Embed presentation
Download to read offline
























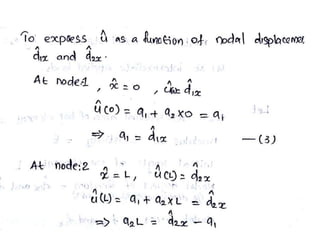
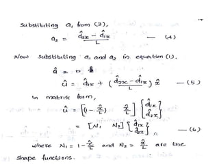
The document focuses on module 5 of a course related to computer-aided design and analysis. It specifically discusses the derivation of the stiffness matrix for a one-dimensional bar element. The author expresses gratitude at the end of the document.























