Gb2 ) l 1-v (4.18) If v = 1/3, the energy per unit length of an edge dislocation is about 3/2 that of a screw dislocation of the same length. Since the energy of both edge and screw dislocations is proportional to b2, the most stable dislocations are those with shortest Burgers vectors. Such vectors must lie along close packed directions in a crystal. The relation E ex: b2 is known as Frank's rule. 4.6.2 Forces on Dislocations If a crystal is subjected to a sufficiently high magnitude of stress such that dislocations move and produce plastic deformation by slip. The work is said to be done on the crystal through the movement of dislocations. Under such conditions a force must act on each dislocation to move it forward. This force can be determined by considering a dislocation line (the solid line in Figure 4.22) moving in the direction of its Burgers vector under the action of a uniform shear stress. When a small segment of the dislocation line ds b moves forward a distance dl, the block of the crystal FIGURE 4.22 Force acting on a above the slip plane will be displaced or sheared dislocation line. relative to the block of the crystal below the slip plane. If As is the area of the slip plane, the average shear displacement produced is given as: ( d:·/l)b (4.19) The applied force producing the shear stress, r is Asr. If the shear stress displaces the segment ds to the new position (at a distance dl from the original position as shown by dotted line in Figure 4.22) and produces slip, then the work done, dW is expressed as: dW = (Force) x (Average displacement) i.e., @Seismicisolation @Seismicisolation
  • 105.
    78 Mechanical Behaviourand Testing of Materials dW = rb (ds · dl) (4.20) Now the force acting on a unit length of the dislocation is defined as the work done when a unit length of the dislocation moves a unit distance, i.e., F= dW (ds · dl) (4.21) F =r b(ds · dl) =r b ds· dl (4.22) Under a given shear stress, the force F is perpendicular to the dislocation line and is same at every point along the dislocation line (if r is constant, as b is invariant) and is directed towards the unslipped region of the slip plane. 4.6.3 Line Tension Every dislocation is associated with a tension which tends to keep it to a minimum length, and hence, to minimise its energy (in accordance with the relationship, £ elastic oc lb2). This tension is called line tension. The line tension T, is a vector that acts along the dislocation line. This is the same as unit tangent vector defined earlier. Thus the line tension may also be defined as the increase in energy dE per unit length dl, of a dislocation, that is, dE Gb2 (R) T =dl =-2- (Approximating 2,r = ln ro for both edge and screw dislocations) (4.23) Consider the segment ds of a curved dislocation as shown in Figure 4.23. The line tension associated with this dislocation produces a force which straightens the line and thus reduces the total energy of the line. The direction of the force is perpendicular to the dislocation line segment and towards the centre of curvature. In order to maintain the dislocation line to be curved a force must be applied in the reverse direction. Let r is the shear stress required to produce a force on the dislocation line which maintain it curved with a radius of curvature R. Let b is the Burgers vector of the dislocation line. The angle subtended at the centre of curvature is given as: d0 =ds R Dislocation O~ d 0 R ~ ~ FIGURE 4.23 Illustration of line tension of a dislocation. (4.24) The outward force acting along OP on the dislocation segment ds is given as, r.bds. The inward force produced by the line tension T and acts at the ends of the dislocation segment ds is @Seismicisolation @Seismicisolation
  • 106.
    Dislocation Theory 19 2Tsin (d0/2). For small values of d0, this force equals Td0. The inward and outward forces must be balanced in order to maintain the dislocation segment to be curved. Thus, or Tds r-bds=Td0 =- R T r=- bR Gb2 (but T = -- from Eq. 4.23) 2 Gb r=- 2R (4.25) (4.26) This is the force required to bend the dislocation line to a radius R. This also shows the magnitude of the shear stress required increases as R becomes smaller. Let us consider a typical case in which the dislocation line bows out between pinning points such as a pair of precipitate particles which act as obstacles to its gliding (Figure 4.24). These precipitate particles are not as easily sheared by the dislocation line as the matrix material, and therefore, they act as obstacles to its motion. The applied shear stress, r produces a normal force rbl on the dislocation line segment between the pair of particles. This force tends to bow out the dislocation segment between the pinned points P and Q (Figure 4.24). This force is balanced by the parallel component of the dislocation line tension T, so that rbl = 2T sin 0 (4.27) where l is the distance between precipitate particles P and Q. The shear stress r is given as: 2T sin 0 r=--- bl (4.28) From Eqs. (4.23) and (4.28), we get FIGURE4.24 Gb sin 0 r=--- -rbi p 0 T Tsin 0 I· Tbl=2Tsin0 Q Tsin 0 ·I --- Precipitate particle T (4.29) Balance of forces when the dislocation under shear stress tends to bow out between the pair of particles P and Q which act as obstacles. @Seismicisolation @Seismicisolation
  • 107.
    80 Mechanical Behaviourand Testing of Materials From Eq. (4.29) the following important conclusions can be drawn: (i) An increased shear stress is required to bend the dislocation more and more between the particles (because 0 becomes larger) until the dislocation line becomes semicircular, at this stage 0 = 90° and r takes the maximum value, i.e., Gb rmax =-1- (4.30) (ii) A dislocation which does not offer any obstacle (sin 0 = 0 as 0 = 0°) should be capable of moving at a negligibly small stress. If it offers obstacles, the shear stress required to overcome these obstacles increases as l, the interparticle spacing, reduces. This fact plays a very significant role in strengthening of materials such as precipitation and dispersion hardening. A dislocation can avoid such obstacles by changing to another slip plane by processes such as cross-slip or climb, as discussed earlier. 4.7 FORCES BETWEEN DISLOCATIONS Forces between dislocations may be attractive type or repulsive type depending on whether the stress fields of two dislocations cancel or they reinforce (i.e. combine together). Screw dislocations of opposite sign having the same Burgers vector will attract with a force per unit length of Gb2/2trr (see Eqs. (4.10) and (4.22)). If these dislocations do not offer any obstacle, they approach each other and annihilate and leave a perfect lattice. Screw dislocation of the same kind with same Burgers vector will repel each other with a force per unit length of the same magnitude. As edge dislocations have unsymmetrical stress field therefore a number of different interactions can occur between parallel edge dislocations. Such interactions are discussed taking different situations. Situation I: Two parallel edge dislocations having same sign rest on the same plane: If these dislocations are separated farther apart [Figure 4.25(a)] so that they behave as isolated dislocations, the total elastic strain energy of these dislocations will be given as the sum of the energy of individual dislocation (assuming that the dislocations are of unit length), i.e., Eel~tic ={4:i~V)} ln ( ;:) (4.31) Here r1 is some distance away from the dislocation core of radius r0• When dislocations are very close together [Figure 4.25(b)], they can be considered approximately as a single dislocation of strength 2b and the elastic energy will be given as: E -{ G(2b)2 } l (-2-) el~tic - 41r(l -v) n ro (4.32) This energy is twice that of the dislocations when they are separated at a large distance [Eq. (4.31)]. Thus, dislocations will tend to repel each other in order to reduce their total elastic energy. The increase in energy ~E is given as: @Seismicisolation @Seismicisolation
  • 108.
    Dislocation Theory 81 bb - r -- Repulsion ---- -- __l_ -- - -- -- - -- -- _j__ - -- ______s!~----- -- -- _j__ ____ -- __l_ __ ---- -- ..L ..L plane ..L ..L . Gl Repulsive force = 2n(1 _ v) r (a) (b} FIGURE 4.25 Interaction of edge dislocations: (a) Two like dislocations rest on the same slip plane and are far apart (r is large); (b) Two like dislocations when close together, they experience a force of repulsion. (4.33) The rate of change of energy with distance gives the force of repulsion, F(R) between the dislocations, that is, or F(R) = d (6.E) = (~) [{ Gb2 } ln (l_)] dr dr 2n- (1 - V) r0 Gb2 F(R)=+---- 2n-(1-v)r (4.34) Situation II: When the dislocations of opposite sign having equal but opposite Burgers vector rest on the same slip plane: These dislocations attract each other [Figure 4.26(a)]. As they approach each other, the extra half planes of atoms combine thereby resulting in annihilation of dislocations [Figure 4.26(b)]. The elastic energy associated with the pair of dislocations is also released, i.e. the total energy of the system gets reduced. The elastic energy per unit length of an edge dislocation is given as, Eel~tic ={47r~:~v)}ln (~) (4.35) As two dislocations are eliminated, the decrease in energy 6.E is given as: 6.£ -{ 2Gb 2 } ln (l_)-{ Gb 2 } ln (l_) 4n-(1-v) r0 2n-(1-v) r0 (4.36) @Seismicisolation @Seismicisolation
  • 109.
    82 Mechanical Behaviourand Testing of Materials - - - Attract each other - - b b 2 Attractive force = 2;~~ v) r (a) Slip plane p (b) FIGURE 4.26 Interaction of edge dislocations: (a) Dislocations of opposite sign rest on the same slip plane and attract each other, (b) Dislocations are annihilated and leaving perfect lattice. The force of attraction is obtained by taking derivative of this change in energy with r, that is, F(a) = -(!!_)M = -(!!_){ Gb 2 } ln (~) dr dr 2Jr(l -v) r0 -Gb2 F(a)=--- 2Jr(l-v)r (4.37) Situation Ill: When parallel edge dislocations of the same sign rest on different slip planes: With this type of arrangement the dislocations may either repel or attract each other depending on the angle between the slip direction and the line joining them. If this angle is less than 45°, they will repel each other [Figure 4.27(a)], i.e., the force acting between dislocations is opposite type. The distance of separation between the dislocations also increases with decrease of the angle below 45°. If, on the other hand, the angle is greater than 45° they will attract each other [Figure 4.27(b)]. At an angle 45°, the distances x and y are equal and the force y 0< 45° _________,___________ x - Repel each other - (a) y 0 > 45° _ _ .. . ._ _j__ _ _ _ _ _ _ _ x ------- Attract each other ---- (b) FIGURE 4.27 Interaction between two edge dislocations of the same sign rest on parallel slip planes: (a) Dislocations repel each other, (b) Dislocations attract each other. 'x' is the direction of slip. @Seismicisolation @Seismicisolation
  • 110.
    Dislocation Theory 83 actingbetween the dislocations is zero. As the angle approaches 90°, where x becomes zero, the dislocations aligned vertically as an array. This results in the formation of a low angle tilt boundary. In this case the tensile stress field of one dislocation is compensated by the compressive stress field of the vertically lower dislocation. The force between dislocations is zero. This is the most stable configuration in which like dislocations are aligned vertically above one another. Situation N: Two parallel edge dislocations of opposite sense instead of lying on the same slip plane, lie on nearby planes [Figure 4.28(a)] and [Figure 4.29(a)]: Such dislocations tend to attract each other and annihilate leaving behind either a row of vacancies [Figure 4.28(b)] or a row of interstitialcy atoms [Figure 4.29(b)]. Attract Row of vacancies b ----- I V I V I _[_ T d I I b (a) (b) FIGURE 4.28 Interaction of edge dislocations of opposite sign lying on nearby planes: (a) Attraction between dislocations, (b) Annihilation of dislocations with creation of a row of vacancies. - - - Attract - - - b I T _L --- b (a) lnterstitialcy atoms ' N I (b) FIGURE 4.29 Interaction of edge dislocations lying on parallel slip planes: (a) Attraction between dislocations, (b) Creation of interstitialcy. In general, the magnitude of forces between parallel dislocations, whether of the same sign or opposite, are calculated and expressed in terms of polar coordinates. The radial force (per unit length) component (Fil), for both edge and screw dislocations is given as: @Seismicisolation @Seismicisolation
  • 111.
    84 Mechanical Behaviourand Testing of Materials (4.38) The angular force (per unit length) component (Fll)8 (i.e. the tangent force component) is zero for screw dislocations (as screw dislocations have only radial stress field) and for edge dislocations it is given as: (4.39) G where, C is equal to G/2,r for screw dislocations and ---- for edge dislocations. 0 is the 2tr(l - V) angle between the slip plane and the line joining both the dislocation lines and r is the distance of separation of the dislocation lines (Figure 4.30). It is apparent from Eq. (4.38) and Eq. (4.39) that the force is proportional to the dot product of the two Burgers vectors. The force of attraction or repulsion increases with decreasing r, as the case may be (see Eqs. (4.34) and (4.37)). Y•I I I I I I I I I I , , , , , , , , , , , , , , , , ,, ,' r 0 , , , ,z , , , b --------------------------► Q X (a) z (x, y) r 0 (b) X FIGURE 4.30 Interaction between: (a) Edge dislocations, one at O and other at (x, y). z axis is the dislocation line, (b) Screw dislocations the Burgers vectors of which are assumed to be parallel to z-axis. xz is the slip plane. 4.8 UNIT DISLOCATIONS AND PARTIAL DISLOCATIONS It has been discussed that Burgers vector always connects one equilibrium position to next and its magnitude I b I is equal to an interatomic spacing determined by the crystal structure. This must be the same as a slip step created after the dislocation has moved and arrived to the surface. Thus b is a lattice vector and I b I is equal to one lattice spacing, since this is the smallest amount of slip which leads to a final configuration in the crystal which is the same as the initial one. According to Frank's rule (E oc b2), the energy associated with a dislocation should be minimum for the shortest Burgers vector. Thus the most energetically favourable and therefore the most common Burgers vectors will be the shortest vectors that connect equivalent lattice positions in a crystal lattice. The result is that in simple crystal structures, the Burgers vectors lie in the close packed direction. A dislocation with its Burgers vector equals one lattice spacing (lattice constant) is called a Unit dislocation. It is a dislocation with unit strength just @Seismicisolation @Seismicisolation
  • 112.
    Dislocation Theory 85 asin a simple cubic structure. In simple cubic structure the smallest lattice vector is equal to a. The close packed direction in which this vector lies is [l 0 0]. Thus, the Burgers vector of the dislocation in simple cubic structure is a[l 0 0]. The strength of Burgers vector a[l 0 0] is given as a[l2 + 02 + 02] 112 = a[unit], i.e. the Burgers vector of the dislocation in simple cubic structure has a strength of unity. In general, if the Burgers vector of a dislocation is a[u v w], its strength or magnitude is given as a[u2 + v2 + w2] 112• A unit dislocation of the type observed in simple cubic structure is also called a perfect or total (full) dislocation because translation equal to one Burgers vector produces identity translation. For a perfect dislocation, there is perfect alignment of atom planes above and below the slip plane within the dislocation loop. A dislocation, while passing through the crystal, shifts only by a fractional amount to a lattice site which is not the equilibrium lattice site, is called a Partial dislocation or Imperfect dislocation as its Burgers vector is a fraction of a lattice translation. Such a dislocation while moves, leaves an imperfect area behind it which has a fault in the stacking sequence of atoms. A dislocation may dissociate into two partial dislocations coupled through a stacking fault if the sum of energy associated with partials is lower than the elastic energy of the original single dislocation. 4.8.1 Dislocations in FCC, BCC and HCP Crystals In FCC structure, the shortest vector joining equivalent lattice positions occurs in the close packed directions and these correspond to one half of any face diagonal. The notation of such a vector is (a/2) (1 1 0). The strength of such a Burgers vector is given as: ~[12 + 12 + 02]1/2 = (~)✓ 2 = _!!__ 2 2 ✓ 2 Similarly, in BCC crystal, the Burgers vector is half of any body diagonal, i.e. of (a/2) (1 11) type. The strength of this vector is given as: ~[l2+12+l2]112 or ~✓ 3 2 2 In HCP crystal, the close packed direction is of the type (1120) and the shortest vector joining equivalent lattice position must lie in this direction which is corresponding to one third of any (11 2 0) direction vector, i.e. it is (a/3) (11 2 0). Dislocation reactions Two dislocations approaching each other may react to form a new dislocation if the energy of the product dislocation is less than the sum of the energies of the reacting dislocations. If b1 and b2 are the Burgers vectors of the reacting dislocations and b3 is the Burgers vector of the product dislocation, applying Frank's criterion the reaction will be favoured if, (4.40) Similarly, a dislocation with Burgers vector b1 can dissociate into a pair of dislocations having Burgers vectors b2 and b3 , provided that @Seismicisolation @Seismicisolation
  • 113.
    86 Mechanical Behaviourand Testing of Materials (4.41) Thus, using the Frank's criterion one can determine whether a dislocation reaction will occur in the forward direction. 4.8.2 Dislocations and their Reaction in FCC Crystals It has already been stated that slip planes in FCC crystals are of the kind {1 1 1}. Two such planes, one on top of the other are shown in Figure 4.31. The darkened circles represent the close packed (1 1 1) plane designated as A plane. Let the extra half plane of edge dislocation runs from below and ends on this plane (i.e. the edge dislocation is negative one). White (open) circles represent the atoms in the plane next to A plane. Let this plane is close packed B plane. It can be noted that a zigzag row of atoms is missing in the B plane. This corresponds to the missing plane of edge dislocation. In fact, this must be the edge dislocation line. Now consider the atoms in B plane and to the left of the edge dislocation. The movement of atoms of this plane through the horizontal displacement b results in dislocation shift by a unit to the left. The vector b thus represents the Burgers vector of the dislocation which is represented as .!_[T 10]. 2 This is a perfect dislocation in FCC crystal lattice and rests on (1 1 1) plane. A-plane of atoms B-plane of atoms C-positions FIGURE 4.31 Atomic model representing a unit edge dislocation in a face-centred cubic crystal as viewed when looking down on the slip plane. A dislocation of the type shown in Figure 4.31 does not normally move in the simple manner as represented by arrows in this figure and from BI to B2 in Figure 4.32(a). The atoms in plane A offer more resistance to this direct movement of B atoms from BI to B2 positions as this creates lot of volumetric distortion in the lattice. The process involves each B atom in the slip plane to be forced to climb over A atoms below it and to its right (Figure 4.31). It is believed, on the other hand, that it would involve less lattice distortion if BI atoms make movements to B2 positions in two steps. In step (1) BI atoms move to C positions through vectors c and in step (2) subsequently the same atoms move from C positions to B2 positions through vectors d (Figure 4.33). However, when a row of atoms move to C positions via first step (Figure 4.33), the original Burgers vector (a/2)[110] is said to be broken up into a pair of partial dislocations. Thus, the isolated single zigzag row of atoms has an incomplete (or partial) @Seismicisolation @Seismicisolation
  • 114.
    /,,,....-, A-atoms ------1 K,,_-+----~--+---~- ,_ X [O 11J / I M ; , __ .,. M (a) y (1 O1J Dislocation Theory 87 KLM is the triangle connecting ·~ atoms [1 1 OJ ---~ (--c---+--~----------,-~~f----+--~ [11 OJ ' _,,1 [1 O1] (0 11] (b) 1 - ➔ Vector KO =2 (1 1 OJ =b 1 - Vector KN= 2 (0 1 1J 1 - - Vector KP= 2 (1 2 1J 1 ➔ ➔ Vector B1C = 3 KP= c ➔ 1 - - B1C = 6 (1 21J FIGURE 4.32 Illustration of the dissociation of a unit dislocation into partials in a face-centred cubic lattice. B-positions FIGURE 4.33 Illustration of partial dislocations in a face-centred cubic lattice. Vectors c and d are the Burgers vectors of partial dislocations. Vector c is the same as B1C and vector d is the same as CB2, respectively, in Figure 4.32. @Seismicisolation @Seismicisolation
  • 115.
    88 Mechanical Behaviourand Testing of Materials dislocation on either side of it. The Burgers vectors of these partial dislocations are shown as vectors c and d in Figure 4.33. To find out the vector notation of these partials, consider Figure 4.32. This figure shows (11 1) close packed plane in the unit cell of FCC crystal. The arrangement of atoms on this plane is indicated by dotted circles. Let these atoms are in A positions in the unit cell. The sites that would be occupied by atoms in the next plane (i.e. above A plane) are shown by small circles marked by B letters inside them. At the centre of the triangular plane (1 11) is the site for C plane atoms in the stacking sequence ....ABCABCABC.......The Burgers vector of the total dislocation equals the distance B1B2, while the Burgers vectors c and d of partial dislocations shown in Figure 4.33 are the same as the distances B1C and CB2 in Figure 4.32(a). The Burgers vector of the total dislocation is (a/2)[110]. The line KP [Figure 4.32(b)] lies along the vector [121] (the vector sum of [0 1 1] and [11 0]) and is half the magnitude of this vector. Since B1C is one-third of the line KP, the Burgers vector of this dislocation is, thus, ~[121] 6 In the similar manner, the vector CB2 can be represented as ~ [211] 6 Thus, the total dislocation (a/2)[11 0] is able to dissociate into a pair of partial dislocations in according to the reaction: a- a-- a- -[110] ➔ -[121]+-[211] 2 6 6 (4.42) When a total dislocation dissociates into a pair of partial dislocations, the strain energy must decrease. This can be verified using the Frank's criterion [as given in (Eq. 4.41)]. The magnitude of the Burgers vectors in Eq. (4.42) are as follows: ~ [I2 + i2 + 02]1/2 ➔ ~ [I2 + 22 + I2]1'2 + ~ [22 + i2 + 121112 2 6 6 a a a or -➔ -+- ✓ 2 ✓ 6 ✓ 6 Let us find out the square of Burgers vectors and substitute in Eq. (4.41) (according to Frank's rule), or or a2 a2 a2 ->-+- 2 6 6 a2 a2 ->- 2 3 (4.43) @Seismicisolation @Seismicisolation
  • 116.
    Dislocation Theory 89 Sincethe sum of the energies of the partial dislocations is less than the energy of the total dislocation, the reaction shown by Eq. (4.42) is energetically favourable and the perfect dislocation must split up into a pair of partial dislocations. Since the partial dislocations shown in Figure 4.33 represent approximately equal lattice strains and both of them have edge character they move successively through the crystal and together cause the same displacement which the movement of the original undissociated dislocation would have achieved. They are referred to as glissile partial dislocations. As these partial dislocations are of the same sign and rest on the same slip plane, they repel each other. As a consequence they separate out leaving behind a stacking fault region in between them. The energy which is released in dissociation of perfect dislocation into a pair of partial dislocations is supplied to create this stacking fault. This energy is called stacking fault energy. The stacking fault region represents a part of the crystal which has undergone slip intermediate between full (unit) slip and no slip (Figure 4.34). The pair of partial dislocations along with the stacking fault ribbon in between is called extended dislocation. It is important to note in Figure 4.34 that the atoms represented by open circles in the region between the partial dislocations are in C positions while those on either side of partial dislocations are in B positions in the stacking sequence .....ABCABCABC ...., i.e., in the region between pair of partial dislocations, the normal stacking sequence ...ABCABCABC ...of FCC lattice suffers a discontinuity and becomes A ICABCA .... The vertical line indicates the discontinuity. Discontinuities in stacking of {1 1 1} planes, are called stacking faults. The stacking sequence AC in the SF region is the characteristic of HCP crystal Partial dislocation Extended dislocation Stacking fault region ---+--.. !(f 1 OJ Fully slipped No slip FIGURE 4.34 An extended edge dislocation comprising partial dislocations coupled with stacking fault region. @Seismicisolation @Seismicisolation
  • 117.
    90 Mechanical Behaviourand Testing of Materials structure. The local HCP region in a normal FCC crystal structure has a higher energy, therefore stacking fault has a higher energy. This energy is the stacking fault energy (SFE) as mentioned above. The partial dislocations on either ends of stacking fault region are called Shockley partial dislocations. Since stacking fault region is a surface, the SFE is a surface energy and it functions like a surface tension which tries to pull the Shockley partial dislocations together so as to reduce stacking fault region and hence the energy associated with it. On the other hand, the force of repulsion which always acts between Shockley partial dislocations tends to separate them apart. Ultimately the force of attraction and repulsion are balanced with an equilibrium spacing d5 , between partials depending on the SFE. Thus, the equilibrium spacing d5 is expressed as, d =G(b1 · b2) s 24,rys Gb2 d =-- s 24,rys (4.44) It is evident from Eq. (4.44) that the lower the SFE (Ys) the wider is the stacking fault region. Since the atomic planes above and below the stacking fault surface are elastically strained, the stacking faults are coherent interfaces and their energies are less than that of grain boundaries. SFE is found to be lowered by solid solution alloying. For instance, in case of Cu-Zn alloys it is found that SFE of copper decreases with increased amount of zinc. SFE plays a vital role in the plastic deformation of metals. An undissociated screw dislocation is capable of gliding from one valid plane to another. However, an extended screw dislocation, owing to its edge character, can move only on the plane containing the stacking fault. The partial dislocations tend to move as a unit maintaining the equilibrium ribbon width. Thus the process of cross-slip becomes difficult for an extended screw dislocation. In order such an extended screw dislocation to change slip plane, its partial components must first be recombined. That is, a constriction must form in the dissociated screw dislocation and then the unit dislocation at the constriction will be free to cross-glide on to intersecting slip plane. A constriction in an extended screw dislocation is illustrated in Figure 4.35. A certain amount of Partial dislocations Extended dislocation (a) Extended dislocation containing constriction (b) Constriction FIGURE 4.35 Illustration of a constriction taking place in an extended dislocation. @Seismicisolation @Seismicisolation
  • 118.
    Dislocation Theory 91 energyis involved in the process of recombination of partials of screw dislocation. Both stress and thermal energy assist the process of constriction in the extended screw dislocation. At ordinary temperatures, a greater magnitude of stress is required for constriction in extended screw dislocation to take place. Thus, in metals such as Cu, Au and Ag, which have lower stacking fault energy and a wide stacking fault ribbon, cross-slip is difficult as constriction is difficult. The SFE of copper is about 40 ergs/cm2 and the width of the stacking fault ribbon is of the order of Sb, the cross-slip in Copper is difficult. Cross-slip in Cu can occur in the region where stress concentration arises due to pile up of dislocations or by some other means. In metals such as Al, where SFE is very high, the width of the stacking fault ribbon is about one interatomic spacing, i.e. of the order of b, constriction can occur at low magnitude of stress. Therefore, cross-slip is easy in Aluminium. The SFE of aluminium is about 200 ergs/cm2• 4.8.3 Frank Partial Dislocations In addition to Shockley type partial dislocations, another type of partial dislocations observed in FCC crystals are the Frank partial dislocations. Geometrically the Frank partial dislocations can be formed by inserting or removing one close packed plane of atoms from the stacking sequence ....ABCABCABC...... as illustrated in Figure 4.36(a-c). Removal of layer of atoms results in a stacking sequence ABC IBCA [Figure 4.36(b)]. The boundary between the fault and the perfect crystal is a partial dislocation, the Burgers vector of which is perpendicular to the plane of the fault. The strength of this Burgers vector equals the change in spacing produced by one close packed layer, i.e. (a/3)[1 1 l]. {Since the plane of fault is of the kind (1 1 1) and the vector perpendicular to it is obviously [l 1 l] i.e. from one A plane to next A plane through the planes B and C in the stacking sequence ABCA. The magnitude of dislocation from close packed A plane to B plane becomes (1/3) [l 1 l]. In terms of lattice parameter, the a Burgers vector is given as 3[111] }. Thus, the Frank partial dislocation is an edge dislocation since its Burgers vector is perpendicular to the plane of the fault. Now since the Burgers vector of Frank partial does not lie in a close packed plane, it can not glide conservatively under the action of the applied stress. Such a dislocation is said to be Sessile. A sessile dislocation, however, can move by the process of climb (i.e. by non-conservative movement). Dislocation climb results in either the expansion A A A A A A A A A C C C C C C C C C ~ B B B B~ B ~ B B B :: A ..... A lllTC'") A A A=. A-------i □□□□□ A - - A = . C B ..-IN C ~ l C ~ C l I- -l B B B B B c ~ c l A A B B B A A A A A A A (a) (b} (c) FIGURE 4.36 Formation of Frank partial dislocation. @Seismicisolation @Seismicisolation
  • 119.
    92 Mechanical Behaviourand Testing of Materials or the contraction of the dislocation loop. In contrast to Frank partial dislocation, a unit dislocation or Shockley partial dislocations can glide freely on the slip plane if they do not offer any obstacles. These dislocations are referred to as Glissile dislocations. A close dislocation loop of Frank partial can be produced by the collapse of a disc of vacancies on a close packed plane. An excess of vacancies can be produced by rapid quenching of an FCC material. These non-equilibrium quench in vacancies may cluster in the form of a disc on a close packed plane. If this disc is large enough, it is energetically favourable for it to collapse and produce a dislocation loop around outside [Figure 4.36(b)]. By convention this is called a negative Frank sessile dislocation. A positive Frank sessile dislocation may be produced by the precipitation of a close packed disc of interstitialcy atoms on one of the {1 1 1} planes, [Figure 4.36(c)]. As a consequence, a new plane is added in the normal stacking sequence of atomic planes. In this case also, the neighbouring atomic planes bend and edge dislocation with Burgers vector equals (1/2) [l 1 l] is produced. This leads to stacking of atomic planes as ABCBABCA. This clearly indicates a fault in the stacking sequence. Since the edge dislocation is opposite in sense to Frank partial dislocation sited above, this Frank partial edge dislocation is called Positive Frank sessile dislocation. A sessile dislocation acts as an obstacle to the free glide of other dislocations. 4.8.4 Lomer-Cottrell Dislocations Sessile dislocation in FCC crystals can also be produced when two parallel moving dislocations meet and react at the intersection of the slip planes. Figure 4.37(a) shows two such parallel dislocations (a/2) [1 I 0] and (a/2) [0 1 l] moving, respectively, on a pair of (1 1 1) and (1 I 1) planes in an FCC crystal. The orientation of these planes in the crystal lattice is shown in Figure 4.37(b). The unit dislocations dissociate into partial dislocations according to the reaction shown in Table 4.2. TABLE 4.2 Dissociation of perfect dislocation into partial dislocations on (1 1 1) and (1 11) planes Plane (1 1 1) (1 T1) Perfect dislocation ~[11 O] 2 ~[O 11] 2 Leading ~[121] 6 ~ [121] 6 Partial dislocations Trailing + ~[2 TT] 6 + ~ [112] 6 The leading partial dislocations may then meet at the intersection of the slip planes and react to produce a new dislocation in accordance with the following equation: a - a a -[121] +-[121] ➔ -[10 l] 6 6 3 Applying Frank's rule, we get, @Seismicisolation @Seismicisolation
  • 120.
    Intersection : [101] ''' Dislocation Theory 93 ,.r ocatiof rno'on Direction of . d1s/ocat· . o ulS Oirect1on Undissociated dislocation f[O 11] Dissociated dislocations ion rnotion Leading: i[1 2 1] Dissociated dislocations Leading: i[1 21] X Trailing partials L (a) z (b) [1 0 1] Dislocation Pile up Lomer-Cottrell dislocation (c) Undissociated dislocation f[110] FIGURE 4.37 Formation of Lomer-Cottrell sessile dislocation: (a) Motion of dissociated dislocations on intersecting slip planes (1 1 1) and {111 ), (b) Relative orientation of the intersecting planes in (a), and (c) Combination of leading partial dislocations to form sessile dislocation. @Seismicisolation @Seismicisolation
  • 121.
    94 Mechanical Behaviourand Testing of Materials Thus the above reaction is energetically favourable. The new dislocation lies along a face diagonal of the unit cell [Figure 4.37(b)] and its Burgers vector (a/3)[1 0 l], also lies in the cube face. Since the Burgers vector is perpendicular to the dislocation line, the new dislocation is edge in character. Now, since both the dislocation line and its Burgers vector lie in the plane (0 I 0), the dislocation can move only on this plane. However, the plane (0 I 0) is not an active slip plane in FCC crystals at normal temperatures. Therefore the new dislocation (a/3)[1 0 l] is a sessile dislocation. This sessile dislocation is commonly called Lomer-Cottrell sessile dislocation. Figure 4.37(c) shows the trailing partial dislocations on respective slip planes and the subsequent dislocations pile up behind the Lamer-Cottrell barrier through stacking fault region. As a consequence a greater magnitude of stress is required to push additional dislocations into the pile up. 4.9 PEIERLS-NABARRO STRESS AND DISLOCATION WIDTH Peierls and Nabarro (P-N) stress is the lattice frictional stress which a dislocation must overcome in order to displace from one position to next. The magnitude of P-N stress depends mainly on two factors: (1) the periodicity of atoms, and (2) the width W, of the dislocation. The P-N stress is low on close packed planes and in close packed directions. Thus P-N stress is greatly dependent on the type of crystal structure. The dependence of P-N stress on the dislocation width and its Burgers vector is evident from the following relationship, -2n-W 'l'p_N oc G exp --b- (4.45) where, 'l'p_N is the shear stress required to move a dislocation, G is the shear modulus, w is the width of the dislocation and bis the magnitude of Burgers vector. The width w is related to the spacing a, between the slip planes according to the following relationship: a W=-- 1-v (4.46) where, v is the Poisson's ratio. Because of the exponential form of relationship between 'l'p_N and W, the P-N stress is a very sensitive function of width of the dislocation and the Burgers vector. The width of a dislocation is a measure of the distance on either side of the dislocation, up to which the stress-relaxing displacements are appreciable, i.e., the atoms on either side of the dislocation line are displaced elastically from their equilibrium positions. A dislocation is said to be wide, if the extent of elastic distortion on either side of the dislocation is appreciable and more evenly distributed among the bonds around it. As a result arises some compression above and some tension below the edge of the extra half plane as shown in Figure 4.38(a). In this case the dislocation is said to be relaxed. If there is no relaxing displacement of atoms in the adjacent planes surrounding the dislocation region, the dislocation is said to be narrow and stiff as shown in Figure 4.38(b). In this case the bond lengths are normal around the dislocation except in the region below the extra half plane, where the bonds are virtually broken. @Seismicisolation @Seismicisolation
  • 122.
    (Wide) (a) (Narrow) (b) Dislocation Theory 95 FIGURE4.38 Width of the dislocation: (a) Wide dislocation, (b) Narrow dislocation. When a wide dislocation moves, the adjustments that take place in the bond lengths in the dislocation region are distributed over a number of bonds in that region, but the change in any one bond length is small. The motion of a narrow dislocation, on the other hand, involves the movement of the row of atoms below the slip plane through a distance equal to almost one full interatomic distance. Therefore, narrow dislocations are more difficult to move than wide dislocations. This is also evident from Eq. (4.45). For a dislocation of width equals zero, the stress required to move it is very high (equals G) and approaches to that required to deform a perfect crystal. As the width of a dislocation increases, there is rapid decrease in rP- N and this stress becomes negligibly small when dislocation width becomes lOb (i.e. at rP- N = G/1027). Thus, as the width of a dislocation decreases it becomes more and more difficult to move it. The width of a dislocation, however, depends greatly on the crystal structure and the nature of bonding forces (Table 4.3). When the bonding forces are very strong and highly directional (as in case of covalent crystals), the dislocations contained by them are very narrow. As a consequence the rP- N required to move such a narrow dislocation is very high. The application of tensile stress on covalent crystals usually results in brittle fracture by crack propagation, before the stress required to move a dislocation is reached. Hence covalent crystals such as silicon and diamond are brittle. They do not display any plastic deformation. TABLE 4.3 Dependence of P-N stress, rP-N on dislocation width Width, W 0 G b G 400 5b G 1027 @Seismicisolation @Seismicisolation
  • 123.
    96 Mechanical Behaviourand Testing of Materials In ionic crystals, though the bonds are non-directional but are of moderate strength. The dislocations in ionic crystals are narrow. This suggests that the rP- N for ionic crystals is relatively lower than that for covalent crystals. Yet, almost all of the ionic crystals show brittle behaviour. This can further be correlated to the large magnitude of Burgers vector in ionic crystals. Simple ionic crystals may show some plastic deformation when they are properly oriented with respect to the applied shear stress (Figure 4.39). ~0 0 0 0 0 0 0 0 0 0 0 0~ (a) 0 0 0 0 00 /r (b) FIGURE 4.39 Slip process in NiO crystal. Only two rows are shown: (a) Slip is not possible in the direction of shear stress, (b) Some amount of slip is possible in the direction of shear stress. In case of typical metallic crystals, such as Cu and Al, the bonds are predominantly non- directional but are not as strong as in ionic or covalent crystals. Consequently, the dislocations are wide and the Peierls-Nabarro stress is low. Because of the low value of rP- N, these crystals exhibit a considerable amount of plastic deformation and are therefore said to be ductile. The close packed atomic planes and directions in FCC and HCP crystals also aid to low value of rP- N in these materials. Most transition group metals such as Fe, V, Mo, W, Ta, Nb, etc. exhibit some covalent characteristic due to 'd'-orbital bonding which is directional in nature. Therefore, these metals with BCC structure have relatively narrow dislocations and thus exhibit more hardness but less ductility than metals with FCC structure. The transition group metals sited above can not be cold worked to the same extent as metals with FCC structure. 4.10 DISLOCATION MULTIPLICATION It is shown above that dislocations in a crystal move under the influence of shear stress and get disappeared after arriving to the surface. In an annealed crystal, the density of dislocations usually ranges from 1010 to 1012 m-2 (106 to 108 cm-2) . Under the action of shear stress it appears that all the dislocations will get eliminated by reaching to the surface. However, experimental observations show an entirely different picture. The density of dislocations is observed to increase by an order of 2 to 4 in magnitude depending on the extent of deformation @Seismicisolation @Seismicisolation
  • 124.
    Dislocation Theory 97 ofthe crystal. In a heavily deformed crystal, this density is found to be as large as 1016 m-2• This suggests that there must be some source within the crystal which operates and produces new dislocations during plastic deformation. One such source is popularly known as Frank- Read Source, after the name of the originators F.C. Frank and W.T. Read. Frank-Read source is the most widely accepted mechanism for generation of dislocations. Let us discuss how a Frank-Read source operates. Suppose XY is a line segment of a dislocation line lying on the slip plane in a crystal, as illustrated in Figure 4.40. This line segment is associated with a line tension showing a vector t, which tends to keep the dislocation line to its minimum length XY. The points X and Y of the line segment are immobile under the influence of shear stress because they are pinned up either by other solute atoms, second phase particles, by intersection with other dislocations or by dislocations of opposite kind lying on other planes in the crystal. These points X and Y are therefore said to be the nodal points of the dislocation segment. When a shear stress r is applied rb X • b ! ' eY x'v JY r b ' ~ r b Stage 2 rb rb Stage 4 rb rb rb x~ . ,/Y rb~rb Stage 1 X y Stage 3 rb X ~ Y 0 · 1 . / 1s ocat1on rb loop Stage 5 rb rb FIGURE 4.40 Frank-Read source of dislocation multiplication showing various stages in the generation of dislocation loop. b represents Burgers vector of the dislocation segment XY of length I and rb is the force on dislocation. @Seismicisolation @Seismicisolation
  • 125.
    98 Mechanical Behaviourand Testing of Materials parallel to the slip plane, the dislocation segment XY bows out with a radius R between the anchoring points instead of moving away and takes up in succession the forms denoted by stages 1, 2, 3, 4 and 5. Stage 1 shows the beginning of bowing of the dislocation line with a radius R. The radius R is given as: (4.47) As the dislocation bowing increases with increasing applied stress, R decreases to the point where it becomes half the pinned segment l, i.e. where the line segment XY becomes a semicircle (stage 2). At this point the dislocation loop becomes unstable and with the further increase in stress it begins to bend around itself on the back side (stage 3). The critical stress necessary to produce this instability is given by, Gb 'f==- l (4.48) As the bowing out continues, a situation will reach where the dislocation segment at points P and P' are screw in nature as the unit tangent vector tis parallel and anti-parallel, respectively, at these points (stage 4). The oppositely signed screw dislocation segments attract each other and as the loop expands they eventually meet and annihilate each other. This results in the formation of a closed dislocation loop (stage 5, Figure 4.40) and a new dislocation XY. This process repeats until the dislocation loops produced get piled up at some obstacle and a sufficiently large back stress is developed to oppose the applied stress. 4.11 DISLOCATION INTERSECTION It has been stated that an annealed crystal contains a large number of dislocations. Thus every slip plane will be threaded by dislocations and a dislocation moving in the slip plane under an applied stress, will have to intersect the dislocations crossing it in the slip plane. The latter are known as forest dislocations. These forest dislocations provide barriers to the gliding dislocations. Now the ease with which slip occurs will depend to a large extent, on the way the gliding dislocations overcome these barriers. Since the dislocation density in a crystal, increases with increasing strain, the intersection processes affect the rate at which the crystal work hardens as it is strained. In general, intersection of two dislocations results in the formation of a jog in one or both dislocations equivalent to Burgers vector, as a result the lengths of the dislocation lines are increased and hence the energy. Thus, the intersection of dislocations involves expenditure of additional energy. In addition, movement of jogged dislocations in the crystal is more difficult than dislocations having no jogs. There are many possible combinations of dislocation intersection such as edge-edge, screw-screw or edge-screw dislocations. The simplest of these is the intersection of two edge dislocations lying on planes perpendicular to each other and having Burgers vector perpendicular to each other as illustrated in Figure 4.41. This figure shows that the edge dislocation AB with Burgers vector b1 is moving on its slip plane PAB [Figure 4.4l(a)] and after intersecting the edge dislocation CD having the Burgers vector b2, it introduces a jog EF in the @Seismicisolation @Seismicisolation
  • 126.
    Dislocation Theory 99 L (a)(b) FIGURE 4.41 Intersection of edge dislocations having Burgers vectors at right angles to each other: (a) Dislocation line AB moving on the plane PAB is about to cut dislocation line CD, (b) A jog EF is produced in the dislocation line CD after intersection. latter [Figure 4.4l(b)]. The jog EF is parallel to b1 and its length is also equal to b1, but its Burgers vector is the same as that of the dislocation line CD as it is a part of the dislocation line CD. Clearly the jog EF is edge in nature and is capable of gliding in the plane KLMN with the rest of the dislocation line CD. Thus the jog EF is called a glissile jog (i.e. able to glide). A jog is produced in the line CD since it is perpendicular to the Burgers vector b1 of dislocation line AB. On the other hand, no jog is produced in the line AB as it is parallel to the Burgers vector b2. Figure 4.42 illustrates the formation of jogs when two perpendicular edge dislocations with parallel Burgers vector intersect each other. Jogs are formed in both the dislocation lines AB and CD as both the lines are perpendicular to the Burgers vectors b2 and bi, respectively. The jogs PP' and QQ' are screw in nature. Both the screw jogs have greater mobility than the edge dislocation to which they belong and therefore their presence does not impede the overall motion of dislocations. Thus the jogs formed due to intersection of edge dislocations will not affect the movement of dislocations. Figure 4.43 illustrates the intersection of an edge dislocation (XX') and a screw dislocation (YY'). After intersection a jog PP' is formed in the edge dislocation while the jog QQ' is formed in the screw dislocation. Since each jog has the same Burgers vector as the original dislocation line, the jogs PP' and QQ' both are of edge type. Based on the above discussion, the jog PP' will not impede the motion of dislocation XX', whereas the jog QQ' will impede the motion of the screw dislocation YY'. The same is true for the edge type jogs PP' @Seismicisolation @Seismicisolation
  • 127.
    100 Mechanical Behaviourand Testing of Materials Q (a) p Q' (b) FIGURE 4.42 Intersection of edge dislocations with parallel Burgers vectors: (a) Before intersection, (b) After intersection. y x' y Q' y' X y' FIGURE 4.43 Intersection of a screw dislocation YY' with can edge dislocation XX': (a) Before intersection, (b) After intersection. and QQ' formed in screw dislocation XX' and YY' respectively as shown in Figure 4.44. This is the most important type of intersection from the point of view of plastic deformation. The jogs PP' and QQ' are capable of moving in a plane that contains them. Let us consider the case of screw dislocation YY' containing the jog QQ' (Figure 4.45). The jog QQ' with Burgers vector b2 is capable of moving in the plane QQ'Y'Z when a shear stress is applied parallel to b2. This is possible only if the screw segments YQ and Q'Y' are displaced parallel to b2. However, these screw segments can move only in the direction perpendicular to b2, i.e. towards the positions DE and FG. The only way the jog QQ' can follow along the plane EFQ'Q is by non-conservative motion involving vacancy-assisted dislocation climb. Such process requires additional energy, with the result that the jog cannot move as fast as the rest of the dislocation and so tends to become elongated. @Seismicisolation @Seismicisolation
  • 128.
    Dislocation Theory 101 y y X Y'Y' (a) (b) FIGURE 4.44 Intersection of a screw dislocation with another: (a) Before intersection, and (b) After intersection. G y' -- z D y FIGURE 4.45 Movement of Jogged screw dislocation. The jog is confined to move on the plane QQ'FE. These geometrical conclusions suggest that in conditions where intersection of dislocations is occurring, screw dislocations will tend to be less mobile than edge dislocations. On the other hand, screw dislocations without any jog are capable of moving more readily from one plane to another if they possess a common slip direction. 4.12 DISLOCATIONS IN CERAMICS Ceramic compounds possess ionic and/or covalent bonding. Crystal structures of ionic ceramics are complex when compared with metallic solids. Likewise the dislocation structure of ionic crystals is somewhat complex. For instance, an edge dislocation in metal crystal may be considered as an insertion of an extra half plane. In case of ionic crystal if a single plane of ions is inserted, as shown in Figure 4.46(a), it results the placement of like charges ions adjacent to one another. This results in strong force of repulsion. Instead if two planes of ions are inserted, as shown in Figure 4.46(b), the alternate cation-anion arrangement is maintained. The dislocation so produced is obviously complex as compared to an edge dislocation in metals. The @Seismicisolation @Seismicisolation
  • 129.
    102 Mechanical Behaviourand Testing of Materials + + - + - + - + - + + - + - + - + - - + - + - + - + + - + - + - + - - + - + - + - + + - + - + - + - - + - + - + - + + - + - + - + - - + + - - + + - - + - + - + - + + - + - + - + - - + - + - + - + + - + - + - + - - + - + - + - + + - + - + - + - - + - + - + - + + - + - + - + - (a) ~ :~1:~ ~1:~ · - + - + - - + - + + - + - + + - + - - + - + - + - + +-+- +-+- - + - + - + - + +-+- +-+- - + -□- + - + - + + - + - + - + - + - - + - + - + - + - + + - + - + - + - + - (b) +-+ -+ + + - + - - + - + + - + - + - + - - + - + + - + - FIGURE 4.46 Creation of an edge dislocation in an ionic crystal: (a) Insertion of an extra half plane of ions to create edge dislocation. This process brings like charges together resulting in high energy. The system is thermodynamically unstable, (b) Insertion of two extra half planes to create edge dislocation. Like charges are not together. The Burgers vector for such edge dislocation is longer than that observed with metals. atomic bonds below the dislocation are rigid. Thus dislocations in ionic crystals are narrow. It is in contrast to dislocations in metals which are wide. Narrow dislocations are very difficult to move. The Burgers vector for this dislocation is larger as compared to that in metallic solids. To illustrate the Burgers vector in ionic crystal consider Figure 4.47 showing various vectors in the unit cell of NiO. This ionic compound has NaCl type crystal lattice with two ions per lattice position. Three vectors are shown in this unit cell. Vector V1 connects an 0 2- ion to a Ni2+ ion that are in contact and therefore V1 is the shortest vector but the ionic positions are not equivalent. So vector V1 cannot represent a valid Burgers vector. In contrast, vector V2 and V3 both represents valid Burgers vectors as they connect equivalent ionic positions. Since the magnitude of vector V3 is smaller (a✓2/2) that of vector V2 (equal to a), vector V3 represent the most common Burgers vector for this crystal structure. This vector is of the form a/2 (1 1 O), which is also the Burgers vector for an FCC lattice of metal crystals. However, along (1 1 O) direction in NiO crystal the ions are not in direct contact in contrast to atoms in FCC metals @Seismicisolation @Seismicisolation
  • 130.
    Dislocation Theory 103 •Ni FIGURE 4.47 Unit cell of NiO crystal showing three possible Burgers vectors. Of these, V3 is the shortest vector having lowest energy and connects the crystallographically equivalent positions and therefore, is preferred vector for slip. V3 is regarded as Burgers vector. where the atoms are in direct contact. The ions are in direct contact along (l OO) directions in NaCl type crystals. Therefore, the Burgers vector a/2 (l O O) in NiO is larger than Burgers vector a/2 (l O O) in FCC metals. Just as slip direction in NiO crystal is not a true close pack direction, the slip planes in ionic crystals are not truly close-packed planes as they are in FCC metals. Planes of {l O O} type are the most densely packed planes in NiO crystal. With few exceptions, number of slip systems in polycrystalline ionic crystals is lower than those in metallic crystals. Dislocations have also been found in covalent crystals. Slip systems in covalent ceramic crystals have some of the same characteristics as those in ionic crystals. The low value of coordination number in covalent ceramic compounds leads to comparatively low atomic packing factors. The values for linear and planar densities are also low for covalent crystals. A consequent effect is the long Burgers vectors just as in ionic crystals. Like ionic crystals, the dislocations in covalent crystals are also narrow and rather more narrow and difficult to move under shear stress. The most commonly observed slip systems in covalent crystals such as Si and Ge are {l l l }(l O O). Dislocations also occur in the crystalline regions of polymers. The geometry of polymer crystals is more complex and the Burgers vectors are considerably larger than other crystal structures because of the size of the polymer unit cells. @Seismicisolation @Seismicisolation
  • 131.
    Deformation of Metals 5.1INTRODUCTION Every material deforms when subjected to external load. The extent of deformation varies with material to material for a given load. For a given material, the extent of deformation varies with variation in magnitude of load. If the load is not enough, the material deforms temporarily, i.e. the material recovers the original dimensions when the external load is withdrawn. This type of deformation is called elastic deformation. If the applied load is large enough, the material may either deform permanently or may undergo fracture. If the material is ductile, it will deform permanently under excessive stress. This type of deformation of material is called plastic deformation. Both elastic deformability and plastic deformability properties of a material are important from the point of view of putting them into service or fabricate them through mechanical deformation process. Elastic deformability under load is important for both metallic materials and nonmetallic materials (such as ceramics) when they are put into service in any desirable form or shape. In many instances, even a small amount of plastic deformation may result in failure of the component or part of a structure or machine. For example, a spring, if deforms permanently even by small amount, loses its function. Plastic deformability is especially important when the material is fabricated by mechanical working process. So understanding the elastic and plastic behaviour of materials is an important consideration while designing a part for structural application. The present chapter deals with the aspects of elastic and plastic deformation. 5.2 ELASTIC DEFORMATION Application of an external load to a metal distorts it by elastically displacing individual atoms from their equilibrium positions. Tensile loads tend to increase the interatomic spacing along 104 @Seismicisolation @Seismicisolation
  • 132.
    Deformation of Metals105 the stress axis; compressive loads tend to reduce it while shearing loads tend to slide each layer of atoms past the next. Whatever the direction of atomic displacement, the atoms tend to return to their original equilibrium positions due to restoring attractive forces. Larger the restoring force less will be the atomic displacement under a given load. For a given strain to be produced, a larger load is required if the restoring force is of higher magnitude. The restoring force depends on interatomic (or intermolecular) bond strength of a solid. In majority of materials, the elastic displacement of atoms is proportional to the load applied. The constant of proportionality is called the modulus of elasticity or Young's modulus or simply elastic modulus. The higher the intermolecular bond strength of a solid, higher will be its elastic modulus. Materials with three dimensional networks of primary bonds exhibit a very large value of modulus of elasticity. For instance, carbon with a three dimensional network of covalent bonds is characterized for very high value of Young's modulus equal to 1140 GPa (giga pascal, l GPa = l x 103 MPa). In general, elastic modulus is an anisotropic property of a crystal. In a crystal its value varies with crystal directions because the bond length, and hence, the bond strength is different in different directions. For example, graphite which has a two-dimensional sheet structure, the value of elastic modulus is 950 GPa in a direction parallel to the sheets whereas the value averaged over all directions is considerably smaller than this. This average value is only 8 GPa. Any elongation or compression of a crystal in one direction caused by an axial force results in a corresponding change in dimension at right angles to the force. Figure 5.l(a) shows an unstrained crystal and in Figure 5.l(b) a small contraction is indicated at right angles to the tensile force. The negative ratio between the lateral strain and the direct tensile strain is commonly called Poisson's ratio. The elastic deformation of a body does not always result in a lengthwise change of a linear element of a body, but it may also result in a change in the initial angle between any two lines. For example, Figure 5.2 illustrates a decrease in angle A from 90° by a small amount a when a pure shear stress is applied to the cubic face. The angular change in the right angle is known as shear strain y and is expressed as the displacement a divided by the spacing between the planes, l. In other words, application of a shear stress results in a FIGURE 5.1 (a) (b) Effect of tensile stress (a) on change in shape of a crystal: (a) Unstrained crystal, (b) Strained crystal. Only one face of the FCC unit cell is shown. /, , ' , ' ' ' T ------- f--~ ' -+--+- ' ------f-- ~' : ' ' ' ---- T ' ' ' ' ' a• ' ' ' ' ' ' ' FIGURE 5.2 Effect of shear stress, r on change in shape of a crystal. @Seismicisolation @Seismicisolation
  • 133.
    106 Mechanical Behaviourand Testing of Materials displacement of one plane of atoms with respect to the adjacent plane of atoms. The ratio all is also a tangent of the shear angle a through which the element has been rotated (as is evident from Figure 5.2). Thus, shear strain r is expressed mathematically as: For a small shear angle a, tan a = a, Therefore, a r=-=tana l r= a (5.1) (5.2) Thus, shear strain can also be expressed as the angle of rotation. The shear modulus G of a material is defined as the ratio of shear stress r to shear strain r, i.e. (5.3) The term shear modulus is also called as the modulus of rigidity and is different from the modulus of elasticity E. The two are related according to the following relationship: G= E 2(1 + V) (5.4) Since, Poisson's ratio v, in general, varies between 0.25 and 0.50; the value of G is approximately 35% of E, i.e. G = 0.35 E (5.5) A third elastic modulus, the bulk modulus K, is also observed in materials and it is defined as the reciprocal of the compressibility /3 of the material, i.e. K=_!__ /3 (5.6) or K =---5!..ft_ (5.7) LlVIV where, ah is the hydrostatic pressure and (LlVIV) is the volume compression (also called volume strain). The bulk modulus in terms of elastic modulus is expressed as: K= E 3(1-2v) (5.8) 5.2.1 Significance of Elastic Modulus At any given temperature and pressure, elastic modulus is predominantly a function of two things namely, the nature of atoms present and their arrangement relative to each other. A metal, solid solution or intermetallic compound in equilibrium has fixed composition and crystal structure and therefore, their elastic modulus is fixed. However, the elastic modulus of such a material can be altered only by significantly changing either the composition of the material or its crystal structure or both. @Seismicisolation @Seismicisolation
  • 134.
    Deformation of Metals107 The elastic modulus of a given metal can be changed somewhat by alloying it with some other element that is soluble in it, since this introduces into its crystal structure foreign atoms which alter the restoring forces developed by a given increment of strain. In general, however, a relatively large alloy addition is required to produce even a small change in elastic modulus. Similarly, cold working improves elastic modulus slightly. Even a heat treatment involving a polymorphic transformation (as in steels, for example) is unable to improve elastic modulus significantly, since the atoms are same and they are in same proportion with only slight change in spacing. The only ways by which stiffness, which is a function of elastic modulus, can be improved are: increasing the section thickness of the structure or machine member, and drastically changing the alloy composition, for example, by substituting bronze for an aluminium alloy or steel for brass. Applications, demand for high elastic modulus, steel is the appropriate choice owing to its relatively high modulus. There is a wide spread and most unfortunate misconception that stiffness of a steel spring, for example, can be greatly increased by substituting a high carbon steel or alloy steel for a low carbon steel or using a cold drawn or cold rolled steel instead of hot rolled or annealed steel, or heat treating the steel to a high level of hardness. In fact, in any of the above method of altering composition, treatment or both, the increase in elastic modulus is not greater than 10%. It is the elastic limit which is increased 5.3 PLASTIC DEFORMATION Plastic deformation of a metal is the permanent deformation which results from the application of stresses beyond the elastic limit. There are two mechanisms of plastic deformation: (i) Deformation by slip (ii) Deformation by twinning 5.3.1 Deformation by Slip Slip is a process of displacement of one part of a crystal with respect to another. Plastic deformation by slip is the most common kind of deformation. Slip occurs most readily on certain crystallographic planes and in certain crystallographic directions. These specific crystallographic planes are called slip planes and the specific directions are called slip directions. Generally, slip planes are the planes of greatest atomic packing and are the most widely spaced planes in a crystal. The combination of particular slip plane and a slip direction in that plane is referred to as a slip or glide system. The overall plastic deformation of a single crystal depends on the number of slip systems available in that crystal. Slip on any active plane (for example, plane {1 1 1} in FCC single crystal) further depends on its orientation with respect to the tensile axis. If the plane is suitably oriented and as the applied shear stress exceeds a critical value called Critical Resolved Shear Stress, slip initiates. Slip in perfect crystal is very difficult. A real crystal always contains dislocations. In presence of dislocations plastic deformation by slip is easy. Figure 4.16 shows the occurrence of slip by dislocation movement. As a dislocation arrives to the surface, a slip step (equal to an atomic spacing) is created in which one atom plane is displaced with respect to the other. This kind of slip is called @Seismicisolation @Seismicisolation
  • 135.
    108 Mechanical Behaviourand Testing of Materials translational slip. However, the mechanism of slip cannot be observed by any means available. Its results can be observed by a change in overall dimension of the crystal, slip bands that appear on the surface or the changes in physical/mechanical properties that are always accompanied by permanent deformation. The progress of slip can be examined by observing the surface of a plastically deformed metal under a microscope. Figure 5.3(a) shows the surface of a polished crystal before and after plastic deformation when subjected to shear stress. Under the action of sufficiently large applied stress, blocks of the crystal slip with respect to one another along slip planes. This parallel displacement of one part of the crystal with respect to neighbouring one across some plane or planes is called slip. As a consequence of this, small offsets or slip steps are created on the surface as indicated in the elevation view of the crystal in Figure 5.3(b). The height of the slip step is very small and depends on the number of dislocations arrived to the surface. Each step , , , , , , , Polished surface r ------------------------------ (a) _L Slip distance - 1000A Slip band---/ ~ T -----I ~ - 100 atomic diameters f--d_Appears as a single line under optical microscope (b) FIGURE 5.3 Profile of slip bands: (a) Undeformed crystal, (b) Elevation of the deformed crystal. @Seismicisolation @Seismicisolation
  • 136.
    Deformation of Metals109 appears as a line on the surface called slip line [Figure 5.3(b)]. Slip generally occurs over small regions of parallel slip planes which results in a number of slip lines. The bundles of these slip lines together is called a slip band. Under optical microscope, a slip bundle appears as a single slip line [Figure 5.3(b)] as it is unable to resolve individual slip lines. The individual slip bands and slip lines are resolvable under electron microscope. If the surface of the deformed crystal is repolished and examined under microscope, slip lines can no longer be seen as they are removed during polishing. The slip line in FCC and HCP metals are straight while they are extremely wavy in BCC metals. At elevated temperatures, plastic deformation can also occur by other modes of deformation such as grain boundary sliding and diffusion creep. 5.3.2 Type of Loading for Plastic Deformation When a load is applied on a metallic crystal and increases to the extent as to exceed its elastic limit, plastic deformation occurs. This plastic deformation is irrecoverable. This permanent deformation continues with increasing load until fracture occurs. The permanent deformation of the metal crystal must occur by some mechanism. Under pure tensile type of force, the atoms in the crystal are pulled resulting in increased interatomic spacing along the stress axis with increasing tensile force. This increase in interatomic spacing along the stress axis continues till the interatomic separation becomes high enough to reduce bonding attraction between atoms to negligibly small. Complete separation of the atoms eventually occurs with the resultant brittle fracture. Under pure compression, the atoms in the crystal are pushed together along the stress axis until the strong forces of repulsion are developed between them exactly balance the greatest compressive load that can be applied. The resultant deformation is purely elastic in nature. Thus pure compression can result in neither permanent deformation nor fracture. The only type of loading which is capable of permanently displacing atoms relative to each other without affecting cohesion between them is a shearing load. Shear is a kind of force which causes or tends to cause two neighbouring parts (or blocks) of the same body to slide relative to each other in the direction parallel to their plane of contact as illustrated in Figure 5.4. The process of lateral displacement of blocks of the same body relative to each other is termed as slip (or glide) or sliding (as mentioned in Section 5.2.1). This kind of slip in a material can be compared to the shear distortion of a pack of playing cards. When a deck of playing cards is subjected to a force on one side, the individual cards slide relative to each other (Figure 5.5). Only shear can produce such kind of effect. But this does not mean that plastic deformation of a metal crystal cannot be produced under tensile or compression loading. In fact, when a tensile or compressive load is applied to a metal, that part of force is effective which is resolved into shearing force parallel to the planes in each crystal along which slip is possible. Plastic deformation will initiate only when a certain definite shear stress is developed along the potential slip planes. In some of the cases such as torsion loading of a rotating shaft, shear stresses are developed by direct shearing loads. In most common cases, shearing stress is developed by tensile, compressive or bending load. @Seismicisolation @Seismicisolation
  • 137.
    110 Mechanical Behaviourand Testing of Materials Slip planes (a) Slip direction Load (b) Load Blocks of crystal FIGURE 5.4 Deformation in a hexagonal crystal by the application of shear force. (a) Before deformation, (b) After deformation. Horizontal lines representing potential slip planes (0 O O 1) in the crystal. - F (a) (b) FIGURE 5.5 Slip in a material is compared with a deck of playing cards subjected to a force F at the top. (a) Deck of cards before slip, (b) Deck of cards after slip. (Only front view is shown) 5.3.3 Potential Slip Planes and Directions in Crystals Within any crystal structure there is one or a few family of planes along which the atoms are more closely spaced than on any other set of planes that can be thought of in it. In these densely-packed planes, there are also certain directions along which the atoms are most closely packed. The planes and directions in which the interatomic spacing is least, the interatomic force of attraction is most and therefore bonding is at maximum. In a given crystal such close- packed planes and directions are considered to be the strongest. The planes with highest density of atomic packing are also farthest apart (Table 5.1), and therefore, the bonding between them is at its minimum. Slip along such planes and directions results in minimum disarrangement in atomic order and is therefore easiest to occur. Since the closest pack planes are farthest apart the Peierls- Nabarro stress ('l"p_N) is low for them (Eq. 4.45 and Eq. 4.46). Also rP-N will be lowest for shortest b (Eq. 4.45) (keeping other parameters constant). A low value of Peierls- Nabarro stress suggests low resistance to slip. Thus, slip generally occurs parallel to these strong planes and directions (along which atoms are normally in contact). @Seismicisolation @Seismicisolation
  • 138.
    Deformation of Metals111 TABLE 5.1 Atomic packing density of some planes in common crystal systems Crystal system Planes Atomic density, Interplaner spacing, Atoms/area a is lattice parameter FCC Octahedral {1 1 1} 4/✓3a2 a/✓3 Dodecahedral {1 1 O} ✓2!a2 a/2✓2 Cube {1 0 O} 2/a2 a/2 HCP Basal (0 0 0 1) 2/✓3a2 C Prismatic {1 0 T O} 2/ac a✓3!2 BCC Octahedral {1 1 1} l/✓3a2 a/2✓3 Dodecahedral {1 1 O} ✓2!a2 a/✓2 Cube {1 0 O} l/a2 a/2 A higher value of Peierls-Nabarro stress is required to produce slip on planes having lower atomic packing density. The planes with lower atomic density, however, become active when some thermal activation energy is available or when slip on closely packed planes is constrained by such conditions as high local stress due to strain hardening, restriction of slip by grain boundaries and so on. The most densely packed planes and directions which provide slip are therefore regarded as slip or glide planes and slip or glide directions, respectively. The slip directions lie in the slip plane. Slip in FCC metals In metals and alloys with FCC structure the slip planes having highest atomic packing density are of the kind {1 1 1} containing the close packed slip directions (1 1 O). Thus slip systems in FCC metals and alloys are of the kind {1 1 1}(l 1 O). The planes {1 1 1) are also called octahedral planes. Though there are eight planes of the type {1 1 1} in FCC unit cell, but since the planes at opposite faces of the octahedron are parallel to each other, there are only four sets of octahedral planes. Each of these four planes contains three (1 1 O) directions. Thus there are in all twelve slip systems in FCC metal crystals. All these twelve slip systems are independent active slip systems and therefore FCC single crystal metals display excellent ductility. [An independent slip system is one which is producing a crystal shape change that cannot be reproduced by any combination of other slip systems]. Therefore metals and alloys having FCC structure are inherently ductile in nature. It is believed that for good ductility there must be a minimum of five independent slip systems in a crystal. In addition to the common {1 1 1} slip planes, in certain FCC metals other set of less densely packed atomic planes also become active for slip to occur at a temperature above ambient temperature. For instance, aluminium has been found to deform plastically on {1 1 0} planes at elevated temperature. Of course, for all these slip planes the slip directions always remain the same along which atoms are in direct contact. Table 5.2 shows the common slip systems in FCC metals. @Seismicisolation @Seismicisolation
  • 139.
    112 Mechanical Behaviourand Testing of Materials TABLE 5.2 Common slip systems and their number in FCC, HCP and BCC metals Crystal structure Slip planes FCC Cu, Al, Ni, Au, Ag, y--Fe, Pb, Pt, etc. {1 1 1} HCP Zn, Cd, Ti, Mg, Be, Co (more {O O O 1} common), y--Ag2Al Ti, Mg, Zr, Be {10 1 O} Ti, Mg, Cd, Be {1 o11} BCC Mo, W, a-Fe, ~Brass {1 1 O} Na, Mo, W, a-Fe {2 1 1} K, a-Fe {3 2 1} NaCl, AgCl {1 1 O} Slip in HCP metals Slip directions (11 O) (112 O) (112 O) (112 O) (111) (111) (111) (1 1 O) Number of slip systems 4 X 3 = 12 1 X 3 = 3 3 X 1 = 3 6 X 1 = 6 6 X 2 = 12 12 X 1 = 12 24 X 1 = 24 6 X 1 = 6 In metals and alloys possessing a HCP structure the type of operative slip system depends in the first place on the c/a ratio (i.e. the lattice ratio). For ideal packing of atoms the c/a ratio of HCP crystals is 1.632. Of the HCP metals, only magnesium and cobalt have c/a ratio close to the ideal value, while the other metals may have their ratios higher or lower than the ideal value (Table 5.3). It is greatest for zinc and cadmium and least for titanium and beryllium. A change TABLE 5.3 c/a Ratio of some HCP metals Metal Cd Zn Mg Co Re Zr Ti Hg Be c/a ratio 1.886 1.856 1.624 1.621 1.617 1.593 1.587 1.586 1.567 in c/a ratio involves a change in the relative close packing of atoms in various planes. At large values of c/a ratio (> 1.632), the (0 0 0 1) planes (also called basal planes) are the most close- packed planes, and therefore, (0001)(112 0) are the common slip systems for Cd, Zn and Mg metals and alloys. Prismatic planes {l O1 0}, on the other hand, act as the closest packed planes at low values of c/a(<l.632). These are the active slip planes for metals Ti, Zr, Mg and Be. The magnitude of critical resolved shear stress is observed to be high for basal slip in Be, Ti and Zr. In Cd and Mg {l OI 0} prismatic planes provide slip especially at high temperatures. For all these slip planes the slip direction is always of the type (11 20). Slip is also found to occur on pyramidal planes {l O11} in Ti (containing impurity), Cd (room temperature) and Mg (at high temperature) crystals. This is particularly true at some higher temperature. Of the three common slip systems (0 0 0 1)(1120), only two are independent. Similarly, only two independent {l 0 I 0}(1120) slip systems have been identified from the three possible prism slip systems. Although four independent pyramidal {l 0 I 1}(1120) slip systems may be @Seismicisolation @Seismicisolation
  • 140.
    Deformation of Metals113 identified from a total six such systems, the resulting deformations can be produced by simultaneous operations of the two independent basal and prism slip systems, respectively. To provide good ductility a fifth independent slip system is still needed. When the common slip planes are not suitably oriented relative to the stress axis, slip has been observed to occur on slip system {l l 2 2}(1 l 2 3) in zinc and slip system {l l 2 2}(1 l 2 3) in cobalt. Slip in BCC metals In BCC crystals, the principal slip planes are of the kind {l l O} having highest atomic packing density, though these planes are not as close packed as octahedral {l l l } planes in FCC or basal (0 0 0 l) plane in HCP crystals. The packing efficiency of these {l l O} planes (also called dodecahedral planes) in BCC crystals is shown in Table 5.1. The Peierls stress, 'l'p_N for {l l O} planes in BCC metals is higher than for {l l l } planes in FCC metals. There are six planes belonging to {l l O} family each containing two close packed (l l l) directions. Thus the most common slip systems in BCC metals and alloys are {l l O}(l l l) with number twelve. In addition to the most common most close-packed {l l O} planes, slip is also found to occur in some BCC metals on less closely packed planes {l l 2} and {l 2 3}. Slip on these planes is confined in the directions (l l l). If all {l l O}, {l l 2} and {l 2 3} slip planes are active then in all there are 48 potential slip systems. Slip seems to occur with equal facility on these planes depending on whichever happen to be oriented most favourably with respect to the direction of applied load. However, these slip planes in BCC crystals are more irregular and less closely packed than most common slip planes in FCC and HCP crystals, the individual crystals of BCC metals require higher shearing stresses to initiate slip due to high Peierls stress and exhibit lower degree of overall plastic deformation before fracture. In general, BCC metals such as a-Fe, a-W, Mo and /3-brass have their ductility values fall between those of FCC and HCP metals. 5.3.4 Critical Resolved Shear Stress It has been discussed that when a crystal is subjected to tensile force, plastic deformation occurs by the process of shear on certain specific crystallographic planes and along certain directions in these planes. Consider a single crystal cylindrical specimen having a cross-sectional area, A and subjected to a uniform tensile force, F. The tensile stress acting on the cross-sectional plane of the specimen is given as FIA. On any plane passing through the specimen but not perpendicular to the tensile axis (the one hatched in Figure 5.6), the applied force can be resolved into two components: a force, S parallel to the plane in question and a force, N normal to this plane. The component of the applied force resolved along the shear or slip plane is responsible for plastic deformation. Relative to F F FIGURE 5.6 Resolution of tensile force, F into shearing force, S and normal force, N on a random plane in a crystal. @Seismicisolation @Seismicisolation
  • 141.
    114 Mechanical Behaviourand Testing of Materials this plane, the slip plane normal, N represents the tensile force for the shear plane. The force N tends to produce separation of atoms on opposite side of the slip plane and so to cause fracture along it. However, until fracture actually occurs, this slip plane normal component of applied force will produce only elastic deformation and does not play any significant role in influencing plastic deformation by slip along the shear plane. It has been found that slip on shear or slip plane in slip direction is initiated only when the resolved shear stress on this slip system attains a threshold (or critical) value called critical resolved shear stress. Critical resolved shear stress can be determined by considering a single crystal subjected to tensile force Fas shown in Figure 4.15. Let As represents the area of the slip plane. The component of the applied force F acting on the slip plane in the slip direction is given as F cos t/J (Figure 4.15). If )., is the angle between the applied force and the slip plane normal (this is also the angle between the slip plane area As and the cross-section A), then one can write The area of the slip plane As is given as: A cos A,=- A. A =-A- s cos A, The shear stress r resolved on the slip plane in the slip direction is given as: Shear force F cos t/J 'rRSS = =---'- Area of shear plane A cos A, 'rRSS =(:)COS tp COS A, rRss =a (cos t/J cos A) (5.9) (5.10) (5.11) where, t/J and )., are the angles which the tensile axis makes with the slip direction and slip plane normal, respectively [Figure (4.15)]. a is the normal stress. Thus, a normal stress applied to a single crystal causes a shear stress on the slip plane along the slip direction. This component of stress, called the Resolved Shear Stress (RSS) can cause slip only when it is large enough. This critical or threshold value of shear stress at which plastic deformation occurs is called Critical Resolved Shear Stress (CRSS), rcRss. This also represents the yield strength of the single crystal. The CRSS is a constant for a given slip system in a given material crystal. The critical normal stress Ge, corresponding to CRSS can be determined using the following relationship. (j = 'rcRSS (5.12) c (cos t/J cos A) The Eq. (5.11) is known as Schmid's law. The factor (cos t/J cos A) represents an orientation factor often referred to as the Schmid factor. The normal stress required to initiate @Seismicisolation @Seismicisolation
  • 142.
    Deformation of Metals115 slip, O'c, is a function of the crystal orientation with respect to the direction of applied force on the crystal axis. The notable point is that the magnitude of O'c is not a material constant. From Eqs. (5.11 and 5.12) it is seen that yielding will occur on the slip system possessing the greatest Schmid factor. Thus resolved shear stress is greatly dependent on the orientation of the potential slip system with respect to the applied stress axis. To illustrate the effect of orientation factor on resolved shear stress let us consider a single crystal of HCP metal [Figure 5.7(a)]. The sample is so loaded that the tensile axis is nearly normal relative to the basal planes {O O O l }. Since the angle </) [Figure 5.7(b)] is nearly 90°, the resolved shear stress on these planes will be very low as the tensile load approaches the ultimate tensile strength of the material. If the angle </) is exactly 90° the shear stress on basal planes will be zero. In this case the load required to rupture the test sample in tension will be reached before the critical shearing stress for slip that has been developed on the basal planes. Consequently, a complete brittle fracture will result without any plastic deformation as illustrated in Figure 5.7(c). In practice this type of fracture is expected whenever a single crystal of a HCP metal is oriented in such a way that its basal planes {O OO l} make an angle greater than about 70° to 80° with the tension axis. Load 9oo= <P~ i (a) (b) (c) FIGURE 5.7 (a) Unit cell of zinc crystal showing most possible slip planes (hatched) and slip directions (arrows): Zinc single crystal specimen is so oriented that its {O OO 1} planes (lined) are normal to the tensile axis, (b) Specimen before fracture, and (c) Specimen after fracture showing brittle behaviour. If the basal planes of the single crystal HCP metal are almost parallel to the tension axis and if the load is maintained approximately uniformly across the section, the shearing component of the load will again be too small to initiate any slip before brittle type fracture. Here, as angle </) tends to zero, angle A [Figure 5.8(a)] tends to 90° and hence the resolved shearing stress tends to be very small. Thus whenever the basal planes of a HCP crystal make an angle of less than about 10° to 20° relative to tension axis, a completely brittle fracture will @Seismicisolation @Seismicisolation
  • 143.
    116 Mechanical Behaviourand Testing of Materials result [Figure 5.8(b)]. If the basal planes of a close packed hexagonal crystal make an angle with the tension axis which is greater than about 20° but less than about 70°, the resolved shearing component of the load will become parallel to basal planes and will be sufficient to initiate slip along them before rupture occurs [Figures 5.9(a) and (b)]. For any given value of</), the orientation factor will be greatest for A=90° - </) =45° so that the resolved shear stress is half of the normal applied stress, i.e. rRss = a cos 45° cos 45° = a/2. For all other combinations of angles </) and A, the resolved shear stress will be less than a/2 in tension. Exactly the same analysis applies to compression loading of the HCP single crystal. Figure 5.10 illustrates the variation of tensile yield stress as a function of Schmid factor. It can be seen that Load 1 = 90 r, (a) (b) FIGURE 5.8 Brittle fracture of a zinc single crystal so oriented that its {O O O 1} planes (lined) are parallel to the tensile axis. (a) Original specimen, (b) specimen after fracture. Load (a) (b) FIGURE 5.9 Ductile fracture of a zinc single crystal so oriented that its {O OO 1} planes (lined) can slip before fracture (a) original specimen; (b) specimen after fracture. @Seismicisolation @Seismicisolation
  • 144.
    Deformation of Metals117 </I = 45° </I= 90° 0.5 </I = 0° -cos¢cosA- FIGURE 5.10 Effect of orientations of HCP single crystal on tensile yield strength for a constant value of CRSS. as the angle of orientation of basal planes approaches 45° with the tension axis, the smallest tensile load (corresponding to greatest Schmid factor) is required to initiate the slip. Also the extent of plastic deformation will be appreciable before fracture. In general, in either tension or compression, resolved shearing stress is zero on planes parallel with or normal to the stress axis and reaches a maximum value equal to one-half the longitudinal tensile or compressive stress on planes which are oriented at 45° relative to that axis. There will be no slip for rRss = zero. If there exists many potential slip systems of the same type in a given crystal but having different orientations relative to applied tensile force, the most active plane is the one on which the CRSS reached first as the specimen is subjected to increasing stress. This slip system is called primary slip system. As the applied stress grows in magnitude, the slip spreads over other, less favourably oriented slip system(s) called secondary slip system(s). Thus, the plane on which slip will first take place will be that having the highest resolved shear stress. Effect of variables on critical resolved shear stress Room temperature values of CRSS vary over a wide range depending on the type of crystal structure or even for metals having the same crystal structure and same slip systems. For example, FCC metals such as aluminium, silver, copper and gold have CRSS typically range from 0.5 to 0.75 MPa while nickel has the value 5.0 MPa. HCP metals such as zinc and magnesium have CRSS of the order of 0.5 MPa for slip systems {0 0 0 l} (1 1 2 0). On the other hand, the CRSS of BCC metals such as iron, niobium, tantalum, and molybdenum typically fall in the range 15 to 96 MPa. Certain ionic crystal having NaCl type structure exhibit CRSS intermediate between those shown by close packed crystals and BCC metals. The exact value of CRSS is further dependent on the amount of impurities present in metals. Impurity content seems to be the most significant variable affecting CRSS of metal crystals. It has been found that CRSS increases with increasing impurity contents in a metal crystal. For instance, silver containing impurities of 0.01 %, 0.03% and 0.07% has been found to exhibit the average CRSS values of 0.47 MPa, 0.71 MPa and 1.28 MPa, respectively. Similarly, cadmium of 0.00 l% impurity possesses a CRSS of about 0.15 MPa whereas material with 0.01 % impurity @Seismicisolation @Seismicisolation
  • 145.
    118 Mechanical Behaviourand Testing of Materials has CRSS of about 0.59 MPa. Critical resolved shear stress has also been found to depend strongly on temperature at which it is measured, in particular, if this temperature is low relative to melting temperature. Figure 5.11 illustrates this effect for a HCP crystal. It is apparent from this figure that the initial yield strength increases significantly with decreasing temperature below 300 K though above this temperature yield strength remains unaffected. This can be correlated to increasing Peierls-Nabarro stress with decreasing temperature. Similar kind of trend has been observed in crystals such as Al and copper. en en a::: u R.T. Temperature - FIGURE 5.11 Effect of temperature on variation of critical resolved shear stress CRSS for a HCP crystal. R.T. stands for room temperature. Let us consider the course of slip in single crystal HCP metal. Figure 5.12 shows single crystal of HCP metal subjected to tensile stress along PP axis. The potential slip planes {0 0 0 l} are also shown in this figure. The crystal is so oriented with respect to the applied tensile stress that the resolved shear stress exceeds the critical value on basal planes and slip initiates in one of (11 2O) directions. If slip is considered to confine on planes parallel to the original orientation of {0 0 0 l} planes [Figure 5.12(a)], then deformation of the crystal will result in displacement of its ends laterally away from the stress axis PP as shown in Figure 5.12(b). This would be equivalent to rotation of the long axis of the specimen, QQ, away from the stress axis, PP, through some angle 0 [Figure 5.12(b)]. The angle 0 will increase with increasing elongation of the specimen. Plastic deformation on parallel basal planes results in off-sets. In practice, the specimen is loaded in tension by gripping its ends in a pair of grips. The grips through which load is transmitted to the specimen exert a restraint force to prevent lateral displacement of ends of the crystal. The grips thus maintain alignment between stress axis and the axis of principal strain and thereby prevent rotation of specimen shown in Figure 5.l2(b). The resultant elongation will occur parallel to the tensile axis while slip occurs on basal planes only. This is possible only if the planes {0 0 0 l} rotate by an angle 0 towards PP, such that QQ and PP coincide. Let slip planes make an angle Xo relative to stress axis before stressing the crystal. This angle decreases as plastic deformation begins and continues to decrease with increase in extension of the crystal. If X; is the angle of reorientation of slip plane with stress axis at any instant after the plastic deformation begins [Figure 5.12(c)] then X; is less than Xo· On the basis of X-ray studies it has been found that crystal planes undergo pure rotation in the middle of the gauge length but experience simultaneous rotation and bending near the end grips [Figure 5.12(c)]. The angle of rotation of the slip plane X; is dependent on the gauge length of the specimen in accordance with the relationship as follows: @Seismicisolation @Seismicisolation
  • 146.
    Deformation of Metals119 Pt I I I I I I I p~ (a) Xo Pt fO 1-~'-- 1 i -----~ ---- . I . I : I . ! I / : I I I I I I I ~ 0 Q,tp (b) tP I I ~p (c) FIGURE 5.12 Deformation of a single crystal of HCP metal under tension. (a) Original specimen showing orientation of slip planes {O O O 1} inclined by an angle Xo with respect to the tensile axis PP, (b) Effect of slip on {O O O 1} planes in (1 1 2 O) directions, and (c) Results of slip together with crystal rotation. L; sin Xo - = - - (5.13) where, L; and L0 are the respective gauge lengths of the specimen after and before plastic deformation. If A0 and A; represent the angles between the axis of tension and the direction of slip before and after plastic deformation, the shear strain e can be written as: e =(c~s A; )-(c~s A0 ) sm X; sm Xo (5.14) In terms of the gauge lengths L0 and L;, the shear strain e can be written as: e =- . l {[(~) 2 - sin2 A0 ] 112 - cos A0 } sm Xo Lo (5.15) 5.3.5 Strain Hardening in Single Crystal Majority of metals are known to deform plastically when the applied stress exceeds the elastic limit. One of the important characteristic of plastic deformation of a metal is that once plastic deformation begins an additional shear stress is required to continue plastic deformation. The increase in shear stress required to continue plastic strain by slip process because of the @Seismicisolation @Seismicisolation
  • 147.
    120 Mechanical Behaviourand Testing of Materials previous strain is commonly termed as strain hardening or work hardening. The slope of the stress-strain curve in the plastic range is used to define the rate of strain-hardening. Strain- hardening is known to occur when glide dislocations moving on the slip plane offer some obstacle such as intersecting dislocations or other barriers which impede their motion. Since slip is known to occur by motion of dislocations, there must be some source generating dislocations with increasing strain. Frank-Read source is one such dislocation source (described in Section 4.10) which multiply dislocations with increasing strain. The pile up of dislocations on a barrier on slip plane is believed to be responsible of strain hardening in metals. Since dislocations in the pile up are of like sign they repel each other. As a consequence a back stress is developed in the direction opposite to the applied stress. This back stress tends dislocation source to stop operating. That is, this back stress opposes the applied stress. In order to continue plastic deformation by gliding dislocations on slip plane the applied shear stress has to be increased. Thus the resultant effect is strain hardening. This mechanism of strengthening has been demonstrated experimentally. In this experiment a single crystal specimen of zinc metal is exposed to shear stress. The purpose of selecting Zn crystals for the experiment is that slip in such crystals is confined to parallel basal planes only and complications due to multiple slip is avoided. In the experiment the shear stress is applied until the specimen deforms to some plastic strain at B as shown in Figure 5.13. Yielding begins at shear stress corresponds to point A in this figure. The increase of stress from point A to B with strain indicates strain hardening. At point B, the specimen is unloaded. Now the specimen is reloaded but in the reverse direction. The specimen is found to yield at a stress lower than the yield stress when it was loaded initially. This stress is indicated by the point D. This lowering of yield stress shown by the specimen upon loading in the reverse direction can be correlated to the relaxation of back stress developed during initial loading cycle. The dislocations move in the reverse direction during reverse cycle of loading the specimen. The dislocations at the tail of the pile-up are more widely spaced than those at the head. These dislocations therefore move to relatively longer distances at relatively lower stress. The dislocations of opposite sign could be created on the same sources that produced dislocations responsible for initial shear strain. As a consequence dislocations of opposite sign will attract and annihilate each other resulting in softening of the crystal. Annihilation of dislocations also leads to reduction in dislocation density in the pile up at the barrier thereby reducing the intensity of back stress on the dislocation source. For this reason the stress-strain curve of the specimen during reverse cycle of loading is lower than that during initial loading. The lowering of yield strength when the direction of deformation is reversed is called Bauschinger effect. -f FIGURE 5.13 +a o: I ' ' ' ' E' ' ' ' ' ' ' B +t: - a Bauschinger effect and hysteresis loop. Arrows along the loop indicate direction of loading or unloading. @Seismicisolation @Seismicisolation
  • 148.
