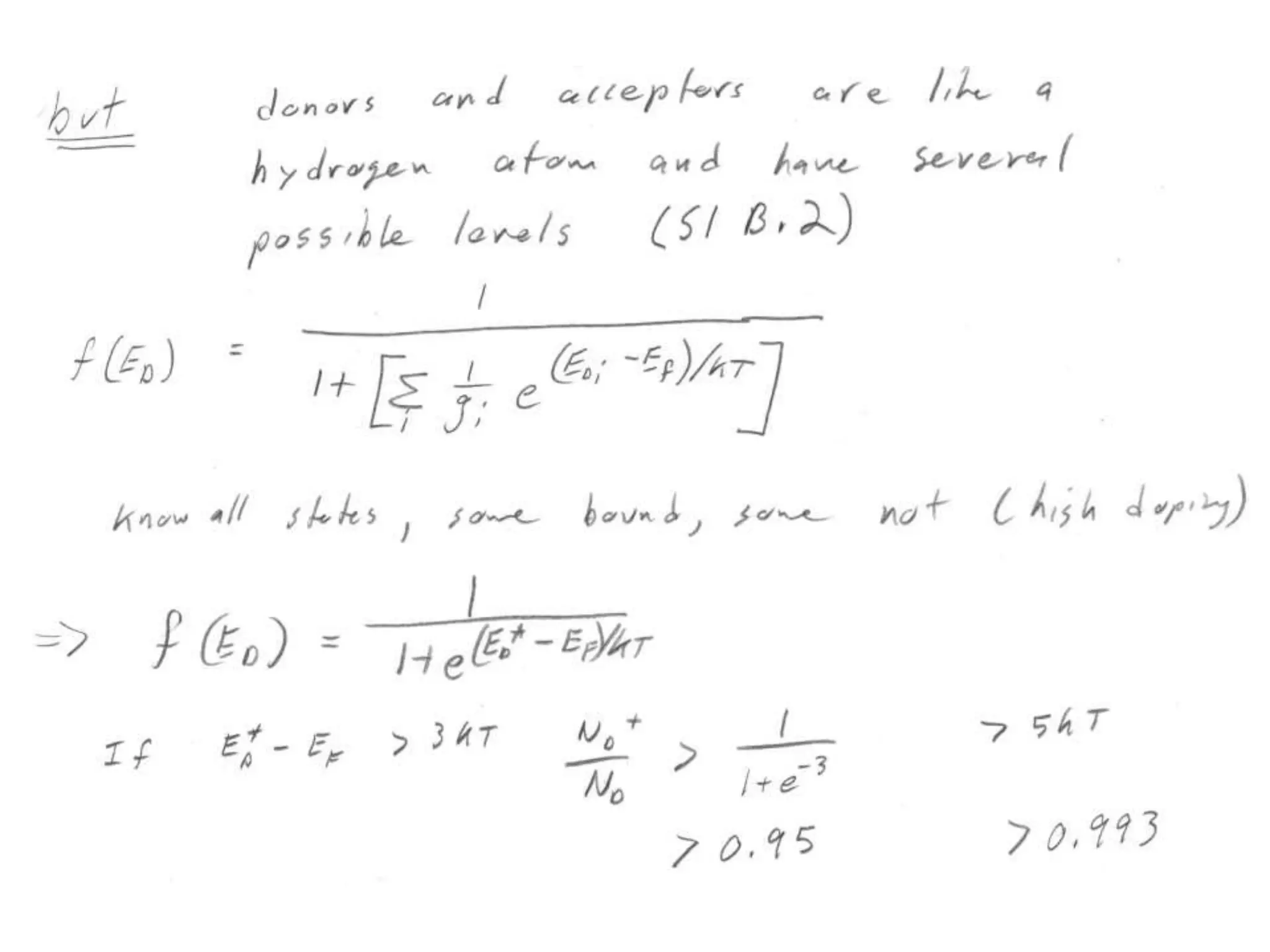
Homogeneous Semiconductors
• Dopants
• Use Density of States and Distribution
Function to:
• Find the Number of Holes and Electrons.
Energy Levels in Hydrogen Atom
Energy Levels for Electrons in a Doped Semiconductor
Assumptions for Calculation
Density of States
(Appendix D)
Energy Distribution Functions
(Section 2.9)
Carrier Concentrations
(Sections 2.10-12)
GOAL:
• The density of electrons (no) can be found
precisely if we know
1. the number of allowed energy states in a small energy
range, dE: S(E)dE
“the density of states”
2. the probability that a given energy state will be
occupied by an electron: f(E)
“the distribution function”
no = bandS(E)f(E)dE
For quasi-free electrons in the conduction band:
1. We must use the effective mass (averaged over all directions)
2. the potential energy Ep is the edge of the conduction band (EC)
For holes in the valence band:
1. We still use the effective mass (averaged over all directions)
2. the potential energy Ep is the edge of the valence band (EV)
 2
1
2
*
2
2
2
1
)
( C
dse
E
E
m
E
S 











