(BRANCH CHOOSER FOR COUNSELING THROUGH JEE ADV- 2015)
JEE ADVANCED 2014
(OPENING AND CLOSING RANKS SUMMARY)
PREPARED BY
AMBARISH SRIVASTAVA
(CENTER HEAD AND DEAN OF PHYSICS, FIITJEE FARIDABAD)
CONTENTS:
OPENING/CLOSING RANKS SORTED BY BRANCHES AT VARIOUS INSTITUTES: PAGE 2 TO PAGE 12
OPENING / CLOSING RANKS SORTED BY INSTITUTES FOR VARIOUS BRANCHES: PAGE 13 TO PAGE 22
OPENING/CLOSING OF BRANCHES AT VARIOUS INSTITUTES SORTED BY CLOSING RANKS : PAGE 23 TO PAGE 35
Note: O = Opening Rank, C = Closing Rank
Page 2 of 35
OPENING/CLOSING RANKS SORTED BY BRANCHES AT VARIOUS INSTITUTES
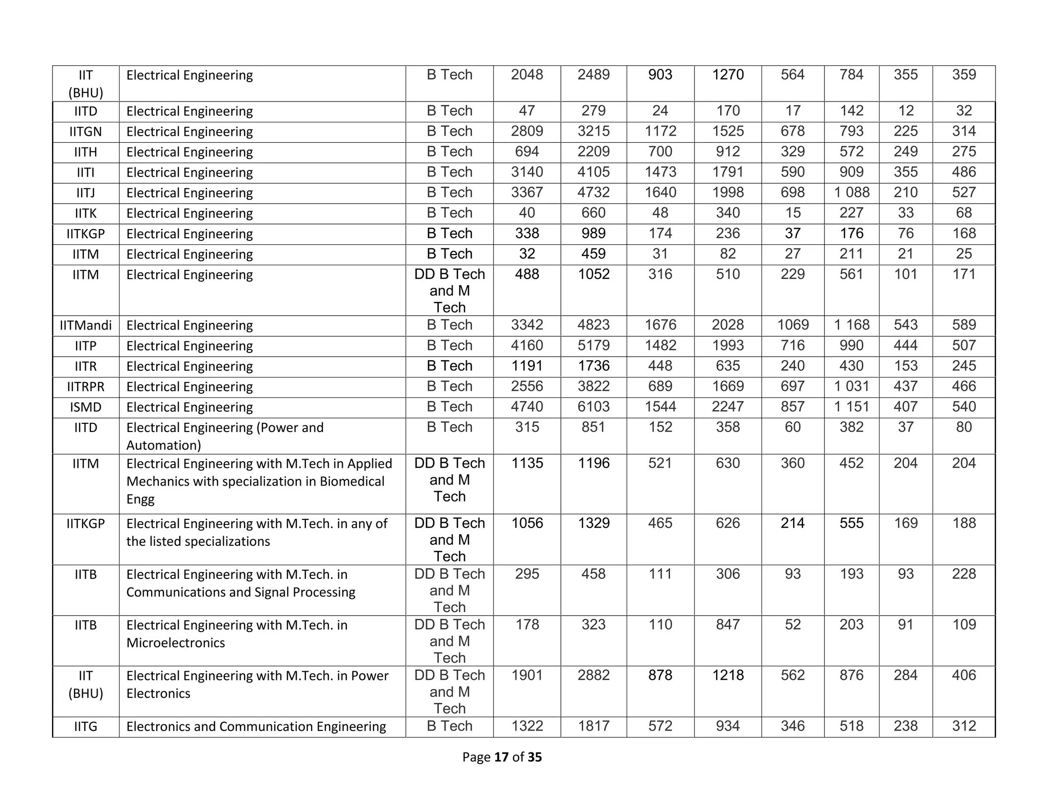
Institue Branch Degree GEN(O) GEN(C) OBC(O) OBC(C) SC(O) SC(C) ST(O) ST(C)
IITB Computer Science and Engineering B Tech 1 51 1 38 1 26 1 13
IITB Electrical Engineering B Tech 28 168 3 95 13 65 3 131
IITB Mechanical Engineering B Tech 35 640 67 272 24 140 4 18
IITB Aerospace Engineering B Tech 164 1852 100 254 35 340 23 52
IITB Electrical Engineering with M.Tech.
in Microelectronics
DD B
Tech and
M Tech
178 323 110 847 52 203 91 109
IITB Electrical Engineering with M.Tech.
in Communications and Signal
Processing
DD B
Tech and
M Tech
295 458 111 306 93 193 93 228
IITB Engineering Physics B Tech 335 943 205 916 105 431 114 147
IITB Mechanical Engineering and
M.Tech. in Computer Integrated
Manufacturing
DD B
Tech and
M Tech
540 804 252 835 119 454 132 162
IITB Engineering Physics and M.Tech.
with specialization in Nano Science
DD B
Tech and
M Tech
575 1495 289 430 128 224 170 343
IITB Civil Engineering B Tech 588 1899 506 840 178 556 197 367
IITB Chemical Engineering B Tech 678 1405 620 1278 463 559 265 265
IITB Energy Engineering with M.Tech. in
Energy Systems Engineering
DD B
Tech and
M Tech
817 2186 906 1015 582 894 360 635
IITB Metallurgical Engineering and
Materials Science
B Tech 1720 2776 1018 1602 597 812 377 489
IITB Metallurgical Engineering and
Materials Science with M.Tech. in
Metallurgical Process Engineering
DD B
Tech and
M Tech
2767 2850 1634 1710 866 924 542 542
IITB Metallurgical Engineering and
Materials Science with M.Tech. in
Ceramics and Composites
DD B
Tech and
M Tech
2779 2929 1635 1723 994 1 011 702 702
IITB Chemistry B S 2935 4018 2205 2695 1162 1 360 753 753
IITBBS Computer Science and Engineering B Tech 2592 3500 854 1457 85 895 280 485
Page 3 of 35
IITBBS Electrical Engineering B Tech 3399 4556 871 1774 388 874 380 443
IITBBS Mechanical Engineering B Tech 3926 4896 1345 1798 751 1 024 415 432
IITBBS Civil Engineering B Tech 4729 5635 1574 2141 820 940 431 456
IITBBS Metallurgical and Materials
Engineering
B Tech 5649 6423 2456 2702 1372 1 381 531 643
IIT
(BHU)
Computer Science and Engineering B Tech 696 1111 374 533 155 358 196 308
IIT
(BHU)
Computer Science and Engineering DD B
Tech and
M Tech
1118 1293 537 602 409 657 243 290
IIT
(BHU)
Electronics Engineering B Tech 1429 2247 606 1005 415 423 263 336
IIT
(BHU)
Mathematics and Computing Int M S 1497 2104 638 1071 477 651 270 358
IIT
(BHU)
Mechanical Engineering B Tech 1623 2849 696 1162 519 689 274 274
IIT
(BHU)
Electrical Engineering with M.Tech.
in Power Electronics
DD B
Tech and
M Tech
1901 2882 878 1218 562 876 284 406
IIT
(BHU)
Electrical Engineering B Tech 2048 2489 903 1270 564 784 355 359
IIT
(BHU)
Mechanical Engineering DD B
Tech and
M Tech
2906 3049 1016 1169 577 672 363 396
IIT
(BHU)
Chemical Engineering B Tech 2923 4483 1306 1519 834 869 383 826
IIT
(BHU)
Civil Engineering B Tech 3336 4113 1409 1919 861 927 411 413
IIT
(BHU)
Civil Engineering with M.Tech. in
Structural Engineering
DD B
Tech and
M Tech
3848 4478 1532 1702 898 1 179 548 637
IIT
(BHU)
Engineering Physics Int M S 4540 5265 1566 2556 1208 1 573 558 709
IIT
(BHU)
Mining Engineering B Tech 4593 7015 1775 2671 1296 1 498 646 779
IIT
(BHU)
Materials Science and Technology DD B
Tech and
M Tech
4702 6517 1977 2503 1369 1 462 771 832
Page 4 of 35
IIT
(BHU)
Metallurgical Engineering B Tech 4802 5798 2007 2209 1385 1 679 796 838
IIT
(BHU)
Metallurgical Engineering DD B
Tech and
M Tech
5316 6416 2203 2595 1425 1 547 818 920
IIT
(BHU)
Ceramic Engineering B Tech 5779 6992 2351 2984 1463 1 481 833 880
IIT
(BHU)
Bioengineering with M.Tech in
Biomedical Technology
DD B
Tech and
M Tech
6310 7055 2509 2895 1590 1 626 869 890
IIT
(BHU)
Biochemical Engineering with
M.Tech. in Biochemical Engineering
DD B
Tech and
M Tech
6519 6973 2524 2893 1613 1 736 925 947
IIT
(BHU)
Industrial Chemistry Int M S 6625 6920 2687 2723 1682 1 739 949 950
IIT
(BHU)
Mining Engineering DD B
Tech and
M Tech
6854 7138 2814 2938 1685 1 747 954 958
IIT
(BHU)
Ceramic Engineering DD B
Tech and
M Tech
6968 7111 2821 2940 1742 1 756 959 991
IITD Computer Science and Engineering B Tech 7 98 9 58 10 45 8 83
IITD Electrical Engineering B Tech 47 279 24 170 17 142 12 32
IITD Computer Science and Engineering DD B
Tech and
M Tech
99 175 74 304 22 99 14 29
IITD Mathematics & Computing B Tech 283 494 78 143 58 111 16 73
IITD Electrical Engineering (Power and
Automation)
B Tech 315 851 152 358 60 382 37 80
IITD Mechanical Engineering B Tech 381 754 213 428 121 276 47 72
IITD Mathematics and Computing DD B
Tech and
M Tech
510 614 368 441 173 499 95 494
IITD Chemical Engineering B Tech 772 1508 474 716 394 852 139 366
IITD Production and Industrial
Engineering
B Tech 811 2079 556 1265 410 596 277 348
IITD Civil Engineering B Tech 884 2055 600 929 513 598 296 347
Page 5 of 35
IITD Engineering Physics B Tech 947 2367 973 1258 627 809 301 417
IITD Chemical Engineering DD B
Tech and
M Tech
1543 2127 1105 1400 647 922 319 652
IITD Biochemical Engineering and
Biotechnology
B Tech 2313 4073 1321 2250 870 1 375 412 449
IITD Textile Technology B Tech 2630 4669 1488 2376 914 1 286 553 710
IITD Biochemical Engineering and
Biotechnology
DD B
Tech and
M Tech
3490 4447 2287 2401 1076 1 084 707 707
IITG Computer Science and Engineering B Tech 366 948 173 405 174 296 59 269
IITG Mathematics and Computing B Tech 987 1889 459 799 306 532 129 183
IITG Electronics and Communication
Engineering
B Tech 1322 1817 572 934 346 518 238 312
IITG Electronics and Electrical
Engineering
B Tech 1364 2036 579 867 456 507 251 320
IITG Mechanical Engineering B Tech 1978 2473 621 947 527 1 255 273 313
IITG Engineering Physics B Tech 2487 4494 1010 1462 624 987 324 517
IITG Chemical Science and Technology B Tech 2603 4881 1289 1675 683 796 373 426
IITG Chemical Engineering B Tech 2695 3946 1500 2288 811 1 089 545 721
IITG Civil Engineering B Tech 3296 4289 1701 2166 1097 1 358 590 678
IITG Biotechnology B Tech 5392 6578 2605 2867 1466 1 583 618 749
IITGN Mechanical Engineering B Tech 2121 3347 1106 1455 374 856 213 311
IITGN Electrical Engineering B Tech 2809 3215 1172 1525 678 793 225 314
IITGN Chemical Engineering B Tech 3467 5149 1667 1964 806 1 019 321 347
IITGN Civil Engineering B Tech 3818 5123 2048 2174 1124 1 189 661 668
IITGN Materials Science and Engineering B Tech 4995 6299 2214 2681 1221 1 433 723 817
IITH Computer Science and Engineering B Tech 632 1326 171 528 185 402 248 293
IITH Electrical Engineering B Tech 694 2209 700 912 329 572 249 275
IITH Engineering Science B Tech 2499 4008 779 1135 511 723 302 374
IITH Mechanical Engineering B Tech 2512 3038 1249 1536 710 774 309 327
IITH Engineering Physics B Tech 3157 4186 1646 1993 722 1 157 421 625
IITH Civil Engineering B Tech 3161 4129 1663 1978 849 1 335 446 518
IITH Chemical Engineering B Tech 3603 4651 1838 2075 1210 1 210 597 597
Page 6 of 35
IITH Material Science and Metallurgical
Engineering
B Tech 4718 5342 2278 2468 1220 1 220 751 751
IITI Computer Science and Engineering B Tech 1388 2573 865 1334 361 663 51 433
IITI Electrical Engineering B Tech 3140 4105 1473 1791 590 909 355 486
IITI Mechanical Engineering B Tech 3458 4446 1589 1826 855 1 013 375 491
IITJ Computer Science and Engineering B Tech 1336 3094 407 1505 660 887 122 410
IITJ Electrical Engineering B Tech 3367 4732 1640 1998 698 1 088 210 527
IITJ Mechanical Engineering B Tech 4207 4983 1850 1956 946 1 115 310 397
IITJ Systems Science B Tech 4921 6415 2124 2730 1276 1 660 610 877
IITJ Biologically-inspired Systems
Science
B Tech 6306 6895 2727 2995 1601 1 628 735 735
IITK Electrical Engineering B Tech 40 660 48 340 15 227 33 68
IITK Computer Science and Engineering B Tech 100 207 59 135 32 113 70 160
IITK Mechanical Engineering B Tech 610 1034 145 443 112 246 78 146
IITK Chemical Engineering B Tech 719 2179 497 1063 253 512 111 163
IITK Mathematics and Scientific
Computing
B S 826 1831 520 1036 305 548 230 425
IITK Physics B S 1026 3044 554 2213 468 736 299 381
IITK Civil Engineering B Tech 1481 2581 560 2882 575 1 008 428 765
IITK Aerospace Engineering B Tech 1670 2681 584 1115 775 1 206 534 774
IITK Economics B S 1789 3119 713 1147 1165 1 367 544 732
IITK Chemistry B S 1887 5722 1284 1731 1293 1 459 616 777
IITK Materials Science and Engineering B Tech 2182 4149 1429 2044 1304 1 479 775 875
IITK Biological Sciences and
Bioengineering
B Tech 3607 5162 2040 2571 1540 1 683 794 839
IITKGP Computer Science and Engineering B Tech 180 305 62 413 11 298 45 75
IITKGP Computer Science and Engineering DD B
Tech and
M Tech
336 445 84 161 29 115 55 152
IITKGP Electrical Engineering B Tech 338 989 174 236 37 176 76 168
IITKGP Electronics and Electrical
Communication Engineering
B Tech 347 758 229 444 40 297 110 127
Page 7 of 35
IITKGP Electronics and Electrical
Communication Engineering with
M.Tech. in any of the listed
specializations
DD B
Tech and
M Tech
763 1222 312 573 143 268 141 232
IITKGP Mechanical Engineering B Tech 1009 1215 390 486 213 349 157 292
IITKGP Electrical Engineering with M.Tech.
in any of the listed specializations
DD B
Tech and
M Tech
1056 1329 465 626 214 555 169 188
IITKGP Mechanical Engineering with
M.Tech. in any of the listed
specializations
DD B
Tech and
M Tech
1299 1733 484 771 299 437 194 223
IITKGP Mathematics and Computing Int M S 1313 2252 513 1139 309 541 212 430
IITKGP Chemical Engineering B Tech 1323 2458 618 1223 336 408 242 262
IITKGP Metallurgical and Materials
Engineering
B Tech 1355 4117 731 1156 429 687 246 392
IITKGP Instrumentation Engineering B Tech 1413 2255 885 2744 502 807 315 333
IITKGP Aerospace Engineering DD B
Tech and
M Tech
1868 3304 913 1281 528 1 282 393 393
IITKGP Civil Engineering B Tech 2291 2949 1024 1446 545 631 405 651
IITKGP Aerospace Engineering B Tech 2424 3008 1030 1257 576 768 418 418
IITKGP Manufacturing Science and
Engineering
B Tech 2481 3087 1183 1362 603 970 450 549
IITKGP Industrial Engineering B Tech 2545 3348 1287 1495 639 679 465 664
IITKGP Chemical Engineering DD B
Tech and
M Tech
2569 3106 1339 1591 733 1 023 487 526
IITKGP Ocean Engineering and Naval
Architecture
B Tech 3053 5231 1515 1816 782 1 035 519 660
IITKGP Civil Engineering with any of the
listed specialization
DD B
Tech and
M Tech
3108 3397 1518 1651 868 1 061 520 539
Page 8 of 35
IITKGP Manufacturing Science and
Engineering with M.Tech. in
Industrial Engineering and
Management
DD B
Tech and
M Tech
3241 3703 1540 2226 889 1 228 537 584
IITKGP Economics Int M S 3307 4526 1615 1778 1015 1 281 552 671
IITKGP Mining Engineering B Tech 3355 5598 1626 1877 1037 1 121 565 615
IITKGP Quality Engineering Design and
Manufacturing
DD B
Tech and
M Tech
3437 4155 1820 2515 1073 1 087 566 566
IITKGP Physics Int M S 3586 5413 1830 2241 1126 1 542 627 627
IITKGP Industrial Engineering with M.Tech.