    Deformation of Metals121 Let us know the barriers to dislocation motion in metal single crystals. In impure single crystals, the obstacles to dislocation motion on the slip plane can be foreign atoms, second phase precipitates or dispersoids. In case of pure metal single crystals, however, these obstacles do not exist. Obstacles to pile-up of dislocations in such crystals are created when moving glide dislocations react at the line of intersection of intersecting planes. This kind of reaction results in creation of a new dislocation which lies in a plane of high shear stress. The mobility of the new dislocation in the plane containing it is very low. The dislocation is said to be immobile and is commonly termed as sessile dislocation. This sessile dislocation acts as barrier to motion of other dislocations on intersecting active slip planes. A pile-up of dislocation thus results on this sessile dislocation resulting in strain hardening. Another kind of obstacles in pure metal single crystals is created when a moving screw dislocation intersects another screw dislocation on active slip plane. The intersection of screw dislocations results in creation of a jog in one of the screw dislocations which in turn is edge in character and makes rest of the screw dislocation immobile. This jog acts as barrier to glide dislocations and prevents screw dislocations from cross-slipping. Thus strain-hardening occurs. The strain hardening that results from the previous deformation is a remarkable peculiarity of ductile metals and is directly associated with dislocation structure that forms on deformation and prevents further deformation of the metal. As a result the critical shear stress required for further deformation varies in the course of process. Strain-hardening behaviour can best be characterized by examining the stress-strain curve of single crystals. The slope of the curve in the plastic range represents the rate of strain hardening. Therefore stress-strain curves also sometimes said to be hardening curves. Figure 5.14 shows the shear stress-shear strain curves of single crystal magnesium, copper and iron. The tensile stress is so applied on these crystals that the resolves shear stress is highest on primary single slip system so that the major portion of the strain produced is due to single slip system. A minor portion of strain may be caused due to slip on secondary slip system. It may so happen that as slip occurs on primary slip system which is most favourably oriented with respect to the applied stress, strain hardening occurs. As a result the applied stress has to be increased for further deformation to occur. This increased stress may exceed the critical stress required for slip to occur on less favourably oriented secondary slip planes. Thus, of the total strain produced a minor portion might have produced due to secondary slip system. Generally in FCC and HCP metal single crystals slip is primarily due to single slip system, in BCC metal single crystals in the start of plastic deformation slip is likely to occur on more than two slip planes which share the direction of maximum stress rather than on a single plane. 70 <Ji 50 (/) ~ 1ii 40 iii Q) .s:: (/) 30 "C Q) > 0 20 (/) Q) a:: 10 0 FIGURE 5.14 Fe Cu 10 20 30 40 50 60 Resolved shear strain,% Shear stress-shear strain curves of single crystal magnesium, copper and iron. @Seismicisolation @Seismicisolation
  • 149.
    122 Mechanical Behaviourand Testing of Materials In Figure 5.14, among the three strain hardening curves, the stress-strain curve of copper is the most typical one. It shows more clearly than the others that hardening passes through three distinct stages. A separate resolved shear stress-shear strain curve for pure single crystal FCC metals is shown in Figure 5.15. This curve represents three distinct stages of deformation though all these stages may not always be present in the stress-strain curve. Apart from the type of lattice (as is evident from Figure 5.14), the span of all the three stages depends on the test temperature and rate of deformation, orientation of the crystal, the crystal purity, quantity and nature of impurities and alloying elements, initial dislocation density, and crystal size, and the stacking fault energy and the c/a ratio (for HCP metals). The three stages of stress-strain curve are shown in Figure 5.15. -, Stage I (I) _ _ _ _ ___, (/) ~ t, ai Ql .s:::. (/) "Cl ~ 0 (/) Ql 0::: Stage II : Stage III ..___. ' '' strain hardening rate due to dynamic recovery Resolved shear strain, r FIGURE 5.15 Typical stress-strain curve of a pure FCC metal. Stage I is the region of easy glide that occurs immediately after the initial elastic response of the crystal is over. The curve is linear in this region but displaying little strain hardening with appreciable strain. This is why this stage is termed as Easy glide. The flow curve is almost flat. The little strain hardening during stage I, can be correlated to the slip that occurs only on single slip-system (as in case of most HCP single crystals). There are no substantial obstacles to dislocation movement and therefore the free path of dislocations is long. Under the influence of shear stress, the generated dislocations quickly escape from the surface of the crystal without encountering barriers and produce slip steps. This kind of plastic flow is also termed as Laminar flow. The magnitude of stress during easy glide markedly depends on the crystal purity. For instance, single crystal of zinc with a purity of 99.96% exhibits a glide stress of about 0.95 MPa at the initiation of easy glide stage as against 0.18 MPa for the same crystal with a purity of 99.99% Zn. @Seismicisolation @Seismicisolation
  • 150.
    Deformation of Metals123 Stage II starts after the end of Laminar flow or easy glide stage. During this regime the flow curve is linear with rapid increase of strain-hardening (by a factor of about 30 as compared to strain hardening during easy glide). This stage initiates when resolved shear stress exceeds the critical value on more than one set of slip systems. As a result dislocations combine on intersecting slip planes and produce Lamer-Cottrell barriers. The number of these barriers increases with increasing plastic strain. These are the barriers to the motion of other dislocations on respective slip planes. As the number of Lamer-Cottrell barriers increases, further movement of dislocations, and hence, the plastic strain becomes more and more difficult. The resultant effect is the increased strain-hardening. This stage is independent of temperature, though the moment at which stage II passes to the third stage is variable. The portion of the strain hardening curve corresponding to Stage III is typically parabolic rather than linear (Figure 5.15). During this stage, strain hardening rate decreases with increasing strain. In this region of the flow curve the level of applied stress is sufficient to activate screw dislocations in the pile-up at the barriers to cross-slip on to low energy adjacent planes where there is either no obstacle to its motion resulting in increased strain or screw dislocations of opposite sign exist. The opposite kind dislocations attract each other and eventually annihilate. As a consequence dislocation density decreases. This process of cross-slip is, thus, a recovery process because strain hardening is reduced. Hence, Stage III of flow curve is commonly called dynamic recovery. The onset of stage III is highly sensitive to temperature of deformation. As the temperature of the crystal rises, recovery process takes place at rapid rate, i.e. the onset of stage III shifts towards lower values of strain. The only mechanism of strain hardening during the third stage is the intersection of forests of dislocations. Work hardening may also result if the screw dislocation that cross glide to adjacent parallel plane encounters an obstacle. It can further be noted in Figure 5.14, that HCP metals, in general, display least strain hardening response. This is because in single crystals of HCP metals the common active slip planes are the basal planes and these are parallel to one another. In such cases, Frank-Read sources in the basal planes can operate continuously for an unlimited period, as the loops produced by the sources can move out and escape from the surface. The dislocation source operates at almost the same shear stress and the rate of strain hardening is very little. However, if the tensile stress axis is oriented suitably with respected to nonparallel less common slip planes (such as prismatic and pyramidal planes) slip may take place there. Dislocations on these nonparallel planes can intersect to produce higher rate of strain hardening. In metals with BCC and FCC crystals, the active slip planes are intersecting and therefore as dislocations move on such planes they react on line of intersection and produce immobile dislocations that impart increased rate of strain hardening. 5.3.6 Structural Changes in Cold Worked Polycrystalline Metals and Alloys Majority of metallic materials used today are polycrystalline in nature. Plastic deformation of a polycrystalline metallic material results not only in a permanent change in its external shape but also brought about changes in internal structure such as change in shape and size of grains, generation of imperfections, development of a texture and so on. The eventual effect is hardening of the metal. That is, the metallic material is said to be strain hardened. If plastic @Seismicisolation @Seismicisolation
  • 151.
    124 Mechanical Behaviourand Testing of Materials deformation is carried out in the temperature region (generally below 0.4 Tm, where, Tm is the temperature in °K) and over a period of time such that the effects of strain hardening are retained and changes of internal structure are maintained, it is called cold working. Plastic deformation of a material is associated with generation of crystal imperfections including point, line, and surface defects. Of these, the line imperfections are of great concerned. Point imperfections such as vacancies and interstitialcy atoms can be produced by gliding jogged screw dislocations or by annihilation of edge dislocations of opposite sign in the adjacent planes (Refer Chapter 4) or when edge dislocations climb down or by any other mechanism. Dislocation density is increased from as low as 106/cm2 in annealed state to as high as 1012/cm2 in heavily deformed crystals. All these imperfections produce distortion of the lattice and raise the internal energy of the metal or alloy. Of the total energy expended in cold working about 10% remains stored within the crystalline metal and the remaining is lost as heat. The major contributor to the stored energy (called inherent energy) is increased dislocation density. The number of stacking faults also increases with increasing the degree of cold working. Many other defects such as kinks, jogs, dipoles, prismatic dislocations can also be produced during cold working. All these imperfections give rise to internal stresses. Changes in external shape of a metal being deformed must of course, be reflected in its internal structure by corresponding changes in the shape of individual crystals (or grains) of which it is composed of. However, not all crystals present in a given metal section will deform in exactly the same way or to precisely the same extent due to differences in composition, crystal structure, original shape and orientation. In a homogeneous metal or alloy, when the extent of deformation is reasonably uniform throughout the section under consideration, in order to maintain cohesion between the adjacent grains, all individual grains undergo similar changes in shape as deformation continues. If these grains are originally equiaxed, they all undergo elongation and reduced in thickness as the metal is rolled down into a sheet or drawn into a wire form. This kind of change becomes apparent in microstructure when the metal or alloy is reduced in section by 20-30% as shown schematically in Figure 5.16. The grains are elongated in the direction of flow of metal, i.e. a microscopic anisotropy is obtained. The extent of elongation of individual crystals increases with degree of cold working. With very extensive reductions, it is very difficult to bring out clearly the grain boundaries within the structure. The structure appears fibrous. With increasing degree of cold deformation, the elongated grains may break up into smaller grains also. Whichever is the forming operation whether cold rolling, deep drawing, wire drawing, or cold pressing, elongation of each individual grains must necessarily be the direction in which the principal flow of metal occurs in vicinity to that grain. Thus microscopic examination of the change in crystal shape produced during deformation is often useful in studying metal flow during complex forming operations. This information in turn is useful in overcoming operational difficulties and improving the design of dies, rolls, and forming tools, in general. The metal is strong in the direction in which the grains have been elongated. This kind of structure is highly useful in many forged products such as crankshaft, camshaft, crane hooks, and connecting rod. In a metal or alloy containing some heterogeneity like metallic or nonmetallic inclusions, segregation, etc. is cold worked; these heterogeneities also get elongated along with the individual grains of the polycrystalline material and form a banded structure. @Seismicisolation @Seismicisolation
  • 152.
    Deformation of Metals125 Deformation direction - (a) (b) FIGURE 5.16 Schematic representation of microstructural change during plastic deformation. (a) Original equiaxed grain structure before deformation, (b) Cold rolled to about 40% in thickness. The grains have been elongated in the direction of rolling. In the early part of deformation, a cell like structure can also be developed in metals, in particular, those having high stacking fault energy. In the early stages of plastic deformation, slip occurs on primary glide planes and an array of dislocations is produced. As plastic deformation continues cross-slip takes place and the process of dislocation multiplication operates. This leads to the formation of high dislocation density regions called tangles which in tum developed into tangled network (Figure 5.17). The resultant structure after appreciable plastic deformation is termed as cellular structure (Figure 5.18). This kind of structure is a characteristic structure of a cold worked state of metal. In this structure the high density dislocation tangles form the cell walls. The cell size decreases with strain at low deformation but soon attains a fixed size, indicating that as strain proceeds the dislocations sweep across the cells and join the tangle in the cell walls. Thus, the interior of the cell is predominantly depleted with respect to dislocations. Dislocation free regions Cell FIGURE 5.17 Cold worked structure showing dislocation tangles. Dislocation free regions FIGURE 5.18 Dislocation cell structure deve- loped after heavy deformation of about 50%. @Seismicisolation @Seismicisolation
  • 153.
    126 Mechanical Behaviourand Testing of Materials Preferred orientation (crystallographic texture) Cold working also results in the development of a texture. Most of the methods of deforming polycrystalline metals result in the predominance of a particular crystallographic direction or plane parallel to the direction of deformation in a majority of individual crystals. When a single crystal is deformed under tension the slip direction is observed to rotate until it becomes nearly parallel to the tensile axis. Similarly, if a polycrystalline metal is subjected to tensile deformation, the atomic planes in its individual crystals rotate and tend to align with respect to the axis of tensile stress. A texture or the so called preferred orientation is said to be developed. In other words, a crystallographic anisotropy is developed. The nature of the texture developed depends on the particular process of deformation used and also on the crystal structure of the metal or alloy. There are several types of deformation texture which are determined primarily by the type of deformation process used and the characteristic stress distribution each process imposes. In the deformation processes such as wire drawing, swaging, extrusion, etc. the individual crystals are elongated in the direction of working. The structure appears to be fibrous. The fibre texture is characterized by a crystallographic direction of low indices parallel to the stress axis. For instance, the BCC polycrystalline metals deformed by wire drawing have a fibre texture with (1 1 O) direction parallel to the wire axis. The perfection of texture increases with the degree of plastic deformation. In case of FCC polycrystalline metals, the fibre texture may be (1 1 1) and/or (1 0 O) direction parallel to the wire axis depending on the stacking fault energy (SFE) of the metal. A metal with higher SFE such as aluminium, has a single (1 1 1) texture, whereas silver and brass with relatively lower SFE exhibit a predominantly (1 0 O) texture with some (1 1 1) texture. HCP metals such as magnesium, when wire drawn, the basal planes rotate in such a way that (10 I 0) direction in the basal plane becomes parallel to the wire axis. In general, cold extruded and swaged metals exhibit fibre textures similar to those occurring as a result of wire drawing. Some common textures produced by cold working are given in the Table 5.4. TABLE 5.4 Some common texures produced by cold working Crystal structure Mode of working Texture FCC Wire drawing and extrusion (1 1 1) Parallel to wire axis (1 0 0) BCC Wire drawing and extrusion (1 1 0) Parallel to wire axis HCP Wire drawing and extrusion (1 0 T0) Parallel to wire axis FCC Rolling {1 1 0} Parallel to rolling plane (1 1 2) Parallel to rolling direction BCC Rolling {0 0 1} Parallel to rolling plane (1 1 0) Parallel to rolling direction HCP Rolling {0 0 0 1} Parallel to rolling plane (1 120) Parallel to rolling direction @Seismicisolation @Seismicisolation
  • 154.
    Deformation of Metals127 The texture developed on rolling a metal or alloy is frequently called as rolling texture. A rolling texture not only has a specific crystallographic direction (like fibre texture), parallel to the direction of rolling, but also a plane of low indices in the rolling plane. Like fibre texture, ideal rolling texture is developed only after extensive cold deformation (say 80-90%). In addition, more than one marked texture can coexist in a particular rolled metal. Smaller amounts of minor texture components may also be present. The rolling texture commonly observed in FCC metals and alloys is {1 1 0}(1 1 2) with a {1 1 0} plane lying in the rolling plane and a (1 1 2) direction in the rolling direction. In addition to this common texture, varying amounts of second texture {1 4 6}(2 1 1) is also found in high purity copper which eventually changes to ideal common texture {1 1 2}(1 1 1) only after extensive deformation. This later texture is termed as copper texture. The kind of predominant rolling texture is greatly influenced by the SFE of metals and alloys. For instance, high purity copper which has relatively high SFE (~ 60 erg/cm2) exhibits copper texture. On the other hand, pure silver having substantially lower SFE (~ 35 erg/cm2) than pure copper, develops a simple {l 1 0}(l 1 2) texture on cold rolling. This texture is described as a typical alloy or brass texture as it is common with a-brass containing a minimum of 10% zinc. A number of FCC metals display a transition of texture from copper texture to brass texture if alloyed with elements which lower SFE of the metal sufficiently. The transition in texture seems to occur at a SFE of about 30-40 erg/cm2• The type of rolling texture developed in a FCC metal or alloy is also dependent on temperature. A rise in temperature of deformation favours copper texture rather than brass texture, so that only the metals or alloys with very low SFE can retain the brass texture when temperature is raised, for example, to 0.5 Tm. Another example is 18-8 austenitic stainless steel, which has a fairly low SFE, develop a gradual transition from {1 1 0}(l 1 2) brass texture to that of pure metal texture as the rolling temperature is raised from 200°C to 800°C. This behaviour is also accompanied with reduced frequency of stacking faults. In all FCC metals, a brass texture is developed at low deformation, but as deformation proceeds, this texture is replaced by more complex texture in case of metals with high SFE. For example, commercial aluminium develops a {1 1 0}(l 1 2) texture after about 45% reduction, but this is soon changed to a texture approximating to {1 1 2}(1 1 1). On the other hand, silver with substantially low SFE retains the brass type texture up to 99% reduction. The predominant orientation developed in BCC metals and alloys is {0 0 1}(l 1 0) with cube planes in the rolling plane. In addition, other textures such as {1 1 2}(1 1 0) and {1 1 1}(l 1 0) have also been reported by investigators. Hexagonal metals tend to develop the basal plane parallel to the rolling plane and the close packed direction (1 1 2 0) parallel to the rolling direction. This texture is most commonly found in those HCP metals with near-ideal axial ratios, such as magnesium and cobalt. Industrial importance of texture In HCP metals, slip is confined on single set of slip planes {0 0 0 1}, whereas in cubic metals slip occurs on intersecting sets of potential slip planes. The directionality of properties that result from the development of texture in cubic metals therefore, is neither so extreme nor so disastrous as it is in HCP metals. Still it is a real source of trouble in forming or fabricating operations or in service. Thus when cupped or drawn shapes are formed from cold reduced copper sheets or any other cold finished cubic metal, four symmetrically arranged ears usually form on the upper rim of the shape, as illustrated in Figure 5.19. Earing results from directionality @Seismicisolation @Seismicisolation
  • 155.
    128 Mechanical Behaviourand Testing of Materials / ,, I '/ I/ ' / ' L, __l/ (a) (b) FIGURE 5.19 The cups deep drawn from a FCC metal sheet having: (a) Random grain orientation, (b) Preferred grain orientation displaying earing. of properties in the blank from which the shape is produced. Each ear represents the direction in which resistance to deformation was relatively low. As a consequence greater than the average elongation occurs in the region of the ears this in turn is associated with greater than the average reduction in thickness of the sheet. Thus earing results in variation in the wall thickness of the drawn shape. In an industrial operation, such ears are discarded by trimming. Thus there is loss of material and wastage of time. Further, earing indicates directionality of properties so pronounced that splitting of the metal is likely to occur either during the drawing operation itself or in some latter forming operation (e.g. flanging the cup), or in service. In case of cold rolled steel sheet, which are predominantly a-steel with BCC structure, the preferred orientation results in lowering of yield strength, tensile strength and ductility across the grains, i.e. in the direction transverse to the rolling direction than parallel to it. Such sheets are commonly cross-rolled for deep drawing purposes, and other operation, i.e. rolling them alternately in two dimensions at normal to each other, to break up the preferred orientation that would develop if all the deformation is carried out in the same direction. However, cross-rolling is expensive. It is done only in case it is economical. The advantage of preferred orientation is derived in producing grain oriented silicon-iron transformer sheets, special treatments (i.e. carefully controlled rolling and annealing cycles) are used to produce coarse-grained metal with near perfect texture. The finished sheets are trimmed and assembled so that the (l OO) direction, which is parallel to the direction of rolling, will also be parallel to the direction of magnetic field imposed on the metal in service. In iron, (l O O) directions are those in which magnetization occurs most readily, while (l l O) directions (transverse to the sheet) have much lower permeability. This arrangement, therefore, greatly increases permeability and significantly reduces hysteresis losses in the transformer core. 5.3.7 Annealing of Cold Worked Metals Cold working of metals and alloys results in increased stored energy due to lattice distortion caused by various crystal imperfections. The major contributor to increased stored internal energy is increased dislocation density. The original grain structure is also destroyed during cold working. On the one hand, some properties such as yield strength, hardness, tensile strength, electrical resistivity, coefficient of thermal expansion and chemical reactivity are @Seismicisolation @Seismicisolation
  • 156.
    Deformation of Metals129 enhanced as a consequence of strain hardening, the other properties such as ductility, electrical and thermal conductivities and magnetic permeability are deteriorated on the other hand. In order to relieve the internal stresses and to restore the properties that are deteriorated due to cold working, the metal or alloy is subjected to a heat treatment process called annealing. Once the metal or alloy is annealed it is capable of deforming further if so required. Thus annealing is used as an intermittent process when considerably large reductions are needed. The treatment is then regarded as intermittent annealing treatment. One or more number of intermittent annealing may be required depending on the characteristic of the metal or alloy or the extent of reductions needed. This annealing may be a final heat treatment for the concerned metal or alloy. The process of annealing occurs in three stages namely, recovery, recrystallization and grain growth. Recovery It is the first stage of annealing. When the strain hardened metal is heated to relatively lower temperatures, usually near about 0.3 Tm (where, Tm is the melting temperature in K), the process called recovery starts. During the stage of recovery the internal stresses are relieved as a result of reduction in number of excess structural defects, in particular, dislocations. Some of the structural imperfections are rearranged to low energy configurations. The grain structure remains unaffected during this stage of heating. The consequent effect of reduction in density of imperfections, in particular, point imperfections is the restoration of electrical conductivity that was reduced due to increased density of imperfections during plastic working. The mechanical properties generally do not change during recovery stage. As such there is no change in microstructure of the metal or alloy. The two basic processes that occur during recovery process are: (i) Annihilation of a portion of point imperfections and rearrangement of others to a special configuration of low energy. (ii) Annihilation of most of the dislocations and rearrangement of many others to a low energy configuration. In both the above processes, annihilation of imperfections occurs prior to their rearrangements. The notable point here is that depending on the temperature of cold deformation, a part of the recovery processes may occur simultaneously with deformation. This phenomenon is called dynamic recovery. Mechanism of annihilation and rearrangement of point imperfections There are various ways in which point imperfections can be annihilated. Interstitialcy atoms diffuse to vacancies and annihilate each other. The point imperfections also diffuse and sink to dislocations as well as high angle grain boundaries thereby reducing their concentration. Interstitialcy atoms diffuse to edge dislocations to climb them down. Similarly, vacancies also diffuse to edge dislocations resulting in their climbing up. Reduction in density of point imperfections can be monitored by experimentally measuring the electrical resistivity of the crystal as a function of annealing time. A reduction in electrical resistivity indicates the elimination of excessive point imperfections. In the cold deformed crystal, point defects if present in excess, act as the centres for scattering electrons thereby raising electrical resistivity. @Seismicisolation @Seismicisolation
  • 157.
    130 Mechanical Behaviourand Testing of Materials Mechanism of annihilation and rearrangement of dislocations As the temperature of annealing is increased, annihilation of excessive dislocations and their rearrangement occur. A pair of opposite sign of dislocations (edge as well as screw type) lying on the same slip plane approach each other due to force of attraction they experience and annihilate each other (as discussed in Chapter 4). If edge dislocations of opposite sign are lying on the parallel slip planes, their coming together may result in a row of vacancies or interstialcy. These point defects can be annihilated according to the mechanisms discussed in the previous paragraph. Once dislocations of opposite sign are annihilated, excess dislocations of the same sign are leftover. These randomly distributed dislocations of like sign in a bent crystal [Figure 5.20(a)] diffuse and arrange one below the other in the form of a wall [Figure 5.20(b)]. This configuration has lower energy as compared to when these dislocations have random distribution. This is because the tensile stress field of a dislocation is partly counterbalanced by the compressive stress field of the dislocation lying below it. Thus, the elastic strain energy of this configuration [Figure 5.20(b)] of dislocations is lower than that shown in Figure 5.20(a). The excess edge dislocations form the tilt boundary while the excess screw dislocations form a twist boundary. This leads to the formation of subgrains (also called polygons) in a single grain or individual crystal. The dislocation wall separating the subgrains or polygons is called low angle grain boundary (or tilt boundary if the angle of misorientation is of the order of l-2°). The process of redistribution of dislocations into walls to result in the formation of polygons is called polygonization, as illustrated in Figure 5.20(b). The polygons or subgrains are free of dislocations and are separated from each other by low angle dislocation boundaries. Planar surfaces (a) (b) Sub-grain boundaries Polygon or sub-grains FIGURE 5.20 Process of polygonization: (a) Random arrangement of like sign edge dislocations in a bent crystal, (b) Dislocations of the same sign rearranged into arrays forming sub- boundaries separating polygons or the so called subgrains. Recrystallization The stage of recrystallization starts immediately after polygonization if the material is annealed for longer time or if its temperature is raised. This stage involves the major change in microstructure. The new strain free grains develop at the expense of distorted cold deformed @Seismicisolation @Seismicisolation
  • 158.
    Deformation of Metals131 grain structure. The volume energy of the deformed grains is reduced by reducing the number of structural defects. In fact, the reduction in volume energy of the cold worked material is the driving force for recrystallization to occur. Recrystallization results in reduction of hardness and both yield and tensile strength and improvement of ductility. The physical properties that were reduced as a consequence of cold reduction are now fully restored. Recrystallization can be described as a nucleation and growth process during which strain free crystals nucleate and grow in the deformed metal. Usually recrystallization is carried out at certain temperature over a period of time. A typical isothermal recrystallization curve is shown in Figure 5.21 . The graph shows an incubation period followed by recrystallization curve. In the beginning, recrystallization occurs slowly, and then increases somewhat rapidly and finally slowed down near to completion. In those cases where polygonization is essentially completed before the start of recrystallization, the stored energy can be assumed to be confined to dislocations in the polygon walls. The strain free new crystals or grains are nucleated by the growth of subgrains developed during the stage of recovery. Experimental observations suggest three models for nucleation of recrystallization in metals: by the migration of preexisting grain boundaries between neighbouring grains, by motion of subgrain boundary or by coalescence of subgrains. All these processes involve diffusion of atoms which is primarily a temperature dependent process. 100 90 -,f2. 80 c 70 .Q 1ii 60 ~ 1§ Cl) 50 c=- 40 (.) Q) et:: 30 20 10 0 ' ------T------------ Time at which 50% recrsytallization is over !/ Time of annealing FIGURE 5.21 A typical isothermal transformation (recrystallization) curve for a metal at certain temperature. In all these models, diffusion plays an important role such as for dislocation climb, volume diffusion (for coalescence), and so on. Thus the formation of recrystallized nucleus is a thermally activated process, i.e. the higher the temperature the lower will be the time of nucleation for recrystallization. Conversely, as the temperature of annealing decreases it needs longer time for recrystallization to complete. Generally, recrystallization occurs over a narrow range of temperature above 0.3 Tm to 0.5 Tm of the material (where Tm is the melting temperature in Kelvin). This temperature is arbitrarily defined as the temperature at which 50% of the cold worked metal recrystallizes in l hour. @Seismicisolation @Seismicisolation
  • 159.
    132 Mechanical Behaviourand Testing of Materials Factors affecting recrystallization temperature Recrystallization temperature depends on several factors, namely, degree of cold deformation, purity of metal, original grain size of the metal, temperature of deformation, melting temperature of the metal and time at temperature. In general, as the degree of plastic deformation increases, the process of recrystallization occurs rapidly i.e. in a shorter time at a certain fixed temperature. In other words, if annealing is carried out at a constant temperature, the metal with higher degree of cold working recrystallizes faster than that with lower degree of cold working and also needs a shorter incubation period before beginning of recrystallization. An excessive degree of cold deformation generates a higher density of dislocations (and higher amount of stored energy) which in turn results in quick dislocation arrangement to subgrain structure and consequently a fine size of subgrains with a large grain boundary area. This structure favours a shorter time for the formation of active nucleus of strain free crystals during recrystallization and hence a fine grain structure after recrystallization process gets over. On the other hand, if the amount of cold deformation before annealing is very low, subgrains form on heating and they grow and attain a large size with low angle boundaries. This structure prevents recrystallization process to occur. Thus there is a critical value of cold working (normally range from 2-20%) below which, on annealing, recrystallization does not occur even at temperature near the melting temperature of the metal. Of course, the processes such as recovery or grain growth are possible. This minimum amount of deformation is called critical deformation and is defined as the minimum deformation necessary to cause recrystallization in a metal within a reasonable time of heating. Purity of a metal also affects the recrystallization temperature. In general, higher the purity of a metal lower is the recrystallization temperature (say between 0.3-0.4 Tm)- Recrystallization temperature increases with both the concentration of impurity in a metal and by increasing the alloy content. Impure metals may recrystallize only around 0.5-0.6 Tm. For instance, aluminium with 99.99% purity has recrystallization temperature of 100°C (0.4 Tm) as against 240°C (about 0.56 Tm) shown by aluminium with 99.7% purity. Nickel with 99.99% purity has a recrystallization temperature of 370°C as against 600°C for Monel metal (70%Ni-30%Cu). In case of alloy, the recrystallization temperature increases with alloy content. In an alloy, solute atoms are elastically attracted to dislocations inside the grain and form Cottrell atmospheres. These Cottrell atmospheres restrict the movement and rearrangement of dislocations, which is required for the formation of recrystallization nucleus. The solute atoms are also tend to segregate to grain boundaries whose movement is thus decreased. This also helps in retarding the nucleation and growth of recrystallization nuclei. A uniform dispersion of second phase inert particles also raises the recrystallization temperature. For instance, dispersion of 10% of alumina particles in aluminium raises the recrystallization temperature to about 0.9 Tm. The initial grain size before cold working also affects the recrystallization behaviour of a metal. A lower original grain size needs higher degree of cold working to achieve an equivalent recrystallization effect. Finer initial grain size lowers the recrystallization temperature. A higher temperature of cold deformation needs greater degree of cold working to achieve an equivalent recrystallization effect. Working at higher temperature results in partial recovery (called dynamic recovery). The consequent effect is lower amount of stored energy and vacancy concentration. Lower amount of stored energy is unable to provide driving force required for @Seismicisolation @Seismicisolation
  • 160.
    Deformation of Metals133 recrystallization to occur. Thus, the higher the cold working temperature higher will be the recrystallization temperature. In fact, a decreased concentration of vacancies slows down the diffusion processes which in turn control the rate of formation of recrystallization nuclei. For a given amount of deformation, higher is the rate of deformation lower will be the recrystallization temperature. A higher rate of deformation leads to higher density of dislocations of like sign and therefore higher driving force to nucleate recrystallization grains. Grain growth When deformed grain structure is almost totally replaced by strain free crystals during recrystallization annealing the stage of recrystallization is said to be completed. If heating of the metal continues at the same temperature or if the temperature is raised, the grain boundaries start migrating slowly to coarsen certain grains at the expense of others. The average grain size of the metal or alloy thus increases. The driving force for grain growth is the energy released as an atom moves across a grain boundary from the convex to concave grain (Figure 5.22), where the atom is coordinated with large number of neighbours at equilibrium interatomic spacings. [At equilibrium, when surface tension forces are balanced, the three grains meeting at a triple point make an angle of 120°, i.e. the grains should have hexagonal shape with six surfaces. Generally, the grains with boundaries (or su,faces) less than six have their boundaries convex outwards while those with sides greater than six in number have their boundaries concave outwards (or convex inwards)]. Further, the grains have curved boundaries as they are not in perfect equilibrium, they are at higher energy and therefore they tend to straighten out to reduce energy. In doing so, atoms move from one grain to another across the boundary depending on their curvature. The consequent effect is the migration of boundaries towards the centre of curvature. Usually convex grains are said to be smaller than concave ones. Since atoms move from smaller grain to surrounding larger grains (Figure 5.23) and boundaries move towards the center of curvature of convex grain, the eventual effect is the coarsening of larger grains at the collapse of smaller grains. Grain growth taking place with increasing time at a constant temperature (isothermal annealing) is small as compared to that occurring with increasing temperature at constant time (normally one hour at a temperature, the treatment is called isochronal annealing). - Atom adjustment - Grain boundary movement FIGURE 5.22 Grain boundary movement. The atoms from convex grain move to the concave grain where these are more stable. As a consequence grain boundary shifts towards the centre of curvature. @Seismicisolation @Seismicisolation
  • 161.
    134 Mechanical Behaviourand Testing of Materials FIGURE 5.23 Grain growth: The boundaries move towards the centre of curvature as indicated by arrows and atoms move in the opposite direction. Presence of impurity atoms or alloying atoms in the form of second phase inclusions inhibits grain growth in metals and alloys. This criterion has been used to control grain growth at high temperatures during heat treatment or during service. If the inclusions are fine and uniformly dispersed and do not dissolve (at that temperature) in matrix, they can serve the purpose of inhibiting grain growth. In steels killed by aluminium (aluminium deoxidized steel), AlN inclusions are formed which are uniformly dispersed to provide inherently fine grain structure. However, these nitride inclusions can prevent grain growth upto about l050°C above which rapid grain growth occurs. This is because these particles dissolve into matrix above this temperature. In case of high speed steels, presence of vanadium of l-4% produce highly stable VC type carbides. These carbides remain partly undissolved even up to about l300°C at which steel is austenitised for hardening treatment and prevent grain growth. Similarly, fine dispersion of carbides in certain superalloys also prevents grain growth. 5.4 DEFORMATION BY TWINNING Though slip is the major process of permanent deformation in metals, this deformation can also be produced by another process called mechanical twinning. However, the extent of plastic deformation caused by mechanical twinning is always quite small. Twinning seems to be a systematic form of slip which results in a change of orientation of one portion of the lattice (the twinned part) relative to rest part of the same lattice. Within the twinned region the atomic arrangement is a mirror image of the undeformed part of the lattice across a separating plane (called the twinning plane). Deformation by mechanical twinning is not a dominant mode of deformation in metals which possess many potential slip systems, e.g. FCC metals; however, it is very significant in metals where the possible slip systems are severely limited, e.g. in HCP metals. In case of HCP crystals, the number of slip systems is limited to three only though other slip systems may become active sometimes depending on temperature, etc. In BCC crystals the active slip planes are not as closely packed as in FCC or HCP crystals. Thus plastic deformation in HCP and in many instances in BCC crystals becomes difficult by the process of slip. In such cases deformation occurs by the process of twinning. Sometimes deformation by slip occurs after initial twinning. In polycrystalline zinc, e.g., rolling at atmospheric temperature produces a number of broad twinned regions. This probably happens because the crystal is originally so @Seismicisolation @Seismicisolation
  • 162.
    Deformation of Metals135 oriented that the resolved shearing stresses on their basal planes were too low during rolling to initiate normal slip. However, the orientations of the newly twinned regions are always such that the shearing stresses resolved from the same external load are significantly higher along their reoriented basal planes. Deformation by slip occurs on these reoriented basal planes. Thus, the result of twinning is a useful increase in the deformation by normal slip which precedes fracture. Although this behaviour is typical of hexagonal metals, the fraction of the total volume of any given crystal which is reoriented by mechanical twinning is usually quite small and the total amount of deformation in such a crystal is correspondingly limited. Thus, HCP metals maintain their tendency towards brittleness in spite of the ease of twinning. The formation of a twin always begins suddenly with an energy release in the form of sound and always occurs very rapidly (i.e. catastrophically). The stress-strain curve of a single crystal undergoing twinning shows sharp, jagged irregularities, each corresponds to a sudden but very small permanent deformation of the metal as a twin was created in it. The cry of tin (a cracking noise) is associated with the copious formation of twins which results from the bending of the rod of this metal. This phenomenon is also found in Zn, Cd and Mg. In the process of deformation by twinning, atomic planes parallel to the twinning plane are displaced step by step by a fixed distance in relation to one another equal to a fraction of lattice parameter. Figure 5.24 shows the diagram of twinning of a crystal AECDA. The area ABCDA is the undeformed part of the crystal, BECB is the part where twinning has taken place and BC is the twinning axis. The plane passing through the twinning axis and separating the region of twinning from undeformed part of the crystal is called twinning plane. Figure 5.24 shows that twinning results in the displacement of the atoms of the plane 11' relative to the twinning plane BC by a fraction of interatomic distance in the twinning direction. The plane 22' is displaced relative to the plane 11' by the same fraction of interatomic distance, the displacement relative to the twinning plane being twice as great. In other words, every atomic plane parallel to the twinning plane is displaced in itself by a distance proportional to its 2 3 4 A D C , Twin axis~• (Trace of twin plane) " Twin direction FIGURE 5.24 Twinning in a crystal: sign '+' denotes the initial atomic positions in the twinning region. Arrows indicate atom displacement. BC is the twin axis or twin boundary. Twin plane passes through BC. @Seismicisolation @Seismicisolation
  • 163.
    136 Mechanical Behaviourand Testing of Materials distance from the twinning plane. As a result, the atoms in the twinned region assume positions that are mirror reflections of the positions in the undeformed part of the crystal in the twinning plane. Since only negligible relative displacement of the neighbouring atomic planes are involved in the process of twinning it can not result in a great residual deformation. Like slip, twinning can occur only on certain families of planes and by gross movements only in certain crystallographic directions. In FCC metals the twinning plane is always a {1 1 1} plane, in BCC it is a {1 1 2} plane, in HCP crystals it is a {l O I 2} plane and in rhombohedral crystals it is {0 1 1} plane. Thus twinning can be produced only by shearing forces and a definite level of shearing stress must be reached in order to produce twins in any given metal or alloy. 5.5 DEFORMATION BEHAVIOUR IN CERAMICS Ceramics are characterized for their high shear strength and low ductility. They have high hardness and compressive strength but low fracture strength, and high notch sensitivity. A large number of ceramics are ionically bonded solids in which each ion is surrounded by oppositely charged ions. This arrangement of ions restricts plastic deformation of the crystal when subjected to shear stress. This can be illustrated by taking an example of a simple metal oxide such as NiO and the metal Ni. Figure 4.39(b) shows the arrangement of atoms or ions in each case. For simplicity only two rows of atoms are shown. Arrows indicate the direction in which the shear stress r is applied on both the crystals. In case of NiO crystal, in order to displace the top row of ions with respect to the bottom, bonds between cations and anions of either row is to be broken. High magnitude of shear stress is required to do so. At the same time a strong force of repulsion arises if similar charges approach one another. This force has to be overcome to move the top row with respect to the lower one. On the other hand, no such restrictions are there in case of nickel metal [Figure 4.39(a)]. In NiO crystal slip can take place if the crystal is oriented suitably with respect to the applied stress. For instance, slip can occur in NiO on {1 1 O} planes and in (1 1 O) directions. There are only six slip systems of the type {1 1 O} (1 1 O) in NiO, whereas the number of slip systems is 12 in Ni and are of the kind {l 1 1} (1 1 O). The magnitude of Burgers vector of dislocations in NiO crystal is larger than that in Ni. The values are 3 Aand 2.5 A, respectively. In addition, the dislocations in ionic crystals are narrow and difficult to move due to large lattice frictional stress. Also the structure of dislocations in ionic ceramics is complex. All these factors make ceramics hard and brittle. 5.6 DEFORMATION BEHAVIOUR IN POLYMERS The tensile behaviour of polymers varies with structure, temperature and strain rate. At normal temperatures some polymers show nearly linear behaviour up to the elastic range of stress-strain curve and follow Hookean law ('curve A' in Figure 5.25). These include thermosetting plastics, thermoplastics below T8, thermoplastics composed of molecules that have been aligned along the tensile axis before testing at any temperature. These polymer materials do not show any noticeable plastic flow before fracture. They fracture at maximum stress called tensile stress or strength. In contrast, semicrystalline thermoplastics with unaligned molecules exhibit a different type of stress-strain behaviour as shown by the curve B in Figure 5.25. The stress- @Seismicisolation @Seismicisolation
  • 164.
    Deformation of Metals137 strain curve for these materials can be divided into three regimes: Regime I comprises of a nearly linear portion characterised by a low modulus. This represents the stress required to overcome the intermolecular secondary bonds. As deformation is continued, unfolding of the chains in spherulites (aggregates of crystalline regions) takes place and a neck is formed at some point on the gauge length of the specimen. Yielding occurs at this point. The stress at which yielding begins is called yield strength of the plastic. Some plastics show a nonlinear elastic deformation before the appearance of the yield point in the tensile curve. Sometimes the yield point is as sharp as observed for mild steel. With further deformation the stress-strain curve remains approximately horizontal. This horizontal portion of the curve is called Regime II. During this regime the majority of spherulites have broken up into partially aligned molecules. Additional strain causes further alignment. Simultaneously the neck extends along the specimen length by a process called cold drawing. Once the molecular chains are oriented, slippage of chains past one another becomes difficult because of intermolecular bonding. As a consequence greater stress is required for deformation to continue. This leads to Regime III of the curve. Extension of the neck along the gauge length completes at the end of second regime. The hardening associated with the molecular orientation is responsible for stabilizing the neck formed at the yield point. As a consequence the cross-section of the specimen in the neck is not reduced further. Work hardening begins during Regime III and continues up to the fracture point of the sample. During the stage of work hardening microfibrillar structure is developed. The stress at which fracture occurs is called the tensile strength of the polymer material. Tensile strength may be greater, equal or less than the yield strength. The tensile properties of some selective polymers are given in Appendix G. Ll E~Neckiog ~ A Fracture Yield point i (/) B (/) ~ Regime II u5 Regime III ' pherulite e IMicm- e fibrillar ~~~- structure - ,,"1 ', - ' Strain- FIGURE 5.25 Tensile curves for polymers. Curve A displays stress-strain behaviour of thermosets and thermopolastics below T9 and thermoplastics with oriented molecules. Curve B displays tensile behaviour of semi-crystalline thermoplastic with unoriented molcules. @Seismicisolation @Seismicisolation
  • 165.
    138 Mechanical Behaviourand Testing of Materials The tensile behaviour of a polymer is greatly affected by temperature, deformation rate (i.e. strain rate) and the degree of crystallinity. These effects are respectively illustrated in Figures 5.26 and 5.27. Figure 5.26 shows that as the temperature decreases or the strain rate increases the polymer material tends to become brittle, in particular, below the glass transi- tion temperature. This behaviour is analogous to that exhibited by many metallic materials. Strain-----. FIGURE 5.26 Effect of temperature and strain rate on the tensile curve of a thermoplastic. (/) (/) !!'. ci5 A Fracture C Strain- FIGURE 5.27 Effects of degree of crystallinity on stress-strain behaviour. For metallic materials this temperature is called ductile-brittle transition temperature. For polymers it is the glass transition temperature below which the material is hard, stiff and brittle while above this the material is soft and ductile. Figure 5.27 shows the effect of degree of crystallinity on tensile curve. High density polyethylene (HOPE) that is more crystalline than low density polyethylene (LOPE) displays higher tensile modulus and yield strength. Because of the greater degree of crystallinity the intermolecular bonding is stronger in HOPE resulting in higher modulus, yield strength and tensile strength. @Seismicisolation @Seismicisolation
  • 166.
    Strengthening Mechanisms in Materials 6.1INTRODUCTION Tensile strength and yield strength are the most extensively used mechanical properties for the purpose of materials selection, inspection and quality control. Any one or both of these properties are specifically mentioned in almost all national and international standards related to metallic materials used for engineering applications. Therefore, it has been the aim of metallurgists and materials engineers to attain tensile and/or yield strengths that are suitable for the application under consideration. Since tensile and yield strength are structure-sensitive properties, i.e. depend on the microstructure of the material, desired strength levels can be attained by controlling the microstructure. This simple and fundamental approach is the basis of various strengthening mechanisms. Following paragraphs describe different ways for controlling the microstructure. A microstructure may consist one or more than one phase. In case of single-phase structures, as in pure metals and solid solutions, many grains of a phase are present. In dual- phase and multi-phase alloys, grains of various phases are present. These grains are separated by grain boundaries. Grain boundaries are barriers to the movement of dislocations. It is the movement of dislocations that is responsible for the deformation of the material through slip. Therefore, more the number of grain boundaries more will be the resistance offered by the material against the movement of the dislocations and consequently higher will be the stress required to deform the material. This fact forms the basis of important mechanism of improving the strength of a material. Such a mechanism is known as grain boundary strengthening. 139 @Seismicisolation @Seismicisolation
  • 167.
    140 Mechanical Behaviourand Testing of Materials Pure metals and solid solutions are single-phase materials. In case of pure metals, the single phase consists of atoms of only one type occupying normal lattice sites. Exceptions to this statement are commercially pure metals that contain additional atoms of impurity elements. Fortunately, the amount of these impurity elements is so less that, in general, their impact on strength properties is almost negligible. In fact, except for some highly specific applications, commercially pure metals are used for producing materials for general engineering applications. On the other hand, in case of solid solutions, single phase has atoms of solute elements in addition to atoms of base (solvent) metal. Solute atoms are either present at normal lattice sites by substituting atoms of parent (solvent) metal from these lattice sites or are located in the interstitial sites. In both the cases, solute atoms introduce localized distortion in the lattice of parent metal and cause strengthening. Strengthening caused by solute atoms is known as solid solution strengthening. The extent of strengthening due to solid solution hardening depends mainly on size difference (in percentage) between the atoms of parent metal and atoms of solute elements. Amount of solute element(s) also influences degree of strengthening. For example, ferritic matrix of carbon steel has lower strength than the ferritic matrix of gray cast iron. This can be attributed to the presence of more amounts of elements (mainly carbon, manganese and silicon) in ferritic matrix of grey cast iron than in the ferritic matrix of carbon steel. Significant variation in the strength levels of ferritic stainless steel and transformer steel, also known as Hadfield silicon steel (both having single-phase structure, i.e. ferrite) can be explained on similar basis, i.e. amount of elements present in the ferrite. Since solid solubility of an element into another is limited (Table 6.1), addition of alloying element in amounts more than the solid solubility limit will result in the rejection of the alloying element as a precipitate of second phase. This second phase may be a pure element, solid solution or intermediate phase. The size, shape and distribution of precipitated phase particles largely govern the mechanical properties of the material. Precipitate particles hinder the motion of dislocations and thus strengthen the alloy. This process is generally known as precipitation hardening. The same concept may be extended to multiphase alloys. In addition to the amount and morphology (size, shape and distribution) of precipitated phase, the extent of strengthening depends significantly on the coherency of precipitated particles with the matrix. TABLE 6.1 Solid solubility limit of alloying elements in base metal Base metal Copper Copper Copper Aluminium Aluminium Aluminium Aluminium Titanium Magnesium Solid solubility (in wt%) of alloying element at room temperature 38 Zn ~ 1 Sn 0.5 Be 0.02 Cu 0.3 Mn 2.5 Mg 0.1 Si ~ 8.5 Al 1.5 Al @Seismicisolation @Seismicisolation
  • 168.
    Strengthening Mechanisms inMaterials 141 It is worth to mention here that the phases, other than the matrix, present in the microstructure are not essentially due to conventional alloying, i.e. mixing by melting. Second phase particles may be dispersed into the desired matrix by some special techniques. One very simple technique is mechanical mixing of powders followed by compaction and sintering. These dispersed particles too act as effective barriers to the movement of dislocations like particles of precipitated phase. Particles of any material, having no solid solubility in the base matrix under consideration, can be dispersed. However, strengthening takes place only when these particles are harder than the matrix. This condition is easily fulfilled as for a given matrix, there are so many materials having higher hardness levels. Strengthening due to dispersed particles is known as dispersion hardening. The two above stated strengthening processes, namely, precipitation hardening and dispersion hardening may be studied under the single head "strengthening by second phase particles". When a metallic material is subjected to mechanical working, it undergoes plastic deformation. During the process, grains align themselves along the direction of applied force. Thus by controlled mechanical working, grain size of the material can be altered and desired grain size may be attained. As the temperature of mechanical working decreases, stress required to cause plastic deformation increases. Below a particular temperature, known as recrystallization temperature, the stress required to deform a previously deformed material is much higher. In simpler words, it can be said that by deforming the material, below the recrystallization temperature, strength of the material can be enhanced. Such a mechanism of strengthening is popularly known as strain hardening and this is applicable to all ductile metallic materials, i.e. pure metals, solid solutions and alloys. However this strengthening process is of great importance to pure metals and single phase alloys which do not undergo any phase transformation, and hence, cannot be strengthened by any other strengthening mechanisms. During solid state transformation (e.g., heat treatment) of steels, austenite gets transformed to pearlite, bainite or martensite. Pearlite exhibits least strength while martensite possesses maximum strength. Therefore, steels can be strengthened by controlling the transformation of austenite to martensite or bainite in place of pearlite. However, there are only few steels with bainitic matrix. This is for the simple reason that bainite generally forms on isothermal cooling and not on continuous cooling. Steels with martensitic matrix have much higher strength levels than the commonly used pearlitic steels. This strengthening is referred to as martensitic strengthening or strengthening due to phase transformation. Strengthening mechanisms, described so far, have certain limitations when considered individually. By using combinations of two or more strengthening mechanisms, maximum possible strengthening can be developed in a material. Fortunately in actual practice, engineering materials are strengthened significantly by subjecting the material to two or more of these mechanisms simultaneously or in a particular sequence. Following sections deal with various strengthening mechanisms. 6.2 GRAIN BOUNDARY STRENGTHENING Microstructure of a metal or alloy consists of grains of a phase or of various phases. These grains are separated from each other by grain boundaries. The number of grains and hence area @Seismicisolation @Seismicisolation
  • 169.
    142 Mechanical Behaviourand Testing of Materials of grain boundaries in a material depend on the cooling rate during solidification or during solid state phase transformation. Higher the cooling rate, more is the number of nuclei and consequently more is the number of grains. More the number of grains in a material, more is the area of grain boundaries. A material is known as fine-grained material when it consists of large number of grains. If a material has only few grains, i.e. less number of grains it is called coarse-grained material. Comparison method for the measurement of grain size, developed by American Society for Testing Materials, is the most popular and convenient method. ASTM grain size number (represented by n) is related to the number of grains (N) per square inch at a magnification of 100x by the relationship: (6.1) Larger the ASTM grain size number, more is the number of grains in the material. A material shows maximum strength when it is free from dislocations. However, this is an ideal condition and a real crystal material always has numerous dislocations. Strength of a material decreases with increase in the number of dislocations or more precisely dislocation density (see Figure 4.1). This decrease in strength is not linear in nature. Above a particular value/range of dislocation density, strength increases with increase in dislocation density. Grain boundaries are barriers to the movement of dislocations. Dislocation movement is essential to cause slip. Slip is the basic mechanism of plastic deformation. It means that relatively more stress will be required for plastically deforming a fine-grained material than that required for a coarse-grained material. In other words, it can be said that relatively fine-grained material offers more resistance to deformation and hence has higher strength. Such a phenomenon of enhancing strength by controlling grain size of a material is referred to as grain boundary strengthening. This mechanism is also known as strengthening by grain size control or strengthening by grain refining but less popularly. Since grain boundary strengthening raises strength and other mechanical properties of the material, it is always the aim of metallurgists and materials engineers to treat the material in a manner so that more and more fine grains are produced. One such method, i.e. faster cooling rate has already been described earlier in this section. Faster the cooling rates, more is the degree of undercooling (or supercooling). More is the degree of undercooling, more are the fluctuations in the free energy of the liquid melt or of the solid mass undergoing solid state transformation. Fluctuations in the free energy are essential for development of nucleation sites in both cases, i.e. in the melt or in the solid mass. More is the degree of undercooling, more are the nucleation sites, i.e. finer the grains. It has been observed that the presence of impurities affects the number of nucleation sites significantly. Hence, fine-grained structure in many alloys is obtained by the addition of certain elements. Such elements are usually known as nucleating or inoculating agents. For example, addition of small amounts of strong carbide forming metals in steels and metallic sodium in aluminium-silicon alloys refines the grain size of steels and aluminium-silicon alloys, respectively. Mechanical vibrations can also induce nucleation. Grain sizes can also be reduced to micron and submicron levels by controlled microalloying additions followed by thermomechanical processing. Fine grains generated as a result of thermomechanical processing are stable in many alloy systems (e.g. HSLA steels) and are capable of providing increase in strength up to intermediate temperatures. @Seismicisolation @Seismicisolation
  • 170.
    Strengthening Mechanisms inMaterials 143 There exists a temperature, known as equicohesive temperature at which the strength of grain boundary is equal to the strength of grains interior. At temperatures lower than the equicohesive temperature, grain boundaries are stronger than the grains. It is for this reason, a fine-grained material having large area of grain boundaries is preferred for engineering applications at room temperature and moderately high temperatures. Above equicohesive temperature, grains are stronger than the grain boundaries. Therefore, a coarse-grained material, in general, exhibits better strength at higher temperatures. In metallic materials, segregation of alloying elements, precipitated phase or impurities at or along the grain boundaries impair the strength of grain boundaries significantly. Tensile strength, yield strength and hardness of a material increase with increase in the area of grain boundaries, i.e. with decrease in grain size (diameter). Yield strength is markedly affected by grain diameter as is clear from the following well established Hall-Petch equation, where, a0 is the yield strength ai is the frictional stress opposing motion of a dislocation ky is measure of extent to which dislocations are piled up at barriers d is the average grain diameter (6.2) Thus, a material can be strengthened by decreasing grain diameter. A material with less grain diameter has higher fatigue strength, particularly at moderate and low temperatures. One unique feature associated with strengthening by grain boundary is that the ductility property is either enhanced slightly or remains almost unaffected. In all other strengthening mechanisms, strength increases at the cost of ductility. This is why this strengthening mechanism is considered the best. The stress-strain curves are found to raise by decreasing the grain diameter. While grain size can influence the whole stress-strain curve, the effect on the elastic limit (i.e. flow stress, the stress required to begin plastic deformation) is particularly marked. For example, for 99.99% aluminium, elastic limit has been found to vary from about 1.5 MPa to 3.5 MPa as the grain size changes from 2 to 50 grains/mm2• In comparison, the critical shear stress for a single crystal is about 0.9 MPa. The elastic limit considered here is macroscopic elastic limit (favourably oriented grains might have undergone slight plastic deformation prior to this point in the stress-strain curve and is commonly termed as pre-yield microstrain). Thus an optimum combination of strength, ductility and toughness can be attained by grain boundary strengthening mechanism. There are two models to explain the dependence of yield strength on grain diameter caused by grain boundaries. The first is based on the concept that grain boundaries that act as effective barrier to dislocation motion. The second model is based on dislocation density. To explain the first model consider a polycrystalline metal subjected to shear stress. As the resolved shear stress on a suitably oriented plane in a grain exceeds a critical value dislocations move and cause slip. These dislocations move towards the grain boundary and arrive there if no other obstacle exists on the slip plane in the path of their motion. As a dislocation arrives to the grain boundary it stops there because the slip plane is no more continuous across the grain boundary. As the applied stress increases, the other dislocations of the same sign move on the same slip plane towards the grain boundary and pile-up, as illustrated in Figure 6.1. These dislocations can be generated, e.g. from a Frank-Read source. At equilibrium, @Seismicisolation @Seismicisolation
  • 171.
    144 Mechanical Behaviourand Testing of Materials Slip plane Grain boundary obstacle Grain FIGURE 6.1 Dislocations pile-up at grain boundaries. Dot 'S' represents dislocation source. the density of such dislocations would be high near the obstacle and lower with increasing distance towards the dislocation source. Since dislocations are of the same sign they tend to repel each other. Under the influence of applied shear stress they are pushed more closely at the grain boundary than in vicinity to the source generating them. Such a configuration of dislocations is given the name pile-up. These dislocations of like sign exert a back stress on the dislocation source against the applied stress along the slip plane and in the slip direction and tend the dislocation source to stop operating. In other words, the back stress opposes the applied stress. The dislocation source continue to generate dislocations and expand the existing dislocations towards the obstacle until the magnitude of back stress, rb equals that of the applied stress, r less the stress, r0 necessary to activate the source, i.e. 'r& = 'r - 'ra (6.3) This stress will resist the formation of dislocation loops at the source and the expansion of existing loops on the slip plane. Increasing difficulty of forming and expanding dislocation loops against the back stress will raise the flow stress (or the elastic limit) and hence to cause strengthening. The leading dislocation in the pile-up is acted on not only by the applied shear stress but by the interaction force with the other dislocations in the pile-up. This leads to high concentration of stress on the dislocation head in the pile-up. This internal stress, r; at the head of the pile-up of N dislocations is N times the applied stress (r), i.e. (6.4) This stress can either initiate yielding in the adjacent grain by creating a dislocation source, or it can nucleate a crack at the barrier. At equilibrium, the number of dislocations N which can be piled into a length L of a slip plane in which shear stress acts was calculated by Eshelby, Frank and Nabarro and is given as: N= nLrk Gb (6.5) where, k = l for screw dislocations and k =(l - V) for edge dislocations. The number of dislocations is directly proportional to the stress and inversely proportional to the shear modulus and the Burgers vector, b. It is further noted that as the length L increases (or grain diameter @Seismicisolation @Seismicisolation
  • 172.
    Strengthening Mechanisms inMaterials 145 increases) the number N also increases. The length Lis inversely proportional to the shear stress i.e., as the grain size increases the shear stress on the slip plane decreases. For larger grain sizes there will be larger pile-ups with higher stress concentrations at their head, so the locking at the grain boundary will be less effective. This stress concentration can be relieved by inducing slip in the neighbouring adjacent grain. Thus coarser the grain size, higher is the stress concentration at the head of the dislocation pile-up, easier it is to propagate the yielding process, i.e. the flow stress to produce macroscopic yielding will be less. In a fine grain structure, grain boundaries limit movement of dislocations even in the early stages of deformation when the microstrain produced is within the macroscopic elastic limit. Multiple slip occurs in most grains even at small strains. Fine grains have large grain boundary area and large number of grains per unit volume of the crystal. Accordingly, there will be more number of grain boundaries or the obstacles to the motion of dislocations and hence higher flow stress is required to produce measurable macroscopic strain corresponding to elastic limit. In a fine grain a dislocation moves only a short distance before meeting a grain boundary, and thus, increase strength. Dislocation cells and sub-boundaries are also effective strengtheners at low temperatures. However, dislocation cells produced by cold working alone are not very useful because of poor ductility. This disadvantage can be overcome when the cold-worked structure is slightly annealed to produce well-developed dislocation sub-structures. The matrix is then free of dislocations except in boundaries or cell walls, where they are arranged in low energy configurations. The interaction of dislocations with these cell walls does not drastically reduce the ductility and this route can easily be utilized for strengthening. The increase in strength due to stable sub-structure is proportional to square root of cell size (i.e. diameter). The sub- boundaries tend to become unstable as the temperature is raised. Therefore these can be stabilized by second phase particles. Apart from the well-established and accepted Hall-Petch relationship to explain grain boundary strengthening, this model has been found to suffer from some problems. In particular this model is unsuitable when the grain size is extremely fine, say of the order of nanometer. The original proposal in terms of dislocation pile-up and nucleation of slip in the adjoining grain are found to be unsatisfactory, in particular, when it has been realized that grain boundaries behave as a source for dislocations. An alternative model based on density of dislocation has been proposed by Li. According to him the flow stress is dependent on dislocation density. This dependence is expressed in the similar way as Hall-Petch relationship. The following expression shows the dependence of flow stress on density of dislocations: O'o = ai + aGbp112 (6.6) where, O'i has the same meaning as in Eq. (6.2), a is constant the value of which generally varies between 0.3 and 0.6, b is the Burgers vector, and pis the density of dislocations which is the inverse function of grain diameter. 6.3 SOLID SOLUTION STRENGTHENING Solid solutions have better strength and hardness than the corresponding pure metals due to the presence of solute atoms in the lattice of solvent metal. Since atoms of different elements have different sizes, localized distortions in the lattice take place when solute atoms are added to a @Seismicisolation @Seismicisolation
  • 173.
    146 Mechanical Behaviourand Testing of Materials solvent matrix (Figure 6.2). These localized distortions develop localized strains in the lattice and enhance strength of solid solutions. Changes in properties due to solute element is due to various elastic, electrical, and chemical interactions which take place between the stress fields of the solute atoms and the dislocations. The degree of solid solution strengthening increases with increase in the amount of alloying (solute) element. For a given metal, the extent of solid solution strengthening with increased amount of solute element varies considerably from one solute element to other, i.e. depends on the nature of the solute element (Figure 6.3). Solute atom (a) (b) FIGURE 6.2 Localized elastic distortion in the solvent lattice around (a) smaller substitutional atom, (b) interstitial atom. 150 - - - - - - - - - - - - ~ l co Q. ~ .c 100 0) C: ~ ti "O <ii ·5, 50 .!: Q) en ~ (.) C: I.J...(1) -$ (J 0.025 -1x- 0.050 FIGURE 6.3 Effect of type and amount of solute on increase of yield strength.xis the mole fraction of solute. Every solute atom is associated with stress field because of its size that differs from the size of matrix atoms. When the intensity of stress field (or the so called misfit field) surrounding @Seismicisolation @Seismicisolation
  • 174.
    Strengthening Mechanisms inMaterials 147 the solute atom is uniform in all the directions, i.e. lattice distortion is almost equal in all directions, the solute atom is said to possess a symmetrical (or hydrostatic) stress field around it. A solute atom possesses a non-symmetrical stress field when the lattice distortion is not equal in all directions. Such a state frequently gets developed due to the presence of defects, mainly point defects. The extent of solid solution strengthening is dependent on symmetrical or unsymmetrical stress field associated with solute atoms. As mentioned earlier, it is the nature of stress field, symmetrical or non-symmetrical, associated with the solute atoms and not the nature of solute atoms, i.e. whether substitutional or interstitial type which controls the extent of solid solution strengthening. A symmetrical stress field results in less strengthening in comparison to non-symmetrical stress field. This difference in the behaviour of two stress fields can be attributed to the fact that while the symmetrical stress field interacts with edge dislocations only, non-symmetric stress field interacts with both edge and screw dislocations. In general, symmetrical stress fields are associated with solute atoms having size matching with the atomic size of solvent metal. In other words, solute atoms of substitutional solid solutions possess symmetrical stress fields whilst solute atoms in interstitial solid solutions are associated with non-symmetrical stress fields. Therefore, for the sake of simplicity in understanding it has been discussed in terms of substitutional and interstitial solid solutions in forthcoming lines. In substitutional solid solutions, the extent of solid solution strengthening depends on the difference in atomic size between the solute and solvent elements and amount of solute element. The magnitude of strengthening is minimum when the size of atoms of solvent and solute atoms is nearly same. The degree of strengthening increases with increase in the difference in atomic sizes (Figure 6.4). Solute atoms with larger atomic size, in general, produce less strengthening than the solute atoms with smaller atomic size. Though, the strengthening caused by substitutional atoms is directly proportional to their magnitude, i.e. amount of solute element, rate of change in strength is usually marginal. Due to this reason and also due to the fact that solid solubility of an element in another element is limited to a known value, solid solution strengthening in substitutional solid solutions is not of much commercial significance. 200 Sn l Be 150 ro Ni a. ~ Zo ~ 100 .c c, C: ~ vi "O 50 Q) >= 0 0 10 20 30 Solute concentration, atom % - FIGURE 6.4 Effect of some alloying elements on yield strength of copper because of difference in atomic sizes with respect to copper. [Atomic size of Be, Si, Ni is less than and that of Sn, Al, Zn is greater than Cu] @Seismicisolation @Seismicisolation
  • 175.
    148 Mechanical Behaviourand Testing of Materials In interstitial solid solutions, the degree of strengthening is much more, usually 10 to 100 times, than in substitutional solid solutions. Similar to substitutional solid solutions, strengthening effect increases with increase in the amount of interstitial atoms but contrary to substitutional solid solutions, rate of change in strength is usually very high. Therefore, a much greater strengthening is obtained in interstitial solid solutions with only a small amount of alloying element. In general, it can be said that solid solution strengthening results in an increase in the yield strength, tensile strength, hardness and creep strength, resistance against loss of strength/ hardness at elevated temperature. However, as a result of solid solutions strengthening ductility decreases in general. The lower strengthening caused in substitutional solid solutions is due to the fact that symmetrical stress fields interact with edge dislocations only as edge dislocations are associated with both the hydrostatic and shear stress components. In interstitial solid solutions, the asymmetric stress field interacts or interferes more with both edge and screw dislocations and hence causes more strengthening effect. Solid solution strengthening is the increase in flow stress which results from the interaction between solute atoms in the solid solution and the moving dislocations. The solute atoms and dislocations in the single phase alloy can interact by a variety of mechanisms. These include the following: (i) Elastic interaction (ii) Modulus interaction (iii) Stacking fault (or chemical) interaction (iv) Electrical interaction (v) Short range order interaction (vi) Long range order interaction Of these, the first mechanism is believed to be the most important. The first two and the long range order interactions are of long range and tend to increase strength uniformly up to about 0.6 Tm. The physical basis for each of the above listed interaction has been described in subsequent paragraphs. Elastic interaction The elastic interaction between solute atom and dislocations arises because of the mutual interaction of the elastic stress field surrounding the misfit solute atom and the strain field surrounding dislocation core. In a random solid solution, if the solute atom and the dislocation are far apart they will not interact at all. The elastic interaction between solute atom and dislocations will occur only when either the solute atom diffuse in vicinity to dislocation or the moving dislocation encounters a solute atom in the lattice. In either case, the interaction between the stress fields of solute atoms and dislocations result in lowering of strain energy of the system. A kind of pinning occurs between solute atoms and dislocation. As a consequence mobility of dislocation is resisted. Let us consider the interaction between substitutional atoms and dislocations. If the substitutional solute atom is larger in size than the solvent atoms, it tends to occupy a position beneath the positive edge dislocation and minimize its potential energy. This also results in lowering of the energy of the dislocation core. If the substitutional solute @Seismicisolation @Seismicisolation
  • 176.
    Strengthening Mechanisms inMaterials 149 atom is smaller in size than the atoms of the matrix, it can minimize its potential energy by diffusing to dislocation and substituting the solvent atom above the positive edge dislocation core. If large number of solute atoms diffuse and arrive in vicinity to dislocation core, the dislocations acquire an atmosphere of solute atoms. This is popularly called Cottrell atmosphere. The symmetrical (or hydrostatic) stress field of substitutional solute atom can interact with hydrostatic stress field associated with edge dislocation but not with the distortional stress field associated with screw dislocations. Thus substitutional solute atom only impedes the motion of edge dislocations whereas the motion of screw dislocations is unimpeded by substitutional solute atoms. The strengthening contribution due to elastic interaction between substitutional solute atoms and dislocations is proportional to the magnitude of the misfit parameter, Ernisfit such that where, a = Lattice parameter, da emisfit oc de c = Concentration of solute atoms in the lattice. (6.7) In case of interstitial solute atoms, such as carbon in BCC iron or nitrogen in BCC niobium, the misfit stress field around the solute atom has translational symmetry and therefore has both shear and dilatation components. In such cases both screw and edge dislocations interact with the solutes. Interstitial solutes impede the motion of both edge and screw dislocations. The motion of dislocation is impeded by solutes because either the dislocation will have to break free from the solute atmosphere or a dislocation will have to drag atmosphere along with it. In either case, the metal is hardened by this difficulty of dislocation motion. The interstitial solutes are much more effective as solid solution strengthening additions than substitutional ones as they impede both edge and screw dislocations. An interstitial atom in FCC lattice produces a spherically symmetrical stress field around itself therefore interact with edge dislocation only and weakly with dissociated screw dislocation and thus not very effective obstacle to dislocation motion. The concentration dependence of hardening depends on whether the solute atoms introduce symmetrical or unsymmetrical (tetragonal) distortion in the lattice. In case of symmetrical distortion (as with substitutional atoms), the increase in flow stress is linearly proportional to the concentration, c. This hardening is called gradual hardening. In the case of unsymmetrical distortions, the increase in flow stress is proportional to c112 and this strengthening is called rapid hardening. Modulus interaction Though the elastic interaction between the solute atoms and dislocation contributes greatly to solid solution strengthening, the elastic modulus of the solute atom also affects the magnitude of solid solution strengthening. If an atom of the solvent matrix is replaced by a solute atom of about the same size as that of solvent atoms, but of different elastic modulus, the interaction between the solute and the dislocation depends on the magnitude of the modulus of the solute atom with respect to matrix. In case the elastic modulus of the solute atom is lower than that of the matrix, the strain energy of dislocation is reduced and there occurs an attraction between @Seismicisolation @Seismicisolation
  • 177.
    150 Mechanical Behaviourand Testing of Materials solute atom and dislocation. On the contrary, for solute atom to have higher elastic modulus, the solute atom is repelled by the dislocation. The interaction energy, ~Ue is proportional to the difference in elastic constants of the solute and solvent atoms and inversely proportional to the square of the distance r, between the solute atom and the dislocation and is given as: Ge 'b2R3 ~Ue=-~e___ 6nr2 (6.8) where, Ee' is a measure of the modulus difference between solvent and solute and is defined as , Ee Ee=--- 1- Ee 2 and 1 dG e --- e - G de where, G is shear modulus, c is the atomic concentration of solute, R the atomic radius of solute. Stacking fault (or chemical) interaction Stacking faults usually exist in FCC and HCP crystals. In FCC crystals the stacking fault is a thin strip having HCP arrangement of atoms. In case a substitutional solid solution is formed in FCC lattice and if the solute atoms have high degree of solid solubility in HCP lattice, they prefer to segregate in the stacking faults of the solvent. Thus the equilibrium concentration of solute in the stacking fault region is different from that exists in the solvent matrix. This is because the cohesive energy between atoms in the stacking fault is different from that in the FCC lattice. This heterogeneous distribution of solute atoms exerts a locking force on the dislocations. The solute atoms that segregate in the stacking fault region reduce the energy of the stacking fault thereby increase the separation between the pair of partials. As a consequence the continued motion of dislocations becomes difficult. An extended screw dislocation can not cross slip without constriction. Wider the stacking fault more is the work required to be done in order to produce constriction for cross-slip to occur. Thus, strengthening occurs if solute atoms that lower the stacking fault energy are present in the matrix. It has been found that the solutes with high valence have greater effect on stacking fault energy for the same concentration than solutes of lower valence. For instance, when Cu-Ag solid solution alloy is alloyed with metals of high valence such as Al, Ga or Ge, the stacking fault energy is found to range from 1 erg/cm2 to 5 erg/cm2• Electrical interaction In certain solid solutions where the solute atoms produce very small misfit stress field due to very less difference in atomic sizes with respect to the solvent atoms and if solute atoms differ much in valence (e.g. two or three) with respect to solvent atoms, electrical interaction between solute atoms and edge dislocation becomes significant. With such solid solution alloys, the charge associated with solute atoms of dissimilar valence is confined locally around the solute atom. The solute atom, thus, becomes a charge centre. This electronic charge of solute atom then interacts with edge dislocations having electrical dipoles. However, this electrical interaction is smaller by 3-7 times than the corresponding elastic interaction. @Seismicisolation @Seismicisolation
  • 178.
    Strengthening Mechanisms inMaterials 151 Short range order and clustering interaction In Cottrell atmosphere, the atmosphere is formed from solid solution with mobile solute atoms which diffused to dislocations. The hardening effect arises from the interaction of the moving dislocations with the atmosphere. However, for a solid solution with relatively immobile solute atoms or with strong interaction between the atoms, the atmosphere will not form. Yet there may still be hardening effect. This is because when a dislocation moves, it rearranges the atoms in the slip plane. This is the case with short range ordering or clustering. Consider a binary solid solution of A and B atoms. If pAB, the fraction of A atoms that are nearest to B atoms, does not equal to the fraction XA of A atoms in the solid solution, then the solid solution is not random. A local order is created. A local order parameter can be defined by a=l-PAB XA (6.9) It is seen that for a = 0, the solid solution is completely random. For a < 0, i.e. negative, A atoms and B atoms tend to attract each other to form short range order. In other words, there is more than the equilibrium number of dissimilar atom nearest neighbours. There is a short range departure from randomness in short range order. For the case of a> 0, A and B atoms tend to repel each other i.e., there are more number of similar atoms together. This results in clustering of similar atoms. Clustering is opposite to short range order. When a dislocation moves in a short range order region, it destroys the equilibrium short range order across the slip plane by rearranging nearest neighbour pairs, producing a more nearly random configuration of higher energy. An additional stress will be required to produce the higher energy interface as dislocation moves. Similarly, as a dislocation moves through the region of clustering, it rearranges the nearest neighbour pairs across the slip plane; energy for such rearrangement has to be supplied by the external stress. Long range order interaction In a binary solid solution, solute atoms are generally distributed randomly in the lattice of the solvent. Such a solid solution is termed as disordered solid solution. However, a number of solid solutions, in particular, those with near stoichiometric compositions such as AB, A3B, A2B, etc., undergo a structural rearrangement or ordering below a certain temperature called critical temperature to produce a superlattice. This is the case when alpha is much less than zero in Eq. (6.9). In the ordered condition, the two atomic species A and B are each arranged in a regular configuration in the lattice. For example, in CuZn solid solution which is BCC, zinc atoms occupy the centres of the unit cells, whereas in Cu3Au, which is FCC, Au atoms always occupy the corner positions and Cu atoms occupy face centre positions in the lattice. In ordered solid solution, there are more number of dissimilar atom pairs than similar atom pairs. In an ordered alloy, dislocations have special properties. As a dislocation moves, it creates a strip (trail of disorder) of disorder across the slip plane. The atoms across the slip plane are of similar kind. This strip is called antiphase boundary (APB). Since antiphase boundary has large number of AA and BB bonds, it has higher energy. Following the trail (i.e. the strip) of certain length is another dislocation of the same sign creates reordering. In other words, dislocations in ordered alloys move in pairs bounded by APB, such that the total Burgers vector of the pair is equivalent to identity distance of the superlattice in the slip direction. These dislocations are @Seismicisolation @Seismicisolation
  • 179.
    152 Mechanical Behaviourand Testing of Materials called superlattice dislocations or simply superdislocation [Figure 6.5(a)]. The distance of separation between leading and trailing dislocations of the pair is governed by a balance between two forces. There exists a force of repulsion between dislocations of like sign, and Domains /EB O EB O EB O EB O EB O EB A-atoms O EB O EB O EB O EB O EB 0 ~EBO EB OEB OEB OEB O EB J:.----------------- ----.:L --o EB O EB O EB O EB 0 B-atoms EB O EB O EB O EB O EB eoecl.:~• oeoeo:oeo eoeoe:eo• o•o•:•o•o eort)ioeoe ~O EB O EB O EB O EB 0 EBOEBOEBOEBOEB oe:eoeoeo eo!o•o•o• oe:eoeoeo (a) Antiphase boundary Anti-phase domain boundary Domain 1 ~ ®®®®:®®®® (b) : Domain 2 ®®®@:@®®® I - ®®®®!®®®® . _L________ _L --------------------•-----------------· Slip plane Moving @'f0 @'f0: 'A' @'f0 @ superdislocation !Y !Y i!Y !Y ®®®®:®®®® (c) I ® ®@@1@@®® I ® ®@@:@@®® -®_ ®_®_@:@~® ®_® _L_-__L ® 'A' @'f0 @ 'f0I 'f0 @ Moving !Y !Y !YI !Y superdislocation ® ®®®@@:@@ New antiphase boundary (d) Antiphase domain boundary FIGURE 6.5 (a) Illustration of a superdislocation comprising of two unit dislocations separated by an antiphase boundary (APB). Across APB the bonds are of the type AA and BB, (b) Schematic representation of an antiphase domain boundary when ordered domains meet each other during growth in an ordered alloy, (c) a superdislocation moving on a slip plane, and (d) the superdislocation sheared the antiphase boundary (APB) resulting in additional APB. @Seismicisolation @Seismicisolation
  • 180.
    Strengthening Mechanisms inMaterials 153 therefore, they tend to move apart. However, a surface tension force also builds up in the reverse direction which tends the dislocations to push together so as to eliminate the disordered trail and minimize energy. A balance between these forces is the deciding factor for the separation between pair of dislocations comprising the superdislocation. The separation is generally of the order of 100-200A. This analogy is similar to an extended dislocation with a pair of partial dislocation found in FCC lattice. For every ordered alloy there is a critical temperature above which it becomes disordered. An ordered alloy when quenched from above this temperature the disordered structure is retained at room temperature. When this alloy is annealed the regions of order are nucleated randomly and grow towards each other. When they meet they form antiphase domain boundaries as illustrated in Figure 6.5(b). The size of domain varies with alloy and thermal treatment. There is a critical size of domain that imparts maximum strengthening to alloy. Consider a slip plane crossing the antiphase boundary [Figure 6.5(c)]. As a superdislocation moves on the slip plane and shears the APB, slip results in additional APB [Figure 6.5(d)]. Work is required to be done in order to create this additional APB. Hence a higher stress will be required to move a superdislocation across the slip plane. The overall strengthening depends on the domain size. Smaller is the domain size more will the APB area and therefore more will be the stress required for dislocations to move and cause slip, hence stronger will be the material. In fact, there is a critical domain size that gives maximum strengthening. 6.4 SECOND PHASE PARTICLE STRENGTHENING Since the solid solubility of an element is limited in a metal, addition of alloying element in amounts exceeding the solid solubility limit results in the precipitation of a second phase. In many commercial alloys, more than two phases are present. In a dual-phase alloy, the extent of strengthening depends on many factors such as mechanical properties specially strength, ductility and hardness of the matrix; strain hardening behaviour of the matrix; size, shape, distribution and amount of second phase particles; and coherency between the matrix and the second phase particles. In multiphase alloys, it will be the size, shape and distribution of each phase as well as coherency factor that will control the degree of strengthening. In dual phase alloys as well as in multiphase alloys, strengthening due to the second (non-matrix) phase particles includes solid solution strengthening since matrix is usually a solid solution. Strengthening due to second phase particles takes place only when second phase is harder than the matrix. Better strength is achieved when second phase particles have coherency with the matrix. Since the degree of strengthening due to hard second phase particles in a soft phase depends on size, shape and distribution of second phase particles, it is desired to have very fine second phase particles uniformly distributed throughout the matrix, preferably as tiny spheroids, for maximum strengthening. Presence of these fine particles will hinder the movement of dislocations resulting in improved strength. Larger the number of particles better will be the strengthening. Better mechanical properties of precipitation hardening alloys and dispersion hardening alloys are essentially due to the presence of fine particles of second phase. @Seismicisolation @Seismicisolation
  • 181.
    154 Mechanical Behaviourand Testing of Materials 6.4.1 Precipitation Hardening Precipitation hardening, also known as age hardening, is the most important method of strengthening nonferrous alloys such as aluminium and magnesium alloys. Many alloys of copper, iron, nickel, silver and lead are also being strengthened by precipitation hardening. Precipitation hardening of an alloy occurs with time due to precipitation of a coherent phase from a supersaturated solid solution. The process of strengthening by precipitation hardening involves two steps. In the first step, which is commonly known as solution heat treatment or sometimes as solutionizing, an alloy of known composition is heated to a temperature where the alloy has a single phase (Figure 6.6). The purpose of solution treatment is to dissolve a maximum amount of second phase in solid solution and then to retain this solution down to room temperature. So from this temperature also called homogenizing temperature, the alloy is rapidly cooled to get a single-phase structure at room temperature. This structure is a supersaturated solid solution. Hardness after solution treatment is relatively low. Maximum hardness in these alloys is developed during the precipitation treatment, in which the precipitation of second phase takes place. So in the second and final step, the supersaturated solid solution is heated to a temperature well above the room temperature. This temperature is referred to as ageing temperature (refer Table 6.2). As a result of this treatment, adjustment of atoms takes place and the alloy tries to attain equilibrium structure with time. For certain alloys heating supersaturated solid solution to a temperature greater than room temperature, is not required. Precipitation hardening takes place at room temperature for such alloys. In strict metallurgical sense, such alloys are referred to as age-hardenable or "naturally aged" alloys while others as precipitation hardenable alloys. ~ .a ~ Cl) C. E ~ Solution treatment Heating to single phase region Soaking Water quenching Stop 1 Ageing treatment Ageing ,I• Stop 2 , I Time FIGURE 6.6 Steps involved in precipitation hardening of alloys. @Seismicisolation @Seismicisolation
  • 182.
    Strengthening Mechanisms inMaterials 155 TABLE 6.2 Ageing temperatures for some precipitation hardening alloys Al-Cu-Mn Al-Cu-Mg-Fe-Ni Al-Cu Al-Mg-Si Al-Zn-Mg-Cu Mg-Al-Zn /3-titanium alloys a-/3 (Ti-6Al-4V) alloy Cu-Be alloys Wrought alloys Nimonic 90 (Ni-20Cr-18Co-2.5Ti-l.5AI-0.05C, in wt%) Inconel X (Ni-15Cr-0.85Co-6.75Fe-0.8Al- 2.5Ti-0.7Mn-0.04C) Waspalloy (Ni-19.5Cr-13.5Co-2Fe-4.25Mo-l.3Al-3Ti-0.1C) Udimet 700 (Ni-15Cr-l8.5Co-1Fe-2.5-7Mo-4Al-3.5Ti-0.l5C) Marageing steels 17-4 PH precipitation hardening stainless steels 15-7 Mo and 17-7 PH Ageing temperature, °C 160-190 170 130 170-180 110-135 218 430-650 480-590 300-320 700-850 Double ageing 860 and 740 850 860 450-480 480-640 580 It is important to mention here that only some and not all alloys can be strengthened by precipitation hardening. An alloy must fulfill two requirements for strengthening by precipitation hardening. According to the first requirement, the alloy should exhibit decreasing solid solubility with decreasing temperature. Second requirement states that there must be some coherency between the precipitating phase and the matrix phase. While the first requirement is met with by most of the alloys, second requirement is fulfilled only by limited alloys. This is why there are only limited precipitation hardenable alloys. The lattice structure of coherent particles is continuous with the matrix lattice structure. This is not the case with non-coherent particles and the two lattice structures are discontinuous, i.e. non-coherent particles and the matrix form mechanical mixture. It is the coherency between the matrix phase and the precipitated phase that causes internal stresses in the lattice which in turn are responsible for strengthening of the alloy. The degree of strength- ening due to precipitation hardening depends on the amount of precipitated phase. This is why the selection of alloy composition is very important. Phase diagram of an alloy system helps in the selection of the desired composition (Figure 6.7). a FIGURE 6.7 Homogeneous solid solution a + second phase precipitate C Composition - Section of a phase diagram of a typical precipitation hardenable alloy. Alpha is the single phase solid solution. @Seismicisolation @Seismicisolation
  • 183.
    156 Mechanical Behaviourand Testing of Materials Figure 6.8(a) shows the supersaturated solid solution. During ageing first of all the solute atoms segregate (i.e. cluster) along certain preferential planes of the matrix {in case of Al-Cu alloys these are the {l OO} planes in aluminium matrix [Figure 6.8(b)]}. The size of the clusters are initially very small and cannot be detected by structural methods. After a certain period they grow to such an extent that they are detectable by structural methods. These clusters of the solute atoms are fully coherent with the matrix. Since the atomic sizes of solute and solvent elements differ, the misfit in the matrix is accommodated by elastic strains to maintain coherency. The clusters of solute atoms do not possess any definite shape and when these clusters attain definite shapes, they are referred to as zones, more popularly known as Guiner- Preston zones [Figure 6.8(b)] or GP-zones on the names of scientists A. Guiner and G.D. Preston who invented these zones in the year 1938. In fact, difference between clusters and zones is only of nomenclature. GP-zones, (also called GP zones of the first kind (GP-I), is the cluster of solute atoms having the shape of a thin plate or a disc with about 10 nm in diameter and about two to three atomic planes thick in case of Al-Cu alloys. Strengthening occurs due • • = 1 nm fee Al matrix 0 ~ Randomly substituted Cu atoms (a) (b) FIGURE 6.8 (Contd.) @Seismicisolation @Seismicisolation
  • 184.
    = 10 nm Discshape precipitates Growing CuAl2 ( 0) Strengthening Mechanisms in Materials 157 0" ' ' • J------ ~ o ~~ i >----Y '' ---------- ----- ~~ ~()O.I" 0' (c) 0 : . ' ' ,. ,Q------- ----- ,/ : 0 ' ' . : ' ,0------- ----- ,/ 0 ~ A (d) (e) (0 0 1) I y,;?J f"'-1--~------,,1~('01 0) J (1 0 0) All sides coherent (0 0 1) I y ; ;;;] , . : ; . . I --/-----,1~01 o) (100) (0 0 1) Coherent or semicoherent (1 0 0)} (O 1 O) Not coherent Incoherent FIGURE 6.8 Various stages of precipitation from a supersaturated solid solution of Al-Cu alloy: (a) Supersaturated solid solution, (b) Guinier-Preston (GP)-zones showing clustering of atoms in one of {1 O O} planes, (c) Metastable 0"-phase, (d) Metastable 0'-phase, and (e) Stable CuAl2(0)-phase. @Seismicisolation @Seismicisolation
  • 185.