 2
1
2
*
2
2
2
1
)
( E
E
m
E
S V
dsh












Energy Band Diagram
conduction band
valence band
EC
EV
x
E(x)
S(E)
Eelectron
Ehole
note: increasing electron energy is ‘up’, but increasing hole energy is ‘down’.
 2
1
2
*
2
2
2
1
)
( C
dse
E
E
m
E
S 











 2
1
2
*
2
2
2
1
)
( E
E
m
E
S V
dsh












Reminder of our GOAL:
• The density of electrons (no) can be found
precisely if we know
1. the number of allowed energy states in a small energy
range, dE: S(E)dE
“the density of states”
2. the probability that a given energy state will be
occupied by an electron: f(E)
“the distribution function”
no = bandS(E)f(E)dE
Fermi-Dirac Distribution
The probability that an electron occupies an
energy level, E, is
f(E) = 1/{1+exp[(E-EF)/kT]}
– where T is the temperature (Kelvin)
– k is the Boltzmann constant (k=8.62x10-5 eV/K)
– EF is the Fermi Energy (in eV)
– (Can derive this – statistical mechanics.)
f(E) = 1/{1+exp[(E-EF)/kT]}
All energy levels are filled with e-’s below the Fermi Energy at 0 oK
f(E)
1
0
EF
E
T=0 oK
T1>0
T2>T1
0.5
Fermi-Dirac Distribution for holes
Remember, a hole is an energy state that is NOT occupied by
an electron.
Therefore, the probability that a state is occupied by a hole
is the probability that a state is NOT occupied by an electron:
fp(E) = 1 – f(E) = 1 - 1/{1+exp[(E-EF)/kT]}
={1+exp[(E-EF)/kT]}/{1+exp[(E-EF)/kT]} -
1/{1+exp[(E-EF)/kT]}
= {exp[(E-EF)/kT]}/{1+exp[(E-EF)/kT]}
=1/{1+ exp[(EF - E)/kT]}
The Boltzmann Approximation
If (E-EF)>kT such that exp[(E-EF)/kT] >> 1 then,
f(E) = {1+exp[(E-EF)/kT]}-1  {exp[(E-EF)/kT]}-1
 exp[-(E-EF)/kT] …the Boltzmann approx.
similarly, fp(E) is small when exp[(EF - E)/kT]>>1:
fp(E) = {1+exp[(EF - E)/kT]}-1  {exp[(EF - E)/kT]}-1
 exp[-(EF - E)/kT]
If the Boltz. approx. is valid, we say the semiconductor is non-degenerate.
Putting the pieces together:
for electrons, n(E)
f(E)
1
0
EF
E
T=0 oK
T1>0
T2>T1
0.5
EV EC
S(E)
E
n(E)=S(E)f(E)
Putting the pieces together:
for holes, p(E)
fp(E)
1
0
EF
E
T=0 oK
T1>0
T2>T1
0.5
EV EC
S(E)
p(E)=S(E)f(E)
hole energy
Finding no and po
 
 
2
/
3
2
*
/
2
/
3
2
*
2
(min)
0
2
2
...
]
/
)
(
exp[
2
2
1
)
(
)
(






















 









kT
m
N
where
kT
E
E
N
dE
e
E
E
m
dE
E
f
E
S
p
dsh
V
V
F
V
kT
E
E
Ev
V
dsh
Ev
Ev
p
F
 