in Industrial Engineering and
Management
DD B
Tech and
M Tech
3616 4192 1878 2087 1177 1 435 657 787
IITKGP Biotechnology and Biochemical
Engineering
B Tech 3811 5441 1879 2973 1243 1 274 673 756
IITKGP Metallurgical and Materials
Engineering with M.Tech. in
Metallurgical and Materials
Engineering
DD B
Tech and
M Tech
4260 4696 1888 2265 1252 1 401 720 720
IITKGP Exploration Geophysics Int M S 5104 6501 1935 2190 1361 1 405 724 899
IITKGP Agricultural and Food Engineering B Tech 5114 6107 2271 2798 1384 1 515 767 1006
IITKGP Ocean Engineering and Naval
Architecture
DD B
Tech and
M Tech
5267 5765 2272 2433 1393 1 677 805 881
IITKGP Chemistry Int M S 5404 6927 2282 2646 1419 1 501 831 903
IITKGP Biotechnology and Biochemical
Engineering
DD B
Tech and
M Tech
5531 6098 2324 2423 1478 1 763 848 848
IITKGP Mining Engineering DD B
Tech and
M Tech
5662 6104 2346 2886 1499 1 608 854 874
IITKGP Applied Geology Int M S 5835 6983 2476 2636 1537 1 662 936 936
IITKGP Agricultural and Food Engineering
with M.Tech. in any of the listed
specializations
DD B
Tech and
M Tech
6116 6904 2700 2986 1538 1 720 953 963
Page 9 of 35
IITKGP Mining Safety Engineering DD B
Tech and
M Tech
6179 6614 2743 2927 1635 1 735 1010 1015
IITM Electrical Engineering B Tech 32 459 31 82 27 211 21 25
IITM Computer Science and Engineering B Tech 62 147 52 292 33 70 27 105
IITM Computer Science and Engineering DD B
Tech and
M Tech
212 340 109 409 78 196 49 49
IITM Mechanical Engineering B Tech 238 983 116 168 120 134 56 125
IITM Electrical Engineering DD B
Tech and
M Tech
488 1052 316 510 229 561 101 171
IITM Aerospace Engineering B Tech 936 2520 379 935 236 324 143 206
IITM Chemical Engineering B Tech 1063 2415 385 1185 319 355 176 201
IITM Mechanical Engineering (Product
design)
DD B
Tech and
M Tech
1072 1357 437 582 327 469 198 239
IITM Engineering Physics B Tech 1104 2121 468 754 335 481 202 371
IITM Electrical Engineering with M.Tech
in Applied Mechanics with
specialization in Biomedical Engg
DD B
Tech and
M Tech
1135 1196 521 630 360 452 204 204
IITM Mechanical Engineering (Intelligent
Manufacturing)
DD B
Tech and
M Tech
1185 1477 565 1486 362 549 211 211
IITM Mechanical Engineering (Thermal
Engineering)
DD B
Tech and
M Tech
1406 1595 623 627 418 418 255 322
IITM Civil Engineering B Tech 1694 2858 785 1229 438 817 268 345
IITM Engineering Design (Automotive
Engineering)
DD B
Tech and
M Tech
1725 3441 894 1443 473 473 362 458
IITM Civil Engineering (Infrastructural
Civil Engineering)
DD B
Tech and
M Tech
2266 3333 902 981 571 571 386 510
IITM Chemical Engineering DD B
Tech and
M Tech
2421 2899 936 1413 630 1 083 395 395
Page 10 of 35
IITM Biological Engineering DD B
Tech and
M Tech
2445 5819 1145 1275 652 1 190 401 483
IITM Aerospace Engineering DD B
Tech and
M Tech
2618 3051 1302 1468 700 743 482 482
IITM Engineering Design (Biomedical
Design)
DD B
Tech and
M Tech
2691 4232 1316 1358 717 717 490 490
IITM Metallurgical and Materials
Engineering
B Tech 2967 3721 1329 2025 749 753 497 656
IITM Civil Engineering with M.Tech. in
Applied Mechanics in any of the
listed specializations
DD B
Tech and
M Tech
3036 3401 1377 1717 780 1 025 504 588
IITM Naval Architecture and Ocean
Engineering
B Tech 3085 4658 1590 1598 819 1 074 599 599
IITM Physics DD B S
and M S
3155 3451 1623 1782 840 900 636 636
IITM Aerospace Engineering with
M.Tech. in Applied Mechanics with
specializations in Biomedical
Engineering
DD B
Tech and
M Tech
3196 3506 1866 1880 1186 1 186 713 713
IITM Civil Engineering with any of the
listed specialization
DD B
Tech and
M Tech
3275 3529 1905 2266 1215 1 254 790 938
IITM Naval Architecture and Ocean
Engineering with M.Tech in Applied
Mechanics in any of the listed
specializations
DD B
Tech and
M Tech
3605 4979 1965 2387 1277 1 287 909 996
IITM Metallurgical and Materials
Engineering
DD B
Tech and
M Tech
3836 4158 2046 2062 1390 1 415 504 588
IITM Naval Architecture and Ocean
Engineering
DD B
Tech and
M Tech
4608 5209 2279 2808 1423 1 585 599 599
IITM Biological Sciences DD B S
and M S
5657 7148 2888 3040 1657 1 768 636 636
Page 11 of 35
IITMandi Computer Science and Engineering B Tech 2486 3156 983 1581 695 936 364 460
IITMandi Mechanical Engineering B Tech 3274 5146 1569 2042 963 1 133 521 556
IITMandi Electrical Engineering B Tech 3342 4823 1676 2028 1069 1 168 543 589
IITP Computer Science and Engineering B Tech 2819 3739 979 1628 593 1 163 403 617
IITP Electrical Engineering B Tech 4160 5179 1482 1993 716 990 444 507
IITP Mechanical Engineering B Tech 4568 5363 1921 2106 825 1 217 445 498
IITP Civil and Infrastructure Engineering B Tech 5448 6017 1975 2467 884 1 140 574 579
IITP Chemical Science and Technology B Tech 5691 6190 2096 2218 1298 1 331 714 718
IITR Computer Science and Engineering B Tech 314 665 184 276 118 192 99 117
IITR Electronics and Communication
Engineering
B Tech 868 1318 429 667 191 377 135 200
IITR Electrical Engineering B Tech 1191 1736 448 635 240 430 153 245
IITR Mechanical Engineering B Tech 1237 1925 474 671 333 416 165 219
IITR Civil Engineering B Tech 1859 3293 684 1246 375 653 192 276
IITR Production and Industrial
Engineering
B Tech 2330 3900 1262 1513 772 926 420 476
IITR Chemical Engineering B Tech 2500 3424 1285 1664 937 1 136 441 509
IITR Applied Mathematics Int M S 2874 4183 1461 2180 957 1 337 582 760
IITR Metallurgical and Materials
Engineering
B Tech 3089 5274 1790 2430 1115 1 549 658 804
IITR Biotechnology B Tech 3338 6213 1944 2749 1199 1 705 741 757
IITR Process Engineering with MBA DD B
Tech and
MBA
4215 6665 2127 2916 1330 1 566 772 843
IITR Geophysical Technology Int M S 4625 6162 2221 2874 1343 1 529 799 891
IITR Physics Int M S 4733 6226 2304 2843 1351 1 650 802 942
IITR Polymer Science and Technology B Tech 5333 6575 2410 2871 1410 1 647 845 912
IITR Geological Technology Int M S 6299 6803 2589 2962 1531 1 725 923 961
IITRPR Computer Science and Engineering B Tech 1276 2278 617 958 439 640 317 478
IITRPR Electrical Engineering B Tech 2556 3822 689 1669 697 1 031 437 466
IITRPR Mechanical Engineering B Tech 3400 4152 1434 1743 879 1 080 459 533
ISMD Computer Science and Engineering B Tech 2845 4434 818 1556 558 897 278 744
ISMD Mechanical Engineering B Tech 3154 5730 1087 2009 610 1 039 335 424
Page 12 of 35
ISMD Computer Science and Engineering DD B
Tech and
M Tech
3697 4615 1213 2438 686 1 365 344 575
ISMD Petroleum Engineering B Tech 3988 6345 1327 2469 783 1 119 379 571
ISMD Civil Engineering B Tech 4487 6446 1412 2168 851 1 696 391 621
ISMD Electrical Engineering B Tech 4740 6103 1544 2247 857 1 151 407 540
ISMD Electronics and Communication
Engineering
B Tech 4797 5932 1576 1613 931 1 250 442 685
ISMD Mathematics and Computing Int M S 4800 6400 1647 2378 1096 1 264 587 639
ISMD Mining Engineering B Tech 4834 6833 1735 2261 1173 1 434 602 602
ISMD Electronics and Instrumentation
Engineering
B Tech 5490 6461 1832 2534 1245 1 380 604 647
ISMD Chemical Engineering B Tech 5799 6623 2222 2379 1257 1 317 706 819
ISMD Engineering Physics B Tech 6121 6622 2385 2607 1354 1 476 726 852
ISMD Mining Engineering DD B
Tech and
M Tech
6182 7067 2393 2505 1402 1 711 750 865
ISMD Applied Geology Int M Sc
Tech
6544 7147 2499 2946 1437 1 507 770 829
ISMD Environmental Engineering B Tech 6627 7125 2554 2724 1440 1 624 789 789
ISMD Mineral Engineering with M.Tech in
Mineral Engineering
DD B
Tech and
M Tech
6651 7149 2623 2819 1441 1 599 851 885
ISMD Mineral Engineering B Tech 6683 7144 2827 2896 1632 1 731 866 866
ISMD Mining Machinery Engineering B Tech 6699 7129 2914 3025 1681 1 727 906 906
Page 13 of 35
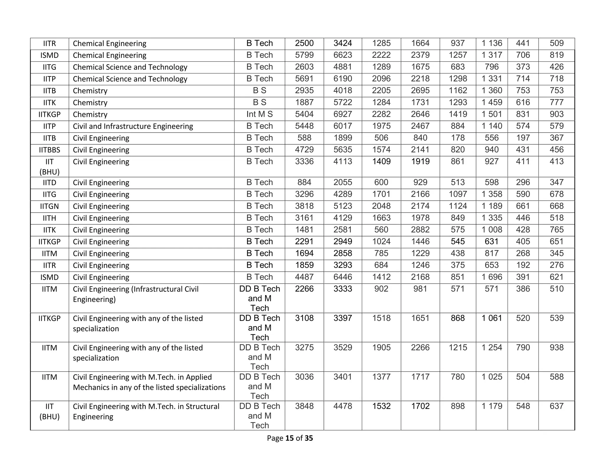
OPENING / CLOSING RANKS SORTED BY INSTITUTES FOR VARIOUS BRANCHES
Institue Branch Degree GEN(O) GEN(C) OBC(O) OBC(C) SC(O) SC(C) ST(O) ST(C)
IITB Aerospace Engineering B Tech 164 1852 100 254 35 340 23 52
IITK Aerospace Engineering B Tech 1670 2681 584 1115 775 1 206 534 774
IITKGP Aerospace Engineering DD B Tech
and M
Tech
1868 3304 913 1281 528 1 282 393 393
IITKGP Aerospace Engineering B Tech 2424 3008 1030 1257 576 768 418 418
IITM Aerospace Engineering B Tech 936 2520 379 935 236 324 143 206
IITM Aerospace Engineering DD B Tech
and M
Tech
2618 3051 1302 1468 700 743 482 482
IITM Aerospace Engineering with M.Tech. in
Applied Mechanics with specializations in
Biomedical Engineering
DD B Tech
and M
Tech
3196 3506 1866 1880 1186 1 186 713 713
IITKGP Agricultural and Food Engineering B Tech 5114 6107 2271 2798 1384 1 515 767 1006
IITKGP Agricultural and Food Engineering with
M.Tech. in any of the listed specializations
DD B Tech
and M
Tech
6116 6904 2700 2986 1538 1 720 953 963
IITKGP Applied Geology Int M S 5835 6983 2476 2636 1537 1 662 936 936
ISMD Applied Geology Int M Sc
Tech
6544 7147 2499 2946 1437 1 507 770 829
ISMD Applied Geophysics Int M Sc
Tech
7156 7222 2924 3006 1693 1 740 934 934
IITR Applied Mathematics Int M S 2874 4183 1461 2180 957 1 337 582 760
IITD Biochemical Engineering and Biotechnology B Tech 2313 4073 1321 2250 870 1 375 412 449
IITD Biochemical Engineering and Biotechnology DD B Tech
and M
Tech
3490 4447 2287 2401 1076 1 084 707 707
IIT
(BHU)
Biochemical Engineering with M.Tech. in
Biochemical Engineering
DD B Tech
and M
Tech
6519 6973 2524 2893 1613 1 736 925 947
IIT
(BHU)
Bioengineering with M.Tech in Biomedical
Technology
DD B Tech
and M
Tech
6310 7055 2509 2895 1590 1 626 869 890
Page 14 of 35
IITM Biological Engineering DD B Tech
and M
Tech
2445 5819 1145 1275 652 1 190 401 483
IITM Biological Sciences DD B S
and M S
5657 7148 2888 3040 1657 1 768 636 636
IITK Biological Sciences and Bioengineering B Tech 3607 5162 2040 2571 1540 1 683 794 839
IITJ Biologically-inspired Systems Science B Tech 6306 6895 2727 2995 1601 1 628 735 735
IITG Biotechnology B Tech 5392 6578 2605 2867 1466 1 583 618 749
IITR Biotechnology B Tech 3338 6213 1944 2749 1199 1 705 741 757
IITKGP Biotechnology and Biochemical Engineering B Tech 3811 5441 1879 2973 1243 1 274 673 756
IITKGP Biotechnology and Biochemical Engineering DD B Tech
and M
Tech
5531 6098 2324 2423 1478 1 763 848 848
IIT
(BHU)
Ceramic Engineering B Tech 5779 6992 2351 2984 1463 1 481 833 880
IIT
(BHU)
Ceramic Engineering DD B Tech
and M
Tech
6968 7111 2821 2940 1742 1 756 959 991
IITB Chemical Engineering B Tech 678 1405 620 1278 463 559 265 265
IIT
(BHU)
Chemical Engineering B Tech 2923 4483 1306 1519 834 869 383 826
IITD Chemical Engineering B Tech 772 1508 474 716 394 852 139 366
IITD Chemical Engineering DD B Tech
and M
Tech
1543 2127 1105 1400 647 922 319 652
IITG Chemical Engineering B Tech 2695 3946 1500 2288 811 1 089 545 721
IITGN Chemical Engineering B Tech 3467 5149 1667 1964 806 1 019 321 347
IITH Chemical Engineering B Tech 3603 4651 1838 2075 1210 1 210 597 597
IITK Chemical Engineering B Tech 719 2179 497 1063 253 512 111 163
IITKGP Chemical Engineering B Tech 1323 2458 618 1223 336 408 242 262
IITKGP Chemical Engineering DD B Tech
and M
Tech
2569 3106 1339 1591 733 1 023 487 526
IITM Chemical Engineering B Tech 1063 2415 385 1185 319 355 176 201
IITM Chemical Engineering DD B Tech
and M
Tech
2421 2899 936 1413 630 1 083 395 395
Page 15 of 35
IITR Chemical Engineering B Tech 2500 3424 1285 1664 937 1 136 441 509
ISMD Chemical Engineering B Tech 5799 6623 2222 2379 1257 1 317 706 819
IITG Chemical Science and Technology B Tech 2603 4881 1289 1675 683 796 373 426
IITP Chemical Science and Technology B Tech 5691 6190 2096 2218 1298 1 331 714 718
IITB Chemistry B S 2935 4018 2205 2695 1162 1 360 753 753
IITK Chemistry B S 1887 5722 1284 1731 1293 1 459 616 777
IITKGP Chemistry Int M S 5404 6927 2282 2646 1419 1 501 831 903
IITP Civil and Infrastructure Engineering B Tech 5448 6017 1975 2467 884 1 140 574 579
IITB Civil Engineering B Tech 588 1899 506 840 178 556 197 367
IITBBS Civil Engineering B Tech 4729 5635 1574 2141 820 940 431 456
IIT
(BHU)
Civil Engineering B Tech 3336 4113 1409 1919 861 927 411 413
IITD Civil Engineering B Tech 884 2055 600 929 513 598 296 347
IITG Civil Engineering B Tech 3296 4289 1701 2166 1097 1 358 590 678
IITGN Civil Engineering B Tech 3818 5123 2048 2174 1124 1 189 661 668
IITH Civil Engineering B Tech 3161 4129 1663 1978 849 1 335 446 518
IITK Civil Engineering B Tech 1481 2581 560 2882 575 1 008 428 765
IITKGP Civil Engineering B Tech 2291 2949 1024 1446 545 631 405 651
IITM Civil Engineering B Tech 1694 2858 785 1229 438 817 268 345
IITR Civil Engineering B Tech 1859 3293 684 1246 375 653 192 276
ISMD Civil Engineering B Tech 4487 6446 1412 2168 851 1 696 391 621
IITM Civil Engineering (Infrastructural Civil
Engineering)
DD B Tech
and M
Tech
2266 3333 902 981 571 571 386 510
IITKGP Civil Engineering with any of the listed
specialization
DD B Tech
and M
Tech
3108 3397 1518 1651 868 1 061 520 539
IITM Civil Engineering with any of the listed
specialization
DD B Tech
and M
Tech
3275 3529 1905 2266 1215 1 254 790 938
IITM Civil Engineering with M.Tech. in Applied
Mechanics in any of the listed specializations
DD B Tech
and M
Tech
3036 3401 1377 1717 780 1 025 504 588
IIT
(BHU)
Civil Engineering with M.Tech. in Structural
Engineering
DD B Tech
and M
Tech
3848 4478 1532 1702 898 1 179 548 637
Page 16 of 35
IITB Computer Science and Engineering B Tech 1 51 1 38 1 26 1 13
IITBBS Computer Science and Engineering B Tech 2592 3500 854 1457 85 895 280 485
IIT
(BHU)
Computer Science and Engineering B Tech 696 1111 374 533 155 358 196 308
IIT
(BHU)
Computer Science and Engineering DD B Tech
and M
Tech
1118 1293 537 602 409 657 243 290
IITD Computer Science and Engineering B Tech 7 98 9 58 10 45 8 83
IITD Computer Science and Engineering DD B Tech
and M
Tech
99 175 74 304 22 99 14 29
IITG Computer Science and Engineering B Tech 366 948 173 405 174 296 59 269
IITH Computer Science and Engineering B Tech 632 1326 171 528 185 402 248 293
IITI Computer Science and Engineering B Tech 1388 2573 865 1334 361 663 51 433
IITJ Computer Science and Engineering B Tech 1336 3094 407 1505 660 887 122 410
IITK Computer Science and Engineering B Tech 100 207 59 135 32 113 70 160
IITKGP Computer Science and Engineering B Tech 180 305 62 413 11 298 45 75
IITKGP Computer Science and Engineering DD B Tech
and M
Tech
336 445 84 161 29 115 55 152
IITM Computer Science and Engineering B Tech 62 147 52 292 33 70 27 105
IITM Computer Science and Engineering DD B Tech
and M
Tech
212 340 109 409 78 196 49 49
IITMandi Computer Science and Engineering B Tech 2486 3156 983 1581 695 936 364 460
IITP Computer Science and Engineering B Tech 2819 3739 979 1628 593 1 163 403 617
IITR Computer Science and Engineering B Tech 314 665 184 276 118 192 99 117
IITRPR Computer Science and Engineering B Tech 1276 2278 617 958 439 640 317 478
ISMD Computer Science and Engineering B Tech 2845 4434 818 1556 558 897 278 744
ISMD Computer Science and Engineering DD B Tech
and M
Tech
3697 4615 1213 2438 686 1 365 344 575
