Hoofdstuk 2, De lange weg naar het binnenhof.
21 - 10 - 13
De eerste les hadden we een proefwerk over hst 1, de 2e les begonnen we met dat de
lerares ons vragen vroeg over hoe we de lessen en de leermanier vinden.
Een vakbond is een groep mensen die opkomt voor een bepaald vak
Schema maken:
lezen is kijken (dan kijk je naar de plaatjes, de mensen wat ze aan hebben, de sfeer,
wat er gebeurt in het plaatje)
2 - oriënterend lezen
3 - kijkend lezen
Een schema maken over de kenmerken van het tijdvak hst 2
Nederland (of de Republiek) in Tijd van regenten en vorsten 1 van de belangrijkste landen
in europa
handel en scheepvaart
koloniën in zuidoost-Azië
Nederlands-Indië
Industriële revolutie laat & traag
stap voor stap begon de parlementaire democratie te ontstaan
plaatje 1:
kinderarbeid
Agrarische samenleving
steen bakkerij
plaatje 2:
Willem 3 heeft zijn bijnaam Koning Gorilla om zijn onberekenbare gedrag.
plaatje 3:
elk jaar prinsjesdag, de koning / koningin leest dan de troonrede voor.

2,0
Kenmerken van een tijdvak
Tijd regenten + vorsten: NL is belangrijk!
Tijd burgers + stoommachines: NL is middenmoot

↓
Wat blijft:

↗ Handel
↘ Scheepvaart

wat veranderd: de VOC & WIC verdwijnen
Industriële revolutie →traag: Geen koloniën
Franse revolutie →snel: ↗ NL ook kritischer kijken
↘ NL krijgt ook betere omstandigheden

↓
Gevolg: onderlinge verhoudingen verdwenen

→A ™ D
A: De onderlinge verhoudingen in de Westerse samenleving veranderen sterk.
B: Er ontstonden nieuwe groepen die andere, soms zelfs tegengestelde, belangen hadden.
C: In de 19e eeuw werd steeds minder in koninklijke paleizen over het lot van de
onderdanen beslist, maar steeds meer in het parlement.
D: Er werden verenigingen opgericht, zoals vakbonden of politieke partijen.

05-11-13
Samenvatting 2,1 Plantages in de buitengewesten. (platteland in Indonesië)

Nederland begon zich rond 1860 steeds meer te bemoeien met Nederlands-Indië, terwijl het
Cultuurstelsel werd afgeschaft. Doordat het Cultuurstelsel werd afgeschaft veranderde Nederland
zijn omgang met Nederlands-Indië. Een voorbeeld hiervan is : De Nederlandse overheid liet het ver
aan de particulieren om voor te schrijven wat de Javaanse boeren moesten verbouwen.
In dezelfde periode kwamen de Nederlanders erachter dat Nederlands-Indië rijk aan grondstoffen
was en maakte daar gebruik van.
Voor 1870 oefenden de Nederlanders alleen invloed uit op het eiland Java. Na 1870 breidde de
politieke en militaire macht van Nederland uit naar andere eilanden. Soms werd dit met bruut
geweld gedaan door het leger en KNIL (Koninklijk Nederlands-Indisch leger), zoals op Atjeh of
Lombok.
Rond de eeuwenwisseling drong het steeds meer Nederlanders door dat een groot deel van de
Indische bevolking onder slechte omstandigheden leefden. Ze vonden het oneerlijk dat hun in ruil
van alle grondstoffen die ze daar haalden niks terug deden. Vooral de christelijke politici hielden
hier zich mee bezig. Ze wilden geloof, gezondheidszorg en onderwijs verbeteren. In 1901 kwam in
Indië Ethische politiek. Nederland vond dat ze de welvaart moesten verbeteren. Goed zo!