 
2
/
3
2
*
/
2
/
3
2
*
2
(max)
0
2
2
...
]
/
)
(
exp[
2
2
1
)
(
)
(






















 








kT
m
N
where
kT
E
E
N
dE
e
E
E
m
dE
E
f
E
S
n
dse
C
F
C
C
kT
E
E
Ec
C
dse
Ec
Ec
F
the effective density of states
at EC
the effective density of states
at EV
Energy Band Diagram
intrinisic semiconductor: no=po=ni
conduction band
valence band
EC
EV
x
E(x)
n(E)
p(E)
EF=Ei
where Ei is the intrinsic Fermi level
nopo=ni
2
Energy Band Diagram
n-type semiconductor: no>po
conduction band
valence band
EC
EV
x
E(x)
n(E)
p(E)
EF
]
/
)
(
exp[
0 kT
E
E
N
n F
C
C 


nopo=ni
2
Energy Band Diagram
p-type semiconductor: po>no
conduction band
valence band
EC
EV
x
E(x)
n(E)
p(E) EF
]
/
)
(
exp[
0 kT
E
E
N
p V
F
V 


nopo=ni
2
A very useful relationship
kT
E
V
C
kT
Ev
Ec
V
C
V
F
V
F
C
C
g
e
N
N
e
N
N
kT
E
E
N
kT
E
E
N
p
n
/
/
)
(
0
0 ]
/
)
(
exp[
]
/
)
(
exp[











…which is independent of the Fermi Energy
Recall that ni = no= po for an intrinsic semiconductor, so
nopo = ni
2
for all non-degenerate semiconductors.
(that is as long as EF is not within a few kT of the band edge)
kT
E
V
C
i
i
kT
E
V
C
g
g
e
N
N
n
n
e
N
N
p
n
2
/
2
/
0
0





The intrinsic carrier density
kT
E
V
C
i
i
kT
E
V
C
g
g
e
N
N
n
n
e
N
N
p
n
2
/
2
/
0
0





is sensitive to the energy bandgap, temperature, and
(somewhat less) to m*
2
/
3
2
*
2
2 










kT
m
N dse
C
The intrinsic Fermi Energy (Ei)
]
/
)
(
exp[
]
/
)
(
exp[ kT
E
E
N
kT
E
E
N V
i
V
i
C
C 




