Professora Andréia Santana
1) x² - 5x + 6 = 0
a=1
b= – 5
c=6
∆=
∆= (-5)² - 4.1.6
∆= 25 - 24
∆= 1
√∆ ( ) √
2) x² - 8x + 12 = 0
a=1
b= – 8
c=12
∆=
∆= (-8)² - 4.1.12
∆= 64 – 48
∆= 16
√∆ ( ) √
Professora Andréia Santana
3) x² + 2x - 8 = 0
a=1
b= 2
c=-8
∆=
∆= 2² - 4.1.(-8)
∆= 4+32
∆= 36
√∆ √
4) x² - 5x + 8 = 0
a=1
b= – 5
c=8
∆=
∆ ( )
∆ –
∆
Não possui raízes reais
Professora Andréia Santana
5) 2x² - 8x + 8 = 0
a=2
b= –8
c=8
∆=
∆= (-8)² - 4.2.8
∆= 64-64
∆= 0
√∆ ( ) √
6) x² - 4x - 5 = 0
a=1
b= – 4
c= – 5
∆=
∆= (-4)² - 4.1.(-5)
∆= 16 + 20
∆= 36
√∆ ( ) √
Professora Andréia Santana
7) - x² + x + 12 = 0
a= – 1
b= 1
c=12
∆=
∆= 1² - 4.(-1).12
∆= 1+48
∆= 49
√∆ √
( )
8) -x² + 6x - 5 = 0
a= – 1
b= 6
c= – 5
∆=
∆= ( ) ( )
∆= 36 – 20
∆= 16
√∆ √
( )
Professora Andréia Santana
9) 6x² + x - 1 = 0
a= 6
b= 1
c= – 1
∆=
∆= ( )
∆= 1+24
∆= 25
√∆ √
