D
EPED
C
O
PY
10
Mathematics
Department of Education
Republic of the Philippines
This book was collaboratively developed and reviewed by
educators from public and private schools, colleges, and/or universities.
We encourage teachers and other education stakeholders to email their
feedback, comments, and recommendations to the Department of
Education at action@deped.gov.ph.
We value your feedback and recommendations.
Learner’s Module
Unit 2
All rights reserved. No part of this material may be reproduced or transmitted in any form or by any means -
electronic or mechanical including photocopying – without written permission from the DepEd Central Office. First Edition, 2015.
D
EPED
C
O
PY
Mathematics – Grade 10
Learner’s Module
First Edition 2015
Republic Act 8293, section 176 states that: No copyright shall subsist in any work
of the Government of the Philippines. However, prior approval of the government agency or
office wherein the work is created shall be necessary for exploitation of such work for profit.
Such agency or office may, among other things, impose as a condition the payment of
royalties.
Borrowed materials (i.e., songs, stories, poems, pictures, photos, brand names,
trademarks, etc.) included in this book are owned by their respective copyright holders.
DepEd is represented by the Filipinas Copyright Licensing Society (FILCOLS), Inc. in seeking
permission to use these materials from their respective copyright owners. All means have
been exhausted in seeking permission to use these materials. The publisher and authors do
not represent nor claim ownership over them.
Only institution and companies which have entered an agreement with FILCOLS and
only within the agreed framework may copy this Learner’s Module. Those who have not
entered in an agreement with FILCOLS must, if they wish to copy, contact the publisher and
authors directly.
Authors and publishers may email or contact FILCOLS at filcols@gmail.com or (02)
439-2204, respectively.
Published by the Department of Education
Secretary: Br. Armin A. Luistro FSC
Undersecretary: Dina S. Ocampo, PhD
Printed in the Philippines by REX Book Store
Department of Education-Instructional Materials Council Secretariat (DepEd-IMCS)
Office Address: 5th Floor Mabini Building, DepEd Complex
Meralco Avenue, Pasig City
Philippines 1600
Telefax: (02) 634-1054, 634-1072
E-mail Address: imcsetd@yahoo.com
Development Team of the Learner’s Module
Consultants: Soledad A. Ulep, PhD, Debbie Marie B. Verzosa, PhD, and
Rosemarievic Villena-Diaz, PhD
Authors: Melvin M. Callanta, Allan M. Canonigo, Arnaldo I. Chua, Jerry D. Cruz,
Mirla S. Esparrago, Elino S. Garcia, Aries N. Magnaye, Fernando B. Orines,
Rowena S. Perez, and Concepcion S. Ternida
Editor: Maxima J. Acelajado, PhD
Reviewers: Maria Alva Q. Aberin, PhD, Maxima J. Acelajado, PhD, Carlene P.
Arceo, PhD, Rene R. Belecina, PhD, Dolores P. Borja, Agnes D. Garciano, Phd,
Ma. Corazon P. Loja, Roger T. Nocom, Rowena S. Requidan, and Jones A.
Tudlong, PhD
Illustrator: Cyrell T. Navarro
Layout Artists: Aro R. Rara and Ronwaldo Victor Ma. A. Pagulayan
Management and Specialists: Jocelyn DR Andaya, Jose D. Tuguinayo Jr.,
Elizabeth G. Catao, Maribel S. Perez, and Nicanor M. San Gabriel Jr.
All rights reserved. No part of this material may be reproduced or transmitted in any form or by any means -
electronic or mechanical including photocopying – without written permission from the DepEd Central Office. First Edition, 2015.
D
EPED
C
O
PY
Introduction
This material is written in support of the K to 12 Basic Education
Program to ensure attainment of standards expected of students.
In the design of this Grade 10 materials, it underwent different
processes - development by writers composed of classroom teachers, school
heads, supervisors, specialists from the Department and other institutions;
validation by experts, academicians, and practitioners; revision; content
review and language editing by members of Quality Circle Reviewers; and
finalization with the guidance of the consultants.
There are eight (8) modules in this material.
Module 1 – Sequences
Module 2 – Polynomials and Polynomial Equations
Module 3 – Polynomial Functions
Module 4 – Circles
Module 5 – Plane Coordinate Geometry
Module 6 – Permutations and Combinations
Module 7 – Probability of Compound Events
Module 8 – Measures of Position
With the different activities provided in every module, may you find this
material engaging and challenging as it develops your critical-thinking and
problem-solving skills.
All rights reserved. No part of this material may be reproduced or transmitted in any form or by any means -
electronic or mechanical including photocopying – without written permission from the DepEd Central Office. First Edition, 2015.
D
EPED
C
O
PY
Unit 2
Module 3: Polynomial Functions............................................................ 99
Lessons and Coverage........................................................................ 100
Module Map......................................................................................... 100
Pre-Assessment .................................................................................. 101
Learning Goals and Targets ................................................................ 105
Activity 1.................................................................................... 106
Activity 2.................................................................................... 107
Activity 3.................................................................................... 108
Activity 4.................................................................................... 108
Activity 5.................................................................................... 110
Activity 6.................................................................................... 111
Activity 7.................................................................................... 112
Activity 8.................................................................................... 115
Activity 9.................................................................................... 115
Activity 10.................................................................................. 118
Activity 11.................................................................................. 119
Activity 12.................................................................................. 121
Activity 13.................................................................................. 122
Activity 14.................................................................................. 123
Summary/Synthesis/Generalization........................................................... 125
Glossary of Terms ...................................................................................... 125
References Used in this Module................................................................. 126
Module 4: Circles .................................................................................... 127
Lessons and Coverage........................................................................ 127
Module Map......................................................................................... 128
Pre-Assessment .................................................................................. 129
Learning Goals and Targets ................................................................ 134
Lesson 1A: Chords, Arcs, and Central Angles.......................................... 135
Activity 1.................................................................................... 135
Activity 2.................................................................................... 137
Activity 3.................................................................................... 138
Activity 4.................................................................................... 139
Activity 5.................................................................................... 150
Activity 6.................................................................................... 151
Activity 7.................................................................................... 151
Activity 8.................................................................................... 152
Activity 9.................................................................................... 152
Activity 10.................................................................................. 155
Activity 11.................................................................................. 155
Activity 12.................................................................................. 157
Activity 13.................................................................................. 159
Table of Contents
All rights reserved. No part of this material may be reproduced or transmitted in any form or by any means -
electronic or mechanical including photocopying – without written permission from the DepEd Central Office. First Edition, 2015.
D
EPED
C
O
PY
Summary/Synthesis/Generalization ...........................................................160
Lesson 1B: Arcs and Inscribed Angles.......................................................161
Activity 1 ....................................................................................161
Activity 2 ....................................................................................162
Activity 3 ....................................................................................163
Activity 4 ....................................................................................164
Activity 5 ....................................................................................167
Activity 6 ....................................................................................168
Activity 7 ....................................................................................169
Activity 8 ....................................................................................170
Activity 9 ....................................................................................172
Activity 10 ..................................................................................174
Activity 11 ..................................................................................175
Activity 12 ..................................................................................176
Summary/Synthesis/Generalization ...........................................................177
Lesson 2A: Tangents and Secants of a Circle ............................................178
Activity 1 ....................................................................................178
Activity 2 ....................................................................................179
Activity 3 ....................................................................................180
Activity 4 ....................................................................................188
Activity 5 ....................................................................................189
Activity 6 ....................................................................................192
Activity 7 ....................................................................................194
Activity 8 ....................................................................................197
Summary/Synthesis/Generalization ...........................................................198
Lesson 2B: Tangent and Secant Segments.................................................199
Activity 1 ....................................................................................199
Activity 2 ....................................................................................200
Activity 3 ....................................................................................200
Activity 4 ....................................................................................201
Activity 5 ....................................................................................204
Activity 6 ....................................................................................205
Activity 7 ....................................................................................206
Activity 8 ....................................................................................207
Activity 9 ....................................................................................208
Activity 10 ..................................................................................210
Summary/Synthesis/Generalization ...........................................................211
Glossary of Terms.......................................................................................212
List of Theorems and Postulates on Circles...............................................213
References and Website Links Used in this Module..................................215
Module 5: Plane Coordinate Geometry ...............................................221
Lessons and Coverage ........................................................................222
Module Map .........................................................................................222
Pre-Assessment...................................................................................223
Learning Goals and Targets.................................................................228
All rights reserved. No part of this material may be reproduced or transmitted in any form or by any means -
electronic or mechanical including photocopying – without written permission from the DepEd Central Office. First Edition, 2015.
D
EPED
C
O
PY
Lesson 1: The Distance Formula, the Midpoint Formula,
and the Coordinate Proof .......................................................... 229
Activity 1.................................................................................... 229
Activity 2.................................................................................... 230
Activity 3.................................................................................... 231
Activity 4.................................................................................... 232
Activity 5.................................................................................... 241
Activity 6.................................................................................... 242
Activity 7.................................................................................... 242
Activity 8.................................................................................... 243
Activity 9.................................................................................... 245
Activity 10.................................................................................. 248
Activity 11.................................................................................. 250
Summary/Synthesis/Generalization........................................................... 251
Lesson 2: The Equation of a Circle............................................................ 252
Activity 1.................................................................................... 252
Activity 2.................................................................................... 253
Activity 3.................................................................................... 254
Activity 4.................................................................................... 263
Activity 5.................................................................................... 265
Activity 6.................................................................................... 265
Activity 7.................................................................................... 266
Activity 8.................................................................................... 267
Activity 9.................................................................................... 267
Activity 10.................................................................................. 269
Summary/Synthesis/Generalization........................................................... 270
Glossary of Terms ...................................................................................... 270
References and Website Links Used in this Module ................................. 271
All rights reserved. No part of this material may be reproduced or transmitted in any form or by any means -
electronic or mechanical including photocopying – without written permission from the DepEd Central Office. First Edition, 2015.
D
EPED
C
O
PY
99
I. INTRODUCTION
You are now in Grade 10, your last year in junior high school. In
this level and in the higher levels of your education, you might ask the
question: What are math problems and solutions for? An incoming college
student may ask, “How can designers and manufacturers make boxes
having the largest volume with the least cost?” And anybody may ask: In
what other fields are the mathematical concepts like functions used? How
are these concepts applied?
Look at the mosaic picture below. Can you see some mathematical
representations here? Give some.
As you go through this module, you are expected to define and
illustrate polynomial functions, draw the graphs of polynomial functions
and solve problems involving polynomial functions. The ultimate goal of
this module is for you to answer these questions: How are polynomial
functions related to other fields of study? How are these used in solving
real-life problems and in decision making?
All rights reserved. No part of this material may be reproduced or transmitted in any form or by any means -
electronic or mechanical including photocopying – without written permission from the DepEd Central Office. First Edition, 2015.
D
EPED
C
O
PY
100
II. LESSON AND COVERAGE
This is a one-lesson module. In this module, you will learn to:
 illustrate polynomial functions
 graph polynomial functions
 solve problems involving polynomial functions
Solutions of Problems Involving
Polynomial Functions
Graphs of Polynomial
Functions
Illustrations of Polynomial
Functions
The Polynomial Functions
All rights reserved. No part of this material may be reproduced or transmitted in any form or by any means -
electronic or mechanical including photocopying – without written permission from the DepEd Central Office. First Edition, 2015.
D
EPED
C
O
PY
101
III. PRE-ASSESSMENT
Part 1
Let us find out first what you already know related to the content of this
module. Answer all items. Choose the letter that best answers each
question. Please take note of the items/questions that you will not be able
to answer correctly and revisit them as you go through this module for
self-assessment.
1. What should n be if f(x) = xn
defines a polynomial function?
A. an integer C. any number
B. a nonnegative integer D. any number except 0
2. Which of the following is an example of a polynomial function?
A. 13
4
)( 3
 x
x
xf C. 6
27)( xxxf 
B. 22
3
2
3
2)( xxxf  D. 53)( 3
 xxxf
3. What is the leading coefficient of the polynomial function
42)( 3
 xxxf ?
A. 1 C. 3
B. 2 D. 4
4. How should the polynomial function 432)( 53
 xxxxf be written
in standard form?
A. 432)( 53
 xxxxf C. 53
324)( xxxxf 
B. 35
234)( xxxxf  D. 423)( 35
 xxxxf
5. Which of the following could be the graph of the polynomial function
1234 23
 xxxy ?
A. B. C. D.
x x
x
yy y
y
All rights reserved. No part of this material may be reproduced or transmitted in any form or by any means -
electronic or mechanical including photocopying – without written permission from the DepEd Central Office. First Edition, 2015.
D
EPED
C
O
PY
102
6. From the choices, which polynomial function in factored form
represents the given graph?
7. If you will draw the graph of 2
)2(  xxy , how will you sketch it with
respect to the x-axis?
A. Sketch it crossing both (-2,0) and (0,0).
B. Sketch it crossing (-2,0) and tangent at (0,0).
C. Sketch it tangent at (-2,0) and crossing (0,0).
D. Sketch it tangent at both (-2,0) and (0,0).
8. What are the end behaviors of the graph of 432)( 53
 xxxxf ?
A. rises to the left and falls to the right
B. falls to the left and rises to the right
C. rises to both directions
D. falls to both directions
9. You are asked to illustrate the sketch of 43)( 53
 xxxf using its
properties. Which will be your sketch?
A. B. C. D.
A. )1)(1)(2(  xxxy
B. )2)(1)(1(  xxxy
C. )1)(1)(2(  xxxxy
D. )2)(1)(1(  xxxxy
y
x
y
x
y
x
y
x
All rights reserved. No part of this material may be reproduced or transmitted in any form or by any means -
electronic or mechanical including photocopying – without written permission from the DepEd Central Office. First Edition, 2015.
D
EPED
C
O
PY
103
10. Your classmate Linus encounters difficulties in showing a sketch of
the graph of 3 2
2 3 4y x x x    6. You know that the quickest
technique is the Leading Coefficient Test. You want to help Linus in
his problem. What hint/clue should you give?
A. The graph falls to the left and rises to the right.
B. The graph rises to both left and right.
C. The graph rises to the left and falls to the right.
D. The graph falls to both left and right.
11. If you will be asked to choose from -2, 2, 3, and 4, what values for a
and n will you consider so that y = axn
could define the graph below?
12. A car manufacturer determines that its profit, P, in thousands of
pesos, can be modeled by the function P(x) = 0.00125x4
+ x – 3,
where x represents the number of cars sold. What is the profit when
x = 300?
A. Php 101.25 C. Php 3,000,000.00
B. Php 1,039,500.00 D. Php 10,125,297.00
13. A demographer predicts that the population, P, of a town t years from
now can be modeled by the function P(t) = 6t4
– 5t3
+ 200t + 12 000.
What will the population of the town be two (2) years from now?
A. 12 456 C. 1 245 600
B. 124 560 D. 12 456 000
14. Consider this Revenue-Advertising Expense situation:
The total revenue R (in millions of pesos) for a company is related to
its advertising expense by the function
 3 21
R x 600x , 0 x 400
100 000
    
where x is the amount spent on advertising (in ten thousands of
pesos).
A. a = 2 , n = 3
B. a = 3 , n = 2
C. a = - 2 , n = 4
D. a = - 2 , n = 3
All rights reserved. No part of this material may be reproduced or transmitted in any form or by any means -
electronic or mechanical including photocopying – without written permission from the DepEd Central Office. First Edition, 2015.
D
EPED
C
O
PY
104
Currently, the company spends Php 2,000,000.00 for advertisement.
If you are the company manager, what best decision can you make
with this business circumstance based on the given function with its
restricted domain?
A. I will increase my advertising expenses to Php 2,500,000.00
because this will give a higher revenue than what the company
currently earns.
B. I will decrease my advertising expenses to Php 1,500,000.00
because this will give a higher revenue than what the company
currently earns.
C. I will decrease my advertising expenses to Php 1,500,000.00
because lower cost means higher revenue.
D. It does not matter how much I spend for advertisement, my
revenue will stay the same.
Part 2
Read and analyze the situation below. Then, answer the question and
perform the tasks that follow.
Karl Benedic, the president of Mathematics Club, proposed a project:
to put up a rectangular Math Garden whose lot perimeter is 36 meters. He
was soliciting suggestions from the members for feasible dimensions of the
lot.
Suppose you are a member of the club, what will you suggest to Karl
Benedic if you want a maximum lot area? You must convince him through a
mathematical solution.
Consider the following guidelines:
1. Make an illustration of the lot with the needed labels.
2. Solve the problem. Hint: Consider the formulas P = 2l + 2w for
perimeter and A = lw for the area of the rectangle. Use the formula for
P and the given information in the problem to express A in terms of
either l or w.
3. Make a second illustration that satisfies the findings in the solution
made in number 2.
4. Submit your solution on a sheet of paper with recommendations.
All rights reserved. No part of this material may be reproduced or transmitted in any form or by any means -
electronic or mechanical including photocopying – without written permission from the DepEd Central Office. First Edition, 2015.
D
EPED
C
O
PY
105
Rubric for Rating the Output:
Score Descriptors
4
The problem is correctly modeled with a quadratic function,
appropriate mathematical concepts are fully used in the
solution, and the correct final answer is obtained.
3
The problem is correctly modeled with a quadratic function,
appropriate mathematical concepts are partially used in the
solution, and the correct final answer is obtained.
2
The problem is not properly modeled with a quadratic function,
other alternative mathematical concepts are used in the
solution, and the correct final answer is obtained.
1
The problem is not totally modeled with a quadratic function, a
solution is presented but has incorrect final answer.
The additional two (2) points will be determined from the illustrations
made. One (1) point for each if properly drawn with necessary labels.
IV. LEARNING GOALS AND TARGETS
After going through this module, you should be able to demonstrate
understanding of key concepts on polynomial functions. Furthermore, you
should be able to conduct a mathematical investigation involving
polynomial functions.
All rights reserved. No part of this material may be reproduced or transmitted in any form or by any means -
electronic or mechanical including photocopying – without written permission from the DepEd Central Office. First Edition, 2015.
D
EPED
C
O
PY
106
Start this module by recalling your knowledge on the concept of
polynomial expressions. This knowledge will help you understand the
formal definition of a polynomial function.
Determine whether each of the following is a polynomial expression or not.
Give your reasons.
1. 14x 6. 
2. 3
5 4 2x x x  7. 3 2
3 3 9 2x x x  
3. 2014x 8. 3
2 1x x 
4.
3 1
4 4
3 7x x  9. 100 100
4 4x x
 
5. 3 4 5
1 2 3
2 3 4x x x
  10. 1 – 16x2
Did you answer each item correctly? Do you remember when an
expression is a polynomial? We defined a related concept below.
A polynomial function is a function of the form
   
 
     1 2
1 2 1 0
...n n n
n n n
P x a x a x a x a x a , ,0na
where n is a nonnegative integer, naaa ...,,, 10 are real numbers called
coefficients, n
n xa is the leading term, na is the leading coefficient,
and 0a is the constant term.
The terms of a polynomial may be written in any order. However, if
they are written in decreasing powers of x, we say the polynomial function is
in standard form.
Other than P(x), a polynomial function may also be denoted by f(x).
Sometimes, a polynomial function is represented by a set P of ordered pairs
(x,y). Thus, a polynomial function can be written in different ways, like the
following.
Activity 1:
All rights reserved. No part of this material may be reproduced or transmitted in any form or by any means -
electronic or mechanical including photocopying – without written permission from the DepEd Central Office. First Edition, 2015.
D
EPED
C
O
PY
107
f ( x )  
 
     1 2
1 2 1 0
...n n n
n n n
a x a x a x a x a
or
1 2
1 2 1 0
...n n n
n n n
y a x a x a x a x a 
 
     
Polynomials may also be written in factored form and as a product of
irreducible factors, that is, a factor that can no longer be factored using
coefficients that are real numbers. Here are some examples.
a. y = x4
+ 2x3
– x2
+ 14x – 56 in factored form is y = (x2
+ 7)(x – 2)(x + 4)
b. y = x4
+ 2x3
– 13x2
– 10x in factored form is y = x(x – 5)(x + 1)(x + 2)
c. y = 6x3
+ 45x2
+ 66x – 45 in factored form is y = 3(2x – 1)(x + 3)(x + 5)
d. f(x) = x3
+ x2
+ 18 in factored form is f(x) = (x2
– 2x + 6)(x + 3)
e. f(x) = 2x3
+ 5x2
+ 7x – 5 in factored form is f(x) = (x2
+ 3x + 5)(2x – 1)
Consider the given polynomial functions and fill in the table below.
Polynomial Function
Polynomial
Function in
Standard Form
Degree
Leading
Coefficient
Constant
Term
1. f ( x ) = 2 – 11x + 2x2
2. f ( x )  
3
2 5
15
3 3
x
x
3. y = x (x2
– 5)
4.   3 3y x x x  
5. 2
)1)(1)(4(  xxxy
After doing this activity, it is expected that the definition of a polynomial
function and the concepts associated with it become clear to you. Do the
next activity so that your skills will be honed as you give more examples of
polynomial functions.
Activity 2:
All rights reserved. No part of this material may be reproduced or transmitted in any form or by any means -
electronic or mechanical including photocopying – without written permission from the DepEd Central Office. First Edition, 2015.
D
EPED
C
O
PY
108
Use all the numbers in the box once as coefficients or exponents to form as
many polynomial functions of x as you can. Write your polynomial functions in
standard form.
1 –2
4
7
2
6
1
 3
How many polynomial functions were you able to give? Classify each
according to its degree. Also, identify the leading coefficient and the constant
term.
In this section, you need to revisit the lessons and your knowledge
on evaluating polynomials, factoring polynomials, solving polynomial
equations, and graphing by point-plotting. Your knowledge of these
topics will help you sketch the graph of polynomial functions manually.
You may also use graphing utilities/tools in order to have a clearer view
and a more convenient way of describing the features of the graph. Also,
you will focus on polynomial functions of degree 3 and higher, since
graphing linear and quadratic functions were already taught in previous
grade levels. Learning to graph polynomial functions requires your
appreciation of its behavior and other properties.
Factor each polynomial completely using any method. Enjoy working with
your seatmate using the Think-Pair-Share strategy.
1. (x – 1) (x2
– 5x + 6)
2. (x2
+ x – 6) (x2
– 6x + 9)
3. (2x2
– 5x + 3) (x – 3)
4. x3
+ 3x2
– 4x – 12
5. 2x4
+ 7x3
– 4x2
– 27x – 18
Did you get the answers correctly? What method(s) did you use? Now,
do the same with polynomial functions. Write each of the following polynomial
functions in factored form:
Activity 4:
Activity 3:
All rights reserved. No part of this material may be reproduced or transmitted in any form or by any means -
electronic or mechanical including photocopying – without written permission from the DepEd Central Office. First Edition, 2015.
D
EPED
C
O
PY
109
6. xxxy 1223

7. 164
 xy
8. 68482 234
 xxxxy
9. xxxy 910 35

10. 1827472 234
 xxxxy
The preceding task is very important for you since it has something to
do with the x-intercepts of a graph. These are the x-values when y = 0,
thus, the point(s) where the graph intersects the x-axis can be determined.
To recall the relationship between factors and x-intercepts, consider
these examples:
a. Find the intercepts of 64 23
 xxxy .
Solution:
To find the x-intercept/s, set y = 0. Use the factored form. That is,
y = x3
– 4x2
+ x + 6
y = (x + 1)(x – 2)(x – 3) Factor completely.
0 = (x + 1)(x – 2)(x – 3) Equate y to 0.
x + 1 = 0
x = –1
or x – 2 = 0
x = 2
or x – 3 = 0
x = 3
The x-intercepts are –1, 2, and 3. This means the graph will pass
through (-1, 0), (2, 0), and (3, 0).
Finding the y-intercept is more straightforward. Simply set x = 0
in the given polynomial. That is,
y = x3
– 4x2
+ x + 6
y = 03
– 4(0)2
+ 0 + 6
y = 6
The y-intercept is 6. This means the graph will also pass through (0,6).
Equate each factor to 0
to determine x.
All rights reserved. No part of this material may be reproduced or transmitted in any form or by any means -
electronic or mechanical including photocopying – without written permission from the DepEd Central Office. First Edition, 2015.
D
EPED
C
O
PY
110
b. Find the intercepts of xxxxy 66 234

Solution:
For the x-intercept(s), find x when y = 0. Use the factored form.
That is,
y = x4
+ 6x3
– x2
– 6x
y = x(x + 6)(x + 1)(x – 1)
0 = x(x + 6)(x + 1)(x – 1)
x=0 or x+6 =0
x=–6
or x+1 =0
x=–1
or x–1=0
x=1
The x-intercepts are -6, -1, 0, and 1. This means the graph will pass
through (-6,0), (-1,0), (0,0), and (1,0).
Again, finding the y-intercept simply requires us to set x = 0 in
the given polynomial. That is,
4 3 2
6 6y x x x x   
y  (04
)  6(03
) (02
) 6(0)
0y 
The y-intercept is 0. This means the graph will pass also through (0,0).
You have been provided illustrative examples of solving for the x- and
y- intercepts, an important step in graphing a polynomial function. Remember,
these intercepts are used to determine the points where the graph intersects
or touches the x-axis and the y-axis. But these points are not sufficient to
draw the graph of polynomial functions. Enjoy as you learn by performing the
next activities.
Determine the intercepts of the graphs of the following polynomial functions:
1. y = x3
+ x2
– 12x
2. y = (x – 2)(x – 1)(x + 3)
3. y = 2x4
+ 8x3
+ 4x2
– 8x – 6
4. y = –x4
+ 16
5. y = x5
+ 10x3
– 9x
You have learned how to find the intercepts of a polynomial function.
You will discover more properties as you go through the next activities.
Activity 5:
Equate each factor to
0 to determine x.
Factor completely.
Equate y to 0.
All rights reserved. No part of this material may be reproduced or transmitted in any form or by any means -
electronic or mechanical including photocopying – without written permission from the DepEd Central Office. First Edition, 2015.
D
EPED
C
O
PY
111
Work with your friends. Determine the x-intercept/s and the y-intercept of
each given polynomial function. To obtain other points on the graph, find the
value of y that corresponds to each value of x in the table.
1. y = (x + 4)(x + 2)(x – 1)(x – 3) x-intercepts: __ __ __ __
y-intercept: __
x -5 -3 0 2 4
y
List all your answers above as ordered pairs.
2. y = –(x + 5)(2x + 3)(x – 2)(x – 4) x-intercepts: __ __ __ __
y-intercept: __
x -6 -4 -0.5 3 5
y
List all your answers above as ordered pairs.
y = –x(x + 6)(3x – 4) x-intercepts: __ __ __
y-intercept: __
x -7 -3 1 2
y
List all your answers above as ordered pairs.
3. y = x2
(x + 3)(x + 1)(x – 1)(x – 3) x-intercepts: __ __ __ __ __
y-intercept: __
x -4 -2 -0.5 0.5 2 4
y
List all your answers above as ordered pairs
In this activity, you evaluated a function at given values of x. Notice that
some of the given x-values are less than the least x-intercept, some are between
two x-intercepts, and some are greater than the greatest x  intercept. For
example, in number 1, the x-intercepts are -4, -2, 1, and 3. The value -5 is
used as x-value less than -4; -3, 0, and 2 are between two x-intercepts; and 4
is used as x-value greater than 3. Why do you think we should consider
them?
Activity 6:
All rights reserved. No part of this material may be reproduced or transmitted in any form or by any means -
electronic or mechanical including photocopying – without written permission from the DepEd Central Office. First Edition, 2015.
D
EPED
C
O
PY
112
In the next activity, you will describe the behavior of the graph of a
polynomial function relative to the x-axis.
Given the polynomial function y = (x + 4)(x + 2)(x – 1)(x – 3), complete the
table below. Answer the questions that follow.
Value of
x
Value of
y
Relation of y value to 0:
y > 0, y = 0, or y < 0?
Location of the point (x, y):
above the x-axis, on the
x-axis, or below the x-axis?
-5 144 0y above the x-axis
-4
-3
-2 0 y = 0 on the x - axis
0
1
2
3
4
Questions:
1. At what point(s) does the graph pass through the x-axis?
2. If 4x , what can you say about the graph?
3. If 24  x , what can you say about the graph?
4. If 12  x , what can you say about the graph?
5. If 31  x , what can you say about the graph?
6. If 3x , what can you say about the graph?
Now, this table may be transformed into a simpler one that will instantly
help you in locating the curve. We call this the table of signs.
The roots of the polynomial function y = (x + 4)(x + 2)(x – 1)(x – 3) are
x = –4, –2, 1, and 3. These are the only values of x where the graph will cross
the x-axis. These roots partition the number line into intervals. Test values are
then chosen from within each interval.
Activity 7:
All rights reserved. No part of this material may be reproduced or transmitted in any form or by any means -
electronic or mechanical including photocopying – without written permission from the DepEd Central Office. First Edition, 2015.
D
EPED
C
O
PY
113
The table of signs and the rough sketch of the graph of this function
can now be constructed, as shown below.
The Table of Signs
Intervals
4x   4 2x    2 1x   1 3x  3x 
Test value -5 -3 0 2 4
4x  – + + + +
2x  – – + + +
1x  – – – + +
3x  – – – – +
)3)(1)(2)(4(  xxxxy + – + – +
Position of the curve
relative to the x-axis
above below above below above
The Graph of )3)(1)(2)(4(  xxxxy
We can now use the information from the table of signs to construct a
possible graph of the function. At this level, though, we cannot determine the
turning points of the graph, we can only be certain that the graph is correct
with respect to intervals where the graph is above, below, or on the x-axis.
The arrow heads at both ends of the graph signify that the graph
indefinitely goes upward.
All rights reserved. No part of this material may be reproduced or transmitted in any form or by any means -
electronic or mechanical including photocopying – without written permission from the DepEd Central Office. First Edition, 2015.
D
EPED
C
O
PY
114
Here is another example: Sketch the graph of )43)(2()(  xxxxf
Roots of f(x): -2, 0,
3
4
Table of Signs:
Intervals
2x   2 0x  
4
0
3
x 
4
3
x 
Test value -3 -1 1 2
–x + + – –
x + 2 – + + +
3x – 4 – – – +
f(x) = –x(x + 2)(3x – 4) + – + –
Position of the curve
relative to the x-axis
above below above below
Graph:
In this activity, you learned how to sketch the graph of polynomial
functions using the intercepts, some points, and the position of the curves
determined from the table of signs. The procedures described are applicable
when the polynomial function is in factored form. Otherwise, you need to
express first a polynomial in factored form. Try this in the next activity.
All rights reserved. No part of this material may be reproduced or transmitted in any form or by any means -
electronic or mechanical including photocopying – without written permission from the DepEd Central Office. First Edition, 2015.
D
EPED
C
O
PY
115
For each of the following functions, give
(a) the x-intercept(s)
(b) the intervals obtained when the x-intercepts
are used to partition the number line
(c) the table of signs
(d) a sketch of the graph
1. y = (2x + 3)(x – 1)(x – 4)
2. y = –x3
+ 2x2
+ 11x – 2
3. y = x4
– 26x2
+ 25
4. y = –x4
– 5x3
+ 3x2
+ 13x – 10
5. y = x2
(x + 3)(x + 1)4
(x – 1)3
Post your answer/output for a walk-through. For each of these
polynomial functions, answer the following:
a. What happens to the graph as x decreases without bound?
b. For which interval(s) is the graph (i) above and (ii) below the
x-axis?
c. What happens to the graph as x increases without bound?
d. What is the leading term of the polynomial function?
e. What are the leading coefficient and the degree of the function?
Now, the big question for you is: Do the leading coefficient and degree
affect the behavior of its graph? You will answer this after an investigation in
the next activity.
After sketching manually the graphs of the five functions given in Activity 8,
you will now be shown polynomial functions and their corresponding graphs.
Study each figure and answer the questions that follow. Summarize your
answers using a table similar to the one provided.
Activity 9:
Activity 8:
All rights reserved. No part of this material may be reproduced or transmitted in any form or by any means -
electronic or mechanical including photocopying – without written permission from the DepEd Central Office. First Edition, 2015.
D
EPED
C
O
PY
116
Case 1
The graph on the right is defined by
y = 2x3
– 7x2
– 7x + 12
or, in factored form,
y = (2x + 3) (x – 1) (x – 4).
Questions:
a. Is the leading coefficient a positive or a
negative number?
b. Is the polynomial of even degree or odd
degree?
c. Observe the end behaviors of the graph on
both sides. Is it rising or falling to the left or to
the right?
Case 2
The graph on the right is defined by
473 2345
 xxxxy
or, in factored form,
22
)2)(1()1(  xxxy .
Questions:
a. Is the leading coefficient a positive or a
negative number?
b. Is the polynomial of even degree or odd
degree?
c. Observe the end behaviors of the graph
on both sides. Is it rising or falling to the
left or to the right?
Case 3
The graph on the right is defined by
xxxy 67 24
 or, in factored form,
)2)(1)(3(  xxxxy .
Questions:
a. Is the leading coefficient a positive or a
negative number?
b. Is the polynomial of even degree or odd
degree?
c. Observe the end behaviors of the graph
on both sides. Is it rising or falling to the
left or to the right?
x
y
x
y
x
y
All rights reserved. No part of this material may be reproduced or transmitted in any form or by any means -
electronic or mechanical including photocopying – without written permission from the DepEd Central Office. First Edition, 2015.
D
EPED
C
O
PY
117
Case 4
The graph on the right is defined by
2414132 234
 xxxxy
or, in factored form,
)4)(2)(1)(3(  xxxxy .
Questions:
a. Is the leading coefficient a positive or a
negative number?
b. Is the polynomial of even degree or odd
degree?
c. Observe the end behaviors of the graph
on both sides. Is it rising or falling to the
left or to the right?
Now, complete this table. In the last column, draw a possible graph for
the function, showing how the function behaves. (You do not need to place
your graph on the xy-plane). The first one is done for you.
Sample Polynomial Function
Leading
Coefficient:
0n or
0n
Degree:
Even or
Odd
Behavior of the
Graph:
Rising or Falling
Possible
Sketch
Left-
hand
Right-
hand
1. 3 2
2 7 7 12y x x x    0n odd falling rising
2. 5 4 3 2
3 7 4y x x x x    
3. 4 2
7 6y x x x  
4. 4 3 2
2 13 14 24y x x x x    
Summarize your findings from the four cases above. What do you observe
if:
1. the degree of the polynomial is odd and the leading coefficient is
positive?
2. the degree of the polynomial is odd and the leading coefficient is
negative?
3. the degree of the polynomial is even and the leading coefficient is
positive?
4. the degree of the polynomial is even and the leading coefficient is
negative?
x
y
All rights reserved. No part of this material may be reproduced or transmitted in any form or by any means -
electronic or mechanical including photocopying – without written permission from the DepEd Central Office. First Edition, 2015.
D
EPED
C
O
PY
118
Congratulations! You have now illustrated The Leading Coefficient
Test. You should have realized that this test can help you determine the end
behaviors of the graph of a polynomial function as x increases or decreases
without bound.
Recall that you have already learned two properties of the graph of
polynomial functions; namely, the intercepts which can be obtained from the
Rational Root Theorem, and the end behaviors which can be identified using
the Leading Coefficient Test. Another helpful strategy is to determine whether
the graph crosses or is tangent to the x-axis at each x-intercept. This strategy
involves the concept of multiplicity of a zero of a polynomial function.
Multiplicity tells how many times a particular number is a zero or root for the
given polynomial.
The next activity will help you understand the relationship between
multiplicity of a root and whether a graph crosses or is tangent to the x-axis.
Given the function )2()1()1()2( 432
 xxxxy and its graph, complete the
table below, then answer the questions that follow.
Root or Zero Multiplicity
Characteristic
of Multiplicity:
Odd or Even
Behavior of Graph
Relative to x-axis at this
Root:
Crosses or Is Tangent to
-2
-1
1
2
Activity 10:
x
y
All rights reserved. No part of this material may be reproduced or transmitted in any form or by any means -
electronic or mechanical including photocopying – without written permission from the DepEd Central Office. First Edition, 2015.
D
EPED
C
O
PY
119
Questions:
a. What do you notice about the graph when it passes through a root of
even multiplicity?
b. What do you notice about the graph when it passes through a root of
odd multiplicity?
This activity extends what you learned when using a table of signs to
graph a polynomial function. When the graph crosses the x-axis, it means the
graph changes from positive to negative or vice versa. But if the graph is
tangent to the x-axis, it means that the graph is either positive on both sides
of the root, or negative on both sides of the root.
In the next activity, you will consider the number of turning points of the
graph of a polynomial function. The turning points of a graph occur when the
function changes from decreasing to increasing or from increasing to
decreasing values.
Complete the table below. Then answer the questions that follow.
Polynomial Function Sketch Degree
Number of
Turning
Points
1. 4
xy 
2. 152 24
 xxy
3. 5
xy 
Activity 11:
x
y
x
y
x
y
All rights reserved. No part of this material may be reproduced or transmitted in any form or by any means -
electronic or mechanical including photocopying – without written permission from the DepEd Central Office. First Edition, 2015.
D
EPED
C
O
PY
120
Polynomial Function Sketch Degree
Number of
Turning
Points
4. 1235
 xxxy
5. xxxy 45 35

Questions:
a. What do you notice about the number of turning points of the quartic
functions (numbers 1 and 2)? How about of quintic functions (numbers
3 to 5)?
b. From the given examples, do you think it is possible for the degree of a
function to be less than the number of turning points?
c. State the relation of the number of turning points of a function with its
degree n.
In this section, you have encountered important concepts that can help
you graph polynomial functions. Notice that the graph of a polynomial
function is continuous, smooth, and has rounded turns. Further, the
number of turning points in the graph of a polynomial is strictly less than the
degree of the polynomial.
Use what you have learned as you perform the activities in the
succeeding sections.
y
x
x
y
All rights reserved. No part of this material may be reproduced or transmitted in any form or by any means -
electronic or mechanical including photocopying – without written permission from the DepEd Central Office. First Edition, 2015.
D
EPED
C
O
PY
121
The goal of this section is to help you think critically and creatively
as you apply the techniques in graphing polynomial functions. Also, this
section aims to provide opportunities to solve real-life problems involving
polynomial functions.
For each given polynomial function, describe or determine the following, then
sketch the graph. You may need a calculator in some computations.
a. leading term
b. end behaviors
c. x-intercepts
points on the x-axis
d. multiplicity of roots
e. y-intercept
point on the y-axis
f. number of turning points
g. sketch
1. )52()1)(3( 2
 xxxy
2. 322
)2()1)(5(  xxxy
3. 422 23
 xxxy
4. )32)(7( 22
 xxxy
5. 2861832 234
 xxxxy
In this activity, you were given the opportunity to sketch the graph of
polynomial functions. Were you able to apply all the necessary concepts and
properties in graphing each function? The next activity will let you see the
connections of these mathematics concepts to real life.
Activity 12:
All rights reserved. No part of this material may be reproduced or transmitted in any form or by any means -
electronic or mechanical including photocopying – without written permission from the DepEd Central Office. First Edition, 2015.
D
EPED
C
O
PY
122
Work in groups. Apply the concepts of polynomial functions to answer the
questions in each problem. Use a calculator when needed.
1. Look at the pictures below. What do these tell us? Filipinos need to take
the problem of deforestation seriously.
The table below shows the forest cover of the Philippines in relation to
its total land area of approximately 30 million hectares.
Year 1900 1920 1960 1970 1987 1998
Forest Cover (%) 70 60 40 34 23.7 22.2
Source: Environmental Science for Social Change, Decline of the Philippine Forest
A cubic polynomial that best models the data is given by
3 2
26 3500 391 300 69 717000
; 0 98
1 000 000
x x x
y x
  
 
where y is the percent forest cover x years from 1900.
10 20 30 40 50 60 70 80 90 x
-10
10
20
30
40
50
60
70
80
y
O
Activity 13:
All rights reserved. No part of this material may be reproduced or transmitted in any form or by any means -
electronic or mechanical including photocopying – without written permission from the DepEd Central Office. First Edition, 2015.
D
EPED
C
O
PY
123
Questions/Tasks:
a. Using the graph, what is the approximate forest cover during the year
1940?
b. Compare the forest cover in 1987 (as given in the table) to the forest
cover given by the polynomial function. Why are these values not
exactly the same?
c. Do you think you can use the polynomial to predict the forest cover in
the year 2100? Why or why not?
2. The members of a group of packaging designers of a gift shop are looking
for a precise procedure to make an open rectangular box with a volume of
560 cubic inches from a 24-inch by 18-inch rectangular piece of material.
The main problem is how to identify the side of identical squares to be cut
from the four corners of the rectangular sheet so that such box can be
made.
Question/Task:
Suppose you are chosen as the leader and you are tasked to lead
in solving the problem. What will you do to meet the specifications needed
for the box? Show a mathematical solution.
Were you surprised that polynomial functions have real and practical
uses? What do you need to solve these kinds of problems? Enjoy learning as
you proceed to the next section.
The goal of this section is to check if you can apply polynomial
functions to real-life problems and produce a concrete object that
satisfies the conditions given in the problem.
Read the problem carefully and answer the questions that follow.
You are designing candle-making kits.
Each kit contains 25 cubic inches of candle wax
and a mold for making a pyramid-shaped candle
with a square base. You want the height of the
candle to be 2 inches less than the edge of the
base.
Activity 14:
All rights reserved. No part of this material may be reproduced or transmitted in any form or by any means -
electronic or mechanical including photocopying – without written permission from the DepEd Central Office. First Edition, 2015.
D
EPED
C
O
PY
124
Questions/Tasks:
1. What should the dimensions of your candle mold be? Show a
mathematical procedure in determining the dimensions.
2. Use a sheet of cardboard as sample material in preparing a candle
mold with such dimensions. The bottom of the mold should be closed.
The height of one face of the pyramid should be indicated.
3. Write your solution in one of the faces of your output (mold).
Rubric for the Mathematical Solution
Point Descriptor
4
The problem is correctly modeled with a polynomial function,
appropriate mathematical concepts are used in the solution,
and the correct final answer is obtained.
3
The problem is correctly modeled with a polynomial function,
appropriate mathematical concepts are partially used in the
solution, and the correct final answer is obtained.
2
The problem is not properly modeled with a polynomial
function, other alternative mathematical concepts are used in
the solution, and the correct final answer is obtained.
1
The problem is not properly modeled with a polynomial
function, a solution is presented but the final answer is
incorrect.
Criteria for Rating the Output:
 The mold has the needed dimensions and parts.
 The mold is properly labeled with the required length of parts.
 The mold is durable.
 The mold is neat and presentable.
Point/s to Be Given:
4 points if all items in the criteria are evident
3 points if any three of the items are evident
2 points if any two of the items are evident
1 point if any of the items is evident
All rights reserved. No part of this material may be reproduced or transmitted in any form or by any means -
electronic or mechanical including photocopying – without written permission from the DepEd Central Office. First Edition, 2015.
D
EPED
C
O
PY
125
SUMMARY/SYNTHESIS/GENERALIZATION
This lesson was about polynomial functions. You learned how to:
 illustrate and describe polynomial functions;
 show the graph of polynomial functions using the following properties:
- the intercepts (x-intercept and y-intercept);
- the behavior of the graph using the Leading Coefficient Test, table
of signs, turning points, and multiplicity of zeros; and
 solve real-life problems that can be modeled with polynomial functions.
GLOSSARY OF TERMS
Constant Function - a polynomial function whose degree is 0
Evaluating a Polynomial - a process of finding the value of the polynomial at
a given value in its domain
Intercepts of a Graph - points on the graph that have zero as either the x-
coordinate or the y-coordinate
Irreducible Factor - a factor that can no longer be factored using coefficients
that are real numbers
Leading Coefficient Test - a test that uses the leading term of the
polynomial function to determine the right-hand and the left-hand behaviors of
the graph
Linear Function - a polynomial function whose degree is 1
Multiplicity of a Root - tells how many times a particular number is a root for
the given polynomial
Nonnegative Integer - zero or any positive integer
Polynomial Function - a function denoted by
01
2
2
1
1 ...)( axaxaxaxaxP n
n
n
n
n
n  