    158 Mechanical Behaviourand Testing of Materials to GP-zones and gives rise to first hardness maximum as shown in Figure 6.9 for Al-4.5% Cu alloy aged at 130°C. The elastic strain fields resulting from the coherency extend into the matrix such that the effective size of the zone, in impeding dislocation motion, is much larger than its actual physical size. A GP-zone does not have any well-defined crystal structure lattice and chemical composition. A GP-zone is often considered as a portion of the initial solid solution that is enriched in a dissolved element, rather than a new phase. Its crystal lattice may be considered the same as that of the matrix, but deformed owing to the difference of atomic diameters of solute and solvent. There is no distinct interface between a GP-zone and the surrounding matrix solution. In this sense, the GP-zones are often called as pre-precipitates, to distinguish them from real precipitates of intermediate or stable kind. However, GP-zones have a distinct solvus line. They can form only on undercooling of the matrix below this line while dissolve in the matrix on heating to a temperature above this line. In this context, GP- zones are commonly referred to as a second phase coherent precipitates. They have diffused interface of low energy. The density of precipitated GP-zones is of the order of 1018 cm-3 (the number of zones per unit volume), or of an order of 1012 cm-2 (the number of zones per unit cross-sectional area). The spacing between GP-zones varies from about 7.5 nm-10 nm. GP-zones have been observed in a large number of alloy systems including Al-Cu, Al-Zn, Al-Ag, Cu-Co, Cu-Be, Al-Mg-Si, Ni-Al, Fe-Mo and Fe-Au. 140 l 120 z J: 100 > cti 80 en Q) C: "O cii 60 J: 40 --G.P.[1] ------ G.P. [2] •••• 0' 4.5%Cu 4.0%Cu 0.1 3.0%Cu ..... ,,,,...... .. 2.0%Cu ,,.-• ,,,--♦----,,, , .. 10 100 Ageing time (days) at 130°C - FIGURE 6.9 Ageing curves for Al-Cu alloys aged at 130°C. On further ageing a second transition intermediate phase having a structure intermediate between that of the matrix and the stable phase is formed. This phase is called intermediate phase. In some alloy systems, such as Al-Cu alloy, two intermediate metastable phases can precipitate. In general, one of the most important features of the structure of all intermediate phases in age-hardening alloys is that this structure ensures at least one coherent boundary between the matrix and the precipitate. Intermediate phases are usually partially or sometimes fully coherent. For example, in Al-Cu alloys, the metastable 0" phase is fully coherent while the 0' phase is only partially coherent. 0" precipitates nucleate and begin to replace GP-I zones. The lattice of the 0" phase is tetragonal; with the phase composition corresponds to CuA12. In this structure, part of the planes is occupied by aluminium atoms only and another part, by @Seismicisolation @Seismicisolation
  • 186.
    Strengthening Mechanisms inMaterials 159 copper atoms only as shown in Figure 6.8(c). The precipitates of 0" are fully coherent, with the (0 0 1) plane matching ideally the aluminium matrix (the lattice period a = 4.04A of 0" is the same as that of Al). Along the (0 1 0) and (1 0 0) planes, coherence is ensured by a high elastic deformation, since the interplane distance is reduced near the layers occupied by copper atoms (1.82A of 2.02A). The elastic stress field around 0" precipitate plays an important part in strengthening of age-hardening alloy. 0" precipitates are also called GP-zones of the second kind (GP- II), in contrast to GP-I zones, which have the lattice of the matrix. GP-II zones are not just big GP-I precipitate. The 0" precipitates have a disc-shape with diameter as high as 150 nm and a thickness of 10-15 nm. GP-2 zones in aluminium matrix produce shear strains along radial surfaces and compressive strains along the thickness where it is incoherent with the matrix. Maximum hardness is attained with the formation of these zones as they are more numerous and produce greater distortion than any of the other transition structures. The second hardness maximum is shown in Figure 6.9 is related to GP-II zones for Al-4.5Cu and Al-4.0Cu alloys. In case of Al-Cu alloys, continued ageing results in the formation of another intermediate phase 0'. 0' precipitate begins to replace 0" precipitate. This precipitating phase is different from the phase as described by the phase diagram of the alloy system which is known as equilibrium 0 phase. The lattice of the intermediate 0' phase is tetragonal with lattice constants a= 4.04A and c = 5.80A [Figure 6.8(d)] and chemical composition corresponds to CuA12• This intermediate phase is semicoherent and having a coherent boundary with the matrix along the plane (0 0 1) and the two lattices match ideally. The lattice mismatch occurs along the (0 1 0) and (1 0 0) planes. The magnitude of elastic stress field around the 0' precipitate particles, is smaller than that associated with the coherent 0" phase and GP-zones. This is mainly because of the stable dislocation loop formed around 0' precipitate particles resulting in partial destruction of the coherency strains. The long range strain fields of the precipitate particle and its dislocation largely cancel. As a consequence it is easier for glide dislocations to move through the lattice of the alloy containing semicoherent (i.e. 0') or incoherent precipitate than a coherent precipitate. Thus the formation of 0' phase leads to softening of the material. The shape of 0' intermediate phase is also disc like as with 0". Yet the intrinsic strength of 0' phase is higher than that of the aluminium matrix. With time, intermediate phase grows till it attains its own identity, i.e. chemical composition and crystal structure which matches with the equilibrium phase. This phase is referred to as 0, in case of Al-Cu alloys. The crystal structure of equilibrium 0 phase is tetragonal with lattice constants a =6.01A and c =4.87A. The equilibrium precipitate does not have any coherency with the matrix, and hence, stressed areas are relieved and the alloy softens. This state of the alloy is called overageing. The dispersed 0 phase produces slight hardening of the aluminium matrix. However, if overageing occurs for longer times the larger 0 precipitates grow further in size at the expense of smaller ones. This is called Ostwald ripening. As a consequence the number of sites that can interfere with the dislocation motion decreases to the extent that the hardness of a completely averaged alloy can be less than the hardness of supersaturated solid solution. Therefore, maximum strengthening occurs when the intermediate phase is formed and is present. At this stage dislocations cannot move with ease through the highly stressed localized regions. More the number of such regions, greater is the strengthening of the alloy. @Seismicisolation @Seismicisolation
  • 187.
    160 Mechanical Behaviourand Testing of Materials Mechanisms of hardening In age hardened alloys, hardening is governed by the interaction of moving dislocations with precipitates. The obstacles in precipitation hardening alloys which hinder the motion of dislocations may be either the elastic stress field around the coherent precipitates such as GP- zones in the matrix; the GP-zones themselves or precipitates, or both. In case of GP-zones themselves or intermediate precipitates, the moving dislocations can either cut through them or to bent around them and by pass. Thus there appears to be three causes of hardening: internal strain hardening, chemical hardening that occurs when the moving dislocations shear through the precipitate particles, and/or dispersion hardening through dislocations as they bent around (circumvent) precipitate particles and by pass. Internal strain hardening: An elastic stress field always exists in the matrix upon formation of a coherent or a semicoherent precipitate because of an elastic distortion at the matrix-precipitate interface for the reasons mentioned above and is represented in Figure 6.10. The magnitude of elastic stress fields is greater at a larger size misfit between the structures of the matrix and precipitate. In order a gliding dislocation to move through elastically deformed matrix, a stress greater than the stress of the elastic strain field around the precipitates must be applied i.e., the applied stress must be at least equal to the average internal stress. Thus, the greater the elastic stress field around the precipitates in the matrix more will be the stress required for dislocation motion and harder will be the material. This hardening is a result of long-range effect of precipitates on dislocations. For spherical particles, the applied stress is given as: r oc Ge312 ( !}'2 (6.10) I I I I I I I I I I I I I I FIGURE 6.10 I I I I I I I I I I I I I ~~ / (a) Matrix , (b) Elastic distortion at the matrix- precipitate interface (a) GP-II zones or 0" precipitate; (b) 0' precipitate. where, G is the shear modulus, e is the misfit strain parameter arises from the difference in lattice parameter of matrix and precipitate phase, r is the precipitate particle radius, b is the Burgers vector of the gliding dislocation, and f is the volume fraction of the precipitate phase. The misfit parameter is given as: 1 da e --- misfit - a df (6.11) @Seismicisolation @Seismicisolation
  • 188.
    Strengthening Mechanisms inMaterials 161 where, a is the lattice parameter. Lattice mismatch though a potent strengthener, adversely affects ductility. In addition, the lattice mismatch enhances the precipitate coarsening rate at elevated temperatures. Mismatch, therefore is kept to a minimum in many alloy systems in spite of its rapid strengthening potential. The misfit strain parameter increases with the sequence of phase change from GP-zones to theta double prime and finally to 0'. The size of the precipitate particles also increases in the same sequence. As the particle size increases the interparticle spacing increases. At excessive misfit strains the coherency is lost and an interface is created between the precipitate and the matrix. A lower misfit strain (as in Ni-base superalloys) results in lower strengthening contribution but it minimizes Ostwald ripening therefore leads to enhanced creep resistance. Mott and Nabarro suggested that the maximum hardening due to precipitates depends on the size of particles. As the size of precipitate particles increases the magnitude of strengthening increases and attains a maximum at a critical size above which material tends to soften. Hardening also depends on the interparticle spacing which in tum increases with increasing time as illustrated in Figure 6.11 for Al-4 wt% Cu alloy aged at 150°C. In case of Al-Cu alloys, the O> -§ 1 µm ~ (/) $ .l!! i 100 nm a. 0 10nm~---~---~----~--- 1 10 100 1000 Ageing time (h) at 150°C FIGURE 6.11 Effect of ageing time on precipitate spacing for Al-4% Cu alloy aged at 150°C. interparticle spacing increases from about 100A for GP-zones to 1 micron for 0' through about 1000A for 0" precipitates. However, the expression given by Eq. (6.10) is independent of the spacing, l, of particles and showing only the increment in flow stress due to mismatch function and the volume fraction of precipitate. To explain this, Mott and Nabarro considered the radius of curvature to which dislocations can bow round a precipitate particle under the action of an applied stress. The radius of curvature to which a dislocation can bent round the particle is inversely proportional to the applied stress as: R= Gb 2-r (6.12) where, R (= l/2) is the radius of curvature. This expression is based on the assumption that ln (R/r0) approximated to 2,r in Eq. (4.14) (For details, refer Section 4.6.1, page 76). If the particles are dispersed at too fine scale (e.g. when the alloy has been freshly quenched or lightly aged) the dislocation is unable to bend sufficiently to lie entirely in the region of low internal stress. The dislocation must move essentially as a rigid straight line i.e. the maximum bending between the particles is negligible. The minimum radius of curvature to which dislocation may @Seismicisolation @Seismicisolation
  • 189.
    162 Mechanical Behaviourand Testing of Materials be bent under the applied stress is larger than the spacing between the particles on the slip plane. In practice, a dislocation line is flexible and tends to take up a lower energy position by bending round regions of large interaction energy. For a local stress at a particle the maximum bending that stress can sustain is given by the Eq. (6.12). This is usually the case when the dispersion of particles is on a coarse scale. Chemical hardening: It is a result of short range interaction between dislocations and precipitates. Once the elastic stress field around the coherent precipitates has overcome, the dislocations pass (or cut) through the precipitates by shearing them (Figure 6.12) because of the atomic plane matching between the matrix and coherent precipitates. As a consequence the preci- pitates get deformed together with the matrix. Another reason for dislocations to cut through FIGURE 6.12 Schematic representation showing shear of coherent precipitates by a gliding dislocation. coherent precipitates such as GP-zones instead of avoiding them is that the density of GP-zones is very high and the spacing between them is so small (of the order of 100A) that the stress required for dislocation to by-pass them is appreciably higher than that needed for shear. For the given volume content of precipitate phase, an increase in particle size will result in a decrease of particle density and an increase of the interparticle spacing. There is a critical particle diameter de above which the particles are not sheared, but bypassed (Figure 6.13). When particle cutting occurs, the extent of strengthening depends on the characteristics of the precipitates, which influence the nature of the dislocation-precipitate interaction. These characteristics of the precipitate includes the misfit of coherent particles and their interrelated morphology, the modulus of the precipitate relative to the matrix, the stacking fault energy of the precipitate relative to the matrix, and the degree of order (if any) of the precipitate. Apart from the above, large contribution to the flow stress arises from the creation of additional interfacial area when the precipitates are sheared. This latter effect is referred to as chemical hardening and is of principal importance in those systems which form thin, plate-like zones or precipitates as in Al-Cu and Cu-Be alloys. When a particle is sheared by a dislocation, a step which is one Burgers vector (i.e. equal to b) larger is produced at the particle-matrix interface (Figures 6.12 and 6.13). As a consequence the surface area of the particle is increased. If the surface-to-volume ratio of the particles is relatively high, then this increase in surface area can be significant and can represent a substantial increase in the overall energy. This increased surface area is associated with an increase in surface energy which must be supplied by the external stress. This reflects an increase in strength of the alloy. This type of strengthening is clearly most important in thin plate-shaped precipitates since they have the maximum surface- to-volume ratio (for example, GP-zones and (J' precipitates in Al-Cu alloys or GP-zones in Cu-Be alloys). Researchers have shown that this strengthening is linearly proportional to the interfacial energy. This is expressed as: @Seismicisolation @Seismicisolation
  • 190.
    + ~o Cl) Cl) ~ ti <ii Cl) .c Cl) Strengthening Mechanisms inMaterials 163 Shearing by-passing ~ - - , , _j__j__j_-TTT L'.T de Particle diameter (d) FIGURE 6.13 Critical shear stress as a function of particle diameter. di- is the increase in yield stress from the interaction of a flexible dislocation line with obstacles of spacing /. (6.13) where, Ys is the prec1p1tate-matrix surface energy (i.e. interfacial energy), f is the volume fraction and r is the radius of precipitate (assuming the precipitate particle to be spherical). Ys may be considered to be made up of two parts: (i) a chemical part and (ii) a structural part. The chemical part is due to the change in composition and chemical binding across the interface. The structural part is due to the change in crystal structure across the interface. In spite of the full coherency between the precipitate and the matrix, the lattices of the two phases are not identical and therefore when a dislocation enters into the precipitate, it disturbs the arrangement of atoms along the slip plane. The greater is the difference between the structure of the precipitate in the shear plane and that of the matrix in the same plane the more will be the disturbance in the arrangement of atoms in the precipitate, and therefore, higher will be the stress required to shear the precipitate by dislocations. In general, the rate of strain hardening is not high during chemical hardening this is because the deformation is highly localized and occurs on a limited number of active slip planes. In chemical hardening, the extent of hardening also depends on the size of the particles and the interparticle spacing. A fine dispersion of coherent particles results in enhanced precipitation strengthening. The surface energy associated with the coherent precipitate (GP-zones) in the shear plane is of the order of 102 erg/cm2, while that for an incoherent precipitate is of an order of 103 erg/cm2 (i.e. as with a high angle boundary). This suggests that the larger incoherent precipitates are unable to be sheared by the dislocations. Rather dislocations bent around them and by pass. This mechanism is similar to that operates for Frank-Read Source discussed in Section 4.10. If the precipitate has an ordered lattice [such as CuA12 particles in Al-Cu alloys or Ni3Al (y') precipitates in Ni-based superalloys], the passage of a single dislocation through it will @Seismicisolation @Seismicisolation
  • 191.
    164 Mechanical Behaviourand Testing of Materials destroy the periodicity of the superlattice. Work will be done in creating a disordered interface across the slip plane. This results in raising the flow stress. Though the passage of the second dislocation in the same slip plane creates reordering in the particle, an antiphase domain boundary is formed between the two superlattice dislocations. In case of Ni-base superalloys and Al-Li alloys, the antiphase boundary energy is found to be approximately ten times greater than the interphase boundary energy and consequently the strengthening contribution due to antiphase boundary formation in these systems is significantly high. The strengthening contribution associated with this mechanism is given as: 'r oc (yAPB)3/2 ( 1}/2 (6.14) where, YAPB is the anti-phase boundary energy and the other terms have the same meaning as before. Strengthening due to ordered particles is responsible for good high-temperature strength of many superalloys. A difference in elastic moduli between the precipitate and matrix can also be a source of strengthening. The shear modulus G in Eq. (6.10) is not constant. Further, the self energy of dislocation depends on G; therefore, if G of the particle is larger than the matrix, an additional stress will be required to force dislocation through the particle. The shear modulus of a precipitate is usually higher than that of the matrix. The harder is the precipitate particle, the more difficult it is for a dislocation to shear it i.e., a larger stress will be needed to force dislocations through precipitate particles having higher G than through the matrix. This results in strengthening. However, most precipitates do not have a significantly different character from the matrix; modulus hardening usually does not contribute significantly to precipitation hardening. In case the precipitate particles have stacking fault energies significantly different from that of the matrix, the interaction between the dislocations and the precipitate will depend on the fault width of the stacking fault in precipitates. Analyses carried out by researchers have shown that the increase in flow stress is linearly proportional to the difference in stacking fault energy between the precipitate and the matrix. Hardening through circumvention of precipitated particles by dislocations: When the precipitate particles become strong enough (as on overageing) and lose coherency so that they can not be sheared by dislocations (due to non coherency, e.g.), hardening occurs as the precipitate particles are by-passed by dislocations and leaving behind dislocation loops around them. For this to occur, the stress applied must be increased so as to bend the dislocation between the particles. However, this bending of dislocation through the particles depends on the spacing l between the precipitate particles. The critical stress required to squeeze the dislocation between the particles is inversely proportional to l in according to the relationship: Gb r=- l (6.15) where, G is the shear modulus of the matrix and b is the Burgers vector of the dislocation. Thus, for an alloy in the averaged condition, smaller is the interparticle spacing stronger is the alloy. As the dislocation bows between the particles, its portion at both sides of the particle bent, join, @Seismicisolation @Seismicisolation
  • 192.
    Strengthening Mechanisms inMaterials 165 and eventually form loop (also called Orowan's loop) around the particle. Upon detaching from the loop the dislocation continue to glide in the matrix (Figure 6.14). When a second dislocation approaches a particle encircled by a dislocation it will need a greater magnitude of stress to squeeze between such particles. This is because the effective distance between two adjacent precipitates l is decreased due to first dislocation loop around the particles. As more number of dislocations glide on the slip plane they all will form loops around the particles with increasing magnitude of applied stress. Progressive development of more and more dislocation loops around precipitate particles ultimately blocks the motion of succeeding dislocations through the lattice. This is because the dislocation loops exert a back stress on dislocation sources which must be overcome for additional slip to take place. This requires an increase of applied shear stress, and hence, to result in strain hardening. The averaged precipitates are larger in size. During overageing of the alloy, the larger precipitate particles grow at the expense of the smaller ones. As a consequence, for a given volume fraction of the precipitate particles, larger the size of particles less will be their number and more will be the mean distance between them such that the radius of curvature, R, of the dislocation becomes much smaller than the mean spacing l between the particles. It is thus easier for dislocations to bend round the particles at lower flow stress. That is, the alloy in the averaged condition displays lower yield strength but rate of strain hardening increases with strain. The hardness of a completely averaged alloy can be lower than the hardness of the supersaturated solid solution from which precipitate phase has been derived. However, even when the dispersion of the precipitate is coarse a greater applied stress is necessary to force a dislocation past the obstacles as compared to the case when no obstruction exists for dislocation motion. Thus, in averaged alloy, dislocations avoid the precipitate particles by bending round them. Dislocations can also avoid precipitates by cross-slipping. When a dislocation is blocked by a pair of dislocation looped particles, the screw part of the moving dislocation can cross-slip to a plane where there is no obstacle. The edge part of the dislocation can climb if sufficient thermal energy is available. The stress needed to overcome an obstacle in this way, thus, decreases with increasing temperature. This way the dislocations avoid precipitate particles. b t ~ • ~ • b FIGURE 6.14 Interaction of dislocation with precipitate particles having spacing between them l. The symbols b and t represent respectively the Burgers vector and line tension associated with edge dislocation. @Seismicisolation @Seismicisolation
  • 193.
    166 Mechanical Behaviourand Testing of Materials At equal volume fraction of second phase precipitate particles, the shape of the particles also affect the strengthening. For example, the rod like and plate (or disc) like precipitate particles strengthen about twice as much as spherical or equiaxed particles. The shape of the precipitate particles depends on the degree of misfit. For example, when the misfit strain is small (i.e. when the difference in atomic diameters of the component elements of solid solution is ~ 3%), the shape of the precipitate is spherical. This is the case with, say, Al-Li binary alloy. When such particles grow in size or when a somewhat large misfit is developed, the particles tend to be cuboidal, as with nickel base superalloys. When the difference in atomic diameters is~ 5%, the misfit strain is larger such that the predominate form of precipitates is fine-lamellar (most often disc-shaped). If the elastic strain energy associated with coherent particles is such that it is greater than that needed for disc-shaped particles but is less than that needed to produce equiaxed particles, the shape of the particles tend to be acicular or needle like. The shape of the GP-zones observed in alloy systems Al-Ag, Al-Zn, Al-Zn-Mg and Cu-Co is spherical, in Al-Cu and Cu-Be it is disc shape (or lamellar) and that in Al-Mg-Si and Al-Cu-Mg is acicular. Hardening with special reference to Aluminium-Copper alloys The magnitude of hardening effect in ageing depends on the type of precipitates (such as GP- zones, intermediate precipitate or stable precipitate), their structure, size, shape, pattern and density of distribution, the degree of misfit between the lattices of the matrix and precipitate, and temperature of testing. GP-zones are nucleated homogeneously and their distribution density is very high and the spacing between them is usually so small (100-150A for GP-I and about 250A for GP-II) that the stress required for dislocations to bypass these particles is appreciably higher than that required for shear. It follows that if dislocations are to avoid these precipitates they would have to bow to a radius of curvature of lO0A. The corresponding stress required is found to be several times greater than the observed values of flow stress. This suggests that dislocations are to be forced through the zone to shear them. From the observed values of flow stress, interparticle spacing for GP-zones and coherent precipitates has been calculated by researchers and is found to be about 600 A. This confirms that the bowing mechanism is unlikely to operate with GP-zones and coherent precipitates. Therefore, GP-zones can cause chemical hardening. If the difference between the atomic diameters of the solute and solvent elements is not large (e.g. ~ 3%), the degree of misfit between the lattices of matrix and precipitate is small and chemical hardening is the sole factor responsible for age-hardening (e.g. in Al-Ag and Al-Zn alloys). With a large difference in atomic diameters, as for instance, in Al-Cu and Cu-Be alloys, a field of appreciable elastic stresses forms around GP-zones and coherent precipitates, which contributes to strengthening by elastic stress field as well as chemical hardening. In case of Ni-base superalloys, where gamma prime Ni3Al precipitate introduces low particle-matrix misfit, chemical hardening is the predominant hardening mechanism. Semicoherent precipitates of an intermediate phase can produce a strong hardening effect if the spacing between them is small. However, the elastic stress field around semicoherent precipitates is weaker (as it is partly relaxed by creating dislocations around the particles) than around coherent ones, and therefore, the corresponding hardening component in ageing is lower for them. Intermediate-phase precipitates, however, differ more appreciably in their structure from the matrix than GP-zones, so that their atom arrangement is disturbed more by shearing @Seismicisolation @Seismicisolation
  • 194.
    Strengthening Mechanisms inMaterials 167 dislocations. Therefore, an intermediate-phase precipitate is capable of causing a stronger 'chemical' hardening than a GP-zone, which with a sufficiently high density of precipitates can give a higher strength in an age-hardened alloy compared with the GP-zones in Al-Cu alloys (Figure 6.9). If, however, the density of intermediate-phase precipitates is substantially lower than that of GP-zones, the stress required to squeeze a dislocation between precipitate particles will be less than that required for shearing GP-zones. In that case, the strength of the alloy at the stage of intermediate-phase precipitation will be lower than that of the zone stage (Figure 6.9). Stable equilibrium phase precipitates are usually incoherent with the matrix and have no elastic strain fields around. Further, there is large spacing between the precipitate particles as they are larger in size than coherent precipitates. As a consequence, a much lower stress is required for dislocations to circumvent them (i.e. to avoid them and by-pass). That is why stable phase precipitates give appreciably lower hardening effect on ageing than GP-zones and intermediate- phase precipitates. Figure 6.15 shows the deformation characteristics of single crystals of an Al-4 wt%Cu alloy in various structural states. The stress-strain curves from crystals containing GP-I and GP- II are very much similar and they are also similar to those of pure aluminium crystals, except that there is considerable increase in flow stress. However, these curves differ considerably from those for crystals containing 0' or 0 precipitates. The flow stress for crystals containing 0' or 0 phase is much less than for crystals containing GP-zones but the initial strain hardening for 0' is very rapid. This high rate of work hardening can be correlated to the fact that deformation in 0' and 0 precipitates occurs on several slip planes rather than confining to single slip plane. The crystal then deforms more nearly as polycrystalline. The lower rate of strain hardening of GP-zones (I and II) can be correlated to the fact that once a dislocation cut through a zone, the path for subsequent dislocations on the same slip plane is easier. G.P. 0" 0' 0 ~ 160 ::!: vi 120 (/) ~ ci5 80 40 0 2 4 6 0 2 4 6 8 0 2 4 0 2 4 E,% FIGURE 6.15 Stress-elongation diagram for Al-4% Cu alloy at various stages of precipitation. The magnitude of hardening in precipitation hardenable alloys also depends on composition which is apparent from Figure 6.9. At concentration of Cu in aluminium lower than 4 wt% hardening is lower. This can be correlated to low density of precipitate particles to hinder the dislocation motion. In addition, with low density of particles the interparticle spacing will also be larger to make dislocation bending between them easier. Part of the strengthening is also associated with coherency strains around the particles. @Seismicisolation @Seismicisolation
  • 195.
    168 Mechanical Behaviourand Testing of Materials Tensile strength, yield strength and hardness increase considerably due to the strengthening by precipitation hardening. Tensile strength values as high as 6 to 20 times of the base metal can be attained in precipitation hardenable alloys. The increase in strength and hardness depends on solution heat treatment temperature, aging temperature and aging time. Higher the solution treatment temperature, shorter is the ageing time required to reach maximum strength or hardness for a given aging temperature. A similar trend is observed with aging temperature. However, the extent of strengthening (maximum strength or hardness) also decreases with increasing ageing temperature which is not desirable. By lowering ageing temperature, maximum strength or hardness value can be raised reasonably. Ageing time required to reach maximum strength or hardness will be certainly more with lower ageing temperatures. An optimum combination of aging temperature and aging time is selected in actual practice. Ductility of the precipitation hardenable alloys decreases with increase in strength and hardness. 6.4.2 Dispersion Hardening Another strengthening mechanism by second phase particles is dispersion hardening. In dispersion hardening, very fine particles of second phase are mechanically alloyed (dispersed) into the matrix. The second phase may be metallic or nonmetallic in nature. These particles need not to be coherent with the matrix as in the case with precipitation hardenable alloys and hence a large number of dispersion hardenable alloys have been developed (Table 6.3). Second phase TABLE 6.3 Examples of some dispersion strengthened alloys Base metal Aluminium, copper Nickel Tungsten Nickel base superalloys Stainless steels High speed tool steels Alumina Thoria Thoria Dispersoid Intermetallics, borides and refractory metal carbides TiB2 Vanadium carbide (VC) particles should be hard, fine, numerous and preferably spherical in shape. In general, second phase selected for dispersion is an intermetallic compound which is being used to the best advantage in a relatively soft and ductile matrix. Intermetallics are being used preferentially because of their high melting temperature, stiffness, creep strength and good resistance against oxidation. Dispersion hardenable alloys, unlike precipitation hardenable alloys, can be used safely at high temperatures due to excellent thermal stability of dispersed intermetallic compounds. Distribution of numerous fine particles hinders motion of dislocations, and hence, strengthening occurs by dispersion hardening. The mechanism of strengthening is similar to that for averaged precipitation hardening alloy (Figure 6.14). Eq. 6.15 is applicable here also. A fine dispersivity results in enhanced strengthening. Dispersion hardenable alloys have enhanced tensile strength, yield strength and hardness but decreased ductility and toughness. They also exhibit high temperature strength. The recrystallization temperature is raised by second phase dispersoids. For instance, the recrystallization temperature of aluminium is raised to as high as 0.9 Tm when it is strengthen with alumina dispersoids. @Seismicisolation @Seismicisolation
  • 196.
    Strengthening Mechanisms inMaterials 169 In contrast to second phase coherent precipitates, dispersoids are incoherent particles and therefore do not suffer from the problem of overageing or coarsening even at high temperatures. For precipitation hardening to occur, the second phase must be soluble at an elevated temperature but must exhibit decreasing solubility with decreasing temperature. In contrast, the second phase in dispersion hardening system has very little solubility in the matrix even at elevated temperatures. Thus dispersion hardened alloys maintain their stability even at high temperatures. They show high strain hardening rates. The degree of strengthening is improved by increasing the volume fraction of particles which in turn also result in lower interparticle spacing. The requirement of decreasing solubility with decreasing temperature places a limitation on the number of useful precipitation hardening alloy systems while there is no such limitation with dispersion hardened systems, in fact, theoretically, there can be an infinite number of dispersion hardened systems. 6.5 STRAIN HARDENING Mechanical properties of a metal can be altered by controlling the amount of cold deformation. As mentioned earlier that when a metallic material stressed beyond its elastic limit it undergoes plastic deformation due to the movement of dislocations. A higher stress is required for plastic deformation to continue. In other words, as the amount of plastic deformation increases, more and more stress is needed to continue the plastic deformation of the metal. This increase in stress due to previous plastic deformation is known as strain hardening. Strain hardening is also known as work hardening or cold working. Cold deformation results in increase of dislocation density. This is because during plastic deformation there are sources such as Frank- Read source of dislocations which generate dislocations. This phenomenon of strain hardening or work hardening is utilized for strengthening of both pure metals and alloys, in particular, those alloys which cannot be hardened by heat treatment (for instance, austenitic and ferritic stainless steels). Strain hardening increases the tensile strength, yield strength and hardness of a metallic material considerably (Figure 6.16 and Table 6.4). However, this increase in strength and hardness is accompanied by a decrease in ductility. In general, toughness decreases as a result of work hardening. However, in some materials, especially those having very high ductility, toughness may first increase and then decrease with increasing amount of cold deformation. This is because toughness depends on both tensile strength and ductility and hence an optimum combination of strength and ductility may be attained on controlled cold working a highly ductile material. (/) (/) Cl) C: "E C1l .c -0 C: C1l FIGURE 6.16 --- Tensile strength Amount of cold work Effect of cold working on strength and hardness of metals. @Seismicisolation @Seismicisolation
  • 197.
    170 Mechanical Behaviourand Testing of Materials TABLE 6.4 Tensile strength, yield strength and hardness of some annealed and cold worked alloys Material Tensile strength Yield strength Hardness, VHN MPa MPa Copper (99.9%) Annealed 220 103 Hard 380 330 105 Brasses 70-30 Cu-Zn Annealed 325 77 65 Hard 725 510 185 63-37 Cu-Zn Annealed 340 95 65 Hard 725 540 185 Tin bronzes (3.75 Sn-0.1 P) Annealed 340 110 60 Hard 740 620 210 Aluminium bronzes Annealed 385 125 80 Hard 775 590 220 Cupro-nickels (25 Ni) Annealed 355 80 Hard 600 170 EC grade aluminium (99.45) Annealed 82 Hard 186 1100 alumnium (99.00) Annealed 90 35 25 Hard 165 152 50 3003 (Al-1.2 Mn) Annealed 110 45 32 Hard 200 170 50 5083 (Al-4.5 Mg-0.7 Mn) Annealed 315 125 1/2 Hard 345 235 The increase in tensile strength up to a certain amount of cold deformation is quite rapid. Beyond this amount of cold deformation, tensile strength increases gradually. Yield strength and hardness also follow the same trend, i.e. rapid increase followed by gradual increase with increased amount of cold deformation. The difference between the tensile strength and yield strength is usually fairly large for a material in soft (annealed or hot rolled) condition. This difference in the tensile strength and yield strength decreases with increase in the amount of cold deformation and a state is reached when yield strength and tensile strength are close to the maximum extent. At this state, ductility is extremely poor. Hardness is at maximum at this @Seismicisolation @Seismicisolation
  • 198.
    Strengthening Mechanisms inMaterials 171 degree of cold deformation. If material is stressed further for deformation beyond this, cracks will develop and the material will eventually separate into two or more pieces. Strain hardening is believed to arise principally from the interaction between dislocations themselves such that the mobility of dislocations is reduced. As a consequence, higher stresses must be needed to produce additional strain. In addition to dislocation-dislocation interaction, strain hardening also arises from the interaction of moving dislocations with barriers such as second phase particles, grain boundaries, jogs in screw dislocations, and so on. As gliding dislocations encounter a barrier, dislocations pile-up there and produce a back stress. This back stress resists the applied stress on the slip plane by resisting the operation of the dislocation source. The barriers to the dislocation motion may be formed by the interaction of gliding dislocations on intersecting slip planes. When two dislocations gliding on two intersecting slip planes meet they combine and produce a new dislocation. The Burgers vector of this newly formed dislocation does not lie on either of the intersecting slip plane. Instead, it lies on a plane in which the motion of this dislocation is not favourable as the plane is an inactive slip plane. That is, the dislocation becomes immobile and commonly called sessile dislocation or Lomer- Cottrell sessile dislocation (as discussed in Section 4.8.1). It is a dislocation of low mobility. This dislocation behaves as a barrier to the motion of subsequent dislocations on the intersecting slip planes. As a consequence dislocations pile up there. This mechanism is illustrated in Figure 4.37. Another barrier can be a screw dislocation containing a jog. The jog in screw dislocation is edge in character and not only prevents the dislocation to move but also stops it from cross-slip. A jogged screw dislocation can move only by generating vacancies or interstitials. This in turn needs expenditure of work or energy. The consequence of this is the increased rate of strain hardening (the slope of the stress-strain curve). Strain hardening in single crystal is also believed to arise when the dislocations moving on slip plane cut through other dislocations intersecting the active slip plane. Strain hardening in single crystals has been covered in Section 5.3.5. The statement that strain hardening is a result of increased dislocation density with increasing plastic strain is experimentally predicted by researchers. Experimental findings show that the flow stress, r required to move dislocations increases with increasing dislocation density p in accordance with the following relationship r = ro + AGbp112 (6.16) where r0 is the stress required to move a glide dislocation in the absence of other dislocations, G is the shear modulus of the material, b is the Burgers vector and A is a constant. This relationship is valid for various stages of stress-strain curves of single as well as polycrystalline materials. In general, polycrystalline metals work hardened more rapidly than single crystals. 6.5.1 Properties Affected by Strain Hardening Strain hardening is principally used to improve mechanical properties of metals. The major effect of strain hardening on mechanical properties include only slight increase of elastic modulus, increase in proportional limit, yield strength, tensile strength, and hardness but reduction in percent elongation. However, the increase of mechanical properties are not at the same rate. Apart from the mechanical properties strain hardening or cold work also affects the @Seismicisolation @Seismicisolation
  • 199.
    172 Mechanical Behaviourand Testing of Materials physical and chemical properties. For example, electrical resistivity of an alloy increases with increasing degree of cold working. The increasing electrical resistivity is correlated to increased scattering of electrons with dislocations. Cold working also alters the magnetic properties of ferromagnetic materials. For instance, it is believed that coercive force of permanent (or hard) magnets increases with increasing internal strain, as in cold worked alloy. A small decrease in density of metal and a small increase in coefficient of thermal expansion also occur by cold working. The increase in internal energy due to increased dislocation density during cold working of metals leads to increased chemical reactivity. This in turn leads to a general decrease in corrosion resistance and in certain alloys introduces the possibility of stress-corrosion cracking (as in stainless steels). 6.5.2 Industrial Importance of Strain Hardening Industrially, strain hardening is very important both in its influence upon forming and fabricating operation and in its effects upon the properties of finish metal sections. In a forming operation, strain hardening is beneficial on one hand and is disadvantageous on the other hand. For example, in a cold rolling operation, strain hardening continuously increases the resistance of the metal against further deformation. This in turn needs more input of energy or work to produce successive increments of reductions. An increase of resistance against further deformation may lead to brittleness of material. There is danger of cracking or splitting of metal during further reductions. Under such conditions, in order to achieve further reductions without any cracking or splitting, the metal must be given an annealing treatment to remove the effect of work hardening before further rolling. Such intermediate annealing treatments are expensive. Sometimes, two to three intermediate annealing treatments are required (as, for instance, in fine wire drawing process). The ultimate effect is increased cost of the product. In addition, the whole fabrication process consumes lot of energy and time. With regards to influence of strain hardening on mechanical properties, it is the only process of strengthening of those metals and alloys which otherwise can not be hardened by any other hardening process. Furthermore, strain hardening imparts flexibility to control final combination of properties in cold finish metals by proper control of cold working and annealing cycles. Cold rolling of some grades of stainless steels can result in almost double the tensile strength and more than double the yield strength, making possible important savings in both weight and material cost in the design of transportation vehicles such as aircrafts, automobiles, railway coaches and so on. A reduction in weight of transportation vehicle leads to considerable saving in fuel and increased load carrying capability of the vehicle. Deep drawing is a very common industrial forming operation that would be completely impossible if strain hardening did not occur during plastic deformation. Figure 6.17 illustrates schematically the process of deep drawing of a cup shaped product. This figure shows a circular metal sheet called blank [Figure 6.17(a)]. The thickness of the blank is much greater than the annular region (indicated by the symbol r in Figure 6.17(b) between the shoulder of the punch and the rim of the die opening. Accordingly, as the punch descends in the blank, in the beginning, an appreciable reduction in thickness of the metal blank is needed as drawing occurs [Figure 6.l7(c)]. If the deformed metal did not strain hardened then this decrease in section would produce an equivalent reduction in strength of the sheet metal and further deformation would @Seismicisolation @Seismicisolation
  • 200.
    Strengthening Mechanisms inMaterials 173 Blank Pressure pad ~ Die ~ (a) (b) (c) FIGURE 6.17 Process illustrating deep drawing of a metal cup out of a blank: (a) Assembly of punch and die, (b) Descending of the punch in the metal blank, initiating deep drawing, and (c) the cup is formed, the arrow indicating ascending of the punch. be confined entirely to this region. Continued descending of the punch would simply elongate the metal at the die opening until failure occurred (In the annular region the metal sheet experience biaxial tensile stress and compressive stress between the punch shoulder and the rim of the die opening). The eventual effect would be the production of a circular hole punched in the metal blank as the punch continued to descend. The hole in the blank is associated with a pronounced burr at the circumference. Deep drawing is possible only when the deformed part of the metal strain hardens so rapidly that, in spite of its reduced thickness, it is stronger than the remaining adjacent undeformed part of the metal. As a result, the descending punch will cause the metal to deform at the bottom and draw additional metal from the edges of the blank into the die opening. Similarly, wire drawing is impossible if the metal drawn did not strain hardened sufficiently as it passed through the die to more than compensate for the reduced cross-section. These examples of cold forming demonstrate the fact that only the materials that can be rapidly work hardened are capable of being deep drawn with ease while those with low work hardening characteristics are difficult to be deep drawn. For example, plastic materials which do not strain harden at all, cannot be deep drawn, though they can be cupped easily by a variety of other methods. In industry, the degree of strain hardening existing in cold worked metals is identified as its temper. In USA, the degree of strain hardening is commonly described either in terms of @Seismicisolation @Seismicisolation
  • 201.
    174 Mechanical Behaviourand Testing of Materials gauge numbers of cold reduction since the last anneal or as a fractional hardness. Thus the most common commercial tempers in which metals are sold and bought are: dead soft, or fully annealed; 1 No. or one quarter hard, representing 11% reduction of original thickness, or original diameter by cold rolling or cold drawing; 2 No. or half hard, representing 20% of cold reduction; 4 No. or full hard, representing 60% of cold reduction. It has been observed that for any given cold worked temper, wire has been strain harden more extensively than has sheet or strip. The extent of cold working and hence the degree of work hardening is best represented by the percent reduction in cross-sectional area during working. A 20% reduction in diameter of a round wire, e.g. represents a far greater decrease in cross-section than a 20% reduction in thickness of a flat sheet. With regard to influence of strain hardening on mechanical properties, it is the only process of strengthening those metals and alloys which otherwise cannot be hardened by heat treatment. 6.6 MARTENSITIC STRENGTHENING Strength due to the transformation of austenite into martensite is most frequently used in steels. Martensite is the name given to a non-equilibrium transformation product obtained on rapid cooling. It is a diffusionless transformation which involves a change in crystal structure such that the position of atoms in the product can be related to their positions in the parent phase by a homogeneous strain. This transformation, therefore, does not involve long-range diffusion of atoms. In fact, the atoms may move relative to their lattices by no more than a fraction of interatomic distance. This is why the transformation is called diffusionless. Because of the diffusionless nature, the composition of the product phase is the same as that of the parent phase. Diffusionless transformation is accompanied by an increase in strain. In many useful alloys this strain is quite high, i.e. about 0.1. Martensite transformation is not limited to steels and ferrous alloys. Many nonferrous metals and alloys undergo martensitic transformation. However, martensite in nonferrous metals and alloys is soft. For example, copper martensite is so soft that all forming operations like bending and twisting etc. are performed on as-quenched copper. Even in some of the ferrous alloys such as maraging steels, martensite is soft. It is only ferrous alloys and specifically carbon containing ferrous alloys which exhibit a pronounced strengthening effect due to martensitic transformation. That is why this is one of the most commonly employed strengthening mechanism in steels. The strengthening due to martensitic transformation is not due to single factor. Many factors contribute to martensitic strengthening. However, it can be said without any doubt that carbon plays a major role in strengthening due to martensitic transformation in ferrous alloys. In a conventional plate martensite, plates are composed of stacks of very fine twins. Strengthening of plate martensite (also known as acicular martensite) arises from the very fine twins that act as strong barriers to slip. In lath martensite, a network of tangled dislocations is possessed by laths. A very high dislocation density, say 1010-1012 per cm2, comparable with those of heavily cold deformed material is associated with lath martensite @Seismicisolation @Seismicisolation
  • 202.
    Strengthening Mechanisms inMaterials 175 which accounts for a part of strengthening due to martensitic transformation. The major strengthening due to martensitic transformation is caused by distortion of lattice and volume expansion. The magnitude of these both parameters is a function of carbon content. These both parameters lock both edge and screw dislocations. In alloyed steels, though strengthening also occurs by solid solution, strengthening is mainly caused by segregation of carbon atoms at dislocations and/or at lath/plate boundaries. Precipitation of iron carbide which takes place in steels having higher Ms temperature also causes strengthening. Further strengthening is possible by making austenitic grain size finer prior to martensitic transformation. 6.7 COMPOSITE STRENGTHENING A composite material is one which is created synthetically by combining two or more distinct materials so as to obtain some specific distinct properties which neither of the constituting component impart when used alone. The constituting elements maintain their chemical identity. Generally, a composite is composed of two component materials such that one of the materials is inserted into the other. The insert is of discrete nature and is popularly called reinforcement. The material which receives or supports the insert is of continuous nature and is commonly called matrix. Usually the reinforcing material is harder, stronger and stiffer than the material of the matrix (with some exception as in case of rubber modified plastics and metal wire reinforced ceramic composites) therefore the primary function of the insert or reinforcement is to improve the mechanical properties (in particular, the strength and stiffness) of the composite. Matrix mainly takes the applied load and distributes it to the reinforcement. The matrix component can be metallic, polymer or ceramic. The basic idea of reinforcing a matrix is to improve specific strength (i.e. strength to density ratio) and specific stiffness (i.e. elastic modulus to density ratio). The form of reinforcement may be fibrous, particulate, ribbon or wire like. Fibrous form of reinforcement is most common among composites. Therefore, fibre reinforced composites have been discussed here in greater details. Polymers are generally mechanically too weak to be used for high performance structural use. Therefore, these are reinforced with strong and stiff fibres of low density so as to increase both strength and stiffness properties to a considerable extent. Metals are generally strong and stiff and their strength can be improved by various mechanisms discussed above. However, the above strengthening mechanisms do not improve the stiffness property. By reinforcing the metals and alloys with strong and stiff fibres it is possible to improve both specific strength and specific stiffness at the expense of some toughness. Ceramics are generally strong and stiff but suffer from the problem of brittleness which in turn limits their applications for structures. One of the ways to improve fracture toughness of ceramics is to reinforce them with strong and stiff fibres. The fibre bridging mechanism of toughening ceramics is discussed in Chapter 10. The improvement of fracture toughness and flexural strength of some ceramics reinforced with ceramic fibres is shown in Table 6.5. The properties of composites predominantly depend on the size, shape, volume and distribution of the reinforcement phase. @Seismicisolation @Seismicisolation
  • 203.
    176 Mechanical Behaviourand Testing of Materials 6.7.1 TABLE 6.5 Effect of SiC reinforcement fibres on the properties of selected ceramic materials Material Flexural strength Fracture toughness (MPa) (MPa m-112) Al20 3 550 5.5 Al20rSiC 790 8.8 SiC 495 4.4 SiC-SiC 756 25.3 Zr02 206 5.5 ZrOi-SiC 446 22.0 Si3N4 467 4.4 Si3N4-SiC 790 56.1 Glass 62 1.1 Glass-SiC 825 18.7 Glass ceramic 206 8.2 Glass ceramic-Sic 825 17.6 Fibre Strengthened Composites Among the various types of composites, the most popular being the fibre-reinforced composites as they are designed to have high-strength to density (or weight) ratio and high-stiffness to density ratio. These characteristics are expressed in terms of specific strength and specific stiffness, respectively. Fibre-reinforced composites with exceptionally high specific strengths and modulus have been produced out of low density constituting materials. In the fibre- reinforced composites, the reinforcing phase is hard and stiff fibres the volume percent of which range from 40 to as high as 75. An excessive volume fraction is undesirable. Matrix may be a metal, ceramic or polymer. Polymer composites are the most widely used ones. Fibres may also be made of metals, ceramics or plastics. In these composites, fibre phase is the major load bearing constituent. Matrix takes the applied load and transmits it to fibres through the interface. The interfacial bond characteristic is very important in these composites. A strong interfacial bond is essential for effective transfer of load from matrix to fibres. A weak interface may result in fibre pull out or slippage of fibre with respect to matrix. The matrix if metal or thermoplastic, provides ductility and toughness whereas fibres impart strength and rigidity to the composite. The basic principle used in fibre-reinforced composites is that materials are generally stronger in fibre form than in bulk form due to minimum number of defects they have. The number of defects, in particular, dislocations, increases as the thickness or diameter of the material increases. The theoretical strength value of a perfect crystal is found to be about 1000 times higher than the observed strength in polycrystalline materials. For instance, whiskers that are single crystal materials with diameter less then 0.1 µm display strengths approaching that of an ideal crystal. This is due to the existence of a few immobile dislocations in them. However, these materials are brittle solids, i.e. they fail suddenly after reaching to the critical @Seismicisolation @Seismicisolation
  • 204.
    Strengthening Mechanisms inMaterials 177 elastic limit. The strength of a brittle material is inversely related to the square root of its maximum flaw size (Eq. 7.5) and the probability of having a large flaw in a given material decreases as the thickness or diameter decreases. In a brittle material, the rate of propagation of a preexisting crack is fast when a load is applied on it provided the crack length is above a critical value. This probability of a critical or supercritical crack size is reduced in the material when it is in fibre form since the diameter of fibres is less than the critical size of flaw, if it exists on the fibre surface. Thus the strength of the fibre increases with decrease in its diameter as illustrated in Figure 6.18 for a typical fibre material. It is apparent from this figure that a small diameter fibre is advantageous to use as reinforcement. It has been observed by investigators that a carbon fibre having a diameter of 8 µm exhibit a tensile strength of about 2.5 GPa as against a value of 1.5 GPa of a fibre with diameter 12 µm of the same material. Similarly, the tensile strength of an antimony wire of 30 µm diameter is 175-215 MPa as against 6-8 MPa of 4 mm diameter rod of the same metal. Generally, the materials in fibre form have high elastic modulus because of the orientation of fibre axis with respect to the directions of strong covalent bonds. For example, the elastic modulus of graphite fibres can be increased significantly by orienting the graphite planes with respect to fibre axis. This happens when the pyrolysis and graphitization of the precursor material [i.e. the starting material from which carbon is derived. The most widely used precursor materials for carbons fibres are polyacrylonitrile (PAN) fibres and pitch] is carried out at high temperature (2000-2500°C). The elastic modulus for such graphite fibres will be as high as 1035 GPa. Further, the interfacial surface area available to transfer load from matrix to reinforcement is more with fibrous geometry than particle like geometry. Thus, the fibre form of reinforcement is more effective in transfer of load from matrix to reinforcement, and thus, the effectiveness of composite is realized. Furthermore, a small diameter (of fibres) is also important in providing a fibre with much required flexibility. Fibre flexibility is associated with its elastic modulus E and diameter d such that flexibility is inversely proportional to fourth power of diameter according to the relation [l/MR oc l/Ed4, where l/MR is a measure of flexibility, M is bending moment and R is radius of curvature of bend]. Thus, a minor decrease in fibre diameter can result in a considerable decrease in bending stiffness or increase in flexibility. Thus, for a given elastic modulus, the smaller the diameter the more flexible it is. Fibre flexibility allows it to be woven, bent, and wound into intricate shapes. ~ ..c t;:: 0 -5 O> C i en Diameter of fibre - FIGURE 6.18 Decrease in tensile strength of a fibre with increase of its diameter. @Seismicisolation @Seismicisolation
  • 205.
    178 Mechanical Behaviourand Testing of Materials Thus, fibres are considered to be the principal constituent in a fibre-reinforced composite material. They occupy the largest volume fraction in a composite. The performance of the fibre reinforced composites depend on: (i) the continuity of the fibres and their orientation, (ii) the volume fraction of the fibres, (iii) the length of the fibres, (iv) the interfacial bonding between matrix and fibre phase and so on. To achieve significant strengthening effect in the composite system, the fibres must have high strength and stiffness (a high stiffness is important because under compressive forces, the fibres should not buckle out) because they have to carry major proportion of the applied load. If fibres of lower modulus than the matrix are used then the tensile strength of the composite will be reduced since matrix rather than fibres will then carry a greater proportion of applied load. Thus, strength of the composite depends on the strength of the fibres. Further, a strong interfacial bond is desirable for the transfer of load from matrix to fibres. Since most of the load is born by the fibre phase, its volume content should be high. However, too high a volume percent fibre is undesirable as it may lead to improper wetting with the matrix. This in turn led to poor bonding between fibres and matrix and hence a weak composite. Again, too low a volume fraction (V1) of the fibre will result is little or no strengthening effect. Effect of fibre orientation and concentration The orientation of fibres with respect to one another and loading direction, their concentration and distribution all influence the properties of a composite. All fibres may be aligned parallel to one another or may be randomly distributed in the matrix as illustrated in Figure 6.19. Continuous fibres are normally aligned [Figure 6. l9(a)], whereas discontinuous fibres may be aligned [Figure 6.l9(b)] or oriented randomly [Figure 6.19(c)]. Sometimes discontinuous fibres may be partially aligned. Transverse direction ~ Longitudinal direction l ; (a) ~ I I I 1111I I 11 I I I 1111I I 11 I I I 1111I I 11 I I I 1111I I 11 I I I 1111I I 11 I I I 1111I I 11 I! I !1 !1 ! I !1 I I I I I I (b) // _......- / //~ I ,,_/'/' >"/." ....._ I ....._ 1/ / " I, '-1/-- < (c) FIGURE 6.19 Schematic illustration of fibre architecture in composite: (a) Continuous and aligned, (b) Discontinuous and aligned, and (c) Discontinuous and randomly oriented fibres. @Seismicisolation @Seismicisolation
  • 206.
    Strengthening Mechanisms inMaterials 179 Longitudinal loading: Let us consider the loading of continuous fibres under longitudinal condition. Figure 6.20 illustrates the loading of a continuous fibre-reinforced composite such re Matrix ~ "'-'-.. I'-- Fibre ipc FIGURE 6.20 Longitudinal loading of continuous fibre composite (lsostrain condition). that the applied load is parallel with respect to the orientation of fibres. Assuming the bond between the fibres and the matrix is strong and no slippage is allowed between them. When the magnitude of applied load is low both the fibres and matrix deform elastically and the strain produced in them is same (isostrain condition). Let the applied load on the composite is Pc. This load is the sum of the loads carried out by the matrix and the fibres. Thus, (6.17) The subscripts c, f and m denote composite, fibre and matrix, respectively. In terms of stress Eq. (6.17) can be written as: O'c Ac = O'J At + CT,,,Am or O'c = O'J A/Ac + O'm Am/Ac (6.18) (6.19) For a given length of the composite, A/Ac and AmiAc can be written as v1 and Vm, the volume fractions, respectively, for fibres and matrix. Thus, Eq. (6.19) can be written as: Since V1 + Vm = I, therefore, O'c = O'J VJ + O'm (I - V1) In terms of the elastic modulus E and elastic strain c, Eq. (6.21) can be written as: Eccc = Et cJV1 + Emcm ( I - V1) Since cc =£r =cm (6.20) (6.21) (6.22) (6.23) Equation (6.23) is called rule of mixtures for elastic modulus in the longitudinal loading condition. Equation (6.21) is similar to Eq. (6.23) and represents the composite longitudinal strength. Equations (6.21) and (6.23) can be represented diagrammatically as shown in Figure 6.21. @Seismicisolation @Seismicisolation
  • 207.
    180 Mechanical Behaviourand Testing of Materials b ~ e $,,1----------j------- ~ 4.."$ sf,1' u5 0~11 Strain, t: 0 100 FIGURE 6.21 Representation of Eqs. (6.21) and (6.23) diagrammatically for composite strength and elastic modulus. re --~ Matrix I~ ./ Fibres 1 pc Let us consider another case in which the continuous fibre-reinforced composite is loaded transversely with respect to orientation of fibres as illustrated in Figure 6.22. In this case the stress experienced by the matrix and the fibres is same (i.e. O'c = O'j = O'm) and therefore the loading condition is termed as isostress. However, the strains produced in fibres are different from that produced in the matrix due to different elastic moduli. The total strain produced in the composite is the sum of the strain produced in the matrix and the fibre components. Under isostress loading, the total displacement experienced by the composite in the thickness direction dtc is the sum of the displacements of the components, i.e., FIGURE 6.22 Transverse loading of continuous dtc = dt1 + dtm Dividing both sides by le, the composite thickness, we get /).t /).ti /).t _ c =--+___!!!_ fibre reinforced composite (lsostress condition). (6.24) (6.25) But dt)tc is the strain Ec, the composite strain in the transverse direction and dt1 and dtm are the strains in the fibre and matrix times their respective gauge lengths in the transverse direction, i.e. dt1 =eft and dtm =Emtm. Accordingly, we can write (6.26) @Seismicisolation @Seismicisolation
  • 208.
    Strengthening Mechanisms inMaterials 181 or ec=e1(~)+em(::) (6.27) For a given composite cross-sectional area under the applied load, the volume fractions of fibres and matrix can be expressed as: Thus, Eq. (6.27) can be written as: Ee= Cf VJ+ emVm (6.28) If the composite is loaded within elastic regime only, and that O'c =O'j =O'm, Eq. (6.28) can be written in terms of elastic modulus and stress as: ac =(!!E...)vr + (!!E...)vm Ee Ef Em (6.29) 1 Vr (1- v1) -=-+---'-- EC Ef Em or (6.30) Equation (6.30) represents the rule of mixtures for elastic modulus of the composite loaded transversely. For all composites of two phase systems, the transverse strength and stiffness are always lower and are found to be not much different than those of the matrix. When strength and modulus properties are measured in different directions with respect to the orientation of fibres, these are minimum in the direction perpendicular to the orientation of fibres and maximum in the direction of orientation (Figure 6.23). The efficiency of the reinforcement is a function of fibre orientation. Now, consider the mechanisms of deformation of a composite material reinforced with continuous fibres and stressed under the condition of 'isostrain' or 'longitudinal' loading. The overall deformation process can be described in four stages with increasing load. Stage I: Initially both the matrix and fibres deform elastically under load. Stage II: As the load increases, the stress in the matrix approach the yield stress and it begins to yield and deforms plastically, while the fibres continue to deform elastically and take up a greater fraction of load. Stage III: The continued increase in loading causes the fibres and matrix both to deform plastically. Stage IV: Any further increase in load will cause the fibres to fracture and cracks will propagate across the matrix resulting in failure of the composite. In stage I, the elastic modulus of the composite Ee follows the rule of mixtures given by Eq. (6.23). This rule of mixtures is not applicable during stage IL In stage II, if the slope of the stress-strain curve of matrix is given as (damldem) at the elastic strain of fibres, the elastic modulus of the composite can be expressed as: @Seismicisolation @Seismicisolation
  • 209.
    182 Mechanical Behaviourand Testing of Materials (ll Q. 6 .c 350 g1 (1750) ~ ci, a> 280 ~ (1400) ~ o 210 co (1050) Q. Q, en 140 ::, 3 (700) "O 0 E <.J 70 ~ (350) (ll iii Elastic modulus 70 140 210 (350) (700) (1050) Elastic modulus (GPa) or Tensile strength (MPa) Tensile strength FIGURE 6.23 Effect of fibre orientation on elastic modulus and tensile strength of composites. [ dam] EC =E1V1 + - - vm dem (6.31) In Eq. (6.31), am is the stress in the matrix and em is its strain. If the matrix were truly plastic, i.e. if it continues to deform without any increase in stress, (damldem) would be zero. So the elastic modulus is expressed as: (6.32) This relationship is very important and interesting as it shows that tensile modulus of fibre reinforced composites depends directly upon the modulus and volume fraction of fibres. Once the fibre to be used is selected its elastic modulus is fixed. Now it is the fibre volume fraction that will affect the magnitude of tensile modulus of the composite. In general, increase in volume fraction of the fibres will result in the increase of tensile modulus of the composite. Similar trend is followed with tensile strength property. However, improvement in these properties is accompanied by a reduction in impact strength and ductility. Stage II becomes very important because large portion of the stress-strain diagram occupies this stage of deformation. Stage III is not observed in composites with brittle fibres such as ceramics, but may occur with metal fibre reinforcements. However, it is necessary to take into account that both the fibres and matrix are being deformed plastically and the slope (damfdt:,,,) cannot be taken to be zero. The ratio of the load carried by the fibres (P1) to that carried by the matrix (Pm) is given as: Pr E1 v1 - = - X - pm Em Vm (6.33) @Seismicisolation @Seismicisolation
  • 210.
    Strengthening Mechanisms inMaterials 183 For a composite material reinforced with continuous fibres aligned in one direction and having a volume fraction greater than a minimum (i.e. VJ min), the ultimate tensile strength of the composite O'er will be attained for a strain at which fibres fracture. This statement will be true if all the fibres are assumed to be identical and uniform and having the same tensile strength so that when they break they all break at the same instant. Under these conditions the ultimate tensile strength of the composite for VJ > VJ min is given as: O'er= 0j1VJ + d m (1 - VJ) (6.34) where, Oj1 is the tensile strength of the fibres in the composite, dm is the matrix stress at strain corresponding to the fibre tensile strength (Figure 6.24). For large volume fraction of fibres, and since Oj1 >> dm the strength of the composite may be adequately represented by O'er == O'JrVJ (6.35) At low volume fractions, most of the load is to be born by the matrix while it is not capable of doing so. If the matrix is capable of being work hardened then the reduced load carrying capability of the matrix is counterbalanced. At such low volume fraction of fibres, the matrix controls the composite strength. Similarly, if all the fibres fracture at the same time, the strength of the composite must exceed volume FIGURE 6.24 weighted tensile strength of the matrix, i.e. O'er ~ O'mr (1 - VJ) Stress-strain curves for a typical fibre and a matrix material. (6.36) O'mr is the tensile strength of the matrix. Combining Eq. (6.34) and (6.36), a minimum volume fraction of fibres, VJ min for composite strengthening is obtained: (6.37) The value of VJ min typically varies from 0.05 to 0.10. The value of VJ min increases with decreasing fibre strength Eq. (6.37). In other words, if the fibres used for fabrication of composite have low tensile strength then the minimum volume fraction needed will be large. In reality, the basic purpose of producing a composite is to have its strength higher than that of the ultimate tensile strength of matrix alone, i.e. (6.38) If Eq. (6.38) does not hold well, the fibrous reinforcement will not produce a composite stronger than the matrix. For this there must be a critical volume fraction of fibres that must exceed in order to realize the strengthening of composite. This critical volume fraction VJ crit can be obtained from Eq. (6.34) and Eq. (6.38), i.e. @Seismicisolation @Seismicisolation
  • 211.
    184 Mechanical Behaviourand Testing of Materials V - amt -a; fcrit - , (jft -(jm (6.39) The stress caused by work hardening of the matrix (Gmr - a~) is independent of fibres (Figure 6.24). Equation 6.39 shows that Vfcrit increases with increasing matrix work hardening (Gmr - a;,,) and also as the matrix and fibre strengths approach each other. As 01 approaches amt, their difference will reduce and thus v1 crit will increase. Consequently, strong matrices require large volume fractions of relatively weak fibres to provide any strengthening. Figure 6.25 shows the graphical representation of VJ min and Vfcrit· A comparison of Eqs. (6.37) and (6.39) clearly shows that v1 crit is always greater than v1 min which is also apparent from Figure 6.25. en en ~ u5 (J ' m -.... V,min V,c,it Volume fraction, V1 - - - FIGURE 6.25 Effect of volume fraction of fibres on theoretical strength of composite v,crit > v, min· The strength of a composite also depends on the bonding between the fibres and the matrix and is limited by the deformation of the matrix. In addition thermal stresses may occur at the interface during fabrication of composites. Consequently the strength is almost always less than that predicted by the rule of mixtures. Influence of fibre length The mechanical properties of a fibre-reinforced composite depend not only on the properties of fibres but also on the extent to which the applied load is transmitted to the fibres by the matrix phase. This degree of load transmission to the fibres depends on the interfacial bond strength. The extent to which fibres are able to carry the applied load is also a function of their length. It is important, in particular, for discontinuous fibre-reinforced composites. There is minimum length that must exceed some critical value in order to realize the effective performance of the composite. Figure 6.26(a) shows a composite with a single fibre embedded in it. Let E1 is the elastic modulus of the fibre and that of the matrix is Em. If a normal stress a is applied to the composite, the matrix and fibre deform. Figure 6.26(b) illustrates the deformation pattern. The @Seismicisolation @Seismicisolation
  • 212.
    U) U) ~ u5 I I· Fibre (a) Fibre (b) lnterfacial shear stress (r) 1 0,12 ·I Tensile stress in fibre Fibre (c) Strengthening Mechanisms in Materials 185 Matrix I I· 1 012 ·I FIGURE 6.26 (a) Composite containing a single discontinuous fibre without loading. Imaginary lines are shown to run continuously through the fibre-matrix interface, (b) Situation after loading. Imaginary lines bend more at fibre ends suggesting shear stresses around the fibre, and (c) Stress distribution along the loaded fibre. applied stress generates both normal and shear stresses in the fibre and their variation along the fibre length is shown in Figure 6.26(c). The central part of the fibre experiences tensile stresses while the ends develop both tensile and shear stresses. The tensile stress in the fibre increases from zero at ends to a maximum value in the central part. The length of the fibre from either ends to which the tensile stress reaches a maximum is given as lJ2 (where le is the critical fibre length). Since the tensile stress is zero at the ends, there is no stress transmission from matrix to fibres at their ends. Figure 6.26(c) shows that there is some minimum or critical fibre length required for effective strengthening and stiffening of the composite material. This critical length is a function of diameter of the fibre d and its ultimate tensile strength Gj,, and on the fibre- matrix bond strength (or the shear yield strength of the matrix) rm.r· The second factor determines the load carried by the fibres while the third factor determines the ability of the @Seismicisolation @Seismicisolation
  • 213.
    186 Mechanical Behaviourand Testing of Materials matrix to transmit load from one fibre to the next. The relationship among these factors is set by a force balance. The force carried by the fibres is equal to the normal stress times their cross- sectional area. This force is transferred to the fibres via shear stress acting on the fibre surface (i.e. it is the product of the surface area of the fibre length le and the shear yield strength of the matrix). Mathematically, the force balance can be expressed as: (6.40) or when the fibre stress is maximum, i.e. <If = CT.ft, then le a ft -=-- d 2-r my (6.41) The quantity ljd is known as the critical aspect ratio (length to diameter ratio of a fibre is called aspect ratio) necessary to attain the breaking stress of the fibre. Equation 6.41 indicates that the fibre length l must be greater than or equals le (i.e., l ~ le) for the fibres to be loaded to its maximum stress, aft. For l < le, the matrix will flow plastically around the fibre and will load it to a stress in its central portion given by: (6.42) This is shown in Figure 6.27(a). Figures 6.27 (b) and (c) show that even for (lid) ~ (ljd) the average stress in the fibre will be less than the maximum stress aft to which it is loaded in its central region. For average fibre stress, iif, one can write (6.43) or (6.44) For l =le, the average fibre stress iif =f3af. Thus, /3Gj is the average stress in the fibre over a portion lj2 of its length at both the ends. Here, /3 is regarded as a load transfer function. For an ideally plastic matrix the value of /3 is 0.5 i.e. the increase in the fibre stress over the length lj2 will be linear. For a discontinuous and aligned fibre composite having a uniform distribution of fibres with a length greater than the critical fibre length le, the longitudinal strength O'et is given by the relationship: (6.45) For /3 = 0.5, (6.46) @Seismicisolation @Seismicisolation
  • 214.
    Strengthening Mechanisms inMaterials 187 ~ ---------------- f/l f/l ~ u5 (a) (b) ' ' ' ' _ _ _ _ [ _ _ _ _ _ __ _ _ _ _ _ _____ _L_ __ _ ' ' ' ' (c) I• 1/2 •I FIGURE 6.27 Distribution of tensile stress in discontinuous (or short) fibres: (a) I< le, (b) I= le, and (c) I> fc. where, 0, and a'm represent, respectively, the fracture strength of the fibre and the stress in the matrix when the composite fails. A comparison of Eqs. (6.34) and (6.46) shows that discontinuous fibres will always produce less strengthening than continuous fibres. As llle increases the strength of the composite also increases. Equation 6.41 shows that the greater the critical aspect ratio the larger will be the maximum stress in the fibre (i.e. 0,). In the limit, the stress of the discontinuous reinforcement will approach that of continuous reinforcement as llle tends to infinity (i.e. llle ➔ oo). In other words, if llle is large enough, the difference is unimportant. Practically speaking, this will usually occur as llle ~ 10. At this value the strength of discontinuous fibre reinforced composite is ~ 95% that of the continuous fibre reinforced composite. The critical aspect ratios for most fibres range from 20 to 150. Since a typical fibre diameter range between 10 to 30 µm, critical fibre lengths are of the order of 0.2 to 4.5 mm. In most cases the fibre length is much larger than le. Fibres for which l >> le are called continuous. @Seismicisolation @Seismicisolation
  • 215.
    188 Mechanical Behaviourand Testing of Materials If the fibre length is less than the critical fibre length (i.e. l < le), the longitudinal strength of the discontinuous and aligned fibre composite is given by, (6.47) If l < le and the applied stress is <If(< aft), the fibre is unable to carry the imposed load. Under this condition the major part of applied load is to be born by the matrix. The matrix deforms around the fibre such that there is virtually no stress transference. This is the situation when reinforcement geometry becomes particle like, i.e. when l << le- If the short and discontinuous fibres are randomly distributed in the composite matrix, the elastic modulus of the composite can still be expressed by an expression similar to the rule of mixtures for aligned fibre composites. The desired expression is given as: (6.48) where, E~ is the elastic modulus of the discontinuous and randomly aligned fibre composite and K' is a constant called fibre efficiency parameter. The parameter K' depends on the volume fraction of fibres and the ratio E/Em. The magnitude of K' may range between 0.1 and 0.6. Like elastic modulus of aligned fibre reinforced composite, the elastic modulus of random fibre reinforced composite also increases in some proportion with volume fraction of fibres Eq. (6.48). Matrices for fibre reinforced composites can be metallic, polymer or ceramic. 6.7.2 Dispersion Strengthened Composites Dispersion strengthened composites consist of a uniform dispersion of ultrafine refractory oxides in a high melting metal or alloy matrix. The size of dispersoids usually ranges from 0.01 to 0.1 µm diameter. The concentration of particles varies from 1 to 15% by volume. The main effect of the dispersoids is that it increases the work hardening of the matrix which is the major load bearing phase. Dispersoids strengthen the composite by impeding the motion of dislocations caused by the external stress. Strengthening primarily depends on the interparticle spacing in accordance with the relationship given by Eq. (6.15). In this relationship r is the shear stress required to yield and cause dislocations to move. For effective strengthening spacing of particles must be less than 0.1 µm. This mechanism of strengthening has been shown for many composite systems such as Cu-Al20 3, Cu-Zn-Al20 3, Cu-Si02 and Cu-BeO. Particle size and volume fraction have a great effect on the yield strength of the dispersion strengthened composites. Based on Orowan's criterion Eq. (6.15) for a given volume fraction of dispersoids yield strength of the composite increases with the decrease of interparticle spacing. But as the size of the particle decreases there must be a critical size below which the stress for shearing of the particle is less than the high Orowan yield stress required. On the other hand, increasing the particle size will result in lowering the number of particles and higher the interparticle spacing and hence lower the yield strength of the composite. Another favourable factor for strengthening is the uniform dispersion of particles. From the point of view of better creep resistance the matrix must have low stacking fault energy as it restricts the high temperature cross-slip. For instance, thoriated cobalt is better in this @Seismicisolation @Seismicisolation
  • 216.
    Strengthening Mechanisms inMaterials 189 respect than thoriated nickel because Co has lower stacking fault energy than Ni. Dispersoids maintain high temperature strength by preventing grain coarsening. Depending on the temperature at which dispersion strengthened composites are to be used grain size can be controlled by proper heat treatment or thermo-mechanical treatment. The typical examples of dispersion strengthened metallic systems are Al-Al2O3 system, referred to as SAP (Sintered Aluminium Powder/Product) having the dispersed particles of Al2O3 of 0.1-0.2 µm, Ni-3 vol% ThO2, known as TD Nickel and thoriated tungsten. In Al-alumina system of composite a very thin and adherent alumina coating forms on the surface of very small (0.1 - 0.2 µm) flakes of aluminium, which are then dispersed within aluminium matrix. This composite material is called sintered aluminium powder (SAP) and contains up to 14% alumina. Dispersion of alumina particles in aluminium matrix raises the recrystallization temperature of aluminium to 0.9 Tm as against 0.45 Tm (for aluminium matrix alone, here Tm is the melting temperature in K). However, SAP has limited applications due to high cost. Another, important dispersion strengthened composite is the thoriated tungsten. In this composite material, ThO2 particles are dispersed in the matrix of tungsten to impart high temperature stability by raising its recrystallization temperature and also impart low temperature processibility. Thoriated tungsten is extensively used as the primary filament in electric light bulbs. Table 6.6. lists the examples and applications of selected dispersion-strengthened composites. Dispersion strengthened composites can also be produced by dispersing the particles of a suitable material in the matrix of ceramics. However, the mobility of dislocations is extremely low and dispersed particles do not contribute much to an increase in strength. If particles of higher modulus than the matrix are used, they will enhance this property of ceramic material provided that the particle-matrix bond is very strong. TABLE 6.6 Examples and applications of some selective dispersion-strengthened composites Composite system Ag-CdO Al-Al2O3 (upto 14%) Be-BeO Co-Th02, Y2O3 W-ThO2 (1-2%) Zr02 Ni-20% Cr-ThO2 Pb-PbO Pt-ThO2 Applications Electrical contact materials High speed aircraft parts, LC. engine parts, nuclear reactor Aerospace and nuclear reactor Possible creep resistant magnetic materials Filaments, heaters Turbine engine components Battery grids Filaments, Electrical components Dispersed particles in ceramic matrix may inhibit grain growth during fabrication of the composites leading to enhancement in strength property. Ductile metallic dispersion improves fracture toughness of ceramic materials. Particles of certain materials such as metastable tetragonal zirconia enhance fracture toughness of some ceramics by resisting the crack propagation through transformation toughening mechanism. Zirconia toughened alumina and partially stabilized zirconia are typical examples of such composites. @Seismicisolation @Seismicisolation
  • 217.
    190 Mechanical Behaviourand Testing of Materials 6.7.3 Particle-Strengthened (or Simply Particulate) Composites Unlike dispersion strengthened composites, particles in particulate composites are larger in size (1 to 50 µm) and their concentrations usually range from 15 to 40% by volume. In special case this value can go as high as 94% as in case of carbide tipped tools. The load is carried by both the matrix and particles. Because of their size, particles cannot impede the motion of dislocations. They enhance the strength of the composite by hydrostatically restraining the movement of the matrix close to each of them. Accordingly, on deformation, the soft matrix material in their neighbourhood is restricted from flow freely, resulting in an increase in shear stress required to produce further deformation. Thus, composite material work hardens at fairly high rate and the flow stress required is considerably higher than that needed for pure matrix. The explanation for the rapid rate of work hardening rests on two effects. First, the coarse hard particles disturb the stream of plastically flowing metal round them and produce a kind of turbulence in it. This complex deformation may result in the generation of dislocations on intersecting planes and cause rapid work hardening. Second, as the metal matrix deforms while hard particles do not, more of the applied load builds up on the particles. The hard particles carry more load than the matrix. In order to achieve efficient strengthening effect the particles should be small, properly distributed and of uniform size. While the better engineering properties of the strong particles are utilised in this way, the severity of some of their less desirable features, such as brittleness, is simultaneously reduced by the presence of a ductile matrix that binds them together. Normally the elastic modulus of the particulate composite follows the rule of mixture. Its value falls between the higher value given by Eq. (6.23) and the lower value given by Eq. (6.30). The proper combination of ceramic materials and metals could result in a material having the high temperature strength and oxidation resistance of ceramics together with the toughness and thermal shock resistance of metals. The composites comprising of ceramic material as reinforcement and a metal matrix are commonly known as Cermets. The widely used particulates for metal matrices include SiC, B4C, Al20 3, and TiC. 6.8 STRENGTHENING OF PLASTICS The word Polymer stands for "Many Mers or Parts". They are complex and giant molecules of hydrocarbons having high molecular weight (104- 107), and therefore, sometimes also called high polymers. They frequently contain atoms of oxygen, chlorine, fluorine, nitrogen or sulphur. A group of substances, while solid in the finished state are made plastic at some stage during their fabrication, which enables them to be moulded under the application of heat and/ or pressure is called plastics. Some of the examples of plastics are, PVC, polyethylene, nylon, perspex, Teflon, bakelite, polyurethane, etc. These plastics are of two types: thermoplastics and thermosetting plastics. The plastics which soften on heating and harden on cooling in a reversible fashion are called thermoplastics. No chemical reaction occurs during the heating cycle. In contrast to thermoplastics, thermosetting plastics possess strong intermolecular bonding, and therefore, once the plastic is set into finished shape under the combined action of heat and pressure, reheating will not soften it. Excessive heating may result in its decomposition. During the application of heat and pressure the material first becomes plastic @Seismicisolation @Seismicisolation
  • 218.
    Strengthening Mechanisms inMaterials 191 and flows to take the shape of the mould cavity. Subsequently under the action of heat irreversible chemical change takes place. Thus, thermoplastics are reusable while thermosets cannot be reused. However, thermoplastics, in general are weaker than thermosetting plastics because of the secondary bonding forces between the molecular chains. There are various methods by which strengthening can be achieved in thermoplastics. These include the following: (i) Increasing the average molecular weight. (ii) Increasing the degree of crystallinity. (iii) Introducing bulky side (or pendant) groups on the main chain. (iv) Presence of polar groups in the main chain or on the main chain. (v) Introducing non carbon atoms in the backbone of carbon atoms. (vi) Introduction of phenyl ring(s) in the main chain. (vii) Addition of glass fibres as reinforcement. 6.8.1 Strengthening by High Average Molecular Weight A polymer is composed of a large number of monomers the molecular weight of which can simply be defined as the sum of the atomic weights of the atoms present in the polymer molecule. Polymerization process results in the formation of large number of polymer chains having different lengths depending on the degree of polymerization. These polymers are therefore of varying molecular weight. The molecular weight (MW) of a polymer increases with the increase of degree of polymerization (DP). Since the length of the macromolecules (i.e. polymer chains) varies widely, the molecular weight of a plastic is expressed as the average value, i.e. average molecular weight. The average molecular weight can be determined by summing the weights of all the polymer chains and then dividing by total number of chains. This is also called number average molecular weight. In general, a higher molecular weight increases tensile strength, stiffness, creep strength, hardness, impact toughness, percentage elongation and melting temperature. The reason for listed high mechanical properties can be explained in terms of entanglement of molecular chains. Since molecular chains are very long they have inherent tendency to get entangled, coiled, or kinked. Entanglement is simply the mutual wrapping of molecular chains around each other. Degree of entanglement increases with increasing molecular weight of the polymer. A higher molecular weight implies longer polymer chain which in turn implies more entanglement. Entanglement of polymers also results in increasing intermolecular forces and hence the secondary bonding between polymers. When the polymers are highly entangled, they resist sliding over each other. Both entanglement of chains and secondary bonding create attractive intermolecular forces between molecular chains so as to hold them together. These intermolecular forces increase tensile strength of the plastic. Under tensile stress work is required to disentangle the polymer chains before they undergo any sliding past each other. The force is required to slide the molecules past each other. This force is called tensile force. Similar are the reasons for enhanced creep resistance with increased molecular weight. However, initially with the increase of molecular mass mechanical properties increase rapidly but soon the rate of increase of these properties slowed down and a practical maximum value is reached (Figure 6.28). There is no point of increasing the molecular mass of the thermoplastic above a certain critical value as it creates another problem discussed as follows. @Seismicisolation @Seismicisolation
  • 219.
    192 Mechanical Behaviourand Testing of Materials (/) Cl) 'E Cl) c.. e c.. ro (.) ·c C1l .c (.) Cl) :::i: Molecular weight FIGURE 6.28 Effect of molecular weight on mechanical properties such as tensile strength, impact toughness, creep strength and ductility of polymers. Melting temperature also increases with increase of average molecular weight of the plastic. Melting temperature of a polymer is a measure of the amount of thermal energy that has been put into the polymer mass so as to induce the molecules to slide freely relative to each other (i.e. to put the molecules in a state that all the molecules slide or move independently of each other). When entanglement is great, the amount of input energy required to give free movement of molecules is high, therefore melting temperature increases with entanglement. This implies that melting temperature increases with increasing molecular weight of the polymer. A higher melting temperature can be useful in allowing the plastic to be used for high temperature applications but can also be detrimental while processing them. During processing a higher temperature is needed for the melting of plastic. Another difficulty that may arise during processing is the decomposition of polymer if its melting temperature is raised to the extent that breakage of bonds occurs before any melting of the plastic. It is also evident from Figure 6.29. For the above reasons, this method of increasing strengthening is normally not used to control the strength properties since in most cases after a critical molecular weight is reached, increasing the average molecular weight of a thermoplastic material will not enhance strength properties further. ~ .a ~ Cl) c.. E $ Ol ~ ai :::i: Decomposition Molecular weight FIGURE 6.29 Effect of molecular weight on melting temperature of polymers. @Seismicisolation @Seismicisolation
  • 220.
    Strengthening Mechanisms inMaterials 193 6.8.2 Strengthening by Crystallinity Although polymers are basically noncrystalline amorphous materials, they often contain regions in which the mixture of polymer molecules has an ordered or regular pattern, i.e. the molecular chains are straight and compacted close together, i.e. polymer crystallinity generally consists thousands of relatively small crystalline islands called crystallites surrounded by amorphous regions in which the polymers are randomly intermingled as shown in Figure. 6.30. The Region of high crystallinity Region of amorphousness FIGURE 6.30 'Crystallites' in polymers. crystalline regions can be either preferentially oriented in one direction or non-oriented. The molecular chains are usually folded and held together by crystalline bonds in the crystallites. This type of structure has a lower energy than a random noncrystalline arrangement of the molecule. The crystalline nature of thermoplastics has been confirmed from the X-ray diffractometry. The unit cell of a thermoplastic is shown in Figure 6.31. However, 100% crystallinity can never be achieved in polymers because polymer chains have inherent tendency to get coiled or kinked to have a random configuration. The degree of crystallinity (the amount of the structure of the polymer that is crystalline as against the amorphous) that can be achieved varies from plastic to plastic. It is primarily governed by their structure. If a plastic is composed chiefly of linear polymers, the individual molecular chains tend to pack closely together and exhibit relatively high bonding forces, which in tum lock the chains together in an aligned pattern. In branched polymers, the bulky side groups keep the polymer chain farther apart, thus decreasing the tendency to crystallize. In addition to branched structure, cross-linking, copolymerization and 'cis' type structures also favour amorphous structure. The degree of crystallinity in polymers generally does not exceed 80%. Because of the intermolecular crystalline bonding forces within the crystallites, crystallinity affects many properties such as tensile strength, stiffness, creep strength, hardness, density and impact toughness. Impact toughness decreases with increasing degree of crystallinity while other mechanical properties are enhanced. Tensile strength, for instance, is increased by crystallinity because of the high resistance to movement of molecular chains within the crystalline regions and need to overcome the intermolecular bonding forces. This resistance is very high in some cases thereby resulting in marked increase in tensile strength, @Seismicisolation @Seismicisolation
  • 221.
    194 Mechanical Behaviourand Testing of Materials FIGURE 6.31 Unit cell of polyethylene crystal. stiffness, creep strength and melting temperature. Thermoplastics with simple structural symmetry about their molecular chain (i.e. if pendant atom or group is not bulky) solidify in a crystalline form. Polyethylene and nylons are the typical examples of such thermoplastics. Polyethylene may solidify with low to high degree of crystallinity depending on the operating conditions of their polymerisation. Operating conditions for polymerisation may result in branching of polyethylene which in tum reduces the degree of crystallininty and hence the density. Thus, polyethylene with high degree of branching is predominantly amorphous and has low density while the high density polyethylene is highly crystalline with little or no branching. Figure 6.32 compares the engineering stress-strain diagrams of low density polyethylene (LOPE) and high density polyethylene (HOPE). Low density polyethylene having low degree of crystallinity shows lower tensile strength and tensile modulus as compare to HOPE. Low High-d ensity polyethylene '----- ·- ·- Strain FIGURE 6.32 Effect of degree of crystallinity on stress-strain behaviour of high density polyethylene (HOPE) and low density polyethylene (LOPE). @Seismicisolation @Seismicisolation
  • 222.
    Strengthening Mechanisms inMaterials 195 density polyethylene has side branches which separate molecular chains farther apart, resulting in lower intermolecular bonding forces and hence lower strength and elastic modulus. The yield peaks in the stress-strain curves are due to the necking down of the cross-sections of the test specimens during tensile tests. The intermolecular bonding forces are stronger in nylon 66 because of the hydrogen bonding between the adjacent molecular chains. It results in high degree of crystallinity of nylon 66 than PE. Figure 6.33 shows the increase in tensile yield strength of nylon 66 with increasing degree of crystallinity. 80 70 ro Cl. ::E 60 .s:: c, C: 50 ~ 1ii "C 40 Qi 5= 30 20 0 10 20 30 40 50 Degree of crystallinity, % FIGURE 6.33 Effect of degree of crystallinity on yield strength of Nylon 66. 6.8.3 Strengthening by Bulky Pendant Atomic Group Introduction of bulky pendant groups on the main chain of a polymer makes polymer chains difficult to slip past each other. The bulky pendant groups on a chain interfere with the bulky pendant groups on adjacent chain. The effect of this hindered movement would be to increase mechanical and thermal properties. The thermoplastic becomes strong and stiff. For example, strength of commodity thermoplastics increases as the functional atom or group becomes bulky. All the major commodity thermoplastic monomers and polymers are represented by a general formula shown in Figure 6.34. In this Figure, X is the functional group which when substituted for, -H, yields polyethylene (PE) -CH3, yields polypropylene (PP) -Cl, yields polyvinyl chloride (PVC) -©,yields polystyrene (PS) H H I I nC=C I I H X H H _Lt-tl I 1Tn H X FIGURE 6.34 General representation of commodity thermoplastics. @Seismicisolation @Seismicisolation
  • 223.
    196 Mechanical Behaviourand Testing of Materials The size of the functional atom or atomic group becomes bulkier as we move from H to styrene ring through CH3 and Cl. With the increase of bulkiness of pendant atomic group there is increase of intermolecular interference and in case of PVC, the polar nature of Cl atom also results in intermolecular attractions. The consequent effect is the increase of stiffness and strength properties. The tensile modulus which is a measure of stiffness and tensile strength properties are raised from 1070-1090 MPa and 22-31 MPa respectively for HOPE to 1140-1550 MPa and 31-41 MPa, respectively, for PP, which has pendant methyl groups attached to the main carbon chain. These respective properties are further raised to 2280-3280 MPa and 36-51.7 MPa with the introduction of the more bulky pendant phenyl rings to the main carbon chain to make polystyrene. However, the elongation to fracture is drastically reduced from 100-600% for HOPE to 1-2.5% for PS. Thus, the bulky side groups on the main carbon chains of thermoplastics increase their stiffness and strength properties but reduce ductility. 6.8.4 Strengthening Thermoplastics by the Presence of Polar Atoms or Groups As mentioned above that the presence of polar atom Cl on every alternate carbon atom of the main carbon chain to make PVC results in increase of intermolecular attraction as against when H atom is present on every alternate carbon atom to yield PE. The consequent effect is the increase of both the stiffness and tensile strength. The elastic modulus and tensile strength properties of PVC are 2400-4100 MPa and 40.7-51.7 MPa, respectively. Both these properties are considerably higher than those of HOPE. This clearly suggests the effect of introducing polar atoms on the carbon main chain on strength properties, though part of the strength properties are contributed by bulkiness of chlorine atoms. 6.8.5 Strengthening Thermoplastics by Introducing Non Carbon Atoms in the Main Carbon Chain Strengthening of thermoplastics also occurs when non carbon atoms such as N or O are introduced in the main carbon chain. For instance, introducing ether linkage in the main carbon chain increases the rigidity of the thermoplastics, such as polyoxymethylene (POM). The repeating structural unit of POM is shown in Figure 6.35. The tensile elastic modulus and strength properties of POM are 3600 MPa and 62-70 MPa, respectively, which are much higher than those for HOPE given in Section 6.8.3. Being polar, 0 atom also introduces intermolecular attractive forces between polymer chains. This further aids to strength and stiffness of the polymer. Amide linkage in nylon 66 is an example in which N atoms are introduced in the main carbon chain. These N atoms are also polar in nature and provide strong intermolecular attractive forces (due to hydrogen bonding) that result in increase of strength and stiffness of nylons. Tensile strength of nylon 66 is about 96 MPa as against 22-31 MPa for HOPE. FIGURE 6.35 Repeat chemical structural unit of polyoxymethylene (POM). @Seismicisolation @Seismicisolation
  • 224.