10) 3x² - 7x + 2 = 0
a= 6
b= 1
c= – 1
∆=
∆= ( )
∆= 1+24
∆= 25
√∆ √
Professora Andréia Santana
11) 2x² - 7x = 15  2x² – 7x – 15 = 0
a=2
b= -7
c= -15
∆=
∆= (-7)² - 4.2.(-15)
∆= 49 + 120
∆= 169
√∆ ( ) √
12) 4x² + 9 = 12x  4x² - 12x + 9 = 0
a=4
b= -12
c= 9
∆=
∆= (-12)² - 4.4.9
∆= 144 - 144
∆= 0
√∆ √
Professora Andréia Santana
13) x² = x + 12  x² - x – 12 = 0
a=1
b= 2
c=-8
∆=
∆= 2² - 4.1.(-8)
∆= 4+32
∆= 36
√∆ √
14) 2x² = -12x - 18  2x² +12x + 18 = 0
a=2
b= 12
c=18
∆=
∆= 12² - 4.2.18
∆= 144 - 144
∆= 0
√∆ √
Professora Andréia Santana
15) ( x - 5)² = 1
( )( )
a=1
b= -10
c= 24
∆=
∆= (-10)² - 4.1.24
∆= 100 - 96
∆= 4
√∆ ( ) √
Professora Andréia Santana
16) 25x² = 20x – 4
a=25
b= -20
c= 4
∆=
∆= (-20)² - 4.25.4
∆= 400 – 400
∆= 0
√∆ ( ) √
17) 2x = 15 – x²
a=1
b= 2
c= -15
∆=
∆= 2² - 4.1.(-15)
∆= 4+60
∆= 64
√∆ √
Professora Andréia Santana
