Embed presentation
Download to read offline


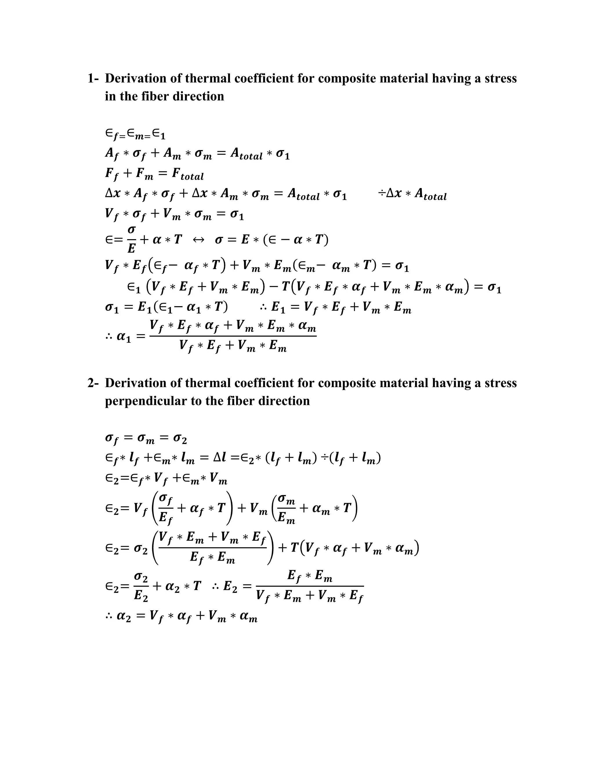
This document discusses deriving the thermal coefficient for composite materials with stress applied in two different directions. It addresses deriving the thermal coefficient when stress is applied in the fiber direction of the composite material as well as when stress is applied perpendicular to the fiber direction.