    Strengthening Mechanisms inMaterials 197 6.8.6 Strengthening Thermoplastics by Introduction of Aromatic Groups in the Main Chain Thermoplastics containing aromatic groups in the main carbon chain causes strengthening of thermoplastic. The aromatic (or phenylene) rings are stiffer and more resistant to deformation and produce intrinsically stronger bonds and hence resistance to heat. The inclusion of aromatic groups in the backbone causes steric interference with other backbone atoms and also with pendant atoms. Aliphatics in the backbone result in more flexibility in the backbone. If the backbone itself is stiff, the strength, impact toughness and temperature properties will generally increase. Table 6.7 shows the effect of substituting p-phenylene group for six CH2 TABLE 6.7 Effect of substitution of p-phenylene group for six CH2 groups on the melting point of condensation polymers Repeat unit Tm K oc -O(CH2)iOCO(CH2)6CO- 318 45 -O(CH2hOCO-(Q)-co- 538 265 -O(CH2)80CO(CH2)8CO- 348 75 -OCH2-(Q)-CH20COCH2-(Q)-CH2CO- 419 146 -NH(CH2)6 NHCO(CH2)6CO- 508 235 -NH(CH2)6NHCO-(Q)-co- 623 350 chain groups on melting temperature of polymers. Some of the highest strength and stiffest plastics are those with extensive aromatic groups along the backbone. These materials have high melting points, high glass transition temperatures and often excellent solvent resistance. Two groups of polymers of this type are the aramids and the liquid crystal polymers. Aramids are the aromatic polyamides. A typical aramid is the so called Kevlar®, which is made into fibre form that is used for bullet proof vests and as reinforcements for composites. Another aramid is Nomex® which is used for a super strong plastic and coatings. The polymer backbones are so stiff that the crystal structure is partially retained, even in the liquid phase and are called liquid crystals. These polymers are often used for high temperature and high strength applications such as aerospace. 6.9 STRENGTHENING OF CERAMICS Mechanical strength is one of the most important properties of ceramics and its improvement would lead to vast expansion of applicability of ceramics. In general, ceramics fail under tensile stress and the failure originates at a surface flaw. However, under shear and compressive stress they display high strength properties. Due to low tensile strength, as a @Seismicisolation @Seismicisolation
  • 225.
    198 Mechanical Behaviourand Testing of Materials structural material, ceramics are used for such applications where the applied stresses are predominantly compressive type. The low tensile strength of ceramics can be correlated to the presence of structural defects in the ceramic body which generally generate during their fabrication. Most polycrystalline ceramics are fabricated by either solid- or liquid-phase sintering, which can lead to generation of flaws. Flaws are almost always present in ceramics. These flaws can be either internal flaws generated during processing or surface flaws introduced later, during machining or service. The major flaws that reduce the strength property are pores (or voids), surface flaws, inclusions and grain growth. Pores are usually quite deleterious to strength. They act in two ways. On the one hand, pores act as stress raiser, i.e. the stress concentration is high at these pores. When this stress together with the applied stress exceeds a critical value, a crack is developed. Once a crack is developed in a brittle ceramic material it propagates spontaneously under the applied tensile stress because there is no mechanism by which the energy is absorbed or dissipated. In case of ductile metals, the energy is relieved by causing plastic deformation of material and crack propagates slowly. On the other hand, the presence of pores in the ceramic body reduces the true cross-section over which the applied load is acting. The load is applied on the ceramic part on the basis of its apparent cross-sectional area. So the true stress is more than the designed value. The true stress at pores is likely to exceed and develop a crack. Typically the strength and porosity have been related by the empirical relationship: O'P = O'o exp (-BP) (6.49) where, P, O'p and a0 are respectively the volume fraction porosity and strength of the specimen with and without porosity; B is a constant that depends on the distribution and morphology of the pores. The strength property exponentially reduces with increasing the volume fraction of pores. The size, morphology and distribution of pores all affect the strength property. The spherical pores are less detrimental while the large pores with small radius of curvature are more deleterious to strength of ceramics. Any measure that reduces the pore size and their volume fraction will enhance the strength property. The size of the particles of raw material, their purity and the method of fabrication used all control the size and their volume fraction. Proper size distribution of particles and proper selection of advanced technique of fabrication enhance the strength property. Presence of inclusions in ceramic parts also reduces the strength property. This is because of the existence of large residual stresses associated with these inclusions. The large mismatch in the coefficient of thermal expansion characteristic of inclusions and surrounding matrix generates residual stresses during cooling of the ceramic part from the processing temperature. For instance, a spherical inclusion produced in a ceramic matrix is associated with both radial and tangential residual stresses at a certain radial distance away from the inclusion/matrix interface. On cooling, the initial temperature is the maximum temperature below which the stresses are not relaxed. If thermal expansion coefficient of inclusion is lower than that of the matrix, upon cooling, large tangential tensile stresses develop at the interface that in turn could result in the formation of radial matrix cracks. Conversely, if the thermal expansion coefficient of inclusion is greater than that of the matrix, the inclusion will tend to detach itself from the matrix and produce a pore like flaw. Inclusions are formed due to presence of impurities in the raw material. If such impurities are removed by prior processing and purification of raw @Seismicisolation @Seismicisolation
  • 226.
    Strengthening Mechanisms inMaterials 199 material used for fabrication of ceramic parts the inclusions may be eliminated completely or at least reduced to a great extent and hence result in enhancement of strength property. The strength of ceramics increases with decreases in the grain size. It is inversely related to the square root of their grain diameter. The reason is that smaller the grain diameter, smaller will be the size of intrinsic flaws. The flaws usually initiate at grain boundaries which act as weak regions and propagate up to about one grain diameter or up to the triple point of the grain. Therefore, smaller the grain size the smaller will be the size of the crack and higher will be the stress required for fracture to occur. Further, if the grain diameter is less than the critical size of flaw needed to propagate it, the crack will be arrested by the grain boundary and fracture is resisted. However, the strength does not keep on increasing with the decreases in the grain size. For very fine grain size, fracture usually occurs from the pre-existent process or surface flaws in the material and their strength becomes relatively insensitive to grain size. Surface flaws play very important role in reducing the strength property. These flaws can be introduced in a ceramic body as a result of high temperature grain boundary grooving, post fabrication machining operations or accidental damage to the surface during use. Machining may leave a scratch that acts as a notch to initiate a crack. Particles of grinding or polishing media act as indenters and introduce flaws into the surface. Surface cracks usually extend up to one grain diameter before being arrested by the grain boundary. Thus smaller the grain size of ceramic material, finer will be the surface flaw and higher will be the fracture stress. Since ceramics are weak under tension, they can be strengthened by introducing compressive stresses in surfaces. For instance, introduction of surface compressive stresses is the well established technique of strengthening glasses. The underlying principle is to induce a state of compressive residual stress, the presence of which would inhibit failure from surface flaws because these compressive stresses are to be counterbalanced before a surface crack could propagate. These surface compressive stresses also enhance thermal shock resistance of ceramic material. There are several methods to introduce a state of compressive residual stress in the surface of ceramics, but the underlying principle is to generate a surface layer with higher volume than the original matrix. These methods are described below: (a) Incorporation of an outer layer having a lower thermal expansion coefficient, as in tempering of glass or in glazing. Probably the best known technique is fast quenching or tempering as used in the manufacturing of strengthened glass for car windshield which upon impact shatter into a large number of small pieces that are much less dangerous than larger shards of glass, which can be lethal. Tempered glass is thermally strengthened glass. The thermal strengthening or tempering involves heating the glass uniformly to near its softening temperature to induce a slight viscous flow and then chilling both the outside surfaces very rapidly by blast of air or oil quench. As a consequence, the surfaces of the glass contract due to the drop in temperature and become rigid, while the centre is still hot and viscous. On further cooling, the interior also contracts and produce compressive stresses in the outside surface layers and tensile stresses in the core. Due to introduction of large compressive stresses in the surface, considerable load must be applied to the glass before tensile stresses can be developed in the glass to initiate a crack. Thus the overall strength of the glass is greatly enhanced. This is the reason why tempered glass is stronger than annealed glass by a factor of about four under tensile loading. @Seismicisolation @Seismicisolation
  • 227.
    200 Mechanical Behaviourand Testing of Materials Glazing is commonly used in the manufacture of conventional ceramics for introducing residual surface compressive stress. In addition, glaze also serves to make the ceramic body impermeable to liquid and make the article attractive and readily cleanable surface. Glazing is also used to strengthen glass-ceramic and alumina components. Glazes are silicate mixtures similar to silicate glasses. These are normally mixed with water and applied on the ceramic body in the form of a slip. (b) Physically stuffing the outer layer with atoms or ion such as ion implantation. Ion implantation is the process of introducing residual compressive surface stresses in a material. It involves bombardment of the surface of ceramic or glass with high-energy accelerated ions. The high energy ions are impinged in the form of a beam on to the substrate surface just like shot peening. These energized ions lose energy as they travel through the material surface by colliding with electrons and nuclei of the substrate material and finally stopped. It has been observed by investigators that a large biaxial compressive residual stress is introduced in the surface of the substrate ceramic or glass when ion implanted. This residual compressive stress tends to close surface cracks of ceramics and glasses and thus raise their toughness and stress required for fracture. Ion implantation with nickel has been shown to considerably improve the fracture toughness of alumina despite treating only the outermost layers of the material < 1 µm. In addition, surface residual compressive stress also results in improvement of fatigue strength of the material. The wear resistance of ceramics can be considerably improved by ion implantation. Further, ion implantation modifies the friction and wear characteristic of a material. (c) Ion stuffing. It involves exchanging smaller ions of the ceramic under strengthening by larger ions. When a ceramic specimen containing sodium ions (smaller ions) is immersed in a fused salt containing potassium ions (larger ions), some of the sodium ions in the surface of ceramic body are replaced by potassium ions (Figure 6.36). In general, the replacement of smaller ions in the surface layer of ceramics with larger ions at relatively low temperature produces a compressive stress in the surface. This strengthening technique was first developed for glasses. Subsequently, the method was extended to glass ceramics. Exchange ions included K+ for Na+, K+ for Li+, Na+ for Li+ as well as 2Li+ for Mg2+. The same technique was applied to glazed alumina. One drawback of this technique is that the specimen strengthened by ion stuffing is the phenomenon of thermal fatigue, i.e. a decrease of mechanical strength observed when the strengthened ceramic is reheated. This is primarily caused by rearrangement or interdiffusion of exchanged ions in the ceramic specimen. This results in lowering of surface compressive stress. Ion stuffing involves a change in chemical composition of surface layer so it is also called chemical strengthening. (d) Differential expansion. The formation of a low thermal expansion surface layer at relatively high temperature will lead to a surface compressive layer upon cooling. In case of glass, this can be attained by surface crystallization as well as by chemical reaction. In case of crystalline ceramics, chemical reactions are primarily used to produce the low thermal expansion layer. For example, an Al20 3-Cr20 3 solid solution was produced on the surface of alumina by packing specimens in Cr20 3 powder and @Seismicisolation @Seismicisolation
  • 228.
    Before ion exchange 00 08 Molten salt 0 ii ~ 'o ~ Strengthening Mechanisms in Materials 201 After ion exchange 0 @8 8 0 8 Q 8 8 V Molten salt K+ I K+ K+ Na• K+ K + Na• O + -~~'f~ FIGURE 6.36 Schematic representation of ion stuffing. firing at various temperatures. A similar solid solution was formed to strengthen other ceramics, e.g. TiOrSnO2 on TiO2 and MgO.Al2OrMgOCr2O3 on MgO.Al2OiA12Or Cr2O3 solid solution has a lower thermal expansion coefficient than Al2O3 and this difference is believed to be the main factor causing the strengthening. In addition, the change in the coefficient of thermal expansion anisotropy (difference in expansion coefficient along a- and c-axes) may contribute to the strengthening. The TiOrSnO2 phase has an appreciably lower coefficient of thermal expansion than TiO2 and a substantial strengthening is expected from this difference in coefficient of thermal expansions. Ceramics can also be strengthened by introducing fibres in them and by transformation toughening. Since these methods are principally developed to toughen ceramics so these methods are covered under the section 'Toughening of ceramics'. 6.10 APPLICATIONS OF STRENGTHENING MECHANISMS TO OBTAIN HIGH STRENGTH MATERIALS The phrase 'high strength materials' usually means materials with high tensile or yield strength. The word 'high' in high strength materials is qualitative in nature as the tensile strength or yield strength range of a material varies widely from the other materials. For example, plain carbon steels have tensile strength ranging from 350-800 MPa whilst tensile strength for wrought aluminium alloys varies from 90-600 MPa. Within the same family, tensile strength ranges vary significantly. Properly heat-treated low alloy steels have tensile strength values lying within 1000-2000 MPa. The minimum tensile strength of a properly heat-treated low alloy steel exceeds the maximum tensile strength exhibited by any low carbon steel. Similarly, the tensile strength range for cast aluminium alloys varies from 130 to 300 MPa. Thus, the use of the word @Seismicisolation @Seismicisolation
  • 229.
    202 Mechanical Behaviourand Testing of Materials 'high' in high strength materials can only be justified by considering one particular family, namely steels, cast irons, super alloys, aluminium alloys, titanium alloys etc. Some important high strength alloys are discussed below: Copper alloys The tensile strength of pure copper in annealed state is about 200 MPa which can be raised to about 450 MPa by cold working (strain hardening). Copper has good solid solubility for many elements. Copper base alloys can be strengthened by solid solution hardening. Three main alloying elements that produce precipitation hardenable alloys with copper are aluminium, silicon and beryllium. In aluminium bronzes, containing 5-10% aluminium and 5% nickel or iron, tensile strength may range from 400-1000 MPa by varying aluminium content and heat treatment process. Strengthening of these alloys is mainly due to the precipitation of nickel or iron rich phase. In silicon bronzes, containing up to 4% silicon and 1.5% zinc, tensile strength may range from as low as 350 MPa to as high as 900 MPa. Properly precipitation hardened copper-beryllium alloy with about 2% beryllium has a yield strength of 1100 MPa and tensile strength of 1250 MPa while the same alloy in soft condition has a yield strength of 175 MPa and tensile strength of 480 MPa. Copper-beryllium alloy can be further strengthened by a combination of strain hardening and precipitation hardening. Aluminium alloys The yield strength and tensile strength of pure aluminium in annealed condition are about 38 MPa and 85 MPa, respectively. Pure aluminium and non-heat treatable alloys of aluminium are strengthened by strain hardening. Strengthening by solid solution hardening is also possible as many elements have good solid solubility in aluminium. Maximum strengthening in aluminium alloys is achieved by precipitation hardening treatment. Al-Cu and Al-Zn-Mg-Cu alloys can be strengthened significantly by precipitation hardening treatment and are called high strength aluminium alloys. Al-Zn-Mg-Cu alloys produce the highest tensile and yield strengths of all aluminium alloys. In Al-Cu alloys, the precipitated phase is CuA12 while in Al- Zn-Mg-Cu alloys, the precipitated phase is MgZn2• It is the fine dispersion of CuA12 and MgZn2 particles, which is responsible for high strength of Al-Cu and Al-Zn-Mg-Cu alloys, respectively. Maximum strengthening occurs when alloys are cold worked prior to aging. A high strength Al-Cu alloy has a tensile strength of 580 MPa and yield strength of 530 MPa. In comparison to Al-Cu alloys, Al-Zn-Mg-Cu alloys can be strengthened to get tensile strength and yield strength as high as 675 MPa and 625 MPa, respectively. Magnesium alloys The main alloying elements added to magnesium are aluminium, manganese and zinc. Aluminium is most important alloying element as it increases tensile strength, yield strength, compressive strength and hardness of magnesium. In addition to these elements, bismuth, copper, iron, manganese, thorium, zirconium, silicon and rare-earth elements are also added to various magnesium alloys in relatively less amounts. Mg-Al-Zn, Mg-Th-Zr, Mg-Th-Mn and Mg-Zn-Zr alloys are strengthened by precipitation hardening. Mg-Al-Zn and Mg-Zn-Zr alloys are capable of attaining higher tensile and yield strength and hence are called high strength magnesium alloys. A tensile strength of 370 MPa and yield strength of 300 MPa can be developed in these alloys. @Seismicisolation @Seismicisolation
  • 230.
    Strengthening Mechanisms inMaterials 203 Titanium alloys Titanium is an important engineering metal due to its lightness, good strength and excellent resistance to corrosion. Due to its high strength to weight ratio, i.e. high specific strength, titanium alloys are widely used in aircraft industries. By alloying and properly heat treating, yield strength and tensile strength of titanium can be raised from 415 MPa and 600 MPa to about 1200 MPa, and 1400 MPa, respectively. Cast irons The microstructure of general purpose grey cast iron consists of soft and friable graphite in the form of flakes in a matrix of ferrite or pearlite. Graphite flakes occupy large volume. Sharp ends of graphite flakes act as internal notches in the mass. Hence grey cast irons are weak and brittle. White cast irons, consisting of cementite in a steel matrix, are hard and brittle in contrast to grey cast irons. This is the reason why unalloyed and alloyed white cast irons are used as wear resistant, heat resistant and corrosion resistant materials and not for structural engineering applications. High strength cast irons that can be used for structural engineering applications are usually spheroidal graphitic (S.G.) pearlitic cast iron. S.G. pearlitic cast irons have graphite nodules distributed in a matrix of pearlite. High strength S.G. pearlitic irons may have tensile strength ranging from 800 MPa-1200 MPa. Steels In general, steels having tensile strength 1500 MPa or above are called high strength steels. These steels should be ductile and tough so that can be used safely for making structural components. In other words, high strength steels should be capable of offering high resistance to brittle fracture. Medium carbon low alloy steels, usually Ni-Cr-Mo steels, are the cheapest steels which can attain high strength levels in quenched and tempered conditions (Table 6.8). Chemical composition of such steels is so designed as to permit reasonably good toughness with good weldability. An increase in nickel content and addition of vanadium result in higher strength coupled with good toughness. In fact, very good toughness with yield strengths around 1000 MPa or slightly more are possible with such steels. TABLE 6.8 Composition (wt%) and yield strength of some medium carbon low alloy steels Alloy steel 817M40 (formerly En 24) (0.4C-l.5Ni-l.2Cr-0.25Mo) 826M40 (En26) (0.4C-2.5Ni-0.7Cr-0.5Mo) 835M30 (0.3C-4.0Ni-1.2Cr-0.3Mo) HY13 (0.lC, 5Ni, together with Cr, Mo and V) Yield strength*, MPa 760-1020 (in 100--30 mm dia. Bar) 760-1020 (in 150 mm dia. Bar) 1250 in 150 mm dia. Bar 1000 *The yield strength range is because of tempering temperature range 550°-700°C. Higher the tempering temperature lower is the strength value. Excellent combination of high strength and high toughness can be obtained in some alloy steels alloyed with carbide forming elements. Such steels are strengthened by the precipitation of carbides during high temperature tempering of hardened steels. Compositions of some such steels are given in Table 6.9. Yield strengths up to 1500 MPa are available with these steels. @Seismicisolation @Seismicisolation
  • 231.
    204 Mechanical Behaviourand Testing of Materials TABLE 6.9 Composition (wt%) and yield strength and tensile strength of some ultrahigh strength steels Alloy steel AISI 4130 steel (Cr-Mo type) [Fe-(0.28-0.33)C-(0.8-1.10)Cr-(0. l5- 0.25)Mo-(0.40-060)Mn-(0.20-0.35)Si] AISI/SAE 4140 Steel (Cr-Mo type with higher carbon and Mn contents) [Fe-(0.38-0.43)C-(0.8-1.10)Cr-(0.l5-0.25)Mo -(0.75-1.0)Mn-(0.2-0.35)Si] 4340 Steel [Fe-(0.38-0.43)C - (0.7-0.9)Cr - (1.65-2.0)Ni - (0.2-0.3)Mo - (0.6-0.8)Mn - (0.2-0.35)Si] 300M (Cr-Ni-Mo-V-Si) [Fe-(0.4-0.46)C-(0.7-0.95)Cr-(1.65-2.0)Ni- (0.3-0.45)Mo-(0.05 min)V-(0.65-0.90)Mn-(l .45-1.8)Si] Yield strength* MPa 1520-830 1740-730 1860-740 1620-1240 Tensile strength* MPa 1765-965 1965-900 1980-860 2340-1930 *The strength range is because of tempering temperature range 550°C-700°C. Higher the tempering temperature lower is the strength value. High alloy steels having about 9% nickel and 4% cobalt with carbon ranging from 0.20 to 0.30% have excellent combination of toughness and strength even in as-welded condition. Maraging steels are known as ultra high strength steels. These high alloy steels (Table 6.10) have high strength due to strengthening by martensitic transformation and TABLE 6.10 Composition (wt%) and yield strength of some marageing steels Designation Composition (wt%) Yield strength MPa Ni Co Mo Ti Al Nb 25 Ni 25-26 1.30-1.60 0.15-0.30 0.40 1750 20 Ni 19-20 1.30-1.60 0.15-0.30 0.40 1700 18 Ni 18-19 12 4.00 1.30-1.60 0.05-0.15 2400 18 Ni (300) 18-19 8.90-9.50 4.60-5.20 0.50-0.80 0.05-0.15 1900 18 Ni (250) 18-19 7.00-8.50 4.60-5.20 0.30-0.50 0.05-0.15 1700 18 Ni (200) 17-19 8.00-9.00 3-3.5 0.15-0.25 0.05-0.15 1400 15 Ni 15-16 9.00 4.50 0.70 0.70 C = 0.03 Max., Mn= 0.1 Max., S & Peach 0.01 Max. and N minimum possible(< 0.01) strengthening by precipitation hardening. Addition of nickel in large amounts produces martensitic matrix at room temperature even with low cooling rates. It is because nickel stabilises austenite and lowers the lower critical temperature. In addition to nickel and cobalt, titanium, beryllium, aluminium, copper and molybdenum are also present in maraging steels. Intermetallic compounds (Ni3Ti, NiAl, Fe2Mo, Ni3Mo, etc.) get precipitated from martensite on tempering around 500 ± 20°C. Tensile strength of 2000 MPa or more and yield strength of 1500 MPa or more are attained with these steels. Even at such high strengths, maraging steels have high resistance against brittle fracture and low notch sensitivity. Therefore, maraging steels are widely used for heavy duty structural parts subjected to dynamic stresses and in aircraft industries. @Seismicisolation @Seismicisolation
  • 232.
    Strengthening Mechanisms inMaterials 205 Very high strength levels can be attained in some special high alloy steels (Table 6.11). The main alloying elements in these steels are nickel, molybdenum and chromium. S.No. 1 2 3 4 5 6 TABLE 6.11 Composition (wt%) of some special high alloy steels Carbon Manganese Nickel Chromium Molybdenum 0.25 24.40 4.10 0.23 1.48 22.00 4.00 0.24 1.48 20.97 3.57 0.31 2.02 7.31 8.89 3.80 0.25 0.92 7.80 8.80 4.00 2.0 2.00 8.80 13.50 2.90 Silicon 1.92 1.90 2.00 The chemical composition is selected in a manner that austenitic phase is retained at room temperature on rapid cooling from 1000°C. These metastable austenitic steels, in austenitic state, are heavily cold deformed (50-80% reduction in area) at a temperature of 400-600°C which is less than the recrystallization temperature. Strain hardening coupled with strengthening by precipitate particles of carbides develops yield strength as high as 1800 MPa in such steels. These steels are also called as TRIP steels. @Seismicisolation @Seismicisolation
  • 233.
    Fracture 7.1 INTRODUCTION Fracture meansthe separation of a solid material, under the action of stress, into two or more parts. The applied stress may be tensile, compressive, shear or torsional. It is said to have occurred when there is cohesive failure of a metal resulting in the metal separating into pieces. Fracture results in the creation of new surfaces. Machine and structural elements often fail in service as a result of fracture. After fracture, component under consideration becomes useless and has to be replaced. In fact, when a component is subjected to external stress, it undergoes elastic deformation followed by plastic deformation which proceeds continuously till a stage reaches beyond which no further plastic deformation is possible and the component gets broken into two or more parts. Thus, fracture is sometimes referred to as the end result of the plastic deformation. However, it does not mean that some plastic deformation is must for fracture to take place. Two processes assist fracture of a component, namely, nucleation of crack and propagation of crack. Fracture occurs in all materials under all service conditions. Various words such as fatigue, creep, transgranular, shear, fibrous, etc. are used as prefix with the word fracture making the classification of fractures a cumbersome task. However, various fractures, in general, are classified into two major categories, namely, ductile fracture and brittle fracture. This classification is based on whether or not plastic deformation has preceded prior to fracture. Considerable plastic deformation takes place prior to and during propagation of crack in case of a ductile fracture. This is why much energy is absorbed before fracture occurs. A good amount of plastic deformation is seen at the fractured surface. Unlike ductile fracture, brittle fracture occurs without plastic deformation, i.e. crack propagates with no macrodeformation and very little microdeformation. This accounts for very less energy absorption associated with brittle fracture. Another important difference between the two 206 @Seismicisolation @Seismicisolation
  • 234.
    Fracture 207 fractures isrelated to the rate of propagation of crack. In brittle fracture, the rate of propagation of crack is very high. In fact, once the crack has nucleated, its propagation continues and ultimately material fractures without any increase in the magnitude of the applied stress. In ductile fracture, crack propagates slowly and only on increasing the magnitude of the applied stress. A fracture may be of mixed nature, i.e. mixture of both ductile and brittle fractures. Fractures are also classified on the basis of crystallographic mode of fracture and the appearance of the fracture. Based on crystallographic mode of fracture, fractures are known as shear fracture or cleavage fracture, whereas on the basis of appearance, fractures are referred to as fibrous or granular fracture. A fibrous fracture is usually dull in appearance while a granular fracture is usually bright in appearance. A ductile material undergoes large plastic deformation as a result of extensive slip on active slip planes. The fracture that is preceded by the slip is popularly known as shear fracture. Such a fracture, as the name implies, is caused by shear stresses. Since no or little plastic deformation by slip is exhibited by brittle materials, shear fracture is observed in ductile materials only. FCC metals and their alloys usually fail by shear fracture. Some metallic materials fracture along certain preferred crystallographic planes usually known as cleavage planes. Cleavage planes are generally the planes with fewer interatomic bonds. In cleavage mode of fracture, tensile stresses act normal to the crystallographic cleavage plane. The fracture occurs at right angles to the direction of tensile stress. Body centred cubic, face centred cubic and hexagonal close packed metals cleave along the {1 0 0}, {1 1 1} and {0 0 0 1} planes, respectively. Cleavage fracture is usually brittle fracture as little or no plastic deformation takes place prior to fracture. BCC metals and their alloys may fail by shear or cleavage. Many fractured surfaces, when viewed by naked eyes or at low magnifications, appear to be dull and fibrous. Fractures exhibiting such characteristics are known as fibrous fractures. Fibrous fracture usually occurs when plastic deformation precedes failure by fracture. Unlike dull and fibrous fractured surface, bright and granular fractured surface is characteristic feature of the fractures of many metals, most of them are brittle in nature or fail by brittle fracture. Such a fracture is known as granular fracture. Every metallic material, whether single-phase polycrystalline alloy or multi-phase alloy, has grains and grain boundaries. Hence a fracture may occur either along the grain boundaries or across (through) the grains. A fracture that occurs along the grain boundaries is known as intergranular fracture, whereas the fracture that occurs across the grain is called transgranular fracture. Sometimes, the terms transcrystalline fracture or intragranular fracture are used for transgranular fracture. 7.2 DUCTILE FRACTURE Fracture with large amounts of plastic deformation is generally referred to as ductile fracture. As considerable plastic deformation takes place prior to ductile fracture, such a fracture is a characteristic of only ductile materials. Service failures which occur solely by ductile fracture are relatively infrequent and may be a result of errors in design, incorrect selection of material, improper fabrication techniques, abuse, etc. The latter condition arises when a part is subjected to load and environmental conditions which exceed those of intended use. Normally all face centred cubic metals and their alloys exhibit ductile fracture under most of the service @Seismicisolation @Seismicisolation
  • 235.
    208 Mechanical Behaviourand Testing of Materials conditions. In metals and alloys having good ductility and toughness, ductile fracture usually occurs across the grain, i.e. through the grain. Failure of a material by ductile fracture can be attributed to the application of too high stresses. Many types of ductile fractures can occur when subjected to external stresses or put to use in service. A simple ductile fracture occur when the material is subjected to uniaxial tensile stresses. Such a fracture proceeds by localized reduction in cross-section in a part of the specimen under consideration. A ductile material, when subjected to tensile stresses, undergoes plastic deformation. Plastic deformation results in necking. Necking means local deformation of a ductile material subjected to tensile loading [Figure 7.l(a)]. Plastic deformation and necking proceed simultaneously. Under such conditions, a stage will come when cross-sectional area at the neck will reduce to such an extent that the necked portion will appear as a very thin sheet or as two small cones joined at the vertices. With such a reduced area, material under consideration will not be able to withstand stresses and hence will fail by ductile fracture. The fractured surface so obtained will resemble like a thin edge or a point. Fully ductile materials on plastic deformation will continues to neck down to an infinitivally thin edge or a point and thus will fail due to small cross-sectional area at neck which cannot withstand applied load. As no material is fully ductile in nature, except that specially produced ultra-high purity material, the more common type of ductile fracture occurs when the reduced cross-section has still an appreciable area. However, no material undergoes plastic deformation to such an extent. Metals and alloys, used for various general purpose and engineering applications, fail by ductile fracture having considerable area of cross- section at necked region. Cone Neck Cup (a) (b) FIGURE 7.1 (a) Neck formation at maximum tensile load in a ductile material, (b) Schematic representation of a ductile tensile failure characterising cup-cone like fracture. The cone shaped surface making an angle of about 45° with the tensile axis. A common type of ductile fracture is cup and cone type fracture [Figure 7.l(b)]. It also occurs due to necking. On stressing a material, necking starts at a point of plastic instability. At this stage, the increase in the strength of the material due to plastic deformation (strain hardening) unable to compensate for the stress requirement due to decrease in the cross- sectional area around the necked region. A triaxial stress concentration state gets induced here and many fine cavities originate within the central part of the necked region. These fine cavities @Seismicisolation @Seismicisolation
  • 236.
    Fracture 209 coalesce toform voids. These voids continue to grow and finally result in the formation of a crack. Crack, so formed, has its long axis perpendicular to the direction of stress. Once the crack has formed, it extends (grows) in a direction perpendicular to the axis of loading and tends to reach near to the external surface of the necked region. Propagation of such a crack to the outer surface of the necked region by shear deformation at an angle of about 45° with the tensile axis finally results in the fracture. Ductile fracture is characterized by appreciable amount of plastic deformation prior to and during the propagation of crack and by slow crack propagation. Ductile fracture normally occurs in a transgranular manner in metals that have good ductility and toughness. 7.3 MECHANISM OF DUCTILE FRACTURE Appreciable plastic deformation, which involves considerable time, precedes ductile fracture. Therefore, start of a ductile fracture can be detected easily. This is why failure by ductile fracture was neither considered as a serious problem nor studied so extensively as failure by brittle fracture. Ductile fracture is usually due to simple overloads, or applying too high a stress to the material. The actual mechanism of ductile fracture is not well understood till date. However, it can be said that nucleation of cracks (microvoids), growth of cracks and coalescence of the cracks are the three stages, which precede a ductile fracture. Under tensile stresses, cracks are nucleated either at grain boundaries due to the separation of metal at grain boundary or at interfaces between the matrix and inclusions/hard and brittle particles of some phase. For example, cementite (Fe3C) particles in steels, CuA12 particles in aluminium-copper alloys, Ti3Al particles in titanium-aluminium alloys and oxide inclusions in copper act as nucleation sites for cracks. When a brittle particle is present, it is difficult to maintain compatibility in the necked region between the continuously deforming matrix and the nondeforming particles. This result in the formation of very tiny voids near the matrix-particle interface. Cracks so nucleated grow under the influence of local stresses which increase continuously. As the stresses are increasing continuously and plastic deformation is continuing, these cracks coalesce and large cavities are developed. These cavities act as discontinuities in the material and reduce the overall area of the material to an extent that it cannot withstand the applied stress. As a result, failure takes place. 7.4 BRITTLE FRACTURE Fracture that occurs after little or no plastic deformation is called brittle fracture. High strength metals and alloys having low ductility and toughness values are prone to failure by brittle fracture. White and grey cast irons fail by brittle fracture under all service conditions. Brittle fractures are usually observed under conditions of sudden loading rather than overloading. Though both ductile and brittle fractures have the same impact on the functioning of the system, brittle fracture are insidious in character due to two simple reasons. Firstly, a brittle fracture occurs without any prior warning. Secondly, it may occur at a stress level lower than the yield strength. Once started, the brittle fracture will run at high speed, reaching 1200 mis in steel, until total failure occurs, or until it runs into conditions favourable for its arrest. (The crack may move at a rate approaching the velocity of sound in the metal.) @Seismicisolation @Seismicisolation
  • 237.
    210 Mechanical Behaviourand Testing of Materials Brittle fractures, though occur over a range of temperature above the room temperature, are frequently observed at low temperatures also. Most of the brittle fractures in multi-phase alloys are transgranular. 7.5 MECHANISM OF BRITTLE FRACTURE Griffith extensively studied brittle fracture and was the first to propose a mechanism for brittle fracture in highly brittle materials like glass. Hence, mechanism of brittle fracture is most popularly referred to as Griffith theory of brittle fracture. According to Griffith, microcracks exist in all brittle materials which propagate and cause fracture. These pre-existing microcracks may be attributed to a large number of flaws which usually occur during solidification, machining, welding, heat treating, forming or due to the interaction of dislocations with various imperfections/defects or particles of phases/impurities present in the material. Griffith assumed that the cracks are elliptical in shape. A very high concentration of stress gets developed at the tip of such cracks when the material is subjected to external stress. When the intensity of stress concentration exceeds the fracture strength at and around the tip of the crack, the crack propagates and ultimately causes fracture. Under tensile loading, the elastic energy stored per unit volume will increase with increase in load (stress). If a crack grows, i.e. increases in length, the growth is associated with an increase in surface energy as a result of increase in surface area. For an elliptical crack (Figure 7.2) of length 2a, the maximum stress (CTmax) at the tip of the crack is given by Griffith equation as: (Tmax =2aj (7. l) where CT is the applied tensile stress normal to crack length, and r is the radius of curvature at the crack tip. I I E=r c---~ I· 2a (a) (b) FIGURE 7.2 Illustration of (a) An interior elliptical or lens shape crack, (b) A surface crack. The elastic strain energy (UE) for unit volume is given by the relation: (7.2) where, Eis Young's modulus. @Seismicisolation @Seismicisolation
  • 238.
    Fracture 211 The surfaceenergy (Us) associated with such a crack of unit width can be expressed in terms of crack length as (7.3) where, n, is the surface energy per unit area. As the length of the crack increases, surface energy associated with the crack also increases. However, elastic strain energy reduces with increase in the length of the crack. This reduction in elastic strain energy is due to the stress relieving of material close to the surfaces of the crack. Griffith postulated that loss of elastic strain energy should be equal to the increase in surface energy of the crack for the propagation of the crack. Hence, according to Griffith criterion, dUE dUs = da da 2naa2 4 E = Ys [ 2 £]112 (J = ___Tu_ na For a given material, Eq. (7.4) can be expressed as: a= Ka-112 where, K is a constant = 2rsE ,r (7.4) (7.5) Equation (7.5) shows that the tensile strength of a brittle material is largely governed by the length of the longest pre-existing crack in the material. As stated earlier, Griffith suggested the mechanism of fracture for brittle materials. It is not useful for metallic materials. Cracks in such materials do not exhibit perfect elastic behaviour. In metallic materials, some plastic deformation, howsoever small, always precedes fracture. Therefore, even in brittle metallic materials there will be plastic deformation not only at the tip of the crack but also in the region adjacent to the crack tip. Plastic deformation lowers the concentration of stress at the tip by reducing its sharpness, i.e. making it relatively blunt and increases the surface energy associated with the crack. More work has to be done in metallic material to propagate a crack as more energy is consumed in plastically deforming the tip of the crack and the region adjacent to the crack tip. Orowan and Irwin modified the Eq. (7.4) by taking into account the energy required for plastic deformation as follows: a =[(2Ys;:P)Er2 (7.6) where, r,, is the energy required for plastic deformation per unit area of the crack and for most of the metals, r,, is greater than n,. @Seismicisolation @Seismicisolation
  • 239.
    212 Mechanical Behaviourand Testing of Materials Behaviour entirely of opposite nature is observed when a known material is subjected to compressive stresses instead of tensile stresses. For example, compressive stresses tend to close a crack than to open it as the case with tensile stresses. This is why even brittle metallic materials offer no serious problem when subjected to compressive stresses. 7.6 FACTORS AFFECTING THE TYPE OF FRACTURE Fracture is the main cause of failure of various structural components during service. A component fractures when it is exposed to such loads and environments during service which are either of higher magnitudes or are different in nature than those of intended use of the component under specific loads and environmental conditions. In addition to factors arising out of service conditions, there are some additional factors also which cause fracture. Intergranular fracture normally occurs only when the grain boundaries are weak. It has been observed that above a particular temperature, known as equicohesive temperature, material fails by intergranular fracture rather than the transgranular fracture. At this temperature, the grains and grain boundaries have equal strength. Weak grain boundaries may be attributed to the inherent softness or to the presence of a continuous film of hard and brittle phase at the grain boundaries or to the segregation/precipitation of detrimental phase adjacent to grain boundaries or the embrittlement of grain boundaries by liquid or solid metallic phase. Cast materials due to the presence of segregations, commonly fail by brittle fracture. In every material, there are stress raisers. Stress raisers are, in fact, locations or flaws around which the concentration of stress may be as high as 3 to 5 times the average stress value. Keyway, toolmarks, scratches, oil-hole and areas with sharp changes in cross-section dimensions are some stress raisers which are visible. Slag inclusions, blow holes, internal notches, dislocation clusters and presence of needle like or sharp edged second phase particles are some stress raisers which are not visible with unaided eyes. Nucleation of crack for brittle fracture usually occurs at stress raisers. Once the crack attains a critical size, it propagates with high speed till fracture takes place. The velocity of crack propagation may be as high as velocity of sound in metals. Large cracks and sharper crack tips are very effective stress raisers causing brittle fracture. In comparison to ductile materials, brittle materials are much more sensitive to the presence of stress raisers. As a ductile material undergoes large amounts of plastic deformation, redistribution of stresses takes place which results in the equalisation of local stresses. Also the concentration of stress due to a crack reduces greatly as a consequence of increased dislocation density and vacancy concentration at the tip of the crack. In a brittle material, on the other hand, since no plastic deformation occurs and dislocations are locked in, stress concentration increases substantially with increase in externally applied stresses. This results in the breakage of interatomic bonds and propagation of cracks. Presence of stress raisers is of paramount importance when a brittle material is subjected to repeated or reversed loading. It has been observed that stress raisers which are harmless in ductile materials under the static loading are harmful due to considerable stress concentration associated with them under the repeated loading. @Seismicisolation @Seismicisolation
  • 240.
    Tensile Behaviour 8.1 INTRODUCTION Mechanicalstrength is one of the most important property requirements for any member whether it is a machine component, a device or a structural part. Structures and machine members designed to sustain loads must possess the necessary mechanical strength before they can serve any other function. Though devices are primarily not designed for mechanical strength, yet the members involved therein always experience some load, which is often a critical factor in design. In many instances, a member has to support its own weight in addition to serve some other primary function. For example, the electric wire used for overhead power transmission has to support its own weight in addition to transport electricity for which the prime requirement is good electrical conductivity. In order to increase pole to pole distance, the material used for overhead power transmission must be sufficiently strong to support its own weight. If it is not inherently strong then strength can be increased by some mechanism. In many instances a member which is not supporting any load but may experience violent vibrations, shock, heat or cold, requires mechanical strength. In its broadest sense, mechanical strength of a material is its ability to bear load without undergoing any undue distortion or failure. Mechanical properties are commonly expressed in terms of unit values such as load per unit area or energy per unit volume so that they may be used directly in design problems. In many instances these values are used for comparison of materials. A majority of parts of structures, machines or devices are invariably subjected to uniaxial tension load (a load in which the part is under pulling action). The behaviour of a material under simple uniaxial tension is called tensile behaviour. The test performed for this purpose is referred to as tensile test. 213 @Seismicisolation @Seismicisolation
  • 241.
    214 Mechanical Behaviourand Testing of Materials Among the various mechanical testings, tensile testing is the most important and widely used one. Many properties can be derived from the complete tensile test record. One can obtain important information concerning the material's elastic properties, the character and extent of plastic deformation, yield strength, tensile strength and toughness. The response of materials to other type of loading can sometimes be explained or predicted on the basis of their behaviour under simple tension. So much information can be obtained from a single test justifies its extensive use not only in engineering materials research but also in engineering industries for quality control and design purposes. Different materials respond differently to uniaxial tensile forces. The tensile curves correspond to these responses have been discussed in this chapter. 8.2 TENSION TEST AND STRESS-STRAIN CURVES A stress-strain curve is obtained from a tensile test. An ordinary tensile test is conducted at or near room temperature under the uniaxial tensile load that is applied on the specimen at slow rate ("" 10-3 s-1). There are also tensile tests conducted at other temperatures, at very high rates of loading or by static loading for a very long times, but these are not commonly considered as ordinary tension tests. A standard specimen of specified geometry is used for tensile testing as shown in Figure 8.1. The specimen is symmetric about its long axis so that the load is distributed uniformly over its cross-section. During the test, load is applied uniaxially along the specimen length and increases gradually until fracture occurs. The elongation produced is measured at frequent intervals. The load and elongation data are plotted as a curve called load-elongation curve. Since the loads will differ for different sections of the specimen and likewise the elongation will vary with gauge length, it is important to remove the size effects so that the produced data is characteristic of a given material rather than that of the particular specimen. This can be done by dividing the loads and elongations by constant original dimensions. The load (P) and elongation data are thus expressed as average stress and average strain by dividing them by original area of cross-section (A0) and gauge length (L0) of the specimen, respectively. That is, or Load Average stress (CT) =----------- Original area of cross-section p CT =-kg mm-2 Ao I I ·-·-++--~----· Gauge length i;!ar:allel leRgtl:1 FIGURE 8.1 Geometry of tensile specimen. (8.1) @Seismicisolation @Seismicisolation
  • 242.
    Tensile Behaviour 215 A. ( ) Change in length M verage stram e = = Original gauge length L0 or e= L-Lo =_£-1 Lo Lo (8.2) where, L is the instantaneous length. The average stress and average strain data so obtained are plotted in the form of stress-strain curve. Since both load and elongation are divided by constant values, namely, original cross-sectional area and gauge length, the stress-strain curve is commonly called Engineering, conventional or nominal stress-strain curve. Conventional or engineering stresses or strains are not the true values. The shape of the engineering stress-strain curve of a metallic material depends on its composition, prior history of plastic deformation or/and heat treatment, temperature, strain rate and state of stress imposed during the tensile test. A typical stress-strain curve for a ductile material is shown in Figure 8.2. In the range OA the strain produced varies in proportion to the applied stress. The curve in this range follows the law of proportionality commonly called Hooke's law. The curve is linear in this range. The constant of proportionality is the ratio of stress to strain and is called Young's modulus or the modulus of elasticity. This (Modulus of elasticity) is an inherent property of a given material, and is of considerable engineering importance. It also represents the slope of the linear curve. The point A represents the maximum stress up to which stress is proportional to strain and is referred to as Proportional limit. In order to determine proportional limit a very sensitive extensometer is to be used so that it can detect even a slightest deviation from straight line. All materials do not necessarily exhibit a linear relationship between stress and strain, though they display elastic behaviour, i.e. they have no linear part in the elastic range of their stress-strain curve. A typical example of one such material is 'rubber' which is an elastic material but does not exhibit a linear stress-strain relationship at all. Other materials which exhibit this type of behaviour include copper, cast iron and aluminium sometimes. 1l 0 ....J 0 E F Elongation or strain FIGURE 8.2 Engineering stress-strain curve for mild steel. @Seismicisolation @Seismicisolation
  • 243.
    216 Mechanical Behaviourand Testing of Materials As the stress increases beyond the point A, the curve begins to deviate from linearity. However, the specimen still exhibits elastic behaviour up to a stress corresponds to the point B from where if the stress is removed, the specimen will regain the original dimensions. Many materials show this type of behaviour. The point B is called elastic limit and is defined as the maximum stress up to which the specimen behaves elastically. The measurement of elastic limit depends on the sensitivity of the strain measuring device. Ultra-sensitive instrument is required to determine true elastic limit. Greater the sensitivity of the instrument lower will be the elastic limit. Measurement of elastic limit is a cumbersome job as it involves frequent loading and unloading of the specimen. In practice, elastic limit cannot be distinguished from the limit of proportionality, i.e. the two limits coincide with each other. It is easy to determine limit of proportionality from where deviation in linearity occurs with the increase in stress. Therefore, for practical purposes proportional limit is considered to be the elastic limit in many instances. As the stress exceeds the elastic limit, the specimen begins to yield, i.e. deforms permanently. The nature of the initial inelastic strain varies with metal to metal. Certain metals and alloys, in particular those with BCC structure and which contain a small amount of interstitial solute element, are characterised by a sharp yield point. A typical example of such materials is mild steel. The material deforms rapidly either without an increase in stress or deforms sharply with a decrease in stress at certain point. This point (point C in Figure 8.2) at which marked increase in strain occurs without a simultaneous increase in stress is called the yield point. The stress corresponds to this point is called yield strength. In other words, it represents the resistance of the material against plastic deformation. Quantitatively yield strength is expressed as load at yield point divided by the original area of cross-section of the specimen. If yielding occurs with a drop in stress, as illustrated in Figure 8.2, the point C is called the upper yield point. Once this point is reached the force resisting deformation decreases and attains a relatively constant lower value of stress. This lower value of stress at which appreciable plastic deformation occurs is called lower yield point (point D in Figure 8.2). In such cases the stress corresponding to the lower yield point is considered as the yield strength of the material. In practice, a drop in load or stress is rarely displayed by materials. Instead, deformation occurs at almost constant stress at point C (as shown by the dotted line in Figure 8.2). FCC materials, very soft mild steels, medium to high carbon steels and many others do not exhibit a well defined yield point. The nature of initial plastic strain in these materials is slightly different from that of mild steel and similar materials. In these materials, the point where yielding begins is not distinctive because of the gradual change in the slope of the tensile curve (Figure 8.3). In fact, it is difficult to define yield point in such cases. For engineering purposes, the yield stress describes the limit of usable elastic behaviour of a material, i.e. it is the highest stress at which the behaviour of a material remains elastic. Therefore this stress is also regarded as the elastic strength of the material. The point where yielding begins depends on the sensitivity of the measuring instrument. More sensitive the gauge (such as a microstrain gauge), lower will be the stress level where plastic flow is observed to begin. The stress level determined by a microstrain gauge has been found to be ma4ny times lower than that determined conventionally. Dislocations might have started moving even at much lower stress level than that measurable by microstrain gauge. Some thousands of dislocations might have moved before this measurable strain. From the view point of design, it is necessary to know a definite stress under which the material can be stressed without yielding. @Seismicisolation @Seismicisolation
  • 244.
    Tensile Behaviour 217 Uniformplastic Necking I. ~ Non-uniform plastic strain strain ,''•,---------• ;1+---<--+,, (Post necking strain) , , , , , , / E LITS / Elastic strain ..______., , , I , , a:/ ,, p -----------f- ---- ,' F ,' R I , , , , , , , , , , , , , , , , , , , , , , , , , , , , , / Recovered ,' strain 0 ~ - - - - - - - - - - '---~~-----. --1 t I-- Off-set H Strain- G FIGURE 8.3 Engineering stress-strain curve for a ductile metal like aluminium. Many materials can tolerate small strains beyond the elastic limit without appreciable plastic deformation. These strains are typically 0.1% or 0.2% of the original dimensions. Strains less than 0, 1% are difficult to measure with accuracy. The stress at which a material exhibits a specified permanent set is known as Proof Stress. This stress is referred to as the yield strength of the material. Proof stress can be determined by drawing a line through 0.1% or 0.2% of strain as offset along the abscissa and parallel to the straight line portion of the tensile curve. The intersection of this line with the tensile curve gives a stress called yield strength or proof stress. The values of offset that have been suggested for cast iron are 0.02% to 0.05%. With malleable iron castings the offset value to determine yield stress is 0.5%. The strain from the point of deviation of linearity of the curve to the proof stress is predominantly plastic in nature. In Figure 8.3 the strain from P to Q represents only the elastic strain. As the offset value decreases below 0.1% the accuracy in the determination of yield stress will also decrease. Therefore too small a value of offset should be avoided for specifications. Beyond the yield point, deformation occurs with continuous increase of stress but to a relatively small amount until the maximum point E (Figures 8,2 and 8,3) is reached. The nature of the stress-strain curve is parabolic in this range which is associated with homogeneous plastic deformation processes such as irreversible movement of dislocations in metals. Thereafter, the further strain occurs with a continuous decrease in stress until the specimen fractures (point F in Figures 8,2 and 8,3), The stress at E, is therefore, the maximum stress before the occurrence of fracture and is known as ultimate tensile strength (UTS, the term more common in olden days) or simply tensile strength. Tensile strength of a material is therefore defined as its resistance against fracture. It is quantitatively defined as the maximum load divided by the original cross-sectional area of the specimen. @Seismicisolation @Seismicisolation
  • 245.
    218 Mechanical Behaviourand Testing of Materials Most of the ductile metals show a drop in load after ultimate tensile point. This is because of necking that occurs within the gauge length of the specimen at maximum stress resulting in localised deformation with a decrease of load up to the fracture. This nature of the curve is because of the two opposing effects. The first effect is due to the strain hardening that result due to multiplication of dislocations during plastic deformation. Interaction of dislocations is such that their motion is restricted. For further deformation, more stress will be required. The effect, where more stress is required for further plastic deformation, is known as strain hardening. The second effect is related to the elongation of the specimen which results in the decrease in its diameter. As the diameter decreases, the load carrying capacity of the specimen must decrease. This means that the load required for further deformation should decrease. Initially strain hardening predominates over the decrease in load carrying capability of the specimen and therefore overall stress required for plastic deformation increases until a maximum stress where onset of necking occurs. After this, decrease in diameter of the specimen is rapid resulting in the second factor to predominate, i.e. the decrease in load carrying capability of the specimen is much faster than strain hardening. Decrease in localised diameter of the specimen needs lower value of load for further deformation. Hence there is decrease in stress after onset of necking until fracture occurs. On the other hand, many materials in the cold worked or hardened condition, fracture at near maximum stress without necking [Figure 8.4(a)]. Materials such as ceramics, glasses, rocks, heavily cross-linked polymers, some metals at low temperatures and white cast iron exhibit little or no plastic deformation. These materials are characterised by an elastic stress- strain curve as shown in Figure 8.4(b). Though these materials are rarely used for applications involving tensile loading, but they may be of considerable success in applications involving compressive loading. Under compression these materials show great resistance to fracture. Many plastics fracture after an increase of stress with strain due to the orientation of molecular chains under the action of stress. Like metals, some of the plastics show a yield drop in their stress-strain curve. Fracture Strain (a) (/) (/) ~ U) Fracture Strain (b) FIGURE 8.4 Engineering stress-strain curves for (a) Hardened metals, (b) Ceramic materials. @Seismicisolation @Seismicisolation
  • 246.
    Tensile Behaviour 219 8.3TENSILE PROPERTIES 8.3.1 Modulus of Elasticity and Stiffness The term modulus of elasticity is a measure of stiffness of a material. It is the resistance against deformation offered by a material for a given load within the elastic range. Quantitatively modulus of elasticity (E) is expressed as the ratio of stress to elastic strain, i.e. (8.3) where, a is the nominal stress in kg mm-2 or in MPa and e is the nominal strain. The higher the modulus the lower is the elastic strain for a given stress level, and therefore stiffer the material is. Owing to this important characteristic, elastic modulus is the design criterion for components subjected to mechanical loads where deformation is confined within the elastic limit. The lower the modulus of elasticity, the more flexible the material is. Table 8.1 gives the values of modulus of elasticity for various important materials. Certain materials such as steels follow Hooke's law throughout the entire elastic range, whereas other materials such as some nonferrous materials, concrete, cast irons, etc., do not have a straight line portion of the stress-strain curve within the elastic range. TABLE 8.1 Elastic modulus for various materials Material Elastic modulus, GPa Metals Aluminium and its alloys 69-79 Magnesium and its alloys 41-45 Copper and its alloys 105-150 Nickel and its alloys 180-214 Lead and its alloys 14-18 Cast iron 110-120 Steel 190-217 Titanium and its alloys 80-130 Tungsten and its alloys 350-410 Molybdenum and its alloys 330-360 Zirconium 94 Chromium 279 Tantalum 185 Other materials Alumina (fully dense) 415 Diamond 820-1050 Silicon carbide 470 Granite 46 Quartz (fused) 73 (Contd.) @Seismicisolation @Seismicisolation
  • 247.
    220 Mechanical Behaviourand Testing of Materials TABLE 8.1 Elastic modulus for various materials (contd.) Material Elastic modulus, GPa Glass and porcelain 70-80 Concrete 10-38 Nylon 66 1.2-2.9 Polycarbonate Polyethylene (high density) PVC (rigid) Rubber (hard) Polypropylene 2.4 0.4-1.3 3.5 2.8 2.7-4.2 When the applied stress is of shear type, the modulus of elasticity is known as shear modulus or modulus of rigidity. Modulus of elasticity, at any given temperature and pressure, is a function of two things: the interatomic forces which in turn vary with the type of bonding found in a given material, and the arrangement of atoms relative to each other. For each pure metal, solid solution or intermetallic compound at equilibrium, both the composition and the crystal structure are fixed and therefore is the elastic modulus. It can be altered to some extent by significantly altering either the composition of the material or its crystal structure. The composition of a metal can be changed by alloying it with some other element that is soluble in it. The introduction of foreign atoms in the given metal will alter the restoring forces developed by a given strain and hence affect the elastic modulus. In general, however, a relatively large alloy addition is required to produce even a rather small change in elastic modulus. Among the metallic materials, steel is the most commonly used alloy. Ordinary engineering steels usually contain a few per cent of alloy content and therefore the elastic modulus for such steels is hardly increased. Similar is the case with commercial brasses in which the zinc content varies from almost zero to about 40% yet the improvement in elastic modulus is not significant. In fact, a drastic increase in zinc content of the alloys may rather reduce the elastic modulus by 5-6%. Hence, in general, the idea of making alloy additions to a metal in order to improve elastic modulus is not commonly used. Like alloying, cold deformation of a ductile metal is another method to improve elastic modulus only slightly. Elastic modulus can also be changed to some extent by altering the crystal structure through heat treatment. For instance, in steels, the equilibrium ferrite and carbide structure can be changed to metastable martensite by a hardening treatment. However, in this case, the same atoms are present in the same proportion after heat treatment as before, except a drastic change in their arrangement. Such a change in atomic arrangement results only a small change in the spacing of atoms relative to each other. The change in elastic modulus as a result of martensitic transformation is so small that it is of no engineering importance. Thus, this criterion of altering elastic modulus is also generally ignored. Modulus of elasticity is thus independent of the type of treatment given to a material. Nevertheless treatments like cold working and heat treatments are given to certain components such as steel springs with an idea that the stiffness can be improved by such treatments. In fact, this concept seems to be incorrect. The above treatments rather improve the elastic limit of the @Seismicisolation @Seismicisolation
  • 248.
    Tensile Behaviour 221 steelso that steel springs can carry more loads without permanent deformation. However, elastic modulus decreases with the increase of temperature which in turn affects the cohesive strength of the material. Modulus of elasticity is important in the selection of materials for applications such as springs, beams of a balance, etc., and in the design of structures. In case of springs, lower the value of modulus of elasticity, the larger is the deflection for a given load. A steel spring bends twice as much as a tungsten spring of the same dimension under the same load. In the castings, the higher is the residual stresses the higher will be the modulus of elasticity. The stiffness of a material that does not follow Hooke's law is clearly not constant but varies with stress. In such cases, stiffness is given as an average value based on the slope of the lines drawn through certain points on the stress-strain curve. These are known as tangent modulus and secant modulus. 8.3.2 Yield Strength Yield strength of a material is defined as the stress at which it begins to yield or deform plastically. Quantitatively it is defined as the load at yield point (Py) divided by the original cross-sectional area (A0), i.e. p" Yield stress (a") =-· . Ao (8.4) Yield strength is also an important mechanical property for a ductile material. This property of a material determines its ability to resist permanent deformation. Yield strength tends to prevent bending, denting or twisting of a material while it is in service. So when a material is in service the stress applied should never exceed its yield strength otherwise failure may occur. On the other hand, when a ductile material is required to be shaped by mechanical working processes the applied stresses must exceed the yield strength. This property is therefore considered to be the design criterion for ductile materials. For materials under service yield strength is more important property than tensile strength for ductile materials. 8.3.3 Tensile Strength Tensile strength of a material is defined as its ability to resist fracture. Quantitatively, it is defined as the maximum load (Pu) divided by the original area of cross-section. That is, Tensile strength (au)= Pu Ao (8.5) This is the most frequently quoted mechanical property of a material though its value is not as significant as yield strength from the point of view of strength of a material as stated above. However, the knowledge of tensile strength value for ductile materials is significant in that the stress applied for shaping operations should never exceed this value otherwise it will lead to fracture. So the level of applied stress should neither exceed during mechanical working processes nor when a material is under service. In addition, there are ductile materials which can tolerate some permanent deformations. For these materials rupture (ductile fracture) is the @Seismicisolation @Seismicisolation
  • 249.
    222 Mechanical Behaviourand Testing of Materials principal concern. For example, in pressure vessels and piping systems some permanent deformation is tolerable without bursting. In the olden days tensile strength was the design criterion for ductile material by reducing the stress level to a suitable factor of safety. Moreover, tensile strength is easy to determine property and is reproducible, therefore this property is commonly quoted along with the more useful yield strength property. In addition, tensile strength is numerically related to other mechanical properties or it gives an idea about other properties, and therefore it is specified in the tensile test data. For some materials, this property is useful for quality control purposes. For brittle materials, this property is the only strength property used for design purposes. In case of plain carbon steels, carbon content can roughly be estimated by tensile strength test. Tensile strength of Fe-C steel is the strength of the pure iron (280 MPa) increased by an amount directly proportional to the per cent of carbon, as follows: Tensile strength = 280 + 700C where, C is the percentage of carbon and the tensile strength is in MPa. For instance, if the tensile strength of a given specimen is 385 MPa, the estimated amount of carbon is: 8.3.4 Modulus of Resilience 385-280 =C 700 C =0.15% Elastic resilience is the capacity of a material to absorb energy on loading under tension. This energy gets released on removal of the load. When a material is loaded within the elastic limit its atoms are displaced from their equilibrium positions thereby bringing them to higher energy state. This energy is stored as elastic energy. Mathematically, strain energy, U may be determined as the work done by the applied force and is given as: li U =JP(x) dx 0 (8.6) where, P(x) is the force as a function of displacement x. Since, P(x) =aA and x =eL, Eq. (8.6) becomes E1 u =AL Jade 0 where, e1 = 8/L. Dividing the strain energy by the volume AL, Eq. (8.7) becomes: E1 U =Jade 0 (8.7) (8.8) where, U is the strain energy per unit volume which represents the area under the linear portion of the tensile curve from zero strain to strain e1. Since the geometry of the region enclosed by the straight line in the tensile curve is triangular, the strain energy per unit volume can be given as: @Seismicisolation @Seismicisolation
  • 250.
    Tensile Behaviour 223 1 U=-Ge (8.9) 2 1 (12 U =-- (8.10) 2 E Strain energy per unit volume is commonly known as modulus of resilience. Modulus of resilience is therefore, defined as the strain energy absorbed per unit volume when a material is stressed to elastic or proportional limit. In practice, for most of the materials it is difficult to distinguish between proportional limit, elastic limit and yield stress because of the lack of sensitivity of the measuring instrument. Therefore, for practical purposes elastic limit is replaced by yield stress value O:v- Thus, modulus of resilience is expressed as: 2 <J,. e,. <J,. u --·-· --· ,- 2 -2E (8.11) where <J,. is the yield stress, t;- is the strain corresponding to yield stress. For a given value of E, modulus of resilience increases with the square of the yield stress. Yield strength can be improved by various strengthening mechanisms. The major strengthening mechanisms are the cold working and precipitation hardening which do not affect E values. On the other hand, for a given yield stress, modulus of resilience will decrease with increasing stiffness. Equation (8.11) indicates the energy absorbed by a material without being deformed permanently while subjected to dynamic loads. Modulus of resilience is an important consideration for spring materials. Spring alloys must be able to withstand large elastic deformations without permanent change in shape. That is, the material must have a high elastic limit or yield strength and low modulus. However, springs used for structural applications must exhibit high elastic modulus. Springs used in instruments often require a relatively large deflection under low loads. This means that the spring alloys used for such applications have low elastic modulus. For a material, which exhibits in a nonlinear elastic behaviour, the modulus of resilience is no longer applicable because of the absence of a proportional limit. Even though the material is fully elastic, the strain energy per unit volume is not completely recoverable. Typical example of a material that exhibits this behaviour is Rubber. Figure 8.5 shows tensile curve for rubber during the loading and unloading cycles. Curve 1 represents the stretching of rubber when it is loaded from Oto P. The area enclosed by this curve with the strain axis represents the energy stored per unit volume. When the rubber is unloaded, the resulting curve (curve 2 of Figure 8.5) does not retrace the path of curve 1. The curve 2 lies below the curve 1. The strain energy per unit volume recovered is therefore less than that put into the rubber during its loading. In fact, some energy is lost in the form of internal friction in rubber. This energy is represented by the area between the curves 1 and 2. This is a good example of mechanical hysteresis and accounts for a high damping capacity of rubber when used as supports to damp vibrations in machines. With reference to materials showing nonlinear elastic behaviour, the term resilience is defined as the ratio of recoverable energy to that put into the material during loading or deformation. It is measured as the ratio of area under the curve 2 to that under the curve 1, as a percentage. A low resilience is desirable for good damping characteristics while a high value of resilience is required for low internal heat generation. The term resilience discussed here must not be confused with modulus of resilience. @Seismicisolation @Seismicisolation
  • 251.
    224 Mechanical Behaviourand Testing of Materials p Strain FIGURE 8.5 Stress-strain curve for Rubber, showing loading and unloading cycles. 8.3.5 Ductility Ductility of a material is defined as its ability to flow plastically without rupture under static tensile load. One primary way to evaluate this property is to determine per cent elongation of a tensile specimen. The percentage elongation is expressed as: Lf -Lo Per cent elongation =---x 100 Lo (8.12) Another measure of ductility is the percentage reduction in area that occurs in the necked region of the specimen. The percentage reduction in area is expressed as: Ao -Af Per cent reduction in area =--~ x 100 Ao (8.13) In the above equations A1 and L1, respectively, are the area of cross-section and length of the specimen at the point of fracture. Though both percentage elongation and percentage reduction in area are indicative of ductility of the material, the latter is in particular, used as a guide to formability behaviour of the metal. Reduction in area may range from zero per cent (for brittle materials) to near 100% (for extremely ductile materials). If a material fails with little or no ductility, it is said to be brittle. Brittleness is opposite to ductility and should not be confused with a lack of strength. A brittle material is simply one that lacks significant ductility. Ductility is an important mechanical property. It is one of the very important engineering considerations in the design and selection of engineering materials. Almost all metallic materials possess some ductility. Ductility makes possible shaping of materials by mechanical working processes such as rolling, forging, wire drawing, deep drawing, extrusion and stamping. Many of the structural parts (such as crane hooks, gears, connecting rods and crank shafts) are preferred to be manufactured by rolling or forging instead of by casting process. Importance of ductility is also lying in the fact that it enables a material to redistribute localised stresses (such as those exist at the crack tip or at the notch) by localised yielding and thus preventing brittle type of failure. Ductility of a material also provides an additional margin of safety beyond the elastic range when a structure is subjected to momentary overloading at some part. If the @Seismicisolation @Seismicisolation
  • 252.
    Tensile Behaviour 225 materialof a structure is ductile the overstresses will be distributed to other parts by localised yielding in the overstressed region of the structure. As a result, serious mechanical failure can be prevented. Because of ductility, materials fracture only after undergoing appreciable amount of plastic deformation. Brittle materials, which possess poor (low) ductility, usually fail catastrophically without giving any warning and may cause accidents. The significance of ductility is also apparent from the fact that many ceramics have been toughened by various methods to improve their fracture strength and make them usable for structural applications, in particular, aircraft applications. Ceramics are otherwise brittle in nature and with few exceptions, they do not show ductility. 8.3.6 Toughness Toughness is defined as the ability of a material to absorb energy without rupture. It is usually measured by the amount of work per unit volume of the material under static loading. Work per unit volume of the material is also called modulus of toughness. Under this condition, it is usually represented as the area under the stress-strain curve as shown in Figure 8.6. In fact, it is the area under the plastic range. However, the elastic strain is much less than the plastic strain, the total area under the stress-strain curve is approximated to toughness of the material. Figure 8.6 also suggests that toughness is related to both ductility and strength properties. Quantitatively, toughness (UT) of a ductile material can be approximated as: UT= O'u CJ (8.14) or sometimes approximated as: UT= (O'u + O'y)e1 2 (8.15) In Eqs. (8.14) and (8.15), e1 is the strain at fracture stress, O'u and CT, are the ultimate tensile stress and yield stress, respectively. Equations (8.14) and (8.15) are generally used for comparison purposes. IJ) IJ) ~ ci5 Strain- (a) IJ) IJ) ~ ci5 Strain- (b) FIGURE 8.6 Modulus of toughness in terms of area under the stress-strain curve. (a) Ductile material, (b) Nearly brittle material. @Seismicisolation @Seismicisolation
  • 253.
    226 Mechanical Behaviourand Testing of Materials Thus, there are two fundamental requirements to be fulfilled by a material to call as a tough material. Firstly, it must be capable of deforming permanently prior to fracture and secondly, it must be strong enough, i.e. it should deform only at relatively higher loads. In terms of these requirements, toughness can also be defined as the measure of energy strength of a material. Much care should be exercised while using toughness data. It is because of the fact that these values vary markedly with conditions of testing. For instance, variation in temperature and strain rate can significantly alter the stress-strain curve (as discussed in a later section) and hence the toughness. Toughness is commonly related with impact or shock loadings. The values obtained from impact tests often fail to correlate with those from static tensile test. Unfortunately, often the term toughness is confused with some other properties such as softness, resistance to impact fracture or frictional wear and the plasticity of the material. In order to clarify it, some examples are considered here. One of the examples is that of the metal lead. Lead is an extremely ductile metal but at the same time it is very weak. Pure copper, on the other hand, is a tough metal. Like lead, it deforms appreciably before fracture but it does so at stresses high enough so that a large amount of mechanical energy is absorbed by the metal before it breaks. Low carbon steels are also known for good toughness. Though they do not usually withstand as extensive deformation as copper, they require much higher stresses to produce even the first increment of permanent deformation. The total amount of energy absorbed by steel before fracture is often greater than that absorbed even by copper. Ordinary grey cast iron, on the other hand, is also a relatively strong metal, and requires high loads to produce fracture. However, this material fractures with approximately no permanent deformation and thus it is almost totally lacking in toughness. Toughness is greatly affected by the microstructure of the material. For instance, ordinary grey cast iron is lacking in toughness while nodularised grey cast iron possesses reasonably good toughness. Many components such as freight car couplings, gears, crankshafts, cam shafts, crane hooks, etc. need to withstand occasional stresses above the yield stress level. These parts should be made of a tough material. 8.4 TRUE STRESS-STRAIN CURVE Materials, in general, have a very low elastic strain (approximately 0.1%) and negligibly small reduction in area. In the plastic range, ductile materials, on the other hand, show both a very high per cent reduction in area and strain. The conventional stress in the plastic range is not the true stress though it is almost the true value in the elastic range. This is because the true area of cross-section at any load in the plastic range is smaller than the original value as volume of the specimen remains essentially constant for large plastic strains. As a consequence the true value of stress experienced by the material is higher than the conventional one for a given load. Conventional stress and strain are widely used as a measure of the tensile properties (as discussed above) used for comparing materials in terms of standard tensile behaviour as well as for their selection in specific application. True stress value will be affected by strain hardening characteristic of the material so it varies with material to material. In metal forming processes such as rolling, extrusion, drawing, sheet metal forming, etc. true stress is considered @Seismicisolation @Seismicisolation
  • 254.
    Tensile Behaviour 227 tobe more important than engineering stress. To correlate the theory for different forms of loading, true values are preferred. In today's technology, engineers and scientists are therefore more interested in true values of stress and strain (also called natural or logarithmic strain) as proper measures of mechanical behaviour of materials is of significance in not only plastic range but also in the elastic range. True stress and true strain cannot be determined by routine tensile testing. True stress (aT) is expressed as: stress where, A; is the instantaneous or true area of cross-section corresponding to the load, P. If true stress is plotted against conventional strain, the curve continuously rises to the breaking point without any drop. This is because the instantaneous area decreases continuously with strain in the plastic range. This is in contrast to conventional stress-strain curve which drops after attaining a maximum stress. Figure 8.7 illustrates that strain hardening occurs continuously throughout the plastic range. After the onset of necking at the o Conventional strain ____. (8.16) Pmax, the true stress is determined using the FIGURE 8.7 Comparison of true and conventional smallest cross-section of the specimen (i.e. stress-strain curves. at the center of the neck) at any value of load. However, the shape of the neck is such that the stress in this cross-section is not uniform as the specimen elongates. The true stress in this range therefore represents the average value. True stress in the neck continues to increase until rupture. True strain (eT) differs from the conventional strain in that each increment in strain is based on the instantaneous gauge length of the specimen instead of original gauge length, i.e. the actual length at the time of increment. The instantaneous conventional strain is defined by Eq. (8.2). The increment in conventional strain resulting from a small increase in length dL, from L to Li is given as: Li -L0 L-L0 de = ei - e = - - - - Lo Lo or de = Li - L = dL (8.17) Lo Lo The total conventional strain can be determined by integrating Eq. (8.17) from zero to e, i.e., e L (dL) e =Jde= J - o Lo Lo @Seismicisolation @Seismicisolation
  • 255.
    228 Mechanical Behaviourand Testing of Materials or e=L-Lo =~-1 Lo Lo (8.18) True strain can also be defined in the same way by considering the increment in length dL, based on instantaneous gauge length L, thus: (8.19) The total true strain, ~ Li. -Lo L2 -Li L3 -L2 er =£..J----'---"- +--=---=- +-=----=- +... Lo Li L2 (8.19a) The total true strain can be determined by integrating the Eq. 8.19 from zero to er- Thus, 8 r L (dL) er= Jder = J - o Lo L L er =ln- Lo (8.20) From Eqs. (8.18) and (8.20), true strain can be written as: er= ln (1 + e) (8.21) This shows that the true strain is smaller than the conventional strain corresponding to a given load. This can be illustrated by considering an example. Consider a specimen with original gauge length L = 5 cm and instantaneous length equals 6.5 cm. The conventional strain (e) is given as: e = (6.5 - 5.0)/5 = 0.30 while true strain er= ln (6.5/5) = ln (1.3) = 0.263. An increase in the length by 0.25 cm above 6.5 cm length would result in an increase in conventional strain by 0.25/5 =0.05. The increment in true strain on the other hand is given as 0.25/6.5 =0.0389 (~ 0.04) which is clearly lower than the conventional value. It has been found that the difference between true strain and engineering strain becomes appreciable beyond about 10% strain. A true strain of about 70% is equivalent to about 100% conventional strain. Like Eq. (8.21) which shows a relationship between conventional strain and true strain, the true stress can also be expressed in terms of engineering stress as given below. From Eq. (8.16), <J'r can be written as: p p Ao p Ao Gr =-=-X-=-X- A; A; A0 A0 A; Ao or Gr= a - (8.22) A; At large plastic strains the volume of the specimen remains essentially constant while neglecting the elastic deformations. Thus, if A0 and L0, respectively, are the original area of cross-section and length of a segment of a cylindrical specimen, then the original volume is given as AoLo- After some plastic deformation under load, the length and its cross-section, respectively, are L and A. The volume of the segment at this instant is given as AL. For constancy of volume we can write: @Seismicisolation @Seismicisolation
  • 256.
    Tensile Behaviour 229 AL=Aol,0 L A0 = L0 A (8.23) From Eqs. (8.18), (8.22) and (8.23), the true stress can be given as: Gr =G(l + e) (8.24) Equations (8.21) and (8.24) are strictly applicable before the onset of necking. The deformation is highly localised beyond the onset of necking due to nouniform stresses in the neck. The stress is no longer uniform axial, but becomes complex triaxial. In such case the true strain er (for large plastic strains) should be based on the measurement of actual diameter (D), as given below: (8.25) n D2 4 o Do er =ln--=21n- ,r D~ D; 4 l or (8.26) Equations (8.25) and (8.26) hold good so long as the volume remains constant. The ratio AofA; is an indication of reduction in area. The conventional reduction in area (q) is defined by the relationship: q=Ao-A;=l-~ Ao Ao (8.27) q is positive when A;< A0• The increment of reduction in area is dq = -dA/A0• The increment in true reduction in area dq' can similarly be expressed as, dq' = - dA; . On integration, the true A; reduction in area can be given as: A- q' = 1_ dA; = 1n A0 Ao A; A; (8.28) Equations (8.25) and (8.28) show that true reduction in area and true strain are identical for large plastic strains. Thus, by knowing the conventional stress and strain it is possible to determine the true values using Eqs. (8.21) and (8.24). A true stress-strain curve (Figure 8.8) can be obtained from the tensile data. This curve clearly demonstrates that the metal strain hardens continuously up to the point of rupture, although the rate reduces after necking begins. Strain hardening behaviour at the plastic instability condition is an important consideration in metal forming operations. The strain hardening at any given strain er is equal to the slope of the true stress- strain curve at that strain. Superimposed on the true stress-strain curve is the conventional stress-strain curve for comparison. It can be noticed that the points on the true stress-strain curve are always lie to the left of the conventional stress-strain curve up to the onset of necking. The corresponding points on the two curves are connected to show their relation to one another. @Seismicisolation @Seismicisolation
  • 257.
    230 Mechanical Behaviourand Testing of Materials r/) r/) ~ ci5 Uniform strain Non-uniform strain Strain-- FIGURE 8.8 A true stress-strain curve superimposed on conventional stress-strain curve for comparison. Frequently, the flow curve (true curve) is linear from maximum load to the point of fracture. After the condition of plastic instability, the curve for true strain overtakes the conventional strain and at the breaking point it is far to the right. This is due to highly localised strains in the neck portion of the specimen. For many metals the true stress-strain curve up to maximum load can be expressed by an empirical relationship as: aT =Ke; Taking logarithms on both sides of Eq. (8.29), we have loge (jT =loge K + n loge eT Equation (8.30) is also known as Power Law (the flow curve corresponds to this relationship is called Power curve). In this equation, K and n are constants, and are commonly called the strength coefficient and strain hardening exponent, respectively. The constants can be evaluated from the log-log plot of true stress-strain which results in a straight line. The slope of the straight line gives the value of n. The value of K is equal to the true stress which corresponds to a true strain equal to b ~ Ol ..Q 0.001 0.01 (8.29) (8.30) 0.1 1.0 True strain, Er unity (i.e. ET= 1) as shown in Figure 8.9. FIGURE 8.9 A log-log plot of true stress-strain curve. @Seismicisolation @Seismicisolation
  • 258.
    Tensile Behaviour 231 Themagnitude of n reflects the ability of a material to resist further deformation. The higher the slope n of the log-log plot (Figure 8.9), the greater the strain hardening capacity of the material, i.e. stronger and harder it becomes as it is strained. The value of n may range from zero (for perfectly plastic material) to unity (for perfectly elastic material). For most of the metals, the value of n varies from 0.1 to 0.5. The magnitude of n is also affected by cold work and heat treatment processes applied to a material. For annealed materials n is high and for cold worked or heat treated materials it is low. The rate of strain hardening (dGrldGr) is not the same as strain hardening exponent. From Figure 8.9, n can be defined as: or or d(logeGr) d(lnGr) n = ---"---=--- = ---=--- d (loge Er) d (ln Er) dGr Er Er dGr n=----=--- Gr dEr Gr dEr dGr Gr --=n- dEr Er On differentiating Eq. (8.29) (i.e. the power law equation), we have dGr K (n-1) --= nEr dEr (8.31) (8.32) At plastic instability condition (discussed in Section 8.5) the slope of the true stress-strain curve is equal to the true stress at that point, i.e. (dGpdEr) = Gr. Therefore, the Eq. (8.32) can be written as: or K (n-1) K n nEr =Gr= Er (8.33) Thus, true strain at the onset of necking is numerically equals to the strain hardening exponent n of the material. This means that the greater the magnitude of n, the higher the true strain to which a material can be stretched uniformly before it begins to neck. This is an important observation, in particular, with regard to forming operations which involve uniform plastic deformation of the material without breaking. Equation (8.29) is an empirical equation and is often not strictly followed. That is, many materials do not display a straight line relationship in accordance with this equation. For unknown reasons, for some materials n increases with increasing true strain Eq. (8.33) while for other materials, n increases with decreasing true strain. In the latter case, n reflects the ability of the material to resist plastic deformation, whereas in the former case, n reflects the stretchability of the material. Metals such as annealed copper, brass, stainless steel have high value of n (0.30 to 0.55), and thus, they can be stretched uniformly to a greater extent than the other materials such as hardened and tempered steels (n = 0.10 to 0.20). @Seismicisolation @Seismicisolation
  • 259.
    232 Mechanical Behaviourand Testing of Materials 8.5 PLASTIC INSTABILITY IN TENSION It has been pointed out that as a tensile specimen begins to deform plastically, it strain hardens. Hence, in order to deform the specimen further in its plastic range, more amount of applied load is needed. In many ductile materials, the rate of strain hardening decreases with further increment in strain. The factor that opposes strain hardening is the increased stress caused due to reduced diameter of the specimen when it deforms plastically. This reduces the load carrying capability of the specimen. During the early part of the plastic deformation, strain hardening more than compensates for the reduced load carrying capability of the specimen caused by reduction in area. In other words, the rate of strengthening is higher than the rate of softening. At some value of strain, the two effects are counter balanced. When this condition is arrived, at some location in the material plastic strain continue to increase with no increase in load. This behaviour of the material is an unstable process because the rapid increase in localised strain results in rapid decrease in area of cross-section in this region compared to the rest portion of the gauge length. This localised area is weaker than the rest. The condition of instability is thus concentrated in a localised segment of the gauge length of the specimen. All further deformation is confined in this localised region. Localised deformation results in the formation of a neck. Necking generally begins at maximum load during tensile deformation. As deformation continues, the rate of strain hardening also continues to decrease locally and the load required continuing deformation decreases until rupture occurs. This behaviour which is the characteristic of many ductile materials is termed as Plastic Instability. This behaviour is characterised by a maximum in the conventional stress-strain curve. Mathematically, the plastic instability condition can be defined as: dP = 0 or dP =d(<1rA) =0 Since both area and stress are variables so Eq. (8.34) can be written as, Ad<1r + <1rdA =0 (8.34) (8.35) The first term in Eq. (8.35) represents the increase in load caused by strain hardening and is a positive term as d<1ris positive. The second term represents a decrease in load due to reduced area of cross-section and is negative because dA is negative. In the initial part of plastic deformation the first term predominates over the second until the onset of necking, i.e. dP > 0 At the onset of necking the two terms are balanced. After the beginning of necking the second term becomes predominate over the first, i.e. dP < 0 Equation (8.35) can be rewritten as: dA <1r A (8.36) Since at the beginning, before the onset of necking a fairly large magnitude of plastic strain has occurred, the volume of the material can be considered to be constant. Thus, @Seismicisolation @Seismicisolation
  • 260.
    Tensile Behaviour 233 AL=A0L0 =Constant or AdL + LdA =d (Constant A0L0) =0 - dA - dL - de [From Eq. (8.19)] A - L - T From the instability condition, Eq. (8.36) can be written as: or daT --=(jT deT (8.37) (8.38) (8.39) Thus, plastic instability occurs when the slope of the true stress-strain curve equals the true stress at that point (Figure 8. 10). b Cl) Cl) ~ cii QJ ::, i= True strain, t:r FIGURE 8.10 Graphical presentation of Eq. (8.39). 8.6 DISCONTINUOUS YIELDING (YIELD POINT PHENOMENON) Most of the ductile materials exhibit a gradual transition in elastic to inelastic (i.e. plastic) behaviour and yield continuously with increasing load or stress and work harden. However, some of these materials display a rather sharp transition in their elastic to plastic behaviour. Yielding in these materials is discontinuous and occurs at approximately constant load without any work hardening [Figure 8.1 l(a)]. This load or stress at which sharp transition occurs above the elastic limit is called yield point. Sometimes, a sharp drop in load results at above the elastic limit and then plastic deformation occurs at approximately constant lower value of load [Figure 8.11(b)]. The load at which sudden drop occurs in the conventional tensile curve is called the upper yield point (UYP) and the lower constant load at which appreciable yielding occurs is called the lower yield point (LYP). The elongation that occurs at constant load is called yield point elongation (YPE). Yield point elongation is about 15-20 times the elastic elongation that @Seismicisolation @Seismicisolation
  • 261.
    234 Mechanical Behaviourand Testing of Materials (/) (/) ~ in 0 al .3 Yield point Elongation or strain (a) (/) (/) ~ in 0 al .3 UYP '--L--Jogs due to formation of Luders bands Yield point elongation Elongation or strain (b) FIGURE 8.11 Load-elongation or stress-strain curves showing yield points in discontinuous yielding. has produced prior to it. The phenomenon involving a definite yield point in ductile materials is known as yield point phenomenon. The yield point phenomenon has been observed in low carbon steels. The beginning of discontinuous yielding is highly localised and begins at the stress corresponds to the upper yield point. At this point slip is nucleated at some point of stress concentration along the tensile specimen length. One such point of stress concentration is the fillet of the specimen. Slip occurs on the planes of maximum shear stress oriented at 45° with reference to the tensile axis. Dislocations move on these planes and produce a zone of plastic deformation. This zone of plastic deformation is called Liiders band (a band of slip lines) and the boundary between the band and the undeformed parts of the crystal is called the Liiders front. Coincident with the nucleation of Li.iders band at upper yield point the load drops down to the lower yield point. At lower yield point, in front of Li.iders band dislocation pile up occurs at the grain boundaries and act as another point of stress concentration. As a result flow is initiated in the adjacent grain. This way the deformation band propagates down the specimen at approximately constant stress until the whole length of the specimen is deformed. The propagation of Li.iders bands is illustrated in Figure 8.12. In most specimens more than one Li.iders bands form along the length and grow towards each other until cover the whole length of the specimen. The yield point elongation curve is irregular showing jogs which can be correlated to the formation of several Li.iders bands. Size of the tensile specimen affects the upper yield point stress. The larger the size of the specimen the lower will be this stress. The lower yield point stress, on the other hand, remains constant during yield point elongation and is independent of the size of the specimen. Since this process involves localised yielding and flow of material throughout the gauge length of the specimen, it is more like the ordinary yielding process and more or less independent of imperfections other than dislocations themselves. This type of yielding is therefore sometimes regarded as dislocation theory of yielding. A yield drop may also occur if a higher strain rate is imposed on the specimen by the machine as is explained in a later part of this section. @Seismicisolation @Seismicisolation
  • 262.