 , where n is a nonnegative
integer, naaa ...,,, 10 are real numbers called coefficients but ,0na n
n xa is
the leading term, na is the leading coefficient, and 0a is the constant term
Polynomial in Standard Form - any polynomial whose terms are arranged in
decreasing powers of x
Quadratic Function – a polynomial function whose degree is 2
All rights reserved. No part of this material may be reproduced or transmitted in any form or by any means -
electronic or mechanical including photocopying – without written permission from the DepEd Central Office. First Edition, 2015.
D
EPED
C
O
PY
126
Quartic Function – a polynomial function whose degree is 4
Quintic Function – a polynomial function whose degree is 5
Turning Point – a point where the function changes from decreasing to
increasing or from increasing to decreasing values
REFERENCES USED IN THIS MODULE:
Alferez, M.S., Duro, MC.A. & Tupaz, KK.L. (2008). MSA Advanced Algebra.
Quezon City, Philippines: MSA Publishing House.
Berry, J., Graham, T., Sharp, J. & Berry, E. (2003). Schaum’s A-Z
Mathematics. London, United Kingdom: Hodder & Stoughton
Educational.
Cabral, E. A., De Lara-Tuprio, E.P., De Las Penas, ML. N., Francisco, F. F.,
Garces, IJ. L., Marcelo, R.M. & Sarmiento, J. F. (2010). Precalculus.
Quezon City, Philippines: Ateneo de Manila University Press.
Jose-Dilao, S., Orines, F. B. & Bernabe, J.G. (2003). Advanced Algebra,
Trigonometry and Statistics. Quezon City, Philippines: JTW
Corporation.
Lamayo, F. C. & Deauna, M. C. (1990). Fourth Year Integrated Mathematics.
Quezon City, Philippines: Phoenix Publishing House, Inc.
Larson, R. & Hostetler, R. P. (2012). Algebra and Trigonometry. Pasig City,
Philippines: Cengage Learning Asia Pte. Ltd.
Marasigan, J. A., Coronel, A.C. & Coronel, I.C. (2004). Advanced Algebra
with Trigonometry and Statistics. Makati City, Philippines: The
Bookmark, Inc.
Quimpo, N. F. (2005). A Course in Freshman Algebra. Quezon City,
Philippines.
Uy, F. B. & Ocampo, J.L. (2000). Board Primer in Mathematics. Mandaluyong
City, Philippines: Capitol Publishing House.
Villaluna, T. T. & Van Zandt, GE. L. (2009). Hands-on, Minds-on Activities in
Mathematics IV. Quezon City, Philippines: St. Jude Thaddeus
Publications.
All rights reserved. No part of this material may be reproduced or transmitted in any form or by any means -
electronic or mechanical including photocopying – without written permission from the DepEd Central Office. First Edition, 2015.
D
EPED
C
O
PY
127
I. INTRODUCTION
Have you imagined yourself pushing a cart or riding in a bus having
wheels that are not round? Do you think you can move heavy objects from
one place to another easily or travel distant places as fast as you can?
What difficulty do you think would you experience without circles? Have
you ever thought of the importance of circles in the field of transportation,
industries, sports, navigation, carpentry, and in your daily life?
Find out the answers to these questions and determine the vast
applications of circles through this module.
II. LESSONS AND COVERAGE:
In this module, you will examine the above questions when you
take the following lessons:
Lesson 1A – Chords, Arcs, and Central Angles
Lesson 1B – Arcs and Inscribed Angles
Lesson 2A – Tangents and Secants of a Circle
Lesson 2B – Tangent and Secant Segments
All rights reserved. No part of this material may be reproduced or transmitted in any form or by any means -
electronic or mechanical including photocopying – without written permission from the DepEd Central Office. First Edition, 2015.
D
EPED
C
O
PY
128
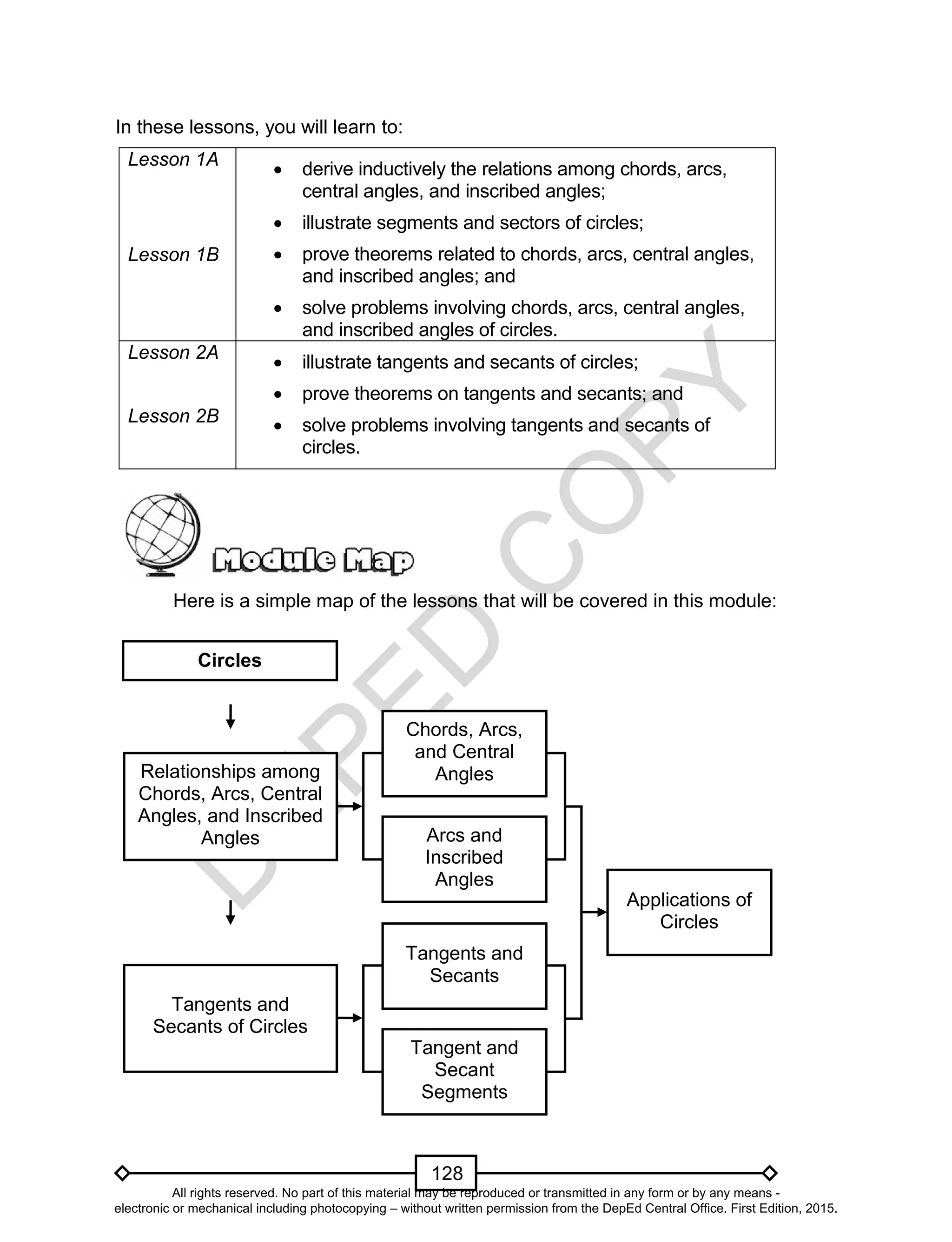
In these lessons, you will learn to:
Lesson 1A
Lesson 1B
 derive inductively the relations among chords, arcs,
central angles, and inscribed angles;
 illustrate segments and sectors of circles;
 prove theorems related to chords, arcs, central angles,
and inscribed angles; and
 solve problems involving chords, arcs, central angles,
and inscribed angles of circles.
Lesson 2A
Lesson 2B
 illustrate tangents and secants of circles;
 prove theorems on tangents and secants; and
 solve problems involving tangents and secants of
circles.
Here is a simple map of the lessons that will be covered in this module:
Circles
Applications of
Circles
Relationships among
Chords, Arcs, Central
Angles, and Inscribed
Angles
Tangents and
Secants of Circles
Chords, Arcs,
and Central
Angles
Arcs and
Inscribed
Angles
Tangents and
Secants
Tangent and
Secant
Segments
All rights reserved. No part of this material may be reproduced or transmitted in any form or by any means -
electronic or mechanical including photocopying – without written permission from the DepEd Central Office. First Edition, 2015.
D
EPED
C
O
PY
129
III. PRE-ASSESSMENT
Part I
Find out how much you already know about the topics in this module.
Choose the letter that you think best answers each of the following
questions. Take note of the items that you were not able to answer
correctly and find the right answer as you go through this module.
1. What is an angle whose vertex is on a circle and whose sides contain
chords of the circle?
A. central angle C. circumscribed angle
B. inscribed angle D. intercepted angle
2. An arc of a circle measures 30°. If the radius of the circle is 5 cm, what
is the length of the arc?
A. 2.62 cm B. 2.3 cm C. 1.86 cm D. 1.5 cm
3. Using the figure below, which of the following is an external secant
segment of M?
A. CO C. NO
B. TI D. NI
4. The opposite angles of a quadrilateral inscribed in a circle are _____.
A. right C. complementary
B. obtuse D. supplementary
5. In S at the right, what is VSIm if mVI = 140?
A. 35 C. 140
B. 75 D. 230
6. What is the sum of the measures of the central angles of a circle with
no common interior points?
A. 120 B. 240 C. 360 D. 480
I N
T
E
C
O
M
All rights reserved. No part of this material may be reproduced or transmitted in any form or by any means -
electronic or mechanical including photocopying – without written permission from the DepEd Central Office. First Edition, 2015.
D
EPED
C
O
PY
130
P
X
Y
N
M
7. Catherine designed a pendant. It is a regular hexagon set in a circle.
Suppose the opposite vertices are connected by line segments and
meet at the center of the circle. What is the measure of each angle
formed at the center?
A. 5.22 B. 45 C. 60 D. 72
8. If an inscribed angle of a circle intercepts a semicircle, then the angle
is _________.
A. acute B. right C. obtuse D. straight
9. At a given point on the circle, how many line/s can be drawn that is
tangent to the circle?
A. one B. two C. three D. four
10. What is the length of ZK in the figure on the right?
A. 2.86 units C. 8 units
B. 6 units D. 8.75 units
11. In the figure on the right, mXY = 150 and mMN = 30.
What is XPYm ?
A. 60
B. 90
C. 120
D. 180
12. The top view of a circular table shown on the
right has a radius of 120 cm. Find the area of
the smaller segment of the table (shaded
region) determined by a 60 arc.
A.  2400 3600 3  cm2
B. 3600 3 cm2
C. 2400 cm2
D.  14 400 3600 3  cm2
60°
120 cm
All rights reserved. No part of this material may be reproduced or transmitted in any form or by any means -
electronic or mechanical including photocopying – without written permission from the DepEd Central Office. First Edition, 2015.
D
EPED
C
O
PY
131
13. In O given below, what is PR if NO = 15 units and ES = 6 units?
A. 28 units
B. 24 units
C. 12 units
D. 9 units
14. A dart board has a diameter of 40 cm and is divided into 20 congruent
sectors. What is the area of one of the sectors?
A. 20 cm2
C. 80 cm2
B. 40 cm2
D. 800 cm2
15. Mr. Soriano wanted to plant three different colors of roses on the outer
rim of a circular garden. He stretched two strings from a point external
to the circle to see how the circular rim can be divided into three
portions as shown in the figure below.
What is the measure of minor arc AB?
A. 64° B. 104° C. 168° D. 192°
16. In the figure below, SY and EY are secants. If SY = 15 cm,
TY = 6 cm, and LY = 8 cm. What is the length of EY ?
A. 20 cm B. 12 cm C. 11.25 cm D. 6.75 cm
P
E R
O
S
N
S
Y
T
L
E
A
B
M
C
20°
192°
All rights reserved. No part of this material may be reproduced or transmitted in any form or by any means -
electronic or mechanical including photocopying – without written permission from the DepEd Central Office. First Edition, 2015.
D
EPED
C
O
PY
132
17. In C below, mAB = 60 and its radius is 6 cm. What is the area of
the shaded region in terms of pi ( )?
A. 6  cm 2
C. 10  cm 2
B. 8  cm 2
D. 12  cm 2
18. In the circle below, what is the measure of SAY if DSY is a
semicircle and ?70SADm
A. 20 C. 110
B. 70 D. 150
19. Quadrilateral SMIL is inscribed in E. If 78m SMI and
m 95MSL  , find MILm .
A. 78 C. 95
B. 85 D. 102
20. In M on the right, what is BROm if 60BMOm ?
A. 120 C. 30
B. 60 D. 15
A
D
S
Y
C B
A
6 cm
60°
M
I
L
78°
S
95°
E
B
M
O
R
All rights reserved. No part of this material may be reproduced or transmitted in any form or by any means -
electronic or mechanical including photocopying – without written permission from the DepEd Central Office. First Edition, 2015.
D
EPED
C
O
PY
133
Part II
Solve each of the following problems. Show your complete solutions.
2. A bicycle chain fits tightly around two gears. What is the distance between the
centers of the gears if the radii of the bigger and smaller gears are 9.3 inches
and 2.4 inches, respectively, and the portion of the chain tangent to the two
gears is 26.5 inches long?
Rubric for Problem Solving
Score Descriptors
4
Used an appropriate strategy to come up with the correct solution
and arrived at a correct answer.
3
Used an appropriate strategy to come up with a solution, but a part
of the solution led to an incorrect answer.
2
Used an appropriate strategy but came up with an entirely wrong
solution that led to an incorrect answer.
1
Attempted to solve the problem but used an inappropriate strategy
that led to a wrong solution.
Part III
Read and understand the situation below, then answer the questions and
perform what is required.
The committee in-charge of the Search for the Cleanest and Greenest
School informed your principal that your school has been selected as a regional
finalist. Being a regional finalist, your principal would like to make your school
more beautiful and clean by making more gardens of different shapes. He
decided that every year level will be assigned to prepare a garden of particular
shape.
In your grade level, he said that you will be preparing circular,
semicircular, or arch-shaped gardens in front of your building. He further
encouraged your grade level to add garden accessories to make the gardens
more presentable and amusing.
1. Mr. Javier designed an arch made of
bent iron for the top of a school’s main
entrance. The 12 segments between
the two concentric semicircles are
each 0.8 meter long. Suppose the
diameter of the inner semicircle is 4
meters. What is the total length of the
bent iron used to make this arch?
4 m0.8 m
All rights reserved. No part of this material may be reproduced or transmitted in any form or by any means -
electronic or mechanical including photocopying – without written permission from the DepEd Central Office. First Edition, 2015.
D
EPED
C
O
PY
134
1. How will you prepare the design of the gardens?
2. What garden accessories will you use?
3. Make the designs of the gardens which will be placed in front of your
grade level building. Use the different shapes that were required by your
principal.
4. Illustrate every part or portion of the garden including their measurements.
5. Using the designs of the gardens made, determine all the concepts or
principles related to circles.
6. Formulate problems involving these mathematics concepts or principles,
then solve.
Rubric for Design
Score Descriptors
4 The design is accurately made, presentable, and appropriate.
3 The design is accurately made and appropriate but not presentable.
2 The design is not accurately made but appropriate.
1 The design is made but not accurate and appropriate.
Rubric on Problems Formulated and Solved
Score Descriptors
6
Poses a more complex problem with two or more correct possible
solutions, communicates ideas unmistakably, shows in-depth
comprehension of the pertinent concepts and/or processes, and
provides explanations wherever appropriate.
5
Poses a more complex problem and finishes all significant parts of
the solution, communicates ideas unmistakably, and shows in-depth
comprehension of the pertinent concepts and/or processes.
4
Poses a complex problem and finishes all significant parts of the
solution, communicates ideas unmistakably, and shows in-depth
comprehension of the pertinent concepts and/or processes.
3
Poses a complex problem and finishes most significant parts of the
solution, communicates ideas unmistakably, and shows
comprehension of major concepts although neglects or misinterprets
less significant ideas or details.
2
Poses a problem and finishes some significant parts of the solution
and communicates ideas unmistakably but shows gaps on theoretical
comprehension.
1
Poses a problem but demonstrates minor comprehension, not being
able to develop an approach.
Source: D.O. #73, s. 2012
IV. LEARNING GOALS AND TARGETS
After going through this module, you should be able to demonstrate
understanding of key concepts of circles and formulate real-life problems
involving these concepts, and solve these using a variety of strategies.
Furthermore, you should be able to investigate mathematical relationships in
various situations involving circles.
All rights reserved. No part of this material may be reproduced or transmitted in any form or by any means -
electronic or mechanical including photocopying – without written permission from the DepEd Central Office. First Edition, 2015.
D
EPED
C
O
PY
135
J
A N
E
L
s
Start Lesson 1A of this module by assessing your knowledge of the
different mathematical concepts previously studied and your skills in
performing mathematical operations. These knowledge and skills will
help you understand circles. As you go through this lesson, think of this
important question: “How do the relationships among chords, arcs, and
central angles of a circle facilitate finding solutions to real-life problems
and making decisions?” To find the answer, perform each activity. If you
find any difficulty in answering the exercises, seek the assistance of your
teacher or peers or refer to the modules you have studied earlier. You
may check your work with your teacher.
Use the figure below to identify and name the following terms related to A.
Then, answer the questions that follow.
1. a radius 5. a minor arc
2. a diameter 6. a major arc
3. a chord 7. 2 central angles
4. a semicircle 8. 2 inscribed angles
Activity 1:
All rights reserved. No part of this material may be reproduced or transmitted in any form or by any means -
electronic or mechanical including photocopying – without written permission from the DepEd Central Office. First Edition, 2015.
D
EPED
C
O
PY
136
Questions:
a. How did you identify and name the radius, diameter, and chord?
How about the semicircle, minor arc, and major arc? inscribed angle
and central angle?
b. How do you describe a radius, diameter, and chord of a circle?
How about the semicircle, minor arc, and major arc? inscribed angle
and central angle?
Write your answers in the table below.
Terms Related to Circles Description
1. radius
2. diameter
3. chord
4. semicircle
5. minor arc
6. major arc
7. central angle
8. inscribed angle
c. How do you differentiate among the radius, diameter, and chord of a
circle?
How about the semicircle, minor arc, and major arc? inscribed angle
and central angle?
Were you able to identify and describe the terms related to circles?
Were you able to recall and differentiate them? Now that you know the
important terms related to circles, let us deepen your understanding of
finding the lengths of sides of right triangles. You need this mathematical
skill in finding the relationships among chords, arcs, and central angles
as you go through this lesson.
All rights reserved. No part of this material may be reproduced or transmitted in any form or by any means -
electronic or mechanical including photocopying – without written permission from the DepEd Central Office. First Edition, 2015.
D
EPED
C
O
PY
137
In each triangle below, the length of one side is unknown. Determine the
length of this side.
1. 4.
2. 5.
3. 6.
Questions:
a. How did you find the missing side of each right triangle?
b. What mathematics concepts or principles did you apply to find each
missing side?
In the activity you have just done, were you able to find the missing
side of a right triangle? The concept used will help you as you go on with
this module.
Activity 2:
a = 6
b = 8
c = ?
b = ?
a = 3
c = 5
a = 9
b = 9
c = ?
a = ?
b = 16
c = 20
a = 7
b = ?
c = 14
a = 9
b = 15
c = ?
All rights reserved. No part of this material may be reproduced or transmitted in any form or by any means -
electronic or mechanical including photocopying – without written permission from the DepEd Central Office. First Edition, 2015.
D
EPED
C
O
PY
138
O
Use the figures below to answer the questions that follow.
Figure 1 Figure 2
1. What is the measure of each of the following angles in Figure 1? Use a
protractor.
a. TOP d. ROS
b. POQ e. SOT
c. QOR
2. In Figure 2, AF , AB , AC , AD , and AE are radii of A. What is the
measure of each of the following angles? Use a protractor.
a. FAB d. EAD
b. BAC e. EAF
c. CAD
3. How do you describe the angles in each figure?
4. What is the sum of the measures of ,TOP POQ , ,QOR ,ROS
and SOT in Figure 1?
How about the sum of the measures of ,FAB ,BAC ,CAD ,EAD
and EAF in Figure 2?
Activity 3:
OT
S
R
Q
P
C
B
F
D
E
AO
All rights reserved. No part of this material may be reproduced or transmitted in any form or by any means -
electronic or mechanical including photocopying – without written permission from the DepEd Central Office. First Edition, 2015.
D
EPED
C
O
PY
139
5. In Figure 1, what is the sum of the measures of the angles formed by
the coplanar rays with a common vertex but with no common interior
points?
6. In Figure 2, what is the sum of the measures of the angles formed by
the radii of a circle with no common interior points?
7. In Figure 2, what is the intercepted arc of ?FAB How about ?BAC
CAD ? ?EAD ?EAF Complete the table below.
Central Angle Measure Intercepted Arc
a. FAB
b. BAC
c. CAD
d. EAD
e. EAF
8. What do you think is the sum of the measures of the intercepted arcs
of ,FAB BAC , CAD , ,EAD and EAF ? Why?
9. What can you say about the sum of the measures of the central angles
and the sum of the measures of their corresponding intercepted arcs?
Were you able to measure the angles accurately and find the sum
of their measures? Were you able to determine the relationship between
the measures of the central angle and its intercepted arc? For sure you
were able to do it. In the next activity, you will find out how circles are
illustrated in real-life situations.
Use the situation below to answer the questions that follow.
Rowel is designing a mag wheel like the one shown below. He decided
to put 6 spokes which divide the rim into 6 equal parts.
Activity 4:
All rights reserved. No part of this material may be reproduced or transmitted in any form or by any means -
electronic or mechanical including photocopying – without written permission from the DepEd Central Office. First Edition, 2015.
D
EPED
C
O
PY
140
In the figure on the right, BAC is a central
angle. Its sides divide A into arcs. One arc is the
curve containing points B and C. The other arc is the
curve containing points B, D, and C.
Recall that a central angle of a circle is an
angle formed by two rays whose vertex is the center
of the circle. Each ray intersects the circle at a point,
dividing it into arcs.
Questions:
a. What is the degree measure of each arc along the rim?
How about each angle formed by the spokes at the hub?
b. If you were to design a wheel, how many spokes will you use to divide
the rim? Why?
How did you find the preceding activities? Are you ready to learn
about the relations among chords, arcs, and central angles of a circle? I
am sure you are!!! From the activities done, you were able to recall and
describe the terms related to circles. You were able to find out how
circles are illustrated in real-life situations. But how do the relationships
among chords, arcs, and central angles of a circle facilitate finding
solutions to real-life problems and making decisions? You will find these
out in the activities in the next section. Before doing these activities, read
and understand first some important notes on this lesson and the
examples presented.
Central Angle and Arcs
Definition: Sum of Central Angles
(Note: All measures of angles and arcs are in degrees.)
The sum of the measures of the central angles
of a circle with no common interior points is 360
degrees.
In the figure, 3604m3m2m1m  .
4 3
21
B
A
C
D
central
angle
arc
arc
All rights reserved. No part of this material may be reproduced or transmitted in any form or by any means -
electronic or mechanical including photocopying – without written permission from the DepEd Central Office. First Edition, 2015.
D
EPED
C
O
PY
141
M
O
G
E
Arcs of a Circle
An arc is a part of a circle. The symbol for arc is . A semicircle is
an arc with a measure equal to one-half the circumference of a circle. It is
named by using the two endpoints and another point on the arc.
Degree Measure of an Arc
1. The degree measure of a minor arc is the measure of the
central angle which intercepts the arc.
Example: GEO is a central angle. It intercepts E at
points G and O. The measure of GO is equal
to the measure of .GEO If m 118,GEO 
then mGO = 118.
2. The degree measure of a major arc is equal to 360 minus
the measure of the minor arc with the same endpoints.
Example: If mGO = 118, then mOMG = 360 – mGO.
That is, mOMG = 360 – 118 = 242.
Answer: mOMG = 242
3. The degree measure of a semicircle is 180 .
U
A minor arc is an arc of the circle that
measures less than a semicircle. It is named usually
by using the two endpoints of the arc.
Examples: JN, NE, and JE
A major arc is an arc of a circle that measures
greater than a semicircle. It is named by using the two
endpoints and another point on the arc.
Examples: JEN, JNE, and EJN
N
J
E
A
Z
O
C
N
Example: The curve from point N to point Z is an
arc. It is part of O and is named as
arc NZ or NZ. Other arcs of O are
CN, CZ, CZN, CNZ, and NCZ.
If mCNZ is one-half the circumference
of O, then it is a semicircle.
All rights reserved. No part of this material may be reproduced or transmitted in any form or by any means -
electronic or mechanical including photocopying – without written permission from the DepEd Central Office. First Edition, 2015.
D
EPED
C
O
PY
142
W
T
S
E
65°
65°
N
M
K
I
M
A
T
H
Congruent Circles and Congruent Arcs
Congruent circles are circles with congruent radii.
Example: MA is a radius of A.
TH is a radius of T.
If THMA  , then A T.
Congruent arcs are arcs of the same circle or of
congruent circles with equal measures.
Example: In I, KSTM  .
If I E, then NWTM 
and NWKS  .
Theorems on Central Angles, Arcs, and Chords
1. In a circle or in congruent circles, two minor arcs are congruent if and only
if their corresponding central angles are congruent.
In E below, NEOSET  Since the two central angles are
congruent, the minor arcs they intercept are also congruent. Hence,
NOST  .
If E  I and BIGNEOSET  , then BGNOST  .
65°
T
50°50°
T
S N
O
E I
G
B
50°
.
All rights reserved. No part of this material may be reproduced or transmitted in any form or by any means -
electronic or mechanical including photocopying – without written permission from the DepEd Central Office. First Edition, 2015.
D
EPED
C
O
PY
143
Proof of the Theorem
The proof has two parts. Part 1. Given are two congruent circles and a
central angle from each circle which are congruent. The two-column proof
below shows that their corresponding intercepted arcs are congruent.
Given: E I
BIGSET 
Prove: BGST 
Proof:
Statements Reasons
1. E I
BIGSET 
1. Given
2. In E , .m SET mST 
In I , .m BIG mBG 
2. The degree measure of a minor arc is
the measure of the central angle
which intercepts the arc.
3. BIGmSETm  3. From 1, definition of congruent angles
4. mBGmST  4. From 2 & 3, substitution
5. BGST  5. From 4, definition of congruent arcs
Part 2. Given are two congruent circles and intercepted arcs from each
circle which are congruent. The two-column proof on the next page shows
that their corresponding angles are congruent.
Given: E I
BGST 
Prove: BIGSET 
G
B
I
ES
T
G
B
I
ES
T
All rights reserved. No part of this material may be reproduced or transmitted in any form or by any means -
electronic or mechanical including photocopying – without written permission from the DepEd Central Office. First Edition, 2015.
D
EPED
C
O
PY
144
B
A
H
E
O
N
C
T
Proof:
Statements Reasons
1. E I
BGST 
1. Given
2. In ,E .mST m SET 
In I , .mBG m BIG 
2. The degree measure of a minor arc is
the measure of the central angle
which intercepts the arc.
3. mBGmST  3. From 1, definition of congruent arcs
4. BIGmSETm  4. From 2 & 3, substitution
5. BIGSET  5. From 4, definition of congruent angles
Combining parts 1 and 2, the theorem is proven.
2. In a circle or in congruent circles, two minor arcs are
congruent if and only if their corresponding chords are
congruent.
In T on the right, CHBA  . Since
the two chords are congruent, then CHBA  .
If T  N and OECHBA  , then
OECHBA  .
All rights reserved. No part of this material may be reproduced or transmitted in any form or by any means -
electronic or mechanical including photocopying – without written permission from the DepEd Central Office. First Edition, 2015.
D
EPED
C
O
PY
145
B
A
T
E
N
O
B
A
T E
N
O
Proof of the Theorem
The proof has two parts. Part 1. Given two congruent circles
T N and two congruent corresponding chords AB and OE , the two-
column proof below shows that the corresponding minor arcs AB and OE are
congruent.
Given: T N
OEAB 
Prove: OEAB 
Proof:
Statements Reasons
1. T N
OEAB 
1. Given
2. NENOTBTA 
2. Radii of the same circle or of
congruent circles are congruent.
3. ONEATB  3. SSS Postulate
4. ONEATB 
4. Corresponding Parts of Congruent
Triangles are Congruent (CPCTC)
5. OEAB 
5. From the previous theorem, “In a
circle or in congruent circles, two
minor arcs are congruent if and only
if their corresponding central angles
are congruent.”
Part 2. Given two congruent circles T and N and two congruent minor
arcs AB and OE , the two-column proof on the next page shows that the
corresponding chords AB and OE are congruent.
Given: T N
OEAB 
Prove: OEAB 
All rights reserved. No part of this material may be reproduced or transmitted in any form or by any means -
electronic or mechanical including photocopying – without written permission from the DepEd Central Office. First Edition, 2015.
D
EPED
C
O
PY
146
Proof:
Statements Reasons
1. T N
OEAB 
1. Given
2. mOEmAB  2. Definition of congruent arcs
3. BTA and ONE are
central angles.
3. Definition of central angles
4. mBABTAm 
mOEONEm 
4. The degree measure of a minor arc is
the measure of the central angle
which intercepts the arc.
5. ONEmBTAm  5. From 2, 4, substitution
6. NENOTBTA 
6. Radii of the same circle or of
congruent circles are congruent.
7. ONEATB  7. SAS Postulate
8. OEAB 
8. Corresponding Parts of Congruent
Triangles are Congruent (CPCTC)
Combining parts 1 and 2, the theorem is proven.
3. In a circle, a diameter bisects a chord and an arc with the same endpoints
if and only if it is perpendicular to the chord.
The proof of the theorem is given as an exercise in Activity 9.
N
E
G
U
I
S
In U on the right, ES is a diameter and
GN is a chord. If GNES  , then INGI  and
ENGE  .
All rights reserved. No part of this material may be reproduced or transmitted in any form or by any means -
electronic or mechanical including photocopying – without written permission from the DepEd Central Office. First Edition, 2015.
D
EPED
C
O
PY
147
Arc Addition Postulate
The measure of an arc formed by two adjacent arcs
is the sum of the measures of the two arcs.
Example: Adjacent arcs are arcs with exactly one
point in common. In E, LO and OV
are adjacent arcs. The sum of their
measures is equal to the measure of
LOV.
If mLO = 71 and mOV = 84, then mLOV = 71 + 84 = 155.
Sector and Segment of a Circle
A sector of a circle is the region bounded by an arc of the circle and
the two radii to the endpoints of the arc. To find the area of a sector of a
circle, get the product of the ratio
360
arctheofmeasure
and the area of the
circle.
Example: The radius of C is 10 cm. If mAB = 60, what is the
area of sector ACB?
Solution: To find the area of sector ACB:
a. Determine first the ratio
360
arctheofmeasure
.
360
60
360

arctheofmeasure
6
1

b. Find the area (A) of the circle using the equation A =
2
r ,
where r is the length of the radius.
A =
2
r
=  2
cm10
= 2
cm100
O
E
V
L
C B
A
10 cm
60°
All rights reserved. No part of this material may be reproduced or transmitted in any form or by any means -
electronic or mechanical including photocopying – without written permission from the DepEd Central Office. First Edition, 2015.
D
EPED
C
O
PY
148
c. Get the product of the ratio
360
arctheofmeasure
and the
area of the circle.
Area of sector ACB =  2
cm100
6
1






= 2
cm
3
50
The area of sector ACB is 2
cm
3
50
.
A segment of a circle is the region bounded by an arc and the
segment joining its endpoints.
Example: The shaded region in the figure below is a segment of
T. It is the region bounded by PQ and PQ .
In the same figure, the area of ΔPTQ =   cm5cm5
2
1
or
ΔPTQ = 2
cm
2
25
.
The area of the shaded segment, then, is equal to 2
cm
2
25
4
25

which is approximately 7.135 cm2
.
To find the area of the shaded segment
in the figure, subtract the area of triangle PTQ
from the area of sector PTQ.
If mPQ = 90 and the radius of the circle
is 5 cm, then the area of sector PTQ is one-
fourth of the area of the whole circle. That is,
Area of sector PTQ =   




 2
5
4
1
cm
=  




 2
cm25
4
1
= 2
cm
4
25

All rights reserved. No part of this material may be reproduced or transmitted in any form or by any means -
electronic or mechanical including photocopying – without written permission from the DepEd Central Office. First Edition, 2015.
D
EPED
C
O
PY
149
Arc Length
The length of an arc can be determined by using the proportion
360 2


A
r
l
, where A is the degree measure of the arc, r is the radius of the
circle, and l is the arc length. In the given proportion, 360 is the degree
measure of the whole circle, while 2r is the circumference.
Example: An arc of a circle measures 45°. If the radius of the circle is 6 cm,
what is the length of the arc?
Solution: In the given problem, A = 45 and r = 6 cm. To find l, the equation
360 2


A
r
l
can be used. Substitute the given values in the
equation.
360 2


A
r
l

45
360 2 (6)


l

1
8 12


l
12
8

 l  4.71l
The length of the arc is approximately 4.71 cm.
Learn more about Chords,
Arcs, Central Angles,
Sector, and Segment of a
Circle through the WEB.
You may open the
following links.
http://www.cliffsnotes.com/math/geometry/
circles/central-angles-and-arcs
http://www.mathopenref.com/arc. html
http://www.mathopenref.com/chord.html
http://www.mathopenref.com/circlecentral. html
http://www.mathopenref.com/arclength.html
http://www.mathopenref.com/arcsector.html
http://www.mathopenref.com/segment.html
http://www.math-worksheet.org/arc-length-and-
sector-area
All rights reserved. No part of this material may be reproduced or transmitted in any form or by any means -
electronic or mechanical including photocopying – without written permission from the DepEd Central Office. First Edition, 2015.
D
EPED
C
O
PY
150
Your goal in this section is to apply the key concepts of chords,
arcs, and central angles of a circle. Use the mathematical ideas and the
examples presented in the preceding section to answer the activities
provided.
Use A below to identify and name the following. Then, answer the questions
that follow.
1. 2 semicircles in the figure
2. 4 minor arcs and their corresponding
major arcs
3. 4 central angles
Questions:
a. How did you identify and name the semicircles?
How about the minor arcs and the major arcs? central angles?
b. Do you think the circle has more semicircles, arcs, and central
angles? Show.
Were you able to identify and name the arcs and central angles in
the given circle? In the next activity, you will apply the theorems on arcs
and central angles that you have learned.
Activity 5:
H
K L
M
G
A
J
All rights reserved. No part of this material may be reproduced or transmitted in any form or by any means -
electronic or mechanical including photocopying – without written permission from the DepEd Central Office. First Edition, 2015.
D
EPED
C
O
PY
151
In A below, m 42,LAM m 30,HAG and KAH is a right angle. Find the
following measure of an angle or an arc, and explain how you arrived at your
answer.
1. LAKm 6. LKm
2. JAKm 7. JKm
3. LAJm 8. LMGm
4. JAHm 9. JHm
5. KAMm 10. KLMm
In the activity you have just done, were you able to find the degree
measure of the central angles and arcs? I am sure you did! In the next
activity, you will apply the relationship among the chords, arcs, and
central angles of a circle.
In the figure, JI and ON are diameters of S. Use the figure and the given
information to answer the following.
1. Which central angles are congruent? Why?
2. If 113m JSN , find:
a. ISOm
b. NSIm
c. JSOm
3. Is INOJ  ? How about JN and OI ? Justify your answer.
4. Which minor arcs are congruent? Explain your answer.
5. If 67m JSO , find:
a. JOm d. IOm
b. JNm e. JOmN
c. NIm f. NIOm
6. Which arcs are semicircles? Why?
Activity 7:
Activity 6:
I
J
S
N
O
H
K L
M
G
A
J
All rights reserved. No part of this material may be reproduced or transmitted in any form or by any means -
electronic or mechanical including photocopying – without written permission from the DepEd Central Office. First Edition, 2015.
D
EPED
C
O
PY
152
Were you able to apply the relationship among the chords, arcs and
central angles of a circle? In Activity 8, you will use the theorems on
chords in finding the lengths of chords.
In M below, BD = 3, KM = 6, and KP = 72 . Use the figure and the given
information to find each measure. Explain how you arrived at your answer.
1. AM 5. DS
2. KL 6. MP
3. MD 7. AK
4. CD 8. KP
Were you able to find the length of the segments? In the next
activity, you will complete the proof of a theorem on central angles, arcs,
and chords of a circle.
Complete the proof of the following theorem.
In a circle, a diameter bisects a chord and an arc with the same
endpoints if and only if it is perpendicular to the chord.
Given: ES is a diameter of U and
perpendicular to chord GN at I.
Prove: 1. GINI 
2. EGEN 
3. GSNS 
Activity 9:
Activity 8:
D
M
3
C
6
72
A
S
P
L
B
K
N
G
E
I
S
U
All rights reserved. No part of this material may be reproduced or transmitted in any form or by any means -
electronic or mechanical including photocopying – without written permission from the DepEd Central Office. First Edition, 2015.
D
EPED
C
O
PY
153
Proof of Part 1: Show that ES bisects GN and the minor arc GN.
Statements Reasons
1. U with diameter ES and chord
GN GNES 
Two points determine a line.
2. GIU and NIU are right angles. Given
3. Lines that are perpendicular tm
right angles.
4. UNUG  Radii of a circle are congruent.
5. UIUI  Reflexive Property of Congruence.
6. NIUGIU 
7. NIGI 
Corresponding parts of congruent
triangles are congruent.
8. ES bisects GN .
Corresponding parts of congruent
triangles are congruent
9. NUIGUI 
In a circle, congruent central angles
intercept congruent arcs.
10. GUI and GUE are the same
angles.
NUI and NUE are the same
angles.
Two angles that form a linear pair
are supplementary.
11. NUEmGUEm 
Supplements of congruent angles
are congruent.
12. GUEmmEG 
NUEmmEN 
In a circle, congruent central angles
intercept congruent arcs.
13. mEGmEN 
14. NUSmGUSm 
15. GUSmmGS 
NUSmmNS 
16. mGSmNS 
17. ES bisects GN .
;
GIU NIU  
All rights reserved. No part of this material may be reproduced or transmitted in any form or by any means -
electronic or mechanical including photocopying – without written permission from the DepEd Central Office. First Edition, 2015.
D
EPED
C
O
PY
154
Given: ES is a diameter of U; ES bisects GN
at I and the minor arc GN.
Proof of Part 2: Show that GNES  .
Statements Reasons
1. U with diameter ES , ES bisects
GN at I and the minor arc
GN.
Two points determine a line.
2. NIGI 
NEGE 
Given
3.
4. UNUG  Radii of a circle are congruent.
5. NIUGIU  Reflexive Property of Congruence.
6. UINUIG 
7. UIG and UIN are right
angles.
Corresponding parts of congruent
triangles are congruent.
8. GNIU 
9. GNES 
Was the activity interesting? Were you able to complete the proof?
You will do more of this in the succeeding lessons. Now, use the ideas
you have learned in this lesson to find the arc length of a circle.
S
N
GI
U
E
UI UI
S
All rights reserved. No part of this material may be reproduced or transmitted in any form or by any means -
electronic or mechanical including photocopying – without written permission from the DepEd Central Office. First Edition, 2015.
D
EPED
C
O
PY
155
The radius of O below is 5 units. Find the length of each of the following
arcs given the degree measure. Answer the questions that follow.
1. mPV = 45; length of PV = ________
2. mPQ = 60; length of PQ = ________
3. mQR = 90; length of QR = ________
4. mRTS = 120;length of RTS = ________
5. mQRT = 95; length of QRT = ________
Questions:
a. How did you find the length of each arc?
b. What mathematics concepts or principles did you apply to find the
length of each arc?
Were you able to find the arc length of each circle? Now, find the
area of the shaded region of each circle. Use the knowledge learned
about segment and sector of a circle in finding each area.
Find the area of the shaded region of each circle. Answer the questions that
follow.
1. 2. 3.
Activity 11:
Activity 10:
BC
A
R
Q
S
X
Z Y6 cm
90°
12 cm
45°
8 cm
135°
T
S
P
Q
R
Or = 5
V
All rights reserved. No part of this material may be reproduced or transmitted in any form or by any means -
electronic or mechanical including photocopying – without written permission from the DepEd Central Office. First Edition, 2015.
D
EPED
C
O
PY
156
4. 5. 6.
Questions:
a. How did you find the area of each shaded region?
b. What mathematics concepts or principles did you apply to find the area
of the shaded region? Explain how you applied these concepts.
How was the activity you have just done? Was it easy for you to find
the area of segments and sectors of circles? It was easy for sure!
In this section, the discussion was about the relationship among
chords, arcs, and central angles of circles, arc length, segment and
sector of a circle, and the application of these concepts in solving
problems.
Go back to the previous section and compare your initial ideas with
the discussion. How much of your initial ideas are found in the
discussion?
Now that you know the important ideas about this topic, let us go
deeper by moving on to the next section.
T
X
S
4 cm
A
R
E
B
W M5 cm
100°
J
S
O
6 cm
Y
All rights reserved. No part of this material may be reproduced or transmitted in any form or by any means -
electronic or mechanical including photocopying – without written permission from the DepEd Central Office. First Edition, 2015.
D
EPED
C
O
PY
157
Your goal in this section is to take a closer look at some aspects of the
topic. You are going to think deeper and test further your understanding of
circles. After doing the following activities, you should be able to answer this
important question: “How do the relationships among chords, arcs, and
central angles of a circle facilitate finding solutions to real-life problems and
making decisions?”
Answer the following questions.
1. Five points on a circle separate the circle into five congruent arcs.
a. What is the degree measure of each arc?
b. If the radius of the circle is 3 cm, what is the length of each arc?
c. Suppose the points are connected consecutively with line segments. How
do you describe the figure formed?
2. Do you agree that if two lines intersect at the center of a circle, then the lines
intercept two pairs of congruent arcs? Explain your answer.
3. In the two concentric circles on the right,
CON intercepts CN and RW.
a. Are the degree measures of CN and RW
equal? Why?
b. Are the lengths of the two arcs equal?
Explain your answer.
4. The length of an arc of a circle is 6.28 cm. If the circumference of the circle is
37.68 cm, what is the degree measure of the arc? Explain how you arrived at
your answer.
5.
Activity 12:
O
R
W N
C
Mr. Lopez would like to place a fountain in his
circular garden on the right. He wants the pipe,
where the water will pass through, to be located
at the center of the garden. Mr. Lopez does not
know where it is. Suppose you were asked by
Mr. Lopez to find the center of the garden, how
would you do it?
All rights reserved. No part of this material may be reproduced or transmitted in any form or by any means -
electronic or mechanical including photocopying – without written permission from the DepEd Central Office. First Edition, 2015.
D
EPED
C
O
PY
158
6. The monthly income of the Soriano family is Php36,000.00. They spend
Php9,000.00 for food, Php12,000.00 for education, Php4,500.00 for
utilities, and Php6,000.00 for other expenses. The remaining amount is for
their savings. This information is shown in the circle graph below.
a. Which item is allotted with the highest budget? How about the least?
Explain.
b. If you were to budget your family’s monthly income, which item would
you give the greater allocation? Why?
c. In the circle graph, what is the measure of the central angle
corresponding to each item?
d. How is the measure of the central angle corresponding to each item
determined?
e. Suppose the radius of the circle graph is 25 cm. What is the area of
each sector in the circle graph? How about the length of the arc of
each sector?
In this section, the discussion was about your understanding of
chords, arcs, central angles, area of a segment and a sector, and arc
length of a circle including their real-life applications.
What new realizations do you have about the lesson? How would
you connect this to real life?
Now that you have a deeper understanding of the topic, you are
ready to do the tasks in the next section.
Soriano Family’s
Monthly Expenses
All rights reserved. No part of this material may be reproduced or transmitted in any form or by any means -
electronic or mechanical including photocopying – without written permission from the DepEd Central Office. First Edition, 2015.
D
EPED
C
O
PY
159
Your goal in this section is to apply your learning to real-life
situations. You will be given a practical task which will demonstrate your
understanding of circles.
Answer the following. Use the rubric provided to rate your work.
1. Name 5 objects or cite 5 situations in real life where chords, arcs, and
central angles of a circle are illustrated. Formulate problems out of these
objects or situations, then solve.
2. Make a circle graph showing the different school fees that students like
you have to pay voluntarily. Ask your school cashier how much you would
pay for the following school fees: Parents-Teachers Association,
miscellaneous, school paper, Supreme Student Government, and other
fees. Explain how you applied your knowledge of central angles and arcs
of a circle in preparing the graph.
3. Using the circle graph that you made in number 2, formulate at least two
problems involving arcs, central angles, and sectors of a circle, then solve.
Rubric for a Circle Graph
Score Descriptors
4 The circle graph is accurately made, presentable, and appropriate.
3
The circle graph is accurately made and appropriate but not
presentable.
2 The circle graph is not accurately made but appropriate.
1 The circle graph is not accurately made and not appropriate.
Activity 13:
All rights reserved. No part of this material may be reproduced or transmitted in any form or by any means -
electronic or mechanical including photocopying – without written permission from the DepEd Central Office. First Edition, 2015.
D
EPED
C
O
PY
160
Rubric on Problems Formulated and Solved
Score Descriptors
6
Poses a more complex problem with 2 or more correct possible
solutions and communicates ideas unmistakably, shows in-depth
comprehension of the pertinent concepts and/or processes, and
provides explanations wherever appropriate.
5
Poses a more complex problem and finishes all significant parts of
the solution and communicates ideas unmistakably, shows in-depth
comprehension of the pertinent concepts and/or processes.
4
Poses a complex problem and finishes all significant parts of the
solution and communicates ideas unmistakably, shows in-depth
comprehension of the pertinent concepts and/or processes.
3
Poses a complex problem and finishes most significant parts of the
solution and communicates ideas unmistakably, shows
comprehension of major concepts although neglects or
misinterprets less significant ideas or details.
2
Poses a problem and finishes some significant parts of the solution
and communicates ideas unmistakably but shows gaps on
theoretical comprehension.
1
Poses a problem but demonstrates minor comprehension, not
being able to develop an approach.
Source: D.O. #73, s. 2012
In this section, your task was to name 5 objects or cite 5 situations in
real life where chords, arcs, and central angles of a circle are illustrated.
Then, formulate and solve problems out of these objects or situations. You
were also asked to make a circle graph.
How did you find the performance task? How did the task help you
realize the importance of the lesson in real life?
SUMMARY/SYNTHESIS/GENERALIZATION:
This lesson was about the relationships among chords, arcs, and central
angles of a circle, area of a segment and a sector, and arc length of a circle. In
this lesson, you were asked to determine the relationship between the measures
of the central angle and its intercepted arc. You were also given the opportunity
to apply the different geometric relationships among chords, arcs, and central
angles in solving problems, complete the proof of a theorem related to these
concepts, find the area of a segment and the sector of a circle, and determine the
length of an arc.
Moreover, you were asked to name objects and cite real-life situations
where chords, arcs, and central angles of a circle are illustrated and applied. Your
understanding of this lesson and other previously learned mathematics concepts
and principles will facilitate your learning of the next lesson, Arcs and Inscribed
Angles of Circles.
All rights reserved. No part of this material may be reproduced or transmitted in any form or by any means -
electronic or mechanical including photocopying – without written permission from the DepEd Central Office. First Edition, 2015.
D
EPED
C
O
PY
161
Start Lesson 1B of this module by checking your prior mathematical
knowledge and skills that will help you in understanding the relationships
among arcs and inscribed angles of a circle. As you go through this
lesson, think of this important question: How are the relationships among
arcs and inscribed angles of a circle used in finding solutions to real-life
problems and in making decisions? To find the answer, perform each
activity. If you find any difficulty in answering the exercises, seek the
assistance of your teacher or peers or refer to the modules you have
studied earlier. You may check your work with your teacher’s guidance.
Name the angles and their intercepted arcs in the figure below. Answer the
questions that follow.
Angles Arc That the Angle Intercepts
S
D
C
M
G
Activity 1:
All rights reserved. No part of this material may be reproduced or transmitted in any form or by any means -
electronic or mechanical including photocopying – without written permission from the DepEd Central Office. First Edition, 2015.
D
EPED
C
O
PY
162
Questions:
1. How did you identify and name the angles in the figure?
How about the arcs that these angles intercept?
2. How many angles did you identify in the figure?
How about the arcs that these angles intercept?
3. When do you say that an angle intercepts an arc?
Were you able to identify and name the angles and their intercepted
arcs? I am sure you were! This time, find out the relationships that exist
among arcs and inscribed angles of a circle by doing the next activity.
Perform the following activity by group. Answer every question that follows.
Procedure:
1. Use a compass to draw a circle. Mark and label the center of the circle as
point E.
2. Draw a diameter of the circle. Label the endpoints as D and W.
3. From the center of the circle, draw radius EL.
Using a protractor, what is the measure of ?LEW
How about the degree measure of LW? Why?
4. Draw LDW by connecting L and D with a line segment.
Using a protractor, what is the measure of ?LDW
5. LDW is an inscribed angle.
How do you describe an inscribed angle?
6. LW is the intercepted arc of .LDW Compare the measure of LDW
with the degree measure of LW. What statements can you make?
Activity 2:
All rights reserved. No part of this material may be reproduced or transmitted in any form or by any means -
electronic or mechanical including photocopying – without written permission from the DepEd Central Office. First Edition, 2015.
D
EPED
C
O
PY
163
7. Draw other inscribed angles in the circle. Determine the measures of
these angles and the degree measures of their respective intercepted
arcs.
How does the measure of each inscribed angle compare with the degree
measure of its intercepted arc?
What conclusion can you make about the relationship between the
measure of an inscribed angle and the measure of its intercepted arc?
Were you able to determine the relationship between the measure
of an inscribed angle and the measure of its intercepted arc? If yes, then
you are now ready to determine the relationship that exists when an
inscribed angle intercepts a semicircle by performing the next activity.
Perform the following activity by group. Answer every question that follows.
Procedure:
1. Draw a circle whose radius is 3 cm. Mark the center and label it C.
2. Extend the radius to form a diameter of 6 cm. Mark and label the
endpoints of the diameter with M and T.
3. On the semicircle, mark and label three points O, U, and N.
4. Draw three different angles whose vertices are O, U, and N, respectively,
and whose sides contain M and T.
5. Find the measure of each of the following angles using a protractor.
a. MOT b. MUT c. MNT
What can you say about the measures of the angles?
What statements can you make about an inscribed angle intercepting a
semicircle?
How would you compare the measures of inscribed angles intercepting
the same arc?
Activity 3:
All rights reserved. No part of this material may be reproduced or transmitted in any form or by any means -
electronic or mechanical including photocopying – without written permission from the DepEd Central Office. First Edition, 2015.
D
EPED
C
O
PY
164
Were you able to determine the measure of an inscribed angle that
intercepts a semicircle? For sure you were able to do it. In the next
activity, you will find out how inscribed angles are illustrated in real-life
situations.
Use the situation below to answer the questions that follow.
Janel works for a realtor. One of her jobs is to take photographs of
houses that are for sale. She took a photograph of a house two months ago
using a camera lens with 80° field of view like the one shown below. She has
returned to the house to update the photo, but she has forgotten her lens.
Now, she only has a telephoto lens with a 40° field of view.
Questions:
1. From what location(s) could Janel take a photograph of the house with
the telephoto lens, so that the entire house still fills the width of the
picture? Use an illustration to show your answer.
2. What mathematics concept would you apply to show the exact location
of the photographer?
3. If you were the photographer, what would you do to make sure that the
entire house is captured by the camera?
Activity 4:
All rights reserved. No part of this material may be reproduced or transmitted in any form or by any means -
electronic or mechanical including photocopying – without written permission from the DepEd Central Office. First Edition, 2015.
D
EPED
C
O
PY
165
Figure 2
T
O
P
How did you find the preceding activities? Are you ready to learn
about the relations among arcs and inscribed angles of a circle? I am
sure you are! From the activity done, you were able to find out how
inscribed angles are used in real-life situations. But how does the
concept of inscribed angles of a circle facilitate finding solutions to real-
life problems and making decisions? You will find these out through the
activities in the next section. Before doing these activities, read and
understand first some important notes on this lesson and the examples
presented.
Inscribed Angles and Intercepted Arcs
An inscribed angle is an angle whose vertex is on a circle and whose
sides contain chords of the circle. The arc that lies in the interior of an
inscribed angle and has endpoints on the angle is called the intercepted arc
of the angle.
Examples:
Figure 1
In Figure 1, LAP is an inscribed angle and its intercepted arc is LP.
The center of the circle is in the interior of the angle.
In Figure 2, TOP is an inscribed angle and its intercepted arc is TP.
One side of the angle is the diameter of the circle.
In Figure 3, CGM is an inscribed angle and its intercepted arc is CM.
The center of the circle is in the exterior of the angle.
Theorems on Inscribed Angles
1. If an angle is inscribed in a circle, then the measure of the angle equals
one-half the measure of its intercepted arc (or the measure of the
intercepted arc is twice the measure of the inscribed angle).
Note: The theorem has three cases and the proof of each case is given as
an exercise in Activity 8 and Activity 9.
Example: In the figure on the right, ACT is
an inscribed angle and AT is its
intercepted arc.
If mAT = 120, then ACTm = 60.
P
A
L
G
Figure 3
M
C
T
A
C
All rights reserved. No part of this material may be reproduced or transmitted in any form or by any means -
electronic or mechanical including photocopying – without written permission from the DepEd Central Office. First Edition, 2015.
D
EPED
C
O
PY
166
N
T O
S
E
2. If two inscribed angles of a circle (or congruent circles) intercept congruent
arcs or the same arc, then the angles are congruent.
Example 1: In Figure 1 below, PIO and PLO intercept PO. Since
PIO and PLO intercept the same arc, the two
angles, then, are congruent.
Example 2: In Figure 2 above, SIM and ELP intercept SM and EP,
respectively. If EPSM  , then ELPSIM  .
3. If an inscribed angle of a circle intercepts a semicircle, then the angle is a
right angle.
Example: In the figure, NTE intercepts NSE.
If NSE is a semicircle, then NTE is
a right angle.
4. If a quadrilateral is inscribed in a circle, then its opposite angles are
supplementary.
Example: Quadrilateral DREA is inscribed in M.
180 REAmRDAm .
180 DAEmDRAm .
M
LI
E
P
S
Figure 2
P
O
I
T
L
Figure 1
E
A
R
D M
All rights reserved. No part of this material may be reproduced or transmitted in any form or by any means -
electronic or mechanical including photocopying – without written permission from the DepEd Central Office. First Edition, 2015.
D
EPED
C
O
PY
167
N
Learn more about Arcs and
Inscribed Angles of a Circle
through the WEB. You may
open the following links.
http://www.cliffsnotes.com/math/geometry/circles/arc
s-and-inscribed-angles
http://www.ck12.org/book/CK-12-Geometry-Honors-
Concepts/section/8.4/
http://www.math-worksheet.org/inscribed-angles
http://www.mathopenref.com/circleinscribed.html
http://www.onlinemathlearning.com/circle-
theorems.html
Your goal in this section is to apply the key concepts of arcs and
inscribed angles of a circle. Use the mathematical ideas and the
examples presented in the preceding section to answer the activities
provided.
In the figure below, CE and LA are diameters of N. Use the figure to
answer the following.
1. Name all inscribed angles in the figure.
2. Which inscribed angles intercept the following arcs?
a. CL c. LE
b. AE d. AC
Activity 5:
8
6
A
C
L
E
2
3
1
9
4
7
5
All rights reserved. No part of this material may be reproduced or transmitted in any form or by any means -
electronic or mechanical including photocopying – without written permission from the DepEd Central Office. First Edition, 2015.
D
EPED
C
O
PY
168
3. If mLE = 124, what is the measure of each of the following angles?
a. 1 d. 4 g. 7
b. 2 e. 5 h. 8
c. 3 f. 6 i. 9
4. If 1 26,m  what is the measure of each of the following arcs?
a. CL c. AE
b. AC d. LE
Were you able to identify the inscribed angles and their intercepted
arcs including their degree measures? In the next activity, you will apply
the theorems on arcs and inscribed angles that you have learned.
In F, AB , BC , CD, BD and AC are chords. Use the figure and the given
information to answer the following questions.
1. Which inscribed angles are congruent?
Explain your answer.
2. If 54CBDm , what is the measure of CD?
3. If 96mAB , what is the measure of ACB ?
4. If 35  xABDm and 104  xDCAm , find:
a. the value of x c. DCAm
b. ABDm d. mAD
5. If 46  xBDCm and 210  xmBC , find:
a. the value of x c. mBC
b. BDCm d. BACm
In the activity you have just done, were you able to apply the
theorems on arcs and inscribed angles? I am sure you were! In the next
activity, you will still apply the theorems you have studied in this lesson.
Activity 6:
A
D
E
F
C
B
All rights reserved. No part of this material may be reproduced or transmitted in any form or by any means -
electronic or mechanical including photocopying – without written permission from the DepEd Central Office. First Edition, 2015.
D
EPED
C
O
PY
169
Use the given figures to answer the following.
1. ∆GOA is inscribed in L. If 75m OGA and
160m AG , find:
a. OAm c. GOAm
b. OGm d. GAOm
2. Isosceles ∆CAR is inscribed in E. If m 130,CR  find:
a. CARm
b. ACRm
c. ARCm
d. ACm
e. ARm
3. DR is a diameter of O. If 70m MR , find:
a. RDMm d. DMm
b. DRMm e. RDm
c. DMRm
4. Quadrilateral FAIT is inscribed in H.
If 75m AFT and 98m FTI , find:
a. TIAm
b. FAIm
Activity 7:
A
O
G
75°
L
160°
A
C
R130°
E
D
O
M
70°
R
F
A
I
75°
T
98°
H
All rights reserved. No part of this material may be reproduced or transmitted in any form or by any means -
electronic or mechanical including photocopying – without written permission from the DepEd Central Office. First Edition, 2015.
D
EPED
C
O
PY
170
5. Rectangle TEAM is inscribed in B. If 64m TE and 58m TEM , find:
a. TMm
b. MAm
c. AEm
d. MEAm
e. TAMm
How was the activity you have just done? Was it easy for you to
apply the theorems on arcs and inscribed angles? It was easy for sure!
Now, let us complete the proof of a theorem on inscribed angle and
its intercepted arc.
Complete the proof of the theorem on inscribed angle and its intercepted arc.
The proofs of cases 2 and 3 of this theorem are given in Activity 9.
If an angle is inscribed in a circle, then the measure of the angle
equals one-half the measure of its intercepted arc (or the measure of the
intercepted arc is twice the measure of the inscribed angle).
Case 1:
Given: PQR inscribed in S and
PQ is a diameter.
Prove: PRPQR m
2
1
m 
Draw RS and let xPQR m .
Activity 8:
P
R
Q
S
x
T
B
E
M
A
All rights reserved. No part of this material may be reproduced or transmitted in any form or by any means -
electronic or mechanical including photocopying – without written permission from the DepEd Central Office. First Edition, 2015.
D
EPED
C
O
PY
171
Statements Reasons
1. PQR is inscribed in S and
PQ is a diameter.
2. RSQS 
3. QRS is an isosceles  .
4. QRSPQR 
5. QRSPQR  mm
6. xQRS m
7. xPSR 2m 
8. PRPSR mm 
9. xPR 2m 
10.  PQRPR  m2m
11. PRQRS m
2
1
m 
Were you able to complete the proof of the first case of the theorem? I
know you did!
In this section, the discussion was about the relationship among arcs
and inscribed angles of a circle.
Go back to the previous section and compare your initial ideas with the
discussion. How much of your initial ideas are found in the discussion?
Which ideas are different and need modification?
Now that you know the important ideas about this topic, let us go
deeper by moving on to the next section.
All rights reserved. No part of this material may be reproduced or transmitted in any form or by any means -
electronic or mechanical including photocopying – without written permission from the DepEd Central Office. First Edition, 2015.
D
EPED
C
O
PY
172
Your goal in this section is to take a closer look at some aspects of the
topic. You are going to think deeper and test further your understanding of
the relationships among inscribed angles and their intercepted arcs. After
doing the following activities, you should be able to answer this important
question: How are the relationships among inscribed angles and their
intercepted arcs applied in real-life situations?
Write a proof of each of the following theorems.
1. If an angle is inscribed in a circle, then the measure of the angle equals
one-half the measure of its intercepted arc (or the measure of the
intercepted arc is twice the measure of the inscribed angle).
Case 2:
Given: KLM inscribed in O.
Prove: KMKLM m
2
1
m 
Case 3:
Given: SMC inscribed in A.
Prove: Cm
2
1
m SSMC 
Activity 9:
S
C
M
A
K
M
L
O
All rights reserved. No part of this material may be reproduced or transmitted in any form or by any means -
electronic or mechanical including photocopying – without written permission from the DepEd Central Office. First Edition, 2015.
D
EPED
C
O
PY
173
2. If two inscribed angles of a circle (or congruent circles) intercept congruent
arcs or the same arc, then the angles are congruent.
Given: In T, PR and AC are the
intercepted arcs of PQR
and ABC , respectively.
ACPR 
Prove: ABCPQR 
3. If an inscribed angle of a circle intercepts a semicircle, then the angle is a
right angle.
Given: In C, GML intercepts
semicircle GEL.
Prove: GML is a right angle.
4. If a quadrilateral is inscribed in a circle, then its opposite angles are
supplementary.
Given: Quadrilateral WIND is inscribed
in Y .
Prove: 1. W and N are supplementary.
2. I and D are supplementary.
E
G
C
M
L
A
B
C
P
R Q
T
W
I
D
N
Y
All rights reserved. No part of this material may be reproduced or transmitted in any form or by any means -
electronic or mechanical including photocopying – without written permission from the DepEd Central Office. First Edition, 2015.
D
EPED
C
O
PY
174
Were you able to prove the theorems on inscribed angles and
intercepted arcs? In the next activity, you will use these theorems to
prove congruence of triangles.
Write a two-column proof for each of the following.
1. MT and AC are chords of D. If ATMC  ,
prove that THACHM  .
2. Quadrilateral DRIV is inscribed in E. RV is a diagonal
that passes through the center of the circle. If IVDV  ,
prove that .  RVD RVI
3. In A, NESE  and NTSC  .
Prove that TNECSE  .
Were you able to use the theorems on inscribed angles to prove
congruence of triangles? In the next activity, you will further understand
inscribed angles and how they are used in real life.
Activity 10:
M
A
T
D
C
H
E I
V
R
D
S
C
E
N
T
A
All rights reserved. No part of this material may be reproduced or transmitted in any form or by any means -
electronic or mechanical including photocopying – without written permission from the DepEd Central Office. First Edition, 2015.
D
EPED
C
O
PY
175
Answer the following questions.
1. There are circular gardens having paths in the
shape of an inscribed regular star like the one
shown on the right.
2. What kind of parallelogram can be inscribed in a circle? Explain.
3. The chairs of a movie house are arranged consecutively like an arc of a
circle. Joanna, Clarissa, and Juliana entered the movie house but seated
away from each other as shown below.
Let E and G be the ends of the screen and F be one of the seats. The
angle formed by E, F, and G or EFG is called the viewing angle of the
person seated at F. Suppose the viewing angle of Clarissa in the above
figure measures 38°. What are the measures of the viewing angles of
Joanna and Juliana? Explain your answer.
4. A carpenter’s square is an L-shaped tool used to draw right angles.
Mang Ador would like to make a copy of a circular plate using the
available wood that he has. Suppose he traces the plate on a piece of
wood. How could he use a carpenter’s square to find the center of the
circle?
Activity 11:
a. Determine the measure of an arc intercepted
by an inscribed angle formed by the star in
the garden.
b. What is the measure of an inscribed angle
in a garden with a five-pointed star? Explain.
Movie Screen
Joanna
Clarissa
Juliana
E G
380
F
All rights reserved. No part of this material may be reproduced or transmitted in any form or by any means -
electronic or mechanical including photocopying – without written permission from the DepEd Central Office. First Edition, 2015.
D
EPED
C
O
PY
176
5.
In this section, the discussion was about your understanding of
inscribed angles and how they are used in real life.
What new realization do you have about inscribed angles? How would
you connect this to real life?
Now that you have a deeper understanding of the topic, you are ready
to do the tasks in the next section.
Your goal in this section is to apply your learning to real-life situations.
You will be given a practical task which will demonstrate your understanding
of inscribed angles.
Make a design of a stage where a special event will be held. Include in the
design some circular objects that illustrate the use of inscribed angles and arcs of
a circle. Explain how you applied your knowledge of inscribed angles and
intercepted arcs of a circle in preparing the design. Then, formulate and solve
problems out of this design that you made. Use the rubric provided to rate your
work.
Activity 12:
P Q
R
S
T
M
N
Ramon made a circular cutting board by
sticking eight 1- by 2- by 10-inch boards
together, as shown on the right. Then, he
drew and cut a circle with an 8-inch
diameter from the boards.
a. In the figure, if PQ is a diameter of the
circular cutting board, what kind of
triangle is PQR ?
b. How is RS related to PS and QS ?
Justify your answer.
c. Find PS, QS, and RS.
d. What is the length of the seam of the
cutting board that is labeled RT ? How
about MN ?
All rights reserved. No part of this material may be reproduced or transmitted in any form or by any means -
electronic or mechanical including photocopying – without written permission from the DepEd Central Office. First Edition, 2015.
D
EPED
C
O
PY
177
Rubric for a Stage’s Design
Score Descriptors
4 The stage’s design is accurately made, presentable, and appropriate.
3
The stage’s design is accurately made and appropriate but not
presentable.
2 The stage’s design is not accurately made but appropriate.
1 The stage’s design is not accurately made and not appropriate.
Rubric on Problems Formulated and Solved
Score Descriptors
6
Poses a more complex problem with 2 or more correct possible
solutions and communicates ideas unmistakably, shows in-depth
comprehension of the pertinent concepts and/or processes and
provides explanations wherever appropriate.
5
Poses a more complex problem and finishes all significant parts of the
solution and communicates ideas unmistakably, shows in-depth
comprehension of the pertinent concepts and/or processes.
4
Poses a complex problem and finishes all significant parts of the
solution and communicates ideas unmistakably, shows in-depth
comprehension of the pertinent concepts and/or processes.
3
Poses a complex problem and finishes most significant parts of the
solution and communicates ideas unmistakably, shows
comprehension of major concepts although neglects or misinterprets
less significant ideas or details.
2
Poses a problem and finishes some significant parts of the solution
and communicates ideas unmistakably but shows gaps on theoretical
comprehension.
1
Poses a problem but demonstrates minor comprehension, not being
able to develop an approach.
Source: D.O. #73, s. 2012
In this section, your task was to design a stage, formulate, and solve
problems where inscribed angles of circles are illustrated.
How did you find the performance task? How did the task help you realize
the importance of the topic in real life?
SUMMARY/SYNTHESIS/GENERALIZATION:
This lesson was about arcs and inscribed angles of a circle. In this lesson,
you were given the opportunity to determine the geometric relationships that exist
among arcs and inscribed angles of a circle, apply these in solving problems, and
prove related theorems. Moreover, you were given the chance to formulate and solve
real-life problems involving these geometric concepts. Your understanding of this
lesson and other previously learned mathematics concepts and principles will facilitate
your learning of the next lesson, Tangent and Secant Segments.
All rights reserved. No part of this material may be reproduced or transmitted in any form or by any means -
electronic or mechanical including photocopying – without written permission from the DepEd Central Office. First Edition, 2015.
D
EPED
C
O
PY
178
Start Lesson 2A of this module by assessing your knowledge of the
different mathematical concepts previously studied and other mathematical
skills learned. These knowledge and skills will help you understand the
different geometric relationships involving tangents and secants of a circle.
As you go through this lesson, think of this important question: How do
the different geometric relationships involving tangents and secants of a
circle facilitate finding solutions to real-life problems and making wise
decisions? To find the answer, perform each activity. If you find any
difficulty in answering the exercises, seek the assistance of your teacher
or peers or refer to the modules you have studied earlier. You may check
your work with your teacher.
Perform the following activity. Answer every question that follows.
Procedure:
1. Use a compass to draw S.
2. Draw line m such that it intersects S at exactly one point. Label the point
of intersection as T.
3. Connect S and T with a line segment. What is TS in the figure drawn?
4. Mark four other points on line m such that two of these points are on the
left side of T and the other two points are on the right side. Label these
points as M, N, P, and Q, respectively.
5. Using a protractor, find the measures of ,MTS ,NTS ,PTS and QTS .
How do the measures of the four angles compare?
6. Repeat steps 2 to 5. This time, draw line n such that it intersects the circle
at another point.
What statement can you make about the measures of angles in item #5
and those in item #6?
7. Draw ,MS ,NS PS , and QS .
Activity 1:
All rights reserved. No part of this material may be reproduced or transmitted in any form or by any means -
electronic or mechanical including photocopying – without written permission from the DepEd Central Office. First Edition, 2015.
D
EPED
C
O
PY
179
8. Using a ruler, find the lengths of TS , MS , NS , PS , and QS .
How do the lengths of the five segments compare?
What do you think is the shortest segment from the center of a circle to the
line that intersects it at exactly one point? Explain your answer.
In the activity you have just done, were you able to compare the
measures of different angles drawn? Were you able to determine the
shortest segment from the center of a circle to the line that intersects it at
exactly one point? I know you were! The activity you have done has
something to do with your new lesson. Do you know why? Find this out
in the succeeding activities!
In the figure below, C is the center of the circle. Use the figure to answer the
questions that follow.
1. Which lines intersect circle C at two points?
How about the lines that intersect the circle at exactly one point?
2. What are the angles having A as the vertex? C as the vertex?
D as the vertex? G as the vertex? Make a list of these angles, then
describe each.
3. What arc/s does each angle intercept?
Activity 2:
All rights reserved. No part of this material may be reproduced or transmitted in any form or by any means -
electronic or mechanical including photocopying – without written permission from the DepEd Central Office. First Edition, 2015.
D
EPED
C
O
PY
180
4. Which angles intercept the same arc?
5. Using a protractor, find the measures of the angles identified in item #2?
6. How would you determine the measures of the arcs intercepted by the
angles? Give the degree measure of each arc.
7. Compare the measures of DCE and DAE .
How about the mDE and m DAE ? Explain your answer.
8. How is the mAD related to the m DAB ? How about mEFA and m EAG ?
9. What relationship exists among mAD, mAF, and m BGD ?
Were you able to measure the different angles and arcs shown in
the figure? Were you able to find out the different relationships among
these angles and arcs? Learn more about these relationships in the
succeeding activities.
Prepare the following materials, then perform the activity that follows. Answer
every question asked.
Materials: Circular cardboard with radius 6 cm that is equally divided into
72 arcs so that each arc measures 5°
2 pieces of string, each measures about 40 cm
self-adhesive tape
cardboard or any flat surface
Procedure:
Activity 3:
1. Attach the endpoints of the strings to
the cardboard or any flat surface
using self-adhesive tape to form an
angle of any convenient measure.
Label the angle as RST.
R
S
T
All rights reserved. No part of this material may be reproduced or transmitted in any form or by any means -
electronic or mechanical including photocopying – without written permission from the DepEd Central Office. First Edition, 2015.
D
EPED
C
O
PY
181
2.
If the edge of the circular cardboard represents a circle, what is
RST in relation to the circle?
What are the measures of RST and RT? Explain how you
arrived at your answer.
How would you compare the measure of RST with that of ST?
Is there any relationship among the measures of RST , RVT,
and RT? Describe the relationship, if there is any.
R
S
T
2. Locate the center of the circular
cardboard. Slide it underneath the
strings until its center coincides with
their point of intersection, S.
3. Slide the circular cardboard so that RS
intersects the circle at S and ST
intersects the circle at two points, S
and T.
R
S
T
4. Find the measure of ST using the circular cardboard.
R
S
T
V
5. Slide the circular cardboard so that S is
in the exterior of the circle and RS and
ST intersect the circle at R and T,
respectively. Mark and label another
point V on the circle.
6. Find the measures of RVT and RT.
7. Slide the circular cardboard so that S is
in the exterior of the circle, ST intersects
the circle at T, and RS intersects the
circle at two points, R and N.
R
S
T
N
All rights reserved. No part of this material may be reproduced or transmitted in any form or by any means -
electronic or mechanical including photocopying – without written permission from the DepEd Central Office. First Edition, 2015.
D
EPED
C
O
PY
182
Is there any relationship among the measures of RST , RT, and
NT? Describe the relationship, if there is any.
Is there any relationship among the measures of RST , RT, and
MN? Describe the relationship, if there is any.
Is there any relationship among the measures of RST , RT, and
MN? Describe the relationship, if there is any.
Was the activity interesting? Were you able to come up with some
relationships involving angles formed by lines and their intercepted arcs?
Are you ready to learn about tangents and secants and their real-life
applications? I am sure you are! “How do the different geometric
relationships involving tangents and secants of a circle facilitate finding
solutions to real-life problems and making wise decisions?” You will find
these out in the activities in the next section. Before doing these
activities, read and understand first some important notes on tangents
and secants and the different geometric relationships involving them.
Understand very well the examples presented so that you will be guided
in doing the succeeding activities.
9. Slide the circular cardboard so that S is
in the exterior of the circle, RS
intersects the circle at points N and R,
and ST intersects the circle at points M
and T.
8. Find the measures of RT and NT.
10.Find the measures of RT and MN.
R
S
T
N
M
11.Slide the circular cardboard so that S
is in the interior of the circle, NT
intersects the circle at points N and T,
and MR intersects the circle at points
M and R.
R
S
T
N
M
12.Find the measures of RT and MN.
All rights reserved. No part of this material may be reproduced or transmitted in any form or by any means -
electronic or mechanical including photocopying – without written permission from the DepEd Central Office. First Edition, 2015.
D
EPED
C
O
PY
183
A
V
U
B
Q
If AB is tangent to Q at R, then it is
perpendicular to radius QR.
C
L
T
S
If CS is perpendicular to radius LT at
L, then it is tangent to T.
Tangent Line
A tangent to a circle is a line coplanar with the circle and intersects it
in one and only one point. The point of intersection of the line and the circle is
called the point of tangency.
Example:
Postulate on Tangent Line
At a given point on a circle, one and only one line can be drawn that is
tangent to the circle.
Theorems on Tangent Line
1. If a line is tangent to a circle, then it is perpendicular
to the radius drawn to the point of tangency.
2. If a line is perpendicular to a radius of a circle at its endpoint that is on the
circle, then the line is tangent to the circle.
To illustrate, consider V on the right. If
U is a point on the circle, then one and only one
line can be drawn through U that is tangent to the
circle.
R
A
In the figure on the right, PQ
intersects C at A. PQ is a
tangent line and A is the point of
tangency.
C
Q
A
P
All rights reserved. No part of this material may be reproduced or transmitted in any form or by any means -
electronic or mechanical including photocopying – without written permission from the DepEd Central Office. First Edition, 2015.
D
EPED
C
O
PY
184
3. If two segments from the same exterior point are tangent to a circle, then
the two segments are congruent.
Common Tangent
A common tangent is a line that is tangent to two circles in the same
plane.
Common internal tangents
intersect the segment joining
the centers of the two circles
Common external tangents do
not intersect the segment joining
the centers of the two circles.
Tangent and Secant
Segments and rays that are contained in the tangent or intersect the
circle in one and only one point are also said to be tangent to the circle.
Lines s and t are
common external tangents.
tangents.
c
D
E
d
Lines c and d are
common internal tangents.
tangents.
M
N
t
s
n
If DW and GW are tangent to E,
then GWDW  .
D
E
GW
M
N
Q
R
S
In the figure on the right, MN
and QR are tangent to S.
All rights reserved. No part of this material may be reproduced or transmitted in any form or by any means -
electronic or mechanical including photocopying – without written permission from the DepEd Central Office. First Edition, 2015.
D
EPED
C
O
PY
185
A
M
N
A secant is a line that intersects a circle at exactly two points. A secant
contains a chord of a circle.
Theorems on Angles Formed by Tangents and Secants
1. If two secants intersect in the exterior of a circle, then the measure of the
angle formed is one-half the positive difference of the measures of the
intercepted arcs.
In the figure below, NX and MY are two secants intersecting outside
the circle at point P. XY and MN are the two intercepted arcs of .XPY
2. If a secant and a tangent intersect in the exterior of a circle, then the
measure of the angle formed is one-half the positive difference of the
measures of the intercepted arcs.
P
X
Y
N
M
 MNXYXPY mm
2
1
m 
For example, if mXY = 140
and mMN = 30, then
 30140
2
1
m XPY
 110
2
1