Max Havelaar - VOGGP in gedeelde documenten:
Verschijnsel:
Iets wat typisch is voor de tijd van het onderwerp maar ook later of eerder in de
geschiedenis voorkwam.
Ontwikkeling:
Wat heeft zich in deze tijd ontwikkeld
Gebeurtenis:
Noem 2 belangrijke gebeurtenissen met een jaartal.
Gedachte of Handeling:
Wat zullen mensen in deze tijd gedacht hebben?
Of welke acties hebben ze ondernomen?
Personen:
Noem 2 belangrijke personen die een rol speelden bij dit onderwerp.

Vraag 1:
Het boek Max Havelaar van Eduard Douwes Dekker
vraag 2:
Het boek Max Havelaar
Vraag 3:
1856: Eduard Douwes Dekker, beter bekend als Multatuli, werd toen benoemd tot
assistent-resident van Lebak (een plek in het Westen van Java)
1860: Max Havelaar het boek kwam uit
1867: De Orde van de Nederlandse Leeuw uitgereikt
1901: De ethische politiek kwam uit (ethische politiek is dat Nederland tegen zichzelf zei
dat de welvaart en het welzijn van India beter moet)
vraag 4:
De mensen wisten al veel meer dan Multatuli dacht dat ze weten dus ze vonden het niet zo
bijzonder, alleen bij sommige dingen waren ze wel in 'shock' omdat het er zo aan toe ging.
vraag 5:
Eduard Douwes Dekker
Max Havelaar
Koning Willem 1

Extra Opdracht Jort Geschiedenis
A leg het verschil uit tussen een standenmaatschappij en een klassemaatschappij
Standenmaatschappij: Als je in de ene stand werd geboren, bleef je daar ook, je kon niet
zomaar naar een hogere stand. Je kunt het vergelijken met een vissenkom, de meeste zitten
samen, en met hoe meer je erin zit, hoe lager de stand.
Klassemaatschappij: Je word geboren in 1 grote ‘vissenkom’ en daar kun je van stand
opgroeien zegmaar.
B Schrijf op wat wordt verteld over
- Franse Revolutie - door de Franse Revolutie veranderd er heel erg veel.
- Industriele Revolutie - ontstaan arbeidersklasse, groeiende kloof tussen arm en rijk
De Franse Revolutie & Industriële Revolutie hebben heel erg veel veranderd, door de
Revoluties kwam de Klassenmaatschappij
-Belangen per stand - Arm & rijke mensen, daar was een heel groot verschil tussen
Schema 2.2
-Kapitalisme
-Liberalisme

De wet van vraag en aanbod

-Conservatisme

Nederland - Monarchie

Nederland en het Verenigd koninkrijk worden
weer aparte landen

Plan Mislukt

1839- Uiteenvallen Nederland en België
1848- Grondwet: begin van parlementaire
stelsel in Nederland

1813- Inhuldiging Willem I- Nederland wordt
een Monarchie
1813-1840 Regeerperiode Willem I
1830-Belgische opstand

Samenvatting 2,2
Door de Industriële Revolutie was het gevolg dat veel mensen op de rand of onder het
bestaansminimum leefden. Veel geleerden waren hiermee bezig en in de 19e eeuw
kwamen de ideeën, dit zoeken naar een oplossing voor de slechte woon- en
werkomstandigheden van de arbeidsklasse wordt de sociale kwestie genoemd. In een
kapitalistische samenleving wordt succes in zaken erg gewaardeerd. De grote ondernemers
waren het op één punt goed met elkaar eens: voor de samenleving zou een zo groot
mogelijke vrijheid het best zijn.
Na de vele Napoleontische oorlogen stonden de idealen van de Franse Revolutie in een
kwaad daglicht. Tijdens het congres van Wenen (1814 - 1815) werd besloten dat de oude
machthebbers in de meeste landen weer weer op de troon konden terugkeren. In
Nederland werd in 1813 de zoon van Willem V, de laatste stadhouder uit de tijdvan de
Republiek, als Koning Willem 1 ingehuldigd. Hij liet er geen misverstand over bestaan wie
er de baas was: hij, en hij alleen.

Schema 2.3
Koning Willem 1 had alle macht, waardoor
niemand meer iets had te zeggen.