    Tensile Behaviour 235 Deformed Undeformed Deformed / FIGURE8.12 Initiation and propagation of Li.iders bands. In single crystals, yield propagation is uniform throughout the gauge length and not heterogeneous as in the case of most of the polycrystalline materials. Deformation starts by the formation of fine slip lines which broaden into slip bands, spread and multiply until these cover the entire crystal. Materials which show stress-strain curves with gradual change in curvature above the proportional limit with continuously increasing stress do not exhibit the yield point phenomenon. On the surface of mild steel, the Li.idders lines appear as flame like pattern of slight depressions or irregularities. The originally smooth surface becomes rough to touch or dark in appearance. This is often an undesirable condition. For example, when annealed steel sheets are deep drawn for automobile body parts, the formation of Li.idders lines produces objectionable irregularities called Stretcher strains. Cold rolled sheets do not show these lines because the material has been carried past the range of discontinuous yielding in the direction of plane of the sheet by rolling process. Therefore, in order to overcome the problem of stretcher strains, the steel sheet is given a small cold reduction in thickness in the range 0.5% to 2.0% (as illustrated in Figure 8.13) immediately before the forming operation so as to avoid the recurrence of yield point. This figure shows that the material is elongated to a point P by a cold reduction process called skin rolling. The stress- strain curve for skin rolled material then (/) (/) ~ U) Skin rolling 0 becomes O'PQ. This curve does not show FIGURE 8.13 a distinct yield point to give the yield point phenomenon or the problem of stretcher strains. p a Fracture O' Strain Stress-strain curve for low carbon steel showing the effect of skin rolling on tensile curve. After skin rolling the curve is described by O'PQ. @Seismicisolation @Seismicisolation
  • 263.
    236 Mechanical Behaviourand Testing of Materials Two mechanisms have been proposed to explain the yield point phenomenon shown by some ductile materials: (i) In metals containing small amount of impurity atoms, the upper yield point is associated with the release of dislocations which were locked up with impurity atoms due to strong elastic interaction between them. The stress corresponds to the upper yield point is the stress required to tear dislocations away from their impurity atmospheres. The stress corresponding to the lower yield point is the stress required for unlocked dislocations to move through the lattice and cause heterogeneous deformation. (ii) A yield drop is also exhibited by some materials which are almost free of impurity atoms or which contain only a few dislocations. In such materials, the above proposed mechanism of impurity interaction with dislocations is no longer applicable, i.e. the theory of dislocations yielding cannot be applied. Materials, such as semiconductor grade germanium, high purity lithium fluoride (LiF) and copper whiskers show a distinct yield point though the amount of impurities present in them is not sufficient to anchor dislocations. In these materials the principal mechanism of yielding is related to the very strong stress sensitivity of dislocation velocity [see Eq. (8.41)]. Detailed description of these mechanisms has been summarized in the following paragraphs: The first mechanism of yielding was originally observed in low carbon steels (typically the mild steel that contains about 0.20% carbon). Later on this mechanism was also found in some polycrystalline materials such as Mo, Ti and Al alloys and in single crystals of Fe, Cd, Zn, a- and ~brass and aluminium. Discontinuous yielding in these materials is caused by the presence of a small amount of foreign atoms (such as carbon and nitrogen). These atoms, because of their small size, tend to occupy interstitial sites in the crystal lattice of the concerned metal. However, the size of the interstitial site is less than that of the impurity atom therefore these atoms fit-in only tightly and produce large amount of localised strains in the lattice. In order to minimise the distortion of the lattice, the foreign atoms (i.e., the atoms other than the host atoms or the so called impurity atoms) tend to move to vacant sites in the lattice or to the regions of high energy where larger room is available for them. One such high energy region is a dislocation. In vicinity to an edge dislocation the atoms are in a state of compression above the slip plane and are in a state of tension below it. When it is viewed isometrically, it looks like a pipe (called dislocation pipe) pierced through the lattice of metal. On the basis of calculations it has been found that the diameter of dislocation pipe is larger than the diameter of an interstitial hole. Many of the interstitial foreign atoms (or solute atoms when added intentionally) therefore, tend to occupy positions just below an edge dislocation so as to minimise the overall energy of the crystal. These foreign atoms are more comfortable in such sites. These atoms line up below edge dislocations and form a bond with matrix atoms (iron atoms in case of mild steel) along dislocations as shown in Figure 8.14. As a consequence the energy of the dislocations is also minimised. Thus, these foreign atoms anchor dislocations and restrict their motion. Such a line of foreign atoms is called an atmosphere and more popularly the Cottrell atmosphere after the name of the inventor A. H. Cottrell. @Seismicisolation @Seismicisolation
  • 264.
    Atmosphere of foreign atoms TensileBehaviour 237 FIGURE 8.14 Partially cut section of a crystal showing a row (BB') of foreign atoms (also called atmosphere of solute atoms) below the edge dislocation line AA'. Most dislocations in mild steel are locked by the atmospheres of carbon or nitrogen (if present) atoms. Though BCC structure of ferrite in mild steel provides sufficient number of slip systems to deform plastically at low stress yet a higher stress is required for yielding to begin in this material. This is because of the pinning of dislocations with the atmosphere of interstitial foreign atoms (such as carbon and nitrogen atoms) which prevent them to move. Accordingly, a large magnitude of stress is required to break the dislocations away from the solute atmosphere so that they can move and produce yielding. Once the applied stress attains this critical value, the anchored dislocations tom away suddenly from the solute atmosphere and move freely. Once dislocations are made free, their motion needs lower stress. Thus, a higher stress is required to initiate yielding but a lower stress to continue it. These stress values are corresponding to the upper and lower yield points, respectively as shown in Figure 8.11. Impurity locking is a very special case of yield point behaviour as this effect is not shown by all materials. According to modem concept, yield point is a very general phenomenon and is found even in those materials which are almost free of dislocations and impurities. For instance, yield point behaviour has been shown by high purity, polycrystalline annealed BCC iron containing essentially no interstitials. The nature of the flow curve in tension for such a material is shown in Figure 8.15. This tensile curve is obtained at conventional testing machine strain rates and at temperature slightly less than the ambient temperature (the temperature of surrounding which may vary from about -40°C in polar region to +50°C in tropical regions). As load is applied uniaxially, the iron first deforms elastically, and the strain is highly restricted in the elastic range as is apparent from the slope of the curve (steep slope). It is followed by a pre-yield microstrain during which dislocations move in a few grains, presumably at stress concentration points such as fillet or at the grips. Since in the initial stages, the number of mobile dislocations is small (the mobile dislocations are predominantly edge dislocations which move at low stresses), these cannot move sufficiently fast to produce the required strain rate for deformation. In order to maintain @Seismicisolation @Seismicisolation
  • 265.
    238 Mechanical Behaviourand Testing of Materials Cl) Cl) ~ ?ii Preyield microstrain Yield drop ~Ir-Yield propagation I I I I I I , - , I I I I I ~ I I Strain hardening Strain ------ FIGURE 8.15 Typical stress-strain curve of polycrystalline BCC iron in uniaxial tension. the strain rate (£) of lattice deformation equal to that of the testing machine, the velocity of the dislocations must increase in accordance with the following relationship: i:=bpv (8.40) where, p is the density of mobile dislocations, b is the Burgers vector of the dislocations and v is the velocity of dislocations. However, the velocity of dislocations is proportional to the shear stress in accordance with the expression: (8.41) where, r is the shear stress resolved on the slip plane, r0 is shear stress corresponding to the unit velocity of dislocations and m is the index of material which varies from 1 to 60 depending on temperature. So the stress must increase to move dislocations fast and maintain strain rate to be constant so as to equalize with strain rate of the machine. With rise in stress, the available edge dislocations are exhausted. Macroscopic yielding then depends on the motion of screw dislocations, which in turn results in dislocation multiplication by the mechanism of double cross-slip as illustrated in Figure 4.18. As dislocation multiplication occurs, these (dislocations) also move faster until eventually the strain rate of crystal equals the imposed strain rate. An increase in dislocation density still continues and their velocity must decrease to maintain constant strain rate in accordance with Eq. (8.40). Accordingly, stress must drop. This limiting value of stress where a drop occurs can be correlated to the appearance of the upper yield point on the tensile curve of the material (Figure 8.15). In a limited volume of the tensile specimen, the localised strain rate exceeds that of the machine and a sudden decrease in applied stress occurs. The stress at which appreciable yielding occurs can be correlated to the appearance of lower yield point on the tensile curve of iron. In the region of yield propagation the band of highly localised deformation spread from one or several localised points until they spread along the entire gauge length of the specimen. Thereafter strain hardening begins. @Seismicisolation @Seismicisolation
  • 266.
    Tensile Behaviour 239 Thus,a smaller initial number of mobile dislocations, a rapid dislocation multiplication under stress and a strong stress sensitivity of dislocation velocity are the factors that give rise to a pronounced yield point in conventional stress-strain curve obtained from the tensile testing machine. It has been found that the appearance of a sharp yield drop depends upon the rate of loading (or indirectly the strain rate), very careful axial alignment of the specimen, the use of specimen free from stress concentration and testing at room temperature (the ambient temperature). A high strain rate or a low temperature may give rise to yield point phenomenon. 8.7 IMPORTANT VARIABLES AFFECTING TENSILE PROPERTIES 8.7.1 Effect of Gauge Length Ductile materials show significant plastic deformation under sufficient magnitude of applied stress, prior to fracture. If a tensile specimen of such a material is examined after fracture, it can be noticed that the elongation, in general, decreases progressively on either side of the fracture as illustrated in Figure 8. l6(a). It is apparent from this figure that the localised elongation is maximum at the fracture and the effect reduces on either side of it. This also indicates that the overall elongation up to fracture is composed of two components, namely, the uniform plastic extension that occurs before the onset of necking or plastic instability condition and the localised nonuniform elongation that occurs after the beginning of necking as shown in Figure 8.3 and Figure 8.8. The uniform extension depends on the strain hardening characteristic of the material which in turn is influenced by material condition through n [see Eq. (8.33)]. The localised deformation in the neck, on the other hand, is greatly affected by the gauge length of the specimen. Figure 8. l6(b) illustrates that the shorter the gauge length more will be the influence of the localised extension on the total extension of the gauge length. The overall extension can be expressed as: Distance along specimen (a) C B A C: .Q -; Cl C: 0 di ~ E ::s E ·x ro ~ (8.42) 80 60 40 20 0 0 Gauge length ------ (b) FIGURE 8.16 Elongation along gauge length. (a) The elongation is uniform up to the onset of necking (C). Further deformation is localised in necked (D & E). A, B, C, D and E are the levels of stress, (b) Influence of gauge length on total extension. @Seismicisolation @Seismicisolation
  • 267.
    240 Mechanical Behaviourand Testing of Materials where, a is the local necking deformation, eu is the uniform strain, L0e,, is the uniform elongation. Using the above equation, the strain at fracture can be written as: a e, =- + eu (8.43) Lo Thus, the overall elongation is a function of the gauge length. The shorter the gauge length, the higher will be the percentage elongation due the greater contribution from localised deformation. This is the reason why it is recommended to specify the gauge length while reporting the percentage elongation. 50 mm is the commonly used commercial gauge length for tensile tests. The local extension produced is, however, independent of the gauge length, but it varies with the area of cross-section of the specimen. Thus, it can be said that if the gauge length of the specimen is increased, the effect of necking on the elongation is decreased. For cylindrical specimens, a constant ratio of gauge length to diameter produces constant percentage elongation provided the specimens are from the same quality stock of material. According to ISO recommendation, the L0 I,JA; ratio is maintained to be 5.65. For other shapes, the gauge length is made proportional to ,jA; i.e. L0 =k,JA;. 8.7.2 Effect of Size of the Specimen In general, if the metals being tested are of uniform quality, and the specimens are geometrically similar, the size of the specimen has no significant effect on tensile test results. However, during processing of a metal, the quality may vary with the size or the massiveness of the product or the piece produced. Usually, a larger specimen is fabricated from a massive stock produced by, say, hot rolling so that minimum material is required to be removed during its fabrication to the standard dimensions. Similarly, a smaller size specimen produced from less massive (lower diameter) stock produced by hot rolling. The test results for such different sized specimens may reflect the effect of massiveness on properties. A massive hot rolled stock is cooled slowly than a less massive hot rolled stock. The cooling rate will affect the microstructure and hence the properties of the specimen. Usually the larger size specimen will show poor strength properties than the smaller size specimen of the same material. Similarly, the variation in properties is observed in cast bars of metals of different sizes. Smaller diameter cast bars cool faster than larger diameter cast bars. In a tensile test, as-cast bar of 30 mm diameter, as-cast, has been found to have a tensile strength half as great as the average value shown by a 6.25 mm diameter bar, of the same material in the as-cast condition. The difference in the strength value arises due to a difference in cooling rates of the two bars that yield different microstructures. Thus, there is indirect effect of size of specimen on the tensile properties of a material. @Seismicisolation @Seismicisolation
  • 268.
    Tensile Behaviour 241 8.7.3Effect of Form of the Specimen The form of specimen greatly affects the strength and ductility properties of a ductile material. The tensile specimens of a ductile material having shoulders or fillet at the end of the gauge length can have different length to diameter ratio. A piece under test may have a notch without any fillet, a hole or curved sides of the specimen. All these shapes may affect the tensile strength and ductility of the material. A majority of tensile specimens have a fillet at the end of the gauge length as shown in Figure 8.17 (A, B, C). So the effect of gauge length to diameter ratio on strength and ductility is discussed here. The discussion also includes the influence of notch in the specimen. A B C D E d L cf =0.5 L cf =0.1 FIGURE 8.17 Tensile specimens with reduced sections. Figure 8.18 shows the effect of length to diameter ratio (LID) of specimen on percentage elongation and percentage reduction in area. It can be seen that for specimens with LID ratio greater than 2, the reduction in area is independent of this ratio. However, for the ratio smaller than 2, reduction in area decreases rapidly and in extreme case becomes zero. This is because of the fact that as LID ratio decreases, the enlarged fillet portions come closer together and put lateral restraint against the reduction in area. That is, the enlarged ends add to the resistance against shearing deformation. Similarly, percentage elongation curve does not continue sharply upward to the left (as shown by the dotted line) with decreasing LID ratio. Instead, it drops rapidly to zero as LID ratio tends to zero. Figure 8.19 shows that as LID ratio reduces from 3 to 1, the segment of the tensile curve beyond the maximum stress [curve A to C through B] becomes longer. As the gauge length is still shortened, the curve is raised but shortened with respect to strain (as shown by the curves D1, D2 and D 3, respectively). This is because the enlarged ends give support to the reduced gauge section against deformation. Finally, the specimen E with zero gauge length (LID = 0) gives a high strength with very little deformation. The specimen with zero gauge length is analogous to a notch in the specimen without a fillet. A notch is a sharp change in cross-section which has a large effect on the mechanical properties of metals. A notch in a specimen is similar, in effect, to actual machine components of intricate shape, with through holes, threads, etc. or to internal defects in a metal in the form of various @Seismicisolation @Seismicisolation
  • 269.
    242 Mechanical Behaviourand Testing of Materials l 160 <11 2! <11 0 120 C: 0 n Reduction of area ::, "O 80 2! "O C: <11 C: 0 40 ~ C> C: Ela gation .Q w 0 0 2 4 6 8 10 12 Length to diameter ratio FIGURE 8.18 Variation in ductility with length to diameter ratio of the tensile specimen. E Strain ------ FIGURE 8.19 Stress-strain curves for various length to diameter ratios (Figure 8.17). discontinuities such as nonmetallic inclusions, graphite flakes in cast iron, cracks etc. The two major effects due to the presence of notch are: (i) A notch causes nonuniform distribution of stresses and thus leads to stress concentration at the root of the notch. (ii) A notch suppresses the drawing out of the reduced section, owing to the support provided by mass of the adjacent larger section. The former tends to increase the conventional strength but reduces the ductility of the material. The latter tends to cause a reduction in apparent strength and this is very pronounced with brittle materials which possess little elongation up to rupture. This effect in a ductile material can be realised from a comparison of strength of a standard specimen with that of a grooved specimen of the same material having the same diameter of the gauge portion. The diameter of the gauge portion in the grooved specimen is same as at the root of the groove (Figure 8.17). The tensile strength of a standard tensile specimen of a ductile material, for instance, determined to be 715 MPa. The same material when tested with a groove of the same @Seismicisolation @Seismicisolation
  • 270.
    Tensile Behaviour 243 diameteras that of the standard specimen and with the gauge length of 0.7 mm, the tensile value obtained is 1145 MPa. Both values are computed in the same manner. In the latter specimen, the usual deformation and reduction in area are prevented whereas the increase in strength is more than compensating for decreasing effect of high stress concentration at the root of the groove. In a brittle material, where elongation is of little consequence, the groove would have caused a decrease in strength. 8.7.4 Effect of Strain Rate The strain rate, i.e. the rate at which a specimen is strained, is an important consideration in the production, fabrication and testing of the material. This rate can have an important influence on the tensile properties, in particular, the flow stress of a material. In a conventional tensile test, the deformation rate is imposed in accordance with the specifications. However, during actual shaping processes, economics prescribes that the deformation should be as rapid as possible. Under these different conditions, the mechanical response of a given material may vary. For most of the ductile materials, strength properties tend to increase while ductility shows reducing trend at higher rates of deformation. In terms of the nature of tensile curve, the curved portion of the tensile curve shifts upwards as well as towards the left with increasing strain rate as shown in Figure 8.20. Yield and flow strength at lower plastic strain are more dependent on strain rate than tensile strength, in particular, in BCC metals. A material which behaves in a ductile manner at relatively slow strain rate (as in tensile testing) tends to behave in a brittle manner when strain rate is high (about 102-104 per second). At low strain rates (less than about 10-4 per second), the behaviour of a material is characterised by creep. Over the range of strain rates (l0-3-10-4 per second) used in tensile testing, a moderate variation has a fairly small effect on tensile properties. It can be made clear by taking an example. When a specimen of steel was tensile tested at a strain rate eight times that of the conventional value, the increase in yield strength was found to be about 4%, the tensile strength by about 2%, whereas percentage elongation is decreased by about 5%. Within the normal rates of loading, the variation in strain rate has little effect on strength of the brittle materials such as cast irons. 8.7.5 Effect of Temperature (/) (/) ~ U) FIGURE 8.20 Strain_____. Effect of strain rate on tensile curve. In general, elastic modulus and strength decrease while ductility increases as the temperature of the material increases. That is why the tensile curve gets lower down with increase in temperature. The decrease in strength of a material at high temperature can be correlated to the following thermally activated processes: (i) High atomic mobility (ii) Increase in equilibrium number of vacancies @Seismicisolation @Seismicisolation
  • 271.
    244 Mechanical Behaviourand Testing of Materials (iii) High atomic diffusion rate (iv) High mobility of edge dislocations by the process of climb (v) Thermally activated cross-slip of screw dislocations (vi) Additional slip systems become active in some materials to provide slip (vii) Recrystallisation of cold worked metals (viii) Strain ageing (ix) Coarsening of precipitated phase particles in precipitation hardened alloys (x) Oxidation at grain boundaries Thermally activated processes as mentioned above assist deformation and reduce strength at elevated temperatures. Structural changes that occur at high temperatures lead to the pheno- menon known as creep. Figures 8.2l(a) and (b) show the effect of temperature on tensile curves. 73 K (-200"C) 298 K (25 "C) Strain--- (a) 673 K (400 "C} 1/) 1/) ~ cii "O ai ;:;: Strain--- (b) FIGURE 8.21 Effect of temperature on tensile curves (a) Mild steel, (b) A non-ferrous metal. The magnitude of variation of tensile curve with temperature depends on the type of material. BCC metals such as a-iron, Cr, Mo, W and ceramic materials are much more sensitive to temperature variation than FCC metals. For BCC metals, yield stress increases rapidly with decreasing temperature while for FCC metals, yield stress is only slightly affected by change in temperature as shown in Figure 8.22. The increase of yield stress with lowering temperature can be correlated to the lattice frictional stress (also known as Peierls-Nabarro stress, and is defined as the stress required to move a dislocation through a perfect lattice. It arises because of the periodic nature of the lattice). Lattice frictional stress is highly sensitive to temperature and increases rapidly by lowering temperature. This also explains why BCC metals exhibit brittle fracture at low temperatures. @Seismicisolation @Seismicisolation
  • 272.
    Tensile Behaviour 245 980 840,Ta l 700 <ll Q. 560 ~ (/) <I) 420 ~ <ii "C Fe "ii 280 > Ni 140 ' ,,. .,, w 0 73 273 473 673 873 1073"K -200 0 200 400 600 800'C Temperature - FIGURE 8.22 Effect of temperature on the yield stress of some BCC metals and FCC nickel. If yield stress of a metal is highly sensitive to temperature, it will also be highly sensitive to strain rate. For instance, the yield stress for iron at room temperature and at a strain rate of l05 per second is as high as it is at - l96°C at conventional slow strain rate used in tensile testing. In both instances, the mechanism of plastic deformation changed from slip to twinning and thereafter the yield stress remains constant. @Seismicisolation @Seismicisolation
  • 273.
    Hardness Testing 9.1 INTRODUCTION Amaterial is said to be hard or soft depending on how difficult or easy it to be machined, cut or ground. Hardness is such a property that acts as a tool characterizing various mechanical properties of materials. Hardness has a close relation with many other mechanical properties such as strength, ductility and fatigue strength of materials and therefore its value is used as a guide to the interrelated properties. Compared with other mechanical tests, hardness tests are rapid, simple, and relatively cheaper. This is especially because a specimen of specific geometry is not required to be fabricated. With few exceptions, hardness testing is nondestructive in nature. Since hardness is also correlated to strength property for many materials, its measurement gives an idea of such property. Therefore, hardness testing is widely accepted by industries. The term hardness, when used as a technological property of materials, is primarily associated with the surface and is difficult to define precisely. An appropriate definition of hardness can be given as the resistance of a material against permanent deformation of its surface. This deformation can be in the form of scratching, mechanical wear, indentation or cutting. Cutting hardness indicates the machinability or workability of a material. Various methods have been standardised to measure the hardness of materials depending on the way in which they were stressed. If a material is stressed by scratching, the test is called scratch hardness test; if stressed by indentation, the test is called indentation hardness test; if stressed by impact (as by falling a small hammer), the test is referred to as dynamic hardness test or the so called rebound hardness test if the hammer rebounds after making the impact. 246 @Seismicisolation @Seismicisolation
  • 274.
    Hardness Testing 247 9.2SCRATCH HARDNESS Scratch hardness test is the oldest method of hardness measurement. It is based on the ability of a material to get scratched by the other material. The material on which the scratch is left is softer than the other. In order to express scratch hardness, Mohs devised a numerical scale consisting of ten minerals arranged in the order of increasing hardness from 1 to 10. Diamond is rated on the hardest of scale with a Mohs hardness of 10 and talc as the softest with Mohs hardness of l(one). This scale is still in much use especially in case of minerals. For measuring the hardness of a given material its surface is scratched by a testing point of the standard mineral starting with the softest. When the testing point moves on the surface of the material under a testing load, material is removed from the surface. If the scratch is produced by plastic flow of material under load (as if the material is ploughed), the test resembles the indentation hardness test. When the material is torn away and no plastic flow occurs, the test is considered as abrasive hardness. The mineral in the scale which just produces a scratch in the workpiece (the material under test) gives the value of scratch hardness. This is commonly called Mohs hardness. However, the steps in the Mohs scale are not of equal value and the difference in hardness between 1 and 2 is much smaller than between 1 and 10. The Mohs scale is not exactly quantitative to give any precise value of hardness and the standards are purely arbitrary numbers. Consequently, metallurgists and materials engineers find little use of this scale though hardness of few metals and alloys can be expressed in Mohs scale. For instance, hardened tool steel has a Mohs hardness lying between 7 and 8, copper has Mohs hardness between 2 and 3, and Armco iron has the same between 3 and 4. Thus, the use of Mohs scale of hardness is limited to geologists and mineralogists. 9.3 INDENTATION HARDNESS Among the various methods of hardness measurement, the indentation methods are the most widely adopted ones not only in engineering industries but also in laboratories. In indentation hardness testing, an indenter of specified geometry (a ball, cone or a pyramid) is allowed to penetrate the surface of the given material under a known static (or sometimes a dynamic) load. As a consequence the material beneath the indenter undergoes plastic deformation. When the load is removed an indentation is left behind on the surface of the material. The hardness is expressed on the basis of the depth or the size of the impression and the load applied. During indentation a small volume of metal deforms plastically both downwards as well as sideways and is supported by the undeformed metal. The stresses involved are somewhat complex and vary from three dimensional compression to shear stress. The tensile stresses involved are insignificant when compared to those involved in other common mechanical testings such as tensile, bending, etc. Thus, it is possible to perform indentation hardness test not only in ductile metals but also in brittle materials such as cast irons and other similar materials. The term hardness is generally used for indentation hardness. Thus, in general, hardness is defined as the resistance of a material to plastic deformation. As mentioned above, hardness is only a surface property rather than an absolute property therefore while interpreting the hardness data one has to be careful, especially when the surface @Seismicisolation @Seismicisolation
  • 275.
    248 Mechanical Behaviourand Testing of Materials hardness is different from the bulk. For instance, in case of surface hardened components the hardness in the surface is different from that in the bulk. If not specified, the measured hardness usually represents the value of the tested material as a whole, i.e. it is the hardness value of the material from surface to the interior. Materials having heterogeneous structure are recommended to be tested with an indenter of spherical geometry and large diameter. A large diameter ball deforms more volume of the material thereby covering larger area comprising all phases and structural inhomogeneities of the alloy. The hardness so obtained is averaging the hardness of matrix and the localised heterogeneity and represents the bulk characteristic of the metal. In case of homogeneous materials, on the other hand, even a small volume of deformed metal represents the bulk characteristic of the metal. In such cases a hardened steel ball of small diameter or a pointed indenter can be used to measure hardness of the metal. For accuracy in the evaluation of hardness, specimen surface must be made smooth or polished irrespective of the method of hardness testing used. The degree of finish required depends on the depth of indentation. A better surface finish is desirable as the indentation tends to be shallow. This can be achieved by preparing the surface to a standard metallographic polish, i.e. by abrading the specimen with successively finer grades of emery paper/cloth to 3/0 grade. Such a finish would be adequate for most hardness tests and more than adequate for a standard 10 mm Brinell ball. A still better finish is required in microhardness tests where a small size of indentation is obtained using low load. The use of a minor load or preload makes the role of surface finish less critical. Both the surfaces, i.e. surface under test and parallel surface of the specimen, should be flat and normal to the indenter used. Though a good surface finish is important for accuracy in hardness evaluation, one must be aware of the fact that it may introduce the effect of surface work hardening due to machining or polishing on metals, in particular those which are susceptible to work hardening. Therefore for such materials the hardness test involving a reasonable surface finish is advantageous. This is best obtained by electropolishing, a process which does not introduce any surface work hardening in the surface layer. In static indentation hardness testing, the time of loading varies from 15 seconds to 120 seconds depending on the material under test so that complete penetration occurs. A relatively higher loading time is required for softer materials such as lead, magnesium and similar metals. However, an excessively higher loading time for softer material should be avoided to eliminate the problem of creep. For hard materials a lower time period is required for loading because of the shallow indentation. Hardness measurement can be defined on macro, micro or nano-scale according to the forces applied and displacements obtained. Measurement of macro-hardness of materials is a quick and simple method of obtaining mechanical property data for the bulk material from a small sample. This method is widely used in industries for quality control purposes as well as in laboratories for various studies. Hardness measurement is also used to monitor the strengthening process in precipitation hardened alloy. However, in case of surface coatings and surface properties of importance in friction and wear, the macro-indentation depth will be too large relative to the surface scale features. Even to determine the hardness of small components such as watch springs, and to find out the hardness of microconstituents in a non-homogeneous material macro-hardness measurements cannot be used. In such cases micro-hardness @Seismicisolation @Seismicisolation
  • 276.
    Hardness Testing 249 measurementsare appropriate. There are three standard static methods of macro-hardness measurements that are in common use. These are Brinell, Vickers and Rockwell hardness tests. These are described in subsequent sections. 9.4 BRINELL HARDNESS TEST The hardness of metals was first clearly defined by Brinell in the year 1900. It is oldest method of indentation hardness test. This method of measuring the hardness is based on the measurement of size of impression made by a hardened steel ball of 10 mm diameter under a known static load (usually 3000 kgf). The Brinell hardness (HB) is the ratio of load P to the surface area of indentation and is expressed quantitatively in number (without unit) known as Brinell hardness number: Load Brinell Hardness Number (BHN) = - - - - - - - Area of indentation p =A (9.1) Here A, is the area of contact between the ball and indentation. If deformation of the ball during indentation is neglected, the surface of contact is a spherical segment, whose area is given as: or A =.!__nD2 D A= 7r/Jt (9.2) where, D is the diameter of indenter and t is the depth of impression. Since the depth t can only be measured with great difficulty therefore diameter d of impression is measured instead of t. The diameter of impression should be the average of the two readings measured at right angles. In addition, the depth is affected to a much greater extent than the diameter by elastic recovery of the metal when load is removed. In standard Brinell testing therefore diameter of indentation is measured. From the geometry shown in Figure 9.1, we get D - ✓D2 - d2 t=--~--- 2 (9.3) Substituting the value of t in Eq. (9.2), Brinell hardness is given as: 2P HB =-------;====-kgf mm-2 nD (D - ✓D2 - d2 ) (9.4) Brinell has found that when loads other than the standard 3000 kgf are used to measure the hardness of a given material with 10 mm diameter hardened steel ball, the hardness values so obtained were not the same. Even when indenters of different diameters (such as 1, 2, or 5 mm) are used under a standard load, a variation in hardness was observed for a given material. The reason for this is that the impressions obtained with different loads or different diameter balls were not geometrically similar. For indentations to be geometrically similar, the included angle @Seismicisolation @Seismicisolation
  • 277.
    250 Mechanical Behaviourand Testing of Materials 2</) subtended by the indentation edge at the centre of the ball (Figure 9.l) should remain constant. Under the condition of geometric similarity, the stress distribution pattern would be the same but strain will increase with the size of the balls. This has been found to be true provided the load applied; P is proportional to the square of ball indenter diameter D . Thus, the basic principle involved is that when indenters of different diameter are used to press into the specimen under a fixed static load, similar geometrical impressions having proportionate diameters are produced which give the same value of hardness provided the load applied is proportional to the square of ball diameter, i.e. or or 0 Specimen FIGURE 9.1 Determination of area of spherical indentation ACB. The angle subtended by the edge of the indentation at the centre 'O' of the indenter is 2<p. p ex: D2 (9.5) P = KD2 _!__=K D2 (9.6) Here K is called Load Factor, the value of which is different for different materials depending on their hardness. Table 9.l gives the value of K for different materials in accordance with the Indian standard. These constants are decided so that the ratio of diameter of indentation d to the diameter of indenter D (i.e. d/D) should lie within the limits 0.25 and 0.50 for metals. The ideal value is 0.375. This ensures that the impressions are reasonably geometrically similar and Brinell hardness of various materials can be reasonably related to each other. Thus, Brinell hardness is dependent on load. This is further clear from the following treatment: Meyer stated that for spherical indenters the load does not always vary as the square of the linear dimension of indentation d but is expressed as: P = NJn (9.7) where, n is called the Meyer's index and its value is 2 for hard materials and 2.5 for soft materials. A is Meyer constant. TABLE 9.1 Value of K for various materials in Brinell hardness test Materials K Load Time of loading (sec.) Unhardened steels and cast irons 30 3000 10-15 Copper, copper alloys, aluminium alloys and materials of similar hardness 10 1000 30 Aluminium and materials of similar hardness 5 500 45-60 Lead, tin and their alloys 100 60 @Seismicisolation @Seismicisolation
  • 278.
    Hardness Testing 251 Ifthe value of P from Eq. (9.7) is substituted in the formula for BHN [Eq. (9.4)] the diameter of impression d does not cancel out. This suggests that the Brinell hardness is dependent on the load used. In general, the diameter of Brinell impression should lie between 0.25D to 0.50D. The ideal value is 0.375D. In terms of load factor, the Eq. (9.4) can be written as: HB=3_(_!__) l kgfmm-2 7r D 2 (1- ✓1 - d2 I D2 ) (9.8) There is a very useful engineering correlation between Brinell hardness and ultimate tensile strength and endurance limit of various metallic materials as shown in Tables 9.2 and 9.3, respectively. A similar correlation does not exist between yield strength and Brinell hardness because considerable plastic deformation occurs during indentation as prior to ultimate tensile point. The interrelation between Brinell hardness and tensile strength or fatigue strength, however, give only approximated values and it does not mean that Brinell hardness test may replace these tests. While giving Brinell hardness value mentioning is usually made for the value of load and the diameter of indenter used. This method is now standardized for materials up to 450 HB. For materials harder than 450 HB, the steel ball whose hardness in the Vickers scale is greater than or equal to 850 kg mm-2 tend to deform plastically. TABLE 9.2 Relationship between BHN and ultimate tensile strength for some metals and alloys Materials Steel with BHN: 20-175 175-450 Copper, brass and bronze: Annealed Work-hardened Aluminium and its alloys: With BHN 20-45 Annealed duralumin Duralumin after age hardening Approximate tensile strength, MPa 3.4 (BHN) 3.5 (BHN) 3.5 (BHN) 4.0 (BHN) (3.5-3.6) (BHN) 3.6 (BHN) 3.5 (BHN) TABLE 9.3 Relationship between BHN and endurance limit (determined by alternating bending test) for certain materials Materials Copper Duralumin Steel with 0.2% carbon Steel with 0.45% carbon Steel with 0.77% carbon Approximate endurance limit, MPa 1.5 (BHN) 1.2 (BHN) 1.5 (BHN) 1.5 (BHN) 1.2 (BHN) @Seismicisolation @Seismicisolation
  • 279.
    252 Mechanical Behaviourand Testing of Materials The greatest error that may be encountered in the evaluation of Brinell hardness is the deviation in the measured diameter of impression from the actual one. This is caused due the localised deformation of the metal at the rim of impression. The localised deformation may result in two types of irregularities in the indentation, namely, ridging or sinking in. Ridging involves the pile up of metal at the rim of the impression during indentation. The diameter of this impression is more than the actual diameter (i.e., the diameter of impression when the indenter in contact with the test piece). This is illustrated in Figure 9.2(a). On the other hand, if there is a depression or sinking of metal at the rim of the impression, the irregularity is called sinking in. In this case the diameter of impression read out is less than the actual diameter obtainable in the absence of the said irregularity [Figure 9.2(b)]. In either case there will be error in the computed hardness value. The former behaviour has been found commonly in cold worked metals whereas the latter anomaly is characterised by annealed metals. Error may also result due to flattening of the steel ball indenter under load, particularly when material under test has hardness greater than 400 BHN. For this reason the indenter should be checked frequently for plastic deformation. If found flattened the indenter must be discarded. It is preferred to use steel (high carbon steel) indenters which are hardened and tempered to a minimum hardness of 850 kgf mm-2 in the Vickers scale. This reduces the tendency of flattening of indenter. For materials having hardness greater than 450 BHN, a tungsten carbide ball indenter of 10 mm diameter can be used. Using tungsten carbide indenter material having Brinell hardness as high as 800 BHN can be measured. ~ ,T?""TTT'f'-C- - - -- - ------------,, --rr,777, (a) (b) FIGURE 9.2 Illustration of 'ridging' and 'sinking in'. (a) Ridging, d' > d, (b) Sinking in d' < d. 9.4.1 Precautions (i) The surface of the specimen should be made free from dirt, oil, scale or pits before the test is performed. It should be polished to obtain a sharp impression which can be read with ease and accuracy. Metallographically polished surface is specially needed for hard materials as indentation produced in their surface is small. In such case even a small error in the measurement of diameter will greatly affect the hardness value. (ii) The specimen surface should be flat and normal to the indenter. (iii) The thickness of the work piece must be at least ten times the depth of indentation to avoid the formation of any bulge on the reverse side of the work piece. Occurrence of any bulge on the reverse side may give the anvil effect in the measured hardness. @Seismicisolation @Seismicisolation
  • 280.
    Hardness Testing 253 (iv)The distance of separation between any two adjacent indentations should be at least two to three times the size of indentation. Similarly, an indentation should not be made very near to the edges of the sample and it should be well within the edges so that sufficient volume of material underneath indentation is available to support the plastically deformed metal. If the second indentation is too close to the first, sufficient supporting material will not be available for this indentation, and therefore, it may be distorted. As a consequence, the second indentation diameter will not be correct one. If the separation of the second indentation with respect to the first is such that their strain fields overlap, the second indentation will give a greater hardness due to work hardening effect resulted from the first impression. (v) The test is designed for static loading so load should be applied gently. An impact or rapid loading will add an extra load to the nominal load resulting in inertia of the piston and weights, the friction of the plunger. This will increase the size of the impression. An opposite kind of effect may also occur due to rapid application of load. A sudden loading will allow less time for plastic deformation to take place and thus will result in a lower size indentation. The inertia effect is generally of greater magnitude than the restricted plastic flow. Thus too rapid loading leads to wrong results and may damage the indenter. (vi) Thin hard components should not be tested on Brinell machine for the reasons explained in the above points. 9.4.2 Advantages and Applications of Brinell Hardness Test (i) Brinell hardness test is easy to perform. (ii) It makes use of a hardened steel ball of relatively larger diameter (as large as 10 mm) which is very suitable for determination of hardness of heterogeneous materials such as grey cast iron containing very soft graphite flakes in the hard matrix. Dispersion strengthened material with Brinell hardness up to 450 BHN can also be examined successfully using Brinell method. Brinell test is also suitable for unhardened steels and nonferrous metals and alloys. (iii) Rechecking of hardness data is possible on indentations already made. (iv) This test can be used to estimate the approximate values of tensile strength and endurance limit of certain metals and alloys. Due to their shape and size, these materials cannot be tested conveniently or economically by destructive tensile or fatigue tests, respectively. Moreover, tensile and fatigue tests need specimen of standard geometry which in turn requires to be fabricated thereby consuming more time and energy. Sometimes knowledge of these properties is required for investigation of a broken component to access the reasons of its premature failure and the size of the broken piece is so small that a tensile or fatigue sample cannot be fabricated out of it. In such cases a sample can be prepared for hardness test, and the measured hardness can be used to estimate the tensile or fatigue strength value using the numerical correlation between them. (v) Brinell hardness is a function of carbon content in steels. Therefore, this method provides a rapid estimation of approximate carbon content in steels. @Seismicisolation @Seismicisolation
  • 281.
    254 Mechanical Behaviourand Testing of Materials 9.4.3 Disadvantages of Brinell Test (i) The Brinell hardness number is dependent on load. Only those values of loads can be used which are given in Table 9.1 in accordance with the constant value of PID2. (ii) Hardened steels and surface hardened steel components cannot be tested by this method because of the limited range of hardness that can be measured by this method due to fear of flattening of indenter. (iii) Large size of impression is not desirable in certain components especially for the smaller and thin components. Moreover, deep and large indentations spoil the surface of the finished product. 9.5 VICKERS HARDNESS TEST Vickers hardness test is the most accurate method of hardness measurement. This method incorporates the advantages of both Brinell and Rockwell hardness (to be discussed) tests and overcomes the disadvantages associated with these tests. A greater range of load from 1 kgf to 120 kgf can be employed and there is no limiting range of hardness measurement in this method. Here, a diamond pyramid indenter of square base and a smoothed-off point is used. The angle between the opposite faces of the pyramid is chosen as 136° so that geometrically similar indentations are obtained at all loads on a given material. The hardness is thus independent of load. The selection of this angle is made with a view to approximate the most desirable ratio of indentation diameter to ball diameter (d/D = 0.375) in Brinell hardness test (Figure 9.3). This angle is the tangential angle of Brinell spherical impression whose diameter is 0.375D so that Vickers hardness number are substantially identical with Brinell hardness number up to about 300 to 400 HB. Consequently, provision can be made to perform both the Brinell and Vickers hardness tests in the same machine by just changing the indenter and applied loads. Since Vickers hardness is independent of load a range of hardness value can be obtained by varying the load suitably. FIGURE 9.3 Determination of the angle of the apex of the diamond pyramid indenter for use in the 136° diamond pyramid hardness test. When Vickers indenter is pressed into the work piece under a fixed static load, a pyramidal impression is obtained. The impression produced is projected on a focusing screen. The projection of the impression is a square whose diagonal length is measured in two perpendicular directions and averaged out. The Vickers hardness is expressed as the ratio of load applied to the lateral area of impression, i.e. Vickers Hardness (HV) =p kgf mm-2 A (9.9) @Seismicisolation @Seismicisolation
  • 282.
    Hardness Testing 255 Ithas been found that for pyramid indenters the load P as well as the lateral area of impression A are proportional to the square of the length of the diagonal L. Thus, for a given shape of pyramid, and, P = Ji.I} A= f3L2 (9.10) (9.11) where the constant )., depends on the shape of the pyramid and its material while the constant /3 depends only on the shape of the pyramid. From Eqs. (9.9), (9.10) and (9.11), HV can be written as: HV = p = ).,L2 = )., A f3L2 /3 (9.12) Equation (9.12) clearly shows that Vickers Hardness (HV) is independent of both load and the size of impression. Equation (9.12) also tells that within certain limits, HV for a given shape of pyramid, is constant whatever is the amount of load applied. However, at lower values of loads some deviation from this rule may occur and HV becomes somewhat dependent on load. In practice, standard loads for Vickers hardness are 1, 5, 10, 15, 20, 30, 40, 50, 60 and 100 kgf. Nowadays the Vickers machines are designed to use loads up to 60 kgf. The load used is selected according to specimen dimensions and its hardness. In general, the largest possible load is used in order to achieve an adequate size impression whose diagonals can be measured with minimum error. Moreover, the hardness value will be a good average for somewhat heterogeneous materials with larger size impression as the impression will cover both matrix and heterogeneity. The most frequently used test loads are 5, 10, 30 and 50 kgf. Vickers hardness is popularly reported as Vickers hardness number (VHN) and often as diamond- Pyramid hardness number (DPH) or Vickers-Pyramid hardness number (VPN). Sometimes, it is also reported as, say 800 HV/10, which means a Vickers hardness of 800 kg/mm2, was obtained using a load of 10 kg force. 9.5.1 Derivation of Vickers Formula The lateral surface area A of the pyramidal impression is the sum of the areas of the four triangular faces. This can be determined with the help of Figure 9.4. From the geometry shown in this figure the area of a triangular face ABC is given as: The lateral surface area is given as: 1 MBC=-aS 2 Area (A)= 4(½as)= 2aS (9.13) where, a is one of the sides of the projected square impression or is the base of one of the triangular faces and S is the slant height. The length of the diagonal L is given as: L= ✓ 2a (9.14) @Seismicisolation @Seismicisolation
  • 283.
    256 Mechanical Behaviourand Testing of Materials I (a) i A p 0 Q c~----~ I· a12 ·I The angle PAO= 136° The angle between slanted face and the vertical is PAO= 68° (c) FIGURE 9.4 Determination of lateral area of Vickers indentation. (a) Indenter in contact with the specimen, (b) The projected indentation, and (c) The enlarged view of pyramidal indentation after inverting. S indicates slanted height. The height of the triangle is the slant height S and is given as: a/2 S=-- sin 68° From Eq. (9.13) to Eq. (9.15), the area (A) can be expressed as: 2L L/2✓ 2 L2 A--------- - ✓ 2 sin 68° - 2 sin 68° The Vickers Hardness Number (VHN) is given as: P P 2P sin 68° VHN=-= = A L2 /2 sin 68° L2 or VHN= 1.854P L2 The precautions in Vickers hardness test are the same as for Brinell hardness test. 9.5.2 Sources of Errors (9.15) (9.16) (9.17) In Vickers hardness test, while measuring the diagonal length, the same sources of errors may occur as in Brinell test. The irregularities like ridging and sinking in are also observed in this test. When a material is difficult to deform plastically due to previous cold working a ridge is formed at the rim of the impression. On the other hand, if the material is soft, as in annealed @Seismicisolation @Seismicisolation
  • 284.
    Hardness Testing 257 condition'sinking in' may result due to depression at the edges of the impression. In the former case the value of L will be smaller whereas in the latter case it will be greater than the actual value when no such irregularity occurs. Accordingly, the hardness obtained will be accompanied with error. Figure 9.5 illustrates the effect of ridging and sinking in on Vickers indentation. 136° ~ I I L' < L (a) 136° ' ' " '~',,,, ',,',,,,',,,/ L' > L (b) FIGURE 9.5 (a) Ridging of a pyramidal indentation. The heavily cold worked metal piles-up at the edges of the impression, (b) Sinking in of the annealed metal at the edges in Vickers hardness test. 9.5.3 Advantages and Applications (i) For homogeneous materials the value of hardness obtained remains constant irrespective of the load applied except at very light loads. (ii) It is the most accurate method of hardness test among the indentation hardness tests. Therefore this method is widely used for research work. (iii) Due to a wide range of load application and the shape of the indenter, materials with very low hardness (say 5 VHN for lead) to as high as 1500 VHN (for tungsten carbide) can be tested with this method. (iv) Since the size of indentation is small, the material component tested can be used for industrial applications, i.e. the test is non-destructive in nature in such cases. (v) This method is very suitable for measuring hardness of thin, superficially hardened materials such as surface hardened components. (vi) With pyramid indenter it is easy to measure the diagonal length of the square impression as compared to a circular impression in Brinell test. The ends of the diagonal are much sharper under microscope than opposite sides of a circle. 9.5.4 Disadvantages (i) Due to more time consuming this method of hardness testing is not suitable for routine work where large number of samples are to be tested, as in industry. @Seismicisolation @Seismicisolation
  • 285.
    258 Mechanical Behaviourand Testing of Materials (ii) This method is not suitable for determining the hardness of materials with heterogeneous microstructure. (iii) Vicker machine is more expensive than Brinell and Rockwell machines, and hence, the overall cost of the test is high. 9.6 ROCKWELL HARDNESS TEST The Rockwell hardness test is the most widely used test in engineering industries, in particular, where mass production is carried out. This test is more rapid than the previous two methods of hardness testing. This method directly gives the value of hardness indicated on the machine dial, and therefore, it is widely used for routine and quick checking of hardness. This test differs from the previous two indentation hardness tests in that the hardness is determined in terms of increment in depth of penetration produced by applying a major load after an initial small load of 10 kgf has been applied. This small load is called minor load. The minor load of 10 kgf is always applied in order to seat the work piece in position, and to overcome the errors that may be encountered due to surface roughness and elasticity of the specimen under test. The major loads used are 60, 100 or 150 kgf depending on the geometry of the indenter and the hardness of the material under test. The major load includes the minor load of 10 kgf. In Rockwell hardness test, two types of indenters are in use. The first being a hardened steel ball of 1/16 inch (1.58 mm) diameter and the other is a spheroconical indenter with its apex angle equals 120° having the rounded tip of radius 0.2 mm. The spheroconical indenter is made of diamond and is commercially known as Brale indenter. Due to geometry, a ball indenter has less sensitivity to penetrate a material than a Brale indenter, therefore, Brale indenter is usually employed to measure hardness of hard materials. Two scales are shown on the dial of the Rockwell machine. The one which is red in colour is designated as B while the other is black in colour and is designated as C. The use of hardness scale depends on the combination of the major load and the type of indenter used. Each scale is indicated by a symbol which denotes the major load and the accompanying indenter as shown in Table 9.4. TABLE 9.4 Combinations of load, indenter and scale of Rockwell hardness test Scale symbol A B C D Indenter Brale (diamond cone) 1.58 mm (1/16") harden- ed steel ball Brale Brale Major load, kgf 60 100 150 100 Dial numeral Black Red Black Black Applications Cemented carbide, thin steel, shallow case hardened steel, case carburizing surface, ceramics and cermets. Hardened and tempered steel, Alloys of copper and aluminium, unhardened steels. Hardened steel, deep case hardened steel, hard cast irons, titanium alloys, and pearlitic malleable iron. Medium case hardened steel, safety razor blade, thin steels, and pearlitic malleable iron. @Seismicisolation @Seismicisolation
  • 286.
    Hardness Testing 259 Thered colour scale is designated as B-scale while black colour scale may be designated as A-, C-, and D-scale depending on the major load applied. The most commonly used scales are the scale B and scale C. The Rockwell hardness, in terms of depth of penetration is defined as: t HR = h - - - = h - 500t 0.002 (9.18) where, h is a constant which depends on the combination of scale, load and indenter used (h = 130 for B-scale and 100 for C-scale) and t is the depth of penetration in mm. Each increment of 0.002 mm, in depth thus, represents a decrease of one unit in the hardness number. The required major load is loaded on the machine by placing auxiliary weights on a pan at the side of the machine. If the hardness number is known one can determine the depth of penetration due to increment of major load over minor load. Dial reading While performing Rockwell hardness test one of the important points to be considered is the correct reading of scale on the dial gauge. The accuracy of the test very much depends upon the reading made on the dial. There are two pointers on the dial gauge, one being longer than the other as shown in Figure 9.6. The operator has to concentrate on the smaller pointer while ' ' ' ::- T I I I I// , 11 B 3 0 1 /, , ' SET 1 1 , «) / / OCKWELL ~ // / FIGURE 9.6 Dial of Rockwell hardness testing machine. @Seismicisolation @Seismicisolation
  • 287.
    260 Mechanical Behaviourand Testing of Materials applying the minor load of 10 kgf. Minor load is applied by raising the anvil on which the specimen is placed. When the indenter starts penetrating the surface of the specimen the minor load is said to be in application. Simultaneously the smaller pointer moves. The anvil is raised until the smaller pointer attains the position '3' on the small dial before which a red dot is placed. At this stage the minor load is said to be applied fully. Reading of the dial is more critical when major load is applied. Before the major load is applied the longer pointer must be set at the Set mark. As the major load is applied, the movement of the longer pointer is to be checked carefully. The extent to which it revolves depends on three factors, viz. the amount of major load applied, the sharpness of the indenter and the resistance to penetration offered by the material under test. This extent may be less or more than a revolution. Therefore, it is not sufficient to read the hardness value by merely observing the final position of the longer pointer on the dial after the major load is removed. It is necessary to observe the entire movement of the pointer starting from the instant the major load is applied until the pointer comes to the rest when the major load is removed. The scale should not only be considered as ranging from 0-100 but one should also take into account the numbers below zero (i.e. the negative number) and those over 100 which overlap with the portion 0-100 as illustrated in Figure 9.7. Figure 9.7(a) represents the black numbered scale and Figure 9.7(b) shows the red numbered scale. The black scale is graduated from 0-100 with 100 corresponding to the 'Set' mark. The red scale is numbered from 0-130 with 130 as the 'Set' mark. There is overlapping of 30 Rockwell units on the circular red scale on the dial gauge. Thus, the two scales are numerically out of phase with each other by 30 Rockwell units. (100) (130) (SET) ' ',, (110) (120),/ _,---- T ----- ' ',,, (140) 90 ?, ' ,,, (SET) ~- , ' ' ,, ' ' ,,<. 0 '' ,' 30 etc. / (-10) 10 '' 20 80 ,' ' (110) 40 t"(-20) .:.,(120) 20 I 10 50 ' I ' I ' I 70 (-30) etc. 0 30 (100) I 60 etc. ''', (-10) (-30)etc 60 40 '✓_ (-20) ,v' 90 ',___ J ____ , 70 50 80 (a) (b) FIGURE 9.7 Extension of dial scales. (a) Black numbered scale, (b) Red numbered scale. Considering Figure 9.7(a), when the major load is applied, the pointer moves from Set position (on black scale) of 100 to 90, 80, etc. in the counterclockwise direction down the scale. If it continues down beyond zero, its position will then be negative. The number 90 is then read as minus ten (-10), 80 as (-20) and so on. Subsequently, when the major load is removed the pointer will revert and attain the final position. If the pointer crosses zero the hardness value is positive if does not, i.e. if the final position is at 95 the hardness value is read as -5 instead of 95 in the Rockwell scale. @Seismicisolation @Seismicisolation
  • 288.
    Hardness Testing 261 Similarly,on the red scale, when the major load is applied, the longer pointer starts revolving from the Set position of 130 to 120, 110, etc. down the scale [Figure 9.7(b)] in the counter-clockwise direction. If it so moves as to complete one round and cross over zero, it will be in the negative range with 90 being actually -10, 80, being -20 and so on. On releasing the major load, the pointer will move back in the clockwise and may or may not cross zero. If it does, the hardness value will be positive or else the hardness value will be negative. One should also be careful to read the value as 30 or 130, 20 or 120, etc. A negative hardness value is never accepted because it is a result due to over penetration of the indenter beyond the calibrated surface zone into the material being tested. In fact, the combination of load and indenter used for such material which gives negative hardness, is not suitable. This type of situation may arise, if (say), a soft metal like aluminium is tested by Rockwell hardness tester, and one makes use of a Brale indenter and 150 kgf load. 9.6.1 Principle of Operation The principle of operation of Rockwell hardness test can be illustrated by considering the combination of ball indenter, 100 kgf load and B (or red) scale. Figure 9.8 shows various positions of the indenter with respect to the work-piece and corresponding positions of the larger pointer on the dial gauge when minor and major loads are applied. Figure 9.8(a) shows the work-piece resting on the anvil of the machine while the minor load is not yet applied. The anvil is then raised slowly by rotating the capstan wheel to bring the specimen in contact with the indenter. The capstan wheel is rotated further until the smaller pointer on the dial comes to the position where a red dot is placed. This dot is an index mark. The position of smaller pointer to this index mark indicates that the minor load is fully applied. As a consequence the indenter penetrates the surface to a depth from level A to B. During minor load application, the longer pointer rotates in the clockwise direction and attains vertical position as shown in Figure 9.8(b). If the position of the longer pointer is at the Set mark then it is fine otherwise the scale is rotated until the Set position coincides with the longer pointer. Now, the major load of 100 kgf (sum of the minor load of 10 kgf and an additional load of 90 kgf) is applied gradually by pushing the lever away from the operator gently. Under the application of major load, the indenter penetrates the surface of the work-piece further beyond the level B and attains a depth corresponding to the level C. During this period, the longer pointer rotates in the anticlockwise direction and comes to rest at some position (say at division 40) on the dial gauge. After about 30 seconds, the major load is released by pulling the lever towards the operator while minor load is still in application. As a consequence the indenter lifts upward to some extent corresponds to the elastic recovery of the material. The position of indenter is now changed from C to D. The depth CD is in accordance with the elastic recovery which is also indicated by the rotation of the longer pointer in the clockwise direction to a number, say 60. This final position of the pointer is read as hardness number on the B-scale. This value of hardness which is represented as RB60 or HRB60 is corresponding to the increment in depth of penetration caused by the indenter from B to D. Finally, the minor load is removed. The enlarged view of penetration of specimen at various stages is shown in Figure 9.9. Recommended range for hardness measurement on B- and C-scales are from RB30 to RBlO0 and Rc20 to Rc10, respectively. @Seismicisolation @Seismicisolation
  • 289.
    Dial is nowidle Red or 8-scale Additional load of 90 kg is not yet applied Specimen Ir ::11 (a) Dial is now set al 130 Major load is not yet applied A ~----J-- t---~ B --- Specimen (b) Additional load is applied Minor load is applied Specimen (c) = ===t Reading is taken now Additional load is released Minor load A B ~1 ts ---1~-r-------------------n· T Specimen C D (d) Additional load is released Minor load of 10 kgf is released Specimen (e) FIGURE 9.8 Schematic representation of the operation of Rockwell hardness testing. (a) Specimen is placed on the machine, no load is applied, (b) A minor load of 10 kgf is applied, (c) Major load of 100 kgf (minor load of 10 kgf plus additional load of 90 kgf) is applied, (d) Additional load of 90 kgf is released and the minor load of 10 kgf is still in application!, and (e) Minor load is released. I) 0) I) ~ l I ~- c: ..., Dl a ~ (/) i· 0 .... ~ iii" i @Seismicisolation @Seismicisolation
  • 290.
    Hardened steel ball of1.5875 mm (1 /16") diameter 177,;z;z.;;,::==c::-::-::~=:::ae':"'=~==91====0~--B ~~~~m~~~~;z'Am~~--=-=--c-D Hardness Testing 263 FIGURE 9.9 Various stages of penetration of ball indenter in Rockwell hardness test. A : position of indenter when no load is applied and it is in contact to work piece. B : penetration of indenter under the minor load of 10 kgf. C : penetration of indenter under total load (90 + 10 kgf) and D : penetration of the ball when additional load is removed. 9.6.2 Advantages of Rockwell Hardness Test (i) The test is very rapid for measurement of hardness and is widely used for routine work and in engineering industries where the test is to be carried out on large number of pieces. (ii) Hardened steel and nonferrous materials can be tested with reasonable accuracy. (iii) Use of a minor load reduces the level of surface finish required. (iv) Relatively lower load and pointed indenter causes no destruction to the surface of the component. 9.6.3 Precautions Most of the precautions to be taken into account while performing the Rockwell test are the same as mentioned for previous hardness tests except that surface preparation is not very critical. Since a minor load is used, a rough ground surface free from grease or dirt particles is usually good enough to perform the test without any error. Errors may be encountered while performing hardness test on curved surfaces depending on the curvature, load, indenter and hardness of the material under test. Special fixtures or anvils are to be used to minimise such errors. 9.7 SUPERFICIAL ROCKWELL HARDNESS TEST The normal Rockwell hardness tester is not much satisfactory for shallow case hardened components though Rockwell A- and D-scales have been used for medium case hardened @Seismicisolation @Seismicisolation
  • 291.
    264 Mechanical Behaviourand Testing of Materials components. Even when the major load was reduced to 30 kgf the results were unsatisfactory due to a relatively deeper penetration due to minor load in proportion to the depth produced by the major load. In view of this Rockwell superficial hardness tester was designed. Though in appearance this tester looks same as the normal Rockwell hardness tester, the loading and depth measuring systems are different. The principle of working is also the same as for normal Rockwell hardness tester. In this case the minor load has been reduced to 3 kgf and major load can be of 15, 30 or 45 kgf. The dial consists of 100 divisions with each division corresponds to a depth 0.005 mm so that one revolution equals a depth of 0.50 mm. The indenter's geometry is the same as in normal Rockwell hardness tester, but because of the shallow depth of penetration caused by lighter loads the indenters in superficial Rockwell hardness tester must be shaped with greater precision. These are known as 'N' Brale indenters. The apex angle of 120° and the radius of curvature of 0.2 mm at the tip are maintained with the diamond cone indenter. The test is performed in the same way as the normal Rockwell hardness tester. To report the hardness values, the letter N is used as a prefix to the dial reading. The letter N is prefixed by the major load used and followed by the hardness result. For example, a piece of hardened steel when tested with a major load of 30 kgf and diamond indenter, the reading on the dial gauge is 70. The hardness is reported as 30N70. For testing softer materials such as brass, bronze and unhardened steel, the 1.58 mm hardened steel ball is used as indenter. The readings are expressed in the same manner as the N-scale but the letter Tis used as prefix before the reading instead of N. For example, 15T, 30T or 45T depending on which major load is selected. Superficial Rockwell hardness tester is thus useful for thin materials, superficially hardened materials, or tests requiring an exceptionally small indentation for one or the other reason. 9.7.1 Precautions (i) Because of the small indentation produced under light load, a smooth surface finish is required than necessary with the heavy load of normal Rockwell hardness test. (ii) The specimen surface must be free from any dirt, grease or scale. The anvil should also satisfy these requirements. (iii) The material under test must be supported properly so that it should not move or slip while load is applied. 9.8 MICROHARDNESS TEST When testing hardened steel with superficial Rockwell hardness test with the lightest load of 15 kgf, the depth of indentation is about 0.0125 mm. So the specimen should have a minimum thickness of 0.125 mm. For softer materials a still higher thickness is required if this test is to be performed. A specimen if to be tested in Vickers machine with a load of 5 kgf also requires a minimum thickness of 0.125 mm to avoid any bulge on the reverse side. Though load can be reduced to 1 kgf in this case but the effect of friction introduces serious errors in the results. In many instances a material thinner than 0.100 mm (such as rapidly solidified metallic glass, a ribbon, a foil, or a watch gear, etc.) is to be tested for hardness. In such cases superficial Rockwell hardness method is unsatisfactory. @Seismicisolation @Seismicisolation
  • 292.
    Hardness Testing 265 Thisled to the development of microhardness tester. Microhardness is the hardness of a material as determined by forcing an indenter such as a Vickers or Knoop indenter into the surface of the material under a load of 5 to 1000 gmf. Usually, the indenters are much smaller than those used in macrohardness test and as are the loads used in such testing. The indentations produced in a material under a given small load are so small that they are to be measured with a microscope. The method is capable of testing not only thin and small components but also for measuring hardness of microconstituents within a structure, or measuring steep hardness gradients such as those encountered in case hardening. This method is also used to measure the hardness of coatings. Therefore, this method is widely used in industries as well as in research work. Since the term microhardness refers to small (or micro) indentation hardness, its meaning should not be misinterpreted as method of testing small (or micro) hardness values. So the better term is microindentation that carried out on small areas. The load used can vary from as small as 5 gmf to as large as 1000 gmf. Two types of indenters are in use to perform microhardness test. These are Knoop and Vickers indenters. Knoop indenter is a diamond pyramid with one of the diagonals longer than the other. The ratio of longer to shorter diagonals is 7:1. The angles between the opposite faces are approxi- mately 130°0' and 172°30'. The indentation produced is rhombohedral in shape. The Knoop hardness (HK or KHN) is expressed as the ratio of load P to projected area of impression A, i.e. or p Knoop Hardness Number (KHN) = - kgf mm-2 A p KHN=- L2C (9.19) where, L is the length of the longer diagonal and C is the constant, the value of which is supplied by the manufacturer for the given indenter. Knoop hardness numbers are often cited in conjunction with specific load values. The method of Knoop hardness testing was devised in 1939 by F. Knoop. This method of hardness testing has a limitation, i.e. it gives a higher value of microhardness, when the load applied is less than 300 gmf. This is because for lighter loads the small amount of elastic recovery becomes appreciable resulting in lower value of L. Additionally, it is difficult to locate the exact ends of the long diagonal of impression with its small size. As a result error is likely to introduce in its measurement. Both these factors give rise to higher hardness values. Above about 300 gmf of load, the long diagonal of Knoop indentation remains almost unaffected due to elastic recovery. Knoop hardness testing offers an advantage over Vickers microhardness testing that for the same diagonal length Knoop indentation area is only about 15% that of Vickers indentation. This is because of the special shape of the Knoop indenter. Thus, Knoop indentation method is very suitable to determine steep hardness gradient in thin case hardened components in which case Knoop indentations can be placed very close together than Vickers indentations. For thin films of a few microns thick, Knoop hardness testing must be preferred because for the same material and load, the Knoop indentation is shallower than Vickers and the measured length is a bit longer due to elongated shape. The Knoop values are more representative of the coating material and can be more accurately measured. Vickers microhardness testing is the same as Vickers macrohardness testing except that the load applied in microhardness testing is less than 1 kgf. The hardness is expressed in the same way as in Eq. (9.17). @Seismicisolation @Seismicisolation
  • 293.
    266 Mechanical Behaviourand Testing of Materials 9.8.1 Precautions Application of light loads requires a metallographic surface preparation for microhardness testing. This is especially because under light load, the depth of indentation is shallow. This in turn needs measurement of indentation dimensions at high magnification (e.g. l000x), in particular, for hard coatings like titanium nitride. Polishing should be carried out carefully to avoid any surface work hardening otherwise error will be encountered in the measured value of hardness. If possible final polishing should be done electrolytically to remove the work hardened surface if produced during mechanical polishing. In case performing microhardness of coated parts or on case hardened parts, the load applied must be such that the depth of indent must be about 20% or less of the coating thickness or case depth as the case may be. In such condition the hardness values accurately reflect the coating hardness. In case of higher loads used, the hardness values will be closer to the substrate hardness (in case of surface coated parts) or the underneath metal (in case of surface hardened component). 9.8.2 Applications (i) Hardness of thin materials such as foils, ribbons, powder particles, small diameter wire, safety razor blade, etc., can be performed using microhardness tester. (ii) Small precision parts such as those of a watch (such as gears, screws, pinion, studs), and clock spring are required to be tested for control of their hardness using this method. (iii) Microhardness testing is used to determine the hardness gradient in surface hardened components. (iv) Hardness of tips of cutting tools, teeth of hacksaw blade, surgical needles, ball pen point, etc., can be carried out by microhardness testing. (v) Hardness of electroplated surfaces such as chrome plating as used in engine piston rings, Ag, Ni, Cd, Zn and Cu plated surfaces are examined by microhardness testing. (vi) Hardness of electronic components. (vii) Hardness of components of medical devices. (viii) Hardness of phase constituents in microstructure can be measured by microhardness testing. (ix) It is widely used in research work and quality control of small precision parts. (x) Hardness of surface hardened components. 9.8.3 Comparison of Macrohardness and Microhardness Tests The macrohardness test is characterized by the fact that the indenter penetrates an appreciable depth into the material under test, depending on the applied load and the properties of the material. In some tests, the indenter may be a larger one, as for example, a hardened steel ball of 10 mm diameter. As a result, the deformed volume of material is large and includes all the phases of the material. The measured hardness represents well the effect of the amount and location of various phases characterizing the bulk of the material. In simpler words, the @Seismicisolation @Seismicisolation
  • 294.
    Hardness Testing 267 measuredhardness number represents the hardness of the tested materials as a whole (or bulk hardness). The shape and size of the indenter and the magnitude of the force applied are selected in accordance with the purpose of the test, the structure and properties of the metal being tested, the state of the surface and the size of the specimen. With metals having a heterogeneous structure with large inclusions of individual components (for instance, grey cast iron or non-ferrous bearing alloy), hardness tests should be performed with a large size ball. If, however, the metal has a homogeneous fine structure, then even very small volume can be sufficiently representative of the bulk of the metal as regards its hardness. In such cases, indentation tests may be made with a smaller indenter, for instance, diamond cone or pyramid, pressed to a lower depth and therefore with a lower force. On the other hand, too small a force is undesirable, since this would sharply reduce the volume deformed and might give a hardness value not characterizing the bulk of the material. Therefore, the magnitude of the force applied and the size of the indenter (if it is small) must be properly selected within an optimum range for a given material. Microhardness tests are made to determine the hardness of individual grains, phases and structural components in alloys (but not an 'average' hardness, as in the case with macrohardness tests). Here the volume of the phase deformed should be smaller than the volume (or area) of the grain to be tested. For this reason a light force is applied to the indenter. In addition, microhardness tests may be used to measure the hardness of very small components. A summary of the load, indenter and its geometry and formula of calculating hardness are shown in Table 9.5. 9.9 DYNAMIC HARDNESS TESTING 9.9.1 Shore Hardness Testing In shore hardness testing, a small pointed indenter (or the so called hammer) is made to fall within a glass tube from a standard height of 250 mm (10 inch) against the surface of the specimen. The top height of rebound of the hammer is a measure of Shore hardness. Shore hardness is expressed as a number. The device used is called Scleroscope. The scleroscope hammer, tapered at one end, is essentially a cylindrical metal plug weighing about 2.4 gm (1/12 ounce). The hammer is about 6 mm in diameter and 19 mm in height. The tapered end of the plug is fitted with a ground and polished diamond. The tip of the diamond is rounded to 0.254 mm radius and serves as the actual indenter and prevents distortion of the hammer end when striking the metal under test. The instrument consists essentially of a glass tube accurately aligned on a vertical position through which hammer is guided during its downward fall. The hammer is raised to the top of the tube by an air suction device by pressing a bulb and held in top position by means of a mechanical catch. When the hardness test is to be performed the air bulb is pressed by hand to actuate an air valve which releases the mechanical catch and allows the hammer to fall on to the surface of the specimen. Within the glass tube is inscribed the scleroscope hardness scale, against which the first rebound of the hammer is noted. @Seismicisolation @Seismicisolation
  • 295.
    Test Brinell Vickers Knoop Rockwell g} [} E TABLE 9.5 Summaryof the load, indenter and its geometry and formula for calculating hardness Indenter geometry 10 mm steel or tungsten carbide ball Diamond pyramid (square base) Diamond pyramid Diamond cone _!_,, diameter 16 steel ball l,, diameter 8 steel ball Shape ofindentation Side view ~ ~ ~;t % =4.00, ~ = 7 1 ~ , Top view 0 I· d ·I ~ tb ~ t I, L , I 0 0 Load 3000 kgf lO00kgf 500 kgf 1 to 120 kgf 5 to 1000 gf 60 kgf RA l 150 kgf Re 100 kgf RD 100 kgf R8 ] 60 kgf RF 150 kgf Re 100 kgf RE Formula for hardness number 2P BHN = ~ nD(D- 'ID -d) VHN = 1.854P Lz KHN=_!_ L2 C Hardness number = l00-500t = 130- 500t I) 0) 0) ~ l I ~- c: ..., Dl a ~ (/) i· 0 ..... ~ iii" i @Seismicisolation @Seismicisolation
  • 296.
    Hardness Testing 269 Principle Whenthe standard hammer is allowed to fall from the standard height, a great instantaneous load acts at the point of impact("" 3500 MPa). Part of the kinetic energy of impact is expended in making an indentation at the spot and due to residual energy the hammer rebounds. More is the height of rebound harder is the material. However, the indentation produced is so small that it does not practically impair the finished surface, in general. The scleroscope hardness numbers are arbitrary and that they are comparable only when determined on similar materials. For instance, no relationship exists between the scleroscope hardness numbers of rubber and steel which are quite dissimilar materials. It is fully recognised that the mass of a specimen being tested in the scleroscope has an appreciable effect on the accuracy of the test. The specimen must weigh at least one kilogram so as to overcome inertia effect or shock of the striking hammer. As the mass decreases, however, there is attending decrease in the hammer rebound owing to the inertia effects becoming less pronounced or insufficient to resist the force of the falling hammer. As the mass decreases, compensation must be made for its deficiency in the specimen, by supporting or clamping the specimen during the test. The softer the material, the greater will be the error due to insufficient mass because of deeper indentation and greater time factor necessary to penetrate the softer materials. The fundamental requirements are such that the supporting contact surface is perfectly flat and free from dust or oil film. In the testing of thin sheets and flat materials, it is important that the test specimen be properly held in close contact with the anvil and that no foreign material be allowed to intervene between the anvil and the support and the test piece. Hardened steel sheets, such as razor blades, should have a minimum thickness between 0.125 mm and 0.150 mm, whereas annealed sheets should be thicker than 0.250 mm. Rounds can be tested with some errors using proper anvil and clamps. For tubes, use of a mandrel and appropriate clamping can be made. Precautions (i) A specimen if weighing less than 1 kg should be backed by a massive support or else be clamped to avoid the inertia effects. (ii) Thin specimens must be clamped. The specimens must be in close contact with the anvil and no foreign matter should be present on it. (iii) When making a hardness measurement, several readings should be taken to get a fair average, but the hammer should not be dropped more than once on any one spot because of possible effects of work hardening. Advantages The Shore hardness testing offers the following advantages: (i) Procedure is very fast and simple. (ii) The impression left on the surface of the component is invisible and therefore non- destructive hardness testing on finished components can be performed using this method. (iii) The instrument is portable, and therefore, can be taken to the place where the hardness of a heavy component is required to be measured. For instance, rolling mill rolls, forging dies, etc. @Seismicisolation @Seismicisolation
  • 297.
    270 Mechanical Behaviourand Testing of Materials Applications It can be used to measure the hardness of finished components such as lathe machine bed, case hardened components having thickness equal or more than 0.4 mm, crank shafts, rolling mill rolls, forging dies, safety razor blades, etc. 9.9.2 Poldi Hardness Test Principle The principle of Poldi hardness testing involves the application of load on the specimen and a standard test bar in a linear direction through a special Brinell ball indenter of 10 mm diameter by a hammer blow. Under the same load, the size of indentation obtained is on the test bar and the work-piece depends on their hardness. Harder the material shallow is the impression. The diameter of impressions on the test bar and that on the specimen are measured by means of a special magnifying glass containing a graduated scale in millimeter. Using this indentation diameter values hardness is read from the table supplied with the testing unit. The hardness is given as Brinell hardness number. Along with the hardness values corresponding tensile strength values are also given in the table in tones per square inch. The apparatus simply consists of a spring loaded plunger that makes a firm contact with the standard test bar. The ball indenter of 10 mm diameter is fixed in a hole and remains in contact with the standard test bar. This whole assembly is placed on the work-piece being tested and a blow of hammer is given at the top of the plunger such that the plunger is normal to the specimen. The apparatus is only about 150 mm height. Precautions (i) Before g1vmg the blow of hammer make sure that the plunger is normal to the specimen and is firmly hold on the specimen surface. (ii) While hammering care should be exercised to avoid any accident. Applications (i) This tester is portable and therefore the hardness of heavy components can be measured with ease because these heavy components cannot be taken to the conventional hardness testing machines. The heavy components such as heavy castings, road roller rolls, grass roller roll used in cricket ground, rolling mill rolls used for semi finished operations, etc. are some common examples tested by Poldy hardness tester. (ii) It is a quick method of measuring Brinell hardness of a variety of metals and alloys, such as steels, cast irons, nonferrous metals and their alloys. (iii) It is a rapid way of estimating tensile strength of materials for which a correlation exists between BHN and tensile strength as this method directly gives the tensile values corresponding to Brinell hardness. @Seismicisolation @Seismicisolation
  • 298.
    - Ductile-Brittle Transition Behaviour andFracture Toughness Test 10.1 INTRODUCTION There are many applications such as crankshaft, camshaft, gears, mmmg drills, parts of automotive engines, parts of rail road equipments, lathe machine tools, crane hooks, freight car couplings, etc., which experience dynamic loading conditions. Under such dynamic loading conditions these structural or machine parts may fail in a brittle manner, irrespective of their initial ductility and may cause an accident. Such premature failures of machines, structures or their parts can be avoided by determining the general response of the materials used for these applications under simulating service conditions involving dynamic loadings. In many instances, the behaviour of component materials is markedly different under dynamic loading conditions from their behaviour under static loading. An important test which involves the application of a dynamic load to a given material is impact test. In this test, a standard load is applied suddenly or at rapid rate onto a standard specimen containing a notch. The energy absorbed by the material at fracture is a measure of impact toughness or impact strength of the material. Thus, impact toughness of a material may be defined as the energy absorbed by it without undergoing failure under dynamic loading. Impact toughness is not the same toughness as determined from the static tensile test data in which the area under the stress-strain curve gives the modulus of toughness. Even then, there is quite often, a close correspondence between the two, and a large area under the tensile curve indicates a higher impact strength and vice-versa. Impact test, thus measures the resistance that a material exerts against being fractured by a sudden blow. The impact test simulates service conditions which are often encountered in transportation, agricultural and construction 271 @Seismicisolation @Seismicisolation
  • 299.
    272 Mechanical Behaviourand Testing of Materials equipments. All such applications experience a sudden blow or sudden stoppages during service conditions. A material which exhibits a large amount of impact resistance is said to be a tough material. 10.2 DUCTILE-BRITTLE TRANSITION BEHAVIOUR It has been stated in Chapter 8 that many metals, in particular BCC metals, exhibit a transition in their behaviour from ductile to brittle on decreasing temperature, increasing the strain rate or notching (i.e. introducing triaxiality state of stress) the material. Under these practical conditions, a material tends to lose the capacity of deformation due to increased yield stress. Yield stress of BCC metals and alloys such as ferritic steels used in pressure vessels and ship structure, has been found to be much more sensitive to temperature and strain rate as compared to FCC metals such as Cu, Al, Ni and austenitic ferrous alloys. This increased sensitivity for BCC metals and alloys can be correlated to the temperature sensitive Peierls-Nabarro stress which increases rapidly with decreasing temperature. Peierls-Nabarro stress is the internal stress which must be overcome by external stress in order to move a dislocation from one equilibrium position to the next, and thus, produce plastic strain. This Peierls-Nabarro stress (also commonly called lattice frictional stress) is much larger for BCC metals than for FCC metals. Due to non- existence of the close packed atomic planes in BCC metals, they need a higher shear stress to move dislocations, and cause plastic deformation. This stress increases rapidly with decreasing temperature. The decreased thermal energy at low temperatures makes thermally activated dislocation processes more difficult to operate. The stress required to propagate a crack, on the other hand, is not a strong function of temperature, and it does not increase as rapidly with decreasing temperature. Thus, brittle failure by crack propagation is a favourable process at low temperatures. Also at very high strain rates, even at ambient temperatures, the activated processes have insufficient time to operate, and therefore, the tendency for brittle failure increases. Introduction of a notch in the material (as in impact test) also increases the tendency for brittle failure due to stress concentration at the tip of the notch which in tum increases the localised strain rate. Thus, the three main factors which influence yielding and fracture, and thus, the impact strength of a material are as follows: Triaxiality: The yield stress increases with increasing triaxiality while the fracture stress is relatively unaffected. Rate of loading: The yield stress increases with increasing strain rate, whereas fracture stress is relatively unaffected. Temperature: The yield stress decreases with increasing temperature. Though fracture stress also decreases but only a small amount. Figure 10.1 illustrates the effect of these three factors on the ductile-brittle transition behaviour of a material. This figure shows how yield stress and fracture stress vary with a given set of conditions of strain rate, triaxiality and temperature. This figure also gives the basis of ductile-brittle transition behaviour. @Seismicisolation @Seismicisolation
  • 300.
    Ductile-Brittle Transition Behaviourand Fracture Toughness Test 273 Q' P' Yield stress Q R p - Increasing triaxiality - Increasing strain rate - Decreasing temperature FIGURE 10.1 Effect of various factors on variation of yield stress and fracture stress. Let us consider a material at different set of above conditions. When loaded corresponds to the conditions at point P, as stress increases along the line PP', the material begins to deform and yielding occurs at stress, CT,-A- The material continues to deform plastically with increasing load until fracture occurs at stress, a1p, i.e. the material deforms appreciably before fracture. The behaviour of the material is not governed by the laws of brittle cleavage (cleavage type of failure is characteristic of fracture in brittle material). Now suppose the material is loaded under the set of conditions (a higher triaxiality, or strain rate, and/or a lower temperature) correspond to the point Q and the stress increases along the path QQ'. As the stress increases along the line QQ', the material fails at cleavage fracture stress of afQ· Consequently, the point a,8 where yielding must begin, will never reach and the material is in a brittle state. In other words, under the given conditions of strain rate, temperature and triaxiality at point Q, yield stress of the material is well-above its fracture stress as a consequence, fracture occurs before any plastic deformation to occur. Conditions correspond to the point R, represent the transition values of triaxiality, temperature and strain rate. On the left of R, the material exhibits a brittle type of fracture whereas towards right of R, it shows ductile type of fracture. At point R, the stress to propagate a crack (fracture stress a1) equals the yield stress (i.e. the stress required to move dislocations). That is, 0 = a,.. In general, in vicinity to R there is a narrow region in which fracture is partly ductile and partly brittle in nature. This region of temperature for many materials is commonly called as the transition temperature range. For some metals there is a sharp transition temperature while for most of the materials there is a range of this temperature. For metals, transition occurs at homologous temperature of about 0.1Tm to 0.2Tm (where Tm is the absolute melting temperature of the material). For ceramics this temperature range is from about 0.5Tm to 0.7Tm. The lower the transition temperature the greater is the impact toughness of the material. At temperatures greater than the transition temperature, yield stress is lower than the fracture stress and material yields plastically before fracture. Thus, it behaves in a ductile manner. At a temperature lower than the transition temperature the material @Seismicisolation @Seismicisolation
  • 301.
    274 Mechanical Behaviourand Testing of Materials displays brittle nature as yield stress is greater than the fracture stress. Here, the actual brittle fracture stress may be controlled by the yield stress, as some microscopic yielding may be necessary to nucleate a crack. So, at all temperatures below the transition temperature, <If= O:v As soon as the applied stress attains a value Oi, the crack is nucleated at the intersection of slip planes, and propagates rapidly and fracture takes place in a brittle manner. As mentioned in the previous paragraph, transition temperature is not a sharply defined temperature as it is affected by the degree of triaxiality. Sharper the notch in a specimen, the higher will be the transition temperature and lower will be the impact toughness. The transition temperature is generally defined as the one at which the fracture is almost 50% fibrous (shear like). 10.3 TRANSITION TEMPERATURE AND ITS SIGNIFICANCE Among the three factors discussed above, temperature appears to be the most important factor that affects the brittle-ductile transition behaviour of a material. The temperature at which a fairly sharp transition occurs from ductile to brittle is called Ductile-Brittle transition temperature (DBTT). Above this temperature the material behaves as tough and ductile while below this it shows brittle behaviour. Ductile behaviour is characterised by large energy absorption under dynamic loading condition. Transition temperature, is generally, not a sharply defined temperature for a given material and may vary with a slight variation in sharpness of the notch in the sample being tested. In general, sharper the notch, the higher will be the transition temperature. Ductile-brittle transition temperature is usually determined by some form of test such as Notch-bar Charpy impact test. A variety of criteria have been used to define the ductile-brittle transition temperature. The most common criteria are: on the basis of appearance of fracture surface; on the basis of energy absorption without failure; and on the basis of the amount of lateral expansion that results on the compression side of the test bar. The test data, are therefore, plotted in terms of energy absorbed Cv, in fracture called fracture energy, the appearance of the fracture surface (shear or cleavage) or the lateral expansion that results near the notch, against temperature as illustrated in Figure 10.2. The fractured surface appears to be bright and granular if a material fails in a brittle mode, whereas it appears dull and fibrous for ductile fracture. In proximity to the transition temperature the fracture is considered to be 50% fibrous and 50% cleavage like. Fracture of the brittle type is believed to be initiated in the region of high triaxial stresses existing in vicinity to the root of the notch. Since the propagation of this brittle fracture involves little plastic deformation, cleavage in the individual grains of varying orientation causes this part of the fracture surface to have a crystalline or granular appearance. As the crack advances outwards the boundaries of the specimen, it enters the regions in which there is less plastic constraints and the mechanism changes from brittle to ductile fracture. In these regions, coalescence of microvoids occurs and further propagation of the crack results in considerable plastic deformation. This part of the fractured surface, therefore, exhibits fibrous and dull or silky appearance. @Seismicisolation @Seismicisolation
  • 302.
    Ductile-Brittle Transition Behaviourand Fracture Toughness Test 275 Fracture appearance NOT FTP ~ - - - ~ - - + - - - - - - - ~ - - - ~ 100 Energy : USE 50 LSE 0 T5 T4 T3 T2 T, Temperature - ~ ::, 0 g (I) Ol <1l > <1l (I) c3 ';/2. 0 FIGURE 10.2 Various criteria of defining transition temperature. NOT : Nil ductility temperature, FTP : Fracture transition plastic, LSE : Lower shelf energy, USE : Upper shelf energy. T1 to T5 is the transition temperature region. Figure 10.2 shows various regimes. Looking to these regimes, it is difficult to clearly determine a specific transition temperature though one can determine the evidence of little ductility at lower temperatures. Therefore, various criteria are used to define transition temperature. The upper shelf is the region in which the temperature exceeds the upper transition temperature T1• Above this temperature fracture is predominantly fibrous. This temperature is called Fracture Transition Plastic (FTP). This is the temperature at which fracture changes from almost totally ductile to substantially brittle on decreasing the temperature. Problem of brittle fracture is negligible above this temperature. In contrast to the upper shelf, the lower shelf is the region in which temperature is lower than the lower transition temperature T5. This temperature is called Nil Ductility Temperature (NDT), and is defined as the temperature below which a material (in particular, a steel plate) breaks. However, the material does not break if the temperature is higher than NOT. This criterion of transition temperature is used in the design of structures made of ferritic steels. On the basis of this, a minimum allowable service temperature (Tmin) is determined for the structure containing sharp cracks depending on its thickness and the stress applied: (i) Tmin ~ NOT: Permissible when applied stress < 35-55 MPa. (ii) Tmin~ NOT + l7°C: Permissible when applied stress is less than or equal to half of the yield strength of the material. (iii) Tmin ~ NOT + 33°C: Permissible when applied stress is less than or equal to yield strength. (iv) Tmin~ NOT+ 67°C: Permissible because failure will not occur below ultimate tensile strength of the material. The region between the lower shelf and the upper shelf is the transition region. The temperature T2 at which fracture appears to be 50% cleavage (or brittle) and 50% fibrous @Seismicisolation @Seismicisolation
  • 303.