IITK Economics B S 1789 3119 713 1147 1165 1 367 544 732
IITKGP Economics Int M S 3307 4526 1615 1778 1015 1 281 552 671
IITB Electrical Engineering B Tech 28 168 3 95 13 65 3 131
IITBBS Electrical Engineering B Tech 3399 4556 871 1774 388 874 380 443
Page 17 of 35
IIT
(BHU)
Electrical Engineering B Tech 2048 2489 903 1270 564 784 355 359
IITD Electrical Engineering B Tech 47 279 24 170 17 142 12 32
IITGN Electrical Engineering B Tech 2809 3215 1172 1525 678 793 225 314
IITH Electrical Engineering B Tech 694 2209 700 912 329 572 249 275
IITI Electrical Engineering B Tech 3140 4105 1473 1791 590 909 355 486
IITJ Electrical Engineering B Tech 3367 4732 1640 1998 698 1 088 210 527
IITK Electrical Engineering B Tech 40 660 48 340 15 227 33 68
IITKGP Electrical Engineering B Tech 338 989 174 236 37 176 76 168
IITM Electrical Engineering B Tech 32 459 31 82 27 211 21 25
IITM Electrical Engineering DD B Tech
and M
Tech
488 1052 316 510 229 561 101 171
IITMandi Electrical Engineering B Tech 3342 4823 1676 2028 1069 1 168 543 589
IITP Electrical Engineering B Tech 4160 5179 1482 1993 716 990 444 507
IITR Electrical Engineering B Tech 1191 1736 448 635 240 430 153 245
IITRPR Electrical Engineering B Tech 2556 3822 689 1669 697 1 031 437 466
ISMD Electrical Engineering B Tech 4740 6103 1544 2247 857 1 151 407 540
IITD Electrical Engineering (Power and
Automation)
B Tech 315 851 152 358 60 382 37 80
IITM Electrical Engineering with M.Tech in Applied
Mechanics with specialization in Biomedical
Engg
DD B Tech
and M
Tech
1135 1196 521 630 360 452 204 204
IITKGP Electrical Engineering with M.Tech. in any of
the listed specializations
DD B Tech
and M
Tech
1056 1329 465 626 214 555 169 188
IITB Electrical Engineering with M.Tech. in
Communications and Signal Processing
DD B Tech
and M
Tech
295 458 111 306 93 193 93 228
IITB Electrical Engineering with M.Tech. in
Microelectronics
DD B Tech
and M
Tech
178 323 110 847 52 203 91 109
IIT
(BHU)
Electrical Engineering with M.Tech. in Power
Electronics
DD B Tech
and M
Tech
1901 2882 878 1218 562 876 284 406
IITG Electronics and Communication Engineering B Tech 1322 1817 572 934 346 518 238 312
Page 18 of 35
IITR Electronics and Communication Engineering B Tech 868 1318 429 667 191 377 135 200
ISMD Electronics and Communication Engineering B Tech 4797 5932 1576 1613 931 1 250 442 685
IITKGP Electronics and Electrical Communication
Engineering
B Tech 347 758 229 444 40 297 110 127
IITKGP Electronics and Electrical Communication
Engineering with M.Tech. in any of the listed
specializations
DD B Tech
and M
Tech
763 1222 312 573 143 268 141 232
IITG Electronics and Electrical Engineering B Tech 1364 2036 579 867 456 507 251 320
ISMD Electronics and Instrumentation Engineering B Tech 5490 6461 1832 2534 1245 1 380 604 647
IIT
(BHU)
Electronics Engineering B Tech 1429 2247 606 1005 415 423 263 336
IITB Energy Engineering with M.Tech. in Energy
Systems Engineering
DD B Tech
and M
Tech
817 2186 906 1015 582 894 360 635
IITM Engineering Design (Automotive Engineering) DD B Tech
and M
Tech
1725 3441 894 1443 473 473 362 458
IITM Engineering Design (Biomedical Design) DD B Tech
and M
Tech
2691 4232 1316 1358 717 717 490 490
IITB Engineering Physics B Tech 335 943 205 916 105 431 114 147
IIT
(BHU)
Engineering Physics Int M S 4540 5265 1566 2556 1208 1 573 558 709
IITD Engineering Physics B Tech 947 2367 973 1258 627 809 301 417
IITG Engineering Physics B Tech 2487 4494 1010 1462 624 987 324 517
IITH Engineering Physics B Tech 3157 4186 1646 1993 722 1 157 421 625
IITM Engineering Physics B Tech 1104 2121 468 754 335 481 202 371
ISMD Engineering Physics B Tech 6121 6622 2385 2607 1354 1 476 726 852
IITB Engineering Physics and M.Tech. with
specialization in Nano Science
DD B Tech
and M
Tech
575 1495 289 430 128 224 170 343
IITH Engineering Science B Tech 2499 4008 779 1135 511 723 302 374
ISMD Environmental Engineering B Tech 6627 7125 2554 2724 1440 1 624 789 789
IITKGP Exploration Geophysics Int M S 5104 6501 1935 2190 1361 1 405 724 899
IITR Geological Technology Int M S 6299 6803 2589 2962 1531 1 725 923 961
IITR Geophysical Technology Int M S 4625 6162 2221 2874 1343 1 529 799 891
Page 19 of 35
IIT
(BHU)
Industrial Chemistry Int M S 6625 6920 2687 2723 1682 1 739 949 950
IITKGP Industrial Engineering B Tech 2545 3348 1287 1495 639 679 465 664
IITKGP Industrial Engineering with M.Tech. in
Industrial Engineering and Management
DD B Tech
and M
Tech
3616 4192 1878 2087 1177 1 435 657 787
IITKGP Instrumentation Engineering B Tech 1413 2255 885 2744 502 807 315 333
IITKGP Manufacturing Science and Engineering B Tech 2481 3087 1183 1362 603 970 450 549
IITKGP Manufacturing Science and Engineering with
M.Tech. in Industrial Engineering and
Management
DD B Tech
and M
Tech
3241 3703 1540 2226 889 1 228 537 584
IITH Material Science and Metallurgical
Engineering
B Tech 4718 5342 2278 2468 1220 1 220 751 751
IITGN Materials Science and Engineering B Tech 4995 6299 2214 2681 1221 1 433 723 817
IITK Materials Science and Engineering B Tech 2182 4149 1429 2044 1304 1 479 775 875
IIT
(BHU)
Materials Science and Technology DD B Tech
and M
Tech
4702 6517 1977 2503 1369 1 462 771 832
IITD Mathematics & Computing B Tech 283 494 78 143 58 111 16 73
IIT
(BHU)
Mathematics and Computing Int M S 1497 2104 638 1071 477 651 270 358
IITD Mathematics and Computing DD B Tech
and M
Tech
510 614 368 441 173 499 95 494
IITG Mathematics and Computing B Tech 987 1889 459 799 306 532 129 183
IITKGP Mathematics and Computing Int M S 1313 2252 513 1139 309 541 212 430
ISMD Mathematics and Computing Int M S 4800 6400 1647 2378 1096 1 264 587 639
IITK Mathematics and Scientific Computing B S 826 1831 520 1036 305 548 230 425
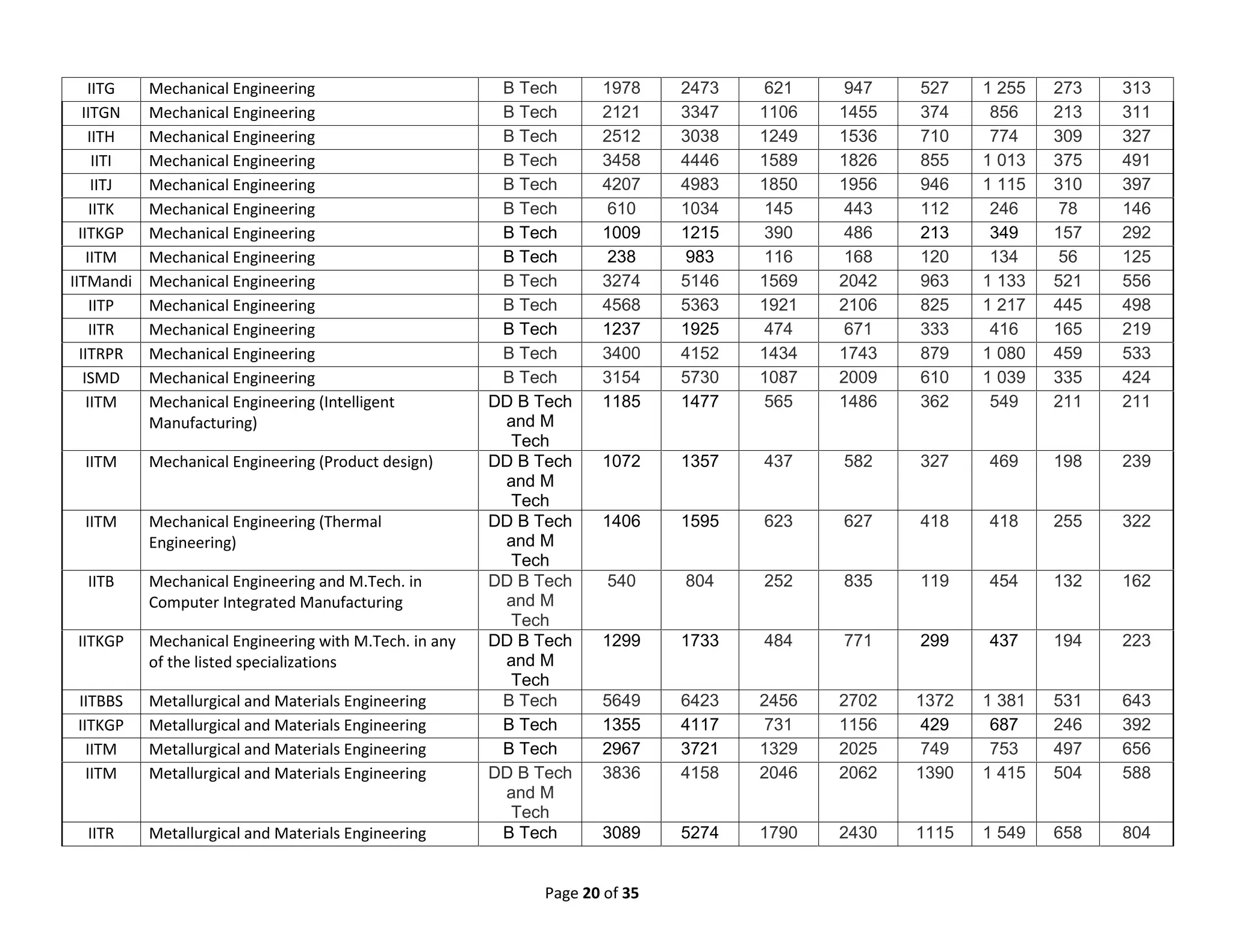
IITB Mechanical Engineering B Tech 35 640 67 272 24 140 4 18
IITBBS Mechanical Engineering B Tech 3926 4896 1345 1798 751 1 024 415 432
IIT
(BHU)
Mechanical Engineering B Tech 1623 2849 696 1162 519 689 274 274
IIT
(BHU)
Mechanical Engineering DD B Tech
and M
Tech
2906 3049 1016 1169 577 672 363 396
IITD Mechanical Engineering B Tech 381 754 213 428 121 276 47 72
Page 20 of 35
IITG Mechanical Engineering B Tech 1978 2473 621 947 527 1 255 273 313
IITGN Mechanical Engineering B Tech 2121 3347 1106 1455 374 856 213 311
IITH Mechanical Engineering B Tech 2512 3038 1249 1536 710 774 309 327
IITI Mechanical Engineering B Tech 3458 4446 1589 1826 855 1 013 375 491
IITJ Mechanical Engineering B Tech 4207 4983 1850 1956 946 1 115 310 397
IITK Mechanical Engineering B Tech 610 1034 145 443 112 246 78 146
IITKGP Mechanical Engineering B Tech 1009 1215 390 486 213 349 157 292
IITM Mechanical Engineering B Tech 238 983 116 168 120 134 56 125
IITMandi Mechanical Engineering B Tech 3274 5146 1569 2042 963 1 133 521 556
IITP Mechanical Engineering B Tech 4568 5363 1921 2106 825 1 217 445 498
IITR Mechanical Engineering B Tech 1237 1925 474 671 333 416 165 219
IITRPR Mechanical Engineering B Tech 3400 4152 1434 1743 879 1 080 459 533
ISMD Mechanical Engineering B Tech 3154 5730 1087 2009 610 1 039 335 424
IITM Mechanical Engineering (Intelligent
Manufacturing)
DD B Tech
and M
Tech
1185 1477 565 1486 362 549 211 211
IITM Mechanical Engineering (Product design) DD B Tech
and M
Tech
1072 1357 437 582 327 469 198 239
IITM Mechanical Engineering (Thermal
Engineering)
DD B Tech
and M
Tech
1406 1595 623 627 418 418 255 322
IITB Mechanical Engineering and M.Tech. in
Computer Integrated Manufacturing
DD B Tech
and M
Tech
540 804 252 835 119 454 132 162
IITKGP Mechanical Engineering with M.Tech. in any
of the listed specializations
DD B Tech
and M
Tech
1299 1733 484 771 299 437 194 223
IITBBS Metallurgical and Materials Engineering B Tech 5649 6423 2456 2702 1372 1 381 531 643
IITKGP Metallurgical and Materials Engineering B Tech 1355 4117 731 1156 429 687 246 392
IITM Metallurgical and Materials Engineering B Tech 2967 3721 1329 2025 749 753 497 656
IITM Metallurgical and Materials Engineering DD B Tech
and M
Tech
3836 4158 2046 2062 1390 1 415 504 588
IITR Metallurgical and Materials Engineering B Tech 3089 5274 1790 2430 1115 1 549 658 804
Page 21 of 35
IITKGP Metallurgical and Materials Engineering with
M.Tech. in Metallurgical and Materials
Engineering
DD B Tech
and M
Tech
4260 4696 1888 2265 1252 1 401 720 720
IIT
(BHU)
Metallurgical Engineering B Tech 4802 5798 2007 2209 1385 1 679 796 838
IIT
(BHU)
Metallurgical Engineering DD B Tech
and M
Tech
5316 6416 2203 2595 1425 1 547 818 920
IITB Metallurgical Engineering and Materials
Science
B Tech 1720 2776 1018 1602 597 812 377 489
IITB Metallurgical Engineering and Materials
Science with M.Tech. in Ceramics and
Composites
DD B Tech
and M
Tech
2779 2929 1635 1723 994 1 011 702 702
IITB Metallurgical Engineering and Materials
Science with M.Tech. in Metallurgical Process
Engineering
DD B Tech
and M
Tech
2767 2850 1634 1710 866 924 542 542
ISMD Mineral Engineering B Tech 6683 7144 2827 2896 1632 1 731 866 866
ISMD Mineral Engineering with M.Tech in Mineral
Engineering
DD B Tech
and M
Tech
6651 7149 2623 2819 1441 1 599 851 885
IIT
(BHU)
Mining Engineering B Tech 4593 7015 1775 2671 1296 1 498 646 779
IIT
(BHU)
Mining Engineering DD B Tech
and M
Tech
6854 7138 2814 2938 1685 1 747 954 958
IITKGP Mining Engineering B Tech 3355 5598 1626 1877 1037 1 121 565 615
IITKGP Mining Engineering DD B Tech
and M
Tech
5662 6104 2346 2886 1499 1 608 854 874
ISMD Mining Engineering B Tech 4834 6833 1735 2261 1173 1 434 602 602
ISMD Mining Engineering DD B Tech
and M
Tech
6182 7067 2393 2505 1402 1 711 750 865
ISMD Mining Machinery Engineering B Tech 6699 7129 2914 3025 1681 1 727 906 906
IITKGP Mining Safety Engineering DD B Tech
and M
Tech
6179 6614 2743 2927 1635 1 735 1010 1015
Page 22 of 35
IITM Naval Architecture and Ocean Engineering B Tech 3085 4658 1590 1598 819 1 074 599 599
IITM Naval Architecture and Ocean Engineering DD B Tech
and M
Tech
4608 5209 2279 2808 1423 1 585 599 599
IITM Naval Architecture and Ocean Engineering
with M.Tech in Applied Mechanics in any of
the listed specializations
DD B Tech
and M
Tech
3605 4979 1965 2387 1277 1 287 909 996
IITKGP Ocean Engineering and Naval Architecture B Tech 3053 5231 1515 1816 782 1 035 519 660
IITKGP Ocean Engineering and Naval Architecture DD B Tech
and M
Tech
5267 5765 2272 2433 1393 1 677 805 881
ISMD Petroleum Engineering B Tech 3988 6345 1327 2469 783 1 119 379 571
IITK Physics B S 1026 3044 554 2213 468 736 299 381
IITKGP Physics Int M S 3586 5413 1830 2241 1126 1 542 627 627
IITM Physics DD B S
and M S
3155 3451 1623 1782 840 900 636 636
IITR Physics Int M S 4733 6226 2304 2843 1351 1 650 802 942
IITR Polymer Science and Technology B Tech 5333 6575 2410 2871 1410 1 647 845 912
IITR Process Engineering with MBA DD B Tech
and MBA
4215 6665 2127 2916 1330 1 566 772 843
IITD Production and Industrial Engineering B Tech 811 2079 556 1265 410 596 277 348
IITR Production and Industrial Engineering B Tech 2330 3900 1262 1513 772 926 420 476
IITKGP Quality Engineering Design and
Manufacturing
DD B Tech
and M
Tech
3437 4155 1820 2515 1073 1 087 566 566
IITJ Systems Science B Tech 4921 6415 2124 2730 1276 1 660 610 877
IITD Textile Technology B Tech 2630 4669 1488 2376 914 1 286 553 710
Page 23 of 35
OPENING/CLOSING OF BRANCHES AT VARIOUS INSTITUTES SORTED BY CLOSING RANKS
Institue Branch Degree GEN(O) GEN(C) OBC(O) OBC(C) SC(O) SC(C) ST(O) ST(C)
IITB Computer Science and Engineering B Tech 1 51 1 38 1 26 1 13
IITD Computer Science and Engineering B Tech 7 98 9 58 10 45 8 83
IITM Computer Science and Engineering B Tech 62 147 52 292 33 70 27 105
IITB Electrical Engineering B Tech 28 168 3 95 13 65 3 131
IITD Computer Science and Engineering DD B
Tech
and M
Tech
99 175 74 304 22 99 14 29
IITK Computer Science and Engineering B Tech 100 207 59 135 32 113 70 160
IITD Electrical Engineering B Tech 47 279 24 170 17 142 12 32
IITKGP Computer Science and Engineering B Tech 180 305 62 413 11 298 45 75
IITB Electrical Engineering with M.Tech. in
Microelectronics
DD B
Tech
and M
Tech
178 323 110 847 52 203 91 109
IITM Computer Science and Engineering DD B
Tech
and M
Tech
212 340 109 409 78 196 49 49
IITKGP Computer Science and Engineering DD B
Tech
and M
Tech
336 445 84 161 29 115 55 152
IITB Electrical Engineering with M.Tech. in
Communications and Signal Processing
DD B
Tech
and M
Tech
295 458 111 306 93 193 93 228
IITM Electrical Engineering B Tech 32 459 31 82 27 211 21 25
IITD Mathematics & Computing B Tech 283 494 78 143 58 111 16 73
Page 24 of 35
IITD Mathematics and Computing DD B
Tech
and M
Tech
510 614 368 441 173 499 95 494
IITB Mechanical Engineering B Tech 35 640 67 272 24 140 4 18
IITK Electrical Engineering B Tech 40 660 48 340 15 227 33 68
IITR Computer Science and Engineering B Tech 314 665 184 276 118 192 99 117
IITD Mechanical Engineering B Tech 381 754 213 428 121 276 47 72
IITKGP Electronics and Electrical Communication
Engineering
B Tech 347 758 229 444 40 297 110 127
IITB Mechanical Engineering and M.Tech. in
Computer Integrated Manufacturing
DD B
Tech
and M
Tech
540 804 252 835 119 454 132 162
IITD Electrical Engineering (Power and
Automation)
B Tech 315 851 152 358 60 382 37 80
IITB Engineering Physics B Tech 335 943 205 916 105 431 114 147
IITG Computer Science and Engineering B Tech 366 948 173 405 174 296 59 269
IITM Mechanical Engineering B Tech 238 983 116 168 120 134 56 125
IITKGP Electrical Engineering B Tech 338 989 174 236 37 176 76 168
IITK Mechanical Engineering B Tech 610 1034 145 443 112 246 78 146
IITM Electrical Engineering DD B
Tech
and M
Tech
488 1052 316 510 229 561 101 171
IIT
(BHU)
Computer Science and Engineering B Tech 696 1111 374 533 155 358 196 308
IITM Electrical Engineering with M.Tech in
Applied Mechanics with specialization in
Biomedical Engg
DD B
Tech
and M
Tech
1135 1196 521 630 360 452 204 204
IITKGP Mechanical Engineering B Tech 1009 1215 390 486 213 349 157 292
Page 25 of 35
IITKGP Electronics and Electrical Communication
Engineering with M.Tech. in any of the
listed specializations
DD B
Tech
and M
Tech
763 1222 312 573 143 268 141 232
IIT
(BHU)
Computer Science and Engineering DD B
Tech
and M
Tech
1118 1293 537 602 409 657 243 290
IITR Electronics and Communication Engineering B Tech 868 1318 429 667 191 377 135 200
IITH Computer Science and Engineering B Tech 632 1326 171 528 185 402 248 293
IITKGP Electrical Engineering with M.Tech. in any
of the listed specializations
DD B
Tech
and M
Tech
1056 1329 465 626 214 555 169 188
IITM Mechanical Engineering (Product design) DD B
Tech
and M
Tech
1072 1357 437 582 327 469 198 239
IITB Chemical Engineering B Tech 678 1405 620 1278 463 559 265 265
IITM Mechanical Engineering (Intelligent
Manufacturing)
DD B
Tech
and M
Tech
1185 1477 565 1486 362 549 211 211
IITB Engineering Physics and M.Tech. with
specialization in Nano Science
DD B
Tech
and M
Tech
575 1495 289 430 128 224 170 343
