c
NoJ~. PAGE NO. _-'----
DATE
./V!.A{ NY1" {1 d2, PvlArYI
J +tAm cd}! 'cI.wr;
J 4; ,~-f.-l
4/ I 0f.Oj {v I
f
'2-""" ( 
'1 """ ( 
Je>-'" L( CC':» 0 '- l, G.....,') C
L --G
2--
v .,
I . "
IIT JEE PHYSICS CLASS NOTES BY Er. AMBARISH SRIVASTAVA
B.TECH. IIT DELHI (AIR 538)
PART 2 (CLASS XI, COLLISION TO WAVES,
INCLUDING THERMODYNAMICS)
I.
-J
. ~
PAGE NO. '").....
DATE
u,
PAGE NO.
DATE
. ,
'lI
I
PAGE NO. t I
DATE
i'...
PAGE NO. Ac
DATE
----------- ---._-
'1..
=1.u
lJ '--;/- I
2-
+ i .
-----------------------------A"
" I"
I
PAGE NO. _~~_
DATE
LI" V
~
% 7- >"'V: +~J1:, ~C?2l
I
:10-1
-::0 5
I5 :::-<) J :: ?> )~
i<-- ~ -
I1 '-- 1
'01-:::' 3 I
'1 l"" J I)">
I
J - I~
~ 7 S
_J ~
~. "", 1..-
IJ )- - -,
;.?J
•• -:: 20- - 'J L"">-
,
. 5.J -:.  '6
Vv '--.:ll./'
"0>-
I PAGE NO. "7
DATE
1..
:L~-JH'1-~d:fij
'k '<J_t
e-<.l:
gLvvtu, ,~A'<rJ<- 61,,0 LoJiM &'~
.{. I, ,,,-I .[
, C
I
I ::. L( 1..-
'- Co
)
. I
LafZ
-CD
----- -
••
:1-.... M,",LUMd oS. Li-{ t..""YU!.a-jvtRi' d ie
Cor:... ""'
,
---,
I---------<
I
i
10 V>I fs
() y-
S •.••(J I
----------1
---------. ,,
f
~,---
PAGE NO.
DATE
:::0 .
I
. ,
v
') . ~
VC..., (j = -) '-t V
21.[ Vli:'1e- T ~ M lIS" -t 2l'-'/V
AN
PAGE NO. 10
DATE
t
t
V. :;: V&' e Co ~ V-.'
:5
"-
'Co l( V!.cJfJ I
-?
I;
F
"
~-,
••••
t: ~' tv-e. ~-:--01-<.lJ,
,Y~l:-!~fil 't-1.Lm.ili~}----,e=-ll".-L<$ '_:- __
,
PAGE NO. 'I
DATE
1
M'.
)
[PAGENITJjDATE
1l.,
. ~) J ) 3rj-"T-1
I
;-
I
I
l
r
Co ((
J . e - V- - e. (_lA.~L=O?~e-l) ~
--------------,
Ll- '1l1. l' I--_._----
}, ::.-M 0-+ 'm. ~Ub--cr----------1
« .•.•
I_______ .1
1
'C"l0 = }
•••
I PAGE NO.
DATE
--------_ ..._----
M~
MV + 'M.,. e -:: j""lL C...., G
---------
.•

1 .••
LF
.~
."l".-n +b Ail bM«,.,&.~.J.
II ~ t'1 L">'I •
r
. ,
r
i
PAGE NO.
DATE
Q :;. F
2.xv1
y::_.,~ ~
2.1"1 l..M
F M z.-p
/ / / / ? /'
,I
L
1(

« .•.•
I PAGE NO. 1
DATE
_ + 1
~ <.
1
K
•
1
I
Jox
...--- ./ j
----j
- 11:, f
{K
,
..l
•
, ..
,
t.,
I
5.YI
I
::.
f{r£l~H
I
- ,Ji. Vo I~
2-
« .•••
, .'
I;: K'v 1--II
~
2J-
Ij
,-
PAGE NO.
DATE
17
1~~~_..k.-AJ.1.I"d_ J.t!Y .
. '. ~ -
--~,'-'/7 <>
- 'v"- .- 0
} =- 0
~ .JG'l. (,'Y<.
t .
LoM
.'. CI"", l r'"" K'~ .
( - 1,:1. lO ( '2...1V 2--'X J?£. /.... r;
(_ 1--
'LVC
'1-
1 .
•... ,
-
l:
PAGE NO. rt
DATE I I I i:
~
I,
('Q' - ,
I
./ 1/'- ()
,
,
'" ../ -
,
 / ~LU.,
- " ..
,
X - ~
II /  ,j !
f'
1/ .~
....1r> ( ~:'!IF :
",-'I-'X/ •
I V .) . A ~
~
I
;/ "" j'
I: ~
"'--" (o~ -, '"">:
I V(;fVIfJ •......!~~ G- -='. -e ( {,.,(,.,..,& )
..
j
LlMn
---1
1
,
•
L 1. 1"' ~ l'
~
~ -
~
i
,
LIM 'I,
, ,
I, ,
,
1 I,
I,
I,
;
i
;
I
II !,
I
•••• -- --- - _ ..
,.
PAGE NO.
DATE 1I
t
I
,
-- .
dr." Ii e.tC' « .•••
olt ol.t oA.t
f=~)<:i: = Kcl~ cL"",
olt
oH-
---- --~-
r
i
PAGE NO. ')0
DATE I I I
r -1 ..-;'
, Md~ F;, J- + V, I."LNI-
I
Jt o1;f ,,
I .-
G'
I
I
M"I~ f.pu + (t:..- f 'I d,w,,j
-,
cH
..
~
-
"
-_.~
, ~
J;
.
I p~/' .J-:.. rjl~ ;.,1
',I ,
:
I,
cst:. '~l'I -:r ,'( II,
I j~'( ,.. k>s. I!. ( ,I "
~ ,'Vd <f,
T."I
;1 I (H,.~~ F
')_ . ~u,-
1:1
~-.O 'J. '
~
V'o" _ .V'
-(f
.,
"I ,
?
,
'I' I .
I
f- I
,
[
,
f
;1
i
,
•
Ii;
,
if
,
~~
~, .•
I
,,"
M
I
'I
i .
I
,
"
.ef t V
JW1
-- -oC-!;-
PAGE NO. 'l..
DATE
-------_.-.
liz (
(
•....
.:
! . "
Jv ?) vclv-::: -d z.
z..,... .
r ,
']..~
I
PAGE NO,
DATE I I I
I
I,
, ,

i
,{). /''. I
I
/
7 ""
,
~1
"I
,
I • I M.- t1 Y"
1
= , :
" f' _IA~ 1M I: 1".
J=F
Z- ,.w.; ,
Z Cl( I
J-t i
I,
,
i
~ ......•
ITII
7'
I
rv, lJ;)
I,
V'(~h~) '
I
M-ol"V _ ~J-0()
;
,
-~d'
I
- !
cH () '- /
I
!
,
, .
,
,
I
I
-
!
I
,
;,,
:
I I
1
••••
I
. - -~ - .~
=:
A
PAGE NO. 2.-J,
DATE
'.===--
PAGE NO.
DATE r !
I
l
il
-I
I,
I;
!'
ir,
I,
)
I,.
I,
'J'
i,.
ii
!~
-0
. ,
.J
.J
I
J
PAGE NO.
DATE
J
j.
. -• • 1 - I. m,) 1'tz...
:::.I I..,.
.7-
I
- 1 h,.~
2...--
k.f :::- I<:..£..
- I 2-
Z-
k.£~:: I M V 1.-
Z.
'
.,'i
,
PAGE NO.
DATE
-
'.
2-
.
'!.-
W
'(
zz'
",I'>'
PAGE NO. ""7
DATE
,
1•
/
I--r1I- 2 R.. -x
'-:.- VV1 m t"V
I ~
2"",t
V
1 t'L- f met.. -I z...
-z. 5Wii"l.-
KE ,-:::3 1-1.~.'l--
1..
•••
,
j
j
[

c-LYY ==- M
l'f-...'-
"2 2 1'1;>(.. ~
fZ.v « . •••
PAGE NO. '2tS
DATE
.(,
,
~:.
-
-
"(
.~._-----
«
5
-~, 2.
3
r PAGE NO_
DATE
,
. .:
--,-----' ---
I

7-
---"> 3
10
----
a _ "
..,
PAGE NO. 31
DATE
"'I j . 1..-... l:j' l.-
I ~c .')-(.
L /!;
.~ 1'1
I-
'2 1'1~
L
r
DATE
, ,
", 1
,
.~
-
I
1.-
- z"""
"I "2:
1.-
- . •
= 2"",.
..
PAGE NO. ~::
DATE
GL.~ ~~I
J
{
i ,
l-
i- I I
ii
I

1.- 1.- 1-
/l}~"I -::. Mv z.., Lffvl~
- 3)1- Y . I 1--
II
I,
j

"'-
l
pAGEN~
DATE ~ ,.(,
.,.1
l,
:I._ l'=I ,,---tT 1
".I. -0: M ~"1-
Lj;
,
,
,
f
PAGE NO.
'SS,
DATE
I

.
:I.".",  =' Z"", y:7---
u
f
, /..-
Lyu":: :2 ''''i I(i
i
,- -
I :::(-7_' - L "",' ( r u.1.- 4- W ;. )L---
I . <J I /
I •
-I I7"7/":: 5" "" . 'Ii .1.---+ ~ WI • ,.,1-I
I . , O'
-
I " ;T .,... ~ ' l..
I
- <:::.•.....'')1' + "".l-t.
I u
~
I,
~ ~'IAJ •
'. ;""' J -1,.'A.+- .vi
/ ,
-
f(<...k.KIA '9 I l'-'1 L-l..-
..
V -', - ."
/
-X'f. ' "
.---1..- - -... X11.- ,,1-
'.
.'" T ;: t1 LL.  •
"
r-J • . 1
, ,,1 7 v
11.--
J -:0 'rc...'1.- L. HLl..- I1Ll.-
r,
/1.-- 11/ {,
--
(! 1.",J '--
-
• .f IY1 J:", d,;, •• L • of ,J.' ,0. -/
~ "1.QJ I
--S~
-
'2.... .L. '-z... l1t.
v
' /
" ;- -(
f «
-
'T  z ' 1 L1- /
""-1.--- ....
-
-
,
1::~:N[fij ,
I
1 !;
--
71 I
cx.- oJ 6. I
:r a . 'r I
2'1-z. HC -
~
'..- , " '-
J: '-  L . "
(l---
/ ------, I
,
1-J it iJ-q.,
I ;
()
I
I
I'
I
I
PAGE NO. ?:r)
DATE
"1...,
1'1(1.- H IJ-.l-
-
'2- - L l.--
-
3 l{ Lt ~
lI
~,
1
•••
I
CJ. J
I
"L-
1
'l:. -::M~
k:: I.
1M
-I
i-i
j
J
I
1I
L
•
~.•..
,
!
"7 I M
2.-
k.E. z:
,
"1 w:l- ((1.;-H
7.-- -s-
-f, _ Lli nR1..(..Jc,--
~
0
PAGE NO.
DATE
=
,I
PAGE NO.
DATE ,il
ry - .;" +--::f
-.:}':'+LJIZ ~'-- _
1' ~ I-
~ 'J i. -+ -;- )(j Co-,(J " -+ ~ JlNt 0 l
('
J -tw~ L.
~
w~ "-J - )
, .- ~
,.
V
n
'" J'
PAGE NO. I1l
DATE
-?
~ -+ ---7 -->-
0.. - C... + •
-C v.....c.
&. ~J, '" FO£,(,
-0- ::;
,.
r1-
T
I
r
l
J <.. W~
o-r.'h J .~ Q.il-~""'
.~
1
DATE
,
Ir
iI
K,~.-= 1
1..- :.. -I
V + I
L 2.- I
 1co
i
2.-
]
l1LIf-l ~ '--M r-. l- I7
I
L.-- "3
1.f. S MW1--f.-~oz.
6

. )
) -' (.,.0'X..
I,
II'?)
1
i
]
I
4a~ I
l
I
c.
I
j
I
I
1I
I
I
]I
J
I,
i"
I
1J
JI
I
I0
II
PAGENO._~
DATE
1<-.( . - , 1-
1.-
- , --i-, 1 W
7..- -z...-
t..  M
l-
Z. ,~2-
S 1.-(, 1"-
'1
/ //
(Q-
Ij
-
i
[::~:N[ITJ
- 0 o'J'-
PAGE NO. l
DATE
------
~.
H « .••••
3 M
~
1- 1..-
H . r-.-. ~0 ~
l
--- ~=--....:;.,..:.... --
I •
IPAGE NfrIj. -I.DATE .
,
I
~
-,
i
, .
-.
-.
i~.
-.I--1
'L-.
/ /
-.; I
-<,
I
:..J
I i
I
1M'
L
'.
M
M
1-
}
-0.
----------
r . I~GEN~.DATE U-lJ
:::-
::; lM10
L I,,
!,"t
I
I
I
I
I
1
, .
PAG E NO. ------>'-1
DATE
,- -
, .
--.....:.._-----
r
-',
II
{} e...-..;.f£,
,I
,I
..
-- -- - - ~ ------------ ---
« .•••
I
!
7.- W" t~
I
I
~
I
) -zLNX
I
.. ,
-:': " -'" I" ~
'. "
.'
~l' oM-.lo be. . 0 () c.cnru I
I
I
l
,.
,
-
tv
e ~
.'.le,Lo>~nID[.q,Il-?J I/g,'Jp
--..•.
-CD
tAo
I
!.I
I
-,
'.
7 V-fj 'l. W 2L. ._._
--------
:
II
.1 .
'I
"
,
! .
« .••
j!
:
I
f
T
I
. I
-; - ~- - -- - - - _.. -: - - ~ --
_I
i
j
~
~
~
I
-I
--- -
-,
Z.
LV
()
,,<-2w~
Q. C. 1. } G',,- + JP0rvi ,
a. "- 0 -t 2..
_L '1 yf-f.-. ;- 'l' ~
z.;)f VJ<
j
I
.....•I
I
1
J
-CD
---0
--CfJ
~.
I,
c-
,
--1 .
I,
J-
I,l
-,
,
--:
i,
I
-:1
"iI,,
Ii:j
II:
l1l
~I
il
~
I
II
-I
I
-.
"* .
IPAGE
rDDATE r-
(L)
.-
1/
i'
,I
.1
I
,
.
.
.1i
,I,
I!
. ..
, . -1
L:z.
1
,I
d.
-->L ~_ A,
olt
, ~
1
!-,

1
DATE
-4 ",
,z-
"/It
e
->
elL;
colt '
~
Zo' :::0
'"
()
JL .x F.
-> r->-1
v-= '$, W X A..
--"> 'x ; -:: W 1- f'I
[XX ~ ~ t:i A?- )
.t
r!'
J,'~,,
-JJ
~
]
. I
I
cJ
I
J
1
1
-
c..4
I
I
1,
'~~~:o.L: tlo-G~y
c;t;~~~C0 ~'.J.i~.
-' .
l~
.-..
-.;.-
-1
.j
f:
L
: lt"tl'~~
1,
i
__ I
PAGE NO.
DATE
v l!
.~
=
]
1
. I
•••
PAGE NO. __
DATE
r 0
d:I . --?
A .
J--t-
"
1
/PAGENEI3rDATE '.'
,
./'
PAGE NO. __
DATE
. ".
0.."""""-<' __
•
dL '1'1 c... F-T+ - Me..
-"1-j- o c
-_._--------- -~ -
~
-X-( 0;, ,:- }l~'"
--- ----------- - --
~
L " H
o
L
PAGE NO.
DATE
0.H.
:t.I w.
-I
z.-
-----,
- --
L J
'L-'
=- !-oJ
z..
Mi.w MfZ. L-w '3 "1-:: - Wv
z.. Z-
[
I
PAGE NO 67
DATE
--1 -->
G '" r/-
-4
i, tL,t; :- y•
I
,
: T
1.
--I
:r.:2z -
i, I
2. a .•••
/ / I
-s
.'
PAGENO. _
DATE
----==j
r
I
Cl
PAGE NO. '" '1
DATE
,
~
-------------
« .••.•
Vc."., .Q. ~'~
w (
I<
l
1 -;
-f-<-.
0e"..,
-w
PAGE NO.
DATE
-pr---
t
"1" .
/ "
1!
I,
r
l
PAGE NO.
DATE
.1
!
I
« .•••
PAGE NO. _
DATE
1v
•
-.
. . ~AGE NidiJ
'l. L.c-Y, ~'" )::..~Jl.TE UJJ. I
.3
T
.'
1PAGE NO.
DATE
- ==-=======================i
M
1
IPAGENCITfDATE .
Mil L
1.--
UlM ' , :.=
,
, -+wL_J
2-
M
. .,
.-_.
l. V W
.
•
1.-
M'X. lA. - ¥L W
12-
PAGE NO.
DATE
'. -
-_._---
4,
- ,
•
$h"S <...
S~
<.- MR."<.. f-..
&p'f- L-
« ~ .M((L-
L.- l.-
,1
.,
I

iI
.'
I
---I
I
"l.-
- M Lu- + M["W
:5
PAGE NO. __
DATE
f
II
I
M
B )z l
•
f /
PAGENO,_~
DATE
'w -::::
~ M WL.' HWoL
2..-
7-
Mt-'l- w - M.v-L -T Y'LL-w
3 3-
.
----
,
J
l'-t,
,
"
">
I
l
z.. 2.-,
W
- I
-------.
PAGE NO.
DATE
...
-+  1
u z..
------
-::.
K
,
"'" I '3
2.- z...
k~ 2-
f M
&-
=- ~.J.
It.
,- 1..-
MIN (( ---
t
C&~'" " 0 .
IPAGENCEfjDATE
I
I
il
I,
I
.
e.O
PAGENO.~ __
DATE
- i
N "
i=:-
- I
[PAGEN~DATE
•
'-,
I
F~~ ~
r.
,
.::lb L..
-------
r
•
.~ 'a 'l- O.-r
f
r. 1. 0.1
fi
PAGE NO.
t DATE
H 1'<>
!l-. '7
i
!
T ~{~
!
I
I
r!