    276 Mechanical Behaviourand Testing of Materials (or shear) is considered to be the transition temperature (Figure 10.2). It is also called Fracture Appearance Transition Temperature (FATT) or Ductile to brittle transition temperature (DBTT). This temperature is very nearly equal to the temperature T3. The absorbed energy corresponds to T3 is the average of the upper shelf and lower shelf energy values. Another common criterion to define transition temperature is to select an arbitrary value of absorbed energy such that a brittle fracture is not expected to occur at temperature T4, (Figure 10.2) which corresponds to this energy value. For ferritic steels, the common value of this energy (Cv) is 20 J. This temperature is called Ductility Transition Temperature. Another criterion to define transition temperature which of course is less common than the above two, is to determine lateral expansion on compression side of the test bar. The temperature at which an expansion of 0.40 mm is obtained on the compression side of the test bar is taken as the transition temperature. The low strength steels display a sharp transition between ductile and brittle regions as shown in Figure 10.3. However, as the strength of steel increases, the transition becomes less sharp, (Figure 10.3) and in such cases transition temperature can be defined in variety of ways. FCC metals, high strength alloys and some ceramics do not show DBTT. FCC alloys are ductile at all temperatures while high strength alloys and ceramics are brittle at almost all temperatures (Figure l0.3) except at elevated temperatures. ::,. (.) "O Q) .a g .a <11 >, ~ Q) C w FCC Metals ~ Steel (ay< 300 MPa) ---- Steel (ay_::550 MPa) Steel (ay_::900 MPa) 12% Ni-Maraging steel (ay '.: 1250 MPa) c:J'0 ~oi5 {18Ni-Marageing steel} 1ie'0 Q & T Low alloy steel Ti-alloys e-----Steel 4340 (ay'.: 1400 MPa) Temperature - - - FIGURE 10.3 Illustration of Ductile-Brittle transition behaviour of some materials. The determination of DBTT is of vital importance in design of structural parts, in particular, for low temperature service. For example, equipments designed for cold climate such as in Alaska, brittle fracture is of great concern. DBTT is also of considerable concern in the design of offshore platforms in Arctic sea. These platforms are made almost entirely of steel with numerous weldments. Alloys that exhibit this behaviour tend to lose toughness, and are susceptible to catastrophic failure below this transition temperature. Knowledge of DBTT can decide the lowest service temperature where significant energy must be supplied to cause ductile failure. A large number of structural steels have BCC structure, and therefore, DBTT is of great concern to them. @Seismicisolation @Seismicisolation
  • 304.
    Ductile-Brittle Transition Behaviourand Fracture Toughness Test 277 10.4 NOTCH-BAR IMPACT TEST Impact test measures the strength of a material under dynamic loading. Often in actual service, most of the structural components experience dynamic loading conditions (such as vibrations or jerks). Impact test is generally applied to those materials which do not show brittleness under static tensile loading conditions, but fail in a brittle manner under the action of some operating parameters such as high deformation (or strain) rates (i.e. the impact loads), low temperatures or when notches or fissures are present in the material. The standard impact testing machine is of pendulum type as shown in Figure l0.4(a). The specimen used is also of standard geometry and contains a notch. The specimen is held in the anvil of the machine and is subjected to a single blow of the pendulum or the so called hammer of fixed weight, W. The pendulum is lifted to the standard height by hand. In this position it has a potential energy equal to Wh, where h is the height of fall of center of gravity of pendulum from its lowest point [Figure l0.4(b)]. As the hammer is released and swings downwards, its potential energy is transformed into kinetic energy. At the bottom of its swing, where it hits the (a) Point of support , / h' w (b) , , Centre of mass of pendulum ' , , , ,' w FIGURE 10.4 (a) Schematic diagram of impact testing machine. W is the weight of the pendulum (or hammer), (b) Positions of pendulum at rise to standard height h and its rise in the reverse direction after fall to the height h'. B is the angle of rise. @Seismicisolation @Seismicisolation
  • 305.
    278 Mechanical Behaviourand Testing of Materials specimen, its kinetic energy is equal to Wh. It is the maximum energy that the hammer has just before hitting the specimen. A part of this kinetic energy is utilized to break the specimen. Due to the remainder energy, the hammer swings further upwards in the reverse direction such that the height of rise of center of gravity of hammer is h'. As the hammer is raised in the reverse direction the remainder kinetic energy is transformed back into potential energy Wh'. The energy absorbed by the sample just before fracture is taken as the impact value or sometimes called work of fracture. This energy is given as (Wh - Wh') kg m or Joules. This energy is indicated on the dial of the impact testing machine. Sometimes, the impact strength is expressed as the energy required in fracturing the specimen per unit cross-sectional area of the specimen at the notched cross- section. Thus, the impact strength is calculated according to the following relationship as: U1 =~kg m/cm 2 or J/cm 2 AN (10.l) where, AN is the cross-sectional area of the specimen in cm2 at the place of the notch and C,, is the energy required for fracture the specimen. Two types of impact tests are conventionally employed in engineering. These are Charpy test and Izod test. In Charpy test, a rectangular specimen of square cross-section and standard dimensions containing a V-notch in the mid-span is supported as a simple beam on the anvil of the machine. The sample is so placed that the notch is opposite to the striking hammer [Figure 10.5(a)] and the notched portion of the specimen is under tension when it is hit by the hammer. The V-like notch has an angle of 45°, a depth of 2 mm and the root is rounded to a Support - -~11111 I· 2 m Impact load µ 45 ° 56mm _l__ 2 mm (a) (b) 10mm 1---l D}omm ·I Impact load FIGURE 10.5 Geometry and arrangement of impact test specimen. (a) Charpy specimen, (b) lzod specimen. @Seismicisolation @Seismicisolation
  • 306.
    Ductile-Brittle Transition Behaviourand Fracture Toughness Test 279 radius of 0.25 mm. Instead of V-shaped notch, a key hole like notch can also be used in Charpy test. In Izod test, the specimen can be round or square in cross-section and contains a V-notch. The specimen is supported vertically (cantilever like) in the anvil of the machine. The specimen is so placed that the notch is facing to the striking hammer [Figure 10.S(b)] and experiencing a tensile force. A notch in the specimen not only simulates operating conditions but also simulates the presence of internal stress raisers such as grain boundaries, internal cracks and second phase particles. In both the tests, the hammer is raised to some standard height before striking the specimen. (For experimental details see Appendix C). 10.5 VARIABLE AFFECTING IMPACT VALOES Energy losses During impact test, when the pendulum hits the specimen, a fraction of the energy is lost due to absorption in vice and structure of the machine though majority of it is used in fracture of the specimen. This energy loss is minimized to a great extent by the manufacturer by providing a heavy structure to the machine. Further energy losses can be minimized by minimizing damping and vibrations through heavy foundation of the machine structure. Striking velocity Slight increase in the striking velocity of the hammer above the nominal value has little or no effect on the impact strength of a material. However, above some critical speed (which is different for different materials) the energy required to rupture a material appears to decrease rapidly with increase in striking velocity. The magnitude of critical striking velocity and the rate of decrease in impact resistance with increase in velocity differs from metal to metal. In general, the critical velocity is much less for annealed steels than for the same steels in the hardened condition. Size and shape of the specimen Usually, a standard size notched specimen is used to determine impact value of a material. Sometimes, when the standard size of the specimen is not fabricable then a smaller specimen can be used to measure the impact value. After exhaustive experimentation it has been found by researchers that the impact value is not affected by the size of the specimen except when the steel is brittle. With brittle steels relatively higher impact values have been observed as the size of the specimen is decreased. The probable reason is that any decrease in size of the specimen also tends to decrease the degree of restraint against deformation, and thus, reducing the tendency of brittle fracture. Thus, the amount of energy absorbed is increased. Compared to size, the shape of the specimen has a pronounced effect upon its capacity to resist impact loads. At ordinary temperatures, a plane bar of ductile metal will just bend rather than fracture under an impact load in flexure. In order fracture to take place under a single blow of hammer, test specimen of ductile metal must contain a notch. A notch in the test bar specimen causes high localized stress concentrations which raise the yield stress, i.e. restrict drawing out action. Most of the energy of rupture is absorbed in the localized region of the notch in the test specimen and tends to induce a brittle type fracture. The tendency of a ductile material to behave like a brittle material when broken in the form of a notched bar specimen @Seismicisolation @Seismicisolation
  • 307.
    280 Mechanical Behaviourand Testing of Materials is sometimes known as notch sensitivity. The energy absorbed by a notched test bar of a ductile material under impact load is commonly called notch-bar toughness. Not only the presence of a notch, but also its sharpness, have a marked influence on impact value. A sharp notch raises the yield stress and the transition temperature. That is why, a shallow V-shaped notch is preferred over a keyhole shape notch in Charpy impact test. Temperature Temperature greatly affects the notch-bar toughness of a material. Up to certain temperature above absolute zero, the metal exhibits a brittle fracture. Above this temperature and up to certain higher temperature the nature of the fracture is mixed in character, i.e. it is partially ductile in character. At temperature above this range, the fracture is almost completely ductile in nature. Usually the transition in fracture from brittle to ductile is a gradual process and occurs over a range of temperature. This temperature range is called the transition temperature range. Grain size Grain size appears to be the most important factor which influence the impact trans1t10n temperature, and hence, the notch-bar toughness of a metal. The transition temperature is found to be lowered considerably as the grain size decreases as illustrated in Figure 10.6. Yield strength is a strong function of grain size as is apparent from the famous Hall-Petch empirical relationship: (10.2) where, CT,. is the yield strength, G; is the lattice resistance against the dislocation motion resulting from the various strengthening mechanisms and the intrinsic lattice friction (Peierls stress), d is the grain diameter (i.e. grain size) and k1 is the dislocation locking term. 60 ~ i 40 ::, "§ Cl> 20 a. E 2 C 0 0 :~ C !!! 1--20 -40 4 5 6 7 8 9 10 ASTM Grain size no. FIGURE 10.6 Effect of grain size on transition temperature in a typical steel. Equation (10.2) shows that as the grain size decreases yield strength increases. A higher yield strength means a higher stress will be required to nucleate a crack by slip on intersecting planes. If a crack is nucleated under sufficiently high stress conditions, it will traverse on either @Seismicisolation @Seismicisolation
  • 308.
    Ductile-Brittle Transition Behaviourand Fracture Toughness Test 281 side up to the grain boundaries. If the grain diameter is small, the length 2a of the crack is limited to this diameter. The grain boundaries will stop the crack to propagate in the adjacent grains. In order this crack to enter the adjacent grain it has to search of the most likely propagation plane which in tum needs large expenditure of energy. Further, a crack is able to propagate only if its length 2a is above a critical size. If the grain size itself is less than the critical length of the crack, the crack is unable to propagate, and hence, the brittle fracture is prevented. The critical fracture stress (Gj) corresponding to this critical size crack (a*) is given as: CT - _1__ ( 2 £)1 ' 2 f - tra * (10.3) In Eq. (10.3) yis the surface energy per unit area, and Eis the elastic modulus of the material. This equation clearly indicates that smaller the crack length larger will be the stress required for fracture. Just as yield strength is a function of grain diameter, fracture strength is also a function of grain size. Using dislocation models, Cottrell and Petch have developed a relationship between fracture strength and grain size which is expressed as: 4ymG d-112 CT!=-- k_,, (10.4) where, Ym is the plastic work done around a crack as it moves through the crystal, and G is the shear modulus of the material. The other terms being the same as defined above. Equation (10.4) shows that the fracture strength increases with decreasing grain size. This equation also shows the dependency of fracture strength on Ym· Higher the value of Ym, higher will be the stress required to propagate the crack. The value of Ym will be enhanced by increasing the number of unpinned dislocation sources, increasing test temperature and decreasing the crack velocity. A large number of the unpinned dislocation sources will generate more number of dislocations at the crack tip, and therefore, more blunting of the crack. Increasing temperature results in lowering of Peierls stress and increase in dislocation velocity. Both Ym and CTJ will be low if dislocation sources are pinned by inter- stitial solutes, such as carbon and nitrogen in steels or highly immobile, as in ionic or covalent materials. The magnitude of Ym also get reduced by strengthening mechanisms such as solid solution, preci- pitation, dispersion and strain hardening as these mechanisms reduce number of mobile dislocations. This also results in increase of CT;. For a given value of CT; and Ym, decreasing grain size results m decreasing transition temperature as is evident from Figure 10.7. d2 < d1 f u1(d1) t, ui 1/) ' !!! ' ' u5 : ~ To : ~ ' T0 (2) To(1) Transition temperature, T - FIGURE 10.7 Effect of grain size on ay, a, and transition temperature for a given a; and Ym· !::.T0 is the decrease in T. @Seismicisolation @Seismicisolation
  • 309.
    282 Mechanical Behaviourand Testing of Materials Figure 10.8 shows the effect of grain size on yield and fracture stress and fracture strain. The two curves for fracture stress and yield stress are intersecting at a critical grain size, d*. For larger grains (greater than the critical size) the fracture is controlled by the yield stress. Some microscopic yielding is necessary to nucleate a crack. This will happen only when yield stress approaches the fracture stress, i.e. when, a= 0 = a". Once a crack is nucleated, its propagation is rapid enough to cause brittle type failure. For grains smaller than the critical size, yielding occurs first before any fracture to take place. The amount of plastic deformation, before fracture, increases with decreasing the grain size below the critical value. In other words, the ratio of GJIG" increases with decreasing the grain diameter. This in turn leads to improvement in toughness as is evident from the transition curve (strain to fracture) superimposed in Figure 10.8. - - - Fracture stress - - - Yield stress - - - Strain to fracture e s(ess ,, r(acl.l( / / / / / / / / / / d* Grain diameter, d-11 2 (mm_,,2) - FIGURE 10.8 Effect of grain size on yield strength, fracture strength and fracture strain. Decreasing grain size results in not only increase of ay but also a, and strain to fracture. Thus, fine grained materials have a lower transition temperature as compared to coarse grained materials. Therefore, it is beneficial to either adopt the lowest possible finishing temperature in hot working or normalize the steel after hot working. Figure 10.9 illustrates that decreasing the grain size not only results in improvement in strength but also in toughness. Ductility is slightly improved while weldability remains unaffected. From the forgoing discussions it is clear that among the various strengthening mechanisms grain refinement is the only one which results in not only improvement in strength, but also improvement in toughness. In all other strengthening mechanism, on the other hand, toughness gets reduced with the increase in strength. 1/) Q) ·-e 2i. e a.. Wedability Ductility Decreasing grain size - FIGURE 10.9 Effect of grain refinement on various properties. @Seismicisolation @Seismicisolation
  • 310.
    Ductile-Brittle Transition Behaviourand Fracture Toughness Test 283 Composition Effect of composition on impact transition temperature has been discussed with reference to steel as these are widely employed in the manufacturing of components of structure and machines involving impact loading conditions. Of all the major alloying elements present in steel, chromium has little effect while carbon and manganese have a great effect on Ductile Brittle Transition Temperature (DBTT). Carbon which is invariably present in steels and which is also the principal alloying element, raises the DBTT. This effect is counteracted by manganese, but to a lesser extent. For example, an increase of carbon content by 0.1 % increases the DBTT by about 15°C, whereas an increase in Mn content by 0.1 % lowers this temperature by only about 5°C. So for a satisfactory notch toughness Mn:C ratio must be maintained to be a minimum of 3: 1. This ratio may be increased to as high as 3: 1. When this ratio is still higher and Mn content is greater than about 11%, manganese tends to stabilise austenite. Phosphorous and silicon also raise the DBTT of steel. An increase in phosphorous content by 0.1 % over the nominal limit, raise DBTT by about 7°C. Molybdenum also behaves in the same way as carbon. Oxygen also raises the DBTT of steel. An increase of oxygen content by about 0.001 % raises this temperature by 5°C. Nitrogen also has detrimental effect on notch toughness of steel. Aluminium, which is used for deoxidation of steel to produce semi-killed or killed steel, is beneficial as it not only lowers the oxygen content in steel but also combines with the dissolved nitrogen to produce aluminium nitride. Thus, aluminium not only increases notch toughness by reducing oxygen content but also improves strength by forming aluminium nitride. A reduction in dissolved N also eliminates yield point phenomenon in steel. Aluminium increases rate of nucleation during solidification of steel, and thus, refines the grain structure, and hence, lowers DBTT. In HSLA ferritic steels, small amounts of columbium or vanadium also improve impact toughness of steel. Carbides of these elements raise the yield strength and restrict the grain coarsening, thereby lowering the DBTT. Nickel also lowers DBTT of steel. Nickel in steel lowers the lower critical temperature, and thus, produces a fine pearlitic structure which is responsible for improved toughness of steel. Effect of microstructure and heat treatment In case of rolled or forged products, impact strength (or impact toughness) varies with the directionality of orientation of grains. Impact strength is higher along longitudinal direction, i.e. when the impact force is tensile with respect to the direction of orientation of grains (Figure 10.10). Similar observations are made with banded structure of ferrite and pearlite. Both quench ageing and strain ageing raise the DBTT and reduce tensile ductility and notch bar toughness of low carbon steel. Low carbon steels containing less than 0.1 % carbon when quenched after holding for some time, from about 923 K to 993 K (650°C to 700°C), results in highly supersaturated ferrite phase. The high temperature phase is retained at room temperature. This supersaturated solid solution of ferrite is unstable even at room temperature. This is because interstitial carbon atoms tend to diffuse out of the BCC lattice of iron over a period of time in the temperature range of 293 K-573 K (20°-300°C). Over the period of time, i.e. on ageing, precipitation of iron carbide takes place. This carbide precipitate reduces ductility and impact toughness of low carbon steels. If ageing occurs up to about 473 K (200°C), Fe2.4C carbide having hexagonal close packed structure precipitates out in sub-microscopic form. If the ageing temperature is raised to about 300°C, cementite will form. @Seismicisolation @Seismicisolation
  • 311.
    284 Mechanical Behaviourand Testing of Materials Direction of orientation of grains A "C i 0 (/) ..c <ll >- ~ Cl> C w Temperature - B FIGURE 10.1O Effect of orientation of grains with respect to impact load on impact strength. The phenomenon of blue brittleness is closely associated with dynamic strain ageing and results in decrease of impact toughness in low carbon steels if these deform in the temperature range 373 K-623 K (l00°-350°C). Plastic deformation of low carbon steels, in this temperature range, results in interaction between the solute atoms and dislocations produced. Under thermal conditions, the solute atoms are able to diffuse in the material at a faster rate than the speed of dislocations and catch and pin them. The consequent effect is the increased density of locked dislocations which reduce ductility as well as impact resistance. This phenomenon is accelerated at about 473 K (200°C) or more. The phrase blue brittleness is a misnomer. The name blue is derived from the colour of the oxide film formed on the surface of steel when oxidized in the temperature range 473-573 K (200°-300°C). The name is 'misnomer' as the steel does not become brittle in the normal sense of brittleness. Rather the steel shows minimum elongation at this temperature as well as decreased notched impact resistance. The tensile fracture does not show brittle characteristic. Tempered martensitic structure provides the best combination of tensile strength and impact toughness. In case of some low alloy steels, tempering within certain temperature range (in particular, 623-873 K (350°-600°C) results in embrittlement popularly known as temper embrittlement. The major consequence of temper embrittlement is found to be an increase in ductile-brittle transition temperature, and hence, the reduction of the impact value of steel to a great extent. The temper embrittlement has been thought to arise due to precipitation of certain impurities such as P, As, Sn and Sb at the prior austenite grain boundaries without the formation of observable precipitate. This has been verified by some investigators using Auger electron spectroscopy (a technique by which the chemistry of the first few atomic layers of a material's surface is analyzed). The segregation of these impurities reduces the cohesive energy of the grain boundary which, in tum, lowers the local stress necessary to generate an accelerating microcrack leading to brittle type fracture. The effect of temper embrittlement can be minimised @Seismicisolation @Seismicisolation
  • 312.
    Ductile-Brittle Transition Behaviourand Fracture Toughness Test 285 in three ways: by cooling relatively fast during this tempering temperature range so that enough time is not available for unwanted precipitation of impurities to occur, by adding a small amount of molybdenum which seems to raise the temperature range of impurity precipitation and tempering can be carried out below this temperature range without the danger of embrittlement effect; small additions of a lanthanide metal (a group of rare earth metals with atomic number from 57 to 71 inclusive are referred to as lanthanide metals) reduces the temper embrittlement effect. A lanthanide metal combines with the embrittling impurities such as P, As, Sn, and Sb and form harmless compounds in the matrix, thereby preventing the impurities segregation at grain boundaries. 10.6 BEHAVIOUR OF POLYMERS UNDER IMPACT LOADING Like many metals that are tough when tested at slow strain rate (as in tensile test), it tend to fracture in a brittle manner under sudden loading, many polymers also follow this trend. In metals this impact energy is dissipated to cause plastic deformation of the material, whereas in polymers this energy is accommodated through atomic vibration and/or molecular movements (such as rotation and small translations) and heat. Polymer materials that do not allow such modes of movements fail by the brittle mode of fracture because the impact energy is confined within a small localized area, and is enough to cause direct rupture of bonds. The movements in polymer molecules cause deformation or strain. Polymer materials that exhibit large deformation or strain display good toughness under impact loads in particular when they have good tensile strength. However, such polymer materials tend to have low elastic modulus. Thus, polymer materials with high elongation and low modulus but high tensile strength are called tough and those with high modulus and low elongation are said to be brittle. This trend is also apparent from the tensile curves shown in Figure 5.25. Polymers that are highly crystalline and those which have high degree of cross-linking (such as thermosets) have restricted molecular movements, and are therefore, brittle in nature. Semicrystalline thermoplastics having high molecular weight and narrow molecular weight distribution display good toughness because such plastics have an optimum combination of high strength and plasticity. In such semicrystalline plastics, energy of impact is dissipated in causing vibrations, rotation and stretching of atoms and molecules. Here crystallites (the regions in which the polymer molecules have high degree of order or molecular orientations) impart high strength and the amorphous part is responsible for molecular movements. Figure 6.30 is a schematic representation of crystallite in polymer. Impact strength of many polymers is raised by introducing reinforcements in them. Toughness of many plastics is also improved by the addition of rubber (also called elastomer) material in them. These additions are called toughness modifiers. The rubber particulate material is mixed thoroughly with a rigid plastic and imparts additional molecular movements when the plastic is impacted. Thus, the modified plastic is able to absorb the energy of impact and has good toughness. Amorphous polymers with large bulky side groups exhibit brittle behaviour. Unoriented crystalline polymers tend to be tough if tested above or near glass transition temperature. However, at still higher temperature impact strength tend to decrease because of the softening of the polymer material. Just as with many metals that tend to show brittle behaviour at low temperatures and @Seismicisolation @Seismicisolation
  • 313.
    286 Mechanical Behaviourand Testing of Materials high strain rates, many polymer materials also display this trend. Both amorphous and crystalline polymers are brittle at low temperatures and have low impact toughness. Both display ductile-brittle transition behaviour over a narrow temperature range just as many steels show. Both Izod and Charpy tests can be used to measure impact toughness of polymer materials. In the test, a notched standard specimen is subjected to impact blow and the energy at fracture is measured as impact strength. In the Izod test, the specimen is rigidly held vertically and notch is facing the striking hammer. In Charpy test, the specimen is held loosely as a beam and notch is opposite to the striking hammer. Izod test is more common for plastics. 10.7 FRACTURE TOUGHNESS Impact test can be used to determine the temperature range for the transition from ductile to brittle behaviour in metals and alloys as the temperature is lowered. An impact test gives quantitative comparative useful data with relatively simple test specimen and equipment. However, these tests do not provide property data for design purposes for material sections containing cracks or flaws. Discipline of fracture mechanics provides the property data for design purposes. Fracture mechanics involves the theoretical and experimental analyses of fracture of structural materials containing preexisting cracks or flaws. Generally, fracture of a material initiates at a location having the highest stress concentration. The tip of a crack is one such location. To illustrate this let us consider a plate sample containing an edge (or surface) crack [as shown in Figure 7.2(b)] and is subjected to a uniaxial tensile load as shown in Figure 10.1 l(a) and (b)]. When there is no flaw in a material, the load is supported by several atomic bonds over a uniform area [Figure 10.1 l(a)], i.e. the applied stress is said to be uniformly distributed. In presence of a surface crack the stress is redistributed such that the load that was supported by several bonds is now carried by only a few bonds at the crack tip as shown in [Figure 10.1 l(b)]. That is, the presence of a flaw will locally amplify the applied stress at the crack tip and is maximum there than anywhere else around the crack tip, as illustrated in [Figure 10.1 l(c)]. There are three fundamental modes of loading that result in different crack surface displacement. These modes are illustrated in Figure 10.12. Mode I is a crack opening (or tensile) mode, whereas modes II and III are sliding and tearing types respectively. In mode I, the applied stress is tensile in nature and acts normal to the faces of the crack (y-direction) thereby leading to its opening. Mode II refers to the shear mode in which the stress applied normal to the leading edge of the crack but lie in the plane of the crack. Mode III is the parallel shear mode that arises when shearing stresses are applied to the leading edge of the crack as shown by arrows. Mode I loading is the most common and important situation associated with most of the structural components. Consequently, considerable attention has been paid to both the analytical and experimental methods designed to quantify mode I stress-crack relations. Mode II is found less frequently and is of little engineering importance. Mode III is also a rare situation in practice. Mode II and mode III in combination with mode I are operative in crack propagation in reinforced composites. @Seismicisolation @Seismicisolation
  • 314.
    Ductile-Brittle Transition Behaviourand Fracture Toughness Test 287 (a) Load y z en en ~ "'iii ~ ·u; C: Q) I- (b) Load Distance------ X Crack tip (c) FIGURE 10.11 (a) Schematic atomic two-dimensional model of a crystal without a crack, (b) The same crystal with a crack showing breakage of many bonds and redistribution of stress. The stress is supported now by only few bonds, and (c) Variation of tensile stress ahead of the crack tip. (a) Mode I (b) Mode II (b) Mode III The sliding mode The tearing mode FIGURE 10.12 Modes of crack surface displacement. (a) Mode I, the opening or tensile mode, (b) Mode II, the sliding mode, and (c) Mode III, the tearing mode. @Seismicisolation @Seismicisolation
  • 315.
    288 Mechanical Behaviourand Testing of Materials For mode I configuration, the stresses acting on an element of the material at distance r and the angle 0 with respect to the tip of an advancing crack (Figure 10.13) are expressed by: K 0 (l . 0 . 30) a" =--cos- +sm-·sm- . ✓ 2m- 2 2 2 (10.5) K 0 ( . 0 . 30) ax = ✓ 2m- cos 2 1- sm 2·sm 2 (10.6) r = ~(cos ~· sin ~· cos 30 ) x_, ✓ 2m" 2 2 2 (10.7) y r -- - - -------,,,, 0 X z FIGURE 10.13 Stress distribution on a small element of the material at a distance rand an angle 0 with respect to the tip of a crack. Equations (10.5-10.7) are also called field equations and show that the local stresses at the crack tip could rise to extremely high levels as r approaches zero [Figure 10.13(c)]. In Eqs. (10.5-10.7), K is a parameter that measures the magnitude of the stress field in the crack tip region and is called stress intensity parameter. In effect, it describes the extent of stress amplification resulting from the flaw. All the crack tip stresses (as indicated from Eqs. (10.5-10.7) are proportional to K. There are two extreme cases for the mode I loading (i.e. the crack opening mode) depending on the thickness of the plate. If the plate is thin relative to the dimensions of the crack then <Yz cannot increase appreciably in the thickness direction, a condition called plane stress is said to exist such that <Yz "' 0 [Figure 10.14(a)]. In thick sections, on the other hand, the stress <Yz is developed, which creates a condition of triaxial tensile stresses acting at the crack tip. These triaxial stresses severely restrict straining in the z-direction. This condition is called plane strain and develops a through thickness stress given as: (10.8) where v is the Poisson's ratio of the material. The distribution of <Yz stress through the plate thickness for the plane strain condition is shown in Figure 10.14(b). Equations (10.5), (10.6) and (10.7) suggest that the stress distribution around a crack trip is similar in a structure and depends only on r and 0. The difference between two cracked components lies with respect to the magnitude of stress-intensity factor K. If flaws of different @Seismicisolation @Seismicisolation
  • 316.
    ..,...,.,..,,. ...,,, a, (a) Ductile-Brittle TransitionBehaviour and Fracture Toughness Test 289 _,, v( crx + cry) _l ,,.rl"TITll"jfj"lj11"TITITjl"'jlj11 ITITj') ~ .1 111111111111111111111111111111 11111111, iii 11111111111111111111111111111 1111111111~ ........ 11J..LL.wJ;.J.,LL.L..IJ;J..LL I.JJJ..L T--a, (b) FIGURE 10.14 Distribution of through thickness stress <Iz. (a) Thin sheet under plane-stress condition, (b) Thick plate under plane-strain condition. geometry have the same value of K, then the stress fields around each of the flaws are identical. K increases as the load on the specimen is increased and according to the field equations i.e. from Eqs. (10.5), (10.6) and (10.7) the local stresses must increase. For the general case, the stress-intensity factor K is related to the applied stress a, and the crack length a given as: (10.9) where, Y is a dimensionless constant. The stress concentration kt at the crack tip is not the same as K and is expressed as: kt =2aapp ~ (10.10) In Eq. (10.10), p is the radius of curvature at the crack tip and Gapp is the applied stress. The crack is said to be sharp when it has small value of p. Equation (10.10) suggests that long and sharp cracks are the most serious types of flaws. A comparison of the stress-intensity factor K and the stress concentration factor kt shows that the latter accounts for the geometrical variables namely, the crack length and the crack tip radius, whereas the former incorporates both geometrical terms (the crack length appears explicitly, while the crack tip radius is assumed to be very sharp) and the stress level. As such, K provides more information than does the kt. Experimentally, it is possible to determine the maximum value of stress-intensity factor K for a standard specimen containing a flaw by stressing it under tension until fracture occurs. This means that the crack propagates when K reaches Kc, the critical stress intensity factor. This critical value Kc is popularly known as fracture toughness of the material. The critical stress- intensity factor Kc can be determined under both plane-stress and plane-strain conditions. The plane-strain condition represents more severe stress state, and therefore, the values of Kc are lower for plane-strain specimens than for plane-stress specimens (Figure 10.15). Under Mode I (one) loading condition, the fracture toughness is designated by the symbol K1c (pronounced as kay-one-cee), and represents the critical value of stress-intensity factor at a crack tip necessary to produce catastrophic failure under simple uniaxial tensile loading. The subscript l stands for mode I (uniaxial) tensile loading in which tensile stress causes the crack to open and C stands for critical. In general, the value of fracture toughness is given as: @Seismicisolation @Seismicisolation
  • 317.
    290 Mechanical Behaviourand Testing of Materials Plane-strain condition Section size FIGURE 10.15 Effect of section size on stress intensity factor. (10.11) where, Y is the same as defined above and its value depends on the sample shape, the crack geometry and its relative size (i.e. the depth) with respect to the specimen dimensions, 0 is the overall applied stress at failure and a is the length of the surface crack (or one-half of an interior crack). The condition for failure is given as: (10.12) This means that there is a critical value of the stress intensity parameter at which fracture will take place catastrophically. Fracture toughness has the units MPa m112• The concept of K 1e can be demonstrated by considering blowing up of a balloon containing a small pinhole. When internal pressure of the balloon reaches a critical value, catastrophic failure originates at the pinhole (i.e. the balloon pops). To obtain constant values of K1e, the thickness dimension of the specimen must be relatively large compared to the notch-depth dimension a so that plane-strain condition is attained. Plane strain conditions require that during testing there is no strain in the direction of the notch, i.e. in the z-direction. The experimental determination of plane-strain fracture toughness has shown that the critical thickness B, is related to both K 1e and the yield strength (Y.S.) of the material in accordance with the relation given as: B =2.5 (Kie )2 Y.S. (10.13) The major use of fracture mechanics in metallurgical engineering is to characterize those alloys which are strengthened and possess intermediate ductility values and can undergo catastrophic failure below their Y.S. because of the stress concentrating effect on flaws present in the material. The strength of the ceramics can be increased by either increasing the fracture toughness or decreasing the flaw size. Fracture toughness test Though there are several techniques of determining fracture toughness experimentally, the two most commonly used ones involve the measurement of fracture stress for a given specimen @Seismicisolation @Seismicisolation
  • 318.
    Ductile-Brittle Transition Behaviourand Fracture Toughness Test 291 geometry with known standard initial crack length, and the measurement of the lengths of the cracks emanating from hardness indentations. 10.7.1 Fracture Stress Test In this method of fracture toughness measurement, a tensile stress is applied to a specimen containing a prepared flaw (or notch) of known size and geometry conforming to standard dimensions and with a crack emanating from the base of the notch. The crack is generally introduced by a fatigue process to a predetermined size of about 3 mm depth to start the fracture during the test. Fatigue crack produces a sharp notch like effect (Figure 10.16). If the specimen is thick enough, a plane-strain condition is produced which gives the worst behaviour of the material. During the test, the values of applied stress required to cause given amounts of crack extension are measured. Finally, the stress corresponding to fracture is noted down. The stress- intensity factor K then can be determined using Eq. (10.11). For thick plate, Y is generally taken as unity. The exact value of Y may be taken from the standard charts. If the stress-intensity factor K is greater than the critical value K1c (Eq. 10.12), the flaw grows and the material fails. The other two configurations of the test specimens include single-edge notched bend test beam specimen and Chevron notch specimen as shown in Figure 10.17. F M ''---~"' ' Machined notch r- ~ ..... ..,__ __, ' ' ' ' ' ' ' J_-z==;::.=--=::: :,~ T Fatigue crack Root radius 0.1 max - - + - ~ - - - + - - - -Z7 Netwidth, W Total width, C Thickness, B Half height, H Hole diameter, D F Half distance between hole outer edges, F }--, Notch width, N Effective notch length, M Effective crack length, a All dimensions are in mm FIGURE 10.16 Geometry of standard specimen for fracture toughness test as per 8S5447:1987. @Seismicisolation @Seismicisolation
  • 319.
    292 Mechanical Behaviourand Testing of Materials p p p p (a) (b) Pis the load, 0 1 is the distance between the supports, 02 is the distance between points of loading and a is the depth of the notch. FIGURE 10.17 (a) Geometry of single-edge notched beam specimen. (b) Chevron notch specimen. 10.7.2 Hardness Indentation Method This method of measuring fracture toughness is simple, partially non-destructive and requires minimum machining to prepare the sample for Vickers hardness indentation test. This method is specially used to determine fracture toughness of ceramics. In this method the diamond indenter is impressed into the polished specimen under examination under a predetermined load. Cracks are formed at the comers of the indentation mark as shown in Figure 10.18. The lengths (t) of the cracks emanating from the comers of the square indentation are measured. Vickers hardness Hin GPa of the material is calculated. Using the empirical relationship between fracture toughness and Vickers hardness given in Eq. (10.14), fracture toughness can be determined ( E )o.4 (t) Kie =cJ>Jiii H f 1 (10.14) where, <Pis the indenter geometry-dependent constant, Eis elastic modulus of the material and t is the crack length and l is half the length of indentation diagonal (Figure 10.18). This figure shows the top and cross-sectional views of the two most common types of cracks of interest. At high loads fully-developed median cracks are produced [Figure l0.l8(a)] while at low loads, Palmqvist cracks are produced [Figure lO .l8(b)]. These two indentations can be distinguished by polishing the specimens after indentation. In case of median crack system, the emanating cracks appear to be connected to the inverted pyramid of the indent [Figure l0.18(a)] while in case of Palmqvist system, the cracks emanating at the corners before polishing are seem to be detached from the inverted pyramid of the indent. The fracture toughness is the material property just as yield strength. The fracture toughness values of some engineering materials are given in Table l0.l. The ability of the material to resist the growth of a crack depends on several factors. These factors are as follows: (i) The larger flaws reduce the allowable stress. (ii) Increasing the yield strength of a given metal tends to reduce fracture toughness (Table 10.l) as well as the allowable flaw size (ac), often steeply. This is often associated with lower ductility that stronger alloys possess. It is apparent from the following relationship: @Seismicisolation @Seismicisolation
  • 320.
    Ductile-Brittle Transition Behaviourand Fracture Toughness Test 293 Median crack (side view) Palmqvist crack (side view) Ml~ l . .~~ . .C Top view --1 2/ I-- Before polishing After polishing Before polishing After polishing (a) Median Crack (b) Palmqvist Crack FIGURE 10.18 Cross-sectional side view and top view of the two most common types of cracks. ( 1 1 ) ( K 1c ) 2 ac = 7r X 7 Gy /2 (10.15) Here, the operating design stress has been taken as half of the yield strength (i.e. a/2). Thus, one has to sacrifice for fracture toughness if raising the yield strength of a material. TABLE 10.1 The fracture toughness (Kie) for some selective engineering materials Material Fracture toughness, K1c, Yield Strength (Y.S.), MPa ✓m MPa Al-Cu Alloy 24 455 26 385 36 325 Ti-6Al-4V 55 900 99 860 Ni-Cr Steel 50 1640 88 1420 4340 Steel 46 1470 Marageing Steel 90 1730 7075-T6 Al Alloy 24 500 Alumina 1.76 210 Silicon nitride 5 550 Transformation Toughened Zirconia 11 420 Si3N4 - SiC Composite 56 840 @Seismicisolation @Seismicisolation
  • 321.
    294 Mechanical Behaviourand Testing of Materials (iii) Thicker materials have lower fracture toughness than the thin materials (Figure 10.15). However, the fracture toughness is less predictable for thin sections due to increased section size sensitivity as the thickness of specimen approaches the size of the flaws. (iv) Increasing the temperature usually increases the fracture toughness of BCC and HCP metals. However, fracture toughness of FCC metals is relatively unaffected by variation in temperature (Figure 10.19). (/) (/) Cl> C .c Cl ::, .9 !!! ::, 0 ~ u. Steel Aluminium alloy Temperature - FIGURE 10.19 Effect of temperature on fracture toughness of materials depending on crystal structure. (v) The ability of material to deform at the crack tip depends on its nature. In ductile metals, the material near the tip of the flaw can deform plastically, helping to absorb energy and blunt the crack so that further crack growth is resisted. Brittle materials such as glass, on the other hand, cannot deform; consequently, the crack propagates to cause fracture with little energy absorption. 10.7.3 Importance of Fracture Toughness Determination Fracture toughness is a material property in the same sense as yield strength of a material. Thus, once the material is selected, its fracture toughness is fixed. Now knowing the fracture toughness and the size of a flaw within the material (the flaw can be detected non-destructively using ultrasonic testing or X-ray radiography if the flaw size is larger than 0.1 mm) one can determine the maximum stress that can be acted on the material without causing its failure. If, on the other hand, both the applied stress and the fracture toughness of the material are known, it is possible to determine the largest size flaw ac that can be tolerated by the material without fracture. This flaw size can be determined by a suitable NOT technique. 10.8 TOUGHENING IN CERAMICS The main reason due to which ceramics find limited use in structural applications is their brittle nature. The stress at which they fracture is significantly lower than their flow stress except at high temperatures. As with other materials, the critical fracture stress a1,, of ceramics is directly @Seismicisolation @Seismicisolation
  • 322.
    Ductile-Brittle Transition Behaviourand Fracture Toughness Test 295 related to the elastic modulus E, and the fracture surface energy y, and varies inversely with the flaw size a, according to the well-known Griffith-Orowan relationship given as: ( Ey)l/2 a1, oc - a (10.16) It is very difficult to increase elastic modulus, particularly for materials that have inherently high elastic modulus. Therefore, in order to enhance the fracture strength of ceramics most efforts have been directed towards reducing the flaw size by decreasing the grain size or improving surface finish through the use of ultra fine powders for fabrication of ceramic parts. This can also be achieved by improving the methods of processing which may reduce porosity. Lesser the number of pores, tougher will be the ceramic. An alternative approach which is receiving attention is alloy ceramics. Sialon family of ceramics is a typical example of alloyed ceramics. This family of ceramics is based on a form of silicon nitride (,B-Si3N4) alloyed with metal oxides and nitrides such as MgO, Y20 3 Al2O3, and AlN. Certain sialons are very hard and wear resistant; they also resist thermal shock because of their relatively low Coefficients of Thermal Expansion (CTE). The high thermal shock resistance together with good creep and oxidation resistance make Sialons potentially valuable materials for use in gas turbines. They have proved themselves as outstanding materials for manufacture of cutting tools for certain machining operations. The latest philosophy for toughening ceramics is to create microstructures in which the Griffith theory no longer dictates behaviour, so flaws do not control the fracture process. Instead, the microstructure resists the propagation of flaws and toughness increases progressively to a plateau value. This situation is shown in Figure 10.20, where the stress I I I / I I . I / / / / CJ* / / / / ------- ---------~-;/ -~ --~ --K- R - (C- )----cc; / / / / A /. / ' . / , . / ./1 _/ : ./ ' / / 1/ . / . / · . / / -· 0'1 .----- . / . / Increasing (Ja I/ , '/ , ,-' /· / ' I,' I / i ao ' ' :a* Crack length ------ FIGURE 10.20 R-curve behaviour. a0 and a* are the initial and critical crack lengths, KR* is the critical stress intensity factor. Solid line curve corresponds to R-curve [KR(c)] and dotted line curves represent applied Ka curves with increasing applied stress aa. @Seismicisolation @Seismicisolation
  • 323.
    296 Mechanical Behaviourand Testing of Materials intensity factor K (toughness) is plotted against crack length. Such curves are called R-curves (crack-resistance curves). The applied stress-intensity curves are also shown in this figure. The condition for failure is reached where the two curves intersect tangentially. The intercepts labelled a* and KR* are the critical flaw size and critical stress-intensity factor, respectively. The meaning is that a pre-existing flaw can grow until it attains the critical size a*, and consequently failure occurs. There are several important aspects of R-curve behaviour as follows: (i) Some processing related flaws can be present without causing failure of the material. (ii) Scatter in strength values is considerably reduced so that design with these materials is relatively simple since the designer can use a single value of failure strength. (iii) R-curve behaviour is not a material-related property; it depends on geometry. (iv) Materials can be divided into two different classes-high toughness/low strength and low toughness/high strength. The former usually show a gradually rising R-curve with failure being governed by the R-curve behaviour. The latter class of materials has a steeply rising R-curve, and failure occurs in accordance with Griffith theory. The first class of materials is clearly more desirable than the second. In the former case, R-curve behaviour controls the fracture. The crack tip behaviour in ceramics is substantially different from that observed in metals. In case of metals, the plastic zone ahead of the crack tip is important, whereas in ceramics it is the wake zone behind the crack tip that controls fracture behaviour. There are four major methods of enhancing toughness of ceramics, namely, crack deflection, crack bridging, transformation toughening and microcrack toughening. 10.8.1 Crack Deflection Toughening It is well-established that a polycrystalline ceramic material is considerably tougher than its single crystalline counterpart of the same composition. For example, fracture toughness of single crystal alumina is about 2.2 MPa✓m, as against the value about 4.0 MPa✓m shown by polycrystalline alumina. Similarly, investigations have shown that glass ceramic has a fracture toughness value (about 2.0 MPa✓m) which is almost twice that of the glass (K1c = 0.8 MPa✓m) from which the glass-ceramic has been derived. One of the reasons is the crack deflection that occurs at grain boundaries (Figure 10.21). In a polycrystalline ceramic material, as a crack propagates under stress and encounters a grain boundary, it is deflected along the grain boundary. The consequent effect is the reduction in average intensity of stress at the tip of the crack ktip. This is because the stress is no longer normal to the crack plane. In general, the crack tip intensity is related to the applied stress-intensity (kapp) and the angle of deflection 0, and is written as: (10.17) The angle 0 is indicated in Figure 10.21. Any reduction in average stress intensity at the crack tip results in toughening of the ceramic. Dispersion of a second phase hard refractory particulate or whiskers of other ceramics in monolith ceramic matrix also act to deflect an advancing crack @Seismicisolation @Seismicisolation
  • 324.
    Ductile-Brittle Transition Behaviourand Fracture Toughness Test 297 Deflection of crack at a grain boundary FIGURE 10.21 Schematic representation of crack deflection mechanism at grain boundaries. from its original path. When a crack approaches a dispersed second phase particle with a relatively weak interface, it is deflected from its original plane. This results in lowering of stress-intensity at the crack tip. Thus, higher stresses are required to propagate the crack. Sintered alumina, for example, has a fracture toughness of about 4.5 MPa✓m which has been found to increase to about 8 MPa✓m when incorporated with about 20 volume % of SiC whiskers. 10.8.2 Transformation Toughening A relatively new approach to achieve high fracture toughness and strength in ceramics is the transformation toughening. Transformation toughening involves a special form of crack tip plasticity. Under the conditions of high stress which is developed at an advancing crack tip in a stressed ceramic body, stress induced martensitic phase transformation (diffusionless shear process that involves cooperative atomic movement of atoms taking place within a very short distance) occurs in certain metastable phases. This transformation absorbs some energy and consequently the crack requires progressively more energy to propagate than just the surface energy {')? which is normally needed to extend the crack walls. The martensitic transformation is accompanied with an increase of specific volume by about 6-9% which effectively reduces the extension of a crack or flaw present in the ceramic material. This principle has been applied to ceramics either based on zirconia or to which metastable tetragonal zirconia particles are added. Pure zirconia is cubic below its melting point at 2680°C to about 2360°C (Figure 10.22) and has CaF2 type structure in which calcium ions form FCC structure, and all the tetrahedral sites are filled-in by fluorine atoms [Figure 10.23(a)]. From this temperature to about 1100°C, zirconia (ZrO2) exists as tetragonally distorted fluorite structure [Figure 10.23(b)]. Under most circumstances zirconia will further change to a monoclinic structure [Figure 10.23(c)] below about 1100°C. The temperature of this transformation from tetragonal to monoclinic can be quite variable. The transformation from tetragonal to monoclinic involves a 3% anisotropic volume change and invariably cause microcracking and loss of structure integrity in Zr02 ceramic. The low temperature transformation does not permit any stress relief other than microcracking for the transformation induced strains. So it is impossible to fabricate articles from pure zirconia. However, by the addition of other refractory oxides such as MgO, CaO @Seismicisolation @Seismicisolation
  • 325.
    298 Mechanical Behaviourand Testing of Materials 3000~-------~-------~------~ 2500 ~ 2000 i ::, ~ 8. E ~ 1500 Liquid Cubic solid solution + Mg0 MgO, mole % --- FIGURE 10.22 Zirconia-rich end of the ZrOrMgO phase diagram. The shaded region indicates the most commercial composition range of magnesia. • • • • (a) (b) (c) • Zr 00 FIGURE 10.23 Polymorphic forms of zirconia (Zr02) (a) Cubic (b) Tetragonal and (c) Monoclinic. and Y20 3 as alloying material, it is possible to stabilize cubic form of zirconia at room temperature. Articles can be fabricated from metastable cubic zirconia. This cubic form of zirconia which is stabilized at room temperature is called stabilized Zirconia. However, the stabilized cubic Zr02 possesses relatively poor mechanical properties. It has low hardness and stiffness. The combination of high thermal expansion coefficient and low thermal conductivity give rise to exceedingly poor thermal shock resistance. If a stabilizing oxide is added to pure zirconia in such an amount that cubic form of zirconia is stabilized only partially when properly heat treated. The microstructure then consists of dispersion of submicron size (about 40 nm size) tetragonal zirconia particles in the matrix of cubic zirconia. Sometimes, a small amount of monoclinic zirconia grains may also be produced. This form of zirconia is called Partially Stabilized Zirconia (PSZ) or popularly known @Seismicisolation @Seismicisolation
  • 326.
    Ductile-Brittle Transition Behaviourand Fracture Toughness Test 299 as ceramic steel. This two phase microstructure is more resistant to crack propagation because the crack path is not straight forward but has twists and bends. However, there is at least one additional factor that helps to resist crack propagation. In highly stressed region ahead of an advancing crack, the tetragonal particles undergo a stress-induced martensitic transformation to the monoclinic phase with an accompanying volume expansion (or dilatation) of about 3-6% or more. This change introduces highly localized compressive stresses ahead of the crack tip and reduction in stress-intensity at the crack tip. The consequent effect is that extra energy is required to extend the crack through the compression zone, and hence, increase both toughness and strength of the ceramic. On the whole, the fracture strength <Ifr is significantly increased because the effective fracture surface energy r is increased considerably. The extent of transformation toughening depends on the volume fraction of second phase tetragonal zirconia particles dispersed in another ceramic body. A typical example of such material is zirconia toughened alumina in which metastable tetragonal zirconia particles are dispersed in the matrix of alumina. A significant volume fraction of tetragonal zirconia particles of very fine size must be present in the microstructure for high fracture toughness. It has been found that the tetragonal particles are stable only when these are below a critical size. Furthermore, stress induced phase transformation in tetragonal particles will occur only if the particle size is below the critical value. 10.8.3 Crack Bridging (or Wake) Toughening Bridging mechanism involves reinforcements which form bridges behind the crack tip (i.e. in the wake zone) so as to bridge the crack surfaces and generate crack closure forces. The consequent effect is toughening of the ceramic. These ligaments in composites may be a ductile metal, strong whiskers, or fibres. The increase in toughness of fibre reinforced ceramic composites is governed by the amount of compressive stresses that the intact ligaments generate, thereby restraining (i.e. resisting) crack opening. Composites with brittle matrices (aluminium nitrides and some other ceramics) have slightly higher toughness than their unreinforced analogue. In all composites, however, toughness values considered acceptable for critical structural components. In composites with brittle matrices, the critical flaw size is usually smaller than the interfibre spacing and cracks initiate in the matrix rather than at the fibre-matrix interface. Toughnening of these composites involves increasing the energy absorbed in crack growth. In the toughening of continuous-fibre reinforced composites, the fibre-matrix interface strength plays a critical role. Ideally, for toughness in brittle matrix composites at room temperature, the fibre-matrix interface should be strong enough to ensure load transfer across the interface until a crack is produced in the matrix, and then be weak enough to allow debonding, thus preventing the composite from behaving as a monolithic material. [Figure 10.24(a)] shows that a crack is developed in the brittle matrix under the influence of tensile stress and runs at right angles to the fibres. As it is reached at the matrix-fibre interface, it is deflected along the relatively weak interface. That is, the crack is stopped temporarily at the interface and the energy is used up in creating new surfaces (i.e. causing debonding at the interface). As the load is increased, the crack propagates along the fibre-matrix interface and also begins to run on the other side of the fibre [Figure 10.24(b)]. The debonding at the interface leads to fibre pull out. Fibre pull out @Seismicisolation @Seismicisolation
  • 327.
    300 Mechanical Behaviourand Testing of Materials Fibre (a) Matrix (c) (d) FIGURE 10.24 A schematic illustration of toughening of brittle ceramic matrices by reinforcing fibres. (a) Matrix crack propagation and blunting due to weak interface, (b) The crack travels on the other side of the fibre while the fibre still remain stable, (c) Occurrance of fibre breaking, and (d) Fibre pull out. cannot occur without debonding. Fibre pull out is also accompanied with absorption of energy. It has been found that fibre pull out involves more work than debonding. That is, the energy absorption is more in fibre pull out effect than in debonding at the interface as illustrated in Figure 10.25. It is apparent from this figure that the area under the curve OQRS due to fibre Q) ~ 0 LL 0 , , s Displacement - , , , , R FIGURE 10.25 Force-displacement curve for a pulling of a fibre out of the matrix of a composite. Energy of debonding is given by the aera OPQO and that of pull-out by the area OQRS. @Seismicisolation @Seismicisolation
  • 328.
    Ductile-Brittle Transition Behaviourand Fracture Toughness Test 301 pull out is much larger than the area under the curve OPQO due to debonding. Even when the crack is formed on the other side of the fibre and extends further the fibre is capable of transferring load across the crack faces. This is called crack-bridging by fibres behind the crack front (i.e. in the wake zone). When the load is enough, the brittle fibres will break [Figure 10.26(a)] and ductile fibres deform plastically [Figure 10.26(b)]. Fibres usually break Debonding at interface Ductile fibres Stress (a) (b) Fibre failure Crack front Matrix Matrix FIGURE 10.26 Illustration of crack bridging mechanism of toughening in ceramic matrix composite with (a) Brittel fibres, (b) Ductile fibres as reinforcement. at a location away from the matrix crack plane [Figure 10.24(c) and 10.26(a)]. In case the fibres are ductile, the energy is used up in their plastic deformation (ductile extension) and less energy is available for the extension of crack. All the fibres in the wake zone do not fracture and some bridge the faces of the crack. As the crack opens under the action of the applied stress, some stress will be transferred to the fibres which will deform elastically. The stresses in the bridging fibres are viewed as crack closure tractions which reduce the stresses at the crack tip. There is a corresponding reduction in the stress intensity factor K1 at the crack tip and hence crack propagation is hindered. The notable point here is that the toughening by fibre bridging occurs @Seismicisolation @Seismicisolation
  • 329.
    302 Mechanical Behaviourand Testing of Materials in the crack wake zone rather than in the frontal or damage zone at the crack tip. The stress is high in the damaged zone [Figure 10.ll(c)]. The damage zone is illustrated in Figure 10.27. As the crack extends in fibre reinforced ceramic material, its wake region increases, and hence, the contribution from wake toughening mechanism increases until a steady state toughness value is attained. This increasing resistance to crack growth as the crack extends is shown for fibre bridging by a curve called crack resistance curve (R-curve) plotted as toughness against crack extension in Figure 10.28. t----------- --------------- Wake zone Frontal or damage zone FIGURE 10.27 The frontal zone and wake zone about a sharp crack tip. :a111 ~::::::::::::1111111~11 Steady state toughness _I Crack extension - FIGURE 10.28 Crack resistance curve (R-curve) due to fibre bridging. 10.8.4 Microcrack Toughening Microcrack toughening is another mechanism of toughening ceramics. This mechanism occurs in ceramics in which microcracks are purposely introduced in controlled amount by internal stresses during their processing. When such a microcrack suitably oriented with respect to an advancing crack, the crack interacts with it and gets blunted, branched or deflected. The consequent effect is increased tip radius. This reduces local stress at the crack tip, and hence, increases the fracture toughness of the material. The blunting of an advancing crack in ceramic body as a result of its interaction with a microcrack is illustrated in Figure 10.29. @Seismicisolation @Seismicisolation
  • 330.
    Ductile-Brittle Transition Behaviourand Fracture Toughness Test 303 - - Stress FIGURE 10.29 Schematic representation of microcracks in ceramic body showing blunting of an advancing macrocrack when it interacts with a suitably oriented microcrack. Crack deflection, fibre pull out and crack bridging all considered to be the toughening mechanisms in ceramics or brittle matrix composites. At elevated temperatures, when brittle matrices become ductile, toughening is obtained when the fibre-matrix interface is strong enough to allow for high load transfer. In such cases microcracks developed at the fibre-matrix interface branch out or blunt in the matrix. For creep strength, a high interfacial strength is desired. Small diameter fibres and a reduction in grain size of the matrix favour increased toughness in brittle matrix composites. @Seismicisolation @Seismicisolation
  • 331.
    Fatigue Behaviour 11.1 INTRODUCTION Inevery day life, materials are rarely subjected to a single constant load which does not change, that is a static load. A typical example is that of a roadway bridge which is subjected to large variation in stresses when vehicles cross over it. Each vehicle crossing the bridge induces stresses in the bridge structure. Different vehicles carry different loads and the number of vehicles crossing at a time is also different. Accordingly, the variation in stresses experienced by the bridge structure is quite irregular as illustrated in Figure 11. l. An almost similar situation is experienced by a fuselage skin of an aircraft when it lands and takes off. Another typical example is of axle shaft of railway carriage. The surfaces of an axle shaft are alternately subjected to tension and compression as the wheel rotates (Figure 11.2). In all these examples, where the load is fluctuating (i.e. load is applied and removed a very large number of times, or varies between two limiting values), failure has been found to occur in service though the Time (t ) FIGURE 11.1 Variation in stress experienced by a bridge as vehicles pass on it. 304 @Seismicisolation @Seismicisolation
  • 332.
    Fatigue Behaviour 305 C/l ~0f-----l----+--------- ci5 C 0 ·u; C/l ~ 0. E 0 u Time (t) FIGURE 11.2 Alternate tension and compression experienced by railway axle shaft as the wheel rotates. average value of stress imposed is well below the elastic limit of the material(s) used for the construction. The failure of metals under fluctuating stress (i.e. the stress which varies with time) is known as fatigue failure. In materials under fatigue, load fluctuates from zero to tensile or from zero to compressive or alternating between tensile and compression, but is not constant or static. Such fluctuating loading conditions in which load varies with time and failure occurs only after a considerable period of service, are often regarded as dynamic loading conditions. Thus, fatigue appears to be a dynamic effect. However, there is an ambiguity as to whether fatigue is a dynamic property or a static property. In ordinary sense, fatigue should not be a dynamic effect as the rate of loading (which is a characteristic of dynamic loading) is not usually a factor in fatigue. It is primarily an effect of repetition of loads. If a situation arises in which the load is not applied so rapidly as to produce a dynamic effect, this effect is separate and distinct from the effect of mere repetition of the load. It is appropriate to categorise fatigue test neither under the head of static test nor under the dynamic test. Fatigue behaviour appears to rest between static and dynamic behaviour of a material. It is a kind of time dependent process in which load or stress varies with time. According to ASTM standard, the term fatigue is used to describe the behaviour of materials under the fluctuating or repeating cycles of stress or strain which cause deterioration (or reduction in strength and ductility) of the material that eventually results in a progressive fracture. The final fracture occurs in a brittle manner. Fatigue fracture occurs at a stress much lower than the tensile strength or even lower than yield strength of the material. However, the local concentration of stresses, which do not reduce the static strength, may often lead to premature failure by fatigue. In fact the number of failures in service by fatigue is much greater than static failures. The most unusual characteristic of fatigue failure is the lack of plastic deformation in the region of fractures, even in a metal like mild steel which behaves as ductile metal under static load. In this respect fatigue failure is similar to impact failure that occurs under dynamic loading conditions. Fatigue cracks are usually fine and difficult to detect. Once these cracks have grown to macroscopic size they may spread and cause complete failure in a short time without giving any warning. Thus, fatigue failure is catastrophic in nature and is one of the most common causes of fatigue in elements of many structures and machines. Since it is difficult to recognise fatigue conditions, fatigue failures comprise a large percentage (at least 90%) of failures encountered in engineering. Although the phenomenon of fatigue failure is common in metals, all materials can fail under fatigue conditions. Metals have been widely studied for fatigue and many theories have been originally developed for metals. @Seismicisolation @Seismicisolation
  • 333.
    306 Mechanical Behaviourand Testing of Materials Fatigue fractures are caused by the simultaneous action of cyclic stress, tensile stress and plastic strain. If any one of these three is absent, fatigue crack will not initiate and propagate. The cyclic stress initiates the crack, the tensile stress causes crack to grow through localized plastic strain. In general, the factors that favour fatigue failure to occur include a tensile stress of sufficiently high value, a large enough variations in applied stress, a sufficiently large number of cycles of stress, stress concentration, corrosive environment, overload and temperature. Fatigue property is an important consideration in the design of many components subjected to repeated cycles of stress. These components include motor shafts, bolts, springs (leaf as well as coil ones), turbine blades, gear teeth, connecting rod, pin, steam and gas turbine parts, rails, railway axles, car axles, wire ropes, etc. The number of fluctuating stress cycles may vary from millions to billions over the service life of these components. 11.2 STRESS CYCLES Nature of repeating stress experienced by a member of a machine or a structure varies from machine to machine or structure to structure. The nature of stress can be defined in terms of maximum stress, O'max (the highest numerical or algebraic value of stress during a cycle) together with the ratio of minimum stress to maximum stress, called the stress ratio or the range ratio, R and the mean value of the oscillating stress, O'm (also called the average or the steady stress and is given as half of the sum of O'max and O'min), together with the an alternating stress (±O"a) that must be superimposed on the mean stress to produce a given variation in stress condition. In general, there are three different fluctuating stress-time modes. These are illustrated schematically in Figure l l.3(a-g). The first is represented schematically in Figure l l.3(a) by a regular and sinusoidal time dependent stress cycle in which the amplitude of stress, O'a, is symmetrical with respect to a mean zero stress level. The stress is alternating (or completely reversed) between a maximum tensile stress (O'max), to a minimum compressive stress (O'min) of equal magnitude with stress amplitude O'a- [This is the amplitude of alternating stress superimposed over mean stress, and is given as half of the stress range, O'r (O'r = O'max - amin)]. This type of stress cycle is referred to as an alternating stress or completely reversed stress cycle. The positive sign in [Figure l l.3(a)] is used to denote the tensile stress and the negative sign, a compressive stress. In this case the range ratio R is minus one (-1). The typical examples of members which experience this type of stress cycle are axles, rotating shafts and cantilever beam. In the second type of stress cycle, termed as repeated stress cycle, the mean stress is positive and alternating stress is superimposed on it. This type of stress cycle is termed pulsating if mean stress equals stress amplitude [Figurel l.3(c)]. In this case, the member, when stationary, carries a load so that the mean stress is greater than zero. Figure l l.3(d) shows a member which is carrying the weight of a machine. Even when no alternating stress is superimposed, the member experiences a tensile stress due to the weight of the machine it carries. The maximum stress is given as the sum of stress amplitude of the alternating stress and the mean stress. Any other combination is known as a fluctuating stress which may be a fluctuating tensile stress [Figure l l.3(e)], a fluctuating compressive stress or may fluctuate between tensile to compressive stress value [Figure l l.3(f)]. Stress may fluctuate irregularly, as in case of landing or taking off of an aircraft [Figure l l.3(g)]. @Seismicisolation @Seismicisolation
  • 334.
    + (a) cr (c) cr crm --- ---------- -- CJ'max = O'a + (jm R = crmin = _O_ ---- CJ'max {jmax = zero m R = crmin = 0 to +1 (Jmax 01--~------~----- (e) Landing (g) (b) --- (d) cr (f) Landing Fatigue Behaviour 307 Mass --- jw l ' R = _ C1min (}"max -1 < R < O FIGURE 11 .3 Variation in stress cycles during fatigue loading. (a) Completely reversed stress, (b) Example of a part exhibiting alternating stress cycle, (c) Pulsating stress between zero and <Ymax, (d) Example of a part experiencing pulsating stress shown in c, (e) Pulsating stress between <Ymax and <Ym;n, (f) Partly reversed stress between <Ymax and (-am;n), where <Ymin < <Ymax, and (g) Large fluctuations in stress cycle. @Seismicisolation @Seismicisolation
  • 335.
    308 Mechanical Behaviourand Testing of Materials 11.3 MACROGRAPHY OF FATIGUE FRACTURE Though the exact nature of fatigue failure is not well-understood, an examination of the fatigue fractured surface of a part reveals that the fracture proceeds predominantly in two stages. In the stage I, the fatigue crack initiated at some localised point of stress concentration such as a microcrack or a surface discontinuity. A surface discontinuity may be a hole, an abrupt change in section size, a groove, a keyway, a tool mark and/or even an inclusion. (In static loading, static strength is little affected by such changes in section of a structural or machine member because stress concentrations get relieved in plastic deformation). When a fatigue crack is just initiated its size is sub-microscopic and it grows gradually to macroscopic size under cyclic stress. The macroscopic crack then propagates across the section under repetitive applied stress. This is the second stage of fatigue fracture. During this stage, the component material loses its ability to flow plastically and the cross-section of the material is reduced to such an extent that the final fracture occurs in a brittle manner in the rest of the part of the section. The fractured surface of the component failed in this manner shows characteristic appearance by which it may be distinguished from fractures caused by other processes or mechanisms. This kind of fracture is commonly known as fatigue fracture. There are usually two or three zones which can be recognised on each fatigue fractured surface of a component. A typical fatigue fractured surface is shown schematically in Figure l l .4(a). This fractured surface indicates only two zones, namely, zone R and zone S corresponding to relatively slow and fast crack propagation respectively. The region R is smoother and more lustrous than the final fractured area (region S), which is much rougher in texture. The point O in the fatigue fractured surface indicates the origin of the crack. It is the smooth flat elliptical area. Following this is a polished or burnished region with ribbed markings indicating the slow propagation of the crack. This smooth region arises because of the fact that surfaces of the crack rub against each other as the metal is deformed back and forth under the compressive and tensile components of each stress cycle. The zone S is the area on which the final fracture has occurred. It happens when the cross- section of the component is reduced to such an extent that the remaining Rubbed markings Coarse texture (b) iSlow} Relative crack Fast growth rates Final fracture FIGURE 11.4 Surface of a fatigue fracture. (a) Two zones: zone R is smooth with fine texture and zone S is rough and granular, (b) Beach markings are indicated. @Seismicisolation @Seismicisolation
  • 336.
    Fatigue Behaviour 309 cross-sectionof the component is unable to withstand the designed load and fails suddenly. This zone generally appears to be crystalline indicating that the final fracture has occurred in a brittle manner with no gross plastic deformation at fracture. In practice, many of the machine components experience a variation in stress amplitude (O'a), the crack may stop spreading when the stress is low and continue to grow when it rises. This alternation of periods of rapid growth with periods of slow growth changes the degree of rubbing which the surfaces of the crack undergo. As a consequence, ring shape markings (also called beach markings) concentric with the origin of the crack appear on the fractured surface as illustrated in Figure l l.4(b). The fractured surface of a motor car rear axle generally shows three zones of failure. The zone I covers more than half the section and the beach markings show the way in which the crack has spread. It generally starts at stress concentrations caused by, say, a keyway, and spread in an asymmetrical manner which is typical of fatigue fractures in rotating shafts. The zone II, in which the crack propagation is somewhat rapid, covers most of the remaining section and shows the characteristic rough appearance. The final fracture occurs in a ductile manner on thin region, appearing mostly as a dark area on the fractured surface. The relatively small area covered by this zone (zone III) is an indication that the applied stresses were fairly low. 11.4 FATIGUE TEST (S-N CURVE) Generally, most of the components are subjected to reverse bending stress cycles. In fatigue test, therefore, a number of identical samples are subjected to completely reverse bending stress cycle, each for a different maximum stress. Each repeating cycle corresponds to a discrete application of load. Fatigue life is measured in terms of number of cycles of failure rather than in terms of time. Therefore, the number of cycles causing fracture for each specimen at a fixed stress is noted. The stress values (S) and the corresponding number of cycles of failure (N) are expressed in the form of a curve popularly known as S-N curve. As there may be many millions of stress cycles, a log scale is generally used for N. Figure 11.5 shows S-N curves for two different types of materials, one containing a notch and the other without a notch. It is apparent that the presence of a notch on the fatigue specimen greatly affects the S-N curve. A notch provides a stress concentration where a fatigue crack can initiate easily. The maximum stress at which a material fails due to repeated application of load for a specified number of cycles is termed as the fatigue strength. In other words, fatigue strength is the maximum alternating stress which a material can withstand without failure for a given number of cycles. Many of the materials exhibit a limiting stress value below which they can operate for an indefinitely large number of cycles without fracture. This limiting stress is commonly known as fatigue limit [Figure 11.S(a)]. Often the term fatigue endurance or endurance limit is used for fatigue limit which can be defined as the maximum alternating stress that a material can endure over a specified number of stress cycles without fracture [Figure 11.S(b)]. Since the value of fatigue strength depends on the number of stress cycles to failure (i.e. the fatigue life), this number should be specified when fatigue strength is quoted. Both fatigue limit and fatigue life are considerably reduced by the presence of notches. @Seismicisolation @Seismicisolation
  • 337.
    310 Mechanical Behaviourand Testing of Materials log N (a) Fatigue limit Cl) (/) (/) ~ ci5 log N (b) FIGURE 11.5 Nature of the fatigue curves for notched and unnotched specimens. Number of stress cycles is plotted as log N. (a) Fatigue limit, (b) Endurance limit for a given number of stress cycles. Thus, the condition of the surface is an important factor affecting the life of the material. Highly polished engineering surfaces show much higher fatigue life than the surfaces with scratches and roughness. Surface residual stresses greatly affect the fatigue life of the material. If the residual stresses are tensile in nature, the fatigue life is considerably diminished. On the other hand, if these stresses are compressive in nature, the fatigue life is much improved. Almost all ferrous materials including cast and wrought iron, low and medium strength steels except austenitic stainless steels and some non-ferrous materials such as titanium and its alloys, magnesium and some Al-Mg alloys at room temperature exhibit a fatigue limit after about 107 stress reversal cycles. In addition to metals, some of the polymers also exhibit a fatigue limit though a much lower stress values than metals. On the other hand, other materials such as most non-ferrous metals and alloys, do not display a true fatigue limit, but their fatigue strength is determined by the endurance limit. The fatigue limit in most ferrous materials and some non-ferrous materials may be due to dynamic strain ageing effect which in turn is attributed by interstitial solutes. Strain ageing imparts strengthening, so stress does not decrease continuously with the increase of number of cycles once endurance limit is reached. Most of the non-ferrous metals and their alloys and austenitic stainless steels do not show a definite fatigue limit even after about l09 cycles of stress though the slope of the stress versus number of cycles curve continue to decrease beyond about 108 to 109 cycles of stress. Fatigue processes in polymers are generally more complicated in nature. Some plastics such as nylon, polyethylene (PE) and others show no indication of a fatigue limit, and their S-N curve is essentially linear. Others like polymethyl methacrylate (PMMA), polysulfone (PSF), polytetrafluoroethylene (PTFE) and phenolics appear to have a fatigue limit. The fatigue ratio (the ratio of fatigue strength to static tensile strength) for plastics usually varies between 0.2 and 0.4. The fatigue life decreases with increasing frequency of oscillation and with decreasing temperature. Concrete does not appear to have a fatigue limit. Its fatigue strength is about 55% of the static tensile strength at number of stress cycles N = l0 x 106• Fatigue cracking results from deterioration of the bonding between the cement paste and the mineral aggregate. @Seismicisolation @Seismicisolation
  • 338.
    Fatigue Behaviour 311 Thereare essentially two forms of fatigue failure, namely, low-cycle fatigue and high- cycle fatigue. In low cycle fatigue, the maximum stress in any cycle is greater than the yield strength but less than the tensile strength of the material and the number of cycles of failure is low, generally less than 1000. In high cycle fatigue, as the name implies, the number of cycles of failure required is large (say in the range 105-106 cycles) and therefore the maximum stress in a cycle generally does not exceed the static yield strength of the material. For some materials, there exists a numerical relationship between endurance or fatigue limit and tensile strength. For example, for a polished rotating beam sample of wrought steel, the endurance limit is about one half the tensile strength and for copper alloys the endurance limit is 25 to 50% of the tensile strength. For some materials a relationship has been determined between BHN and endurance limit using alternating bending fatigue test (Table 9.3). 11.5 FATIGUE BEHAVIOUR IN IRON AND STEEL Fatigue behaviour in iron and steel differs from that in most other metals in number of ways. The most important distinguishing feature (as mentioned in the previous section) is that they display a distinct fatigue limit. In addition, their fatigue strength can be appreciably enhanced by under stressing (i.e. by application of stress cycles below the fatigue limit) or by coaxing (if a material is fatigue tested below the fatigue limit for few millions of cycles and then retested at a stress higher than the fatigue limit, the fatigue strength is found to increase by nearly 30% for steels. This process is called coaxing). The another important feature with iron and steel is that fatigue strength of these materials increases with increase in temperature above about 100°C, reaching a maximum value between 200°C and 400°C. These three features are probably interrelated and may be attributed to strain ageing phenomenon. Strain ageing is a process associated with static loading. In this process, a tensile specimen of mild steel has yielded to some extent, unloaded and reloaded without much delay, a smooth curve without a yield point is obtained. Instead of re-loading without delay if the specimen is put to rest for several days at room temperature or aged for a shorter time at a higher temperature; the yield point reappears at a higher stress value than the initial yield point. Thus, as a consequence of ageing the yield strength of the mild steel has been increased. The tensile strength is also increased by the ageing. This behaviour has been explained by Cottrell on the basis of dislocation model. Steel usually contains carbon and nitrogen atoms in its lattice. Slip is considered to occur by the movement of dislocations. It is argued by Cottrell that carbon and nitrogen atoms tend to segregate in vicinity to dislocations and lower their energy. Thus, a kind of pinning results between a dislocation and solute atoms. As a result, the motion of dislocations is hindered and the stress required to cause slip is raised. When the applied stress becomes sufficiently large dislocations are tom away from the solute atoms and are free to move under a small magnitude of stress. This accounts for a yield drop in the stress-strain curve for mild steel and this phenomenon is called yield point phenomenon as discussed in chapter 8. If the material is subsequently rested the solute carbon and nitrogen atoms gradually diffuse back to the dislocations and the yield point is restored. Yielding at this time occurs at a higher value of stress, i.e. the material is strengthened. This is because of the strain ageing in which the material is strained plastically prior to ageing. The yield point phenomenon and strain ageing @Seismicisolation @Seismicisolation
  • 339.
    312 Mechanical Behaviourand Testing of Materials occur in some other materials also, but the effects are not so marked as in annealed low carbon steels. The diffusion rates of carbon and nitrogen atoms in iron are markedly dependent on temperature, so that the strengthening process occurs more rapidly as the temperature is raised. This can account for the increase in fatigue strength as the temperature is increased and the maximum strength probably occurs at the temperature where the carbon and nitrogen atoms are just able to diffuse to the dislocations in one stress cycle. An increase in fatigue strength by coaxing occurs only in materials susceptible to strain ageing. A distinct fatigue limit does not occur in many non-ferrous materials, and in steels, if the carbon and/or nitrogen contents are reduced to very low values. The same statement is valid for high strength alloy steels which are not susceptible to strain ageing. 11.6 MECHANISMS OF FATIGUE It is well-established that a fatigue crack can be formed before about 10% of the total life of the specimen elapsed. Fatigue failure in materials starts with the initiation of a crack. The crack then propagates across the section of the part until the rest of the section is unable to withstand the designed load and finally fracture occurs catastrophically. Thus, fatigue failure involves two quite distinct stages, namely, crack initiation and crack propagation. Initiation of fatigue crack can occur at heterogeneities within the material whether they are pre-existent (such as inclusions, gas pores or local soft spots in the microstructure) or are generated during the cyclic straining process itself. The latter case involves the crystallographic slip which mostly starts at or very close to the surface of the part. This is because in polycrystalline materials, the grains at the surface of the part are surrounded by only those grains which are in the bulk (i.e. underneath the surface grains) while they are free at the surface. Therefore, these grains are more free to deform than those within the bulk of the part. The favourably oriented grains at the surface therefore start to slip locally at stresses that are lower than the stress actually required for general yielding to take place. The grains within the bulk of the part, on the other hand, cannot deform at low stresses even if they are favourably oriented with respect to the applied stress. This is because the deformation of interior grains is prevented by the stronger surrounding grains. In those cases where fatigue cracks initiated in the interior of the part, there is almost always an interface involved, such as the interface of a carburized surface layer and the base metal. Two theories have been proposed to explain the initiation of a fatigue crack. These are the Orowan's theory of fatigue and the Wood's theory of fatigue. 11.6.1 Orowan's Theory of Fatigue In a polycrystalline moderately ductile material under cyclic stress, some crystals are favourably oriented with respect to applied shear stress, critical resolved shear stress exceeds on these crystals even when the overall shear stress is within the elastic limit. Orowan considered these favourably oriented surface grains to be the weak regions. As the load in the cyclic stress is increased, these weak crystals yield first, while the unfavourably oriented surrounding crystals remain elastic. Therefore, this small yield does not affect the static stress-strain diagram noticeably. Nevertheless, they do yield though overall stresses are well within the elastic limit @Seismicisolation @Seismicisolation
  • 340.
    Fatigue Behaviour 313 ofthe material. The process can be illustrated with the help of Figure 11.6. This figure shows a weak (crystal marked A) which is entirely surrounded by stronger crystals B. The atomic planes in the crystal A are favourably oriented with respect to the applied shear stress so that this crystal begins to yield (i.e. deform plastically) as soon as the applied stress causes the resolved shear stress to exceed the critical value. The crystals B, on the other hand, are so oriented with respect to the applied shear stress, r, that these do not deform plastically at the highest stress encountered during the repeated loading. Crystal A and crystals B have the same elastic modulus so that for equal deformation these crystals should have the same stress. However, as the shear stress r, rises to its maximum during first quarter cycle, the weak crystal r Weak crystal r FIGURE 11.6 Favourably oriented crystal A surrounded by unfavourably oriented B crystals. A begins to yield at a stress CT0 while crystals B always remain elastic (as shown in Figure 11.7). The applied stress which alternates between +CT and -CT produces the same deformation in crystal A and crystals B. This deformation alternates between +Li1 and -Li1, whereas Li1 is almost entirely determined by the elastic deformation of crystals A and B (Figure 11.7). As long as the stress is less than CT0, the entire material is elastic, that is, both crystal A and crystals B have the same stress. When the stress exceeds CT0, crystal A begins to yield and its stress increases much less rapidly than the overall stress, r or CT, and thus, lags behind as r or CT increases. At maximum elongation, Li1 the stress in crystal A is at A1 (Figure 11.7) while that in crystals B is at B1• During the second quarter cycle, as the stress reduces to zero, the stress in crystal A follows the path AI A2 (Figure 11.7). At zero stress the elongation in crystal A reduces to Li2 while that in rest of the material becomes zero. The elongation in crystal A reduces to zero only when it is under a large compressive stress. This is the case with the third quarter cycle when the stress cycle is reversed. As the stress increases in the reverse direction, the crystal A begins to yield at A3• The stress at which the crystal A yields (-CT1) is of the same magnitude as the maximum that it reached while in tension at A1• This stress is slightly higher than CT0. Yielding @Seismicisolation @Seismicisolation
  • 341.
    314 Mechanical Behaviourand Testing of Materials +CJ CJe --------------;i 81 ,, , I , I , I , I , I ,' I -l, -CJ +l> FIGURE 11.7 Occurrence of yielding in weak crystal A while surrounding material is still elastic under cyclic loading of constant stress amplitude. -l, +l> FIGURE 11.8 Illustration of progressive strain hardening in the weak crystal under cyclic loading. @Seismicisolation @Seismicisolation
  • 342.
    Fatigue Behaviour 315 incrystal A continues until the overall deformation arrives at -Li1• As the loading cycle continues the above process is repeated with each subsequent cycle of deformation. Each time the stress reverses, crystal A yields a little more. And each time it yields, it gets strain hardened a little more. Even though slip is in opposite directions during successive cycles, strain hardening is additive because it simply involves the interaction of dislocations from processes like multiple slip, which are not greatly affected by the direction. As a consequence the deformation cycle loops become narrower and narrower (as shown in Figure l 1.8) until that the stress in crystal A increases with each cycle and approaches the perfectly elastic stress for elongation Li1• As a result of localised yielding and work hardening of crystal A, a crack of sub- microscopic size nucleates locally. 11.6.2 Wood's Theory of Fatigue When a polycrystalline moderately ductile material is loaded under static load it is likely to deform plastically by the process of slip when the stress is enough to move dislocations. When the direction of load is reversed, the direction of slip in the material is also reversed. The contours developed at the free surface of polycrystalline material as a result of slip produced under static loading is shown in Figure 11.9. Under cycling loading conditions a material deforms on the same set of atomic planes and ~ r - in the same directions as in unidirectional loading. FIGURE 11.9 Slip produced under According to W.A. Wood, microscopic slip bands (or static stress. microscopic deformation) are produced during fatigue cycling as a result of systematic build up of fine slip movements. These fine slip movements are on the order of l nm rather than steps of 100 to 1000 nm, as observed in static slip bands. Such a mechanism is believed to allow for the accommodation of the large total strain (summation of the microstrain in each cycle) without causing appreciable strain hardening. The microdeformation during fatigue leads to the formation of slip band intrusions and extrusions on the surface of the material (as shown in Figure 11.10). These slip band intrusions and extrusions are the stress raisers with a notch root of atomic dimensions and are responsible for the initiation of a fatigue crack. This mechanism (a) Intrusion (b) Extrusion FIGURE 11.1O Slip band intrusion and extrusion produced under cyclic loading. @Seismicisolation @Seismicisolation
  • 343.
    316 Mechanical Behaviourand Testing of Materials for the initiation of a fatigue crack is in support with the well-known fact that fatigue cracks commonly start at surfaces of components and that cracks have been found to initiate at slip- band intrusions and extrusions. A.H. Cottrell and D. Hull explained the mechanism of formation of slip band intrusions and extrusions on the surface of a polycrystalline metal under reversible cycling loading. To explain this mechanism, they considered a crystal (or the so called individual grain, in terms of microstructural feature) located on the free surface of the metal which is favourably oriented with respect to the applied shear stress. Figure 11.11 illustrates such a surface crystal with a stable internal dislocation configuration. The dislocations are lying on the two parallel slip planes designated as A and B [Figure 11.l l(a)]. The dislocations lying on these planes are of opposite kind (i.e. positive and negative edge dislocations) and offer some kind of barriers (such as dislocations on the intersecting plane or a second phase precipitate particle) at the inner end of the respective plane. This situation might have occurred after many stress cycles. When the tensile part of the applied cyclic stress exceeds the critical resolved shear stress on slip plane A, dislocation l moves to the free surface of the metal and creates a slip step on it [Figure 11.11(b)]. Dislocations on slip plane B are unable to move as they are resisted by barriers in the direction of shear stress, r. During compressive part of the cyclic stress, dislocation 2 is free to move on slip plane B and it moves to the surface and creates a second slip step, but in the opposite sense, as shown in Figure 11. l l(d). An intrusion is thus produced on the surface of the metal. An intrusion acts as the origin for a fatigue crack. A B (a) (c) (b) (d) FIGURE 11.11 Mechanism of fatique crack initiation proposed by Cottrell and Hull. @Seismicisolation @Seismicisolation
  • 344.
    Fatigue Behaviour 317 However,the size of this intrusion or nanocrack is of the order of a Burgers vector (i.e. of the order of 0.3 nm). Both this nanocrack and the change in shape of the metal are not detectable. Though a permanent change in the surface crystal or a grain has occurred, yet the overall strain is considered to be elastic or reversible. The above situation may even arise during first cycle of stress and if the cyclic stress is withdrawn, the effects of the emergence of dislocations 1 and 2 shown in Figure 11.11 are negligible. The infinitesimal crack formed at the surface of the polycrystalline metal becomes significant only if it grows through continued stress cycles. If stress cycle is continued, the next stress cycle causes dislocations 3 and 4 to move to the surface in the same way as discussed above, the crack length will increase. If by chance, dislocation 3 encounters an impurity atom and sets blocked, then this dislocation will move only after some number of cycles elapsed when local stresses are sufficient to move it, and continue the process. If this process continues for large number of stress cycles, a detectable microscopic crack will be produced. Suppose this detectable crack is of 10 µm in one surface crystal, this will require some 10/0.3 nm =30,000 cycles at least. (It would also require a dislocation generation mechanism to create the large number of dislocations required to produce this crack). Thus, in order to create a tiny fatigue crack, a large number of stress cycles are required. This initial crack formation during fatigue is called Stage I fatigue. Stage I fatigue usually extends 2 to 5 grains from the origin, which required slip in several adjacent grains in a polycrystalline metal. Stage I crack is sometimes called a microcrack. In case of FCC metals, slip generally occurs on close packed planes of the kind {1 1 1} and accordingly these are the fracture surfaces under static stress conditions. However, in addition to slip on {1 1 1} planes, slip on {1 1 0} and {1 0 0} planes which contain (1 1 O) directions, has also been observed in aluminium. Thus, fatigue initiation processes are not as simple as in static loading. 11.6.3 Fatigue Crack Growth Once a fatigue crack of microscopic size is nucleated, its growth to finite size is controlled by progressively larger scale effects than operated in its earliest stages. That is, the rate of propagation of a crack in stage I is generally very low, on the order of nanometer per cycle, compared with crack propagation rates of microns per cycle for stage IL This stage of crack growth is commonly called Stage II fatigue. In stage I, slip band crack growth involves the deepening of the initial crack on planes of high shear stress, and therefore, the crack growth is slow. In Stage II, crack growth on planes of high tensile stress involves growth of well-defined crack in direction normal to maximum tensile stress. Stage II fatigue can be described with the help of Figure 11.12. The status of the crack at the end of stage I is shown in Figure 11.12(a) where the slip induced crack has been extended to three grains. It is apparent from this figure that as the crack passes from one grain to another it takes a different orientation and produces a zigzag path. Up to this point the crack has attained a critical length which is enough to develop a stress concentration during next tensile cycle so that local yielding occurs over a small region ahead of the crack tip as shown by a shaded circle in Figure l l.12(a). The local yielding causes strain hardening in the shaded region which eventually lead to sudden cracking in the transverse direction under the tensile part of stress cycle, as shown in Figure ll.12(b). It is important to @Seismicisolation @Seismicisolation
  • 345.
    318 Mechanical Behaviourand Testing of Materials recall at this stage that a microscopic crack is able to propagate only if it attains a critical size. This critical size depends on the level of stress concentration at the tip. Low stress levels produce fine cracks and the critical crack length is longer as compared to the critical crack length of a crack with higher stress level. In many instances, the stress level varies with speed of the machine. The growth of this crack is limited to the width of the shaded region during this cycle. Under cyclic stresses the crack growth can occur only when the stress intensity factor K arises when the applied stress exceeds a critical stress intensity factor Kc (Kc is the critical stress intensity factor required for a crack to propagate through the material under cyclic loading. Kc is lower than K1c, the fracture toughness of the material). In the shaded region of Figure l l.12(a), K has exceeded Kc, so that the crack grows, but it stops as soon as it comes out of the region of localised yielding and enters the undamaged region. The crack gets blunted due to yielding (plastic deformation) as stress concentration is relieved. This results in a decrease of K below Kc in this localized undamaged region. So the propagation of the crack is checked momentarily. Still the stress concentration at the crack tip is enough to create a new, small strain hardened region (shown as shaded) and then stops. The crack opens and propagates during the tensile part of the stress cycle. During second quarter cycle of stress when tensile stress decreases or during the third quarter cycle when stress reverses, the crack partially or cr cr Stage I cr cr (a) (b) cr cr ~ Stage II cr cr (c) (d) FIGURE 11.12 Propagation of a fatigue crack during stage II fatigue. @Seismicisolation @Seismicisolation
  • 346.