55m XPY
In circle A, MN is a secant line.
All rights reserved. No part of this material may be reproduced or transmitted in any form or by any means -
electronic or mechanical including photocopying – without written permission from the DepEd Central Office. First Edition, 2015.
D
EPED
C
O
PY
186
In the figure below, CM is a secant and LM is a tangent intersecting
outside the circle at point M. LEC and LG are the two intercepted arcs of
LMC .
3. If two tangents intersect in the exterior of a circle, then the measure of the
angle formed is one-half the positive difference of the measures of the
intercepted arcs.
In the figure below, QK and QH are two tangents intersecting outside
the circle at point Q. HJK and HK are the two intercepted arcs of KQH .
4. If two secants intersect in the interior of a circle, then the measure of an
angle formed is one-half the sum of the measures of the arcs intercepted
by the angle and its vertical angle.
H
Q
K
J
 HKHJKKQH mm
2
1
m 
For example, if mHJK = 250
and mHK = 110, then
 110250
2
1
m KQH
 140
2
1

70m KQH
E
C
L
M
G
 LGLECLMC mm
2
1
m 
For example, if mLEC = 186
and mLG = 70, then
 70186
2
1
m LMC
 116
2
1

58m LMC
All rights reserved. No part of this material may be reproduced or transmitted in any form or by any means -
electronic or mechanical including photocopying – without written permission from the DepEd Central Office. First Edition, 2015.
D
EPED
C
O
PY
187
ST
R
Q
W
In the figure below, WS and RX are two secants intersecting inside the
circle. WR and XS are the two intercepted arcs of 1 while WX and RS
are the two intercepted arcs of 2 .
5. If a secant and a tangent intersect at the point of tangency, then the
measure of each angle formed is one-half the measure of its intercepted
arc.
In the figure below, QS is a secant and RW is a tangent intersecting at
S, the point of tangency. QS is the intercepted arc of QSR while QTS is
the intercepted arc of QSW .
 XSWR mm
2
1
1m 
For example,
if mWR = 100 and
mXS = 120, then
 
 
1101m
220
2
1
120100
2
1
1m



 Smm
2
1
2m RWX 
For example,
if mWX = 80 and
mRS = 60, then
 
 
702m
140
2
1
6080
2
1
2m



QSQSR m
2
1
m 
For example,
if mQS = 170, then
 
85m
170
2
1
m


QSR
QSR
QTSQSW m
2
1
m 
For example,
if mQTS = 190, then
 
95m
190
2
1
m


QSW
QSW
S
R
1
W
X
2
All rights reserved. No part of this material may be reproduced or transmitted in any form or by any means -
electronic or mechanical including photocopying – without written permission from the DepEd Central Office. First Edition, 2015.
D
EPED
C
O
PY
188
O
N
L
M
K
P
Q
S
R
Learn more about Tangents
and Secants of a circle
through the WEB. You may
open the following links.
http://www.regentsprep.org/Regents/math/geometry/
GP15/CircleAngles.htm
http://www.math-worksheet.org/secant-tangent-
angles
http://www.mathopenref.com/tangentline.html
http://www.ck12.org/book/CK-12-Geometry-Honors-
Concepts/section/8.7/
http://www.ck12.org/book/CK-12-Geometry-
Honors-Concepts/section/8.8/
Your goal in this section is to apply the key concepts of tangents
and secants of a circle. Use the mathematical ideas and the examples
presented in the preceding section to answer the activities provided.
In the figure below, KL, KN, MP, and ML intersect Q at some points. Use
the figure to answer the following questions.
5. Name all the intercepted arcs in the figure. Which angles intercept
each of these arcs?
6. Suppose 50m KOM and m 130,KQM what is KLMm equal
to? How about mNP?
Activity 4:
1. Which lines are tangent to the
circle? Why?
2. Which lines are secants? Why?
3. At what points does each secant
intersect the circle?
How about the tangents?
4. Which angles are formed by two
secant lines? two tangents? a
tangent and a secant?
All rights reserved. No part of this material may be reproduced or transmitted in any form or by any means -
electronic or mechanical including photocopying – without written permission from the DepEd Central Office. First Edition, 2015.
D
EPED
C
O
PY
189
Were you able to identify the tangents and secants in the figure,
including the angles that they form? Were you able to identify the arcs
that these angles intercept? Were you able to determine the unknown
measure of the angle? I am sure you were! In the next activity, you will
further apply the different ideas learned about tangents and secants in
finding the measures of angles, arcs, and segments in some geometric
figures.
Use the figure and the given information to answer the questions that follow.
Explain how you arrived at your answer.
1. If mADC = 160 and mEF = 80, 2. If mMKL = 220 and mML = 140,
what is m ?ABC what is m ?MQL
3. If mPR = 45 and mQS = 49, 4. Suppose mCG = 6x + 5,
what is m ?PTR m ?RTS mAR = 4x + 15, and
120m AEC .
Find: a) x b) mCG c) mAR
Activity 5:
A
B
C
D E
F
G
R
C
A
E
P
S
R
Q
T
All rights reserved. No part of this material may be reproduced or transmitted in any form or by any means -
electronic or mechanical including photocopying – without written permission from the DepEd Central Office. First Edition, 2015.
D
EPED
C
O
PY
190
K OC
R
S
N
Q
P
O
R
A
S
P
B
Q
5. If mLGC = 149 and 39m LSC , 6. OK is tangent to R at C.
What is mMC? Suppose OCKC  , OK = 56,
and RC = 24. Find: OR, RS,
and KS.
7. If mQNO = 238, what is 8. PR is a diameter of O and
m ?PQO m ?PQR mRW = 55. Find:
9. Circles P and Q are tangent to each other at point S.
AB is tangent to both P and Q at S. Suppose
AB = 16, AP = 12, and AQ = 10. What is the length
of PQ if it bisects AB ?
a. mPW d. WREm
b. RPWm e. WERm
c. PRWm f. EWRm
P
R
EW
O
C
S
M
G
L
All rights reserved. No part of this material may be reproduced or transmitted in any form or by any means -
electronic or mechanical including photocopying – without written permission from the DepEd Central Office. First Edition, 2015.
D
EPED
C
O
PY
191
J
R
A
T
K
10. AT is tangent to both circles K and J at A. ST
is tangent to K at S and RT is tangent to
J at R. If 72  xST and
13  xRT , find:
a. x c. RT
b. ST d. AT
How was the activity you have just done? Was it easy for you to
determine the measures of the different angles, arcs, and segments? It
was easy for sure!
In this section, the discussion was about the different geometric
relationships involving tangents and secants of a circle.
Now that you know the important ideas about this topic, let us go
deeper and move on to the next section.
Your goal in this section is to think deeper and test further your
understanding of the different geometric relationships involving tangents
and secants of a circle. After doing the following activities, you should be
able to find out how the different geometric relationships involving
tangents and secants of a circle facilitate finding solutions to real-life
problems and making wise decisions.
S
All rights reserved. No part of this material may be reproduced or transmitted in any form or by any means -
electronic or mechanical including photocopying – without written permission from the DepEd Central Office. First Edition, 2015.
D
EPED
C
O
PY
192
Answer the following.
1. In the figure on the right, RO and DN are tangent to U at O and N
respectively.
a. What is the measure of ?RON ?DNO
Explain how you arrived at your answer.
b. Suppose NDUONR  . Which angle is
congruent to ?NRO Why?
c. If 31m ONR , what is NROm ?
d. If m 49,DUN what is NDUm ? How about DUOm ?
e. Suppose OU = 6, RN = 13, and ONDN  , what is RO equal to? How
about DN? DU?
Is DUNNRO  ? Justify your answer.
2. In the figure on the right, is LU tangent
to I? Why?
How about SC ? Justify your answer.
3. LR and LI are tangents to T from an external point L.
a. Is RL congruent to ?LI Why?
b. Is ∆LTR congruent to ∆LTI? Justify
your answer.
c. Suppose m 38.RLT What is
ILTm equal to?
How about m ?ITL m ?RTL
d. If 10RT and 24RL , what is the length of ?TL
How about the length of ?LI ?AL
Activity 6:
A
I
T
R
L
L
U
3
53
C
4
I
S
A
8
6
R O
N
U
D
All rights reserved. No part of this material may be reproduced or transmitted in any form or by any means -
electronic or mechanical including photocopying – without written permission from the DepEd Central Office. First Edition, 2015.
D
EPED
C
O
PY
193
C
D
Z
S
M
YX
4. In the figure on the right, ∆CDS is circumscribed
about M. Suppose the perimeter of ∆CDS is
33 units, SX = 6 units, and DY = 3 units. What
are the lengths of the following segments? Explain
how you arrived at your answer.
a. SZ c. CX
b. DZ d. CY
5. From the main entrance of a park, there are two pathways where visitors
can walk along going to the circular garden. The pathways are both
tangent to the garden whose center is 40 m away from the main entrance.
If the area of the garden is about 706.5 m2
, how long is each pathway?
6. The map below shows that the waters within ARC, a 250° arc, is
dangerous for shipping vessels. In the diagram, two lighthouses are
located at points A and C and points P, R, and S are the locations of the
ship at a certain time, respectively.
a. What are the possible measures of ,P
,R and S ?
b. If you were the captain of a ship, how
would you make sure that your ship is
in safe water?
Main
Entrance
Garden
A
R C
P
shore
S
All rights reserved. No part of this material may be reproduced or transmitted in any form or by any means -
electronic or mechanical including photocopying – without written permission from the DepEd Central Office. First Edition, 2015.
D
EPED
C
O
PY
194
How was the activity you have just performed? Did you gain better
understanding of the lesson? Were you able to use the mathematics
concepts and principles learned in solving problems? Were you able to
realize the importance of the lesson in the real world? I am sure you
were! In the next activity you will be proving geometric relationships
involving tangents and secants.
Show a proof of the following theorems involving tangents and secants.
1. If a line is tangent to a circle, then it is perpendicular to the radius drawn to
the point of tangency.
Given: AB is tangent to C at D.
Prove: CDAB 
2. If a line is perpendicular to a radius of a circle at its endpoint that is on the
circle, then the line is tangent to the circle.
Given: RS is a radius of S.
RSPQ 
Prove: PQ is tangent to S at R.
Activity 7:
R
Q
S
P
D
C
B
A
All rights reserved. No part of this material may be reproduced or transmitted in any form or by any means -
electronic or mechanical including photocopying – without written permission from the DepEd Central Office. First Edition, 2015.
D
EPED
C
O
PY
195
3. If two segments from the same exterior
point are tangent to a circle, then the two
segments are congruent.
Given: EM and EL are tangent to
S at M and L, respectively.
Prove: EM EL
4. If two tangents, a secant and a tangent, or two secants intersect in the
exterior of a circle, then the measure of the angle formed is one-half the
positive difference of the measures of the intercepted arcs.
a. Given: RS and TS are tangent to V
at R and T, respectively, and
intersect at the exterior point S.
Prove:  mTRmTQRRSTm 
2
1
b. Given: KL is tangent to O at K.
NL is a secant that passes
through O at M and N.
KL and NL intersect at the
exterior point L.
Prove:  mMKmNPKKLNm 
2
1
c. Given: AC is a secant that passes
through T at A and B.
EC is a secant that passes
through T at E and D.
AC and EC intersect at the
exterior point C.
Prove: mBDmAEACEm 
2
1
L
E
S
M
Q
T
V
S
R
M
K
L
N
P
O
E
B
C
T
A
D
All rights reserved. No part of this material may be reproduced or transmitted in any form or by any means -
electronic or mechanical including photocopying – without written permission from the DepEd Central Office. First Edition, 2015.
D
EPED
C
O
PY
196
5. If two secants intersect in the interior of a circle, then the measure of an
angle formed is one-half the sum of the measures of the arcs intercepted
by the angle and its vertical angle.
Given: AC and EC are secants
intersecting in the interior
of V at T.
PS and QR are the intercepted
arcs of PTS and .QTR
Prove:  mQRmPSPTSm 
2
1
6. If a secant and a tangent intersect at the point of tangency, then the
measure of each angle formed is one-half the measure of its intercepted
arc.
Given: MP and LN are secant and
tangent, respectively, and
intersect at C at the point
of tangency, M.
Prove:  mMPNMPm
2
1
 and
 mMKPLMPm
2
1

Were you able to prove the different geometric relationships
involving tangents and secants? Were you convinced that these
geometric relationships are true? I know you were! Find out by yourself
how these geometric relationships are illustrated or applied in the real
world.
In this section, the discussion was about your understanding of the
different geometric relationships involving tangents and secants and how
they are illustrated in real life.
What new realizations do you have about the different geometric
relationships involving tangents and secants? How would you connect
this to real life? How would you use this in making wise decisions?
M
K
L
N
P O
S
P
R
V
QT
All rights reserved. No part of this material may be reproduced or transmitted in any form or by any means -
electronic or mechanical including photocopying – without written permission from the DepEd Central Office. First Edition, 2015.
D
EPED
C
O
PY
197
Now that you have a deeper understanding of the topic, you are
ready to do the tasks in the next section.
Your goal in this section is to apply your learning to real-life
situations. You will be given a practical task which will demonstrate your
understanding of the different geometric relationships involving tangents
and secants.
Answer the following. Use the rubric provided to rate your work.
1. The chain and gears of bicycles or motorcycles or belt around two pulleys are
some real-life illustrations of tangents and circles. Using these real-life objects
or similar ones, formulate problems involving tangents, then solve.
2. The picture below shows a bridge in the form of an arc. It also shows how
secant is illustrated in real life. Using the bridge in the picture and other real-
life objects, formulate problems involving secants, then solve them.
Activity 8:
All rights reserved. No part of this material may be reproduced or transmitted in any form or by any means -
electronic or mechanical including photocopying – without written permission from the DepEd Central Office. First Edition, 2015.
D
EPED
C
O
PY
198
Rubric on Problems Formulated and Solved
Score Descriptors
6
Poses a more complex problem with 2 or more correct possible
solutions and communicates ideas unmistakably, shows in-depth
comprehension of the pertinent concepts and/or processes and
provides explanations wherever appropriate.
5
Poses a more complex problem and finishes all significant parts
of the solution and communicates ideas unmistakably, shows in-
depth comprehension of the pertinent concepts and/or
processes.
4
Poses a complex problem and finishes all significant parts of the
solution and communicates ideas unmistakably, shows in-depth
comprehension of the pertinent concepts and/or processes.
3
Poses a complex problem and finishes most significant parts of
the solution and communicates ideas unmistakably, shows
comprehension of major concepts although neglects or
misinterprets less significant ideas or details.
2
Poses a problem and finishes some significant parts of the
solution and communicates ideas unmistakably but shows gaps
on theoretical comprehension.
1
Poses a problem but demonstrates minor comprehension, not
being able to develop an approach.
Source: D.O. #73, s. 2012
In this section, your task was to formulate then solve problems
involving the different geometric relationships involving tangents and
secants.
How did you find the performance task? How did the task help you
realize the importance of the topic in real life?
SUMMARY/SYNTHESIS/GENERALIZATION:
This lesson was about different geometric relationships involving
tangents and secants and their applications in real life. The lesson provided
you with opportunities to find the measures of angles formed by secants and
tangents and the arcs that these angles intercept. You also applied these
relationships involving tangents and secants in finding the lengths of segments
in some geometric figures. You were also given the opportunities to formulate
and solve real-life problems involving tangents and secants of a circle. Your
understanding of this lesson and other previously learned mathematics
concepts and principles will facilitate your learning in the succeeding lessons.
All rights reserved. No part of this material may be reproduced or transmitted in any form or by any means -
electronic or mechanical including photocopying – without written permission from the DepEd Central Office. First Edition, 2015.
D
EPED
C
O
PY
199
Start Lesson 2B of this module by assessing your knowledge of the
different mathematical concepts previously studied and mathematical
skills learned. These knowledge and skills will help you understand the
relationships among tangent and secant segments. As you go through
this lesson, think of this important question: “How do the relationships
among tangent and secant segments facilitate finding solutions to real-
life problems and making decisions?” To find the answer, perform each
activity. If you find any difficulty in answering the exercises, seek the
assistance of your teacher or peers or refer to the modules you have
studied earlier. You may check your work with your teacher.
Solve the following equations. Answer the questions that follow.
1. 3 27x 6. 2
25x
2. 4 20x 7. 2
64x
3.   1236 x 8. 2
12x
4. x763  9. 2
45x
5.    x10158  10. 2
80x
a. How did you find the value of x in each equation?
b. What mathematics concepts or principles did you apply in
solving the equations?
Were you able to find the value of x in each equation? Were you
able to recall how the equations are solved? The skill applied in the
previous activity will be used as you go on with the module.
Activity 1:
All rights reserved. No part of this material may be reproduced or transmitted in any form or by any means -
electronic or mechanical including photocopying – without written permission from the DepEd Central Office. First Edition, 2015.
D
EPED
C
O
PY
200
N
S
E
T
J
L
A
Use the figure below to answer the following questions.
1. Which of the lines or line segments is a tangent? secant? chord?
Name these lines or line segments.
2. AT intersects LN at E. What are the
different segments formed? Name these
segments.
3. What other segments can be seen in the
figure? Name these segments.
4. SJ and LJ intersect at point J. How would you describe point J in relation
to the given circle?
Was it easy for you to identify the tangent and secant lines and
chords and to name all the segments? I am sure it was! This time, find
out the relationships among tangent, and secant segments, and external
secant segments of circles by doing the next activity.
Perform the following activity.
Procedure:
1. In the given circle below, draw two intersecting chords BT and MN.
Activity 3:
Activity 2:
All rights reserved. No part of this material may be reproduced or transmitted in any form or by any means -
electronic or mechanical including photocopying – without written permission from the DepEd Central Office. First Edition, 2015.
D
EPED
C
O
PY
201
2. Mark and label the point of intersection of the two chords as A.
3. With a ruler, measure the lengths of the segments formed by the
intersecting chords.
What is the length of each of the following segments?
a. BA c. MA
b. TA d. NA
4. Compare the product of BA and TA with the product of MA and NA.
5. Repeat #1 to #4 using other pairs of chords of different lengths.
What conclusion can you make?
Were you able to determine the relationship that exists among
segments formed by intersecting chords of a circle? For sure you were
able to do it. In the next activity, you will see how tangent and secant
segments are used in real-life situations.
Use the situation below to answer the questions that follow.
You are in a hot air balloon and your eye level is 60 meters over the
ocean. Suppose your line of sight is tangent to the radius of the earth like the
illustration shown below.
1. How far away is the farthest point you can see over the ocean if the radius
of the earth is approximately 6378 kilometers?
Activity 4:
All rights reserved. No part of this material may be reproduced or transmitted in any form or by any means -
electronic or mechanical including photocopying – without written permission from the DepEd Central Office. First Edition, 2015.
D
EPED
C
O
PY
202
E
A
M
G
S
In the figure, GM and SM are secants.
AM and EM are external secant
segments.
2. What mathematics concepts would you apply to find the distance from
where you are to any point on the horizon?
How did you find the preceding activities? Are you ready to learn
about tangent and secant segments? I am sure you are! From the
activities done, you were able to find out how tangent and secant
segments of circles are illustrated in real life. But how do the
relationships among tangent and secant segments of circles facilitate
finding solutions to real-life problems and making decisions? You will find
these out in the activities in the next section. Before doing these
activities, read and understand first some important notes on tangent and
secant segments of circles and the examples presented.
Theorem on Two Intersecting Chords
If two chords of a circle intersect, then the product of the measures of
the segments of one chord is equal to the product of the measures of the
segments of the other chord.
External Secant Segment
An external secant segment is the part of a secant segment that is
outside a circle.
In the circle shown on the right, SN
intersects DL at A. From the theorem,
LADANASA  .
S
D
L
A
N
All rights reserved. No part of this material may be reproduced or transmitted in any form or by any means -
electronic or mechanical including photocopying – without written permission from the DepEd Central Office. First Edition, 2015.
D
EPED
C
O
PY
203
N
A
R
I
E
N
OC
Y
Theorems on Secant Segments, Tangent Segments,
and External Secant Segments
1. If two secant segments are drawn to a circle from an exterior point, then
the product of the lengths of one secant segment and its external secant
segment is equal to the product of the lengths of the other secant segment
and its external secant segment.
2. If a tangent segment and a secant segment are drawn to a circle from an
exterior point, then the square of the length of the tangent segment is
equal to the product of the lengths of the secant segment and its external
secant segment.
Learn more about Tangent
and Secant Segments of a
Circle through the WEB.
You may open the
following links.
http://www.regentsprep.org/Regents/math/geom
etry/GP15/CircleAngles.htm
http://www.cliffsnotes.com/math/geometry/circle
s/segments-of-chords-secants-tangents
http://www.mathopenref.com/secantsintersecting.
html
http://www.ck12.org/book/CK-12-Geometry-
Honors-Concepts/section/8.8/
http://www.math-worksheet.org/tangents
AR and NR are secant segments drawn
to the circle from an exterior point R. From
the theorem, .AR IR NR ER  
YO is a secant segment drawn to the
circle from exterior point O. CO is a
tangent segment that is also drawn to
the circle from the same exterior point
O. From the theorem,  
2
.CO YO NO 
All rights reserved. No part of this material may be reproduced or transmitted in any form or by any means -
electronic or mechanical including photocopying – without written permission from the DepEd Central Office. First Edition, 2015.
D
EPED
C
O
PY
204
Your goal in this section is to apply the key concepts of tangent and
secant segments of a circle. Use the mathematical ideas and the
examples presented in the preceding section to answer the given
activities.
Name the external secant segments in each of the following figures.
1. 4.
2. 5.
3. 6.
Were you able to identify the external secant segments in the given
circles? In the next activity, you will apply the theorems you have learned
in this lesson.
Activity 5:
E
L
R
O
W
F
I
L
Y
M
E
T
D
S
M
C
E
O
S
J
G
R
I
L
I F
A
D
B
J E
H G
K
C
All rights reserved. No part of this material may be reproduced or transmitted in any form or by any means -
electronic or mechanical including photocopying – without written permission from the DepEd Central Office. First Edition, 2015.
D
EPED
C
O
PY
205
Find the length of the unknown segment (x) in each of the following figures.
Answer the questions that follow.
1. 6.
2. 7.
3. 8.
4. 9.
5. 10.
Activity 6:
6
5
4
3
x
L
G
A
F S
4
6
5
12
xD
I
U
G
E
8 7
5
12 x
O M
A
R
N
5 6
5
4 x
T
E
UJ
N
T
I
H
S
F10
8
5
x
16
9 16
x
A
S
O R
S
N
A
E
J
4
11
5 12
x
x
C
T
M
S
6
4
5
6
8
5
6
x
G
C
A
M
I
10
O
E
L
x
25
5
V
All rights reserved. No part of this material may be reproduced or transmitted in any form or by any means -
electronic or mechanical including photocopying – without written permission from the DepEd Central Office. First Edition, 2015.
D
EPED
C
O
PY
206
Questions:
a. How did you find the length of the unknown segment?
What geometric relationships or theorems did you apply to come up with
your answer?
b. Compare your answers with those of your classmates. Did you arrive at
the same answer? Explain.
In the activity you have just done, were you able to apply the theorems
you have learned? I am sure you were! In the next activity, you will use the
theorems you have studied in this lesson.
Answer the following.
1. Draw and label a circle that fits the following descriptions.
a. has center L
b. has secant segments MO and QO
c. has external secant segments NO and PO
d. has tangent segment RO
2.
How was the activity you have just done? Was it easy for you to apply
the theorems on secant segments and tangent segments? It was easy for
sure!
In this section, the discussion was about tangent and secant segments
and their applications in solving real-life problems.
Go back to the previous section and compare your initial ideas with the
discussion. How much of your initial ideas are found in the discussion?
Which ideas are different and need modification?
Now that you know the important ideas about this topic, let us go
deeper by moving on to the next section.
Activity 7:
In the figure on the right, SU and
WU are secant segments and XU is
a tangent segment. If 14WU ,
12ST , and 4TU , find:
a. VU
b. XU
S
T W
X
V
14
5
4
5
12
5
U
All rights reserved. No part of this material may be reproduced or transmitted in any form or by any means -
electronic or mechanical including photocopying – without written permission from the DepEd Central Office. First Edition, 2015.
D
EPED
C
O
PY
207
Your goal in this section is to take a closer look at some aspects of the
topic. You are going to think deeper and test further your understanding of
tangents and secant segments. After doing the following activities, you
should be able to answer this important question: How do tangents and
secant segments of circles facilitate finding solutions to real-life problems
and making decisions?
Show a proof of each of the following theorems.
1. If two chords of a circle intersect, then the product of the measures of the
segments of one chord is equal to the product of the measures of the
segments of the other chord.
2. If two secant segments are drawn to a circle from an exterior point, then
the product of the lengths of one secant segment and its external secant
segment is equal to the product of the lengths of the other secant segment
and its external secant segment.
Activity 8:
Given: AB and DE are chords of C
intersecting at M.
Prove: EMDMBMAM 
A
D
B
E
C
M
Given: DP and DS are secant
segments of T drawn
from exterior point D.
Prove: DRDSDQDP 
P
T
S
D
Q
R
All rights reserved. No part of this material may be reproduced or transmitted in any form or by any means -
electronic or mechanical including photocopying – without written permission from the DepEd Central Office. First Edition, 2015.
D
EPED
C
O
PY
208
3. If a tangent segment and a secant segment are drawn to a circle from an
exterior point, then the square of the length of the tangent segment is
equal to the product of the lengths of the secant segment and its external
secant segment.
Were you able to prove the theorems on intersecting chords, secant
segments, and tangent segments? I am sure you did!
Let us find out more about these theorems and their applications.
Perform the next activity.
Answer the following questions.
1. Jurene and Janel were asked to find the length of AB in the figure below.
The following are their solutions.
Who do you think would arrive at the correct answer? Explain your
answer.
Activity 9:
Jurene:  7 9 10x
Janel:      7 7 9 9 10x
7
x
9
10
B
D
C
A
E
Given: KL and KM are tangent
and secant segments,
respectively, of O drawn
from exterior point K.
KM intersects O at N.
Prove:   KNKMKL 2
K
L
O
MN
All rights reserved. No part of this material may be reproduced or transmitted in any form or by any means -
electronic or mechanical including photocopying – without written permission from the DepEd Central Office. First Edition, 2015.
D
EPED
C
O
PY
209
2. The figure below shows a sketch of a circular children’s park and the
different pathways from the main road. If the distance from the main road
to Gate 2 is 70 m and the length of the pathway from Gate 2 to the Exit is
50 m, about how far from the main road is Gate 1?
3.
b. Suppose Anton hangs 40 pairs of light balls on the ceiling of a hall in
preparation for an event. How long is the string that he needs to hang
these light balls if each has a diameter of 12 cm and the point of
tangency of each pair of balls is 30 cm from the ceiling?
How did you find the activity? Were you able to find out some real-
life applications of the different geometric relationships involving tangents
and secant segments? Do you think you could cite some more real-life
applications of these? I am sure you could. Try doing the next activity.
Anton used strings to hang two small light
balls on the ceiling as shown in the figure on
the right. The broken line represents the
distance from the point of tangency of the two
light balls to the ceiling.
a. Suppose the diameter of each light ball is
10 cm and the length of the string used to
hang it is 40 cm. How far is the point of
tangency of the two light balls from the
ceiling?
Exit
Gate 1
Gate 2
Gate 3
Main Road
All rights reserved. No part of this material may be reproduced or transmitted in any form or by any means -
electronic or mechanical including photocopying – without written permission from the DepEd Central Office. First Edition, 2015.
D
EPED
C
O
PY
210
In this section, the discussion was about your understanding of
tangent and secant segments and how they are used in real life.
What new realizations do you have about tangent and secant
segments? How would you connect this to real life?
Now that you have a deeper understanding of the topic, you are
ready to do the tasks in the next section.
Your goal in this section is to apply your learning to real-life
situations. You will be given a practical task which will demonstrate your
understanding of tangent and secant segments.
Make a design of an arch bridge that would connect two places which are
separated by a river, 20 m wide. Indicate on the design the different
measurements of the parts of the bridge. Out of the design and the
measurements of its parts, formulate problems involving tangent and secant
segments, and then solve. Use the rubric provided to rate your work.
Rubric for the Bridge’s Design
Score Descriptors
4
The bridge’s design is accurately made, presentable, and
appropriate.
3
The bridge’s design is accurately made and appropriate but not
presentable.
2 The bridge’s design is not accurately made but appropriate.
1 The bridge’s design is made but not appropriate.
Activity 10:
All rights reserved. No part of this material may be reproduced or transmitted in any form or by any means -
electronic or mechanical including photocopying – without written permission from the DepEd Central Office. First Edition, 2015.
D
EPED
C
O
PY
211
Rubric on Problems Formulated and Solved
Score Descriptors
6
Poses a more complex problem with 2 or more correct possible
solutions and communicates ideas unmistakably, shows in-depth
comprehension of the pertinent concepts and/or processes, and
provides explanations wherever appropriate.
5
Poses a more complex problem and finishes all significant parts
of the solution and communicates ideas unmistakably, shows in-
depth comprehension of the pertinent concepts and/or
processes.
4
Poses a complex problem and finishes all significant parts of the
solution and communicates ideas unmistakably, shows in-depth
comprehension of the pertinent concepts and/or processes.
3
Poses a complex problem and finishes most significant parts of
the solution and communicates ideas unmistakably, shows
comprehension of major concepts although neglects or
misinterprets less significant ideas or details.
2
Poses a problem and finishes some significant parts of the
solution and communicates ideas unmistakably but shows gaps
on theoretical comprehension.
1
Poses a problem but demonstrates minor comprehension, not
being able to develop an approach.
Source: D.O. #73, s. 2012
In this section, your task was to formulate problems where tangent
and secant segments of circles are illustrated.
How did you find the performance task? How did the task help you
realize the importance of the topic in real life?
SUMMARY/SYNTHESIS/GENERALIZATION
This lesson was about the geometric relationships involving tangent
and secant segments. In this lesson, you were able to find the lengths of
segments formed by tangents and secants. You were also given the opportunity
to design something practical where tangent and secant segments are
illustrated or applied. Then, you were asked to formulate and solve problems
out of this design. Your understanding of this lesson and other previously
learned mathematics concepts and principles will facilitate your learning of the
succeeding lessons in mathematics.
All rights reserved. No part of this material may be reproduced or transmitted in any form or by any means -
electronic or mechanical including photocopying – without written permission from the DepEd Central Office. First Edition, 2015.
D
EPED
C
O
PY
212
GLOSSARY OF TERMS
Arc – a part of a circle
Arc Length – the length of an arc which can be determined by using the
proportion
r
lA


2360
, where A is the degree measure of this arc, r is the
radius of the circle, and l is the arc length
Central Angle – an angle formed by two rays whose vertex is the center of
the circle
Common External Tangents – tangents which do not intersect the segment
joining the centers of the two circles
Common Internal Tangents – tangents that intersect the segment joining
the centers of the two circles
Common Tangent – a line that is tangent to two circles on the same plane
Congruent Arcs – arcs of the same circle or of congruent circles with equal
measures
Congruent Circles – circles with congruent radii
Degree Measure of a Major Arc – the measure of a major arc that is equal
to 360 minus the measure of the minor arc with the same endpoints
Degree Measure of a Minor Arc – the measure of the central angle which
intercepts the arc
External Secant Segment – the part of a secant segment that is outside a
circle
Inscribed Angle – an angle whose vertex is on a circle and whose sides
contain chords of the circle
Intercepted Arc – an arc that lies in the interior of an inscribed angle and has
endpoints on the angle
Major Arc – an arc of a circle whose measure is greater than that of a
semicircle
All rights reserved. No part of this material may be reproduced or transmitted in any form or by any means -
electronic or mechanical including photocopying – without written permission from the DepEd Central Office. First Edition, 2015.
D
EPED
C
O
PY
213
Minor Arc – an arc of a circle whose measure is less than that of a semicircle
Point of Tangency – the point of intersection of the tangent line and the
circle
Secant – a line that intersects a circle at exactly two points. A secant contains
a chord of a circle
Sector of a Circle – the region bounded by an arc of the circle and the two
radii to the endpoints of the arc
Segment of a Circle – the region bounded by an arc and the segment joining
its endpoints
Semicircle – an arc measuring one-half the circumference of a circle
Tangent to a Circle – a line coplanar with the circle and intersects it at one
and only one point
LIST OF THEOREMS AND POSTULATES ON CIRCLES
Postulates:
1. Arc Addition Postulate. The measure of an arc formed by two adjacent
arcs is the sum of the measures of the two arcs.
2. At a given point on a circle, one and only one line can be drawn that is
tangent to the circle.
Theorems:
1. In a circle or in congruent circles, two minor arcs are congruent if and only
if their corresponding central angles are congruent.
2. In a circle or in congruent circles, two minor arcs are congruent if and only
if their corresponding chords are congruent.
3. In a circle, a diameter bisects a chord and an arc with the same endpoints
if and only if it is perpendicular to the chord.
4. If an angle is inscribed in a circle, then the measure of the angle equals
one-half the measure of its intercepted arc (or the measure of the
intercepted arc is twice the measure of the inscribed angle).
All rights reserved. No part of this material may be reproduced or transmitted in any form or by any means -
electronic or mechanical including photocopying – without written permission from the DepEd Central Office. First Edition, 2015.
D
EPED
C
O
PY
214
5. If two inscribed angles of a circle (or congruent circles) intercept congruent
arcs or the same arc, then the angles are congruent.
6. If an inscribed angle of a circle intercepts a semicircle, then the angle is a
right angle.
7. If a quadrilateral is inscribed in a circle, then its opposite angles are
supplementary.
8. If a line is tangent to a circle, then it is perpendicular to the radius drawn to
the point of tangency.
9. If a line is perpendicular to a radius of a circle at its endpoint that is on the
circle, then the line is tangent to the circle.
10. If two segments from the same exterior point are tangent to a circle, then
the two segments are congruent.
11. If two secants intersect in the exterior of a circle, then the measure of the
angle formed is one-half the positive difference of the measures of the
intercepted arcs.
12. If a secant and a tangent intersect in the exterior of a circle, then the
measure of the angle formed is one-half the positive difference of the
measures of the intercepted arcs.
13. If two tangents intersect in the exterior of a circle, then the measure of the
angle formed is one-half the positive difference of the measures of the
intercepted arcs.
14. If two secants intersect in the interior of a circle, then the measure of an
angle formed is one-half the sum of the measures of the arcs intercepted
by the angle and its vertical angle.
15. If a secant and a tangent intersect at the point of tangency, then the
measure of each angle formed is one-half the measure of its intercepted
arc.
16. If two chords of a circle intersect, then the product of the measures of the
segments of one chord is equal to the product of the measures of the
segments of the other chord.
All rights reserved. No part of this material may be reproduced or transmitted in any form or by any means -
electronic or mechanical including photocopying – without written permission from the DepEd Central Office. First Edition, 2015.
D
EPED
C
O
PY
215
17. If two secant segments are drawn to a circle from an exterior point, then
the product of the lengths of one secant segment and its external secant
segment is equal to the product of the lengths of the other secant segment
and its external secant segment.
18. If a tangent segment and a secant segment are drawn to a circle from an
exterior point, then the square of the length of the tangent segment is
equal to the product of the lengths of the secant segment and its external
secant segment.
DepEd Instructional Materials That Can Be Used as Additional
Resources
1. Basic Education Assistance for Mindanao (BEAM) Learning Guide, Third
Year Mathematics. Module 18: Circles and Their Properties.
2. Distance Learning Module (DLM) 3, Modules 1 and 2: Circles.
REFERENCES AND WEBSITE LINKS USED IN THIS MODULE:
References:
Bass, Laurie E., Randall, I. Charles, Basia Hall, Art Johnson, and Kennedy,
D. Texas Geometry. Pearson Prentice Hall, Boston, Massachusetts
02116, 2008.
Bass, Laurie E., Rinesmith Hall B., Johnson A., and Wood, D. F. Prentice Hall
Geometry Tools for a Changing World. Prentice-Hall, Inc., NJ, USA,
1998.
Boyd, Cummins, Malloy, Carter, and Flores. Glencoe McGraw-Hill Geometry.
The McGraw-Hill Companies, Inc., USA, 2008.
Callanta, Melvin M. Infinity, Worktext in Mathematics III. EUREKA Scholastic
Publishing, Inc., Makati City, 2012.
Chapin, Illingworth, Landau, Masingila, and McCracken. Prentice Hall Middle
Grades Math, Tools for Success, Prentice-Hall, Inc., Upper Saddle
River, New Jersey, 1997.
Cifarelli, Victor, et al. cK-12 Geometry, Flexbook Next Generation Textbooks,
Creative Commons Attribution-Share Alike, USA, 2009.
All rights reserved. No part of this material may be reproduced or transmitted in any form or by any means -
electronic or mechanical including photocopying – without written permission from the DepEd Central Office. First Edition, 2015.
D
EPED
C
O
PY
216
Clemens, Stanley R., Phares G. O’Daffer, Thomas J. Cooney, and John A.
Dossey. Addison-Wesley Geometry. Addison-Wesley Publishing
Company, Inc., USA, 1990.
Clements, D. H., Jones, K. W., Moseley, L. B., and Schulman, L. Math in My
World, McGraw-Hill Division, Farmington, New York, 1999.
Department of Education. K to 12 Curriculum Guide Mathematics,
Department of Education, Philippines, 2012.
Gantert, Ann Xavier. AMSCO’s Geometry. AMSCO School Publications, Inc.,
NY, USA, 2008.
Renfro, Freddie L. Addison-Wesley Geometry Teacher’s Edition. Addison-
Wesley Publishing Company, Inc., USA, 1992.
Rich, Barnett and Christopher Thomas. Schaum’s Outlines Geometry Fourth
Edition. The McGraw-Hill Companies, Inc., USA, 2009.
Smith, Stanley A., Charles W. Nelson, Roberta K. Koss, Mervin L. Keedy, and
Marvin L. Bittinger. Addison-Wesley Informal Geometry. Addison-
Wesley Publishing Company, Inc., USA, 1992.
Wilson, Patricia S., et al. Mathematics, Applications and Connections, Course
I, Glencoe Division of Macmillan/McGraw-Hill Publishing Company,
Westerville, Ohio, 1993.
All rights reserved. No part of this material may be reproduced or transmitted in any form or by any means -
electronic or mechanical including photocopying – without written permission from the DepEd Central Office. First Edition, 2015.
D
EPED
C
O
PY
217
Website Links as References and Sources of Learning Activities:
CK-12 Foundation. cK-12 Inscribed Angles. (2014). Retrieved June 29, 2014,
from http://www.ck12.org/book/CK-12-Geometry-Honors-Concepts/
section/8.7/
CK-12 Foundation. cK-12 Secant Lines to Circles. (2014). Retrieved June 29,
2014, from http://www.ck12.org/book/CK-12-Geometry-Honors-Concepts/
section/8.8/
CK-12 Foundation. cK-12 Tangent Lines to Circles. (2014). Retrieved June
29, 2014, from http://www.ck12.org/book/CK-12-Geometry-Honors-Concepts/
section/8.4/
Houghton Mifflin Harcourt. CliffsNotes. Arcs and Inscribed Angles. (2013).
Retrieved June 29, 2014, from http://www.cliffsnotes.com/math/geometry/
circles/arcs-and-inscribed-angles
Houghton Mifflin Harcourt. CliffsNotes. Segments of Chords, Secants, and
Tangents. (2013). Retrieved June 29, 2014, from
http://www.cliffsnotes.com/math/geometry/circles/segments-of-chords-
secants-tangents
Math Open Reference. Arc. (2009). Retrieved June 29, 2014, from
http://www.mathopenref.com/arc.html
Math Open Reference. Arc Length. (2009). Retrieved June 29, 2014, from
http://www.mathopenref.com/arclength.html
Math Open Reference. Central Angle. (2009). Retrieved June 29, 2014, from
http://www.mathopenref.com/circlecentral.html
Math Open Reference. Central Angle Theorem. (2009). Retrieved June 29,
2014, from http://www.mathopenref.com/arccentralangletheorem.html
Math Open Reference. Chord. (2009). Retrieved June 29, 2014, from
http://www.mathopenref.com/chord.html
Math Open Reference. Inscribed Angle. (2009). Retrieved June 29, 2014,
from http://www.mathopenref.com/circleinscribed.html
Math Open Reference. Intersecting Secants Theorem. (2009). Retrieved June
29, 2014, from http://www.mathopenref.com/secantsintersecting.html
All rights reserved. No part of this material may be reproduced or transmitted in any form or by any means -
electronic or mechanical including photocopying – without written permission from the DepEd Central Office. First Edition, 2015.
D
EPED
C
O
PY
218
Math Open Reference. Sector. (2009). Retrieved June 29, 2014, from
http://www.mathopenref.com/arcsector.html
Math Open Reference. Segment. (2009). Retrieved June 29, 2014, from
http://www.mathopenref.com/segment.html
math-worksheet.org. Free Math Worksheets. Arc Length and Sector Area.
(2014). Retrieved June 29, 2014, from http://www.math-worksheet.org/arc-
length-and-sector-area
math-worksheet.org. Free Math Worksheets. Inscribed Angles. (2014).
Retrieved June 29, 2014, from http://www.math-worksheet.org/inscribed-
angles
math-worksheet.org. Free Math Worksheets. Secant-Tangent Angles. (2014).
Retrieved June 29, 2014, from http://www.math-worksheet.org/secant-
tangent-angles
math-worksheet.org. Free Math Worksheets. Tangents. (2014). Retrieved
June 29, 2014, from http://www.math-worksheet.org/tangents
OnlineMathLearning.com. Circle Theorems. (2013). Retrieved June 29, 2014,
from http://www.onlinemathlearning.com/circle-theorems.html
Roberts, Donna. Oswego City School District Regents exam Prep Center.
Geometry Lesson Page. Formulas for Angles in Circles Formed by Radii,
Chords, Tangents, Secants. (2012). Retrieved June 29, 2014, from
http://www.regentsprep.org/Regents/math/geometry/ GP15/CircleAngles.htm
Website Links for Videos:
Coach, Learn. NCEA Maths Level 1 Geometric reasoning: Angles Within
Circles. (2012). Retrieved June 29, 2014, from
http://www.youtube.com/watch?v=jUAHw-JIobc
Khan Academy. Equation for a circle using the Pythagorean Theorem.
Retrieved June 29, 2014, from
https://www.khanacademy.org/math/geometry/cc-geometry-circles
Schmidt, Larry. Angles and Arcs Formed by Tangents, Secants, and Chords.
(2013).Retrieved June 29, 2014, from http://www.youtube.com/watch?v=I-
RyXI7h1bM
Sophia.org. Geometry. Circles. (2014). Retrieved June 29, 2014, from
http://www.sophia.org/topics/circles
All rights reserved. No part of this material may be reproduced or transmitted in any form or by any means -
electronic or mechanical including photocopying – without written permission from the DepEd Central Office. First Edition, 2015.
D
EPED
C
O
PY
219
Website Links for Images:
Cherry Valley Nursery and Landscape Supply. Seasonal Colors Flowers and
Plants. (2014). Retrieved June 29, 2014 from http://www.cherryvalleynursery.com/
eBay Inc. Commodore Holden CSA Mullins pursuit mag wheel 17 inch
genuine - 4blok #34. (2014). Retrieved June 29, 2014, from
http://www.ebay.com.au/itm/Commodore-Holden-CSA-Mullins-pursuit-mag-
wheel-17-inch-genuine-4blok-34-/221275049465
Fort Worth Weekly. Facebook Fact: Cowboys Are World’s Team. (2012) .
Retrieved June 29, 2014 from http://www.fwweekly.com/2012/08/21/
facebook-fact-cowboys-now-worlds-team/
GlobalMotion Media Inc. Circular Quay, Sydney Harbour to Historic Hunter's
Hill Photos. (2013). Retrieved June 29, 2014 from http://www.everytrail.com/
guide/circular-quay-sydney-harbour-to-historic-hunters-hill/photos
HiSupplier.com Online Inc. Shandong Sun Paper Industry Joint Stock Co.,Ltd.
Retrieved June 29, 2014, from http://pappapers.en.hisupplier.com/product-
66751-Art-Boards.html
Kable. Slip-Sliding Away. (2014). Retrieved June 29, 2014, from
http://www.offshore-technology.com/features/feature1674/feature1674-5.html
Materia Geek. Nikon D500 presentada officialmente. (2009). Retrieved June
29, 2014 from http://materiageek.com/2009/04/nikon-d5000-presentada-
oficialmente/
Piatt, Andy. Dreamstime.com. Rainbow Stripe Hot Air Balloon. Retrieved
June 29, 2014, from http://thumbs.dreamstime.com/z/rainbow-stripe-hot-air-
balloon-788611.jpg
Regents of the University of Colorado. Nautical Navigation. (2014). Retrieved
June 29, 2014, from http://www.teachengineering.org/view_activity.php?url=
collection/cub_/activities/cub_navigation/cub_navigation_lesson07_activity1.xml
All rights reserved. No part of this material may be reproduced or transmitted in any form or by any means -
electronic or mechanical including photocopying – without written permission from the DepEd Central Office. First Edition, 2015.
D
EPED
C
O
PY
220
Sambhav Transmission. Industrial Pulleys. Retrieved June 29, 2014 from
http://www.indiamart.com/sambhav-transmission/industrial-pulleys.html
shadefxcanopies.com. Flower Picture Gallery, Garden Pergola Canopies.
Retrieved June 29, 2014, from http://www.flowerpicturegallery.com/v/halifax-
public-gardens/Circular+mini+garden+with+white+red+flowers+and+
dark+grass+in+the+middle+at+Halifax+Public+Gardens.jpg.html
Tidwell, Jen. Home Sweet House. (2012). Retrieved June 29, 2014 from
http://youveneverheardofjentidwell.com/2012/03/02/home-sweet-house/
Weston Digital Services. FWR Motorcycles LTD. CHAINS AND
SPROCKETS. (2014). Retrieved June 29, 2014 from
http://fwrm.co.uk/index.php?main_page=index&cPath=585&zenid=10omr4he
hmnbkktbl94th0mlp6
All rights reserved. No part of this material may be reproduced or transmitted in any form or by any means -
electronic or mechanical including photocopying – without written permission from the DepEd Central Office. First Edition, 2015.
D
EPED
C
O
PY
221
I. INTRODUCTION
Look around! What geometric figures do you see in your classroom,
school buildings, houses, bridges, roads, and other structures? Have you
ever asked yourself how geometric figures helped in planning the
construction of these structures?
In your community or province, was there any instance when a
stranger or a tourist asked you about the location of a place or a
landmark? Were you able to give the right direction and how far it is? If
not, could you give the right information the next time somebody asks you
the same question?
Find out the answers to these questions and determine the vast
applications of plane coordinate geometry through this module.
All rights reserved. No part of this material may be reproduced or transmitted in any form or by any means -
electronic or mechanical including photocopying – without written permission from the DepEd Central Office. First Edition, 2015.
D
EPED
C
O
PY
222
II. LESSONS AND COVERAGE:
In this module, you will examine the questions asked in the preceding
page when you take the following lessons:
Lesson 1 – The Distance Formula, The Midpoint,
and The Coordinate Proof
Lesson 2 – The Equation of a Circle
In these lessons, you will learn to:
Lesson 1
 derive the distance formula;
 apply the distance formula in proving some geometric
properties;
 graph geometric figures on the coordinate plane; and
 solve problems involving the distance formula.
Lesson 2
 illustrate the center-radius form of the equation of a circle;
 determine the center and radius of a circle given its
equation and vice versa;
 graph a circle on the coordinate plane; and
 solve problems involving circles on the coordinate plane.
Here is a simple map of the lessons that will be covered in this module:
Plane Coordinate Geometry
Problems Involving
Geometric Figures
on the Coordinate
Plane
The Distance Formula
The Midpoint Formula
Coordinate Proof
The Equation and
Graph of a Circle
All rights reserved. No part of this material may be reproduced or transmitted in any form or by any means -
electronic or mechanical including photocopying – without written permission from the DepEd Central Office. First Edition, 2015.
D
EPED
C
O
PY
223
III. PRE-ASSESSMENT
Part I
Find out how much you already know about this module. Choose the letter
that you think best answers each of the following questions. Take note of
the items that you were not able to answer correctly and find the right
answer as you go through this module.
1. Which of the following represents the distance d between the two
points  1 1
,x y and  2 2
,x y ?
A.    
2 2
2 1 2 1
d x x y y    C.    
2 2
2 1 2 1
d x x y y   
B.    
2 2
2 1 2 1
d x x y y    D.    
2 2
2 1 2 1
d x x y y   
2. Point L is the midpoint of KM . Which of the following is true about the
distances among K, L, and M?
A. KMKL  C. LMKL 
B. KMLM  D. LMKLKM 2
3. A map is drawn on a grid where 1 unit is equivalent to 1 km. On the
same map, the coordinates of the point corresponding to San Vicente
is (4, 9). Suppose San Vicente is 13 km away from San Luis. Which of
the following could be the coordinates of the point corresponding to
San Luis?
A. (-13, 0) B. (16, 4) C. (4, 16) D. (0, 13)
4. What is the distance between the points M(-3,1) and N(7,-3)?
A. 6 B. C. 14 D.
5. Which of the following represents the midpoint M of the segment
whose endpoints are  1 1
,x y and  2 2
,x y ?
A. 1 2 1 2
,
2 2
x x y y
M
  
  
 
C. 1 1 2 2
,
2 2
x y x y
M
  
  
 
B. 1 2 1 2
,
2 2
x x y y
M
  
  
 
D. 1 1 2 2
,
2 2
x y x y
M
  
  
 