-
""
ti
tI.•
'.i
l
l
&-
E;
~
fr<u
~ 11:/tv
rf '. '-IF
t1
,", rMJo-- ~
, ,
't,
c F
PAGE NO. __
DATE
.~-;(",-'(~.(,{ j4,14. rrf .~ IkodA 1ttM
F--
1
]
,
"~
!
PAGENO.~~
DATE
F-e f
-.I
r'_.
II
-,

1
IK
I
I
"
l
r_.
I
,
-.
I
-.
. 1
r
. I
I
It
1
if
~
[I
"
f-tf
t.M
PAGE NO.
DATE
• 1.- 01.
r- -
'.
~I: PAGE NO.
l~ DATE I I IVI
, ~
~ F c.-.-7 -bl: +1.1.(;.
II -
I I)~ 1--t-~
[ "7 Jd J
li 2.t
r 0." •
1 -p-
i 1-1..
I '; .
••
~"'J,l L"" 11A.1 t:.. L M t LJ -C:x:S
y U
[ ~" :{" ' (,1 I'
e: z- Li. X J ; +-U A' -t '? .I-i;' . 1
l
"< 0 :/ (J
I
-7
2-JR ~k.- <.n X I,~--z:; ""7-
r
""-- ~ (t u/ d
->'
-J-U •G 'Z
d
(0 ~ I 7 7 2. 'J
-/
~
-
 . ...,k
. .•
l-- L 1
I
G. !XL ~ ~I"" " I
J-" .
- ?--  l.--- !a
f-LXlt . M", -I ~4H " I~
) '-"""
. '
Cftv'!>/ (L - -t rJ.. ...:.- 0
/...-
--- -- - - ~-
-
;
'i
I
PAGE NO.
DATE
"} 7
« .
i11
it
I
L
)
r,
•
I
..-----l
,.

T
, .
,
:. I
l
L
c.. .
z 1
N-t
N f -z. K.vl. L-.
2-
•
" (J== MCti-
S
PAGE NO.
DATE
i.
« .•••
I
i
'1.)- PAGE NO.
DATE I I I
- o'
f:.
0
-
L0~
, /'
/---- '-" ~!I
1 ,~
r~ ,~ )-
./
,
'<:'~ / ~6"
'"
'- ./
I
- - Wt(~<- v-~I
I
r
-,
, jz w rz ~
I
,
,
•
!
Ii
i..
,
I
I
i
I
I
I, ,..
,
41
I,
I
I
,
..
I
PAGE NO.
!
DATE T I I
I
".
-
'"N I
I rr- ( /'~
.-0 ,
,
;I "".v "-<
-
i
I
f,. ".'. I 4',." ., ".At ...... ,:.. r ..Ie J....0.. x ~ ,:.., .., ,Il..•.
<f _ .i:J'~A "';A ~ ndL _a,.uA • j • /- .
J. n A"J """'" 1. ;1- I .••~ ,J A • •••• 1, ,,/ .M1L ~ .rIo "I %J.. ,IA
" ." Il.l U.,..,/ F L. -Il,.. j~ ~, .~ " .~'LI'J .. ',.1. 0
~'-H.fL0. • AJ.~ ,; 1. J=. . .)P,'r: loAAA .
to' :~ ~ "'" '" ./ 1.' _, " .., .T -'1°'.1 n~.+,',.p.A' '1. •.• '.>-1 A" I"", I A ~.-.".J 0 .
..Ji,'., I." /-. ~ A
.T
p", etF!
alA
,
j
.. .. fo. ...-1t"t. :- f, ...., ..' .... , .. +. 1 +. -&- 0. ~ '
.
0
M. A •• ~ ./l ; /' A AAJi. -1..,1, 0 nP .• '.' .•••, AwT A AA
a
1)
UA f..J AI'.' U r:= r(J I~h, :..e.....-J. ',.~ •• A J '
~
I F -;: (r. JA
I J .
J
,
~.lI.J. & kn 0. YtMLf
7.., .~.+,'"..", ~ {"AA"l'
fZ~"JJo ~ o I I
:
1 0
.-
.'
. I~A.+ fAun - fA "I
I
,d ! ,If":
r~"o
oJ lfr
•
1~::::.PI' --t- f {J n
.l- h
1If11 -C -;--
..;('
... ~',.' .
v
r
~---
I '
'-
..,
PAGE NO.
DATE
-'----
.,
"2 5 !.JI.L~ _
Lf (j •
.- T
I.
r
I
PAGE NO.
DATE
",
t-
I I
•
- --~----
I
I.. I
I
i
I
!
i
I
!
-;
I
J
F !
A:
PAGE NO. __
DATE
•
A
--------
CA.<<:
A
~
II
,
I
i
/ II
•
F
.
. -,-
/
! "-IJ.-""~~
..... -
l
I
I PAGE NO.
DATE I I I I
• dI
I
r (Q,
.
J
'.
- N - ---- I~ ./' I
Dff II~
1'I
J !
i.
1
~ J -,.fl
I
1
1 1~~'
----} C.
(- fn H A ! ,~'- ()
11-1.- '1 J.-- L-l
u' ... . -
A ).,...1 L L. ~ r /> d.• ,t;j ~A ).1. ~.'MA
I;. !J;
I ~
':!t;"J ~H~~ ..
- .
I 'I '
-
I:-.jALo-. :: -:fA (H~~ A ( """" -= r:j,,, t 1
r. /
G .
bH -= AL 
 ". I I
-
d, ~~ !:>H :..1... ,.,.{
w)LR "8 r
}
J.,w f"_tJ01-l-
I-- -
1~~-J
-.;f--.V '1
-So. (HI.) A
I
. 
J. I
,
-4 F..I- Z. M. A
 .
1- L-tl
!.-f. (H~)A :: JA L-x w:/... 'i .l,
0' . I ~
1...1-
e6H - W.L
« . ,
4";(
I
•
I -_._- l
PAGE NO.
DATE
10 ,
l
A
,.
/
,,
PAGE NO. __
DATE
.J
!
I
I
rU..o
!
-,
I
-;
I
-;
1
!
-----~
,
..0
II
.-
::;
PAGE NO. (~
DATE
••••
A-v .
•
JV
elt
~---~~~-
!
I
!
--l
PAGE NO.
DATE
I
I
U
I
!
,
I-
]
I
-.,
I
I
l
1
i
I
I--'
B£:T.
J..K£ ::: I
2-
i
r~
r
I,
.•
I
u '
PAGE NO. fOr
DATE
J
PAGE NO.
DATE
"I
I
A
~.
I
I
I
j
j
I
"" !
I
II
l-,
o a
de
•
T
It
A.
/
/
} • P(I,
l1
A
.,
PAGE NO. ( t:f7
DATE l:
I
,
l
1.-
I
-;
I,
.....!
~---,.....- ~I
J
J
JI
I.~
•
l
--
!,
i--
I
I
r
"1'1
rrL
.L
~
>--
"
PAGE NO. '05
DATE
'.A-=-2 }{..
-
"
•
LJ1
f
!
l'
'II,
I
I,
I
I
I
I I
PAGE NO. __
DATE
p-p -=-2.-T
IZ.
, .
•••
} "
-I
L-
I
I
L- ..J,. b
I
I
" '
, .
I
; 1
i ,
I
"
, I
I
- I
rb+~1
~
R.'Z- ~ R)...
, ~l.--~
•
I
I
I
I
1-
A .
,
~I
I
~
i
PAGE NO. II])
DATE
.,
:
!
""
I
•
------------- - --
' ....
PAGE NO. __
DATE
« .
S.T
I
1
T ......,- ---
PAGE NO. " e:c
DATE
/
r" i,.-/
I
.,
-. •
O.S...,
r
'T • A~
!n'l C"
PAGE NO. __
DATE
I ,
(wi- F~"'" .1 :
FIJ.7~-1,RJI ,
I
•
.---..,.-
PAGE NO.
DATE
II
~
lJ
!
I-.l
II
",' z. ',JiIv
-
:
I
J ~~
i .
t~
•
7..- F" ~v- = . K t
• 2-{ R. H
« .
f
__...•...o..-~__ . _ _ _
-
PAGE NO.
- DATE I I I I
V'
-t:(' J I-,
~ MJv
"-
F-.J 1'
- J
-
,
,
MfJ,."" (F-)" })'7V "Z- t
,,
-,k :1;')
I
-
F--RIJ _ ~ - tyl"'
:
F i-
'J-::. F n-l'~-'ifl
A 1::""" .J -
I
•
I
-
,
a .•••
- ,
•
~
I - '-
- - ,
---------
j
,
•
L t
[PAGEN[fdDATE
v ~
+_ 2..-W c" L'
"tv
SW 'l.e,
12
v
••
F ::.
~
A' -'l
- h-
))
::. - C; ""1 l->? 7.. ~,
'3
« • •••
PAGE NO. 'k(
DATE
t....•
I,-
l
I
l
I
I
;J.
If
•, "4, .1---
II
I,----,
I
I
I
I,
I
I
I
I
PAGE NO. _
DATE
II-
I
/
Co M cI. e Lc-, fj'
p...'Z--7
f) .d 0
,
j
I-- 2Ld -;::G.11 dl' 
2.-1- L-1- ~ 1.-()
,
,
• I
r! DATE
L
j-
I ~ --
'2- (" "1
! , 7Ifl...'V
...•,

; r
,
! I
'.
I
I
I
I
i-
PAGE NO. _
DATE
----~
h?
'L-
••
- 0
•
PAGE NOo (1 S--
DATE
}.<II
(pfi'- 0' o<->,-l
(,.J) h(,,;.J." .
" •
<JZ.
« 0
DATE
l
.!
I
Ii
I'
-2
PAGE NO. 12:-
DATE
••
,
I'
__ --J
•
s
:/
"
:1
- 'I
- ~ '-' 'Reo, I
_ . "!" '" <-> R.:
I'
!
i
!l, ,
/
,
:::1
v~ 0
V::: V
PAGE NO.
DATE
v'
o
.' .
Vp - - ~Ml - c,Ml.--
A" '.
« .•••
••
••••
PAGE NO.
t DATE
I I I
, J, ,,~R.
! r 1>- ;" A r ,'+-I n" ~M P- ~
~l
"1 6. I
I
,
,( 1- c'mI -
 ft-
,
- :
I
(Q) J....-;;.f'..
II
- I,;
-_.
!l V--:-- ~t1 r;
fZ. ~ I
r :
"
c
/ ~ / t
r
/
~ I
I
I
•
/
"'-- /
" k<~
;
, ViA 1 ~ ,., A -H,111- t..& -a:1 -#" ' .•• I
, r.:n/ ~ "/A
,
I
J~AAJ'J, ~:,1J-<.A 7Jh
J
C
I
!
,
-
i
f
,/1
,I
[
~
,
,.t ----eo I
/
,
I
'" II .
,
-~M Y
f-.- .
,
;
- -
PAGE NO. __
DATE
« .••
IPAGENITI] ,
~ ;IDATE
i -
U
I
jI - Crt "- Ail
I rz3> I,:
I I,
,
@ <j.. ~ rz.' V",. 1. i;.
.
f (cV 11:; ~
,
v.,;. V"
. { I . I, f_ I..,
• 
1 ~{
.." I
::: G M J. .rh I
I /
~,
1<] r. ~I
•l
I'
Vs '
-
I,
I
/n_ V, ::: G,M
r
1.- f...Z-~I J... _
1
~" 2- 2-_~ •
,l
,
In -:::V, +- (V"- /r)
, ~ '- ,
l
k - -~M L /71M
•.•.]v 1-- _
R,2i-•
K
•
f.-.S
z... z...J
( n '" -c,~j ....l.~ '1)- '2.- 1.~-.~S'r.
I
K R"'" I
-"' - i
- ,,
II,
, fZ- I
Ji....• - I'", ~ I
I
/ II
I' IJi 1/ I
--:;..;..- --- -/1.. ,
_ ,<;(.t
"-
- - -- - -
I IPAGE NO.
IDATE
----- --I
--- -
[---
I
I
I
~ - ~; lY-".. __ Cn 'WI 1->1'1
.'9-, '" ~ '3
I
L
I
I
I
1
~
l I¥)
I
.! h.,
!
I
I
I
PAGE NO. _
DATE
,
i~
. ,
« . "
"""l
.~
d~~ -:
 .,
lJ -;:. _
. '---.
I.1
1::~:Tld
",""",HA1.
- {Z.'>
-;0.- • H
tz.'
t1.,~? •'Iv
'J... f.-1
J,v "0- _ .:5 G..Y1.-
IS R.' ,
- -3 M:l-
-
5" IZ
JJcJ ~Aq,M't".ii ~ oJ . 0u~~_
-~
.-
r
L!
~
. ,
L
,.
J--
__ 3:GtH 1.- _
5; (2......
PAGE NO.
DATE
--!
o
"-----
~
I.
r,-
I
I.>.;
~I
r
(
1-- -.:. D+ 0
~. ,
'.-.'
PAGE NO. _
DATE
~ ~ KI->1  3~M - CnM 1 l.-
-(2)Yn .Il"
~ 2.- Lf... . "X- L.-
1.-
(..IJ :=
2... ?C 2.-
••• ,.
~
V 1--:;
J : Iit
-x. .4.fI....
':>K ~ 2..- ~ 
- X.2-)0< Y u..
._----'
'I
I~;' I
~
UH
II
-i I
['I
"
PAGE NO.
DATE
~.
.1'
~ t'1 1/3
WI.,.
e-----
PAGE NO.
DATE
.,
~~
vto l. (.1.. C :1JvJlW /J.1-v""1.
D.
I
!.~l,,,
I
~.
. 1 ~
.?<-.;
I
PAGE NO. __
DATE
.., Cl.f ~U'e1A (- ~*)& ;.(. IS Mil,'" . I
fl"-f1h'ol£(~ +0 1tv J;/.lrr-r.u a ~"Frn ~
« . "
"A:= 1
--->
;.
;z.
A
t
""
~
-?
elf. L I-Jt - Z-m
'~JvJ.
-----~-
PAGE NO. _
DATE
,
. !
1-
GMWe.:
A). 1-
•
T-- w<- - 11 w
..,.- I
,1-
("M
11.- ~>
:of-
« .•••
j
i
.f. ~K.c,+fe-,/
-::. -tC,M}y> - INJ
La. 0...
•
..•....".
. .!
I '
I ;
I
I .
I
I
.
LOti

v
« .
,
I
I:::ITIJ
•
•
..,. ~
..r;;,-of j vI:t-
")
......, ~
1;-+1 --0
c
(,., """ , "'1- Q
X .•...~-"}•...
J.,.: W1.-
-;; •...
~d-"")
"-
1M 1-("
"X;- """",ct i J""•.••..d.
!" '-""t.)
PAGE NO.
DATE
PAGE NO. _
DATE
i..
.j -:;
x... +
cl,x (,,,1 +i».
cAt
1-.
2--~~)K-
elt" ./
1-
K
clf'V
.,
d.~J.I. _wL-
ttkv
Ii
I
.
l
'"
II
r.
,
~ )
/
•
PAGE NO.
DATE
Lr~O
.• r
o

PAGE NO.
DATE
I
I
I
I.
•
PAGE NO.
DATE
!
I
-J
I
I
I
I
J
--
PAGE NO.
DATE
-----t
,
I
_ AIIJ:,-iM.  -- f 2,~ ~V
]:em ~ -t A1...~4v
I
J
PAGE NO.
DATE
f'I
•
. L~l')
HU
. 3-
~ 1. P. ~ ( klt-f L':)'-- _
f
I
A
i
-[--
I
I
PAGE NO.
DATE
•
1 . ••• - k..
11M
:fA rF ---'
.Jk
PAGE NO. _
DATE
•
,. ,).., -...--------------""1'"" ""7:'1:,)1:
M
41<.
r
/ /./
(

I
I
"I
1
2..
•
•
PAGE NO.
DATE
F:o-o.
i / / I'
I
I
~
I
I
• IPAGEN[TIjDATE
,
r
t ,
-z: clJct-
ott1/.
,
i c. :;:.. . d,1.-&-
r olt:l-
~
I
.~_It S
,,:
t.
fJ
eH.1--
'"S
I
•
•
PAGE NO .
DATE
,
I.
I
I
I
- K f."'(J;::: .21-111.- ~
2- Jt
-2.K (}
3M
./
./
, ,,
I
I,
I
i,
I
I
J
I,
I
I
!
I:
-J,..
•••
I:
'1
&:
-$
• [::;;NITIJ iI
.
• PAGE NO.
DATE
. I
,
. !.,
)<0<'
T
2 z,'
I
7
11-
i
. I
'~"/c-J rr{ .A?1<JPol:.:rw. ..,J,JhJ- . I
.--J
I
..1 7' o'Ul- '--
"-- ,6n,,'v I
~"'----~
!,. I
I
« .•.••
f1
. ,
)
r-
PAGE NO. __
DATE
••••
7)
,,
lI
-J
I
--i
j
I
~
I
I
I
I
-
PAGE NO . I
•
DATE 1 I I I I
-
!- -
~~ -k 'l{ -+. J ~ i,~
cr ,, :it" ~M i,
-
j~ -k (•• jH •., I
-
Jt'"' ~M l ---,;!) !
I
~
I
-
.2.'lrl.. .,. 411.:-
J<.
ff, ---- }...'"
';7 , <:
I
"V" 7~'<. /v' .~
"
~- 1
(..- I rr ~
7///
1 K r2.-", ) 1..--t ) ~J~11.-...:.. "$ ""p'/-w'"!-- r
~
--c-
z... 7-' 7.-
S ~ I'."!-o1----l> 'r MIi: 2.-, ., ' 1.-.:: '"
K'" I!.n-
:z 4
S'k"u'L;'twJ. 3>-101..,,IJ,,6-_ "
& 2 df"
'C_
-
--r:i 1..0- -10F--(9-
3M « .••• -d.-tV
•••
w." 3()};
" 3M
---~
-.
I
I
-i
~i
'l
; f
C
t
h
l-.,
L
,
I .
~.
~.
•
-1'1-
~.ti .J.:)I.- _ . x, ~ 0
J.-I; 1-
rA:"'" ~t-- M~
- <.'
tiM
---------
PAGE NO. __
DATE•
I
2.-
} .• ~3M
L- ~JbK 2-- I..-
VI = UJyv)t-,
I.~-..,~.-
l-
I K.'A. -f
V
-16k
5"l..M
I
• IPAGEN~.DATE ~
Wt)
,//
i
tI:
!,
I
I
I
I
I
I
~i
d
I ,£ . - (vI l-)(-
-~
L
2..- M
'j
~j
I "Z I
2.-
'"
) K ~1..-_ .l.
~ ~
.-t f f. ::..
z.,
« .
'I I,e ~ Ik t.
z..
J' S.}j.t1.
•
PAGE NO. _
DATE
,
I.
!
I
I
I
< <
,J
•
il -.
'j
I 1 1,