    Fatigue Behaviour 319 almostcompletely closes up. In fact the complete closing up of the crack is prevented due to local strain hardening that occurs ahead of the new crack tip. Thus, there is marked difference between the stage I and stage II of fatigue fractures. As the crack advances in the undamaged region, its direction changes slightly [Figure l l.l2(d)]. The ultimate crack propagation takes place in the transverse direction. Mathematical analysis of fatigue crack growth Fatigue crack growth rate (da/dN) most often increases with the number of stress cycles N. That is, as the crack grows longer it grows at a faster rate. This is also because of the fact that a longer crack usually associated with a higher value of applied stress intensity factor K at the tip of the crack which in turn depends on the applied average stress. The changes in stress intensity factor at the crack tip (dK) are determined by the changes in stress dCT = (CTmax - CTmin)- The rate of crack growth da/dN is thus a function of !),,K and it is mathematically expressed by P.C. Paris and F. Erdogan as: (ll.l) where, a = Length of the surface crack (as it starts at the surface), N = The number of cycles of fatigue, !),,K = Kmax - Kmin, the range of stress intensity factor and can be determined from the relation !),,K =dCT Jiui C and n are constants depending on the material and various conditions affecting fatigue process. The empirical relationship shown by Eq. (l l.l), commonly known as Paris-Erdogan relationship which was originally developed to predict fatigue crack growth rates in metals, is also applicable for some polymers and ceramics. Figure 11.13, which is a log-log plot, shows variation in da/dN as a function of the range of stress intensity factor !),,K resulting from the cyclic variation in the stress for a structural alloy. The curve is sigmoidal in shape and comprises of three regions. Region I shows that there exists a minimum value of !),,K below which the nucleated crack is log!!.§_ dN II III Kth log !lK K1h represents the threshold value of stress- intensity factor below which fatigue crack does not propagate orgrow. of non-propagating nature, i.e. it merely FIGURE 11 _ 13 opens and closes without growing Log of crack growth rate (daldN') as a function of log of stress-intensity factor (LlK) showing fatigue crack propagation behaviour. forward. This lowest value of stress intensity factor below which the nucleated @Seismicisolation @Seismicisolation
  • 347.
    320 Mechanical Behaviourand Testing of Materials crack is unable to grow is commonly called the threshold stress intensity value (i.e. the lowest value of ~K below which the crack is unable to propagate) and is designated by the symbol Kth. The rate of crack growth in the threshold region (where stresses are less than the threshold stress intensity) is so slow (of the order of 0.25 nm/cycle or less) that it cannot be detected. The region I is known as the region of non-propagating fatigue crack. The magnitude of ~K is lower for high strength brittle materials than that for low strength tough materials. The value of Kth depends on the mean stress am. As the mean stress is increased in the tensile direction, Kth will be lower. The region I thus, corresponds to the nucleation period; crack growth decreases rapidly approaching the lower limiting value of the stress intensity factor Kth. Therefore, Eq. (11.1) is not applicable in region I. The region II represents an essentially linear relationship between log (daldN) and log ~K in accordance with the empirical Eq. (11.1). This is also called steady-state region of fatigue crack propagation. The slope of this linear curve is constant and equal to n. The constant C can be determined by extrapolating the straight line to the value of ~K = 1 MPa m112• Thus, log C = log (daldN). Equation (11.1) is valid only within the steady-state region. The value of n is about 3 for steel and in the range 3-4 for aluminium alloys. However, the Paris-Erdogan equation is applicable to certain range of values in the region IL The Stage III is not much related to fatigue process. This is the region of accelerated crack growth. Here ~Kmax approaches the fracture toughness K1c. Near the fracture toughness the crack growth rate becomes so rapid that only a limited number of cycles can be accumulated before the component fractures suddenly. Alternatively, for ductile material, when the Stage II fatigue crack becomes so large that the remaining cross-section of metal can fail by tensile overload, the component fails suddenly by a ductile mode. Thus, in either case, Stage III fracture occurs without prior warning. In addition to metals, the above mechanism of crack growth involving plastic deformation is also applicable to many thermoplastic materials which exhibit some plasticity. In non-ductile materials such as ceramics, glasses, brittle metals, thermoplastics at temperatures below their glass transition temperature and thermosetting plastics, little, if any, plastic deformation occurs ahead of a crack tip, it makes the crack blunt. When the local stress at the crack tip exceeds the fracture strength of the material, the interatomic bonds get broken leading to fast brittle fracture. Though many micromechanical models have been proposed to explain the micromechanics occurring at the crack tip in ceramic materials, none of these is successful to explain all fatigue data generated for ceramics. Ceramics appear to be fundamentally different from metals where crack propagation results from dislocation activity at the crack tip. Ceramics which exhibit R-curve behaviour (R-curve behaviour refers to a fracture toughness which increases as the crack grows) appear to be most susceptible to fatigue, indicating that cyclic nature of the loading somehow diminishes the effect of crack-tip shielding mechanism. For instance, in case of fibre- or whisker-reinforced ceramics, it is believed that unloading induces fracture or buckling of the whiskers in the crack wake zone (the zone of the crack behind the tip), which in turn reduces their shielding effect. A majority of plastics do not fail by crack propagation alone. This is because most plastics exhibit viscoelastic behaviour, i.e. they exhibit both elastic and a viscous response against @Seismicisolation @Seismicisolation
  • 348.
    Fatigue Behaviour 321 externallyapplied forces. Such materials show a hysteresis loop during loading and unloading cycle. Such behaviour is shown in Figure 11.14. The initial loading cycle is represented by the path OPQ while the unloading cycle is shown by the path QL. OL is the permanent set. The curve LM is traced on loading to reverse direction. Reverse loading removes the permanent set OL. As reloading is done in the initial direction at point M, the hysteresis loop completes at Q by tracing the path MNQ. The area under the hysteresis loop is a measure of the energy dissipated as heat. If this heat is not readily dissipated to the surrounding, the temperature of Stress Compression M Contraction ----- -------- Extension Strain FIGURE 11.14 Stress-strain hysteresis loop of a plastic material experiencing reversed axial stress. the material will rise. This is likely to occur with plastics as these are bad conductors of heat and unable to dissipate heat easily to the surrounding. The temperature of the material may rise to its softening point thereby reducing its load bearing capacity and eventual fatigue failure. Polymers do not cyclically harden as do metals. The rise in temperature per unit time in polymer sample increases with increasing cyclic frequency, thickness of the material, the stress amplitude and loss compliance factor (the reciprocal of stiffness). It is also affected by specimen configuration. For example, a high surface to volume ratio favours low temperature rise, and therefore, improved fatigue life of the sample. Rigid polymers like cross-linked phenolics and epoxies show very low loss compliance and fail primarily by crack propagation, because the little heat generated is readily dissipated to the surroundings. Those with medium value of loss compliance such as PMMA, acetal, and polycarbonate fail by both hysteric heating and crack propagation. Finally, the third group of polymer materials such as nylon, polyethylene, propylene, fluoroplastics having high loss compliance tend to fail predominantly by thermal failure. In composite materials, fatigue damage begins at an early life stage in the form of interface debonding, which may lead to the initiation and subsequent growth of microcracks. @Seismicisolation @Seismicisolation
  • 349.
    322 Mechanical Behaviourand Testing of Materials 11.7 LOW CYCLE FATIGUE Many structures have a total number of service cycles less than 106, and therefore, they can operate at higher allowable stress than the fatigue limit. It is apparent from the S-N curve that the smaller the number of cycles, the higher the allowable stress. When the local maximum tensile stress around the crack tip are above the yield stress, fatigue usually occurs with less than about 104 or 105 cycles. This behaviour is called Low Cycle Fatigue (LCF). LCF conditions are frequently created where the cyclic stresses are of thermal origin. Thus, LCF is an important consideration in the design and operation of high temperature systems subjected to thermal transients. The systems that undergo thermal transients include aircraft gas turbines, nuclear pressure vessels, steam turbines, heat exchangers and fuel elements; and many of the components of power plant. In addition to thermal transients, these structures are also subjected to steady state loading conditions. For example, heat exchanger components in a power plant undergo thermally induced strain cycles during start-up and shut-down or during variation in operating conditions. Thermal stresses arise from the thermal expansion of the material. Therefore, it is easy to consider that in this case fatigue results from cycle stress. Under LCF conditions, the fatigue life can be predicted from Coffin-Manson law, which states as: ~e _P =e/(2Nt 2 (11.2) A log-log plot between the plastic strain range ~e,, against the number of fatigue cycles yields a straight line as shown in Figure 11.15. In Eq. (11.2), ~eµf2 is the plastic strain amplitude (the plastic strain range of the cycle), 4'is the fatigue ductility coefficient defined by the strain intercept at 2N = 1. 4'is approximately equals Cf (the true fracture strain = ln AofA1) for many metallic materials. 2N is the number of strain reversal to failure (one cycle in two reversals). The fatigue ductility exponent x, varies between -0.5 and -0.7 for many metals. A smaller value of x results in larger value of fatigue life. FIGURE 11.15 11.8 VARIABLES AFFECTING FATIGUE log2N Low cycle fatigue curve. The following are the variables that affect the fatigue property of metallic materials: (i) Alloy composition (ii) Stress concentration (iii) Size of the specimen (iv) Surface condition (v) Metallurgical structure @Seismicisolation @Seismicisolation
  • 350.
    Fatigue Behaviour 323 Alloycomposition Those alloying elements which increase the tensile strength are found to increase the fatigue strength of a metal and alloy. Steels are the most widely used materials for applications involving cyclic stresses. Carbon in steels has been found to have the maximum effect on fatigue strength. Carbon increases the fatigue strength of steels not only through solid solution strengthening but also by strain ageing effect. Stress concentration The points of stress raiser in the fatigue specimen greatly affect the fatigue strength. The points of stress raiser such as keyways, holes or notches on a component are the preferential sites for the initiation of a fatigue crack. In addition, the changes in the section size and surface irregularities such as machine markings, porosity, inclusions, decarburised regions, etc., also influence the fatigue life of a material to a considerable extent. A surface irregularity, in fact, acts as a notch. The stress concentration at the root of the notch causes the gradient of stresses from the notched region towards the axis or center of the specimen. Many of the surface irregularities can be eliminated by polishing the surface. Size If the stress cycle is simple reversal type, the stress changes from a tension peak to compression peak. The effect of such stress cycle is more on a thin section than in case of thick section. The distance between surface and center (axis) will be more in thick section than in thin section. Thus, in a thicker section the gradient of stress or strain from surface to centre will be more than that in a thin specimen. Also the volume of the material deformed is more in thick section. In addition, increased size results in an increased surface area. Thus, there is more likelihood that a thicker section will fail. Surface characteristics A fatigue crack is generally initiated at the surface, therefore, the nature of surface has great influence on fatigue life of a component. One of the characteristics of the surface is its finishing. For the same material variation in surface finishes will result in variation in fatigue strength. Smoother the surface, longer will be the fatigue life of the component. It has been observed that fatigue life increases with the decrease in extent of surface roughness. In general, a buffed surface is regarded as a smooth surface, whereas an ordinary machined surface as rough. Another importannt surface characteristic of the material experiencing cyclic stress is the surface hardness. It has been observed that the fatigue strength of a material is greatly increased if its surface is made harder. A hard surface tends to resist initiation of a crack. This is because a hard surface is difficult to yield. Any delay in the initiation of a fatigue crack will result in improved fatigue life. Steels are case hardened to improve not only surface hardness, and hence, the wear resistance but also to improve fatigue life of the component. Electroplating, in general, results in lower fatigue strength of the metal. Residual stresses The stresses that are left behind in an object after the process of manufacturing is finished are called residual stresses. Though these stresses are of very low magnitude, but may be @Seismicisolation @Seismicisolation
  • 351.
    324 Mechanical Behaviourand Testing of Materials dangerous when they are tensile in nature. We have seen that the tensile part of the cyclic stress assists crack opening and its propagation. Residual stresses may arise due to the following possible ways: (i) Plastic deformation during which the material flow is not uniform throughout (ii) Improper and insufficient tempering after quenching (iii) Improper and insufficient annealing or normalising after plastic deformation (iv) Quenching (v) Some finishing operations such as machining, threading, boring, etc. (vi) Sudden heating and cooling or excessive momentary loading, leading to improper recovery during the service. Residual compressive stresses have been observed to be beneficial from the point of view of fatigue strength of the metal or alloy. It is therefore desirable to introduce compressive stresses in a component experiencing cyclic loading so that fatigue life of the component can be increased. Shot peening appears to be the best and most effective method of introducing compressive stresses in the surface. The other method is heat treatment at the appropriate stage in manufacture. For instance, heat treatment of gear after machining. Metallurgical structure Fatigue strength of steel is near 50% of its tensile value, Fatigue ratio (the ratio of fatigue strength to tensile strength) for most non-ferrous metals such as Ni, Mg, Cu, etc. is around 0.35 while that for ferrous materials is nearly 0.50. Metallurgical structures that improve tensile strength are also likely to improve the fatigue ratio of a material. However, the correlation between fatigue strength and tensile strength fails as the strength increases above a certain .s::: g, ~ 1i5 Q) ::, .Ql ~ level as is illustrated in Figure 11.16. This failure Tensile strength depends on the type of strengthening mechanism FIGURE 11.16 Relationship between fatigue used to improve the tensile strength of the strength and tensile strength. material. In case strengthening is carried out by second phase particles, the size, shape and distribution of these particles will affect the fatigue life of the material. Among the metallurgical factors that affect the fatigue properties include microstructure, stacking fault energy, grain size, heat treatment, presence of soft surface spots caused by decarburization, formation of retained austenite or the formation of non-martensitic phase. The type of non-metallic inclusions and their orientation with respect to maximum tensile stress also affect the fatigue limit of the material. In general, the microstructures that improve tensile strength are also expected to improve the fatigue limit. However, in some instances it violates. For example, in case of plain carbon steels, two microstructures, namely, lamellar pearlitic and globular pearlitic developed for the same tensile strength possess markedly different fatigue limits. The former structure shows a significantly lower fatigue limit due to the higher notch effect of the carbide lamellae. @Seismicisolation @Seismicisolation
  • 352.
    Fatigue Behaviour 325 Materialswith high Stacking Fault Energy (SFE) allow dislocations to cross-glide easily past obstacles and lead to the formation of slip bands. These slip bands under alternating stress conditions turn into intrusions or extrusions which are the centres for nucleation of a fatigue crack. Materials with lower SFE, on the other hand, make cross slip difficult and dislocations are restricted to move in a planar fashion to a limited extend. A limited local concentration of plastic deformation delays the formation of intrusions or extrusions, and hence, the nucleations of a fatigue crack. A low SFE coupled with a fine grain structure also results in improvement in fatigue properties. Here, grain boundaries control the rate of cracking. In steels, the type of heat treatment affects the fatigue properties. In quenched and tempered steels, the fatigue limit is found to improve as the tempering temperature is lowered to obtain hardness in the range Re 45 to Re 55, depending on the kind of steel. When the quenched and tempered microstructure of steel is compared with austempered structure for the same hardness it is found that the latter imparts much superior fatigue properties than the former. @Seismicisolation @Seismicisolation
  • 353.
    Creep Behaviour 12.1 INTRODUCTION Alarge number of articles around us are made up of metallic materials. These articles may be from kitchenware to aircraft jet engine turbines. Once fabricated, it is generally presumed that the finished articles whether made of metallic or non-metallic material, while under steady load, maintain their shape and dimensions forever. Blades of a turbine rotor, plastic mountings for parts of electrical devices, timber beams in roof of building, filaments in vacuum tubes, steel cables, concrete in a prestressed concrete beam and lead sheaths on telephone cables, are some examples of engineering components which are subjected to steady loads for long periods of time. Usually a slight change in shape is hardly noticed because such changes do not affect the function of the article. However, there are some critical applications in engineering field where even a slightest change in dimensions with time may affect the function of the article (for instance, loosening of flanged joints in the connecting bolts over a period of time and undesirable changes in clearance of steam turbine blade) or may cause even its breakdown. Therefore, such changes in dimensions of the articles are of great concern to materials engineers and designers. Most of the metals and alloys (except a few such as Pb, Zn, Sn and their alloys) working at normal temperature under stress over an indefinite period of time, are capable of maintaining their mechanical strength. However, at high temperature, especially near the recrystallisation temperature of a material, the duration of stress becomes an important factor. A prolonged stress, at elevated temperature, reduces the mechanical strength properties of metals and alloys. It has been pointed out in Chapter 8 that increase in temperature reduces the modulus of elasticity as well as yield and ultimate tensile strength of metals and alloys. In addition to it, the degree of strain hardening, that result due to plastic deformation, also gets reduced at elevated temperatures. For instance, when maintained at about 500°C under stress for long period of time, plain carbon steel has been found to deform permanently even when applied stress is below its elastic limit. 326 @Seismicisolation @Seismicisolation
  • 354.
    Creep Behaviour 327 Thecritical applications involving high operating temperatures and stresses include parts of internal-combustion engine and jet engine, high pressure boilers and steam turbines, blades of turbine rotor, and cracking stills as used in chemical industries. With increase in operating temperature and applied stress, the deformation may be considerable. This continuous plastic deformation under constant stress that occurs over a long period of time is known as creep. A static load which may not cause any instant permanent deformation, but may cause creep in this material over a long period of time. Deformation that occurs due to creep phenomenon increases with time. The increase of deformation with time is known as creep rate. If the material under stress is heated, the creep rate increases with time and eventually results in rupture of the material. For most materials, creep deformation at room temperature is negligible. At any given temperature, creep rate may be rapid or slow depending on the applied load. Creep rate decreases rapidly as the applied load is lowered. Creep becomes significant in highly stressed components (as mentioned above) operating at elevated temperatures. It is for this reason that creep test is commonly thought of as a high temperature test. If jet turbine blades creep a lot while operating, it is very likely that they get jammed in the turbine leading to costly breakdown. Creep is important not only for the critical applications (cited above) but also is important for such applications as lead pipes, white metal bearings used at or near room temperature, steam and chemical plant components operating in the temperature range 723 K- 823 K (450°-550°C). The most important properties used in the design of materials for elevated temperature applications are the creep strength and creep rupture strength. Creep strength (also commonly called creep limit) is defined as the stress that a material can withstand for a specified period of time without excessive deformation. The creep rupture strength or simply the rupture strength is defined as the limiting stress that a material can sustain for a specified period of time without rupture. In an alternative way, creep strength can also be defined as the constant stress that will produce a specified magnitude of strain (or creep) in a material over a given period of time at a constant temperature. For instance, for a steam turbine blade, the stress required to produce a creep of 0.2% over a period of 105 hours at 1073 K (800°C) is referred to the creep strength of the material used. The term excessive deformation used in the definition of the creep is the maximum permissible strain or deformation at elevated temperature that a component can tolerate without losing its function. This excessive deformation varies with the type of application and with the service conditions. For example, maximum permissible strain in a jet engine is only about 0.01 % in 2000 hours due to close dimensional tolerances involved, whereas in pressure vessels the tolerable strain is as high as 2% without rupture. Creep strength of a material is highly sensitive to temperature. It decreases considerably as temperature of the material increases. As creep strength decreases, the load carrying capability of the material decreases with the increase of temperature. 12.2 CREEP CURVE It is evident from the discussions done in the previous section that though creep is basically a time dependent phenomenon, it is also a function of stress level and operating temperature. For metals tested under the suitable conditions of stress level and temperature over a period of time @Seismicisolation @Seismicisolation
  • 355.
    328 Mechanical Behaviourand Testing of Materials until fracture occurs, the creep behaviour is described by a graph plotted between strain and time. Such a graph is popularly known as a creep curve. Creep is normally observed by placing a load on a standard specimen at constant temperature and the deformation produced with time is measured. Creep curves obtained for different materials under the given conditions of load and temperature exhibit some common features as illustrated in Figure 12. l. These features are described as follows: Primary or transient creep or Stage I D Secondary or viscous creep or Stage II or Steady-state creep ' : Tertiary creep c_______.. Stage III F Fracture E At elevated temperature C - - -- -- - -- -,- - - - -- --- -- - -- -- - - -,- - -- -- - -- __,/ At----~:~-----~:____ At room B temperature o~--~~-----~------------ Time, t FIGURE 12.1 An ideal creep curve showing three stages of creep. (i) If a stress below the proportional limit is applied to a specimen at room temperature, an elastic strain OA will immediately (or instantly) be produced upon application of load. Now whatever will be the duration of loading the strain will remain constant. The strain characteristic under this condition can be described by the path OAB (Figure 12.1). If the same load is applied at an elevated temperature, a strain OC occurs instantaneously. Clearly this strain OC is greater than the strain OA. This increase of strain at elevated temperature under the same loading condition may partly be due to decrease in elastic modulus of the material with increased temperature and partly due to a small amount of plastic strain in addition to elastic strain. Thus, the strain OC may be entirely elastic or elastic plus plastic, depending on the material, temperature and stress. (ii) As the time of loading at elevated temperature is increased, in the beginning, the creep rate increases somewhat rapidly and soon start decreasing with time. The creep corresponds to this segment CD of the creep curve is called primary creep, or the first stage of creep. This stage of creep is also called transient creep. This stage of creep is important for designers in that it is the part of the total creep strain reached in a given time and may affect clearances. Primary creep occurs at all temperatures. @Seismicisolation @Seismicisolation
  • 356.
    Creep Behaviour 329 (iii)Following the end of primary creep, creep occurs at constant rate with time (curve from D to E). This stage of creep is commonly called secondary or steady-state creep. This creep is also referred to as viscous creep. During this stage, creep rate is reduced to a constant minimum rate. This second stage of creep is very useful in most of the elevated temperature applications. (iv) As the steady-state creep continues with time, a point is reached where creep rate starts increasing rapidly until finally rupture occurs at point F (Figure 12.l). This stage of creep from E to F in the creep curve is called tertiary, or third stage of creep. Because of the rapid rise in creep during this stage, this creep is also sometimes called as accelerating creep. The rapid increase in creep rate during tertiary stage is due to the increased stress associated with a reduction in cross- sectional area of the specimen as it elongates during creep under a constant load. The way in which creep rate varies with time is illustrated in Figure 12.2. It can be seen that the creep rate decreases rather rapidly with time in the beginning and becomes minimum during secondary stage of creep. This minimum creep rate remains constant for a sufficiently long period of time. This minimum creep rate is the criterion for evaluating many materials. At the end of this stage, the creep rate rises again at a faster rate. Under sufficiently high stress and/or temperature conditions, the straight line portion of the curve may be only a point of inflection between the primary and tertiary stages, i.e. the second stage of creep does not exist. Stage I Stage II Stage III Time at constant load and temperature - FIGURE 12.2 Variation of creep rate with time during various stages of creep. The varying response of a material with time under the given conditions of load and temperature can be correlated to two opposite processes, namely, the strengthening due to strain hardening and softening by recovery processes. Strain hardening at elevated temperature is believed to be associated with the formation of a subgrain structure. A subgrain structure results due to the rearrangement of dislocations to low angle grain boundaries. The recovery processes involve the thermally activated cross slip, edge dislocation climb and vacancy diffusion. Based on these recovery processes, it can be said that the decrease in strain rate during first stage of creep can be correlated to the formation of subgrain structure that increase the overall resistance to the motion of dislocations. The only recovery process during primary creep is the cross slip of thermally activated screw dislocations. Rate of strain hardening is therefore greater than the rate of softening during primary creep. @Seismicisolation @Seismicisolation
  • 357.
    330 Mechanical Behaviourand Testing of Materials Gradually, the subgrain structure tends to stabilise during the steady state creep. A dynamic balance between strain hardening and recovery processes results in a steady state or minimum creep rate. That is recovery occurs simultaneously with strain hardening resulting in a balance between the two rates. As the prolonged secondary creep continues, a point is reached when the balance between hardening and softening processes is lost. This leads to accelerating or tertiary stage of creep. During this stage, recovery processes predominate over strain hardening. As a result, softening occurs faster than strain (work) hardening. In addition to the increased stress associated with reduced cross-section of the specimen (mentioned above), microstructural changes also result in faster rate of recovery, and hence, softening of the material. Among the microstructural changes are the localised necking, microvoid formation, precipitation of a brittle second phase, corrosion/oxidation at/on grain boundaries, intercrystalline fracture and resolution of second phase precipitate that originally contributed towards strengthening of the alloy. Recrystallisation of originally cold worked material also destroys the balance between strain hardening and softening processes. The creep curve, as discussed above and derived under constant loading and temperature conditions is commonly called conventional or engineering creep curve. This is not a true creep curve as true stress increases with increasing tensile strain (increasing tensile strain results in decreasing cross- section, and therefore, load per unit cross-section is increased at any given instant). A true creep curve should therefore be distinguished from the conventional creep curve. In order to derive the true strain-time curve, the load on the sample is lowered progressively with decreasing specimen cross-sectional area. This is done either manually or by incorporation of a device which automatically lowers the load on the creep stand load train. Usually the tertiary part of the creep does not exist in this curve (refer Figure 12.3). For design purposes, however, the conventional creep curve is important, whereas the true t,,) creep curve is important in the fundamental FIGURE 12_ 3 studies of creep involving the formulation of mathematical creep theories. Engineering F curve Time, t Superposition of true creep curve on engineering creep curve. The creep response of metals depends on many variables. Stress and test temperature are the two important variables which affect the shape of the creep curve. Figures 12.4 and 12.5 illustrate the creep curves obtained for the same material by varying the test temperature and keeping the stress constant or by varying the stress and maintaining the constant temperature. It can be seen that the magnitude of instantaneous strain increases when either the temperature or the stress is increased. The same is true for primary creep also. At low stress for a given temperature or at low temperature at a given stress, the creep curve is characterised by a prolonged steady-state creep with creep rate tends to be negligibly small. Further, it can be noted that creep at low stress or low temperature may not exceed secondary stage up to the duration of the test. The level of creep rises with increasing temperature or stress. As a consequence, the creep rate during secondary stage increases with a decreased duration at @Seismicisolation @Seismicisolation
  • 358.
    Time FIGURE 12.4 Creepcurves for various temp- atures at constant stress. Creep Behaviour 331 0"1 /ffe..::::-------- Time FIGURE 12.5 Creep curves for various stress levels at constant temperature. sufficiently high temperature or stress. This stage no longer exists on the creep curve. The creep curve is characterised by only two stages, namely, the initial decelerating creep rate followed by an accelerating creep rate leading to fracture. 12.3 DESIGN CURVES Creep strength of a material can be determined in several different ways. One of the simplest ways is to perform the test on various specimens at different temperatures and find out the stress levels for allowable minimum creep rate. The curves can be plotted between stress and per cent creep rate per specified number of hours as illustrated in Figure 12.6. Another most common method to express the strength of a material is to plot a graph between stress and temperature for specified minimum creep rates (Figure 12.7). From such a plot one can express the creep strength as stress g:i ~ u5 FIGURE 12.6 Steady-state creep rate, % per fixed period of hours Variation of stress with steady-state creep rate for various temperatures. for a specified minimum creep rate at a given temperature. For example, the point P in Figure l 2.7 shows the stress corresponding to the temperature Q for a strain rate of l % in l000 hours. The most common creep rate corresponds to which the creep strength is specified is l% in l0000 hours. In many instances, the operating temperature and life time of a component are fixed and it is required to know allowable stress that must prevent the part from fracture or from deformation beyond a certain limit. In such cases, tests are performed to obtain a plot between stress (the conventional stress expressed as logarithm) and time (also expressed as logarithm) @Seismicisolation @Seismicisolation
  • 359.
    332 Mechanical Behaviourand Testing of Materials for various strains and rupture as illustrated in Figure 12.8. The creep strength can be determined by drawing vertical line for a given life time along the abscissa (the x-axis). The intersection of this vertical line with the proper curve gives the allowable stress called the creep strength of the material. The design stress will be this stress less a suitable factor of safety. Along with the data points at rupture, per cent elongation and per cent reduction in area are also determined which provide a measure of ductility of the material. The rupture curve shown in Figure 12.8 is useful only when the component is not required to fracture, no matter how much strain is produced prior to fracture. That is, there is no limit on the tolerable strain. In such cases, a number of such curves are obtained at various temperatures and gathered on a single diagram as shown in Figure 12.9. Such curves are popularly known as stress- rupture curves. These curves show the variation in stress as a function of rupture time at several constant temperatures and these are used accordingly. For many applications, the life of a part is so long (for example life time is of the order of l0 years or so) that it is practically not possible to perform the creep test for such a long period of time. In such cases, creep test is performed up to the steady state regime, and the required allowable deformation is determined from the product of minimum creep rate and the life time (e.g. 10,000 hours). Life time can be the time corresponds to rupture of the component or it can be the time which produces a tolerable strain. Generally, creep tests are performed to determine minimum creep rates at various loads for a fixed period of time which may range from 1000 hours to 10,000 hours (i.e. between en en !.1: u5 1% per hr 1% per 1000 hr Q Temperature FIGURE 12.7 Stress as a function of temperature for various creep-rates. en en !.1: ti Ol .2 f3 f2 f1 E4 > f3 > f2 > f1 Temperature = Constant log time FIGURE 12.8 Creep-rupture curves showing effect of stress at constant temperature on the time to rupture or to specific strain. log tR FIGURE 12.9 Stress-rupture curves at various temperatures, a : stress and tR: rupture life (time to rupture). @Seismicisolation @Seismicisolation
  • 360.
    Creep Behaviour 333 40days to 14 months). These creep rates can be used to estimate the deformation that would result after continuous running for about 100,000 hours (about eleven- and a-half year). The creep rate is determined by dividing the total allowable deformation by the life time and the stress corresponds to this minimum creep rate is determined. This stress is the creep strength of the material. Figure 12.10 shows the creep rupture curves (the solid lines) for various temperatures on which minimum creep rate curves (the dashed lines) for corresponding temperatures are projected. The intersection of the solid curves with the dashed curves gives the creep strength at a given temperature. The significance of such curves is to decide such low stress and temperature under which the part should neither fracture nor it should b log tR (solid curves) log emin (dotted curves) enter the tertiary stage of creep. On the basis FIGURE 12.10 Stress-rupture curves showing of these plots a designer can decide a stress the effect of stress on the time to under which the rupture life of the component is far from the service life. 12.4 ANDRADE'S ANALYSIS OF CREEP rupture and minimum creep rate (emin) at various temperatures. Andrade stated that the true creep curve (the constant stress curve) is a superposition of two separate creep processes which occur after the instantaneous strain, eo produced when a load at certain temperature is applied. The first part of the creep curve is called the transient creep during which creep rate decreases with time. After the transient creep the creep rate becomes constant. This part of the creep curve during which creep rate remains constant is known as viscous creep. The superposition of two creep processes constitutes a whole creep curve. Andrade represented such a creep curve by an empirical equation shown below. e =e0 (1 + /3t113) exp Kt (12.1) In terms of length of the specimen at time t, the Eq. (12.1) can be expressed as L =L0 (1 + /3t113) exp Kt (12.2) where L is the length of the specimen at time t, eo, /3 and K are constants. L0 is the length of the specimen just after the load is applied. The constants /3 and K represent, respectively the transient creep (or /3-flow) and viscous creep (or K-flow). or or or When viscous creep is absent, i.e. when K = 0, Eq. 12.2 becomes, L = Lo(l + f3tl/3) L = Lo + Lo/3t113 L - Lo =/3tlt3 Lo e = f3tl/3 (12.3) @Seismicisolation @Seismicisolation
  • 361.
    334 Mechanical Behaviourand Testing of Materials This is the Andrade's equation for Transient creep, and is applicable to metals as well as some plastics. The transient creep rate can be given as: <ei) =½ /3t-2,3 When only viscous creep is considered, i.e. /3 = 0, Eq. (12.2) becomes, L = L0 exp Kt The steady state (viscous creep) in terms of deformation rate is given as: (ev) = ( :~) = K(L0 exp Kt) or (e ) = (dL) = KL (since L = L0 exp Kt from above) V dt K =.!_ (dL) L dt or (12.4) (12.5) K the viscous creep or the steady-state creep, thus represents elongation per unit length which occurs at a constant rate. Thus, K shows the viscous component of creep. In strict sense, K represents the quasi-viscous flow. Thus, creep can also be defined as the quasi-viscous flow of material for indefinite period of time at constant temperature and stress. Transient creep predominates in the first stage of creep. Creep rate decreases from some large value towards a constant value. This large value is associated with work hardening that results as a consequence of previous plastic strain. Transient creep actually involves small additional amounts of plastic strain produced by thermal activation. The yielding (or plastic strain) ceases as soon as it is balanced by the strain hardening. Thereafter, the thermal energy continues to produce further increments of strain. Each increment, however, cause a further small increase in strain hardening. As a consequence, each increment becomes a little more difficult, and therefore, further increments become less and less frequent. Thus, transient creep gradually approaches a maximum constant value. This remains constant during second stage of creep, i.e. the viscous creep or steady-state creep. This type of creep occurs when the strain hardening effect is just balanced by the softening effect of heat. 12.5 CREEP AT LOWER TEMPERATURE Under the combined action of stress and temperature dislocations overcome obstacles and produce creep. Diffusion controlled processes are important chiefly at temperatures greater than about 0.5Tm (where Tm is the melting temperature of the material in Kelvin). At lower temperatures (say 0.05 to 0.3 Tm); the recovery processes which do not involve diffusion play an important role in the creep phenomenon. Cross-slip of screw dislocations and dislocation annihilation are the two predominant recovery processes. Transient creep is the predominate process below 0.5Tm. The transient creep described mathematically by Andrade is expressed logarithmically by Cottrell. According to him the creep rate is expressed as: @Seismicisolation @Seismicisolation
  • 362.
    Creep Behaviour 335 or(12.6) where e is the strain rate, t is the creep time, A and n' are the empirical constants. Different types of creep behaviour can be described by this generalized equation depending on the value of n'. It is generally found that n' decreases with increasing stress and temperature. At low temperature, when n' = 1, the Cottrell equation becomes, e=At-1 On integrating the above equation we get, e = a ln t (where a is a constant) eoclnt (12.7) Equation (12.7) shows that the total extension is proportional to logarithm of time (ln t).Therefore, the associated creep is called the logarithmic creep. The logarithmic creep indicates that the flow of material is appreciable in the beginning, but after some time it becomes too small to be detected. If the applied stress is high enough, the dislocation sources operate quite readily and the dislocation loops glide on the slip planes. However, some of these moving dislocations encounter more difficult barriers than the others. Some of the barriers which impede dislocation motion can be overcome by dislocations due to the processes involving thermal activation in short times. Exponentially longer time is needed to overcome more difficult barriers. Though thermal activation causes the deformation to continue with time, but creep rate falls to a low level at low temperatures. If n' =0, the creep rate is constant ( e =A) and represent the steady-state creep. When n' = 2/3, the Cottrell equation for transient creep is given as: e = /3t113 (12.8) This is the same as obtained by Andrade for transient creep. Thus, logarithmic or transient creep occurs at low temperatures and low stresses where recovery is highly limited. Creep rate is believed to depend on the activation energy to move dislocations. When a load is applied under the given conditions of temperature, the dislocations with lowest activation energy move first and produce initial creep strain. As these easy to move dislocations are exhausted (as when offering obstacles or multiplying to increase their density thereby becoming immobile), creep can continue only by the movement of dislocations of higher activation energy. At low temperatures this activation energy is not available so creep rate decreases with time. Decreasing creep rate during transient creep arises from the increasing dislocation density and the formation of low angle grain boundaries. The escape of screw dislocations from pileups by cross-slip may be the chief recovery process in FCC metals. 12.6 ACTIVATION ENERGY FOR STEADY-STATE CREEP As stated above that secondary creep becomes significant only above about half the absolute melting temperature of the material. This component of the creep arises because of the balance between strain hardening and recovery. At temperatures above 0.5Tm thermal activation is sufficient to move thermally activated dislocations, screw dislocations may escape from pile @Seismicisolation @Seismicisolation
  • 363.
    336 Mechanical Behaviourand Testing of Materials ups, and edge dislocations can escape from pile ups by the process of climb. Dislocation climb is possible only when high thermal activation energy is available for diffusion to take place. Thus dislocation climb is a rate controlling factor. Thermally activated creep can be described by an Arrhenius type rate equation as: e=Aexp(-:) (12.9) where, ~H is the activation energy for the rate controlling process, A is the pre-exponential constant containing the frequency of vibrations of the flow unit, the entropy change and a factor that depend on the structure of the material, T is the absolute temperature and R is the universal gas constant (1.987 cal/mol K or 8.14 kJ/mol K). 12.7 CREEP AT HIGH TEMPERATURE Based on the measurement of activation energy at high temperature it has been found that the activation energy for high temperature creep is equal to the activation energy for self diffusion. In order self diffusion of an atom is to occur, it must be surrounded by a vacant site. For this, some activation energy must be needed. Thus, the activation energy for self-diffusion is the sum of the energies required for creation and movement of vacancies. This gives a strong support to the belief that dislocation climb is the rate controlling step in high temperature creep. As dislocations climb they may also arrange themselves to low energy configuration resulting in low angle grain boundaries. Thus, formation of subgrain-structure is another factor in support of the fact that dislocation climb is the rate controlling factor. Metals in which vacancies move fast, pile-up edge dislocations can escape by climb and assist creep to take place. For instance, it has been pointed out that in a-iron the creep rate is much faster than in y-iron due to much higher self-diffusion in the former. Strain rate in y-iron has been found to be about 200 times lower than that experienced by a-iron with BCC structure. This is due to about 350 fold lower diffusivity in FCC lattice of y-iron. Strain or creep rate is therefore strongly influenced by diffusivity. In a-iron the self-diffusion coefficient increases with increasing carbon content. Cross-slip of extended screw dislocations also involves some thermal activation. 12.8 EQUICOHESIVE TEMPERATURE At low temperatures (up to about one half of the absolute melting temperature) metals under stress deform principally by slip and/or by twinning. If the applied stress is sufficiently large, fracture occurs through the grains. This type of fracture is characterised as transgranular or transcrystalline fracture. In polycrystalline metals at low temperatures, grain boundaries act as a barrier to the motion of dislocations [grain boundaries in which atomic arrangement is no longer regular, act as a barrier to the motion of dislocations, therefore make the material stronger]. So a fine grain structure makes the material hard and strong as more grain boundary area is available. Near upper part of this range small amount of recovery also takes place. At high temperatures (above about 0.5Tm), however, the mobility of atoms in the grain boundary regions becomes high whereas atoms within the grains are still maintaining their stability. Grain @Seismicisolation @Seismicisolation
  • 364.
    boundaries, which atlow temperatures, hold the grains together due to cohesiveness, become weak at high temperatures due to loss of cohesiveness caused by atomic mobility in this region. As a consequence grain boundary sliding occurs at high temperatures. The metal in such a state behaves as a material consisted of strong grains embedded in a thin weak matrix. As a result, a crack once initiated in the weak grain boundary region propagates through them and eventual fracture is characterised as intercrystalline or intergranular fracture. In addition to grain boundary sliding, the other processes that occur at high temperature are subgrain formation, recovery and recrystallisation. There exists a temperature for every metal below which fracture occurs through the grains while above which it occurs through the grain boundaries. That is, the fracture mode at this temperature changes from transcrystalline to intercrystalline while heating the metal. This temperature is called Equicohesive Temperature (ECT), although its value is affected by strain rate. [For alloys, recrystallisation temperature is usually more significant than melting temperature in determining high temperature behaviour]. As the term implies Equicohesive, this is the temperature at which strength of grain boundaries is equal to that of the grains. Grain boundaries are stronger than grains below this temperature whereas they are weaker than grains above this temperature (Figure 12.11). For most of the metals the equicohesive temperature is equal to recrystalli- sation temperature. Again, like recrystallisation temperature, the equicohesive temperature is not fixed but there is a range of this temperature for most of the metals (Figure 12.12). That is, there is a range of temperature over which the strength of grains and grain boundaries is not much different. Below the range, the grain boundaries are stronger while above the range grains are stronger. Figure 12.13 shows the effect of strain rate on .c O> C ~ ci5 Creep Behaviour 337 ECT Temperature FIGURE 12.11 Illustration of equicohesive temperature (ECT). .c O> C ~ ci5 GB: Grain boundary. ECT range Temperatur --· GB FIGURE 12.12 Equicohesive temperature range. :5 Cl C i (/) GB,, ' ---- ' ---- ' -------- ' ---- .............................. ' ECT1 ECT2 Temperature equicohesive temperature. Decreasing strain rate FIGURE 12.13 (£) lowers ECT, and hence, increasing the Effect of strain rate (£) on equicohesive temperature (ECT). tendency for intercrystalline fracture. @Seismicisolation @Seismicisolation
  • 365.
    338 Mechanical Behaviourand Testing of Materials 12.9 DEFORMATION AT ELEVATED TEMPERATURE The principal deformation processes at elevated temperature include slip, subgrain formation and grain boundary sliding. In addition to these principal deformation processes some secondary deformation processes such as multiple slip, the formation of extremely coarse slip bands, kink bands, fold formation at triple points of the grains and grain boundary migration have also been observed during creep studies. A brief discussion of these processes is given in subsequent paragraphs. 12.9.1 Deformation by Slip At low temperature (below 0.5Tm) plastic deformation by slip generally occurs on close packed atomic planes. However, at elevated temperature, slip may also result on other non-close packed planes. For instance, in aluminium, {1 1 1} planes are the only active slip planes at low temperatures. Above about 250°C, the planes {1 0 0} and {1 1 2} also become active and provide slip. Similarly, in zinc, non-basal planes of the type {l O 1 0} also become active for slip above its recrystallization temperature. Similar effect has been shown by magnesium. Coarse slip bands are also observed at elevated temperatures. The tendency of slip band formation increases with increase of temperature. Fine slip lines between coarse slip bands are also shown by some metals like aluminium. Slip band spacing has been found to increase with increasing temperature and lowering stress. Deformation by thermally activated cross slip of screw dislocations also results at high temperatures. Creep deformation has been found to be quite inhomogeneous. As a consequence lattice bending, kink bands, deformation bands, and local bending near grain boundaries tend to occur at high temperatures. Lattice bending results in the introduction of an excess number of dislocations of one sign. These dislocations are randomly distributed on bent-glide planes [Figure 12.14(a)]. At high temperatures and stresses, these dislocations are quite mobile and tend to rearrange themselves in a low energy configuration of low angle grain boundary [Figure l 2.l4(b)]. Dislocation climb also aid to this process. The resulting structure appears as a polygon network of low angle grain boundaries. The size of subgrains depends on the stress and temperature. Low stress and high temperature conditions favour large subgrain formation. Increased number of low angle grain boundaries act as barriers to the motion of dislocations, and thus, results in significant increase in strength. This is why decreasing creep rate is observed during primary creep. The strengthening caused by substructure is counterbalanced by recovery processes during secondary creep. ...L ..L _l_ ...L ...L ..L _l_ j_ ...L ..L _l_ j_ x ...L _l_ _l.... ...L ..L j_ Bent >-: glide planes (a) (b) FIGURE 12.14 Distribution of dislocations in a crystal deformed by bending, (a) Before polygonisation, (b) After polygonisation (low angle boundary configuration). @Seismicisolation @Seismicisolation
  • 366.
    Creep Behaviour 339 12.9.2Grain Boundary Deformation Under high temperature creep conditions, the grains in a polycrystalline metallic material tend to slide past each other. Grain boundary sliding refers to the process in which, in response to the imposed shear stress, one grain slides over another grain with the movement occurring at or in a zone immediately adjacent to their common boundary. Grain boundary sliding is thus a shear process which occurs along grain boundaries. In general, this effect is enhanced by increasing the temperature and/or decreasing strain rate. Grain boundary shearing is therefore a significant process at high temperatures. Grains may be thought of as cemented together by an amorphous or liquid layer of atoms which is incapable of supporting a shear stress at high temperature, and therefore, they tend to slide over each other. The rate controlling step becomes the diffusional accommodation of shear strain at macroscopic defects such as triple points (the grain corners) and ledges. Some investigators believe that grain boundary shear is not only simply sliding of one grain over another, but rather as plastic deformation which occurs in the material along grain boundaries. According to Zener, if a grain boundary under shear stress were to shear, then a sufficiently high stress concentration might develop at triple points and other obstacles along grain boundaries. If the stress concentration is sufficiently large to exceed the cohesive strength of the grain boundaries, a microcrack can develop at these obstacles. The nucleation of microcrack can be prevented if the stress concentration at the end of the relaxed boundary (i.e. at the grain corner or triple point) is relieved by plastic flow in the grain ahead of the boundary. There are two ways to relieve this stress concentration. In one case the stress can be redistributed to cause slip on properly oriented planes in the grain ahead of the boundary resulting in lattice bending which accommodates the shear strain along the boundary. A fold usually forms at the triple point. Grain boundary migration is another mechanism to relieve this stress concentration in the grain boundary. Grain boundary migrates at certain angle with respect to original grain boundary and away from the point of stress concentration. It may be considered to be stress induced grain growth. Grain boundary migration is a creep recovery process which is important as it allows the distorted material adjacent to the grain boundary to undergo further deformation. 12.10 MECHANISMS OF CREEP DEFORMATION Creep deformation mechanisms can often be conveniently presented by deformation maps. A typical deformation mechanism map is shown in Figure 12.15. A deformation mechanism map displays the range of stress and temperature in which each deformation mechanism is dominant. A point on the map identifies the dominant mechanism for a particular stress and temperature. Based on this map the major mechanisms of creep deformation include Dislocation glide, Dislocation creep and Diffusion creep (Coble and Nabarro-Herring creep). In addition to these mechanisms there is another important mechanism named Grain boundary sliding. 12.10.1 Dislocation Glide Dislocation glide involves dislocations moving along slip planes within the grains and overcoming barriers by thermal activation. Thermal fluctuations assist the applied stress and creep can occur at relatively low stresses. Figure 12.15 shows that dislocation glide dominates @Seismicisolation @Seismicisolation
  • 367.
    340 Mechanical Behaviourand Testing of Materials 100 Theoretical shear stress G' --------------------------------------------- l5 (/) 10-2 (/) Dislocation glide - ~ ti ~ ·;;; C 10-4 $ "O (I) .!!? :slocatioc creep - 'iii E Coble creep 0 10-6 z - Nabarro- Herring creep I I I I 0.2 0.4 0.6 0.8 Homologous temperature, T!Tm FIGURE 12.15 Deformation mechanism map. at all temperatures but above the normalised stress (a/G) of 10-2. Here a is the applied stress and G is the shear modulus. The applied stress for dislocation glide is higher than the stress level normally existing in creep deformation. Part of the applied stress has to overcome the inherent resistance of the crystal lattice against dislocation motion. This inherent resistance of the lattice is called Peierls-Nabarro stress. Theory suggests that Peierls-Nabarro stress is low for dislocation motion on slip planes in FCC and HCP single crystal metals, but it may be high for more open lattice of BCC metals. In addition to the Peierls-Nabarro stress (also called lattice frictional stress), a dislocation has to overcome other obstacles as it moves through the crystal lattice. These obstacles introduce internal stress. The applied stress has to overcome this internal stress also for dislocation glide to take place and cause creep strain. Thermal fluctuations assist the applied stress in overcoming the obstacles to plastic deformation. That is, the plastic deformation is considered to be thermally assisted and that it could be described by an Arrhenius type equation . [Q(a)] e= vexp RT (12.10) where, e is the tensile strain rate; v is the frequency factor that includes the frequency of vibrations, the strain per successful fluctuations, the entropy term and the structure of the material. Q(a) is the activation energy which decreases with the applied stress. R is the universal gas constant. Two types of obstacles have been recognised. (i) Those which possess long range stress fields of the order of 10 atomic diameters or greater, and (ii) that possess short-range stress fields of the order of less than 10 atomic diameters. (The Peierls-Nabarro stress may also be considered as this type of obstacle). The energy required to overcome the former type of obstacle may be so large that thermal fluctuations cannot assist the applied stress in the temperature range under consideration. Thus, thermal activation plays no role in overcoming @Seismicisolation @Seismicisolation
  • 368.
    Creep Behaviour 341 theselong range obstacles, and therefore, these obstacles are called athermal obstacles. The typical examples of athermal obstacles include other dislocations lying on parallel slip planes and large incoherent precipitate or second phase particles. Thermal fluctuations can assist the applied stress in overcoming the short-range obstacles and they are therefore termed as thermal obstacles. It is these obstacles (including Peierls- Nabarro stress) that are responsible for the dynamic (time dependent) aspects of plastic deformation. Some common thermal obstacles or mechanisms in pure metals are the Peierls- Nabarro stress, forest dislocations (the dislocations threading the glide plane), cross-slip of screw dislocations, the motion of jogs in screw dislocations and climb of edge dislocations. The Peierls-Nabarro stress, forest dislocations and jogs represent resistance to the motion of dislocations in the slip plane, while cross-slip and climb represent resistance to motion out of the slip plane. The interaction of glide dislocations with forest dislocations on the glide plane and cross- slip of extended screw dislocations in FCC metals involve dislocation glide creep. As a glide dislocation faces (i.e. encounters) forest of dislocations, it is unable to travel far before it intersects other intersecting dislocations lying in the slip plane at various angles (Figure 12.16). There are two consequences of this intersection in the creep deformation. First, the forcing of a dislocation through the stress field of another dislocation which in tum involves work to do. The second effect is that the gliding dislocation once intersects the forest dislocation can receive a jog, the movement of which through the lattice is again a thermally activated process. Formation of jogs on dislocations becomes important when the intersecting screw dislocation receives jog which is edge in orientation. Forest dislocations ---~ - ------~ ~~ ~ Glide dislocation FIGURE 12.16 Intersection of forest dislocations with glide dislocation, I is the dislocation segment between two forest dislocations. In FCC metals, a moving dislocation tends to dissociate into a pair of partial dislocations connected by a layer of stacking fault. Figure 12.l7(a) shows an extended screw dislocation. As this dissociated dislocation glides on primary slip plane of the kind {1 1 1} and if its leading partial encounters the intersecting slip plane {1 1 1}, cross-slip on the cross-slip plane cannot occur with ease. In order cross-slip of extended screw dislocation is to occur, a constriction must result in it. The partials must unite to form a unit dislocation of certain length l as shown in Figure 12.l7(b). However, this needs thermal activation. At creep temperature this activation energy is available. Once the unit dislocation is formed by constriction, it cross-glides on the cross-slip plane under relatively high resolved shear stress [Figure 12.l7(c)]. After cross- @Seismicisolation @Seismicisolation
  • 369.
    342 Mechanical Behaviourand Testing of Materials gliding, the constricted dislocation again dissociates into a pair of partial dislocations as shown in Figure 12.l7(d). In the presence of a sufficiently large shear stress on the cross-slip plane, the extended dislocation glides further to produce creep strain. Partial dislocations Stacking fault---r---i:... Extended dislocation in cross-slip plane (a) (c) (b) Primary-slip plane (f 1 1) (d) FIGURE 12.17 Sequence of steps in the cross-slip of an extended screw dislocation. (a) Extended dislocation, (b) Extended dislocation containing constriction, (c) The constricted dislocation cross glides on cross-slip plane and dissociates into a pair of partials, (d) The dissociated dislocation moves on cross-slip plane under the applied stress. The creep rate associated with dislocation glide and which applies to both transient and steady-state creep is expressed as: (12.11) where, Pm is the density of mobile dislocations which is defined as the number of dislocations free to move under an applied stress with a mean velocity v, b is the Burgers vector. The density of mobile dislocations depends on the internal stress field which in turn varies with position in the crystal lattice. Internal stress thus averaged out as <f;, thus, @Seismicisolation @Seismicisolation
  • 370.
    Creep Behaviour 343 -I Pm=Po G; (12.12) where, Po and l are the empirical constants. This equation also indicates that Pm is dependent on the applied stress if the internal stress, o; is to overcome for dislocation glide to take place. The average velocity of dislocations is given as, (12.13) where Ge is the effective stress and it is the difference of applied stress and the average internal stress (a- G;). v0 and n are the constants. In the localised region (or position) where dislocations are immobile, say due to pile-up, dislocation density is high and the velocity of dislocation motion is low, whereas in other positions dislocations which do not offer any obstacle are easy to move and therefore, dislocation velocity is taken as average velocity. Dislocation velocity is also a function of stress and thermal fluctuations. 12.10.2 Dislocation Creep When dislocation glide is assisted by vacancy diffusion, as in case of a screw dislocation containing a jog which is edge in orientation, resulting creep is known as dislocation creep. Vacancy diffusion is a thermally activated process. Thus, dislocation creep involves dislocation glide which overcome barriers by thermally activated mechanism involving diffusion of vacancies or interstitials. Dislocation creep is seen to dominate the creep process at relatively high stress (though lower than that needed in dislocation glide creep) and at homologous temperatures above 0.5Tm as shown in the deformation map (Figure 12.15), i.e. at normalised stress (a/G) lying in the range 10-4 and 10-2• In terms of normalised stress, the creep rate due to diffusion dependent dislocation creep can be expressed as a power law function of the effective stress: . -A [<a-a;)]m (-Q) ed. - - - - exp IS E RT (12.14) where, a is the applied stress, Q is the activation energy for migrational mechanism, m is the stress exponent of the steady-state dislocation creep process and o; is the internal back stress which must be overcome in the dislocation multiplication process and which must be small compared to the applied stress. Thermally assisted dislocation creep involving diffusion process can be illustrated taking two situations. The situations are as follows: (i) Consider a moving screw dislocation containing a jog which is edge in character (Figure 12.18). Such a jog can move by slip along the dislocation Burgers vector. However, this jog can only move by the process of climb in the glide direction of the screw dislocation. Movement of jog by climb can occur either by creating a row of vacancies or by addition of a row of interstitials to it. Since the energy required to create a vacancy is much smaller than to create an interstitial atom, the former mechanism is favoured [Figure 12.18(c)]. Thus, dislocation climb assists screw dislocation to glide and produce creep strain. However, creation and diffusion of vacancies to jog need thermal activation energy. This activation energy is the same as for self diffusion. @Seismicisolation @Seismicisolation
  • 371.
    344 Mechanical Behaviourand Testing of Materials 0 0 lDirection of movement (a) Slip plane (b) 0 Vacancies (c) FIGURE 12.18 Movement of a jogged screw dislocation. (a) Jogged dislocation under zero stress, (b) Applied shear stress causes screw component to bow out between edge jogs, and (c) Edge jogs move along with the screw segments by non-conservative climb, leaving behind a trail of vacancies. (ii) Another possible mechanism of dislocation climb is shown in Figure 12.19. This figure shows a sessile dislocation which acts as an obstacle to the motion of gliding dislocations and thereby blocking them on the glide plane [Figure 12.19(a)]. As a consequence a dislocation pile-up occurs at the head of the sessile dislocation. This Sessile r dislocation - - Back stress I 0 J_ J_ J_ J_ J_ ~ 5 4 3 2 Slip-plane -r (a) New slip plane r __________" ___J_ __________ - I I I I 0 I J_ J_ J_ J_J_~ Slip-plane 6 5 4 3 2 -r (b) FIGURE 12.19 (a) Dislocation pipe-up at a sessile dislocation, (b) Climb of the leading dislocation 1 over the sessile dislocation results in all dislocations on slip plane to advance. S is the dislocation source r is shear stress. @Seismicisolation @Seismicisolation
  • 372.
    Creep Behaviour 345 dislocationpile-up develops an internal back stress against the stress acting on the dislocation sources. Climb of the leading blocked dislocation over the sessile dislocation [Figure 12.19(b)], permits deformation by glide to continue on the new plane as well as on this plane. In another situation [Figure 12.20], dislocations of opposite sign on parallel slip planes are shown to climb towards each other and getting annihilated. As a consequence of annihilation, their density is lowered which in turn reduces the back stress on the source of generating dislocations. This permits additional dislocations to form and move to produce creep strain. r T T T T lCUmb _L _L _L _L r FIGURE 12.20 Dislocation climb leading to annihilation and thereby continuing the gliding process. 12.10.3 Diffusion Creep The diffusion mode of creep ediff is usually significant only at very high temperatures (about 0.1Tm or more) and at relatively low stress, that is, when the normalised stress (a/G) is less than 10-4. At elevated temperatures, it is believed that high angle grain boundaries act both as efficient sources for vacancies and also for their sink. Diffusion creep is the result of vacancy flux, down a stress gradient between grain boundaries. At low stresses and high temperatures, when creep rate varies with applied stress, Nabarro and Herring proposed that the creep process is controlled by stress directed atomic diffusion. Such diffusion creep involves the migration of vacancies along a gradient from grain boundaries experiencing tensile stress to the boundaries under compression. Simultaneously, atoms migrate in the opposite direction, that is, from grain boundaries experiencing compressive stress towards those which are under tension (Figure 12.21). As a result the grains, and hence the material elongates in the direction of the applied tensile stress. The gradient is produced by a stress induced decrease in energy to create vacancies when tensile stresses are present and a corresponding increase of energy for vacancy formation along compressed grain boundaries. According to Nabarro and Herring, the steady-state creep rate is expressed as: 3 e = 1aDvb s - kTd2 (12.15) where, Dv is the volume diffusion through grain interior, dis the grain diameter, ais the applied stress and k is Boltzman's constant. The other terms are the same as defined earlier. A closely related diffusion creep process is described by Coble which involves atomic diffusion along grain boundaries instead of through the grains as in Nabarro Herring creep process. Accordingly the steady-state creep rate is given as: @Seismicisolation @Seismicisolation
  • 373.
    346 Mechanical Behaviourand Testing of Materials ' ' 'e, , ----v-(,,- ,t , / -(- ' ,,,,,,,,,,...... __ , ,- ,, ( r-----------: After creep ' :, Before creep ,,,-i / ' t~''-;-'/ : ' ' ' ' ' ' ' ' ',, : ' .,,,-,,·" ' , , , I ', ' ,, , , ' '' ' : ___________________________ I FIGURE 12.21 Nabarro-Herring creep mechanism involving migration of vacancies (solid arrows) and atoms (dotted arrows) through the lattice. Elongated grain is shown by dotted surfaces. e == soaDgb b4 s - kTd3 (12.16) where, Dgb is the grain boundary diffusion coefficient. Both Coble and Nabarro-Herring creep processes can be described by a common creep rate equation. Since Coble creep involves diffusion along grain boundaries, this type of creep is more sensitive to grain size than Nabarro- Herring creep. Decreasing grain size will enhance Coble creep. Coble creep can occur at lower homologous temperatures (Figure 12.15). The common creep rate can be expressed as: 3 . CD,..gb a ediff = kTdn (12.17) where, D,.,g is the volume or grain boundary diffusion coefficient, C is the geometrical constant, n is an exponent which is dependent on the diffusion path, being 2 for volume or bulk diffusion and 3 for diffusion along grain boundary. 12.10.4 Grain Boundary Sliding In polycrystalline alloys with equiaxed grain structure, it is difficult to isolate grain boundary sliding (GBS) creep (egbs) contribution from intragranular or dislocation creep (edisl) contribution, since they are not mutually exclusive process. Thermally assisted dislocation motion occurs inside the grains and contributes to dislocation creep strain. If the system is single crystalline or if the grain boundaries are directionally aligned parallel to the stress direction, so that there will be negligible shear across the boundaries, then thermally assisted @Seismicisolation @Seismicisolation
  • 374.
    Creep Behaviour 347 dislocationmotion (or intragranular creep) is the only creep process. In case of polycrystalline metal, if grains are extremely fine, grain boundary sliding is the predominant mode of creep. The creep rate due to grain boundary sliding is expressed as: . f3a2D b3 e = V s - kTdG (12.18) where, /3 is the geometrical constant. This relationship is derived for single phase system. The rate at which GBS occurs at a stressed grain boundary is frequently determined by the boundary shape. Sliding rate changes when the boundary alters its shape during migration. A serrated grain boundary will restrict the sliding process. The precipitation of hard particles into a boundary slows down the steady-state sliding rate. 12.11 METALLURGICAL FACTORS AFFECTING CREEP BEHAVIOUR Creep rupture is a complex process. When an alloy is under stress at elevated temperatures it creeps. During creep some structural changes occur continuously with time. Some of the changes raise the strength, whereas the others reduce it. All the changes and their effects vary with stress, time and temperature. As a result, a metal's behaviour at elevated temperature is very sensitive both to the service conditions and to its own metallurgical conditions. 12.11.1 Effect of Lattice Structure Creep property is greatly affected by the type of lattice structure. This is because of the nature of defects and the self diffusion coefficient that vary with the type of crystal structure. For instance, dislocations in FCC metals usually glide as a pair of partial dislocations separated by a stacking fault. The degree of extension between partials varies with metal to metal. Lower is the stacking fault energy (SFE) more is the extension between partials, i.e. more extended is the dislocation. It has already been explained that cross-slip of extended screw dislocations is a thermally activated process. Lower is the energy of stacking fault more difficult it is for extended screw dislocation to cross-slip as more activation energy is required for its constriction to take place. Only when the partial dislocations combined to form a unit dislocation, it is capable of cross gliding and then dissociate again into partials. Similarly an extended edge dislocation is difficult to climb. Thus, lower SFE favours (enhances) the creep resistance of the metal. BCC metals, on the other hand, have very high SFE so that dislocations do not dissociate into partials, and therefore, such unit dislocations can cross-glide with ease. Sherby and Burke expressed the effect of SFE, r, on the creep rate given as: EsFE =ADy35 (;r (12.19) where, D is the self diffusion coefficient, E is elastic modulus of the material, A and n are constants (usually n takes the value of == 5), a is the applied stress. This equation shows that a low diffusivity, high E and low SFE favour low creep rate. It has already been stated that self @Seismicisolation @Seismicisolation
  • 375.
    348 Mechanical Behaviourand Testing of Materials diffusion coefficient is low for FCC metals than for BCC metals. The BCC structure of ferritic steels is not close packed therefore they cannot contain the stacking fault of the same type as FCC metals. Among FCC metals, the metals with stacking faults of low energy will exhibit low creep rate. Certain metals when alloyed with proper elements, they lower the SFE of the base metal thereby improving creep resistance. A typical example of such alloy is the nimonic alloy (Nickel base superalloy) in which one of the functions of cobalt is to lower the energy of the stacking fault. In general, the substitutional solutes of high valence are more effective in strengthening as these elements decrease the SFE of the solvent metals. Metals with FCC structure are therefore, generally considered as the basis of the best creep resistant alloys (e.g., austenitic stainless steels, nimonic alloys etc.). 12.11.2 Effect of Prestrain Creep resistance is greatly influenced by prior cold work, but this effect could not be expected to persist for long in the steady-state regime at temperatures of about 0.5Tm or more. The effect of prior strain on creep rupture strength of metals is related to the introduction of internal stresses or dislocations into the metal lattice during straining. Prestrain produces a dislocation cell structure which otherwise usually is a consequence during primary or transient creep. There is an optimum amount of prior strain for improving high temperature creep strength and this optimum amount decreases as the service temperature or life increases. Greater amount of prestrain promotes rapid recovery during service at elevated temperature (i.e. when climb and glide allow rapid annihilation of dislocations). The beneficial effect of cold working diminishes, becoming nil or even detrimental at temperatures where recrystallisation occurs. For service either at very high temperature or for very long time, the annealed condition is preferred over cold worked condition. Prior straining must be done at temperature below those at which significant relaxation of internal stresses can occur during deformation or during cool down after deformation. Thus, degree of cold deformation must be selected on the basis of the service temperature and the annealing characteristics of the material. 12.11.3 Effect of Soluble Impurities and Alloying Elements The effect of soluble additions on creep rupture behaviour has been found to correlate well with the effect on recrystallization, at least for small concentrations of solute. Alloying elements that retard recovery and recrystallization are most effective in improving creep strength. Small amounts of alloying elements have surprisingly significant effects on recrystallization behaviour. For example, addition of only 0.01% of manganese and iron decrease the rate of recrystallisation of high purity aluminium by a factor of 1012 to 1016, respectively. Recrystallisation appears to be retarded most by soluble additions that have limited solubility, low diffusion rates and wide differences in atomic sizes from that of the base metal. For instance, addition of 0.01 atom per cent of Mn, Fe or Cr, which have limited solid solubility in aluminium, raised its recrystallization temperature by 180 to 200°C, whereas the same amount of Si, Mg or Cu, which are more soluble, raised recrystallisation temperature by only 50 to 80°C. The effect of soluble additions on recrystallization is probably related to the clustering of the solute atoms about dislocations, grain boundaries, stacking faults, dislocation @Seismicisolation @Seismicisolation
  • 376.
    Creep Behaviour 349 jogsor other heterogeneities in the crystal structure. Thus, solid solution additions can increase the strength by a variety of mechanisms, such as (i) elastic interactions of solute atoms with moving dislocations to increase the Peirls-Nabarro stress or the frictional stress, (ii) interactions with vacancies and dislocation jogs, and segregation to grain boundaries so as to retard grain boundary sliding and migration. Large concentration of solute may lower the creep resistance, even in a single phase alloy. Usually, as the solute is added to a solvent metal, the liquidus as well as solidus temperatures decrease with increase in concentration of solute. As a consequence, atomic mobility increases at elevated temperature. The creep resistance of a solid solution therefore, is a maximum at a particular optimum concentration of solute. This optimum concentration may also change with temperature and duration of testing. Small amount of solute may also raise the creep strength of lightly cold worked metals. Solute elements having high valency are most effective as they decrease the energy of stacking fault. Segregation of solutes in the stacking fault region raises the creep resistance. Segregation of solutes into grain boundaries influence grain boundary sliding and migration. Elements that form interstitial solid solution also enhance creep strength by virtue of dynamic strain ageing effects. Strain ageing may occur in many metallic materials but is best known for its effects in ferritic steels when caused by nitrogen and to a lesser extent by carbon. The usefulness of ferritic carbon steels up to temperatures of the order of 350°C is largely due to strain ageing effects. Some of the alloy steels operating at high temperatures are also benefited by this mechanism. 12.11.4 Effect of Second Phase Particles Both second phase precipitate particles and dispersoids play a very important role in governing creep resistance of metals and alloys. A fine dispersion of second phase particles perform two main functions in imparting creep resistance: (i) they impede dislocation glide and so increase strain hardening; (ii) they inhibit recovery by anchoring the dislocation network formed by strain hardening. However, the highest temperature to which precipitation and dispersion hardened alloys retain useful strength is limited to the temperature at which the second phase become unstable. In particular, the precipitation hardened alloys are limited to this temperature because at near solvus temperature the fine precipitate particles tend to agglomerate and overage and the matrix can undergo recrystallization and grain growth. The service temperatures at which many high temperature alloys are used are well within the range at which the alloys can be age hardened so as to prevent overageing effects. If the alloy is put into service in the solution treated condition, and if the service stress and temperature are such that age hardening occurs during service, the useful life of the component can be increased. On the other hand, if the component is put into service in the precipitation hardened condition, it can, either retain its high strength associated with the fully-hardened condition or suffer from overageing and softening depending on the service conditions. Much depends on the stability of the precipitated particles. The strengthening in precipitation hardened alloys is caused by the coherency strains that surround them and act as traps for trapping dislocations that try to move past. The fine coherent precipitate particles with ordered structure are more effective in imparting strengthening at high temperatures. For example, many nickel base superalloys which are used for high temperature @Seismicisolation @Seismicisolation
  • 377.
    350 Mechanical Behaviourand Testing of Materials applications contain small amounts of aluminium and/or titanium which combine with the matrix metal to form fine precipitates of intermetallic compounds Ni3 Al, Ni3Ti, NiJ(Al, Ti). These intermetallic compounds are highly stable at elevated temperatures and impart strengthening. The dispersed second phase particles are usually completely insoluble in the matrix all the way up to (or even above) the melting temperature of the matrix. However, these dispersoids must be dispersed by a process other than heat treatment. For instance, the second phase dispersoids such as VC, TiC, NbC, Mo2C or Cr23C6 type precipitate carbides in heat resisting steels are liable to coarsen at high temperatures. Once dispersed, the second phase inert particles retain their strengthening action to much higher temperatures than is possible with precipitate particles in precipitation hardened alloys. They also tend to stabilise the matrix and make it more resistant against recrystallization. The recrystallization in dispersion hardened alloys is affected by retardation of grain boundary migration by the second phase dispersed particles. In addition, second phase sub-microscopic particles pin the subgrain boundaries and stabilize them. The consequent effect is the retardation of recrystallization. Oxides are among the most stable compounds at elevated temperatures as they have large negative free energies of formation and high melting temperatures and accordingly they are most widely used as second phase dispersoids in dispersion strengthened alloys. Thoria (ThO2) dispersed tungsten used for incandescent filament is the typical example of dispersion strengthened alloys. Sintered Aluminium Product (SAP) can retain its strength up to about 0.9Tm or even more. ThO2 dispersed nickel (TD-nickel) is another example of commercial dispersion strengthened alloy. 12.11.5 Grain Size Usually a fine grained structure is preferred for creep resistance if the service temperature is below the equicohesive temperature. The reverse is true above equicohesive temperature that is a coarse grained material is more creep resistant above equicohesive temperature. The other factors that influence creep resistance include method of steel making, heat treatment of steel and environment. Among the various methods of making steel, induction melted and vacuum melted steels have been found to possess superior creep properties than others. The steel produced by electric arc furnace is next best in this regard. Normalised structure imparts optimum creep properties to steels while next best structure is annealed one. Quenched structure appears to be very poor in this regard. Oxidising and corrosive environments greatly reduce creep properties at elevated temperatures. 12.12 CREEP RESISTANT MATERIALS The demand for new materials in high temperature service is growing fast. This demand initially arose because of the philosophy that a greater efficiency is possible at high temperatures in many process operations and heat engines, including cracking stills, steam turbines, turbo- superchargers and gas turbines. Supersonic aircrafts and missiles present new problems of oxidation, abrasion and high temperature strength because aerodynamic heating in high speed flight causes skin temperature to rise to high values. The basic criteria for materials suitable for structural uses at high temperature include high melting temperature, reasonable strength at @Seismicisolation @Seismicisolation
  • 378.
    Creep Behaviour 351 servicetemperature coupled in some cases with, light weight and high stiffness, ease of fabrication, sufficient ductility at room temperature and at high operating temperatures to resist brittle fracture, and resistance to oxidation. Creep resistance is a form of strength and, apart from the influence of grain boundaries, and thus grain size, the mechanisms which are used to increase creep strength in materials are broadly the same as those used to improve ordinary room temperature strength. This includes solid solution strengthening and precipitation strengthening. Differences in creep resistance from one material to another depends on the persistence of the strengthening mechanisms with increasing temperatures. At low temperatures, less than about 0.25Tm, thermal softening cannot occur so that creep rate decreases rapidly with time, and eventually to zero. This is termed as logarithmic creep, and it may be attributed to work hardening, i.e. a progressive increase in dislocation density and refinement of dislocation network. The total strain is very small and it is relatively insensitive to stress and temperature. It is important only in applications where high dimensional stability is critical, e.g. in instrumentation. Creep resistance is increased by solid solution strengthening, although the contribution is not large. Alloys with elements in solid solution are used in applications where stress is not a factor; the alloying elements provide good corrosion resistance, workability and fabricability. (Effect of alloying elements on creep property is already been discussed). Examples include Ni-Cr alloys with Co, Mo, and tungsten additions and Fe-Cr-Ni alloys with carbon additions. Interstitial solid solution strengthening increases creep resistance by strain ageing effects. In ferritic steels, this is achieved by nitrogen and carbon additions. For example, strain ageing effects allow the use of ferritic carbon steels to temperatures as high as 315°C. Prior cold work is useful for increasing creep resistance; however, recrystallization reduces the effect at operating temperatures of about 0.5Tm. In the lower temperature range of creep, the benefit is longer lasting; this is valuable in silver-bearing copper alloys used in electrical motors and generators, for example. The most important method to improve creep strength is to incorporate a fine dispersion of second phase ceramic particles such as oxides, carbides, borides and nitrides of metals, within the grains. A brief description of materials useful in different temperature ranges is given as: Below 423 K (150°C): Below 423 K (150°C) electrolytic copper with a small amount of cadmium is used successfully. Silver-bearing tough pitch copper can be used up to 473 K (200°C). Between 423 K-713 K (150°-440°C): Magnesium alloys including Mg-Re-Zr, Mg-Re-Zn-Zr, Mg-Th-Zr, and Mg-Al-Zn alloys are useful up to 588 K (315°C). Magnesium alloys containing thorium imparts greatest creep resistance. Aluminium-bronzes can be used up to about 673 K (400°C) for short times without appreciable loss in strength. High alloy grades of cast irons are used for low pressure casings at temperatures below 523K (250°C). Above this temperature plain carbon steels are used. The upper temperature limit for plain carbon and manganese steels is about 698 K (425°C). Low alloy steels can be used for long time service (about 2 x 105h) but at much lower temperatures. Between 673-873 K (400°-600°C): Where cost is not a factor and higher density is acceptable, low alloy steels are the choice in this temperature range. Above 673 K (400°C), alloying with molybdenum increases creep resistance. Cr-Mo and Cr-Mo-V steels are used up @Seismicisolation @Seismicisolation
  • 379.
    352 Mechanical Behaviourand Testing of Materials to 773 K (500°C). Steel with nominal composition of 0.2C-1Cr-1Mo-0.25V is universally used for high pressure turbine rotors. The 2.25Cr-1Mo steel is used for high temperature steam piping and in applications requiring high resistance to hydrogen attack to about 833 K (560°C). However, low alloy steels suffer from scaling above 833 K (560°C) and are therefore not suitable above this temperature. Alpha-titanium alloys have the best creep resistance in this temperature range while ,8-titanium alloys have the worst. The popular a-,8-titanium alloy (Ti-6Al-4V) is limited to a maximum operating temperature of about 723 K (450°C). Near a-alloys are superior to Ti-6Al-4V alloy with regard to creep resistance up to about 793 K (520°C). However, Titanium alloys are not considered suitable at service temperatures above 873 K (600°C) because they are susceptible to embrittlement and surface oxidation. Titanium alloys have high specific strength; high fatigue strength coupled with good toughness and are especially suitable where lower weight of the component is a critical requirement. These alloys also have low crack propagation rate and low thermal expansion. Their major applications include compressor guide and rotor blades, compressor discs and other parts of gas turbine engine; combustion chamber, turbine blades and all the exhaust pipes in a jet engine; high strength aircraft structural components; and rocket engine casings. Between 873-923 K (600°-650°C): In addition to creep resistance, oxidation resistance becomes an important consideration in this temperature range. Higher chromium content is therefore added to steel to improve its scaling resistance. A minimum of 8% Cr is required for operating temperature up to 923 K (650°C). Ferritic steels are less costly than austenitic grades. However, the ferritic steels are susceptible to 748 K (475°C) embrittlement when chromium exceeds 13%. Rupture and creep strength are relatively low for ferritic steels (probably due to BCC structure) as compared to austenitic grades. The main advantage of ferritic steels is their good oxidation resistance, which is comparable to that of the austenitic grades. Ferritic steels are difficult to weld. Between 923-1273 K (650°-l000°C): Austenitic stainless steels and superalloys are the two major alloy groups used in this temperature range. The upper temperature limit of standard austenitic stainless steels is about 1023 K (750°C). Type 316 stainless steel has the highest stress-rupture properties of any 300 series alloys. More highly alloyed compositions, containing Mo, Ti, W and Nb, have higher stress-rupture strength than 300 series alloys in the temperature range 813-1088 K (540°-815°C). The term Superalloys was first used during world war II to designate a group of alloys developed for use in aircraft turbine engines which require high performance at elevated temperatures. Subsequently, such alloys have come to be described as superalloys, the most important properties of which are long-time strength at temperatures above about 923 K (650°C) and high resistance to hot corrosion and erosion. Superalloys are broadly classified into three categories, namely, iron-base, nickel-base and cobalt-base superalloys. The major alloying element present in all these superalloys is chromium and moderate to small amount of other alloying elements include Al, Ti, Mo, W, V, Nb and Ta. These elements are capable of raising not only high temperature oxidation and creep resistance but also resistance against thermal shock, fatigue and corrosive environment produced by the ionic salts and combustion products of the fuel. The protective action against corrosion and oxidation is provided by Cr20 3 or Al20 3 surface films. In addition to aircraft, marine, industrial and vehicular gas turbines, superalloys are now being used in space vehicles, rocket engines, @Seismicisolation @Seismicisolation
  • 380.
    Creep Behaviour 353 experimentalaircrafts, nuclear reactors, submarines, steam power plants, petrochemical equipments and other high temperature applications. The largest use for superalloys, however, is in gas turbine industry. Iron-base superalloys have their place at the lower end of the temperature range. In fact their strength decreases rapidly above about 923 K (650°C), and hence, they are mostly used in the temperature range of 773-1023 K (500°-750°C). In general, these alloys are less expensive than nickel or cobalt-base superalloys. These alloys are austenitic just as steels and are highly alloyed modifications of the standard AISI 300 series of stainless steels. The modifications increase creep-rupture strength and so these alloys are commonly called superalloys. Though the more highly alloyed grade may contain the iron content less than 50% yet they are certainly iron-base alloys in the sense that iron is the principal element in their compositions. These are an intermediate class between the austenitic stainless steels and the cobalt- and nickel-base superalloys. These alloys are strengthened by precipitation of carbides or intermetallic compounds in a FCC matrix (i.e. austenite). The most common precipitate is gamma prime (y'), in alloys such as A286, V57 and Rex 78. [Gamma prime is the name commonly applied to Nickel aluminide containing titanium and is represented as NiJ(Al,Ti)]. The first two of these alloys are mostly used in gas turbine wheel (disc) and rotors where the temperatures are generally less than 760°C. This temperature exists only on the outer rim in the area of blade attachment. These alloys contain about 15% Cr to provide corrosion resistance and 25% Ni to stabilize austenitic structure. Molybdenum is added in moderate amount for solid solution strengthening. Precipitation strengthening is imparted by titanium and aluminium. In the alloy Incoloy 901, part of the iron is replaced by nickel to improve high temperature stability. These alloys are also called Nickel-iron base alloys. Other Fe-Ni superalloys are modified stainless steels, such as incoloy 800H and strengthened by r' precipitate formed by small additions of aluminium and titanium. The applications of iron-base superalloys include gas turbine and supercharger components such as wheel or disc forgings, blades, shafts, frame casings, and spacer rings; jet engine tailpipes and afterburner sheet metal assemblies; exhaust mainifolds for reciprocating aircraft engines; steam turbine and turbo-generator parts; high pressure, high temperature, steam pipings; baskets, trays, muffles, radiant tubes, etc., for heat treating; reformer and cracker tubes in petrochemical field; sheath material for electrical resistance heating elements; and high temperature springs, bolts, nuts and other fasteners. Nickel-base superalloys form the majority of the superalloys and offer the highest strength at elevated temperatures. These are reasonably stable between 823 K (550°C) and 1273 K (1000°C). The excellent properties of these alloys are derived by the following strengthening mechanisms: (i) Solid solution strengthening (ii) Carbide precipitation (iii) r' intermetallic precipitation, for instance, based on Ti & Al and oxide dispersion strengthening. Nickel-base superalloys contain iron and chromium as the major alloying elements. Small amounts of Al, Ti, Ta, Nb, Mo, Co, Hf and W are added to improve either strength or corrosion resistance. The microstructure of these alloys consists of a FCC solid solution matrix, carbides @Seismicisolation @Seismicisolation
  • 381.
    354 Mechanical Behaviourand Testing of Materials and coherent intermetallic r' phase [NiJ(Al,Ti)]. Addition of cobalt raises the r' solvus temperature (the temperature above which r' phase tend to dissolve), and thus, improve temperature capability. Tungsten, molybdenum and chromium are most effective solid solution strengtheners. Elements such as Cr, Mo, and Ta form a series of carbides, which contribute grain boundary strengthening. Aluminium and Chromium provide oxidation resistance while Cr and Ti are effective in imparting hot corrosion resistance (sometimes called sulphidation). In general, the properties of Ni-base superalloy are - high temperature strength, excellent corrosion resistance, good ductility, oxidation resistance and hot corrosion resistance, microstructural stability, mechanical formability and castability. Some typical Ni-base superalloys include nimonic 75, waspaloy, inconel 718, nimonic 80, inconel X750, and hastelloy. These alloys are mainly used for turbine blades, combustion chambers, high pressure compressor discs vanes and integral turbine wheels (i.e. the buckets and disc cast in single piece). In addition, they find uses for making furnace parts, high temperature tooling and special springs. Cobalt-base superalloys are strengthened by a combination of carbides and solid solution hardening imparted by refractory metals such as Mo, W and Nb. No intermetallic compound with the same degree of effectiveness as the r' precipitate in Ni-base and Fe-base superalloys exists in Co-base superalloys. At intermediate temperatures these alloys are normally somewhat inferior to the Ni-base superalloys but these can be superior at higher temperatures [above 1253 K (980°C)]. With a chromium content of 20-25%, they have better resistance against oxidation and corrosion. These are less sensitive than Ni-base alloys to attack from sulphur in fuel. Generally, Co-base superalloys are used in cast form, but wrought forms are also available. Cast cobalt-base superalloys are normally FCC matrix (austenite) soild solutions containing one or more carbides. The strength is achieved both by solid solution hardensing with a combination of Ta, Nb, Mo, W and Cr and most importantly, through dispersion strengthening by carbides of these elements or zirconium. Nickel stabilizes the FCC austenite structure of these alloys and offsets the tendency of refractory metals to cause transformation to HCP structure. A popular method to improve the oxidation resistance of Ni- and Co-base superalloys is to diffuse aluminium into their surfaces so as to form an intermetallic compound nickel aluminide (NiAl), beneath which a reaction diffusion zone usually forms. Upon oxidation exposure, a tenacious Al20 3 film forms on the surface of the aluminide and serves as a primary barrier against further reaction with the environmental constituents. If the oxide film is damaged or if part of it spalls on thermal cycling, the underlying aluminide is again exposed and reoxidised to rebuild the protective scale. Co-base superalloys are used for the hottest portions of combustion chambers such as nozzles and after-burners; turbine vanes (which form stationary part), and almost all industrial turbine hot static parts. The temperature that can be sustained by Co-base superalloys range from 973 K to 1313 K (700°C to 1040°C) under stresses as high as 35 MPa to 70 MPa. Important alloys are being MAR-M540, MAR-M322 and FSX414. Co-base superalloys are usually used in cast form. Tables 12.1-12.3 show the chemical composition of some typical supperalloys. @Seismicisolation @Seismicisolation
  • 382.
    Creep Behaviour 355 TABLE12.1 Chemical composition of some Fe-base superalloys Alloy grade Nominal composition, wt% Fe Cr Ni C Mn Si Others A-286 54 14 26 0.08 max 1.00-2.00 1.00 max 1.80 (Ti+Al+ Ta+Nb) Discaloy 51 16 25 0.08 max 0.60-1.50 0.40-1.00 6.00 (W+Mo) V-57 52 15 27 0.08 max 0.60-1.00 0.40-1.00 3.20 (Ti+Al+Ta+Nb) 1.20 (Mo+W) TABLE 12.2 Chemical composition of some Ni-base superalloys Alloy grade Nominal composition, wt% Fe Cr Ni C Mn Si Co Others Nimonic 75 5.00 18.0- Bal. 0.08- 1.00 1.00 0.20-0.60 Ti, max 21.0 0.15 max max 0.50 (max) Cu Nimonic 80 5.00 18.0- Bal. 0.10 1.00 1.00 1.80-2.70 Ti, max 21.0 max max max 0.50-1.80 Al Nimonic 115 1.00 14.0- Bal. 0.20 1.00 1.00 13.60- 3.00-5.00 Mo, max 16.0 max 16.50 3.5-4.5 Ti, 4.5-5.5 Al Waspaloy 2.0 18.0- Bal. 0.10 1.00 0.75 12.0- 3.50-5.00 Mo, max 21.0 max max max 15.0 2.60-3.25 Ti, 1.00-1.50 Al, 0.05-0.02 Zr, 0.003-0.010 B Inconel 600 6.00- 14.0- 72.0 0.15 1.0 0.50 0.50 (max) Cu (formerly 10.00 17.0 min max max max Inconel) Inconel X-750 5.00- 14.0- 70.0 0.08 1.00 0.50 0.70-1.20 Nb, (formerly X) 9.00 17.0 min max max max 2.25-2.75 Ti, 0.40-1.00 Al Hastelloy B 4.00- 1.00 Bal. 0.05 1.00 1.00 2.50 26.0-30.0 Mo, 7.00 max max max max max 0.20-0.60 V @Seismicisolation @Seismicisolation
  • 383.