IITD Chemical Engineering B Tech 772 1508 474 716 394 852 139 366
IITM Mechanical Engineering (Thermal
Engineering)
DD B
Tech
and M
Tech
1406 1595 623 627 418 418 255 322
Page 26 of 35
IITKGP Mechanical Engineering with M.Tech. in any
of the listed specializations
DD B
Tech
and M
Tech
1299 1733 484 771 299 437 194 223
IITR Electrical Engineering B Tech 1191 1736 448 635 240 430 153 245
IITG Electronics and Communication Engineering B Tech 1322 1817 572 934 346 518 238 312
IITK Mathematics and Scientific Computing B S 826 1831 520 1036 305 548 230 425
IITB Aerospace Engineering B Tech 164 1852 100 254 35 340 23 52
IITG Mathematics and Computing B Tech 987 1889 459 799 306 532 129 183
IITB Civil Engineering B Tech 588 1899 506 840 178 556 197 367
IITR Mechanical Engineering B Tech 1237 1925 474 671 333 416 165 219
IITG Electronics and Electrical Engineering B Tech 1364 2036 579 867 456 507 251 320
IITD Civil Engineering B Tech 884 2055 600 929 513 598 296 347
IITD Production and Industrial Engineering B Tech 811 2079 556 1265 410 596 277 348
IIT
(BHU)
Mathematics and Computing Int M S 1497 2104 638 1071 477 651 270 358
IITM Engineering Physics B Tech 1104 2121 468 754 335 481 202 371
IITD Chemical Engineering DD B
Tech
and M
Tech
1543 2127 1105 1400 647 922 319 652
IITK Chemical Engineering B Tech 719 2179 497 1063 253 512 111 163
IITB Energy Engineering with M.Tech. in Energy
Systems Engineering
DD B
Tech
and M
Tech
817 2186 906 1015 582 894 360 635
IITH Electrical Engineering B Tech 694 2209 700 912 329 572 249 275
IIT
(BHU)
Electronics Engineering B Tech 1429 2247 606 1005 415 423 263 336
IITKGP Mathematics and Computing Int M S 1313 2252 513 1139 309 541 212 430
IITKGP Instrumentation Engineering B Tech 1413 2255 885 2744 502 807 315 333
IITRPR Computer Science and Engineering B Tech 1276 2278 617 958 439 640 317 478
IITD Engineering Physics B Tech 947 2367 973 1258 627 809 301 417
Page 27 of 35
IITM Chemical Engineering B Tech 1063 2415 385 1185 319 355 176 201
IITKGP Chemical Engineering B Tech 1323 2458 618 1223 336 408 242 262
IITG Mechanical Engineering B Tech 1978 2473 621 947 527 1 255 273 313
IIT
(BHU)
Electrical Engineering B Tech 2048 2489 903 1270 564 784 355 359
IITM Aerospace Engineering B Tech 936 2520 379 935 236 324 143 206
IITI Computer Science and Engineering B Tech 1388 2573 865 1334 361 663 51 433
IITK Civil Engineering B Tech 1481 2581 560 2882 575 1 008 428 765
IITK Aerospace Engineering B Tech 1670 2681 584 1115 775 1 206 534 774
IITB Metallurgical Engineering and Materials
Science
B Tech 1720 2776 1018 1602 597 812 377 489
IIT
(BHU)
Mechanical Engineering B Tech 1623 2849 696 1162 519 689 274 274
IITB Metallurgical Engineering and Materials
Science with M.Tech. in Metallurgical
Process Engineering
DD B
Tech
and M
Tech
2767 2850 1634 1710 866 924 542 542
IITM Civil Engineering B Tech 1694 2858 785 1229 438 817 268 345
IIT
(BHU)
Electrical Engineering with M.Tech. in
Power Electronics
DD B
Tech
and M
Tech
1901 2882 878 1218 562 876 284 406
IITM Chemical Engineering DD B
Tech
and M
Tech
2421 2899 936 1413 630 1 083 395 395
IITB Metallurgical Engineering and Materials
Science with M.Tech. in Ceramics and
Composites
DD B
Tech
and M
Tech
2779 2929 1635 1723 994 1 011 702 702
IITKGP Civil Engineering B Tech 2291 2949 1024 1446 545 631 405 651
IITKGP Aerospace Engineering B Tech 2424 3008 1030 1257 576 768 418 418
IITH Mechanical Engineering B Tech 2512 3038 1249 1536 710 774 309 327
Page 28 of 35
IITK Physics B S 1026 3044 554 2213 468 736 299 381
IIT
(BHU)
Mechanical Engineering DD B
Tech
and M
Tech
2906 3049 1016 1169 577 672 363 396
IITM Aerospace Engineering DD B
Tech
and M
Tech
2618 3051 1302 1468 700 743 482 482
IITKGP Manufacturing Science and Engineering B Tech 2481 3087 1183 1362 603 970 450 549
IITJ Computer Science and Engineering B Tech 1336 3094 407 1505 660 887 122 410
IITKGP Chemical Engineering DD B
Tech
and M
Tech
2569 3106 1339 1591 733 1 023 487 526
IITK Economics B S 1789 3119 713 1147 1165 1 367 544 732
IITMandi Computer Science and Engineering B Tech 2486 3156 983 1581 695 936 364 460
IITGN Electrical Engineering B Tech 2809 3215 1172 1525 678 793 225 314
IITR Civil Engineering B Tech 1859 3293 684 1246 375 653 192 276
IITKGP Aerospace Engineering DD B
Tech
and M
Tech
1868 3304 913 1281 528 1 282 393 393
IITM Civil Engineering (Infrastructural Civil
Engineering)
DD B
Tech
and M
Tech
2266 3333 902 981 571 571 386 510
IITGN Mechanical Engineering B Tech 2121 3347 1106 1455 374 856 213 311
IITKGP Industrial Engineering B Tech 2545 3348 1287 1495 639 679 465 664
IITKGP Civil Engineering with any of the listed
specialization
DD B
Tech
and M
Tech
3108 3397 1518 1651 868 1 061 520 539
Page 29 of 35
IITM Civil Engineering with M.Tech. in Applied
Mechanics in any of the listed
specializations
DD B
Tech
and M
Tech
3036 3401 1377 1717 780 1 025 504 588
IITR Chemical Engineering B Tech 2500 3424 1285 1664 937 1 136 441 509
IITM Engineering Design (Automotive
Engineering)
DD B
Tech
and M
Tech
1725 3441 894 1443 473 473 362 458
IITM Physics DD B S
and M
S
3155 3451 1623 1782 840 900 636 636
IITBBS Computer Science and Engineering B Tech 2592 3500 854 1457 85 895 280 485
IITM Aerospace Engineering with M.Tech. in
Applied Mechanics with specializations in
Biomedical Engineering
DD B
Tech
and M
Tech
3196 3506 1866 1880 1186 1 186 713 713
IITM Civil Engineering with any of the listed
specialization
DD B
Tech
and M
Tech
3275 3529 1905 2266 1215 1 254 790 938
IITKGP Manufacturing Science and Engineering
with M.Tech. in Industrial Engineering and
Management
DD B
Tech
and M
Tech
3241 3703 1540 2226 889 1 228 537 584
IITM Metallurgical and Materials Engineering B Tech 2967 3721 1329 2025 749 753 497 656
IITP Computer Science and Engineering B Tech 2819 3739 979 1628 593 1 163 403 617
IITRPR Electrical Engineering B Tech 2556 3822 689 1669 697 1 031 437 466
IITR Production and Industrial Engineering B Tech 2330 3900 1262 1513 772 926 420 476
IITG Chemical Engineering B Tech 2695 3946 1500 2288 811 1 089 545 721
IITH Engineering Science B Tech 2499 4008 779 1135 511 723 302 374
IITB Chemistry B S 2935 4018 2205 2695 1162 1 360 753 753
IITD Biochemical Engineering and Biotechnology B Tech 2313 4073 1321 2250 870 1 375 412 449
IITI Electrical Engineering B Tech 3140 4105 1473 1791 590 909 355 486
Page 30 of 35
IIT
(BHU)
Civil Engineering B Tech 3336 4113 1409 1919 861 927 411 413
IITKGP Metallurgical and Materials Engineering B Tech 1355 4117 731 1156 429 687 246 392
IITH Civil Engineering B Tech 3161 4129 1663 1978 849 1 335 446 518
IITK Materials Science and Engineering B Tech 2182 4149 1429 2044 1304 1 479 775 875
IITRPR Mechanical Engineering B Tech 3400 4152 1434 1743 879 1 080 459 533
IITKGP Quality Engineering Design and
Manufacturing
DD B
Tech
and M
Tech
3437 4155 1820 2515 1073 1 087 566 566
IITM Metallurgical and Materials Engineering DD B
Tech
and M
Tech
3836 4158 2046 2062 1390 1 415 504 588
IITR Applied Mathematics Int M S 2874 4183 1461 2180 957 1 337 582 760
IITH Engineering Physics B Tech 3157 4186 1646 1993 722 1 157 421 625
IITKGP Industrial Engineering with M.Tech. in
Industrial Engineering and Management
DD B
Tech
and M
Tech
3616 4192 1878 2087 1177 1 435 657 787
IITM Engineering Design (Biomedical Design) DD B
Tech
and M
Tech
2691 4232 1316 1358 717 717 490 490
IITG Civil Engineering B Tech 3296 4289 1701 2166 1097 1 358 590 678
ISMD Computer Science and Engineering B Tech 2845 4434 818 1556 558 897 278 744
IITI Mechanical Engineering B Tech 3458 4446 1589 1826 855 1 013 375 491
IITD Biochemical Engineering and Biotechnology DD B
Tech
and M
Tech
3490 4447 2287 2401 1076 1 084 707 707
Page 31 of 35
IIT
(BHU)
Civil Engineering with M.Tech. in Structural
Engineering
DD B
Tech
and M
Tech
3848 4478 1532 1702 898 1 179 548 637
IIT
(BHU)
Chemical Engineering B Tech 2923 4483 1306 1519 834 869 383 826
IITG Engineering Physics B Tech 2487 4494 1010 1462 624 987 324 517
IITKGP Economics Int M S 3307 4526 1615 1778 1015 1 281 552 671
IITBBS Electrical Engineering B Tech 3399 4556 871 1774 388 874 380 443
ISMD Computer Science and Engineering DD B
Tech
and M
Tech
3697 4615 1213 2438 686 1 365 344 575
IITH Chemical Engineering B Tech 3603 4651 1838 2075 1210 1 210 597 597
IITM Naval Architecture and Ocean Engineering B Tech 3085 4658 1590 1598 819 1 074 599 599
IITD Textile Technology B Tech 2630 4669 1488 2376 914 1 286 553 710
IITKGP Metallurgical and Materials Engineering
with M.Tech. in Metallurgical and Materials
Engineering
DD B
Tech
and M
Tech
4260 4696 1888 2265 1252 1 401 720 720
IITJ Electrical Engineering B Tech 3367 4732 1640 1998 698 1 088 210 527
IITMandi Electrical Engineering B Tech 3342 4823 1676 2028 1069 1 168 543 589
IITG Chemical Science and Technology B Tech 2603 4881 1289 1675 683 796 373 426
IITBBS Mechanical Engineering B Tech 3926 4896 1345 1798 751 1 024 415 432
IITM Naval Architecture and Ocean Engineering
with M.Tech in Applied Mechanics in any of
the listed specializations
DD B
Tech
and M
Tech
3605 4979 1965 2387 1277 1 287 909 996
IITJ Mechanical Engineering B Tech 4207 4983 1850 1956 946 1 115 310 397
IITGN Civil Engineering B Tech 3818 5123 2048 2174 1124 1 189 661 668
IITMandi Mechanical Engineering B Tech 3274 5146 1569 2042 963 1 133 521 556
IITGN Chemical Engineering B Tech 3467 5149 1667 1964 806 1 019 321 347
IITK Biological Sciences and Bioengineering B Tech 3607 5162 2040 2571 1540 1 683 794 839
Page 32 of 35
IITP Electrical Engineering B Tech 4160 5179 1482 1993 716 990 444 507
IITM Naval Architecture and Ocean Engineering DD B
Tech
and M
Tech
4608 5209 2279 2808 1423 1 585 599 599
IITKGP Ocean Engineering and Naval Architecture B Tech 3053 5231 1515 1816 782 1 035 519 660
IIT
(BHU)
Engineering Physics Int M S 4540 5265 1566 2556 1208 1 573 558 709
IITR Metallurgical and Materials Engineering B Tech 3089 5274 1790 2430 1115 1 549 658 804
IITH Material Science and Metallurgical
Engineering
B Tech 4718 5342 2278 2468 1220 1 220 751 751
IITP Mechanical Engineering B Tech 4568 5363 1921 2106 825 1 217 445 498
IITKGP Physics Int M S 3586 5413 1830 2241 1126 1 542 627 627
IITKGP Biotechnology and Biochemical Engineering B Tech 3811 5441 1879 2973 1243 1 274 673 756
IITKGP Mining Engineering B Tech 3355 5598 1626 1877 1037 1 121 565 615
IITBBS Civil Engineering B Tech 4729 5635 1574 2141 820 940 431 456
IITK Chemistry B S 1887 5722 1284 1731 1293 1 459 616 777
ISMD Mechanical Engineering B Tech 3154 5730 1087 2009 610 1 039 335 424
IITKGP Ocean Engineering and Naval Architecture DD B
Tech
and M
Tech
5267 5765 2272 2433 1393 1 677 805 881
IIT
(BHU)
Metallurgical Engineering B Tech 4802 5798 2007 2209 1385 1 679 796 838
IITM Biological Engineering DD B
Tech
and M
Tech
2445 5819 1145 1275 652 1 190 401 483
ISMD Electronics and Communication Engineering B Tech 4797 5932 1576 1613 931 1 250 442 685
IITP Civil and Infrastructure Engineering B Tech 5448 6017 1975 2467 884 1 140 574 579
Page 33 of 35
IITKGP Biotechnology and Biochemical Engineering DD B
Tech
and M
Tech
5531 6098 2324 2423 1478 1 763 848 848
ISMD Electrical Engineering B Tech 4740 6103 1544 2247 857 1 151 407 540
IITKGP Mining Engineering DD B
Tech
and M
Tech
5662 6104 2346 2886 1499 1 608 854 874
IITKGP Agricultural and Food Engineering B Tech 5114 6107 2271 2798 1384 1 515 767 1006
IITR Geophysical Technology Int M S 4625 6162 2221 2874 1343 1 529 799 891
IITP Chemical Science and Technology B Tech 5691 6190 2096 2218 1298 1 331 714 718
IITR Biotechnology B Tech 3338 6213 1944 2749 1199 1 705 741 757
IITR Physics Int M S 4733 6226 2304 2843 1351 1 650 802 942
IITGN Materials Science and Engineering B Tech 4995 6299 2214 2681 1221 1 433 723 817
ISMD Petroleum Engineering B Tech 3988 6345 1327 2469 783 1 119 379 571
ISMD Mathematics and Computing Int M S 4800 6400 1647 2378 1096 1 264 587 639
IITJ Systems Science B Tech 4921 6415 2124 2730 1276 1 660 610 877
IIT
(BHU)
Metallurgical Engineering DD B
Tech
and M
Tech
5316 6416 2203 2595 1425 1 547 818 920
IITBBS Metallurgical and Materials Engineering B Tech 5649 6423 2456 2702 1372 1 381 531 643
ISMD Civil Engineering B Tech 4487 6446 1412 2168 851 1 696 391 621
ISMD Electronics and Instrumentation
Engineering
B Tech 5490 6461 1832 2534 1245 1 380 604 647
IITKGP Exploration Geophysics Int M S 5104 6501 1935 2190 1361 1 405 724 899
IIT
(BHU)
Materials Science and Technology DD B
Tech
and M
Tech
4702 6517 1977 2503 1369 1 462 771 832
IITR Polymer Science and Technology B Tech 5333 6575 2410 2871 1410 1 647 845 912
IITG Biotechnology B Tech 5392 6578 2605 2867 1466 1 583 618 749
Page 34 of 35
IITKGP Mining Safety Engineering DD B
Tech
and M
Tech
6179 6614 2743 2927 1635 1 735 1010 1015
ISMD Engineering Physics B Tech 6121 6622 2385 2607 1354 1 476 726 852
ISMD Chemical Engineering B Tech 5799 6623 2222 2379 1257 1 317 706 819
IITR Process Engineering with MBA DD B
Tech
and
MBA
4215 6665 2127 2916 1330 1 566 772 843
IITR Geological Technology Int M S 6299 6803 2589 2962 1531 1 725 923 961
ISMD Mining Engineering B Tech 4834 6833 1735 2261 1173 1 434 602 602
IITJ Biologically-inspired Systems Science B Tech 6306 6895 2727 2995 1601 1 628 735 735
IITKGP Agricultural and Food Engineering with
M.Tech. in any of the listed specializations
DD B
Tech
and M
Tech
6116 6904 2700 2986 1538 1 720 953 963
IIT
(BHU)
Industrial Chemistry Int M S 6625 6920 2687 2723 1682 1 739 949 950
IITKGP Chemistry Int M S 5404 6927 2282 2646 1419 1 501 831 903
IIT
(BHU)
Biochemical Engineering with M.Tech. in
Biochemical Engineering
DD B
Tech
and M
Tech
6519 6973 2524 2893 1613 1 736 925 947
IITKGP Applied Geology Int M S 5835 6983 2476 2636 1537 1 662 936 936
IIT
(BHU)
Ceramic Engineering B Tech 5779 6992 2351 2984 1463 1 481 833 880
IIT
(BHU)
Mining Engineering B Tech 4593 7015 1775 2671 1296 1 498 646 779
IIT
(BHU)
Bioengineering with M.Tech in Biomedical
Technology
DD B
Tech
and M
Tech
6310 7055 2509 2895 1590 1 626 869 890
Page 35 of 35
ISMD Mining Engineering DD B
Tech
and M
Tech
6182 7067 2393 2505 1402 1 711 750 865
IIT
(BHU)
Ceramic Engineering DD B
Tech
and M
Tech
6968 7111 2821 2940 1742 1 756 959 991
ISMD Environmental Engineering B Tech 6627 7125 2554 2724 1440 1 624 789 789
ISMD Mining Machinery Engineering B Tech 6699 7129 2914 3025 1681 1 727 906 906
IIT
(BHU)
Mining Engineering DD B
Tech
and M
Tech
6854 7138 2814 2938 1685 1 747 954 958
ISMD Mineral Engineering B Tech 6683 7144 2827 2896 1632 1 731 866 866
ISMD Applied Geology Int M
Sc
Tech
6544 7147 2499 2946 1437 1 507 770 829
IITM Biological Sciences DD B S
and M
S
5657 7148 2888 3040 1657 1 768 636 636
ISMD Mineral Engineering with M.Tech in Mineral
Engineering
DD B
Tech
and M
Tech
6651 7149 2623 2819 1441 1 599 851 885
ISMD Applied Geophysics Int M
Sc
Tech
7156 7222 2924 3006 1693 1 740 934 934

Jee advance 2015 branch chooser

  • 1.
