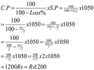
75000+10000=85000
=C.PR
15% Profit
(C.P)C 85000+15% of (C.P)R
Rss
iceOfRitu
Cost
Rs
X
X
u
ofitofChar
ofit
P
C
P
C
Charu
Charu
Charu
107525
9775
97750
Pr
9775
97750
100
10
100
10
Pr
Pr
.
.







  
Rs
Rs
X P
C
P
C
P
C ema
ema
Charu
97750
12750
85000
85000
85000
]
100
15
[
100
15
Re
Re .
.
.







  
Rs
Rs
X P
C
P
C
P
C ema
ema
Charu
97750
12750
85000
85000
85000
]
100
15
[
100
15
Re
Re .
.
.







 
97750
97750
12750
85000
850
15
85000
85000
85000 100
15
Rs
X








107525
.
107525
9775
97750
)
97750
(
97750
. 100
10
Rs
X
Rs






2
1
12
2
1
12
2
1
12
1200
1200
1050
2
1050
1050
1050
100
1050
1050
100
100
1050
.
%
100
100
.
175
100
100
100
2
25
2
200
100
2
25
12
100
100
2
175
2
25
200
2
25
2
2
100
2
1
Rs
Rs
x
x
x
x
x
x
x
x
P
xS
Loss
P
C
x
















1200
1200
1050
2
1050
1050
1050
100
1050
1050
100
100
1050
.
%
100
100
.
175
100
100
100
2
25
2
200
100
2
25
12
100
100
2
175
2
25
200
2
25
2
2
100
2
1
Rs
Rs
x
x
x
x
x
x
x
x
P
xS
Loss
P
C
x
















2
1
12
1050
100
1050
1050
100
100
1050
.
%
100
100
.
2
25
2
200
100
2
25
12
100
100
2
25
2
2
100
2
1
x
x
x
x
P
xS
Loss
P
C
x










2
1
12
1200
1200
1050
2
1050
1050
1050
100
175
100
100
100
2
25
2
200
2
175
2
25
200
Rs
Rs
x
x
x
x
x








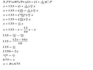
Yogesh sold his watch at 10% loss .If he had sold it Rs.135 more,
he could have made 8% profit.Find the selling price of the watch.
x
P
C
P
C
x
P
ofC
x
P
ofC
x
P
ofC
x
P
ofC
x
P
ofC
x
Loss
ice
selling
x
9
10
9
10
90
100
100
90
100
10
100
100
10
100
100
100
10
.
.
.
)
100
90
(
90
100
.
)
(
.
)
(
.
)
(
.
)
1
(
%
10
Pr












675
.
675
2
1350
135
10
10
12
135
135
10
12
135
135
)
(
135
)
(
135
)
(
135
)
1
(
135
.
)
1
(
Pr
%
8
.
2
2
2
1350
10
2
10
10
10
12
10
12
9
10
100
108
9
10
100
8
100
9
10
100
8
100
100
9
10
100
8
100
8
Rs
x
x
x
x
x
x
x
x
x
x
x
x
x
x
x
x
x
x
x
P
C
ofit
PFor
S
x
x
x
x




























x
P
C
P
C
x
P
ofC
x
P
ofC
x
P
ofC
x
P
ofC
x
P
ofC
x
Loss
ice
selling
x
9
10
9
10
90
100
100
90
100
10
100
100
10
100
100
100
10
.
.
.
)
100
90
(
90
100
.
)
(
.
)
(
.
)
(
.
)
1
(
%
10
Pr












x
x
x
x
x
x
P
C
ofit
PFor
S
x
P
C
P
C
x
9
10
100
8
100
9
10
100
8
100
100
9
10
100
8
100
8
9
10
9
10
)
(
135
)
(
135
)
1
(
135
.
)
1
(
Pr
%
8
.
.
.













675
.
675
2
1350
135
10
10
12
135
135
10
12
135
135
)
(
135
)
(
135
2
2
2
1350
10
2
10
10
10
12
10
12
9
10
100
108
9
10
100
8
100
Rs
x
x
x
x
x
x
x
x
x
x
x
x
x
x
x
x
x
x
x


















 
%
92
2
46
100
)
(
100
)
(
%
46
50
96
.
.
Pr
96
1
.
96
.
96
48
48
50
.
20
30
.
20
2
10
48
.
2
.
30
3
10
48
.
1
.
48
24
16
.
.
50
46
.
Pr
24
10
16
10

























x
x
x
Gain
P
C
P
S
ofit
xRs
POfCandies
S
rOfCandies
TotalNumbe
Rs
POfTwo
TotalC
Rs
x
x
Rs
TypeCandie
P
C
Rs
x
x
Rs
TypeCandie
P
C
and
MOf
C
L
N
P
C
ofit
ICSE PROFIT AND LOSS

ICSE PROFIT AND LOSS