18) x² + 3x – 6 = -8
a=1
b= 3
c= 2
∆=
∆= 3² - 4.1.2
∆= 9-8
∆= 1
√∆ √
19) x² + x – 7 = 5
a=1
b= 1
c= -12
∆=
∆= 1² - 4.1.(-12)
∆= 1+48
∆= 49
√∆ √
Professora Andréia Santana
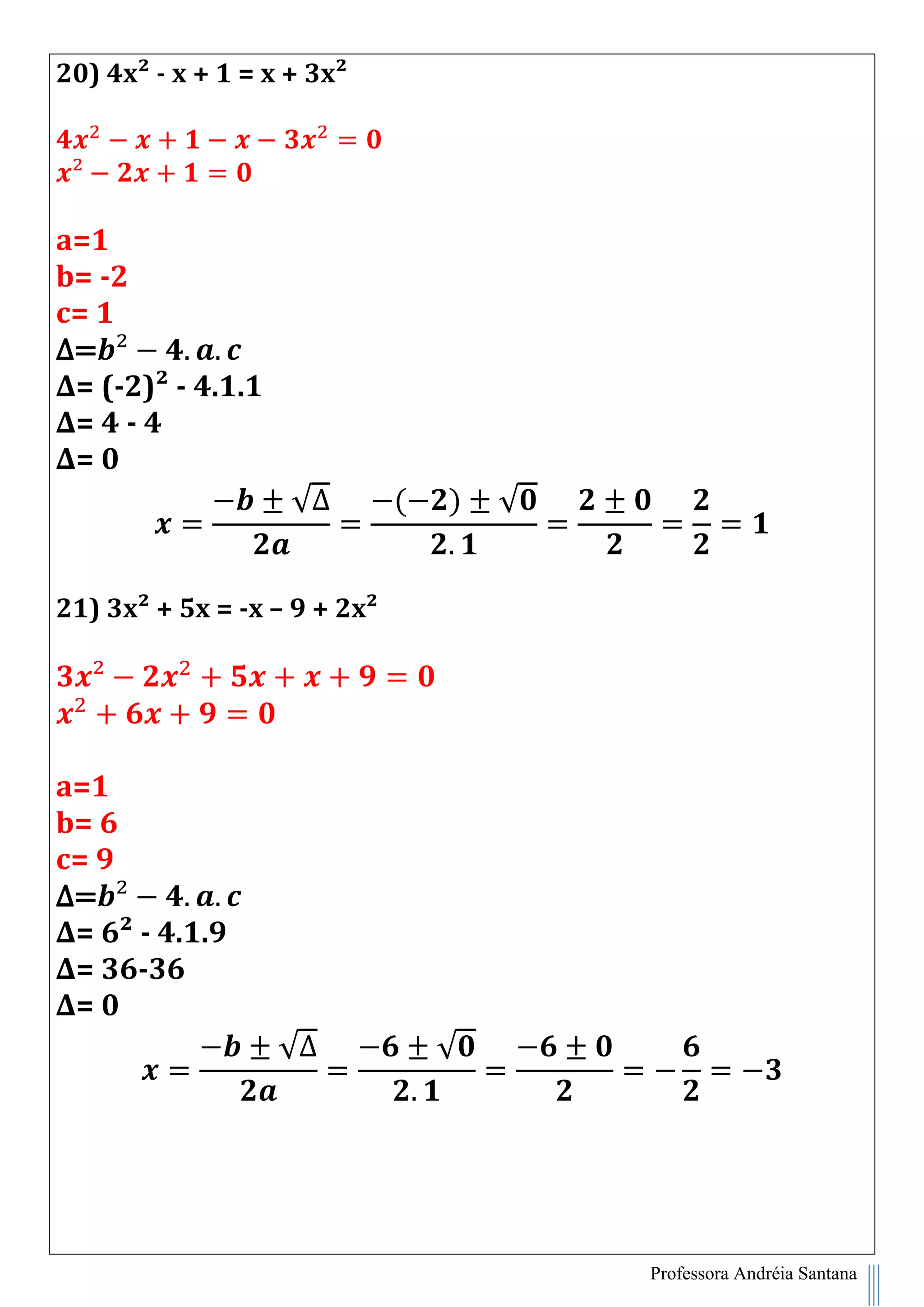
20) 4x² - x + 1 = x + 3x²
a=1
b= -2
c= 1
∆=
∆= (-2)² - 4.1.1
∆= 4 - 4
∆= 0
√∆ ( ) √
21) 3x² + 5x = -x – 9 + 2x²
a=1
b= 6
c= 9
∆=
∆= 6² - 4.1.9
∆= 36-36
∆= 0
√∆ √
Professora Andréia Santana
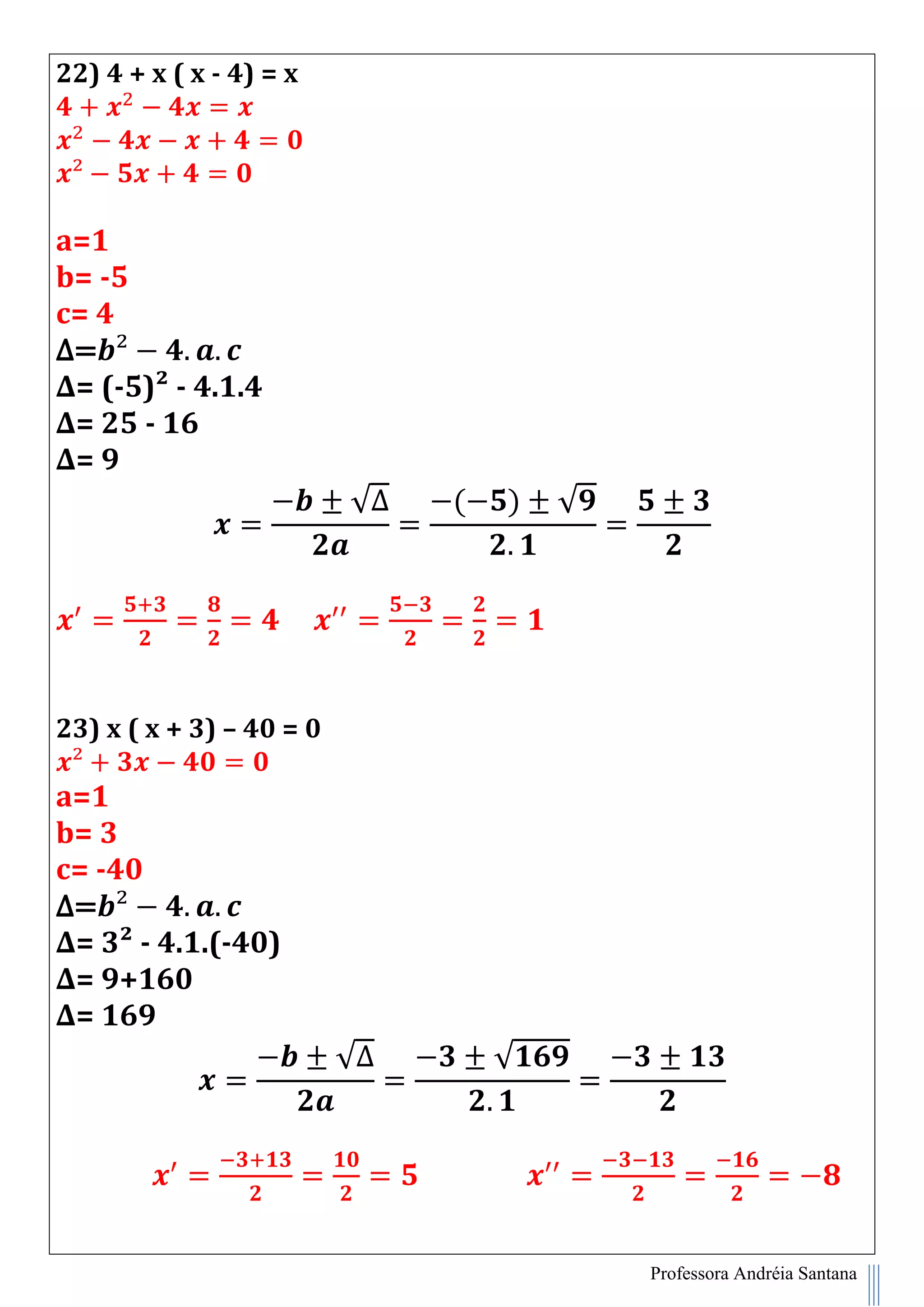
22) 4 + x ( x - 4) = x
a=1
b= -5
c= 4
∆=
∆= (-5)² - 4.1.4
∆= 25 - 16
∆= 9
√∆ ( ) √
23) x ( x + 3) – 40 = 0
a=1
b= 3
c= -40
∆=
∆= 3² - 4.1.(-40)
∆= 9+160
∆= 169
√∆ √
Professora Andréia Santana
24) x² + 5x + 6 = 0
a=1
b= 5
c= 6
∆=
∆= 5² - 4.1.6
∆= 25-24
∆= 1
√∆ √
25) x² - 7x + 12 = 0
a=1
b= -7
c= 12
∆=
∆= (-7)² - 4.1.12
∆= 49-48
∆= 1
√∆ ( ) √
Professora Andréia Santana
26) x² + 5x + 4 = 0