    (BRANCH CHOOSER FORCOUNSELING THROUGH JEE ADV- 2015) JEE ADVANCED 2014 (OPENING AND CLOSING RANKS SUMMARY) PREPARED BY AMBARISH SRIVASTAVA (CENTER HEAD AND DEAN OF PHYSICS, FIITJEE FARIDABAD) CONTENTS: OPENING/CLOSING RANKS SORTED BY BRANCHES AT VARIOUS INSTITUTES: PAGE 2 TO PAGE 12 OPENING / CLOSING RANKS SORTED BY INSTITUTES FOR VARIOUS BRANCHES: PAGE 13 TO PAGE 22 OPENING/CLOSING OF BRANCHES AT VARIOUS INSTITUTES SORTED BY CLOSING RANKS : PAGE 23 TO PAGE 35 Note: O = Opening Rank, C = Closing Rank
  • 2.
    Page 2 of35 OPENING/CLOSING RANKS SORTED BY BRANCHES AT VARIOUS INSTITUTES Institue Branch Degree GEN(O) GEN(C) OBC(O) OBC(C) SC(O) SC(C) ST(O) ST(C) IITB Computer Science and Engineering B Tech 1 51 1 38 1 26 1 13 IITB Electrical Engineering B Tech 28 168 3 95 13 65 3 131 IITB Mechanical Engineering B Tech 35 640 67 272 24 140 4 18 IITB Aerospace Engineering B Tech 164 1852 100 254 35 340 23 52 IITB Electrical Engineering with M.Tech. in Microelectronics DD B Tech and M Tech 178 323 110 847 52 203 91 109 IITB Electrical Engineering with M.Tech. in Communications and Signal Processing DD B Tech and M Tech 295 458 111 306 93 193 93 228 IITB Engineering Physics B Tech 335 943 205 916 105 431 114 147 IITB Mechanical Engineering and M.Tech. in Computer Integrated Manufacturing DD B Tech and M Tech 540 804 252 835 119 454 132 162 IITB Engineering Physics and M.Tech. with specialization in Nano Science DD B Tech and M Tech 575 1495 289 430 128 224 170 343 IITB Civil Engineering B Tech 588 1899 506 840 178 556 197 367 IITB Chemical Engineering B Tech 678 1405 620 1278 463 559 265 265 IITB Energy Engineering with M.Tech. in Energy Systems Engineering DD B Tech and M Tech 817 2186 906 1015 582 894 360 635 IITB Metallurgical Engineering and Materials Science B Tech 1720 2776 1018 1602 597 812 377 489 IITB Metallurgical Engineering and Materials Science with M.Tech. in Metallurgical Process Engineering DD B Tech and M Tech 2767 2850 1634 1710 866 924 542 542 IITB Metallurgical Engineering and Materials Science with M.Tech. in Ceramics and Composites DD B Tech and M Tech 2779 2929 1635 1723 994 1 011 702 702 IITB Chemistry B S 2935 4018 2205 2695 1162 1 360 753 753 IITBBS Computer Science and Engineering B Tech 2592 3500 854 1457 85 895 280 485
  • 3.
    Page 3 of35 IITBBS Electrical Engineering B Tech 3399 4556 871 1774 388 874 380 443 IITBBS Mechanical Engineering B Tech 3926 4896 1345 1798 751 1 024 415 432 IITBBS Civil Engineering B Tech 4729 5635 1574 2141 820 940 431 456 IITBBS Metallurgical and Materials Engineering B Tech 5649 6423 2456 2702 1372 1 381 531 643 IIT (BHU) Computer Science and Engineering B Tech 696 1111 374 533 155 358 196 308 IIT (BHU) Computer Science and Engineering DD B Tech and M Tech 1118 1293 537 602 409 657 243 290 IIT (BHU) Electronics Engineering B Tech 1429 2247 606 1005 415 423 263 336 IIT (BHU) Mathematics and Computing Int M S 1497 2104 638 1071 477 651 270 358 IIT (BHU) Mechanical Engineering B Tech 1623 2849 696 1162 519 689 274 274 IIT (BHU) Electrical Engineering with M.Tech. in Power Electronics DD B Tech and M Tech 1901 2882 878 1218 562 876 284 406 IIT (BHU) Electrical Engineering B Tech 2048 2489 903 1270 564 784 355 359 IIT (BHU) Mechanical Engineering DD B Tech and M Tech 2906 3049 1016 1169 577 672 363 396 IIT (BHU) Chemical Engineering B Tech 2923 4483 1306 1519 834 869 383 826 IIT (BHU) Civil Engineering B Tech 3336 4113 1409 1919 861 927 411 413 IIT (BHU) Civil Engineering with M.Tech. in Structural Engineering DD B Tech and M Tech 3848 4478 1532 1702 898 1 179 548 637 IIT (BHU) Engineering Physics Int M S 4540 5265 1566 2556 1208 1 573 558 709 IIT (BHU) Mining Engineering B Tech 4593 7015 1775 2671 1296 1 498 646 779 IIT (BHU) Materials Science and Technology DD B Tech and M Tech 4702 6517 1977 2503 1369 1 462 771 832
  • 4.
    Page 4 of35 IIT (BHU) Metallurgical Engineering B Tech 4802 5798 2007 2209 1385 1 679 796 838 IIT (BHU) Metallurgical Engineering DD B Tech and M Tech 5316 6416 2203 2595 1425 1 547 818 920 IIT (BHU) Ceramic Engineering B Tech 5779 6992 2351 2984 1463 1 481 833 880 IIT (BHU) Bioengineering with M.Tech in Biomedical Technology DD B Tech and M Tech 6310 7055 2509 2895 1590 1 626 869 890 IIT (BHU) Biochemical Engineering with M.Tech. in Biochemical Engineering DD B Tech and M Tech 6519 6973 2524 2893 1613 1 736 925 947 IIT (BHU) Industrial Chemistry Int M S 6625 6920 2687 2723 1682 1 739 949 950 IIT (BHU) Mining Engineering DD B Tech and M Tech 6854 7138 2814 2938 1685 1 747 954 958 IIT (BHU) Ceramic Engineering DD B Tech and M Tech 6968 7111 2821 2940 1742 1 756 959 991 IITD Computer Science and Engineering B Tech 7 98 9 58 10 45 8 83 IITD Electrical Engineering B Tech 47 279 24 170 17 142 12 32 IITD Computer Science and Engineering DD B Tech and M Tech 99 175 74 304 22 99 14 29 IITD Mathematics & Computing B Tech 283 494 78 143 58 111 16 73 IITD Electrical Engineering (Power and Automation) B Tech 315 851 152 358 60 382 37 80 IITD Mechanical Engineering B Tech 381 754 213 428 121 276 47 72 IITD Mathematics and Computing DD B Tech and M Tech 510 614 368 441 173 499 95 494 IITD Chemical Engineering B Tech 772 1508 474 716 394 852 139 366 IITD Production and Industrial Engineering B Tech 811 2079 556 1265 410 596 277 348 IITD Civil Engineering B Tech 884 2055 600 929 513 598 296 347
  • 5.
    Page 5 of35 IITD Engineering Physics B Tech 947 2367 973 1258 627 809 301 417 IITD Chemical Engineering DD B Tech and M Tech 1543 2127 1105 1400 647 922 319 652 IITD Biochemical Engineering and Biotechnology B Tech 2313 4073 1321 2250 870 1 375 412 449 IITD Textile Technology B Tech 2630 4669 1488 2376 914 1 286 553 710 IITD Biochemical Engineering and Biotechnology DD B Tech and M Tech 3490 4447 2287 2401 1076 1 084 707 707 IITG Computer Science and Engineering B Tech 366 948 173 405 174 296 59 269 IITG Mathematics and Computing B Tech 987 1889 459 799 306 532 129 183 IITG Electronics and Communication Engineering B Tech 1322 1817 572 934 346 518 238 312 IITG Electronics and Electrical Engineering B Tech 1364 2036 579 867 456 507 251 320 IITG Mechanical Engineering B Tech 1978 2473 621 947 527 1 255 273 313 IITG Engineering Physics B Tech 2487 4494 1010 1462 624 987 324 517 IITG Chemical Science and Technology B Tech 2603 4881 1289 1675 683 796 373 426 IITG Chemical Engineering B Tech 2695 3946 1500 2288 811 1 089 545 721 IITG Civil Engineering B Tech 3296 4289 1701 2166 1097 1 358 590 678 IITG Biotechnology B Tech 5392 6578 2605 2867 1466 1 583 618 749 IITGN Mechanical Engineering B Tech 2121 3347 1106 1455 374 856 213 311 IITGN Electrical Engineering B Tech 2809 3215 1172 1525 678 793 225 314 IITGN Chemical Engineering B Tech 3467 5149 1667 1964 806 1 019 321 347 IITGN Civil Engineering B Tech 3818 5123 2048 2174 1124 1 189 661 668 IITGN Materials Science and Engineering B Tech 4995 6299 2214 2681 1221 1 433 723 817 IITH Computer Science and Engineering B Tech 632 1326 171 528 185 402 248 293 IITH Electrical Engineering B Tech 694 2209 700 912 329 572 249 275 IITH Engineering Science B Tech 2499 4008 779 1135 511 723 302 374 IITH Mechanical Engineering B Tech 2512 3038 1249 1536 710 774 309 327 IITH Engineering Physics B Tech 3157 4186 1646 1993 722 1 157 421 625 IITH Civil Engineering B Tech 3161 4129 1663 1978 849 1 335 446 518 IITH Chemical Engineering B Tech 3603 4651 1838 2075 1210 1 210 597 597
  • 6.
    Page 6 of35 IITH Material Science and Metallurgical Engineering B Tech 4718 5342 2278 2468 1220 1 220 751 751 IITI Computer Science and Engineering B Tech 1388 2573 865 1334 361 663 51 433 IITI Electrical Engineering B Tech 3140 4105 1473 1791 590 909 355 486 IITI Mechanical Engineering B Tech 3458 4446 1589 1826 855 1 013 375 491 IITJ Computer Science and Engineering B Tech 1336 3094 407 1505 660 887 122 410 IITJ Electrical Engineering B Tech 3367 4732 1640 1998 698 1 088 210 527 IITJ Mechanical Engineering B Tech 4207 4983 1850 1956 946 1 115 310 397 IITJ Systems Science B Tech 4921 6415 2124 2730 1276 1 660 610 877 IITJ Biologically-inspired Systems Science B Tech 6306 6895 2727 2995 1601 1 628 735 735 IITK Electrical Engineering B Tech 40 660 48 340 15 227 33 68 IITK Computer Science and Engineering B Tech 100 207 59 135 32 113 70 160 IITK Mechanical Engineering B Tech 610 1034 145 443 112 246 78 146 IITK Chemical Engineering B Tech 719 2179 497 1063 253 512 111 163 IITK Mathematics and Scientific Computing B S 826 1831 520 1036 305 548 230 425 IITK Physics B S 1026 3044 554 2213 468 736 299 381 IITK Civil Engineering B Tech 1481 2581 560 2882 575 1 008 428 765 IITK Aerospace Engineering B Tech 1670 2681 584 1115 775 1 206 534 774 IITK Economics B S 1789 3119 713 1147 1165 1 367 544 732 IITK Chemistry B S 1887 5722 1284 1731 1293 1 459 616 777 IITK Materials Science and Engineering B Tech 2182 4149 1429 2044 1304 1 479 775 875 IITK Biological Sciences and Bioengineering B Tech 3607 5162 2040 2571 1540 1 683 794 839 IITKGP Computer Science and Engineering B Tech 180 305 62 413 11 298 45 75 IITKGP Computer Science and Engineering DD B Tech and M Tech 336 445 84 161 29 115 55 152 IITKGP Electrical Engineering B Tech 338 989 174 236 37 176 76 168 IITKGP Electronics and Electrical Communication Engineering B Tech 347 758 229 444 40 297 110 127
  • 7.
    Page 7 of35 IITKGP Electronics and Electrical Communication Engineering with M.Tech. in any of the listed specializations DD B Tech and M Tech 763 1222 312 573 143 268 141 232 IITKGP Mechanical Engineering B Tech 1009 1215 390 486 213 349 157 292 IITKGP Electrical Engineering with M.Tech. in any of the listed specializations DD B Tech and M Tech 1056 1329 465 626 214 555 169 188 IITKGP Mechanical Engineering with M.Tech. in any of the listed specializations DD B Tech and M Tech 1299 1733 484 771 299 437 194 223 IITKGP Mathematics and Computing Int M S 1313 2252 513 1139 309 541 212 430 IITKGP Chemical Engineering B Tech 1323 2458 618 1223 336 408 242 262 IITKGP Metallurgical and Materials Engineering B Tech 1355 4117 731 1156 429 687 246 392 IITKGP Instrumentation Engineering B Tech 1413 2255 885 2744 502 807 315 333 IITKGP Aerospace Engineering DD B Tech and M Tech 1868 3304 913 1281 528 1 282 393 393 IITKGP Civil Engineering B Tech 2291 2949 1024 1446 545 631 405 651 IITKGP Aerospace Engineering B Tech 2424 3008 1030 1257 576 768 418 418 IITKGP Manufacturing Science and Engineering B Tech 2481 3087 1183 1362 603 970 450 549 IITKGP Industrial Engineering B Tech 2545 3348 1287 1495 639 679 465 664 IITKGP Chemical Engineering DD B Tech and M Tech 2569 3106 1339 1591 733 1 023 487 526 IITKGP Ocean Engineering and Naval Architecture B Tech 3053 5231 1515 1816 782 1 035 519 660 IITKGP Civil Engineering with any of the listed specialization DD B Tech and M Tech 3108 3397 1518 1651 868 1 061 520 539
  • 8.