6. What are the coordinates of the midpoint of a segment whose
endpoints are (-1, -3) and (11, 7)?
A. (2, 5) B. (6, 5) C. (-5, -2) D. (5, 2)
All rights reserved. No part of this material may be reproduced or transmitted in any form or by any means -
electronic or mechanical including photocopying – without written permission from the DepEd Central Office. First Edition, 2015.
D
EPED
C
O
PY
224
7. Which of the following equations describe a circle on the coordinate
plane with a radius of 4 units?
A.    
2 2 2
4 4 2x y    C.    
2 2 2
2 2 4x y   
B.    
2 2 2
2 2 4x y    D.    
2 2 2
4 4 16x y   
8. P and Q are points on the coordinate plane as shown in the figure
below.
If the coordinates of P and Q are  52, and  58, , respectively, which
of the following would give the distance between the two points?
A. 52  B. 58  C. 28  D. 82 
9. A new transmission tower will be put up midway between two existing
towers. On a map drawn on a coordinate plane, the coordinates of the
first existing tower are (–5, –3) and the coordinates of the second
existing tower are (9,13). What are the coordinates of the point where
the new tower will be placed?
A. (2, 5) B. (7, 8) C. (4, 10) D. (14, 16)
10. What proof uses figures on a coordinate plane to prove geometric
properties?
A. indirect proof C. coordinate proof
B. direct proof D. two-column proof
11. The coordinates of the vertices of a square are H(3, 8), I(15, 8),
J(15, –4), and K(3, –4). What is the length of a diagonal of the square?
A. 4 B. 8 C. 12 D. 212
12. The coordinates of the vertices of a triangle are T(–1, –3), O(7, 5), and
P(7, –2). What is the length of the segment joining the midpoint of OT
and P?
A. 5 B. 4 C. 3 D. 7
y
x
All rights reserved. No part of this material may be reproduced or transmitted in any form or by any means -
electronic or mechanical including photocopying – without written permission from the DepEd Central Office. First Edition, 2015.
D
EPED
C
O
PY
225
13. What figure is formed when the points A(3, 7), B(11, 10), C(11, 5), and
D(3, 2) are connected consecutively?
A. parallelogram C. square
B. trapezoid D. rectangle
14. In the parallelogram below, what are the coordinates of Q?
A. (a, b+c) B. (a+b,c) C. (a-b,c) D. (a,b-c)
15. Diana, Jolina, and Patricia live in three different places. The location of
their houses are shown on a coordinate plane below.
About how far is Jolina’s house from Diana’s house?
A. 10 units B. 10.58 units C. 11.4 units D. 12 units
16. What is the center of the circle 2 2
4 10 13 0x y x y     ?
A. (2, 5) B. (–2, 5) C. (2, –5) D. (–2, –5)
S(0, 0) R(b, 0)
P(a, c) Q
Diana
Jolina
Patricia
x
y
All rights reserved. No part of this material may be reproduced or transmitted in any form or by any means -
electronic or mechanical including photocopying – without written permission from the DepEd Central Office. First Edition, 2015.
D
EPED
C
O
PY
226
17. Point F is 5 units from point D whose coordinates are (6, 2). If the
x-coordinate of F is 10 and lies in the first quadrant, what is its
y-coordinate?
A. -3 B. -1 C. 5 D. 7
18. The endpoints of a diameter of a circle are L(–3, –2) and G(9, –6).
What is the length of the radius of the circle?
A. 10 B. 2 10 C. 4 10 D. 108
19. A radius of a circle has endpoints (4, –1) and (8, 2). What is the
equation that defines the circle if its center is at the fourth quadrant?
A.    
2 2
8 2 25x y    C.    
2 2
8 2 100x y   
B.    
2 2
4 1 100x y    D.    
2 2
4 1 25x y   
20. On a grid map of a province, the coordinates that correspond to the
location of a cellular phone tower is (–2, 8) and it can transmit signals
up to a 12 km radius. What is the equation that represents the
transmission boundaries of the tower?
A. 2 2
4 16 76 0x y x y     C. 2 2
4 16 76 0x y x y    
B. 2 2
4 16 76 0x y x y     D. 2 2
4 16 76 0x y x y    
Part II
Solve each of the following problems. Show your complete solutions.
1. A tracking device in a car indicates that it is located at a point whose
coordinates are (17, 14). In the tracking device, each unit on the grid is
equivalent to 5 km. How far is the car from its starting point whose
coordinates are (1, 2)?
2. A radio signal can transmit messages up to a distance of 3 km. If the radio
signal’s origin is located at a point whose coordinates are (4, 9), what is
the equation of the circle that defines the boundary up to which the
messages can be transmitted?
Rubric for Problem Solving
Score Descriptors
4
Used an appropriate strategy to come up with a correct solution
and arrived at a correct answer.
3
Used an appropriate strategy to come up with a solution. But a
part of the solution led to an incorrect answer.
2
Used an appropriate strategy but came up with an entirely wrong
solution that led to an incorrect answer.
1
Attempted to solve the problem but used an inappropriate
strategy that led to a wrong solution.
All rights reserved. No part of this material may be reproduced or transmitted in any form or by any means -
electronic or mechanical including photocopying – without written permission from the DepEd Central Office. First Edition, 2015.
D
EPED
C
O
PY
227
Part III
Read and understand the situation below, then answer the question or
perform what are asked.
The Scout Master of your school was informed that the Provincial Boy
Scouts Jamboree will be held in your municipality. He was assigned to
prepare the area that will accommodate the delegates from 30 municipalities.
It is expected that around 200 boy scouts will join the jamboree from each
municipality.
To prepare for the event, he made an ocular inspection of the area
where the jamboree will be held. The area is rectangular in shape and is large
enough for the delegates to set up their tents and other camping structures.
Aside from these, there is also a provision for the jamboree headquarter,
medics quarter in case of emergency and other health needs, walkways, and
roads, security posts, and a large ground where the different boy scouts
events will be held.
Aside from conducting an ocular inspection, he was also tasked to
prepare a large ground plan to be displayed in front of the camp site. Copies
of the ground plan will also be given to heads of the different delegations.
1. Suppose you are the Scout Master, how will you prepare the ground
plan of the Boy Scouts jamboree?
2. Prepare the ground plan. Use a piece of paper with a grid and
coordinate axes. Indicate the scale used.
3. On the grid paper, indicate the proposed locations of the different
delegations, the jamboree headquarter, medics quarter, walkways and
roads, security posts, and the boy scouts event ground.
4. Determine all the mathematics concepts or principles already learned
that are illustrated in the prepared ground plan.
5. Formulate equations and problems involving these mathematics
concepts or principles, then solve.
Rubric for Ground Plan
Score Descriptors
4
The ground plan is accurately made, appropriate, and
presentable.
3
The ground plan is accurately made and appropriate but not
presentable.
2 The ground plan is not accurately made but appropriate.
1 The ground plan is not accurately made and not appropriate.
All rights reserved. No part of this material may be reproduced or transmitted in any form or by any means -
electronic or mechanical including photocopying – without written permission from the DepEd Central Office. First Edition, 2015.
D
EPED
C
O
PY
228
Rubric for Equations Formulated and Solved
Score Descriptors
4 All equations are properly formulated and solved correctly.
3
All equations are properly formulated but some are not solved
correctly.
2
All equations are properly formulated but at least 3 are not solved
correctly.
1 All equations are not properly formulated and solved.
Rubric on Problems Formulated and Solved
Score Descriptors
6
Poses a more complex problem with 2 or more correct possible
solutions and communicates ideas unmistakably, shows in-
depth comprehension of the pertinent concepts and/or
processes, and provides explanations wherever appropriate
5
Poses a more complex problem and finishes all significant
parts of the solution and communicates ideas unmistakably,
shows in-depth comprehension of the pertinent concepts
and/or processes
4
Poses a complex problem and finishes all significant parts of
the solution and communicates ideas unmistakably, shows in-
depth comprehension of the pertinent concepts and/or
processes
3
Poses a complex problem and finishes most significant parts of
the solution and communicates ideas unmistakably, shows
comprehension of major concepts although neglects or
misinterprets less significant ideas or details
2
Poses a problem and finishes some significant parts of the
solution and communicates ideas unmistakably but shows
gaps on theoretical comprehension
1
Poses a problem but demonstrates minor comprehension, not
being able to develop an approach
Source: D.O. #73, s. 2012
IV. LEARNING GOALS AND TARGETS:
After going through this module, you should be able to demonstrate
understanding of key concepts of plane coordinate geometry particularly the
distance formula, equation of a circle, and the graphs of circles and other
geometric figures. Also, you should be able to formulate and solve problems
involving geometric figures on the rectangular coordinate plane.
All rights reserved. No part of this material may be reproduced or transmitted in any form or by any means -
electronic or mechanical including photocopying – without written permission from the DepEd Central Office. First Edition, 2015.
D
EPED
C
O
PY
229
Start Lesson 1 of this module by assessing your knowledge of the
different mathematical concepts previously studied and your skills in
performing mathematical operations. These knowledge and skills will
help you understand the distance formula. As you go through this lesson,
think of this important question: How do the distance formula, the
midpoint formula, and the coordinate proof facilitate finding solutions to
real-life problems and making wise decisions? To find the answer,
perform each activity. If you find any difficulty in answering the exercises,
seek the assistance of your teacher or peers or refer to the modules you
have studied earlier. You may check your work with your teacher.
Use the number line below to find the length of each of the following
segments and then answer the questions that follow.
1. AB 4. DE
2. BC 5. EF
3. CD 6. FG
Questions:
1. How did you find the length of each segment?
2. Did you use the coordinates of the points in finding the length of each
segment? If yes, how?
3. Which segments are congruent? Why?
4. How would you relate the lengths of the following segments?
d.1) AB, BC , and AC d.2) AC , CE , and AE
A GFECB
Q
D
Activity 1:
All rights reserved. No part of this material may be reproduced or transmitted in any form or by any means -
electronic or mechanical including photocopying – without written permission from the DepEd Central Office. First Edition, 2015.
D
EPED
C
O
PY
230
5. Is the length of AD the same as the length of DA? How about BF and
FB ? Explain your answer.
Were you able to determine the length of each segment? Were you
able to come up with relationships among the segments based on their
lengths? What do you think is the significance of this activity in relation to
your new lesson? Find this out as you go through this module.
The length of one side of each right triangle below is unknown. Determine the
length of this side. Explain how you obtained your answer.
1. 4.
2. 5.
3. 6.
In the activity, you have just done, were you able to determine the
length of the unknown side of each right triangle? I know you were able
to do it! The mathematics principles you applied in finding each unknown
side is related to your new lesson, the distance formula. Do you know
why? Find this out in the succeeding activities!
Activity 2:
6
?
4
8
12
?
? 24
18
3
?
4
9
15
?
5
13
?
All rights reserved. No part of this material may be reproduced or transmitted in any form or by any means -
electronic or mechanical including photocopying – without written permission from the DepEd Central Office. First Edition, 2015.
D
EPED
C
O
PY
231
Use the situation below to answer the questions that follow.
Jose lives 5 km away from the plaza. Every Saturday, he meets Emilio
and Diego for a morning exercise. In going to the plaza, Emilio has to travel
6 km to the west while Diego has to travel 8 km to the south. The location of
their houses and the plaza are illustrated on the coordinate plane as shown
below.
1. How far is Emilio’s house from Diego’s house? Explain your answer.
2. Suppose the City Hall is 4 km north of Jose’s house. How far is it from
the plaza? from Emilio’s house? Explain your answer.
3. How far is the gasoline station from Jose’s house if it is km south of
Emilio’s house? Explain your answer.
4. What are the coordinates of the points corresponding to the houses of
Jose, Emilio, and Diego? How about the coordinates of the point
corresponding to the plaza?
Activity 3:
Emilio’s
house
Diego’s
house
Plaza
y
x
City Hall
Gasoline
Station
Jose’s
house
All rights reserved. No part of this material may be reproduced or transmitted in any form or by any means -
electronic or mechanical including photocopying – without written permission from the DepEd Central Office. First Edition, 2015.
D
EPED
C
O
PY
232
5. If the City Hall is km north of Jose’s house, what are the coordinates
of the point corresponding to it? How about the coordinates of the point
corresponding to the gasoline station if it is km south of Emilio’s
house?
6. How are you going to use the coordinates of the points in determining
the distance between Emilio’s house and the City Hall? Jose’s house
and the gasoline station? The distances of the houses of Jose, Emilio,
and Diego from each other? Explain your answer.
Did you learn something new about finding the distance between
two objects? How is it different from or similar with the methods you have
learned before? Learn about the distance formula and its derivation by
doing the next activity.
Perform the following activity. Answer every question that follows.
1. Plot the points A(2,1) and B(8,9) on the coordinate plane below.
2. Draw a horizontal line passing through A and a vertical line containing
B.
3. Mark and label the point of intersection of the two lines as C.
What are the coordinates of C? Explain how you obtained your
answer.
What is the distance between A and C?
How about the distance between B and C?
Activity 4:
x
y
All rights reserved. No part of this material may be reproduced or transmitted in any form or by any means -
electronic or mechanical including photocopying – without written permission from the DepEd Central Office. First Edition, 2015.
D
EPED
C
O
PY
233
4. Connect A and B by a line segment.
What kind of triangle is formed by A, B, and C? Explain your answer.
How will you find the distance between A and B?
What is AB equal to?
5. Replace the coordinates of A by (x1, y1) and B by (x2, y2).
What would be the resulting coordinates of C?
What expression represents the distance between A and C?
How about the expression that represents the distance between B and
C?
What equation will you use to find the distance between A and B?
Explain your answer.
How did you find the preceding activities? Are you ready to learn
about the distance formula and its real-life applications? I am sure you
are! From the activities done, you were able to find the distance between
two points or places using the methods previously learned. You were
able to derive also the distance formula. But how does the distance
formula facilitate solving real-life problems and making wise decisions?
You will find these out in the activities in the next section. Before doing
these activities, read and understand first some important notes on the
distance formula including the midpoint formula and the coordinate proof.
Understand very well the examples presented so that you will be guided
in doing the succeeding activities.
All rights reserved. No part of this material may be reproduced or transmitted in any form or by any means -
electronic or mechanical including photocopying – without written permission from the DepEd Central Office. First Edition, 2015.
D
EPED
C
O
PY
234
Distance between Two Points
The distance between two points is always nonnegative. It is positive
when the two points are different, and zero if the points are the same. If P and
Q are two points, then the distance from P to Q is the same as the distance
from Q to P. That is, PQ = QP.
Consider two points that are aligned horizontally or vertically on the
coordinate plane. The horizontal distance between these points is the
absolute value of the difference of their x-coordinates. Likewise, the vertical
distance between these points is the absolute value of the difference of their
y-coordinates.
Example 1: Find the distance between P(3, 2) and Q(10, 2).
Solution:
Since P and Q are aligned horizontally, then 310 PQ
or 7PQ .
Example 2: Determine the distance between A(4, 3) and B(4, –5).
Solution:
y
x
QP
y
x
Points A and B are on the same vertical line. So the
distance between them is  53 AB . This can be
simplified to 53 AB or 8AB .
All rights reserved. No part of this material may be reproduced or transmitted in any form or by any means -
electronic or mechanical including photocopying – without written permission from the DepEd Central Office. First Edition, 2015.
D
EPED
C
O
PY
235
The Distance Formula
The distance between two points, whether or not they are aligned
horizontally or vertically, can be determined using the distance formula.
Consider the points P and Q whose coordinates are (x1, y1) and
(x2, y2), respectively. The distance d between these points can be determined
using the distance formula    
2 2
2 1 2 1
d x x y y    or
   
2 2
2 1 2 1
PQ x x y y    .
Example 1: Find the distance between P(1, 3) and Q(7, 11).
Solution: To find the distance between P and Q, the following
procedures can be followed.
1. Let  1 1,x y = (1, 3) and  2 2,x y = (7, 11).
2. Substitute the corresponding values of
1 1 2 2
, , , andx y x y in the distance formula
   
2 2
2 1 2 1
PQ x x y y    .
y
x
P(x1, y1)
Q(x2, y2)
PQ
All rights reserved. No part of this material may be reproduced or transmitted in any form or by any means -
electronic or mechanical including photocopying – without written permission from the DepEd Central Office. First Edition, 2015.
D
EPED
C
O
PY
236
3. Solve the resulting equation.
   22
31117 PQ
   22
86 
6436 
100
10PQ
The distance between P and Q is 10 units.
Example 2: Determine the distance between A(1, 6) and B(5, –2).
Solution: Let 11 x , 61 y , 52 x , and 2y 2.  Then substitute
these values in the formula    2
12
2
12 yyxxAB  .
   22
6215 AB
Simplify.
   22
6215 AB
   22
84 
6416 
80
516
54AB or 948.AB 
The distance between A and B is 54 units or
approximately 8.94 units.
The distance formula has many applications in real life. In particular, it
can be used to find the distance between two objects or places.
Example 3: A map showing the locations of different municipalities
and cities is drawn on a coordinate plane. Each unit on
the coordinate plane is equivalent to 6 kilometers.
Suppose the coordinates of Mabini City is (2, 2) and Sta.
Lucia town is (6, 8). What is the shortest distance
between these two places?
All rights reserved. No part of this material may be reproduced or transmitted in any form or by any means -
electronic or mechanical including photocopying – without written permission from the DepEd Central Office. First Edition, 2015.
D
EPED
C
O
PY
237
Solution: Let 1
2x  , 1
2y  , 2
6x  , and 2
8.y Then substitute these
values into the distance formula    
2 2
2 1 2 1
d x x y y    .
   
2 2
6 2 8 2d    
Simplify the expression.
   
2 2
6 2 8 2d    
   
2 2
4 6 
16 36 
52
2 13d  units or 7.21d  units
Since 1 unit on the coordinate plane is equivalent to 6 units,
multiply the obtained value of d by 6 to get the distance between
Sta. Lucia town and Mabini City.
  7.21 6 43.26
The distance between Sta. Lucia town and Mabini City is
approximately 43.26 km.
All rights reserved. No part of this material may be reproduced or transmitted in any form or by any means -
electronic or mechanical including photocopying – without written permission from the DepEd Central Office. First Edition, 2015.
D
EPED
C
O
PY
238
The Midpoint Formula
If  1 1
,L x y and  2 2
,N x y are the endpoints of a segment and M is the
midpoint, then the coordinates of M = 1 2 1 2
,
2 2
x x y y  
 
 
. This is also referred
to as the Midpoint Formula.
Example: The coordinates of the endpoints of LG are  23  , and
(8, 9), respectively. What are the coordinates of its
midpoint M?
Solution: Let 31 x , 21 y , 82 x , and 92 y . Substitute
these values into the formula 1 2 1 2
,
2 2
x x y y
M
  
  
 
.
3 8 2 9
,
2 2
M
    
  
 
or
5 7
,
2 2
M
 
  
 
The coordinates of the midpoint of LG are
5 7
,
2 2
 
 
 
.
x
y
 1 1
,L x y
 2 2
,N x y
1 2 1 2
,
2 2
x x y y
M
  
 
 
All rights reserved. No part of this material may be reproduced or transmitted in any form or by any means -
electronic or mechanical including photocopying – without written permission from the DepEd Central Office. First Edition, 2015.
D
EPED
C
O
PY
239
Using the Distance Formula in Proving Geometric Properties
Many geometric properties can be proven by using a coordinate plane.
A proof that uses figures on a coordinate plane to prove geometric properties
is called a coordinate proof.
To prove geometric properties using the methods of coordinate
geometry, consider the following guidelines for placing figures on a coordinate
plane.
1. Use the origin as vertex or center of a figure.
2. Place at least one side of a polygon on an axis.
3. If possible, keep the figure within the first quadrant.
4. Use coordinates that make computations simple and easy.
Sometimes, using coordinates that are multiples of two would make
the computation easier.
In some coordinate proofs, the Distance Formula is applied.
Example: Prove that the diagonals of a rectangle are
congruent using the methods of coordinate geometry.
Solution:
Given: ABCD with diagonals AC and BD
Prove: BDAC 
To prove:
1. Place ABCD on a coordinate plane.
D C
BA
D
CB
A
All rights reserved. No part of this material may be reproduced or transmitted in any form or by any means -
electronic or mechanical including photocopying – without written permission from the DepEd Central Office. First Edition, 2015.
D
EPED
C
O
PY
240
2. Label the coordinates as shown below.
a. Find the distance between A and C.
Given: A(0,0) and C(a, b)
   
2 2
0 0AC a b   
2 2
AC a b 
b. Find the distance between B and D.
Given: B(0, b) and D(a, 0)
Since 2 2
AC a b  and 2 2
BD a b  , then
BDAC  by substitution.
Therefore, BDAC  . The diagonals of a rectangle are
congruent.
D(a, 0)
C(a, b)B(0, b)
A(0, 0)
      
2 2
0 0BD a b
 2 2
BD a b
All rights reserved. No part of this material may be reproduced or transmitted in any form or by any means -
electronic or mechanical including photocopying – without written permission from the DepEd Central Office. First Edition, 2015.
D
EPED
C
O
PY
241
Learn more about the
Distance Formula, the
Midpoint Formula, and the
Coordinate Proof through
the WEB. You may open the
following links.
http://www.regentsprep.org/Regents/math/
geometry/GCG2/indexGCG2.htm
http://www.cliffsnotes.com/math/geometry/
coordinate-geometry/midpoint-formula
http://www.regentsprep.org/Regents/math/
geometry/GCG3/indexGCG3.htm
http://www.cliffsnotes.com/math/geometry/
coordinate-geometry/distance-formula
http://www.regentsprep.org/Regents/math/
geometry/GCG4/indexGCG4.htm
Your goal in this section is to apply the key concepts of the distance
formula including the midpoint formula and the coordinate proof. Use the
mathematical ideas and the examples presented in the preceding section
to perform the given activities.
Find the distance between each pair of points on the coordinate plane.
Answer the questions that follow.
1. M(2, –3) and N(10, –3) 6. C(–3, 2) and D(9, 7)
2. P(3, –7) and Q(3, 8) 7. S(–4, –2) and T(1, 7)
3. C(–4, 3) and D(7, 6) 8. K(3, –3) and L(–3, 7)
4. A(2, 3) and B(14, 8) 9. E(7, 1) and F(–6, 5)
5. X(–3, 9) and Y(2, 5) 10. R(4, 7) and S(–6, –1)
Questions:
a. How do you find the distance between points that are aligned
horizontally? vertically?
b. If two points are not aligned horizontally or vertically, how would
you determine the distance between them?
Activity 5:
All rights reserved. No part of this material may be reproduced or transmitted in any form or by any means -
electronic or mechanical including photocopying – without written permission from the DepEd Central Office. First Edition, 2015.
D
EPED
C
O
PY
242
Were you able to use the distance formula in finding the distance
between each pair of points on the coordinate plane? In the next activity,
you will be using the midpoint formula in determining the coordinates of
the midpoint of the segment whose endpoints are given.
Find the coordinates of the midpoint of the segment whose endpoints are
given below. Explain how you arrived at your answers.
1. A(6, 8) and B(12,10) 6. M(–9, 15) and N(–7, 3)
2. C(5, 11) and D(9, 5) 7. Q(0, 8) and R(–10, 0)
3. K(–3, 2) and L(11, 6) 8. D(12, 5) and E(3, 10)
4. R(–2, 8) and S(10, –6) 9. X(–7, 11) and Y(–9, 3)
5. P(–5, –1) and Q(8, 6) 10. P(–3, 10) and T(–7, –2)
Was it easy for you to determine the coordinates of the midpoint of
each segment? I am sure it was. You need this skill in proving geometric
relationships using coordinate proof, and in solving real-life problems
involving the use of the midpoint formula.
Plot each set of points on the coordinate plane. Then connect the consecutive
points by a line segment to form the figure. Answer the questions that follow.
1. A(6, 11), B(1, 2), C(11, 2) 6. L(–4, 4), O(3, 9), V(8, 2), E(1, –3)
2. G(5, 14), O(–3, 8), T(17, –2) 7. S(–1, 5), O(9, –1), N(6, –6),
G(–4, 0)
3. F(–2, 6), U(–2, –3), N(7, 6) 8. W(–2, 6), I(9, 6), N(11, –2),
D(–4, –2)
4. L(–2, 8), I(5, 8), K(5, 1), E(–2, 1) 9. B(1, 6), E(13, 7), A(7, –2),
T(–5, –3)
5. D(–4, 6), A(8, 6), T(8, –2), 10. C(4, 12), A(9, 9), R(7, 4), E(1, 4),
E(–4, –2) S(–1, –9)
Activity 7:
Activity 6:
All rights reserved. No part of this material may be reproduced or transmitted in any form or by any means -
electronic or mechanical including photocopying – without written permission from the DepEd Central Office. First Edition, 2015.
D
EPED
C
O
PY
243
Questions:
a. How do you describe each figure formed? Which figure is a triangle?
quadrilateral? pentagon?
b. Which among the triangles formed is isosceles? right?
c. How do you know that the triangle is isosceles? right?
d. Which among the quadrilaterals formed is a square? rectangle?
parallelogram? trapezoid?
e. How do you know that the quadrilateral formed is a square? rectangle?
parallelogram? trapezoid?
Did you find the activity interesting? Were you able to identify and
describe each figure? In the next activity, you will be using the different
properties of geometric figures in determining the missing coordinates.
Name the missing coordinates in terms of the given variables. Answer the
questions that follow.
1. COME is a parallelogram. . ∆RST is a right triangle with right
RTS . V is the midpoint of RS .
Activity 8:
y
x
E(0, 0)
C(b, c)
M(a, 0)
O(?, ?)
y
x
T(0, 0)
R(0, 2b)
S(2a, 0)
V(?, ?)
All rights reserved. No part of this material may be reproduced or transmitted in any form or by any means -
electronic or mechanical including photocopying – without written permission from the DepEd Central Office. First Edition, 2015.
D
EPED
C
O
PY
244
3. ∆MTC is an isosceles triangle 4. WISE is an isosceles trapezoid.
and V is the midpoint of .CT
5. ABCDEF is a regular hexagon. 6. TOPS is a square.
Questions:
a. How did you determine the missing coordinates in each figure?
b. Which guided you in determining the missing coordinates in each
figure?
c. In which figure are the missing coordinates difficult to determine?
Why?
d. Compare your answers with those of your classmates. Do you have
the same answers? Explain.
x
y
O(0, d)
P(?, ?)
S(?, ?)
T(–a, b)
x
y
F(a, 0)
E(?, ?)
D(?, ?)C(–a, d)
B(–b, c)
A(?, ?)
y
x
E(-a, 0)
W(?, ?)
S(a, 0)
I(b, c)
y
x
C(0, 0)
M(?, b)
T(6a, 0)V(?, ?)
All rights reserved. No part of this material may be reproduced or transmitted in any form or by any means -
electronic or mechanical including photocopying – without written permission from the DepEd Central Office. First Edition, 2015.
D
EPED
C
O
PY
245
How was the activity you have just done? Was it easy for you to
determine the missing coordinates? It was easy for sure!
In this section, the discussion was about the distance formula, the
midpoint formula, and the use of coordinate proof.
Now that you know the important ideas about this topic, you can
now move on to the next section and deepen your understanding of
these concepts.
Your goal in this section is to think deeper and test further your
understanding of the distance formula and the midpoint formula. You will
also write proofs using coordinate geometry. After doing the following
activities, you should be able to answer this important question: How
does the distance formula facilitate finding solutions to real-life problems
and making wise decisions.
Answer the following.
1. The coordinates of the endpoints of ST are (-2, 3) and (3, y), respectively.
Suppose the distance between S and T is 13 units. What value/s of y
would satisfy the given condition? Justify your answer.
2. The length of 15MN units. Suppose the coordinates of M are (9, –7) and
the coordinates of N are (x, 2).
a. What is the value of x if N lies on the first quadrant? second quadrant?
Explain your answer.
b. What are the coordinates of the midpoint of MN if N lies in the second
quadrant? Explain your answer.
3. The midpoint of CS has coordinates (2, –1). If the coordinates of C are
(11, 2), what are the coordinates of S? Explain your answer.
Activity 9:
All rights reserved. No part of this material may be reproduced or transmitted in any form or by any means -
electronic or mechanical including photocopying – without written permission from the DepEd Central Office. First Edition, 2015.
D
EPED
C
O
PY
246
4. A tracking device attached to a kidnap victim prior to his abduction
indicates that he is located at a point whose coordinates are (8, 10). In the
tracking device, each unit on the grid is equivalent to 10 kilometers. How
far is the tracker from the kidnap victim if he is located at a point whose
coordinates are (1, 3)?
5. The diagram below shows the coordinates of the location of the houses of
Luisa and Grace.
Luisa says that the distance of her house from Grace’s house can
be determined by evaluating the expression     22
41711  . Grace
does not agree with Luisa. She says that the expression
   22
14117  gives the distance between their houses. Who do
you think is correct? Justify your answer.
6. A study shed will be constructed midway between two school buildings.
On a school map drawn on a coordinate plane, the coordinates of the first
building are (10, 30) and the coordinates of the second building are
(170, 110).
a. Why do you think the study shed will be constructed midway between
the two school buildings?
b. What are the coordinates of the point where the study shed will be
constructed?
c. If each unit on the coordinate plane is equivalent to 2 m, what is the
distance between the two buildings?
How far would the study shed be from the first building? second
building? Explain your answer.
Luisa
Grace
(-7, 4)
(11, 1)
y
x
All rights reserved. No part of this material may be reproduced or transmitted in any form or by any means -
electronic or mechanical including photocopying – without written permission from the DepEd Central Office. First Edition, 2015.
D
EPED
C
O
PY
247
x
y
C(a, 0)A(–a, 0)
B(0, a)
7. A Global Positioning System (GPS) device shows that car A travelling at
a speed of 60 kph is located at a point whose coordinates are (100, 90).
Behind car A is car B, travelling in the same direction at a speed of
80 kph, that is located at a point whose coordinates are (20, 30).
a. What is the distance between the two cars?
b. After how many hours will the two cars be at the same point?
8. Carmela claims that the triangle on the coordinate plane
shown on the right is an equilateral triangle. Do you
agree with Carmela? Justify your answer.
9.  d,aF ,  d,cA ,  b,cS , and  b,aT are distinct points on the coordinate
plane.
a. Is ATFS  ? Justify your answer.
b. What figure will be formed when you connect consecutive points by a
line segment? Describe the figure.
y
x
Car B
Car A
All rights reserved. No part of this material may be reproduced or transmitted in any form or by any means -
electronic or mechanical including photocopying – without written permission from the DepEd Central Office. First Edition, 2015.
D
EPED
C
O
PY
248
E M
P
R
H
Q
O
S
How was the activity you have just performed? Did you gain better
understanding of the lesson? Were you able to use the mathematics
concepts learned in solving problems? Were you able to realize the
importance of the lesson in the real world? I am sure you were! In the
next activity you will be using the distance formula and the coordinate
proof in proving geometric relationships.
Write a coordinate proof to prove each of the following.
1. The diagonals of an isosceles trapezoid are congruent.
Given: Trapezoid PQRS with QRPS 
Prove: QSPR 
2. The median to the hypotenuse of a right triangle is half the hypotenuse.
Given: ∆LGC is a right triangle with rt. LCG
and M is the midpoint of LG .
Prove: LGMC
2
1

3. The segments joining the midpoints of consecutive sides of an isosceles
trapezoid form a rhombus.
Given: Isosceles trapezoid HOME
with OMHE 
P, Q, R, and S are the
midpoints of the sides
of the trapezoid.
Prove: Quadrilateral PQRS is a rhombus.
Activity 10:
S
P
R
Q
C
L
G
M
All rights reserved. No part of this material may be reproduced or transmitted in any form or by any means -
electronic or mechanical including photocopying – without written permission from the DepEd Central Office. First Edition, 2015.
D
EPED
C
O
PY
249
C
A
T
B
S
D
A B
C
C
L
ME
G
4. The medians to the legs of an isosceles triangle are congruent.
Given: Isosceles triangle ABC with .AB AC
BT and CS are the medians.
Prove: CSBT 
5. If the diagonals of a parallelogram are congruent, then it is a rectangle.
Given: Parallelogram ABCD
BDAC 
Prove: Parallelogram ABCD is
a rectangle.
6. If a line segment joins the midpoints of two sides of a triangle, then its
length is equal to one-half the length of the third side.
Given: Triangle LME
C and G are midpoints of
LM and EM , respectively.
Prove: LECG
2
1

In this section, the discussion was about the applications of the
distance formula, the midpoint formula, and the use of coordinate proofs.
What new realizations do you have about the distance formula, the
midpoint formula, and the coordinate proof? In what situations can you
use the formulas discussed in this section?
Now that you have a deeper understanding of the topic, you are
ready to do the tasks in the next section.
All rights reserved. No part of this material may be reproduced or transmitted in any form or by any means -
electronic or mechanical including photocopying – without written permission from the DepEd Central Office. First Edition, 2015.
D
EPED
C
O
PY
250
Your goal in this section is to apply your learning to real-life
situations. You will be given a practical task which will demonstrate your
understanding of the distance formula, the midpoint formula, and the use
of coordinate proofs.
Perform the following activities. Use the rubric provided to rate your work.
1. Have a copy of the map of your municipality, city, or province then
make a sketch of it on a coordinate plane. Indicate on the sketch some
important landmarks, then determine their coordinates. Explain why
the landmarks you have indicated are significant in your community.
Write also a paragraph explaining how you selected the coordinates of
these important landmarks.
2. Using the coordinates assigned to the different landmarks in item #1,
formulate then solve problems involving the distance formula, midpoint
formula, and the coordinate proof.
Rubric for the Sketch of a Map
Score Descriptors
4
The sketch of the map is accurately made, presentable, and
appropriate.
3
The sketch of the map is accurately made and appropriate but
not presentable.
2 The sketch of the map is not accurately made but appropriate.
1
The sketch of the map is not accurately made and not
appropriate.
Rubric for the Explanation of the Significance of the Landmarks
Score Descriptors
4
The explanations are clear and coherent and the significance of
all the landmarks are justified.
3
The explanations are clear and coherent but the significance of
the landmarks are not well justified.
2
The explanations are not so clear and coherent and the
significance of the landmarks are not well justified.
1
The explanations are not clear and coherent and the significance
of the landmarks are not justified.
Activity 11:
All rights reserved. No part of this material may be reproduced or transmitted in any form or by any means -
electronic or mechanical including photocopying – without written permission from the DepEd Central Office. First Edition, 2015.
D
EPED
C
O
PY
251
Rubric on Problems Formulated and Solved
Score Descriptors
6
Poses a more complex problem with 2 or more correct possible
solutions and communicates ideas unmistakably, shows in-depth
comprehension of the pertinent concepts and/or processes, and
provides explanations wherever appropriate
5
Poses a more complex problem and finishes all significant parts
of the solution and communicates ideas unmistakably, shows in-
depth comprehension of the pertinent concepts and/or
processes
4
Poses a complex problem and finishes all significant parts of the
solution and communicates ideas unmistakably, shows in-depth
comprehension of the pertinent concepts and/or processes
3
Poses a complex problem and finishes most significant parts of
the solution and communicates ideas unmistakably, shows
comprehension of major concepts although neglects or
misinterprets less significant ideas or details
2
Poses a problem and finishes some significant parts of the
solution and communicates ideas unmistakably but shows gaps
on theoretical comprehension
1
Poses a problem but demonstrates minor comprehension, not
being able to develop an approach.
Source: D.O. #73, s. 2012
In this section, your task was to make a sketch of a map on a
coordinate plane and determine the coordinates of some important
landmarks. Then using the coordinates assigned to the different landmarks,
you were asked to formulate, then, solve problems involving the distance
formula and the midpoint formula.
How did you find the performance task? How did the task help you
realize the importance of the topic in real life?
SUMMARY/SYNTHESIS/GENERALIZATION
This lesson was about the distance formula, the midpoint formula, and
coordinate proofs and their applications in real life. The lesson provided you
with opportunities to find the distance between two points or places, prove
geometric relationships using the distance formula, and formulate and solve
real-life problems. Your understanding of this lesson and other previously learned
mathematics concepts and principles will facilitate your learning of the next lesson,
Equation of a Circle.
All rights reserved. No part of this material may be reproduced or transmitted in any form or by any means -
electronic or mechanical including photocopying – without written permission from the DepEd Central Office. First Edition, 2015.
D
EPED
C
O
PY
252
Start Lesson 2 of this module by relating and connecting previously
learned mathematical concepts to the new lesson, the equation of a
circle. As you go through this lesson, think of this important question:
“How does the equation of a circle facilitate finding solutions to real-life
problems and making wise decisions?” To find the answer, perform each
activity. If you find any difficulty in answering the exercises, seek the
assistance of your teacher or peers or refer to the modules you have
studied earlier. You may check your work with your teacher.
Determine the number that must be added to make each of the following a
perfect square trinomial. Then, express each as a square of a binomial.
Answer the questions that follow.
1.  2
4x x _________ 6.  2
9w w _________
2.  2
10t t _________ 7.  2
11x x _________
3.  2
14r r _________ 8.  2
25v v _________
4.  2
22r r _________ 9.  2 1
3
s s _________
5.  2
36x x _________ 10.  2 3
4
t t _________
Questions:
a. How did you determine the number that must be added to each
expression to produce a perfect square trinomial?
b. How did you express each resulting perfect square trinomial as a
square of a binomial?
c. Suppose you are given a square of a binomial. How will you
express it as a perfect square trinomial? Give 3 examples.
Activity 1:
All rights reserved. No part of this material may be reproduced or transmitted in any form or by any means -
electronic or mechanical including photocopying – without written permission from the DepEd Central Office. First Edition, 2015.
D
EPED
C
O
PY
253
Was it easy for you to determine the number that must be added to
the given terms to make each a perfect square trinomial? Were you able
to express a perfect square trinomial as a square of a binomial and vice-
versa? Completing the square is a prerequisite to your lesson, Equation
of a Circle. Do you know why? Find this out as you go through the
lesson.
Use the situation below to answer the questions that follow.
An air traffic controller (the person who tells the pilot where a plane
needs to go using coordinates on the grid) reported that the airport is
experiencing air traffic due to the big number of flights that are scheduled to
arrive. He advised the pilot of one of the airplanes to move around the airport
for the meantime to give way to the other planes to land first. The air traffic
controller further told the pilot to maintain its present altitude or height from
the ground and its horizontal distance from the origin, point P(0, 0).
Airplane
Air Traffic Controller
Activity 2:
All rights reserved. No part of this material may be reproduced or transmitted in any form or by any means -
electronic or mechanical including photocopying – without written permission from the DepEd Central Office. First Edition, 2015.
D
EPED
C
O
PY
254
1. Suppose the plane is located at a point whose coordinates are (30, 40)
and each unit on the air traffic controller’s grid is equivalent to 1 km.
How far is the plane from the air traffic controller? Explain your answer.
2. What would be the y-coordinate of the position of the plane at a
particular instance if its x-coordinate is 5? 10? 15? -20? -30? Explain
your answer.
3. Suppose that the pilot strictly follows the advice of the air traffic
controller. Is it possible for the plane to be at a point whose x-
coordinate is 60? Why?
4. How would you describe the path of the plane as it goes around the
airport? What equation do you think would define this path?
Were you able to describe the path of the plane and its location as it
goes around the air traffic controller’s position? Were you able to
determine the equation defining the path? How is the given situation
related to the new lesson? You will find this out as you go through this
lesson.
Perform the following activities. Answer the questions that follow.
A. On the coordinate plane below, use a compass to draw a circle with center
at the origin and which passes through A(8, 0).
y
x
Activity 3:
All rights reserved. No part of this material may be reproduced or transmitted in any form or by any means -
electronic or mechanical including photocopying – without written permission from the DepEd Central Office. First Edition, 2015.
D
EPED
C
O
PY
255
1. How far is point A from the center of the circle? Explain how you
arrived at your answer.
2. Does the circle pass through (0, 8)? How about through (–8, 0)?
(0, –8)? Explain your answer.
3. Suppose another point M(–4, 6) is on the coordinate plane. Is M a
point on the circle? Why?
How about N(9, –2)? Explain your answer.
4. What is the radius of the circle? Explain how you arrived at your
answer.
5. If a point is on the circle, how is its distance from the center related to
the radius of the circle?
6. How will you find the radius of the circle whose center is at the origin?
B. On the coordinate plane below, use a compass to draw a circle with center
at (3, 1) and which passes through C(9, –4).
1. How far is point C from the center of the circle? Explain how you
arrived at your answer.
2. Does the circle pass through (–2, 7)? How about through (8, 7)?
(–3, –4)? Explain your answer.
3. Suppose another point M(–7, 6) is on the coordinate plane. Is M a
point on the circle? Why?
4. What is the radius of the circle? Explain how you arrived at your
answer.
5. How will you find the radius of the circle whose center is not at the
origin?
x
y
All rights reserved. No part of this material may be reproduced or transmitted in any form or by any means -
electronic or mechanical including photocopying – without written permission from the DepEd Central Office. First Edition, 2015.
D
EPED
C
O
PY
256
Were you able to determine if a circle passes through a given
point? Were you able to find the radius of a circle given the center? What
equation do you think would relate the radius and the center of a circle?
Find this out as you go through the lesson.
How did you find the preceding activities? Are you ready to learn
about the equation of a circle? I am sure you are!
From the activities you have done, you were able to find the square
of a binomial, a mathematics skill that is needed in understanding the
equation of a circle. You were also able to find out how circles are
illustrated in real life. You were also given the opportunity to find the
radius of a circle and determine if a point is on the circle or not. But how
does the equation of a circle help in solving real-life problems and in
making wise decisions? You will find these out in the succeeding activities.
Before doing these activities, read and understand first some important
notes on the equation of a circle and the examples presented.
The Standard Form of the Equation of a Circle
The standard equation of a circle with center at (h, k) and a radius of r
units is    
2 2 2
x h y k r    . The values of h and k indicate that the circle
is translated h units horizontally and k units vertically from the origin.
If the center of the circle is at the origin, the equation of the circle is
2 2 2
x y r  .
x
(h,k)
(0,0)
Circle with center at (h, k) Circle with center at the origin
   
2 2 2
x h y k r    2 2 2
x y r 
x
 y,xQ
 y,xP
r
r
yy
All rights reserved. No part of this material may be reproduced or transmitted in any form or by any means -
electronic or mechanical including photocopying – without written permission from the DepEd Central Office. First Edition, 2015.
D
EPED
C
O
PY
257
Example 1: The equation of a circle with center at (2, 7) and a radius
of 6 units is    
2 2 2
2 7 6x y    or
   
2 2
2 7 36x y    .
Example 2: The equation of a circle with center at (–5, 3) and a
radius of 12 units is    
2 2 2
5 3 12x y    or
   
2 2
5 3 144x y    .
Example 3: The equation of a circle with center at (–4, –9) and a
radius of 8 units is    
2 2 2
4 9 8x y    or
   
2 2
4 9 64x y    .
Example 4: The equation of a circle with center at the origin and a
radius of 4 units is 2 2 2
4x y  or 2 2
16x y  .
Example 5: The equation of a circle with center at the origin and a
radius of 15 units is 2 2 2
15x y  or 2 2
225x y  .
The General Equation of a Circle
The general equation of a circle is 2 2
0x y Dx Ey F     , where D,
E, and F are real numbers. This equation is obtained by expanding the
standard equation of a circle,    
2 2 2
x h y k r    .
   
2 2 2
x h y k r        2 2 2 2 2
2 2x hx h y ky k r     
2 2 2 2 2
2 2x hx h y ky k r     
2 2 2 2 2
2 2x y hx ky h k r     
2 2 2 2 2
2 2 0x y hx ky h k r      
If 2 ,D h  2 ,E k  and 2 2 2
,F h k r   the equation
2 2 2 2 2
2 2 0x y hx ky h k r       becomes
2 2
0.x y Dx Ey F    
All rights reserved. No part of this material may be reproduced or transmitted in any form or by any means -
electronic or mechanical including photocopying – without written permission from the DepEd Central Office. First Edition, 2015.
D
EPED
C
O
PY
258
Example: Write the general equation of a circle with center C(4, –1) and a
radius of 7 units. Then determine the values of D, E, and F.
The center of the circle is at (h, k), where h = 4 and k = –1.
Substitute these values in the standard form of the equation of a
acircle together with the length of the radius r which is equal to 7
units.
   
2 2 2
x h y k r        
2 2 2
4 1 7x y   
Simplify    
2 2 2
4 1 7x y    .
   
2 2 2
4 1 7x y        2 2
8 16 2 1 49x x y y     
2 2
8 16 2 1 49x x y y     
2 2
8 2 17 49x y x y    
2 2
8 2 17 49 0x y x y     
2 2
8 2 32 0x y x y    
Answer: 2 2
8 2 32 0x y x y     is the general equation
of the circle with center C(4, –1) and radius of 7
units. In the equation, D = –8, E = 2, and F = –32.
Finding the Center and the Radius of a Circle Given the Equation
The center and the radius of a circle can be found given the equation.
To do this, transform the given equation to its standard form
   
2 2 2
x h y k r    if the center of the circle is  k,h , or 2 2 2
x y r  if
the center of the circle is the origin. Once the center and the radius of the
circle are found, its graph can be shown on the coordinate plane.
Example 1: Find the center and the radius of the circle  2 2
64,x y
and then draw its graph.
All rights reserved. No part of this material may be reproduced or transmitted in any form or by any means -
electronic or mechanical including photocopying – without written permission from the DepEd Central Office. First Edition, 2015.
D
EPED
C
O
PY
259
Solution: The equation of the circle 2 2
64x y  has its center at
the origin. Hence, it can be transformed to the form.
2 2 2
x y r  .
2 2
64x y   2 2 2
8x y 
The center of the circle is (0, 0) and its radius is 8 units.
Its graph is shown below.
Example 2: Determine the center and the radius of the circle
      
2 2
2 4 25,x y and draw its graph.
Solution: The equation of the circle    
2 2
2 4 25x y    can be
written in the form    
2 2 2
x h y k r    .
   
2 2
2 4 25x y        
2 2 2
2 4 5x y   
The center of the circle is (2, 4) and its radius is 5 units.
Its graph is shown below.
x
y
r = 8
x
y
r = 5
All rights reserved. No part of this material may be reproduced or transmitted in any form or by any means -
electronic or mechanical including photocopying – without written permission from the DepEd Central Office. First Edition, 2015.
D
EPED
C
O
PY
260
Example 3: What is the center and the radius of the circle
2 2
6 10 18 0x y x y     ? Show the graph.
Solution: The equation of the circle 2 2
6 10 18 0x y x y     is
written in general form. To determine its center and
radius, write the equation in the form
   
2 2 2
x h y k r    .
2 2
6 10 18 0x y x y      2 2
6 10 18x x y y    
Add to both sides of the equation
2 2
6 10 18x x y y     the square of one-half the
coefficient of x and the square of one-half the coefficient
of y.
Simplify 2 2
6 9 10 25 18 9 25x x y y         .
2 2
6 9 10 25 16x x y y     
   2 2
6 9 10 25 16x x y y     
Rewriting, we obtain    
2 2
3 5 16x y    or
   
2 2 2
3 5 4x y   
The center of the circle is at (3, 5) and its radius is 4
units.
 1
6 3
2
   ;  
2
3 9    510
2
1
 ;  
2
5 25 
x
y
r = 4
All rights reserved. No part of this material may be reproduced or transmitted in any form or by any means -
electronic or mechanical including photocopying – without written permission from the DepEd Central Office. First Edition, 2015.
D
EPED
C
O
PY
261
Example 4: What is the center and the radius of the circle
4x2
+ 4y2
+ 12x – 4y – 90 = 0? Show the graph.
Solution: 4x2
+ 4y2
+ 12x – 4y – 90 = 0 is an equation of a circle
that is written in general form. To determine its center
and radius, write the equation in the form
   
2 2 2
x h y k r    .
2 2
4 4 12 4 90 0x y x y     or 2 2
4 4 12 4 90x y x y   
Divide both sides of the equation by 4.
2 2
4 4 12 4 90x y x y    
2 2
4 4 12 4 90
4 4
x y x y  

 2 2 90
3
4
x y x y   
Add on both sides of the equation 2 2 90
3
4
x y x y   
the square of one-half the coefficient of x and the square
of one-half the coefficient of y.
Simplify 2 29 1 90 9 1
3
4 4 4 4 4
x x y y        .
100
4

2 29 1
3 25
4 4
x x y y     
Rewriting, we have
2 2
3 1
25
2 2
x y
   
      
   
.
 1 3
3
2 2
 ;
2
3 9
2 4
 
 
 
 1 1
1
2 2
   ;
2
1 1
2 4
 
  
 
All rights reserved. No part of this material may be reproduced or transmitted in any form or by any means -
electronic or mechanical including photocopying – without written permission from the DepEd Central Office. First Edition, 2015.
D
EPED
C
O
PY
262
Write the equation
2 2
3 1
25
2 2
x y
   
      
   
in the form
   
2 2 2
,x h y k r    that is
2 2
23 1
5
2 2
x y
   
      
   
The center of the circle is at
3 1
,
2 2
 
 
 
and its radius is
5 units.
Learn more about the
Equation of a Circle through
the WEB. You may open the
following links.
http://www.mathopenref.com/coordbasiccircle.html
http://www.mathopenref.com/coordgeneralcircle.html
https://www.khanacademy.org/math/geometry/cc-
geometry-circles/equation-of-a-circle/v/equation-for-
a-circle-using-the-pythagorean-theorem
http://www.math-worksheet.org/using-equations-of-
circles
x
y
r = 5
All rights reserved. No part of this material may be reproduced or transmitted in any form or by any means -
electronic or mechanical including photocopying – without written permission from the DepEd Central Office. First Edition, 2015.
D
EPED
C
O
PY
263
Your goal in this section is to apply the key concepts of the equation
of a circle. Use the mathematical ideas and the examples presented in
the preceding section to perform the activities that follow.
Determine the center and the radius of the circle that is defined by each of the
following equations. Then graph each circle on a coordinate plane (or use
GeoGebra to graph each). Answer the questions that follow.
1.  2 2
49x y 2.       
2 2
5 6 81x y
Activity 4:
x
y
x
y
All rights reserved. No part of this material may be reproduced or transmitted in any form or by any means -
electronic or mechanical including photocopying – without written permission from the DepEd Central Office. First Edition, 2015.
D
EPED
C
O
PY
264
3.  2 2
100x y 4.       
2 2
7 1 49x y
5. 2 2
8 6 39 0x y x y     6.     2 2
10 16 32 0x y x y

Questions:
a. How did you determine the center of each circle? How about the
radius?
b. How do you graph circles that are defined by equations of the form
2 2 2
x y r  ?    
2 2 2
x h y k r    ?
2 2
0x y Dx Ey F     ?
y
x
y
x
x
x
y
y
All rights reserved. No part of this material may be reproduced or transmitted in any form or by any means -
electronic or mechanical including photocopying – without written permission from the DepEd Central Office. First Edition, 2015.
D
EPED
C
O
PY
265
How was the activity? Did it challenge you? Were you able to
determine the center and the radius of the circle? I am sure you were! In
the next activity, you will write the equation of the circle as described.
Write the equation of each of the following circles given the center and the
radius. Answer the questions that follow.
Center Radius
1. origin 12 units
2. (2, 6) 9 units
3. (–7, 2) 15 units
4. (–4, –5) 5 2 units
5. (10, –8) 3 3 units
Questions:
a. How do you write the equation of a circle, given its radius, if the
center is at the origin?
b. How about if the center is not at (0, 0)?
c. Suppose two circles have the same center. Should the equations
defining these circles be the same? Why?
Were you able to write the equation of the circle given its radius and
its center? I know you were! In the next activity, you will write the
equation of a circle from standard to general form.
Write each equation of a circle in general form. Show your solutions
completely.
1.    
2 2
2 4 36x y    6.  
2 2
7 64x y  
2.    
2 2
4 9 144x y    7.  
22
2 49x y  
3.    
2 2
6 1 81x y    8.  
2 2
2 100x y  
4.    
2 2
8 7 225x y    9.    
2 2
5 5 27x y   
5.  
22
5 36x y   10.    
2 2
4 4 32x y   
Activity 6:
Activity 5:
All rights reserved. No part of this material may be reproduced or transmitted in any form or by any means -
electronic or mechanical including photocopying – without written permission from the DepEd Central Office. First Edition, 2015.
D
EPED
C
O
PY
266
How did you find the activity? Were you able to write all the
equations in their general form? Did the mathematics concepts and
principles that you previously learned help you in transforming the
equations? In the next activity, you will do the reverse. This time, you will
transform the equation of a circle from general to standard form, then
determine the radius and the center of the circle.
In numbers 1 to 6, a general equation of a circle is given. Transform the
equation to standard form, then give the coordinates of the center and the
radius. Answer the questions that follow.
1.     2 2
2 8 47 0x y x y 4. 2 2
8 84 0x y y   
2.     2 2
4 4 28 0x y x y 5.     2 2
9 9 12 6 31 0x y x y
3.     2 2
10 4 3 0x y x y 6.     2 2
4 4 20 12 2 0x y x y
Questions:
a. How did you write each general equation of a circle to standard
form?
b. What mathematics concepts or principles did you apply in
transforming each equation to standard form?
c. Is there a shorter way of transforming each equation to standard
form? Describe this way, if there is any.
Were you able to write each equation of a circle from general form
to standard form? Were you able find a shorter way of transforming each
equation to standard form?
In this section, the discussion was about the equation of a circle, its
radius and center, and the process of transforming the equation from one
form to another.
Go back to the previous section and compare your initial ideas with
the discussion. How much of your initial ideas are found in the discussion?
Which ideas are different and need modification?
Now that you know the important ideas about this topic, let us
deepen your understanding by moving on to the next section.
Activity 7:
All rights reserved. No part of this material may be reproduced or transmitted in any form or by any means -
electronic or mechanical including photocopying – without written permission from the DepEd Central Office. First Edition, 2015.
D
EPED
C
O
PY
267
Your goal in this section is to test further your understanding of the
equation of a circle by solving more challenging problems involving this
concept. After doing the following activities, you should be able to find
out how the equations of circles are used in solving real-life problems
and in making decisions.
Determine which of the following equations describe a circle and which do
not. Justify your answer.
1.     2 2
2 8 26 0x y x y 3. 2 2
6 8 32 0x y x y    
2.    2 2
9 4 10x y x y 4. 2 2
8 14 65 0x y x y    
How was the activity? Were you able to determine which are circles
and which are not? In the next activity, you will further deepen your
understanding about the equation of a circle and solve real-life problems.
Answer the following.
1. The diameter of a circle is 18 units and its center is at (–3, 8). What is
the equation of the circle?
2. Write an equation of the circle with a radius of 6 units and is tangent to
the line 1y at (10, 1).
3. A circle defined by the equation    
2 2
6 9 34x y    is tangent to a
line at the point (9, 4). What is the equation of the line?
4. A line passes through the center of a circle and intersects it at points
(2, 3) and (8, 7). What is the equation of the circle?
5. The Provincial Disaster and Risk Reduction Management Committee
(PDRRMC) advised the residents living within the 10 km radius critical
area to evacuate due to eminent eruption of a volcano. On the map
that is drawn on a coordinate plane, the coordinates corresponding to
the location of the volcano is (3, 4).
Activity 9:
Activity 8:
All rights reserved. No part of this material may be reproduced or transmitted in any form or by any means -
electronic or mechanical including photocopying – without written permission from the DepEd Central Office. First Edition, 2015.
D
EPED
C
O
PY
268
a. If each unit on the coordinate plane is equivalent to 1 km, what is
the equation of the circle enclosing the critical area?
b. Suppose you live at point (11, 6). Would you follow the advice of
the PDRRMC? Why?
c. In times of eminent disaster, what precautionary measures should
you take to be safe?
d. Suppose you are the leader of a two-way radio team with 15
members that is tasked to give warnings to the residents living
within the critical area. Where would you position each member of
the team who is tasked to inform the other members as regards the
current situation and to warn the residents living within his/her
assigned area? Explain your answer.
6. Cellular phone networks use towers to transmit calls to a circular area.
On a grid of a province, the coordinates that correspond to the location
of the towers and the radius each covers are as follows: Wise Tower is
at (–5, –3) and covers a 9 km radius; Global Tower is at (3, 6) and
covers a 4 km radius; and Star Tower is at (12, –3) and covers a 6 km
radius.
a. What equation represents the transmission boundaries of each
tower?
b. Which tower transmits calls to phones located at (12, 2)? (–6, –7)?
(2, 8)? (1, 3)?
c. If you were a cellular phone user, which cellular phone network will
you subscribe to? Why?
Did you find the activity challenging? Were you able to answer all
the questions and problems involving the equations of circles? I am sure
you were!
In this section, the discussion was about your understanding of the
equation of a circle and their applications in real life.
What new realizations do you have about the equation of a circle?
How would you connect this to real life? How would you use this in
making wise decisions?
Now that you have a deeper understanding of the topic, you are
ready to do the tasks in the next section.
All rights reserved. No part of this material may be reproduced or transmitted in any form or by any means -
electronic or mechanical including photocopying – without written permission from the DepEd Central Office. First Edition, 2015.
D
EPED
C
O
PY
269
Your goal in this section is to apply your learning to real-life situations.
You will be given a practical task which will demonstrate your understanding of
the equation of a circle.
On a clean sheet of grid paper, paste some small pictures of objects such that
they are positioned at different coordinates. Then, draw circles that contain these
pictures. Using the pictures and the circles drawn on the grid, formulate and
solve problems involving the equation of the circle, then solve them. Use the
rubric provided to rate your work.
Rubric for a Scrapbook Page
Score Descriptors
4 The scrapbook page is accurately made, presentable, and appropriate.
3 The scrapbook page is accurately made and appropriate.
2 The scrapbook page is not accurately made but appropriate.
1 The scrapbook page is not accurately made and not appropriate.
Rubric on Problems Formulated and Solved
Score Descriptors
6
Poses a more complex problem with 2 or more correct possible
solutions and communicates ideas unmistakably, shows in-depth
comprehension of the pertinent concepts and/or processes, and
provides explanations wherever appropriate.
5
Poses a more complex problem and finishes all significant parts of
the solution and communicates ideas unmistakably, shows in-depth
comprehension of the pertinent concepts and/or processes.
4
Poses a complex problem and finishes all significant parts of the
solution and communicates ideas unmistakably, shows in-depth
comprehension of the pertinent concepts and/or processes.
3
Poses a complex problem and finishes most significant parts of the
solution and communicates ideas unmistakably, shows
comprehension of major concepts although neglects or
misinterprets less significant ideas or details.
2
Poses a problem and finishes some significant parts of the solution
and communicates ideas unmistakably but shows gaps on
theoretical comprehension.
1
Poses a problem but demonstrates minor comprehension, not being
able to develop an approach.
Source: D.O. #73, s. 2012
Activity 10:
All rights reserved. No part of this material may be reproduced or transmitted in any form or by any means -
electronic or mechanical including photocopying – without written permission from the DepEd Central Office. First Edition, 2015.
D
EPED
C
O
PY
270
In this section, your task was to formulate problems involving the equation
of a circle using the pictures of objects that you positioned on a grid.
How did you find the performance task? How did the task help you realize
the importance of the topic in real life?
SUMMARY/SYNTHESIS/GENERALIZATION
This lesson was about the equations of circles and their applications in
real life. The lesson provided you with opportunities to give the equations of
circles and use them in practical situations. Moreover, you were given the
chance to formulate and solve real-life problems. Understanding this lesson and
relating it to the mathematics concepts and principles that you have previously
learned is essential in any further work in mathematics.
GLOSSARY OF TERMS
Coordinate Proof – a proof that uses figures on a coordinate plane to prove
geometric relationships
Distance Formula – an equation that can be used to find the distance
between any pair of points on the coordinate plane. The distance formula is
   
2 2
2 1 2 1
d x x y y    or    
2 2
2 1 2 1
,PQ x x y y    if  1 1
,P x y
and  2 2
,Q x y are points on a coordinate plane.
Horizontal Distance (between two points) – the absolute value of the
difference of the x-coordinates of two points
Midpoint – a point on a line segment and divides the same segment into two
equal parts
Midpoint Formula – a formula that can be used to find the coordinates of the
midpoint of a line segment on the coordinate plane. The midpoint of
 1 1
,P x y and  2 2
,Q x y is 1 2 1 2
,
2 2
x x y y  
 
 
.
The General Equation of a Circle – the equation of a circle obtained by
expanding    
2 2 2
x h y k r    . The general equation of a circle is
2 2
0x y Dx Ey F     , where D, E, and F are real numbers.
All rights reserved. No part of this material may be reproduced or transmitted in any form or by any means -
electronic or mechanical including photocopying – without written permission from the DepEd Central Office. First Edition, 2015.
D
EPED
C
O
PY
271
The Standard Equation of a Circle – the equation that defines a circle with
center at (h, k) and a radius of r units. It is given by    
2 2 2
x h y k r    .
Vertical Distance (between two points) – the absolute value of the difference
of the y-coordinates of two points
DepEd Instructional Materials that can be used as additional resources:
1. Basic Education Assistance for Mindanao (BEAM) Learning Guide, Third
Year Mathematics. Plane Coordinate Geometry. Module 20: Distance and
Midpoint Formulae
2. Basic Education Assistance for Mindanao (BEAM) Learning Guide, Third
Year Mathematics. Plane Coordinate Geometry. Module 22: Equation of a
Circle
3. Distance Learning Module (DLM) 3, Module 3: Plane Coordinate
Geometry.
4. EASE Modules Year III, Module 2: Plane Coordinate Geometry
REFERENCES AND WEBSITE LINKS USED IN THIS MODULE:
References:
Bass, Laurie E., Randall I. Charles, Basia Hall, Art Johnson, and Dan
Kennedy. Texas Geometry. Pearson Prentice Hall, Boston,
Massachusetts 02116, 2008.
Bass, Laurie E., Basia Rinesmith Hall, Art Johnson, and Dorothy F. Wood.
Prentice Hall Geometry Tools for a Changing World. Prentice-Hall,
Inc., NJ, USA, 1998.
Boyd, Cummins, Malloy, Carter, and Flores. Glencoe McGraw-Hill Geometry.
The McGraw-Hill Companies, Inc., USA, 2008.
Callanta, Melvin M. Infinity, Worktext in Mathematics III. EUREKA Scholastic
Publishing, Inc., Makati City, 2012.
Chapin, Illingworth, Landau, Masingila and McCracken. Prentice Hall Middle
Grades Math, Tools for Success, Prentice-Hall, Inc., Upper Saddle
River, New Jersey, 1997.
All rights reserved. No part of this material may be reproduced or transmitted in any form or by any means -
electronic or mechanical including photocopying – without written permission from the DepEd Central Office. First Edition, 2015.
D
EPED
C
O
PY
272
Cifarelli, Victor, et al. cK-12 Geometry, Flexbook Next Generation Textbooks,
Creative Commons Attribution-Share Alike, USA, 2009.
Clemens, Stanley R., Phares G. O’Daffer, Thomas J. Cooney, and John A.
Dossey. Addison-Wesley Geometry. Addison-Wesley Publishing
Company, Inc., USA, 1990.
Clements, Douglas H., Kenneth W. Jones, Lois Gordon Moseley, and Linda
Schulman. Math in my World, McGraw-Hill Division, Farmington, New
York, 1999.
Department of Education. K to 12 Curriculum Guide Mathematics,
Department of Education, Philippines, 2012.
Gantert, Ann Xavier. AMSCO’s Geometry. AMSCO School Publications, Inc.,
NY, USA, 2008.
Renfro, Freddie L. Addison-Wesley Geometry Teacher’s Edition. Addison-
Wesley Publishing Company, Inc., USA, 1992.
Rich, Barnett and Christopher Thomas. Schaum’s Outlines Geometry Fourth
Edition. The McGraw-Hill Companies, Inc., USA, 2009.
Smith, Stanley A., Charles W. Nelson, Roberta K. Koss, Mervin L. Keedy, and
Marvin L. Bittinger. Addison-Wesley Informal Geometry. Addison-
Wesley Publishing Company, Inc., USA, 1992.
Wilson, Patricia S., et al. Mathematics, Applications and Connections, Course
I, Glencoe Division of Macmillan/McGraw-Hill Publishing Company,
Westerville, Ohio, 1993.
Website Links as References and Sources of Learning Activities:
CliffsNotes. Midpoint Formula. (2013). Retrieved June 29, 2014, from
http://www.cliffsnotes.com/math/geometry/coordinate-geometry/midpoint-
formula
CliffsNotes. Distance Formula. (2013). Retrieved June 29, 2014, from
http://www.cliffsnotes.com/math/geometry/coordinate-geometry/distance-
formula
Math Open Reference. Basic Equation of a Circle (Center at 0,0). (2009).
Retrieved June 29, 2014, from http://www.mathopenref.com/
coordbasiccircle.html
All rights reserved. No part of this material may be reproduced or transmitted in any form or by any means -
electronic or mechanical including photocopying – without written permission from the DepEd Central Office. First Edition, 2015.
D
EPED
C
O
PY
273
Math Open Reference. Equation of a Circle, General Form (Center
anywhere). (2009). Retrieved June 29, 2014, from
http://www.mathopenref.com/coordgeneralcircle.html
Math-worksheet.org. Usingequationsof circles. (2014). Retrieved June 29, 2014,
from http://www.math-worksheet.org/using-equations-of-circles
Math-worksheet.org. Writingequationsof circles. (2014). Retrieved June 29, 2014,
from http://www.math-worksheet.org/writing-equations-of-circles
Roberts, Donna. Oswego City School District Regents exam Prep Center.
Geometry Lesson Page. Midpoint of a Line Segment. (2012). Retrieved June
29, 2014, from http://www.regentsprep.org/Regents/ math/geometry/GCG2/
Lmidpoint.htm
Roberts, Donna. Oswego City School District Regents exam Prep Center.
Geometry Lesson Page. Midpoint of a Line Segment. (2012). Retrieved June
29, 2014, from http://www.regentsprep.org/Regents/math/geometry/GCG3/
Ldistance.htm
Stapel, Elizabeth. "Conics: Circles: Introduction & Drawing." Purplemath.
Retrieved June 29, 2014, from http://www.purplemath.com/modules/
circle.htm
Website Links for Videos:
Khan Academy. Equation for a circle using the Pythagorean Theorem.
Retrieved June 29, 2014, from https://www.khanacademy.org/math/geometry/
cc-geometry-circles/equation-of-a-circle/v/equation-for-a-circle-using-the-
pythagorean-theorem
Khan Academy. Completing the square to write equation in standard form of a
circle. Retrieved June 29, 2014, from https://www.khanacademy.org/math/
geometry/cc-geometry-circles/equation-of-a-circle/v/completing-the-square-to-
write-equation-in-standard-form-of-a-circle
Khan Academy. Equation for a circle using the Pythagorean Theorem.
Retrieved June 29, 2014, from https://www.khanacademy.org/math/geometry/
cc-geometry-circles/equation-of-a-circle/v/equation-for-a-circle-using-the-
pythagorean-theorem
All rights reserved. No part of this material may be reproduced or transmitted in any form or by any means -
electronic or mechanical including photocopying – without written permission from the DepEd Central Office. First Edition, 2015.
D
EPED
C
O
PY
274
Khan Academy. Equation for a circle using the Pythagorean Theorem.
Retrieved June 29, 2014, from https://www.khanacademy.org/math/geometry/
cc-geometry-circles/equation-of-a-circle/v/equation-for-a-circle-using-the-
pythagorean-theorem
Ukmathsteacher. Core 1 – Coordinate Geometry (3) – Midpoint and distance
formula and Length of Line Segment. Retrieved June 29, 2014, from
http://www.youtube.com/watch?v=qTliFzj4wuc
VividMaths.com. Distance Formula. Retrieved June 29, 2014, from
http://www.youtube.com/watch?v=QPIWrQyeuYw
Website Links for Images:
asiatravel.com. Pangasinan Map. Retrieved June 29, 2014, from
http://www.asiatravel.com/philippines/pangasinan/pangasinanmap.jpg
DownTheRoad.org. Pictures of, Chengdu to Kangding, China Photo, Images,
Picture from. (2005). Retrieved June 29, 2014, from
http://www.downtheroad.org/Asia/Photo/9Sichuan_China_Image/3Chengdu_
Kangding_China.htm
Hugh Odom Vertical Consultants. eleven40 theme on Genesis Framework ·
WordPress. Cell Tower Development – How Are Cell Tower Locations
Selected? Retrieved June 29, 2014, from http://blog.thebrokerlist.com/cell-
tower-development-how-are-cell-tower-locations-selected/
LiveViewGPS, Inc. GPS Tracking PT-10 Series. (2014). Retrieved June
29, 2014, from http://www.liveviewgps.com/gps+tracking+device+pt-
10+series.html
Sloan, Chris. Current "1991" Air Traffic Control Tower at Amsterdam Schiphol
Airport – 2012. (2012). Retrieved June 29, 2014, from
http://airchive.com/html/airplanes-and-airports/amsterdam-schipol-airport-the-
netherlands-/current-1991-air-traffic-control-tower-at-amsterdam-schiphol-
airport-2012-/25510
wordfromthewell.com. Your Mind is Like an Airplane. (2012). Retrieved June
29, 2014, from http://wordfromthewell.com/2012/11/14/your-mind-is-like-an-
airplane/
All rights reserved. No part of this material may be reproduced or transmitted in any form or by any means -
electronic or mechanical including photocopying – without written permission from the DepEd Central Office. First Edition, 2015.

