Σύστημα καταγραφής 
δεικτών απόδοσης Μονάδων 
Εντατικής Θεραπείας
Στόχοι παρουσίασης 
• Τι είναι οι δείκτες απόδοσης για τους 
οργανισμούς 
• Πως μετριέται η απόδοση στη ΜΕΘ 
• Τι είναι το PROSAFE 
• Περιγραφή προγράμματος 
• Δείκτες απόδοσης ΜΕΘ Λευκωσίας 2011-2012 
• Χρήση και σημασία των δεδομένων που 
συλλέγονται
Δείκτες απόδοσης στους οργανισμούς 
• Key Performance Indicators are 
quantifiable measurements, agreed to 
beforehand, that reflect the critical success 
factors of an organization. They will differ 
depending on the organization. (Reh 
2013) 
• Δείκτες απόδοσης είναι ποσοτικές μετρήσεις 
προσυμφωνημένες οι οποίες αντανακλούν 
την απόδοση του οργανισμού. Αυτοί 
διαφέρουν ανάλογα με τον οργανισμό
Δείκτες απόδοσης στη ΜΕΘ 
1. Δομής 
2. Διαδικασίας 
3. Αποτελέσματος
Τι είναι το PROSAFE 
• Εργαλείο αξιολόγησης,απόδοσης, ασφάλειας 
και ποιότητας 
• Βάση δεδομένων στην οποία γίνεται καθημερινή 
καταγραφή μεγάλου όγκου πληροφοριών (ζωτικά 
σημεία, δείκτες βαρύτητας, παρεμβάσεις, 
επιπλοκές, εργαστηριακά δεδομένα, πορεία 
νόσου) 
• Μέρος μιας μεγάλης βάσης δεδομένων που 
συγκρίνει αποτελέσματα και αξιολογεί την 
ποιότητα της ΜΕΘ
Ιστορικό 
• Έναρξη καταγραφών Οκτώβριος 2010 
• Τέλος ερευνητικού 2012 
• Από Ιανουάριο 2012 μέρος των διαδικασιών 
της ΜΕΘ Λευκωσίας
Πλεονεκτήματα συστήματος 
• Εύκολο στην εγκατάσταση 
• Είναι συμβατό με άλλα λογισμικά 
• Παρέχεται δωρεάν χαμηλό κόστος 
• Παροχή ορισμών 
• Αυτόματη αναβάθμιση 
• Εύκολο στη χρήση 
• Ανάλυση από κεντρικό επεξεργαστή 
• Εύκολη εξαγωγή δεδομένων 
• Σύστημα αυτοελέγχων που διασφαλίζουν την 
εγκυρότητα των πληροφοριών που καταγράφονται
Εταίροι
Δομή δικτύου 
internet 
Synchronization type: 
Application 
data 
core/petas 
master 
master 
client 
CC server
ΕΓΚΥΡΟΤΗΤΑ ΠΛΗΡΟΦΟΡΙΩΝ 
• Status 1: ασθενείς με λάθη ή παραλήψεις στο 
σύστημα 
• Status 2: ασθενείς με ασυμπλήρωτα στοιχεία 
• Status 3: ασθενείς με συμπληρωμένα 
στοιχεία- λείπει το αποτέλεσμα εξόδου από 
το νοσοκομείο 
• Status 4: ασθενείς με όλα τα στοιχεία 
συμπληρωμένα
Στατιστικά
2011 
2012
2011 
2012
2011 ADMISSIONS 
2012 
ADMISSIONS 
COMPARISSONS
2011 2012 
AGE 
Personal characteristics 
2012 
2011 2012
SEVERITY SCORES 
2011 2012
2011 2012
2011 2012
2011 2012
outcomes 
2011 2012
ICU STAY DAYS 2011 2012 
MEAN 7 6.6 
MEDIAN 3 2 
ICU STAY DAYS ALIVE 2011 2012 
MEAN 6.2 5.9 
MEDIAN 2 2 
ICU STAY DAYS DEAD 2011 2012 
MEAN 11.4 9.7 
MEDIAN 5 3
HOSPITAL STAY DAYS 2011 2012 
MEAN 21.5 23.1 
MEDIAN 13 15 
HOSPITAL STAY DAYS 
ALIVE 
2011 2012 
MEAN 20.7 24 
MEDIAN 13 15 
HOSPITAL STAY DAYS 
DEAD 
2011 2012 
MEAN 24.4 19.9 
MEDIAN
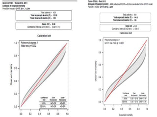
Comparisons 
Mortality lower than expected 
Mortality greater than 
expected
Συμπεράσματα 
• Χρόνος 
• Κόστος 
• Κίνητρο 
• Στόχοι 
• Στρατηγικός σχεδιασμός
Σκοπός και όραμα 
• Η συνεχής εξέλιξη τόσο σε επίπεδο 
τεχνολογίας όσο και σε επίπεδο γνώσης έτσι 
ώστε να παρέχεται η μέγιστη δυνατή 
ποιότητα φροντίδας τόσο στους ασθενείς όσο 
και στις οικογένειες τους
Ευχαριστώ

παρουσιαση Icf 2014 PROSAFE

  • 1.