    Page 8 of35 IITKGP Manufacturing Science and Engineering with M.Tech. in Industrial Engineering and Management DD B Tech and M Tech 3241 3703 1540 2226 889 1 228 537 584 IITKGP Economics Int M S 3307 4526 1615 1778 1015 1 281 552 671 IITKGP Mining Engineering B Tech 3355 5598 1626 1877 1037 1 121 565 615 IITKGP Quality Engineering Design and Manufacturing DD B Tech and M Tech 3437 4155 1820 2515 1073 1 087 566 566 IITKGP Physics Int M S 3586 5413 1830 2241 1126 1 542 627 627 IITKGP Industrial Engineering with M.Tech. in Industrial Engineering and Management DD B Tech and M Tech 3616 4192 1878 2087 1177 1 435 657 787 IITKGP Biotechnology and Biochemical Engineering B Tech 3811 5441 1879 2973 1243 1 274 673 756 IITKGP Metallurgical and Materials Engineering with M.Tech. in Metallurgical and Materials Engineering DD B Tech and M Tech 4260 4696 1888 2265 1252 1 401 720 720 IITKGP Exploration Geophysics Int M S 5104 6501 1935 2190 1361 1 405 724 899 IITKGP Agricultural and Food Engineering B Tech 5114 6107 2271 2798 1384 1 515 767 1006 IITKGP Ocean Engineering and Naval Architecture DD B Tech and M Tech 5267 5765 2272 2433 1393 1 677 805 881 IITKGP Chemistry Int M S 5404 6927 2282 2646 1419 1 501 831 903 IITKGP Biotechnology and Biochemical Engineering DD B Tech and M Tech 5531 6098 2324 2423 1478 1 763 848 848 IITKGP Mining Engineering DD B Tech and M Tech 5662 6104 2346 2886 1499 1 608 854 874 IITKGP Applied Geology Int M S 5835 6983 2476 2636 1537 1 662 936 936 IITKGP Agricultural and Food Engineering with M.Tech. in any of the listed specializations DD B Tech and M Tech 6116 6904 2700 2986 1538 1 720 953 963
  • 9.
    Page 9 of35 IITKGP Mining Safety Engineering DD B Tech and M Tech 6179 6614 2743 2927 1635 1 735 1010 1015 IITM Electrical Engineering B Tech 32 459 31 82 27 211 21 25 IITM Computer Science and Engineering B Tech 62 147 52 292 33 70 27 105 IITM Computer Science and Engineering DD B Tech and M Tech 212 340 109 409 78 196 49 49 IITM Mechanical Engineering B Tech 238 983 116 168 120 134 56 125 IITM Electrical Engineering DD B Tech and M Tech 488 1052 316 510 229 561 101 171 IITM Aerospace Engineering B Tech 936 2520 379 935 236 324 143 206 IITM Chemical Engineering B Tech 1063 2415 385 1185 319 355 176 201 IITM Mechanical Engineering (Product design) DD B Tech and M Tech 1072 1357 437 582 327 469 198 239 IITM Engineering Physics B Tech 1104 2121 468 754 335 481 202 371 IITM Electrical Engineering with M.Tech in Applied Mechanics with specialization in Biomedical Engg DD B Tech and M Tech 1135 1196 521 630 360 452 204 204 IITM Mechanical Engineering (Intelligent Manufacturing) DD B Tech and M Tech 1185 1477 565 1486 362 549 211 211 IITM Mechanical Engineering (Thermal Engineering) DD B Tech and M Tech 1406 1595 623 627 418 418 255 322 IITM Civil Engineering B Tech 1694 2858 785 1229 438 817 268 345 IITM Engineering Design (Automotive Engineering) DD B Tech and M Tech 1725 3441 894 1443 473 473 362 458 IITM Civil Engineering (Infrastructural Civil Engineering) DD B Tech and M Tech 2266 3333 902 981 571 571 386 510 IITM Chemical Engineering DD B Tech and M Tech 2421 2899 936 1413 630 1 083 395 395
  • 10.
    Page 10 of35 IITM Biological Engineering DD B Tech and M Tech 2445 5819 1145 1275 652 1 190 401 483 IITM Aerospace Engineering DD B Tech and M Tech 2618 3051 1302 1468 700 743 482 482 IITM Engineering Design (Biomedical Design) DD B Tech and M Tech 2691 4232 1316 1358 717 717 490 490 IITM Metallurgical and Materials Engineering B Tech 2967 3721 1329 2025 749 753 497 656 IITM Civil Engineering with M.Tech. in Applied Mechanics in any of the listed specializations DD B Tech and M Tech 3036 3401 1377 1717 780 1 025 504 588 IITM Naval Architecture and Ocean Engineering B Tech 3085 4658 1590 1598 819 1 074 599 599 IITM Physics DD B S and M S 3155 3451 1623 1782 840 900 636 636 IITM Aerospace Engineering with M.Tech. in Applied Mechanics with specializations in Biomedical Engineering DD B Tech and M Tech 3196 3506 1866 1880 1186 1 186 713 713 IITM Civil Engineering with any of the listed specialization DD B Tech and M Tech 3275 3529 1905 2266 1215 1 254 790 938 IITM Naval Architecture and Ocean Engineering with M.Tech in Applied Mechanics in any of the listed specializations DD B Tech and M Tech 3605 4979 1965 2387 1277 1 287 909 996 IITM Metallurgical and Materials Engineering DD B Tech and M Tech 3836 4158 2046 2062 1390 1 415 504 588 IITM Naval Architecture and Ocean Engineering DD B Tech and M Tech 4608 5209 2279 2808 1423 1 585 599 599 IITM Biological Sciences DD B S and M S 5657 7148 2888 3040 1657 1 768 636 636
  • 11.
    Page 11 of35 IITMandi Computer Science and Engineering B Tech 2486 3156 983 1581 695 936 364 460 IITMandi Mechanical Engineering B Tech 3274 5146 1569 2042 963 1 133 521 556 IITMandi Electrical Engineering B Tech 3342 4823 1676 2028 1069 1 168 543 589 IITP Computer Science and Engineering B Tech 2819 3739 979 1628 593 1 163 403 617 IITP Electrical Engineering B Tech 4160 5179 1482 1993 716 990 444 507 IITP Mechanical Engineering B Tech 4568 5363 1921 2106 825 1 217 445 498 IITP Civil and Infrastructure Engineering B Tech 5448 6017 1975 2467 884 1 140 574 579 IITP Chemical Science and Technology B Tech 5691 6190 2096 2218 1298 1 331 714 718 IITR Computer Science and Engineering B Tech 314 665 184 276 118 192 99 117 IITR Electronics and Communication Engineering B Tech 868 1318 429 667 191 377 135 200 IITR Electrical Engineering B Tech 1191 1736 448 635 240 430 153 245 IITR Mechanical Engineering B Tech 1237 1925 474 671 333 416 165 219 IITR Civil Engineering B Tech 1859 3293 684 1246 375 653 192 276 IITR Production and Industrial Engineering B Tech 2330 3900 1262 1513 772 926 420 476 IITR Chemical Engineering B Tech 2500 3424 1285 1664 937 1 136 441 509 IITR Applied Mathematics Int M S 2874 4183 1461 2180 957 1 337 582 760 IITR Metallurgical and Materials Engineering B Tech 3089 5274 1790 2430 1115 1 549 658 804 IITR Biotechnology B Tech 3338 6213 1944 2749 1199 1 705 741 757 IITR Process Engineering with MBA DD B Tech and MBA 4215 6665 2127 2916 1330 1 566 772 843 IITR Geophysical Technology Int M S 4625 6162 2221 2874 1343 1 529 799 891 IITR Physics Int M S 4733 6226 2304 2843 1351 1 650 802 942 IITR Polymer Science and Technology B Tech 5333 6575 2410 2871 1410 1 647 845 912 IITR Geological Technology Int M S 6299 6803 2589 2962 1531 1 725 923 961 IITRPR Computer Science and Engineering B Tech 1276 2278 617 958 439 640 317 478 IITRPR Electrical Engineering B Tech 2556 3822 689 1669 697 1 031 437 466 IITRPR Mechanical Engineering B Tech 3400 4152 1434 1743 879 1 080 459 533 ISMD Computer Science and Engineering B Tech 2845 4434 818 1556 558 897 278 744 ISMD Mechanical Engineering B Tech 3154 5730 1087 2009 610 1 039 335 424
  • 12.
    Page 12 of35 ISMD Computer Science and Engineering DD B Tech and M Tech 3697 4615 1213 2438 686 1 365 344 575 ISMD Petroleum Engineering B Tech 3988 6345 1327 2469 783 1 119 379 571 ISMD Civil Engineering B Tech 4487 6446 1412 2168 851 1 696 391 621 ISMD Electrical Engineering B Tech 4740 6103 1544 2247 857 1 151 407 540 ISMD Electronics and Communication Engineering B Tech 4797 5932 1576 1613 931 1 250 442 685 ISMD Mathematics and Computing Int M S 4800 6400 1647 2378 1096 1 264 587 639 ISMD Mining Engineering B Tech 4834 6833 1735 2261 1173 1 434 602 602 ISMD Electronics and Instrumentation Engineering B Tech 5490 6461 1832 2534 1245 1 380 604 647 ISMD Chemical Engineering B Tech 5799 6623 2222 2379 1257 1 317 706 819 ISMD Engineering Physics B Tech 6121 6622 2385 2607 1354 1 476 726 852 ISMD Mining Engineering DD B Tech and M Tech 6182 7067 2393 2505 1402 1 711 750 865 ISMD Applied Geology Int M Sc Tech 6544 7147 2499 2946 1437 1 507 770 829 ISMD Environmental Engineering B Tech 6627 7125 2554 2724 1440 1 624 789 789 ISMD Mineral Engineering with M.Tech in Mineral Engineering DD B Tech and M Tech 6651 7149 2623 2819 1441 1 599 851 885 ISMD Mineral Engineering B Tech 6683 7144 2827 2896 1632 1 731 866 866 ISMD Mining Machinery Engineering B Tech 6699 7129 2914 3025 1681 1 727 906 906
  • 13.
    Page 13 of35 OPENING / CLOSING RANKS SORTED BY INSTITUTES FOR VARIOUS BRANCHES Institue Branch Degree GEN(O) GEN(C) OBC(O) OBC(C) SC(O) SC(C) ST(O) ST(C) IITB Aerospace Engineering B Tech 164 1852 100 254 35 340 23 52 IITK Aerospace Engineering B Tech 1670 2681 584 1115 775 1 206 534 774 IITKGP Aerospace Engineering DD B Tech and M Tech 1868 3304 913 1281 528 1 282 393 393 IITKGP Aerospace Engineering B Tech 2424 3008 1030 1257 576 768 418 418 IITM Aerospace Engineering B Tech 936 2520 379 935 236 324 143 206 IITM Aerospace Engineering DD B Tech and M Tech 2618 3051 1302 1468 700 743 482 482 IITM Aerospace Engineering with M.Tech. in Applied Mechanics with specializations in Biomedical Engineering DD B Tech and M Tech 3196 3506 1866 1880 1186 1 186 713 713 IITKGP Agricultural and Food Engineering B Tech 5114 6107 2271 2798 1384 1 515 767 1006 IITKGP Agricultural and Food Engineering with M.Tech. in any of the listed specializations DD B Tech and M Tech 6116 6904 2700 2986 1538 1 720 953 963 IITKGP Applied Geology Int M S 5835 6983 2476 2636 1537 1 662 936 936 ISMD Applied Geology Int M Sc Tech 6544 7147 2499 2946 1437 1 507 770 829 ISMD Applied Geophysics Int M Sc Tech 7156 7222 2924 3006 1693 1 740 934 934 IITR Applied Mathematics Int M S 2874 4183 1461 2180 957 1 337 582 760 IITD Biochemical Engineering and Biotechnology B Tech 2313 4073 1321 2250 870 1 375 412 449 IITD Biochemical Engineering and Biotechnology DD B Tech and M Tech 3490 4447 2287 2401 1076 1 084 707 707 IIT (BHU) Biochemical Engineering with M.Tech. in Biochemical Engineering DD B Tech and M Tech 6519 6973 2524 2893 1613 1 736 925 947 IIT (BHU) Bioengineering with M.Tech in Biomedical Technology DD B Tech and M Tech 6310 7055 2509 2895 1590 1 626 869 890
  • 14.
    Page 14 of35 IITM Biological Engineering DD B Tech and M Tech 2445 5819 1145 1275 652 1 190 401 483 IITM Biological Sciences DD B S and M S 5657 7148 2888 3040 1657 1 768 636 636 IITK Biological Sciences and Bioengineering B Tech 3607 5162 2040 2571 1540 1 683 794 839 IITJ Biologically-inspired Systems Science B Tech 6306 6895 2727 2995 1601 1 628 735 735 IITG Biotechnology B Tech 5392 6578 2605 2867 1466 1 583 618 749 IITR Biotechnology B Tech 3338 6213 1944 2749 1199 1 705 741 757 IITKGP Biotechnology and Biochemical Engineering B Tech 3811 5441 1879 2973 1243 1 274 673 756 IITKGP Biotechnology and Biochemical Engineering DD B Tech and M Tech 5531 6098 2324 2423 1478 1 763 848 848 IIT (BHU) Ceramic Engineering B Tech 5779 6992 2351 2984 1463 1 481 833 880 IIT (BHU) Ceramic Engineering DD B Tech and M Tech 6968 7111 2821 2940 1742 1 756 959 991 IITB Chemical Engineering B Tech 678 1405 620 1278 463 559 265 265 IIT (BHU) Chemical Engineering B Tech 2923 4483 1306 1519 834 869 383 826 IITD Chemical Engineering B Tech 772 1508 474 716 394 852 139 366 IITD Chemical Engineering DD B Tech and M Tech 1543 2127 1105 1400 647 922 319 652 IITG Chemical Engineering B Tech 2695 3946 1500 2288 811 1 089 545 721 IITGN Chemical Engineering B Tech 3467 5149 1667 1964 806 1 019 321 347 IITH Chemical Engineering B Tech 3603 4651 1838 2075 1210 1 210 597 597 IITK Chemical Engineering B Tech 719 2179 497 1063 253 512 111 163 IITKGP Chemical Engineering B Tech 1323 2458 618 1223 336 408 242 262 IITKGP Chemical Engineering DD B Tech and M Tech 2569 3106 1339 1591 733 1 023 487 526 IITM Chemical Engineering B Tech 1063 2415 385 1185 319 355 176 201 IITM Chemical Engineering DD B Tech and M Tech 2421 2899 936 1413 630 1 083 395 395
  • 15.
    Page 15 of35 IITR Chemical Engineering B Tech 2500 3424 1285 1664 937 1 136 441 509 ISMD Chemical Engineering B Tech 5799 6623 2222 2379 1257 1 317 706 819 IITG Chemical Science and Technology B Tech 2603 4881 1289 1675 683 796 373 426 IITP Chemical Science and Technology B Tech 5691 6190 2096 2218 1298 1 331 714 718 IITB Chemistry B S 2935 4018 2205 2695 1162 1 360 753 753 IITK Chemistry B S 1887 5722 1284 1731 1293 1 459 616 777 IITKGP Chemistry Int M S 5404 6927 2282 2646 1419 1 501 831 903 IITP Civil and Infrastructure Engineering B Tech 5448 6017 1975 2467 884 1 140 574 579 IITB Civil Engineering B Tech 588 1899 506 840 178 556 197 367 IITBBS Civil Engineering B Tech 4729 5635 1574 2141 820 940 431 456 IIT (BHU) Civil Engineering B Tech 3336 4113 1409 1919 861 927 411 413 IITD Civil Engineering B Tech 884 2055 600 929 513 598 296 347 IITG Civil Engineering B Tech 3296 4289 1701 2166 1097 1 358 590 678 IITGN Civil Engineering B Tech 3818 5123 2048 2174 1124 1 189 661 668 IITH Civil Engineering B Tech 3161 4129 1663 1978 849 1 335 446 518 IITK Civil Engineering B Tech 1481 2581 560 2882 575 1 008 428 765 IITKGP Civil Engineering B Tech 2291 2949 1024 1446 545 631 405 651 IITM Civil Engineering B Tech 1694 2858 785 1229 438 817 268 345 IITR Civil Engineering B Tech 1859 3293 684 1246 375 653 192 276 ISMD Civil Engineering B Tech 4487 6446 1412 2168 851 1 696 391 621 IITM Civil Engineering (Infrastructural Civil Engineering) DD B Tech and M Tech 2266 3333 902 981 571 571 386 510 IITKGP Civil Engineering with any of the listed specialization DD B Tech and M Tech 3108 3397 1518 1651 868 1 061 520 539 IITM Civil Engineering with any of the listed specialization DD B Tech and M Tech 3275 3529 1905 2266 1215 1 254 790 938 IITM Civil Engineering with M.Tech. in Applied Mechanics in any of the listed specializations DD B Tech and M Tech 3036 3401 1377 1717 780 1 025 504 588 IIT (BHU) Civil Engineering with M.Tech. in Structural Engineering DD B Tech and M Tech 3848 4478 1532 1702 898 1 179 548 637
  • 16.
    Page 16 of35 IITB Computer Science and Engineering B Tech 1 51 1 38 1 26 1 13 IITBBS Computer Science and Engineering B Tech 2592 3500 854 1457 85 895 280 485 IIT (BHU) Computer Science and Engineering B Tech 696 1111 374 533 155 358 196 308 IIT (BHU) Computer Science and Engineering DD B Tech and M Tech 1118 1293 537 602 409 657 243 290 IITD Computer Science and Engineering B Tech 7 98 9 58 10 45 8 83 IITD Computer Science and Engineering DD B Tech and M Tech 99 175 74 304 22 99 14 29 IITG Computer Science and Engineering B Tech 366 948 173 405 174 296 59 269 IITH Computer Science and Engineering B Tech 632 1326 171 528 185 402 248 293 IITI Computer Science and Engineering B Tech 1388 2573 865 1334 361 663 51 433 IITJ Computer Science and Engineering B Tech 1336 3094 407 1505 660 887 122 410 IITK Computer Science and Engineering B Tech 100 207 59 135 32 113 70 160 IITKGP Computer Science and Engineering B Tech 180 305 62 413 11 298 45 75 IITKGP Computer Science and Engineering DD B Tech and M Tech 336 445 84 161 29 115 55 152 IITM Computer Science and Engineering B Tech 62 147 52 292 33 70 27 105 IITM Computer Science and Engineering DD B Tech and M Tech 212 340 109 409 78 196 49 49 IITMandi Computer Science and Engineering B Tech 2486 3156 983 1581 695 936 364 460 IITP Computer Science and Engineering B Tech 2819 3739 979 1628 593 1 163 403 617 IITR Computer Science and Engineering B Tech 314 665 184 276 118 192 99 117 IITRPR Computer Science and Engineering B Tech 1276 2278 617 958 439 640 317 478 ISMD Computer Science and Engineering B Tech 2845 4434 818 1556 558 897 278 744 ISMD Computer Science and Engineering DD B Tech and M Tech 3697 4615 1213 2438 686 1 365 344 575 IITK Economics B S 1789 3119 713 1147 1165 1 367 544 732 IITKGP Economics Int M S 3307 4526 1615 1778 1015 1 281 552 671 IITB Electrical Engineering B Tech 28 168 3 95 13 65 3 131 IITBBS Electrical Engineering B Tech 3399 4556 871 1774 388 874 380 443
  • 17.