Math lm unit 2

  • 1.
    D EPED C O PY 10 Mathematics Department of Education Republicof the Philippines This book was collaboratively developed and reviewed by educators from public and private schools, colleges, and/or universities. We encourage teachers and other education stakeholders to email their feedback, comments, and recommendations to the Department of Education at action@deped.gov.ph. We value your feedback and recommendations. Learner’s Module Unit 2 All rights reserved. No part of this material may be reproduced or transmitted in any form or by any means - electronic or mechanical including photocopying – without written permission from the DepEd Central Office. First Edition, 2015.
  • 2.
    D EPED C O PY Mathematics – Grade10 Learner’s Module First Edition 2015 Republic Act 8293, section 176 states that: No copyright shall subsist in any work of the Government of the Philippines. However, prior approval of the government agency or office wherein the work is created shall be necessary for exploitation of such work for profit. Such agency or office may, among other things, impose as a condition the payment of royalties. Borrowed materials (i.e., songs, stories, poems, pictures, photos, brand names, trademarks, etc.) included in this book are owned by their respective copyright holders. DepEd is represented by the Filipinas Copyright Licensing Society (FILCOLS), Inc. in seeking permission to use these materials from their respective copyright owners. All means have been exhausted in seeking permission to use these materials. The publisher and authors do not represent nor claim ownership over them. Only institution and companies which have entered an agreement with FILCOLS and only within the agreed framework may copy this Learner’s Module. Those who have not entered in an agreement with FILCOLS must, if they wish to copy, contact the publisher and authors directly. Authors and publishers may email or contact FILCOLS at filcols@gmail.com or (02) 439-2204, respectively. Published by the Department of Education Secretary: Br. Armin A. Luistro FSC Undersecretary: Dina S. Ocampo, PhD Printed in the Philippines by REX Book Store Department of Education-Instructional Materials Council Secretariat (DepEd-IMCS) Office Address: 5th Floor Mabini Building, DepEd Complex Meralco Avenue, Pasig City Philippines 1600 Telefax: (02) 634-1054, 634-1072 E-mail Address: imcsetd@yahoo.com Development Team of the Learner’s Module Consultants: Soledad A. Ulep, PhD, Debbie Marie B. Verzosa, PhD, and Rosemarievic Villena-Diaz, PhD Authors: Melvin M. Callanta, Allan M. Canonigo, Arnaldo I. Chua, Jerry D. Cruz, Mirla S. Esparrago, Elino S. Garcia, Aries N. Magnaye, Fernando B. Orines, Rowena S. Perez, and Concepcion S. Ternida Editor: Maxima J. Acelajado, PhD Reviewers: Maria Alva Q. Aberin, PhD, Maxima J. Acelajado, PhD, Carlene P. Arceo, PhD, Rene R. Belecina, PhD, Dolores P. Borja, Agnes D. Garciano, Phd, Ma. Corazon P. Loja, Roger T. Nocom, Rowena S. Requidan, and Jones A. Tudlong, PhD Illustrator: Cyrell T. Navarro Layout Artists: Aro R. Rara and Ronwaldo Victor Ma. A. Pagulayan Management and Specialists: Jocelyn DR Andaya, Jose D. Tuguinayo Jr., Elizabeth G. Catao, Maribel S. Perez, and Nicanor M. San Gabriel Jr. All rights reserved. No part of this material may be reproduced or transmitted in any form or by any means - electronic or mechanical including photocopying – without written permission from the DepEd Central Office. First Edition, 2015.
  • 3.
    D EPED C O PY Introduction This material iswritten in support of the K to 12 Basic Education Program to ensure attainment of standards expected of students. In the design of this Grade 10 materials, it underwent different processes - development by writers composed of classroom teachers, school heads, supervisors, specialists from the Department and other institutions; validation by experts, academicians, and practitioners; revision; content review and language editing by members of Quality Circle Reviewers; and finalization with the guidance of the consultants. There are eight (8) modules in this material. Module 1 – Sequences Module 2 – Polynomials and Polynomial Equations Module 3 – Polynomial Functions Module 4 – Circles Module 5 – Plane Coordinate Geometry Module 6 – Permutations and Combinations Module 7 – Probability of Compound Events Module 8 – Measures of Position With the different activities provided in every module, may you find this material engaging and challenging as it develops your critical-thinking and problem-solving skills. All rights reserved. No part of this material may be reproduced or transmitted in any form or by any means - electronic or mechanical including photocopying – without written permission from the DepEd Central Office. First Edition, 2015.
  • 4.
    D EPED C O PY Unit 2 Module 3:Polynomial Functions............................................................ 99 Lessons and Coverage........................................................................ 100 Module Map......................................................................................... 100 Pre-Assessment .................................................................................. 101 Learning Goals and Targets ................................................................ 105 Activity 1.................................................................................... 106 Activity 2.................................................................................... 107 Activity 3.................................................................................... 108 Activity 4.................................................................................... 108 Activity 5.................................................................................... 110 Activity 6.................................................................................... 111 Activity 7.................................................................................... 112 Activity 8.................................................................................... 115 Activity 9.................................................................................... 115 Activity 10.................................................................................. 118 Activity 11.................................................................................. 119 Activity 12.................................................................................. 121 Activity 13.................................................................................. 122 Activity 14.................................................................................. 123 Summary/Synthesis/Generalization........................................................... 125 Glossary of Terms ...................................................................................... 125 References Used in this Module................................................................. 126 Module 4: Circles .................................................................................... 127 Lessons and Coverage........................................................................ 127 Module Map......................................................................................... 128 Pre-Assessment .................................................................................. 129 Learning Goals and Targets ................................................................ 134 Lesson 1A: Chords, Arcs, and Central Angles.......................................... 135 Activity 1.................................................................................... 135 Activity 2.................................................................................... 137 Activity 3.................................................................................... 138 Activity 4.................................................................................... 139 Activity 5.................................................................................... 150 Activity 6.................................................................................... 151 Activity 7.................................................................................... 151 Activity 8.................................................................................... 152 Activity 9.................................................................................... 152 Activity 10.................................................................................. 155 Activity 11.................................................................................. 155 Activity 12.................................................................................. 157 Activity 13.................................................................................. 159 Table of Contents All rights reserved. No part of this material may be reproduced or transmitted in any form or by any means - electronic or mechanical including photocopying – without written permission from the DepEd Central Office. First Edition, 2015.
  • 5.
    D EPED C O PY Summary/Synthesis/Generalization ...........................................................160 Lesson 1B:Arcs and Inscribed Angles.......................................................161 Activity 1 ....................................................................................161 Activity 2 ....................................................................................162 Activity 3 ....................................................................................163 Activity 4 ....................................................................................164 Activity 5 ....................................................................................167 Activity 6 ....................................................................................168 Activity 7 ....................................................................................169 Activity 8 ....................................................................................170 Activity 9 ....................................................................................172 Activity 10 ..................................................................................174 Activity 11 ..................................................................................175 Activity 12 ..................................................................................176 Summary/Synthesis/Generalization ...........................................................177 Lesson 2A: Tangents and Secants of a Circle ............................................178 Activity 1 ....................................................................................178 Activity 2 ....................................................................................179 Activity 3 ....................................................................................180 Activity 4 ....................................................................................188 Activity 5 ....................................................................................189 Activity 6 ....................................................................................192 Activity 7 ....................................................................................194 Activity 8 ....................................................................................197 Summary/Synthesis/Generalization ...........................................................198 Lesson 2B: Tangent and Secant Segments.................................................199 Activity 1 ....................................................................................199 Activity 2 ....................................................................................200 Activity 3 ....................................................................................200 Activity 4 ....................................................................................201 Activity 5 ....................................................................................204 Activity 6 ....................................................................................205 Activity 7 ....................................................................................206 Activity 8 ....................................................................................207 Activity 9 ....................................................................................208 Activity 10 ..................................................................................210 Summary/Synthesis/Generalization ...........................................................211 Glossary of Terms.......................................................................................212 List of Theorems and Postulates on Circles...............................................213 References and Website Links Used in this Module..................................215 Module 5: Plane Coordinate Geometry ...............................................221 Lessons and Coverage ........................................................................222 Module Map .........................................................................................222 Pre-Assessment...................................................................................223 Learning Goals and Targets.................................................................228 All rights reserved. No part of this material may be reproduced or transmitted in any form or by any means - electronic or mechanical including photocopying – without written permission from the DepEd Central Office. First Edition, 2015.
  • 6.
    D EPED C O PY Lesson 1: TheDistance Formula, the Midpoint Formula, and the Coordinate Proof .......................................................... 229 Activity 1.................................................................................... 229 Activity 2.................................................................................... 230 Activity 3.................................................................................... 231 Activity 4.................................................................................... 232 Activity 5.................................................................................... 241 Activity 6.................................................................................... 242 Activity 7.................................................................................... 242 Activity 8.................................................................................... 243 Activity 9.................................................................................... 245 Activity 10.................................................................................. 248 Activity 11.................................................................................. 250 Summary/Synthesis/Generalization........................................................... 251 Lesson 2: The Equation of a Circle............................................................ 252 Activity 1.................................................................................... 252 Activity 2.................................................................................... 253 Activity 3.................................................................................... 254 Activity 4.................................................................................... 263 Activity 5.................................................................................... 265 Activity 6.................................................................................... 265 Activity 7.................................................................................... 266 Activity 8.................................................................................... 267 Activity 9.................................................................................... 267 Activity 10.................................................................................. 269 Summary/Synthesis/Generalization........................................................... 270 Glossary of Terms ...................................................................................... 270 References and Website Links Used in this Module ................................. 271 All rights reserved. No part of this material may be reproduced or transmitted in any form or by any means - electronic or mechanical including photocopying – without written permission from the DepEd Central Office. First Edition, 2015.
  • 7.
    D EPED C O PY 99 I. INTRODUCTION You arenow in Grade 10, your last year in junior high school. In this level and in the higher levels of your education, you might ask the question: What are math problems and solutions for? An incoming college student may ask, “How can designers and manufacturers make boxes having the largest volume with the least cost?” And anybody may ask: In what other fields are the mathematical concepts like functions used? How are these concepts applied? Look at the mosaic picture below. Can you see some mathematical representations here? Give some. As you go through this module, you are expected to define and illustrate polynomial functions, draw the graphs of polynomial functions and solve problems involving polynomial functions. The ultimate goal of this module is for you to answer these questions: How are polynomial functions related to other fields of study? How are these used in solving real-life problems and in decision making? All rights reserved. No part of this material may be reproduced or transmitted in any form or by any means - electronic or mechanical including photocopying – without written permission from the DepEd Central Office. First Edition, 2015.
  • 8.
    D EPED C O PY 100 II. LESSON ANDCOVERAGE This is a one-lesson module. In this module, you will learn to:  illustrate polynomial functions  graph polynomial functions  solve problems involving polynomial functions Solutions of Problems Involving Polynomial Functions Graphs of Polynomial Functions Illustrations of Polynomial Functions The Polynomial Functions All rights reserved. No part of this material may be reproduced or transmitted in any form or by any means - electronic or mechanical including photocopying – without written permission from the DepEd Central Office. First Edition, 2015.
  • 9.
    D EPED C O PY 101 III. PRE-ASSESSMENT Part 1 Letus find out first what you already know related to the content of this module. Answer all items. Choose the letter that best answers each question. Please take note of the items/questions that you will not be able to answer correctly and revisit them as you go through this module for self-assessment. 1. What should n be if f(x) = xn defines a polynomial function? A. an integer C. any number B. a nonnegative integer D. any number except 0 2. Which of the following is an example of a polynomial function? A. 13 4 )( 3  x x xf C. 6 27)( xxxf  B. 22 3 2 3 2)( xxxf  D. 53)( 3  xxxf 3. What is the leading coefficient of the polynomial function 42)( 3  xxxf ? A. 1 C. 3 B. 2 D. 4 4. How should the polynomial function 432)( 53  xxxxf be written in standard form? A. 432)( 53  xxxxf C. 53 324)( xxxxf  B. 35 234)( xxxxf  D. 423)( 35  xxxxf 5. Which of the following could be the graph of the polynomial function 1234 23  xxxy ? A. B. C. D. x x x yy y y All rights reserved. No part of this material may be reproduced or transmitted in any form or by any means - electronic or mechanical including photocopying – without written permission from the DepEd Central Office. First Edition, 2015.
  • 10.
    D EPED C O PY 102 6. From thechoices, which polynomial function in factored form represents the given graph? 7. If you will draw the graph of 2 )2(  xxy , how will you sketch it with respect to the x-axis? A. Sketch it crossing both (-2,0) and (0,0). B. Sketch it crossing (-2,0) and tangent at (0,0). C. Sketch it tangent at (-2,0) and crossing (0,0). D. Sketch it tangent at both (-2,0) and (0,0). 8. What are the end behaviors of the graph of 432)( 53  xxxxf ? A. rises to the left and falls to the right B. falls to the left and rises to the right C. rises to both directions D. falls to both directions 9. You are asked to illustrate the sketch of 43)( 53  xxxf using its properties. Which will be your sketch? A. B. C. D. A. )1)(1)(2(  xxxy B. )2)(1)(1(  xxxy C. )1)(1)(2(  xxxxy D. )2)(1)(1(  xxxxy y x y x y x y x All rights reserved. No part of this material may be reproduced or transmitted in any form or by any means - electronic or mechanical including photocopying – without written permission from the DepEd Central Office. First Edition, 2015.
  • 11.
    D EPED C O PY 103 10. Your classmateLinus encounters difficulties in showing a sketch of the graph of 3 2 2 3 4y x x x    6. You know that the quickest technique is the Leading Coefficient Test. You want to help Linus in his problem. What hint/clue should you give? A. The graph falls to the left and rises to the right. B. The graph rises to both left and right. C. The graph rises to the left and falls to the right. D. The graph falls to both left and right. 11. If you will be asked to choose from -2, 2, 3, and 4, what values for a and n will you consider so that y = axn could define the graph below? 12. A car manufacturer determines that its profit, P, in thousands of pesos, can be modeled by the function P(x) = 0.00125x4 + x – 3, where x represents the number of cars sold. What is the profit when x = 300? A. Php 101.25 C. Php 3,000,000.00 B. Php 1,039,500.00 D. Php 10,125,297.00 13. A demographer predicts that the population, P, of a town t years from now can be modeled by the function P(t) = 6t4 – 5t3 + 200t + 12 000. What will the population of the town be two (2) years from now? A. 12 456 C. 1 245 600 B. 124 560 D. 12 456 000 14. Consider this Revenue-Advertising Expense situation: The total revenue R (in millions of pesos) for a company is related to its advertising expense by the function  3 21 R x 600x , 0 x 400 100 000      where x is the amount spent on advertising (in ten thousands of pesos). A. a = 2 , n = 3 B. a = 3 , n = 2 C. a = - 2 , n = 4 D. a = - 2 , n = 3 All rights reserved. No part of this material may be reproduced or transmitted in any form or by any means - electronic or mechanical including photocopying – without written permission from the DepEd Central Office. First Edition, 2015.
  • 12.
    D EPED C O PY 104 Currently, the companyspends Php 2,000,000.00 for advertisement. If you are the company manager, what best decision can you make with this business circumstance based on the given function with its restricted domain? A. I will increase my advertising expenses to Php 2,500,000.00 because this will give a higher revenue than what the company currently earns. B. I will decrease my advertising expenses to Php 1,500,000.00 because this will give a higher revenue than what the company currently earns. C. I will decrease my advertising expenses to Php 1,500,000.00 because lower cost means higher revenue. D. It does not matter how much I spend for advertisement, my revenue will stay the same. Part 2 Read and analyze the situation below. Then, answer the question and perform the tasks that follow. Karl Benedic, the president of Mathematics Club, proposed a project: to put up a rectangular Math Garden whose lot perimeter is 36 meters. He was soliciting suggestions from the members for feasible dimensions of the lot. Suppose you are a member of the club, what will you suggest to Karl Benedic if you want a maximum lot area? You must convince him through a mathematical solution. Consider the following guidelines: 1. Make an illustration of the lot with the needed labels. 2. Solve the problem. Hint: Consider the formulas P = 2l + 2w for perimeter and A = lw for the area of the rectangle. Use the formula for P and the given information in the problem to express A in terms of either l or w. 3. Make a second illustration that satisfies the findings in the solution made in number 2. 4. Submit your solution on a sheet of paper with recommendations. All rights reserved. No part of this material may be reproduced or transmitted in any form or by any means - electronic or mechanical including photocopying – without written permission from the DepEd Central Office. First Edition, 2015.
  • 13.
    D EPED C O PY 105 Rubric for Ratingthe Output: Score Descriptors 4 The problem is correctly modeled with a quadratic function, appropriate mathematical concepts are fully used in the solution, and the correct final answer is obtained. 3 The problem is correctly modeled with a quadratic function, appropriate mathematical concepts are partially used in the solution, and the correct final answer is obtained. 2 The problem is not properly modeled with a quadratic function, other alternative mathematical concepts are used in the solution, and the correct final answer is obtained. 1 The problem is not totally modeled with a quadratic function, a solution is presented but has incorrect final answer. The additional two (2) points will be determined from the illustrations made. One (1) point for each if properly drawn with necessary labels. IV. LEARNING GOALS AND TARGETS After going through this module, you should be able to demonstrate understanding of key concepts on polynomial functions. Furthermore, you should be able to conduct a mathematical investigation involving polynomial functions. All rights reserved. No part of this material may be reproduced or transmitted in any form or by any means - electronic or mechanical including photocopying – without written permission from the DepEd Central Office. First Edition, 2015.
  • 14.
    D EPED C O PY 106 Start this moduleby recalling your knowledge on the concept of polynomial expressions. This knowledge will help you understand the formal definition of a polynomial function. Determine whether each of the following is a polynomial expression or not. Give your reasons. 1. 14x 6.  2. 3 5 4 2x x x  7. 3 2 3 3 9 2x x x   3. 2014x 8. 3 2 1x x  4. 3 1 4 4 3 7x x  9. 100 100 4 4x x   5. 3 4 5 1 2 3 2 3 4x x x   10. 1 – 16x2 Did you answer each item correctly? Do you remember when an expression is a polynomial? We defined a related concept below. A polynomial function is a function of the form            1 2 1 2 1 0 ...n n n n n n P x a x a x a x a x a , ,0na where n is a nonnegative integer, naaa ...,,, 10 are real numbers called coefficients, n n xa is the leading term, na is the leading coefficient, and 0a is the constant term. The terms of a polynomial may be written in any order. However, if they are written in decreasing powers of x, we say the polynomial function is in standard form. Other than P(x), a polynomial function may also be denoted by f(x). Sometimes, a polynomial function is represented by a set P of ordered pairs (x,y). Thus, a polynomial function can be written in different ways, like the following. Activity 1: All rights reserved. No part of this material may be reproduced or transmitted in any form or by any means - electronic or mechanical including photocopying – without written permission from the DepEd Central Office. First Edition, 2015.
  • 15.
    D EPED C O PY 107 f ( x)          1 2 1 2 1 0 ...n n n n n n a x a x a x a x a or 1 2 1 2 1 0 ...n n n n n n y a x a x a x a x a          Polynomials may also be written in factored form and as a product of irreducible factors, that is, a factor that can no longer be factored using coefficients that are real numbers. Here are some examples. a. y = x4 + 2x3 – x2 + 14x – 56 in factored form is y = (x2 + 7)(x – 2)(x + 4) b. y = x4 + 2x3 – 13x2 – 10x in factored form is y = x(x – 5)(x + 1)(x + 2) c. y = 6x3 + 45x2 + 66x – 45 in factored form is y = 3(2x – 1)(x + 3)(x + 5) d. f(x) = x3 + x2 + 18 in factored form is f(x) = (x2 – 2x + 6)(x + 3) e. f(x) = 2x3 + 5x2 + 7x – 5 in factored form is f(x) = (x2 + 3x + 5)(2x – 1) Consider the given polynomial functions and fill in the table below. Polynomial Function Polynomial Function in Standard Form Degree Leading Coefficient Constant Term 1. f ( x ) = 2 – 11x + 2x2 2. f ( x )   3 2 5 15 3 3 x x 3. y = x (x2 – 5) 4.   3 3y x x x   5. 2 )1)(1)(4(  xxxy After doing this activity, it is expected that the definition of a polynomial function and the concepts associated with it become clear to you. Do the next activity so that your skills will be honed as you give more examples of polynomial functions. Activity 2: All rights reserved. No part of this material may be reproduced or transmitted in any form or by any means - electronic or mechanical including photocopying – without written permission from the DepEd Central Office. First Edition, 2015.
  • 16.
    D EPED C O PY 108 Use all thenumbers in the box once as coefficients or exponents to form as many polynomial functions of x as you can. Write your polynomial functions in standard form. 1 –2 4 7 2 6 1  3 How many polynomial functions were you able to give? Classify each according to its degree. Also, identify the leading coefficient and the constant term. In this section, you need to revisit the lessons and your knowledge on evaluating polynomials, factoring polynomials, solving polynomial equations, and graphing by point-plotting. Your knowledge of these topics will help you sketch the graph of polynomial functions manually. You may also use graphing utilities/tools in order to have a clearer view and a more convenient way of describing the features of the graph. Also, you will focus on polynomial functions of degree 3 and higher, since graphing linear and quadratic functions were already taught in previous grade levels. Learning to graph polynomial functions requires your appreciation of its behavior and other properties. Factor each polynomial completely using any method. Enjoy working with your seatmate using the Think-Pair-Share strategy. 1. (x – 1) (x2 – 5x + 6) 2. (x2 + x – 6) (x2 – 6x + 9) 3. (2x2 – 5x + 3) (x – 3) 4. x3 + 3x2 – 4x – 12 5. 2x4 + 7x3 – 4x2 – 27x – 18 Did you get the answers correctly? What method(s) did you use? Now, do the same with polynomial functions. Write each of the following polynomial functions in factored form: Activity 4: Activity 3: All rights reserved. No part of this material may be reproduced or transmitted in any form or by any means - electronic or mechanical including photocopying – without written permission from the DepEd Central Office. First Edition, 2015.
  • 17.
    D EPED C O PY 109 6. xxxy 1223  7.164  xy 8. 68482 234  xxxxy 9. xxxy 910 35  10. 1827472 234  xxxxy The preceding task is very important for you since it has something to do with the x-intercepts of a graph. These are the x-values when y = 0, thus, the point(s) where the graph intersects the x-axis can be determined. To recall the relationship between factors and x-intercepts, consider these examples: a. Find the intercepts of 64 23  xxxy . Solution: To find the x-intercept/s, set y = 0. Use the factored form. That is, y = x3 – 4x2 + x + 6 y = (x + 1)(x – 2)(x – 3) Factor completely. 0 = (x + 1)(x – 2)(x – 3) Equate y to 0. x + 1 = 0 x = –1 or x – 2 = 0 x = 2 or x – 3 = 0 x = 3 The x-intercepts are –1, 2, and 3. This means the graph will pass through (-1, 0), (2, 0), and (3, 0). Finding the y-intercept is more straightforward. Simply set x = 0 in the given polynomial. That is, y = x3 – 4x2 + x + 6 y = 03 – 4(0)2 + 0 + 6 y = 6 The y-intercept is 6. This means the graph will also pass through (0,6). Equate each factor to 0 to determine x. All rights reserved. No part of this material may be reproduced or transmitted in any form or by any means - electronic or mechanical including photocopying – without written permission from the DepEd Central Office. First Edition, 2015.
  • 18.
    D EPED C O PY 110 b. Find theintercepts of xxxxy 66 234  Solution: For the x-intercept(s), find x when y = 0. Use the factored form. That is, y = x4 + 6x3 – x2 – 6x y = x(x + 6)(x + 1)(x – 1) 0 = x(x + 6)(x + 1)(x – 1) x=0 or x+6 =0 x=–6 or x+1 =0 x=–1 or x–1=0 x=1 The x-intercepts are -6, -1, 0, and 1. This means the graph will pass through (-6,0), (-1,0), (0,0), and (1,0). Again, finding the y-intercept simply requires us to set x = 0 in the given polynomial. That is, 4 3 2 6 6y x x x x    y  (04 )  6(03 ) (02 ) 6(0) 0y  The y-intercept is 0. This means the graph will pass also through (0,0). You have been provided illustrative examples of solving for the x- and y- intercepts, an important step in graphing a polynomial function. Remember, these intercepts are used to determine the points where the graph intersects or touches the x-axis and the y-axis. But these points are not sufficient to draw the graph of polynomial functions. Enjoy as you learn by performing the next activities. Determine the intercepts of the graphs of the following polynomial functions: 1. y = x3 + x2 – 12x 2. y = (x – 2)(x – 1)(x + 3) 3. y = 2x4 + 8x3 + 4x2 – 8x – 6 4. y = –x4 + 16 5. y = x5 + 10x3 – 9x You have learned how to find the intercepts of a polynomial function. You will discover more properties as you go through the next activities. Activity 5: Equate each factor to 0 to determine x. Factor completely. Equate y to 0. All rights reserved. No part of this material may be reproduced or transmitted in any form or by any means - electronic or mechanical including photocopying – without written permission from the DepEd Central Office. First Edition, 2015.
  • 19.
    D EPED C O PY 111 Work with yourfriends. Determine the x-intercept/s and the y-intercept of each given polynomial function. To obtain other points on the graph, find the value of y that corresponds to each value of x in the table. 1. y = (x + 4)(x + 2)(x – 1)(x – 3) x-intercepts: __ __ __ __ y-intercept: __ x -5 -3 0 2 4 y List all your answers above as ordered pairs. 2. y = –(x + 5)(2x + 3)(x – 2)(x – 4) x-intercepts: __ __ __ __ y-intercept: __ x -6 -4 -0.5 3 5 y List all your answers above as ordered pairs. y = –x(x + 6)(3x – 4) x-intercepts: __ __ __ y-intercept: __ x -7 -3 1 2 y List all your answers above as ordered pairs. 3. y = x2 (x + 3)(x + 1)(x – 1)(x – 3) x-intercepts: __ __ __ __ __ y-intercept: __ x -4 -2 -0.5 0.5 2 4 y List all your answers above as ordered pairs In this activity, you evaluated a function at given values of x. Notice that some of the given x-values are less than the least x-intercept, some are between two x-intercepts, and some are greater than the greatest x  intercept. For example, in number 1, the x-intercepts are -4, -2, 1, and 3. The value -5 is used as x-value less than -4; -3, 0, and 2 are between two x-intercepts; and 4 is used as x-value greater than 3. Why do you think we should consider them? Activity 6: All rights reserved. No part of this material may be reproduced or transmitted in any form or by any means - electronic or mechanical including photocopying – without written permission from the DepEd Central Office. First Edition, 2015.
  • 20.
    D EPED C O PY 112 In the nextactivity, you will describe the behavior of the graph of a polynomial function relative to the x-axis. Given the polynomial function y = (x + 4)(x + 2)(x – 1)(x – 3), complete the table below. Answer the questions that follow. Value of x Value of y Relation of y value to 0: y > 0, y = 0, or y < 0? Location of the point (x, y): above the x-axis, on the x-axis, or below the x-axis? -5 144 0y above the x-axis -4 -3 -2 0 y = 0 on the x - axis 0 1 2 3 4 Questions: 1. At what point(s) does the graph pass through the x-axis? 2. If 4x , what can you say about the graph? 3. If 24  x , what can you say about the graph? 4. If 12  x , what can you say about the graph? 5. If 31  x , what can you say about the graph? 6. If 3x , what can you say about the graph? Now, this table may be transformed into a simpler one that will instantly help you in locating the curve. We call this the table of signs. The roots of the polynomial function y = (x + 4)(x + 2)(x – 1)(x – 3) are x = –4, –2, 1, and 3. These are the only values of x where the graph will cross the x-axis. These roots partition the number line into intervals. Test values are then chosen from within each interval. Activity 7: All rights reserved. No part of this material may be reproduced or transmitted in any form or by any means - electronic or mechanical including photocopying – without written permission from the DepEd Central Office. First Edition, 2015.
  • 21.
    D EPED C O PY 113 The table ofsigns and the rough sketch of the graph of this function can now be constructed, as shown below. The Table of Signs Intervals 4x   4 2x    2 1x   1 3x  3x  Test value -5 -3 0 2 4 4x  – + + + + 2x  – – + + + 1x  – – – + + 3x  – – – – + )3)(1)(2)(4(  xxxxy + – + – + Position of the curve relative to the x-axis above below above below above The Graph of )3)(1)(2)(4(  xxxxy We can now use the information from the table of signs to construct a possible graph of the function. At this level, though, we cannot determine the turning points of the graph, we can only be certain that the graph is correct with respect to intervals where the graph is above, below, or on the x-axis. The arrow heads at both ends of the graph signify that the graph indefinitely goes upward. All rights reserved. No part of this material may be reproduced or transmitted in any form or by any means - electronic or mechanical including photocopying – without written permission from the DepEd Central Office. First Edition, 2015.
  • 22.
    D EPED C O PY 114 Here is anotherexample: Sketch the graph of )43)(2()(  xxxxf Roots of f(x): -2, 0, 3 4 Table of Signs: Intervals 2x   2 0x   4 0 3 x  4 3 x  Test value -3 -1 1 2 –x + + – – x + 2 – + + + 3x – 4 – – – + f(x) = –x(x + 2)(3x – 4) + – + – Position of the curve relative to the x-axis above below above below Graph: In this activity, you learned how to sketch the graph of polynomial functions using the intercepts, some points, and the position of the curves determined from the table of signs. The procedures described are applicable when the polynomial function is in factored form. Otherwise, you need to express first a polynomial in factored form. Try this in the next activity. All rights reserved. No part of this material may be reproduced or transmitted in any form or by any means - electronic or mechanical including photocopying – without written permission from the DepEd Central Office. First Edition, 2015.
  • 23.
    D EPED C O PY 115 For each ofthe following functions, give (a) the x-intercept(s) (b) the intervals obtained when the x-intercepts are used to partition the number line (c) the table of signs (d) a sketch of the graph 1. y = (2x + 3)(x – 1)(x – 4) 2. y = –x3 + 2x2 + 11x – 2 3. y = x4 – 26x2 + 25 4. y = –x4 – 5x3 + 3x2 + 13x – 10 5. y = x2 (x + 3)(x + 1)4 (x – 1)3 Post your answer/output for a walk-through. For each of these polynomial functions, answer the following: a. What happens to the graph as x decreases without bound? b. For which interval(s) is the graph (i) above and (ii) below the x-axis? c. What happens to the graph as x increases without bound? d. What is the leading term of the polynomial function? e. What are the leading coefficient and the degree of the function? Now, the big question for you is: Do the leading coefficient and degree affect the behavior of its graph? You will answer this after an investigation in the next activity. After sketching manually the graphs of the five functions given in Activity 8, you will now be shown polynomial functions and their corresponding graphs. Study each figure and answer the questions that follow. Summarize your answers using a table similar to the one provided. Activity 9: Activity 8: All rights reserved. No part of this material may be reproduced or transmitted in any form or by any means - electronic or mechanical including photocopying – without written permission from the DepEd Central Office. First Edition, 2015.
  • 24.
    D EPED C O PY 116 Case 1 The graphon the right is defined by y = 2x3 – 7x2 – 7x + 12 or, in factored form, y = (2x + 3) (x – 1) (x – 4). Questions: a. Is the leading coefficient a positive or a negative number? b. Is the polynomial of even degree or odd degree? c. Observe the end behaviors of the graph on both sides. Is it rising or falling to the left or to the right? Case 2 The graph on the right is defined by 473 2345  xxxxy or, in factored form, 22 )2)(1()1(  xxxy . Questions: a. Is the leading coefficient a positive or a negative number? b. Is the polynomial of even degree or odd degree? c. Observe the end behaviors of the graph on both sides. Is it rising or falling to the left or to the right? Case 3 The graph on the right is defined by xxxy 67 24  or, in factored form, )2)(1)(3(  xxxxy . Questions: a. Is the leading coefficient a positive or a negative number? b. Is the polynomial of even degree or odd degree? c. Observe the end behaviors of the graph on both sides. Is it rising or falling to the left or to the right? x y x y x y All rights reserved. No part of this material may be reproduced or transmitted in any form or by any means - electronic or mechanical including photocopying – without written permission from the DepEd Central Office. First Edition, 2015.
  • 25.
    D EPED C O PY 117 Case 4 The graphon the right is defined by 2414132 234  xxxxy or, in factored form, )4)(2)(1)(3(  xxxxy . Questions: a. Is the leading coefficient a positive or a negative number? b. Is the polynomial of even degree or odd degree? c. Observe the end behaviors of the graph on both sides. Is it rising or falling to the left or to the right? Now, complete this table. In the last column, draw a possible graph for the function, showing how the function behaves. (You do not need to place your graph on the xy-plane). The first one is done for you. Sample Polynomial Function Leading Coefficient: 0n or 0n Degree: Even or Odd Behavior of the Graph: Rising or Falling Possible Sketch Left- hand Right- hand 1. 3 2 2 7 7 12y x x x    0n odd falling rising 2. 5 4 3 2 3 7 4y x x x x     3. 4 2 7 6y x x x   4. 4 3 2 2 13 14 24y x x x x     Summarize your findings from the four cases above. What do you observe if: 1. the degree of the polynomial is odd and the leading coefficient is positive? 2. the degree of the polynomial is odd and the leading coefficient is negative? 3. the degree of the polynomial is even and the leading coefficient is positive? 4. the degree of the polynomial is even and the leading coefficient is negative? x y All rights reserved. No part of this material may be reproduced or transmitted in any form or by any means - electronic or mechanical including photocopying – without written permission from the DepEd Central Office. First Edition, 2015.
  • 26.
    D EPED C O PY 118 Congratulations! You havenow illustrated The Leading Coefficient Test. You should have realized that this test can help you determine the end behaviors of the graph of a polynomial function as x increases or decreases without bound. Recall that you have already learned two properties of the graph of polynomial functions; namely, the intercepts which can be obtained from the Rational Root Theorem, and the end behaviors which can be identified using the Leading Coefficient Test. Another helpful strategy is to determine whether the graph crosses or is tangent to the x-axis at each x-intercept. This strategy involves the concept of multiplicity of a zero of a polynomial function. Multiplicity tells how many times a particular number is a zero or root for the given polynomial. The next activity will help you understand the relationship between multiplicity of a root and whether a graph crosses or is tangent to the x-axis. Given the function )2()1()1()2( 432  xxxxy and its graph, complete the table below, then answer the questions that follow. Root or Zero Multiplicity Characteristic of Multiplicity: Odd or Even Behavior of Graph Relative to x-axis at this Root: Crosses or Is Tangent to -2 -1 1 2 Activity 10: x y All rights reserved. No part of this material may be reproduced or transmitted in any form or by any means - electronic or mechanical including photocopying – without written permission from the DepEd Central Office. First Edition, 2015.
  • 27.
    D EPED C O PY 119 Questions: a. What doyou notice about the graph when it passes through a root of even multiplicity? b. What do you notice about the graph when it passes through a root of odd multiplicity? This activity extends what you learned when using a table of signs to graph a polynomial function. When the graph crosses the x-axis, it means the graph changes from positive to negative or vice versa. But if the graph is tangent to the x-axis, it means that the graph is either positive on both sides of the root, or negative on both sides of the root. In the next activity, you will consider the number of turning points of the graph of a polynomial function. The turning points of a graph occur when the function changes from decreasing to increasing or from increasing to decreasing values. Complete the table below. Then answer the questions that follow. Polynomial Function Sketch Degree Number of Turning Points 1. 4 xy  2. 152 24  xxy 3. 5 xy  Activity 11: x y x y x y All rights reserved. No part of this material may be reproduced or transmitted in any form or by any means - electronic or mechanical including photocopying – without written permission from the DepEd Central Office. First Edition, 2015.
  • 28.
    D EPED C O PY 120 Polynomial Function SketchDegree Number of Turning Points 4. 1235  xxxy 5. xxxy 45 35  Questions: a. What do you notice about the number of turning points of the quartic functions (numbers 1 and 2)? How about of quintic functions (numbers 3 to 5)? b. From the given examples, do you think it is possible for the degree of a function to be less than the number of turning points? c. State the relation of the number of turning points of a function with its degree n. In this section, you have encountered important concepts that can help you graph polynomial functions. Notice that the graph of a polynomial function is continuous, smooth, and has rounded turns. Further, the number of turning points in the graph of a polynomial is strictly less than the degree of the polynomial. Use what you have learned as you perform the activities in the succeeding sections. y x x y All rights reserved. No part of this material may be reproduced or transmitted in any form or by any means - electronic or mechanical including photocopying – without written permission from the DepEd Central Office. First Edition, 2015.
  • 29.
    D EPED C O PY 121 The goal ofthis section is to help you think critically and creatively as you apply the techniques in graphing polynomial functions. Also, this section aims to provide opportunities to solve real-life problems involving polynomial functions. For each given polynomial function, describe or determine the following, then sketch the graph. You may need a calculator in some computations. a. leading term b. end behaviors c. x-intercepts points on the x-axis d. multiplicity of roots e. y-intercept point on the y-axis f. number of turning points g. sketch 1. )52()1)(3( 2  xxxy 2. 322 )2()1)(5(  xxxy 3. 422 23  xxxy 4. )32)(7( 22  xxxy 5. 2861832 234  xxxxy In this activity, you were given the opportunity to sketch the graph of polynomial functions. Were you able to apply all the necessary concepts and properties in graphing each function? The next activity will let you see the connections of these mathematics concepts to real life. Activity 12: All rights reserved. No part of this material may be reproduced or transmitted in any form or by any means - electronic or mechanical including photocopying – without written permission from the DepEd Central Office. First Edition, 2015.
  • 30.
    D EPED C O PY 122 Work in groups.Apply the concepts of polynomial functions to answer the questions in each problem. Use a calculator when needed. 1. Look at the pictures below. What do these tell us? Filipinos need to take the problem of deforestation seriously. The table below shows the forest cover of the Philippines in relation to its total land area of approximately 30 million hectares. Year 1900 1920 1960 1970 1987 1998 Forest Cover (%) 70 60 40 34 23.7 22.2 Source: Environmental Science for Social Change, Decline of the Philippine Forest A cubic polynomial that best models the data is given by 3 2 26 3500 391 300 69 717000 ; 0 98 1 000 000 x x x y x      where y is the percent forest cover x years from 1900. 10 20 30 40 50 60 70 80 90 x -10 10 20 30 40 50 60 70 80 y O Activity 13: All rights reserved. No part of this material may be reproduced or transmitted in any form or by any means - electronic or mechanical including photocopying – without written permission from the DepEd Central Office. First Edition, 2015.
  • 31.
    D EPED C O PY 123 Questions/Tasks: a. Using thegraph, what is the approximate forest cover during the year 1940? b. Compare the forest cover in 1987 (as given in the table) to the forest cover given by the polynomial function. Why are these values not exactly the same? c. Do you think you can use the polynomial to predict the forest cover in the year 2100? Why or why not? 2. The members of a group of packaging designers of a gift shop are looking for a precise procedure to make an open rectangular box with a volume of 560 cubic inches from a 24-inch by 18-inch rectangular piece of material. The main problem is how to identify the side of identical squares to be cut from the four corners of the rectangular sheet so that such box can be made. Question/Task: Suppose you are chosen as the leader and you are tasked to lead in solving the problem. What will you do to meet the specifications needed for the box? Show a mathematical solution. Were you surprised that polynomial functions have real and practical uses? What do you need to solve these kinds of problems? Enjoy learning as you proceed to the next section. The goal of this section is to check if you can apply polynomial functions to real-life problems and produce a concrete object that satisfies the conditions given in the problem. Read the problem carefully and answer the questions that follow. You are designing candle-making kits. Each kit contains 25 cubic inches of candle wax and a mold for making a pyramid-shaped candle with a square base. You want the height of the candle to be 2 inches less than the edge of the base. Activity 14: All rights reserved. No part of this material may be reproduced or transmitted in any form or by any means - electronic or mechanical including photocopying – without written permission from the DepEd Central Office. First Edition, 2015.
  • 32.
    D EPED C O PY 124 Questions/Tasks: 1. What shouldthe dimensions of your candle mold be? Show a mathematical procedure in determining the dimensions. 2. Use a sheet of cardboard as sample material in preparing a candle mold with such dimensions. The bottom of the mold should be closed. The height of one face of the pyramid should be indicated. 3. Write your solution in one of the faces of your output (mold). Rubric for the Mathematical Solution Point Descriptor 4 The problem is correctly modeled with a polynomial function, appropriate mathematical concepts are used in the solution, and the correct final answer is obtained. 3 The problem is correctly modeled with a polynomial function, appropriate mathematical concepts are partially used in the solution, and the correct final answer is obtained. 2 The problem is not properly modeled with a polynomial function, other alternative mathematical concepts are used in the solution, and the correct final answer is obtained. 1 The problem is not properly modeled with a polynomial function, a solution is presented but the final answer is incorrect. Criteria for Rating the Output:  The mold has the needed dimensions and parts.  The mold is properly labeled with the required length of parts.  The mold is durable.  The mold is neat and presentable. Point/s to Be Given: 4 points if all items in the criteria are evident 3 points if any three of the items are evident 2 points if any two of the items are evident 1 point if any of the items is evident All rights reserved. No part of this material may be reproduced or transmitted in any form or by any means - electronic or mechanical including photocopying – without written permission from the DepEd Central Office. First Edition, 2015.
  • 33.
    D EPED C O PY 125 SUMMARY/SYNTHESIS/GENERALIZATION This lesson wasabout polynomial functions. You learned how to:  illustrate and describe polynomial functions;  show the graph of polynomial functions using the following properties: - the intercepts (x-intercept and y-intercept); - the behavior of the graph using the Leading Coefficient Test, table of signs, turning points, and multiplicity of zeros; and  solve real-life problems that can be modeled with polynomial functions. GLOSSARY OF TERMS Constant Function - a polynomial function whose degree is 0 Evaluating a Polynomial - a process of finding the value of the polynomial at a given value in its domain Intercepts of a Graph - points on the graph that have zero as either the x- coordinate or the y-coordinate Irreducible Factor - a factor that can no longer be factored using coefficients that are real numbers Leading Coefficient Test - a test that uses the leading term of the polynomial function to determine the right-hand and the left-hand behaviors of the graph Linear Function - a polynomial function whose degree is 1 Multiplicity of a Root - tells how many times a particular number is a root for the given polynomial Nonnegative Integer - zero or any positive integer Polynomial Function - a function denoted by 01 2 2 1 1 ...)( axaxaxaxaxP n n n n n n      , where n is a nonnegative integer, naaa ...,,, 10 are real numbers called coefficients but ,0na n n xa is the leading term, na is the leading coefficient, and 0a is the constant term Polynomial in Standard Form - any polynomial whose terms are arranged in decreasing powers of x Quadratic Function – a polynomial function whose degree is 2 All rights reserved. No part of this material may be reproduced or transmitted in any form or by any means - electronic or mechanical including photocopying – without written permission from the DepEd Central Office. First Edition, 2015.
  • 34.
    D EPED C O PY 126 Quartic Function –a polynomial function whose degree is 4 Quintic Function – a polynomial function whose degree is 5 Turning Point – a point where the function changes from decreasing to increasing or from increasing to decreasing values REFERENCES USED IN THIS MODULE: Alferez, M.S., Duro, MC.A. & Tupaz, KK.L. (2008). MSA Advanced Algebra. Quezon City, Philippines: MSA Publishing House. Berry, J., Graham, T., Sharp, J. & Berry, E. (2003). Schaum’s A-Z Mathematics. London, United Kingdom: Hodder & Stoughton Educational. Cabral, E. A., De Lara-Tuprio, E.P., De Las Penas, ML. N., Francisco, F. F., Garces, IJ. L., Marcelo, R.M. & Sarmiento, J. F. (2010). Precalculus. Quezon City, Philippines: Ateneo de Manila University Press. Jose-Dilao, S., Orines, F. B. & Bernabe, J.G. (2003). Advanced Algebra, Trigonometry and Statistics. Quezon City, Philippines: JTW Corporation. Lamayo, F. C. & Deauna, M. C. (1990). Fourth Year Integrated Mathematics. Quezon City, Philippines: Phoenix Publishing House, Inc. Larson, R. & Hostetler, R. P. (2012). Algebra and Trigonometry. Pasig City, Philippines: Cengage Learning Asia Pte. Ltd. Marasigan, J. A., Coronel, A.C. & Coronel, I.C. (2004). Advanced Algebra with Trigonometry and Statistics. Makati City, Philippines: The Bookmark, Inc. Quimpo, N. F. (2005). A Course in Freshman Algebra. Quezon City, Philippines. Uy, F. B. & Ocampo, J.L. (2000). Board Primer in Mathematics. Mandaluyong City, Philippines: Capitol Publishing House. Villaluna, T. T. & Van Zandt, GE. L. (2009). Hands-on, Minds-on Activities in Mathematics IV. Quezon City, Philippines: St. Jude Thaddeus Publications. All rights reserved. No part of this material may be reproduced or transmitted in any form or by any means - electronic or mechanical including photocopying – without written permission from the DepEd Central Office. First Edition, 2015.
  • 35.
    D EPED C O PY 127 I. INTRODUCTION Have youimagined yourself pushing a cart or riding in a bus having wheels that are not round? Do you think you can move heavy objects from one place to another easily or travel distant places as fast as you can? What difficulty do you think would you experience without circles? Have you ever thought of the importance of circles in the field of transportation, industries, sports, navigation, carpentry, and in your daily life? Find out the answers to these questions and determine the vast applications of circles through this module. II. LESSONS AND COVERAGE: In this module, you will examine the above questions when you take the following lessons: Lesson 1A – Chords, Arcs, and Central Angles Lesson 1B – Arcs and Inscribed Angles Lesson 2A – Tangents and Secants of a Circle Lesson 2B – Tangent and Secant Segments All rights reserved. No part of this material may be reproduced or transmitted in any form or by any means - electronic or mechanical including photocopying – without written permission from the DepEd Central Office. First Edition, 2015.
  • 36.
    D EPED C O PY 128 In these lessons,you will learn to: Lesson 1A Lesson 1B  derive inductively the relations among chords, arcs, central angles, and inscribed angles;  illustrate segments and sectors of circles;  prove theorems related to chords, arcs, central angles, and inscribed angles; and  solve problems involving chords, arcs, central angles, and inscribed angles of circles. Lesson 2A Lesson 2B  illustrate tangents and secants of circles;  prove theorems on tangents and secants; and  solve problems involving tangents and secants of circles. Here is a simple map of the lessons that will be covered in this module: Circles Applications of Circles Relationships among Chords, Arcs, Central Angles, and Inscribed Angles Tangents and Secants of Circles Chords, Arcs, and Central Angles Arcs and Inscribed Angles Tangents and Secants Tangent and Secant Segments All rights reserved. No part of this material may be reproduced or transmitted in any form or by any means - electronic or mechanical including photocopying – without written permission from the DepEd Central Office. First Edition, 2015.
  • 37.
    D EPED C O PY 129 III. PRE-ASSESSMENT Part I Findout how much you already know about the topics in this module. Choose the letter that you think best answers each of the following questions. Take note of the items that you were not able to answer correctly and find the right answer as you go through this module. 1. What is an angle whose vertex is on a circle and whose sides contain chords of the circle? A. central angle C. circumscribed angle B. inscribed angle D. intercepted angle 2. An arc of a circle measures 30°. If the radius of the circle is 5 cm, what is the length of the arc? A. 2.62 cm B. 2.3 cm C. 1.86 cm D. 1.5 cm 3. Using the figure below, which of the following is an external secant segment of M? A. CO C. NO B. TI D. NI 4. The opposite angles of a quadrilateral inscribed in a circle are _____. A. right C. complementary B. obtuse D. supplementary 5. In S at the right, what is VSIm if mVI = 140? A. 35 C. 140 B. 75 D. 230 6. What is the sum of the measures of the central angles of a circle with no common interior points? A. 120 B. 240 C. 360 D. 480 I N T E C O M All rights reserved. No part of this material may be reproduced or transmitted in any form or by any means - electronic or mechanical including photocopying – without written permission from the DepEd Central Office. First Edition, 2015.
  • 38.
    D EPED C O PY 130 P X Y N M 7. Catherine designeda pendant. It is a regular hexagon set in a circle. Suppose the opposite vertices are connected by line segments and meet at the center of the circle. What is the measure of each angle formed at the center? A. 5.22 B. 45 C. 60 D. 72 8. If an inscribed angle of a circle intercepts a semicircle, then the angle is _________. A. acute B. right C. obtuse D. straight 9. At a given point on the circle, how many line/s can be drawn that is tangent to the circle? A. one B. two C. three D. four 10. What is the length of ZK in the figure on the right? A. 2.86 units C. 8 units B. 6 units D. 8.75 units 11. In the figure on the right, mXY = 150 and mMN = 30. What is XPYm ? A. 60 B. 90 C. 120 D. 180 12. The top view of a circular table shown on the right has a radius of 120 cm. Find the area of the smaller segment of the table (shaded region) determined by a 60 arc. A.  2400 3600 3  cm2 B. 3600 3 cm2 C. 2400 cm2 D.  14 400 3600 3  cm2 60° 120 cm All rights reserved. No part of this material may be reproduced or transmitted in any form or by any means - electronic or mechanical including photocopying – without written permission from the DepEd Central Office. First Edition, 2015.
  • 39.
    D EPED C O PY 131 13. In Ogiven below, what is PR if NO = 15 units and ES = 6 units? A. 28 units B. 24 units C. 12 units D. 9 units 14. A dart board has a diameter of 40 cm and is divided into 20 congruent sectors. What is the area of one of the sectors? A. 20 cm2 C. 80 cm2 B. 40 cm2 D. 800 cm2 15. Mr. Soriano wanted to plant three different colors of roses on the outer rim of a circular garden. He stretched two strings from a point external to the circle to see how the circular rim can be divided into three portions as shown in the figure below. What is the measure of minor arc AB? A. 64° B. 104° C. 168° D. 192° 16. In the figure below, SY and EY are secants. If SY = 15 cm, TY = 6 cm, and LY = 8 cm. What is the length of EY ? A. 20 cm B. 12 cm C. 11.25 cm D. 6.75 cm P E R O S N S Y T L E A B M C 20° 192° All rights reserved. No part of this material may be reproduced or transmitted in any form or by any means - electronic or mechanical including photocopying – without written permission from the DepEd Central Office. First Edition, 2015.
  • 40.
    D EPED C O PY 132 17. In Cbelow, mAB = 60 and its radius is 6 cm. What is the area of the shaded region in terms of pi ( )? A. 6  cm 2 C. 10  cm 2 B. 8  cm 2 D. 12  cm 2 18. In the circle below, what is the measure of SAY if DSY is a semicircle and ?70SADm A. 20 C. 110 B. 70 D. 150 19. Quadrilateral SMIL is inscribed in E. If 78m SMI and m 95MSL  , find MILm . A. 78 C. 95 B. 85 D. 102 20. In M on the right, what is BROm if 60BMOm ? A. 120 C. 30 B. 60 D. 15 A D S Y C B A 6 cm 60° M I L 78° S 95° E B M O R All rights reserved. No part of this material may be reproduced or transmitted in any form or by any means - electronic or mechanical including photocopying – without written permission from the DepEd Central Office. First Edition, 2015.
  • 41.
    D EPED C O PY 133 Part II Solve eachof the following problems. Show your complete solutions. 2. A bicycle chain fits tightly around two gears. What is the distance between the centers of the gears if the radii of the bigger and smaller gears are 9.3 inches and 2.4 inches, respectively, and the portion of the chain tangent to the two gears is 26.5 inches long? Rubric for Problem Solving Score Descriptors 4 Used an appropriate strategy to come up with the correct solution and arrived at a correct answer. 3 Used an appropriate strategy to come up with a solution, but a part of the solution led to an incorrect answer. 2 Used an appropriate strategy but came up with an entirely wrong solution that led to an incorrect answer. 1 Attempted to solve the problem but used an inappropriate strategy that led to a wrong solution. Part III Read and understand the situation below, then answer the questions and perform what is required. The committee in-charge of the Search for the Cleanest and Greenest School informed your principal that your school has been selected as a regional finalist. Being a regional finalist, your principal would like to make your school more beautiful and clean by making more gardens of different shapes. He decided that every year level will be assigned to prepare a garden of particular shape. In your grade level, he said that you will be preparing circular, semicircular, or arch-shaped gardens in front of your building. He further encouraged your grade level to add garden accessories to make the gardens more presentable and amusing. 1. Mr. Javier designed an arch made of bent iron for the top of a school’s main entrance. The 12 segments between the two concentric semicircles are each 0.8 meter long. Suppose the diameter of the inner semicircle is 4 meters. What is the total length of the bent iron used to make this arch? 4 m0.8 m All rights reserved. No part of this material may be reproduced or transmitted in any form or by any means - electronic or mechanical including photocopying – without written permission from the DepEd Central Office. First Edition, 2015.
  • 42.