I
// ./?
I ,
i I
['
I
• PAGE NO. _
DATE
I
J
-,-
I
I
I
I
I
I
I
•
(
I
I
i
1
!
PAGEN~ 1_
rJ2.. DATE Ll-lJ
N + N -z.
& oU'
W trvvt
N iN" ~~
oJ.,ffil .P
;bJVJ,
N z
II
o
I
PAGE NO. _
DATE
/
/
.~
« .•• I
wT, z. "2-
.3
'2 2'];
3W
'T; -,. '-I~
-:II .1
PAGE NO. _
DATE
•
,~ A
-
i I
i
f
r
t
l
/'
/'
A~A
A, " ._1
b-
~-~:l<.8-
l;>-
"At _
1:;'--
T' -z- U I, "1
r)' '- 2.-<-u
•
•
PAGE NO.
DATE I I I
I
n
I
I
I
I
,...Tkl h"" '" '2 ( 7 • I 1
 'ZAN 2.-W J
/ I J I
c
,-----"1_- ;~
, L • J J. . J1.
) (~l ....•A,d
L"Vb' ~
«'Xz- A ":.-fv/fw+..J thh,t-J.'L /.
(:;) fi.."l- ('5""A k z -~ [ , viz C>
"- A I W, ( 11 U. ) •
/' I
r :: A J (_""'r!hl
(1l 1. ~ 7
.~
~
"
i
I
I
I
-wA
+.J(.,
PAGE NO. __
DATE
•
III
I
l
fL
I-
~
I~
!
o~
W
k..Jhi1
.U:rM f .
: .
,"
CD
~....
•
PAGE NO. _
DATE
•
-I
I
iI
I
I
-Ii .
!,
f
I
r
•
PAGE NO. __
DATE
i
;---
I
i
I
I
i.
r. 2,11 '_ 
Z, 7-
./..•.,'. •••••• i1"1 g
j: ~ i.A 1
-- -
i.-.-, F
}..,
8
:::0
~~.
« .•••
I
I
i
I
I
I
j
I
1
~
I
I
I
l
w
~A .
. H..
F
tot/<..
• PAGE NO. _
DATE
II
I
!
.!
~....
. I
1~:;EEfirl Ii
,
,

fJ '/
/.'
/ :
I
/ ,.,
A I
II
-,"":"" K ~
Ih- r yY T T r ~ ~
"t- J
-1<"0 C; I ..:J ..d n-..:1P,., 1,;,..., '/ ",1& IJP;O'~. AM-'.
. rIM rio
! , ,
0"" I J.Lt 11, . ,1" A t.'_ ,
.
I
, , D (/
i
,
:,
('I. ,-1 JI~ d. ~ eM,;. eM.1):
, .,..
Is II'
, - --t
2- z..-
( 1f~ ' ,( I,
" l, '" f4~"""" J !
: .
f
rr~~ 7 .J-1<. ~
;
!
0- --1k / /
,
'. ,
V
/1</.
.
/ --
'--l ~'
-.::;::~,
~
.,~ s~ I
-;-
,
,
,
1,
:
.,
!;
i
I,,:
i
;
£ .
,
,
I.,
0 ___
-
•
0-:::" r
A
t
. I
[:
,
IJ
I
I .
I
iI
-.I
'IPAGE~DATE
~ -----
( ~. A
(
I
!::~:I~,
-
,
-r~
-
,
Ilh r:;-z M-';."x.. -
. (j'1 r10 M') "It I
I
I
LA L' ~-.- ,I; 1
, ~~
,
! ' X- I
-p -;;' 'I'.. 1,. J..':l,
L I-
LA '1 o.}I. I
'0[,.-
,I.",.,.. ,..--I ~
~('/~Lr/' r'J~ -:;- ~ -J-X A"Il " ~, I1.
/
n0' LA'11)
"
r
--
I
I
hL " ~ 1.-
i
I I
2 A'1
-I,
l
9-. -{Z • " •. .l: tt.'>----JI 11 • A .•.• .n~ J A. ),~n--11M ~ I -,
i
,/
~t,',t,.:. I
,
J ~ C
c
r I X-, , , )'
IJ1
I
I FH 01'1 H 2--
'l- L' •j
I 1%
~
f - FC tx'J.< F
(- <---- l'" T
L t::r
1-;;F (I-"Jl
I If. L 'J
~ ()
"Z
F f'}'+UI,
~
LA. . /
.
~
F r I -r'o1.J ::. clot
..
C- ::
I LA '1 M'k
, •
(0 rL.,', ,(~fLil1.1,tJ,j
0 <l ,0 - ,
o i...-f><"1
- ~
. F
L ft-'1
.
,
•)-<. ---l ,
l- L----
!•.. ,
.... ;..
1''' 11 t,.:,1-
2..(.....
bL"'- Mw""
2..L A '1
I
Mw'1..L"-( 'l.
.3 boA ,,{
/ : /./ /
A./~L
M",
j T"
1",
"'-
I •
[::~:IIJj-
I
~~ Fi-
-
1FlbL- !Il
F1. A'll) L -
L -
'- f~ A'I'rI.
I
t
I , --- L- I---,
r 1" ..•..p.."1}.' - - Ii•
l- I
I I,
I • , -;.4'f -x. A Ir ,
~ , l- i, ,, , ,,.
I' , J t>. '1-'<" ..l> f{ 11'f'}'I. ~ I
[ L- ~ 0
,I
}l. c t% L-
• •,
;, ,
f,
bAY
, ~
. ~"~
T ~Ln-}
"
7
r
,
b ..$
D Af-iM~ _e~ J .,. ~ I'l L
I O~,.,.t.;' MJ.
1
I
I
1 I I~ I 1/ //1/1
, ,
T 2I v Ii ..--:
. I, .L ~
, !
,., ,
•
~ Si
,
-, • 
•~ -It .
'c .j. ~,
- .
'-(-z- fL
p)t.
•
r '" 'fAx. ~ K, .. 'U
:
L
'56"
~ ----- - -~-- --~-
(
I
T
-
I
PAGE NO. 1
DATE I
!
Iv
I
- YA .•
'th' L
,
{:l. .t.'
-
.
n - , " 1 , . ri" •• :f,
--:
/
- 00
'. ., q ~J
••
'7f
,

-
,
U :;
,
. __IVA  ~.b.
I
• !
i
1.- l LJ
I I
/-== 1)
. I T
-
I
.
V,A
,
, Ie:::: L
,
rf~J
,
-
- " -
,
U. IY,tC.x.1.- r
!, I
. t
V
't -:-c
,
At-
, I
 '-I '")0 11-
,
l..
•
,
, '}<.
~
L- '1..-)
I'
,
•
ItL I. '1. el.-
F
i
-::.
I
<..-"
r .
'-I-
I
,"4 U,. n,' • 'I Yfll".
a-
d d"
-
• G
I
I
,
-,
J, ~ , <J f
:
(-
v
-
!
{,
.
j
i
'=- ,
.•..'
i
a-
~
L- 'i I
,
f
l-
i
tfl__
;
L.... 1:,. , . D ..•.. '
i
,7 - n ••.•• " kvt ,-Jt,. • I
,
'-- .. l-
I
:1-. - ,C/O".L .
j, ,- ..D.. • 0 ~ • ,0,'_ I
L Au::
o f, ~ ~~
0
-
1 'Y ' tit> "'-' '.-
I
L
---p
!
l. L-~)
, / I
M,l-) A ,i )
I
J.... _I
.1
-
1< 1L.-
a..•.
~
[ 'l- 1..- L.
IJ .•. t'3 '-.J"
JLvA.'1
PAGE NO. __
DATE
6
a- -:: 'j,
At
w<

I
. :1
. 1
I
1
l
I
j
I
!"
:1
(I
1
----------- -- --
I.,,
. I.
/
l,
I
l « .••
I
L .
E :::bL
-L
•
PAGE NO. __
DATE
- /
J
/
•
I,
11
,d
PAGE NO _
DATE
.-------
.-.. (S; •..
"J-'t.
--
Z- Ii}.. F
L-
.~
!
! a-: 1; F '11.
1 A LA
I
i
.f "- cr- )1
Ii '1- LA J-Y..
I
'I .
Ii D
..../
,.
i 6i..-z.- Lrr
j LA l'J.,
PAGE NO. __
DATE
I
2.-
) - ~ 1 _
l/ D
-
. ''-.1
1- 2..",
L.
r Kp
L LA '1
_ J.1.. 1..-Ks ]_1<- _
2LAY[ 0
I « .•••
LM
Al'J.1
I
I
PAGE NO .
..
DATE
Ii
~;
I
I
l . "
- - d
,
f
•..
••
- PAGE NO.
DATE

v
v
J
V
, « .•••
I'"
I;AGE N[rrj.
DATE(J
,
-----------,
:
1'':
I
I .
!
- B -:1c _
f
- 1
S
'--- - - . ~
• i,
I
PAGE NO.
!
DATE I I I
I
I"(1
- !
I::. t1J.- / , 7 ;I
U
i
1-
~
,0,. ::.
I"? , .
A I ,. ..:;,
T;{J"U
J
.
 
E' -;: h...~ ::
"Yt,
•J -
[)Ai -L.
-""i)(, 1.A
.
/l-
Mn l.-f"( I ::.
r "iA - I
I ,- I

A'1
~L
.J.. : v., J.. }1, ::
d ) ljA'f .
. .

. 1-1, .. 5lixL'X. -;. }(, + . .":"
-
 11A 'f:
J<.".' -;. J:1 - I1A'1
YI
:K s-L
(' L'Yl_'. .:j,,'/:1
f
I
j(110" 1, ~I'I)/";f.-r f) f rrI 1,,,.lb. "'A.J L A
1 A " n.J tis J i
( """" tl);A A ~ tI;f."
0 I
]J (J
I•••• Jk. := J .- - £S
£,
~
"'--
-:....
. -- - .
-,
k -==- K +k
.1.
- rt Y7':R.l-
- L
}
~
X::: L
.'
7'f 1 f("l-'
tl
u 7(t.I -I -:-
2-
;
[ U Z
I
~
lJ-:: M '-,1.. i-
II 
--
I
2- 1.1YM,1.-
PAGENO. __
DATE
. I
'I:lJ
,
(." u(1
P1l<)e No.
Oete: f 1201
"
M
-,
,.....
Date : I' /201
, .
( ,
I
. (I
. . p.,' . Ao Q-=11n-.5 e ,Itk> .
) . .
.I
{. ~.
i~
I
I
••
~.p,q. No.
Dale: J 1201
1 cr ~1'1 .2...
o-=='i L

. 4 Lc<. D T-t
.~
.,
<..,
)
bL.l..bT_X.
]/-
---~
I I
: i
, "
•,
: .1
j
,
It
!I
J,;
~
J
"
'I
,I
.1
,I
I
-,•
-,
,
I
4
;. .
,
/
(.,
"""',.,.
Dete: I 1201
l'
l)=t3 il>T)
•
,I l-Z Y 1+3,(.bj
.L>V
V
.1
-I
I
I~.
I
~ . '.
j
1
,
(,.
P.,e No.
Oalo: 1 120'
I
. Ii
'I
I .
I
:::
. ,
..
. L '~ l-  I ..{, ", ....,
.. ./
A
- Dale: I 1201
'Ji
N-<J)
.N
e . "J.) )
~.
" .,. L"f';
,
,
I-z.. L7
,',
I
I
iI.
I Dale: I 1201
•
, I
J
....•. .
..:
..
J1 - V J
T /2- .L
-:6T
.'
.. ~ D~ :: Lilt I"
.T 1,ft. 2-
I
,I
I,
l'
I
H
jjiI
'.I
~'--;1
ji.
II
n
~I
I.!
-~
.I!
-"
'1
-!I
j
4 ..1
---,,
f
I,
I ,
-I
----,
I
~
I--'--, .
I
-!
• ,
, .
..
C' , ,~
?>geNa.
Dale; I 1201
I, T T
~2-
£: C;
l
l
I
I
l
A
J'
~
I,
•
,
(." ""( .
Paoe No .
I Dcte: I 1201
I.
I
. -In .,
'b ~ W,k 1unt~w>ofm, ;tN~.C llh"~ 4twv
•
I
U
I
, .'
JA J
..~.
. ,
~~d~,
::l +,: ..
.-
- - -- --- --- ~
J& ~I ~1'1-.
d.t R.T
{&1::: K-s:t< 11
I
I
••
=
C' ,
f'age No.
Dale; I J201
o
•
i
~
.. .
•Oc.
-- . •
ll. -I{(jO -= 0
-: a
)(-Ia-o = 0
.' ( i
""" No,
Date: I 1201
II
i
I
I
I
I
I
I
I
&J'
I
I
;N
I
•
l<;) 'X.- - 2ml "- a
U -loJ.'l.-'~'=-~
J;
i it-- "IV 1" ?-t-l~ i;::
,
Ien>v'
I
311.- -10-0 z.O i
-t~ =-0
ill't)
2.- I
I"", v' I
I
I-I, 5'~- 2-"}<.. - 11l'V ::.. 0 -~ !
'~
:1.
-,
-S1Jl-:::.
-,
'j
J
'1 'Vdi-'1...
!'
I
- - -
""" No .
. Date : I 1201
,
•
...