For an intrinsic semiconductor, no=po and EF=Ei
which gives
Ei = (EC + EV)/2 + (kT/2)ln(NV/NC)
so the intrinsic Fermi level is approximately
in the middle of the bandgap.
Higher Temperatures
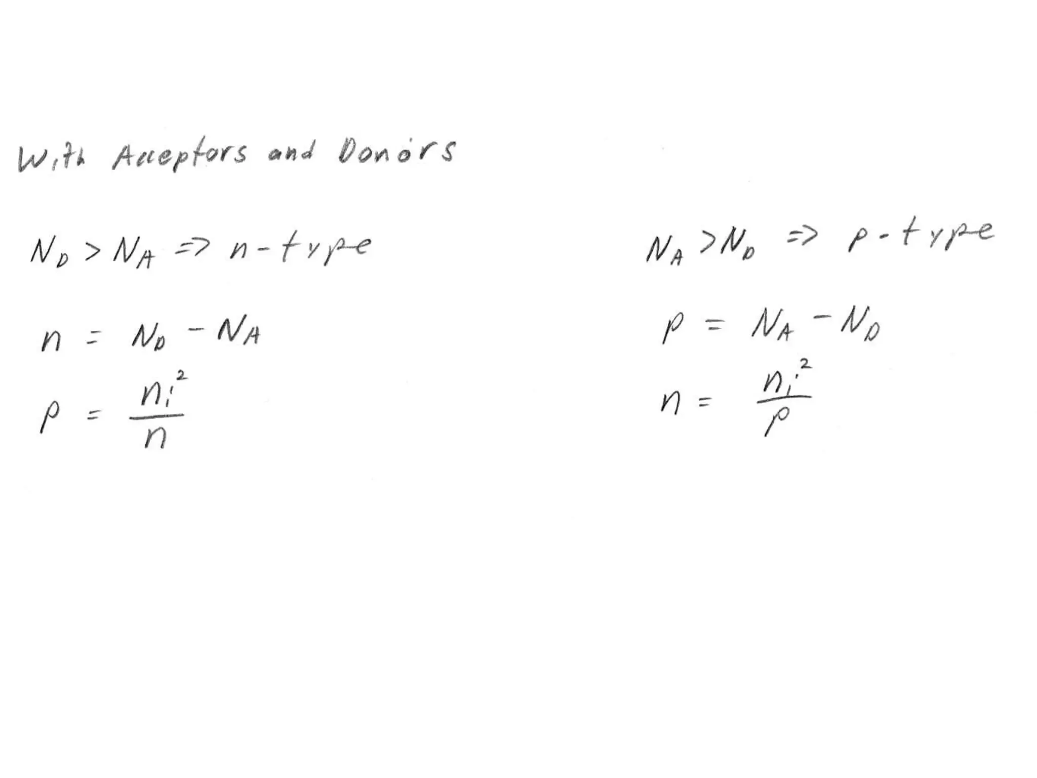
Consider a semiconductor doped with NA ionized
acceptors (-q) and ND ionized donors (+q), do not assume
that ni is small – high temperature expression.
positive charges = negative charges
po + ND = no + NA
using ni
2 = nopo
ni
2/no + ND = no+ NA
ni
2 + no(ND-NA) - no
2 = 0
no = 0.5(ND-NA)  0.5[(ND-NA)2 + 4ni
2]1/2
we use the ‘+’solution since no should be increased by ni
no = ND - NA in the limit that ni<<ND-NA
Simpler
Expression
Temperature variation of some important “constants.”
Degenerate Semiconductors
1. The doping concentration is so
high that EF moves within a few kT
of the band edge (EC or EV).
Boltzman approximation not valid.
2. High donor concentrations cause
the allowed donor wavefunctions to
overlap, creating a band at Edn.
First only the high states overlap, but
eventually even the lowest state
overlaps.
This effectively decreases the
bandgap by
DEg = Eg0 – Eg(ND).
EC
EV
+ + + +
ED1
Eg0
Eg(ND)
for ND > 1018 cm-3 in Si
impurity band
Degenerate Semiconductors
As the doping conc. increases more, EF rises above EC
EV
EC (intrinsic)
available impurity band states
EF
DEg
EC (degenerate) ~ ED
filled impurity band states
apparent band gap narrowing:
DEg
* (is optically measured)
-
Eg
* is the apparent band gap:
an electron must gain energy Eg
* = EF-EV
Electron Concentration
in degenerately doped n-type semiconductors
The donors are fully ionized: no = ND
The holes still follow the Boltz. approx. since EF-EV>>>kT
po = NV exp[-(EF-EV)/kT] = NV exp[-(Eg
*)/kT]
= NV exp[-(Ego- DEg
*)/kT]
= NV exp[-Ego/kT]exp[DEg
*)/kT]
nopo = NDNVexp[-Ego/kT] exp[DEg
*)/kT]
= (ND/NC) NCNVexp[-Ego/kT] exp[DEg
*)/kT]
= (ND/NC)ni
2 exp[DEg
*)/kT]
Summary
non-degenerate:
nopo= ni
2
degenerate n-type:
nopo= ni
2 (ND/NC) exp[DEg
*)/kT]
degenerate p-type:
nopo= ni
2 (NA/NV) exp[DEg
*)/kT]