a=1
b= 5
c= 4
∆=
∆= 5² - 4.1.4
∆= 25-16
∆= 9
√∆ √
27) ( 2x - 4)² = 0
( )( )
a=4
b= -16
c= 16
∆=
∆= (-16)² - 4.4.16
∆= 256-256
∆= 0
√∆ ( ) √
Professora Andréia Santana
28) x² - 18x + 45 = 0 _____(R:3,15)
a=1
b= -18
c= 45
∆=
∆= (-18)² - 4.1.45
∆= 324 - 180
∆= 144
√∆ ( ) √
29) -x² - x + 30 = 0
a=-1
b= -1
c= 30
∆=
∆= (-1)² - 4.(-1).30
∆= 1 + 120
∆= 121
√∆ ( ) √
( )
Professora Andréia Santana
30) x² - 6x + 9 = 0
a=1
b= -6
c= 9
∆=
∆= (-6)² - 4.1.9
∆= 36-36
∆= 0
√∆ ( ) √
31) ( x + 3)² = 1
( )( )
a=1
b= 6
c= 8
∆=
∆= 6² - 4.1.8
∆= 36-32
∆= 4
√∆ √
Professora Andréia Santana
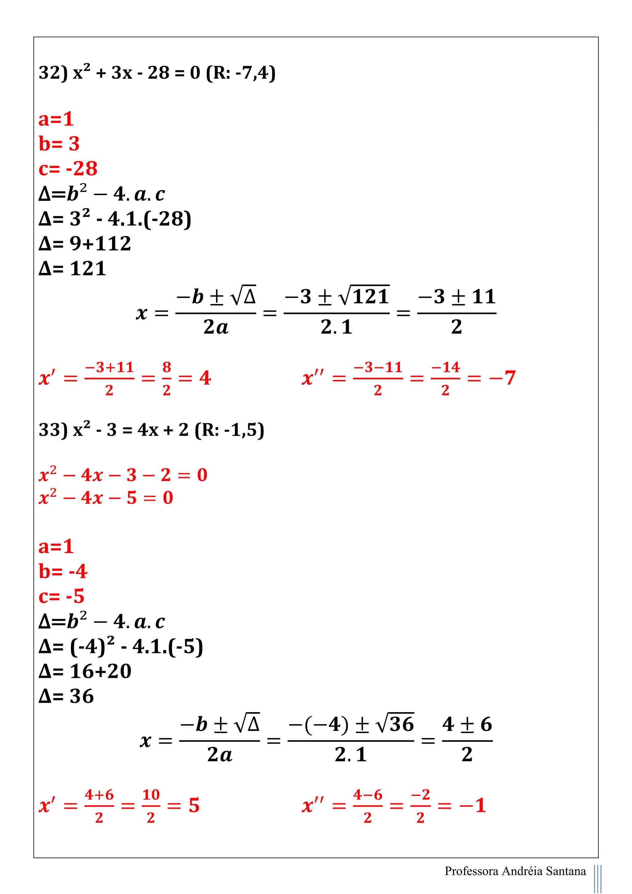
32) x² + 3x - 28 = 0 (R: -7,4)
a=1
b= 3
c= -28
∆=
∆= 3² - 4.1.(-28)
∆= 9+112
∆= 121
√∆ √
33) x² - 3 = 4x + 2 (R: -1,5)
a=1
b= -4
c= -5
∆=
∆= (-4)² - 4.1.(-5)
∆= 16+20
∆= 36
√∆ ( ) √

Lista 9º ano resolvida

  • 1.