I
INut, I-
I
'"I
I
I
/
,
I
-I
q
.U'I
U,
~~1-_-
Date: I 1201
~ltiW rstM: 1tYol &"'dw:Wn
l<
. -
. !
"
4-- L------3>~ u, I
;
H
 J(f 1::::1[ f,,-z-,
"
cAt L
I
dG,
/ 1.-
.. . ::. .s;~(1,. k.
H L
I
'.
,
- ~---
t
• ••
f'>o;< No,
, Do1e: 1 120,
"
I
~ iZ:: 32.- .'3t
l<.A 2K"£ 1.-
3e
- 1. -e
k.A 6~v1::.,
l-o :::-q: 1
J-{.L"
L-j a L--4
• "c...... -r-----!
"
I, ::::0
-I'
-, ,l 'X.. }(. -=-0
i
-
I
~
6JV'l X k f::: 3Tk,A,
2.!,... 7L
~
,
o
{ ,
, -
[I '
• .(w~U,,~ ..
, - p"ge No. i
1
(Dato : I /201 !
I
J . tZ-=: I r I _ I '" - I
L ~1" ~ IZ 2.%)
['
.N.'
j
R' - 1. ,
- 'ih-~"K
: I I..
r 1ft ~MJ D 'D' .1.'. 9. I ,J.l -, ,~ "fJ, •JiI 'oj ~ I HIi
h'
./
l
Ii
0I
I - . -
r l':.'-
I 0
 ') I
-/0 - . /
'cltZ' ~
L-O 1
i  cl'l-
, I
,
k 2..1xt
r:..
~-(J ,H,I ::.1.-1
,
'(J
) rI '" :.
"
~,
~v 17r;'y:..J..
-fJV
')'.
',..
R...IJ ~  PA/I r Z,t:. 
"OQ 2.-.'1l<..e. . [fCi z.'
"
IZ II -= Q.v..i..-
'1l,)'
l1;ki
, I I Pv, J,'".t,~. . . I
1.1
'
I
,
~, I
- 7
~M:i'viJ..
ji
,i"
1fI,~;:;: ~,d AL.r.2L,J i'lL>.- ~. -h. eM.. . ,;"''' ,'J..A-
I
JI
I
~
u
,~gO.,l ",L •. ~".f,L'!.., (aL.oL,f.:..• ~. !I " n. JA J
,- ( .' V' 'w 'I
0« . ••• I I
, / !
~' '''u ,. f
,
"
J. f4
~.
. 0..."
I " , /.->1 ~~''''~ ,••....• r,.......•.
,~w .)
"- I
, .
:,
I
, __il_ I
-'
"
,
I.
"
~.PaqeNo.
Dare: f 1201
w,....
"I -I '_
.)'w1v
oll9.
eLi
.) .,.,. -; To -t t> T
;,to.
J1
- ---------
(;
~I•
rv,"'b(•• ~
, F"'l'l ,.,. ) ),
Come: / /101 ..
.. .
,
d6- _ ,c_ ,.--FI r-f ~
• r =
I
,~ t:> 1'1-~,. 'i
, olt ' L To-I ~
- ,
:U _rH.
p
L>T« 7;.
, 1l
,. -
-
ot& .L-f~crAi/>bT
~
-- -
I,
J:t
d (}. _ L-ffiJ AT. 5 (1:- 1,) " (f)
-
.
J.-{
,. f-
,
.;
c-
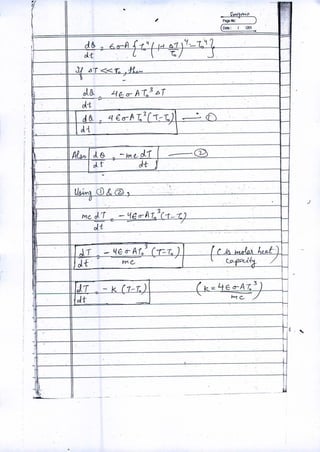
I, ~ cl&- me..- ol1 - @
I
olt .01-1:
-
. !,,
- -
"
, !Ii
, I-
"
UMm.~ cD,t~< - .
.
~ ~-'. ' .
/ . u
~
- .
Me J T -Ye"AT. 3(--r __--r.J
/
l-
i
oIi , , . - _ .. ' '.
,
Iv..or~-
,
Jf L( G ci- A r,> (-r:- L ) , (' 1/ P
i, -
Jf'
~ ,.
.Cs>-FU~ 7m~
!
.
,
- k (""~T..) ( I:: '" Lt E: a-A 7:: 3 ) II JT
oIt
/
'-- -/ II,
Io--fc...
,
.I !
J'
I
, '
.'
..!: :.-
Id
,
-
" '
-" '
i
_; I
"
I
I'1'1 !
~~
~. --- - - ----- .--- - -
--- - -- ----
, ..
PAGE NO. __
DATE
I E '~
;;.cr 1:1 'i
..~ ~ Ir A T~
~, I NJ-
?mt -:; r
.~ f
..'
rI
~I
::: p. .
4
'1
, 
PAGE NO. _
DATE
, 
; t
•
- ---- ---
(
,
w
- PAGE NO.
DATE
I
I
l
.- '.
"
~ • ! Y l.
~ -.:.t-~c.h.b">1 .
,
PAGE NO. _
DATE
,
.i
'1
,.
I
,
(
r
PAGE NO. __
DATE
tj CD
5
.t-j -K @
b1,
ilt _
'~1. oUvt~ ~
S -J.g-4 , i
Dt -z. S)~{.l
I ~
I•
I
,.
I
j
I .'. Ii= Me..
PAGE NO. __
DATE
I
I
!
L
PAGENO, __
DATE
r
r
0- 'X~"
« - •••
T~2,.-0 .,
1-2..0"2. '1 - ll, 5 T
,-
l3,)T~ g
""t -;;- -£ 'ls-e-111 0
.J;3-$
.
I
,I
~
I'
~
~
I
•
I
,
I
-
I
J
I
I
••
PAGE NO. _
DATE
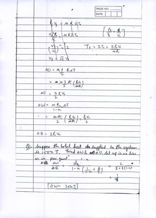
.210<> J & K ~ (4'" '1z;n, -rJ. I5ll K J ~ 1. 3LJ )(I~S
(J / ~ -0- ' "3/t;
, M, + m c:,t ( 0 -ILl -1- h1 6d G.'I (0 - Tw);' 0-__
i
I.
I,.
I
i
-_._---,
,__-3. &L ()-'1 1LLaX
, 'J
l
I
t
!,
,'"
- ----
J& ~ -.kAa .J
'.X-- ;
ett9- -=- 1 elK L
PAGE NO _
DATE
l_
I
PAGE NO,
IDATE" I I I I,
i
i ,
"
'7- ,,.
j
•• ,
/'
1
i-
-
/i
, /
d).fI
/53_- - 
(7I , . -D~ I..
-
./
~, -- , .,.'
T •. , ,.• I,
00 ~1"' I~~vI
-U"
,
1 .
[ 1./ .•.
I;
I
-
,
- , -
.
J..
J
-,
•
.'
;
)1
L L
~
PAGE NO.
DATE
htL.) it,p ,
« . "
T
I
,
.;
I
I - z.. ,v:-1.-
--
N
,
I
J
t.1
I
"
J
••
PAGE NO, -
I
DATE I I I
I
!
• J
-
r ~ur . "Ai .A. ' J;, .rl ,t".n~ I h'r J. . L. Z ,
At T
I 0 • 'if ,
• :.
'I ~? loA ~ _.(1)
I~
DO I
." , , >.t ..•.(
,
-
61, -=' 2L -,([5-,
,
I
:
txt I
.:
- . II.
~. ,
:: 'J>t.' ,
" c
bf:
,,
,
r."
1-
i, ~ 'l1 ~ >t;
!
•
L I
; .,.~
Ir
I
I
F~ 1-
r:::;'
I) ~ - m 2. "v'
l-
I
I
I
, 1.- ').-
1- 2. 'l- 1-
2.-
,
;E... UJC =- z:V ~ . - ~!. -:oS
!"i+V~ -t IJZC7 ~".-z;.~ :c " I
t [
3 j
I,
N~ L-
(c1) !• ~ :2..) z.  <:-.)1- --r
. ,.
~3
• I
~
Ii
3,
f
I
t
v.. .-::: 2. Cli '-I
,
'J N
,
,r/2i
,
- ~~
""
:;£).1- :::
'l-
-r?)N .t,
• 1--
- N ,"[1-- r(;J2... t. .~
:
--2
'V .~
;
PAGE NO. __
DATE
~- _.._--_._--------
I .
I
f ;::. r G I
A
~
IL'l-
I
1'1 .2- 
::: WJ I
(l' ,]
~
- 7
z 3P
f
.,
t
, .
,
-
PAGE NO. __
DATE
I
I
"
1
2.-
C •• 1-;
'v'
3 «1
M
)
I.
,
.. I
I
PAGE NO. _
DATE
. ,
J<.f~
~ 01 i~... I~v<J--:J 'v,).
•I
I
I
t.
T - I
2-
•
•
PAGE NO.
DATE
----,,
i
.1
!
o'
f
I'
I
I
I
d& ~ dU+
II
--,
,
~.
I
I
, ,
I
!
I
I
I
I,
I
I
.;
I
,. I
,
~.
PAGE NO. __
DATE
I.
I
- .i
,
- - -- . 
---- 2.
« .
.-.J
I
, PAGE NO. __
DATE
v"/ 0
cl~ J T
v "'
cJ.v .  v
J.: I-)<.. 
r.olv - . 1 fv
-J,r
b
(I-?.) T
V ~
d, I-x-
~....
-
,
, ,
.I::~:rlrl- ,
I
I- -_..
~ -bJw
,
.r._ !r
!
:
-'v
d&. -:: dw -t dU 1
I. :
d& ~lN jV
!
-+ 1
en JT Jr II
cl~ .dvJ , ,.ill
- 
-
JTj,~ 01.1 IlMAl J'T / ,..;J
I.
I
C~ -lL -+ r ;
,
v I .
i
. ~
f-- I ~ (l. .1C.", ::;
1-><
,
2-.
I•
.:,-
Ir
NJi :- ~ IV ~ D) -?- V, Y. - f ..V.
0
I
~ ••• A ~~<.. n.A~J'A.A '.
f
I
v- .u I
)7fL Ie
.
bU- m :ft,,1 fl v[) f I
V "- 2.-
,
:
I
, .oW=-,tYlf D ') ( Pl. 1.1, - Pi W) II
)- x-  ~4y1...
i
1
D&z- V1'f... '.1- U ' 61 '> (t Vc-fivi ),,} -l-
7/7 --~ j-'){. L
;
,
,
I
~ fb
t.I•
. I, l
,
1.
i
I
"
I DLJ::: f «/y. D
I ~,
bO '" tlJ'~r flVi)
5
~
'I 'Z (:db V~) 4 f.v~
u c
~
?/ "2--
~3f.v?I II DW -:::-
, w
i :1 7.--
r w
r
11 b& 1..- £f"v.;
i ~,
'I,
W
II
~.
•••
,
v
•
t
I
II
II
I
DU -z 3 f. Vo
2--
DW"- fYlR-. D:
1 ~J'L
-;;
~ f.vD
2- 2-
.0(3..0.- z.-fu Vc
h-M. I
J ~~I
~
l- «
~ ,oW I~' 1.- 4l
~&. I-},
J.- -t f 1-t H k"')
I
U£
L'lW1- ~3
IPAGE N[IT]DATE
I
II -
J
-,
b&. -:.-1PJ:J
IJ V 7- - .2. s-o J
I
.. PAGE NO. __
DATE
.,
1.-- 'D U
(l-Y) f
5/YD _ ~ ~ .s'(Jb
-5 3.
__ ' ~~~~'Cp¥tlM 8y1 0- f-- voLD,alu> tm
No-t. ~- fv .1
~. jrl ~
z <A'W> •
-  cl P =-0 f J
,),1/
riP r
JV v
2-p V.- -r .,
JV1.- ,tv v
v-- _0 ,.
-;:. !
I/V
/
••
PAGE NO.
DATE I I I I,
..
,
et1-p ., - / JX f'i -l.,. V'-:8-
I ?:J.if'-'
 I'D .J
I
-z... ' .,
-
(). R.lJ ~ nl. J1.u r  A..--I. 9' <: (~JL
!J 1
rV r1.- -z. r
.
4,
.
I-
. f. , -1> V "'1- , J P . I. L, I
[,. f;1?-", ,
rJ-V ,
.l. d-f 1 - P ;I
, I (}v
; 2-V
i
, ,
Jp ~ '
[V'&l- fJoI.v"" - . z.;J:'.;
z - 1 (./. I~~
2A,rvl lvJ
-wei
.
r (J
,
I
'"I
J ,
'---- "
I ,
•
, :J
{Q. tl~~d. /-T: .'l.,-, Ctr< f 1/Z. r.lT>'"> t •
/ d I
P ,( .. )
' 1.-/_1 'Z Ccrw> l- I
' I -V'1.. Z. ~)t /
V 1-1-'2-- UfWt. -I' ' I .Po ./ ~
-
I  ,
5
rj
,
I----_ .. _-
. ... .,
J J./V __ Z. -z.
V c:l.T
~ iY I .fJ +1V11.. f
11'-1 -+ 11' •• ,
I.
I
I
j
I
I
!
j
1 .
J
II,
I
I
IPAGE NO.
I
I.•
DATE I I I 
I
; 1."n1uv.ie.- ~
I ~-;.
""
k{ZI ,
i  - J.1. V
UJ'Z- fK ...f
2--
,

Uz.-r-" t-l R! .. .- '2--) "'
i f .
-
D&~ Il' C.O Dj .~~'-. Ig£
~ J j
i, C~H" C~ I
~ () U" Nl C. £:iT
l ,, ,, I
•
,
,
i16hJ= M f?..D.T 1
l'
T.•_JJJN:c f4-uM
I
i
1
(~A -z R I }t:.. ,
-
-Y. 2-- ,
-
~, ~ '.f I(
,
z. r
Il' C. b)
i
.(0 ~ ,
C!)::'M('. D)
,
i ,
I , v
DhJ =: 0 '.
4
,
fA' ,,' tnt;, (y
:
"
i
1k l..,t,' ~ kD ' ~~ kolA "t ~._.k t-
. . .•.. sb, dt~I a-t D'" 'AI:. i- f;. •
, v
• -
J
I
[PAGEN[fij,,
I DATE
aJ,._. u.1i, JY
- ,~ ~'A
/
V-... Cp
I'
ev -
~y - (I-- tJ ~
I:
'f~
- -
~y-= hL
J- I,
l I
• !
vi
I ~
(-+ 2.- S I.•. ~
f 1 ~
.Ie
VJ~
,
=: 1-+1- 1  I, S- 5" I
;
V~..A:.;t.. I -f 7- 11 I,
II b
"
-
3,
f--. .
c;'&C,i~ In '~J. rd- Y I
f I
• (-11 Iv ~J- (' r. c
"!
iI
Cy ~
I
!
r ~ [~ 1 G,,- «(l..,
,
I
y- Y-I I
•I
.
.
C
I
tz.. f-... ~ .
1'-,
1- X-
l I
y- 
t
, I
. I
I
I~
i ; I,
-
'- - -
PAG~ NO. II
I DATE I I I I,
- -!
1)--I-L ~1 J!
,
,
I
C,.'Z- ~ .1. ()
,
l-"-
T~'
I
I
2..-
eT 2- CJo
V1+- (ll T - f
,
I
I t>U-z I
- !Z, .
i
. I
, I
tAIN z- r.)N ,
I
f-o Jl' f:..I" .
V ,
"J... .w:: Il1~T' IN,
1/- VW
,
-6 h.b D&"'JY1KT~ r
W 1 - •
, Vi / ,
f, IfI "-V,' PI'J ' ,
6W--=- D Cl.-oN1 fZi~ I f,. ,
,
I I f.,  :5 /.~
.•• (iV,' rJ. Pr.VL
~ 1),
.,/
'--
I
-
,
PAGE NO.r
I
DATE I I I,
I
-
~
lu;. IAg,O; 6, (1~h(fTx~ '" _'AA J !, 'T /
-
dQ-o t:: cJ,.u ~ ,.J.w i
I
- I
r
I
,
~-z:. - .,.lW .1,
/vl ' (Z. -f.,jV
-
IrlTo:;.
Y-I
I
f-.. IT AA R'T J. V IIYl Z- 1
,V-I V ,
f-
~
I
1 Jv I
.r:I.T . - I, ,
V-I -r v ,
. »'
y"" -r z: _ iM v--+-"
!
1
U'-I)
,
TX-I V = (,o-W;t _ ,
Y-I A+-I" l - I J"nA
lPvT
", u,.,,,jl
,
rIL.
"""c,,- IZ.
,
.~ , -0 ,
k>-'- "i-I ,
.
. ( cl. (9. -=- 0) :) l:x~Yl.
•••
l bU-:: ,M f f:,. DT
I -~
,
~
i
L:>!"h - /Y..I "- 0 I
r D (3. '" C!
I
7_
PAGE NO. __
DATE
fy -=-
fMf-+Ykl/-::::1.M.
p ~ -V
r deV V
Jf _ yp
Jv V "
-
,,

,
-. , •.._~
" - ... .I.T£
,',-- ",A I>f
v
('" )
(~-vt'
w
PAGE NO.
DATE
v
.,
p V "
A fa Va ~
{l; 210 Wa
.Vo
e- o ~o
Tt
~ g -;-' PI/- '.:;
D) ~ ",,;- ~ b '" .
v 2-
•
. PAGE NO .
, DATE I I I,
-
_.
-<6.4 C
.IJ U -;; !VI. f R.L> T
2- ••
f" S M rz ( -If. v. '
2- l fY7. K )
~~ s-F:,V. •
~U .{')W b Q
A- IS !S F.Vi ~.f,V, ~ V.Vo
z.. Z-
6~c. -<iPoV~ 0 -r-fcV.
c... ---4 P _ ~_ {IoV'. .-1;, Vo - J. Po Vo
7-
.-
~"W ,~ f, V. -I 1e2LJ&--= V
;£r;. vJ Z-
I f.VD •
2-
Y) "'-EDW
- I
; :f£ L,(5),. Ig
-
cL A ~M t/){ f'.o •• k n. 1I.J.n f> LJJ. A I. _ ""A -I£,J .f-V,/ ()
'i_,~.,14. , (7g'" n1 ~ e~.r.:~,. fi-n
, l 11',I~4, , J. fI. f ~(.L -JpAn. 0. ;11I fool
-, ,
I
Ii;;, }w, ~ • I. -
~ , • 11, « - • 4, -----;-.. ;
V-~b . fl- do I '" ! ~c.
, l~ I-Pol P"
.•..•. J:;
. .-
r I/;of Vo ~_'- v.PI- db;)
f j>/v -h
I
v. L.¥.
.p r v•0
1
f
.!
! -
1::;EEIIrl I
l- .
.- f~-c:; - f, . ('X-- Wo)
(J
I" . ' /
"
,
- ~ , v - 3-
Po  V..,
.
b
I
M.~ V .~! -
I if;, -
V.
,

Mf2... ('-.j£- T- I
" / cAT ul-r" -
""
vv ~
-r v. . ov J
- j
IY ,,1 1
. I
:
I;, Ii 1- - V,
P J
r.v VO
V,- 3 Vb ev./ J P,,:, t.
1- 2-
T ." "1
f.,I"
4 tY1((
i
!
(Q., T_ n~''''. ~ •.• L J 6) rl""l oW ',~ c..--" g
'"  V f U
l « . •••
I.... ---
,
IrJ "L W -'
- 0 +-
~ O . "l (; R,V'0
. f'-
~'Z-
.-z
3 -~-I
7..- 1-,.
L)('0.1-1
:? ~ 1)(0.1 El
.b &- <'- 0
.--- ' ~i: ~
/'
tf~
....-
D()Z-Q -/'
~/' ,/
-D W =-0 . • W.,Jfu
//
, .1
r

,
T,,'L
/Oj
1:. 0 b
o
I
I~
I
!
)I
'.
T'Z- .
« . "
. '
r!
I'
I
">, '" i<.<:. ( ••
~ I
'
PAGE NO.
DATE
h 1
o
r I
, J
rt ~
PA~: Po A '0::..",
f 'L poA +¥:-)'{.
i P.
d:w ~! P. dJJ
cLvJ -z...i f.~-1- )<:.'" x J4. elM
, tYf.J
DlIS . i 1"
, "".
JrvJ ~ R A- i k..... . 04-
• 0 u
I
I
I',
I ,
,
cQ-
, ,./
----.
. i
!
I
1,
, ~
~
i
Ii
I.jli
tl
• -=- faA L. fe AL
2...
/
• PAGE NO.
.- DATE I I I
.~
I
-I
.! .,
~
I,-,;~.
Pt f.+r ~ J<:.L
•.-
A
- ""
211.
VL -z. 'IN.
.
-
•
4U 0:- M.:f- «'-bT .
V
DU :: .:i. f L( f Y, - f. v,l
L. v
..
..oJ ~ . ~ f'lo l P.AL.-
2- -1-
,
. '.
(J, ( k. Ll--I' . --- -r 6 "2.-
j z foAL
'2-'. ...
J) fA. 'l- b P. fH....
&~~~Dn i- ft, ;'l.A..J' .•.••" ~ if /.UI.."l ' .7_ ..!A---
ln' ':.n -¥ Q.a. -I- .,' I 0
0
, 0 0 (
- I
L) N -z. P" AL 1 1 ( {l I h';j "w.W'. I