    D EPED C O PY 134 1. How willyou prepare the design of the gardens? 2. What garden accessories will you use? 3. Make the designs of the gardens which will be placed in front of your grade level building. Use the different shapes that were required by your principal. 4. Illustrate every part or portion of the garden including their measurements. 5. Using the designs of the gardens made, determine all the concepts or principles related to circles. 6. Formulate problems involving these mathematics concepts or principles, then solve. Rubric for Design Score Descriptors 4 The design is accurately made, presentable, and appropriate. 3 The design is accurately made and appropriate but not presentable. 2 The design is not accurately made but appropriate. 1 The design is made but not accurate and appropriate. Rubric on Problems Formulated and Solved Score Descriptors 6 Poses a more complex problem with two or more correct possible solutions, communicates ideas unmistakably, shows in-depth comprehension of the pertinent concepts and/or processes, and provides explanations wherever appropriate. 5 Poses a more complex problem and finishes all significant parts of the solution, communicates ideas unmistakably, and shows in-depth comprehension of the pertinent concepts and/or processes. 4 Poses a complex problem and finishes all significant parts of the solution, communicates ideas unmistakably, and shows in-depth comprehension of the pertinent concepts and/or processes. 3 Poses a complex problem and finishes most significant parts of the solution, communicates ideas unmistakably, and shows comprehension of major concepts although neglects or misinterprets less significant ideas or details. 2 Poses a problem and finishes some significant parts of the solution and communicates ideas unmistakably but shows gaps on theoretical comprehension. 1 Poses a problem but demonstrates minor comprehension, not being able to develop an approach. Source: D.O. #73, s. 2012 IV. LEARNING GOALS AND TARGETS After going through this module, you should be able to demonstrate understanding of key concepts of circles and formulate real-life problems involving these concepts, and solve these using a variety of strategies. Furthermore, you should be able to investigate mathematical relationships in various situations involving circles. All rights reserved. No part of this material may be reproduced or transmitted in any form or by any means - electronic or mechanical including photocopying – without written permission from the DepEd Central Office. First Edition, 2015.
  • 43.
    D EPED C O PY 135 J A N E L s Start Lesson1A of this module by assessing your knowledge of the different mathematical concepts previously studied and your skills in performing mathematical operations. These knowledge and skills will help you understand circles. As you go through this lesson, think of this important question: “How do the relationships among chords, arcs, and central angles of a circle facilitate finding solutions to real-life problems and making decisions?” To find the answer, perform each activity. If you find any difficulty in answering the exercises, seek the assistance of your teacher or peers or refer to the modules you have studied earlier. You may check your work with your teacher. Use the figure below to identify and name the following terms related to A. Then, answer the questions that follow. 1. a radius 5. a minor arc 2. a diameter 6. a major arc 3. a chord 7. 2 central angles 4. a semicircle 8. 2 inscribed angles Activity 1: All rights reserved. No part of this material may be reproduced or transmitted in any form or by any means - electronic or mechanical including photocopying – without written permission from the DepEd Central Office. First Edition, 2015.
  • 44.
    D EPED C O PY 136 Questions: a. How didyou identify and name the radius, diameter, and chord? How about the semicircle, minor arc, and major arc? inscribed angle and central angle? b. How do you describe a radius, diameter, and chord of a circle? How about the semicircle, minor arc, and major arc? inscribed angle and central angle? Write your answers in the table below. Terms Related to Circles Description 1. radius 2. diameter 3. chord 4. semicircle 5. minor arc 6. major arc 7. central angle 8. inscribed angle c. How do you differentiate among the radius, diameter, and chord of a circle? How about the semicircle, minor arc, and major arc? inscribed angle and central angle? Were you able to identify and describe the terms related to circles? Were you able to recall and differentiate them? Now that you know the important terms related to circles, let us deepen your understanding of finding the lengths of sides of right triangles. You need this mathematical skill in finding the relationships among chords, arcs, and central angles as you go through this lesson. All rights reserved. No part of this material may be reproduced or transmitted in any form or by any means - electronic or mechanical including photocopying – without written permission from the DepEd Central Office. First Edition, 2015.
  • 45.
    D EPED C O PY 137 In each trianglebelow, the length of one side is unknown. Determine the length of this side. 1. 4. 2. 5. 3. 6. Questions: a. How did you find the missing side of each right triangle? b. What mathematics concepts or principles did you apply to find each missing side? In the activity you have just done, were you able to find the missing side of a right triangle? The concept used will help you as you go on with this module. Activity 2: a = 6 b = 8 c = ? b = ? a = 3 c = 5 a = 9 b = 9 c = ? a = ? b = 16 c = 20 a = 7 b = ? c = 14 a = 9 b = 15 c = ? All rights reserved. No part of this material may be reproduced or transmitted in any form or by any means - electronic or mechanical including photocopying – without written permission from the DepEd Central Office. First Edition, 2015.
  • 46.
    D EPED C O PY 138 O Use the figuresbelow to answer the questions that follow. Figure 1 Figure 2 1. What is the measure of each of the following angles in Figure 1? Use a protractor. a. TOP d. ROS b. POQ e. SOT c. QOR 2. In Figure 2, AF , AB , AC , AD , and AE are radii of A. What is the measure of each of the following angles? Use a protractor. a. FAB d. EAD b. BAC e. EAF c. CAD 3. How do you describe the angles in each figure? 4. What is the sum of the measures of ,TOP POQ , ,QOR ,ROS and SOT in Figure 1? How about the sum of the measures of ,FAB ,BAC ,CAD ,EAD and EAF in Figure 2? Activity 3: OT S R Q P C B F D E AO All rights reserved. No part of this material may be reproduced or transmitted in any form or by any means - electronic or mechanical including photocopying – without written permission from the DepEd Central Office. First Edition, 2015.
  • 47.
    D EPED C O PY 139 5. In Figure1, what is the sum of the measures of the angles formed by the coplanar rays with a common vertex but with no common interior points? 6. In Figure 2, what is the sum of the measures of the angles formed by the radii of a circle with no common interior points? 7. In Figure 2, what is the intercepted arc of ?FAB How about ?BAC CAD ? ?EAD ?EAF Complete the table below. Central Angle Measure Intercepted Arc a. FAB b. BAC c. CAD d. EAD e. EAF 8. What do you think is the sum of the measures of the intercepted arcs of ,FAB BAC , CAD , ,EAD and EAF ? Why? 9. What can you say about the sum of the measures of the central angles and the sum of the measures of their corresponding intercepted arcs? Were you able to measure the angles accurately and find the sum of their measures? Were you able to determine the relationship between the measures of the central angle and its intercepted arc? For sure you were able to do it. In the next activity, you will find out how circles are illustrated in real-life situations. Use the situation below to answer the questions that follow. Rowel is designing a mag wheel like the one shown below. He decided to put 6 spokes which divide the rim into 6 equal parts. Activity 4: All rights reserved. No part of this material may be reproduced or transmitted in any form or by any means - electronic or mechanical including photocopying – without written permission from the DepEd Central Office. First Edition, 2015.
  • 48.
    D EPED C O PY 140 In the figureon the right, BAC is a central angle. Its sides divide A into arcs. One arc is the curve containing points B and C. The other arc is the curve containing points B, D, and C. Recall that a central angle of a circle is an angle formed by two rays whose vertex is the center of the circle. Each ray intersects the circle at a point, dividing it into arcs. Questions: a. What is the degree measure of each arc along the rim? How about each angle formed by the spokes at the hub? b. If you were to design a wheel, how many spokes will you use to divide the rim? Why? How did you find the preceding activities? Are you ready to learn about the relations among chords, arcs, and central angles of a circle? I am sure you are!!! From the activities done, you were able to recall and describe the terms related to circles. You were able to find out how circles are illustrated in real-life situations. But how do the relationships among chords, arcs, and central angles of a circle facilitate finding solutions to real-life problems and making decisions? You will find these out in the activities in the next section. Before doing these activities, read and understand first some important notes on this lesson and the examples presented. Central Angle and Arcs Definition: Sum of Central Angles (Note: All measures of angles and arcs are in degrees.) The sum of the measures of the central angles of a circle with no common interior points is 360 degrees. In the figure, 3604m3m2m1m  . 4 3 21 B A C D central angle arc arc All rights reserved. No part of this material may be reproduced or transmitted in any form or by any means - electronic or mechanical including photocopying – without written permission from the DepEd Central Office. First Edition, 2015.
  • 49.
    D EPED C O PY 141 M O G E Arcs of aCircle An arc is a part of a circle. The symbol for arc is . A semicircle is an arc with a measure equal to one-half the circumference of a circle. It is named by using the two endpoints and another point on the arc. Degree Measure of an Arc 1. The degree measure of a minor arc is the measure of the central angle which intercepts the arc. Example: GEO is a central angle. It intercepts E at points G and O. The measure of GO is equal to the measure of .GEO If m 118,GEO  then mGO = 118. 2. The degree measure of a major arc is equal to 360 minus the measure of the minor arc with the same endpoints. Example: If mGO = 118, then mOMG = 360 – mGO. That is, mOMG = 360 – 118 = 242. Answer: mOMG = 242 3. The degree measure of a semicircle is 180 . U A minor arc is an arc of the circle that measures less than a semicircle. It is named usually by using the two endpoints of the arc. Examples: JN, NE, and JE A major arc is an arc of a circle that measures greater than a semicircle. It is named by using the two endpoints and another point on the arc. Examples: JEN, JNE, and EJN N J E A Z O C N Example: The curve from point N to point Z is an arc. It is part of O and is named as arc NZ or NZ. Other arcs of O are CN, CZ, CZN, CNZ, and NCZ. If mCNZ is one-half the circumference of O, then it is a semicircle. All rights reserved. No part of this material may be reproduced or transmitted in any form or by any means - electronic or mechanical including photocopying – without written permission from the DepEd Central Office. First Edition, 2015.
  • 50.
    D EPED C O PY 142 W T S E 65° 65° N M K I M A T H Congruent Circles andCongruent Arcs Congruent circles are circles with congruent radii. Example: MA is a radius of A. TH is a radius of T. If THMA  , then A T. Congruent arcs are arcs of the same circle or of congruent circles with equal measures. Example: In I, KSTM  . If I E, then NWTM  and NWKS  . Theorems on Central Angles, Arcs, and Chords 1. In a circle or in congruent circles, two minor arcs are congruent if and only if their corresponding central angles are congruent. In E below, NEOSET  Since the two central angles are congruent, the minor arcs they intercept are also congruent. Hence, NOST  . If E  I and BIGNEOSET  , then BGNOST  . 65° T 50°50° T S N O E I G B 50° . All rights reserved. No part of this material may be reproduced or transmitted in any form or by any means - electronic or mechanical including photocopying – without written permission from the DepEd Central Office. First Edition, 2015.
  • 51.
    D EPED C O PY 143 Proof of theTheorem The proof has two parts. Part 1. Given are two congruent circles and a central angle from each circle which are congruent. The two-column proof below shows that their corresponding intercepted arcs are congruent. Given: E I BIGSET  Prove: BGST  Proof: Statements Reasons 1. E I BIGSET  1. Given 2. In E , .m SET mST  In I , .m BIG mBG  2. The degree measure of a minor arc is the measure of the central angle which intercepts the arc. 3. BIGmSETm  3. From 1, definition of congruent angles 4. mBGmST  4. From 2 & 3, substitution 5. BGST  5. From 4, definition of congruent arcs Part 2. Given are two congruent circles and intercepted arcs from each circle which are congruent. The two-column proof on the next page shows that their corresponding angles are congruent. Given: E I BGST  Prove: BIGSET  G B I ES T G B I ES T All rights reserved. No part of this material may be reproduced or transmitted in any form or by any means - electronic or mechanical including photocopying – without written permission from the DepEd Central Office. First Edition, 2015.
  • 52.
    D EPED C O PY 144 B A H E O N C T Proof: Statements Reasons 1. EI BGST  1. Given 2. In ,E .mST m SET  In I , .mBG m BIG  2. The degree measure of a minor arc is the measure of the central angle which intercepts the arc. 3. mBGmST  3. From 1, definition of congruent arcs 4. BIGmSETm  4. From 2 & 3, substitution 5. BIGSET  5. From 4, definition of congruent angles Combining parts 1 and 2, the theorem is proven. 2. In a circle or in congruent circles, two minor arcs are congruent if and only if their corresponding chords are congruent. In T on the right, CHBA  . Since the two chords are congruent, then CHBA  . If T  N and OECHBA  , then OECHBA  . All rights reserved. No part of this material may be reproduced or transmitted in any form or by any means - electronic or mechanical including photocopying – without written permission from the DepEd Central Office. First Edition, 2015.
  • 53.
    D EPED C O PY 145 B A T E N O B A T E N O Proof ofthe Theorem The proof has two parts. Part 1. Given two congruent circles T N and two congruent corresponding chords AB and OE , the two- column proof below shows that the corresponding minor arcs AB and OE are congruent. Given: T N OEAB  Prove: OEAB  Proof: Statements Reasons 1. T N OEAB  1. Given 2. NENOTBTA  2. Radii of the same circle or of congruent circles are congruent. 3. ONEATB  3. SSS Postulate 4. ONEATB  4. Corresponding Parts of Congruent Triangles are Congruent (CPCTC) 5. OEAB  5. From the previous theorem, “In a circle or in congruent circles, two minor arcs are congruent if and only if their corresponding central angles are congruent.” Part 2. Given two congruent circles T and N and two congruent minor arcs AB and OE , the two-column proof on the next page shows that the corresponding chords AB and OE are congruent. Given: T N OEAB  Prove: OEAB  All rights reserved. No part of this material may be reproduced or transmitted in any form or by any means - electronic or mechanical including photocopying – without written permission from the DepEd Central Office. First Edition, 2015.
  • 54.
    D EPED C O PY 146 Proof: Statements Reasons 1. TN OEAB  1. Given 2. mOEmAB  2. Definition of congruent arcs 3. BTA and ONE are central angles. 3. Definition of central angles 4. mBABTAm  mOEONEm  4. The degree measure of a minor arc is the measure of the central angle which intercepts the arc. 5. ONEmBTAm  5. From 2, 4, substitution 6. NENOTBTA  6. Radii of the same circle or of congruent circles are congruent. 7. ONEATB  7. SAS Postulate 8. OEAB  8. Corresponding Parts of Congruent Triangles are Congruent (CPCTC) Combining parts 1 and 2, the theorem is proven. 3. In a circle, a diameter bisects a chord and an arc with the same endpoints if and only if it is perpendicular to the chord. The proof of the theorem is given as an exercise in Activity 9. N E G U I S In U on the right, ES is a diameter and GN is a chord. If GNES  , then INGI  and ENGE  . All rights reserved. No part of this material may be reproduced or transmitted in any form or by any means - electronic or mechanical including photocopying – without written permission from the DepEd Central Office. First Edition, 2015.
  • 55.
    D EPED C O PY 147 Arc Addition Postulate Themeasure of an arc formed by two adjacent arcs is the sum of the measures of the two arcs. Example: Adjacent arcs are arcs with exactly one point in common. In E, LO and OV are adjacent arcs. The sum of their measures is equal to the measure of LOV. If mLO = 71 and mOV = 84, then mLOV = 71 + 84 = 155. Sector and Segment of a Circle A sector of a circle is the region bounded by an arc of the circle and the two radii to the endpoints of the arc. To find the area of a sector of a circle, get the product of the ratio 360 arctheofmeasure and the area of the circle. Example: The radius of C is 10 cm. If mAB = 60, what is the area of sector ACB? Solution: To find the area of sector ACB: a. Determine first the ratio 360 arctheofmeasure . 360 60 360  arctheofmeasure 6 1  b. Find the area (A) of the circle using the equation A = 2 r , where r is the length of the radius. A = 2 r =  2 cm10 = 2 cm100 O E V L C B A 10 cm 60° All rights reserved. No part of this material may be reproduced or transmitted in any form or by any means - electronic or mechanical including photocopying – without written permission from the DepEd Central Office. First Edition, 2015.
  • 56.
    D EPED C O PY 148 c. Get theproduct of the ratio 360 arctheofmeasure and the area of the circle. Area of sector ACB =  2 cm100 6 1       = 2 cm 3 50 The area of sector ACB is 2 cm 3 50 . A segment of a circle is the region bounded by an arc and the segment joining its endpoints. Example: The shaded region in the figure below is a segment of T. It is the region bounded by PQ and PQ . In the same figure, the area of ΔPTQ =   cm5cm5 2 1 or ΔPTQ = 2 cm 2 25 . The area of the shaded segment, then, is equal to 2 cm 2 25 4 25  which is approximately 7.135 cm2 . To find the area of the shaded segment in the figure, subtract the area of triangle PTQ from the area of sector PTQ. If mPQ = 90 and the radius of the circle is 5 cm, then the area of sector PTQ is one- fourth of the area of the whole circle. That is, Area of sector PTQ =         2 5 4 1 cm =        2 cm25 4 1 = 2 cm 4 25  All rights reserved. No part of this material may be reproduced or transmitted in any form or by any means - electronic or mechanical including photocopying – without written permission from the DepEd Central Office. First Edition, 2015.
  • 57.
    D EPED C O PY 149 Arc Length The lengthof an arc can be determined by using the proportion 360 2   A r l , where A is the degree measure of the arc, r is the radius of the circle, and l is the arc length. In the given proportion, 360 is the degree measure of the whole circle, while 2r is the circumference. Example: An arc of a circle measures 45°. If the radius of the circle is 6 cm, what is the length of the arc? Solution: In the given problem, A = 45 and r = 6 cm. To find l, the equation 360 2   A r l can be used. Substitute the given values in the equation. 360 2   A r l  45 360 2 (6)   l  1 8 12   l 12 8   l  4.71l The length of the arc is approximately 4.71 cm. Learn more about Chords, Arcs, Central Angles, Sector, and Segment of a Circle through the WEB. You may open the following links. http://www.cliffsnotes.com/math/geometry/ circles/central-angles-and-arcs http://www.mathopenref.com/arc. html http://www.mathopenref.com/chord.html http://www.mathopenref.com/circlecentral. html http://www.mathopenref.com/arclength.html http://www.mathopenref.com/arcsector.html http://www.mathopenref.com/segment.html http://www.math-worksheet.org/arc-length-and- sector-area All rights reserved. No part of this material may be reproduced or transmitted in any form or by any means - electronic or mechanical including photocopying – without written permission from the DepEd Central Office. First Edition, 2015.
  • 58.
    D EPED C O PY 150 Your goal inthis section is to apply the key concepts of chords, arcs, and central angles of a circle. Use the mathematical ideas and the examples presented in the preceding section to answer the activities provided. Use A below to identify and name the following. Then, answer the questions that follow. 1. 2 semicircles in the figure 2. 4 minor arcs and their corresponding major arcs 3. 4 central angles Questions: a. How did you identify and name the semicircles? How about the minor arcs and the major arcs? central angles? b. Do you think the circle has more semicircles, arcs, and central angles? Show. Were you able to identify and name the arcs and central angles in the given circle? In the next activity, you will apply the theorems on arcs and central angles that you have learned. Activity 5: H K L M G A J All rights reserved. No part of this material may be reproduced or transmitted in any form or by any means - electronic or mechanical including photocopying – without written permission from the DepEd Central Office. First Edition, 2015.
  • 59.
    D EPED C O PY 151 In A below,m 42,LAM m 30,HAG and KAH is a right angle. Find the following measure of an angle or an arc, and explain how you arrived at your answer. 1. LAKm 6. LKm 2. JAKm 7. JKm 3. LAJm 8. LMGm 4. JAHm 9. JHm 5. KAMm 10. KLMm In the activity you have just done, were you able to find the degree measure of the central angles and arcs? I am sure you did! In the next activity, you will apply the relationship among the chords, arcs, and central angles of a circle. In the figure, JI and ON are diameters of S. Use the figure and the given information to answer the following. 1. Which central angles are congruent? Why? 2. If 113m JSN , find: a. ISOm b. NSIm c. JSOm 3. Is INOJ  ? How about JN and OI ? Justify your answer. 4. Which minor arcs are congruent? Explain your answer. 5. If 67m JSO , find: a. JOm d. IOm b. JNm e. JOmN c. NIm f. NIOm 6. Which arcs are semicircles? Why? Activity 7: Activity 6: I J S N O H K L M G A J All rights reserved. No part of this material may be reproduced or transmitted in any form or by any means - electronic or mechanical including photocopying – without written permission from the DepEd Central Office. First Edition, 2015.
  • 60.
    D EPED C O PY 152 Were you ableto apply the relationship among the chords, arcs and central angles of a circle? In Activity 8, you will use the theorems on chords in finding the lengths of chords. In M below, BD = 3, KM = 6, and KP = 72 . Use the figure and the given information to find each measure. Explain how you arrived at your answer. 1. AM 5. DS 2. KL 6. MP 3. MD 7. AK 4. CD 8. KP Were you able to find the length of the segments? In the next activity, you will complete the proof of a theorem on central angles, arcs, and chords of a circle. Complete the proof of the following theorem. In a circle, a diameter bisects a chord and an arc with the same endpoints if and only if it is perpendicular to the chord. Given: ES is a diameter of U and perpendicular to chord GN at I. Prove: 1. GINI  2. EGEN  3. GSNS  Activity 9: Activity 8: D M 3 C 6 72 A S P L B K N G E I S U All rights reserved. No part of this material may be reproduced or transmitted in any form or by any means - electronic or mechanical including photocopying – without written permission from the DepEd Central Office. First Edition, 2015.
  • 61.
    D EPED C O PY 153 Proof of Part1: Show that ES bisects GN and the minor arc GN. Statements Reasons 1. U with diameter ES and chord GN GNES  Two points determine a line. 2. GIU and NIU are right angles. Given 3. Lines that are perpendicular tm right angles. 4. UNUG  Radii of a circle are congruent. 5. UIUI  Reflexive Property of Congruence. 6. NIUGIU  7. NIGI  Corresponding parts of congruent triangles are congruent. 8. ES bisects GN . Corresponding parts of congruent triangles are congruent 9. NUIGUI  In a circle, congruent central angles intercept congruent arcs. 10. GUI and GUE are the same angles. NUI and NUE are the same angles. Two angles that form a linear pair are supplementary. 11. NUEmGUEm  Supplements of congruent angles are congruent. 12. GUEmmEG  NUEmmEN  In a circle, congruent central angles intercept congruent arcs. 13. mEGmEN  14. NUSmGUSm  15. GUSmmGS  NUSmmNS  16. mGSmNS  17. ES bisects GN . ; GIU NIU   All rights reserved. No part of this material may be reproduced or transmitted in any form or by any means - electronic or mechanical including photocopying – without written permission from the DepEd Central Office. First Edition, 2015.
  • 62.
    D EPED C O PY 154 Given: ES isa diameter of U; ES bisects GN at I and the minor arc GN. Proof of Part 2: Show that GNES  . Statements Reasons 1. U with diameter ES , ES bisects GN at I and the minor arc GN. Two points determine a line. 2. NIGI  NEGE  Given 3. 4. UNUG  Radii of a circle are congruent. 5. NIUGIU  Reflexive Property of Congruence. 6. UINUIG  7. UIG and UIN are right angles. Corresponding parts of congruent triangles are congruent. 8. GNIU  9. GNES  Was the activity interesting? Were you able to complete the proof? You will do more of this in the succeeding lessons. Now, use the ideas you have learned in this lesson to find the arc length of a circle. S N GI U E UI UI S All rights reserved. No part of this material may be reproduced or transmitted in any form or by any means - electronic or mechanical including photocopying – without written permission from the DepEd Central Office. First Edition, 2015.
  • 63.
    D EPED C O PY 155 The radius ofO below is 5 units. Find the length of each of the following arcs given the degree measure. Answer the questions that follow. 1. mPV = 45; length of PV = ________ 2. mPQ = 60; length of PQ = ________ 3. mQR = 90; length of QR = ________ 4. mRTS = 120;length of RTS = ________ 5. mQRT = 95; length of QRT = ________ Questions: a. How did you find the length of each arc? b. What mathematics concepts or principles did you apply to find the length of each arc? Were you able to find the arc length of each circle? Now, find the area of the shaded region of each circle. Use the knowledge learned about segment and sector of a circle in finding each area. Find the area of the shaded region of each circle. Answer the questions that follow. 1. 2. 3. Activity 11: Activity 10: BC A R Q S X Z Y6 cm 90° 12 cm 45° 8 cm 135° T S P Q R Or = 5 V All rights reserved. No part of this material may be reproduced or transmitted in any form or by any means - electronic or mechanical including photocopying – without written permission from the DepEd Central Office. First Edition, 2015.
  • 64.
    D EPED C O PY 156 4. 5. 6. Questions: a.How did you find the area of each shaded region? b. What mathematics concepts or principles did you apply to find the area of the shaded region? Explain how you applied these concepts. How was the activity you have just done? Was it easy for you to find the area of segments and sectors of circles? It was easy for sure! In this section, the discussion was about the relationship among chords, arcs, and central angles of circles, arc length, segment and sector of a circle, and the application of these concepts in solving problems. Go back to the previous section and compare your initial ideas with the discussion. How much of your initial ideas are found in the discussion? Now that you know the important ideas about this topic, let us go deeper by moving on to the next section. T X S 4 cm A R E B W M5 cm 100° J S O 6 cm Y All rights reserved. No part of this material may be reproduced or transmitted in any form or by any means - electronic or mechanical including photocopying – without written permission from the DepEd Central Office. First Edition, 2015.
  • 65.
    D EPED C O PY 157 Your goal inthis section is to take a closer look at some aspects of the topic. You are going to think deeper and test further your understanding of circles. After doing the following activities, you should be able to answer this important question: “How do the relationships among chords, arcs, and central angles of a circle facilitate finding solutions to real-life problems and making decisions?” Answer the following questions. 1. Five points on a circle separate the circle into five congruent arcs. a. What is the degree measure of each arc? b. If the radius of the circle is 3 cm, what is the length of each arc? c. Suppose the points are connected consecutively with line segments. How do you describe the figure formed? 2. Do you agree that if two lines intersect at the center of a circle, then the lines intercept two pairs of congruent arcs? Explain your answer. 3. In the two concentric circles on the right, CON intercepts CN and RW. a. Are the degree measures of CN and RW equal? Why? b. Are the lengths of the two arcs equal? Explain your answer. 4. The length of an arc of a circle is 6.28 cm. If the circumference of the circle is 37.68 cm, what is the degree measure of the arc? Explain how you arrived at your answer. 5. Activity 12: O R W N C Mr. Lopez would like to place a fountain in his circular garden on the right. He wants the pipe, where the water will pass through, to be located at the center of the garden. Mr. Lopez does not know where it is. Suppose you were asked by Mr. Lopez to find the center of the garden, how would you do it? All rights reserved. No part of this material may be reproduced or transmitted in any form or by any means - electronic or mechanical including photocopying – without written permission from the DepEd Central Office. First Edition, 2015.
  • 66.
    D EPED C O PY 158 6. The monthlyincome of the Soriano family is Php36,000.00. They spend Php9,000.00 for food, Php12,000.00 for education, Php4,500.00 for utilities, and Php6,000.00 for other expenses. The remaining amount is for their savings. This information is shown in the circle graph below. a. Which item is allotted with the highest budget? How about the least? Explain. b. If you were to budget your family’s monthly income, which item would you give the greater allocation? Why? c. In the circle graph, what is the measure of the central angle corresponding to each item? d. How is the measure of the central angle corresponding to each item determined? e. Suppose the radius of the circle graph is 25 cm. What is the area of each sector in the circle graph? How about the length of the arc of each sector? In this section, the discussion was about your understanding of chords, arcs, central angles, area of a segment and a sector, and arc length of a circle including their real-life applications. What new realizations do you have about the lesson? How would you connect this to real life? Now that you have a deeper understanding of the topic, you are ready to do the tasks in the next section. Soriano Family’s Monthly Expenses All rights reserved. No part of this material may be reproduced or transmitted in any form or by any means - electronic or mechanical including photocopying – without written permission from the DepEd Central Office. First Edition, 2015.
  • 67.
    D EPED C O PY 159 Your goal inthis section is to apply your learning to real-life situations. You will be given a practical task which will demonstrate your understanding of circles. Answer the following. Use the rubric provided to rate your work. 1. Name 5 objects or cite 5 situations in real life where chords, arcs, and central angles of a circle are illustrated. Formulate problems out of these objects or situations, then solve. 2. Make a circle graph showing the different school fees that students like you have to pay voluntarily. Ask your school cashier how much you would pay for the following school fees: Parents-Teachers Association, miscellaneous, school paper, Supreme Student Government, and other fees. Explain how you applied your knowledge of central angles and arcs of a circle in preparing the graph. 3. Using the circle graph that you made in number 2, formulate at least two problems involving arcs, central angles, and sectors of a circle, then solve. Rubric for a Circle Graph Score Descriptors 4 The circle graph is accurately made, presentable, and appropriate. 3 The circle graph is accurately made and appropriate but not presentable. 2 The circle graph is not accurately made but appropriate. 1 The circle graph is not accurately made and not appropriate. Activity 13: All rights reserved. No part of this material may be reproduced or transmitted in any form or by any means - electronic or mechanical including photocopying – without written permission from the DepEd Central Office. First Edition, 2015.
  • 68.
    D EPED C O PY 160 Rubric on ProblemsFormulated and Solved Score Descriptors 6 Poses a more complex problem with 2 or more correct possible solutions and communicates ideas unmistakably, shows in-depth comprehension of the pertinent concepts and/or processes, and provides explanations wherever appropriate. 5 Poses a more complex problem and finishes all significant parts of the solution and communicates ideas unmistakably, shows in-depth comprehension of the pertinent concepts and/or processes. 4 Poses a complex problem and finishes all significant parts of the solution and communicates ideas unmistakably, shows in-depth comprehension of the pertinent concepts and/or processes. 3 Poses a complex problem and finishes most significant parts of the solution and communicates ideas unmistakably, shows comprehension of major concepts although neglects or misinterprets less significant ideas or details. 2 Poses a problem and finishes some significant parts of the solution and communicates ideas unmistakably but shows gaps on theoretical comprehension. 1 Poses a problem but demonstrates minor comprehension, not being able to develop an approach. Source: D.O. #73, s. 2012 In this section, your task was to name 5 objects or cite 5 situations in real life where chords, arcs, and central angles of a circle are illustrated. Then, formulate and solve problems out of these objects or situations. You were also asked to make a circle graph. How did you find the performance task? How did the task help you realize the importance of the lesson in real life? SUMMARY/SYNTHESIS/GENERALIZATION: This lesson was about the relationships among chords, arcs, and central angles of a circle, area of a segment and a sector, and arc length of a circle. In this lesson, you were asked to determine the relationship between the measures of the central angle and its intercepted arc. You were also given the opportunity to apply the different geometric relationships among chords, arcs, and central angles in solving problems, complete the proof of a theorem related to these concepts, find the area of a segment and the sector of a circle, and determine the length of an arc. Moreover, you were asked to name objects and cite real-life situations where chords, arcs, and central angles of a circle are illustrated and applied. Your understanding of this lesson and other previously learned mathematics concepts and principles will facilitate your learning of the next lesson, Arcs and Inscribed Angles of Circles. All rights reserved. No part of this material may be reproduced or transmitted in any form or by any means - electronic or mechanical including photocopying – without written permission from the DepEd Central Office. First Edition, 2015.
  • 69.
    D EPED C O PY 161 Start Lesson 1Bof this module by checking your prior mathematical knowledge and skills that will help you in understanding the relationships among arcs and inscribed angles of a circle. As you go through this lesson, think of this important question: How are the relationships among arcs and inscribed angles of a circle used in finding solutions to real-life problems and in making decisions? To find the answer, perform each activity. If you find any difficulty in answering the exercises, seek the assistance of your teacher or peers or refer to the modules you have studied earlier. You may check your work with your teacher’s guidance. Name the angles and their intercepted arcs in the figure below. Answer the questions that follow. Angles Arc That the Angle Intercepts S D C M G Activity 1: All rights reserved. No part of this material may be reproduced or transmitted in any form or by any means - electronic or mechanical including photocopying – without written permission from the DepEd Central Office. First Edition, 2015.
  • 70.
    D EPED C O PY 162 Questions: 1. How didyou identify and name the angles in the figure? How about the arcs that these angles intercept? 2. How many angles did you identify in the figure? How about the arcs that these angles intercept? 3. When do you say that an angle intercepts an arc? Were you able to identify and name the angles and their intercepted arcs? I am sure you were! This time, find out the relationships that exist among arcs and inscribed angles of a circle by doing the next activity. Perform the following activity by group. Answer every question that follows. Procedure: 1. Use a compass to draw a circle. Mark and label the center of the circle as point E. 2. Draw a diameter of the circle. Label the endpoints as D and W. 3. From the center of the circle, draw radius EL. Using a protractor, what is the measure of ?LEW How about the degree measure of LW? Why? 4. Draw LDW by connecting L and D with a line segment. Using a protractor, what is the measure of ?LDW 5. LDW is an inscribed angle. How do you describe an inscribed angle? 6. LW is the intercepted arc of .LDW Compare the measure of LDW with the degree measure of LW. What statements can you make? Activity 2: All rights reserved. No part of this material may be reproduced or transmitted in any form or by any means - electronic or mechanical including photocopying – without written permission from the DepEd Central Office. First Edition, 2015.
  • 71.
    D EPED C O PY 163 7. Draw otherinscribed angles in the circle. Determine the measures of these angles and the degree measures of their respective intercepted arcs. How does the measure of each inscribed angle compare with the degree measure of its intercepted arc? What conclusion can you make about the relationship between the measure of an inscribed angle and the measure of its intercepted arc? Were you able to determine the relationship between the measure of an inscribed angle and the measure of its intercepted arc? If yes, then you are now ready to determine the relationship that exists when an inscribed angle intercepts a semicircle by performing the next activity. Perform the following activity by group. Answer every question that follows. Procedure: 1. Draw a circle whose radius is 3 cm. Mark the center and label it C. 2. Extend the radius to form a diameter of 6 cm. Mark and label the endpoints of the diameter with M and T. 3. On the semicircle, mark and label three points O, U, and N. 4. Draw three different angles whose vertices are O, U, and N, respectively, and whose sides contain M and T. 5. Find the measure of each of the following angles using a protractor. a. MOT b. MUT c. MNT What can you say about the measures of the angles? What statements can you make about an inscribed angle intercepting a semicircle? How would you compare the measures of inscribed angles intercepting the same arc? Activity 3: All rights reserved. No part of this material may be reproduced or transmitted in any form or by any means - electronic or mechanical including photocopying – without written permission from the DepEd Central Office. First Edition, 2015.
  • 72.
    D EPED C O PY 164 Were you ableto determine the measure of an inscribed angle that intercepts a semicircle? For sure you were able to do it. In the next activity, you will find out how inscribed angles are illustrated in real-life situations. Use the situation below to answer the questions that follow. Janel works for a realtor. One of her jobs is to take photographs of houses that are for sale. She took a photograph of a house two months ago using a camera lens with 80° field of view like the one shown below. She has returned to the house to update the photo, but she has forgotten her lens. Now, she only has a telephoto lens with a 40° field of view. Questions: 1. From what location(s) could Janel take a photograph of the house with the telephoto lens, so that the entire house still fills the width of the picture? Use an illustration to show your answer. 2. What mathematics concept would you apply to show the exact location of the photographer? 3. If you were the photographer, what would you do to make sure that the entire house is captured by the camera? Activity 4: All rights reserved. No part of this material may be reproduced or transmitted in any form or by any means - electronic or mechanical including photocopying – without written permission from the DepEd Central Office. First Edition, 2015.
  • 73.
    D EPED C O PY 165 Figure 2 T O P How didyou find the preceding activities? Are you ready to learn about the relations among arcs and inscribed angles of a circle? I am sure you are! From the activity done, you were able to find out how inscribed angles are used in real-life situations. But how does the concept of inscribed angles of a circle facilitate finding solutions to real- life problems and making decisions? You will find these out through the activities in the next section. Before doing these activities, read and understand first some important notes on this lesson and the examples presented. Inscribed Angles and Intercepted Arcs An inscribed angle is an angle whose vertex is on a circle and whose sides contain chords of the circle. The arc that lies in the interior of an inscribed angle and has endpoints on the angle is called the intercepted arc of the angle. Examples: Figure 1 In Figure 1, LAP is an inscribed angle and its intercepted arc is LP. The center of the circle is in the interior of the angle. In Figure 2, TOP is an inscribed angle and its intercepted arc is TP. One side of the angle is the diameter of the circle. In Figure 3, CGM is an inscribed angle and its intercepted arc is CM. The center of the circle is in the exterior of the angle. Theorems on Inscribed Angles 1. If an angle is inscribed in a circle, then the measure of the angle equals one-half the measure of its intercepted arc (or the measure of the intercepted arc is twice the measure of the inscribed angle). Note: The theorem has three cases and the proof of each case is given as an exercise in Activity 8 and Activity 9. Example: In the figure on the right, ACT is an inscribed angle and AT is its intercepted arc. If mAT = 120, then ACTm = 60. P A L G Figure 3 M C T A C All rights reserved. No part of this material may be reproduced or transmitted in any form or by any means - electronic or mechanical including photocopying – without written permission from the DepEd Central Office. First Edition, 2015.
  • 74.
    D EPED C O PY 166 N T O S E 2. Iftwo inscribed angles of a circle (or congruent circles) intercept congruent arcs or the same arc, then the angles are congruent. Example 1: In Figure 1 below, PIO and PLO intercept PO. Since PIO and PLO intercept the same arc, the two angles, then, are congruent. Example 2: In Figure 2 above, SIM and ELP intercept SM and EP, respectively. If EPSM  , then ELPSIM  . 3. If an inscribed angle of a circle intercepts a semicircle, then the angle is a right angle. Example: In the figure, NTE intercepts NSE. If NSE is a semicircle, then NTE is a right angle. 4. If a quadrilateral is inscribed in a circle, then its opposite angles are supplementary. Example: Quadrilateral DREA is inscribed in M. 180 REAmRDAm . 180 DAEmDRAm . M LI E P S Figure 2 P O I T L Figure 1 E A R D M All rights reserved. No part of this material may be reproduced or transmitted in any form or by any means - electronic or mechanical including photocopying – without written permission from the DepEd Central Office. First Edition, 2015.
  • 75.
    D EPED C O PY 167 N Learn more aboutArcs and Inscribed Angles of a Circle through the WEB. You may open the following links. http://www.cliffsnotes.com/math/geometry/circles/arc s-and-inscribed-angles http://www.ck12.org/book/CK-12-Geometry-Honors- Concepts/section/8.4/ http://www.math-worksheet.org/inscribed-angles http://www.mathopenref.com/circleinscribed.html http://www.onlinemathlearning.com/circle- theorems.html Your goal in this section is to apply the key concepts of arcs and inscribed angles of a circle. Use the mathematical ideas and the examples presented in the preceding section to answer the activities provided. In the figure below, CE and LA are diameters of N. Use the figure to answer the following. 1. Name all inscribed angles in the figure. 2. Which inscribed angles intercept the following arcs? a. CL c. LE b. AE d. AC Activity 5: 8 6 A C L E 2 3 1 9 4 7 5 All rights reserved. No part of this material may be reproduced or transmitted in any form or by any means - electronic or mechanical including photocopying – without written permission from the DepEd Central Office. First Edition, 2015.
  • 76.
    D EPED C O PY 168 3. If mLE= 124, what is the measure of each of the following angles? a. 1 d. 4 g. 7 b. 2 e. 5 h. 8 c. 3 f. 6 i. 9 4. If 1 26,m  what is the measure of each of the following arcs? a. CL c. AE b. AC d. LE Were you able to identify the inscribed angles and their intercepted arcs including their degree measures? In the next activity, you will apply the theorems on arcs and inscribed angles that you have learned. In F, AB , BC , CD, BD and AC are chords. Use the figure and the given information to answer the following questions. 1. Which inscribed angles are congruent? Explain your answer. 2. If 54CBDm , what is the measure of CD? 3. If 96mAB , what is the measure of ACB ? 4. If 35  xABDm and 104  xDCAm , find: a. the value of x c. DCAm b. ABDm d. mAD 5. If 46  xBDCm and 210  xmBC , find: a. the value of x c. mBC b. BDCm d. BACm In the activity you have just done, were you able to apply the theorems on arcs and inscribed angles? I am sure you were! In the next activity, you will still apply the theorems you have studied in this lesson. Activity 6: A D E F C B All rights reserved. No part of this material may be reproduced or transmitted in any form or by any means - electronic or mechanical including photocopying – without written permission from the DepEd Central Office. First Edition, 2015.
  • 77.
    D EPED C O PY 169 Use the givenfigures to answer the following. 1. ∆GOA is inscribed in L. If 75m OGA and 160m AG , find: a. OAm c. GOAm b. OGm d. GAOm 2. Isosceles ∆CAR is inscribed in E. If m 130,CR  find: a. CARm b. ACRm c. ARCm d. ACm e. ARm 3. DR is a diameter of O. If 70m MR , find: a. RDMm d. DMm b. DRMm e. RDm c. DMRm 4. Quadrilateral FAIT is inscribed in H. If 75m AFT and 98m FTI , find: a. TIAm b. FAIm Activity 7: A O G 75° L 160° A C R130° E D O M 70° R F A I 75° T 98° H All rights reserved. No part of this material may be reproduced or transmitted in any form or by any means - electronic or mechanical including photocopying – without written permission from the DepEd Central Office. First Edition, 2015.
  • 78.
    D EPED C O PY 170 5. Rectangle TEAMis inscribed in B. If 64m TE and 58m TEM , find: a. TMm b. MAm c. AEm d. MEAm e. TAMm How was the activity you have just done? Was it easy for you to apply the theorems on arcs and inscribed angles? It was easy for sure! Now, let us complete the proof of a theorem on inscribed angle and its intercepted arc. Complete the proof of the theorem on inscribed angle and its intercepted arc. The proofs of cases 2 and 3 of this theorem are given in Activity 9. If an angle is inscribed in a circle, then the measure of the angle equals one-half the measure of its intercepted arc (or the measure of the intercepted arc is twice the measure of the inscribed angle). Case 1: Given: PQR inscribed in S and PQ is a diameter. Prove: PRPQR m 2 1 m  Draw RS and let xPQR m . Activity 8: P R Q S x T B E M A All rights reserved. No part of this material may be reproduced or transmitted in any form or by any means - electronic or mechanical including photocopying – without written permission from the DepEd Central Office. First Edition, 2015.
  • 79.
    D EPED C O PY 171 Statements Reasons 1. PQRis inscribed in S and PQ is a diameter. 2. RSQS  3. QRS is an isosceles  . 4. QRSPQR  5. QRSPQR  mm 6. xQRS m 7. xPSR 2m  8. PRPSR mm  9. xPR 2m  10.  PQRPR  m2m 11. PRQRS m 2 1 m  Were you able to complete the proof of the first case of the theorem? I know you did! In this section, the discussion was about the relationship among arcs and inscribed angles of a circle. Go back to the previous section and compare your initial ideas with the discussion. How much of your initial ideas are found in the discussion? Which ideas are different and need modification? Now that you know the important ideas about this topic, let us go deeper by moving on to the next section. All rights reserved. No part of this material may be reproduced or transmitted in any form or by any means - electronic or mechanical including photocopying – without written permission from the DepEd Central Office. First Edition, 2015.
  • 80.
    D EPED C O PY 172 Your goal inthis section is to take a closer look at some aspects of the topic. You are going to think deeper and test further your understanding of the relationships among inscribed angles and their intercepted arcs. After doing the following activities, you should be able to answer this important question: How are the relationships among inscribed angles and their intercepted arcs applied in real-life situations? Write a proof of each of the following theorems. 1. If an angle is inscribed in a circle, then the measure of the angle equals one-half the measure of its intercepted arc (or the measure of the intercepted arc is twice the measure of the inscribed angle). Case 2: Given: KLM inscribed in O. Prove: KMKLM m 2 1 m  Case 3: Given: SMC inscribed in A. Prove: Cm 2 1 m SSMC  Activity 9: S C M A K M L O All rights reserved. No part of this material may be reproduced or transmitted in any form or by any means - electronic or mechanical including photocopying – without written permission from the DepEd Central Office. First Edition, 2015.
  • 81.
    D EPED C O PY 173 2. If twoinscribed angles of a circle (or congruent circles) intercept congruent arcs or the same arc, then the angles are congruent. Given: In T, PR and AC are the intercepted arcs of PQR and ABC , respectively. ACPR  Prove: ABCPQR  3. If an inscribed angle of a circle intercepts a semicircle, then the angle is a right angle. Given: In C, GML intercepts semicircle GEL. Prove: GML is a right angle. 4. If a quadrilateral is inscribed in a circle, then its opposite angles are supplementary. Given: Quadrilateral WIND is inscribed in Y . Prove: 1. W and N are supplementary. 2. I and D are supplementary. E G C M L A B C P R Q T W I D N Y All rights reserved. No part of this material may be reproduced or transmitted in any form or by any means - electronic or mechanical including photocopying – without written permission from the DepEd Central Office. First Edition, 2015.
  • 82.
    D EPED C O PY 174 Were you ableto prove the theorems on inscribed angles and intercepted arcs? In the next activity, you will use these theorems to prove congruence of triangles. Write a two-column proof for each of the following. 1. MT and AC are chords of D. If ATMC  , prove that THACHM  . 2. Quadrilateral DRIV is inscribed in E. RV is a diagonal that passes through the center of the circle. If IVDV  , prove that .  RVD RVI 3. In A, NESE  and NTSC  . Prove that TNECSE  . Were you able to use the theorems on inscribed angles to prove congruence of triangles? In the next activity, you will further understand inscribed angles and how they are used in real life. Activity 10: M A T D C H E I V R D S C E N T A All rights reserved. No part of this material may be reproduced or transmitted in any form or by any means - electronic or mechanical including photocopying – without written permission from the DepEd Central Office. First Edition, 2015.
  • 83.
    D EPED C O PY 175 Answer the followingquestions. 1. There are circular gardens having paths in the shape of an inscribed regular star like the one shown on the right. 2. What kind of parallelogram can be inscribed in a circle? Explain. 3. The chairs of a movie house are arranged consecutively like an arc of a circle. Joanna, Clarissa, and Juliana entered the movie house but seated away from each other as shown below. Let E and G be the ends of the screen and F be one of the seats. The angle formed by E, F, and G or EFG is called the viewing angle of the person seated at F. Suppose the viewing angle of Clarissa in the above figure measures 38°. What are the measures of the viewing angles of Joanna and Juliana? Explain your answer. 4. A carpenter’s square is an L-shaped tool used to draw right angles. Mang Ador would like to make a copy of a circular plate using the available wood that he has. Suppose he traces the plate on a piece of wood. How could he use a carpenter’s square to find the center of the circle? Activity 11: a. Determine the measure of an arc intercepted by an inscribed angle formed by the star in the garden. b. What is the measure of an inscribed angle in a garden with a five-pointed star? Explain. Movie Screen Joanna Clarissa Juliana E G 380 F All rights reserved. No part of this material may be reproduced or transmitted in any form or by any means - electronic or mechanical including photocopying – without written permission from the DepEd Central Office. First Edition, 2015.
  • 84.
    D EPED C O PY 176 5. In this section,the discussion was about your understanding of inscribed angles and how they are used in real life. What new realization do you have about inscribed angles? How would you connect this to real life? Now that you have a deeper understanding of the topic, you are ready to do the tasks in the next section. Your goal in this section is to apply your learning to real-life situations. You will be given a practical task which will demonstrate your understanding of inscribed angles. Make a design of a stage where a special event will be held. Include in the design some circular objects that illustrate the use of inscribed angles and arcs of a circle. Explain how you applied your knowledge of inscribed angles and intercepted arcs of a circle in preparing the design. Then, formulate and solve problems out of this design that you made. Use the rubric provided to rate your work. Activity 12: P Q R S T M N Ramon made a circular cutting board by sticking eight 1- by 2- by 10-inch boards together, as shown on the right. Then, he drew and cut a circle with an 8-inch diameter from the boards. a. In the figure, if PQ is a diameter of the circular cutting board, what kind of triangle is PQR ? b. How is RS related to PS and QS ? Justify your answer. c. Find PS, QS, and RS. d. What is the length of the seam of the cutting board that is labeled RT ? How about MN ? All rights reserved. No part of this material may be reproduced or transmitted in any form or by any means - electronic or mechanical including photocopying – without written permission from the DepEd Central Office. First Edition, 2015.
  • 85.
    D EPED C O PY 177 Rubric for aStage’s Design Score Descriptors 4 The stage’s design is accurately made, presentable, and appropriate. 3 The stage’s design is accurately made and appropriate but not presentable. 2 The stage’s design is not accurately made but appropriate. 1 The stage’s design is not accurately made and not appropriate. Rubric on Problems Formulated and Solved Score Descriptors 6 Poses a more complex problem with 2 or more correct possible solutions and communicates ideas unmistakably, shows in-depth comprehension of the pertinent concepts and/or processes and provides explanations wherever appropriate. 5 Poses a more complex problem and finishes all significant parts of the solution and communicates ideas unmistakably, shows in-depth comprehension of the pertinent concepts and/or processes. 4 Poses a complex problem and finishes all significant parts of the solution and communicates ideas unmistakably, shows in-depth comprehension of the pertinent concepts and/or processes. 3 Poses a complex problem and finishes most significant parts of the solution and communicates ideas unmistakably, shows comprehension of major concepts although neglects or misinterprets less significant ideas or details. 2 Poses a problem and finishes some significant parts of the solution and communicates ideas unmistakably but shows gaps on theoretical comprehension. 1 Poses a problem but demonstrates minor comprehension, not being able to develop an approach. Source: D.O. #73, s. 2012 In this section, your task was to design a stage, formulate, and solve problems where inscribed angles of circles are illustrated. How did you find the performance task? How did the task help you realize the importance of the topic in real life? SUMMARY/SYNTHESIS/GENERALIZATION: This lesson was about arcs and inscribed angles of a circle. In this lesson, you were given the opportunity to determine the geometric relationships that exist among arcs and inscribed angles of a circle, apply these in solving problems, and prove related theorems. Moreover, you were given the chance to formulate and solve real-life problems involving these geometric concepts. Your understanding of this lesson and other previously learned mathematics concepts and principles will facilitate your learning of the next lesson, Tangent and Secant Segments. All rights reserved. No part of this material may be reproduced or transmitted in any form or by any means - electronic or mechanical including photocopying – without written permission from the DepEd Central Office. First Edition, 2015.
  • 86.
    D EPED C O PY 178 Start Lesson 2Aof this module by assessing your knowledge of the different mathematical concepts previously studied and other mathematical skills learned. These knowledge and skills will help you understand the different geometric relationships involving tangents and secants of a circle. As you go through this lesson, think of this important question: How do the different geometric relationships involving tangents and secants of a circle facilitate finding solutions to real-life problems and making wise decisions? To find the answer, perform each activity. If you find any difficulty in answering the exercises, seek the assistance of your teacher or peers or refer to the modules you have studied earlier. You may check your work with your teacher. Perform the following activity. Answer every question that follows. Procedure: 1. Use a compass to draw S. 2. Draw line m such that it intersects S at exactly one point. Label the point of intersection as T. 3. Connect S and T with a line segment. What is TS in the figure drawn? 4. Mark four other points on line m such that two of these points are on the left side of T and the other two points are on the right side. Label these points as M, N, P, and Q, respectively. 5. Using a protractor, find the measures of ,MTS ,NTS ,PTS and QTS . How do the measures of the four angles compare? 6. Repeat steps 2 to 5. This time, draw line n such that it intersects the circle at another point. What statement can you make about the measures of angles in item #5 and those in item #6? 7. Draw ,MS ,NS PS , and QS . Activity 1: All rights reserved. No part of this material may be reproduced or transmitted in any form or by any means - electronic or mechanical including photocopying – without written permission from the DepEd Central Office. First Edition, 2015.
  • 87.
    D EPED C O PY 179 8. Using aruler, find the lengths of TS , MS , NS , PS , and QS . How do the lengths of the five segments compare? What do you think is the shortest segment from the center of a circle to the line that intersects it at exactly one point? Explain your answer. In the activity you have just done, were you able to compare the measures of different angles drawn? Were you able to determine the shortest segment from the center of a circle to the line that intersects it at exactly one point? I know you were! The activity you have done has something to do with your new lesson. Do you know why? Find this out in the succeeding activities! In the figure below, C is the center of the circle. Use the figure to answer the questions that follow. 1. Which lines intersect circle C at two points? How about the lines that intersect the circle at exactly one point? 2. What are the angles having A as the vertex? C as the vertex? D as the vertex? G as the vertex? Make a list of these angles, then describe each. 3. What arc/s does each angle intercept? Activity 2: All rights reserved. No part of this material may be reproduced or transmitted in any form or by any means - electronic or mechanical including photocopying – without written permission from the DepEd Central Office. First Edition, 2015.
  • 88.
    D EPED C O PY 180 4. Which anglesintercept the same arc? 5. Using a protractor, find the measures of the angles identified in item #2? 6. How would you determine the measures of the arcs intercepted by the angles? Give the degree measure of each arc. 7. Compare the measures of DCE and DAE . How about the mDE and m DAE ? Explain your answer. 8. How is the mAD related to the m DAB ? How about mEFA and m EAG ? 9. What relationship exists among mAD, mAF, and m BGD ? Were you able to measure the different angles and arcs shown in the figure? Were you able to find out the different relationships among these angles and arcs? Learn more about these relationships in the succeeding activities. Prepare the following materials, then perform the activity that follows. Answer every question asked. Materials: Circular cardboard with radius 6 cm that is equally divided into 72 arcs so that each arc measures 5° 2 pieces of string, each measures about 40 cm self-adhesive tape cardboard or any flat surface Procedure: Activity 3: 1. Attach the endpoints of the strings to the cardboard or any flat surface using self-adhesive tape to form an angle of any convenient measure. Label the angle as RST. R S T All rights reserved. No part of this material may be reproduced or transmitted in any form or by any means - electronic or mechanical including photocopying – without written permission from the DepEd Central Office. First Edition, 2015.
  • 89.
    D EPED C O PY 181 2. If the edgeof the circular cardboard represents a circle, what is RST in relation to the circle? What are the measures of RST and RT? Explain how you arrived at your answer. How would you compare the measure of RST with that of ST? Is there any relationship among the measures of RST , RVT, and RT? Describe the relationship, if there is any. R S T 2. Locate the center of the circular cardboard. Slide it underneath the strings until its center coincides with their point of intersection, S. 3. Slide the circular cardboard so that RS intersects the circle at S and ST intersects the circle at two points, S and T. R S T 4. Find the measure of ST using the circular cardboard. R S T V 5. Slide the circular cardboard so that S is in the exterior of the circle and RS and ST intersect the circle at R and T, respectively. Mark and label another point V on the circle. 6. Find the measures of RVT and RT. 7. Slide the circular cardboard so that S is in the exterior of the circle, ST intersects the circle at T, and RS intersects the circle at two points, R and N. R S T N All rights reserved. No part of this material may be reproduced or transmitted in any form or by any means - electronic or mechanical including photocopying – without written permission from the DepEd Central Office. First Edition, 2015.
  • 90.
    D EPED C O PY 182 Is there anyrelationship among the measures of RST , RT, and NT? Describe the relationship, if there is any. Is there any relationship among the measures of RST , RT, and MN? Describe the relationship, if there is any. Is there any relationship among the measures of RST , RT, and MN? Describe the relationship, if there is any. Was the activity interesting? Were you able to come up with some relationships involving angles formed by lines and their intercepted arcs? Are you ready to learn about tangents and secants and their real-life applications? I am sure you are! “How do the different geometric relationships involving tangents and secants of a circle facilitate finding solutions to real-life problems and making wise decisions?” You will find these out in the activities in the next section. Before doing these activities, read and understand first some important notes on tangents and secants and the different geometric relationships involving them. Understand very well the examples presented so that you will be guided in doing the succeeding activities. 9. Slide the circular cardboard so that S is in the exterior of the circle, RS intersects the circle at points N and R, and ST intersects the circle at points M and T. 8. Find the measures of RT and NT. 10.Find the measures of RT and MN. R S T N M 11.Slide the circular cardboard so that S is in the interior of the circle, NT intersects the circle at points N and T, and MR intersects the circle at points M and R. R S T N M 12.Find the measures of RT and MN. All rights reserved. No part of this material may be reproduced or transmitted in any form or by any means - electronic or mechanical including photocopying – without written permission from the DepEd Central Office. First Edition, 2015.
  • 91.