Regering na Napoleon:

Nederland was bijna failliet.

Ontstaan Liberalisme:

Koning werd onschendbaar en ministers
werden verantwoordelijke.
Mannen die belasting betaalden hadden recht
van spreken, zo niet had je ook geen recht van
spreken.

Kiesrecht voor Mannen:

Het streven naar een gelijkwaardige positie van Feminisme:
de vrouw.
De basis voor het Koninkrijk in zijn huidige vorm is gelegd in de periode1813 tot en met
1815. In 1813 kwam de Franse overheersing ten einde en in 1815 keerde de Prins van
Oranje terug aan het hoofd van Nederland. Daarom vieren we dit jubileum.

Schema 2,3
betekenis

Begrippen

Het toestaan van het kiesrecht aan een
bepaald deel van de bevolking dat meer
dan een vastgesteld min. bedrag aan
belasting betaald.

Censuskiesrecht
de door aanhangers van Marx gebruikte
Klassenstrijd
benaming voor het conflict tussen 2 klassen
(arbeiders en beurgeoisie) die aan elkaar
tegenovergestelde politieke en
economische belangen hebben
De wet van 1874: een einde aan
kinderarbeid in fabrieken,
kinderlandarbeid bleef nog wel toegestaan

Kinderwetje Van Van Houten

Aanhangers van de politieke stroming
waarin de arbeidersklasse de macht van de
bezittende klasse door het invoeren van
sociale hervormingen via het parlement,
wilde breken om zo de positie van de
arbeider te verbeteren

Socialisten / Sociaal-democraten

Aanhangen van de politieke stroming
waarin de arbeidersklasse de macht van de
bezittende klasse door een revolutie wilde
breken om zo de arbeiders zelf aan de
macht te brengen

communisten

Karl Marx
Je had een 6, na aanvulling heb je nu een 8.4. Je hoeft dinsdag niet met de overhoring mee
te doen. Het mag wel.