Homogeneous_Semiconductors0801c.ppt

  • 1.
    Homogeneous Semiconductors • Dopants •Use Density of States and Distribution Function to: • Find the Number of Holes and Electrons.
  • 2.
    Energy Levels inHydrogen Atom
  • 3.
    Energy Levels forElectrons in a Doped Semiconductor
  • 4.
  • 8.
    Density of States (AppendixD) Energy Distribution Functions (Section 2.9) Carrier Concentrations (Sections 2.10-12)
  • 9.
    GOAL: • The densityof electrons (no) can be found precisely if we know 1. the number of allowed energy states in a small energy range, dE: S(E)dE “the density of states” 2. the probability that a given energy state will be occupied by an electron: f(E) “the distribution function” no = bandS(E)f(E)dE
  • 10.
    For quasi-free electronsin the conduction band: 1. We must use the effective mass (averaged over all directions) 2. the potential energy Ep is the edge of the conduction band (EC) For holes in the valence band: 1. We still use the effective mass (averaged over all directions) 2. the potential energy Ep is the edge of the valence band (EV)  2 1 2 * 2 2 2 1 ) ( C dse E E m E S              2 1 2 * 2 2 2 1 ) ( E E m E S V dsh            
  • 11.
    Energy Band Diagram conductionband valence band EC EV x E(x) S(E) Eelectron Ehole note: increasing electron energy is ‘up’, but increasing hole energy is ‘down’.  2 1 2 * 2 2 2 1 ) ( C dse E E m E S              2 1 2 * 2 2 2 1 ) ( E E m E S V dsh            
  • 12.
    Reminder of ourGOAL: • The density of electrons (no) can be found precisely if we know 1. the number of allowed energy states in a small energy range, dE: S(E)dE “the density of states” 2. the probability that a given energy state will be occupied by an electron: f(E) “the distribution function” no = bandS(E)f(E)dE
  • 13.
    Fermi-Dirac Distribution The probabilitythat an electron occupies an energy level, E, is f(E) = 1/{1+exp[(E-EF)/kT]} – where T is the temperature (Kelvin) – k is the Boltzmann constant (k=8.62x10-5 eV/K) – EF is the Fermi Energy (in eV) – (Can derive this – statistical mechanics.)
  • 14.
    f(E) = 1/{1+exp[(E-EF)/kT]} Allenergy levels are filled with e-’s below the Fermi Energy at 0 oK f(E) 1 0 EF E T=0 oK T1>0 T2>T1 0.5
  • 15.
    Fermi-Dirac Distribution forholes Remember, a hole is an energy state that is NOT occupied by an electron. Therefore, the probability that a state is occupied by a hole is the probability that a state is NOT occupied by an electron: fp(E) = 1 – f(E) = 1 - 1/{1+exp[(E-EF)/kT]} ={1+exp[(E-EF)/kT]}/{1+exp[(E-EF)/kT]} - 1/{1+exp[(E-EF)/kT]} = {exp[(E-EF)/kT]}/{1+exp[(E-EF)/kT]} =1/{1+ exp[(EF - E)/kT]}
  • 16.
    The Boltzmann Approximation If(E-EF)>kT such that exp[(E-EF)/kT] >> 1 then, f(E) = {1+exp[(E-EF)/kT]}-1  {exp[(E-EF)/kT]}-1  exp[-(E-EF)/kT] …the Boltzmann approx. similarly, fp(E) is small when exp[(EF - E)/kT]>>1: fp(E) = {1+exp[(EF - E)/kT]}-1  {exp[(EF - E)/kT]}-1  exp[-(EF - E)/kT] If the Boltz. approx. is valid, we say the semiconductor is non-degenerate.
  • 17.
    Putting the piecestogether: for electrons, n(E) f(E) 1 0 EF E T=0 oK T1>0 T2>T1 0.5 EV EC S(E) E n(E)=S(E)f(E)
  • 18.
    Putting the piecestogether: for holes, p(E) fp(E) 1 0 EF E T=0 oK T1>0 T2>T1 0.5 EV EC S(E) p(E)=S(E)f(E) hole energy
  • 19.
    Finding no andpo     2 / 3 2 * / 2 / 3 2 * 2 (min) 0 2 2 ... ] / ) ( exp[ 2 2 1 ) ( ) (                                  kT m N where kT E E N dE e E E m dE E f E S p dsh V V F V kT E E Ev V dsh Ev Ev p F     2 / 3 2 * / 2 / 3 2 * 2 (max) 0 2 2 ... ] / ) ( exp[ 2 2 1 ) ( ) (                                 kT m N where kT E E N dE e E E m dE E f E S n dse C F C C kT E E Ec C dse Ec Ec F the effective density of states at EC the effective density of states at EV