    356 Mechanical Behaviourand Testing of Materials TABLE 12.3 Chemical composition of some Co-base superalloys Alloy Grade Nominal Composition, wt% Fe Cr Ni C Mn Si Co Others MAR-M 302 1.00 21.5 1.50 0.85 1.00 1.00 Bal. 10.0 W, max max max max 9.0 Ta, 0.25 Zr, O.Gl (max) B MAR-M 322 1.50 20.0- 0.90- 0.20 0.20 Bal. 8.0-10.0 W, max 23.0 1.10 max max 4.00-5.00 Ta, 0.65-0.85 Ti, 2.00-2.50 Zr MAR-M 509 21.5 10.0 0.60 Bal. 7.00 W, 3.50 Ta, max 0.20 Ti, 0.50 Zr Hayens 151 20.0 1.00 0.47 Bal. 12.8 W, 0.15 Al, max 0.05 B FSX-414 2.00 25.0 10.0 0.35 54.0 7.50 (Mo+W) 1273 K (l000°C) and above: Refractory metals tungsten, molybdenum, niobium, and tantalum are commercially available for use above 1000°C. However, they are used in environmentally protected applications. For example, tungsten is used for electric lamp filaments and molybdenum is used as radiation shielding in high temperature furnaces. Tungsten and tantalum are too heavy to be suitable for use in turbine applications. They can be used up to l500°C provided the protective atmosphere is used to protect them. @Seismicisolation @Seismicisolation
  • 384.
    Non-Destructive Testing 13.1 INTRODUCTION Anindustrial product is designed to perform certain function. When a user purchases such a product he expects that it should perform the very function for which it is designed and it must give trouble free service without premature failure, i.e. it should not fail before the stipulated period of time for which it has been designed. The trouble free service given by the product is called reliability, and the product giving trouble free service is called reliable product. The reliability of a machine or a structure further depends on the reliability of the individual components forming them. To ensure the reliability of a machine or a structure as a whole, it is important that each individual component must be reliable and perform its function smoothly for the pre-assessed life. In order to ensure the reliability of the components, their quality must be improved. The quality of products, components or structural parts depends on many factors such as design, properties of raw materials used and fabrication techniques. Quality is related to the defects (adefect is nothing butaflaw which makes the component unfitfor service.Aflaw with an undesirable connotation is called a fault or mistake) which reduce the performance level of the finished product. Some defects such as seams, subsurface flaws and cracks are inherent in metallic products. Defects may arise during manufacture of raw materials or the production of castings (such as stress cracking, gas porosity, shrinkage porosity, slag inclusions and segregation), fabrication of components (such as machining faults, heat treatment defects, welding defects, residual stress cracks, seams, etc.), component assembly (such as missing parts, incorrectly assembled parts, additional welding defects, additional stress cracking, misalignments). Many defects such as fatigue crack, corrosion crack, wear crack, stress corrosion crack, etc., are also generated during service conditions under which the components have to work. Knowledge of these defects with 357 @Seismicisolation @Seismicisolation
  • 385.
    358 Mechanical Behaviourand Testing of Materials a view to detect and evaluate them, and then, minimising them in the product is essential to achieve improved or acceptable level of quality. An improvement in the product quality not only increases its reliability, but it is also beneficial from the point of view of safety of the machine and equipment, and thus, it is viable economically to the user. The properties of raw materials used in the manufacture of a machine or structure are assessed by means of standardised tests on prepared test samples. The valuable information obtained from these tests includes data on tensile, compressive, impact properties, etc. However, these tests are destructive in nature and there is no assurance that the part used in the structure or machine will behave in the same way during service as it was tested and they may perform differently because other flaws might have introduced during processing (such as heat treatment, machining or rolling) or fabrication (such as casting or welding). Some common flaws found in metallic products are seams, subsurface flaws and cracks resulting from quenching, embrittlement and fatigue. There is, therefore, a need to have methods by which flaws in the finished products can be detected or examined without affecting their performance. Non-Destructive Testing (NOT) is one such class of techniques widely used in industries. Use of NOT of engineering materials, components and structures has been gaining lot of interest in recent years because of all-round thrust for improving the quality and reliability of the product, particularly in the field of atomic power, aerospace and defence. Furthermore, there has been an increasing emphasis in recent years on modem concepts like Total Quality Management. The scope of NOT is very wide and includes the measurement of properties and detection of defects which affect in the widest sense, the performance capabilities of test components. The basic objective of NOT of materials and structural components is the assessment of their probability of survival under known service conditions. The assessment is made through detection of defects or disorders that may lead to premature failure of the parts. Not only the detection, but the nature, location and geometry of flaw, i.e. the size, shape and orientation of flaw is important in characterising it completely. NOT techniques of materials are based on some basic physical principles. Although NOT is basically understood to be an inspection procedure for detection of defects, yet the techniques of NOT can be applied for other kinds of qualitative analysis, like thickness measurement, assessment of surface finish, structural analysis and related physical properties like grain size, grain orientation, elastic constants, etc. Depending on the severity of service conditions, component is required to undergo non- destructive examination by at least one test for each of the following categories: (i) Visual examination (ii) Surface examination by liquid penetrant test, magnetic particle inspection, or eddy current test (iii) Volumetric examination by ultrasonic testing and radiographic test (iv) Performance test by hydro test/leak test/acoustic emission test (AET) Acoustic emission test is the only NOT method which can detect the presence of growing flaws in a component under stress. The major features of the first three categories of NOT techniques are shown Table 13.1. Generally, a single technique of NOT is not enough to evaluate the quality of a casting, structural or machine component completely and accurately. Therefore, combinations of two or more techniques of NOT are in common use. @Seismicisolation @Seismicisolation
  • 386.
    Non-Destructive Testing 359 TABLE13.1 Important features and applicability of some NOT methods NDT techniques Liquid penetrant Magnetic particle Eddy currents Ultrasonic testing Radiography Features Applicability Detection of flaws open to the surface Can be used for any metal (cast, weld, machined, wrought parts), many plastics, glass and glazed ceramics for surface cracks, porosity, laps, lack of weld bond, grinding cracks, fatigue cracks Detection of surface and shallow Can be used to only ferromagnetic subsurface flaws materials (most steels/cast irons) for surface and subsurface flaws such as cracks, porosity, and weld defects Both surface and some sub-surface Can be used for any metal parts such as defects can be detected; thickness of tube, bar stock or wire of uniform non-conducting coatings such as paint thickness, and flats on a metal can also be measured Both internal and surface flaws can be Can be used for metals and hard non- examined metallic materials in the form of tubes, rods, sheets, forgings and castings, for detection of cracks, inclusions, porosity, lack of bond, lamination, etc. In addition to internal and surface Castings, forgings, and welded vessels, defects the correctness of some part assemblies of electronic parts and assemblies can also be examined corrosion surveys. 13.2 VISUAL INSPECTION Visual inspection of a component is the cheapest and fastest method of NOT and is probably the most widely used among all NOT methods, in particular, when surface flaws are to be detected. Some times the advantages of this method are overlooked and this method is not listed as a test method of NOT. In fact, this method of NOT should be used as the foremost method to reveal gross surface flaws so that detection of any flaw leads to immediate rejection of the component under examination. Thus, saving lot of money and time, which would otherwise be spent on more complicated and relatively time consuming methods. Visual inspection can reveal surface defects or flaws such as weld cracks, weld seams, weld undercutting, surface porosity of welds or castings, etc. The basic principle involved in visual inspection consists of illuminating the object or the test specimen with light in the visible region. The specimen is then examined with the aid of eye, magnifying glass, and microscope or by light sensitive device such as a photocell. Unfortunately, the eye is not an accurate device and vision can vary from individual to individual. Under ordinary conditions, the human eye appears to be the most sensitive to yellow-green light which has a wavelength of 5560A. The eye is not reliable when @Seismicisolation @Seismicisolation
  • 387.
    360 Mechanical Behaviourand Testing of Materials differentiating between light intensities. Thus, for best results of a visual inspection, the contrast between the defect and the background must be good. The minimum size of defect that can be revealed with unaided eye also depends on this contrast. To achieve this contrast etching is done sometimes. An experienced and skilled inspector looks not only for the surface flaws but also for their orientation. In addition, he also examines the part for general inspection such as appearance, presence or absence of foreign matter, oxide film, and corrosion product or machine markings on the surface. In many instances, the area under examination should be cleaned before examination to reveal hairline flaws and to inspect the surface with the aid of optical means such as a magnifying glass or optical microscope at low magnification. Other physical aids used for visual inspection include horoscope (an instrument to inspect the inside of a narrow tube, bore or chamber) and endoscope (an instrument similar to horoscope, but much easier to use). Applications of visual inspection can be summarised as follows: (i) General inspection of the component for the presence or absence of corrosion or erosion product or cracking due to them (ii) Inspection of thin walled tubular component for leakage (iii) Defects such as seams, tear cracks, porosity, mismatch, gross surface cracks, etc. in the weldments (iv) Minute discontinuities in pumps, compressors, turbo generator parts, instruments, etc. 13.3 LIQUID PENETRANT INSPECTION (LPI) As mentioned above, the success of visual inspection largely depends on the ability and experience of the inspector. Unfortunately, the inspector's vision varies in a single person and even more so among several persons. This difficulty is overcome in the Liquid penetrant inspection. All liquid penetrant methods are non-destructive in nature and can be effectively used for both ferrous and non-ferrous metal products. Non-porous and non-metallic materials such as ceramics, plastics and glasses can also be examined for surface discontinuities using this technique. These surface discontinuities which break the surface include surface cracks, seams, laps, blow holes, porosity, pin holes and laminations in products such as pressure vessels, pipes, weld joints, etc. Liquid penetrant method is very reliable in detection of fatigue cracks which occur during service period of a material. Liquid penetrant examination is simple, less expensive, fast and reliable, but its use is limited to those defects which are open to the surface of the component and capable of giving only approximate depth and size of flaws. This technique is applicable to almost any component, whether it is small or large, of simple or complex shape. This technique can be carried out at any stage from in-process to final or during maintenance of a component. This method has a significant advantage over other NOT techniques, with possible exception to magnetic particle inspection that a part can be tested over its complete surface in a relatively short time, irrespective of shape, size and orientation of defect. This method utilises the natural tendency of a fluid to segregate in vicinity to a surface discontinuity, and this gives an indication of a crack or any other surface discontinuity. In case a surface discontinuity exists, liquid has tendency to seepage into it as compared to the @Seismicisolation @Seismicisolation
  • 388.
    Non-Destructive Testing 361 surroundingarea by capillary action. In order to detect a minute discontinuity, a good contrast must be developed between the background and the area of excess fluid. The basic principle of liquid penetrant inspection depends on the ability of the liquid penetrant to wet the surface of the component under test and flow over the surface to form a continuous and reasonably uniform coating, thus penetrating into the surface discontinuities if exists any. The ability of a fluid to spread over a surface and penetrate the surface depends on certain factors. These factors include surface tension, viscosity and capillary action of the fluid. Viscosity of a fluid affects the flowability of the fluid. Viscous fluids are difficult to spread over the surface and take more time to penetrate the surface discontinuities (in particular, when they are fine) and are therefore not suitable as penetrant in LPL Such discontinuities can be made visible by subsequent development. In order to achieve good defect visibility, the penetrating liquid will either be coloured with a bright and persistent dye or else contain a fluorescent compound. In the former type, the dye is generally red in colour and the developed surface can be viewed in natural or artificial light. In the latter case, on the other hand, the component must be viewed under ultraviolet light in order to visualise the defect. When the particles in the fluorescent fluid are struck by ultraviolet light, they are excited to a higher energy state. After being excited, these particles have natural tendency to come to the ground or the original energy state. In doing so they emit light radiations having wavelength longer than the original source. Thus, the emitted light is in the visible spectrum. Since the ultraviolet light is not visible to the human eye, it is also called black light. 13.3.1 Procedure The process involves five major steps which are illustrated in Figure 13.1. These steps are as follows: (i) Surface preparation (ii) Application of penetrant (iii) Removal of excess penetrant (iv) Development (v) Observation and inspection Surface preparation Surface preparation before the application of liquid penetrant on the surface of the component under test is one of the most important steps in the Liquid Penetrant Inspection (LPI). The surface must be cleaned thoroughly and subsequently dried completely so that if a surface discontinuity exists it must be open to receive the penetrant. Presence of paint, dirt, scale, grease or flakes on the surface of the component tend to mask the surface discontinuities, and thus, prevent the liquid to penetrate them or may serve to create a doubt of a defect which in reality does not exist on the surface. After a through initial brushing, the surface is treated with solvents such as alcohol, carbon tetrachloride, benzene, or spirit render it free from foreign matter (i.e. paint, scale, etc. that might exist on the surface). Further, it is essential to dry the cleaned surface adequately otherwise presence of any residual cleaner may dilute the penetrant and decrease the brightness of the indication. @Seismicisolation @Seismicisolation
  • 389.
    362 Mechanical Behaviourand Testing of Materials Penetrant · T· :·.-_........._.-... (< ......___ -_.- T .···.. .;·. ,,,:. ,_; .•· Wash .-{IA•.. (a) (b) (c) Developer UV or visible light for inspection (d) Sucked penetrant into the developer /1 (e) FIGURE 13.1 Steps in Liquid Penetrant Inspection (LPI). (a) Component surface is cleaned and degreased, (b) Applied penetrant is drawn into the defect, (c) The excess penetrant washed away from the surface, but not from defect, (d) Developer is applied which sucks away the penetrant from the defect, and (e) Detection of defect in UV or visible light. Application of penetrant After cleaning the surface, the liquid penetrant is applied on it uniformly so as to cover it completely. The liquid should flow freely onto the surface and should be maintained there for a sufficient time (called dwell time) so that the liquid penetrates the discontinuities completely if they exist on the surface. A dwell time of about 20-30 minutes is allowed after penetrant application. In some instances, a larger dwell time is required. In case of small components, the component itself is dipped into the liquid penetrant bath. Removal of excess penetrant This step appears to be the most important in the entire process of LPL Once it is ensured that the penetration has occurred completely into the surface discontinuities, the excess liquid must be removed carefully from the surface so that the background of the surface is completely cleared of the penetrant, but the surface discontinuity must retain the liquid entered into it. Any excessive cleaning may result in the partial removal of the penetrant from the top of the defect region. As a consequence, the developer, in the subsequent stage, is unable to reach the penetrant in the discontinuity, and no defect is revealed in spite of its existence. Development The development stage is essential to reveal distinctly a surface discontinuity if exists onto the surface of the component. The surface flaw is made visible when a suitable developer is sprayed onto the surface. The purpose of the developer is to draw the penetrant out of the surface crack or other flaw and spread it on a small area at the defect so that its presence is indicated. Another important function of the developer is that it covers the surface with a colour that provides a @Seismicisolation @Seismicisolation
  • 390.
    Non-Destructive Testing 363 goodvisual contrast to the penetrant. This increases the visibility of the flaw. The developer is usually a fine chalk or a talc powder which may be applied onto the surface by dusting or by spraying with particles suspended in a carrier such as alcohol. A thin uniform layer of talc powder is deposited on to the surface of the component. The penetrant present in the surface flaw bleeds out by capillary action into the pores of the developing powder. Some time is allowed for the developer to draw out the penetrant from the surface flaw. The penetrant within the spread of developer indicates the apparent width of a defect. When a dye penetrant is used, the colour of the dye must be in sharp contrast to the uniform white colour of the chalk/talc covered surface. When fluorescent penetrant is used, this stage is no more required. The excess developer is then removed from the surface. Observation and inspection The defect, if exists any, can be observed with the aid of naked eyes or by means of a magnifying glass. Dye penetrant inspection is carried out under adequate lighting conditions, while fluorescent penetrant inspection is carried out in ultraviolet (UV) light. In the former case indications of flaws produce a deep red colour contrasted to white background of the developer. In the latter case, the glowing spots or lines indicate the flaws. Each indication is evaluated for acceptance or rejection of the component. An indication may be true or false; even if it is real it may or may not be a defect. A false indication may simply be an accumulation of penetrant caused by a drop of penetrant left on the object due to improper removal of the penetrant in the previous stage. Sometimes, an indication may be due to entrapment of penetrant at such locations as a press fit interface. Such indication is irrelevant and is ignored. Acceptance of a component on the basis of observations also depends on the specifications and standards required by the customers. 13.4 MAGNETIC PARTICLE INSPECTION (MPI) The MPI works only on materials that can be easily magnetized (i.e. the ferromagnetic materials) and can detect discontinuities which are generally open to the surface. A surface crack of width as fine as 1 µm can be detected using best conditions of magnetic particle inspection. Subsurface flaws, that is, the flaws which lie just below the surface can also be revealed by this method. Ferromagnetic materials include iron, nickel, cobalt and their alloys and many precipitation hardening steels such as 17-4 PH, 17-7 PH and 15-4 PH stainless steels in the aged condition. These materials lose their ferromagnetism above the Curie point. Although this temperature is different for different materials, the Curie point for most ferrous magnetic materials is about 760°C. Non-ferromagnetic materials such as austenitic stainless steels, aluminium, copper, magnesium, titanium and their alloys cannot be inspected by this technique. 13.4.1 Basic Principle When a ferromagnetic component is magnetized, the magnetic lines of force (called magnetic flux) run predominantly inside the material. If the component contains a flaw such as a crack or an inclusion, it interferes with the magnetic lines of force. Some of these lines of force must exit at one edge and re-enter the other edge of the crack that exists in the component. That is, @Seismicisolation @Seismicisolation
  • 391.
    364 Mechanical Behaviourand Testing of Materials there is localised leakage of magnetic flux (refer Figure 13.2). Leakage is appreciable at location A (surface crack) while it is fuzzy at location B (sub-surface crack). Discontinuity at location C is undetectable as it is deeply seated within the Workpiece. Even if it lies on the surface it cannot be detected effectively, as it is oriented parallel to the field applied. The points of exit and re-entry at the edges of the discontinuity, form opposite magnetic poles. When minute magnetic particles are sprinkled over the surface of the specimen, part of these are attracted by these magnetic poles. As a consequence magnetic particles pile up and bridge the discontinuities exist in the surface of the component. The magnetic bridge so formed delineates the discontinuity and generally indicates its location, size, shape and extent. If the magnetic bridge is fuzzy, it is an indication of a subsurface discontinuity (Figure 13.2). Leakage fields ,'-✓~ ~ - - - " - - + , Magnetic lines ;::~~_:=:_.::_~~;~~~~~~~~;1;~=====;2~== FIGURE 13.2 Localised leakage of magnetic flux at flaws A and B. Magnetic particles can be applied as dry powder or more commonly as particles suspended in a liquid such as kerosene. This liquid suspension is called magnetic ink. A discontinuity in the component is detectable if it is oriented nearly 90° with respect to the direction of the magnetic flux. For this the component must be rotated within the magnetic field such that the discontinuity becomes at 90° with respect to the direction of magnetic flux. In this condition the magnetic poles formed due to discontinuity are so close that they can attract the magnetic particles effectively to bridge the surface opening. In case the orientation is such that the magnetic poles are far of, i.e. when the surface crack is oriented parallel with respect to the magnetic lines of force (at location C in Figure 13.2), they cannot attract the magnetic particles effectively and the indication cannot be obtained. However, it is generally possible to detect the surface discontinuity even if it is oriented at 45° with respect the magnetic flux. The colour of the magnetic particles should be in good contrast with respect to the colour of the surface of the component. 13.4.2 Magnetization Magnetization can be induced in a component by predominantly two methods namely, using a permanent magnet or using an electromagnet. Magnetization by electromagnets is widely used in MPI because high intensity magnetic fields can be produced within a component. In an electromagnetic circuit, high electric currents are allowed to pass through or around the component. The direction of magnetic field generated within the component depends on the direction of the current flow. It is well-known that the magnetic lines of force are always produced at right angles to the direction of current flow. An electric current can produce two types of magnetizations namely, circular magnetization and longitudinal magnetization. Circular magnetization can be produced by passing an electric current through the part itself or if it is @Seismicisolation @Seismicisolation
  • 392.
    Non-Destructive Testing 365 hollow,by passing current through a central conductor such as copper or aluminium (a non- magnetic material) bar. In the former case, if the material is ferromagnetic the current induces a magnetic field not only outside the material but also within it. A component magnetized in this way is said to be circularly magnetized and the magnetization produced is distributed over the whole length of the component [Figure 13.3(a)]. In the latter case, the circulating magnetic field produced around the conductor will be induced within the walls of the hollow component [Figure 13.3(b)]. This method of magnetization is very suitable for the inspection of relatively small components. Direction of magnetizing current Direction of current ! ' ' ---+- ,I Circular magnetic field , ' ' I I I ____1__. l (a) Hollow object ' ' , ' I ' 4 ', ------t--1-----------------------t--t-- ------ -- --------------------------+-- Non-magnetic conductor (b) FIGURE 13.3 Circular magnetization produced. (a) By passing magnetization current through the part itself, (b) By passing current through the conductor surrounded by the hollow object. The longitudinal magnetization is produced by passing a current through a solenoid (a coil of single turn) or several turns of conductor surrounding the component which serves as the core of the solenoid (Figure 13.4). A defect if present can effectively be indicated if it lies at an angle near 90° with respect to the magnetic flux as shown in Figure 13.4. Further, the part must be held centrally within the coil so as to achieve the best results. This technique, is Magnetic field Current carrying coil (magnetising coil) Component Magnetic ---- current Discontinuity FIGURE 13.4 Longitudinal magnetization induced by surrounding the component by a current carrying coil. The component acts as a core of the solenoid. @Seismicisolation @Seismicisolation
  • 393.
    366 Mechanical Behaviourand Testing of Materials therefore, particularly suitable for location of transverse flaws in components such as axles, crankshafts, and camshafts which have one dimension, namely length, larger than the other dimensions. In case of large complex parts, the process of inspection must be repeated more than once by placing windings in different positions. 13.4.3 Magnetization Techniques One of the basic requirements of MPI is that the part undergoing inspection must be properly magnetized so that leakage fields created by discontinuities can attract the magnetic particles effectively. Magnetization can be induced in a component using permanent magnets, electromagnets (by passing high currents through or around it) or by making the component part of a magnetic circuit. The actual method used depends on the size, shape and complexity of the component. These methods include the use of permanent magnet, yokes, central conductor, direct contact, coils, induced current and prod contacts. These are described as follows: Permanent magnet This is the simplest possible method of magnetizing a component. In this method the given component is placed between the poles of a horse shoe like permanent magnet (refer Figure 13.5). The direction of flux is fixed in this case. The component can be rotated between the poles so as to make the surface discontinuity transverse with respect to the magnetic flux. Permanent magnet finds applications where a source of electric power for electromagnet is not available or where arcing is not allowable (as in explosive atmosphere). However, magnetizing by permanent magnet offer some difficulties such as: (i) Magnetization of large areas or massive objects may not be of sufficient strength to produce satisfactory crack indications; (ii) Flux density cannot be varied as desired; (iii) If the magnet is very powerful, its separation from the object may be very difficult; and (iv) Clinging of the particles with the magnet may obscure indications. Work piece Horse shoe magnet Crack FIGURE 13.5 Magnetization produced by horse shoe magnet. @Seismicisolation @Seismicisolation
  • 394.
    Non-Destructive Testing 367 Directcontact method The direct electrical contact method of magnetization is very suitable for small components. The component under inspection is made in direct electrical contact between the contact heads (Figure 13.6) so that a current passes through the whole component. Circular magnetic fields are produced at right angles to the current flow all over the surface of the component. This type of inspection is generally carried out on a bench type unit with the component held in horizontal mode between adjustable contact clamps and in conjunction with wet particles. This method is very rapid and reliable. Prod contacts Electrical contacts Magnetic flux Current flow Component under test Contact head FIGURE 13.6 Direct contact method of magnetization. Bulky objects such as large castings or forgings are inspected by using flexible welding type cables to feed the power to the component under inspection through prod contacts (Figure 13.7). If the purpose is to inspect the given component quickly in a short time, it is magnetized completely at a time by placing the contacts at opposite ends of the component. However, this requires a very large current flow (on the order of lO00's of amperes) which is an expensive affair as it needs an expensive highduty electrical equipment. It is therefore preferred to examine small areas of the component at a time by placing prod contacts relatively close to one another for MPI if whole component is to be examined. Though this form of inspection is time Contact prods Component Defect Flux lines FIGURE 13.7 Illustration, how prod contacts placed on large component surface. @Seismicisolation @Seismicisolation
  • 395.
    368 Mechanical Behaviourand Testing of Materials consuming yet the electrical power requirement is very much less than that when entire component is magnetized at a time. In fact, in many instances, it is required to inspect only a small portion (such as a weld) of the component. Central conductor For many tubular or ring shaped parts (such as continuous pipe connectors, hollow cylinders, gear wheels, large nuts, etc.) it is advantageous to use a separate straight conductor to carry magnetizing current, rather than the part itself. The conductor is threaded through the hole of the hollow component (see Figure 13.8). The central conductor may be solid or hollow and made of non-magnetic or magnetic conducting material. A non-magnetic conductor is preferred over a magnetic conductor in that a non-magnetic conductor such as copper or aluminium is superior in conductivity than a magnetic material. The magnetic flux density generated by the current flow in the threaded conductor is maximum at its surface but decreases through the space between the conductor and the inside surface of the tubular component. At this surface, however, the flux density rises sharply by permeability factor of the material of the component and then decreases to the outer surface of the component. As the flux flows both on the inner surface of the tubular component as well on the outer surface so that internal defects can be detected. The flux flow in the hollow component is at right angles to the current flow, and therefore, the flaws oriented parallel to the current direction can be detected readily. There is much less risk of burning with the central conductor than the current flow by direct contact. Tubular object Defect 7 Current flow Threaded bar FIGURE 13.8 Flux flow in a tubular product generated by a current carrying threaded bar. Yokes Electromagnetic yokes consist of a coil wound around a U-shape core of a soft iron (refer Figure 13.9). The legs of a yoke can be adjustable or fixed. The former is useful for inspecting the irregular shaped parts where the legs can be adjusted depending on the area under inspection. Unlike a permanent magnet yoke, an electromagnetic yoke can readily be switched on or off. Because of this feature it is easy to apply and remove the yoke from the component under examination. An electromagnetic yoke can be designed for alternating current or direct current or even for both. The flux density of the magnetic field produced by the direct current type yoke can be altered by varying the amount of current in the coil. The magnetic field @Seismicisolation @Seismicisolation
  • 396.
    Adjustable contact head , 'I I Test piece ___1(____ ---------- ---- ---- Defect : :___--_-_- -_ -_ -_ -_ -_ _ _ .,_) ~ ' --------✓ Coil Test piece J --- -- ----- ------- ---- I ----------I: : I ' (b) Coil Non-Destructive Testing 369 Flux lines Flux lines FIGURE 13.9 Electromagnetic yokes. (a) With fixed legs, (b) With adjustable legs. produced by DC type yoke has greater penetration while that produced by AC type yoke is confined to the surfaces of the component only. Thus, AC type yoke is preferred for examination of surface discontinuities, whereas DC type yoke is useful for examination of both surface as well as subsurface discontinuities. Coils Single loop or multiple loop coils are used to produce longitudinal magnetization m the component by placing it within the energised coil. The magnetic flux generated in the component creates north and south poles at its ends. The defects oriented at right angles to the flux can be readily revealed. Induced current flow Radial defects that exist in large rings are difficult to be detected using a coil. The induced current method is convenient for this purpose. In this method, the ring-shaped product under examination is placed properly within a magnetizing coil such that it links with the lines of magnetic flux, (refer Figure 13. l0). As the amount of magnetic flux changes, an induced current flow occurs around the ring in a direction opposing the change in flux level. The induced current produces a circular magnetic field which can detect circumferential defects. @Seismicisolation @Seismicisolation
  • 397.
    370 Mechanical Behaviourand Testing of Materials Induced current Flux lines Defect Work piece Flux Transformer primary coil FIGURE 13.10 Flux flow by induced current. 13.4.4 Procedure for MPI The following steps are involved in testing a component by MPI: Surface preparation The surface of the component under test must be cleaned thoroughly so as to prevent dirt, scale or grease which otherwise mask the surface discontinuities and also contaminate the magnetizing ink. In case the surface is painted, the paint can be removed locally so as to provide adequate contact areas for current flow. The surface is then degreased using carbon tetrachloride, benzene or alcohol. Magnetization of the component The magnetization of the degreased component can be carried using one of the methods of magnetization techniques discussed above. The source for electrical current to produce magnetic field may be direct current (DC), alternating current (AC) or half wave AC. Direct current produces full penetration of magnetic flux into the component material so that subsurface discontinuities (the discontinuities lying 3 to 7 mm below the surface) can be detected with ease. It is therefore advantageous to use direct current so that both surface and subsurface discontinuities can be detected. However, direct current also suffers from some disadvantages such as requirement of battery maintenance, difficult to demagnetize the component after inspection and the voltage supply is fixed. Alternating current provides maximum flux density on the surface, and therefore, it is used where inspection is required for detection of surface discontinuities only. Particle mobility is better under AC and it is easy to demagnetize the component after the inspection gets over. Voltage can be altered to obtain the desired level of magnetization. Because of the shallow penetration of flux, AC is ineffective for detection of subsurface discontinuities. Half wave AC can be produced by using a rectifier and a switch in conjunction with the equipment used for AC. Half wave AC (HWAC) provides a higher flux density for the same average current. The full penetration of the flux made it possible to detect both the subsurface and surface discontinuities to be detected using HWAC. @Seismicisolation @Seismicisolation
  • 398.
    Non-Destructive Testing 371 Itcomprises the features of both AC and DC electric current sources. Like AC, HWAC also provides better particle mobility. Similarly, like DC source, with HWAC source it is difficult to demagnetize the component. There are two ways of magnetizing a component, namely, continuous method and residual method. In the former, the magnetic particles are applied while the current is flowing through the component, whereas in the latter, magnetic particles are applied when the magnetizing current is withdrawn. Application of magnetic particles There are two methods of applying the magnetic particles onto the component depending on the magnetic characteristic of the material it is made of. The component may be made of a magnetically soft material or a magnetically hard material. Magnetically soft materials such as pure iron or plain carbon steels in the annealed or normalized condition possess low remanence and low coercivity. These materials are not only capable of being magnetized easily, but also lose the magnetism readily while magnetising field is withdrawn. On components made of soft magnetic material, the magnetic particles are applied while the magnetising current is passing through it. This method of applying magnetic particles on the component is called continuous. Many alloy steels and hardened steels, on the other hand, are magnetically hard and possess high remanence (i.e. retaining much of its induced magnetism when the magnetic field is removed) and high coercivity (i.e. a high magnetic field is to be applied in order to demagnetize the material). Magnetic particles on components made of hard magnetic material is applied after the current is shut off. This method of applying magnetic particles is called residual because the residual magnetism is left in the component. However, the sensitivity of residual method is not as good as that of continuous method. The magnetic particles used in MPI are very fine (about 6 µmin size) and are made of any ferromagnetic material (such as iron or iron oxide, Fe30 4) of low remanence, low coercive force and high permeability so that they can be magnetised easily by the low level leakage fields exist in vicinity to discontinuities on a component surface. As a consequence, these particles are attracted to the discontinuities, and thus, indicate their existence. Large and heavy particles are difficult to be arrested and held by the weak leakage fields if they are sprayed on the component surface. Fine particles, on the other hand, are easily be attracted by the weak leakage fields at surface discontinuities. Too fine particles, however, are not desirable as they tend to adhere to surface areas where no discontinuity exists. Another difficulty with fine particles is that they tend to adhere to fingerprints, rough surfaces, and soiled or damp areas, thereby obscuring indications. Particles of about 6 µm are readily attracted by the weak leakage fields at the surface discontinuities and accumulate there to indicate them. The shape of the particles must vary from globular to elongate. Magnetic particles are classified as dry or wet depending on the vehicle or carrying agent. Dry particles are carried in air, whereas wet particles are carried in liquid suspension. Dry particles are normally carried by air and are sprayed on the component by means of portable equipment such as a mechanical powder blower or a rubber spray bulb. Care must be taken to apply dry powder on the component. A light and even distribution of the particles is the best type of coating so that they can easily move to the surface discontinuities. For good visibility, dry particles are available in several colours such as grey, black, yellow, or red. These are also available with a fluorescent coating. Dry particles are very sensitive for use on very rough @Seismicisolation @Seismicisolation
  • 399.
    372 Mechanical Behaviourand Testing of Materials surfaces and for detecting flaws beneath the surface. Wet particles are generally suspended in thin liquid medium such as kerosene or water. These particles are generally available as thick paste. For optimum results, the concentration of particles in liquid is maintained to be about 2% by volume. The equipment used for the purpose is stationary which consists of a bath of liquid containing wet particles in suspension. The bath is used continuously until contaminated. Wet particles are available in red and black colour or as fluorescent particles that fluoresce a blue- green or a bright yellow-green colour. Viewing The coloured particles are viewed in under proper illumination such as good daylight. The fluorescent particles indications, on the other hand must be viewed under 'black light' and the inspection area must be darkened by closing the room. All indications are properly recorded. Demagnetization and removal of ink All ferromagnetic materials retain some residual magnetism after MPI. This magnetizm must be destroyed otherwise difficulty will arise while components are stacked and removed as and when required. Once demagnetised, the component if tested by wet method, must be given a paraffin wash by hand brush to remove the magnetic ink. 13.4.5 Applications of MPI The principal industrial uses of MPI include inprocess inspection, final inspection, raw material inspection and in maintenance and overhaul. Inprocess inspection is used to indicate defects in a component or a part during its manufacturing route. A final inspection ascertains a customer a better guarantee of defect free component. 13.5 EDDY CURRENT INSPECTION (ECI) Eddy current inspection is based on the principle of electromagnetic induction in which eddy currents and/or magnetic effects are induced within a metallic component as a coil carrying alternating current is brought in close proximity to it. A change in the impedance of the coil indicates certain property or the existence of a defect in the component. This technique is therefore extremely versatile. Using suitable equipment and the test method, this technique can be used as follows: (i) To identify surface and subsurface defects within the component, (ii) To measure physical properties such as electrical conductivity, magnetic permeability and hardness, (iii) To measure the thickness of a non-conductive coating on a conductive metal or the thickness of non-magnetic metal coating on a magnetic metal component and (iv) To provide information about the structural features such as grain size and heat treatment condition. ECI can supplement or sometimes replace LPI or MPI methods of NOT for detection of surface discontinuities, but it is not as sensitive to small open defects as LPI or MPI technique is. @Seismicisolation @Seismicisolation
  • 400.
    Non-Destructive Testing 373 Becauseof the skin effects, ECI is generally restricted to a depth below 6 mm. The method is effective with both ferromagnetic and non-magnetic materials. 13.5.1 Basic Principle In ECI, an alternating current, I, (of frequency l kHz to 2 MHz) is made to flow through a coil (also called a probe) which, in turn, generates an alternating magnetic field, HAc, around it. This alternating magnetic field is called primary field. When such a coil is brought near to an electrically conductive material, secondary or eddy currents, !Ee, will be induced within the component material due to electromagnetic induction as illustrated in Figure 13. l l. These eddy currents which are generally parallel to the coil winding, in turn, produce a magnetic field, HEc of their own. This magnetic field is called secondary field and is opposite to the primary magnetic field, HAc surrounding the coil. This interaction between the fields develops a back emf in the coil, and hence, a change in the impedance value of the coil. A change in the impedance will affect the current, and hence, the voltage changes in the coil generating primary currents. This impedance value of the coil remains constant provided that the surface of the component is free of any discontinuity and the material is uniform in composition and dimensions. If the component contains a discontinuity such as a crack, the distribution of eddy currents and their magnitude will be modified in vicinity to it and as a consequence there will be a reduction in the magnetic field associated with the eddy currents, and therefore, the coil impedance will be changed. The change in flow of eddy current pattern caused by the presence of a crack in a pipe is illustrated in Figure 13.12. This impedance of the coil can be determined by measuring the voltage across it. The changes in coil impedance can also be indicated on a meter or a chart recorder or displayed on the screen of a cathode ray tube. Test piece Primary field, HAc Coil (Probe) ' EC ~ . ,,~ Eddy currents, /EC FIGURE 13.11 A test coil assembly showing primary coil (probe) in vicinity to a test piece. HEc denotes induced magnetic field. @Seismicisolation @Seismicisolation
  • 401.
    374 Mechanical Behaviourand Testing of Materials Crack Inspection coil Crack Pipe Inspection coil Inspection coil Eddy- current flow Section Q-Q' Section P-P' (Enlarged view) (Enlarged view) FIGURE 13.12 Effect of a crack on the pattern of eddy-current flow in a pipe. Coil impedance When an alternating current flows through a coil, it is opposed by two factors, namely the ohmic resistance R, of the coil and inductive reactance XL, (XL = mL =2,r{L, where L is the inductance of the coil, f is the frequency of alternating current). The total resistance of the coil is known as its impedance and is given as: Z= ✓R2 +m2L2 (13.l) If a coil in air has a resistance Ro, inductive reactance mL0 and impedance of the coil is Z0 and if it is brought in close proximity to a conducting material, the values of resistance and inductive reactance will change to R1 and mL1, respectively. Accordingly, a change in impedance from Z0 to some value Z1 takes place. The impedance may also be affected by parameters such as electrical conductivity, magnetic permeability and geometry of the component, test frequency and the spacing between the test coil (the probe) and the component called lift-off. This impedance change can be measured using suitable instruments and the value can be correlated to the changes in the parameters just mentioned. The impedance change may either be detected by the same coil which generates the primary eddy currents (this arrangement of coil is called Absolute coil mode) [Figure 13.13(a)] or a two coil arrangement can be used for this purpose [Figure 13.13(b)]. Often two coil arrangement is preferred in which the coils are electrically coupled in series, but in opposite directions, i.e. they are wound in opposite directions. This system of arrangement of coils is called differential coil system. A standard specimen is surrounded by one coil and the other object under test is surrounded by another. When the material is uniform (i.e. free from any discontinuity) the voltage across the coils will be zero. @Seismicisolation @Seismicisolation
  • 402.
    Non-Destructive Testing 375 Display Display (a)(b) FIGURE 13.13 Coil arrangements. (a) Absolute coil, (b) Differential coil. That is the two coils are in electrical balance. If a flaw exists in the object, it upsets the balance of the test circuit which is indicated on an indicator. 13.5.2 Operating Variables The major variables that affect the operation of ECI include coil impedance, electrical conductivity, magnetic permeability, skin effect, lift-off factor and fill-factor. Each of the factors is discussed below in brief. Skin effect In general, eddy currents are distributed non-uniformly throughout the part under examination. The density of eddy currents is large in the surface and decreases exponentially with distance from the surface of the part resulting in the so called skin effect. The depth below the surface, at which the magnitude of eddy currents is reduced to about 37% of the surface eddy current value is termed as the standard penetration depth, S, which can be estimated using the relationship: S =15900 ✓ p µJ (13.2) where, S is the standard depth of penetration in mm, p is the resistivity of the component material (Q mm), µ, is the relative permeability of the material (µ, = 1 for non-magnetic material) and f is the frequency (Hz). Standard penetration depth is different for different materials, and it is not constant even for a given material. The magnitude of S decreases as the test frequency increases. Thus, a test frequency must be selected so as to permit a penetration depth up to which defects are to be found. There is a lower limit to the frequency which can be used for any particular inspection application and this is referred to as the limit frequency, Jg- This limit frequency is also not a constant value for all conditions and it is a function of material characteristics such as conductivity and magnetic permeability and on the size of the component. It has been found that when thickness of the component is less than three times the magnitude of S, the distribution pattern of eddy currents will become distorted and the extent of distortion increases with the decrease in thickness of the material (Figure 13.14). Thus, for thin materials a change in thickness will alter the eddy currents, and hence, the impedance value @Seismicisolation @Seismicisolation
  • 403.
    376 Mechanical Behaviourand Testing of Materials t> 3S (a) (b) I I (c) FIGURE 13.14 Illustration of effect of thickness (t) on the distribution pattern of eddy current. The pattern tends to distort with reducing thickness of the material below 3S as shown in (b) and (c). of the test coil. Accordingly, an eddy current system, when calibrated against the known standards, can be used successfully for the accurate measurement of thickness of thin materials. It can also be noted from Eq. (13.2) that higher the permeability lower is the standard depth of penetration. Since the values of relative permeability of ferromagnetic materials usually fall in the range 500-2000, eddy currents in these materials are concentrated at the surface. Hence sub- surface defects are not detectable in ferromagnetic materials. Also small variations in permeability produce relatively large change in impedance of the probe. Hence, conventional ECI is unable to inspect ferromagnetic materials successfully. Lift-off For a simple geometry such as eddy current probe over a flat metallic plate, the distance between the material and the coil is called Lift-off (in case conducting material is in the form of a rod or tube, the distance between the material and the coil is commonly called fill-factor). Any increase in lift-off decreases the eddy current density in the material and therefore the impedance change of the probe also decreases. It is therefore desirable to keep lift-off factor as low as possible to achieve better sensitivity. Lift-off is also a function of coil diameter. Larger the coil diameter, smaller is the lift-off. Electrical conductivity Many factors influence the electrical conductivity of a metal, such as temperature, composition, heat treatment and resulting microstructure, grain size, hardness and residual stresses. Anything that increases hardness will reduce the electrical conductivity. Conversely, eddy currents can be used to monitor composition and various metallurgical characteristics provided their influence on conductivity is sufficient to provide the necessary contrast. For instance it is possible to monitor the heat treatment of age hardenable aluminium alloys because of marked effect on hardness on conductivity. Magnetic permeability It is well known that magnetic permeability of a material is not constant, but it increases with the magnetizing force (H) acting on it. For instance, a ferromagnetic material when placed in @Seismicisolation @Seismicisolation
  • 404.
    Non-Destructive Testing 377 asolenoid coil, the induced magnetic field increases as the current in the coil increases. The magnetic field within the material increases rapidly at first and then tends to become steady. At saturation magnetization (when there is no appreciable change in induced flux in the material for a change in the applied field strength) permeability is almost constant for small changes in the field strength. Since eddy currents are induced by a varying magnetic field, the magnetic permeability of the material being inspected strongly influences the eddy current responses. The same factors that influence electrical conductivity (such as composition, hardness, residual stresses, heat treatment and flaws) also may influence magnetic permeability, µ,_ Thus, eddy current inspection can be applied to both ferromagnetic and non- magnetic materials. The fact that permeability becomes constant when a ferromagnetic material is saturated can be used to permit ECI of ferromagnetic materials with greatly reduced influence of permeability variations. Effect of geometry A simple flat geometry of the component will not affect the ECI much but difficulties arise as the shape of the component is curved or complicated. A curved surface show a different "lift- off' response than a flat one. Inspection at the edges is not advisable as they distort the eddy current field. Eddy currents are unable to flow beyond this limiting barrier. The magnitude of this effect is usually very large. It is recommended to carry out inspection about 3 mm within the edges. A complicated shape object may have variations in cross-sections. If eddy currents penetrate the full thickness of any cross-section it gives a signal from thickness change which in fact may also be caused by the loss of metal due to corrosion. 13.5.3 Applications ECI is used to evaluate a wide range of products in industries. This includes rounds, flats, and irregularly shaped conductive objects. The rounds may be solids or tubular ones. The various variables that can be detected by ECI include, conductivity (as conductivity changes with alloying elements, cold working, heat treatment, etc.), hardness (conductivity changes as hardness changes), strength, heat treatment (variation in heat treatment causes variation in conductivity), discontinuities such as cracks, inclusions, etc., coating thickness, and thickness of corrosion loss. 13.6 ULTRASONIC TESTING In ultrasonic testing, sound waves of high frequency are introduced into the material under inspection to detect subsurface and surface flaws. The sound waves travel through the material with some attendant loss of energy and are reflected back when encounter an interface. The interface can be an air-gap within the material or the opposite face of the material. By determining the relative times for the ultrasonic waves to be reflected back from the flaw and from the opposite face, the location of the flaw and its dimensions can be analyzed. The degree of reflection from an interface is greatly affected by the physical state of matter on the opposite side of the interface. For instance, when sound waves offer a metal-gas interface, they will be reflected almost totally from it. Partial reflection occurs at metal-liquid or metal-solid interfaces. @Seismicisolation @Seismicisolation
  • 405.
    378 Mechanical Behaviourand Testing of Materials Flaws such as cracks, laminations, shrinkage cavities, pores, flakes and other discontinuities that act as metal-gas interfaces can easily be detected using ultrasonic waves. Inclusions and other inhomogeneities which cause partial reflections of sound waves can also be detected using ultrasonic waves. Ultrasonic inspections are carried out to detect both surface and internal flaws in the material. These techniques are used for the quality control inspection of semi-finished parts (such as blooms, billets, rolled slabs) as well as finished products. The technique is also in regular use for the in-service characterization of parts and assemblies. 13.6.1 Basic Principle The basic principle of ultrasonic testing depends on the transmission of energy of the ultrasonic waves to the particles of the medium through which they propagate and cause the displacement of particles. Usually a transducer is used to generate the ultrasonic waves. A transducer consists of a piezoelectric crystal such as quartz which is subjected to an electric field. A variation in electric field will result in changes in dimensions of the crystal, thereby, producing both compression and tension in the crystal. The transducer is coupled to the test piece through a suitable liquid called couplant. Either a continuous wave or pulses of ultrasonic frequencies are imposed on the transducer which in turn transmits the energy to the test piece. As the sound waves travel through the material they lose some of the energy due to scattering at microscopic interfaces (such as grain boundaries, second phase particles, inclusions, etc.) and some due to internal friction of the material and are reflected at the interfaces. The reflected wave is detected by the original transducer or a second transducer, and analysed to define the presence and location of flaws. 13.6.2 Ultrasonic Waves With regard to frequencies, sound waves can be divided into three groups, namely, subsonic with frequencies less than 16 kHz, sonic (audible sound) with frequencies range between 16 kHz to 20 kHz and ultrasonic having frequencies greater than 20 kHz. The usual frequencies for non-destructive testing of materials are in the range 0.5 to 10 MHz. The selection of actual frequency depends on the roughness of the surface, grain size of the material and the dimensions of the flaw. The detection of a small flaw requires the use of high frequency, but a practical limit is set up by the surface roughness and the grain size. Based on the mode of vibrations of the particles of the medium with respect to the direction of propagation of the waves, ultrasonic waves are classified as follows: (i) Longitudinal waves (ii) Transverse or shear waves (iii) Surface or Raleigh waves. Longitudinal waves These waves are the most commonly used ultrasonic waves as they can travel through solid, liquid and gases and are easily detected. When the motion of the particles in a medium is parallel to the direction of propagation of the wave, the wave is said to be longitudinal. Particle @Seismicisolation @Seismicisolation
  • 406.
    Non-Destructive Testing 379 oscillationsin the direction of propagation of the wave results in compression and rarefaction (or dilatation) as shown in Figure 13.15(a). A plot of amplitude of particle displacement as a function of distance along the direction of wave travel is shown in Figure l3. l5(b). The distance from one crest to the next is the wavelength (A). Since the velocity of sound is constant in a given material, the vertical axis in Figure 13.15(b) could represent pressure instead of particle displacement and the horizontal axis could represent time instead of travel distance. This relationship is used in the measurements made in ultrasonic inspection. Longitudinal waves travel with high velocity in most of the media. The velocity of longitudinal waves in steel, aluminium, cast iron, copper, brass, Perspex, water and air is (5.90, 6.32, 3.50 to 3.56, 4.7, 3.83, 2.73, 1.48 and 0.33) x 103 mis, respectively. The wave lengths in common materials are usually very short in comparison to the cross-sectional area of the transducer material that generates them. Direction of wave travel Particle oscillation Q) -0 :E 0.. E <( Rarefaction Compression I (a) Wavefront Compression Travel distance - (b) FIGURE 13.15 Schematic representation of longitudinal ultrasonic wave. (a) Particle oscillation and resultant rarefaction and compression, (b) Amplitude of particle displacement as a function of travel distance. Transverse waves (or shear waves) These waves travel only in solids and are also used widely in ultrasonic inspection of metals. When motion of the particles in a medium is normal to the direction of propagation of the wave, the wave is termed as transverse. A transverse wave is shown schematically in Figure 13.16. The velocity of transverse wave is almost half that of longitudinal waves therefore the wave @Seismicisolation @Seismicisolation
  • 407.
    380 Mechanical Behaviourand Testing of Materials l!ttJIIIJJ JII Direction of wave travel l!Jt111l> Wavefront FIGURE 13.16 Schematic representation of transverse wave. Arrows indicate the direction of particle oscillation. length of the shear waves is much shorter than that of longitudinal waves. Velocity of transverse waves in steel, aluminium, cast iron, copper, brass and Perspex is (3.23, 3.08, 2.2-3.2, 2.26, 2.05, 1.43) x 103 mis respectively. Surface (or Rayleigh) waves If the propagation of the ultrasonic waves is confined to surface of the part without penetrating below it to any extent, the waves are called surface or Rayleigh (after the name of Lord Rayleigh) waves. Surface waves consist both longitudinal and shear type motion of the particles of the medium. These waves can travel only along an interface which is bounded on one side by strong elastic forces of a solid and on the other side by the practically negligible elastic forces between gas molecules. Thus, surface waves essentially do not exist in a solid immersed in a liquid. However, they may exist if the solid surface is covered by a very thin film. In a given material surface waves have velocity almost 90% that of transverse waves. The wavelength of these waves is extremely short. The region within which these waves propagate with effective energy is not thicker than about unit wavelength beneath the surface of the metal. 13.6.3 Ultrasonic Transducers An ultrasonic transducer is a device used to generate ultrasonic waves by converting one kind of energy into another. Devices that convert electrical energy into mechanical energy are termed as electro-acoustic transducers. Among the various types of transducers piezoelectric transducer is based on piezoelectric effect in which electrical energy is converted into mechanical energy and vice-versa. That is, a piezoelectric crystal undergoes a change in physical dimension when subjected to an electrical field. Conversely, an electrical field is created in such a crystal if it is subjected to a mechanical strain and the voltage produced will be proportional to the amount of strain. If an alternating field is applied to a piezoelectric crystal, the crystal will either expand during the first half cycle or contract when electrical field is reversed. By varying the frequency of electric field, one can vary the frequency of mechanical vibrations produced in the crystal. Piezoelectric crystals are of two types: (i) Natural (ii) Artificial @Seismicisolation @Seismicisolation
  • 408.
    Non-Destructive Testing 381 Amongthe naturally occurring piezoelectric crystals, quartz has been used since beginning, because it combines reasonably good piezoelectric properties with excellent mechanical and dielectric strength and stability. Quartz transducers can be operated up to 773 K (500°C). The other examples of naturally occurring piezoelectric crystals include Rochelle salt and tourmaline. The synthetically made transducer materials are mechanically less resistant. Lithium sulphate is the most sensitive, but barium titanate is the best transmitter. The other synthetic transducer materials that are in use include lead metaniobate and lead zirconate. When an alternating voltage is applied across the thickness of a disc shaped piezoelectric material, the disc will undergo contraction and expansion. As a consequence a compression wave normal to the disc in the surrounding medium is produced. 13.6.4 Probes A probe consists of a piezoelectric crystal mounted in a suitable housing. A voltage of short duration is applied to the crystal and this causes the crystal to vibrate to its natural frequency. After the step voltage has been removed the crystal vibrations must die as soon as possible. To assist this process the crystal is usually backed by a damping material. The probes are generally of two types: (i) Normal probes (ii) Angle probes Normal probes A normal probe is one which generates compression waves and transmits them into a specimen in a direction normal to the plane of the surface to which the probe is applied. The crystal is mounted in a suitable housing which protects it. In some cases the crystal surface is uncovered so that it may be placed directly, through a couplant, in contact with the test piece. In other cases, the crystal may be protected by a layer of metal, ceramic or Perspex. Figure 13.17 (a) Damping material Perspex cover (b) ~ Curved test piece (c) Damping material Crystal Perspex cover FIGURE 13.17 Illustration of normal probes; (a) Uncovered probe, (b) Covered probe, and (c) Probe covered with curved cover. @Seismicisolation @Seismicisolation
  • 409.
    382 Mechanical Behaviourand Testing of Materials illustrates the construction of normal probes. If the test piece is curved, the crystal surface is covered by Perspex block of the same contour as the test piece to allow for normal transmission of the sound wave in the test piece. If the same crystal serves as a transmitter and receiver both, the probe is called single crystal probe. If two crystals, one serves as transmitter while the other as receiver are insulated from each other and housed in the same probe, the probe is called double crystal probe. Angle probes Angle probes are designed to transmit shear or Rayleigh waves into the test piece material. Like normal probes, in angle probes also the crystal is embedded in a shaped Perspex block. The crystal is so housed that its surface is at an angle with respect to the test surface. 13.6.5 Interaction of Sound Waves at the Interfaces When a beam of longitudinal compression sound wave reaches a boundary between two media, a proportion of the incident beam will be reflected at the interface and the rest will be transmitted across the interface. For normal incidence waves, the transmission across the interface will be of compression wave type. The reflection coefficient, R, and the transmission coefficient, T, can be determined from the acoustic impedances, Z1 and Zi. of the two media in contact. The acoustic impedance, Z, of a material is given by the relation: (13.3) where, p is the density of the material and Ve is the velocity of a compression wave in the medium. Reflection of sound waves at an air-metal interface is practically 100% at frequencies normally used in ultrasonic inspections and therefore, sound cannot be transmitted easily into a metal across an air gap. The reflection coefficient at air-metal interface can be reduced by introducing a liquid such as oil or water as a coupling agent at the interface. For example, it has been found that about 94% reflection takes place when oil is used as a couplant between transducer and metal interface. In other words, about 6% of the incidence sound energy will be transmitted across the interface and enters the metal. The efficiency of transmission will be improved considerably by reducing the thickness of the couplant as much as possible. The reflection coefficient depends on the difference between the impedances of the media at the interfaces. A large difference in these values results greater reflection and conversely a lower transmission. The impedance values of some materials are given in Table 13.2. TABLE 13.2 Acoustic impedance values of some media Medium Air Water Oil Steel Aluminium Copper Acoustic impedance, (MPa s/m) 4.04 X 10-4 1.43 1.58 45.72 16.77 41.08 @Seismicisolation @Seismicisolation
  • 410.
    Non-Destructive Testing 383 Thenotable point from the table is that air is a poor transmitter of sound waves at MHz frequencies commonly used for ultrasonic inspection. Also, the impedance mismatch between air and most solids is great enough to retard the transmission of sound waves from the transducer to the test piece even if a very thin film of air exists between them. Thus, to perform satisfactory contact inspection it is necessary to eliminate air between the transducer and the test piece by the use of a couplant. Some commonly used couplants are oil, water, glycerin, petroleum greases, silicone grease, etc. 13.6.6 Methods of Ultrasonic Inspection Among the various methods of ultrasonic inspection the two commonly used ones are: (i) Normal incident pulse-echo method, and (ii) Normal incident through transmission method Pulse-echo method The principle of pulse-echo method is that when a beam of ultrasonic wave is allowed to pass through a test piece, the echo is received either from a flaw or from the opposite surface of the test piece. The echo in the form of a pulse is converted to electrical energy and displayed on the screen of cathode ray oscilloscope as a pip. In this method only one crystal probe is used for both sending and receiving the ultrasonic waves [Figure 13.18(a)]. The probe is placed against the test piece using an oil film for better transmission of the sound waves. Electrical oscillations of certain frequency is applied to the crystal for a fixed time (for instance for a period of a micron second) so that ultrasonic waves are sent into the surface of the material. The crystal then stop sending waves, but is now ready to receive any reflected waves, after they have travelled through the test piece. The reflected waves vibrate the crystal and produce electrical impulses which are fed into a Cathode Ray Oscilloscope (CRO). The original pulse striking the front or top surface of the test piece makes a sharp peak (or pip) at the left side of the oscilloscope screen and the waves reflected from the reverse surface are indicated by a pip towards the right a distance dependent upon the thickness traveled and the time required [Figure 13.18(a)] . If the test piece contains a defect and is encountered by the ultrasonic beam, most part of it is reflected after being striking the defect. This reflection is indicated by an additional pip on the oscilloscope. The oscilloscope would show pips corresponds to the reflections of the waves from the front and reverse surfaces of the test piece [Figure 13.18(b)] and an intermediate pip due to the flaw as illustrated in [Figure 13.18(c)]. Since the beam from the crystal is very narrow, it is essential to scan the whole surface of the test piece by a progressive movement of the probe. This method of ultrasonic inspection offers certain advantages over the normal incident transmission method. These are: (i) The specimen may be of any shape (ii) Only one coupling point exists, thus minimizing error (iii) The distance of the flaws from the surface can be measured with ease @Seismicisolation @Seismicisolation
  • 411.
    384 Mechanical Behaviourand Testing of Materials ~-------"''l"'i'Df=l"'T''I=----~- Top rDistance from j test surface to opposite surface !L Distance (b) Small flaw Back surface (a) surface _work piece Distance from test surface to defect (c) FIGURE 13.18 Illustration of pulse-echo method. (a) The probe acts both as transmitter and receiver, (b) Display of reflection of ultrasonic waves from the top and back surface of the workpiece as pips on CRO screen, and (c) Intermediate pip showing presence of the defect in the workpiece. Normal incident through transmission method In this method, instead of a single transducer, two transducers are in use (see Figure 13.19). One is placed in contact to the object through an oil film on the front or top surface to transmit the waves. The other is placed on the reverse side of the test piece through a couplant to receive the transmitted beam after it has travelled through the material. An electrical impulse of desired frequency is imposed on the transmitting crystal which produces a beam of ultrasonic wave. This wave travels through the material and arrives to the reverse surface of the test piece where the receiver transducer receives it and converts it into an electrical signal. The electrical signal is amplified and displayed on the screen of cathode ray oscilloscope or indicated on another suitable indicating device. @Seismicisolation @Seismicisolation
  • 412.
    Non-Destructive Testing 385 Transmitterprobe Couplant Receiver probe FIGURE 13.19 Illustration of normal probe transmission method of ultrasonic testing. This method suffers from certain drawbacks. These are as follows: (i) The object under inspection must have parallel surfaces (ii) Care must be taken to align the two probes (iii) The depth of the flaw from the surface is not indicated 13.6.7 Advantages of Ultrasonic Inspection The method of ultrasonic inspection offers many advantages. Some of these are the following: (i) The very high penetrating power of ultrasonic waves allows the detection of deeply seated flaws in the objects. Routine inspection of many parts involves depths of the order of several feet. Depths as large as 20 feet in the axial inspection of parts such as long steel shafts or rotor forgings have been carried out. (ii) High sensitivity permits accurate determination of defect size. 13.7 RADIOGRAPHIC INSPECTION Radiographic inspection of NOT makes use of very short wavelength electromagnetic radiations, namely, X-rays and y-rays. These rays are generally penetratable through the solid materials and are partially absorbed by the medium. The amount of absorption that occurs will depend on the density and thickness of the material through which the radiation pass and also the characteristic of the radiation. Consequently, there will be a variation in the absorption of the rays by the material in the defective area. The radiation that passes through the material can be detected and recorded on either a photographic film or viewed on a fluorescent screen or detected and monitored by electronic sensing equipment. Thus, the term radiography can be defined as a process in which an image is produced on a radiation sensitive film. This technique is one of the most widely used NOT methods for the detection of internal defects such as @Seismicisolation @Seismicisolation
  • 413.
    386 Mechanical Behaviourand Testing of Materials porosity, inclusion and voids. With proper orientation planar defects can also be detected with radiography. The basic principle of radiographic inspection is that the object to be examined is placed in the path of the beam of radiation of short wavelength (X-ray or y-ray) source. A photographic film is placed on the other side of the object (from the opposite side of the beam source). Some of the radiations will be absorbed by the material, but some will travel through the object and impinge on the film, producing a latent image. When the film is developed there will be a picture of light and dark areas. The dark areas represent the parts of the object having lower density. These parts may be the flaws such as pore or void in the material. This film in general is called radiograph (specifically a xerograph if the film is exposed to X-rays or a radiograph if the radiation used is y-ray). Figure 13.20 illustrates the principle of radiography in which the specimen having the stepped shape block with thick and thin steps and containing pore and an inclusion is exposed to short wave length radiations. The developed radiograph shows regions of variation in darkness. The thin section of the object (specimen) allowed more radiations to pass through, and therefore, appear dark region on the radiograph. The same effect is found in the area of porosity but this region is darkest in the radiograph. On the other hand, the inclusion, being denser than the surrounding material, absorbs more radiations therefore produce light area on the photographic film. Basically it is this contrast (different in density) on the film that allows an observer to detect flaws in the specimen. ~ , . R a d i o g r a p h FIGURE 13.20 Radiograph showing differential absorption. The industrial radiography is commonly employed to examine the welded products (such as weld in pressure vessels, bridge construction, power projects, etc.) and castings for blow holes and other flaws. Radiography can also be used to measure the thickness of the material. @Seismicisolation @Seismicisolation
  • 414.
    Appendix Hardness Testing SIGNIFICANCE OFHARDNESS The term hardness can be defined as the resistance that a material offers against penetration of a harder material when it is allowed to force into the specimen. In other words, hardness is the resistance to plastic deformation of the material. Hardness is not a fundamental property of any material. Its importance lies in the fact that it is closely related to many fundamental engineering properties which can indirectly be measured by means of the more rapid and economical hardness test methods. For example, the strengthening that result from alloying, cold-working, ageing or heat treatment is usually assessed by measurement of hardness of the material. Hardness is one of the very important property requirements for tools, in particular, cutting tools. In addition measurement of hardness also becomes important for applications involving wear. In general, wear resistance increases with increase of hardness. Such applications which require wear resistance include ball and roller bearings, crank and cam shafts, piston, axles, brake drum, clutches, cylinder block, forging dies, rolling mill rolls, wire drawing dies, grinding media balls, etc. Measurement of hardness becomes important for all these applications. The most commonly used laboratory methods of hardness measurement include Brinell hardness, Vickers hardness, Rockwell hardness. These are described in the subsequent appendices. 387 @Seismicisolation @Seismicisolation
  • 415.
    Appendix Brinell Hardness Test Object:To determine the Brinell hardness of a given specimen. Apparatus: Brinell hardness tester, Brinell ball of lO mm diameter and specimen/s. Theory Brinell hardness test is carried out by pressing a hardened steel ball indenter of diameter, D (in mm), into the metal specimen under a definite static load, P (in kgf). The load divided by the surface area of spherical indentation is taken as a measure of hardness and is called Brinell hardness number (BHN). Thus, Brinell hardness number is given as: BHN = Applied Load in kgf Spherical area of indentation in mm 2 or 2 p p BHN=- ✓ =-kgf/mm2 nD (D _ D2 _ d2) nDt (Al.l) where d is the diameter of indentation and t is its depth. The diameter of indentation is measured, rather than the depth because of the lip that forms, as shown in Figure A1.1. The depth t is difficult to be measured. In addition, the depth is affected to a much greater extent than the diameter by elastic recovery of a metal when the load is removed. In standard Brinell hardness testing it is the diameter which is measured. The principle of Brinell hardness test is that when indenters of different diameter are used, similar geometrical impressions having proportional diameters are produced, which give the same value of hardness provided the load applied is proportional to the square of ball diameter D. 388 @Seismicisolation @Seismicisolation
  • 416.
    Appendix At-Brine/I HardnessTest 389 D FIGURE A1.1 Brinell indentation on a specimen. Dis the diameter of indenter, dis the diameter of indentation and t is the depth of indentation. Lip formed at the edge of indentation can be noted. That is, P oc D2 or P = KD2. Where the constant K is called load factor. The value of K depends on the hardness of the material under examination. Table A I. I gives the value of the constant for various materials in accordance with the Indian Standards. The original Brinell test made use of a load of 3000 kgf with an indenter of IO mm hardened steel ball. With the above condition (P = KD2) satisfied, indenters of diameters 5, 2 and I mm are also in use. TABLE A1.1 The value of load factor for standard Brinell test Metals and thickness Indenter Load, Loading pfD2 required, if any diameter D, P, kgf time, mm sec Steel IO 3000 10-15 30 Grey cast iron greater than I5 mm IO 3000 15-20 30 (for BHN 140) Between 5 and 15 mm 5 750 15-20 30 (between BHN 140-450) Copper and its alloys IO 1000 15-30 IO (for BHN 25-200) Light metals and alloys IO 500 30 5 Lead, tin and soft solder IO 100 60-120 The Brinell method applies so frequently not only because of the easy working but also because for some materials the tensile strength can be derived from the Brinell hardness. The interrelation between BHN and tensile strength, however, gives only approximated values and is not saying that the Brinell test may replace the tensile test. The Brinell test is applied specially to grey cast irons, unhardened steels, and light metals. It is recommended to limit this test to those materials whose Brinell hardness is up to 450 BHN. A material with hardness greater than this, if tested in Brinell machine using hardened steel indenter, may tend to deform the indenter. As a result, errors will be encountered in the hardness values. Description Brinell hardness tester Model B 3000 (0) consists of the following: (i) A loading system (ii) An elevating screw with test table @Seismicisolation @Seismicisolation
  • 417.
    390 Appendix A1-BrinellHardness Test (iii) A dial gauge (iv) An optical lens system (v) An electric motor The dial indicator provided with the machine indicates the completion of loading and unloading. The machine is provided with an optical lenses with 14x magnification, which includes one condenser to illuminate the area of the object under examination, one optical tube assembly, one prism assembly and one front screen assembly with micrometer thimble to get an accuracy of 0.01 mm. The diameter of impression is projected on the screen and can be measured with a scale. The machine assembly is fully enclosed in a fabricated body so as to protect the mechanism inside the machine from dust. For application of the load, specimen is raised and clamped against the clamping cone. As a result, a small gap is created between the specimen and the ball indenter. Load is applied manually by operating the three position lever to 'Load' position. By operating the same lever at unload position load is removed. By operating this lever to read position the indenter gets swivelled and diameter of indentation is projected on the screen for measurement. The load ranges in stages of multiple of 250 kgf up to 3000 kgf. This machine conforms to LS. specification, 2281:1968 and BS specification 240. Procedure The procedure of performing Brinell test involves the following steps. 1. The surface of the given specimen is prepared by metallographic polish by abrading with successively finer grades of emery papers from O to 000 grades in order to allow precision in the measurement of impression edges. Such a finish would be adequate for most hardness tests and more than adequate for a standard 10 mm Brinell ball. 2. The specimen is cleaned and dried. 3. The specimen is placed on the anvil of the elevating screw of the machine. 4. Switch on the motor by pushing the green button of starter and allow the oil to circulate for few minutes. Operate the hand lever from unload to load positions several times to raise and lower the weights. Keep the lever to unload position. 5. The anvil is raised by means of the elevating screw till a spot on the specimen where indentation is to be taken, is focused under the microscope. 6. The predetermined load is applied by operating the lever to load position. After a desired period of time (as given in the Table Al.I) the load is removed by operating the lever to unload position. The weights are lifted off. 7. After the test load is removed and the projecting device swivelled in, the Brinell impression is sharply imaged on the focussing screen of the measuring equipment. As the focussing was set at the beginning, it need not be done once again. The diameter of indentation is measured carefully. Two scales are provided with the measuring equipment. One on the focusing screen (left hand side) and other on the clear screen (right hand side). These scales are the main scales with least count of 1 mm under a magnification of 14x. The focusing screen is provided with a vernier scale graduated from 0-10 towards the right of zero of the main scale. The long middle division of the clear screen is marked by O and should range always within the vernier scale when @Seismicisolation @Seismicisolation
  • 418.
    Appendix At-Brine/I HardnessTest 391 measurement is carried out. Each division of vernier scale equals 0.1 mm under the same magnification as for main scale. One division of the micrometer graduated from Oto l0 equals 0.0 l mm. In order to measure the diameter of the indentation, the measuring equipment (Figure A1.2) should be turned such that the diameter of indentation is almost parallel to the horizontal line on the scale. The nearest division at the left of the scale (i.e. on the focusing screen), should be positioned to the impression with the aid of turning knob such that the outer edge of the circular impression just touches the inner edge of the division mark of the measuring equipment. Similarly, the nearest division mark, at the right of the scale (i.e. on the clear screen) of measuring equipment should be positioned to the impression by means of the micrometer such that the outer edge of the impression just touches the inner edge of the division mark of the measuring equipment. In doing so care should be exercised to see that the zero of the main scale of clear screen must fall on the vernier scale (Figure A1.2). Now count the number of big divisions on either side of zeros of the main scales. Figure Al.2 shows that this number is 7. Now count the number of divisions on the vernier scale towards the left of zero on the main scale of clear screen. This number is, say one as shown in Figure A1.2. Now count the number of divisions on the micrometer that have been crossed the horizontal line provided before the micrometer scale. Say this number is 7. The diameter of indentation is therefore read as 7.17 mm. Diameter of the indentation is measured in both horizontal and vertical direction. Scale of focussing screen Vernier scale 0 0 10 Scale of clear screen Outer edges of Brinell impression Micrometer Micrometer thimble FIGURE A1.2 Measurement of Brinell indentation. Diameter of indentation shown is 7.17 mm. Precautions Refer Section 9.4.l. Observations S. No. Material of the specimen Result Load, kgf Diameter of indentation Hardness, kgf mm-2 The average value of the hardness of the given specimen (say mild steel) is ...... @Seismicisolation @Seismicisolation
  • 419.
    Appendix Vickers Hardness Test Object:To get acquainted with the Vickers hardness testing machine and perform the test on the given specimen to determine hardness. Apparatus: Vickers hardness tester, Vickers diamond pyramid indenter and flat specimen. Theory Brinell hardness testing suffers from certain difficulties. These are: l. Brinell hardness number is not a constant if P!D2 is not a constant for a given material. 2. The range of hardness that can be measured is limited (up to about 450 BHN) in view of the deformation of the indenter at high hardness values. 3. Where the specimen is not massive large size of indentation is a disadvantage. 4. Deep and large indentations spoil the surface of the finished product. Vickers hardness test overcomes these difficulties. In this test, a pyramid indenter having square base and smoothed-off point made of diamond is used. The included angle between the opposite faces of the pyramid is 136° so that geometrically similar indentations are obtained at all loads on a given material. Hardness is thus independent of load. Thus, by varying the load suitably, hardness values from very low to very high can be measured. Since diamond is extremely hard, hardness of very hard materials can be determined successfully. The test involves gradual indentation of the specimen to be tested under a definite load P. The produced impression is projected on a focusing screen. The surface indentation is very well-defined and being square, can be measured with great accuracy across the diagonal corners. The Vickers hardness number (VHN) or Diamond Pyramid Hardness (DPH) can be expressed in the same way as BHN. Thus, 392 @Seismicisolation @Seismicisolation
  • 420.
    Appendix A2-Vickers HardnessTest 393 VHN =____L_o_a_d_in_kg_f ____ Surface area ofindentation, mm2 1.854P L2 (A2.l) where 0 is the angle between opposite pyramidal faces of the indenter which is equal to 136°, P is the load in kgf, and L is the average length of the diagonal of square impression in mm. The Vickers diamond test gives a hardness scale which is linear, i.e. a metal with DPH equal to 800 is twice as hard as a metal with DPH 400. No such relationship exists for other hardness tests except those employing constant angle diamond indenters. Description of the Machine The body of the Vickers hardness testing machine Model VM50 is closed by covers and the mechanism inside the machine, is thus, protected from dust and extraneous elements. The basic system is one of weights and levers. The load is applied by standardised weights through a lever having an antifriction bearing fulcrum and a knife edged free floating frictionless plunger system. The duration of the test is controlled by an adjustable electronic timer. All the knife edges are hardened, ground and lapped and inspected with high precision optical instruments thus ensuring accurate tests consistency at all times. This machine conforms to IS: 1754: 1968 IS. The commonly used test loads include 5, 10 20, 30 and 50 kgf (The most frequently used loads are 10, 30, and 50 kgf). These loads are selected through Indexing weight selection knob from outside. An optical device is provided for projecting the impression on front screen with 70x magnification which is capable to project 1.6 mm impression maximum. One division of the main scale equals 0.1 mm while that of vernier scale is equal to 0.01 mm at this magnification. The micrometer thimble provided on front screen enables to measure the diagonal of impression with an accuracy of 0.001 mm. Dwell time can be adjusted between 0 to 30 seconds. The Vickers method applies especially to small, hard and thin specimens, as well as to determine the hardness of cases of case hardened components. Using different loads, the testing machine is suitable for hardness range between 30 to 1000 VHN. Up to a Vickers hardness of 350, the VHN agrees with the BHN and moreover, depends on the load under which the impression is made. Procedure The procedure of the Vickers test involves the following steps: 1. Select the weight according to the expected hardness of the specimen to be tested by turning the "weight selection knob". The respective figure of weight is visible on one side of the knob itself. 2. Place polished specimen on the Testing table below the optical device. 3. Turn the hand-wheel clockwise slowly so that specimen gets focused on the front screen (same as in Brinell machine) sharply. At this stage a gap of about 0.20 to 0.25 mm is expected between the tip of the indenter and top surface of the specimen. 4. Adjust the Dwell timer for the required duration of load on the specimen. 5. Turn the indenter head in the anticlockwise direction to bring the indenter in position above the specimen. @Seismicisolation @Seismicisolation
  • 421.
    394 Appendix A2-VickersHardness Test 6. Press "Start" push-button. Keep it pressed till light inside "Start" button will be "on" even after the release of the push button. The loading cycle starts gradually through a geared motor provided with a drive-cam. The loading/Dwell/unloading cycle is fully automatic. 7. Once the Dwell time is over the load is released from the specimen. Maximum time is three seconds for the release of the load. At this stage the light inside "Start" button will be "off'. 8. The indenter head is rotated to next position so that the objective of the optical system is exactly over the indentation. 9. The indentation is now projected on the front focusing screen. Measure the diagonal of the impression in both axes one after the other in the same way as discussed for Brinell test. 10. Find the mean value and determine the hardness using the formula or using the corresponding table which gives the value of hardness for a given load and indentation diagonal. The Vickers hardness value is always mentioned with respect to load applied. For example, VHN (30) = 610. In this result, 30 denote the applied load in kgf. Precautions 1. Before being tested, the test area of the specimen should be cleaned from dirt, oil, scale, etc. The test area should be even and polished (finish ground with emery 000 grade). The lower (or reverse) side should also be even and clean, so that the specimen is well set on the support. 2. Any change of the surface of the specimen by warming or hardening should be avoided, when the specimen is finished. 3. For specially shaped specimens such as hubs, ratchets, sleeves toothed wheels, etc., suitable tables and attachments should be made. With any attachments, care should be taken that the test area is perpendicular to the direction of pressure. If a convex specimen whose test area cannot be made flat is to be tested, the test load must be so small that the difference of length between the diagonals 'L' of impression and corresponding curvature does not exceed 0.01 mm. Observations Make the observation table in the same way as for Brinell test. Result The average value of Vickers hardness of the given specimen (say mild steel) is ...... . @Seismicisolation @Seismicisolation
  • 422.
    Appendix Rockwell Hardness Test Object:To study the Rockwell hardness testing machine and measure the Rockwell hardness of the given specimens. Apparatus: Rockwell hardness tester, ball and Brale indenters and specimens. Theory Rockwell hardness test is more rapid than the two described in Appendices Al and A2, and therefore, this test is very useful for routine and quick measurement of hardness. In this test the depth of indentation is taken as a measure of hardness. Instead of using the total depth of the indentation, the hardness number is based on the increase in depth obtained when a second load is applied. The first load is called the minor load and the second the major load. Thus, the difference in depth of penetration produced by a major load and a minor load is a measure of hardness. The hardness is indicated directly on a dial at the front of the machine. The minor load of lOkgf is first applied in order to minimise the effect of surface irregularities. This makes the readings due to subsequent major load independent of surface conditions. Depending on the combination of major load and the indenter used, the hardness scale on the indicator varies. The two commonly used scales are B and C as shown on the indicator in Figure 9.6 of the text (Section 9.6). Table 9.4 of the text gives the combination of loads, indenters and scales for Rockwell hardness tests carried out on various materials. Special indenters of diameters 1/8, 1/4 and 1/2" are used for testing soft materials. Depending on the combination of different size ball indenters and loads, the corresponding scale designations are usually shown on the machine. The Rockwell hardness in terms of the depth of penetration is expressed as: 395 @Seismicisolation @Seismicisolation
  • 423.
    396 Appendix A3-RockwellHardness Test t HR= h - - - =h - 500t 0.002 where his the constant which depends on the scale used (h = 130 for B-scale and 100 for C-scale) and t is the depth of the penetration in mm. Each unit on the scale represents a penetration depth 0.002 mm. Thus, if the indenter penetrates to a depth of 0.12 mm, then the number of divisions represented by this depth is 0.12 =60 0.002 The Rockwell hardness number on C-scale is thus, 100 - depth in scale divisions, i.e. 100 - 60 = 40 The Rockwell hardness is given as Rc40. Description of the Machine This hardness tester is a cast iron body. The enclosed design protects the internal operating parts from detrimental dust effects. The elevating screw is also protected by a set of telescopic sleeves. One end of loading lever is located internally in two side bearings and other end is free. The weights under hydraulic dashpot time control are applied on this free end, which transmits the pressure on plunger and thereby on the test piece for the determination of hardness value. A clamping device enables the tight clamping of work piece during the test. The plunger (diamond holder) in the machine is guided with a set of bearings, which enables testing the hardness of pins of very small diameter too. The required major load is set on the machine by placing auxiliary weights on a pan at the side of the machine. To apply the major load a lever is provided on the right hand side of the machine. The accuracy of the machine is as per B.S. 891: Part 1 and 2, 1964. Procedure The procedure of Rockwell hardness test involves the following steps: 1. Before the start of the test, attach the appropriate indenter and place the major load according to the material under test. 2. Check that the lever is towards the operator. If not, tum it to counter-clockwise direction so that the load is lifted. At this position the lever is towards the operator. 3. Place the specimen on the anvil. 4. Turn the hand wheel of the elevating screw clockwise so that the anvil is raised and specimen comes in contact with the indenter. The anvil is raised further to push the indenter and still further until the small pointer shows a reading on the dial gauge as '3'. A red spot is put against this number 3 to avoid any confusion. This means that the minor load of 10 kgf is fully applied. 5. Check that the larger pointer on the dial gauge is at the 'Set' mark. If not, the outer ring of the dial gauge can be rotated to bring the pointer on the 'Set' position. The 'Set' position for B-scale is the number 130 ('30' on the inner red scale) while the same for C-scale is the number 100 ('O' on the outer black scale). @Seismicisolation @Seismicisolation
  • 424.
    Appendix A3-Rockwell HardnessTest 397 6. Now major load is applied by turning slowly the lever against the operator so that the total load is brought into action without any jerk. At this instant, the long pointer on the dial moves in the counter-clock wise direction. 7. When the long pointer of the dial gauge attains the steady position, take back the lever to the original position (sudden release of lever to the original position may show an erratic reading). It takes some time for the long pointer to become steady when the major load is applied. This is because the indenter takes time to penetrate the specimen to certain depth depending on its hardness. For hard materials, this time period ranges from 10 to 15 seconds, while for soft materials the time range is from 15 to 30 seconds. The major load is lifted off while the minor load is still in action. 8. Read off the figure against the long pointer on appropriate scale. This gives the direct value of the hardness. 9. Turn back the hand wheel to remove the minor load and then remove the specimen. Precautions Refer Section 9.6.3. Result The Rockwell hardness of the given specimen is ...... . @Seismicisolation @Seismicisolation
  • 425.
    Appendix Tensile Testing SIGNIFICANCE OFTHE TEST Many of the engineering properties of materials are derived from tensile test. These properties include strength, ductility and elasticity. Strength The static strength of a material can be expressed in two ways: 1. Resistance to permanent deformation, 2. Resistance to fracture. The yield stress of a material is the strength which it exerts against being permanently deformed. This kind of strength tends to prevent bending, denting or twisting of a material, in service. Higher the value of this strength more the resistance offered by the component material against permanent deformation. If this strength value of a material is known in advance, its use can be decided depending on the service stresses. Service stresses in no case be exceeded this strength value otherwise failure will take place. The yield point stress, on the other hand, must exceed during the manufacturing of a metal product, if they are made by metal forming or working processes such as rolling or drawing. Thus, yield point is a stress level which should not exceed in service, but must exceed in manufacturing processes involving mechanical working. Resistance to fracture offered by a material is referred to its tensile strength. That is, it is the stress which the material is capable of exerting against being fractured (or broken) in service. When a stress equal to the tensile strength is developed in a material, the material will break. The tensile strength is, therefore, a limiting stress level which should neither exceed during manufacturing of the material nor when it is in service. Thus both the yield strength and tensile strength are among the most important characteristics of a material measured by tensile test. 398 @Seismicisolation @Seismicisolation
  • 426.
    Appendix 8-Tensile Testing399 Ductility It is the property that a material must possess to some degree of level, in order to be formed into shape by rolling, stretching, bending, hammering, etc., and to withstand some accidental sudden loading. Ductility, is therefore, a very useful and often necessary property. There are two methods to measure this property from the tensile test. These are the percentage elongation and percentage reduction in area of the specimen. Percentage elongation is a measure of the lengthwise stretching of the tensile specimen up to the point of fracture. Percentage reduction in cross-sectional area is a measure of the cross-section as the tensile specimen is stretched. It expresses the decrease in cross-sectional area as a percentage of the original cross-section. Thus, determination of ductility property of a material is important not only in its manufacturing into a product by a shaping process but also to sustain occasional sudden loading. Elasticity It is a property by which a material returns to its original dimensions after the removal of stress. It is a useful characteristic in the design of springs or any other object whose elastic deformation can be controlled. The elasticity property of a material is commonly expressed by means of its modulus of elasticity. This is the ratio of stress to strain within exclusively elastic deformation range of a material. It is obtained from the tensile data. The greater the elastic modulus of a material, the stiffer or more rigid it is. That is, more stress is required to deform it by a fixed amount. EXPERIMENT Object: To acquaint with the Hounsfield tensometer and to perform the tensile test to obtain the tensile stress-strain curve. Determine various tensile properties using the tensile data. Also obtain the true values of stress and strain and plot a curve between them. Apparatus: Hounsfield tensometer, universal percentage elongation gauge and percentage reduction in area gauge, a pair of grips, graph paper, vernier gauge, and specimen. Theory Tensile test is one of the most important methods of mechanical testing of materials. In this method, strength and ductility properties are evaluated under static load conditions. This test is carried out by loading a standard tensile specimen (see Chapter 8, Figure 8.1) gripped at both ends and measuring the resultant elongation of the specimen at various loads until fracture occurs. The data so obtained are usually plotted as a curve between engineering stress and engineering strain (Chapter 8, Figures 8.2 and 8.3). The engineering parameters that can be derived are defined with reference to these figures as follows: Proportional limit (Point A, Figure 8.2): Up to this point, the stress is directly proportional to strain, i.e. Hooke's law is obeyed. The ratio of stress to strain up to the limit of proportionality is called Young's modulus, E. Yield strength Permanent deformation occurs at all stress values above the proportional limit. The stress at which onset of plastic yielding occurs, however, is difficult to define due to gradual change in the slope of the stress-strain curve above proportional limit for most of the ductile materials. @Seismicisolation @Seismicisolation
  • 427.
    400 Appendix 8-TensileTesting In such cases, the yield strength is defined as the intersection of the stress-strain curve with a line parallel to the initial straight line of the curve drawn from an offset by 0.2% of the gauge length of the specimen (Figure 8.3). This value is called 0.2% offset yield strength. Ultimate tensile strength This is the maximum value of stress on the engineering stress-strain curve. Beyond this point necking occurs somewhere along the gauge length of the specimen. Percentage elongation Percentage elongation is the ratio of the increase in gauge length of the specimen at fracture to the original gauge length, expressed in per cent. The percentage elongation is dependent on the gauge length, and therefore, the gauge length must always be specified along with the percentage elongation. Mathematically, it is expressed by Eq. (8.12), Chapter 8. Percentage reduction in area The percentage reduction in area is the ratio of the decrease in area of cross-section of the specimen to the original cross-sectional area expressed in per cent. Mathematically it is expressed by Eq. (8.13), Chapter 8. Modulus of resilience This is the strain energy per unit volume required to stress the material from zero stress to the yield stress. This is given as the area under the engineering stress-strain curve up to the yield stress level. Mathematically it is expressed by Eq. (8.11), Chapter 8. Modulus of toughness This is defined as the strain energy per unit volume absorbed by the material prior to fracture. It is given as the total area under the engineering stress-strain curve. Toughness, therefore, involves both the height and width of the stress-strain curve of the material, whereas strength is related only to the height of the curve and ductility is related only to the width of the curve. Fracture strength The value of engineering stress at which the specimen fractures is called its fracture strength. The value of fracture strength for ductile materials is lower than the tensile strength due to nec