't I,.J
DlJ z; 9 Lfll A , k L F foP;
~,
2- L- (
z '1 faA L of' f./ 1.- J ( « .•.•
1- 2,
7('fAl-
'o&. 7.. L'f A-L.,
I
i
.
/
PAGE NO.
DATE
-------_._._-
/ / /, / }
I
'I
:1
:-;
1
f, V,
J..J.v...<
Dr 06U",0'
f
2.
f Z p{V+P,-V1.-
V, f 1/7.-
T -;: f },+Vt-
1Z'f..N1
~lf,t f,,'1l--
~ 1- 0 f, ", -+ f,}I1-
,'" T1.-
f, V,f PI;...[1/ ,11,..-'
v of -t f:--J T
,
PAGE NO.
0
p;'-
t
/ / 7 / L-;r-7
1
I
. '.
-t d lJ -.:. 0
,--du
-;:-M 1- tZT .
v
u
I , •••
I
PAGE NO,
,
DATE I I I ' ,
- ,-
,
PP.. :: fo/0 I
0 (Vo+Al')
•
"
,
PI, -;::. Po"'" 1"
.T" ()0- Pm)
•
(PO~e,,') A.dM'..;: iY1+P.-JT
~
/ ~
,
~ rC:J ')I. -;:-t> -r'"rC ~J~-x.::x-'-",T IlI '" tf"
, -r;,{Z.
;
,
,
, . i
;
.
,
,
- ,
l~ ,
,
)
r
~
J
,
l
I[
,
f, 4
~
' ,
.
{.
i
''"'--. -
,~
,
"" .
PAGE NO. __
DATE
/'
-- ./
I',',
/ /' /m ../
i' /' t
A./' 0
~
,.
p
Po (AL-l
vA -/I y.,) 'Y
•
,
-r
"'" ~I •••• >1.-
~o 1;.0
cM-- t-T !YI. t
-l- =-
fZ
d.&. 'II - Tz.- ol:T, -@
clt fZ c1.-r
I
•
1~:;:1Irli
,"-,
x. ( w-. ~ tn., 5"1.-
-otYt
. ~
"'1'
-,
/.,. ~Sl ~~ t--' oJ;;r,
"
"" 1 -!
:" f' "" C, +h, ,JI-aiM ~1.'
- •.. 'Y J ( ,
h...1~)I~: a
I 'tel - I"L.-o ,
• ,,
I-
,,
-
I, ,
I ,
, !,
I.:
, !
i I
. I"
[
I
, ) ,
iI
. I,
,
,
!
i
i,
I
,
I
, I
- f
! I
,
~ I
I
i I
,[
., -
- - !
-
,
•••
-:
-
-
.r
-'
J
[PAGEN[fiJDATE
/'
-.-
- I
f I
: I! i
; I
PAGE NO. __
DATE
-I
.!.
« •
1 - D J 1)~
I,) '/.- lJ
"c.. 'l-- U l'" '/.--
" -z.- j) J ~ LJ
-J --:/Q
!
:I
-,
,
II I .,
-- ,
I
:-j.
I
1
Ij
, -
I'
/'
II
,
I'
I
I
I
I
•.
PAGE NO. _
DATE
/
I ~ 1(n-:) ~ ;t}u
! vo-k 6i- 0>0 • ~ 4 "1 .
.,
1
••..i'
i
"l.-
- LJ1
h Df,'d~J
C>-
•
,.,,
PAGE NO.
DATE
I
j,.
;
. l
,
<
-1~1--(?~+~~2t} ------------
'd~
dy{, -
1
-Cl)
II
I
« .••
./
,
) i
,
PAGE NO. _
DATE
d
-"Ox
"I 1.-
:11
')~! --)
) x-'V
, -
, =
I
./
PAGE NO, _
DATE
•••
-
I ~l.-
- 0 "
J.~t,
.,
I g
.~ """ low>
T <:- 2.1
~I{;
•
,I
I'
;,
L
(1.
"
a , ••
./
~
-,

PAGE NO.
, DATE I T I
'-.
I ~,
4WI~
-
" ./
-,
J ~ ~ ./
I ~ .".. ~
/.
I'
I "M ~ 1 ~(',...,h} -+'71"~ ;, -tL ,hL./
I Y<. .-,",~ 1.11. I o~, ,~. ~~ / ~ .
.
III
r , II
-
.
'1
.
, 11 -:; c;- (.~ { -i. H. - (x - 1" .l.- 1 •
~
.
I
 '1) :s~
I 'A 0:.5 (..A r~ + -.Y .l.-:l • -r< •1
o "' '-J l.:I 1
,
. J
,,
,
:
I
,
.
'1
,
I
,
~ :.1
J~I:
,
.1
.I
I
- ;
J .
.
-. ,
I
r
i
•
•
,
,
• .
l
:
;
~
.
~ --
,.

IIT JEE PHYSICS Class Notes by Ambarish Srivastava (Part 2)