  • 20.
    Energy Band Diagram intrinisicsemiconductor: no=po=ni conduction band valence band EC EV x E(x) n(E) p(E) EF=Ei where Ei is the intrinsic Fermi level nopo=ni 2
  • 21.
    Energy Band Diagram n-typesemiconductor: no>po conduction band valence band EC EV x E(x) n(E) p(E) EF ] / ) ( exp[ 0 kT E E N n F C C    nopo=ni 2
  • 22.
    Energy Band Diagram p-typesemiconductor: po>no conduction band valence band EC EV x E(x) n(E) p(E) EF ] / ) ( exp[ 0 kT E E N p V F V    nopo=ni 2
  • 23.
    A very usefulrelationship kT E V C kT Ev Ec V C V F V F C C g e N N e N N kT E E N kT E E N p n / / ) ( 0 0 ] / ) ( exp[ ] / ) ( exp[            …which is independent of the Fermi Energy Recall that ni = no= po for an intrinsic semiconductor, so nopo = ni 2 for all non-degenerate semiconductors. (that is as long as EF is not within a few kT of the band edge) kT E V C i i kT E V C g g e N N n n e N N p n 2 / 2 / 0 0     
  • 24.
    The intrinsic carrierdensity kT E V C i i kT E V C g g e N N n n e N N p n 2 / 2 / 0 0      is sensitive to the energy bandgap, temperature, and (somewhat less) to m* 2 / 3 2 * 2 2            kT m N dse C
  • 25.
    The intrinsic FermiEnergy (Ei) ] / ) ( exp[ ] / ) ( exp[ kT E E N kT E E N V i V i C C      For an intrinsic semiconductor, no=po and EF=Ei which gives Ei = (EC + EV)/2 + (kT/2)ln(NV/NC) so the intrinsic Fermi level is approximately in the middle of the bandgap.
  • 38.
    Higher Temperatures Consider asemiconductor doped with NA ionized acceptors (-q) and ND ionized donors (+q), do not assume that ni is small – high temperature expression. positive charges = negative charges po + ND = no + NA using ni 2 = nopo ni 2/no + ND = no+ NA ni 2 + no(ND-NA) - no 2 = 0 no = 0.5(ND-NA)  0.5[(ND-NA)2 + 4ni 2]1/2 we use the ‘+’solution since no should be increased by ni no = ND - NA in the limit that ni<<ND-NA
  • 39.
    Simpler Expression Temperature variation ofsome important “constants.”
  • 45.
    Degenerate Semiconductors 1. Thedoping concentration is so high that EF moves within a few kT of the band edge (EC or EV). Boltzman approximation not valid. 2. High donor concentrations cause the allowed donor wavefunctions to overlap, creating a band at Edn. First only the high states overlap, but eventually even the lowest state overlaps. This effectively decreases the bandgap by DEg = Eg0 – Eg(ND). EC EV + + + + ED1 Eg0 Eg(ND) for ND > 1018 cm-3 in Si impurity band
  • 46.
    Degenerate Semiconductors As thedoping conc. increases more, EF rises above EC EV EC (intrinsic) available impurity band states EF DEg EC (degenerate) ~ ED filled impurity band states apparent band gap narrowing: DEg * (is optically measured) - Eg * is the apparent band gap: an electron must gain energy Eg * = EF-EV
  • 47.
    Electron Concentration in degeneratelydoped n-type semiconductors The donors are fully ionized: no = ND The holes still follow the Boltz. approx. since EF-EV>>>kT po = NV exp[-(EF-EV)/kT] = NV exp[-(Eg *)/kT] = NV exp[-(Ego- DEg *)/kT] = NV exp[-Ego/kT]exp[DEg *)/kT] nopo = NDNVexp[-Ego/kT] exp[DEg *)/kT] = (ND/NC) NCNVexp[-Ego/kT] exp[DEg *)/kT] = (ND/NC)ni 2 exp[DEg *)/kT]
  • 48.
    Summary non-degenerate: nopo= ni 2 degenerate n-type: nopo=ni 2 (ND/NC) exp[DEg *)/kT] degenerate p-type: nopo= ni 2 (NA/NV) exp[DEg *)/kT]