    Page 17 of35 IIT (BHU) Electrical Engineering B Tech 2048 2489 903 1270 564 784 355 359 IITD Electrical Engineering B Tech 47 279 24 170 17 142 12 32 IITGN Electrical Engineering B Tech 2809 3215 1172 1525 678 793 225 314 IITH Electrical Engineering B Tech 694 2209 700 912 329 572 249 275 IITI Electrical Engineering B Tech 3140 4105 1473 1791 590 909 355 486 IITJ Electrical Engineering B Tech 3367 4732 1640 1998 698 1 088 210 527 IITK Electrical Engineering B Tech 40 660 48 340 15 227 33 68 IITKGP Electrical Engineering B Tech 338 989 174 236 37 176 76 168 IITM Electrical Engineering B Tech 32 459 31 82 27 211 21 25 IITM Electrical Engineering DD B Tech and M Tech 488 1052 316 510 229 561 101 171 IITMandi Electrical Engineering B Tech 3342 4823 1676 2028 1069 1 168 543 589 IITP Electrical Engineering B Tech 4160 5179 1482 1993 716 990 444 507 IITR Electrical Engineering B Tech 1191 1736 448 635 240 430 153 245 IITRPR Electrical Engineering B Tech 2556 3822 689 1669 697 1 031 437 466 ISMD Electrical Engineering B Tech 4740 6103 1544 2247 857 1 151 407 540 IITD Electrical Engineering (Power and Automation) B Tech 315 851 152 358 60 382 37 80 IITM Electrical Engineering with M.Tech in Applied Mechanics with specialization in Biomedical Engg DD B Tech and M Tech 1135 1196 521 630 360 452 204 204 IITKGP Electrical Engineering with M.Tech. in any of the listed specializations DD B Tech and M Tech 1056 1329 465 626 214 555 169 188 IITB Electrical Engineering with M.Tech. in Communications and Signal Processing DD B Tech and M Tech 295 458 111 306 93 193 93 228 IITB Electrical Engineering with M.Tech. in Microelectronics DD B Tech and M Tech 178 323 110 847 52 203 91 109 IIT (BHU) Electrical Engineering with M.Tech. in Power Electronics DD B Tech and M Tech 1901 2882 878 1218 562 876 284 406 IITG Electronics and Communication Engineering B Tech 1322 1817 572 934 346 518 238 312
  • 18.
    Page 18 of35 IITR Electronics and Communication Engineering B Tech 868 1318 429 667 191 377 135 200 ISMD Electronics and Communication Engineering B Tech 4797 5932 1576 1613 931 1 250 442 685 IITKGP Electronics and Electrical Communication Engineering B Tech 347 758 229 444 40 297 110 127 IITKGP Electronics and Electrical Communication Engineering with M.Tech. in any of the listed specializations DD B Tech and M Tech 763 1222 312 573 143 268 141 232 IITG Electronics and Electrical Engineering B Tech 1364 2036 579 867 456 507 251 320 ISMD Electronics and Instrumentation Engineering B Tech 5490 6461 1832 2534 1245 1 380 604 647 IIT (BHU) Electronics Engineering B Tech 1429 2247 606 1005 415 423 263 336 IITB Energy Engineering with M.Tech. in Energy Systems Engineering DD B Tech and M Tech 817 2186 906 1015 582 894 360 635 IITM Engineering Design (Automotive Engineering) DD B Tech and M Tech 1725 3441 894 1443 473 473 362 458 IITM Engineering Design (Biomedical Design) DD B Tech and M Tech 2691 4232 1316 1358 717 717 490 490 IITB Engineering Physics B Tech 335 943 205 916 105 431 114 147 IIT (BHU) Engineering Physics Int M S 4540 5265 1566 2556 1208 1 573 558 709 IITD Engineering Physics B Tech 947 2367 973 1258 627 809 301 417 IITG Engineering Physics B Tech 2487 4494 1010 1462 624 987 324 517 IITH Engineering Physics B Tech 3157 4186 1646 1993 722 1 157 421 625 IITM Engineering Physics B Tech 1104 2121 468 754 335 481 202 371 ISMD Engineering Physics B Tech 6121 6622 2385 2607 1354 1 476 726 852 IITB Engineering Physics and M.Tech. with specialization in Nano Science DD B Tech and M Tech 575 1495 289 430 128 224 170 343 IITH Engineering Science B Tech 2499 4008 779 1135 511 723 302 374 ISMD Environmental Engineering B Tech 6627 7125 2554 2724 1440 1 624 789 789 IITKGP Exploration Geophysics Int M S 5104 6501 1935 2190 1361 1 405 724 899 IITR Geological Technology Int M S 6299 6803 2589 2962 1531 1 725 923 961 IITR Geophysical Technology Int M S 4625 6162 2221 2874 1343 1 529 799 891
  • 19.
    Page 19 of35 IIT (BHU) Industrial Chemistry Int M S 6625 6920 2687 2723 1682 1 739 949 950 IITKGP Industrial Engineering B Tech 2545 3348 1287 1495 639 679 465 664 IITKGP Industrial Engineering with M.Tech. in Industrial Engineering and Management DD B Tech and M Tech 3616 4192 1878 2087 1177 1 435 657 787 IITKGP Instrumentation Engineering B Tech 1413 2255 885 2744 502 807 315 333 IITKGP Manufacturing Science and Engineering B Tech 2481 3087 1183 1362 603 970 450 549 IITKGP Manufacturing Science and Engineering with M.Tech. in Industrial Engineering and Management DD B Tech and M Tech 3241 3703 1540 2226 889 1 228 537 584 IITH Material Science and Metallurgical Engineering B Tech 4718 5342 2278 2468 1220 1 220 751 751 IITGN Materials Science and Engineering B Tech 4995 6299 2214 2681 1221 1 433 723 817 IITK Materials Science and Engineering B Tech 2182 4149 1429 2044 1304 1 479 775 875 IIT (BHU) Materials Science and Technology DD B Tech and M Tech 4702 6517 1977 2503 1369 1 462 771 832 IITD Mathematics & Computing B Tech 283 494 78 143 58 111 16 73 IIT (BHU) Mathematics and Computing Int M S 1497 2104 638 1071 477 651 270 358 IITD Mathematics and Computing DD B Tech and M Tech 510 614 368 441 173 499 95 494 IITG Mathematics and Computing B Tech 987 1889 459 799 306 532 129 183 IITKGP Mathematics and Computing Int M S 1313 2252 513 1139 309 541 212 430 ISMD Mathematics and Computing Int M S 4800 6400 1647 2378 1096 1 264 587 639 IITK Mathematics and Scientific Computing B S 826 1831 520 1036 305 548 230 425 IITB Mechanical Engineering B Tech 35 640 67 272 24 140 4 18 IITBBS Mechanical Engineering B Tech 3926 4896 1345 1798 751 1 024 415 432 IIT (BHU) Mechanical Engineering B Tech 1623 2849 696 1162 519 689 274 274 IIT (BHU) Mechanical Engineering DD B Tech and M Tech 2906 3049 1016 1169 577 672 363 396 IITD Mechanical Engineering B Tech 381 754 213 428 121 276 47 72
  • 20.
    Page 20 of35 IITG Mechanical Engineering B Tech 1978 2473 621 947 527 1 255 273 313 IITGN Mechanical Engineering B Tech 2121 3347 1106 1455 374 856 213 311 IITH Mechanical Engineering B Tech 2512 3038 1249 1536 710 774 309 327 IITI Mechanical Engineering B Tech 3458 4446 1589 1826 855 1 013 375 491 IITJ Mechanical Engineering B Tech 4207 4983 1850 1956 946 1 115 310 397 IITK Mechanical Engineering B Tech 610 1034 145 443 112 246 78 146 IITKGP Mechanical Engineering B Tech 1009 1215 390 486 213 349 157 292 IITM Mechanical Engineering B Tech 238 983 116 168 120 134 56 125 IITMandi Mechanical Engineering B Tech 3274 5146 1569 2042 963 1 133 521 556 IITP Mechanical Engineering B Tech 4568 5363 1921 2106 825 1 217 445 498 IITR Mechanical Engineering B Tech 1237 1925 474 671 333 416 165 219 IITRPR Mechanical Engineering B Tech 3400 4152 1434 1743 879 1 080 459 533 ISMD Mechanical Engineering B Tech 3154 5730 1087 2009 610 1 039 335 424 IITM Mechanical Engineering (Intelligent Manufacturing) DD B Tech and M Tech 1185 1477 565 1486 362 549 211 211 IITM Mechanical Engineering (Product design) DD B Tech and M Tech 1072 1357 437 582 327 469 198 239 IITM Mechanical Engineering (Thermal Engineering) DD B Tech and M Tech 1406 1595 623 627 418 418 255 322 IITB Mechanical Engineering and M.Tech. in Computer Integrated Manufacturing DD B Tech and M Tech 540 804 252 835 119 454 132 162 IITKGP Mechanical Engineering with M.Tech. in any of the listed specializations DD B Tech and M Tech 1299 1733 484 771 299 437 194 223 IITBBS Metallurgical and Materials Engineering B Tech 5649 6423 2456 2702 1372 1 381 531 643 IITKGP Metallurgical and Materials Engineering B Tech 1355 4117 731 1156 429 687 246 392 IITM Metallurgical and Materials Engineering B Tech 2967 3721 1329 2025 749 753 497 656 IITM Metallurgical and Materials Engineering DD B Tech and M Tech 3836 4158 2046 2062 1390 1 415 504 588 IITR Metallurgical and Materials Engineering B Tech 3089 5274 1790 2430 1115 1 549 658 804
  • 21.
    Page 21 of35 IITKGP Metallurgical and Materials Engineering with M.Tech. in Metallurgical and Materials Engineering DD B Tech and M Tech 4260 4696 1888 2265 1252 1 401 720 720 IIT (BHU) Metallurgical Engineering B Tech 4802 5798 2007 2209 1385 1 679 796 838 IIT (BHU) Metallurgical Engineering DD B Tech and M Tech 5316 6416 2203 2595 1425 1 547 818 920 IITB Metallurgical Engineering and Materials Science B Tech 1720 2776 1018 1602 597 812 377 489 IITB Metallurgical Engineering and Materials Science with M.Tech. in Ceramics and Composites DD B Tech and M Tech 2779 2929 1635 1723 994 1 011 702 702 IITB Metallurgical Engineering and Materials Science with M.Tech. in Metallurgical Process Engineering DD B Tech and M Tech 2767 2850 1634 1710 866 924 542 542 ISMD Mineral Engineering B Tech 6683 7144 2827 2896 1632 1 731 866 866 ISMD Mineral Engineering with M.Tech in Mineral Engineering DD B Tech and M Tech 6651 7149 2623 2819 1441 1 599 851 885 IIT (BHU) Mining Engineering B Tech 4593 7015 1775 2671 1296 1 498 646 779 IIT (BHU) Mining Engineering DD B Tech and M Tech 6854 7138 2814 2938 1685 1 747 954 958 IITKGP Mining Engineering B Tech 3355 5598 1626 1877 1037 1 121 565 615 IITKGP Mining Engineering DD B Tech and M Tech 5662 6104 2346 2886 1499 1 608 854 874 ISMD Mining Engineering B Tech 4834 6833 1735 2261 1173 1 434 602 602 ISMD Mining Engineering DD B Tech and M Tech 6182 7067 2393 2505 1402 1 711 750 865 ISMD Mining Machinery Engineering B Tech 6699 7129 2914 3025 1681 1 727 906 906 IITKGP Mining Safety Engineering DD B Tech and M Tech 6179 6614 2743 2927 1635 1 735 1010 1015
  • 22.
    Page 22 of35 IITM Naval Architecture and Ocean Engineering B Tech 3085 4658 1590 1598 819 1 074 599 599 IITM Naval Architecture and Ocean Engineering DD B Tech and M Tech 4608 5209 2279 2808 1423 1 585 599 599 IITM Naval Architecture and Ocean Engineering with M.Tech in Applied Mechanics in any of the listed specializations DD B Tech and M Tech 3605 4979 1965 2387 1277 1 287 909 996 IITKGP Ocean Engineering and Naval Architecture B Tech 3053 5231 1515 1816 782 1 035 519 660 IITKGP Ocean Engineering and Naval Architecture DD B Tech and M Tech 5267 5765 2272 2433 1393 1 677 805 881 ISMD Petroleum Engineering B Tech 3988 6345 1327 2469 783 1 119 379 571 IITK Physics B S 1026 3044 554 2213 468 736 299 381 IITKGP Physics Int M S 3586 5413 1830 2241 1126 1 542 627 627 IITM Physics DD B S and M S 3155 3451 1623 1782 840 900 636 636 IITR Physics Int M S 4733 6226 2304 2843 1351 1 650 802 942 IITR Polymer Science and Technology B Tech 5333 6575 2410 2871 1410 1 647 845 912 IITR Process Engineering with MBA DD B Tech and MBA 4215 6665 2127 2916 1330 1 566 772 843 IITD Production and Industrial Engineering B Tech 811 2079 556 1265 410 596 277 348 IITR Production and Industrial Engineering B Tech 2330 3900 1262 1513 772 926 420 476 IITKGP Quality Engineering Design and Manufacturing DD B Tech and M Tech 3437 4155 1820 2515 1073 1 087 566 566 IITJ Systems Science B Tech 4921 6415 2124 2730 1276 1 660 610 877 IITD Textile Technology B Tech 2630 4669 1488 2376 914 1 286 553 710
  • 23.
    Page 23 of35 OPENING/CLOSING OF BRANCHES AT VARIOUS INSTITUTES SORTED BY CLOSING RANKS Institue Branch Degree GEN(O) GEN(C) OBC(O) OBC(C) SC(O) SC(C) ST(O) ST(C) IITB Computer Science and Engineering B Tech 1 51 1 38 1 26 1 13 IITD Computer Science and Engineering B Tech 7 98 9 58 10 45 8 83 IITM Computer Science and Engineering B Tech 62 147 52 292 33 70 27 105 IITB Electrical Engineering B Tech 28 168 3 95 13 65 3 131 IITD Computer Science and Engineering DD B Tech and M Tech 99 175 74 304 22 99 14 29 IITK Computer Science and Engineering B Tech 100 207 59 135 32 113 70 160 IITD Electrical Engineering B Tech 47 279 24 170 17 142 12 32 IITKGP Computer Science and Engineering B Tech 180 305 62 413 11 298 45 75 IITB Electrical Engineering with M.Tech. in Microelectronics DD B Tech and M Tech 178 323 110 847 52 203 91 109 IITM Computer Science and Engineering DD B Tech and M Tech 212 340 109 409 78 196 49 49 IITKGP Computer Science and Engineering DD B Tech and M Tech 336 445 84 161 29 115 55 152 IITB Electrical Engineering with M.Tech. in Communications and Signal Processing DD B Tech and M Tech 295 458 111 306 93 193 93 228 IITM Electrical Engineering B Tech 32 459 31 82 27 211 21 25 IITD Mathematics & Computing B Tech 283 494 78 143 58 111 16 73
  • 24.
    Page 24 of35 IITD Mathematics and Computing DD B Tech and M Tech 510 614 368 441 173 499 95 494 IITB Mechanical Engineering B Tech 35 640 67 272 24 140 4 18 IITK Electrical Engineering B Tech 40 660 48 340 15 227 33 68 IITR Computer Science and Engineering B Tech 314 665 184 276 118 192 99 117 IITD Mechanical Engineering B Tech 381 754 213 428 121 276 47 72 IITKGP Electronics and Electrical Communication Engineering B Tech 347 758 229 444 40 297 110 127 IITB Mechanical Engineering and M.Tech. in Computer Integrated Manufacturing DD B Tech and M Tech 540 804 252 835 119 454 132 162 IITD Electrical Engineering (Power and Automation) B Tech 315 851 152 358 60 382 37 80 IITB Engineering Physics B Tech 335 943 205 916 105 431 114 147 IITG Computer Science and Engineering B Tech 366 948 173 405 174 296 59 269 IITM Mechanical Engineering B Tech 238 983 116 168 120 134 56 125 IITKGP Electrical Engineering B Tech 338 989 174 236 37 176 76 168 IITK Mechanical Engineering B Tech 610 1034 145 443 112 246 78 146 IITM Electrical Engineering DD B Tech and M Tech 488 1052 316 510 229 561 101 171 IIT (BHU) Computer Science and Engineering B Tech 696 1111 374 533 155 358 196 308 IITM Electrical Engineering with M.Tech in Applied Mechanics with specialization in Biomedical Engg DD B Tech and M Tech 1135 1196 521 630 360 452 204 204 IITKGP Mechanical Engineering B Tech 1009 1215 390 486 213 349 157 292
  • 25.
    Page 25 of35 IITKGP Electronics and Electrical Communication Engineering with M.Tech. in any of the listed specializations DD B Tech and M Tech 763 1222 312 573 143 268 141 232 IIT (BHU) Computer Science and Engineering DD B Tech and M Tech 1118 1293 537 602 409 657 243 290 IITR Electronics and Communication Engineering B Tech 868 1318 429 667 191 377 135 200 IITH Computer Science and Engineering B Tech 632 1326 171 528 185 402 248 293 IITKGP Electrical Engineering with M.Tech. in any of the listed specializations DD B Tech and M Tech 1056 1329 465 626 214 555 169 188 IITM Mechanical Engineering (Product design) DD B Tech and M Tech 1072 1357 437 582 327 469 198 239 IITB Chemical Engineering B Tech 678 1405 620 1278 463 559 265 265 IITM Mechanical Engineering (Intelligent Manufacturing) DD B Tech and M Tech 1185 1477 565 1486 362 549 211 211 IITB Engineering Physics and M.Tech. with specialization in Nano Science DD B Tech and M Tech 575 1495 289 430 128 224 170 343 IITD Chemical Engineering B Tech 772 1508 474 716 394 852 139 366 IITM Mechanical Engineering (Thermal Engineering) DD B Tech and M Tech 1406 1595 623 627 418 418 255 322
  • 26.