  • 1.
    c NoJ~. PAGE NO._-'---- DATE ./V!.A{ NY1" {1 d2, PvlArYI J +tAm cd}! 'cI.wr; J 4; ,~-f.-l 4/ I 0f.Oj {v I f '2-""" ( '1 """ ( Je>-'" L( CC':» 0 '- l, G.....,') C L --G 2-- v ., I . " IIT JEE PHYSICS CLASS NOTES BY Er. AMBARISH SRIVASTAVA B.TECH. IIT DELHI (AIR 538) PART 2 (CLASS XI, COLLISION TO WAVES, INCLUDING THERMODYNAMICS)
  • 2.
    I. -J . ~ PAGE NO.'")..... DATE
  • 3.
  • 4.
    PAGE NO. tI DATE i'...
  • 5.
    PAGE NO. Ac DATE --------------._- '1.. =1.u lJ '--;/- I 2- + i . -----------------------------A"
  • 6.
    " I" I PAGE NO._~~_ DATE LI" V ~ % 7- >"'V: +~J1:, ~C?2l I :10-1 -::0 5 I5 :::-<) J :: ?> )~ i<-- ~ - I1 '-- 1 '01-:::' 3 I '1 l"" J I)"> I J - I~ ~ 7 S _J ~ ~. "", 1..- IJ )- - -, ;.?J •• -:: 20- - 'J L"">- , . 5.J -:. '6 Vv '--.:ll./' "0>-
  • 7.
    I PAGE NO."7 DATE 1.. :L~-JH'1-~d:fij 'k '<J_t e-<.l: gLvvtu, ,~A'<rJ<- 61,,0 LoJiM &'~ .{. I, ,,,-I .[ , C I I ::. L( 1..- '- Co ) . I LafZ -CD ----- - ••
  • 8.
    :1-.... M,",LUMd oS.Li-{ t..""YU!.a-jvtRi' d ie Cor:... ""' , ---, I---------< I i 10 V>I fs () y- S •.••(J I ----------1 ---------. ,, f ~,---
  • 9.
    PAGE NO. DATE :::0 . I ., v ') . ~ VC..., (j = -) '-t V 21.[ Vli:'1e- T ~ M lIS" -t 2l'-'/V AN
  • 10.
    PAGE NO. 10 DATE t t V.:;: V&' e Co ~ V-.' :5 "- 'Co l( V!.cJfJ I -? I; F " ~-, •••• t: ~' tv-e. ~-:--01-<.lJ, ,Y~l:-!~fil 't-1.Lm.ili~}----,e=-ll".-L<$ '_:- __
  • 11.
  • 12.
    ) [PAGENITJjDATE 1l., . ~) J) 3rj-"T-1 I ;- I I l r Co (( J . e - V- - e. (_lA.~L=O?~e-l) ~ --------------, Ll- '1l1. l' I--_._---- }, ::.-M 0-+ 'm. ~Ub--cr----------1 « .•.• I_______ .1 1 'C"l0 = } •••
  • 13.
    I PAGE NO. DATE --------_..._---- M~ MV + 'M.,. e -:: j""lL C...., G --------- .• 1 .•• LF .~ ."l".-n +b Ail bM«,.,&.~.J. II ~ t'1 L">'I •
  • 14.
    r . , r i PAGE NO. DATE Q:;. F 2.xv1 y::_.,~ ~ 2.1"1 l..M F M z.-p / / / / ? /' ,I L 1( « .•.•
  • 15.
    I PAGE NO.1 DATE _ + 1 ~ <. 1 K • 1 I Jox ...--- ./ j ----j - 11:, f {K , ..l
  • 16.
    • , .. , t., I 5.YI I ::. f{r£l~H I - ,Ji.Vo I~ 2- « .••• , .' I;: K'v 1--II ~ 2J-
  • 17.
    Ij ,- PAGE NO. DATE 17 1~~~_..k.-AJ.1.I"d_ J.t!Y. . '. ~ - --~,'-'/7 <> - 'v"- .- 0 } =- 0 ~ .JG'l. (,'Y<. t . LoM .'. CI"", l r'"" K'~ . ( - 1,:1. lO ( '2...1V 2--'X J?£. /.... r; (_ 1-- 'LVC '1- 1 .
  • 18.
    •... , - l: PAGE NO.rt DATE I I I i: ~ I, ('Q' - , I ./ 1/'- () , , '" ../ - , / ~LU., - " .. , X - ~ II / ,j ! f' 1/ .~ ....1r> ( ~:'!IF : ",-'I-'X/ • I V .) . A ~ ~ I ;/ "" j' I: ~ "'--" (o~ -, '"">: I V(;fVIfJ •......!~~ G- -='. -e ( {,.,(,.,..,& ) .. j LlMn ---1 1 , • L 1. 1"' ~ l' ~ ~ - ~ i , LIM 'I, , , I, , , 1 I, I, I, ; i ; I II !, I •••• -- --- - _ ..
  • 19.
    ,. PAGE NO. DATE 1I t I , --. dr." Ii e.tC' « .••• olt ol.t oA.t f=~)<:i: = Kcl~ cL"", olt oH- ---- --~-
  • 20.
    r i PAGE NO. ')0 DATEI I I r -1 ..-;' , Md~ F;, J- + V, I."LNI- I Jt o1;f ,, I .- G' I I M"I~ f.pu + (t:..- f 'I d,w,,j -, cH .. ~ - " -_.~ , ~ J; . I p~/' .J-:.. rjl~ ;.,1 ',I , : I, cst:. '~l'I -:r ,'( II, I j~'( ,.. k>s. I!. ( ,I " ~ ,'Vd <f, T."I ;1 I (H,.~~ F ')_ . ~u,- 1:1 ~-.O 'J. ' ~ V'o" _ .V' -(f ., "I , ? , 'I' I . I f- I , [ , f ;1 i , • Ii; , if , ~~ ~, .• I ,," M I 'I i . I ,
  • 21.
    " .ef t V JW1 ---oC-!;- PAGE NO. 'l.. DATE -------_.-. liz ( ( •.... .: ! . " Jv ?) vclv-::: -d z. z..,... .
  • 22.
    r , ']..~ I PAGE NO, DATEI I I I I, , , i ,{). /''. I I / 7 "" , ~1 "I , I • I M.- t1 Y" 1 = , : " f' _IA~ 1M I: 1". J=F Z- ,.w.; , Z Cl( I J-t i I, , i ~ ......• ITII 7' I rv, lJ;) I, V'(~h~) ' I M-ol"V _ ~J-0() ; , -~d' I - ! cH () '- / I ! , , . , , I I - ! I , ;,, : I I 1 •••• I . - -~ - .~
  • 23.
  • 24.
    '.===-- PAGE NO. DATE r! I l il -I I, I; !' ir, I, ) I,. I, 'J' i,. ii !~ -0 . , .J .J I
  • 25.
    J PAGE NO. DATE J j. . -•• 1 - I. m,) 1'tz... :::.I I..,. .7- I - 1 h,.~ 2...-- k.f :::- I<:..£.. - I 2- Z- k.£~:: I M V 1.- Z.
  • 26.
  • 27.
    '( zz' ",I'>' PAGE NO. ""7 DATE , 1• / I--r1I-2 R.. -x '-:.- VV1 m t"V I ~ 2"",t V 1 t'L- f met.. -I z... -z. 5Wii"l.- KE ,-:::3 1-1.~.'l-- 1.. ••• , j j
  • 28.
    [ c-LYY ==- M l'f-...'- "22 1'1;>(.. ~ fZ.v « . ••• PAGE NO. '2tS DATE .(, , ~:. - -
  • 29.
  • 30.
    r PAGE NO_ DATE , ..: --,-----' --- I 7- ---"> 3 10 ---- a _ "
  • 31.
    .., PAGE NO. 31 DATE "'Ij . 1..-... l:j' l.- I ~c .')-(. L /!; .~ 1'1 I- '2 1'1~ L
  • 32.
    r DATE , , ", 1 , .~ - I 1.- -z""" "I "2: 1.- - . • = 2"",. ..
  • 33.
    PAGE NO. ~:: DATE GL.~~~I J { i , l- i- I I ii I 1.- 1.- 1- /l}~"I -::. Mv z.., Lffvl~ - 3)1- Y . I 1-- II I, j "'-
  • 34.
    l pAGEN~ DATE ~ ,.(, .,.1 l, :I._l'=I ,,---tT 1 ".I. -0: M ~"1- Lj;
  • 35.
    , , , f PAGE NO. 'SS, DATE I . :I.".", =' Z"", y:7--- u f , /..- Lyu":: :2 ''''i I(i i ,- - I :::(-7_' - L "",' ( r u.1.- 4- W ;. )L--- I . <J I / I • -I I7"7/":: 5" "" . 'Ii .1.---+ ~ WI • ,.,1-I I . , O' - I " ;T .,... ~ ' l.. I - <:::.•.....'')1' + "".l-t. I u ~ I, ~ ~'IAJ • '. ;""' J -1,.'A.+- .vi / , - f(<...k.KIA '9 I l'-'1 L-l..- .. V -', - ." / -X'f. ' " .---1..- - -... X11.- ,,1- '. .'" T ;: t1 LL. • " r-J • . 1 , ,,1 7 v 11.-- J -:0 'rc...'1.- L. HLl..- I1Ll.- r, /1.-- 11/ {, -- (! 1.",J '-- - • .f IY1 J:", d,;, •• L • of ,J.' ,0. -/ ~ "1.QJ I --S~ - '2.... .L. '-z... l1t. v ' / " ;- -( f « - 'T z ' 1 L1- / ""-1.--- .... - - ,
  • 36.
    1::~:N[fij , I 1 !; -- 71I cx.- oJ 6. I :r a . 'r I 2'1-z. HC - ~ '..- , " '- J: '- L . " (l--- / ------, I , 1-J it iJ-q., I ; ()
  • 37.
    I I I' I I PAGE NO. ?:r) DATE "1..., 1'1(1.-H IJ-.l- - '2- - L l.-- - 3 l{ Lt ~ lI ~, 1 ••• I CJ. J I "L- 1 'l:. -::M~ k:: I. 1M -I i-i j J I 1I
  • 38.
  • 39.
    "1 w:l- ((1.;-H 7.---s- -f, _ Lli nR1..(..Jc,-- ~ 0 PAGE NO. DATE = ,I
  • 40.
    PAGE NO. DATE ,il ry- .;" +--::f -.:}':'+LJIZ ~'-- _ 1' ~ I- ~ 'J i. -+ -;- )(j Co-,(J " -+ ~ JlNt 0 l (' J -tw~ L. ~ w~ "-J - ) , .- ~ ,. V n '" J'
  • 41.
    PAGE NO. I1l DATE -? ~-+ ---7 -->- 0.. - C... + • -C v.....c. &. ~J, '" FO£,(, -0- ::; ,.
  • 42.
    r1- T I r l J <.. W~ o-r.'hJ .~ Q.il-~""' .~ 1
  • 43.
    DATE , Ir iI K,~.-= 1 1..- :..-I V + I L 2.- I 1co i 2.- ] l1LIf-l ~ '--M r-. l- I7 I L.-- "3 1.f. S MW1--f.-~oz. 6 . )
  • 44.
  • 45.
    I, II'?) 1 i ] I 4a~ I l I c. I j I I 1I I I ]I J I, i" I 1J JI I I0 II PAGENO._~ DATE 1<-.( .- , 1- 1.- - , --i-, 1 W 7..- -z...- t.. M l- Z. ,~2- S 1.-(, 1"- '1 / // (Q- Ij - i
  • 46.
  • 47.
    PAGE NO. l DATE ------ ~. H« .•••• 3 M ~ 1- 1..- H . r-.-. ~0 ~ l --- ~=--....:;.,..:.... --
  • 48.
    I • IPAGE NfrIj.-I.DATE . , I ~ -, i , . -. -. i~. -.I--1 'L-. / / -.; I -<, I :..J I i I 1M' L '. M M
  • 49.
  • 50.
    r . I~GEN~.DATEU-lJ :::- ::; lM10 L I,, !,"t I I I I I
  • 51.
    1 , . PAG ENO. ------>'-1 DATE ,- - , . --.....:.._----- r -', II {} e...-..;.f£, ,I ,I .. -- -- - - ~ ------------ --- « .•••
  • 52.
    I ! 7.- W" t~ I I ~ I )-zLNX I .. , -:': " -'" I" ~ '. " .' ~l' oM-.lo be. . 0 () c.cnru I I I l ,.
  • 53.
  • 54.
    : II .1 . 'I " , ! . «.•• j! : I f T I . I -; - ~- - -- - - - _.. -: - - ~ -- _I i j ~ ~ ~ I -I --- -
  • 55.
    -, Z. LV () ,,<-2w~ Q. C. 1.} G',,- + JP0rvi , a. "- 0 -t 2.. _L '1 yf-f.-. ;- 'l' ~ z.;)f VJ< j I .....•I
  • 56.
  • 57.
  • 58.
    1/ i' ,I .1 I , . . .1i ,I, I! . .. , .-1 L:z. 1 ,I d. -->L ~_ A, olt , ~ 1 !-, 1
  • 59.
    DATE -4 ", ,z- "/It e -> elL; colt ' ~ Zo':::0 '" () JL .x F. -> r->-1 v-= '$, W X A.. --"> 'x ; -:: W 1- f'I [XX ~ ~ t:i A?- ) .t
  • 60.
    r!' J,'~,, -JJ ~ ] . I I cJ I J 1 1 - c..4 I I 1, '~~~:o.L: tlo-G~y c;t;~~~C0~'.J.i~. -' . l~ .-.. -.;.- -1 .j f: L : lt"tl'~~ 1, i
  • 61.
    __ I PAGE NO. DATE vl! .~ = ] 1 . I •••
  • 62.
    PAGE NO. __ DATE r0 d:I . --? A . J--t- " 1
  • 63.
  • 64.
    PAGE NO. __ DATE .". 0.."""""-<' __ • dL '1'1 c... F-T+ - Me.. -"1-j- o c -_._--------- -~ -
  • 65.
    ~ -X-( 0;, ,:-}l~'" --- ----------- - --
  • 66.
    ~ L " H o L PAGENO. DATE 0.H. :t.I w. -I z.- -----, - -- L J 'L-' =- !-oJ z.. Mi.w MfZ. L-w '3 "1-:: - Wv z.. Z-
  • 67.
    [ I PAGE NO 67 DATE --1--> G '" r/- -4 i, tL,t; :- y• I , : T 1. --I :r.:2z - i, I 2. a .•••
  • 68.
    / / I -s .' PAGENO._ DATE ----==j
  • 69.
    r I Cl PAGE NO. '"'1 DATE , ~ -------------
  • 70.
    « .••.• Vc."., .Q.~'~ w ( I< l 1 -; -f-<-. 0e".., -w PAGE NO. DATE -pr--- t "1" . / " 1! I,
  • 71.
  • 72.
  • 73.
    • -. . . ~AGENidiJ 'l. L.c-Y, ~'" )::..~Jl.TE UJJ. I .3 T .'
  • 74.
  • 75.
    IPAGENCITfDATE . Mil L 1.-- UlM' , :.= , , -+wL_J 2- M . ., .-_. l. V W . • 1.- M'X. lA. - ¥L W 12-
  • 76.
  • 77.
    - , • $h"S <... S~ <.-MR."<.. f-.. &p'f- L- « ~ .M((L- L.- l.- ,1 ., I iI .' I ---I I
  • 78.
    "l.- - M Lu-+ M["W :5 PAGE NO. __ DATE f II I M B )z l • f /
  • 79.
    PAGENO,_~ DATE 'w -:::: ~ MWL.' HWoL 2..- 7- Mt-'l- w - M.v-L -T Y'LL-w 3 3- . ---- , J l'-t, , " "> I l
  • 80.
    z.. 2.-, W - I -------. PAGENO. DATE ... -+ 1 u z.. ------ -::. K , "'" I '3 2.- z... k~ 2- f M &- =- ~.J. It. ,- 1..- MIN (( --- t
  • 81.
    C&~'" " 0. IPAGENCEfjDATE I I il I,
  • 82.
  • 83.
  • 84.
    r • .~ 'a 'l-O.-r f r. 1. 0.1 fi PAGE NO. t DATE H 1'<> !l-. '7 i ! T ~{~ ! I I
  • 85.
  • 86.
    c F PAGE NO.__ DATE .~-;(",-'(~.(,{ j4,14. rrf .~ IkodA 1ttM F-- 1 ]
  • 87.
  • 88.
  • 89.
    r- - '. ~I: PAGENO. l~ DATE I I IVI , ~ ~ F c.-.-7 -bl: +1.1.(;. II - I I)~ 1--t-~ [ "7 Jd J li 2.t r 0." • 1 -p- i 1-1.. I '; . •• ~"'J,l L"" 11A.1 t:.. L M t LJ -C:x:S y U [ ~" :{" ' (,1 I' e: z- Li. X J ; +-U A' -t '? .I-i;' . 1 l "< 0 :/ (J I -7 2-JR ~k.- <.n X I,~--z:; ""7- r ""-- ~ (t u/ d ->' -J-U •G 'Z d (0 ~ I 7 7 2. 'J -/ ~ - . ...,k . .• l-- L 1 I G. !XL ~ ~I"" " I J-" . - ?-- l.--- !a f-LXlt . M", -I ~4H " I~ ) '-""" . ' Cftv'!>/ (L - -t rJ.. ...:.- 0 /...- --- -- - - ~- - ;
  • 90.
  • 91.
  • 92.
    ,. T , . , :. I l L c... z 1 N-t N f -z. K.vl. L-. 2- • " (J== MCti- S PAGE NO. DATE i. « .••• I
  • 93.
    i '1.)- PAGE NO. DATEI I I - o' f:. 0 - L0~ , /' /---- '-" ~!I 1 ,~ r~ ,~ )- ./ , '<:'~ / ~6" '" '- ./ I - - Wt(~<- v-~I I r -, , jz w rz ~ I , , • ! Ii i.. , I I i I I I, ,.. , 41 I, I I , ..
  • 94.
    I PAGE NO. ! DATE TI I I ". - '"N I I rr- ( /'~ .-0 , , ;I "".v "-< - i I f,. ".'. I 4',." ., ".At ...... ,:.. r ..Ie J....0.. x ~ ,:.., .., ,Il..•. <f _ .i:J'~A "';A ~ ndL _a,.uA • j • /- . J. n A"J """'" 1. ;1- I .••~ ,J A • •••• 1, ,,/ .M1L ~ .rIo "I %J.. ,IA " ." Il.l U.,..,/ F L. -Il,.. j~ ~, .~ " .~'LI'J .. ',.1. 0 ~'-H.fL0. • AJ.~ ,; 1. J=. . .)P,'r: loAAA . to' :~ ~ "'" '" ./ 1.' _, " .., .T -'1°'.1 n~.+,',.p.A' '1. •.• '.>-1 A" I"", I A ~.-.".J 0 . ..Ji,'., I." /-. ~ A .T p", etF! alA , j .. .. fo. ...-1t"t. :- f, ...., ..' .... , .. +. 1 +. -&- 0. ~ ' . 0 M. A •• ~ ./l ; /' A AAJi. -1..,1, 0 nP .• '.' .•••, AwT A AA a 1) UA f..J AI'.' U r:= r(J I~h, :..e.....-J. ',.~ •• A J ' ~ I F -;: (r. JA I J . J , ~.lI.J. & kn 0. YtMLf 7.., .~.+,'"..", ~ {"AA"l' fZ~"JJo ~ o I I : 1 0 .- .' . I~A.+ fAun - fA "I I ,d ! ,If": r~"o oJ lfr • 1~::::.PI' --t- f {J n .l- h 1If11 -C -;-- ..;(' ... ~',.' . v
  • 95.
  • 96.
    .., PAGE NO. DATE -'---- ., "2 5!.JI.L~ _ Lf (j • .- T I.
  • 97.
  • 98.
    I I.. I I i I ! i I ! -; I J F ! A: PAGENO. __ DATE • A -------- CA.<<: A ~ II , I i / II
  • 99.
  • 100.
    I PAGE NO. DATEI I I I • dI I r (Q, . J '. - N - ---- I~ ./' I Dff II~ 1'I J ! i. 1 ~ J -,.fl I 1 1 1~~' ----} C. (- fn H A ! ,~'- () 11-1.- '1 J.-- L-l u' ... . - A ).,...1 L L. ~ r /> d.• ,t;j ~A ).1. ~.'MA I;. !J; I ~ ':!t;"J ~H~~ .. - . I 'I ' - I:-.jALo-. :: -:fA (H~~ A ( """" -= r:j,,, t 1 r. / G . bH -= AL ". I I - d, ~~ !:>H :..1... ,.,.{ w)LR "8 r } J.,w f"_tJ01-l- I-- - 1~~-J -.;f--.V '1 -So. (HI.) A I . J. I , -4 F..I- Z. M. A . 1- L-tl !.-f. (H~)A :: JA L-x w:/... 'i .l, 0' . I ~ 1...1- e6H - W.L « . , 4";( I • I -_._- l
  • 101.
  • 102.
  • 103.
    II .- ::; PAGE NO. (~ DATE •••• A-v. • JV elt ~---~~~- ! I ! --l
  • 104.
  • 105.
  • 106.
    PAGE NO. DATE "I I A ~. I I I j j I "" ! I II l-, oa de • T It A. / / } • P(I, l1 A .,
  • 107.
    PAGE NO. (t:f7 DATE l: I , l
  • 108.
  • 109.
    -- !, i-- I I r "1'1 rrL .L ~ >-- " PAGE NO. '05 DATE '.A-=-2}{.. - " • LJ1 f ! l' 'II, I I, I I I I I
  • 110.
    PAGE NO. __ DATE p-p-=-2.-T IZ. , . •••
  • 111.
    } " -I L- I I L- ..J,.b I I " ' , . I ; 1 i , I " , I I - I rb+~1 ~ R.'Z- ~ R)... , ~l.--~ • I I I I
  • 112.
  • 113.
  • 114.
    ' .... PAGE NO.__ DATE « . S.T I 1
  • 115.
    T ......,- --- PAGENO. " e:c DATE / r" i,.-/ I ., -. • O.S..., r 'T • A~ !n'l C"