    D EPED C O PY 183 A V U B Q If AB istangent to Q at R, then it is perpendicular to radius QR. C L T S If CS is perpendicular to radius LT at L, then it is tangent to T. Tangent Line A tangent to a circle is a line coplanar with the circle and intersects it in one and only one point. The point of intersection of the line and the circle is called the point of tangency. Example: Postulate on Tangent Line At a given point on a circle, one and only one line can be drawn that is tangent to the circle. Theorems on Tangent Line 1. If a line is tangent to a circle, then it is perpendicular to the radius drawn to the point of tangency. 2. If a line is perpendicular to a radius of a circle at its endpoint that is on the circle, then the line is tangent to the circle. To illustrate, consider V on the right. If U is a point on the circle, then one and only one line can be drawn through U that is tangent to the circle. R A In the figure on the right, PQ intersects C at A. PQ is a tangent line and A is the point of tangency. C Q A P All rights reserved. No part of this material may be reproduced or transmitted in any form or by any means - electronic or mechanical including photocopying – without written permission from the DepEd Central Office. First Edition, 2015.
  • 92.
    D EPED C O PY 184 3. If twosegments from the same exterior point are tangent to a circle, then the two segments are congruent. Common Tangent A common tangent is a line that is tangent to two circles in the same plane. Common internal tangents intersect the segment joining the centers of the two circles Common external tangents do not intersect the segment joining the centers of the two circles. Tangent and Secant Segments and rays that are contained in the tangent or intersect the circle in one and only one point are also said to be tangent to the circle. Lines s and t are common external tangents. tangents. c D E d Lines c and d are common internal tangents. tangents. M N t s n If DW and GW are tangent to E, then GWDW  . D E GW M N Q R S In the figure on the right, MN and QR are tangent to S. All rights reserved. No part of this material may be reproduced or transmitted in any form or by any means - electronic or mechanical including photocopying – without written permission from the DepEd Central Office. First Edition, 2015.
  • 93.
    D EPED C O PY 185 A M N A secant isa line that intersects a circle at exactly two points. A secant contains a chord of a circle. Theorems on Angles Formed by Tangents and Secants 1. If two secants intersect in the exterior of a circle, then the measure of the angle formed is one-half the positive difference of the measures of the intercepted arcs. In the figure below, NX and MY are two secants intersecting outside the circle at point P. XY and MN are the two intercepted arcs of .XPY 2. If a secant and a tangent intersect in the exterior of a circle, then the measure of the angle formed is one-half the positive difference of the measures of the intercepted arcs. P X Y N M  MNXYXPY mm 2 1 m  For example, if mXY = 140 and mMN = 30, then  30140 2 1 m XPY  110 2 1  55m XPY In circle A, MN is a secant line. All rights reserved. No part of this material may be reproduced or transmitted in any form or by any means - electronic or mechanical including photocopying – without written permission from the DepEd Central Office. First Edition, 2015.
  • 94.
    D EPED C O PY 186 In the figurebelow, CM is a secant and LM is a tangent intersecting outside the circle at point M. LEC and LG are the two intercepted arcs of LMC . 3. If two tangents intersect in the exterior of a circle, then the measure of the angle formed is one-half the positive difference of the measures of the intercepted arcs. In the figure below, QK and QH are two tangents intersecting outside the circle at point Q. HJK and HK are the two intercepted arcs of KQH . 4. If two secants intersect in the interior of a circle, then the measure of an angle formed is one-half the sum of the measures of the arcs intercepted by the angle and its vertical angle. H Q K J  HKHJKKQH mm 2 1 m  For example, if mHJK = 250 and mHK = 110, then  110250 2 1 m KQH  140 2 1  70m KQH E C L M G  LGLECLMC mm 2 1 m  For example, if mLEC = 186 and mLG = 70, then  70186 2 1 m LMC  116 2 1  58m LMC All rights reserved. No part of this material may be reproduced or transmitted in any form or by any means - electronic or mechanical including photocopying – without written permission from the DepEd Central Office. First Edition, 2015.
  • 95.
    D EPED C O PY 187 ST R Q W In the figurebelow, WS and RX are two secants intersecting inside the circle. WR and XS are the two intercepted arcs of 1 while WX and RS are the two intercepted arcs of 2 . 5. If a secant and a tangent intersect at the point of tangency, then the measure of each angle formed is one-half the measure of its intercepted arc. In the figure below, QS is a secant and RW is a tangent intersecting at S, the point of tangency. QS is the intercepted arc of QSR while QTS is the intercepted arc of QSW .  XSWR mm 2 1 1m  For example, if mWR = 100 and mXS = 120, then     1101m 220 2 1 120100 2 1 1m     Smm 2 1 2m RWX  For example, if mWX = 80 and mRS = 60, then     702m 140 2 1 6080 2 1 2m    QSQSR m 2 1 m  For example, if mQS = 170, then   85m 170 2 1 m   QSR QSR QTSQSW m 2 1 m  For example, if mQTS = 190, then   95m 190 2 1 m   QSW QSW S R 1 W X 2 All rights reserved. No part of this material may be reproduced or transmitted in any form or by any means - electronic or mechanical including photocopying – without written permission from the DepEd Central Office. First Edition, 2015.
  • 96.
    D EPED C O PY 188 O N L M K P Q S R Learn more aboutTangents and Secants of a circle through the WEB. You may open the following links. http://www.regentsprep.org/Regents/math/geometry/ GP15/CircleAngles.htm http://www.math-worksheet.org/secant-tangent- angles http://www.mathopenref.com/tangentline.html http://www.ck12.org/book/CK-12-Geometry-Honors- Concepts/section/8.7/ http://www.ck12.org/book/CK-12-Geometry- Honors-Concepts/section/8.8/ Your goal in this section is to apply the key concepts of tangents and secants of a circle. Use the mathematical ideas and the examples presented in the preceding section to answer the activities provided. In the figure below, KL, KN, MP, and ML intersect Q at some points. Use the figure to answer the following questions. 5. Name all the intercepted arcs in the figure. Which angles intercept each of these arcs? 6. Suppose 50m KOM and m 130,KQM what is KLMm equal to? How about mNP? Activity 4: 1. Which lines are tangent to the circle? Why? 2. Which lines are secants? Why? 3. At what points does each secant intersect the circle? How about the tangents? 4. Which angles are formed by two secant lines? two tangents? a tangent and a secant? All rights reserved. No part of this material may be reproduced or transmitted in any form or by any means - electronic or mechanical including photocopying – without written permission from the DepEd Central Office. First Edition, 2015.
  • 97.
    D EPED C O PY 189 Were you ableto identify the tangents and secants in the figure, including the angles that they form? Were you able to identify the arcs that these angles intercept? Were you able to determine the unknown measure of the angle? I am sure you were! In the next activity, you will further apply the different ideas learned about tangents and secants in finding the measures of angles, arcs, and segments in some geometric figures. Use the figure and the given information to answer the questions that follow. Explain how you arrived at your answer. 1. If mADC = 160 and mEF = 80, 2. If mMKL = 220 and mML = 140, what is m ?ABC what is m ?MQL 3. If mPR = 45 and mQS = 49, 4. Suppose mCG = 6x + 5, what is m ?PTR m ?RTS mAR = 4x + 15, and 120m AEC . Find: a) x b) mCG c) mAR Activity 5: A B C D E F G R C A E P S R Q T All rights reserved. No part of this material may be reproduced or transmitted in any form or by any means - electronic or mechanical including photocopying – without written permission from the DepEd Central Office. First Edition, 2015.
  • 98.
    D EPED C O PY 190 K OC R S N Q P O R A S P B Q 5. IfmLGC = 149 and 39m LSC , 6. OK is tangent to R at C. What is mMC? Suppose OCKC  , OK = 56, and RC = 24. Find: OR, RS, and KS. 7. If mQNO = 238, what is 8. PR is a diameter of O and m ?PQO m ?PQR mRW = 55. Find: 9. Circles P and Q are tangent to each other at point S. AB is tangent to both P and Q at S. Suppose AB = 16, AP = 12, and AQ = 10. What is the length of PQ if it bisects AB ? a. mPW d. WREm b. RPWm e. WERm c. PRWm f. EWRm P R EW O C S M G L All rights reserved. No part of this material may be reproduced or transmitted in any form or by any means - electronic or mechanical including photocopying – without written permission from the DepEd Central Office. First Edition, 2015.
  • 99.
    D EPED C O PY 191 J R A T K 10. AT istangent to both circles K and J at A. ST is tangent to K at S and RT is tangent to J at R. If 72  xST and 13  xRT , find: a. x c. RT b. ST d. AT How was the activity you have just done? Was it easy for you to determine the measures of the different angles, arcs, and segments? It was easy for sure! In this section, the discussion was about the different geometric relationships involving tangents and secants of a circle. Now that you know the important ideas about this topic, let us go deeper and move on to the next section. Your goal in this section is to think deeper and test further your understanding of the different geometric relationships involving tangents and secants of a circle. After doing the following activities, you should be able to find out how the different geometric relationships involving tangents and secants of a circle facilitate finding solutions to real-life problems and making wise decisions. S All rights reserved. No part of this material may be reproduced or transmitted in any form or by any means - electronic or mechanical including photocopying – without written permission from the DepEd Central Office. First Edition, 2015.
  • 100.
    D EPED C O PY 192 Answer the following. 1.In the figure on the right, RO and DN are tangent to U at O and N respectively. a. What is the measure of ?RON ?DNO Explain how you arrived at your answer. b. Suppose NDUONR  . Which angle is congruent to ?NRO Why? c. If 31m ONR , what is NROm ? d. If m 49,DUN what is NDUm ? How about DUOm ? e. Suppose OU = 6, RN = 13, and ONDN  , what is RO equal to? How about DN? DU? Is DUNNRO  ? Justify your answer. 2. In the figure on the right, is LU tangent to I? Why? How about SC ? Justify your answer. 3. LR and LI are tangents to T from an external point L. a. Is RL congruent to ?LI Why? b. Is ∆LTR congruent to ∆LTI? Justify your answer. c. Suppose m 38.RLT What is ILTm equal to? How about m ?ITL m ?RTL d. If 10RT and 24RL , what is the length of ?TL How about the length of ?LI ?AL Activity 6: A I T R L L U 3 53 C 4 I S A 8 6 R O N U D All rights reserved. No part of this material may be reproduced or transmitted in any form or by any means - electronic or mechanical including photocopying – without written permission from the DepEd Central Office. First Edition, 2015.
  • 101.
    D EPED C O PY 193 C D Z S M YX 4. In thefigure on the right, ∆CDS is circumscribed about M. Suppose the perimeter of ∆CDS is 33 units, SX = 6 units, and DY = 3 units. What are the lengths of the following segments? Explain how you arrived at your answer. a. SZ c. CX b. DZ d. CY 5. From the main entrance of a park, there are two pathways where visitors can walk along going to the circular garden. The pathways are both tangent to the garden whose center is 40 m away from the main entrance. If the area of the garden is about 706.5 m2 , how long is each pathway? 6. The map below shows that the waters within ARC, a 250° arc, is dangerous for shipping vessels. In the diagram, two lighthouses are located at points A and C and points P, R, and S are the locations of the ship at a certain time, respectively. a. What are the possible measures of ,P ,R and S ? b. If you were the captain of a ship, how would you make sure that your ship is in safe water? Main Entrance Garden A R C P shore S All rights reserved. No part of this material may be reproduced or transmitted in any form or by any means - electronic or mechanical including photocopying – without written permission from the DepEd Central Office. First Edition, 2015.
  • 102.
    D EPED C O PY 194 How was theactivity you have just performed? Did you gain better understanding of the lesson? Were you able to use the mathematics concepts and principles learned in solving problems? Were you able to realize the importance of the lesson in the real world? I am sure you were! In the next activity you will be proving geometric relationships involving tangents and secants. Show a proof of the following theorems involving tangents and secants. 1. If a line is tangent to a circle, then it is perpendicular to the radius drawn to the point of tangency. Given: AB is tangent to C at D. Prove: CDAB  2. If a line is perpendicular to a radius of a circle at its endpoint that is on the circle, then the line is tangent to the circle. Given: RS is a radius of S. RSPQ  Prove: PQ is tangent to S at R. Activity 7: R Q S P D C B A All rights reserved. No part of this material may be reproduced or transmitted in any form or by any means - electronic or mechanical including photocopying – without written permission from the DepEd Central Office. First Edition, 2015.
  • 103.
    D EPED C O PY 195 3. If twosegments from the same exterior point are tangent to a circle, then the two segments are congruent. Given: EM and EL are tangent to S at M and L, respectively. Prove: EM EL 4. If two tangents, a secant and a tangent, or two secants intersect in the exterior of a circle, then the measure of the angle formed is one-half the positive difference of the measures of the intercepted arcs. a. Given: RS and TS are tangent to V at R and T, respectively, and intersect at the exterior point S. Prove:  mTRmTQRRSTm  2 1 b. Given: KL is tangent to O at K. NL is a secant that passes through O at M and N. KL and NL intersect at the exterior point L. Prove:  mMKmNPKKLNm  2 1 c. Given: AC is a secant that passes through T at A and B. EC is a secant that passes through T at E and D. AC and EC intersect at the exterior point C. Prove: mBDmAEACEm  2 1 L E S M Q T V S R M K L N P O E B C T A D All rights reserved. No part of this material may be reproduced or transmitted in any form or by any means - electronic or mechanical including photocopying – without written permission from the DepEd Central Office. First Edition, 2015.
  • 104.
    D EPED C O PY 196 5. If twosecants intersect in the interior of a circle, then the measure of an angle formed is one-half the sum of the measures of the arcs intercepted by the angle and its vertical angle. Given: AC and EC are secants intersecting in the interior of V at T. PS and QR are the intercepted arcs of PTS and .QTR Prove:  mQRmPSPTSm  2 1 6. If a secant and a tangent intersect at the point of tangency, then the measure of each angle formed is one-half the measure of its intercepted arc. Given: MP and LN are secant and tangent, respectively, and intersect at C at the point of tangency, M. Prove:  mMPNMPm 2 1  and  mMKPLMPm 2 1  Were you able to prove the different geometric relationships involving tangents and secants? Were you convinced that these geometric relationships are true? I know you were! Find out by yourself how these geometric relationships are illustrated or applied in the real world. In this section, the discussion was about your understanding of the different geometric relationships involving tangents and secants and how they are illustrated in real life. What new realizations do you have about the different geometric relationships involving tangents and secants? How would you connect this to real life? How would you use this in making wise decisions? M K L N P O S P R V QT All rights reserved. No part of this material may be reproduced or transmitted in any form or by any means - electronic or mechanical including photocopying – without written permission from the DepEd Central Office. First Edition, 2015.
  • 105.
    D EPED C O PY 197 Now that youhave a deeper understanding of the topic, you are ready to do the tasks in the next section. Your goal in this section is to apply your learning to real-life situations. You will be given a practical task which will demonstrate your understanding of the different geometric relationships involving tangents and secants. Answer the following. Use the rubric provided to rate your work. 1. The chain and gears of bicycles or motorcycles or belt around two pulleys are some real-life illustrations of tangents and circles. Using these real-life objects or similar ones, formulate problems involving tangents, then solve. 2. The picture below shows a bridge in the form of an arc. It also shows how secant is illustrated in real life. Using the bridge in the picture and other real- life objects, formulate problems involving secants, then solve them. Activity 8: All rights reserved. No part of this material may be reproduced or transmitted in any form or by any means - electronic or mechanical including photocopying – without written permission from the DepEd Central Office. First Edition, 2015.
  • 106.
    D EPED C O PY 198 Rubric on ProblemsFormulated and Solved Score Descriptors 6 Poses a more complex problem with 2 or more correct possible solutions and communicates ideas unmistakably, shows in-depth comprehension of the pertinent concepts and/or processes and provides explanations wherever appropriate. 5 Poses a more complex problem and finishes all significant parts of the solution and communicates ideas unmistakably, shows in- depth comprehension of the pertinent concepts and/or processes. 4 Poses a complex problem and finishes all significant parts of the solution and communicates ideas unmistakably, shows in-depth comprehension of the pertinent concepts and/or processes. 3 Poses a complex problem and finishes most significant parts of the solution and communicates ideas unmistakably, shows comprehension of major concepts although neglects or misinterprets less significant ideas or details. 2 Poses a problem and finishes some significant parts of the solution and communicates ideas unmistakably but shows gaps on theoretical comprehension. 1 Poses a problem but demonstrates minor comprehension, not being able to develop an approach. Source: D.O. #73, s. 2012 In this section, your task was to formulate then solve problems involving the different geometric relationships involving tangents and secants. How did you find the performance task? How did the task help you realize the importance of the topic in real life? SUMMARY/SYNTHESIS/GENERALIZATION: This lesson was about different geometric relationships involving tangents and secants and their applications in real life. The lesson provided you with opportunities to find the measures of angles formed by secants and tangents and the arcs that these angles intercept. You also applied these relationships involving tangents and secants in finding the lengths of segments in some geometric figures. You were also given the opportunities to formulate and solve real-life problems involving tangents and secants of a circle. Your understanding of this lesson and other previously learned mathematics concepts and principles will facilitate your learning in the succeeding lessons. All rights reserved. No part of this material may be reproduced or transmitted in any form or by any means - electronic or mechanical including photocopying – without written permission from the DepEd Central Office. First Edition, 2015.
  • 107.
    D EPED C O PY 199 Start Lesson 2Bof this module by assessing your knowledge of the different mathematical concepts previously studied and mathematical skills learned. These knowledge and skills will help you understand the relationships among tangent and secant segments. As you go through this lesson, think of this important question: “How do the relationships among tangent and secant segments facilitate finding solutions to real- life problems and making decisions?” To find the answer, perform each activity. If you find any difficulty in answering the exercises, seek the assistance of your teacher or peers or refer to the modules you have studied earlier. You may check your work with your teacher. Solve the following equations. Answer the questions that follow. 1. 3 27x 6. 2 25x 2. 4 20x 7. 2 64x 3.   1236 x 8. 2 12x 4. x763  9. 2 45x 5.    x10158  10. 2 80x a. How did you find the value of x in each equation? b. What mathematics concepts or principles did you apply in solving the equations? Were you able to find the value of x in each equation? Were you able to recall how the equations are solved? The skill applied in the previous activity will be used as you go on with the module. Activity 1: All rights reserved. No part of this material may be reproduced or transmitted in any form or by any means - electronic or mechanical including photocopying – without written permission from the DepEd Central Office. First Edition, 2015.
  • 108.
    D EPED C O PY 200 N S E T J L A Use the figurebelow to answer the following questions. 1. Which of the lines or line segments is a tangent? secant? chord? Name these lines or line segments. 2. AT intersects LN at E. What are the different segments formed? Name these segments. 3. What other segments can be seen in the figure? Name these segments. 4. SJ and LJ intersect at point J. How would you describe point J in relation to the given circle? Was it easy for you to identify the tangent and secant lines and chords and to name all the segments? I am sure it was! This time, find out the relationships among tangent, and secant segments, and external secant segments of circles by doing the next activity. Perform the following activity. Procedure: 1. In the given circle below, draw two intersecting chords BT and MN. Activity 3: Activity 2: All rights reserved. No part of this material may be reproduced or transmitted in any form or by any means - electronic or mechanical including photocopying – without written permission from the DepEd Central Office. First Edition, 2015.
  • 109.
    D EPED C O PY 201 2. Mark andlabel the point of intersection of the two chords as A. 3. With a ruler, measure the lengths of the segments formed by the intersecting chords. What is the length of each of the following segments? a. BA c. MA b. TA d. NA 4. Compare the product of BA and TA with the product of MA and NA. 5. Repeat #1 to #4 using other pairs of chords of different lengths. What conclusion can you make? Were you able to determine the relationship that exists among segments formed by intersecting chords of a circle? For sure you were able to do it. In the next activity, you will see how tangent and secant segments are used in real-life situations. Use the situation below to answer the questions that follow. You are in a hot air balloon and your eye level is 60 meters over the ocean. Suppose your line of sight is tangent to the radius of the earth like the illustration shown below. 1. How far away is the farthest point you can see over the ocean if the radius of the earth is approximately 6378 kilometers? Activity 4: All rights reserved. No part of this material may be reproduced or transmitted in any form or by any means - electronic or mechanical including photocopying – without written permission from the DepEd Central Office. First Edition, 2015.
  • 110.
    D EPED C O PY 202 E A M G S In the figure,GM and SM are secants. AM and EM are external secant segments. 2. What mathematics concepts would you apply to find the distance from where you are to any point on the horizon? How did you find the preceding activities? Are you ready to learn about tangent and secant segments? I am sure you are! From the activities done, you were able to find out how tangent and secant segments of circles are illustrated in real life. But how do the relationships among tangent and secant segments of circles facilitate finding solutions to real-life problems and making decisions? You will find these out in the activities in the next section. Before doing these activities, read and understand first some important notes on tangent and secant segments of circles and the examples presented. Theorem on Two Intersecting Chords If two chords of a circle intersect, then the product of the measures of the segments of one chord is equal to the product of the measures of the segments of the other chord. External Secant Segment An external secant segment is the part of a secant segment that is outside a circle. In the circle shown on the right, SN intersects DL at A. From the theorem, LADANASA  . S D L A N All rights reserved. No part of this material may be reproduced or transmitted in any form or by any means - electronic or mechanical including photocopying – without written permission from the DepEd Central Office. First Edition, 2015.
  • 111.
    D EPED C O PY 203 N A R I E N OC Y Theorems on SecantSegments, Tangent Segments, and External Secant Segments 1. If two secant segments are drawn to a circle from an exterior point, then the product of the lengths of one secant segment and its external secant segment is equal to the product of the lengths of the other secant segment and its external secant segment. 2. If a tangent segment and a secant segment are drawn to a circle from an exterior point, then the square of the length of the tangent segment is equal to the product of the lengths of the secant segment and its external secant segment. Learn more about Tangent and Secant Segments of a Circle through the WEB. You may open the following links. http://www.regentsprep.org/Regents/math/geom etry/GP15/CircleAngles.htm http://www.cliffsnotes.com/math/geometry/circle s/segments-of-chords-secants-tangents http://www.mathopenref.com/secantsintersecting. html http://www.ck12.org/book/CK-12-Geometry- Honors-Concepts/section/8.8/ http://www.math-worksheet.org/tangents AR and NR are secant segments drawn to the circle from an exterior point R. From the theorem, .AR IR NR ER   YO is a secant segment drawn to the circle from exterior point O. CO is a tangent segment that is also drawn to the circle from the same exterior point O. From the theorem,   2 .CO YO NO  All rights reserved. No part of this material may be reproduced or transmitted in any form or by any means - electronic or mechanical including photocopying – without written permission from the DepEd Central Office. First Edition, 2015.
  • 112.
    D EPED C O PY 204 Your goal inthis section is to apply the key concepts of tangent and secant segments of a circle. Use the mathematical ideas and the examples presented in the preceding section to answer the given activities. Name the external secant segments in each of the following figures. 1. 4. 2. 5. 3. 6. Were you able to identify the external secant segments in the given circles? In the next activity, you will apply the theorems you have learned in this lesson. Activity 5: E L R O W F I L Y M E T D S M C E O S J G R I L I F A D B J E H G K C All rights reserved. No part of this material may be reproduced or transmitted in any form or by any means - electronic or mechanical including photocopying – without written permission from the DepEd Central Office. First Edition, 2015.
  • 113.
    D EPED C O PY 205 Find the lengthof the unknown segment (x) in each of the following figures. Answer the questions that follow. 1. 6. 2. 7. 3. 8. 4. 9. 5. 10. Activity 6: 6 5 4 3 x L G A F S 4 6 5 12 xD I U G E 8 7 5 12 x O M A R N 5 6 5 4 x T E UJ N T I H S F10 8 5 x 16 9 16 x A S O R S N A E J 4 11 5 12 x x C T M S 6 4 5 6 8 5 6 x G C A M I 10 O E L x 25 5 V All rights reserved. No part of this material may be reproduced or transmitted in any form or by any means - electronic or mechanical including photocopying – without written permission from the DepEd Central Office. First Edition, 2015.
  • 114.
    D EPED C O PY 206 Questions: a. How didyou find the length of the unknown segment? What geometric relationships or theorems did you apply to come up with your answer? b. Compare your answers with those of your classmates. Did you arrive at the same answer? Explain. In the activity you have just done, were you able to apply the theorems you have learned? I am sure you were! In the next activity, you will use the theorems you have studied in this lesson. Answer the following. 1. Draw and label a circle that fits the following descriptions. a. has center L b. has secant segments MO and QO c. has external secant segments NO and PO d. has tangent segment RO 2. How was the activity you have just done? Was it easy for you to apply the theorems on secant segments and tangent segments? It was easy for sure! In this section, the discussion was about tangent and secant segments and their applications in solving real-life problems. Go back to the previous section and compare your initial ideas with the discussion. How much of your initial ideas are found in the discussion? Which ideas are different and need modification? Now that you know the important ideas about this topic, let us go deeper by moving on to the next section. Activity 7: In the figure on the right, SU and WU are secant segments and XU is a tangent segment. If 14WU , 12ST , and 4TU , find: a. VU b. XU S T W X V 14 5 4 5 12 5 U All rights reserved. No part of this material may be reproduced or transmitted in any form or by any means - electronic or mechanical including photocopying – without written permission from the DepEd Central Office. First Edition, 2015.
  • 115.
    D EPED C O PY 207 Your goal inthis section is to take a closer look at some aspects of the topic. You are going to think deeper and test further your understanding of tangents and secant segments. After doing the following activities, you should be able to answer this important question: How do tangents and secant segments of circles facilitate finding solutions to real-life problems and making decisions? Show a proof of each of the following theorems. 1. If two chords of a circle intersect, then the product of the measures of the segments of one chord is equal to the product of the measures of the segments of the other chord. 2. If two secant segments are drawn to a circle from an exterior point, then the product of the lengths of one secant segment and its external secant segment is equal to the product of the lengths of the other secant segment and its external secant segment. Activity 8: Given: AB and DE are chords of C intersecting at M. Prove: EMDMBMAM  A D B E C M Given: DP and DS are secant segments of T drawn from exterior point D. Prove: DRDSDQDP  P T S D Q R All rights reserved. No part of this material may be reproduced or transmitted in any form or by any means - electronic or mechanical including photocopying – without written permission from the DepEd Central Office. First Edition, 2015.
  • 116.
    D EPED C O PY 208 3. If atangent segment and a secant segment are drawn to a circle from an exterior point, then the square of the length of the tangent segment is equal to the product of the lengths of the secant segment and its external secant segment. Were you able to prove the theorems on intersecting chords, secant segments, and tangent segments? I am sure you did! Let us find out more about these theorems and their applications. Perform the next activity. Answer the following questions. 1. Jurene and Janel were asked to find the length of AB in the figure below. The following are their solutions. Who do you think would arrive at the correct answer? Explain your answer. Activity 9: Jurene:  7 9 10x Janel:      7 7 9 9 10x 7 x 9 10 B D C A E Given: KL and KM are tangent and secant segments, respectively, of O drawn from exterior point K. KM intersects O at N. Prove:   KNKMKL 2 K L O MN All rights reserved. No part of this material may be reproduced or transmitted in any form or by any means - electronic or mechanical including photocopying – without written permission from the DepEd Central Office. First Edition, 2015.
  • 117.
    D EPED C O PY 209 2. The figurebelow shows a sketch of a circular children’s park and the different pathways from the main road. If the distance from the main road to Gate 2 is 70 m and the length of the pathway from Gate 2 to the Exit is 50 m, about how far from the main road is Gate 1? 3. b. Suppose Anton hangs 40 pairs of light balls on the ceiling of a hall in preparation for an event. How long is the string that he needs to hang these light balls if each has a diameter of 12 cm and the point of tangency of each pair of balls is 30 cm from the ceiling? How did you find the activity? Were you able to find out some real- life applications of the different geometric relationships involving tangents and secant segments? Do you think you could cite some more real-life applications of these? I am sure you could. Try doing the next activity. Anton used strings to hang two small light balls on the ceiling as shown in the figure on the right. The broken line represents the distance from the point of tangency of the two light balls to the ceiling. a. Suppose the diameter of each light ball is 10 cm and the length of the string used to hang it is 40 cm. How far is the point of tangency of the two light balls from the ceiling? Exit Gate 1 Gate 2 Gate 3 Main Road All rights reserved. No part of this material may be reproduced or transmitted in any form or by any means - electronic or mechanical including photocopying – without written permission from the DepEd Central Office. First Edition, 2015.
  • 118.
    D EPED C O PY 210 In this section,the discussion was about your understanding of tangent and secant segments and how they are used in real life. What new realizations do you have about tangent and secant segments? How would you connect this to real life? Now that you have a deeper understanding of the topic, you are ready to do the tasks in the next section. Your goal in this section is to apply your learning to real-life situations. You will be given a practical task which will demonstrate your understanding of tangent and secant segments. Make a design of an arch bridge that would connect two places which are separated by a river, 20 m wide. Indicate on the design the different measurements of the parts of the bridge. Out of the design and the measurements of its parts, formulate problems involving tangent and secant segments, and then solve. Use the rubric provided to rate your work. Rubric for the Bridge’s Design Score Descriptors 4 The bridge’s design is accurately made, presentable, and appropriate. 3 The bridge’s design is accurately made and appropriate but not presentable. 2 The bridge’s design is not accurately made but appropriate. 1 The bridge’s design is made but not appropriate. Activity 10: All rights reserved. No part of this material may be reproduced or transmitted in any form or by any means - electronic or mechanical including photocopying – without written permission from the DepEd Central Office. First Edition, 2015.
  • 119.
    D EPED C O PY 211 Rubric on ProblemsFormulated and Solved Score Descriptors 6 Poses a more complex problem with 2 or more correct possible solutions and communicates ideas unmistakably, shows in-depth comprehension of the pertinent concepts and/or processes, and provides explanations wherever appropriate. 5 Poses a more complex problem and finishes all significant parts of the solution and communicates ideas unmistakably, shows in- depth comprehension of the pertinent concepts and/or processes. 4 Poses a complex problem and finishes all significant parts of the solution and communicates ideas unmistakably, shows in-depth comprehension of the pertinent concepts and/or processes. 3 Poses a complex problem and finishes most significant parts of the solution and communicates ideas unmistakably, shows comprehension of major concepts although neglects or misinterprets less significant ideas or details. 2 Poses a problem and finishes some significant parts of the solution and communicates ideas unmistakably but shows gaps on theoretical comprehension. 1 Poses a problem but demonstrates minor comprehension, not being able to develop an approach. Source: D.O. #73, s. 2012 In this section, your task was to formulate problems where tangent and secant segments of circles are illustrated. How did you find the performance task? How did the task help you realize the importance of the topic in real life? SUMMARY/SYNTHESIS/GENERALIZATION This lesson was about the geometric relationships involving tangent and secant segments. In this lesson, you were able to find the lengths of segments formed by tangents and secants. You were also given the opportunity to design something practical where tangent and secant segments are illustrated or applied. Then, you were asked to formulate and solve problems out of this design. Your understanding of this lesson and other previously learned mathematics concepts and principles will facilitate your learning of the succeeding lessons in mathematics. All rights reserved. No part of this material may be reproduced or transmitted in any form or by any means - electronic or mechanical including photocopying – without written permission from the DepEd Central Office. First Edition, 2015.
  • 120.
    D EPED C O PY 212 GLOSSARY OF TERMS Arc– a part of a circle Arc Length – the length of an arc which can be determined by using the proportion r lA   2360 , where A is the degree measure of this arc, r is the radius of the circle, and l is the arc length Central Angle – an angle formed by two rays whose vertex is the center of the circle Common External Tangents – tangents which do not intersect the segment joining the centers of the two circles Common Internal Tangents – tangents that intersect the segment joining the centers of the two circles Common Tangent – a line that is tangent to two circles on the same plane Congruent Arcs – arcs of the same circle or of congruent circles with equal measures Congruent Circles – circles with congruent radii Degree Measure of a Major Arc – the measure of a major arc that is equal to 360 minus the measure of the minor arc with the same endpoints Degree Measure of a Minor Arc – the measure of the central angle which intercepts the arc External Secant Segment – the part of a secant segment that is outside a circle Inscribed Angle – an angle whose vertex is on a circle and whose sides contain chords of the circle Intercepted Arc – an arc that lies in the interior of an inscribed angle and has endpoints on the angle Major Arc – an arc of a circle whose measure is greater than that of a semicircle All rights reserved. No part of this material may be reproduced or transmitted in any form or by any means - electronic or mechanical including photocopying – without written permission from the DepEd Central Office. First Edition, 2015.
  • 121.
    D EPED C O PY 213 Minor Arc –an arc of a circle whose measure is less than that of a semicircle Point of Tangency – the point of intersection of the tangent line and the circle Secant – a line that intersects a circle at exactly two points. A secant contains a chord of a circle Sector of a Circle – the region bounded by an arc of the circle and the two radii to the endpoints of the arc Segment of a Circle – the region bounded by an arc and the segment joining its endpoints Semicircle – an arc measuring one-half the circumference of a circle Tangent to a Circle – a line coplanar with the circle and intersects it at one and only one point LIST OF THEOREMS AND POSTULATES ON CIRCLES Postulates: 1. Arc Addition Postulate. The measure of an arc formed by two adjacent arcs is the sum of the measures of the two arcs. 2. At a given point on a circle, one and only one line can be drawn that is tangent to the circle. Theorems: 1. In a circle or in congruent circles, two minor arcs are congruent if and only if their corresponding central angles are congruent. 2. In a circle or in congruent circles, two minor arcs are congruent if and only if their corresponding chords are congruent. 3. In a circle, a diameter bisects a chord and an arc with the same endpoints if and only if it is perpendicular to the chord. 4. If an angle is inscribed in a circle, then the measure of the angle equals one-half the measure of its intercepted arc (or the measure of the intercepted arc is twice the measure of the inscribed angle). All rights reserved. No part of this material may be reproduced or transmitted in any form or by any means - electronic or mechanical including photocopying – without written permission from the DepEd Central Office. First Edition, 2015.
  • 122.
    D EPED C O PY 214 5. If twoinscribed angles of a circle (or congruent circles) intercept congruent arcs or the same arc, then the angles are congruent. 6. If an inscribed angle of a circle intercepts a semicircle, then the angle is a right angle. 7. If a quadrilateral is inscribed in a circle, then its opposite angles are supplementary. 8. If a line is tangent to a circle, then it is perpendicular to the radius drawn to the point of tangency. 9. If a line is perpendicular to a radius of a circle at its endpoint that is on the circle, then the line is tangent to the circle. 10. If two segments from the same exterior point are tangent to a circle, then the two segments are congruent. 11. If two secants intersect in the exterior of a circle, then the measure of the angle formed is one-half the positive difference of the measures of the intercepted arcs. 12. If a secant and a tangent intersect in the exterior of a circle, then the measure of the angle formed is one-half the positive difference of the measures of the intercepted arcs. 13. If two tangents intersect in the exterior of a circle, then the measure of the angle formed is one-half the positive difference of the measures of the intercepted arcs. 14. If two secants intersect in the interior of a circle, then the measure of an angle formed is one-half the sum of the measures of the arcs intercepted by the angle and its vertical angle. 15. If a secant and a tangent intersect at the point of tangency, then the measure of each angle formed is one-half the measure of its intercepted arc. 16. If two chords of a circle intersect, then the product of the measures of the segments of one chord is equal to the product of the measures of the segments of the other chord. All rights reserved. No part of this material may be reproduced or transmitted in any form or by any means - electronic or mechanical including photocopying – without written permission from the DepEd Central Office. First Edition, 2015.
  • 123.
    D EPED C O PY 215 17. If twosecant segments are drawn to a circle from an exterior point, then the product of the lengths of one secant segment and its external secant segment is equal to the product of the lengths of the other secant segment and its external secant segment. 18. If a tangent segment and a secant segment are drawn to a circle from an exterior point, then the square of the length of the tangent segment is equal to the product of the lengths of the secant segment and its external secant segment. DepEd Instructional Materials That Can Be Used as Additional Resources 1. Basic Education Assistance for Mindanao (BEAM) Learning Guide, Third Year Mathematics. Module 18: Circles and Their Properties. 2. Distance Learning Module (DLM) 3, Modules 1 and 2: Circles. REFERENCES AND WEBSITE LINKS USED IN THIS MODULE: References: Bass, Laurie E., Randall, I. Charles, Basia Hall, Art Johnson, and Kennedy, D. Texas Geometry. Pearson Prentice Hall, Boston, Massachusetts 02116, 2008. Bass, Laurie E., Rinesmith Hall B., Johnson A., and Wood, D. F. Prentice Hall Geometry Tools for a Changing World. Prentice-Hall, Inc., NJ, USA, 1998. Boyd, Cummins, Malloy, Carter, and Flores. Glencoe McGraw-Hill Geometry. The McGraw-Hill Companies, Inc., USA, 2008. Callanta, Melvin M. Infinity, Worktext in Mathematics III. EUREKA Scholastic Publishing, Inc., Makati City, 2012. Chapin, Illingworth, Landau, Masingila, and McCracken. Prentice Hall Middle Grades Math, Tools for Success, Prentice-Hall, Inc., Upper Saddle River, New Jersey, 1997. Cifarelli, Victor, et al. cK-12 Geometry, Flexbook Next Generation Textbooks, Creative Commons Attribution-Share Alike, USA, 2009. All rights reserved. No part of this material may be reproduced or transmitted in any form or by any means - electronic or mechanical including photocopying – without written permission from the DepEd Central Office. First Edition, 2015.
  • 124.
    D EPED C O PY 216 Clemens, Stanley R.,Phares G. O’Daffer, Thomas J. Cooney, and John A. Dossey. Addison-Wesley Geometry. Addison-Wesley Publishing Company, Inc., USA, 1990. Clements, D. H., Jones, K. W., Moseley, L. B., and Schulman, L. Math in My World, McGraw-Hill Division, Farmington, New York, 1999. Department of Education. K to 12 Curriculum Guide Mathematics, Department of Education, Philippines, 2012. Gantert, Ann Xavier. AMSCO’s Geometry. AMSCO School Publications, Inc., NY, USA, 2008. Renfro, Freddie L. Addison-Wesley Geometry Teacher’s Edition. Addison- Wesley Publishing Company, Inc., USA, 1992. Rich, Barnett and Christopher Thomas. Schaum’s Outlines Geometry Fourth Edition. The McGraw-Hill Companies, Inc., USA, 2009. Smith, Stanley A., Charles W. Nelson, Roberta K. Koss, Mervin L. Keedy, and Marvin L. Bittinger. Addison-Wesley Informal Geometry. Addison- Wesley Publishing Company, Inc., USA, 1992. Wilson, Patricia S., et al. Mathematics, Applications and Connections, Course I, Glencoe Division of Macmillan/McGraw-Hill Publishing Company, Westerville, Ohio, 1993. All rights reserved. No part of this material may be reproduced or transmitted in any form or by any means - electronic or mechanical including photocopying – without written permission from the DepEd Central Office. First Edition, 2015.
  • 125.
    D EPED C O PY 217 Website Links asReferences and Sources of Learning Activities: CK-12 Foundation. cK-12 Inscribed Angles. (2014). Retrieved June 29, 2014, from http://www.ck12.org/book/CK-12-Geometry-Honors-Concepts/ section/8.7/ CK-12 Foundation. cK-12 Secant Lines to Circles. (2014). Retrieved June 29, 2014, from http://www.ck12.org/book/CK-12-Geometry-Honors-Concepts/ section/8.8/ CK-12 Foundation. cK-12 Tangent Lines to Circles. (2014). Retrieved June 29, 2014, from http://www.ck12.org/book/CK-12-Geometry-Honors-Concepts/ section/8.4/ Houghton Mifflin Harcourt. CliffsNotes. Arcs and Inscribed Angles. (2013). Retrieved June 29, 2014, from http://www.cliffsnotes.com/math/geometry/ circles/arcs-and-inscribed-angles Houghton Mifflin Harcourt. CliffsNotes. Segments of Chords, Secants, and Tangents. (2013). Retrieved June 29, 2014, from http://www.cliffsnotes.com/math/geometry/circles/segments-of-chords- secants-tangents Math Open Reference. Arc. (2009). Retrieved June 29, 2014, from http://www.mathopenref.com/arc.html Math Open Reference. Arc Length. (2009). Retrieved June 29, 2014, from http://www.mathopenref.com/arclength.html Math Open Reference. Central Angle. (2009). Retrieved June 29, 2014, from http://www.mathopenref.com/circlecentral.html Math Open Reference. Central Angle Theorem. (2009). Retrieved June 29, 2014, from http://www.mathopenref.com/arccentralangletheorem.html Math Open Reference. Chord. (2009). Retrieved June 29, 2014, from http://www.mathopenref.com/chord.html Math Open Reference. Inscribed Angle. (2009). Retrieved June 29, 2014, from http://www.mathopenref.com/circleinscribed.html Math Open Reference. Intersecting Secants Theorem. (2009). Retrieved June 29, 2014, from http://www.mathopenref.com/secantsintersecting.html All rights reserved. No part of this material may be reproduced or transmitted in any form or by any means - electronic or mechanical including photocopying – without written permission from the DepEd Central Office. First Edition, 2015.
  • 126.
    D EPED C O PY 218 Math Open Reference.Sector. (2009). Retrieved June 29, 2014, from http://www.mathopenref.com/arcsector.html Math Open Reference. Segment. (2009). Retrieved June 29, 2014, from http://www.mathopenref.com/segment.html math-worksheet.org. Free Math Worksheets. Arc Length and Sector Area. (2014). Retrieved June 29, 2014, from http://www.math-worksheet.org/arc- length-and-sector-area math-worksheet.org. Free Math Worksheets. Inscribed Angles. (2014). Retrieved June 29, 2014, from http://www.math-worksheet.org/inscribed- angles math-worksheet.org. Free Math Worksheets. Secant-Tangent Angles. (2014). Retrieved June 29, 2014, from http://www.math-worksheet.org/secant- tangent-angles math-worksheet.org. Free Math Worksheets. Tangents. (2014). Retrieved June 29, 2014, from http://www.math-worksheet.org/tangents OnlineMathLearning.com. Circle Theorems. (2013). Retrieved June 29, 2014, from http://www.onlinemathlearning.com/circle-theorems.html Roberts, Donna. Oswego City School District Regents exam Prep Center. Geometry Lesson Page. Formulas for Angles in Circles Formed by Radii, Chords, Tangents, Secants. (2012). Retrieved June 29, 2014, from http://www.regentsprep.org/Regents/math/geometry/ GP15/CircleAngles.htm Website Links for Videos: Coach, Learn. NCEA Maths Level 1 Geometric reasoning: Angles Within Circles. (2012). Retrieved June 29, 2014, from http://www.youtube.com/watch?v=jUAHw-JIobc Khan Academy. Equation for a circle using the Pythagorean Theorem. Retrieved June 29, 2014, from https://www.khanacademy.org/math/geometry/cc-geometry-circles Schmidt, Larry. Angles and Arcs Formed by Tangents, Secants, and Chords. (2013).Retrieved June 29, 2014, from http://www.youtube.com/watch?v=I- RyXI7h1bM Sophia.org. Geometry. Circles. (2014). Retrieved June 29, 2014, from http://www.sophia.org/topics/circles All rights reserved. No part of this material may be reproduced or transmitted in any form or by any means - electronic or mechanical including photocopying – without written permission from the DepEd Central Office. First Edition, 2015.
  • 127.
    D EPED C O PY 219 Website Links forImages: Cherry Valley Nursery and Landscape Supply. Seasonal Colors Flowers and Plants. (2014). Retrieved June 29, 2014 from http://www.cherryvalleynursery.com/ eBay Inc. Commodore Holden CSA Mullins pursuit mag wheel 17 inch genuine - 4blok #34. (2014). Retrieved June 29, 2014, from http://www.ebay.com.au/itm/Commodore-Holden-CSA-Mullins-pursuit-mag- wheel-17-inch-genuine-4blok-34-/221275049465 Fort Worth Weekly. Facebook Fact: Cowboys Are World’s Team. (2012) . Retrieved June 29, 2014 from http://www.fwweekly.com/2012/08/21/ facebook-fact-cowboys-now-worlds-team/ GlobalMotion Media Inc. Circular Quay, Sydney Harbour to Historic Hunter's Hill Photos. (2013). Retrieved June 29, 2014 from http://www.everytrail.com/ guide/circular-quay-sydney-harbour-to-historic-hunters-hill/photos HiSupplier.com Online Inc. Shandong Sun Paper Industry Joint Stock Co.,Ltd. Retrieved June 29, 2014, from http://pappapers.en.hisupplier.com/product- 66751-Art-Boards.html Kable. Slip-Sliding Away. (2014). Retrieved June 29, 2014, from http://www.offshore-technology.com/features/feature1674/feature1674-5.html Materia Geek. Nikon D500 presentada officialmente. (2009). Retrieved June 29, 2014 from http://materiageek.com/2009/04/nikon-d5000-presentada- oficialmente/ Piatt, Andy. Dreamstime.com. Rainbow Stripe Hot Air Balloon. Retrieved June 29, 2014, from http://thumbs.dreamstime.com/z/rainbow-stripe-hot-air- balloon-788611.jpg Regents of the University of Colorado. Nautical Navigation. (2014). Retrieved June 29, 2014, from http://www.teachengineering.org/view_activity.php?url= collection/cub_/activities/cub_navigation/cub_navigation_lesson07_activity1.xml All rights reserved. No part of this material may be reproduced or transmitted in any form or by any means - electronic or mechanical including photocopying – without written permission from the DepEd Central Office. First Edition, 2015.
  • 128.
    D EPED C O PY 220 Sambhav Transmission. IndustrialPulleys. Retrieved June 29, 2014 from http://www.indiamart.com/sambhav-transmission/industrial-pulleys.html shadefxcanopies.com. Flower Picture Gallery, Garden Pergola Canopies. Retrieved June 29, 2014, from http://www.flowerpicturegallery.com/v/halifax- public-gardens/Circular+mini+garden+with+white+red+flowers+and+ dark+grass+in+the+middle+at+Halifax+Public+Gardens.jpg.html Tidwell, Jen. Home Sweet House. (2012). Retrieved June 29, 2014 from http://youveneverheardofjentidwell.com/2012/03/02/home-sweet-house/ Weston Digital Services. FWR Motorcycles LTD. CHAINS AND SPROCKETS. (2014). Retrieved June 29, 2014 from http://fwrm.co.uk/index.php?main_page=index&cPath=585&zenid=10omr4he hmnbkktbl94th0mlp6 All rights reserved. No part of this material may be reproduced or transmitted in any form or by any means - electronic or mechanical including photocopying – without written permission from the DepEd Central Office. First Edition, 2015.
  • 129.
    D EPED C O PY 221 I. INTRODUCTION Look around!What geometric figures do you see in your classroom, school buildings, houses, bridges, roads, and other structures? Have you ever asked yourself how geometric figures helped in planning the construction of these structures? In your community or province, was there any instance when a stranger or a tourist asked you about the location of a place or a landmark? Were you able to give the right direction and how far it is? If not, could you give the right information the next time somebody asks you the same question? Find out the answers to these questions and determine the vast applications of plane coordinate geometry through this module. All rights reserved. No part of this material may be reproduced or transmitted in any form or by any means - electronic or mechanical including photocopying – without written permission from the DepEd Central Office. First Edition, 2015.
  • 130.
    D EPED C O PY 222 II. LESSONS ANDCOVERAGE: In this module, you will examine the questions asked in the preceding page when you take the following lessons: Lesson 1 – The Distance Formula, The Midpoint, and The Coordinate Proof Lesson 2 – The Equation of a Circle In these lessons, you will learn to: Lesson 1  derive the distance formula;  apply the distance formula in proving some geometric properties;  graph geometric figures on the coordinate plane; and  solve problems involving the distance formula. Lesson 2  illustrate the center-radius form of the equation of a circle;  determine the center and radius of a circle given its equation and vice versa;  graph a circle on the coordinate plane; and  solve problems involving circles on the coordinate plane. Here is a simple map of the lessons that will be covered in this module: Plane Coordinate Geometry Problems Involving Geometric Figures on the Coordinate Plane The Distance Formula The Midpoint Formula Coordinate Proof The Equation and Graph of a Circle All rights reserved. No part of this material may be reproduced or transmitted in any form or by any means - electronic or mechanical including photocopying – without written permission from the DepEd Central Office. First Edition, 2015.
  • 131.
    D EPED C O PY 223 III. PRE-ASSESSMENT Part I Findout how much you already know about this module. Choose the letter that you think best answers each of the following questions. Take note of the items that you were not able to answer correctly and find the right answer as you go through this module. 1. Which of the following represents the distance d between the two points  1 1 ,x y and  2 2 ,x y ? A.     2 2 2 1 2 1 d x x y y    C.     2 2 2 1 2 1 d x x y y    B.     2 2 2 1 2 1 d x x y y    D.     2 2 2 1 2 1 d x x y y    2. Point L is the midpoint of KM . Which of the following is true about the distances among K, L, and M? A. KMKL  C. LMKL  B. KMLM  D. LMKLKM 2 3. A map is drawn on a grid where 1 unit is equivalent to 1 km. On the same map, the coordinates of the point corresponding to San Vicente is (4, 9). Suppose San Vicente is 13 km away from San Luis. Which of the following could be the coordinates of the point corresponding to San Luis? A. (-13, 0) B. (16, 4) C. (4, 16) D. (0, 13) 4. What is the distance between the points M(-3,1) and N(7,-3)? A. 6 B. C. 14 D. 5. Which of the following represents the midpoint M of the segment whose endpoints are  1 1 ,x y and  2 2 ,x y ? A. 1 2 1 2 , 2 2 x x y y M         C. 1 1 2 2 , 2 2 x y x y M         B. 1 2 1 2 , 2 2 x x y y M         D. 1 1 2 2 , 2 2 x y x y M         6. What are the coordinates of the midpoint of a segment whose endpoints are (-1, -3) and (11, 7)? A. (2, 5) B. (6, 5) C. (-5, -2) D. (5, 2) All rights reserved. No part of this material may be reproduced or transmitted in any form or by any means - electronic or mechanical including photocopying – without written permission from the DepEd Central Office. First Edition, 2015.
  • 132.
    D EPED C O PY 224 7. Which ofthe following equations describe a circle on the coordinate plane with a radius of 4 units? A.     2 2 2 4 4 2x y    C.     2 2 2 2 2 4x y    B.     2 2 2 2 2 4x y    D.     2 2 2 4 4 16x y    8. P and Q are points on the coordinate plane as shown in the figure below. If the coordinates of P and Q are  52, and  58, , respectively, which of the following would give the distance between the two points? A. 52  B. 58  C. 28  D. 82  9. A new transmission tower will be put up midway between two existing towers. On a map drawn on a coordinate plane, the coordinates of the first existing tower are (–5, –3) and the coordinates of the second existing tower are (9,13). What are the coordinates of the point where the new tower will be placed? A. (2, 5) B. (7, 8) C. (4, 10) D. (14, 16) 10. What proof uses figures on a coordinate plane to prove geometric properties? A. indirect proof C. coordinate proof B. direct proof D. two-column proof 11. The coordinates of the vertices of a square are H(3, 8), I(15, 8), J(15, –4), and K(3, –4). What is the length of a diagonal of the square? A. 4 B. 8 C. 12 D. 212 12. The coordinates of the vertices of a triangle are T(–1, –3), O(7, 5), and P(7, –2). What is the length of the segment joining the midpoint of OT and P? A. 5 B. 4 C. 3 D. 7 y x All rights reserved. No part of this material may be reproduced or transmitted in any form or by any means - electronic or mechanical including photocopying – without written permission from the DepEd Central Office. First Edition, 2015.
  • 133.
    D EPED C O PY 225 13. What figureis formed when the points A(3, 7), B(11, 10), C(11, 5), and D(3, 2) are connected consecutively? A. parallelogram C. square B. trapezoid D. rectangle 14. In the parallelogram below, what are the coordinates of Q? A. (a, b+c) B. (a+b,c) C. (a-b,c) D. (a,b-c) 15. Diana, Jolina, and Patricia live in three different places. The location of their houses are shown on a coordinate plane below. About how far is Jolina’s house from Diana’s house? A. 10 units B. 10.58 units C. 11.4 units D. 12 units 16. What is the center of the circle 2 2 4 10 13 0x y x y     ? A. (2, 5) B. (–2, 5) C. (2, –5) D. (–2, –5) S(0, 0) R(b, 0) P(a, c) Q Diana Jolina Patricia x y All rights reserved. No part of this material may be reproduced or transmitted in any form or by any means - electronic or mechanical including photocopying – without written permission from the DepEd Central Office. First Edition, 2015.
  • 134.
    D EPED C O PY 226 17. Point Fis 5 units from point D whose coordinates are (6, 2). If the x-coordinate of F is 10 and lies in the first quadrant, what is its y-coordinate? A. -3 B. -1 C. 5 D. 7 18. The endpoints of a diameter of a circle are L(–3, –2) and G(9, –6). What is the length of the radius of the circle? A. 10 B. 2 10 C. 4 10 D. 108 19. A radius of a circle has endpoints (4, –1) and (8, 2). What is the equation that defines the circle if its center is at the fourth quadrant? A.     2 2 8 2 25x y    C.     2 2 8 2 100x y    B.     2 2 4 1 100x y    D.     2 2 4 1 25x y    20. On a grid map of a province, the coordinates that correspond to the location of a cellular phone tower is (–2, 8) and it can transmit signals up to a 12 km radius. What is the equation that represents the transmission boundaries of the tower? A. 2 2 4 16 76 0x y x y     C. 2 2 4 16 76 0x y x y     B. 2 2 4 16 76 0x y x y     D. 2 2 4 16 76 0x y x y     Part II Solve each of the following problems. Show your complete solutions. 1. A tracking device in a car indicates that it is located at a point whose coordinates are (17, 14). In the tracking device, each unit on the grid is equivalent to 5 km. How far is the car from its starting point whose coordinates are (1, 2)? 2. A radio signal can transmit messages up to a distance of 3 km. If the radio signal’s origin is located at a point whose coordinates are (4, 9), what is the equation of the circle that defines the boundary up to which the messages can be transmitted? Rubric for Problem Solving Score Descriptors 4 Used an appropriate strategy to come up with a correct solution and arrived at a correct answer. 3 Used an appropriate strategy to come up with a solution. But a part of the solution led to an incorrect answer. 2 Used an appropriate strategy but came up with an entirely wrong solution that led to an incorrect answer. 1 Attempted to solve the problem but used an inappropriate strategy that led to a wrong solution. All rights reserved. No part of this material may be reproduced or transmitted in any form or by any means - electronic or mechanical including photocopying – without written permission from the DepEd Central Office. First Edition, 2015.
  • 135.
    D EPED C O PY 227 Part III Read andunderstand the situation below, then answer the question or perform what are asked. The Scout Master of your school was informed that the Provincial Boy Scouts Jamboree will be held in your municipality. He was assigned to prepare the area that will accommodate the delegates from 30 municipalities. It is expected that around 200 boy scouts will join the jamboree from each municipality. To prepare for the event, he made an ocular inspection of the area where the jamboree will be held. The area is rectangular in shape and is large enough for the delegates to set up their tents and other camping structures. Aside from these, there is also a provision for the jamboree headquarter, medics quarter in case of emergency and other health needs, walkways, and roads, security posts, and a large ground where the different boy scouts events will be held. Aside from conducting an ocular inspection, he was also tasked to prepare a large ground plan to be displayed in front of the camp site. Copies of the ground plan will also be given to heads of the different delegations. 1. Suppose you are the Scout Master, how will you prepare the ground plan of the Boy Scouts jamboree? 2. Prepare the ground plan. Use a piece of paper with a grid and coordinate axes. Indicate the scale used. 3. On the grid paper, indicate the proposed locations of the different delegations, the jamboree headquarter, medics quarter, walkways and roads, security posts, and the boy scouts event ground. 4. Determine all the mathematics concepts or principles already learned that are illustrated in the prepared ground plan. 5. Formulate equations and problems involving these mathematics concepts or principles, then solve. Rubric for Ground Plan Score Descriptors 4 The ground plan is accurately made, appropriate, and presentable. 3 The ground plan is accurately made and appropriate but not presentable. 2 The ground plan is not accurately made but appropriate. 1 The ground plan is not accurately made and not appropriate. All rights reserved. No part of this material may be reproduced or transmitted in any form or by any means - electronic or mechanical including photocopying – without written permission from the DepEd Central Office. First Edition, 2015.
  • 136.
    D EPED C O PY 228 Rubric for EquationsFormulated and Solved Score Descriptors 4 All equations are properly formulated and solved correctly. 3 All equations are properly formulated but some are not solved correctly. 2 All equations are properly formulated but at least 3 are not solved correctly. 1 All equations are not properly formulated and solved. Rubric on Problems Formulated and Solved Score Descriptors 6 Poses a more complex problem with 2 or more correct possible solutions and communicates ideas unmistakably, shows in- depth comprehension of the pertinent concepts and/or processes, and provides explanations wherever appropriate 5 Poses a more complex problem and finishes all significant parts of the solution and communicates ideas unmistakably, shows in-depth comprehension of the pertinent concepts and/or processes 4 Poses a complex problem and finishes all significant parts of the solution and communicates ideas unmistakably, shows in- depth comprehension of the pertinent concepts and/or processes 3 Poses a complex problem and finishes most significant parts of the solution and communicates ideas unmistakably, shows comprehension of major concepts although neglects or misinterprets less significant ideas or details 2 Poses a problem and finishes some significant parts of the solution and communicates ideas unmistakably but shows gaps on theoretical comprehension 1 Poses a problem but demonstrates minor comprehension, not being able to develop an approach Source: D.O. #73, s. 2012 IV. LEARNING GOALS AND TARGETS: After going through this module, you should be able to demonstrate understanding of key concepts of plane coordinate geometry particularly the distance formula, equation of a circle, and the graphs of circles and other geometric figures. Also, you should be able to formulate and solve problems involving geometric figures on the rectangular coordinate plane. All rights reserved. No part of this material may be reproduced or transmitted in any form or by any means - electronic or mechanical including photocopying – without written permission from the DepEd Central Office. First Edition, 2015.