    Professora Andréia Santana 1)x² - 5x + 6 = 0 a=1 b= – 5 c=6 ∆= ∆= (-5)² - 4.1.6 ∆= 25 - 24 ∆= 1 √∆ ( ) √ 2) x² - 8x + 12 = 0 a=1 b= – 8 c=12 ∆= ∆= (-8)² - 4.1.12 ∆= 64 – 48 ∆= 16 √∆ ( ) √
  • 2.
    Professora Andréia Santana 3)x² + 2x - 8 = 0 a=1 b= 2 c=-8 ∆= ∆= 2² - 4.1.(-8) ∆= 4+32 ∆= 36 √∆ √ 4) x² - 5x + 8 = 0 a=1 b= – 5 c=8 ∆= ∆ ( ) ∆ – ∆ Não possui raízes reais
  • 3.
    Professora Andréia Santana 5)2x² - 8x + 8 = 0 a=2 b= –8 c=8 ∆= ∆= (-8)² - 4.2.8 ∆= 64-64 ∆= 0 √∆ ( ) √ 6) x² - 4x - 5 = 0 a=1 b= – 4 c= – 5 ∆= ∆= (-4)² - 4.1.(-5) ∆= 16 + 20 ∆= 36 √∆ ( ) √
  • 4.
    Professora Andréia Santana 7)- x² + x + 12 = 0 a= – 1 b= 1 c=12 ∆= ∆= 1² - 4.(-1).12 ∆= 1+48 ∆= 49 √∆ √ ( ) 8) -x² + 6x - 5 = 0 a= – 1 b= 6 c= – 5 ∆= ∆= ( ) ( ) ∆= 36 – 20 ∆= 16 √∆ √ ( )
  • 5.
    Professora Andréia Santana 9)6x² + x - 1 = 0 a= 6 b= 1 c= – 1 ∆= ∆= ( ) ∆= 1+24 ∆= 25 √∆ √ 10) 3x² - 7x + 2 = 0 a= 6 b= 1 c= – 1 ∆= ∆= ( ) ∆= 1+24 ∆= 25 √∆ √
  • 6.
    Professora Andréia Santana 11)2x² - 7x = 15  2x² – 7x – 15 = 0 a=2 b= -7 c= -15 ∆= ∆= (-7)² - 4.2.(-15) ∆= 49 + 120 ∆= 169 √∆ ( ) √ 12) 4x² + 9 = 12x  4x² - 12x + 9 = 0 a=4 b= -12 c= 9 ∆= ∆= (-12)² - 4.4.9 ∆= 144 - 144 ∆= 0 √∆ √
  • 7.
    Professora Andréia Santana 13)x² = x + 12  x² - x – 12 = 0 a=1 b= 2 c=-8 ∆= ∆= 2² - 4.1.(-8) ∆= 4+32 ∆= 36 √∆ √ 14) 2x² = -12x - 18  2x² +12x + 18 = 0 a=2 b= 12 c=18 ∆= ∆= 12² - 4.2.18 ∆= 144 - 144 ∆= 0 √∆ √
  • 8.
    Professora Andréia Santana 15)( x - 5)² = 1 ( )( ) a=1 b= -10 c= 24 ∆= ∆= (-10)² - 4.1.24 ∆= 100 - 96 ∆= 4 √∆ ( ) √
  • 9.