  • 116.
    PAGE NO. __ DATE I, (wi- F~"'" .1 : FIJ.7~-1,RJI , I •
  • 117.
    .---..,.- PAGE NO. DATE II ~ lJ ! I-.l II ",' z.',JiIv - : I J ~~ i . t~ • 7..- F" ~v- = . K t • 2-{ R. H « . f __...•...o..-~__ . _ _ _
  • 118.
    - PAGE NO. - DATEI I I I V' -t:(' J I-, ~ MJv "- F-.J 1' - J - , , MfJ,."" (F-)" })'7V "Z- t ,, -,k :1;') I - F--RIJ _ ~ - tyl"' : F i- 'J-::. F n-l'~-'ifl A 1::""" .J - I • I - , a .••• - , • ~ I - '- - - ,
  • 119.
  • 120.
    [PAGEN[fdDATE v ~ +_ 2..-Wc" L' "tv SW 'l.e, 12 v •• F ::. ~ A' -'l - h- )) ::. - C; ""1 l->? 7.. ~, '3 « • •••
  • 121.
    PAGE NO. 'k( DATE t....• I,- l I l I I ;J. If •,"4, .1--- II I,----, I I I I, I I I I
  • 122.
    PAGE NO. _ DATE II- I / CoM cI. e Lc-, fj' p...'Z--7 f) .d 0
  • 123.
    , j I-- 2Ld -;::G.11dl' 2.-1- L-1- ~ 1.-() , , • I r! DATE L j- I ~ -- '2- (" "1 ! , 7Ifl...'V ...•, ; r , ! I '. I I I I
  • 124.
  • 125.
    PAGE NOo (1S-- DATE }.<II (pfi'- 0' o<->,-l (,.J) h(,,;.J." . " • <JZ. « 0
  • 126.
  • 127.
  • 128.
    __ --J • s :/ " :1 - 'I -~ '-' 'Reo, I _ . "!" '" <-> R.:
  • 129.
  • 130.
    , :::1 v~ 0 V::: V PAGENO. DATE v' o .' . Vp - - ~Ml - c,Ml.-- A" '. « .••• ••
  • 131.
    •••• PAGE NO. t DATE II I , J, ,,~R. ! r 1>- ;" A r ,'+-I n" ~M P- ~ ~l "1 6. I I , ,( 1- c'mI - ft- , - : I (Q) J....-;;.f'.. II - I,; -_. !l V--:-- ~t1 r; fZ. ~ I r : " c / ~ / t r / ~ I I I • / "'-- / " k<~ ; , ViA 1 ~ ,., A -H,111- t..& -a:1 -#" ' .•• I , r.:n/ ~ "/A , I J~AAJ'J, ~:,1J-<.A 7Jh J C I ! , - i f ,/1 ,I [ ~ , ,.t ----eo I / , I '" II . , -~M Y f-.- . , ; - -
  • 132.
  • 133.
    IPAGENITI] , ~ ;IDATE i- U I jI - Crt "- Ail I rz3> I,: I I, , @ <j.. ~ rz.' V",. 1. i;. . f (cV 11:; ~ , v.,;. V" . { I . I, f_ I.., • 1 ~{ .." I ::: G M J. .rh I I / ~, 1<] r. ~I •l I' Vs ' - I, I /n_ V, ::: G,M r 1.- f...Z-~I J... _ 1 ~" 2- 2-_~ • ,l , In -:::V, +- (V"- /r) , ~ '- , l k - -~M L /71M •.•.]v 1-- _ R,2i-• K • f.-.S z... z...J ( n '" -c,~j ....l.~ '1)- '2.- 1.~-.~S'r. I K R"'" I -"' - i - ,, II, , fZ- I Ji....• - I'", ~ I I / II I' IJi 1/ I --:;..;..- --- -/1.. , _ ,<;(.t "- - - -- - -
  • 134.
  • 135.
    [--- I I I ~ - ~;lY-".. __ Cn 'WI 1->1'1 .'9-, '" ~ '3 I L I I I 1 ~ l I¥) I .! h., ! I I I
  • 136.
    PAGE NO. _ DATE , i~ ., « . " """l .~ d~~ -: ., lJ -;:. _ . '---.
  • 137.
    I.1 1::~:Tld ",""",HA1. - {Z.'> -;0.- •H tz.' t1.,~? •'Iv 'J... f.-1 J,v "0- _ .:5 G..Y1.- IS R.' , - -3 M:l- - 5" IZ JJcJ ~Aq,M't".ii ~ oJ . 0u~~_ -~ .- r L! ~ . , L ,. J--
  • 138.
    __ 3:GtH 1.-_ 5; (2...... PAGE NO. DATE --! o
  • 139.
  • 140.
    '.-.' PAGE NO. _ DATE ~~ KI->1 3~M - CnM 1 l.- -(2)Yn .Il" ~ 2.- Lf... . "X- L.- 1.- (..IJ := 2... ?C 2.- ••• ,. ~ V 1--:; J : Iit -x. .4.fI.... ':>K ~ 2..- ~ - X.2-)0< Y u.. ._----'
  • 141.
  • 142.
    ~. .1' ~ t'1 1/3 WI.,. e----- PAGENO. DATE ., ~~ vto l. (.1.. C :1JvJlW /J.1-v""1.
  • 143.
  • 144.
    PAGE NO. __ DATE ..,Cl.f ~U'e1A (- ~*)& ;.(. IS Mil,'" . I fl"-f1h'ol£(~ +0 1tv J;/.lrr-r.u a ~"Frn ~ « . "
  • 145.
    "A:= 1 ---> ;. ;z. A t "" ~ -? elf. LI-Jt - Z-m '~JvJ. -----~-
  • 146.
    PAGE NO. _ DATE , .! 1- GMWe.: A). 1- • T-- w<- - 11 w ..,.- I ,1- ("M 11.- ~> :of- « .••• j i
  • 147.
    .f. ~K.c,+fe-,/ -::. -tC,M}y>- INJ La. 0... • ..•....". . .! I ' I ; I I . I I . LOti v « .
  • 148.
    , I I:::ITIJ • • ..,. ~ ..r;;,-of jvI:t- ") ......, ~ 1;-+1 --0 c (,., """ , "'1- Q X .•...~-"}•... J.,.: W1.- -;; •... ~d-"") "- 1M 1-(" "X;- """",ct i J""•.••..d. !" '-""t.)
  • 149.
  • 150.
    PAGE NO. _ DATE i.. .j-:; x... + cl,x (,,,1 +i». cAt 1-. 2--~~)K- elt" ./ 1- K clf'V ., d.~J.I. _wL- ttkv
  • 151.
  • 152.
  • 153.
  • 154.
  • 155.
    -- PAGE NO. DATE -----t , I _ AIIJ:,-iM. -- f 2,~ ~V ]:em ~ -t A1...~4v I J
  • 156.
    PAGE NO. DATE f'I • . L~l') HU .3- ~ 1. P. ~ ( klt-f L':)'-- _ f I A
  • 157.
    i -[-- I I PAGE NO. DATE • 1 .••• - k.. 11M :fA rF ---' .Jk
  • 158.
    PAGE NO. _ DATE • ,.,).., -...--------------""1'"" ""7:'1:,)1: M 41<. r / /./
  • 159.
  • 160.
  • 161.
    I I ~ I I • IPAGEN[TIjDATE , r t , -z:clJct- ott1/. , i c. :;:.. . d,1.-&- r olt:l- ~ I .~_It S ,,: t. fJ eH.1-- '"S I
  • 162.
    • • PAGE NO . DATE , I. I I I -K f."'(J;::: .21-111.- ~ 2- Jt -2.K (} 3M ./ ./ , ,, I I, I i, I I J I, I I ! I: -J,..
  • 163.
  • 164.
    . • PAGE NO. DATE .I , . !., )<0<' T 2 z,' I 7 11- i . I '~"/c-J rr{ .A?1<JPol:.:rw. ..,J,JhJ- . I .--J I ..1 7' o'Ul- '-- "-- ,6n,,'v I ~"'----~ !,. I I « .•.•• f1 . , )
  • 165.
  • 166.
    ,, lI -J I --i j I ~ I I I I - PAGE NO .I • DATE 1 I I I I - !- - ~~ -k 'l{ -+. J ~ i,~ cr ,, :it" ~M i, - j~ -k (•• jH •., I - Jt'"' ~M l ---,;!) ! I ~ I - .2.'lrl.. .,. 411.:- J<. ff, ---- }...'" ';7 , <: I "V" 7~'<. /v' .~ " ~- 1 (..- I rr ~ 7/// 1 K r2.-", ) 1..--t ) ~J~11.-...:.. "$ ""p'/-w'"!-- r ~ --c- z... 7-' 7.- S ~ I'."!-o1----l> 'r MIi: 2.-, ., ' 1.-.:: '" K'" I!.n- :z 4 S'k"u'L;'twJ. 3>-101..,,IJ,,6-_ " & 2 df" 'C_ - --r:i 1..0- -10F--(9- 3M « .••• -d.-tV ••• w." 3()}; " 3M ---~
  • 167.
    -. I I -i ~i 'l ; f C t h l-., L , I . ~. ~. • -1'1- ~.ti.J.:)I.- _ . x, ~ 0 J.-I; 1- rA:"'" ~t-- M~ - <.' tiM ---------
  • 168.
    PAGE NO. __ DATE• I 2.- }.• ~3M L- ~JbK 2-- I..- VI = UJyv)t-, I.~-..,~.- l- I K.'A. -f V -16k 5"l..M I
  • 169.
    • IPAGEN~.DATE ~ Wt) ,// i tI: !, I I I I I I ~i d I,£ . - (vI l-)(- -~ L 2..- M 'j ~j I "Z I 2.- '" ) K ~1..-_ .l. ~ ~ .-t f f. ::.. z., « . 'I I,e ~ Ik t. z..
  • 170.
    J' S.}j.t1. • PAGE NO._ DATE , I. ! I I I < < ,J
  • 171.
    • il -. 'j I 11, I // ./? I , i I [' I
  • 172.
    • PAGE NO._ DATE I J
  • 173.
  • 174.
  • 175.
    1 ! PAGEN~ 1_ rJ2.. DATELl-lJ N + N -z. & oU' W trvvt N iN" ~~ oJ.,ffil .P ;bJVJ, N z II o I
  • 176.
    PAGE NO. _ DATE / / .~ «.•• I wT, z. "2- .3 '2 2']; 3W 'T; -,. '-I~ -:II .1
  • 177.
    PAGE NO. _ DATE • ,~A - i I i f r t l /' /'
  • 178.
    A~A A, " ._1 b- ~-~:l<.8- l;>- "At_ 1:;'-- T' -z- U I, "1 r)' '- 2.-<-u • • PAGE NO. DATE I I I I n I I I I ,...Tkl h"" '" '2 ( 7 • I 1 'ZAN 2.-W J / I J I c ,-----"1_- ;~ , L • J J. . J1. ) (~l ....•A,d L"Vb' ~ «'Xz- A ":.-fv/fw+..J thh,t-J.'L /. (:;) fi.."l- ('5""A k z -~ [ , viz C> "- A I W, ( 11 U. ) • /' I r :: A J (_""'r!hl (1l 1. ~ 7 .~ ~ "
  • 179.
  • 180.
  • 181.
    -Ii . !, f I r • PAGE NO.__ DATE i ;--- I i I I
  • 182.
    i. r. 2,11 '_ Z, 7- ./..•.,'. •••••• i1"1 g j: ~ i.A 1 -- - i.-.-, F }.., 8 :::0 ~~. « .••• I I i I I I j I
  • 183.
    1 ~ I I I l w ~A . . H.. F tot/<.. •PAGE NO. _ DATE II I ! .!
  • 184.
    ~.... . I 1~:;EEfirl Ii , , fJ'/ /.' / : I / ,., A I II -,"":"" K ~ Ih- r yY T T r ~ ~ "t- J -1<"0 C; I ..:J ..d n-..:1P,., 1,;,..., '/ ",1& IJP;O'~. AM-'. . rIM rio ! , , 0"" I J.Lt 11, . ,1" A t.'_ , . I , , D (/ i , :, ('I. ,-1 JI~ d. ~ eM,;. eM.1): , .,.. Is II' , - --t 2- z..- ( 1f~ ' ,( I, " l, '" f4~"""" J ! : . f rr~~ 7 .J-1<. ~ ; ! 0- --1k / / , '. , V /1</. . / -- '--l ~' -.::;::~, ~ .,~ s~ I -;- , , , 1, : ., !; i I,,: i ; £ . , , I., 0 ___ -
  • 185.
  • 186.
  • 187.
    ( I !::~:I~, - , -r~ - , Ilh r:;-z M-';."x..- . (j'1 r10 M') "It I I I LA L' ~-.- ,I; 1 , ~~ , ! ' X- I -p -;;' 'I'.. 1,. J..':l, L I- LA '1 o.}I. I '0[,.- ,I.",.,.. ,..--I ~ ~('/~Lr/' r'J~ -:;- ~ -J-X A"Il " ~, I1. / n0' LA'11) " r -- I I hL " ~ 1.- i I I 2 A'1 -I, l 9-. -{Z • " •. .l: tt.'>----JI 11 • A .•.• .n~ J A. ),~n--11M ~ I -, i ,/ ~t,',t,.:. I , J ~ C c r I X-, , , )' IJ1 I I FH 01'1 H 2-- 'l- L' •j I 1% ~ f - FC tx'J.< F (- <---- l'" T L t::r 1-;;F (I-"Jl I If. L 'J ~ () "Z F f'}'+UI, ~ LA. . / . ~ F r I -r'o1.J ::. clot .. C- :: I LA '1 M'k , • (0 rL.,', ,(~fLil1.1,tJ,j 0 <l ,0 - , o i...-f><"1 - ~
  • 188.
    . F L ft-'1 . , •)-<.---l , l- L---- !•.. , .... ;.. 1''' 11 t,.:,1- 2..(..... bL"'- Mw"" 2..L A '1 I Mw'1..L"-( 'l. .3 boA ,,{ / : /./ / A./~L M", j T" 1", "'-
  • 189.
    I • [::~:IIJj- I ~~ Fi- - 1FlbL-!Il F1. A'll) L - L - '- f~ A'I'rI. I t I , --- L- I---, r 1" ..•..p.."1}.' - - Ii• l- I I I, I • , -;.4'f -x. A Ir , ~ , l- i, ,, , ,,. I' , J t>. '1-'<" ..l> f{ 11'f'}'I. ~ I [ L- ~ 0 ,I }l. c t% L- • •, ;, , f, bAY , ~ . ~"~ T ~Ln-} " 7 r , b ..$ D Af-iM~ _e~ J .,. ~ I'l L I O~,.,.t.;' MJ. 1 I I 1 I I~ I 1/ //1/1 , , T 2I v Ii ..--: . I, .L ~ , ! ,., , • ~ Si , -, • •~ -It . 'c .j. ~, - . '-(-z- fL p)t. • r '" 'fAx. ~ K, .. 'U : L '56" ~ ----- - -~-- --~- (
  • 190.
    I T - I PAGE NO. 1 DATEI ! Iv I - YA .• 'th' L , {:l. .t.' - . n - , " 1 , . ri" •• :f, --: / - 00 '. ., q ~J •• '7f , - , U :; , . __IVA ~.b. I • ! i 1.- l LJ I I /-== 1) . I T - I . V,A , , Ie:::: L , rf~J , - - " - , U. IY,tC.x.1.- r !, I . t V 't -:-c , At- , I '-I '")0 11- , l.. • , , '}<. ~ L- '1..-) I' , • ItL I. '1. el.- F i -::. I <..-" r . '-I- I ,"4 U,. n,' • 'I Yfll". a- d d" - • G I I , -, J, ~ , <J f : (- v - ! {, . j i '=- , .•..' i a- ~ L- 'i I , f l- i tfl__ ; L.... 1:,. , . D ..•.. ' i ,7 - n ••.•• " kvt ,-Jt,. • I , '-- .. l- I :1-. - ,C/O".L . j, ,- ..D.. • 0 ~ • ,0,'_ I L Au:: o f, ~ ~~ 0 - 1 'Y ' tit> "'-' '.- I L ---p ! l. L-~) , / I M,l-) A ,i ) I J.... _I .1 - 1< 1L.- a..•. ~
  • 191.
    [ 'l- 1..-L. IJ .•. t'3 '-.J" JLvA.'1 PAGE NO. __ DATE 6 a- -:: 'j, At w< I . :1 . 1 I 1 l I j I !" :1 (I 1 ----------- -- --
  • 192.
    I.,, . I. / l, I l «.•• I L . E :::bL -L • PAGE NO. __ DATE - / J /
  • 193.
    • I, 11 ,d PAGE NO _ DATE .------- .-..(S; •.. "J-'t. -- Z- Ii}.. F L- .~ ! ! a-: 1; F '11. 1 A LA I i .f "- cr- )1 Ii '1- LA J-Y.. I 'I . Ii D ..../ ,. i 6i..-z.- Lrr j LA l'J.,
  • 194.
    PAGE NO. __ DATE I 2.- )- ~ 1 _ l/ D - . ''-.1 1- 2..", L. r Kp L LA '1 _ J.1.. 1..-Ks ]_1<- _ 2LAY[ 0 I « .••• LM Al'J.1 I I
  • 195.
  • 196.
  • 197.
  • 198.
    • i, I PAGE NO. ! DATEI I I I I"(1 - ! I::. t1J.- / , 7 ;I U i 1- ~ ,0,. ::. I"? , . A I ,. ..:;, T;{J"U J . E' -;: h...~ :: "Yt, •J - [)Ai -L. -""i)(, 1.A . /l- Mn l.-f"( I ::. r "iA - I I ,- I A'1 ~L .J.. : v., J.. }1, :: d ) ljA'f . . . . 1-1, .. 5lixL'X. -;. }(, + . .":" - 11A 'f: J<.".' -;. J:1 - I1A'1 YI :K s-L (' L'Yl_'. .:j,,'/:1 f I j(110" 1, ~I'I)/";f.-r f) f rrI 1,,,.lb. "'A.J L A 1 A " n.J tis J i ( """" tl);A A ~ tI;f." 0 I ]J (J I•••• Jk. := J .- - £S £, ~ "'-- -:.... . -- - . -,
  • 199.
    k -==- K+k .1. - rt Y7':R.l- - L } ~ X::: L .' 7'f 1 f("l-' tl u 7(t.I -I -:- 2- ; [ U Z I ~ lJ-:: M '-,1.. i- II -- I 2- 1.1YM,1.- PAGENO. __ DATE
  • 200.
    . I 'I:lJ , (." u(1 P1l<)eNo. Oete: f 1201 " M -, ,.....
  • 201.
    Date : I'/201 , . ( , I . (I . . p.,' . Ao Q-=11n-.5 e ,Itk> . ) . . .I {. ~.
  • 202.
    i~ I I •• ~.p,q. No. Dale: J1201 1 cr ~1'1 .2... o-=='i L . 4 Lc<. D T-t .~ ., <.., ) bL.l..bT_X. ]/- ---~
  • 203.
    I I : i ," •, : .1 j , It !I J,; ~ J " 'I ,I .1 ,I I -,• -, , I 4 ;. .
  • 204.
    , / (., """',.,. Dete: I 1201 l' l)=t3il>T) • ,I l-Z Y 1+3,(.bj .L>V V .1 -I I I~. I ~ . '.
  • 205.
    j 1 , (,. P.,e No. Oalo: 1120' I . Ii 'I I . I ::: . , .. . L '~ l- I ..{, ", ...., .. ./ A
  • 206.
    - Dale: I1201 'Ji N-<J) .N e . "J.) ) ~. " .,. L"f'; , , I-z.. L7
  • 207.
    ,', I I iI. I Dale: I1201 • , I J ....•. . ..: .. J1 - V J T /2- .L -:6T .' .. ~ D~ :: Lilt I" .T 1,ft. 2- I ,I I, l' I H jjiI '.I ~'--;1 ji. II n ~I I.! -~ .I! -" '1 -!I j 4 ..1
  • 208.
    ---,, f I, I , -I ----, I ~ I--'--, . I -! •, , . .. C' , ,~ ?>geNa. Dale; I 1201 I, T T ~2- £: C; l l I I l A
  • 209.
    J' ~ I, • , (." ""( . PaoeNo . I Dcte: I 1201 I. I . -In ., 'b ~ W,k 1unt~w>ofm, ;tN~.C llh"~ 4twv • I U I , .' JA J ..~. . , ~~d~, ::l +,: .. .- - - -- --- --- ~ J& ~I ~1'1-. d.t R.T {&1::: K-s:t< 11 I I
  • 210.
    •• = C' , f'age No. Dale;I J201 o • i ~ .. . •Oc. -- . • ll. -I{(jO -= 0 -: a )(-Ia-o = 0
  • 211.
    .' ( i """No, Date: I 1201 II i I I I I I I I &J' I I ;N I • l<;) 'X.- - 2ml "- a U -loJ.'l.-'~'=-~ J; i it-- "IV 1" ?-t-l~ i;:: , Ien>v' I 311.- -10-0 z.O i -t~ =-0 ill't) 2.- I I"", v' I I I-I, 5'~- 2-"}<.. - 11l'V ::.. 0 -~ ! '~ :1. -, -S1Jl-:::. -, 'j J '1 'Vdi-'1... !' I - - -
  • 212.
    """ No . .Date : I 1201 , • ... I INut, I- I '"I I I /
  • 213.
    , I -I q .U'I U, ~~1-_- Date: I 1201 ~ltiWrstM: 1tYol &"'dw:Wn l< . - . ! " 4-- L------3>~ u, I ; H J(f 1::::1[ f,,-z-, " cAt L I dG, / 1.- .. . ::. .s;~(1,. k. H L I '. , - ~--- t
  • 214.
    • •• f'>o;< No, ,Do1e: 1 120, " I ~ iZ:: 32.- .'3t l<.A 2K"£ 1.- 3e - 1. -e k.A 6~v1::., l-o :::-q: 1 J-{.L" L-j a L--4 • "c...... -r-----! " I, ::::0 -I' -, ,l 'X.. }(. -=-0 i - I ~ 6JV'l X k f::: 3Tk,A, 2.!,... 7L ~ , o