  • 137.
    D EPED C O PY 229 Start Lesson 1of this module by assessing your knowledge of the different mathematical concepts previously studied and your skills in performing mathematical operations. These knowledge and skills will help you understand the distance formula. As you go through this lesson, think of this important question: How do the distance formula, the midpoint formula, and the coordinate proof facilitate finding solutions to real-life problems and making wise decisions? To find the answer, perform each activity. If you find any difficulty in answering the exercises, seek the assistance of your teacher or peers or refer to the modules you have studied earlier. You may check your work with your teacher. Use the number line below to find the length of each of the following segments and then answer the questions that follow. 1. AB 4. DE 2. BC 5. EF 3. CD 6. FG Questions: 1. How did you find the length of each segment? 2. Did you use the coordinates of the points in finding the length of each segment? If yes, how? 3. Which segments are congruent? Why? 4. How would you relate the lengths of the following segments? d.1) AB, BC , and AC d.2) AC , CE , and AE A GFECB Q D Activity 1: All rights reserved. No part of this material may be reproduced or transmitted in any form or by any means - electronic or mechanical including photocopying – without written permission from the DepEd Central Office. First Edition, 2015.
  • 138.
    D EPED C O PY 230 5. Is thelength of AD the same as the length of DA? How about BF and FB ? Explain your answer. Were you able to determine the length of each segment? Were you able to come up with relationships among the segments based on their lengths? What do you think is the significance of this activity in relation to your new lesson? Find this out as you go through this module. The length of one side of each right triangle below is unknown. Determine the length of this side. Explain how you obtained your answer. 1. 4. 2. 5. 3. 6. In the activity, you have just done, were you able to determine the length of the unknown side of each right triangle? I know you were able to do it! The mathematics principles you applied in finding each unknown side is related to your new lesson, the distance formula. Do you know why? Find this out in the succeeding activities! Activity 2: 6 ? 4 8 12 ? ? 24 18 3 ? 4 9 15 ? 5 13 ? All rights reserved. No part of this material may be reproduced or transmitted in any form or by any means - electronic or mechanical including photocopying – without written permission from the DepEd Central Office. First Edition, 2015.
  • 139.
    D EPED C O PY 231 Use the situationbelow to answer the questions that follow. Jose lives 5 km away from the plaza. Every Saturday, he meets Emilio and Diego for a morning exercise. In going to the plaza, Emilio has to travel 6 km to the west while Diego has to travel 8 km to the south. The location of their houses and the plaza are illustrated on the coordinate plane as shown below. 1. How far is Emilio’s house from Diego’s house? Explain your answer. 2. Suppose the City Hall is 4 km north of Jose’s house. How far is it from the plaza? from Emilio’s house? Explain your answer. 3. How far is the gasoline station from Jose’s house if it is km south of Emilio’s house? Explain your answer. 4. What are the coordinates of the points corresponding to the houses of Jose, Emilio, and Diego? How about the coordinates of the point corresponding to the plaza? Activity 3: Emilio’s house Diego’s house Plaza y x City Hall Gasoline Station Jose’s house All rights reserved. No part of this material may be reproduced or transmitted in any form or by any means - electronic or mechanical including photocopying – without written permission from the DepEd Central Office. First Edition, 2015.
  • 140.
    D EPED C O PY 232 5. If theCity Hall is km north of Jose’s house, what are the coordinates of the point corresponding to it? How about the coordinates of the point corresponding to the gasoline station if it is km south of Emilio’s house? 6. How are you going to use the coordinates of the points in determining the distance between Emilio’s house and the City Hall? Jose’s house and the gasoline station? The distances of the houses of Jose, Emilio, and Diego from each other? Explain your answer. Did you learn something new about finding the distance between two objects? How is it different from or similar with the methods you have learned before? Learn about the distance formula and its derivation by doing the next activity. Perform the following activity. Answer every question that follows. 1. Plot the points A(2,1) and B(8,9) on the coordinate plane below. 2. Draw a horizontal line passing through A and a vertical line containing B. 3. Mark and label the point of intersection of the two lines as C. What are the coordinates of C? Explain how you obtained your answer. What is the distance between A and C? How about the distance between B and C? Activity 4: x y All rights reserved. No part of this material may be reproduced or transmitted in any form or by any means - electronic or mechanical including photocopying – without written permission from the DepEd Central Office. First Edition, 2015.
  • 141.
    D EPED C O PY 233 4. Connect Aand B by a line segment. What kind of triangle is formed by A, B, and C? Explain your answer. How will you find the distance between A and B? What is AB equal to? 5. Replace the coordinates of A by (x1, y1) and B by (x2, y2). What would be the resulting coordinates of C? What expression represents the distance between A and C? How about the expression that represents the distance between B and C? What equation will you use to find the distance between A and B? Explain your answer. How did you find the preceding activities? Are you ready to learn about the distance formula and its real-life applications? I am sure you are! From the activities done, you were able to find the distance between two points or places using the methods previously learned. You were able to derive also the distance formula. But how does the distance formula facilitate solving real-life problems and making wise decisions? You will find these out in the activities in the next section. Before doing these activities, read and understand first some important notes on the distance formula including the midpoint formula and the coordinate proof. Understand very well the examples presented so that you will be guided in doing the succeeding activities. All rights reserved. No part of this material may be reproduced or transmitted in any form or by any means - electronic or mechanical including photocopying – without written permission from the DepEd Central Office. First Edition, 2015.
  • 142.
    D EPED C O PY 234 Distance between TwoPoints The distance between two points is always nonnegative. It is positive when the two points are different, and zero if the points are the same. If P and Q are two points, then the distance from P to Q is the same as the distance from Q to P. That is, PQ = QP. Consider two points that are aligned horizontally or vertically on the coordinate plane. The horizontal distance between these points is the absolute value of the difference of their x-coordinates. Likewise, the vertical distance between these points is the absolute value of the difference of their y-coordinates. Example 1: Find the distance between P(3, 2) and Q(10, 2). Solution: Since P and Q are aligned horizontally, then 310 PQ or 7PQ . Example 2: Determine the distance between A(4, 3) and B(4, –5). Solution: y x QP y x Points A and B are on the same vertical line. So the distance between them is  53 AB . This can be simplified to 53 AB or 8AB . All rights reserved. No part of this material may be reproduced or transmitted in any form or by any means - electronic or mechanical including photocopying – without written permission from the DepEd Central Office. First Edition, 2015.
  • 143.
    D EPED C O PY 235 The Distance Formula Thedistance between two points, whether or not they are aligned horizontally or vertically, can be determined using the distance formula. Consider the points P and Q whose coordinates are (x1, y1) and (x2, y2), respectively. The distance d between these points can be determined using the distance formula     2 2 2 1 2 1 d x x y y    or     2 2 2 1 2 1 PQ x x y y    . Example 1: Find the distance between P(1, 3) and Q(7, 11). Solution: To find the distance between P and Q, the following procedures can be followed. 1. Let  1 1,x y = (1, 3) and  2 2,x y = (7, 11). 2. Substitute the corresponding values of 1 1 2 2 , , , andx y x y in the distance formula     2 2 2 1 2 1 PQ x x y y    . y x P(x1, y1) Q(x2, y2) PQ All rights reserved. No part of this material may be reproduced or transmitted in any form or by any means - electronic or mechanical including photocopying – without written permission from the DepEd Central Office. First Edition, 2015.
  • 144.
    D EPED C O PY 236 3. Solve theresulting equation.    22 31117 PQ    22 86  6436  100 10PQ The distance between P and Q is 10 units. Example 2: Determine the distance between A(1, 6) and B(5, –2). Solution: Let 11 x , 61 y , 52 x , and 2y 2.  Then substitute these values in the formula    2 12 2 12 yyxxAB  .    22 6215 AB Simplify.    22 6215 AB    22 84  6416  80 516 54AB or 948.AB  The distance between A and B is 54 units or approximately 8.94 units. The distance formula has many applications in real life. In particular, it can be used to find the distance between two objects or places. Example 3: A map showing the locations of different municipalities and cities is drawn on a coordinate plane. Each unit on the coordinate plane is equivalent to 6 kilometers. Suppose the coordinates of Mabini City is (2, 2) and Sta. Lucia town is (6, 8). What is the shortest distance between these two places? All rights reserved. No part of this material may be reproduced or transmitted in any form or by any means - electronic or mechanical including photocopying – without written permission from the DepEd Central Office. First Edition, 2015.
  • 145.
    D EPED C O PY 237 Solution: Let 1 2x , 1 2y  , 2 6x  , and 2 8.y Then substitute these values into the distance formula     2 2 2 1 2 1 d x x y y    .     2 2 6 2 8 2d     Simplify the expression.     2 2 6 2 8 2d         2 2 4 6  16 36  52 2 13d  units or 7.21d  units Since 1 unit on the coordinate plane is equivalent to 6 units, multiply the obtained value of d by 6 to get the distance between Sta. Lucia town and Mabini City.   7.21 6 43.26 The distance between Sta. Lucia town and Mabini City is approximately 43.26 km. All rights reserved. No part of this material may be reproduced or transmitted in any form or by any means - electronic or mechanical including photocopying – without written permission from the DepEd Central Office. First Edition, 2015.
  • 146.
    D EPED C O PY 238 The Midpoint Formula If 1 1 ,L x y and  2 2 ,N x y are the endpoints of a segment and M is the midpoint, then the coordinates of M = 1 2 1 2 , 2 2 x x y y       . This is also referred to as the Midpoint Formula. Example: The coordinates of the endpoints of LG are  23  , and (8, 9), respectively. What are the coordinates of its midpoint M? Solution: Let 31 x , 21 y , 82 x , and 92 y . Substitute these values into the formula 1 2 1 2 , 2 2 x x y y M         . 3 8 2 9 , 2 2 M           or 5 7 , 2 2 M        The coordinates of the midpoint of LG are 5 7 , 2 2       . x y  1 1 ,L x y  2 2 ,N x y 1 2 1 2 , 2 2 x x y y M        All rights reserved. No part of this material may be reproduced or transmitted in any form or by any means - electronic or mechanical including photocopying – without written permission from the DepEd Central Office. First Edition, 2015.
  • 147.
    D EPED C O PY 239 Using the DistanceFormula in Proving Geometric Properties Many geometric properties can be proven by using a coordinate plane. A proof that uses figures on a coordinate plane to prove geometric properties is called a coordinate proof. To prove geometric properties using the methods of coordinate geometry, consider the following guidelines for placing figures on a coordinate plane. 1. Use the origin as vertex or center of a figure. 2. Place at least one side of a polygon on an axis. 3. If possible, keep the figure within the first quadrant. 4. Use coordinates that make computations simple and easy. Sometimes, using coordinates that are multiples of two would make the computation easier. In some coordinate proofs, the Distance Formula is applied. Example: Prove that the diagonals of a rectangle are congruent using the methods of coordinate geometry. Solution: Given: ABCD with diagonals AC and BD Prove: BDAC  To prove: 1. Place ABCD on a coordinate plane. D C BA D CB A All rights reserved. No part of this material may be reproduced or transmitted in any form or by any means - electronic or mechanical including photocopying – without written permission from the DepEd Central Office. First Edition, 2015.
  • 148.
    D EPED C O PY 240 2. Label thecoordinates as shown below. a. Find the distance between A and C. Given: A(0,0) and C(a, b)     2 2 0 0AC a b    2 2 AC a b  b. Find the distance between B and D. Given: B(0, b) and D(a, 0) Since 2 2 AC a b  and 2 2 BD a b  , then BDAC  by substitution. Therefore, BDAC  . The diagonals of a rectangle are congruent. D(a, 0) C(a, b)B(0, b) A(0, 0)        2 2 0 0BD a b  2 2 BD a b All rights reserved. No part of this material may be reproduced or transmitted in any form or by any means - electronic or mechanical including photocopying – without written permission from the DepEd Central Office. First Edition, 2015.
  • 149.
    D EPED C O PY 241 Learn more aboutthe Distance Formula, the Midpoint Formula, and the Coordinate Proof through the WEB. You may open the following links. http://www.regentsprep.org/Regents/math/ geometry/GCG2/indexGCG2.htm http://www.cliffsnotes.com/math/geometry/ coordinate-geometry/midpoint-formula http://www.regentsprep.org/Regents/math/ geometry/GCG3/indexGCG3.htm http://www.cliffsnotes.com/math/geometry/ coordinate-geometry/distance-formula http://www.regentsprep.org/Regents/math/ geometry/GCG4/indexGCG4.htm Your goal in this section is to apply the key concepts of the distance formula including the midpoint formula and the coordinate proof. Use the mathematical ideas and the examples presented in the preceding section to perform the given activities. Find the distance between each pair of points on the coordinate plane. Answer the questions that follow. 1. M(2, –3) and N(10, –3) 6. C(–3, 2) and D(9, 7) 2. P(3, –7) and Q(3, 8) 7. S(–4, –2) and T(1, 7) 3. C(–4, 3) and D(7, 6) 8. K(3, –3) and L(–3, 7) 4. A(2, 3) and B(14, 8) 9. E(7, 1) and F(–6, 5) 5. X(–3, 9) and Y(2, 5) 10. R(4, 7) and S(–6, –1) Questions: a. How do you find the distance between points that are aligned horizontally? vertically? b. If two points are not aligned horizontally or vertically, how would you determine the distance between them? Activity 5: All rights reserved. No part of this material may be reproduced or transmitted in any form or by any means - electronic or mechanical including photocopying – without written permission from the DepEd Central Office. First Edition, 2015.
  • 150.
    D EPED C O PY 242 Were you ableto use the distance formula in finding the distance between each pair of points on the coordinate plane? In the next activity, you will be using the midpoint formula in determining the coordinates of the midpoint of the segment whose endpoints are given. Find the coordinates of the midpoint of the segment whose endpoints are given below. Explain how you arrived at your answers. 1. A(6, 8) and B(12,10) 6. M(–9, 15) and N(–7, 3) 2. C(5, 11) and D(9, 5) 7. Q(0, 8) and R(–10, 0) 3. K(–3, 2) and L(11, 6) 8. D(12, 5) and E(3, 10) 4. R(–2, 8) and S(10, –6) 9. X(–7, 11) and Y(–9, 3) 5. P(–5, –1) and Q(8, 6) 10. P(–3, 10) and T(–7, –2) Was it easy for you to determine the coordinates of the midpoint of each segment? I am sure it was. You need this skill in proving geometric relationships using coordinate proof, and in solving real-life problems involving the use of the midpoint formula. Plot each set of points on the coordinate plane. Then connect the consecutive points by a line segment to form the figure. Answer the questions that follow. 1. A(6, 11), B(1, 2), C(11, 2) 6. L(–4, 4), O(3, 9), V(8, 2), E(1, –3) 2. G(5, 14), O(–3, 8), T(17, –2) 7. S(–1, 5), O(9, –1), N(6, –6), G(–4, 0) 3. F(–2, 6), U(–2, –3), N(7, 6) 8. W(–2, 6), I(9, 6), N(11, –2), D(–4, –2) 4. L(–2, 8), I(5, 8), K(5, 1), E(–2, 1) 9. B(1, 6), E(13, 7), A(7, –2), T(–5, –3) 5. D(–4, 6), A(8, 6), T(8, –2), 10. C(4, 12), A(9, 9), R(7, 4), E(1, 4), E(–4, –2) S(–1, –9) Activity 7: Activity 6: All rights reserved. No part of this material may be reproduced or transmitted in any form or by any means - electronic or mechanical including photocopying – without written permission from the DepEd Central Office. First Edition, 2015.
  • 151.
    D EPED C O PY 243 Questions: a. How doyou describe each figure formed? Which figure is a triangle? quadrilateral? pentagon? b. Which among the triangles formed is isosceles? right? c. How do you know that the triangle is isosceles? right? d. Which among the quadrilaterals formed is a square? rectangle? parallelogram? trapezoid? e. How do you know that the quadrilateral formed is a square? rectangle? parallelogram? trapezoid? Did you find the activity interesting? Were you able to identify and describe each figure? In the next activity, you will be using the different properties of geometric figures in determining the missing coordinates. Name the missing coordinates in terms of the given variables. Answer the questions that follow. 1. COME is a parallelogram. . ∆RST is a right triangle with right RTS . V is the midpoint of RS . Activity 8: y x E(0, 0) C(b, c) M(a, 0) O(?, ?) y x T(0, 0) R(0, 2b) S(2a, 0) V(?, ?) All rights reserved. No part of this material may be reproduced or transmitted in any form or by any means - electronic or mechanical including photocopying – without written permission from the DepEd Central Office. First Edition, 2015.
  • 152.
    D EPED C O PY 244 3. ∆MTC isan isosceles triangle 4. WISE is an isosceles trapezoid. and V is the midpoint of .CT 5. ABCDEF is a regular hexagon. 6. TOPS is a square. Questions: a. How did you determine the missing coordinates in each figure? b. Which guided you in determining the missing coordinates in each figure? c. In which figure are the missing coordinates difficult to determine? Why? d. Compare your answers with those of your classmates. Do you have the same answers? Explain. x y O(0, d) P(?, ?) S(?, ?) T(–a, b) x y F(a, 0) E(?, ?) D(?, ?)C(–a, d) B(–b, c) A(?, ?) y x E(-a, 0) W(?, ?) S(a, 0) I(b, c) y x C(0, 0) M(?, b) T(6a, 0)V(?, ?) All rights reserved. No part of this material may be reproduced or transmitted in any form or by any means - electronic or mechanical including photocopying – without written permission from the DepEd Central Office. First Edition, 2015.
  • 153.
    D EPED C O PY 245 How was theactivity you have just done? Was it easy for you to determine the missing coordinates? It was easy for sure! In this section, the discussion was about the distance formula, the midpoint formula, and the use of coordinate proof. Now that you know the important ideas about this topic, you can now move on to the next section and deepen your understanding of these concepts. Your goal in this section is to think deeper and test further your understanding of the distance formula and the midpoint formula. You will also write proofs using coordinate geometry. After doing the following activities, you should be able to answer this important question: How does the distance formula facilitate finding solutions to real-life problems and making wise decisions. Answer the following. 1. The coordinates of the endpoints of ST are (-2, 3) and (3, y), respectively. Suppose the distance between S and T is 13 units. What value/s of y would satisfy the given condition? Justify your answer. 2. The length of 15MN units. Suppose the coordinates of M are (9, –7) and the coordinates of N are (x, 2). a. What is the value of x if N lies on the first quadrant? second quadrant? Explain your answer. b. What are the coordinates of the midpoint of MN if N lies in the second quadrant? Explain your answer. 3. The midpoint of CS has coordinates (2, –1). If the coordinates of C are (11, 2), what are the coordinates of S? Explain your answer. Activity 9: All rights reserved. No part of this material may be reproduced or transmitted in any form or by any means - electronic or mechanical including photocopying – without written permission from the DepEd Central Office. First Edition, 2015.
  • 154.
    D EPED C O PY 246 4. A trackingdevice attached to a kidnap victim prior to his abduction indicates that he is located at a point whose coordinates are (8, 10). In the tracking device, each unit on the grid is equivalent to 10 kilometers. How far is the tracker from the kidnap victim if he is located at a point whose coordinates are (1, 3)? 5. The diagram below shows the coordinates of the location of the houses of Luisa and Grace. Luisa says that the distance of her house from Grace’s house can be determined by evaluating the expression     22 41711  . Grace does not agree with Luisa. She says that the expression    22 14117  gives the distance between their houses. Who do you think is correct? Justify your answer. 6. A study shed will be constructed midway between two school buildings. On a school map drawn on a coordinate plane, the coordinates of the first building are (10, 30) and the coordinates of the second building are (170, 110). a. Why do you think the study shed will be constructed midway between the two school buildings? b. What are the coordinates of the point where the study shed will be constructed? c. If each unit on the coordinate plane is equivalent to 2 m, what is the distance between the two buildings? How far would the study shed be from the first building? second building? Explain your answer. Luisa Grace (-7, 4) (11, 1) y x All rights reserved. No part of this material may be reproduced or transmitted in any form or by any means - electronic or mechanical including photocopying – without written permission from the DepEd Central Office. First Edition, 2015.
  • 155.
    D EPED C O PY 247 x y C(a, 0)A(–a, 0) B(0,a) 7. A Global Positioning System (GPS) device shows that car A travelling at a speed of 60 kph is located at a point whose coordinates are (100, 90). Behind car A is car B, travelling in the same direction at a speed of 80 kph, that is located at a point whose coordinates are (20, 30). a. What is the distance between the two cars? b. After how many hours will the two cars be at the same point? 8. Carmela claims that the triangle on the coordinate plane shown on the right is an equilateral triangle. Do you agree with Carmela? Justify your answer. 9.  d,aF ,  d,cA ,  b,cS , and  b,aT are distinct points on the coordinate plane. a. Is ATFS  ? Justify your answer. b. What figure will be formed when you connect consecutive points by a line segment? Describe the figure. y x Car B Car A All rights reserved. No part of this material may be reproduced or transmitted in any form or by any means - electronic or mechanical including photocopying – without written permission from the DepEd Central Office. First Edition, 2015.
  • 156.
    D EPED C O PY 248 E M P R H Q O S How wasthe activity you have just performed? Did you gain better understanding of the lesson? Were you able to use the mathematics concepts learned in solving problems? Were you able to realize the importance of the lesson in the real world? I am sure you were! In the next activity you will be using the distance formula and the coordinate proof in proving geometric relationships. Write a coordinate proof to prove each of the following. 1. The diagonals of an isosceles trapezoid are congruent. Given: Trapezoid PQRS with QRPS  Prove: QSPR  2. The median to the hypotenuse of a right triangle is half the hypotenuse. Given: ∆LGC is a right triangle with rt. LCG and M is the midpoint of LG . Prove: LGMC 2 1  3. The segments joining the midpoints of consecutive sides of an isosceles trapezoid form a rhombus. Given: Isosceles trapezoid HOME with OMHE  P, Q, R, and S are the midpoints of the sides of the trapezoid. Prove: Quadrilateral PQRS is a rhombus. Activity 10: S P R Q C L G M All rights reserved. No part of this material may be reproduced or transmitted in any form or by any means - electronic or mechanical including photocopying – without written permission from the DepEd Central Office. First Edition, 2015.
  • 157.
    D EPED C O PY 249 C A T B S D A B C C L ME G 4. Themedians to the legs of an isosceles triangle are congruent. Given: Isosceles triangle ABC with .AB AC BT and CS are the medians. Prove: CSBT  5. If the diagonals of a parallelogram are congruent, then it is a rectangle. Given: Parallelogram ABCD BDAC  Prove: Parallelogram ABCD is a rectangle. 6. If a line segment joins the midpoints of two sides of a triangle, then its length is equal to one-half the length of the third side. Given: Triangle LME C and G are midpoints of LM and EM , respectively. Prove: LECG 2 1  In this section, the discussion was about the applications of the distance formula, the midpoint formula, and the use of coordinate proofs. What new realizations do you have about the distance formula, the midpoint formula, and the coordinate proof? In what situations can you use the formulas discussed in this section? Now that you have a deeper understanding of the topic, you are ready to do the tasks in the next section. All rights reserved. No part of this material may be reproduced or transmitted in any form or by any means - electronic or mechanical including photocopying – without written permission from the DepEd Central Office. First Edition, 2015.
  • 158.
    D EPED C O PY 250 Your goal inthis section is to apply your learning to real-life situations. You will be given a practical task which will demonstrate your understanding of the distance formula, the midpoint formula, and the use of coordinate proofs. Perform the following activities. Use the rubric provided to rate your work. 1. Have a copy of the map of your municipality, city, or province then make a sketch of it on a coordinate plane. Indicate on the sketch some important landmarks, then determine their coordinates. Explain why the landmarks you have indicated are significant in your community. Write also a paragraph explaining how you selected the coordinates of these important landmarks. 2. Using the coordinates assigned to the different landmarks in item #1, formulate then solve problems involving the distance formula, midpoint formula, and the coordinate proof. Rubric for the Sketch of a Map Score Descriptors 4 The sketch of the map is accurately made, presentable, and appropriate. 3 The sketch of the map is accurately made and appropriate but not presentable. 2 The sketch of the map is not accurately made but appropriate. 1 The sketch of the map is not accurately made and not appropriate. Rubric for the Explanation of the Significance of the Landmarks Score Descriptors 4 The explanations are clear and coherent and the significance of all the landmarks are justified. 3 The explanations are clear and coherent but the significance of the landmarks are not well justified. 2 The explanations are not so clear and coherent and the significance of the landmarks are not well justified. 1 The explanations are not clear and coherent and the significance of the landmarks are not justified. Activity 11: All rights reserved. No part of this material may be reproduced or transmitted in any form or by any means - electronic or mechanical including photocopying – without written permission from the DepEd Central Office. First Edition, 2015.
  • 159.
    D EPED C O PY 251 Rubric on ProblemsFormulated and Solved Score Descriptors 6 Poses a more complex problem with 2 or more correct possible solutions and communicates ideas unmistakably, shows in-depth comprehension of the pertinent concepts and/or processes, and provides explanations wherever appropriate 5 Poses a more complex problem and finishes all significant parts of the solution and communicates ideas unmistakably, shows in- depth comprehension of the pertinent concepts and/or processes 4 Poses a complex problem and finishes all significant parts of the solution and communicates ideas unmistakably, shows in-depth comprehension of the pertinent concepts and/or processes 3 Poses a complex problem and finishes most significant parts of the solution and communicates ideas unmistakably, shows comprehension of major concepts although neglects or misinterprets less significant ideas or details 2 Poses a problem and finishes some significant parts of the solution and communicates ideas unmistakably but shows gaps on theoretical comprehension 1 Poses a problem but demonstrates minor comprehension, not being able to develop an approach. Source: D.O. #73, s. 2012 In this section, your task was to make a sketch of a map on a coordinate plane and determine the coordinates of some important landmarks. Then using the coordinates assigned to the different landmarks, you were asked to formulate, then, solve problems involving the distance formula and the midpoint formula. How did you find the performance task? How did the task help you realize the importance of the topic in real life? SUMMARY/SYNTHESIS/GENERALIZATION This lesson was about the distance formula, the midpoint formula, and coordinate proofs and their applications in real life. The lesson provided you with opportunities to find the distance between two points or places, prove geometric relationships using the distance formula, and formulate and solve real-life problems. Your understanding of this lesson and other previously learned mathematics concepts and principles will facilitate your learning of the next lesson, Equation of a Circle. All rights reserved. No part of this material may be reproduced or transmitted in any form or by any means - electronic or mechanical including photocopying – without written permission from the DepEd Central Office. First Edition, 2015.
  • 160.
    D EPED C O PY 252 Start Lesson 2of this module by relating and connecting previously learned mathematical concepts to the new lesson, the equation of a circle. As you go through this lesson, think of this important question: “How does the equation of a circle facilitate finding solutions to real-life problems and making wise decisions?” To find the answer, perform each activity. If you find any difficulty in answering the exercises, seek the assistance of your teacher or peers or refer to the modules you have studied earlier. You may check your work with your teacher. Determine the number that must be added to make each of the following a perfect square trinomial. Then, express each as a square of a binomial. Answer the questions that follow. 1.  2 4x x _________ 6.  2 9w w _________ 2.  2 10t t _________ 7.  2 11x x _________ 3.  2 14r r _________ 8.  2 25v v _________ 4.  2 22r r _________ 9.  2 1 3 s s _________ 5.  2 36x x _________ 10.  2 3 4 t t _________ Questions: a. How did you determine the number that must be added to each expression to produce a perfect square trinomial? b. How did you express each resulting perfect square trinomial as a square of a binomial? c. Suppose you are given a square of a binomial. How will you express it as a perfect square trinomial? Give 3 examples. Activity 1: All rights reserved. No part of this material may be reproduced or transmitted in any form or by any means - electronic or mechanical including photocopying – without written permission from the DepEd Central Office. First Edition, 2015.
  • 161.
    D EPED C O PY 253 Was it easyfor you to determine the number that must be added to the given terms to make each a perfect square trinomial? Were you able to express a perfect square trinomial as a square of a binomial and vice- versa? Completing the square is a prerequisite to your lesson, Equation of a Circle. Do you know why? Find this out as you go through the lesson. Use the situation below to answer the questions that follow. An air traffic controller (the person who tells the pilot where a plane needs to go using coordinates on the grid) reported that the airport is experiencing air traffic due to the big number of flights that are scheduled to arrive. He advised the pilot of one of the airplanes to move around the airport for the meantime to give way to the other planes to land first. The air traffic controller further told the pilot to maintain its present altitude or height from the ground and its horizontal distance from the origin, point P(0, 0). Airplane Air Traffic Controller Activity 2: All rights reserved. No part of this material may be reproduced or transmitted in any form or by any means - electronic or mechanical including photocopying – without written permission from the DepEd Central Office. First Edition, 2015.
  • 162.
    D EPED C O PY 254 1. Suppose theplane is located at a point whose coordinates are (30, 40) and each unit on the air traffic controller’s grid is equivalent to 1 km. How far is the plane from the air traffic controller? Explain your answer. 2. What would be the y-coordinate of the position of the plane at a particular instance if its x-coordinate is 5? 10? 15? -20? -30? Explain your answer. 3. Suppose that the pilot strictly follows the advice of the air traffic controller. Is it possible for the plane to be at a point whose x- coordinate is 60? Why? 4. How would you describe the path of the plane as it goes around the airport? What equation do you think would define this path? Were you able to describe the path of the plane and its location as it goes around the air traffic controller’s position? Were you able to determine the equation defining the path? How is the given situation related to the new lesson? You will find this out as you go through this lesson. Perform the following activities. Answer the questions that follow. A. On the coordinate plane below, use a compass to draw a circle with center at the origin and which passes through A(8, 0). y x Activity 3: All rights reserved. No part of this material may be reproduced or transmitted in any form or by any means - electronic or mechanical including photocopying – without written permission from the DepEd Central Office. First Edition, 2015.
  • 163.
    D EPED C O PY 255 1. How faris point A from the center of the circle? Explain how you arrived at your answer. 2. Does the circle pass through (0, 8)? How about through (–8, 0)? (0, –8)? Explain your answer. 3. Suppose another point M(–4, 6) is on the coordinate plane. Is M a point on the circle? Why? How about N(9, –2)? Explain your answer. 4. What is the radius of the circle? Explain how you arrived at your answer. 5. If a point is on the circle, how is its distance from the center related to the radius of the circle? 6. How will you find the radius of the circle whose center is at the origin? B. On the coordinate plane below, use a compass to draw a circle with center at (3, 1) and which passes through C(9, –4). 1. How far is point C from the center of the circle? Explain how you arrived at your answer. 2. Does the circle pass through (–2, 7)? How about through (8, 7)? (–3, –4)? Explain your answer. 3. Suppose another point M(–7, 6) is on the coordinate plane. Is M a point on the circle? Why? 4. What is the radius of the circle? Explain how you arrived at your answer. 5. How will you find the radius of the circle whose center is not at the origin? x y All rights reserved. No part of this material may be reproduced or transmitted in any form or by any means - electronic or mechanical including photocopying – without written permission from the DepEd Central Office. First Edition, 2015.
  • 164.
    D EPED C O PY 256 Were you ableto determine if a circle passes through a given point? Were you able to find the radius of a circle given the center? What equation do you think would relate the radius and the center of a circle? Find this out as you go through the lesson. How did you find the preceding activities? Are you ready to learn about the equation of a circle? I am sure you are! From the activities you have done, you were able to find the square of a binomial, a mathematics skill that is needed in understanding the equation of a circle. You were also able to find out how circles are illustrated in real life. You were also given the opportunity to find the radius of a circle and determine if a point is on the circle or not. But how does the equation of a circle help in solving real-life problems and in making wise decisions? You will find these out in the succeeding activities. Before doing these activities, read and understand first some important notes on the equation of a circle and the examples presented. The Standard Form of the Equation of a Circle The standard equation of a circle with center at (h, k) and a radius of r units is     2 2 2 x h y k r    . The values of h and k indicate that the circle is translated h units horizontally and k units vertically from the origin. If the center of the circle is at the origin, the equation of the circle is 2 2 2 x y r  . x (h,k) (0,0) Circle with center at (h, k) Circle with center at the origin     2 2 2 x h y k r    2 2 2 x y r  x  y,xQ  y,xP r r yy All rights reserved. No part of this material may be reproduced or transmitted in any form or by any means - electronic or mechanical including photocopying – without written permission from the DepEd Central Office. First Edition, 2015.
  • 165.
    D EPED C O PY 257 Example 1: Theequation of a circle with center at (2, 7) and a radius of 6 units is     2 2 2 2 7 6x y    or     2 2 2 7 36x y    . Example 2: The equation of a circle with center at (–5, 3) and a radius of 12 units is     2 2 2 5 3 12x y    or     2 2 5 3 144x y    . Example 3: The equation of a circle with center at (–4, –9) and a radius of 8 units is     2 2 2 4 9 8x y    or     2 2 4 9 64x y    . Example 4: The equation of a circle with center at the origin and a radius of 4 units is 2 2 2 4x y  or 2 2 16x y  . Example 5: The equation of a circle with center at the origin and a radius of 15 units is 2 2 2 15x y  or 2 2 225x y  . The General Equation of a Circle The general equation of a circle is 2 2 0x y Dx Ey F     , where D, E, and F are real numbers. This equation is obtained by expanding the standard equation of a circle,     2 2 2 x h y k r    .     2 2 2 x h y k r        2 2 2 2 2 2 2x hx h y ky k r      2 2 2 2 2 2 2x hx h y ky k r      2 2 2 2 2 2 2x y hx ky h k r      2 2 2 2 2 2 2 0x y hx ky h k r       If 2 ,D h  2 ,E k  and 2 2 2 ,F h k r   the equation 2 2 2 2 2 2 2 0x y hx ky h k r       becomes 2 2 0.x y Dx Ey F     All rights reserved. No part of this material may be reproduced or transmitted in any form or by any means - electronic or mechanical including photocopying – without written permission from the DepEd Central Office. First Edition, 2015.
  • 166.
    D EPED C O PY 258 Example: Write thegeneral equation of a circle with center C(4, –1) and a radius of 7 units. Then determine the values of D, E, and F. The center of the circle is at (h, k), where h = 4 and k = –1. Substitute these values in the standard form of the equation of a acircle together with the length of the radius r which is equal to 7 units.     2 2 2 x h y k r         2 2 2 4 1 7x y    Simplify     2 2 2 4 1 7x y    .     2 2 2 4 1 7x y        2 2 8 16 2 1 49x x y y      2 2 8 16 2 1 49x x y y      2 2 8 2 17 49x y x y     2 2 8 2 17 49 0x y x y      2 2 8 2 32 0x y x y     Answer: 2 2 8 2 32 0x y x y     is the general equation of the circle with center C(4, –1) and radius of 7 units. In the equation, D = –8, E = 2, and F = –32. Finding the Center and the Radius of a Circle Given the Equation The center and the radius of a circle can be found given the equation. To do this, transform the given equation to its standard form     2 2 2 x h y k r    if the center of the circle is  k,h , or 2 2 2 x y r  if the center of the circle is the origin. Once the center and the radius of the circle are found, its graph can be shown on the coordinate plane. Example 1: Find the center and the radius of the circle  2 2 64,x y and then draw its graph. All rights reserved. No part of this material may be reproduced or transmitted in any form or by any means - electronic or mechanical including photocopying – without written permission from the DepEd Central Office. First Edition, 2015.
  • 167.
    D EPED C O PY 259 Solution: The equationof the circle 2 2 64x y  has its center at the origin. Hence, it can be transformed to the form. 2 2 2 x y r  . 2 2 64x y   2 2 2 8x y  The center of the circle is (0, 0) and its radius is 8 units. Its graph is shown below. Example 2: Determine the center and the radius of the circle        2 2 2 4 25,x y and draw its graph. Solution: The equation of the circle     2 2 2 4 25x y    can be written in the form     2 2 2 x h y k r    .     2 2 2 4 25x y         2 2 2 2 4 5x y    The center of the circle is (2, 4) and its radius is 5 units. Its graph is shown below. x y r = 8 x y r = 5 All rights reserved. No part of this material may be reproduced or transmitted in any form or by any means - electronic or mechanical including photocopying – without written permission from the DepEd Central Office. First Edition, 2015.
  • 168.
    D EPED C O PY 260 Example 3: Whatis the center and the radius of the circle 2 2 6 10 18 0x y x y     ? Show the graph. Solution: The equation of the circle 2 2 6 10 18 0x y x y     is written in general form. To determine its center and radius, write the equation in the form     2 2 2 x h y k r    . 2 2 6 10 18 0x y x y      2 2 6 10 18x x y y     Add to both sides of the equation 2 2 6 10 18x x y y     the square of one-half the coefficient of x and the square of one-half the coefficient of y. Simplify 2 2 6 9 10 25 18 9 25x x y y         . 2 2 6 9 10 25 16x x y y         2 2 6 9 10 25 16x x y y      Rewriting, we obtain     2 2 3 5 16x y    or     2 2 2 3 5 4x y    The center of the circle is at (3, 5) and its radius is 4 units.  1 6 3 2    ;   2 3 9    510 2 1  ;   2 5 25  x y r = 4 All rights reserved. No part of this material may be reproduced or transmitted in any form or by any means - electronic or mechanical including photocopying – without written permission from the DepEd Central Office. First Edition, 2015.
  • 169.
    D EPED C O PY 261 Example 4: Whatis the center and the radius of the circle 4x2 + 4y2 + 12x – 4y – 90 = 0? Show the graph. Solution: 4x2 + 4y2 + 12x – 4y – 90 = 0 is an equation of a circle that is written in general form. To determine its center and radius, write the equation in the form     2 2 2 x h y k r    . 2 2 4 4 12 4 90 0x y x y     or 2 2 4 4 12 4 90x y x y    Divide both sides of the equation by 4. 2 2 4 4 12 4 90x y x y     2 2 4 4 12 4 90 4 4 x y x y     2 2 90 3 4 x y x y    Add on both sides of the equation 2 2 90 3 4 x y x y    the square of one-half the coefficient of x and the square of one-half the coefficient of y. Simplify 2 29 1 90 9 1 3 4 4 4 4 4 x x y y        . 100 4  2 29 1 3 25 4 4 x x y y      Rewriting, we have 2 2 3 1 25 2 2 x y                .  1 3 3 2 2  ; 2 3 9 2 4        1 1 1 2 2    ; 2 1 1 2 4        All rights reserved. No part of this material may be reproduced or transmitted in any form or by any means - electronic or mechanical including photocopying – without written permission from the DepEd Central Office. First Edition, 2015.
  • 170.
    D EPED C O PY 262 Write the equation 22 3 1 25 2 2 x y                in the form     2 2 2 ,x h y k r    that is 2 2 23 1 5 2 2 x y                The center of the circle is at 3 1 , 2 2       and its radius is 5 units. Learn more about the Equation of a Circle through the WEB. You may open the following links. http://www.mathopenref.com/coordbasiccircle.html http://www.mathopenref.com/coordgeneralcircle.html https://www.khanacademy.org/math/geometry/cc- geometry-circles/equation-of-a-circle/v/equation-for- a-circle-using-the-pythagorean-theorem http://www.math-worksheet.org/using-equations-of- circles x y r = 5 All rights reserved. No part of this material may be reproduced or transmitted in any form or by any means - electronic or mechanical including photocopying – without written permission from the DepEd Central Office. First Edition, 2015.
  • 171.
    D EPED C O PY 263 Your goal inthis section is to apply the key concepts of the equation of a circle. Use the mathematical ideas and the examples presented in the preceding section to perform the activities that follow. Determine the center and the radius of the circle that is defined by each of the following equations. Then graph each circle on a coordinate plane (or use GeoGebra to graph each). Answer the questions that follow. 1.  2 2 49x y 2.        2 2 5 6 81x y Activity 4: x y x y All rights reserved. No part of this material may be reproduced or transmitted in any form or by any means - electronic or mechanical including photocopying – without written permission from the DepEd Central Office. First Edition, 2015.
  • 172.
    D EPED C O PY 264 3.  22 100x y 4.        2 2 7 1 49x y 5. 2 2 8 6 39 0x y x y     6.     2 2 10 16 32 0x y x y Questions: a. How did you determine the center of each circle? How about the radius? b. How do you graph circles that are defined by equations of the form 2 2 2 x y r  ?     2 2 2 x h y k r    ? 2 2 0x y Dx Ey F     ? y x y x x x y y All rights reserved. No part of this material may be reproduced or transmitted in any form or by any means - electronic or mechanical including photocopying – without written permission from the DepEd Central Office. First Edition, 2015.
  • 173.
    D EPED C O PY 265 How was theactivity? Did it challenge you? Were you able to determine the center and the radius of the circle? I am sure you were! In the next activity, you will write the equation of the circle as described. Write the equation of each of the following circles given the center and the radius. Answer the questions that follow. Center Radius 1. origin 12 units 2. (2, 6) 9 units 3. (–7, 2) 15 units 4. (–4, –5) 5 2 units 5. (10, –8) 3 3 units Questions: a. How do you write the equation of a circle, given its radius, if the center is at the origin? b. How about if the center is not at (0, 0)? c. Suppose two circles have the same center. Should the equations defining these circles be the same? Why? Were you able to write the equation of the circle given its radius and its center? I know you were! In the next activity, you will write the equation of a circle from standard to general form. Write each equation of a circle in general form. Show your solutions completely. 1.     2 2 2 4 36x y    6.   2 2 7 64x y   2.     2 2 4 9 144x y    7.   22 2 49x y   3.     2 2 6 1 81x y    8.   2 2 2 100x y   4.     2 2 8 7 225x y    9.     2 2 5 5 27x y    5.   22 5 36x y   10.     2 2 4 4 32x y    Activity 6: Activity 5: All rights reserved. No part of this material may be reproduced or transmitted in any form or by any means - electronic or mechanical including photocopying – without written permission from the DepEd Central Office. First Edition, 2015.
  • 174.
    D EPED C O PY 266 How did youfind the activity? Were you able to write all the equations in their general form? Did the mathematics concepts and principles that you previously learned help you in transforming the equations? In the next activity, you will do the reverse. This time, you will transform the equation of a circle from general to standard form, then determine the radius and the center of the circle. In numbers 1 to 6, a general equation of a circle is given. Transform the equation to standard form, then give the coordinates of the center and the radius. Answer the questions that follow. 1.     2 2 2 8 47 0x y x y 4. 2 2 8 84 0x y y    2.     2 2 4 4 28 0x y x y 5.     2 2 9 9 12 6 31 0x y x y 3.     2 2 10 4 3 0x y x y 6.     2 2 4 4 20 12 2 0x y x y Questions: a. How did you write each general equation of a circle to standard form? b. What mathematics concepts or principles did you apply in transforming each equation to standard form? c. Is there a shorter way of transforming each equation to standard form? Describe this way, if there is any. Were you able to write each equation of a circle from general form to standard form? Were you able find a shorter way of transforming each equation to standard form? In this section, the discussion was about the equation of a circle, its radius and center, and the process of transforming the equation from one form to another. Go back to the previous section and compare your initial ideas with the discussion. How much of your initial ideas are found in the discussion? Which ideas are different and need modification? Now that you know the important ideas about this topic, let us deepen your understanding by moving on to the next section. Activity 7: All rights reserved. No part of this material may be reproduced or transmitted in any form or by any means - electronic or mechanical including photocopying – without written permission from the DepEd Central Office. First Edition, 2015.
  • 175.
    D EPED C O PY 267 Your goal inthis section is to test further your understanding of the equation of a circle by solving more challenging problems involving this concept. After doing the following activities, you should be able to find out how the equations of circles are used in solving real-life problems and in making decisions. Determine which of the following equations describe a circle and which do not. Justify your answer. 1.     2 2 2 8 26 0x y x y 3. 2 2 6 8 32 0x y x y     2.    2 2 9 4 10x y x y 4. 2 2 8 14 65 0x y x y     How was the activity? Were you able to determine which are circles and which are not? In the next activity, you will further deepen your understanding about the equation of a circle and solve real-life problems. Answer the following. 1. The diameter of a circle is 18 units and its center is at (–3, 8). What is the equation of the circle? 2. Write an equation of the circle with a radius of 6 units and is tangent to the line 1y at (10, 1). 3. A circle defined by the equation     2 2 6 9 34x y    is tangent to a line at the point (9, 4). What is the equation of the line? 4. A line passes through the center of a circle and intersects it at points (2, 3) and (8, 7). What is the equation of the circle? 5. The Provincial Disaster and Risk Reduction Management Committee (PDRRMC) advised the residents living within the 10 km radius critical area to evacuate due to eminent eruption of a volcano. On the map that is drawn on a coordinate plane, the coordinates corresponding to the location of the volcano is (3, 4). Activity 9: Activity 8: All rights reserved. No part of this material may be reproduced or transmitted in any form or by any means - electronic or mechanical including photocopying – without written permission from the DepEd Central Office. First Edition, 2015.
  • 176.
    D EPED C O PY 268 a. If eachunit on the coordinate plane is equivalent to 1 km, what is the equation of the circle enclosing the critical area? b. Suppose you live at point (11, 6). Would you follow the advice of the PDRRMC? Why? c. In times of eminent disaster, what precautionary measures should you take to be safe? d. Suppose you are the leader of a two-way radio team with 15 members that is tasked to give warnings to the residents living within the critical area. Where would you position each member of the team who is tasked to inform the other members as regards the current situation and to warn the residents living within his/her assigned area? Explain your answer. 6. Cellular phone networks use towers to transmit calls to a circular area. On a grid of a province, the coordinates that correspond to the location of the towers and the radius each covers are as follows: Wise Tower is at (–5, –3) and covers a 9 km radius; Global Tower is at (3, 6) and covers a 4 km radius; and Star Tower is at (12, –3) and covers a 6 km radius. a. What equation represents the transmission boundaries of each tower? b. Which tower transmits calls to phones located at (12, 2)? (–6, –7)? (2, 8)? (1, 3)? c. If you were a cellular phone user, which cellular phone network will you subscribe to? Why? Did you find the activity challenging? Were you able to answer all the questions and problems involving the equations of circles? I am sure you were! In this section, the discussion was about your understanding of the equation of a circle and their applications in real life. What new realizations do you have about the equation of a circle? How would you connect this to real life? How would you use this in making wise decisions? Now that you have a deeper understanding of the topic, you are ready to do the tasks in the next section. All rights reserved. No part of this material may be reproduced or transmitted in any form or by any means - electronic or mechanical including photocopying – without written permission from the DepEd Central Office. First Edition, 2015.
  • 177.
    D EPED C O PY 269 Your goal inthis section is to apply your learning to real-life situations. You will be given a practical task which will demonstrate your understanding of the equation of a circle. On a clean sheet of grid paper, paste some small pictures of objects such that they are positioned at different coordinates. Then, draw circles that contain these pictures. Using the pictures and the circles drawn on the grid, formulate and solve problems involving the equation of the circle, then solve them. Use the rubric provided to rate your work. Rubric for a Scrapbook Page Score Descriptors 4 The scrapbook page is accurately made, presentable, and appropriate. 3 The scrapbook page is accurately made and appropriate. 2 The scrapbook page is not accurately made but appropriate. 1 The scrapbook page is not accurately made and not appropriate. Rubric on Problems Formulated and Solved Score Descriptors 6 Poses a more complex problem with 2 or more correct possible solutions and communicates ideas unmistakably, shows in-depth comprehension of the pertinent concepts and/or processes, and provides explanations wherever appropriate. 5 Poses a more complex problem and finishes all significant parts of the solution and communicates ideas unmistakably, shows in-depth comprehension of the pertinent concepts and/or processes. 4 Poses a complex problem and finishes all significant parts of the solution and communicates ideas unmistakably, shows in-depth comprehension of the pertinent concepts and/or processes. 3 Poses a complex problem and finishes most significant parts of the solution and communicates ideas unmistakably, shows comprehension of major concepts although neglects or misinterprets less significant ideas or details. 2 Poses a problem and finishes some significant parts of the solution and communicates ideas unmistakably but shows gaps on theoretical comprehension. 1 Poses a problem but demonstrates minor comprehension, not being able to develop an approach. Source: D.O. #73, s. 2012 Activity 10: All rights reserved. No part of this material may be reproduced or transmitted in any form or by any means - electronic or mechanical including photocopying – without written permission from the DepEd Central Office. First Edition, 2015.
  • 178.
    D EPED C O PY 270 In this section,your task was to formulate problems involving the equation of a circle using the pictures of objects that you positioned on a grid. How did you find the performance task? How did the task help you realize the importance of the topic in real life? SUMMARY/SYNTHESIS/GENERALIZATION This lesson was about the equations of circles and their applications in real life. The lesson provided you with opportunities to give the equations of circles and use them in practical situations. Moreover, you were given the chance to formulate and solve real-life problems. Understanding this lesson and relating it to the mathematics concepts and principles that you have previously learned is essential in any further work in mathematics. GLOSSARY OF TERMS Coordinate Proof – a proof that uses figures on a coordinate plane to prove geometric relationships Distance Formula – an equation that can be used to find the distance between any pair of points on the coordinate plane. The distance formula is     2 2 2 1 2 1 d x x y y    or     2 2 2 1 2 1 ,PQ x x y y    if  1 1 ,P x y and  2 2 ,Q x y are points on a coordinate plane. Horizontal Distance (between two points) – the absolute value of the difference of the x-coordinates of two points Midpoint – a point on a line segment and divides the same segment into two equal parts Midpoint Formula – a formula that can be used to find the coordinates of the midpoint of a line segment on the coordinate plane. The midpoint of  1 1 ,P x y and  2 2 ,Q x y is 1 2 1 2 , 2 2 x x y y       . The General Equation of a Circle – the equation of a circle obtained by expanding     2 2 2 x h y k r    . The general equation of a circle is 2 2 0x y Dx Ey F     , where D, E, and F are real numbers. All rights reserved. No part of this material may be reproduced or transmitted in any form or by any means - electronic or mechanical including photocopying – without written permission from the DepEd Central Office. First Edition, 2015.
  • 179.
    D EPED C O PY 271 The Standard Equationof a Circle – the equation that defines a circle with center at (h, k) and a radius of r units. It is given by     2 2 2 x h y k r    . Vertical Distance (between two points) – the absolute value of the difference of the y-coordinates of two points DepEd Instructional Materials that can be used as additional resources: 1. Basic Education Assistance for Mindanao (BEAM) Learning Guide, Third Year Mathematics. Plane Coordinate Geometry. Module 20: Distance and Midpoint Formulae 2. Basic Education Assistance for Mindanao (BEAM) Learning Guide, Third Year Mathematics. Plane Coordinate Geometry. Module 22: Equation of a Circle 3. Distance Learning Module (DLM) 3, Module 3: Plane Coordinate Geometry. 4. EASE Modules Year III, Module 2: Plane Coordinate Geometry REFERENCES AND WEBSITE LINKS USED IN THIS MODULE: References: Bass, Laurie E., Randall I. Charles, Basia Hall, Art Johnson, and Dan Kennedy. Texas Geometry. Pearson Prentice Hall, Boston, Massachusetts 02116, 2008. Bass, Laurie E., Basia Rinesmith Hall, Art Johnson, and Dorothy F. Wood. Prentice Hall Geometry Tools for a Changing World. Prentice-Hall, Inc., NJ, USA, 1998. Boyd, Cummins, Malloy, Carter, and Flores. Glencoe McGraw-Hill Geometry. The McGraw-Hill Companies, Inc., USA, 2008. Callanta, Melvin M. Infinity, Worktext in Mathematics III. EUREKA Scholastic Publishing, Inc., Makati City, 2012. Chapin, Illingworth, Landau, Masingila and McCracken. Prentice Hall Middle Grades Math, Tools for Success, Prentice-Hall, Inc., Upper Saddle River, New Jersey, 1997. All rights reserved. No part of this material may be reproduced or transmitted in any form or by any means - electronic or mechanical including photocopying – without written permission from the DepEd Central Office. First Edition, 2015.
  • 180.
    D EPED C O PY 272 Cifarelli, Victor, etal. cK-12 Geometry, Flexbook Next Generation Textbooks, Creative Commons Attribution-Share Alike, USA, 2009. Clemens, Stanley R., Phares G. O’Daffer, Thomas J. Cooney, and John A. Dossey. Addison-Wesley Geometry. Addison-Wesley Publishing Company, Inc., USA, 1990. Clements, Douglas H., Kenneth W. Jones, Lois Gordon Moseley, and Linda Schulman. Math in my World, McGraw-Hill Division, Farmington, New York, 1999. Department of Education. K to 12 Curriculum Guide Mathematics, Department of Education, Philippines, 2012. Gantert, Ann Xavier. AMSCO’s Geometry. AMSCO School Publications, Inc., NY, USA, 2008. Renfro, Freddie L. Addison-Wesley Geometry Teacher’s Edition. Addison- Wesley Publishing Company, Inc., USA, 1992. Rich, Barnett and Christopher Thomas. Schaum’s Outlines Geometry Fourth Edition. The McGraw-Hill Companies, Inc., USA, 2009. Smith, Stanley A., Charles W. Nelson, Roberta K. Koss, Mervin L. Keedy, and Marvin L. Bittinger. Addison-Wesley Informal Geometry. Addison- Wesley Publishing Company, Inc., USA, 1992. Wilson, Patricia S., et al. Mathematics, Applications and Connections, Course I, Glencoe Division of Macmillan/McGraw-Hill Publishing Company, Westerville, Ohio, 1993. Website Links as References and Sources of Learning Activities: CliffsNotes. Midpoint Formula. (2013). Retrieved June 29, 2014, from http://www.cliffsnotes.com/math/geometry/coordinate-geometry/midpoint- formula CliffsNotes. Distance Formula. (2013). Retrieved June 29, 2014, from http://www.cliffsnotes.com/math/geometry/coordinate-geometry/distance- formula Math Open Reference. Basic Equation of a Circle (Center at 0,0). (2009). Retrieved June 29, 2014, from http://www.mathopenref.com/ coordbasiccircle.html All rights reserved. No part of this material may be reproduced or transmitted in any form or by any means - electronic or mechanical including photocopying – without written permission from the DepEd Central Office. First Edition, 2015.
  • 181.
    D EPED C O PY 273 Math Open Reference.Equation of a Circle, General Form (Center anywhere). (2009). Retrieved June 29, 2014, from http://www.mathopenref.com/coordgeneralcircle.html Math-worksheet.org. Usingequationsof circles. (2014). Retrieved June 29, 2014, from http://www.math-worksheet.org/using-equations-of-circles Math-worksheet.org. Writingequationsof circles. (2014). Retrieved June 29, 2014, from http://www.math-worksheet.org/writing-equations-of-circles Roberts, Donna. Oswego City School District Regents exam Prep Center. Geometry Lesson Page. Midpoint of a Line Segment. (2012). Retrieved June 29, 2014, from http://www.regentsprep.org/Regents/ math/geometry/GCG2/ Lmidpoint.htm Roberts, Donna. Oswego City School District Regents exam Prep Center. Geometry Lesson Page. Midpoint of a Line Segment. (2012). Retrieved June 29, 2014, from http://www.regentsprep.org/Regents/math/geometry/GCG3/ Ldistance.htm Stapel, Elizabeth. "Conics: Circles: Introduction & Drawing." Purplemath. Retrieved June 29, 2014, from http://www.purplemath.com/modules/ circle.htm Website Links for Videos: Khan Academy. Equation for a circle using the Pythagorean Theorem. Retrieved June 29, 2014, from https://www.khanacademy.org/math/geometry/ cc-geometry-circles/equation-of-a-circle/v/equation-for-a-circle-using-the- pythagorean-theorem Khan Academy. Completing the square to write equation in standard form of a circle. Retrieved June 29, 2014, from https://www.khanacademy.org/math/ geometry/cc-geometry-circles/equation-of-a-circle/v/completing-the-square-to- write-equation-in-standard-form-of-a-circle Khan Academy. Equation for a circle using the Pythagorean Theorem. Retrieved June 29, 2014, from https://www.khanacademy.org/math/geometry/ cc-geometry-circles/equation-of-a-circle/v/equation-for-a-circle-using-the- pythagorean-theorem All rights reserved. No part of this material may be reproduced or transmitted in any form or by any means - electronic or mechanical including photocopying – without written permission from the DepEd Central Office. First Edition, 2015.
  • 182.
    D EPED C O PY 274 Khan Academy. Equationfor a circle using the Pythagorean Theorem. Retrieved June 29, 2014, from https://www.khanacademy.org/math/geometry/ cc-geometry-circles/equation-of-a-circle/v/equation-for-a-circle-using-the- pythagorean-theorem Ukmathsteacher. Core 1 – Coordinate Geometry (3) – Midpoint and distance formula and Length of Line Segment. Retrieved June 29, 2014, from http://www.youtube.com/watch?v=qTliFzj4wuc VividMaths.com. Distance Formula. Retrieved June 29, 2014, from http://www.youtube.com/watch?v=QPIWrQyeuYw Website Links for Images: asiatravel.com. Pangasinan Map. Retrieved June 29, 2014, from http://www.asiatravel.com/philippines/pangasinan/pangasinanmap.jpg DownTheRoad.org. Pictures of, Chengdu to Kangding, China Photo, Images, Picture from. (2005). Retrieved June 29, 2014, from http://www.downtheroad.org/Asia/Photo/9Sichuan_China_Image/3Chengdu_ Kangding_China.htm Hugh Odom Vertical Consultants. eleven40 theme on Genesis Framework · WordPress. Cell Tower Development – How Are Cell Tower Locations Selected? Retrieved June 29, 2014, from http://blog.thebrokerlist.com/cell- tower-development-how-are-cell-tower-locations-selected/ LiveViewGPS, Inc. GPS Tracking PT-10 Series. (2014). Retrieved June 29, 2014, from http://www.liveviewgps.com/gps+tracking+device+pt- 10+series.html Sloan, Chris. Current "1991" Air Traffic Control Tower at Amsterdam Schiphol Airport – 2012. (2012). Retrieved June 29, 2014, from http://airchive.com/html/airplanes-and-airports/amsterdam-schipol-airport-the- netherlands-/current-1991-air-traffic-control-tower-at-amsterdam-schiphol- airport-2012-/25510 wordfromthewell.com. Your Mind is Like an Airplane. (2012). Retrieved June 29, 2014, from http://wordfromthewell.com/2012/11/14/your-mind-is-like-an- airplane/ All rights reserved. No part of this material may be reproduced or transmitted in any form or by any means - electronic or mechanical including photocopying – without written permission from the DepEd Central Office. First Edition, 2015.