Logboek geschiedenis hst2

  • 1.
    Hoofdstuk 2, Delange weg naar het binnenhof. 21 - 10 - 13 De eerste les hadden we een proefwerk over hst 1, de 2e les begonnen we met dat de lerares ons vragen vroeg over hoe we de lessen en de leermanier vinden. Een vakbond is een groep mensen die opkomt voor een bepaald vak Schema maken: lezen is kijken (dan kijk je naar de plaatjes, de mensen wat ze aan hebben, de sfeer, wat er gebeurt in het plaatje) 2 - oriënterend lezen 3 - kijkend lezen Een schema maken over de kenmerken van het tijdvak hst 2 Nederland (of de Republiek) in Tijd van regenten en vorsten 1 van de belangrijkste landen in europa handel en scheepvaart koloniën in zuidoost-Azië Nederlands-Indië Industriële revolutie laat & traag stap voor stap begon de parlementaire democratie te ontstaan plaatje 1: kinderarbeid Agrarische samenleving steen bakkerij plaatje 2: Willem 3 heeft zijn bijnaam Koning Gorilla om zijn onberekenbare gedrag. plaatje 3: elk jaar prinsjesdag, de koning / koningin leest dan de troonrede voor. 2,0 Kenmerken van een tijdvak
  • 2.
    Tijd regenten +vorsten: NL is belangrijk! Tijd burgers + stoommachines: NL is middenmoot ↓ Wat blijft: ↗ Handel ↘ Scheepvaart wat veranderd: de VOC & WIC verdwijnen Industriële revolutie →traag: Geen koloniën Franse revolutie →snel: ↗ NL ook kritischer kijken ↘ NL krijgt ook betere omstandigheden ↓ Gevolg: onderlinge verhoudingen verdwenen →A ™ D A: De onderlinge verhoudingen in de Westerse samenleving veranderen sterk. B: Er ontstonden nieuwe groepen die andere, soms zelfs tegengestelde, belangen hadden. C: In de 19e eeuw werd steeds minder in koninklijke paleizen over het lot van de onderdanen beslist, maar steeds meer in het parlement. D: Er werden verenigingen opgericht, zoals vakbonden of politieke partijen. 05-11-13 Samenvatting 2,1 Plantages in de buitengewesten. (platteland in Indonesië) Nederland begon zich rond 1860 steeds meer te bemoeien met Nederlands-Indië, terwijl het Cultuurstelsel werd afgeschaft. Doordat het Cultuurstelsel werd afgeschaft veranderde Nederland zijn omgang met Nederlands-Indië. Een voorbeeld hiervan is : De Nederlandse overheid liet het ver aan de particulieren om voor te schrijven wat de Javaanse boeren moesten verbouwen. In dezelfde periode kwamen de Nederlanders erachter dat Nederlands-Indië rijk aan grondstoffen was en maakte daar gebruik van. Voor 1870 oefenden de Nederlanders alleen invloed uit op het eiland Java. Na 1870 breidde de politieke en militaire macht van Nederland uit naar andere eilanden. Soms werd dit met bruut geweld gedaan door het leger en KNIL (Koninklijk Nederlands-Indisch leger), zoals op Atjeh of Lombok.
  • 3.
    Rond de eeuwenwisselingdrong het steeds meer Nederlanders door dat een groot deel van de Indische bevolking onder slechte omstandigheden leefden. Ze vonden het oneerlijk dat hun in ruil van alle grondstoffen die ze daar haalden niks terug deden. Vooral de christelijke politici hielden hier zich mee bezig. Ze wilden geloof, gezondheidszorg en onderwijs verbeteren. In 1901 kwam in Indië Ethische politiek. Nederland vond dat ze de welvaart moesten verbeteren. Goed zo! Max Havelaar - VOGGP in gedeelde documenten: Verschijnsel: Iets wat typisch is voor de tijd van het onderwerp maar ook later of eerder in de geschiedenis voorkwam. Ontwikkeling: Wat heeft zich in deze tijd ontwikkeld Gebeurtenis: Noem 2 belangrijke gebeurtenissen met een jaartal. Gedachte of Handeling: Wat zullen mensen in deze tijd gedacht hebben? Of welke acties hebben ze ondernomen? Personen: Noem 2 belangrijke personen die een rol speelden bij dit onderwerp. Vraag 1: Het boek Max Havelaar van Eduard Douwes Dekker vraag 2: Het boek Max Havelaar Vraag 3: 1856: Eduard Douwes Dekker, beter bekend als Multatuli, werd toen benoemd tot assistent-resident van Lebak (een plek in het Westen van Java) 1860: Max Havelaar het boek kwam uit 1867: De Orde van de Nederlandse Leeuw uitgereikt 1901: De ethische politiek kwam uit (ethische politiek is dat Nederland tegen zichzelf zei dat de welvaart en het welzijn van India beter moet)
  • 4.