    Σύστημα καταγραφής δεικτώναπόδοσης Μονάδων Εντατικής Θεραπείας
  • 2.
    Στόχοι παρουσίασης •Τι είναι οι δείκτες απόδοσης για τους οργανισμούς • Πως μετριέται η απόδοση στη ΜΕΘ • Τι είναι το PROSAFE • Περιγραφή προγράμματος • Δείκτες απόδοσης ΜΕΘ Λευκωσίας 2011-2012 • Χρήση και σημασία των δεδομένων που συλλέγονται
  • 3.
    Δείκτες απόδοσης στουςοργανισμούς • Key Performance Indicators are quantifiable measurements, agreed to beforehand, that reflect the critical success factors of an organization. They will differ depending on the organization. (Reh 2013) • Δείκτες απόδοσης είναι ποσοτικές μετρήσεις προσυμφωνημένες οι οποίες αντανακλούν την απόδοση του οργανισμού. Αυτοί διαφέρουν ανάλογα με τον οργανισμό
  • 4.
    Δείκτες απόδοσης στηΜΕΘ 1. Δομής 2. Διαδικασίας 3. Αποτελέσματος
  • 5.
    Τι είναι τοPROSAFE • Εργαλείο αξιολόγησης,απόδοσης, ασφάλειας και ποιότητας • Βάση δεδομένων στην οποία γίνεται καθημερινή καταγραφή μεγάλου όγκου πληροφοριών (ζωτικά σημεία, δείκτες βαρύτητας, παρεμβάσεις, επιπλοκές, εργαστηριακά δεδομένα, πορεία νόσου) • Μέρος μιας μεγάλης βάσης δεδομένων που συγκρίνει αποτελέσματα και αξιολογεί την ποιότητα της ΜΕΘ
  • 6.
    Ιστορικό • Έναρξηκαταγραφών Οκτώβριος 2010 • Τέλος ερευνητικού 2012 • Από Ιανουάριο 2012 μέρος των διαδικασιών της ΜΕΘ Λευκωσίας
  • 7.
    Πλεονεκτήματα συστήματος •Εύκολο στην εγκατάσταση • Είναι συμβατό με άλλα λογισμικά • Παρέχεται δωρεάν χαμηλό κόστος • Παροχή ορισμών • Αυτόματη αναβάθμιση • Εύκολο στη χρήση • Ανάλυση από κεντρικό επεξεργαστή • Εύκολη εξαγωγή δεδομένων • Σύστημα αυτοελέγχων που διασφαλίζουν την εγκυρότητα των πληροφοριών που καταγράφονται
  • 8.
  • 9.
    Δομή δικτύου internet Synchronization type: Application data core/petas master master client CC server
  • 10.
    ΕΓΚΥΡΟΤΗΤΑ ΠΛΗΡΟΦΟΡΙΩΝ •Status 1: ασθενείς με λάθη ή παραλήψεις στο σύστημα • Status 2: ασθενείς με ασυμπλήρωτα στοιχεία • Status 3: ασθενείς με συμπληρωμένα στοιχεία- λείπει το αποτέλεσμα εξόδου από το νοσοκομείο • Status 4: ασθενείς με όλα τα στοιχεία συμπληρωμένα
  • 35.
  • 36.
  • 37.
  • 38.
    2011 ADMISSIONS 2012 ADMISSIONS COMPARISSONS
  • 39.
    2011 2012 AGE Personal characteristics 2012 2011 2012
  • 40.
  • 41.
  • 43.
  • 44.
  • 45.
  • 47.
    ICU STAY DAYS2011 2012 MEAN 7 6.6 MEDIAN 3 2 ICU STAY DAYS ALIVE 2011 2012 MEAN 6.2 5.9 MEDIAN 2 2 ICU STAY DAYS DEAD 2011 2012 MEAN 11.4 9.7 MEDIAN 5 3
  • 48.
    HOSPITAL STAY DAYS2011 2012 MEAN 21.5 23.1 MEDIAN 13 15 HOSPITAL STAY DAYS ALIVE 2011 2012 MEAN 20.7 24 MEDIAN 13 15 HOSPITAL STAY DAYS DEAD 2011 2012 MEAN 24.4 19.9 MEDIAN
  • 49.
    Comparisons Mortality lowerthan expected Mortality greater than expected
  • 50.
    Συμπεράσματα • Χρόνος • Κόστος • Κίνητρο • Στόχοι • Στρατηγικός σχεδιασμός
  • 51.
    Σκοπός και όραμα • Η συνεχής εξέλιξη τόσο σε επίπεδο τεχνολογίας όσο και σε επίπεδο γνώσης έτσι ώστε να παρέχεται η μέγιστη δυνατή ποιότητα φροντίδας τόσο στους ασθενείς όσο και στις οικογένειες τους
  • 52.