  • 215.
    { , , - [I' • .(w~U,,~ .. , - p"ge No. i 1 (Dato : I /201 ! I J . tZ-=: I r I _ I '" - I L ~1" ~ IZ 2.%) [' .N.' j R' - 1. , - 'ih-~"K : I I.. r 1ft ~MJ D 'D' .1.'. 9. I ,J.l -, ,~ "fJ, •JiI 'oj ~ I HIi h' ./ l Ii 0I I - . - r l':.'- I 0 ') I -/0 - . / 'cltZ' ~ L-O 1 i cl'l- , I , k 2..1xt r:.. ~-(J ,H,I ::.1.-1 , '(J ) rI '" :. " ~, ~v 17r;'y:..J.. -fJV ')'. ',.. R...IJ ~ PA/I r Z,t:. "OQ 2.-.'1l<..e. . [fCi z.' " IZ II -= Q.v..i..- '1l,)' l1;ki , I I Pv, J,'".t,~. . . I 1.1 ' I , ~, I - 7 ~M:i'viJ.. ji ,i" 1fI,~;:;: ~,d AL.r.2L,J i'lL>.- ~. -h. eM.. . ,;"''' ,'J..A- I JI I ~ u ,~gO.,l ",L •. ~".f,L'!.., (aL.oL,f.:..• ~. !I " n. JA J ,- ( .' V' 'w 'I 0« . ••• I I , / ! ~' '''u ,. f , " J. f4 ~. . 0..." I " , /.->1 ~~''''~ ,••....• r,.......•. ,~w .) "- I , . :, I , __il_ I -'
  • 216.
    " , I. " ~.PaqeNo. Dare: f 1201 w,.... "I-I '_ .)'w1v oll9. eLi .) .,.,. -; To -t t> T ;,to. J1 - ---------
  • 217.
    (; ~I• rv,"'b(•• ~ , F"'l'l,.,. ) ), Come: / /101 .. .. . , d6- _ ,c_ ,.--FI r-f ~ • r = I ,~ t:> 1'1-~,. 'i , olt ' L To-I ~ - , :U _rH. p L>T« 7;. , 1l ,. - - ot& .L-f~crAi/>bT ~ -- - I, J:t d (}. _ L-ffiJ AT. 5 (1:- 1,) " (f) - . J.-{ ,. f- , .; c- I, ~ cl&- me..- ol1 - @ I olt .01-1: - . !,, - - " , !Ii , I- " UMm.~ cD,t~< - . . ~ ~-'. ' . / . u ~ - . Me J T -Ye"AT. 3(--r __--r.J / l- i oIi , , . - _ .. ' '. , Iv..or~- , Jf L( G ci- A r,> (-r:- L ) , (' 1/ P i, - Jf' ~ ,. .Cs>-FU~ 7m~ ! . , - k (""~T..) ( I:: '" Lt E: a-A 7:: 3 ) II JT oIt / '-- -/ II, Io--fc... , .I ! J' I , ' .' ..!: :.- Id , - " ' -" ' i _; I " I I'1'1 ! ~~ ~. --- - - ----- .--- - - --- - -- ----
  • 218.
    , .. PAGE NO.__ DATE I E '~ ;;.cr 1:1 'i ..~ ~ Ir A T~ ~, I NJ- ?mt -:; r .~ f
  • 219.
    ..' rI ~I ::: p. . 4 '1 , PAGE NO. _ DATE
  • 220.
    , ; t • ----- ---
  • 221.
    ( , w - PAGE NO. DATE I I l .-'. " ~ • ! Y l. ~ -.:.t-~c.h.b">1 .
  • 222.
  • 223.
    I , ( r PAGE NO. __ DATE tjCD 5 .t-j -K @ b1, ilt _ '~1. oUvt~ ~ S -J.g-4 , i Dt -z. S)~{.l I ~
  • 224.
  • 225.
    I j I .'. Ii=Me.. PAGE NO. __ DATE I I ! L
  • 226.
    PAGENO, __ DATE r r 0- 'X~" «- ••• T~2,.-0 ., 1-2..0"2. '1 - ll, 5 T ,- l3,)T~ g ""t -;;- -£ 'ls-e-111 0 .J;3-$ . I ,I ~ I' ~ ~ I • I , I - I J
  • 227.
    I I •• PAGE NO. _ DATE .210<>J & K ~ (4'" '1z;n, -rJ. I5ll K J ~ 1. 3LJ )(I~S (J / ~ -0- ' "3/t; , M, + m c:,t ( 0 -ILl -1- h1 6d G.'I (0 - Tw);' 0-__ i I.
  • 228.
    I,. I i -_._---, ,__-3. &L ()-'11LLaX , 'J l I t !, ,'" - ----
  • 229.
    J& ~ -.kAa.J '.X-- ; ett9- -=- 1 elK L PAGE NO _ DATE l_
  • 230.
    I PAGE NO, IDATE" II I I, i i , " '7- ,,. j •• , /' 1 i- - /i , / d).fI /53_- - (7I , . -D~ I.. - ./ ~, -- , .,.' T •. , ,.• I, 00 ~1"' I~~vI -U" , 1 . [ 1./ .•. I; I - , - , - . J.. J -, • .' ; )1 L L ~
  • 231.
  • 232.
    , .; I I - z..,v:-1.- -- N , I J t.1
  • 233.
    I " J •• PAGE NO, - I DATEI I I I ! • J - r ~ur . "Ai .A. ' J;, .rl ,t".n~ I h'r J. . L. Z , At T I 0 • 'if , • :. 'I ~? loA ~ _.(1) I~ DO I ." , , >.t ..•.( , - 61, -=' 2L -,([5-, , I : txt I .: - . II. ~. , :: 'J>t.' , " c bf: ,, , r." 1- i, ~ 'l1 ~ >t; ! • L I ; .,.~ Ir I I F~ 1- r:::;' I) ~ - m 2. "v' l- I I I , 1.- ').- 1- 2. 'l- 1- 2.- , ;E... UJC =- z:V ~ . - ~!. -:oS !"i+V~ -t IJZC7 ~".-z;.~ :c " I t [ 3 j I, N~ L- (c1) !• ~ :2..) z. <:-.)1- --r . ,. ~3 • I ~ Ii 3, f I t v.. .-::: 2. Cli '-I , 'J N , ,r/2i , - ~~ "" :;£).1- ::: 'l- -r?)N .t, • 1-- - N ,"[1-- r(;J2... t. .~ : --2 'V .~ ;
  • 234.
    PAGE NO. __ DATE ~-_.._--_._-------- I . I f ;::. r G I A ~ IL'l- I 1'1 .2- ::: WJ I (l' ,] ~ - 7 z 3P f ., t , .
  • 235.
    , - PAGE NO. __ DATE I I " 1 2.- C•• 1-; 'v' 3 «1 M ) I. ,
  • 236.
    .. I I PAGE NO._ DATE . , J<.f~ ~ 01 i~... I~v<J--:J 'v,). •I I I
  • 237.
    t. T - I 2- • • PAGENO. DATE ----,, i .1 ! o' f I' I I I d& ~ dU+ II
  • 238.
  • 239.
    , ~. PAGE NO. __ DATE I. I -.i , - - -- . ---- 2. « . .-.J I
  • 240.
    , PAGE NO.__ DATE v"/ 0 cl~ J T v "' cJ.v . v J.: I-)<.. r.olv - . 1 fv -J,r b (I-?.) T V ~ d, I-x- ~....
  • 241.
    - , , , .I::~:rlrl- , I I--_.. ~ -bJw , .r._ !r ! : -'v d&. -:: dw -t dU 1 I. : d& ~lN jV ! -+ 1 en JT Jr II cl~ .dvJ , ,.ill - - JTj,~ 01.1 IlMAl J'T / ,..;J I. I C~ -lL -+ r ; , v I . i . ~ f-- I ~ (l. .1C.", ::; 1->< , 2-. I• .:,- Ir NJi :- ~ IV ~ D) -?- V, Y. - f ..V. 0 I ~ ••• A ~~<.. n.A~J'A.A '. f I v- .u I )7fL Ie . bU- m :ft,,1 fl v[) f I V "- 2.- , : I , .oW=-,tYlf D ') ( Pl. 1.1, - Pi W) II )- x- ~4y1... i 1 D&z- V1'f... '.1- U ' 61 '> (t Vc-fivi ),,} -l- 7/7 --~ j-'){. L ;
  • 242.
    , , I ~ fb t.I• . I,l , 1. i I " I DLJ::: f «/y. D I ~, bO '" tlJ'~r flVi) 5 ~ 'I 'Z (:db V~) 4 f.v~ u c ~ ?/ "2-- ~3f.v?I II DW -:::- , w i :1 7.-- r w r 11 b& 1..- £f"v.; i ~, 'I, W II ~. •••
  • 243.
    , v • t I II II I DU -z 3f. Vo 2-- DW"- fYlR-. D: 1 ~J'L -;; ~ f.vD 2- 2- .0(3..0.- z.-fu Vc h-M. I J ~~I ~ l- « ~ ,oW I~' 1.- 4l ~&. I-}, J.- -t f 1-t H k"') I U£ L'lW1- ~3
  • 244.
    IPAGE N[IT]DATE I II - J -, b&.-:.-1PJ:J IJ V 7- - .2. s-o J I
  • 245.
    .. PAGE NO.__ DATE ., 1.-- 'D U (l-Y) f 5/YD _ ~ ~ .s'(Jb -5 3. __ ' ~~~~'Cp¥tlM 8y1 0- f-- voLD,alu> tm No-t. ~- fv .1 ~. jrl ~ z <A'W> • - cl P =-0 f J ,),1/ riP r JV v 2-p V.- -r ., JV1.- ,tv v v-- _0 ,. -;:. ! I/V /
  • 246.
    •• PAGE NO. DATE II I I, .. , et1-p ., - / JX f'i -l.,. V'-:8- I ?:J.if'-' I'D .J I -z... ' ., - (). R.lJ ~ nl. J1.u r A..--I. 9' <: (~JL !J 1 rV r1.- -z. r . 4, . I- . f. , -1> V "'1- , J P . I. L, I [,. f;1?-", , rJ-V , .l. d-f 1 - P ;I , I (}v ; 2-V i , , Jp ~ ' [V'&l- fJoI.v"" - . z.;J:'.; z - 1 (./. I~~ 2A,rvl lvJ -wei . r (J , I '"I J , '---- " I , • , :J {Q. tl~~d. /-T: .'l.,-, Ctr< f 1/Z. r.lT>'"> t • / d I P ,( .. ) ' 1.-/_1 'Z Ccrw> l- I ' I -V'1.. Z. ~)t / V 1-1-'2-- UfWt. -I' ' I .Po ./ ~ - I , 5
  • 247.
    rj , I----_ .. _- .... ., J J./V __ Z. -z. V c:l.T ~ iY I .fJ +1V11.. f 11'-1 -+ 11' •• , I. I I j I I ! j 1 . J II, I
  • 248.
    I IPAGE NO. I I.• DATE II I I ; 1."n1uv.ie.- ~ I ~-;. "" k{ZI , i - J.1. V UJ'Z- fK ...f 2-- , Uz.-r-" t-l R! .. .- '2--) "' i f . - D&~ Il' C.O Dj .~~'-. Ig£ ~ J j i, C~H" C~ I ~ () U" Nl C. £:iT l ,, ,, I • , , i16hJ= M f?..D.T 1 l' T.•_JJJN:c f4-uM I i 1 (~A -z R I }t:.. , - -Y. 2-- , - ~, ~ '.f I( , z. r Il' C. b) i .(0 ~ , C!)::'M('. D) , i , I , v DhJ =: 0 '. 4 , fA' ,,' tnt;, (y : " i 1k l..,t,' ~ kD ' ~~ kolA "t ~._.k t- . . .•.. sb, dt~I a-t D'" 'AI:. i- f;. • , v • - J
  • 249.
    I [PAGEN[fij,, I DATE aJ,._. u.1i,JY - ,~ ~'A / V-... Cp I' ev - ~y - (I-- tJ ~ I: 'f~ - - ~y-= hL J- I, l I • ! vi I ~ (-+ 2.- S I.•. ~ f 1 ~ .Ie VJ~ , =: 1-+1- 1 I, S- 5" I ; V~..A:.;t.. I -f 7- 11 I, II b " - 3, f--. . c;'&C,i~ In '~J. rd- Y I f I • (-11 Iv ~J- (' r. c "! iI Cy ~ I ! r ~ [~ 1 G,,- «(l.., , I y- Y-I I •I . . C I tz.. f-... ~ . 1'-, 1- X- l I y- t , I . I I I~ i ; I, - '- - -
  • 250.
    PAG~ NO. II IDATE I I I I, - -! 1)--I-L ~1 J! , , I C,.'Z- ~ .1. () , l-"- T~' I I 2..- eT 2- CJo V1+- (ll T - f , I I t>U-z I - !Z, . i . I , I tAIN z- r.)N , I f-o Jl' f:..I" . V , "J... .w:: Il1~T' IN, 1/- VW , -6 h.b D&"'JY1KT~ r W 1 - • , Vi / , f, IfI "-V,' PI'J ' , 6W--=- D Cl.-oN1 fZi~ I f,. , , I I f., :5 /.~ .•• (iV,' rJ. Pr.VL ~ 1), .,/ '--
  • 251.
    I - , PAGE NO.r I DATE II I, I - ~ lu;. IAg,O; 6, (1~h(fTx~ '" _'AA J !, 'T / - dQ-o t:: cJ,.u ~ ,.J.w i I - I r I , ~-z:. - .,.lW .1, /vl ' (Z. -f.,jV - IrlTo:;. Y-I I f-.. IT AA R'T J. V IIYl Z- 1 ,V-I V , f- ~ I 1 Jv I .r:I.T . - I, , V-I -r v , . »' y"" -r z: _ iM v--+-" ! 1 U'-I) , TX-I V = (,o-W;t _ , Y-I A+-I" l - I J"nA lPvT ", u,.,,,jl , rIL. """c,,- IZ. , .~ , -0 , k>-'- "i-I , . . ( cl. (9. -=- 0) :) l:x~Yl. ••• l bU-:: ,M f f:,. DT I -~ , ~ i L:>!"h - /Y..I "- 0 I r D (3. '" C! I 7_
  • 252.
    PAGE NO. __ DATE fy-=- fMf-+Ykl/-::::1.M. p ~ -V r deV V Jf _ yp Jv V " - ,, , -. , •.._~ " - ... .I.T£ ,',-- ",A I>f v ('" ) (~-vt'
  • 253.
  • 254.
    ., p V " Afa Va ~ {l; 210 Wa .Vo e- o ~o Tt ~ g -;-' PI/- '.:; D) ~ ",,;- ~ b '" . v 2- •
  • 255.
    . PAGE NO. , DATE I I I, - _. -<6.4 C .IJ U -;; !VI. f R.L> T 2- •• f" S M rz ( -If. v. ' 2- l fY7. K ) ~~ s-F:,V. • ~U .{')W b Q A- IS !S F.Vi ~.f,V, ~ V.Vo z.. Z- 6~c. -<iPoV~ 0 -r-fcV. c... ---4 P _ ~_ {IoV'. .-1;, Vo - J. Po Vo 7- .- ~"W ,~ f, V. -I 1e2LJ&--= V ;£r;. vJ Z- I f.VD • 2- Y) "'-EDW - I ; :f£ L,(5),. Ig - cL A ~M t/){ f'.o •• k n. 1I.J.n f> LJJ. A I. _ ""A -I£,J .f-V,/ () 'i_,~.,14. , (7g'" n1 ~ e~.r.:~,. fi-n , l 11',I~4, , J. fI. f ~(.L -JpAn. 0. ;11I fool -, , I Ii;;, }w, ~ • I. - ~ , • 11, « - • 4, -----;-.. ; V-~b . fl- do I '" ! ~c. , l~ I-Pol P" .•..•. J:; . .- r I/;of Vo ~_'- v.PI- db;) f j>/v -h I v. L.¥. .p r v•0 1 f .!
  • 256.
    ! - 1::;EEIIrl I l-. .- f~-c:; - f, . ('X-- Wo) (J I" . ' / " , - ~ , v - 3- Po V.., . b I M.~ V .~! - I if;, - V. , Mf2... ('-.j£- T- I " / cAT ul-r" - "" vv ~ -r v. . ov J - j IY ,,1 1 . I : I;, Ii 1- - V, P J r.v VO V,- 3 Vb ev./ J P,,:, t. 1- 2- T ." "1 f.,I" 4 tY1(( i ! (Q., T_ n~''''. ~ •.• L J 6) rl""l oW ',~ c..--" g '" V f U l « . ••• I.... ---
  • 257.
    , IrJ "L W-' - 0 +- ~ O . "l (; R,V'0 . f'- ~'Z- .-z 3 -~-I 7..- 1-,. L)('0.1-1 :? ~ 1)(0.1 El .b &- <'- 0 .--- ' ~i: ~ /' tf~ ....- D()Z-Q -/' ~/' ,/ -D W =-0 . • W.,Jfu
  • 258.
    // , .1 r , T,,'L /Oj 1:. 0b o I I~ I ! )I '.
  • 259.
  • 260.
    r! I' I ">, '" i<.<:.( •• ~ I ' PAGE NO. DATE h 1 o r I , J rt ~ PA~: Po A '0::..", f 'L poA +¥:-)'{. i P. d:w ~! P. dJJ cLvJ -z...i f.~-1- )<:.'" x J4. elM , tYf.J DlIS . i 1" , "". JrvJ ~ R A- i k..... . 04- • 0 u I I I', I , , cQ- , ,./ ----. . i ! I 1, , ~ ~ i Ii I.jli tl • -=- faA L. fe AL 2... /
  • 261.
    • PAGE NO. .-DATE I I I .~ I -I .! ., ~ I,-,;~. Pt f.+r ~ J<:.L •.- A - "" 211. VL -z. 'IN. . - • 4U 0:- M.:f- «'-bT . V DU :: .:i. f L( f Y, - f. v,l L. v .. ..oJ ~ . ~ f'lo l P.AL.- 2- -1- , . '. (J, ( k. Ll--I' . --- -r 6 "2.- j z foAL '2-'. ... J) fA. 'l- b P. fH.... &~~~Dn i- ft, ;'l.A..J' .•.••" ~ if /.UI.."l ' .7_ ..!A--- ln' ':.n -¥ Q.a. -I- .,' I 0 0 , 0 0 ( - I L) N -z. P" AL 1 1 ( {l I h';j "w.W'. I 't I,.J DlJ z; 9 Lfll A , k L F foP; ~, 2- L- ( z '1 faA L of' f./ 1.- J ( « .•.• 1- 2, 7('fAl- 'o&. 7.. L'f A-L., I i . /
  • 262.
    PAGE NO. DATE -------_._._- / //, / } I 'I :1 :-; 1 f, V, J..J.v...< Dr 06U",0' f 2. f Z p{V+P,-V1.- V, f 1/7.- T -;: f },+Vt- 1Z'f..N1 ~lf,t f,,'1l-- ~ 1- 0 f, ", -+ f,}I1- ,'" T1.- f, V,f PI;...[1/ ,11,..-' v of -t f:--J T
  • 263.
    , PAGE NO. 0 p;'- t / /7 / L-;r-7 1 I . '. -t d lJ -.:. 0 ,--du -;:-M 1- tZT . v u
  • 264.
    I , ••• I PAGENO, , DATE I I I ' , - ,- , PP.. :: fo/0 I 0 (Vo+Al') • " , PI, -;::. Po"'" 1" .T" ()0- Pm) • (PO~e,,') A.dM'..;: iY1+P.-JT ~ / ~ , ~ rC:J ')I. -;:-t> -r'"rC ~J~-x.::x-'-",T IlI '" tf" , -r;,{Z. ; , , , . i ; . , , - , l~ , , ) r ~ J , l I[ , f, 4 ~ ' , . {. i ''"'--. - ,~
  • 265.
    , "" . PAGE NO.__ DATE /' -- ./ I',', / /' /m ../ i' /' t A./' 0 ~ ,. p Po (AL-l vA -/I y.,) 'Y
  • 266.
    • , -r "'" ~I ••••>1.- ~o 1;.0 cM-- t-T !YI. t -l- =- fZ d.&. 'II - Tz.- ol:T, -@ clt fZ c1.-r I
  • 267.
    • 1~:;:1Irli ,"-, x. ( w-.~ tn., 5"1.- -otYt . ~ "'1' -, /.,. ~Sl ~~ t--' oJ;;r, " "" 1 -! :" f' "" C, +h, ,JI-aiM ~1.' - •.. 'Y J ( , h...1~)I~: a I 'tel - I"L.-o , • ,, I- ,, - I, , I , , !, I.: , ! i I . I" [ I , ) , iI . I, , , ! i i, I , I , I - f ! I , ~ I I i I ,[ ., - - - ! - , ••• -: - - .r -' J
  • 268.
  • 269.
    -.- - I f I :I! i ; I PAGE NO. __ DATE -I .!. « • 1 - D J 1)~ I,) '/.- lJ "c.. 'l-- U l'" '/.-- " -z.- j) J ~ LJ -J --:/Q ! :I
  • 270.
    -, , II I ., --, I :-j. I 1 Ij , - I' /'
  • 271.
  • 272.
    I ~ 1(n-:)~ ;t}u ! vo-k 6i- 0>0 • ~ 4 "1 . ., 1 ••..i' i "l.- - LJ1 h Df,'d~J C>-
  • 273.
    • ,.,, PAGE NO. DATE I j,. ; . l , < -1~1--(?~+~~2t}------------ 'd~ dy{, - 1 -Cl) II I « .•• ./
  • 274.
    , ) i , PAGE NO._ DATE d -"Ox "I 1.- :11 ')~! --) ) x-'V , - , = I ./
  • 275.
    PAGE NO, _ DATE ••• - I~l.- - 0 " J.~t, ., I g .~ """ low> T <:- 2.1 ~I{; • ,I I' ;, L (1. " a , •• ./
  • 276.
    ~ -, PAGE NO. , DATEI T I '-. I ~, 4WI~ - " ./ -, J ~ ~ ./ I ~ .".. ~ /. I' I "M ~ 1 ~(',...,h} -+'71"~ ;, -tL ,hL./ I Y<. .-,",~ 1.11. I o~, ,~. ~~ / ~ . . III r , II - . '1 . , 11 -:; c;- (.~ { -i. H. - (x - 1" .l.- 1 • ~ . I '1) :s~ I 'A 0:.5 (..A r~ + -.Y .l.-:l • -r< •1 o "' '-J l.:I 1 , . J ,, , : I , . '1 , I , ~ :.1 J~I: , .1 .I I - ; J . . -. , I r i • • , , • . l : ; ~ . ~ -- ,.