    Page 26 of35 IITKGP Mechanical Engineering with M.Tech. in any of the listed specializations DD B Tech and M Tech 1299 1733 484 771 299 437 194 223 IITR Electrical Engineering B Tech 1191 1736 448 635 240 430 153 245 IITG Electronics and Communication Engineering B Tech 1322 1817 572 934 346 518 238 312 IITK Mathematics and Scientific Computing B S 826 1831 520 1036 305 548 230 425 IITB Aerospace Engineering B Tech 164 1852 100 254 35 340 23 52 IITG Mathematics and Computing B Tech 987 1889 459 799 306 532 129 183 IITB Civil Engineering B Tech 588 1899 506 840 178 556 197 367 IITR Mechanical Engineering B Tech 1237 1925 474 671 333 416 165 219 IITG Electronics and Electrical Engineering B Tech 1364 2036 579 867 456 507 251 320 IITD Civil Engineering B Tech 884 2055 600 929 513 598 296 347 IITD Production and Industrial Engineering B Tech 811 2079 556 1265 410 596 277 348 IIT (BHU) Mathematics and Computing Int M S 1497 2104 638 1071 477 651 270 358 IITM Engineering Physics B Tech 1104 2121 468 754 335 481 202 371 IITD Chemical Engineering DD B Tech and M Tech 1543 2127 1105 1400 647 922 319 652 IITK Chemical Engineering B Tech 719 2179 497 1063 253 512 111 163 IITB Energy Engineering with M.Tech. in Energy Systems Engineering DD B Tech and M Tech 817 2186 906 1015 582 894 360 635 IITH Electrical Engineering B Tech 694 2209 700 912 329 572 249 275 IIT (BHU) Electronics Engineering B Tech 1429 2247 606 1005 415 423 263 336 IITKGP Mathematics and Computing Int M S 1313 2252 513 1139 309 541 212 430 IITKGP Instrumentation Engineering B Tech 1413 2255 885 2744 502 807 315 333 IITRPR Computer Science and Engineering B Tech 1276 2278 617 958 439 640 317 478 IITD Engineering Physics B Tech 947 2367 973 1258 627 809 301 417
  • 27.
    Page 27 of35 IITM Chemical Engineering B Tech 1063 2415 385 1185 319 355 176 201 IITKGP Chemical Engineering B Tech 1323 2458 618 1223 336 408 242 262 IITG Mechanical Engineering B Tech 1978 2473 621 947 527 1 255 273 313 IIT (BHU) Electrical Engineering B Tech 2048 2489 903 1270 564 784 355 359 IITM Aerospace Engineering B Tech 936 2520 379 935 236 324 143 206 IITI Computer Science and Engineering B Tech 1388 2573 865 1334 361 663 51 433 IITK Civil Engineering B Tech 1481 2581 560 2882 575 1 008 428 765 IITK Aerospace Engineering B Tech 1670 2681 584 1115 775 1 206 534 774 IITB Metallurgical Engineering and Materials Science B Tech 1720 2776 1018 1602 597 812 377 489 IIT (BHU) Mechanical Engineering B Tech 1623 2849 696 1162 519 689 274 274 IITB Metallurgical Engineering and Materials Science with M.Tech. in Metallurgical Process Engineering DD B Tech and M Tech 2767 2850 1634 1710 866 924 542 542 IITM Civil Engineering B Tech 1694 2858 785 1229 438 817 268 345 IIT (BHU) Electrical Engineering with M.Tech. in Power Electronics DD B Tech and M Tech 1901 2882 878 1218 562 876 284 406 IITM Chemical Engineering DD B Tech and M Tech 2421 2899 936 1413 630 1 083 395 395 IITB Metallurgical Engineering and Materials Science with M.Tech. in Ceramics and Composites DD B Tech and M Tech 2779 2929 1635 1723 994 1 011 702 702 IITKGP Civil Engineering B Tech 2291 2949 1024 1446 545 631 405 651 IITKGP Aerospace Engineering B Tech 2424 3008 1030 1257 576 768 418 418 IITH Mechanical Engineering B Tech 2512 3038 1249 1536 710 774 309 327
  • 28.
    Page 28 of35 IITK Physics B S 1026 3044 554 2213 468 736 299 381 IIT (BHU) Mechanical Engineering DD B Tech and M Tech 2906 3049 1016 1169 577 672 363 396 IITM Aerospace Engineering DD B Tech and M Tech 2618 3051 1302 1468 700 743 482 482 IITKGP Manufacturing Science and Engineering B Tech 2481 3087 1183 1362 603 970 450 549 IITJ Computer Science and Engineering B Tech 1336 3094 407 1505 660 887 122 410 IITKGP Chemical Engineering DD B Tech and M Tech 2569 3106 1339 1591 733 1 023 487 526 IITK Economics B S 1789 3119 713 1147 1165 1 367 544 732 IITMandi Computer Science and Engineering B Tech 2486 3156 983 1581 695 936 364 460 IITGN Electrical Engineering B Tech 2809 3215 1172 1525 678 793 225 314 IITR Civil Engineering B Tech 1859 3293 684 1246 375 653 192 276 IITKGP Aerospace Engineering DD B Tech and M Tech 1868 3304 913 1281 528 1 282 393 393 IITM Civil Engineering (Infrastructural Civil Engineering) DD B Tech and M Tech 2266 3333 902 981 571 571 386 510 IITGN Mechanical Engineering B Tech 2121 3347 1106 1455 374 856 213 311 IITKGP Industrial Engineering B Tech 2545 3348 1287 1495 639 679 465 664 IITKGP Civil Engineering with any of the listed specialization DD B Tech and M Tech 3108 3397 1518 1651 868 1 061 520 539
  • 29.
    Page 29 of35 IITM Civil Engineering with M.Tech. in Applied Mechanics in any of the listed specializations DD B Tech and M Tech 3036 3401 1377 1717 780 1 025 504 588 IITR Chemical Engineering B Tech 2500 3424 1285 1664 937 1 136 441 509 IITM Engineering Design (Automotive Engineering) DD B Tech and M Tech 1725 3441 894 1443 473 473 362 458 IITM Physics DD B S and M S 3155 3451 1623 1782 840 900 636 636 IITBBS Computer Science and Engineering B Tech 2592 3500 854 1457 85 895 280 485 IITM Aerospace Engineering with M.Tech. in Applied Mechanics with specializations in Biomedical Engineering DD B Tech and M Tech 3196 3506 1866 1880 1186 1 186 713 713 IITM Civil Engineering with any of the listed specialization DD B Tech and M Tech 3275 3529 1905 2266 1215 1 254 790 938 IITKGP Manufacturing Science and Engineering with M.Tech. in Industrial Engineering and Management DD B Tech and M Tech 3241 3703 1540 2226 889 1 228 537 584 IITM Metallurgical and Materials Engineering B Tech 2967 3721 1329 2025 749 753 497 656 IITP Computer Science and Engineering B Tech 2819 3739 979 1628 593 1 163 403 617 IITRPR Electrical Engineering B Tech 2556 3822 689 1669 697 1 031 437 466 IITR Production and Industrial Engineering B Tech 2330 3900 1262 1513 772 926 420 476 IITG Chemical Engineering B Tech 2695 3946 1500 2288 811 1 089 545 721 IITH Engineering Science B Tech 2499 4008 779 1135 511 723 302 374 IITB Chemistry B S 2935 4018 2205 2695 1162 1 360 753 753 IITD Biochemical Engineering and Biotechnology B Tech 2313 4073 1321 2250 870 1 375 412 449 IITI Electrical Engineering B Tech 3140 4105 1473 1791 590 909 355 486
  • 30.
    Page 30 of35 IIT (BHU) Civil Engineering B Tech 3336 4113 1409 1919 861 927 411 413 IITKGP Metallurgical and Materials Engineering B Tech 1355 4117 731 1156 429 687 246 392 IITH Civil Engineering B Tech 3161 4129 1663 1978 849 1 335 446 518 IITK Materials Science and Engineering B Tech 2182 4149 1429 2044 1304 1 479 775 875 IITRPR Mechanical Engineering B Tech 3400 4152 1434 1743 879 1 080 459 533 IITKGP Quality Engineering Design and Manufacturing DD B Tech and M Tech 3437 4155 1820 2515 1073 1 087 566 566 IITM Metallurgical and Materials Engineering DD B Tech and M Tech 3836 4158 2046 2062 1390 1 415 504 588 IITR Applied Mathematics Int M S 2874 4183 1461 2180 957 1 337 582 760 IITH Engineering Physics B Tech 3157 4186 1646 1993 722 1 157 421 625 IITKGP Industrial Engineering with M.Tech. in Industrial Engineering and Management DD B Tech and M Tech 3616 4192 1878 2087 1177 1 435 657 787 IITM Engineering Design (Biomedical Design) DD B Tech and M Tech 2691 4232 1316 1358 717 717 490 490 IITG Civil Engineering B Tech 3296 4289 1701 2166 1097 1 358 590 678 ISMD Computer Science and Engineering B Tech 2845 4434 818 1556 558 897 278 744 IITI Mechanical Engineering B Tech 3458 4446 1589 1826 855 1 013 375 491 IITD Biochemical Engineering and Biotechnology DD B Tech and M Tech 3490 4447 2287 2401 1076 1 084 707 707
  • 31.
    Page 31 of35 IIT (BHU) Civil Engineering with M.Tech. in Structural Engineering DD B Tech and M Tech 3848 4478 1532 1702 898 1 179 548 637 IIT (BHU) Chemical Engineering B Tech 2923 4483 1306 1519 834 869 383 826 IITG Engineering Physics B Tech 2487 4494 1010 1462 624 987 324 517 IITKGP Economics Int M S 3307 4526 1615 1778 1015 1 281 552 671 IITBBS Electrical Engineering B Tech 3399 4556 871 1774 388 874 380 443 ISMD Computer Science and Engineering DD B Tech and M Tech 3697 4615 1213 2438 686 1 365 344 575 IITH Chemical Engineering B Tech 3603 4651 1838 2075 1210 1 210 597 597 IITM Naval Architecture and Ocean Engineering B Tech 3085 4658 1590 1598 819 1 074 599 599 IITD Textile Technology B Tech 2630 4669 1488 2376 914 1 286 553 710 IITKGP Metallurgical and Materials Engineering with M.Tech. in Metallurgical and Materials Engineering DD B Tech and M Tech 4260 4696 1888 2265 1252 1 401 720 720 IITJ Electrical Engineering B Tech 3367 4732 1640 1998 698 1 088 210 527 IITMandi Electrical Engineering B Tech 3342 4823 1676 2028 1069 1 168 543 589 IITG Chemical Science and Technology B Tech 2603 4881 1289 1675 683 796 373 426 IITBBS Mechanical Engineering B Tech 3926 4896 1345 1798 751 1 024 415 432 IITM Naval Architecture and Ocean Engineering with M.Tech in Applied Mechanics in any of the listed specializations DD B Tech and M Tech 3605 4979 1965 2387 1277 1 287 909 996 IITJ Mechanical Engineering B Tech 4207 4983 1850 1956 946 1 115 310 397 IITGN Civil Engineering B Tech 3818 5123 2048 2174 1124 1 189 661 668 IITMandi Mechanical Engineering B Tech 3274 5146 1569 2042 963 1 133 521 556 IITGN Chemical Engineering B Tech 3467 5149 1667 1964 806 1 019 321 347 IITK Biological Sciences and Bioengineering B Tech 3607 5162 2040 2571 1540 1 683 794 839
  • 32.
    Page 32 of35 IITP Electrical Engineering B Tech 4160 5179 1482 1993 716 990 444 507 IITM Naval Architecture and Ocean Engineering DD B Tech and M Tech 4608 5209 2279 2808 1423 1 585 599 599 IITKGP Ocean Engineering and Naval Architecture B Tech 3053 5231 1515 1816 782 1 035 519 660 IIT (BHU) Engineering Physics Int M S 4540 5265 1566 2556 1208 1 573 558 709 IITR Metallurgical and Materials Engineering B Tech 3089 5274 1790 2430 1115 1 549 658 804 IITH Material Science and Metallurgical Engineering B Tech 4718 5342 2278 2468 1220 1 220 751 751 IITP Mechanical Engineering B Tech 4568 5363 1921 2106 825 1 217 445 498 IITKGP Physics Int M S 3586 5413 1830 2241 1126 1 542 627 627 IITKGP Biotechnology and Biochemical Engineering B Tech 3811 5441 1879 2973 1243 1 274 673 756 IITKGP Mining Engineering B Tech 3355 5598 1626 1877 1037 1 121 565 615 IITBBS Civil Engineering B Tech 4729 5635 1574 2141 820 940 431 456 IITK Chemistry B S 1887 5722 1284 1731 1293 1 459 616 777 ISMD Mechanical Engineering B Tech 3154 5730 1087 2009 610 1 039 335 424 IITKGP Ocean Engineering and Naval Architecture DD B Tech and M Tech 5267 5765 2272 2433 1393 1 677 805 881 IIT (BHU) Metallurgical Engineering B Tech 4802 5798 2007 2209 1385 1 679 796 838 IITM Biological Engineering DD B Tech and M Tech 2445 5819 1145 1275 652 1 190 401 483 ISMD Electronics and Communication Engineering B Tech 4797 5932 1576 1613 931 1 250 442 685 IITP Civil and Infrastructure Engineering B Tech 5448 6017 1975 2467 884 1 140 574 579
  • 33.
    Page 33 of35 IITKGP Biotechnology and Biochemical Engineering DD B Tech and M Tech 5531 6098 2324 2423 1478 1 763 848 848 ISMD Electrical Engineering B Tech 4740 6103 1544 2247 857 1 151 407 540 IITKGP Mining Engineering DD B Tech and M Tech 5662 6104 2346 2886 1499 1 608 854 874 IITKGP Agricultural and Food Engineering B Tech 5114 6107 2271 2798 1384 1 515 767 1006 IITR Geophysical Technology Int M S 4625 6162 2221 2874 1343 1 529 799 891 IITP Chemical Science and Technology B Tech 5691 6190 2096 2218 1298 1 331 714 718 IITR Biotechnology B Tech 3338 6213 1944 2749 1199 1 705 741 757 IITR Physics Int M S 4733 6226 2304 2843 1351 1 650 802 942 IITGN Materials Science and Engineering B Tech 4995 6299 2214 2681 1221 1 433 723 817 ISMD Petroleum Engineering B Tech 3988 6345 1327 2469 783 1 119 379 571 ISMD Mathematics and Computing Int M S 4800 6400 1647 2378 1096 1 264 587 639 IITJ Systems Science B Tech 4921 6415 2124 2730 1276 1 660 610 877 IIT (BHU) Metallurgical Engineering DD B Tech and M Tech 5316 6416 2203 2595 1425 1 547 818 920 IITBBS Metallurgical and Materials Engineering B Tech 5649 6423 2456 2702 1372 1 381 531 643 ISMD Civil Engineering B Tech 4487 6446 1412 2168 851 1 696 391 621 ISMD Electronics and Instrumentation Engineering B Tech 5490 6461 1832 2534 1245 1 380 604 647 IITKGP Exploration Geophysics Int M S 5104 6501 1935 2190 1361 1 405 724 899 IIT (BHU) Materials Science and Technology DD B Tech and M Tech 4702 6517 1977 2503 1369 1 462 771 832 IITR Polymer Science and Technology B Tech 5333 6575 2410 2871 1410 1 647 845 912 IITG Biotechnology B Tech 5392 6578 2605 2867 1466 1 583 618 749
  • 34.
    Page 34 of35 IITKGP Mining Safety Engineering DD B Tech and M Tech 6179 6614 2743 2927 1635 1 735 1010 1015 ISMD Engineering Physics B Tech 6121 6622 2385 2607 1354 1 476 726 852 ISMD Chemical Engineering B Tech 5799 6623 2222 2379 1257 1 317 706 819 IITR Process Engineering with MBA DD B Tech and MBA 4215 6665 2127 2916 1330 1 566 772 843 IITR Geological Technology Int M S 6299 6803 2589 2962 1531 1 725 923 961 ISMD Mining Engineering B Tech 4834 6833 1735 2261 1173 1 434 602 602 IITJ Biologically-inspired Systems Science B Tech 6306 6895 2727 2995 1601 1 628 735 735 IITKGP Agricultural and Food Engineering with M.Tech. in any of the listed specializations DD B Tech and M Tech 6116 6904 2700 2986 1538 1 720 953 963 IIT (BHU) Industrial Chemistry Int M S 6625 6920 2687 2723 1682 1 739 949 950 IITKGP Chemistry Int M S 5404 6927 2282 2646 1419 1 501 831 903 IIT (BHU) Biochemical Engineering with M.Tech. in Biochemical Engineering DD B Tech and M Tech 6519 6973 2524 2893 1613 1 736 925 947 IITKGP Applied Geology Int M S 5835 6983 2476 2636 1537 1 662 936 936 IIT (BHU) Ceramic Engineering B Tech 5779 6992 2351 2984 1463 1 481 833 880 IIT (BHU) Mining Engineering B Tech 4593 7015 1775 2671 1296 1 498 646 779 IIT (BHU) Bioengineering with M.Tech in Biomedical Technology DD B Tech and M Tech 6310 7055 2509 2895 1590 1 626 869 890
  • 35.
    Page 35 of35 ISMD Mining Engineering DD B Tech and M Tech 6182 7067 2393 2505 1402 1 711 750 865 IIT (BHU) Ceramic Engineering DD B Tech and M Tech 6968 7111 2821 2940 1742 1 756 959 991 ISMD Environmental Engineering B Tech 6627 7125 2554 2724 1440 1 624 789 789 ISMD Mining Machinery Engineering B Tech 6699 7129 2914 3025 1681 1 727 906 906 IIT (BHU) Mining Engineering DD B Tech and M Tech 6854 7138 2814 2938 1685 1 747 954 958 ISMD Mineral Engineering B Tech 6683 7144 2827 2896 1632 1 731 866 866 ISMD Applied Geology Int M Sc Tech 6544 7147 2499 2946 1437 1 507 770 829 IITM Biological Sciences DD B S and M S 5657 7148 2888 3040 1657 1 768 636 636 ISMD Mineral Engineering with M.Tech in Mineral Engineering DD B Tech and M Tech 6651 7149 2623 2819 1441 1 599 851 885 ISMD Applied Geophysics Int M Sc Tech 7156 7222 2924 3006 1693 1 740 934 934