    vraag 4: De mensenwisten al veel meer dan Multatuli dacht dat ze weten dus ze vonden het niet zo bijzonder, alleen bij sommige dingen waren ze wel in 'shock' omdat het er zo aan toe ging. vraag 5: Eduard Douwes Dekker Max Havelaar Koning Willem 1 Extra Opdracht Jort Geschiedenis A leg het verschil uit tussen een standenmaatschappij en een klassemaatschappij Standenmaatschappij: Als je in de ene stand werd geboren, bleef je daar ook, je kon niet zomaar naar een hogere stand. Je kunt het vergelijken met een vissenkom, de meeste zitten samen, en met hoe meer je erin zit, hoe lager de stand. Klassemaatschappij: Je word geboren in 1 grote ‘vissenkom’ en daar kun je van stand opgroeien zegmaar. B Schrijf op wat wordt verteld over - Franse Revolutie - door de Franse Revolutie veranderd er heel erg veel. - Industriele Revolutie - ontstaan arbeidersklasse, groeiende kloof tussen arm en rijk De Franse Revolutie & Industriële Revolutie hebben heel erg veel veranderd, door de Revoluties kwam de Klassenmaatschappij -Belangen per stand - Arm & rijke mensen, daar was een heel groot verschil tussen Schema 2.2 -Kapitalisme -Liberalisme De wet van vraag en aanbod -Conservatisme Nederland - Monarchie Nederland en het Verenigd koninkrijk worden weer aparte landen Plan Mislukt 1839- Uiteenvallen Nederland en België 1848- Grondwet: begin van parlementaire stelsel in Nederland 1813- Inhuldiging Willem I- Nederland wordt een Monarchie 1813-1840 Regeerperiode Willem I 1830-Belgische opstand Samenvatting 2,2
  • 5.
    Door de IndustriëleRevolutie was het gevolg dat veel mensen op de rand of onder het bestaansminimum leefden. Veel geleerden waren hiermee bezig en in de 19e eeuw kwamen de ideeën, dit zoeken naar een oplossing voor de slechte woon- en werkomstandigheden van de arbeidsklasse wordt de sociale kwestie genoemd. In een kapitalistische samenleving wordt succes in zaken erg gewaardeerd. De grote ondernemers waren het op één punt goed met elkaar eens: voor de samenleving zou een zo groot mogelijke vrijheid het best zijn. Na de vele Napoleontische oorlogen stonden de idealen van de Franse Revolutie in een kwaad daglicht. Tijdens het congres van Wenen (1814 - 1815) werd besloten dat de oude machthebbers in de meeste landen weer weer op de troon konden terugkeren. In Nederland werd in 1813 de zoon van Willem V, de laatste stadhouder uit de tijdvan de Republiek, als Koning Willem 1 ingehuldigd. Hij liet er geen misverstand over bestaan wie er de baas was: hij, en hij alleen. Schema 2.3 Koning Willem 1 had alle macht, waardoor niemand meer iets had te zeggen. Regering na Napoleon: Nederland was bijna failliet. Ontstaan Liberalisme: Koning werd onschendbaar en ministers werden verantwoordelijke. Mannen die belasting betaalden hadden recht van spreken, zo niet had je ook geen recht van spreken. Kiesrecht voor Mannen: Het streven naar een gelijkwaardige positie van Feminisme: de vrouw.
  • 6.
    De basis voorhet Koninkrijk in zijn huidige vorm is gelegd in de periode1813 tot en met 1815. In 1813 kwam de Franse overheersing ten einde en in 1815 keerde de Prins van Oranje terug aan het hoofd van Nederland. Daarom vieren we dit jubileum. Schema 2,3 betekenis Begrippen Het toestaan van het kiesrecht aan een bepaald deel van de bevolking dat meer dan een vastgesteld min. bedrag aan belasting betaald. Censuskiesrecht
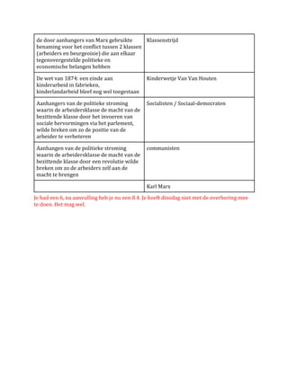
  • 7.
    de door aanhangersvan Marx gebruikte Klassenstrijd benaming voor het conflict tussen 2 klassen (arbeiders en beurgeoisie) die aan elkaar tegenovergestelde politieke en economische belangen hebben De wet van 1874: een einde aan kinderarbeid in fabrieken, kinderlandarbeid bleef nog wel toegestaan Kinderwetje Van Van Houten Aanhangers van de politieke stroming waarin de arbeidersklasse de macht van de bezittende klasse door het invoeren van sociale hervormingen via het parlement, wilde breken om zo de positie van de arbeider te verbeteren Socialisten / Sociaal-democraten Aanhangen van de politieke stroming waarin de arbeidersklasse de macht van de bezittende klasse door een revolutie wilde breken om zo de arbeiders zelf aan de macht te brengen communisten Karl Marx Je had een 6, na aanvulling heb je nu een 8.4. Je hoeft dinsdag niet met de overhoring mee te doen. Het mag wel.