    Professora Andréia Santana 16)25x² = 20x – 4 a=25 b= -20 c= 4 ∆= ∆= (-20)² - 4.25.4 ∆= 400 – 400 ∆= 0 √∆ ( ) √ 17) 2x = 15 – x² a=1 b= 2 c= -15 ∆= ∆= 2² - 4.1.(-15) ∆= 4+60 ∆= 64 √∆ √
  • 10.
    Professora Andréia Santana 18)x² + 3x – 6 = -8 a=1 b= 3 c= 2 ∆= ∆= 3² - 4.1.2 ∆= 9-8 ∆= 1 √∆ √ 19) x² + x – 7 = 5 a=1 b= 1 c= -12 ∆= ∆= 1² - 4.1.(-12) ∆= 1+48 ∆= 49 √∆ √
  • 11.
    Professora Andréia Santana 20)4x² - x + 1 = x + 3x² a=1 b= -2 c= 1 ∆= ∆= (-2)² - 4.1.1 ∆= 4 - 4 ∆= 0 √∆ ( ) √ 21) 3x² + 5x = -x – 9 + 2x² a=1 b= 6 c= 9 ∆= ∆= 6² - 4.1.9 ∆= 36-36 ∆= 0 √∆ √
  • 12.
    Professora Andréia Santana 22)4 + x ( x - 4) = x a=1 b= -5 c= 4 ∆= ∆= (-5)² - 4.1.4 ∆= 25 - 16 ∆= 9 √∆ ( ) √ 23) x ( x + 3) – 40 = 0 a=1 b= 3 c= -40 ∆= ∆= 3² - 4.1.(-40) ∆= 9+160 ∆= 169 √∆ √
  • 13.
    Professora Andréia Santana 24)x² + 5x + 6 = 0 a=1 b= 5 c= 6 ∆= ∆= 5² - 4.1.6 ∆= 25-24 ∆= 1 √∆ √ 25) x² - 7x + 12 = 0 a=1 b= -7 c= 12 ∆= ∆= (-7)² - 4.1.12 ∆= 49-48 ∆= 1 √∆ ( ) √
  • 14.
    Professora Andréia Santana 26)x² + 5x + 4 = 0 a=1 b= 5 c= 4 ∆= ∆= 5² - 4.1.4 ∆= 25-16 ∆= 9 √∆ √ 27) ( 2x - 4)² = 0 ( )( ) a=4 b= -16 c= 16 ∆= ∆= (-16)² - 4.4.16 ∆= 256-256 ∆= 0 √∆ ( ) √
  • 15.
    Professora Andréia Santana 28)x² - 18x + 45 = 0 _____(R:3,15) a=1 b= -18 c= 45 ∆= ∆= (-18)² - 4.1.45 ∆= 324 - 180 ∆= 144 √∆ ( ) √ 29) -x² - x + 30 = 0 a=-1 b= -1 c= 30 ∆= ∆= (-1)² - 4.(-1).30 ∆= 1 + 120 ∆= 121 √∆ ( ) √ ( )
  • 16.
    Professora Andréia Santana 30)x² - 6x + 9 = 0 a=1 b= -6 c= 9 ∆= ∆= (-6)² - 4.1.9 ∆= 36-36 ∆= 0 √∆ ( ) √ 31) ( x + 3)² = 1 ( )( ) a=1 b= 6 c= 8 ∆= ∆= 6² - 4.1.8 ∆= 36-32 ∆= 4 √∆ √
  • 17.
    Professora Andréia Santana 32)x² + 3x - 28 = 0 (R: -7,4) a=1 b= 3 c= -28 ∆= ∆= 3² - 4.1.(-28) ∆= 9+112 ∆= 121 √∆ √ 33) x² - 3 = 4x + 2 (R: -1,5) a=1 b= -4 c= -5 ∆= ∆= (-4)² - 4.1.(-5) ∆= 16+20 ∆= 36 √∆ ( ) √